- Tổng quan
- Nội dung
- Tiêu chuẩn liên quan
- Lược đồ
- Tải về
Tiêu chuẩn TCVN 12174:2017 Đánh giá khả năng ngắn hạn quá trình gia công trên máy cắt kim loại
| Số hiệu: | TCVN 12174:2017 | Loại văn bản: | Tiêu chuẩn Việt Nam |
| Cơ quan ban hành: | Bộ Khoa học và Công nghệ | Lĩnh vực: | Công nghiệp |
|
Ngày ban hành:
Ngày ban hành là ngày, tháng, năm văn bản được thông qua hoặc ký ban hành.
|
2017 |
Hiệu lực:
|
Đã biết
|
| Người ký: | Đang cập nhật |
Tình trạng hiệu lực:
Cho biết trạng thái hiệu lực của văn bản đang tra cứu: Chưa áp dụng, Còn hiệu lực, Hết hiệu lực, Hết hiệu lực 1 phần; Đã sửa đổi, Đính chính hay Không còn phù hợp,...
|
Đã biết
|
TÓM TẮT TIÊU CHUẨN VIỆT NAM TCVN 12174:2017
Nội dung tóm tắt đang được cập nhật, Quý khách vui lòng quay lại sau!
Tải tiêu chuẩn Việt Nam TCVN 12174:2017
TIÊU CHUẨN QUỐC GIA
TCVN 12174:2017
ISO 26303:2012
MÁY CÔNG CỤ - ĐÁNH GIÁ KHẢ NĂNG NGẮN HẠN CỦA CÁC QUÁ TRÌNH GIA CÔNG TRÊN MÁY CẮT KIM LOẠI
Machine tools - Short-term capability evaluation of machining processes on metal-cutting machine tools
Lời nói đầu
TCVN 12174:2017 hoàn toàn tương đương với ISO 26303:2012.
TCVN 12174:2017 do Ban kỹ thuật tiêu chuẩn quốc gia TCVN/TC39 Máy công cụ biên soạn, Tổng cục Tiêu chuẩn Đo lường Chất lượng đề nghị, Bộ Khoa học và Công nghệ công bố.
MÁY CÔNG CỤ - ĐÁNH GIÁ KHẢ NĂNG NGẮN HẠN CỦA CÁC QUÁ TRÌNH GIA CÔNG TRÊN MÁY CẮT KIM LOẠI
Machine tools - Short-term capability evaluation of machining processes on metal-cutting machine tools
1 Phạm vi áp dụng
Tiêu chuẩn này xác định các quy trình dùng cho nghiệm thu máy cắt kim loại dựa trên các phép kiểm khả năng của máy trong việc gia công một chi tiết gia công đã định (nghĩa là kiểm gián tiếp). Tiêu chuẩn này đưa ra các khuyến nghị đối với các điều kiện kiểm, các hệ thống đo áp dụng được và các yêu cầu cho các máy công cụ.
Tiêu chuẩn này phù hợp với TCVN 9944 (ISO 22514) (tất cả các phần) trong việc mô tả các phương pháp thống kê dùng cho quản lý quá trình và đề cập về ứng dụng cụ thể của các phương pháp này cho máy công cụ và việc gia công lô mẫu kiểm. Tiêu chuẩn này không bao gồm các phép kiểm chức năng của máy, chúng thường được thực hiện trước khi kiểm đặc tính độ chính xác, cũng như không bao gồm kiểm các điều kiện an toàn của máy.
Phụ lục A cung cấp thông tin bổ sung liên quan đến đánh giá thống kê, các Phụ lục B và C (quy định) đưa ra các biểu mẫu thỏa thuận và đánh giá dùng cho các phép kiểm khả năng ngắn hạn, còn Phụ lục D cung cấp ví dụ.
CHÚ THÍCH 1: Mục đích kiểm trực tiếp là để khảo sát các tính chất máy riêng lẻ, như độ chính xác hình học hoặc định vị. Đánh giá khả năng ngắn hạn nghĩa là để chứng minh rằng một máy có khả năng đáp ứng một nhiệm vụ gia công cụ thể. Do đó, điều quan trọng là công nhận rằng phép kiểm khả năng ngắn hạn chỉ được tập trung vào sản phẩm đã gia công. Điều này có nghĩa là các phương pháp kiểm trực tiếp thì thích hợp hơn đối với việc xác định các nguồn sai số của máy công cụ và đối với việc thu nhận các cải tiến về kết cấu của một máy công cụ mà được sử dụng trong một phạm vi sản xuất rộng; một phép kiểm khả năng ngắn hạn thì ít thích hợp hơn đối với việc phát hiện các nguồn sai số của máy công cụ. Do đó, mong muốn là việc đánh giá khả năng ngắn hạn cho nghiệm thu các máy cắt kim loại trong các quá trình gia công sẽ chủ yếu được tiến hành trên các máy chuyên dùng phụ thuộc vào chi tiết gia công, như các trạm gia công của các dây truyền tự động, với một thời gian chu kỳ xác định theo quá trình ít nhất là 10 min, sao cho ít nhất là 50 chi tiết gia công được chế tạo trong một ca do độ không đảm bảo thống kê tăng mạnh đối với một số lượng nhỏ. Về nguyên tắc, việc đánh giá khả năng ngắn hạn cũng có thể được thực hiện trên các máy vạn năng, như các trung tâm gia công sử dụng cho sản xuất lô lớn nếu chúng đáp ứng các yêu cầu về thống kê đề cập ở trên.
CHÚ THÍCH 2: Thuật ngữ “khả năng ngắn hạn” là một thuật ngữ được sử dụng rộng rãi trong ngành công nghiệp máy công cụ, tương ứng với thuật ngữ “đặc tính của quá trình” quy định trong TCVN 9944-3 (ISO 22514-3).
2 Tài liệu viện dẫn
Các tài liệu viện dẫn sau là cần thiết cho việc áp dụng tiêu chuẩn này. Đối với các tài liệu viện dẫn ghi năm công bố thì áp dụng bản được nêu. Đối với các tài liệu viện dẫn không ghi năm công bố thì áp dụng phiên bản mới nhất, bao gồm cả các sửa đổi (nếu có).
TCVN 9944-3:2013 (ISO 22514-3:2008), Phương pháp thống kê trong quản lý quá trình - Năng lực và hiệu năng - Phần 3: Nghiên cứu hiệu năng máy đối với dữ liệu đo được trên các bộ phận riêng rẽ;
TCVN 9944-4:2013 (ISO/TR 22514-4:2007), Phương pháp thống kê trong quản lý quá trình - Năng lực và hiệu năng - Phần 4: Ước lượng năng lực và đo lường hiệu năng quá trình;
ISO 4288, Geometrical product specifications (GPS) - Surface texture: Profile method - Rules and procedures for the assessment of surface texture (Đặc tính hình học của sản phẩm (GPS) - Cấu trúc bề mặt: Phương pháp profin - Quy tắc và quy trình dùng cho đánh giá cấu trúc bề mặt).
3 Thuật ngữ và định nghĩa
Tiêu chuẩn này áp dụng các thuật ngữ và định nghĩa sau.
3.1
Khả năng ngắn hạn (short-term capability)
Năng lực của một đơn vị gia công để tạo ra một chi tiết cho trước nằm trong giới hạn các dung sai quy định ở một mức tin cậy quy định, một khái niệm chủ yếu áp dụng cho sản xuất theo lô.
CHÚ THÍCH 1: Đơn vị gia công có thể là một máy công cụ đơn, một trục chính của máy công cụ nhiều trục chính, một trạm gia công của một dây truyền tự động, vv.
CHÚ THÍCH 2: Khả năng của quá trình được định nghĩa trong TCVN 9944-4:2013 (ISO/TR 22514-4:2007), 2.2.1, là: ước lượng thống kê của đầu ra của một đặc tính từ một quá trình đã được chứng minh là nằm trong trạng thái của kiểm soát thống kê và nó mô tả rằng năng lực của quá trình để thực hiện một đặc tính sẽ thỏa mãn các yêu cầu đối với đặc tính đó.
CHÚ THÍCH 3: Trong tiêu chuẩn này, các chỉ số khả năng ngắn hạn, Cs và Csk, được ước lượng với giả thiết phân bố chuẩn của giá trị đặc tính xem xét. Nếu giả thiết này không thỏa mãn thì các giá trị dải ngắn hạn RV,s và RV,sk sẽ được đánh giá thay cho các chỉ số khả năng.
CHÚ THÍCH 4: Tiêu chuẩn này tương thích và tuân theo các đặc tính kỹ thuật được thiết lập trong TCVN 9944 (ISO 22514) (tất cả các phần). Tuy nhiên, thuật ngữ “đặc tính của quá trình” quy định trong TCVN 9944-3 (ISO 22514-3) tương ứng với thuật ngữ “khả năng ngắn hạn” trong tiêu chuẩn này. Thuật ngữ “khả năng ngắn hạn” được sử dụng một cách rộng rãi trong lĩnh vực công nghiệp máy công cụ; do đó, quyết định giữ thuật ngữ này.
3.2
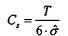
Chỉ số khả năng ngắn hạn, Cs (short-term capability index, Cs)
Tỉ số giữa bản thân dung sai quy định và độ lệch chuẩn của các giá trị đo xác định sự phân tán.
CHÚ THÍCH: Các giá trị đo cũng được biết đến là các giá trị đặc tính.
3.3
Chỉ số khả năng ngắn hạn tới hạn, Csk (critical short-term capability index, Csk)
Tỷ số giữa bản thân dung sai quy định và độ lệch chuẩn của các giá trị đo xác định sự phân tán có tính đến vị trí của giá trị trung bình.
CHÚ THÍCH 1: Nếu giá trị trung bình của các giá trị đo nằm ở tâm của vùng dung sai, thì được gọi là một phân bố trung tâm; nếu giá trị trung bình không nằm ở tâm của vùng dung sai, thì được gọi là một phân bố xê dịch, về mối quan hệ giữa các phân bố trung tâm và xê dịch, xem A.1.
CHÚ THÍCH 2: Các giá trị đo cũng được biết đến là các giá trị đặc tính.
3.4
Giá trị dải ngắn hạn, RV,s (short-term range value, RV,s)
Tỷ số giữa dải các giá trị đo và bản thân dung sai quy định.
3.5
Giá trị dải ngắn hạn tới hạn, RV,sk (critical short-term range value, RV,sk)
Tỷ số giữa dải các giá trị đo và bản thân dung sai quy định có tính đến vị trí của giá trị trung bình.
3.6
Biểu đồ kiểm soát (control chart)
Sơ đồ, với các giới hạn kiểm soát trên và dưới, trên đó các giá trị của một số đại lượng do về thống kê cho một loạt các mẫu, các mẫu có đỉnh nhọn và các khoảng trắng, được vẽ, thường theo thứ tự ngày tháng năm hoặc số mẫu.
[TCVN 6663-14:2000 (ISO 5667-14:1998), 3.10]
3.7
Biểu đồ kiểm soát (control chart)
Biểu đồ kiểm soát cá thể (control chart for individuals)
Biểu đồ kiểm soát định lượng dùng cho đánh giá mức quá trình theo các quan trắc riêng lẻ trong mẫu. (TCVN 8244-2:2010 (ISO 3534-2:2006), 2.3.15]
3.8
Giới hạn kiểm soát (control limit)
Đường trên một biểu đồ kiểm soát được sử dụng để xét đoán sự ổn định của một quá trình.
[TCVN 8244-2:2010 (ISO 3534-2:2006), 2.4.2]
3.9
Giới hạn dưới của đặc tính kỹ thuật (lower specification limit)
Giới hạn đặc tính kỹ thuật mà xác định giá trị nhỏ nhất một đặc tính chất lượng có thể có và được xem là vẫn phù hợp.
[TCVN 9944-1:2013 (ISO 22514-1:2009), 2.1.13]
3.10
Giới hạn trên của đặc tính kỹ thuật (upper specification limit)
Giới hạn đặc tính kỹ thuật mà xác định giá trị lớn nhất một đặc tính chất lượng có thể có và được xem là vẫn phù hợp.
[TCVN 9944-1:2013 (ISO 22514-1:2009), 2.1.12]
4 Ký hiệu
4.1 Chữ cái hoa
| C | Chỉ số khả năng |
| Ck | Chỉ số khả năng tới hạn |
| Cs | Chỉ số khả năng ngắn hạn (tương ứng với chỉ số đặc tính của máy Pm trong TCVN 9944-3:2013 (ISO 22514-3:2008)) |
| Cs,nom | Chỉ số khả năng ngắn hạn danh nghĩa |
| Csk | Chỉ số khả năng ngắn hạn tới hạn |
| Csk,nom | Chỉ số khả năng ngắn hạn tới hạn danh nghĩa |
| Cact | Chỉ số khả năng thực |
| Ki | Cấp/lớp thứ i (biểu đồ) |
| U | Độ không đảm bảo (của phép đo hoặc chỉ số khả năng) |
| UCL,si | Giới hạn kiểm soát trên đối với độ lệch chuẩn si |
| | Giới hạn kiểm soát trên đối với các giá trị trung bình |
| USL | Giới hạn trên của đặc tính kỹ thuật |
| R | Dải |
| RV,s | Giá trị dài ngắn hạn |
| RV,s,nom | Giá trị dài ngắn hạn danh nghĩa |
| RV,sk | Giá trị dài ngắn hạn tới hạn |
| RV,sk,nom | Giá trị dài ngắn hạn tới hạn danh nghĩa |
| T | Dung sai |
| Tmin | Dung sai sử dụng được nhỏ nhất dùng cho đánh giá khả năng |
| LCL,sj | Giới hạn kiểm soát dưới đối với độ lệch chuẩn sj |
| | Giới hạn kiểm soát dưới đối với các giá trị trung bình |
| LSL | Giới hạn dưới của đặc tính kỹ thuật |
4.2 Chữ cái thường
| e | Lượng dịch chuyển của giá trị trung bình |
| f | Tốc độ dẫn tiến |
| i | Chỉ số chạy đối với các phép đo |
| j | Chỉ số chạy đối với các nhóm phép đo |
| k | Chỉ số chạy đối với các phép đo nằm trong một nhóm |
| m | Số các nhóm của các chi tiết đối với các biểu đồ kiểm soát |
| n | Số các chi tiết được đánh giá |
| nmp | Số của các chi tiết được chế tạo |
| nK | Số các lớp (biểu đồ) |
| nmin | Giá trị nhỏ nhất của các chi tiết cần thiết |
| r | Độ phân giải của thiết bị đo |
| s | Ước lượng độ lệch chuẩn |
| | Độ lệch chuẩn trung bình của các mẫu (các nhóm) |
| | Độ lệch chuẩn mẫu của phân bố xê dịch |
| sg | Độ lệch chuẩn của hệ thống đo |
| sg,act | Độ lệch chuẩn thực của hệ thống đo |
| sj | Độ lệch chuẩn của mẫu thứ j (nhóm) |
| tm | Thời gian gia công |
| ttot | Tổng thời gian gia công |
| | Giá trị trung bình của tập hợp (của 50 phép đo) |
| | Giá trị trung bình của tập hợp với phân bố xê dịch |
| | Giá trị trung bình của nhóm nghĩa là xj |
| xi | Giá trị đo thứ i |
| xi,T | Giá trị đo thứ i (xu hướng đã hiệu chỉnh) |
| xu,k | Giới hạn lớp trên của lớp thứ k (biểu đồ) |
| | Trung bình của mẫu thứ j (nhóm) |
| xmax | Giá trị lớn nhất |
| xmin | Giá trị nhỏ nhất |
4.3 Chữ cái Hy lạp
| δXtot,T | Xu hướng tổng (liên quan đến tất cả các giá trị) |
| δXtot,W | Xu hướng tổng cho mỗi chi tiết gia công |
| δXtd | Xu hướng do trôi nhiệt |
| δXtd,w | Xu hướng do trôi nhiệt cho mỗi chi tiết gia công |
| δXtd,perm | Xu hướng chấp nhận được do trôi nhiệt cho mỗi chi tiết gia công |
| δXa | Xu hướng do mòn dụng cụ |
| δXa,exp | Xu hướng mong muốn do mòn dụng cụ |
| Δdu | Khoảng cách giữa giá trị lớn nhất và giới hạn trên của dung sai |
| Δdl | Khoảng cách giữa giá trị nhỏ nhất và giới hạn dưới của dung sai |
| Δdc | Khoảng cách tới hạn giữa các giá trị biên/cực hạn và các giới hạn dung sai |
| ΔXk | Bề rộng của lớp (biểu đồ) |
| ΔXK,k | Đường biên của lớp (biểu đồ) |
| ΔXc | Khoảng cách tới hạn của giá trị trung bình so với các giới hạn dung sai |
| ΔXu | Khoảng cách giữa giá trị trung bình và giới hạn trên của dung sai |
| ΔXl | Khoảng cách giữa giá trị trung bình và giới hạn dưới của dung sai |
| Δνamb | Gradient nhiệt độ môi trường |
| Δνamb,max | Gradient nhiệt độ môi trường lớn nhất |
| μP | Giá trị trung bình cho tập hợp |
|
| Nhiệt độ |
|
| Nhiệt độ môi trường lúc bắt đầu phép kiểm |
|
| Nhiệt độ lớn nhất |
|
| Nhiệt độ nhỏ nhất |
| σ | Độ lệch chuẩn của tập hợp |
|
| Ước lượng độ lệch chuẩn của tập hợp |
| τ | Hằng số thời gian nhiệt |
| Ψ | Tỷ số xê dịch đối với phân bố xê dịch |
5 Lưu ý ban đầu
Đánh giá khả năng ngắn hạn thuộc về cấp/loại của các phương pháp kiểm gián tiếp và, do đó, là một cách tiếp cận khác để kiểm nghiệm thu máy so với kiểm trực tiếp được xác định trong một số bộ tiêu chuẩn, như bộ TCVN 7011 (ISO 230).
Đặc trưng được đo phải được gia công trên chỉ một đơn vị gia công. Nếu cùng một đặc trưng được gia công trên các đơn vị gia công khác nhau nhưng tương tự nhau, phải thực hiện phân tích thống kê một cách tách biệt cho từng đơn vị gia công.
6 Quy trình dùng cho đánh giá khả năng ngắn hạn
6.1 Quy định chung
Quy trình cơ bản trong suốt một quá trình đánh giá khả năng ngắn hạn được thể hiện trên Hình 1. Nghiệm thu theo một đánh giá khả năng ngắn hạn chỉ được khuyến nghị cho các máy công cụ được sử dụng trong sản xuất theo lô lớn với thời gian chu trình gia công nhỏ hơn 10 min. Ngoài ra, khả năng ngắn hạn thích hợp (xem 6.6) của quá trình đo là một yêu cầu cần thiết để đo các chi tiết gia công.
CHÚ THÍCH: Trong một số trường hợp, các nghiên cứu bước đầu được thực hiện để chứng tỏ rằng người vận hành có thể tương tác một cách thành công với quá trình gia công và nghiên cứu khả năng quá trình tiếp theo sẽ thành công [31].
Trước khi khởi đầu phép kiểm và đánh giá quá trình, nhà cung cấp/nhà sản xuất và người sử dụng phải đạt được các thỏa thuận cần thiết liên quan đến kế hoạch kiểm, bao gồm các đặc trưng của chi tiết gia công sẽ được đo và phân tích, quy trình, các điều kiện kiểm và các giá trị đặc tính. Sau đây, tất cả các thỏa thuận được tham chiếu đến là giữa nhà cung cấp/nhà sản xuất và người sử dụng. Các đánh giá quá trình được bắt đầu bằng việc làm nóng máy. Việc điều chỉnh tiếp theo là để cho việc cài đặt quá trình gia công theo các dung sai yêu cầu (như ở giữa của vùng dung sai trong trường hợp đặc tính với các dung sai hai phía hoặc điểm 0 (zero) đối với một đặc tính giới hạn điểm 0). Tiếp theo, 50 chi tiết gia công được gia công theo loạt và được đo bằng một thiết bị đo thích hợp. Tiếp đó các phép đo đã đạt được được đánh giá bằng thống kê ở bước cuối cùng.
Nếu các chỉ số khả năng ngắn hạn hoặc các giá trị dải và, nếu áp dụng được, trôi do nhiệt vượt quá các dung sai quy định, thì phải điều tra các nguyên nhân. Đây có thể là, ví dụ như, các lỗi có thể được công nhận là các giá trị nằm ngoài trong biểu đồ kiểm soát cá thể (xem 6.7.3). Nếu có thể thực hiện được các cải tiến, chúng phải được thực hiện và các phép kiểm phải được lặp lại một phần hoặc toàn bộ.

Đây chỉ là khuyến nghị cho máy sản xuất theo lô lớn với thời gian chu trình <10 min.
Hình 1 - Quy trình cơ bản dùng cho đánh giá khả năng ngắn hạn
6.2 Các thỏa thuận
Trước khi tiến hành kiểm nghiệm thu thực tế, các thỏa thuận giữa nhà sản xuất/nhà cung cấp và người sử dụng là cần thiết để đảm bảo rằng:
a) máy và quá trình gia công áp dụng được đánh giá với ít các tác động cản trở nhất có thể,
b) các yêu cầu, không thể đáp ứng được do các hệ số tác động khác nhau và sự thu hẹp của dung sai gây ra bởi sự phân tích thống kê, không được đặt ra,
c) các thỏa thuận bằng hợp đồng giữa nhà sản xuất/nhà cung cấp và người sử dụng có thể được lập thành công thức, xác định phạm vi, quy trình và các hệ số đánh giá dùng cho nghiệm thu, và
d) các dung sai là đối tượng cho một đánh giá khả năng ngắn hạn được nhận biết có xét đến các chi phí liên đới.
Các thỏa thuận liên quan được liệt kê theo các biểu mẫu cho trong Phụ lục B; Phụ lục D cung cấp một ví dụ. Các điều kiện kiểm mà trong các điều kiện ấy máy được đánh giá phải được thương lượng giữa nhà sản xuất/nhà cung cấp và người sử dụng. Các điều kiện này, nằm trong số các điều kiện khác, bao gồm nhiệt độ môi trường và thay đổi cho phép của nó trong suốt thời gian kiểm. Các giới hạn phụ thuộc vào nhiệm vụ gia công, cũng như vị trí lắp máy trong xưởng gia công hoặc trong phòng có điều hòa nhiệt độ. Các giới hạn sau phải được sử dụng làm các giá trị mặc định đối với các nhiệm vụ gia công thông thường: nhiệt độ môi trường, tức là thay đổi nhiệt độ trong phạm vi ± 3 °C trong suốt thời gian kiểm; gradient nhiệt độ, tức là trong phạm vi tối đa +2 °C/h hoặc -2 °C/h.
Vì mục đích của phép kiểm nghiệm thu là để chứng tỏ khả năng ngắn hạn và không chứng tỏ khả năng dài hạn, nó bị tác động bởi các yếu tố bổ sung, một chất lượng đã định rõ và đồng đều của các phôi ngoại cỡ phải được đảm bảo. Thành phần và đặc tính của vật liệu phải không bị tác động bởi một thay đổi của lô. Một dung sai ngoại cỡ phải được thỏa thuận bởi nhà sản xuất/nhà cung cấp và người sử dụng để hạn chế các chênh lệch về biến dạng tĩnh do các phản lực (thành phần của lực cắt tổng vuông góc với mặt phẳng gia công) đối với các phôi ngoại cỡ khác nhau.
Việc gia công các phôi có thể có một tác động trực tiếp (ví dụ như các chênh lệch về kích thước gia công) và một tác động gián tiếp (ví dụ như các chênh lệch về độ phẳng của các mặt kẹp được gia công) đối với sự phân tán của các đặc trưng đó là kết quả của quá trình. Do đó, các dung sai cho gia công các phôi phải tương thích với khả năng ngắn hạn của quá trình yêu cầu. Ngoài ra, có thể cần thiết phải giới hạn thêm các dung sai của các phôi phụ thuộc vào quá trình và thứ tự gia công.
Năm mươi chi tiết gia công phải được chế tạo theo loạt. Tổng thời gian gia công không được vượt quá 8 h, dẫn đến thời gian gia công cho phép cho mỗi chi tiết gia công là 10 min. Trong một số trường hợp đặc biệt mà thời gian gia công cho mỗi chi tiết gia công dài hơn, số lượng chi tiết gia công thấp hơn có thể được thỏa thuận bởi nhà sản xuất/nhà cung cấp và người sử dụng: nhưng trong mọi trường hợp, số lượng chi tiết gia công không được nhỏ hơn 30. Nếu các chi tiết gia công với các thời gian chu trình nhỏ đang được gia công, thì tổng thời gian gia công 6 h đến 8 h và việc chế tạo nhiều hơn 50 chi tiết gia công được lấy mẫu từ tập hợp lớn hơn, dẫn đến tổng 50 phép do (cỡ mẫu được nhân với số lượng mẫu) có thể được thương lượng.
Hơn nữa, công nghệ chế tạo và quy trình làm nóng máy thích hợp phải được thỏa thuận bởi nhà sản xuất/nhà cung cấp và người sử dụng trước khi bắt đầu phép kiểm nghiệm thu, để đảm bảo rằng máy nằm trong trạng thái cân bằng nhiệt (xem 6.3 và 7.2).
Độ phân giải và độ không đảm bảo đo của thiết bị đo phải được tính đến. Khả năng ngắn hạn của thiết bị đo phải được kiểm tra xác nhận. Nói chung, cần điều tra thiết bị đo, bao gồm tác động của người thao tác, tại thời điểm đánh giá khả năng ngắn hạn (xem 6.6).
Vì là một lựa chọn thay thế cho các chỉ số khả năng ngắn hạn, Cs hoặc Csk, việc đánh giá các giá trị dải RV,s hoặc RV,sk, có thể được thỏa thuận bởi nhà sản xuất/nhà cung cấp và người sử dụng. Thông tin bổ sung về mối quan hệ giữa độ lệch chuẩn và các giá trị dài được cho trong A.2. Các giá trị dải chỉ tính đến các giá trị lớn nhất và nhỏ nhất và rất dễ ảnh hưởng tới các giá trị nằm ngoài trong tập hợp. Do đó, chúng không cung cấp đủ thông tin về thuộc tính quá trình nằm trong các giá trị cực hạn. Bởi vậy, nếu các giá trị dải được sử dụng, việc đánh giá quá trình bằng sử dụng biểu đồ kiểm soát cá thể, biểu đồ kiểm soát và một biểu đồ là đặc biệt quan trọng (xem 6.7).
CHÚ THÍCH: Định nghĩa các chỉ số khả năng ngắn hạn hoặc các giá trị dải là rất quan trọng về mặt kinh tế. Một mặt, sự phù hợp với các yêu cầu nghiêm ngặt có thể bảo đảm sự sản xuất đáng tin cậy. Mặt khác, điều này không nhất thiết có nghĩa là chi phí chế tạo có thể giảm xuống. Thông thường, cần có nhiều chi phí cao hơn để đạt được các chỉ số khả năng ngắn hạn lớn hơn hoặc các giá trị dải nhỏ hơn. Các chi phí như vậy là do việc bổ sung hoặc trang bị cho máy các bộ phận phụ (như các hệ thống đo trực tiếp, các thiết bị dò) và các mạch điều khiển phụ (như điều khiển đo, bù nhiệt) hoặc do việc thay đổi phương pháp gia công đắt tiền hơn (ví dụ từ tiện sang mài).
Các giá trị yêu cầu phải được quy định với các xem xét về khả năng kỹ thuật và tính khả thi về kinh tế. Trong chiều hướng này, không phù hợp để đặt các đường biên đồng đều cho tất cả các quá trình. Mối quan hệ trực tiếp giữa các chỉ số khả năng ngắn hạn và các đúng sai yêu cầu phải được đưa vào xem xét đặc biệt. Vì bằng chứng của khả năng ngắn hạn bảo đảm một cách tự nhiên một mức tin cậy thống kê liên quan đến quá trình gia công, các dung sai hiện tại thiết lập bởi người thiết kế cho các lý do an toàn nên được suy ngẫm lại. Theo các chỉ số khả năng ngắn hạn hiện tại, các giá trị ngưỡng cho trong Bảng 1 được khuyến nghị đối với đánh giá khả năng ngắn hạn. Trong các trường hợp riêng lẻ, có thể có thuận lợi để thực hiện các thỏa thuận khác.
Cơ sở cho khuyến nghị của các giới hạn là việc mà, đối với khả năng dài hạn với các hệ số ảnh hưởng tăng, cần đạt được một giá trị Cs ít nhất bằng 1,33 [41]. Tính toán các giá trị đặc tính được mô tả trong 6.7.
Đối với một số quá trình hoặc đặc trưng nào đó, có thể thích hợp cho nhà sản xuất/nhà cung cấp và người sử dụng không quan tâm đến giá trị Csk và chỉ thỏa thuận về giá trị Cs. Ví dụ, đây có thể là trường hợp nếu việc thiết lập của quá trình là rất phức tạp, nhưng về nguyên lý không khó giải quyết (xem 6.4) hoặc nếu các đặc trưng mà phụ thuộc lớn vào dụng cụ cắt được khảo sát, ví dụ đường kính trong khi khoan, khoét loe miệng và khoan mở rộng lỗ.
Bảng 1 - Các giá trị khuyến nghị cho các thông số khả năng quá trình ngắn hạn
| Quá trình/Đặc trưng | Cs | Csk | RV,s | RV,sk | Chú thích |
| Các quá trình hoặc đặc trưng bình thường | ≥1,67 | ≥1,67 | - | - | Ví dụ đường kính hoặc chiều dài trong các quá trình không được kiểm soát |
| Kiểm soát phép đo đang trong quá trình | - | - | ≤ 100 % | ≤ 100 % | Có thể sử dụng toàn bộ dung sai |
| Các giá trị độ nhám | - | - | nếu cần thiết ≤ 80 % | ≤ 80 % | Trong nhiều trường hợp, chỉ có một giới hạn trên; do đó, chỉ quy định RV,sk |
| Dung sai giới hạn một phía | - | ≥1,67 | - | ≤ 60 % | Nhà sản xuất/nhà cung cấp và người sử dụng phải thỏa thuận về hai giá trị đặc tính được sử dụng để nghiệm thu. |
| Các quá trình hoặc đặc trưng đặc biệt khác (ví dụ kiểm soát phép đo) | ≥1,67 | ≥1,67 | ≤ 60 % | ≤ 60 % | Nhà sản xuất/nhà cung cấp và người sử dụng phải thỏa thuận về các giá trị, tức là Cs và Csk hoặc RV,s và RV,sk, là các giá trị liên quan cho nghiệm thu. |
Bất kỳ khi nào áp dụng một điều khiển phép đo đang trong quá trình, các giới hạn tác động thỏa thuận cho thuật toán điều khiển phải được xác định. Các giới hạn này có, ví dụ như, một lề biên an toàn 10 % đến 20 % hướng về phía các giới hạn dung sai. Trong trường hợp này, khả năng ngắn hạn được chứng minh nếu tất cả các giá trị nằm trong các giới hạn dung sai.
Các giá trị độ nhám thường rất không bị phân tán. Do đó, chúng dẫn đến một mức tin cậy cao ngược lại với sự vượt quá một giới hạn. Trong các trường hợp như vậy, cần giữ đủ một lề biên an toàn 10 % của dung sai hướng về giới hạn dung sai. Do tác động mạnh của vị trí của vùng đo trên bề mặt của chi tiết gia công đối với giá trị độ nhám, nên thực hiện các phép đo lặp đi lặp lại ở các vùng khác nhau trên một số chi tiết gia công và, nếu cần thiết, tính trung bình của các giá trị đo được.
Các đặc trưng có dung sai một phía phải được đánh giá chỉ bằng các thông số tới hạn của chúng. Quy định Csk hay RV,sk liên quan đến nghiệm thu phải theo thỏa thuận giữa nhà sản xuất/nhà cung cấp và người sử dụng.
Đối với các quá trình và các đặc trưng đặc biệt khác, câu hỏi về sự liên quan của các giá trị đặc tính phải được thỏa thuận bởi nhà sản xuất/nhà cung cấp và người sử dụng đối với từng trường hợp riêng lẻ. Ví dụ, trong trường hợp các máy có nhiều trục chính gia công vài chi tiết gia công cùng lúc hoặc nếu sử dụng vài bộ gá kẹp giống hệt nhau, sẽ hữu dụng khi sử dụng một giá trị Cs mà được tính toán bằng sử dụng giá trị ước lượng độ lệch chuẩn [xem công thức (6)]. Số lượng các giá trị mỗi trục chính hoặc thiết bị phải là một bội số nguyên của số lượng các giá trị mỗi nhóm nhằm tránh sự trộn lẫn các kết quả của các trục chính hoặc các bộ gá kẹp riêng lẻ. Quy trình này tương tự để đánh giá một cách tách biệt các chi tiết gia công của từng trục chính hoặc từng bộ gá kẹp. Ngoài ra, giá trị dải Rv,s, tính được từ tất cả các chi tiết gia công, phải nằm trong các giới hạn để đảm bảo rằng tất cả các chi tiết nằm trong giới hạn dung sai. Nếu hai điều kiện này không đáp ứng, từng trục chính hoặc bộ gá kẹp phải được khảo sát một cách riêng lẻ đối với các nguyên nhân và các lý do tương ứng. Phụ thuộc vào số lượng của các bộ gá kẹp được khảo sát và tải làm việc đối với việc chế tạo một chi tiết gia công có thể hữu ích khi thực hiện một chạy điều chỉnh với hai đến ba chi tiết gia công cho mỗi bộ gá kẹp để xác định độ phân tán và chỉnh đặt bề mặt tiếp xúc chi tiết gia công. Khi đó các chi tiết gia công làm mẫu dự định cho đánh giá có thể được lấy từ một bộ gá kẹp.
Xu hướng chấp nhận được tối đa do trôi nhiệt phụ thuộc vào phương pháp gia công, cỡ kích thước máy và các điều kiện sản xuất và môi trường xung quanh. Trong suốt giai đoạn làm nóng máy một xu hướng do trôi nhiệt lên đến 40 μm/h có thể được mong đợi [36]. Theo như mô tả trong 6.3, xu hướng này thường ít quan trọng hơn đối với các máy đang kiểm khả năng ngắn hạn. Do đó, nó chỉ được thỏa thuận bởi nhà sản xuất/nhà cung cấp và người sử dụng dựa trên liên quan đối với việc nghiệm thu trong các trường hợp riêng lẻ.
6.3 Làm nóng máy
Một quy trình làm nóng cần được lên kế hoạch cho phép kiểm khả năng ngắn hạn để đảm bảo rằng máy đang được vận hành trong trạng thái cân bằng nhiệt. Tuy nhiên, nếu xu hướng do trôi nhiệt là đặc biệt quan trọng đối với người sử dụng hoặc thời gian làm nóng máy không thể kéo dài cho đến khi máy ở trạng thái cân bằng nhiệt, xu hướng chấp nhận được phải được thỏa thuận giữa nhà sản xuất/nhà cung cấp và người sử dụng trước khi thực hiện phép kiểm và cũng được xem xét trong khi phân tích.
Đối với các lô nhỏ, biến dạng nhiệt đàn hồi do việc sản xuất bị lẫn lộn hoặc bị gián đoạn là quan trọng hơn đối với thuộc tính nhiệt của máy. Thuộc tính này có thể được đánh giá bằng sử dụng các phương pháp kiểm khác, như các phép kiểm nhiệt trực tiếp (ví dụ theo TCVN 7011-3 (ISO 230-3)) hoặc một phép kiểm gia công thích hợp.
6.4 Điều chỉnh
Chạy máy điều chỉnh phục vụ cho mục đích điều chỉnh quá trình đến giá trị mục tiêu (hoặc giá trị ưu tiên hoặc chuẩn) của một đặc tính. Một giá trị mục tiêu có thể bằng với giá trị trung tâm của vùng dung sai đối với các đặc trưng có dung sai hai phía hoặc bằng 0 đối với các đặc trưng giới hạn điểm 0. A.3 thể hiện các ảnh hưởng của việc chỉnh đặt đối với dung sai còn lại. Nếu giá trị trung bình không nằm ở trung tâm của vùng dung sai, vùng còn lại có thể được sử dụng bởi việc sản xuất bị giới hạn. Điều này có nghĩa là, ví dụ như, đối với một dịch chuyển của giá trị trung bình bởi một phần tư của dung sai và một yêu cầu Csk bằng 1,67, vùng 6s còn lại (xấp xỉ dải chấp nhận được tối đa) chỉ bằng 30 % dung sai.
Cách điều chỉnh chính xác cho quá trình nên có dạng một giá trị đặt trước, trong số các yếu tố khác, phụ thuộc vào cách gia công yêu cầu và tầm quan trọng của vị trí giá trị trung bình thay đổi cho từng trường hợp riêng lẻ. Ví dụ như, có thể mong muốn là việc giữ giá trị trung bình nằm ở trung tâm của vùng dung sai thì cần nhiều thời gian, nhưng về nguyên tắc, có khả năng là không có bất kỳ vấn đề gì. Trong trường hợp như vậy, có thể hữu ích khi thiết lập quá trình sao cho giá trị trung bình chỉ xấp xỉ nằm ở giữa tâm của vùng dung sai, và chỉ thỏa thuận về chỉ số khả năng ngắn hạn, Cs, hoặc giá trị dải, RV,s, làm tiêu chí nghiệm thu.
Phôi phải được cung cấp với chất lượng theo yêu cầu và phải đạt được nhiệt độ nhà xưởng môi trường xung quanh. Không được sử dụng các dụng cụ cắt không có lớp phủ mới tinh do chúng là đối tượng bị mài mòn ban đầu cao. Bên cạnh hậu quả đối với các kích thước của chi tiết gia công, mòn ban đầu cao như vậy làm tăng đáng kể lực cắt. Đối với lý do này, nếu một dụng cụ cắt không có lớp phủ mới tinh đang được sử dụng, phải thực hiện một số chạy cắt thử trước khi chạy điều chỉnh.
Nếu đánh giá xu hướng do trôi nhiệt thì cũng phải xác định xu hướng do mòn dụng cụ. Việc này có thể được xác định trước dựa trên kinh nghiệm có trước trong các điều kiện cắt gọt tương tự hoặc có thể được đo bằng một kính hiển vi hoặc dụng cụ đầu đo tiếp xúc. Như một quy tắc, giả thiết mòn dụng cụ là tuyến tính và đo dụng cụ trước và sau phép kiểm nghiệm thu là đủ, do dụng cụ không được dùng khi mới tinh. Nếu đã biết tuổi thọ của dụng cụ lớn hơn nhiều so với thời gian gia công khi sử dụng các thông số chế tạo đã áp dụng trong suốt phép kiểm nghiệm thu, việc đánh giá mòn dụng cụ có thể được bỏ qua.
6.5 Chế tạo
Chi tiết gia công phải được chế tạo theo trình tự và không có sự gián đoạn. Do bất kỳ thay đổi nào trong phương pháp và khoảng thời gian gia công sẽ ảnh hưởng đến quá trình và do đó làm vênh thuộc tính của quá trình thực, việc gia công các chi tiết gia công phải là một quá trình liên tục. Các nhiễu động trong quá trình gia công, như rung của nền (cửa), biến đổi nhiệt độ và các rung trên máy công cụ, có thể được ghi lại để thuận tiện cho việc diễn giải các dữ liệu phép đo tại thời điểm sau đó và, nếu cần thiết, để khởi đầu một phép kiểm mới.
Nếu điều khiển phép đo hoặc bù xu hướng là một bộ phận của máy công cụ, chúng phải được bao gồm trong phép kiểm khả năng ngắn hạn, tức là, máy không được kiểm mà không có phần điều khiển. Trong quá trình đánh giá, hàm phân bố đã thay đổi của các đặc trưng phải được tính đến theo một cách sao cho các giá trị dải phải được tính toán thay cho các chỉ số khả năng ngắn hạn.
6.6 Đo lường
Theo các dung sai của đặc trưng, các yêu cầu phải được thiết lập cho thiết bị đo, địa điểm đo (phòng có điều hòa nhiệt độ dùng để đo, khu vực chế tạo) và phương pháp đo. Các phép đo có thể chỉ được thực hiện bởi người đã được đào tạo. Nhiệt độ của thiết bị đo và chi tiết gia công không được chênh khác so với nhiệt độ môi trường xung quanh vị trí đo.
Bất kể khi nào các dung sai hình dạng đang được kiểm tra, phải xem xét chất lượng bề mặt của các mẫu kiểm, do có một nguy cơ của việc diễn giải sai độ nhám là các sai số hình dạng.
Thiết bị đo phải có một độ phân giải cao tương xứng. Khuyến nghị phù hợp với điều kiện sau: độ phân giải ≤ 0,03 T, trong đó T là dung sai của đặc trưng được kiểm.
Sự thích hợp của thiết bị đo áp dụng cho việc đánh giá khả năng ngắn hạn phải được chứng tỏ bằng một đánh giá khả năng ngắn hạn của hệ thống đo. Việc này được thực hiện bằng đo một chuẩn đo 50 lần dưới các điều kiện không đổi và tính toán tiếp độ lệch chuẩn của dụng cụ đo sg. Chuẩn đo có thể là một chi tiết gia công mẫu. Nếu không có sẵn chi tiết gia công mẫu có độ chính xác phù hợp thì có thể sử dụng một chi tiết gia công lấy từ sản xuất bình thường. Các phép đo để xác định sg phải được thực hiện dưới các điều kiện không đổi và có thể lặp lại. Độ lệch chuẩn của thiết bị đo phải phù hợp với yêu cầu sau:
6 · sg ≤ 0,15 · T
hoặc sg ≤ 2,5 % của T, trong đó T là dung sai của đặc trưng được kiểm.
Phù hợp với yêu cầu này có nghĩa là sự làm giảm giá trị của chỉ số khả năng ngắn hạn gây ra do độ lệch chuẩn của thiết bị đo là đủ nhỏ (nhỏ hơn 1,1 % đối với Cs = 1,00 và nhỏ hơn 4,2 % đối với Cs = 2,00) và do đó có thể không chú ý đến. Nếu yêu cầu này không được thỏa mãn, thì thiết bị đo có thể không được sử dụng cho phép kiểm khả năng ngắn hạn do các kết quả có thể bị sai lệch (xem A.4). Việc giảm độ lệch chuẩn liên đối với quá trình bởi lượng độ lệch chuẩn liên đối với thiết bị đo không là một phương pháp thích hợp dùng để hiệu chỉnh kết quả vì nó làm tăng mạnh độ không đảm bảo thống kê.
Nếu đánh giá các giá trị tới hạn, thì độ không đảm bảo đo, U (hệ số phủ k = 2) phải nhỏ hơn hoặc bằng 10 % dung sai.
6.7 Tính toán và phân tích
6.7.1 Quy định chung
Việc phân tích thống kê của một đánh khả năng ngắn hạn không những bao gồm việc tính toán các chỉ số khả năng ngắn hạn, mà còn phải phân tích quá trình liên quan đến xu hướng, các giá trị nằm ngoài, độ ổn định, các tình huống quá trình đặc biệt và sự phù hợp với phân bố chuẩn (đối với các giá trị Cs và Csk). Phần mềm thống kê thương mại có sẵn cung cấp các khả năng hiển thị đồ họa [ví dụ các biểu đồ kiểm soát cá thể (xem TCVN 7076 (ISO 8258)), các biểu đồ và các đồ thị xác suất] và tính toán các thông số thống kê thích hợp có thể trợ giúp lớn. Trình tự tính toán dùng cho việc phân tích được cho trong các biểu mẫu ở Phụ lục C. Quy trình được minh chứng bằng ví dụ trong Phụ lục D.
Các bước chính gồm có cả phân tích được thể hiện trên Hình 2. Việc kiểm tra xác nhận khả năng ngắn hạn của hệ thống đo là điều kiện tiên quyết cho việc đánh giá hữu ích khả năng ngắn hạn.
Dựa trên sự hiểu biết của quá trình và bằng một biểu đồ kiểm soát cá thể, sẽ thực hiện quyết định về việc một quá trình hoặc đặc trưng đặc biệt có là đối tượng để đánh giá hay không. Điều này bao phủ, ví dụ như, sự bao gồm một điều khiển đo, các dụng cụ không điều chỉnh được, các máy nhiều trục chính hoặc các giá trị độ nhám. Nếu nó là một quá trình đặc biệt hoặc một đặc trưng đặc biệt, thì không cần hiệu chỉnh xu hướng như mô tả trong 6.7.2.
6.7.2 Hiệu chỉnh xu hướng
Một biểu đồ kiểm soát cá thể được sử dụng để đánh giá xu hướng tổng, δXtot,T của các dữ liệu phép đo. Áp dụng sự hiểu biết của xu hướng do mòn dụng cụ, δXa (đã biết hoặc đã đo trong các quá trình tương tự), xu hướng do trôi nhiệt, δXtd, có thể được tính theo công thức (1), nếu không xuất hiện các tác động đặc biệt:
δXtd = δXtot,T - δXa (1)
Do các chỉ số khả năng ngắn hạn luôn được tính bằng sử dụng một ước lượng độ lệch chuẩn, [xem các công thức (14) và (15)], một xu hướng nhỏ do sự hình thành nhóm trong khi tính toán độ lệch chuẩn phải được loại bỏ. Tuy thế, không thể loại trừ một thứ mà, do xu hướng, giá trị trung bình có thể vượt quá giới hạn kiểm soát chấp nhận được, trong trường hợp nghi ngờ, có thể thực hiện một hiệu chỉnh xu hướng. Nếu một xu hướng mạnh đang tồn tại, có thể thực hiện một hiệu chỉnh xu hướng để đánh giá xu hướng và sự phân tán của các đặc trưng đo được liên đới với quá trình một cách tách biệt nhau. Dữ liệu phép đo được hiệu chỉnh bằng sử dụng các công thức (2) và (3):
xi,T = xi - (i-1)·δXtot,w (2)
trong đó
| xi,T | là đại lượng đo đã hiệu chỉnh xu hướng thứ i |
| xi | là đại lượng đo thứ I (chưa hiệu chỉnh xu hướng) |
| δXtot,w | là xu hướng tổng đối với mỗi chi tiết gia công |
Nếu thực hiện hiệu chỉnh xu hướng, thì các tính toán tiếp đó phải được thực hiện bằng sử dụng các dữ liệu đã hiệu chỉnh xu hướng. Dải, R, giá trị trung bình, , và một giá trị ước lượng cho độ lệch chuẩn
, (thông qua nhóm phép đo gấp năm lần) phải được tính theo các công thức (4) đến (7):
Dải:
| R = xmax - xmin | (4) |
Giá trị trung bình:
| | (5) |
Độ lệch chuẩn ước lượng:
| | (6) |
Trong đó
| | (7) |
CHÚ THÍCH: Hằng số 0,94 trong công thức (6) là cho nhóm năm; hằng số trong công thức (6) trở thành 0,89 cho nhóm ba.

Hình 2 - Sơ đồ đánh giá
6.7.3 Quản lý giá trị nằm ngoài
Sự tồn tại của các giá trị nằm ngoài trong số các phép đo của 50 chi tiết gia công phải được kiểm.
Phép kiểm giá trị nằm ngoài được mô tả trong TCVN 6910-2 (ISO 5725-2) và các tài liệu tham khảo khác làm cơ sở, giả thiết phân bố chuẩn Gauss; do đó, nó chỉ được áp dụng cho các giá trị đo có phân bố chuẩn liên đới với các quá trình hoặc các đặc trưng [20][24][38]. Nếu các công thức (8) và (9) được thỏa mãn, xmax và/hoặc xmin phải là các giá trị nằm ngoài (mức tin cậy: 99 %; cỡ mẫu: 50):
| | (8) |
| | (9) |
Nếu có mặt một giá trị nằm ngoài, phải thực hiện một phép kiểm giá trị nằm ngoài mới mà không có giá trị này. Trong trường hợp có hai hoặc nhiều hơn các giá trị nằm ngoài, phải tìm kiếm lý do và phép kiểm khả năng ngắn hạn phải được lặp lại khi quá trình rõ ràng không nằm trong sự kiểm soát. Nếu chỉ tìm thấy một giá trị nằm ngoài, có thể thực hiện một quyết định về việc có tiếp tục với các tính toán mà không có giá trị này hay là lặp lại toàn bộ phép kiểm khả năng ngắn hạn.
6.7.4 Độ ổn định của quá trình
Độ ổn định của quá trình phải được kiểm tra như sau:
Phải vẽ một biểu đồ để có một biểu diễn trực quan sự phân bố của các giá trị đo. Với 50 giá trị, khuyến nghị phân thành bảy nhóm.
Độ ổn định của quá trình được đánh giá bằng sử dụng một biểu đồ kiểm soát - s. Nếu các giá trị trung bình và các độ lệch chuẩn của các nhóm nằm trong các giới hạn kiểm soát (UCL và LCL), tức là các điều kiện mô tả trong các công thức (10) đến (13) được thỏa mãn bởi toàn bộ 10 nhóm (j = 1 đến 10), quá trình phải được xem xét là ổn định (mức tin cậy: 1 - α = 99 %; cỡ mẫu n = 5):
| | (10) |
| | (11) |
| | (12) |
| | (13) |
Trong đó
là giá trị trung bình theo công thức (5);
là độ lệch chuẩn theo công thức (6).
Nếu các giới hạn kiểm soát bị vượt quá, thì phải điều tra nguyên nhân và phải lặp lại phép kiểm. Nếu sự không ổn định không thể khắc phục được, thì việc tính toán các chỉ số khả năng ngắn hạn là không được phép. Trong trường hợp này, trên cơ sở thỏa thuận giữa nhà sản xuất/nhà cung cấp và người sử dụng, chỉ các giá trị dải mới có thể được sử dụng làm tiêu chí nghiệm thu.
6.7.5 Tính toán các chỉ số
6.7.5.1 Quy định chung
Các giá trị đặc tính mà được thỏa thuận bởi nhà sản xuất/nhà cung cấp và người sử dụng trước khi kiểm nghiệm thu phải được tính toán. Các khuyến nghị được cho trong Bảng 1 (xem 6.2) và trong các tờ/biểu mẫu thỏa thuận (xem Phụ lục B). Các giá trị này được cho bởi các công thức (14) đến (18):
Chỉ số khả năng ngắn hạn:
| | (14) |
Chỉ số khả năng ngắn hạn tới hạn:
| | (15) |
Giá trị dải:
| | (16) |
Hoặc
tính theo phần trăm;
Giá trị dải tới hạn:
| | (17) |
Hoặc
tính theo phần trăm:
(nếu theo thỏa thuận) xu hướng do trôi nhiệt:
| δXtd = δXtot,T - δXa | (18) |
trong đó
| T | là dung sai của đặc trưng được kiểm; |
|
| là độ lệch chuẩn theo công thức (6); |
|
| là giá trị trung bình của tập hợp và n là số lượng phép đo, thường n = 50; |
| USL | là giới hạn trên của đặc tính kỹ thuật; |
| LSL | là giới hạn dưới của đặc tính kỹ thuật; |
| δXtot,T | là xu hướng do trôi nhiệt theo 6.7.2; |
| δXa | là xu hướng do mòn dụng cụ theo 6.7.2. |
6.7.5.2 Các đặc trưng bị giới hạn một phía
Đối với các đặc trưng bị giới hạn một phía, các chỉ số khả năng ngắn hạn và các giá trị dài được tính toán bằng việc xem xét các giá trị trung bình và các giới hạn dưới của dung sai hoặc trên. Việc tính toán các giá trị tới hạn tương tự như quy trình áp dụng trong trường hợp các đặc trưng bị giới hạn hai phía. Phải phân biệt các trường hợp sau:
a) bị giới hạn hướng về giới hạn trên:
| | (19) |
| | (20) |
b) bị giới hạn hướng về giới hạn dưới:
| | (21) |
| | (22) |
6.7.5.3 Các giá trị độ nhám bề mặt
Đối với các giá trị độ nhám bề mặt, khi áp dụng quy tắc 16 % phù hợp với ISO 4288, phải thực hiện ít nhất hai phép đo độ nhám cho mỗi chi tiết gia công. Nếu bất kỳ giá trị nào nằm ngoài dung sai trên hoặc dưới, lên đến 16 % của các giá trị đo (tức là, 8 giá trị đo đối với một tập hợp của 50) thì có thể không được để ý đến; việc đánh giá giá trị dải ngắn hạn (hoặc chỉ số khả năng ngắn hạn) phải được đánh giá cùng với các giá trị độ nhám còn lại.
Đối với các giá trị độ nhám, khuyến nghị nên dùng giá trị dải ngắn hạn.
7 Yếu tố ảnh hưởng đến việc đánh giá khả năng ngắn hạn
7.1 Quy định chung
Các vấn đề chi phối đối với việc đánh giá khả năng ngắn hạn của một quá trình gia công trên một máy cắt kim loại là các yếu tố ảnh hưởng bên ngoài khác nhau, chúng làm tăng độ không đảm bảo gia công mà không cho phép nhà sản xuất máy công cụ có bất cứ hình thức tác động trực tiếp nào, ngay cả khi độ chắc chắn của thuộc tính máy chịu ảnh hưởng của các tác động khác nhau có thể được hiểu là một tiêu chí chất lượng. Bảng 2 cung cấp một danh sách các yếu tố có liên quan nhất, chúng được mô tả chi tiết trong 7.2 đến 7.4.
Ngoài các ảnh hưởng môi trường xung quanh, như thay đổi nhiệt độ nhà xưởng, các thông số của quá trình và mòn dụng cụ cắt ảnh hưởng trực tiếp đến độ chính xác làm việc. Các độ lệch đo bổ sung có thể được mong đợi do độ võng gây ra bởi sự tăng lực cắt do bị mòn dụng cụ. Các thay đổi về kích thước của các phôi và việc kẹp các phôi không phù hợp cũng có ảnh hưởng tiêu cực đối với độ chính xác làm việc.
7.2 Ảnh hưởng nhiệt
Độ chính xác làm việc của một máy công cụ phụ thuộc vào các đặc tính hình học, tĩnh, động và nhiệt của máy. Khả năng ngắn hạn của máy phải luôn được xem xét có liên quan đến các tải trọng quá trình, chúng được xác định bởi các thông số quá trình, và các yêu cầu liên quan đến dung sai và thời gian của quá trình.
Các nguồn nhiệt bên trong và bên ngoài và nhiệt quá trình gia công trong vùng cắt gọt dẫn đến biến dạng đàn hồi nhiệt tại điểm gia công. Độ lớn của các biến dạng này phụ thuộc vào các thông số của quá trình, các điều kiện của quá trình (khô hoặc được bôi trơn) và trạng thái nhiệt của máy (giai đoạn làm nóng hoặc giai đoạn vận hành trong trạng thái cân bằng nhiệt).
Chuyển vị do nhiệt là một hàm số của thời gian, t, trong giai đoạn làm nóng có thể lấy xấp xỉ bằng một hàm số mũ được biểu diễn trong công thức (23):
| | (23) |
Theo kiểu loại và cỡ, các hằng số thời gian nhiệt cho các máy cắt kim loại nằm trong dải từ 20 min đến 6 h, đối với các chuyển vị tối đa Δxmax bằng vài micromét đến 100 μm. Nếu phép kiểm nghiệm thu được tiến hành trong giai đoạn cân bằng nhiệt, tùy thuộc vào máy, mong muốn khoảng thời gian làm nóng máy phải từ 40 min đến 12 h nhằm đảm bảo rằng chuyển vị của máy đạt được 85 % lượng chuyển vị tối đa. Nếu không, mong muốn một xu hướng do trôi nhiệt nằm giữa 5 μm và 40 μm trong suốt giai đoạn làm nóng máy.
Các máy công cụ thuộc tiêu chuẩn này thường được áp dụng cho sản xuất lô lớn. Trong trường hợp vận hành ba ca, các máy nằm trong trạng thái cân bằng nhiệt và trôi nhiệt trong giai đoạn làm nóng máy chỉ biểu hiện khi tần số điều chỉnh tăng tại thời điểm bắt đầu của tuần, nó có thể được kiểm soát bằng sử dụng các phương pháp kiểm soát quá trình theo thống kê. Về khía cạnh này, trôi nhiệt trong giai đoạn làm nóng thì ít quan trọng hơn đối với một nghiên cứu khả năng ngắn hạn.
CHÚ THÍCH: Các nghiên cứu có hệ thống liên quan đến ảnh hưởng của các điều kiện nhiệt môi trường xung quanh đối với độ chính xác gia công của máy cắt kim loại chỉ ra các chuyển vị tại điểm cắt gọt nằm giữa 0,5 μm/°C và 8 μm/°C do thay đổi nhiệt độ môi trường xung quanh. Mong muốn thời gian trễ, tức là thời gian giữa thay đổi nhiệt độ và kết quả chuyển vị bằng 0,5 h đến 5 h.
Bảng 2 - Các yếu tố ảnh hưởng đến việc đánh giá khả năng ngắn hạn
| Các yếu tố tác động đến độ chính xác của chi tiết gia công | |||||
| Quá trình - đặc trưng/dung sai - các thông số của quá trình - các lực cắt - gia công có bôi trơn/khô - mòn dụng cụ - lẹo dao - độ chính xác hình học của dụng cụ - bù dụng cụ sau khi thay, v.v. | Máy công cụ - sự phù hợp tĩnh và động - trôi nhiệt - đặc tính độ chính xác của hệ thống định vị các trục - khe hở ổ trục - độ ì trễ và khoảng chạy không - bảo trì - lắp đặt/nền móng - hàm truyền của các bộ dẫn động dãn tiến, v.v | Người vận hành - trình độ chuyên môn - đào tạo - động lực - tâm trạng - các điều kiện làm việc và môi trường - luồng thông tin, v.v | Môi trường - rung động do gần máy - biến đổi nhiệt độ - nhiệt độ môi trường xung quanh ≠ 20 °C - các nguồn nhiệt bên ngoài hoặc các bộ tản nhiệt, v.v | Vật liệu chi tiết gia công - thành phần - xử lý nhiệt - các ứng suất dư - kích thước và bề mặt của các phôi - gia công trước - thay đổi của lô - độ cứng vững tĩnh và động của chi tiết gia công - mặt kẹp, v.v | |
| Các yếu tố tác động đến đo tường | Các yếu tố tác động đến phân tích | ||||
| Các ảnh hưởng/các vấn đề - độ phân giải và độ không đảm bảo đo - phương pháp đo - người thao tác - bảo trì - môi trường - nhiệt độ của chi tiết gia công, thiết bị đo và vùng bao quanh - nhám bề mặt, v.v | Các ảnh hưởng/các vấn đề - phương pháp phân tích thủ công hoặc có trợ giúp của máy tính điện tử - độ không đảm bảo thống kê - các phương pháp cho các phân bố không chuẩn - độ chính xác do tính toán, v.v | ||||
7.3 Ảnh hưởng do độ không đảm bảo đo
Độ không đảm bảo đo làm giảm các chỉ số khả năng ngắn hạn do các giá trị này được tính toán bằng sử dụng độ lệch chuẩn của các đặc trưng được đo, nó lần lượt phụ thuộc vào độ lệch chuẩn của thiết bị đo, ví dụ như một dưỡng đo. Ở A.4, có thể thấy rằng đối với một độ lệch chuẩn của thiết bị đo, sg, bằng 60 % độ lệch của chuẩn quá trình thực, sact, chỉ số khả năng thực Cact = 2,00 bị giảm xuống thành Cs = 1,71 bởi sự phân tán của đại lượng đo. Ví dụ này chứng tỏ sự quan trọng của phép đo khả năng ngắn hạn là một điều kiện tiên quyết đối với việc áp dụng của thiết bị như vậy (xem 6.6).
A.4 cũng bao gồm thông tin về các lý do đối với yêu cầu về độ lệch chuẩn của thiết bị đo sg, tức là 6 · sg ≤ 0,15 · T, T là dung sai của đặc trưng được kiểm.
7.4 Ảnh hưởng phát sinh từ phân tích thống kê
7.4.1 Mức tin cậy và cỡ mẫu
Kiểu loại và phương pháp luận của đánh giá thống kê cũng ảnh hưởng đến kết quả của một cuộc điều tra khả năng ngắn hạn. Sự dự đoán của độ chính xác gia công 50 chi tiết gia công lên sự sản xuất lô lớn liên đới với các độ không đảm bảo. Nhấn mạnh rằng chỉ số khả năng ngắn hạn được xác định trong khi đánh giá quá trình gia công trên một máy cắt kim loại, do đó, chỉ là một ước lượng của khả năng quá trình thực. Nếu, ví dụ như, một chỉ số khả năng ngắn hạn Cs = 1,67 được xác định bằng sử dụng 50 phép đo, chỉ số khả năng thực cho tập hợp cơ bản nằm giữa 1,39 và 1,95 dựa trên một mức tin cậy 95 % (xem A.5) và dựa trên giả thiết của phân bố chuẩn giá trị đặc tính. Do vậy độ không đảm bảo, U, đối với chỉ số khả năng, Cs (mức tin cậy 95 %) bằng ± 0,28.
Chỉ số khả năng ngắn hạn, trong trường hợp các phép kiểm nghiệm thu thông thường được xác định bằng sử dụng một mẫu nhỏ do đó nói chung khác với một chỉ số khả năng dài hạn đối với cùng một quá trình, chúng được xác định trên một mẫu rất lớn, ví dụ như vài tuần sản xuất. Dẫu sao thì điều này có nghĩa là việc thỏa mãn yêu cầu Cs ≥ 1,67 không chỉ đòi hỏi một sự thu hẹp của dung sai bằng 40 % (dải 10s nằm trong các dung sai), nhưng cũng đạt tại các dải rất nhỏ nhằm hoàn thành một cách thành công phép kiểm nghiệm thu.
7.4.2 Kiểu phân bố
Các chỉ số khả năng ngắn hạn phải được tính toán bằng cách xác định độ lệch chuẩn của dữ liệu đo. Một giả thiết ngầm đó là quy trình có thể được mô tả bằng sử dụng phân bố chuẩn. Điều này không áp dụng toàn bộ cho tất cả các quá trình gia công. Hơn nữa, sự phân bố của các dung sai một phía (ví dụ nhiều dung sai về hình dạng và vị trí) thường không đối xứng do chúng có một giới hạn vật lý về một phía. Với lý do này, các chương trình thống kê và các dạng phân bố khác như là một bổ sung cho phân bố chuẩn đã được phát triển. Các thuật toán tương ứng cho phép xác định một hàm phân bố đối với bộ dữ liệu riêng lẻ. Khi đó các độ lệch chuẩn tương đương được tính toán và sử dụng để so sánh với một đồ thị phân bố chuẩn. Tuy nhiên việc xử lý dữ liệu đo về mặt toán học thuần túy mà không đưa các điều kiện kỹ thuật và vật lý vào tính toán sẽ dẫn đến một tình huống trong đó các hàm phân bố khác nhau được tính toán như là các phép tính gần đúng bởi các chương trình thống kê, mà không có khả năng để quyết định hàm nào trong số các hàm này mô tả mối quan hệ thực theo cách tốt nhất. Cùng với việc tính toán các độ lệch chuẩn tương đương, việc này dẫn đến tính toán các chỉ số khả năng ngắn hạn rất khác nhau phụ thuộc vào dạng phân bố đã chọn.
Do đó, không thể suy ra được một dạng phân bố chỉ dựa trên các dữ liệu đo. Mặt khác, việc chọn hàm phân bố không thể thuần túy là hình thức, nhưng phải tính đến sự hiểu biết về quá trình và các tình huống vật lý. Các thông tin bổ sung được cung cấp trong A.6. Tuy nhiên, điều này không phải lúc nào cũng có thể thực hiện được đối với các phép kiểm nghiệm thu dựa trên số lượng thấp 50 phép đo.
Đối với lý do này, khuyến nghị nên thực hiện việc đánh giá quá trình bằng các biểu đồ kiểm soát cá thể, các biểu đồ kiểm soát và các biểu đồ, và tính toán các chỉ số khả năng ngắn hạn với sự giúp đỡ của ước lượng độ lệch chuẩn, nhận được bằng việc tạo nhóm các dữ liệu đo. Trong trường hợp một quá trình hoặc đặc tính đặc biệt, trong đó phân bố Gauss không tương ứng một cách rõ ràng với phân bố thực nghiệm, dải các giá trị đo được được lấy làm tiêu chí nghiệm thu (xem 5.1). Trong các trường hợp riêng lẻ, có thể có lý khi sử dụng các tiêu chí khác hoặc các tiêu chí bổ sung cho việc phân tích khả năng của quá trình cũng phù hợp với TCVN 9944-3:2013 (ISO 22514-3:2008), 5.6, và TCVN 9944-4:2013 (ISO/TR 22514-4:2007).
Phụ lục A
(Tham khảo)
Thông tin bổ sung liên quan đến các đánh giá thống kê
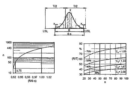
A.1 Mối quan hệ giữa các phân bố trung tâm và phân bố xê dịch
Chỉ số khả năng ngắn hạn tới hạn, Csk, cũng xem xét vị trí của trung bình [xem Hình A.1 a)].


CHÚ DẪN:
X1 giá trị đặc tính
Y1 tần số
Y2 độ giảm của vùng phù hợp nằm trong dung sai quy định [đơn vị dung sai theo ISO)
a1 phân bố trung tâm
a2 phân bố xê dịch với và s'
b1 phần đóng góp của các thành phần được ước lượng khi phù hợp với đặc tính kỹ thuật
b2 phần đóng góp của các thành phần được ước lượng khi không phù hợp với đặc tính kỹ thuật
Hình A1 - Xác định khả năng ngắn hạn đối với giá trị đặc tính với phân bố chuẩn
Trong tiêu chuẩn này, các công thức (A.1) và (A.2) áp dụng cùng với giả thiết phân bố chuẩn.
Chi số khả năng ngắn hạn (đối với trường hợp của phân bố chuẩn):
| | (A.1) |
trong đó
| Cs | là chỉ số khả năng ngắn hạn; |
| T | là dung sai; |
| s | là độ lệch chuẩn [xem công thức (A.3)] của giá trị đặc tính, được đánh giá từ 50 chi tiết gia công. |
Chi số khả năng ngắn hạn tới hạn (đối với trường hợp của phân bố chuẩn):
| | (A.2) |
trong đó
| Csk | là chỉ số khả năng ngắn hạn tới hạn; |
| | là giá trị trung bình; |
| LSL | là giới hạn dưới của đặc tính kỹ thuật; |
| USL | là giới hạn trên của đặc tính kỹ thuật; |
| s | là độ lệch chuẩn [xem công thức (A.3)] của giá trị đặc tính, được đánh giá từ 50 chi tiết gia công. |
Độ lệch chuẩn mẫu (cỡ mẫu n);
| | (A.3) |
Tỉ số xê dịch (xem Hình A.1) đối với phân bố xê dịch với
' và s’:
| | (A.4) |
Độ lệch chuẩn mẫu của phân bố xê dịch [xem Hình A.1 a)]
| s' = (1 - 2·Ψ) · s | (A.5) |
Giả thiết các đặc trưng được phân bố chuẩn, chỉ số khả năng ngắn hạn bằng 1,0 chỉ ra rằng 99,73 % của tất cả các giá trị đặc tính của tập hợp là nằm trong dung sai quy định (xem Hình A.1). Về các lý do thời gian và chi phí, một đánh giá khả năng ngắn hạn thường được thực hiện trên cơ sở một số lượng nhỏ các chi tiết được gia công (trong nội dung của tiêu chuẩn này, nó bằng 50). Do đó, chỉ số khả năng ngắn hạn đã biết chắc chỉ là một ước lượng của khả năng ngắn hạn có thực của quá trình gia công. Để bù cho độ không đảm bảo đã cho về mặt thống kê này đối với một sản xuất lô lớn, yêu cầu các giá trị cao hơn đối với chỉ số khả năng ngắn hạn, tức là Cs > 1,33 hoặc Cs > 1,67. Có thể thấy trên Hình A.1c), điều này có nghĩa là không chỉ sáu lần độ lệch chuẩn phải nằm trong dung sai quy định mà thậm chí là tám hoặc mười lần.
Hình A.1b) minh họa tác động của một chỉ số khả năng ngắn hạn đang tăng dưới dạng một độ giảm của vùng phù hợp nằm trong dung sai quy định. Một độ giảm thêm nữa của Csk xuất hiện nếu phân bố bị xê dịch ra xa tâm của dung sai quy định.
A.2 Mối tương quan giữa các giá trị dài ngắn hạn, RV,s, và độ lệch chuẩn
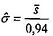
Hình A.2 thể hiện mối tương quan giữa độ lệch chuẩn và giá trị dài phụ thuộc vào cỡ mẫu. Trong trường hợp một phân bố Gauss đối với một mức tin cậy 99,73 %, sáu lần độ lệch chuẩn lớn hơn 1,33 lần dải đối với một cỡ mẫu 50 chi tiết gia công. Ngược lại, điều đó có nghĩa là một giá trị dải RV,s 45 % bằng giá trị Cs 1,67. Ví dụ này có thể chỉ chứng tỏ biên độ tỉ số của các chỉ số khả năng ngắn hạn với các giá trị dải, do các giá trị dải có thể chỉ được khuyến nghị đối với các giá trị có phân bố không chuẩn.

CHÚ DẪN:
| LSL | giới hạn dưới của đặc tính kỹ thuật |
| n | số lượng mẫu, mặc định n = 50 |
| R | dải các giá trị đo |
| s | độ lệch chuẩn của các giá trị đo được |
| T | dung sai |
| USL | giới hạn trên của đặc tính kỹ thuật |
Hình A.2 - Sự so sánh của các giá trị đặc tính đối với phân bố chuẩn
A.3 Giá trị trung bình không nằm giữa của vùng dung sai
Như một quy tắc, dựa trên việc chế tạo năm chi tiết gia công, việc điều chỉnh được giả định để kiểm xem khoảng cách tới hạn của giá trị trung bình so với các giới hạn dung sai Csk có thỏa mãn điều kiện sau:
Δxk ≥ 0,45 · T
Giá trị này bằng một lượng dịch chuyển 5 % cho các giá trị có dung sai hai phía. Đối với một chỉ số khả năng ngắn hạn Cs bằng 1,67 (xem Hình A.3), việc này dẫn đến một độ giảm của diện tích 6s liên quan đến dung sai từ 60 % đến 54 %. Nếu giá trị trung bình của các đại lượng đo cho việc điều chỉnh nằm ngoài diện tích với Δxk, quá trình phải được thiết lập lại tùy thuộc vào tỉ số của sáu lần độ lệch chuẩn và dung sai, và phép kiểm phải được lặp lại. Nếu không, các chi tiết đã được gia công có thể sẵn sàng được tính vào các chi tiết gia công nghiệm thu được miễn là quá trình gia công không bị gián đoạn quá lâu trong quá trình đo các sản phẩm điều chỉnh.

CHÚ DẪN:
| Ψ | dịch chuyển của giá trị trung bình |
| T | vùng dung sai |
| Csk | chỉ số khả năng ngắn hạn tới hạn |
| s | độ lệch chuẩn của quá trình |
Hình A.3 - Các tác động nếu giá trị trung bình không nằm giữa vùng dung sai
(dịch chuyển của giá trị trung bình)
A.4 Độ không đảm bảo đo và chỉ số khả năng ngắn hạn
Độ không đảm bảo đo, được biểu diễn bằng độ lệch chuẩn của thiết bị đo, sg, ảnh hưởng trực tiếp đến chỉ số khả năng ngắn hạn như thể hiệu trên Hình A.4.

CHÚ DẪN:
| C | chỉ số khả năng đã đánh giá |
| Cact | chỉ số khả năng thực của quá trình |
| sact | độ lệch chuẩn thực của quá trình |
| sg | độ lệch chuẩn của thiết bị đo |
Hình A.4 - Thay đổi của chỉ số khả năng bởi độ lệch chuẩn của thiết bị đo
Rõ ràng là đối với sự cải thiện quá trình liên tục và các dung sai nhỏ hơn, các yêu cầu về dụng cụ đo liên quan đến độ lệch chuẩn của quá trình có thể không còn thỏa mãn nữa. Điều này có nghĩa là đối với khả năng ngắn hạn, chỉ yêu cầu sự tham chiếu đến dung sai của các chi tiết gia công. Điều này tương quan đến đường thẳng “6 sg = 0,15 Tmin” trong đồ thị để xác định dung sai nhỏ nhất có thể đo được, Tmin, đối với một độ lệch chuẩn thiết bị đo đã cho, sg, xem Hình A.5.

CHÚ DẪN:
| C | chỉ số khả năng |
| s | độ lệch chuẩn của quá trình |
| sg | độ lệch chuẩn của thiết bị đo |
| Tmin | dung sai nhỏ nhất có thể đo được |
Hình A.5 - Độ lệch chuẩn của thiết bị đo và dung sai nhỏ nhất
A.5 Mức tin cậy và cỡ mẫu
Hình A.6 thể hiện mức tin cậy của các chỉ số khả năng tùy thuộc vào cỡ mẫu.

CHÚ DẪN:
| a | mức tin cậy |
| C | chỉ số khả năng |
| Ck | chỉ số khả năng tới hạn |
| n | cỡ mẫu |
Hình A.6 - Mức tin cậy và cỡ mẫu, n, với giả thiết phân bố chuẩn của các giá trị đặc tính
A.6 Kiểu phân bố và đánh giá chỉ số khả năng
Hình A.7 minh họa vấn đề lựa chọn một kiểu phân bố bằng sử dụng một ví dụ với 50 phép đo. Do biểu đồ với hàm mật độ thể hiện, tất cả ba dạng phân bố (xem phân bố chuẩn, phân bố logarit chuẩn và phân bố Weibull) là các phép tính xấp xỉ tốt. Việc này được xác nhận bởi các độ lệch trung bình cỡ nhỏ và tương tự nhau của các dữ liệu đo lấy từ hàm phân bố đã tính toán. Dù thế nào thì các chỉ số khả năng ngắn hạn khác nhau lớn. Trong khi các giá trị Cs nằm giữa 1,51 và 1,88, thì các giá trị Csk tính được bằng 0,67 đến 1,47.
|
| Phân bố | Chuẩn (a) | Loga chuẩn (b) | Weibull (c) |
| Độ lệch max. | 6,6 % | 7,95 % | 6,53 % | |
| Giá trị trung bình | 0,39 % | 0,41 % | 0,41 % | |
| s | 5,88 | 6,63 | 5,33 | |
| Cs | 1,70 | 1,51 | 1,88 | |
| Csk | 1,47 | 0,67 | 1,16 |
CHÚ DẪN:
| y1 | hàm mật độ, tính bằng phần trăm |
| C | chỉ số khả năng |
| Ck | chỉ số khả năng tới hạn |
| s | độ lệch chuẩn của quá trình |
| | giá trị trung bình |
| a | phân bố chuẩn |
| b | phân bố logarit chuẩn |
| e | phân bố Weibull |
Hình A.7 - Ảnh hưởng của kiểu phân bố đã chọn
Phụ lục B
(Quy định)
Biểu mẫu thỏa thuận
| Biểu mẫu thỏa thuận 1 của 4 | Kế hoạch kiểm | |||||
| THÔNG TIN CHUNG | ||||||
| Mô tả máy công cụ |
| |||||
| Số seri máy |
| |||||
| Mô tả chi tiết gia công |
| |||||
| Chi tiết gia công số |
| |||||
| Vật liệu |
| |||||
| SỐ LƯỢNG CHI TIẾT GIA CÔNG /PHÉP KIỂM NGẪU NHIÊN | ||||||
| Thời gian gia công/chi tiết gia công tm |
| |||||
| Số lượng chi tiết gia công nmp (khuyến nghị: nmp = 50) |
| |||||
| Tổng thời gian gia công ttot ≈ nmp (tm + tnp) |
| |||||
| Số lượng chi tiết gia công để phân tích n (khuyến nghị: n = 50) |
| |||||
| Kiểm tra ngẫu nhiên (cỡ mẫu khuyến nghị: 5) |
| |||||
| LỊCH TRÌNH/HẬU CẦN | ||||||
| a) Chuẩn bị | Nhà sản xuất (M) Khách hàng (C) | Địa điểm (M/C) | Thời gian | |||
| Phôi |
|
|
| |||
| Dụng cụ cắt |
|
|
| |||
| Thiết bị kẹp |
|
|
| |||
| Máy công cụ |
|
|
| |||
| Người vận hành máy công cụ |
|
|
| |||
| Thiết bị đo |
|
|
| |||
| Người vận hành thiết bị đo |
|
|
| |||
|
|
|
|
| |||
| b) Thời gian | Bắt đầu | Kết thúc | Khoảng thời gian | |||
| Chuẩn bị/cài đặt |
|
|
| |||
| Giai đoạn làm nóng |
|
|
| |||
| Điều chỉnh |
|
|
| |||
| Chế tạo |
|
|
| |||
| Đo |
|
|
| |||
| Phân tích |
|
|
| |||
| Biểu mẫu thỏa thuận 2 của 4 | Thông tin chung | ||||
| CÁC PHÔI | |||||
| Vật liệu, xử lý nhiệt, bề mặt, độ cứng, độ bền, dung sai của lượng dư, dung sai của đồ gá, v.v | |||||
|
| |||||
| Điều kiện kiểm | |||||
| Chỉnh đặt đồ gá của máy công cụ |
| ||||
| Các tải trọng riêng (ví dụ các rung gây ra bởi sản xuất xung quanh) |
| ||||
| Biến đổi lớn nhất của nhiệt độ môi trường trong khi kiểm tra; các giới hạn khuyến nghị: thay đổi nhiệt độ trong phạm vi ± 3 °C trong thời gian kiểm |
| ||||
| Gradient nhiệt độ lớn nhất trong khi đánh giá; khuyến nghị: nằm trong phạm vi tối đa +2 °C/h hoặc - 2 °C/h |
| ||||
| CÁC ĐẶC TRƯNG | |||||
| Số | Mô tả đặc trưng | Cỡ danh nghĩa | Kích thước | ||
| 1 |
|
|
| ||
| 2 |
|
|
| ||
| 3 |
|
|
| ||
| 4 |
|
|
| ||
| 5 |
|
|
| ||
| 6 |
|
|
| ||
| 7 |
|
|
| ||
| 8 |
|
|
| ||
| 9 |
|
|
| ||
| Biểu mẫu thỏa thuận 3 của 4 | Các dữ liệu phụ thuộc đặc trưng I | |||||||||||||
| CÁC GIÁ TRỊ ĐẶC TÍNH | ||||||||||||||
| Khuyến nghị s. b. | Các chỉ số khả năng ngắn hạn yêu cầu | Các giá trị dải ngắn hạn yêu cầu | ||||||||||||
| Số | LSL | USL | T | Cs | Csk | RV,s | RV,sk | |||||||
| 1 |
|
|
|
|
|
|
| |||||||
| 2 |
|
|
|
|
|
|
| |||||||
| 3 |
|
|
|
|
|
|
| |||||||
| 4 |
|
|
|
|
|
|
| |||||||
| 5 |
|
|
|
|
|
|
| |||||||
| 6 |
|
|
|
|
|
|
| |||||||
| 7 |
|
|
|
|
|
|
| |||||||
| 8 |
|
|
|
|
|
|
| |||||||
| 9 |
|
|
|
|
|
|
| |||||||
| XU HƯỚNG CHO CHẤP NHẬN ĐƯỢC TỐI ĐA DO TRÔI NHIỆT [μm/chi tiết gia công] | ||||||||||||||
| δXtd,prm | δYtd,prm | δZtd,prm | ||||||||||||
|
|
|
| ||||||||||||
| CÁC GIÁ TRỊ ĐẶC TÍNH KHUYẾN NGHỊ | ||||||||||||||
| Quá trình/đặc trưng | Cs | Csk | RV,s | RV,sk | Chú thích | |||||||||
| Các quá trình hoặc các đặc trưng bình thường | ≥1,67 | ≥1,67 | - | - | Ví dụ đường kính hoặc chiều dài trong các quá trình không được kiểm soát | |||||||||
| Kiểm soát phép đo đang trong quá trình | - | - | ≤100% | ≤ 100% | Có thể sử dụng dung sai toàn bộ | |||||||||
| Các giá trị độ nhám | - | - | Nếu cần thiết | ≤ 80% | Trong nhiều trường hợp chỉ có một giới hạn trên; do đó, chỉ quy định RV,sk | |||||||||
| Dung sai giới hạn một phía | - | ≥1,67 | - | ≤ 60% | Nhà sản xuất/nhà cung cấp và người sử dụng phải thương lượng giá trị nào trong hai giá trị đặc tính được sử dụng cho nghiệm thu | |||||||||
| Các quá trình hoặc các đặc trưng đặc biệt khác | ≥1,67 | ≥1,67 | ≤ 60% | ≤ 60% | Nhà sản xuất/nhà cung cấp và người sử dụng phải thỏa thuận về việc Cs và Csk hay là RV,s và RV,sk là có liên quan cho nghiệm thu | |||||||||
| Biểu mẫu thỏa thuận 4 của 4 | Các dữ liệu phụ thuộc đặc trưng II | ||||
| Đặc trưng |
| ||||
| CÔNG NGHỆ | |||||
| Vật liệu dao cắt |
| ||||
| Hình học dao cắt |
| ||||
| Các điều kiện thô |
| ||||
| Các điều kiện tinh |
| ||||
| Mòn dụng cụ mong muốn (như mòn mặt sau) |
| ||||
| Xu hướng mong muốn do mòn dụng cụ δxa,exp |
| ||||
| ĐO | |||||
| Vị trí |
| ||||
| Thiết bị |
| ||||
| Số seri thiết bị |
| ||||
| Độ phân giải |
| ||||
| Độ lệch chuẩn của thiết bị đo sg |
| ||||
| 0,03 T |
| ≥ độ phân giải ? | [ ] có [ ] không: sử dụng thiết bị đo khác! | ||
| T/40 |
| ≥ sg ? | [ ] có [ ] không: sử dụng thiết bị đo khác! | ||
| Thiết lập thiết bị đo (như bộ lọc, chiến lược; ghi chú các tình huống đặc biệt riêng rẽ) |
| ||||
Phụ lục C
(Quy định)
Biểu mẫu đánh giá
| Biểu mẫu phân tích 1 của 4 |
| Thông tin chung | |||||||||||||||||||||||
|
| MÁY/CHI TIẾT GIA CÔNG | ||||||||||||||||||||||||
| Mô tả chi tiết gia công |
|
| |||||||||||||||||||||||
| Vật liệu chi tiết gia công |
|
| |||||||||||||||||||||||
|
| ĐẶC TRƯNG/DANH NGHĨA | ||||||||||||||||||||||||
| Giới hạn dưới của đặc tính kỹ thuật LSL |
|
| Dung sai T = USL - LSL | ||||||||||||||||||||||
| Giới hạn trên của đặc tính kỹ thuật USL |
|
|
| ||||||||||||||||||||||
|
| THIẾT BỊ ĐO | ||||||||||||||||||||||||
| Số seri thiết bị |
| Độ phân giải | Độ lệch chuẩn sg | ||||||||||||||||||||||
|
|
|
|
| ||||||||||||||||||||||
| 0,03 · T = |
|
| ≥ độ phân giải ? và | ||||||||||||||||||||||
| T/40 = |
|
| ≥ sg ? | ||||||||||||||||||||||
| [ ] có |
| Có thể thực hiện phân tích | |||||||||||||||||||||||
| [ ] không |
| Không cho phép phân tích! Lặp lại phép đo với một thiết bị đo chính xác hơn! | |||||||||||||||||||||||
| XU HƯỚNG |
| Mòn dụng cụ |
| ||||||||||||||||||||||
|
| Xu hướng do mòn dụng cụ ΔXa |
| |||||||||||||||||||||||
|
| Xu hướng chấp nhận được do trôi nhiệt cho 50 chi tiết gia công (nếu tiêu chí) δXtd,prm (δYtd,prm ; δZtd,prm, lần lượt) |
| |||||||||||||||||||||||
| NHIỆT ĐỘ MÔI TRƯỜNG |
| Có nằm trong các giới hạn công bố? [ ] có [ ] không | |||||||||||||||||||||||
| ϑamb,0 |
| ϑmin |
|
| ϑmax |
| ϑamb,max |
| |||||||||||||||||
|
| Dữ liệu đo xi (với xu hướng) các giá trị trong |
| độ lệch từ điểm cài đặt | ||||||||||||||||||||||
| j→ | 1 | 2 | 3 | 4 |
| 5 | 6 | 7 | 8 | 9 | 10 | ||||||||||||||
| 1 | 1 | 6 | 11 | 16 |
| 21 | 26 | 31 | 36 | 41 | 46 | ||||||||||||||
| 2 | 2 | 7 | 12 | 17 |
| 22 | 27 | 32 | 37 | 42 | 47 | ||||||||||||||
| 3 | 3 | 8 | 13 | 18 |
| 23 | 28 | 33 | 38 | 43 | 48 | ||||||||||||||
| 4 | 4 | 9 | 14 | 19 |
| 24 | 29 | 34 | 39 | 44 | 49 | ||||||||||||||
| 5 | 5 | 10 | 15 | 20 |
| 25 | 30 | 35 | 40 | 45 | 50 | ||||||||||||||
|
| Bây giờ, tạo ra biểu đồ kiểm soát cá thể. Đối với các quá trình/các đặc trưng bình thường và một xu hướng quan trọng, đầu tiên thực hiện hiệu chỉnh xu hướng (tờ: 3 của 4), và thực hiện tất cả các tính toán khác với các dữ liệu đã hiệu chỉnh xu hướng. | ||||||||||||||||||||||||
| |
|
|
|
|
|
|
|
|
|
|
| ||||||||||||||
| sj |
|
|
|
|
|
|
|
|
|
|
| ||||||||||||||
|
| Các công thức: | ||||||||||||||||||||||||
| Biểu mẫu phân tích 2 của 4 | Biểu diễn dạng đồ thị |
|
| |
| Biểu mẫu phân tích 3 của 4 | Hiệu chỉnh của xu hướng | ||||||||||
| HIỆU CHỈNH CỦA XU HƯỚNG Chỉ cho các quá trình/đặc trưng bình thường và xu hướng quan trọng (ví dụ không dùng cho kiểm soát trong quá trình, không dùng cho dụng cụ cắt điều chỉnh được,...) | |||||||||||
| Xu hướng tổng (sơ đồ giá trị đơn) | δXtot,w |
| |||||||||
| Xu hướng tổng cho mỗi chi tiết gia công (50 giá trị tham chiếu) |
|
| |||||||||
| Xu hướng do trôi nhiệt | δXtd = δXtot,T - δXa |
| |||||||||
| Xu hướng do trôi nhiệt cho mỗi chi tiết gia công (50 giá trị tham chiếu) |
|
| |||||||||
| Dữ liệu đo đã hiệu chỉnh xu hướng xi,T | xi,T = xi - (i-1) · δXtot,w | ||||||||||
| j k | 1 | 2 | 3 | 4 | 5 | 6 | 7 | 8 | 9 | 10 | |
| 1 | 1 | 6 | 11 | 16 | 21 | 26 | 31 | 36 | 41 | 46 | |
| 2 | 2 | 7 | 12 | 17 | 22 | 27 | 32 | 37 | 47 | 47 | |
| 3 | 3 | 8 | 13 | 18 | 23 | 28 | 33 | 38 | 43 | 48 | |
| 4 | 4 | 9 | 14 | 19 | 24 | 29 | 34 | 39 | 44 | 49 | |
| 5 | 5 | 10 | 15 | 20 | 25 | 30 | 35 | 40 | 45 | 50 | |
|
|
|
|
|
|
|
|
|
|
|
| |
| sj |
|
|
|
|
|
|
|
|
|
| |
|
| |||||||||||
| Nếu xu hướng đã được hiệu chỉnh, các tính toán dưới đây phải được thực hiện với các dữ liệu đã hiệu chỉnh xi,T! | |||||||||||
| Giá trị lớn nhất xmax |
| Giá trị nhỏ nhất xmin |
| ||||||||
| Dải R = xmax - xmin |
|
|
| ||||||||
| |
| |
| ||||||||
| |
| |
| ||||||||
| Độ lệch chuẩn trung bình |
| Ước lượng độ lệch chuẩn (hệ số cho cỡ mẫu 5) |
| ||||||||
| Biểu mẫu phân tích 4 của 4 | Đánh giá | |||||||||||
| KIỂM GIÁ TRỊ NẰM BÊN NGOÀI cho các quá trình/đặc trưng chuẩn (Grubb: 50 giá trị/mức tin cậy 99%)) | ||||||||||||
|
|
| < xmax ? | [ ] có [ ] không | |||||||||
|
|
| < xmin ? | [ ] có [ ] không | |||||||||
| có: xmax và/hoặc xmin là các giá trị nằm ngoài | không: xmax hoặc/và xmin không là các giá trị nằm ngoài | |||||||||||
| Nếu có mặt một giá trị nằm ngoài, thì phải thực hiện một phép kiểm giá trị nằm ngoài mới mà không có giá trị này. Trong trường hợp có hai hoặc nhiều hơn các giá trị nằm ngoài, phải tìm kiếm lý do và phép kiểm cần được lặp lại do quá trình rõ ràng là không nằm dưới sự kiểm soát. Nếu chỉ tìm thấy một giá trị nằm ngoài thì phải quyết định xem có tiếp tục các tính toán mà không có giá trị này hay là lặp lại phép kiểm toàn bộ. | ||||||||||||
| KIỂM TÍNH ỔN ĐỊNH (Các hệ số dựa trên cỡ mẫu 5 với mức tin cậy bằng 99 %) | ||||||||||||
| Có vượt quá các giới hạn kiểm soát? | Có | không | ||||||||||
| Giới hạn kiểm soát trên của |
|
|
|
| ||||||||
| Giới hạn kiểm soát dưới của |
|
|
|
| ||||||||
| Giới hạn kiểm soát trên của sj |
|
|
|
| ||||||||
| Giới hạn kiểm soát dưới của sj |
|
|
|
| ||||||||
| Quá trình ổn định: Tiếp tục với tính toán các giá trị đặc tính đã công bố. Quá trình không ổn định: Nếu có thể, bù lại tính không ổn định và lặp lại phép kiểm. | ||||||||||||
| CÁC GIÁ TRỊ ĐẶC TÍNH (như công bố) | Các yêu cầu có thỏa mãn? | Có | không | |||||||||
| Chỉ số khả năng ngắn hạn |
|
| Cs ≥ Cs,nom ? |
|
| |||||||
| Chỉ số khả năng ngắn hạn tới hạn |
|
| Csk ≥ Csk,nom ? |
|
| |||||||
| Giá trị dải | |
| RV,s ≤ RV,s,nom ? |
|
| |||||||
| Giá trị dải tới hạn | |
| RV,sk ≤ RV,sk,nom ? |
|
| |||||||
| XU HƯỚNG DO TRÔI NHIỆT (mang sang từ tờ 3 của 4) | ||||||||||||
| δXtd: toàn bộ (50 chi tiết gia công) | δXtd,w: cho từng chi tiết gia công | |||||||||||
|
|
| |||||||||||
| Xu hướng nhỏ hơn xu hướng chấp nhận được? δXtd ≤ δXtd.perm (theo thỏa thuận giữa nhà sản xuất/nhà cung cấp và người sử dụng) | [ ] có | [ ] không | ||||||||||
| ĐÁNH GIÁ TỔNG KẾT | ||||||||||||
| Khả năng ngắn hạn đã được chứng minh, máy được nghiệm thu | [ ] có | [ ] không | ||||||||||
Phụ lục D
(Tham khảo)
Ví dụ về thỏa thuận và phân tích khả năng
| Biểu mẫu thỏa thuận 1 của 4 | Kế hoạch kiểm | |||||
| THÔNG TIN CHUNG | ||||||
| Mô tả máy công cụ | Máy tiện XYZ | |||||
| Số seri máy | D 08 15 | |||||
| Mô tả chi tiết gia công | Trục | |||||
| Chi tiết gia công số | W 47 11 | |||||
| Vật liệu | Ck 45 | |||||
| SỐ LƯỢNG CHI TIẾT GIA CÔNG /PHÉP KIỂM NGẪU NHIÊN | ||||||
| Thời gian gia công/chi tiết gia công tm | 4,5 min | |||||
| Số lượng chi tiết gia công nmp (khuyến nghị: nmp = 50) | 50 | |||||
| Tổng thời gian gia công ttot ≈ nmp (tm + tnp) | Xấp xỉ 5 h | |||||
| Số lượng chi tiết gia công để phân tích n (khuyến nghị: n = 50) | 50 | |||||
| Kiểm tra ngẫu nhiên (cỡ mẫu khuyến nghị: 5) | - - - | |||||
| LỊCH TRÌNH/HẬU CẦN |
| |||||
| a) Chuẩn bị | Nhà sản xuất (M) Khách hàng (C) | Địa điểm (M/C) | Thời gian | |||
| Phôi | C | M | TUẦN 10 | |||
| Dụng cụ cắt | C | M | TUẦN 10 | |||
| Thiết bị kẹp | M | M | TUẦN 10 | |||
| Máy công cụ | M | M | TUẦN 13 | |||
| Người vận hành máy công cụ | M | M | TUẦN 13 | |||
| Thiết bị đo | M | M | TUẦN 13 | |||
| Người vận hành thiết bị đo | M | M | TUẦN 13 | |||
|
|
|
|
| |||
| b) Thời gian | Bắt đầu | Kết thúc | Khoảng thời gian | |||
| Chuẩn bị/cài đặt | TUẦN 11 | TUẦN 12 | 2 tuần | |||
| Giai đoạn làm nóng | 28 . 3 ./16:00 | 29 . 3 ./8:00 | 16 h | |||
| Điều chỉnh | 29 . 3 ./8:00 | 29 . 3 ./10:00 | 2 h | |||
| Chế tạo | 29 . 3 ./10:00 | 29 . 3 ./15:00 | 5 h | |||
| Đo | 30 . 3 . | 5 . 4 . | 1 tuần | |||
| Phân tích | 6 . 4 . | 8 . 4 . | 3 ngày | |||
| Biểu mẫu thỏa thuận 2 của 4 | Thông tin chung | |||
| CÁC PHÔI | ||||
| Vật liệu, xử lý nhiệt, bề mặt, độ cứng, độ bền, dung sai của lượng dư, dung sai của đồ gá, v.v | ||||
| Ck 45 Thép thanh tròn cắt đạt chiều dài | ||||
| ĐIỀU KIỆN KIỂM | ||||
| Chỉnh đặt đồ gá của máy công cụ | Các con trượt/đế lắp đặt/installation shoes | |||
| Các tải trọng riêng (ví dụ các rung gây ra bởi sản xuất xung quanh) | không | |||
| Biến đổi lớn nhất của nhiệt độ môi trường trong khi kiểm tra; các giới hạn khuyến nghị: thay đổi nhiệt độ trong phạm vi ± 3 °C trong thời gian kiểm | ± 3 °C | |||
| Gradient nhiệt độ lớn nhất trong khi đánh giá; khuyến nghị: nằm trong phạm vi tối đa +2°C/h hoặc - 2°C/h | ± 3 °C/h | |||
| CÁC ĐẶC TRƯNG | ||||
| Số | Mô tả đặc trưng | Cỡ danh nghĩa | Kích thước | |
| 1 | Đường kính D 1 | 56 +0,046/-0 | mm | |
| 2 | Chiều dài L 1 | 120 | mm | |
| 3 | Độ đồng tâm của đường kính D 1 | 0,010 | mm | |
| 4 |
|
|
| |
| 5 |
|
|
| |
| 6 |
|
|
| |
| 7 |
|
|
| |
| 8 |
|
|
| |
| 9 |
|
|
| |
| Biểu mẫu thỏa thuận 3 của 4 | Các dữ liệu phụ thuộc đặc trưng I | |||||||||
| CÁC GIÁ TRỊ ĐẶC TÍNH | ||||||||||
| Khuyến nghị s. b. | Các chỉ số khả năng ngắn hạn yêu cầu | Các giá trị dải ngắn hạn yêu cầu | ||||||||
| Số | LSL (giới hạn dưới) | USL (giới hạn trên) | T Dung sai | Cs | Csk | RV,s | RV,sk | |||
| 1 | 56,000 | 56,046 | 0,046 | 1,67 | 1,67 | - | - | |||
| 2 | 119,9 | 120,1 | 0,2 | 1,67 | 1,67 | - |
| |||
| 3 | 0 | 0,010 | 0,010 | - |
|
| 60% | |||
| 4 |
|
|
|
|
|
|
| |||
| 5 |
|
|
|
|
|
|
| |||
| 6 |
|
|
|
|
|
|
| |||
| 7 |
|
|
|
|
|
|
| |||
| 8 |
|
|
|
|
|
|
| |||
| 9 |
|
|
|
|
|
|
| |||
| XU HƯỚNG CHO CHẤP NHẬN ĐƯỢC TỐI ĐA DO TRÔI NHIỆT [μm/chi tiết gia công] | ||||||||||
| δXtd,prm | δYtd,prm | δZtd,prm | ||||||||
| Làm nóng máy đủ | Làm nóng máy đủ | Làm nóng máy đủ | ||||||||
| CÁC GIÁ TRỊ ĐẶC TÍNH KHUYẾN NGHỊ | ||||||||||
| Quá trình/đặc trưng | Cs | Csk | RV,s | RV,sk | Chú thích | |||||
| Các quá trình hoặc các đặc trưng bình thường | ≥1,67 | ≥1,67 | - | - | Ví dụ đường kính hoặc chiều dài trong các quá trình không được kiểm soát | |||||
| Kiểm soát phép đo đang trong quá trình | - | - | ≤100% | ≤100% | Có thể sử dụng dung sai toàn bộ | |||||
| Các giá trị độ nhám | - | - | Nếu cần thiết ≤80% | ≤80% | Trong nhiều trường hợp chỉ có một giới hạn trên; do đó, chỉ quy định RV,sk | |||||
| Dung sai giới hạn một phía | - | ≥1,67 | - | ≤60% | Nhà sản xuất/nhà cung cấp và người sử dụng phải thương lượng giá trị nào trong hai giá trị đặc tính được sử dụng cho nghiệm thu | |||||
| Các quá trình hoặc các đặc trưng đặc biệt khác | ≥1,67 | ≥1,67 | ≤60% | ≤60% | Nhà sản xuất/nhà cung cấp và người sử dụng phải thỏa thuận về việc Cs và Csk hay là RV,s và RV,sk là có liên quan cho nghiệm thu | |||||
| Biểu mẫu thỏa thuận 4 của 4 | Các dữ liệu phụ thuộc đặc trưng II (nếu cần thiết cho từng đặc trưng tách riêng) | ||||
| Đặc trưng | Đường kính D 1 | ||||
| CÔNG NGHỆ | |||||
| Vật liệu dao cắt | Hợp kim cắt P 10 | ||||
| Hình học dao cắt | α = 6° / Y = - 6° εr = 55° / rε = 0,8 mm | ||||
| Các điều kiện thô | vC = 150 m/min / ap = 2 mm f = 0,25 mm/u (có dung dịch trơn nguội) | ||||
| Các điều kiện tinh | vC = 200 m/min / ap = 0,3 mm f = 0,10 mm/U (có dung dịch trơn nguội) | ||||
| Mòn dụng cụ mong muốn (như mòn mặt sau) | Rất thấp | ||||
| Xu hướng mong muốn do mòn dụng cụ δxa,exp | Thấp, thời gian làm việc của dụng cụ cắt rất cao so với thời gian gia công | ||||
| ĐO | |||||
| Vị trí | Phòng có điều hòa nhiệt độ | ||||
| Thiết bị | Máy đo tọa độ 3D | ||||
| Số seri thiết bị | KMG 123 | ||||
| Độ phân giải | 0,1 μm | ||||
| Độ lệch chuẩn của thiết bị đo sg | 0,5 μm | ||||
| 0,03 T | 1,38 μm | ≥ độ phân giải ? | [ x ] có [ ] không: sử dụng thiết bị đo khác! | ||
| T/40 | 1,15 μm | ≥ sg ? | [ x ] có [ ] không: sử dụng thiết bị đo khác! | ||
| Thiết lập thiết bị đo (như bộ lọc, chiến lược; ghi chú các tình huống đặc biệt riêng rẽ) | Bán kính của đầu đo r = 5 mm Lực đo F = 0,4 N | ||||
| Biểu mẫu phân tích 1 của 4 | Thông tin chung | ||||||||||||||||
| MÁY/CHI TIẾT GIA CÔNG | Máy tiện XYZ; D 08 15 | ||||||||||||||||
| Mô tả chi tiết gia công | Trực W 47 11 | ||||||||||||||||
| Vật liệu chi tiết gia công | Ck 45 | ||||||||||||||||
| ĐẶC TRƯNG/DANH NGHĨA | D1 56 k8 | 56,023 | |||||||||||||||
| Giới hạn dưới của đặc tính kỹ thuật LSL | 56,000 mm; rel . : -23 μm | Dung sai T = OGW - UGW | |||||||||||||||
| Giới hạn trên của đặc tính kỹ thuật USL | 56,046 mm; rel . : +23 μm | 46 μm | |||||||||||||||
| THIẾT BỊ ĐO | Máy đo tọa độ | ||||||||||||||||
| Số seri thiết bị | Độ phân giải | Độ lệch chuẩn sg | |||||||||||||||
| KMG 123 | 0,1 μm | 0,5 μm | |||||||||||||||
| 0,03 · T = | 1,38 μm | ≥ độ phân giải và | |||||||||||||||
| T/40 = | 1,15 μm | ≥ sg | |||||||||||||||
| [ ] có | Có thể thực hiện phân tích | ||||||||||||||||
| [ ] không | Không cho phép phân tích! Lặp lại phép đo với mốt thiết bị đo chính xác hơn | ||||||||||||||||
| XU HƯỚNG | Mòn dụng cụ | Thấp | |||||||||||||||
| Xu hướng do mòn dụng cụ ΔXa | Không đáng kể | ||||||||||||||||
| Xu hướng chấp nhận được do trôi nhiệt cho 50 chi tiết gia công (nếu tiêu chí) δXtd,prm (δYtd,prm ; δZtd,prm, lần lượt) | - | ||||||||||||||||
| NHIỆT ĐỘ MÔI TRƯỜNG | Có nằm trong các giới hạn công bố? [ x] có [ ] không | ||||||||||||||||
| ϑamb,0 | 20 oC | ϑmin | 18,5 oC | ϑmax | 22 oC | ϑamb,max | 1,5 oC/h | ||||||||||
| Dữ liệu đo xi (với xu hướng) các giá trị trong | μm | độ lệch từ điểm cài đặt | |||||||||||||||
| j→ | 1 | 2 | 3 | 4 | 5 | 6 | 7 | 8 | 9 | 10 | |||||||
| 1 | 1 -6 | 6 -4 | 11 -3 | 16 -2 | 21 -6 | 26 -5 | 31 -8 | 36 -4 | 41 -2 | 46 -3 | |||||||
| 2 | 2 -10 | 7 -10 | 12 -5 | 17 -5 | 22 0 | 27 -3 | 32 -8 | 37 -11 | 42 -7 | 47 -6 | |||||||
| 3 | 3 -10 | 8 -5 | 13 -1 | 18 -4 | 23 -8 | 28 -4 | 33 0 | 38 -5 | 43 -1 | 48 -8 | |||||||
| 4 | 4 -6 | 9 -11 | 14 -8 | 19 -6 | 24 -12 | 29 -9 | 34 -9 | 39 -7 | 44 -9 | 49 -8 | |||||||
| 5 | 5 -1 | 10 -6 | 15 -4 | 20 -7 | 25 -7 | 30 -5 | 35 -7 | 40 -5 | 45 -8 | 50 -5 | |||||||
| Bây giờ, tạo ra biểu đồ kiểm soát cá thể. Đối với các quá trình/các đặc trưng bình thường và một xu hướng quan trọng, đầu tiên thực hiện hiệu chỉnh xu hướng (tờ: 3 của 4), và thực hiện tất cả các tính toán khác với các dữ liệu đã hiệu chỉnh xu hướng. | |||||||||||||||||
|
| -6,6 | -7,2 | -4,2 | -4,8 | -6,6 | -5,2 | -6,4 | -6,4 | -5,4 | -6,0 | |||||||
| s j | 3,7 | 3,1 | 2,6 | 1,9 | 4,3 | 2,3 | 3,6 | 2,8 | 3,6 | 2,1 | |||||||
|
| |||||||||||||||||
| Biểu mẫu phân tích 2 của 4 | Thông tin chung |
|
| |
| Biểu mẫu phân tích 3 của 4 | Hiệu chỉnh của xu hướng | ||||||||||
| HIỆU CHỈNH CỦA XU HƯỚNG Chỉ cho các quá trình/đặc trưng bình thường và xu hướng đáng kể (ví dụ không dùng cho kiểm soát trong quá trình, không dùng cho dụng cụ cắt điều chỉnh được, …) | |||||||||||
| Không có xu hướng đáng kể, do đó không hiệu chỉnh xu hướng | |||||||||||
| Xu hướng tổng (sơ đồ giá trị đơn) | δXtot,w |
| |||||||||
| Xu hướng tổng cho mỗi chi tiết gia công (50 giá trị tham chiếu) |
|
| |||||||||
| Xu hướng do trôi nhiệt | δXtd = δXtot,T - δXa |
| |||||||||
| Xu hướng do trôi nhiệt cho mỗi chi tiết gia công (50 giá trị tham chiếu) |
|
| |||||||||
| Dữ liệu đo đã hiệu chỉnh xu hướng xi,T | xi,T = xi - (i-1) · δXtot,w | ||||||||||
| j k | 1 | 2 | 3 | 4 | 5 | 6 | 7 | 8 | 9 | 10 | |
| 1 | 1 | 6 | 11 | 16 | 21 | 26 | 31 | 36 | 41 | 46 | |
| 2 | 2 | 7 | 12 | 17 | 22 | 27 | 32 | 37 | 42 | 47 | |
| 3 | 3 | 8 | 13 | 18 | 23 | 28 | 33 | 38 | 43 | 48 | |
| 4 | 4 | 9 | 14 | 19 | 24 | 29 | 34 | 39 | 44 | 49 | |
| 5 | 5 | 10 | 15 | 20 | 25 | 30 | 35 | 40 | 45 | 50 | |
|
|
|
|
|
|
|
|
|
|
|
| |
| s i |
|
|
|
|
|
|
|
|
|
| |
|
| |||||||||||
| Nếu xu hướng đã được hiệu chỉnh, các tính toán dưới đây phải được thực hiện với các dữ liệu đã hiệu chỉnh xi,T! | |||||||||||
| Giá trị lớn nhất xmax | 0 | Giá trị nhỏ nhất xmin | = 12 | ||||||||
| Dải R = xmax - xmin | 12 |
| - 5,9 | ||||||||
| | 28,9 | | 17,1 | ||||||||
| | 20,1 % | | 35,7 % | ||||||||
| Độ lệch chuẩn trung bình | 3,0 | Ước lượng độ lệch chuẩn (hệ số cho cỡ mẫu 5) | 3,2 | ||||||||
| Biểu mẫu phân tích 4 của 4 | Đánh giá | |||||||||||
| KIỂM GIÁ TRỊ NẰM BÊN NGOÀI cho các quá trình/đặc trưng chuẩn (Grubb: 50 giá trị/mức tin cậy 99%)) | ||||||||||||
|
| 4,79 | < xmax ? | [ ] có [ ] không | |||||||||
|
| - 16,59 | < xmin ? | [ ] có [ ] không | |||||||||
| có: xmax và/hoặc xmin là các giá trị nằm ngoài | không: xmax hoặc/và xmin không là các giá trị nằm ngoài | |||||||||||
| Nếu có mặt một giá trị nằm ngoài, thì phải thực hiện một phép kiểm giá trị nằm ngoài mới mà không có giá trị này. Trong trường hợp có hai hoặc nhiều hơn các giá trị nằm ngoài, phải tìm kiếm lý do và phép kiểm cần được lặp lại do quá trình rõ ràng là không nằm dưới sự kiểm soát. Nếu chỉ tìm thấy một giá trị nằm ngoài thì phải quyết định xem có tiếp tục các tính toán mà không có giá trị này hay là lặp lại phép kiểm toàn bộ. | ||||||||||||
| KIỂM TÍNH ỔN ĐỊNH (Các hệ số dựa trên cỡ mẫu 5 với mức tin cậy bằng 99 %) | ||||||||||||
| Có vượt quá các giới hạn kiểm soát? | Có | không | ||||||||||
| Giới hạn kiểm soát trên của |
| 2,22 |
| x | ||||||||
| Giới hạn kiểm soát dưới của |
| -9,58 |
| x | ||||||||
| Giới hạn kiểm soát trên của sj |
| 6,18 |
| x | ||||||||
| Giới hạn kiểm soát dưới của sj |
| 0,74 |
| x | ||||||||
| Quá trình ổn định: Tiếp tục với tính toán các giá trị đặc tính đã công bố. Quá trình không ổn định: Nếu có thể, bù lại tính không ổn định và lặp lại phép kiểm. | ||||||||||||
| CÁC GIÁ TRỊ ĐẶC TÍNH (như công bố) | Các yêu cầu có thỏa mãn? | Có | không | |||||||||
| Chỉ số khả năng ngắn hạn |
| 2,40 | Cs ≥ Cs,nom ? | x |
| |||||||
| Chỉ số khả năng ngắn hạn tới hạn |
| 1,78 | Csk ≥ Csk,nom ? | x |
| |||||||
| Giá trị dải |
| - | RV,s ≤ RV,s,nom ? |
|
| |||||||
| Giá trị dải tới hạn | | - | RV,sk ≤ RV,sk,nom ? |
|
| |||||||
| XU HƯỚNG DO TRÔI NHIỆT (mang sang từ tờ 3 của 4) | ||||||||||||
| δXtd: toàn bộ (50 chi tiết gia công) | δXtd,w: cho từng chi tiết gia công | |||||||||||
| Không tính toán | Không tính toán | |||||||||||
| Xu hướng nhỏ hơn xu hướng chấp nhận được? δXtd ≤ δXtd.perm (theo thỏa thuận giữa nhà sản xuất/nhà cung cấp và người sử dụng) | [ ] có | [ ] không | ||||||||||
| ĐÁNH GIÁ TỔNG KẾT | ||||||||||||
| Khả năng ngắn hạn đã được chứng minh, máy được nghiệm thu | [ ] có | [ ] không | ||||||||||
Thư mục tài liệu tham khảo
[1] ISO 1, Geometrical Product Specifications (GPS) - Standard reference temperature for geometrical product specification and verification
[2] TCVN 9595-3 (ISO/IEC Guide 98-3), Độ không đảm bảo đo - Phần 3: Hướng dẫn trình bày độ không đảm bảo đo (GUM:1995)
[3] TCVN 6165 (ISO/IEC Guide 99), Từ vựng quốc tế về đo lường học - Khái niệm, thuật ngữ chung và cơ bản (VIM)
[4] TCVN 7011-1 (ISO 230-1), Quy tắc kiểm máy công cụ - Phần 1: Độ chính xác của máy khi vận hành trong điều kiện không tải hoặc gia công tinh
[5] TCVN 7011-2 (ISO 230-2), Quy tắc kiểm máy công cụ - Phần 2: Xác định độ chính xác và khả năng lặp lại định vị của trục điều khiển số
[6] TCVN 7011-3 (ISO 230-3), Quy tắc kiểm máy công cụ - Phần 3: Xác định các ảnh hưởng nhiệt
[7] TCVN 7011-4 (ISO 230-4), Quy tắc kiểm máy công cụ - Phần 4: Kiểm độ tròn cho máy công cụ điều khiển số
[8] TCVN 7011 -5 (ISO 230-5), Quy tắc kiểm máy công cụ - Phần 5: Xác định tiếng ồn do máy phát ra
[9] TCVN 7011-6 (ISO 230-6), Quy tắc kiểm máy công cụ - Phần 6: Xác định độ chính xác định vị theo các đường chéo khối và đường chéo bề mặt (Kiểm sự dịch chuyển theo đường chéo)
[10] TCVN 7011-7 (ISO 230-7), Quy tắc kiểm máy công cụ - Phần 7: Độ chính xác hình học của các trục tâm của chuyển động quay
[11] TCVN 7011-8 (ISO/TR 230-8), Quy tắc kiểm máy công cụ - Phần 8: Rung động
[12] TCVN 7011-9 (ISO/TR 230-9), Quy tắc kiểm máy công cụ - Phần 9: Ước lượng độ không đảm bảo đo cho các phép kiểm máy công cụ theo bộ TCVN 7011 (ISO 230), công thức cơ bản
[13] TCVN 7011-10 (ISO 230-10), Quy tắc kiểm máy công cụ - Phần 10: Xác định đặc tính đo của các hệ thống dò của máy công cụ điều khiển số
[14] TCVN 5906 (ISO 1101), Đặc tính hình học của sản phẩm (GPS) - Dung sai hình học - Dung sai hình dạng, hướng, vị trí và độ đảo
[15] ISO 2692, Geometrical product specifications (GPS) - Geometrical tolerancing - Maximum material requirement (MMR), least material requirement (LMR) and reciprocity requirement (RPR)
[16] TCVN 7076 (ISO 8258), Biểu đồ kiểm soát Shewhart
[17] TCVN 8244-1 (ISO 3534-1), Thống kê học - Từ vựng và ký hiệu - Phần 1: Thuật ngữ chung về thống kê và thuật ngữ dùng trong xác suất
[18] TCVN 8244-2 (ISO 3534-2), Thống kê học - Từ vựng và ký hiệu - Phần 2: Thống kê ứng dụng
[19] TCVN 6663-14:2000 (ISO 5667-14:1998), Chất lượng nước - Lấy mẫu - Phần 14: Hướng dẫn đảm bảo chất lượng lấy mẫu và xử lý nước môi trường
[20] TCVN 6910-2 (ISO 5725-2), Độ chính xác (độ đúng và độ chụm) của phương pháp đo và kết quả đo - Phần 2: Phương pháp cơ bản xác định độ lặp lại và độ tái lập của phương pháp đo tiêu chuẩn
[21] TCVN 10170-7 (ISO 10791-7), Điều kiện kiểm máy công cụ - Phần 7: Độ chính xác của mẫu kiểm hoàn thiện
[22] ISO 14978, Geometrical product specifications (GPS) - General concepts and requirements for GPS measuring equipment
[23] ISO 14253-1, Geometrical product specifications (GPS) - Inspection by measurement of workpieces and measuring equipment - Part 1: Decision rules for proving conformance or nonconformance with specifications
[24] ISO 14253-2, Geometrical product specifications (GPS) - Inspection by measurement of workpieces and measuring equipment - Part 2: Guidance for the estimation of uncertainty in GPS measurement, in calibration of measuring equipment and in product verification
[25] ISO 14253-3, Geometrical Product Specifications (GPS) - Inspection by measurement of workpieces and measuring equipment - Part 3: Guidelines for achieving agreements on measurement uncertainty statements
[26] TCVN 9599 (ISO 21747), Phương pháp thống kê - Thống kê hiệu năng và năng lực quá trình đối với các đặc trưng chất lượng đo được
[27] TCVN 9944-1 (ISO 22514-1), Phương pháp thống kê trong quản lý quá trình - Năng lực và hiệu năng - Phần 1: Nguyên tắc và khái niệm chung
[28] TCVN 9944-2 (ISO 22514-2), Phương pháp thống kê trong quản lý quá trình - Năng lực và hiệu năng - Phần 2: Năng lực và hiệu năng quá trình của các mô hình quá trình phụ thuộc thời gian
[29] TCVN 9944-6 (ISO 22514-6), Phương pháp thống kê trong quản lý quá trình - Năng lực và hiệu năng - Phần 6: Thống kê năng lực quá trình đối với các đặc trưng có phân bố chuẩn nhiều biến
[30] TCVN 9944-7 (ISO 22514-7), Phương pháp thống kê trong quản lý quá trình - Năng lực và hiệu năng - Phần 7: Năng lực của quá trình đo lường
[31] ASME B89.7.3.1 - 2001, Guidelines for Decision Rules: Considering Measurement Uncertainty in Determining Conformance to Specifications
[32] DIN 55350-14, Quality assurance and statistical terminology: concepts relating to sampling
[33] DIN 55350-21, Quality assurance and statistical terminology: statistical terminology: random variables and probability distributions
[34] DIN 55350-33, Concepts to quality management and statistics: concepts of statistical process control (SPC)
[35] DIN 53804-1, Statistical evaluation - Part 1: Continuous characteristics
[36] VDMA-Einheitsblatt 8669; Fähigkeitsuntersuchung zur Abnahme zerspanender Werkzeugmaschinen; 2001 + Berichtigung zu VDMA-Einheitsblatt 8669
[37] Global Machinery and Equipment Specification Document, Machine Run Off And Acceptance Specifications (MRO). Manufacturing Engineering Organizations of GM Powertrain and GM Powertrain Europe, Document SP-Q-MRO-GLOBAL, November 2005
[38] GRUBBS, F.E., Sample Criteria for Testing Outlying Observations. Annals of Mathematical Statistics, 21 (1), March 1950), pp. 27-58
[39] HANRATH, G., Fähigkeitsuntersuchungen an Werkzeugmaschinen; WZL/IPT-Berichte aus der Produktionstechnik, Shenker-Verlag, Band 11/97
[40] N.N.: Measurement Systems Analysis - Reference Manual; Chrysler, Ford, General Motors; Troy, Michigan, 1990
[41] PORTER, L.J., OAKLAND, J.S., Process Capability Indices: An Overview of Theory and Practice. Quality and Reliability Engineering International. Vol. 7, pp. 437-488,1991
[42] TIPPET, L>H>C., On the Extreme Individuals and Range of Samples Taken from a Normal Population, Biometrika. vol. 17, pp. 364-387, 1925
[43] WECK, M. and HANRATH, G., German Machine Tool Developments. Machine Tool Technology Forum of the Association for Manufacturing Technology, Chicago, March 1994
Bạn chưa Đăng nhập thành viên.
Đây là tiện ích dành cho tài khoản thành viên. Vui lòng Đăng nhập để xem chi tiết. Nếu chưa có tài khoản, vui lòng Đăng ký tại đây!


