- Tổng quan
- Nội dung
- Tiêu chuẩn liên quan
- Lược đồ
- Tải về
Tiêu chuẩn quốc gia TCVN 13027:2022 Thép tấm và thép băng phủ hợp kim nhúng nóng liên tục
| Số hiệu: | TCVN 13027:2022 | Loại văn bản: | Tiêu chuẩn Việt Nam |
| Cơ quan ban hành: | Bộ Khoa học và Công nghệ | Lĩnh vực: | Công nghiệp |
|
Ngày ban hành:
Ngày ban hành là ngày, tháng, năm văn bản được thông qua hoặc ký ban hành.
|
05/09/2022 |
Hiệu lực:
|
Đã biết
|
| Người ký: | Đang cập nhật |
Tình trạng hiệu lực:
Cho biết trạng thái hiệu lực của văn bản đang tra cứu: Chưa áp dụng, Còn hiệu lực, Hết hiệu lực, Hết hiệu lực 1 phần; Đã sửa đổi, Đính chính hay Không còn phù hợp,...
|
Đã biết
|
TÓM TẮT TIÊU CHUẨN VIỆT NAM TCVN 13027:2022
Tiêu chuẩn quốc gia TCVN 13027:2022: Quy định ảnh hưởng đến nhà sản xuất thép tấm và băng phủ nhúng nóng
Tiêu chuẩn quốc gia TCVN 13027:2022 được Bộ Khoa học và Công nghệ ban hành ngày 12/08/2022, có hiệu lực từ ngày 01/01/2023. Tiêu chuẩn này thay thế TCVN 7470:2005 và quy định các yêu cầu kỹ thuật đối với thép tấm và thép băng phủ hợp kim nhôm-kẽm với tỷ lệ 55% và hợp kim nhôm-kẽm-magie 52% được nhúng nóng liên tục. Tiêu chuẩn áp dụng cho các sản phẩm thép có chiều dày không quá 5mm, phù hợp cho sản xuất trong lĩnh vực xây dựng và chế tạo.
Tiêu chuẩn có nhiều quy định quan trọng tác động đến các nhà sản xuất thép như sau:
Phạm vi áp dụng: Tiêu chuẩn này đề cập đến các loại thép có khả năng tạo hình và thép kết cấu, phục vụ cho nhiều mục đích sử dụng khác nhau trong ngành công nghiệp. Đặc biệt, các yêu cầu này bao gồm cả chiều dài và chiều rộng của sản phẩm.
Yêu cầu về thành phần hóa học: Nhà sản xuất phải đảm bảo rằng các loại thép được sản xuất không vượt quá các thông số hóa học quy định trong tiêu chuẩn, nhằm đảm bảo tính chất cơ học và khả năng chịu đựng của sản phẩm.
Tính chất cơ học: Tiêu chuẩn quy định chi tiết các yêu cầu về tính chất cơ học cho các loại thép khác nhau, bao gồm giới hạn chảy, giới hạn bền kéo và độ dãn dài tương đối. Điều này có ý nghĩa quan trọng trong việc thiết kế và sử dụng thép trong các công trình xây dựng.
Khối lượng lớp phủ: TCVN 13027:2022 đưa ra các yêu cầu về khối lượng và độ bám dính của lớp phủ kim loại, điều này đóng vai trò quyết định trong việc bảo vệ thép khỏi ăn mòn và nâng cao độ bền. Các nhà sản xuất phải lưu ý đến khối lượng lớp phủ tối thiểu đã được quy định.
Kiểm tra chất lượng: Các phép thử và quy trình thử nghiệm cần được thực hiện để xác định thành phần hóa học, độ bám dính của lớp phủ và các thông số khác của sản phẩm, nhằm đảm bảo mọi sản phẩm đều đáp ứng được tiêu chuẩn chất lượng.
Ký hiệu sản phẩm và ghi nhãn: Tiêu chuẩn quy định rõ cách thức ký hiệu các sản phẩm, cùng với yêu cầu ghi nhãn trên bao bì và sản phẩm, giúp người tiêu dùng dễ dàng nhận biết và xác định thông tin cần thiết khi sử dụng sản phẩm thép.
Với những quy định chi tiết và cụ thể, tiêu chuẩn TCVN 13027:2022 không chỉ nâng cao chất lượng sản phẩm mà còn tạo ra một khung pháp lý vững chắc cho các nhà sản xuất thép tại Việt Nam, góp phần nâng cao hiệu quả và khả năng cạnh tranh của sản phẩm thép trên thị trường.
Tải tiêu chuẩn Việt Nam TCVN 13027:2022
TIÊU CHUẨN QUỐC GIA
TCVN 13027:2022
THÉP TẤM VÀ THÉP BĂNG PHỦ HỢP KIM 55 % NHÔM-KẼM VÀ HỢP KIM 52 % NHÔM-KẼM-MAGIE NHÚNG NÓNG LIÊN TỤC
Continuous hot-dip metallic coated steel sheet and strip 55 % aluminum-zinc and 52 % aluminum-zinc-magnesium alloy coatings
Lời nói đầu
TCVN 13027:2022 thay thế TCVN 7470:2005.
TCVN 13027:2022 do Ban kỹ thuật tiêu chuẩn quốc gia TCVN/TC 17, Thép biên soạn trên cơ sở tham khảo tiêu chuẩn AS 1397:2011, Tổng cục Tiêu chuẩn Đo lường Chất lượng đề nghị, Bộ Khoa học và Công nghệ công bố.
THÉP TẤM VÀ THÉP BĂNG PHỦ HỢP KIM 55 % NHÔM-KẼM VÀ HỢP KIM 52 % NHÔM-KẼM-MAGIE NHÚNG NÓNG LIÊN TỤC
Continuous hot-dip metallic coated steel sheet and strip 55 % aluminum-zinc and 52 % aluminum-zinc-magnesium alloy coatings
1 Phạm vi áp dụng
Tiêu chuẩn này quy định các yêu cầu đối với thép tấm và thép băng phủ hợp kim 50 % đến 60 % nhôm-kẽm và hợp kim 47 % đến 57 % nhôm-kẽm-magie nhúng nóng liên tục có chiều dày đến 5,0 mm.
Tiêu chuẩn này cũng có thể áp dụng cho:
a) Các loại thép có khả năng tạo hình;
b) Các loại thép kết cấu.
CHÚ THÍCH:
1. Hướng dẫn và thông tin do khách hàng cung cấp được giới thiệu trong Phụ lục A.
2. Nếu không có quy định nào khác, các yêu cầu quy định trong tiêu chuẩn này áp dụng cho toàn bộ chiều dài và chiều rộng của sản phẩm.
3. Trong phần mô tả các loại lớp phủ, các nguyên tố chính được liệt kê đầu tiên đến các nguyên tố chính tiếp theo và sau là các nguyên tố thứ ba.
2 Tài liệu viện dẫn
Các tài liệu viện dẫn sau rất cần thiết cho áp dụng tiêu chuẩn này. Đối với các tài liệu viện dẫn ghi năm công bố thì áp dụng phiên bản đã nêu. Đối với các tài liệu viện dẫn không ghi năm công bố thì áp dụng phiên bản mới nhất, bao gồm cả các sửa đổi, (nếu có).
TCVN 197-1 (ISO 6892-1), Vật liệu kim loại - Thử kéo - Phần 1: Phương pháp thử ở nhiệt độ phòng.
TCVN 198 (ISO 7438), Vật liệu kim loại - Thử uốn.
TCVN 1811 (ISO 14284), Thép và gang - Lấy mẫu và chuẩn bị mẫu thử để xác định thành phần hóa học.
TCVN 7665 (ISO 1460), Lớp phủ kim loại - Lớp phủ kẽm nhúng nóng trên vật liệu chứa sắt - Xác định khối lượng lớp mạ trên một đơn vị diện tích.
TCVN 8998 (ASTM E 415), Thép cacbon và thép hợp kim thấp - Phương pháp phân tích thành phần hóa học bằng quang phổ phát xạ chân không.
TCVN 10353 (ISO 16163), Thép lá mạ nhúng nóng liên tục - Dung sai kích thước và hình dạng.
AS 2331, Methods of test for metallic and related coatings (Phương pháp thử các lớp phủ kim loại và các lớp phủ có liên quan).
AS 2706, Numerical values - Rounding and interpretation of limiting values (Các giá trị số - Làm tròn và giải thích các trị số giới hạn).
ASTM A 754, Test method for coating weight (mass) of metallic coatings on steel by X-ray fluorescence (Phương pháp thử để xác định khối lượng lớp phủ kim loại trên thép bằng phương pháp huỳnh quang tia X).
3 Thuật ngữ và định nghĩa
Tiêu chuẩn này áp dụng các thuật ngữ và định nghĩa sau:
3.1
Mẻ (batch)
Một loại sản phẩm có cùng hình dạng, cùng chiều dày, mác thép, kiểu lớp mạ và khối lượng lớp mạ được gia công trong những điều kiện giống nhau, có khối lượng nhỏ hơn hoặc bằng 50 tấn.
3.2
Khối lượng lớp phủ (coating mass)
Tổng khối lượng lớp phủ trên cả hai mặt của nền thép, tính bằng gam/mét vuông. Khi có các lớp phủ trên hai mặt khác nhau, khối lượng được xác định riêng cho từng mặt.
CHÚ THÍCH: Chiều dày lớp phủ không phải là đối tượng quy định. Chiều dày gần đúng của các lớp phủ khác nhau nêu trong Phụ lục B.
3.2.1
Khối lượng lớp phủ một điểm một mặt (one surface single spot coating mass)
Khối lượng nhỏ nhất của lớp phủ trên một mặt bất kỳ của một trong ba mẫu thử sử dụng trong phép thử ba điểm.
3.2.2
Khối lượng lớp phủ một điểm (single spot coating mass)
Khối lượng lớp phủ của một trong ba mẫu thử sử dụng trong phép thử ba điểm.
3.2.3
Khối lượng lớp phủ ba điểm (triple spot coating mass)
Khối lượng trung bình của lớp phủ của ba mẫu thử lấy từ một mẫu đại diện theo mặt cắt ngang ban đầu.
3.3
Loại lớp phủ (coating type)
3.3.1
Lớp phủ hợp kim 55 % nhôm-kẽm (aluminium-zinc alloy coating)
Lớp phủ nhúng nóng tạo thành từ hợp kim bao gồm khoảng 50 % đến 60 % nhôm, 1 % đến 2 % silic, còn lại là kẽm, chứa rất ít các nguyên tố phụ trợ (lớp phủ AZ).
3.3.2
Lớp phủ hợp kim 52 % nhôm-kẽm-magie (aluminium-zinc-magie alloy coating)
Lớp phủ nhúng nóng tạo thành từ hợp kim bao gồm khoản 47 % đến 57 % nhôm, 1 % đến 3 % magie, 1 % đến 2 % silic, còn lại là kẽm và chứa rất ít các nguyên tố phụ trợ (loại lớp phủ AM).
3.4
Lớp phủ các mặt khác nhau (differential coating)
Lớp phủ có khối lượng khác nhau rõ rệt trên từng mặt của thép tấm hoặc thép băng.
3.5
Thép tấm (sheet)
Sản phẩm bằng thép được cán thành tấm phẳng, có chiều dày và chiều rộng bất kỳ, được phủ nhúng nóng và cung cấp theo chiều dài đặt hàng.
3.6
Thép băng (strip)
Sản phẩm bằng thép được cán thành tấm phẳng, có chiều dày và chiều rộng bất kỳ, được nhúng nóng và cung cấp ở dạng cuộn.
4 Kim loại nền
4.1 Quy định chung
Điều này quy định các yêu cầu kỹ thuật cho chín loại thép tấm, thép băng bao gồm ba loại thép có khả năng tạo hình và sáu loại thép kết cấu dựa trên giới hạn chảy.
4.2 Thành phần hoá học
Thành phần hóa học không vượt quá các giá trị cho trong Bảng 1. Các nguyên tố không quy định trong Bảng 1 không được vượt quá giới hạn có thể gây hại đến mục đích sử dụng định trước của thép.
Bảng 1 - Thành phần hoá học của thép
| Ký hiệu loại thép | Thành phần hoá học (%), lớn nhất | |||
| C | Mn | P | S | |
| G450, G500, G550 | 0,20 | 1,20 | 0,040 | 0,030 |
| G3001) G350 | 0,30 | 1,60 | 0,100 | 0,035 |
| G250, G1 | 0,12 | 0,50 | 0,040 | 0,035 |
| G2 | 0,10 | 0,45 | 0,030 | 0,030 |
| G3 | 0,08 | 0,40 | 0,020 | 0,025 |
| 1) Loại G300, có thể dùng loại thép thấm nitơ với chiều dày trên 1,00 mm. | ||||
4.3 Tính chất cơ học
4.3.1 Cơ tính của thép phải đáp ứng các yêu cầu nêu trong Bảng 2 và Bảng 3.
Bảng 2 - Yêu cầu về tính chất cơ học cho các loại thép kết cấu
| Ký hiệu loại thép | Thử kéo | Thử uốn | ||||
| Giới hạn chảy 1), nhỏ nhất MPa | Giới hạn bền kéo nhỏ nhất MPa | Độ dãn dài tương đối 2), nhỏ nhất, (%) | Góc uốn (độ) | Đường kính gối uốn quy định theo chiều dày (t) của sản phẩm | ||
| Lo = 50 mm | Lo = 80 mm | |||||
| G250 | 250 | 320 | 25 | 22 | 180 | 0 |
| G300 | 300 | 340 | 20 | 18 | 180 | t |
| G350 | 350 | 420 | 15 | 14 | 180 | 2 t |
| G450 3) | 450 | 480 | 10 | 9 | 90 | 4 t |
| G500 4) | 500 | 520 | 8 | 7 | 90 | 6 t |
| G550 5) | 550 | 550 | 2 | 2 | - | - |
| 1) Giới hạn chảy là giới hạn chảy dưới (ReL), nếu không xác định được thì lấy giới hạn chảy ứng với độ giãn 0,2 % (Rp). 2) Áp dụng cho mẫu thử bằng hoặc dày hơn 0,60 mm, Lo là chiều dài cữ ban đầu. 3) Áp dụng cho vật liệu ủ hồi phục bằng hoặc dày hơn 1,50 mm. 4) Áp dụng cho vật liệu ủ hồi phục giữa 1,00 mm và 1,50 mm. 5) Áp dụng cho vật liệu ủ hồi phục có chiều dày đến và bằng 1,00 mm. | ||||||
Bảng 3 - Yêu cầu về tính chất cơ học cho các loại thép có khả năng tạo hình
| Ký hiệu loại thép | Thử kéo 1) | Thử uốn | Khoảng chiều dày gấp 2), mm | |
| Độ dãn dài tương đối nhỏ nhất, % | Góc uốn, độ | |||
| Lo= 50 mm | Lo = 80 mm | |||
| G1 | - | - | 180° | - |
| G2 3) | 30 | 27 | 180° | < 1,60 |
| G3 3) | 35 | 32 | 180° | Tất cả |
| 1) Áp dụng cho các mẫu thử có chiều dày bằng hoặc lớn hơn 0,60 mm. Nhà cung cấp cần công bố giới hạn chảy và giới hạn bền kéo cho mục đích thiết kế. 2) Các loại thép có khả năng gấp khác nhau phụ thuộc vào các điều kiện thực tế, khả năng điều chỉnh của máy nhằm tránh gây kéo dãn quá mức đối với sản phẩm. 3) Về các thông số sản xuất, xem C.1. | ||||
4.3.2 Đối với thép kết cấu, mẫu thử được uốn quanh một trục có đường kính ngoài cho trong Bảng 2 và đối với thép có khả năng tạo hình, mẫu thử được uốn phẳng theo yêu cầu cho trong Bảng 3. Sau khi thử, bóc lớp phủ khỏi nền ở chỗ uốn, nhưng không được gây ra vết nứt, kiểm tra bề mặt. Không được có vết nứt nhìn thấy bằng mắt thường tại vị trí uốn. Có thể bỏ qua các vết nứt nhỏ ở mép và các vết nứt chỉ nhìn thấy qua kính lúp.
4.4 Dung sai kích thước
4.4.1 Quy định chung
Dung sai kích thước của kim loại nền, bao gồm chiều rộng, chiều dày, độ phẳng và độ võng, phải phù hợp với các yêu cầu cho trong TCVN 10353 (ISO 16163).
4.4.2 Chiều dày quy định
Chiều dày của thép tấm hoặc thép băng phải được quy định vì chiều dày này phục vụ cho mục đích thiết kế. Chiều dày được đo ở khoảng cách không dưới 50 mm tính từ mép rìa.
5 Hoàn thiện bề mặt và xử lý bề mặt
5.1 Quy định chung
Sản phẩm thép phủ kim loại có thể được định hình lại bằng phương pháp cơ khí và có thể qua xử lý bề mặt. Yêu cầu về điều kiện bề mặt, xử lý bề mặt phải được nêu chi tiết, cụ thể khi đặt hàng với nhà cung cấp (Xem Phụ lục A).
5.2 Hoàn thiện bề mặt
5.2.1 Cán là
Bề mặt phủ kim loại có thể được xử lý cán là sau quá trình phủ để tạo ra lớp hoàn thiện mờ, thường để cho sơn.
CHÚ THÍCH: Mục đích của việc cán là nhằm tạo độ nhẵn trên bề mặt, qua đó thay đổi ngoại quan của bề mặt. Việc cán là cũng giảm thiểu việc ảnh hưởng đến tình trạng bề mặt được biết đến như vết căng cán (đường Luder) hoặc nếp gấp trong quá trình gia công hoàn thiện. Việc cán là cũng giúp kiểm soát và cải thiện độ phẳng, tăng độ cứng, mất đi tính dễ uốn.
5.2.2 Loại bỏ hoa kẽm
Một số nhà sản xuất dùng cách loại bỏ hoa kẽm để có thể giảm thiểu hoặc che giấu hình hoa kẽm xuất hiện tự nhiên trên sản phẩm. Kỹ thuật loại bỏ bao gồm phun nước tăng tỷ lệ làm mát lớp phủ để thu nhỏ kích thước hoa kẽm hoặc phun hóa chất để tạo ra rất nhiều hoa kẽm từ đó tạo ra bề mặt với các hoa kẽm nhỏ hoặc tạo ra các lớp phủ không có hoa kẽm bằng cách triệt tiêu tất cả các yếu tố hình thành hoa kẽm.
5.3 Xử lý bề mặt bằng hóa học
5.3.1 Lớp hữu cơ
Việc tạo một lớp hữu cơ mỏng có thể áp dụng lên bề mặt thép đã phủ để bảo vệ bề mặt tránh bị bám dấu vân tay trong quá trình gia công hay vận chuyển, đồng thời giúp bôi trơn trong quá trình tạo hình sau này. Trong một số trường hợp, lớp hữu cơ này có thể chứa một chất hóa học có khả năng chống thụ động hóa bề mặt (xem 5.3.2).
5.3.2 Thụ động hóa
Việc sử dụng dung dịch hóa học lên bề mặt thép phủ để tạo một lớp mỏng, kết dính chặt, lớp hoạt hóa này sẽ giúp tăng mức độ chịu đựng chống lại ẩm ướt, ăn mòn và hạn chế tối đa bề mặt thép bị mờ. Do đặc tính của chất ức chế có giới hạn nên sản phẩm cần phải được làm khô hoặc đưa vào sử dụng ngay nếu phát hiện bị ẩm ướt trong quá trình vận chuyển hoặc lưu kho.
5.3.3 Phủ dầu
Phủ dầu khoáng nhẹ lên bề mặt thép phủ có thể giúp bảo vệ tạm thời trước khi chuyển qua các công đoạn kế tiếp, ví dụ: công đoạn sơn. Trong quá trình vận hành, xử lý sau này, có thể dùng hóa chất để vệ sinh, loại bỏ lớp dầu đã bôi.
6 Lớp phủ
6.1 Khối lượng lớp phủ
Nhà sản xuất phải xây dựng quy trình kiểm tra với tần suất phù hợp nhằm đáp ứng được đặc tính của từng mẻ vật liệu và bảo đảm phù hợp với yêu cầu về tiêu chuẩn kỹ thuật.
Khối lượng lớp phủ phải đáp ứng các yêu cầu đưa ra trong Bảng 4 cho từng loại lớp phủ tương ứng.
6.2 Độ bám dính của lớp phủ
Cả hai mặt của tấm mẫu thử phải có khả năng uốn được 180° quanh một trục có đường kính quy định trong Bảng 5 mà lớp phủ vẫn không bị bong. Hư hỏng của lớp phủ trong phạm vi 5 mm kể từ mép có thể bỏ qua.
Bảng 4 - Yêu cầu về khối lượng lớp phủ
| Ký hiệu loại lớp phủ | Khối lượng nhỏ nhất của lớp phủ, g/m2 | ||
| Tổng hai bề mặt | Một mặt | ||
| Ba điểm | Một điểm | Một điểm | |
| AZ70 | 70 | 60 | 25 |
| AZ90 | 90 | 75 | 35 |
| AZ100 | 100 | 85 | 40 |
| AZ120 | 120 | 102 | 45 |
| AZ150 | 150 | 130 | 60 |
| AZ165 | 165 | 140 | 65 |
| AZ185 | 185 | 160 | 75 |
| AZ200 | 200 | 170 | 80 |
| AM70 | 70 | 60 | 27 |
| AM90 | 90 | 77 | 35 |
| AM100 | 100 | 90 | 40 |
| AM125 | 125 | 115 | 50 |
| AM150 | 150 | 135 | 60 |
| AM175 | 175 | 160 | 70 |
Bảng 5 - Yêu cầu về độ bám dính của lớp phủ (thử uốn 180°)
| Ký hiệu loại thép | Đường kính gối uốn quy định theo chiều dày (t) của sản phẩm | |||||
| Loại lớp phủ | ||||||
| AZ70 AZ90 AZ100 | AM70 | AZ120 AZ150 AZ165 | AM 90 AM100 AM125 AM150 | AZ185 AZ200 | AM175 | |
| G250 | t | 0 | t | |||
| G300 | t | t | t | |||
| G350 | t | t | t | |||
| G450 | t | 2t | 2t | |||
| G500 | t | 2t | 2t | |||
| G550 | t | 2t | 2t | |||
| G1 | - | - | - | |||
| G2 | - | - | - | |||
| G3 | - | - | - | |||
| CHÚ THÍCH: 1. Số 0 biểu thị thép có lớp phủ được ép phẳng sát vào nhau. 2. Lớp phủ dạng AM và AZ được sản xuất liên tục, trên các dây chuyền phủ kim loại, sự kết hợp của nhiệt độ nồi phủ và quá trình làm nguội tạo ra một số lượng lớn cacbon chuyển qua thể rắn và sau đó được giữ lại ở quá trình làm nguội nhanh. Vì lý do này, loại G1, G2, G3 không được cung cấp đại trà cho các loại lớp phủ này. Chỉ có loại G2N được sản xuất từ Phương pháp chân không và thép ổn định là có sẵn. | ||||||
7 Phương pháp thử
7.1 Lấy mẫu thử
7.1.1 Mẫu thử để phân tích thành phần hóa học
Phương pháp lấy mẫu để phân tích hoá học theo TCVN 1811 (ISO 14284).
7.1.2 Mẫu thử để thử kéo
7.1.2.1 Hướng cắt mẫu thử đối với thép kết cấu
Đối với các mác thép G250; G300; G350, G450, G500, G550, mẫu thử kéo được cắt song song với hướng cán.
7.1.2.2 Hướng cắt mẫu thử đối với thép có khả năng tạo hình
Đối với thép có khả năng tạo hình, mẫu thử kéo được cắt ngang hướng cán.
CHÚ THÍCH:
1. Theo kinh nghiệm thực hành quốc tế, thử kéo thép tấm hoặc thép băng phủ hợp kim nhôm-kẽm, còn nguyên lớp phủ, cho độ bền và độ chịu kéo cao hơn giá trị thực của vật liệu nền, bởi vì lớp phủ làm tăng giá trị đó (xem chú thích 2). Tuy nhiên, các phép thử đó vẫn được thực hiện, bởi vì lớp phủ phần nào lại làm giảm tính dẻo của vật liệu.
2. Việc tính toán thiết kế dựa vào chiều dày của kim loại nền, ảnh hưởng của lớp phủ được xét khi xem xét giá trị độ bền hiệu dụng thể hiện bản chất chính của sản phẩm trong thực tế.
7.1.3 Mẫu thử để thử uốn
Mẫu thử được cắt vuông góc với chiều cán và uốn với trục uốn song song với chiều cán.
7.1.4 Mẫu thử để thử xác định khối lượng lớp phủ
7.1.4.1 Mẫu thử cho phương pháp thử điểm
Thử điểm được thực hiện trên các mẫu, mỗi mẫu có diện tích khoảng 2000 mm2 đến 5000 mm2.
7.1.4.2 Thử ba điểm
Thử ba điểm thực hiện trên ba mẫu lấy từ một mảnh (thông thường là 300 mm x toàn bộ chiều rộng), đại diện cho mặt cắt ngang ban đầu của sản phẩm. Một mẫu lấy chính giữa, các mẫu khác cách mép ít nhất 25 mm.
7.1.4.3 Thử một điểm
Thử một điểm là thử trên một trong ba mẫu được chọn cho phép thử ba điểm.
7.1.4.4 Thử một điểm trên một mặt
Thử một điểm trên một mặt là thử trên một trong ba mẫu được chọn cho phép thử ba điểm.
7.1.5 Mẫu thử để xác định độ bám dính của lớp phủ
Một mẫu đại diện để kiểm tra độ bám dính của lớp phủ bằng phương pháp uốn cong phải được lấy trên mỗi 50 tấn hoặc ít nhất trên một chuyến hàng.
Mẫu thử có thể được lấy từ bất cứ phần nào của tấm thử và phải có chiều rộng nhỏ nhất là 50 mm.
CHÚ THÍCH:
1) Nên thử nghiệm theo chiều dọc (trục uốn vuông góc với hướng cán) để hạn chế ảnh hưởng của sự hư hỏng nền của thép chịu cán nguội kém, trước khi đạt được độ bám dính quy định.
2) Với các lớp phủ hai mặt khác nhau, việc thử nghiệm độ bám dính trên từng mặt được tiến hành theo thoả thuận giữa người đặt hàng và nhà cung cấp.
7.2 Thử xác định thành phần hóa học
Thành phần hoá học được xác định theo TCVN 8998 (ASTM E 415).
7.3 Thử kéo
Thử kéo theo TCVN 197-1 (ISO 6892-1).
7.4 Thử uốn
Thử uốn theo TCVN 198 (ISO 7438).
7.5 Thử xác định khối lượng lớp phủ
Thử xác định khối lượng lớp phủ theo phương pháp 2.1 hoặc 2.3 theo AS 2331 hoặc phương pháp huỳnh quang tia X theo ASTM A 754.
Có thể quét ngang mẫu thử theo phương pháp huỳnh quang hai mặt mô tả trong ASTM A 754, phải ghi nhận được các số liệu và duy trì được việc kiểm tra hiệu chuẩn thích hợp.
7.6 Thử xác định độ bám dính của lớp phủ
Phải tiến hành các phép thử uốn phù hợp với các phương pháp quy định trong TCVN 198 (ISO 7438).
7.7 Làm tròn kết quả thử
7.7.1 Quy định chung
Trừ các kết quả thử giới hạn bền kéo và xác định khối lượng lớp phủ, các giá trị đọc được hoặc tính toán được phải được làm tròn đến cùng số chữ số thập phân, như của giá trị quy định và sau đó được so sánh với giá trị quy định đó (xem AS 2706).
7.7.2 Đối với kết quả thử nghiệm giới hạn bền kéo
Giá trị xác định được về giới hạn bền kéo phải được làm tròn gần nhất đến 10 MPa và giá trị xác định được của độ bền chảy phải được làm tròn gần nhất đến 5 MPa.
7.7.3 Đối với kết quả khối lượng lớp phủ
Giá trị xác định được phải được làm tròn gần nhất đến 5 g/m2.
8 Ký hiệu sản phẩm
8.1 Quy định chung
Thông thường ký hiệu sản phẩm được hợp thành từ các yếu tố sau đây:
a) Số hiệu của tiêu chuẩn này;
b) Loại thép (xem 8.2);
c) Loại lớp phủ và hoàn thiện bề mặt (xem 8.3);
VÍ DỤ 1: TCVN 13027:2022/G550 AZ150S.
8.2 Ký hiệu loại thép
8.2.1 Quy định chung
Ký hiệu loại thép dùng để phủ được nêu trong các Bảng 1, Bảng 2, và Bảng 3, bao gồm tập hợp các ký tự như sau:
a) Ký tự thứ nhất - Chữ “G” - chỉ loại thép đảm bảo tính chất cơ học hoặc được biến tính bởi xử lý nhiệt trên dây chuyền sản xuất trước khi mạ nhúng nóng.
b) Ký tự thứ hai và các ký tự tiếp theo - được quy định ở 8.2.2 và 8.2.3.
8.2.2 Đối với thép kết cấu
Ký tự thứ hai, ba và bốn biểu thị giới hạn chảy nhỏ nhất, tính bằng megapascal, có các giá trị là 250, 300, 350, 450, 500, 550.
VÍ DỤ 2: G 550.
8.2.3 Đối với thép có khả năng tạo hình
Ký tự thứ hai gồm các chữ số 1, 2 hoặc 3 chỉ khả năng gia công định hình, như sau:
a) Gia công cán định hình 1
b) Gia công tạo hình 2
c) Gia công kéo 3
Ký tự thứ ba là chữ cái “N”, nếu có, chỉ loại thép không hoá già.
VÍ DỤ 3: G3N.
8.3 Ký hiệu lớp phủ hợp kim nhôm-kẽm và lớp phủ hợp kim nhôm-kẽm-magie và hoàn thiện bề mặt
8.3.1 Lớp phủ hợp kim nhôm-kẽm
Lớp phủ hợp kim nhôm-kẽm được ký hiệu bằng các chữ cái ‘AZ’ (xem 3.3.1), tiếp theo là các chữ số chỉ khối lượng lớp phủ nhỏ nhất (cả hai mặt) (xem 3.2), tính bằng gam/mét vuông, xác định bằng phép thử ba điểm.
8.3.2 Lớp phủ hợp kim nhôm-kẽm-magie
Lớp phủ hợp kim nhôm-kẽm-magie được ký hiệu bằng hai chữ cái “AM” (xem 3.3.2), tiếp theo là các chữ số chỉ khối lượng lớp phủ nhỏ nhất (cả hai mặt) (xem 3.2), tính bằng gam/mét vuông, xác định bằng phép thử ba điểm.
8.3.3 Hoàn thiện bề mặt
8.3.3.1 Quy định chung
Hình dạng tự nhiên của thép tấm, thép băng phủ kim loại, nhúng nóng liên tục phụ thuộc vào số lượng nhân tố bao gồm cả thành phần lớp phủ, độ nhám bề mặt thép và tốc độ làm nguội.
Kí hiệu sử dụng được quy định dưới đây.
8.3.3.2 Cán là và hoàn thiện bề mặt - kí hiệu “S”
Việc cán là sản phẩm đã được phủ giúp tạo độ mượt, lớp hoàn thiện mờ thường phù hợp cho sơn (xem 5.2.1, C.1.1).
VÍ DỤ: AZ150S, lớp phủ loại AZ, có khối lượng lớp phủ danh nghĩa 150 g/m2, đã được cán bề mặt.
AZ200S, lớp phủ loại AZ, có khối lượng lớp phủ 200 g/m2, được sản xuất với hoa kẽm nhỏ và đã được cán bề mặt.
9 Ghi nhãn
9.1 Ghi nhãn trên bao gói
Mỗi kiện hàng phải được ghi nhãn rõ ràng và bền vững hoặc có nhãn gắn chắc, với các thông tin sau:
a) Tên nhà sản xuất hoặc nhãn hiệu hàng hóa;
b) Số hiệu tiêu chuẩn, ví dụ: TCVN 13027;
c) Loại thép;
d) Loại lớp phủ;
e) Số đơn hàng;
f) Kích thước sản phẩm (chiều dày, chiều dài, chiều rộng của thép nền);
g) Khối lượng;
h) Mã cuộn.
9.2 Ghi nhãn trên sản phẩm
Trên thép tấm và thép băng thành phẩm, phải ghi nhãn rõ ràng và bền vững với các thông tin về số hiệu của tiêu chuẩn này, chiều dày kim loại nền, loại thép nền và loại lớp phủ, trừ trường hợp không cần thiết khi sử dụng.
CHÚ THÍCH: Nhà sản xuất công bố sự phù hợp của sản phẩm, bao gói với quy định liên quan của tiêu chuẩn này hoặc tài liệu quảng bá liên quan đến sản phẩm đó phải đảm bảo rằng sự phù hợp đó có thể kiểm tra xác nhận được.
Phụ lục A
(Tham khảo)
Hướng dẫn đặt hàng
A.1 Quy định chung
Các tiêu chuẩn đã đề cập đến các yêu cầu kỹ thuật cho những loại sản phẩm có liên quan, tuy nhiên, không thể bao quát tất cả những điều khoản cần phải có trong hợp đồng. Phụ lục này đưa ra các yêu cầu về các thông tin cần được người đặt hàng cung cấp khi có nhu cầu hoặc đặt hàng.
A.2 Thông tin do người đặt hàng cung cấp
Người đặt hàng cần cung cấp các thông tin sau đây khi có nhu cầu hoặc đặt hàng:
a) Số hiệu tiêu chuẩn này;
b) Loại sản phẩm yêu cầu, ví dụ cuộn (cho loại thép băng) hoặc độ dài (cho loại thép tấm);
c) Ký hiệu loại thép (xem 8.2, Bảng 1);
d) Ký hiệu loại lớp phủ (xem 8.3, Bảng 4);
e) Hoàn thiện bề mặt, kể cả biện pháp xử lý hoá học yêu cầu (xem Điều 5);
f) Số lượng (khối lượng, số tấm) và cách giao hàng (ngày tháng, lịch trình, địa điểm giao hàng);
g) Kích thước, kể cả chiều dày, chiều rộng và chiều dài và tham khảo TCVN 10353 (ISO 16163) để định dung sai tương ứng;
h) Khuyết tật cho phép;
CHÚ THÍCH:
1. Các khuyết tật như tách lớp, phân vùng hoặc bề mặt bị nứt không thể định lượng hoàn toàn đầy đủ được. Khi có khuyết tật với kích thước và tần suất được coi là nghiêm trọng, cần có sự thương lượng giữa người mua hàng và nhà sản xuất. Thương lượng này có thể có kết quả khi chấp nhận mẫu chuẩn. Khi có các khuyết tật mà sản phẩm vẫn được chấp nhận, nhà sản xuất cần chứng minh sự đáp ứng tốt nhất cho mục đích sử dụng.
2. Có thể mức độ hoặc số lượng khuyết tật cho phép trong một cuộn thép (đối với băng thép) thường là nhiều hơn trên các tấm cắt, bởi vì rất khó kiểm tra và không thể loại bỏ một phần của một cuộn thép, nếu như không thể phân thành các cuộn nhỏ.
i) Các yêu cầu thử, tần suất thử và phiếu xác nhận kết quả thử;
CHÚ THÍCH:
1. Phiếu chứng nhận do người cung cấp hàng đưa ra có thể được coi là bằng chứng về sự phù hợp của kết quả phân tích mẫu đúc.
2. Nếu người đặt hàng có yêu cầu thử nghiệm trọng tài hoặc thử nghiệm tiến hành bởi các cơ quan hữu trách độc lập để kiểm tra xác nhận sự hợp chuẩn theo tiêu chuẩn này, các yêu cầu đó phải được thỏa thuận khi đặt hàng.
j) Cần xem xét nếu người đặt hàng có ý định kiểm tra thép có lớp phủ ngay trong xưởng sản xuất;
CHÚ THÍCH: Thường ít khi có yêu cầu kiểm tra trong quá trình sản xuất, bởi vì người đặt hàng có thể từ chối các tấm hoặc băng thép đã sơn phủ nếu có các khuyết tật bộc lộ ra trong quá trình gia công tiếp theo.
Nếu người đặt hàng có ý định tiến hành một đánh giá nào đó nêu sau đây trong xưởng sản xuất, phải thông báo ngay khi đặt hàng và phải thực thi bằng cách nào đó để không gây ảnh hưởng đến hoạt động của nhà sản xuất:
+ Kiểm tra thép đã sơn phủ;
+ Lựa chọn và đánh dấu mẫu thử;
+ Thử nghiệm kiểm chứng.
k) Các yêu cầu đặc biệt hoặc bổ sung;
CHÚ THÍCH: Khi yêu cầu các băng thép, cần kiểm tra để đảm bảo rằng phương tiện của người đặt hàng có thể nâng bốc các cuộn thép đã đặt hàng. Nếu có hạn chế nào về khối lượng, đường kính bên trong hoặc bên ngoài của cuộn thép, phải được xác định rõ ngay khi đặt hàng.
Khi yêu cầu các băng thép cắt, một hạn chế nào đó về bao gói, ví dụ số lượng hoặc khối lượng các tấm cho một kiện hoặc loại vật liệu bao gói, phải được xác định rõ ngay khi đặt hàng.
l) Bất cứ một thông tin nào liên quan đến quá trình gia công hoặc sử dụng cuối cùng của sản phẩm mà người đặt hàng xem là có thể hỗ trợ cho nhà sản xuất. Chú ý rằng việc hàn các vật liệu có lớp phủ hợp kim nhôm-kẽm là không thực tế.
Phụ lục B
(Tham khảo)
Xác định chiều dày lớp phủ và tương quan chiều dày/khối lượng giữa thép nền và lớp phủ
B.1 Quy định chung
Phụ lục này đưa ra các nội dung sau:
a) Tính tổng chiều dày của thép có lớp phủ;
b) Chiều dày của thép nền; cách tính khối lượng tương đương của thép cộng với lớp phủ cho một đơn vị diện tích;
c) Chiều dày gần đúng của lớp phủ được xác định từ khối lượng lớp phủ cho các loại lớp phủ khác nhau.
B.2 Tính tổng chiều dày của thép có lớp phủ
Trên Hình B.1 vẽ biểu diễn một mẫu thép mạ phủ (loại lớp phủ AZ150), hình vuông, diện tích bề mặt là 1 mét vuông. Chiều dày lớp phủ tổng được tính như sau:
| Khối lượng lớp phủ thực | = khối lượng trên mặt A + khối lượng trên mặt B. |
|
| = 170 g/m2. |
| Chiều dày tổng gần đúng | = chiều dày kim loại nền danh nghĩa (0,42 mm), cộng với chiều dày hai mặt của lớp phủ, (0,025 mm + 0,025 mm) |
|
| = 0,42 mm + 0,05 mm = 0,47 mm. |

Hình B.1 - Hình vẽ mô tả kích thước, khối lượng thép có lớp phủ (lớp phủ loại 150 g/m2)
CHÚ THÍCH: Chiều dày kim loại nền là thông số cần phải có khi tính toán kết cấu, và khối lượng lớp phủ là cần thiết để đảm bảo độ bền ăn mòn của vật liệu. Chiều dày tổng của vật liệu phủ đảm bảo tấm kim loại thích hợp cho khe rộng của các máy gia công và là một chỉ tiêu gần đúng trong thực tế, phục vụ cho việc đặt hàng. Khi chiều dày hai mặt khác nhau (chiều dày lệch), ký hiệu A và B sẽ có các giá trị khác nhau.
B.3 Khối lượng trên một mét vuông thép cộng với lớp phủ
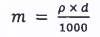
a) Tính khối lượng, m, của 1 mét vuông kim loại không có mạ với các chiều dày kim loại nền khác nhau theo công thức sau:
![]()
Trong đó p là tỷ trọng của thép, lấy là 7850 kg/m3
d là chiều dày của thép, mm
VÍ DỤ:
1) Đối với loại thép nền có chiều dày 0,30 mm, m = 7850 x 0,30/1000 = 2,355 kg;
2) Đối với loại thép nền có chiều dày 1,20 mm, m = 7850 x 1,20/1000 = 9,420 kg.
b) Thêm khối lượng lớp phủ gần đúng (lấy từ Bảng B.1) vào khối lượng tính được (m) của thép không mạ.
VÍ DỤ:
Với chiều dày thép nền là 1,20 mm, có lớp phủ ký hiệu AZ150, thì khối lượng 1 mét vuông sản phẩm là: 9,420 + 0,170 = 9,590 kg.
B.4 Chiều dày gần đúng của lớp phủ
Chiều dày lớp phủ không phải là tiêu chí dùng để phân loại. Các nhà thiết kế có thể tham khảo chiều dày gần đúng của lớp phủ (tổng hai mặt) quy theo khối lượng các loại lớp phủ khác nhau trong Bảng B.1.
Bảng B.1 - Chiều dày gần đúng của lớp phủ (tổng hai mặt) tính từ khối lượng lớp phủ
| Ký hiệu loại lớp phủ | Chiều dày gần đúng cả hai mặt của lớp phủ 1), mm |
| AZ70 | 0,026 |
| AZ90 | 0,033 |
| AZ100 | 0,037 |
| AZ120 | 0,044 |
| AZ150 | 0,054 |
| AZ165 | 0,062 |
| AZ185 | 0,069 |
| AZ200 | 0,074 |
| AM70 | 0,02 |
| AM90 | 0,03 |
| AM100 | 0,03 |
| AM125 | 0,04 |
| AM150 | 0,045 |
| AM175 | 0,05 |
| 1) Tổng chiều dày lớp phủ hai mặt dựa trên lớp phủ danh nghĩa. CHÚ THÍCH: 1. Thông thường các nhà sản xuất dùng nhiều hơn khối lượng lớp phủ danh nghĩa để đảm bảo rằng các yêu cầu của một điểm một mặt và một điểm được đáp ứng. Các số trong cột ‘khối lượng lớp phủ hai mặt’ thể hiện các khối lượng của lớp phủ này. 2. Các số trong cột ‘chiều dày gần đúng của lớp phủ, hai mặt’ được tính toán chiều dày tương ứng với khối lượng lớp phủ dự kiến. Người dùng có thể thêm các chiều dày này vào chiều dày thép nền để xác định tổng chiều dày được phủ. 3. Các tính toán cho các loại lớp phủ dựa trên tỷ trọng lớp phủ như sau: Loại ‘AZ’: 3680 kg/m3. Loại ‘AM’: 3622 kg/m3. Các tỷ trọng này cũng có thể được sử dụng để tính toán chiều dày trên mỗi bề mặt của các lớp phủ các mặt khác nhau. | |
Phụ lục C
(Tham khảo)
Hướng dẫn lựa chọn loại thép và loại lớp phủ
C.1 Đặc tính sản xuất
C.1.1 Cán là
Công đoạn cán nhẹ không gia nhiệt trong điều kiện bình thường hoặc cán nóng các tấm thép gọi là “cán là” và có thể sử dụng cho một trong các mục đích sau:
a) Để giảm thiểu tạm thời sự xuất hiện các tình trạng đã biết như ứng suất kéo căng (tạo ra các dải biến dạng) hoặc tạo rãnh trong quá trình sản xuất các chi tiết được gia công tinh;
b) Để hoàn thiện bề mặt theo yêu cầu sử dụng;
c) Để kiểm soát hình thái bề mặt.
Tuy nhiên, vật liệu qua công đoạn cán là (khác với loại không hoá già hoặc loại ổn định) hay bị hoá cứng do ứng suất kéo căng xảy ra ở nhiệt độ phòng hoặc nhanh hơn ở nhiệt độ cao, tương tự khi sấy sơn. Hoá cứng do ứng suất kéo căng gây ra những thay đổi sau:
i) Xuất hiện những chỗ bị căng ra và biến dạng, tức là xuất hiện các vết nhăn trên bề mặt thép do sức căng không đều trong giai đoạn đầu của biến dạng nguội.
ii) Giảm độ dẻo.
iii) Tăng giới hạn chảy.
Do bản chất của hiện tượng này, cần thiết phải hạn chế tối thiểu khoảng thời gian giữa gia công lần cuối trong máy cán và công đoạn gia công ép tạo hình.
C.1.2 Các dạng đặc biệt
Cần lưu ý đến các đặc tính sản xuất sau đây của các mác thép G550, G1, G2 và G3:
- G550: Thích hợp cho gia công gấp nếp hoặc tạo hình đơn giản. Các tấm thép đã gấp nếp không thích hợp cho uốn cong.
- G1: Được làm phẳng khi cán ở lực tải trung bình.
- G2: Bình thường không có nếp nhăn, nhưng có khi có, các tấm có chiều dày bằng hoặc nhỏ hơn 1,6 mm sẽ bị gập móc.
- G3: Cán phẳng để điều chỉnh sự nứt gãy khi cuộn; nhưng không loại trừ được nếp nhăn, và bị gập móc với mọi chiều dày.
C.2 Các loại lớp phủ
C.2.1 Các lớp phủ
Không thể khẳng định và ghi rõ tuổi thọ tuyệt đối của từng loại lớp phủ vì tuổi thọ của mỗi loại lớp phủ thay đổi theo mục đích sử dụng, môi trường tiếp xúc và lớp phủ. Ví dụ, đối với các phần máy đo nặng được kéo sâu hoặc hình thành trong đó lớp phủ bị biến dạng cùng với thép nền, độ dẻo của lớp phủ cũng có thể ảnh hưởng đến tuổi thọ của lớp phủ.
C.2.2 Các loại lớp phủ
C.2.2.1 Quy định chung
Các mô tả trong điều này (C.2.2) được cung cấp để hướng dẫn người dùng chọn loại lớp phủ phù hợp cho các ứng dụng cụ thể.
C.2.2.2 Lớp phủ hợp kim nhôm-kẽm (Loại AZ)
Lớp phủ hợp kim nhôm-kẽm tạo ra bảo vệ lớp phủ chắn rất tốt kết hợp với một số bảo vệ điện hóa. Khả năng chống ăn mòn rất cao trong hầu hết các môi trường so với các lớp phủ trước đó và độ bền thời gian dài đã được chứng minh. Ngoài ra, các lớp phủ này có khả năng chịu nhiệt độ cao và phản xạ nhiệt tốt.
Việc sử dụng chủ yếu của loại thép có lớp phủ này áp dụng trong cả các ứng dụng không sơn và được sơn như mái và vách. Các ứng dụng khác của thép có lớp phủ này là: bộ phận để thi công và xây dựng (lớp sơn, mái, vách ngăn, trần, cửa); phụ kiện phòng chống nước mưa; nội thất và tù ngoài trời; phụ tùng ô tô không được tiếp xúc; thiết bị (lò nướng, máy sưởi); ống dẫn và các vỏ máy tính.
C.2.2.3 Lớp phủ hợp kim nhôm-kẽm-magie (Loại AM)
Các lớp phủ hợp kim nhôm-kẽm-magie tạo ra bảo vệ lớp phủ chắn rất tốt kết hợp với bảo vệ điện hóa tốt hơn so với các lớp phủ AZ. Khả năng chống ăn mòn rất cao trong hầu hết các môi trường so với tất cả các lớp phủ trước đó. Ngoài ra, lớp phủ loại AM cũng cho thấy khả năng chịu nhiệt độ cao và phản xạ nhiệt tốt.
Việc sử dụng chủ yếu của loại thép có lớp phủ này áp dụng trong tấm lợp và vách ở cả hai dạng trần và sơn sẵn. Các ứng dụng khác của thép có lớp phủ này là: bộ phận để thi công và xây dựng (lớp sơn, mái, vách ngăn, trần, cửa); nội thất và tủ ngoài trời; phụ tùng ô tô không được tiếp xúc; thiết bị (lò nướng, máy sưởi); ống dẫn và các vỏ máy tính.
Thư mục tài liệu tham khảo
[1] ISO 9364:2017, Steel sheet, 55 % aluminium-zinc alloy-coated by the continuous hot-dip process, of commercial, drawing and structural qualities.
[2] AS 1397-2011, Continuous hot-dip metallic coated steel sheet and strip - Coatings of zinc and zinc alloyed with aluminium and magnesium.
Bạn chưa Đăng nhập thành viên.
Đây là tiện ích dành cho tài khoản thành viên. Vui lòng Đăng nhập để xem chi tiết. Nếu chưa có tài khoản, vui lòng Đăng ký tại đây!