- Tổng quan
- Nội dung
- Tiêu chuẩn liên quan
- Lược đồ
- Tải về
Tiêu chuẩn TCVN 11965-1:2017 Phương tiện làm sạch không khí pha khí
| Số hiệu: | TCVN 11965-1:2017 | Loại văn bản: | Tiêu chuẩn Việt Nam |
| Cơ quan ban hành: | Bộ Khoa học và Công nghệ | Lĩnh vực: | Công nghiệp |
|
Ngày ban hành:
Ngày ban hành là ngày, tháng, năm văn bản được thông qua hoặc ký ban hành.
|
2017 |
Hiệu lực:
|
Đã biết
|
| Người ký: | Đang cập nhật |
Tình trạng hiệu lực:
Cho biết trạng thái hiệu lực của văn bản đang tra cứu: Chưa áp dụng, Còn hiệu lực, Hết hiệu lực, Hết hiệu lực 1 phần; Đã sửa đổi, Đính chính hay Không còn phù hợp,...
|
Đã biết
|
TÓM TẮT TIÊU CHUẨN VIỆT NAM TCVN 11965-1:2017
Nội dung tóm tắt đang được cập nhật, Quý khách vui lòng quay lại sau!
Tải tiêu chuẩn Việt Nam TCVN 11965-1:2017
TIÊU CHUẨN QUỐC GIA
TCVN 11965-1:2017
ISO 10121-1:2014
PHƯƠNG PHÁP THỬ ĐỂ ĐÁNH GIÁ TÍNH NĂNG CỦA PHƯƠNG TIỆN VÀ THIẾT BỊ LÀM SẠCH KHÔNG KHÍ PHA KHÍ CHO HỆ THỐNG THÔNG GIÓ CHUNG - PHẦN 1: PHƯƠNG TIỆN LÀM SẠCH KHÔNG KHÍ PHA KHÍ
Test method for assessing the performance of gas-phase air cleaning media and devices for general ventilation - Part 1: Gas-phase air cleaning media
Lời nói đầu
TCVN 11965-1:2017 hoàn toàn tương đương với ISO 10121-1:2014;
TCVN 11965-1:2017 do Ban kỹ thuật tiêu chuẩn quốc gia TCVN/TC142 Thiết bị làm sạch không khí và các khí khác biên soạn, Tổng cục Tiêu chuẩn Đo lường Chất lượng đề nghị, Bộ Khoa học và Công nghệ công bố.
Bộ TCVN 11965 (ISO 10121) Phương pháp thử để đánh giá tính năng của phương tiện và thiết bị làm sạch không khí pha khí cho hệ thống thông gió chung gồm có các phần sau:
- TCVN 11965-1:2017 (ISO 10121-1:2014), Phần 1: Phương tiện làm sạch không khí pha khí.
- TCVN 11965-2:2017 (ISO 10121-2:2013), Phần 2: Thiết bị làm sạch không khí pha khí (GPACD).
Lời giới thiệu
Nhu cầu và việc sử dụng phin lọc pha khí trong các ứng dụng lọc chung đang tăng lên do các vấn đề ô nhiễm trên thế giới tăng lên. Bên cạnh đó việc nâng cao sự hiểu biết về giải pháp cho các phần có sẵn trong định dạng của các thiết bị lọc hoặc trong các cụm từ kỹ thuật: thiết bị làm sạch pha khí (GPACD). Tính năng của thiết bị là sự hấp phụ để loại bỏ khí nhờ vào việc mở rộng phạm vi tính năng của phương tiện làm sạch không khí pha khí thể rắn (GPACM) đã tích hợp trong thiết bị. Người sử dụng và nhà cung cấp chưa hiểu hết tính năng của các ứng dụng trong thiết bị và phương tiện. Các phép thử phương tiện cũng có thể phù hợp để đưa ra số liệu cho các ứng dụng thực nếu sử dụng các nồng độ thực thấp (< 100 ppb) và thời gian tiếp xúc lâu hơn (> tuần), miễn là cấu hình hình học, mật độ nhồi và các điều kiện dòng của mẫu vật thử cỡ nhỏ bằng với cấu hình hình học, mật độ nhồi và các điều kiện dòng đã sử dụng trong các ứng dụng thực. Tuy nhiên, các phép thử như vậy không thuộc phạm vi áp dụng của tiêu chuẩn này. Tiêu chuẩn này bổ sung sự hiểu biết và giao tiếp bằng việc cung cấp một giao diện chuẩn hóa hơn giữa nhà cung cấp phương tiện, nhà cung cấp thiết bị và người sử dụng cuối cùng. Hiện nay, chỉ có các tiêu chuẩn về hệ thống thông gió chung ở Nhật Bản[1] của JIS, về các phin lọc ô tô của ISO, về các thiết bị làm sạch không khí pha khí phương tiện hấp thu trong ống dẫn của ASHRAE[2] và vật liệu hấp phụ của ASHAE[3] và ASTM[5]. Không có tiêu chuẩn về hệ thống lọc chung.
Tiêu chuẩn này quy định các phương pháp, thiết bị thử, diễn giải số liệu và báo cáo cho ba loại phương tiện làm sạch không khí pha khí (GPACM) khác nhau được chỉ định để sử dụng trong các thiết bị làm sạch không khí pha khí (GPACD) đối với các ứng dụng thông gió chung.
Thông tin bổ sung được nêu trong các Phụ lục:
- Phụ lục A mô tả chi tiết quy trình xác nhận tính hợp lệ chuẩn trong các biểu mẫu dạng bảng.
- Phụ lục B đưa ra danh sách các khí thử, các nguồn phát sinh và các thiết bị phân tích phù hợp cho các khí thử nghiệm phổ biến.
- Phụ lục C mô tả thiết kế của bệ thử nghiệm ngoại trừ thiết bị chứa mẫu chuẩn.
- Phụ lục D mô tả thiết lập phép thử chuẩn và phần chuẩn của bệ thử nghiệm cho ba cấu hình phương tiện khác nhau.
Giới thiệu chung về lọc phân tử và thử nghiệm lọc phân tử có thể được tìm thấy trong tài liệu khoa học.
Bộ TCVN 11965 (ISO 10121) nhằm cung cấp các phương pháp phòng thử nghiệm cho phương tiện và thiết bị mà được sử dụng để loại bỏ các chất ô nhiễm pha khí từ không khí nhờ hệ thống thông gió chung. Bộ tiêu chuẩn này bao gồm hai phần:
- Phần 1: Gồm ba cấu hình phương tiện khác nhau và nhằm đưa ra giao diện chuẩn hóa giữa nhà cung cấp phương tiện và nhà sản xuất thiết bị làm sạch không khí. Nó có thể cũng được sử dụng giữa nhà cung cấp phương tiện và khách hàng cuối cùng với các đặc tính phương tiện nhồi không chặt.
- Phần 2: Đưa ra giao diện chuẩn hóa giữa nhà cung cấp thiết bị làm sạch không khí và khách hàng cuối cùng để tìm kiếm tính năng tốt nhất và giải pháp kinh tế nhất cho việc sử dụng phin lọc pha khí.
PHƯƠNG PHÁP THỬ ĐỂ ĐÁNH GIÁ TÍNH NĂNG CỦA PHƯƠNG TIỆN VÀ THIẾT BỊ LÀM SẠCH KHÔNG KHÍ PHA KHÍ CHO HỆ THỐNG THÔNG GIÓ CHUNG -PHẦN 1: PHƯƠNG TIỆN LÀM SẠCH KHÔNG KHÍ PHA KHÍ
Test method for assessing the performance of gas phase air cleaning media and devices for general ventilation - Part 1: Gas-phase air cleaning media
1 Phạm vi áp dụng
Tiêu chuẩn này nhằm cung cấp phương pháp thử phòng thử nghiệm, các thiết bị đề xuất, các phần thử nghiệm chuẩn và các phép thử chuẩn để đánh giá ba phương tiện làm sạch không khí pha khí thể rắn (GPACM) hoặc cấu hình GPACM khác nhau được sử dụng trong các thiết bị làm sạch không khí pha khí cho các ứng dụng lọc chung. Tiêu chuẩn này đặc biệt dùng cho việc thử nghiệm kiểm chứng mà không dùng cho việc đánh giá vật liệu chung hoặc các đặc tính tính năng của hệ thống lỗ rỗng. Tiêu chuẩn này xác định ba loại GPACM khác nhau là GPACM-LF (ví dụ bụi có hình dạng và kích thước khác nhau dùng cho các ứng dụng nhồi không chặt), GPACM-FL (ví dụ lưới tấm phẳng dùng cho tấm một lớp, thiết bị loại túi hoặc gấp nếp) và GPACM-TS (ví dụ cấu trúc ba chiều dày hơn tấm phẳng nhiều lần và được sử dụng làm các phần hoàn thiện trong thiết bị). Các phép thử được tiến hành trong dòng không khí và các cấu hình GPACM được kiểm chứng với các khí thử nghiệm trong các điều kiện ổn định. Vì sử dụng các nồng độ kiểm chứng khí tăng cao (liên quan đến các ứng dụng thông gió chung), nên sử dụng số liệu thử nghiệm để so sánh GPACM với cùng cấu hình và không sử dụng cho mục đích dự đoán tính năng trong điều kiện thực. Điều này không có nghĩa là các cấu hình GPACM khác nhau có thể được so sánh trực tiếp. Mục đích chính là để có thể so sánh các cấu hình tương tự như GPACM, không so sánh giữa các cấu hình GPACM. Thử nghiệm các thiết bị hoàn chỉnh được mô tả trong TCVN 11965-2 (ISO 10121-2).
Để đảm bảo tính khách quan của nhà cung cấp thiết bị thử nghiệm, không ấn định thiết kế cụ thể cho các thiết bị thử nghiệm: ví dụ được minh họa ở Phụ lục C (tham khảo). Quy định các tính chất của thiết bị và các phép thử nghiệm xác nhận tính hợp lệ thay vì quy định các nhu cầu thiết kế thiết bị chứa mẫu phương tiện.
2 Tài liệu viện dẫn
Các tài liệu viện dẫn sau rất cần thiết cho việc áp dụng tiêu chuẩn này. Đối với các tài liệu viện dẫn ghi năm công bố thì áp dụng phiên bản được nêu. Đối với các tài liệu viện dẫn không ghi năm công bố thì áp dụng phiên bản mới nhất, bao gồm cả các sửa đổi, bổ sung (nếu có).
TCVN 11965-2 (ISO 10121-2), Phương pháp thử để đánh giá tính năng của phương tiện và thiết bị làm sạch không khí pha khí cho hệ thống thông gió chung - Phần 2: Thiết bị làm sạch không khí pha khí (GPACD).
ISO 29464, Cleaning equipment for air and other gases - Terminology (Thiết bị làm sạch không khí và các khí khác - Thuật ngữ).
ASTM D2854, Standard Test Method for Apparent Density of Activative Carbon (Phương pháp thử chuẩn tỷ trọng biểu kiến của cacbon hoạt tính).
3 Thuật ngữ và định nghĩa
Tiêu chuẩn này sử dụng các thuật ngữ và định nghĩa đã nêu trong ISO 29464 và các thuật ngữ và định nghĩa sau.
3.1
Sự hấp thụ (absorption)
Sự vận chuyển và hòa tan của chất bị hấp thụ vào trong chất hấp thụ.
3.2
Chất bị hấp phụ (của phương tiện) (adsorbate)
Hợp chất phân tử ở pha khí hoặc hơi sẽ bị giữ lại bởi vật liệu hấp phụ của phương tiện.
3.3
Chất hấp phụ (adsorbent)
Vật liệu thu thập các chất bị hấp phụ lên bề mặt của nó thông qua các quá trình hóa học hoặc lý học.
3.4
Sự hấp phụ (adsorption)
Quá trình các phân tử khí bám vào bề mặt tiếp xúc của chất rắn, cả mặt bên ngoài và mặt trong lỗ rỗng do các quá trình lý học hoặc hóa học, nhờ vậy mà chúng tiếp xúc.
3.5
Lượng xuyên thấu (breakthough)
Lượng chất ô nhiễm thể khí trong dòng hạt của thiết bị và phương tiện GPAC.
CHÚ THÍCH: Xem "sự thấu qua (3.33)”.
3.6
Đường cong lượng xuyên thấu theo thời gian (breakthough vs time curve)
Đồ thị thấu qua của chất ô nhiễm theo thời gian đối với nồng độ và lưu lượng không khí kiểm chứng đặc trưng.
[Nguồn: ISO 29464:2011; 3.2.67],
3.7
Dòng khí tránh (bypass)
Một phần của dòng không khí kiểm chứng đi qua GPACD mà không tiếp xúc với phương tiện lọc. [Nguồn: ISO 29464:2011; 3.2.64],
3.8
Dung lượng (capacity)
ms
Lượng (khối lượng hoặc mol) của chất bị hấp thụ đã chọn có thể chứa trong phương tiện hoặc thiết bị GPAC ở điều kiện thử nghiệm đã biết và một điểm cuối cụ thể.
CHÚ THÍCH: Dung lượng cũng có thể âm trong quá trình giải hấp.
3.9
Nồng độ kiểm chứng (challenge concentration)
Nồng độ của chất ô nhiễm thử nghiệm được quan tâm trong dòng không khí trước khi lọc (dòng không khí kiểm chứng).
3.10
Hợp chất kiểm chứng (challenge compound)
Hợp chất hóa học đang được sử dụng như chất ô nhiễm quan tâm đối với mọi phép thử đã cho.
3.11
Dòng không khí kiểm chứng (challenge air stream)
(Các) chất ô nhiễm thử nghiệm quan tâm đã pha loãng đến (các) nồng độ quy định của phép thử trước khi lọc.
[Nguồn: ISO 29464:2011; 3.2.16],
3.12
Tạo kênh (channeling)
Lưu lượng không khí không đồng đều hoặc không cân đối đi qua đường dẫn có trở lực thấp hơn do tính không nhất quán trong thiết kế hoặc trong sản xuất của GPACD, đặc biệt là trong các tầng hạt nhồi chặt.
[Nguồn: ISO 29464.2011; 3.2.17],
3.13
Hấp phụ hóa học (chemisorption) (chemical adsorption)
Bẫy các chất ô nhiễm thể hơi hoặc thể khí lên chất hấp phụ bao gồm cả phản ứng hóa học trên bề mặt chất hấp phụ.
[Nguồn: ISO 29464:2011; 3.2.19].
3.14
Nồng độ (concentration)
Cn
Lượng của một chất đã phân tán trong một lượng xác định của một chất khác.
CHÚ THÍCH 1: Chỉ thị nguồn gốc và địa điểm ký hiệu “n”.
[Nguồn: ISO 29464:2011: 3.2.21 ].
3.15
Chất ô nhiễm (contaminant)
Chất (rắn, lỏng hoặc khí) có ảnh hưởng tiêu cực đến mục đích sử dụng của lưu chất.
[Nguồn: ISO 29464:2011; 3.2.23],
3.16
Thời gian suy giảm (decay time)
tDn
Thời gian cần để thiết bị quan trắc chất ô nhiễm khí ghi lại sự suy giảm từ nồng độ kiểm chứng lớn hơn 95% tới nồng độ kiểm chứng nhỏ hơn 5% (tEND - tVC) tại điểm lấy mẫu sau phin lọc cho một phép thử cụ thể (n), khí kiểm chứng và lưu lượng khí sau khi ngừng phun chất ô nhiễm mà không có thiết bị hoặc phương tiện GPAC.
3.17
Sự giải hấp (desorption)
Quá trình mà các phân tử bị hấp phụ rời khỏi bề mặt của chất hấp phụ và quay trở lại dòng không khí.
CHÚ THÍCH: Sự giải hấp là ngược lại với sự hấp phụ.
3.18
Sau phin lọc (downstream)
Khu vực sau phin lọc theo hướng của dòng lưu chất.
3.19
Đường cong hiệu suất theo thời gian (efficiency vs, time curve)
Đồ thị hiệu suất lọc của phương tiện hoặc thiết bị GPAC theo thời gian trong toàn bộ khoảng thời gian của phép thử kiểm chứng đối với nồng độ và lưu lượng không khí kiểm chứng đặc trưng.
[Nguồn: ISO 29464:2011; 3.2.31],
3.20
Đường cong hiệu suất theo dung lượng (efficiency vs. capacity curve)
Đồ thị hiệu suất lọc của GPACD theo dung lượng đã tích hợp trong toàn bộ khoảng thời gian của phép thử kiểm chứng đối với nồng độ và lưu lượng không khí kiểm chứng đặc trưng.
[Nguồn: ISO 29464:2011; 3.2.28].
3.21
Vận tốc bề mặt (face velocity)
Lưu lượng không khí chia cho tiết diện của phương tiện hoặc thiết bị GPAC.
3.22
Khí (gas)
Chất có áp suất hơi lớn hơn áp suất không khí xung quanh ở nhiệt độ môi trường xung quanh.
[Nguồn: ISO 29464:2011; 3.2.44],
3.23
Thiết bị làm sạch không khí pha khí (gas-phase air cleaning device)
GPACD
Một bộ thiết bị có kích thước cố định cho phép loại bỏ các chất ô nhiễm pha hơi hoặc pha khí đặc trưng.
CHÚ THÍCH: Bộ thiết bị này thường là hình hộp hoặc khít với các kích cỡ của hộp trong khoảng từ 300 mm x 300 mm x 300 mm cho đến 610 mm x 610 mm x 610 mm hoặc 2 feet x 2 feet x 2 feet.
[Nguồn: ISO 29464:2011; 3.2.45, sửa đổi - CHÚ THÍCH].
3.24
Diện tích bề mặt thiết bị hoặc phương tiện GPAC (GPAC media or device face area)
Tiết diện của thiết bị hoặc phương tiện GPAC cũng bao gồm cả khung phía trên hoặc các kết cấu hỗ trợ khác nếu được trang bị khi nhìn theo hướng của dòng không khí sử dụng các kích thước chính xác.
3.25
Phương tiện làm sạch không khí pha khí (gas-phase air cleaning media)
GPACM
Cấu hình phương tiện hoặc phương tiện thể rắn được sử dụng để lọc chất ô nhiễm.
VÍ DỤ: Một màng rỗ hoặc một lớp sợi; chất hấp phụ (hoặc hấp phụ hóa học) dạng viên hoặc dạng hạt, chuỗi hạt; giá đỡ cấu tạo bởi vài sợi, dạng bọt xốp hoặc đá nguyên khối có chứa chất hấp phụ dạng hạt kích thước nhỏ, dạng tròn, dạng cầu hoặc dạng bột; vải dệt thoi hoặc vải không dệt được làm hoàn toàn từ vật liệu hấp phụ.
3.26
GPACM-LF
Chất hấp phụ dạng hạt có hình dạng và kích thước khác nhau được sử dụng cho, ví dụ, các ứng dụng nhồi không chặt.
3.27
GPACM-FL
Chất hấp phụ dạng tấm phẳng dễ uốn, mỏng và hai chiều danh định.
VÍ DỤ: Vải dệt thoi hoặc không dệt, giấy ướt, các lớp đệm mịn, vải dạ nỉ v.v.. .thường được xử lý như hàng hóa cuộn.
3.28
GPACM-TS
Chất hấp phụ dạng cấu trúc ba chiều dày hơn nhiều lần so với tấm phẳng và ví dụ được sử dụng như hợp phần hoàn thiện trong thiết bị.
VÍ DỤ: Cấu trúc ngăn mở linh hoạt, nghĩa là, của tấm dạng bọt xốp dễ thấm dầy hơn, các tấm lót dạng sóng.v.v.. và các kết cấu cứng dễ thấm, tức là các hạt đã kết dính, các khay dạng tổ ong, đá nguyên khối, v.v..
3.29
Hiệu suất ban đầu (initial efficiency)
Ei
Hiệu suất được tính như giao điểm của trục hiệu suất thẳng đứng bằng sự ngoại suy đường hiệu suất phù hợp tuyến tính theo thời gian với các giá trị từ 2 min đến 12 min của đồ thị E tạo ra theo thời gian trong quá trình thử nghiệm bằng thiết bị hoặc phương tiện GPAC.
3.30
Sự ô nhiễm phân tử (molecular contamination)
Sự ô nhiễm có trong pha khí hoặc pha hơi của dòng không khí và loại trừ các hợp chất trong pha hạt (rắn) bỏ qua bản chất hóa học của chúng.
3.31
ppb(v)
Đơn vị đo nồng độ phần tỷ theo thể tích thường được sử dụng để ghi lại các mức ô nhiễm của không khí ngoài nhà.
CHÚ THÍCH: Đơn vị là mm3/m3.
3.32
ppm(v)
Đơn vị đo nồng độ phần triệu theo thể tích thường sử dụng để ghi lại các mức ô nhiễm bên trong, ví dụ an toàn nơi làm việc.
CHÚ THÍCH: Đơn vị là cm3/m3 và ml/m3.
3.33
Sự thấu qua (penetration)
P
Tỷ lệ của nồng độ chất ô nhiễm sau phin lọc so với nồng độ (kiểm chứng) trước phin lọc.
CHÚ THÍCH 1: Đôi khi tính bằng đơn vị phần trăm.
CHÚ THÍCH 2: Liên quan đến hiệu suất (E) tính bằng: E = (1 - P) x 100 %.
[Nguồn: ISO 29464:2011; 3.2.51].
3.34
Hấp phụ vật lý (physisorption)
Sức hút hấp phụ vật lý lên bề mặt, cả bề mặt bên ngoài và bề mặt lỗ rỗng bên trong, của chất hấp phụ bởi các lực vật lý (lực Van Der Waals).
3.35
Lỗ rồng (pores)
Các lỗ nhỏ thông qua đó lưu chất có thể đi qua hoặc tiếp xúc với dòng lưu chất ở bề mặt bên trong của phương tiện hấp phụ.
[Nguồn: ISO 29464:2011; 3.2.55].
3.36
Độ giảm áp (pressure drop)
∆p
Chênh lệch áp suất giữa hai điểm trong một hệ thống dòng không khí ở điều kiện quy định, đặc biệt khi được đo qua thiết bị hoặc phương tiện GPAC.
3.37
Hiệu suất lọc (removal efficiency)
E
Tỷ số hoặc phần trăm của chất ô nhiễm kiểm chứng bị giữ lại bởi phương tiện hoặc thiết bị GPAC trong thời gian đã cho.
3.38
Lượng duy trì (retentivity)
mr
Đo khả năng của chất hấp phụ hoặc khả năng GPACD chống lại sự giải hấp phụ của chất bị hấp phụ.
CHÚ THÍCH: Được tính như dung lượng còn lại (phần còn lại) sau khi tháo rửa chất hấp phụ chỉ bằng không khí sạch đã ổn định trước, theo lượng xuyên thấu kiểm chứng.
[Nguồn: ISO 29464:2011; 3.2.61, sửa đổi - Đã bổ sung thêm CHÚ THÍCH).
3.39
Thời gian lưu (residence time)
tr
Thời gian tương đối mà sự gia tăng của lưu chất (hoặc chất ô nhiễm) là nằm trong ranh giới của thể tích phương tiện.
VÍ DỤ: Ví dụ thể tích phương tiện là một lớp hạt hoặc một tấm vải không dệt.
CHÚ THÍCH: Trong sử dụng đặc thù và trong tiêu chuẩn này, giá trị này bỏ qua thực tế là phương tiện và cấu trúc giá đỡ có thể chiếm giữ phần thể tích đáng kể của tầng chất hấp phụ [tR = V (thể tích lớp tổng số)/Q (lưu lượng không khí)].
[Nguồn: ISO 29464:2011; 3.2.71].
3.40
Thời gian tăng (rise time)
tRn
Thời gian giữa lần phun chất ô nhiễm ban đầu và khi đạt tới nồng độ kiểm chứng 95% đối với ống dẫn rỗng (t0 - tvo) đo ở vị trí lấy mẫu sau phin lọc cho phép thử (n), lưu lượng khí và khí kiểm chứng cụ thể.
3.41
Chất bị hấp phụ (của thiết bị) (sorbate)
Các hợp chất mà phân tử bị giữ lại trên chất hấp phụ của thiết bị.
CHÚ THÍCH: Chất bị hấp phụ phải đề cập đến cả hai hợp chất đã định như khí kiểm chứng đã chọn trong phép thử hoặc sự ô nhiễm trong hoạt động thực nhưng cũng đề cập tới mọi hợp chất khác có trong dòng không khí, ví dụ khí và hơi.
3.42
Hấp thu (sorption)
Quá trình trong đó các phân tử của lưu chất (khí hoặc lỏng) bị loại bỏ bởi GPACM do sự hấp thụ hoặc hấp phụ.
3.43
Vận tốc không gian (space velocity)
sv
Đo thời gian lưu của dòng không khí đi qua tầng chất hấp phụ.
VÍ DỤ: sv = lưu lượng thể tích/thể tích tổng của tầng chất hấp phụ.
CHÚ THÍCH: [sv] = [Thời gian lưu]-1.
3.44
Hơi (vapour)
Chất có áp suất hơi thấp hơn áp suất xung quanh ở nhiệt độ xung quanh, nhưng có trong pha khí thông qua sự bay hơi hoặc sự thăng hoa.
[Nguồn: ISO 29464:2011; 3.2.74].
4 Ký hiệu và thuật ngữ viết tắt
4.1 Ký hiệu
| C | Nồng độ |
| CD | Nồng độ sau phin lọc [ppb, ppm] được đo tại vị trí Y mm sau thiết bị hoặc mẫu phương tiện |
| CU | Nồng độ trước phin lọc [ppb, ppm] được đo tại vị trí X mm trước thiết bị hoặc mẫu phương tiện |
| dpa | Đường kính hạt trung bình của chất hấp phụ nhồi không chặt |
| EC | Hiệu suất lọc [%] đối với thiết bị được đo ở nồng độ kiểm chứng đã chọn trong phép thử dung lượng |
| EEND | Hiệu suất ghi được tại thời điểm dừng phép thử hoặc tại giá trị được đồng thuận giữa người sử dụng với nhà cung cấp [%] |
| mr | Dung lượng [g], [mol]; lượng được giữ lại bởi thiết bị hoặc phương tiện sau khi thông gió bằng không khí sạch với cùng một lưu lượng đã chọn trong phép thử dung lượng cho đến khi CD đạt tới giá trị xác định gần với “zero”. |
| ms | Tổng lượng tích hợp [g], [mol] của hợp chất kiểm chứng được tích lũy bởi thiết bị hoặc phương tiện GPAC trong toàn bộ phép thử kiểm chứng |
| msD | Lượng tích hợp tính bằng gam hoặc mol của hợp chất kiểm chứng được tích lũy trong quá trình đo tại vị trí sau phin lọc |
| msU | Lượng tích hợp tính bằng gam hoặc mol của hợp chất kiểm chứng được tích lũy trong quá trình đo tại vị trí trước phin lọc |
| np | Số lượng lỗ dọc theo đường kính (ngắn nhất) của mẫu GPACM-TS |
| pD | Áp suất sau phin lọc [Pa] được đo tại vị trí Y mm sau thiết bị hoặc mẫu phương tiện |
| pU | Áp suất trước phin lọc [Pa] được đo tại vị trí X mm trước thiết bị hoặc mẫu phương tiện |
| Q | Lưu lượng không khí; lưu lượng được sử dụng trong phép thử (đã nêu trong 5.4 hoặc 5.5) [m3/h] đo được tại vị trí Z mm từ thiết bị hoặc mẫu phương tiện |
| QA | Lưu lượng trung bình được tính từ các phép đo riêng biệt phân bố đều trong toàn bộ thời gian thử nghiệm |
| RHD | Độ ẩm tương đối sau phin lọc [%] được đo tại vị trí Y mm sau thiết bị hoặc mẫu phương tiện |
| RHU | Độ ẩm tương đối trước phin lọc [%] được đo tại vị trí X mm trước thiết bị hoặc mẫu phương tiện |
| t | Thời gian |
| t0 | Thời gian bắt đầu. Thời gian khi CU (nồng độ chất ô nhiễm trước phin lọc) bằng với nồng độ kiểm chứng đã chọn đối với ống dẫn hoặc thiết bị chứa mẫu rỗng |
| tDC | Thời gian suy giảm của nồng độ kiểm chứng được sử dụng trong phép đo dung lượng |
| tEND | Thời gian khi phép thử bị dừng lại. Thời gian khi nồng độ mong muốn hoặc tiêu chí kết thúc khác đã được đáp ứng trong mọi quy trình thử nghiệm định trước (sự đồng thuận giữa người sử dụng và nhà cung cấp) |
| tRC | Thời gian tăng đối với nồng độ kiểm chứng được sử dụng trong phép do dung lượng |
| tVC | Thời gian ghi tại thời điểm đóng van khí kiểm chứng |
| tV0 | Thời gian ghi tại thời điểm mở van khí kiểm chứng |
| TD | Nhiệt độ sau phin lọc [°C] được đo tại vị trí Y mm sau thiết bị hoặc mẫu phương tiện |
| TU | Nhiệt độ trước phin lọc [°C] được đo tại vị trí X mm trước thiết bị hoặc mẫu phương tiện |
| vf | Vận tốc bề mặt [m/s] được tính từ lưu lượng và tiết diện của thiết bị hoặc phương tiện |
| X | Vị trí X được định vị đủ xa phía đầu của thiết bị cho phép đo không bị nhiễu loạn, được xác định bằng sự xác nhận tính hợp lệ, Phụ lục A. Tại vị trí X, nồng độ của hợp chất kiểm chứng được trộn đủ và đại diện cho nồng độ trước phin lọc mà mẫu GPACM sẽ được kiểm chứng |
| x | Khoảng cách được khuyến nghị nhỏ nhất từ phần cao nhất của thiết bị chứa mẫu có cùng đường kính như trước phin lọc của mẫu |
| Y | Vị trí Y được định vị đủ xa ở sau của thiết bị để cho phép đo không bị nhiễu loạn, được xác định bằng sự xác nhận tính hợp lệ, Phụ lục A. Tại vị trí Y, nồng độ của hợp chất kiểm chứng thấu qua được trộn đủ và đại diện cho nồng độ sau phin lọc trung bình sau mẫu GPACM |
| y | Khoảng cách được khuyến nghị nhỏ nhất từ sau phin lọc của mẫu tới phần thấp nhất của thiết bị chứa mẫu có cùng đường kính như mẫu |
| Z | Vị trí Z được định vị đủ xa từ thiết bị hoặc phương tiện cho phép đo lưu lượng tin cậy sử dụng thiết bị có lỗ tiết lưu, được xác định bằng sự xác nhận tính hợp lệ, Phụ lục A |
| ∆p | Độ giảm áp được đo qua thiết bị hoặc mẫu phương tiện thử nghiệm [Pa]. |
4.2 Thuật ngữ viết tắt
| ASHRAE | Hội điều hòa không khí và nhiệt lạnh của Hoa Kỳ |
| ASTM | Tiêu chuẩn quốc tế ASTM, trước đây được biết đến như Hiệp hội về thử nghiệm và Vật liệu (ASTM) Hoa Kỳ |
| HEPA | Thiết bị lọc bụi không khí hiệu suất cao (phin lọc) |
| JIS | Tiêu chuẩn công nghiệp Nhật Bản |
| JSA | Hiệp hội tiêu chuẩn Nhật Bản |
| MSDS | Bảng dữ liệu an toàn vật liệu |
| MMP | n metyl -2-pyrolidon |
| TLV | Giá trị giới hạn ngưỡng. Lượng của một chất hóa học ở mức được tin rằng một người làm việc có thể tiếp xúc nhiều ngày trong khoảng thời gian sống làm việc mà không bị ảnh hưởng bất lợi đến sức khỏe. |
| VOC | Hợp chất hữu cơ bay hơi. |
5 Thử nghiệm các cấu hình GPACM khác nhau
5.1 Yêu cầu chung
Tiêu chuẩn này chỉ ra cách đo bốn thông số quan trọng có ảnh hưởng đến đặc tính của GPACM. Bốn thông số đó là:
- Độ giảm áp, ∆p
- Dung lượng, ms
- Hiệu suất lọc, E
- Lượng duy trì, mr
Các thông số này được:
- Kết nối với từng thông số khác;
- Chênh lệch với các khí khác nhau (loại trừ: ∆p không bị ảnh hưởng);
- Chênh lệch với các nồng độ của cùng một loại khí khác nhau (loại trừ: ∆p không bị ảnh hưởng);
- Bị ảnh hưởng bởi sự có mặt của các khí khác như: nhiệt độ, độ ẩm và lưu lượng khí;
- Chênh lệch với các kích thước hạt khác nhau của các mẫu nhồi không chặt có cùng một dung tích.
- Chênh lệch với các vật liệu đồng dạng tùy theo vận tốc bề mặt khác nhau và/hoặc các độ dày của vật liệu khác nhau.
Thúc đẩy phép thử bằng cách tăng nhanh nồng độ để thực hiện các phép thử với các thời gian thử đủ ngắn. Trong tiêu chuẩn này đề xuất hai mức nồng độ để xác định dung lượng trong 5.4.
Điều 5 mô tả phần chuẩn của bộ thử nghiệm và thiết bị chứa mẫu chuẩn đối với GPACM khác nhau, các thông số chuẩn để tạo ra dòng không khí kiểm chứng và các khi thử nghiệm cho mục đích chuẩn đối chứng. Điều 6 mô tả chi tiết trình tự phép thử để ổn định và để xác định độ giảm áp, hiệu suất lọc, dung lượng và lượng duy trì theo thứ tự này.
5.2 Thiết lập phép thử và thiết bị chứa mẫu GPACM chuẩn
Thiết bị chứa mẫu GPACM phải được lắp đặt mà không có sự rò rỉ hoặc dòng khí tránh. Dòng không khí cần được trộn đồng nhất và với vận tốc và nồng độ trước phin lọc như nhau trên toàn tiết diện. Sơ đồ thiết bị chứa mẫu được nêu trong Hình 1. Các thông số ghi được là nồng độ C, áp suất p, nhiệt độ T và độ ẩm tương đối RH ở hai vị trí. Lưu lượng không khí được ghi lại tại vị trí thứ ba. Các thiết bị chứa mẫu cần thẳng đứng và hướng theo dòng khí hợp lý nhất là từ trên đỉnh xuống dưới đáy như được nêu trong Hình 1. Theo cách này sẽ tránh được sự xáo trộn ở lớp đệm do dòng khí gây ra. Tuy nhiên, nếu sử dụng lưới chắn được ép dạng lò xo để chứa vật liệu thì hướng của dòng khí có thể từ trên đỉnh xuống dưới đáy là tốt nhất. Tiêu chuẩn này minh họa quy trình của phép đo mẫu đơn lẻ. Bệ thử nghiệm với nhiều thiết bị chứa mẫu song song thường được sử dụng và có thể thuận lợi. Quy trình có thể dễ dàng được mở rộng để làm việc với nhiều phép đo như đã thảo luận trong 6.1.

CHÚ DẪN
| 1 | Q, lưu lượng khí lấy mẫu tại điểm Z |
| 2 | Điểm lấy mẫu trước phin lọc đối với TU, RHU, pU và CU tại điểm X |
| 3 | Bộ khuếch tán tại khoảng cách X từ bề mặt mẫu phương tiện |
| 4 | Mẫu phương tiện GPAC với kích thước D và độ dày T, xem Phụ lục D |
| 5 | Bộ khuếch tán tại khoảng cách y từ bề mặt mẫu phương tiện |
| 6 | Điểm lấy mẫu sau phin lọc đối với TD, RHD, pD và CD tại điểm Y |
Hình 1 - Sơ đồ hình chiếu của thiết bị chứa mẫu mô tả hệ thống ống dẫn, các thông số đo và các điểm lấy mẫu (các thông số chuẩn được nêu trong Phụ lục D)
Phương tiện được sử dụng trong các cấu hình khác nhau phụ thuộc vào cấu hình và cấu trúc của thiết bị đã định. Có ba cấu hình GPACM khác nhau được xác định dùng cho hầu hết các ứng dụng. Ba kiểu cấu hình khác nhau được xác định trong tiêu chuẩn này là GPACM-LF (ví dụ bụi có hình dạng và kích thước khác nhau cho các ứng dụng nhồi không chặt), GPACM-FL (ví dụ lưới tấm phẳng dùng cho thiết bị kiểu túi hoặc nếp gấp một lớp phẳng) và GPACM-TS (ví dụ có cấu trúc ba chiều dày hơn nhiều lần so với tấm phẳng và được sử dụng như các phần hoàn thiện trong thiết bị). Các phép đo chuẩn của thiết bị chứa mẫu cho từng kiểu trong ba kiểu cấu hình GPACM này được nêu trong Phụ lục D. Phụ lục D cũng cung cấp thông tin chuẩn cụ thể cho việc sử dụng từng thiết bị chứa mẫu bao gồm cả độ dày (đệm) mẫu và vận tốc bề mặt mẫu cũng như quy trình lấy mẫu và nạp mẫu đã quy định.
Các phần của thiết bị cũng thường được thử nghiệm, ví dụ, các phần tách rời từ GPACD hoàn chỉnh. Điều này có thể được thử nghiệm theo TCVN 11965-2 (ISO 10121-2) với lưu lượng đã điều chỉnh tới tiết diện còn lại của mẫu. Vì việc sử dụng tấm khớp nối duy nhất phụ thuộc vào kích thước và kiểu của GPACD nên có thể xác định phần thử nghiệm không chuẩn. Do đó, phép thử này không được quy định trong tiêu chuẩn này.
Thiết bị thử nghiệm hỗ trợ cho thiết bị chứa mẫu chuẩn có thể được thiết kế theo các cách khác nhau và thiết kế này không bắt buộc theo một kỹ thuật phân tích hoặc một giải pháp kỹ thuật cụ thể theo mục đích của tiêu chuẩn này. Tuy nhiên, sơ đồ thiết kế được nêu ở Phụ lục C. Các kỹ thuật phân tích và tạo khí được đề xuất trong Phụ lục B. Người sử dụng tiêu chuẩn này phải chọn lựa giải pháp phù hợp nhất có xem xét đến thiết bị có sẵn và kỹ thuật liên quan khác, ví dụ dung lượng của một hoặc nhiều mẫu song song. Một số thông số quan trọng không thể thực hiện phép thử chuẩn đối chứng hoặc BỊ LỆCH SỐ LIỆU NGHIÊM TRỌNG trừ khi chúng được kiểm soát trong các giới hạn đã quy định. Các thông số này được mô tả trong phần thử nghiệm chuẩn và được nêu trong Hình 1 và Bảng 1. Phải chứng minh sự liên kết với các mức này bằng các phép thử đã quy định trong phần xác nhận tính hợp lệ.
5.3 Số liệu thô, độ chính xác lấy mẫu và các thông số tạo khí chuẩn
Một cách lý tưởng là tất cả các thông số đo trong Hình 1 cần được đo liên tục với hệ thống ghi bằng máy tính. Tần suất lấy mẫu phải đủ nhanh để tạo ra đủ độ phân giải trong số liệu hấp thụ và hấp phụ. Ngoài độ chính xác quy định, các thông số tạo khí chuẩn được nêu trong Bảng 1 dưới đây:
Bảng 1 - Các thông số tạo khí chuẩn, tần suất đo và yêu cầu về độ chính xác trong quá trình thử nghiệm
| Thông số | Các thông số tạo khí chuẩn | Đơn vị | Khoảng đo | Độ chính xác tuyệt đối | Dao động cho phép trong quá trình thử nghiệm | Tần suất đo |
| CU | đã chọn theo 5.4 hoặc 5.5 | ppb (v) | 5000-100000 | ± 1,5% | ±3% | 5 min, 1h, 4h, 12ha.b |
| CD | N.A. | ppb (V) | 100-100000 | ± 1,5% | N.A. | 1 minb |
| TU | 23 hoặc chọn theo 5.5 | °C | N.A.C | ± 0,5°C | ± 0,5°C | giống như CD |
| Td | N.A. | N.A. | ||||
| RHU | 50 hoặc chọn theo 5.5 | % | N.A.C | ± 1 % RH | ± 3 % RH | giống như CD |
| RHD | N.A. | N.A. | ||||
| pU, pD | - | Mbar | - | ±5% | ±5 | giống như CD |
| ∆p | đặc trưng cho thiết bị chứa mẫu và phương tiện | Pa |
| ±2 |
| giống như CD |
| Q lưu lượng không khí | Được nêu trong Phụ lục D trong 5.4 hoặc người sử dụng lựa chọn trong 5.5 | m3/h | N.A. | ±5% | ±3% | giống như CD |
| vf vận tốc bề mặt | m/s | N.A. | ||||
| Thời gian lưu | S | N.A. | N.A | N.A | N.A | |
| a Nồng độ trước phin lọc cần ở mức tối thiểu để đo trước và sau theo trình tự các thử nghiệm riêng lẻ. b Có thể sử dụng khoảng thời gian dài hơn nếu tạo ra ít nhất 100 pts với hiệu suất xuống tới 50%. Có thể cần khoảng thời gian dài hơn để nồng độ tới mức phát hiện cho phép thấp nhất sử dụng thiết bị tại chỗ, ví dụ ống Tenax, dẫn đến các phép đo thường xuyên thấp hơn mỗi lần đo 5 min. c Thông tin tham khảo của T là 15 - 45 và RH là 30 - 95. | ||||||
5.4 Các thông số thử nghiệm cho phép thử đối chứng chuẩn
5.4.1 Yêu cầu chung
Đề xuất hai mức nồng độ và ba chất khí cho mục đích chuẩn đối chứng ứng dụng và phổ biến cho tất cả các cấu hình GPACM đã xác định trong tiêu chuẩn này. Điều này được nêu trong Bảng 2 dưới đây. Tất cả các thông số khác được quy định chuẩn nhưng chênh lệch với các cấu hình GPACM khác nhau được nêu trong Phụ lục D. Lựa chọn thiết lập toàn bộ phép thử như một sự tích hợp tốt nhất giữa các sai số đo, độ phân giải của các kỹ thuật đo có sẵn và số lần thử nghiệm có thể chấp nhận.
5.4.2 Nồng độ phép thử kiểm chứng
Có thể thực hiện phép thử thực hiện trong khoảng thời gian thử từ 1h đến 12h để đảm bảo cho hai nồng độ cao, 9 ppm (v) và 90 ppm (v). Có thể cần nồng độ cao hơn để đảm bảo rằng phương tiện được kiểm chứng đủ để chỉ ra hiệu suất suy giảm. Hiệu suất cuối cùng cho phép nhỏ nhất cũng nêu ra để đảm bảo rằng phép thử đang kiểm chứng phương tiện tạo ra đủ số liệu hữu ích. Có thể sử dụng số liệu thu được để so sánh các mẫu khác nhau trong cùng một cấu hình GPACM sao cho số liệu được so sánh cho cả hai nồng độ đã đo tại hoặc 9 ppm (v) hoặc 90 ppm (v) với cùng một khí kiểm chứng, cùng một thiết bị chứa mẫu và cùng một kiểu phép thử tức là cùng vận tốc bề mặt và độ dày vật liệu.
5.4.3 Phin lọc thử nghiệm VOC với toluen
Chọn nồng độ toluen thấp hơn bất cứ khi nào có thể vì số liệu được tạo ra từ nồng độ này gần với ứng dụng thực hơn. Tại các đường hấp phụ đẳng nhiệt theo nồng độ cao hơn từ các chất hấp phụ khác nhau có thể thay đổi thứ hạng do thể tích lỗ rỗng và cho thấy "độ rỗng” và dung lượng dễ giải hấp không có sẵn trong ứng dụng thực.
5.4.4 Phin lọc để thử nghiệm axit với SO2 và bazơ với NH3
Đối với các bazơ và axít vô cơ không có sự chênh lệch theo nồng độ được dự kiến tại 9 ppm (v) hoặc 90 ppm (v) do vậy để thuận tiện có thể sử dụng nồng độ cao hơn. Tuy nhiên, cẩn trọng khi sử dụng chất hấp phụ và tra cứu số liệu có sẵn, điều này có thể không đúng cho tất cả các hệ thống chất hấp phụ. Hơn nữa, sự hấp thu của SO2 phụ thuộc vào độ ẩm tương đối. Đối với ứng dụng SO2 mà nhiệt độ mong muốn hoặc độ ẩm tương đối cách xa giá trị chuẩn, thì cần sử dụng các thông số ứng dụng thực và thử nghiệm theo 5.5.
Bảng 2 quy định khí kiểm chứng, nồng độ và các yêu cầu thử nghiệm đề xác định dung lượng theo 6.3.
Bảng 2 - Nồng độ, khí kiểm chứng và các yêu cầu thử nghiệm đối với phép thử chuẩn đối chứng
| Thông số | Khí đã chọn | Mức kiểm chứng | Đơn vị | Kỹ thuật phân tích đối chứng | Hiệu suất cuối cùng cho phép nhỏ nhất trong 12h b | Phép thử lượng duy trì |
| AXIT | SO2a | 9/90b | ppm (v) | Huỳnh quang UV | 50%> EEND > 10% | Tùy chọn |
| BAZƠ | NH3 | 9/90b | ppm (v) | Huỳnh quang hóa học | 50%> EEND > 10% | Tùy chọn |
| VOC | Toluen | 9/(90)b | ppm (v) | PIDc hoặc FIDC | 50% > EEND > 10% | Bắt buộc |
| a SO2 có thể không đại diện cho các khí axit khác. Trong các ứng dụng cho H2S, NO, NO2 v.v... có thể tốt hơn là thử nghiệm với khí trong truy vấn theo 5.5 và Phụ lục B. b Chọn nồng độ thấp hơn hoặc cao hơn phụ thuộc vào kiểu phin lọc và các yêu cầu của ứng dụng. Nồng độ thấp hơn được ưa dùng cho toluen trong khi nồng độ cao hơn có thể cần cho tất cả các khí để đạt tới hiệu suất cuối cùng cho phép nhỏ nhất sau 12h. c Kỹ thuật đối chứng là một kỹ thuật ưa dùng hơn trong tiêu chuẩn này. Tuy nhiên, các kỹ thuật khác có thể được sử dụng nếu nhà cung cấp phép thử có thể chỉ ra sự tương quan được lập thành tài liệu so với kỹ thuật đối chứng | ||||||
5.4.5 Phép thử lượng duy trì
Xác định lượng duy trì là bắt buộc đối với các thiết bị được thử nghiệm với toluen, xem 6.4. Phép thử này được thực hiện trực tiếp sau khi đơn giản hóa phép thử kiểm chứng bằng cách giữ cùng một dòng không khí nhưng ngắt khí kiểm chứng. Sau đó, ghi lại sự suy giảm nồng độ sau phin lọc cho đến khi nồng độ < 5% nồng độ kiểm chứng ban đầu hoặc với thời gian thử nghiệm lớn nhất là 6h. Cần thực hiện các phép thử lượng duy trì với lưu huỳnh đioxit hoặc amoniac.
5.5 Lựa chọn các thông số thử nghiệm giữa người sử dụng và nhà cung cấp
5.5.1 Yêu cầu chung
Thiết lập chuẩn quy định tất cả các biến số ngoại trừ vận tốc bề mặt, độ dày vật liệu, khí kiểm chứng, nồng độ kiểm chứng, nhiệt độ, độ ẩm tương đối và khoảng thời gian thử. Các thông số này phụ thuộc vào ứng dụng cụ thể và cần được đồng thuận giữa nhà cung cấp và người sử dụng trong từng trường hợp cụ thể.
5.5.2 Vận tốc bề mặt và độ dày vật liệu
Vận tốc bề mặt và độ dày vật liệu là các thông số cấu trúc của thiết bị. Vì thế tốt hơn là sử dụng vận tốc bề mặt thực, độ dày vật liệu thực và sự phân bố kích thước thực cho ứng dụng nhồi không chặt trong phương tiện thử nghiệm cụ thể để bắt chước tính năng thực. Lưu lượng không khí và thời gian lưu được suy ra từ vận tốc bề mặt, độ dày vật liệu và tiết diện như đã quy định trong Phụ lục D.
5.5.3 Khí kiểm chứng
Sự lựa chọn khí kiểm chứng cần phù hợp với ứng dụng đã định. Nếu có thể, lựa chọn tốt nhất là sử dụng cùng loại khí như trong ứng dụng thực tế. Trừ khi có quy định khác, có thể sử dụng các khí đã sử dụng trong 5.4. Một số khí ô nhiễm đã biết cũng được đề xuất trong Phụ lục B.
5.4.4 Nồng độ kiểm chứng
Nồng độ kiểm chứng luôn luôn là một thỏa thuận và đặt trong rủi ro đối với việc ước tính dưới hoặc trên tính năng tuổi thọ thực của phương tiện. Tính năng đo được là một hàm trực tiếp của nồng độ kiểm chứng đã chọn để loại bỏ các hợp chất hữu cơ bằng sự hấp thu vật lý như đã mô tả bằng đường hấp phụ đẳng nhiệt theo nồng độ. Thêm vào đó, trong hệ thống lắp đặt thực tế vật liệu tốt nhất để thực hiện cho phép thử nồng độ cao có thể không tốt nhất cho phép thử nồng độ thấp. Do đó, cần sử dụng nồng độ kiểm chứng có khả năng thực hành thấp nhất. Đối với phương tiện được thiết kế để loại bỏ hợp chất axit hoặc kiềm bằng sự hấp thu hóa học, sự phụ thuộc của dung lượng vào nồng độ thường không tìm thấy nồng độ kiểm chứng trong khoảng chuẩn nếu chỉ có sẵn thiết bị hấp thu hóa học. Tuy nhiên, các axit hữu cơ hoặc bazơ có thể cũng được loại bỏ bằng sự hấp thu vật lý và phản ứng xúc tác, cả hai hiện tượng thêm vào dung lượng đã cho bởi sự hấp thụ vật lý. Cần đánh giá các ảnh hưởng của nồng độ kiểm chứng đã chọn trong từng trường hợp riêng.
5.5.5 Nhiệt độ và độ ẩm tương đối
Nhiệt độ ảnh hưởng đến tốc độ của các phản ứng hóa học, ví dụ, trong phản ứng hấp thụ hóa học của cacbon ngâm tẩm. Độ ẩm tương đối cần lớn hơn giá trị nhỏ nhất nào đó để xảy ra các phản ứng hóa học liên quan đến nước. Trong trường hợp sử dụng cacbon không ngâm tẩm để loại bỏ VOC, độ ẩm tương đối có thể có ảnh hưởng khá lớn nếu hệ thống lỗ rỗng bị tắc một phần hoặc bị tắc hoàn toàn do nước. Đối với ứng dụng mà nhiệt độ hoặc độ ẩm tương đối dự kiến cách xa so với các giá trị chuẩn cho phép thử chuẩn đối chứng đã nêu trong Bảng 1, cần sử dụng các thông số ứng dụng thực cho phép thử.
5.5.6 Khoảng thời gian thử nghiệm
Khoảng thời gian thử này là một hàm số của khí, nồng độ khí, chất hấp phụ và điểm cuối đã chọn của phép thử. Có thể thực hiện các phép thử xác định với khoảng thời gian từ một giờ đến vài tuần. Tuy nhiên, thực hiện thử nghiệm phương tiện hầu như chỉ để đưa ra chỉ thị nhanh của các thành phần tốt nhất của GPACD. Sau đó GPACD hoàn chỉnh được thử nghiệm một lần nữa ở phạm vi rộng hơn.
6 Trình tự thử nghiệm
6.1 Yêu cầu chung
Nên sử dụng trình tự thử nghiệm này để thử nghiệm tất cả các cấu hình GPACM. Một phép thử hoàn chỉnh gồm có ba phần liên tiếp để xác định bốn thông số quan trọng. Bên cạnh xác định ∆p, phần thứ nhất liên quan tới sự ổn định của thiết bị được thử nghiệm. Phần này cần thực hiện trước mọi phép thử tiếp theo và phải luôn luôn được thực hiện. Tùy thuộc vào nhu cầu của người sử dụng và của GPACM cụ thể được thử nghiệm, có thể không cần xác định tất cả các thông số quan trọng. Tùy chọn để thực hiện theo 6.4 đối với axit và bazơ (Bảng 2). Tuy nhiên, tất cả các phần đã thực hiện phải tuân theo phần quy định của tiêu chuẩn này.
Phải thực hiện việc xác nhận tính hợp lệ của bệ thử nghiệm cho thiết bị tạo khí và các máy phân tích trước khi bắt đầu thử nghiệm. Đặc biệt, nếu chỉ sử dụng một máy phân tích, thời gian trễ, tR và tD, giữa các phép đo trước và sau phin lọc phải được xác định trước (Điều 7) cho lưu lượng và nồng độ đã sử dụng trong 6.3 và 6.4. Việc này là phổ biến và thường hữu ích để sử dụng một bệ thử nghiệm với các thiết bị chứa nhiều mẫu GPACM. Trình tự thử nghiệm trong Điều 6 được mô tả cho thiết bị chứa một mẫu nhưng có thể dễ thực hiện lại trong các phần thích hợp cho phép thử nhiều mẫu. Thiết lập nhiều mẫu chủ yếu để đo chu kỳ vô tận từ mẫu trước phin lọc, mẫu sau phin lọc 1, mẫu sau phin lọc 2, v.v.. Tuy nhiên, nhà cung cấp có thể phải chứng minh rằng số liệu không bị thay đổi do các thiết lập nhiều mẫu và cho phép thời gian giữa các mẫu vượt quá thời gian hoạt động các van thực và các dung tích chết của ống xả cộng với thời gian tăng riêng lẻ và thời gian suy giảm như đã giải thích trong 7.2.
6.2 Xác định sự ổn định và độ giảm áp
Trước khi thực hiện bất cứ phép đo tính năng nào, cần ổn định thiết bị chứa mẫu GPACM bằng không khí sạch không có khí kiểm chứng ở lưu lượng không khí thử nghiệm đúng đã tính từ vận tốc bề mặt và tiết diện của mẫu theo Phụ lục D. Cần duy trì sự ổn định cho đến khi nhiệt độ và độ ẩm trở nên ổn định trên thiết bị (thời gian cân bằng). Phải đo và ghi lại độ giảm áp đối với thiết bị chứa rỗng tại lưu lượng không khí danh định. Cần ghi là các giá trị ∆p đo được bị ảnh hưởng bởi thiết kế của thiết bị chứa mẫu và chỉ nên sử dụng số liệu để so sánh với các cấu hình GPACM tương tự, không so sánh giữa các cấu hình GPACM.
6.2.1 Quy trình
1) Chọn lưu lượng, hợp chất kiểm chứng và nồng độ kiểm chứng đúng CU cho thiết bị được thử nghiệm theo 5.4 hoặc 5.5 và Phụ lục D.
2) Hiệu chuẩn thiết bị phân tích theo Phụ lục A hoặc theo các khuyến nghị của nhà sản xuất.
3) Chuẩn bị bệ thử nghiệm và làm kín bệ thử nghiệm mà không gắn vào GPACM nhưng có lắp thiết bị chứa mẫu đúng.
4) Chuẩn bị và khởi động nguồn khí kiểm chứng và ổn định khí kiểm chứng tới nồng độ mong muốn sau phin lọc. Khi đạt tới sự ổn định, đo CU ít nhất 10 min. Ghi ∆p trong thiết bị chứa rỗng.
5) Tắt nguồn (để xả khí) và để nồng độ đạt tới “zero".
6) Gắn GPACM vào thiết bị chứa mẫu.
7) Tăng lưu lượng không khí tới giá trị mong muốn.
8) Để lưu lượng ổn định và ghi lại độ giảm áp ∆p.
9) Quan sát T và RH sau mỗi 1 min. Đạt tới thời gian cân bằng khi chênh lệch tương đối giữa các số đọc từ cùng một đầu đo đã ổn định trong khoảng 1% đối với RHU và RHD và trong khoảng 0,2% đối với TU và TD với khoảng thời gian ít nhất là 15 min cho tất cả bốn thông số. Khi đạt tới mức này, thiết bị đã sẵn sàng cho phép thử tiếp theo.
6.2.2 Tính toán
Tính ∆p khi có chênh lệch giữa ∆p của mẫu trong thiết bị chứa mẫu và ∆p của thiết bị chứa mẫu rỗng. Không có tính toán khác ngoài 9 điểm ở trên.
6.2.3 Báo cáo và đồ thị
Ghi giá trị ∆p trong trang đầu của báo cáo thử nghiệm tại Điều 8.
6.3 Xác định dung lượng
Phải thực hiện phép thử xác định dung lượng tại nồng độ bằng 9 ppm hoặc 90 ppm theo 5.4 hoặc tại giá trị đã chọn theo 5.5. Mục tiêu của phép thử này là để xác định dung lượng của phương tiện. Trong phép thử này cần đo liên tục nồng độ sau phin lọc và đo định kỳ các nồng độ trước phin lọc để kiểm tra độ ổn định của phép thử, ví dụ đo 10 min mỗi giờ, hoặc lặp lại trong thiết lập thiết bị chứa nhiều mẫu. Tất nhiên, khoảng thời gian thích hợp nhất phụ thuộc vào tổng thời gian thử nghiệm dự kiến, điểm cuối đã chọn, chênh lệch nồng độ trên GPACM, tRC và tDC. Hiệu suất cuối hoặc điểm cuối phải do nhà cung cấp và người sử dụng lựa chọn phụ thuộc vào ứng dụng theo 5.5. Đối với phép thử chuẩn đối chứng trong 5.4 hiệu suất cuối cần đạt tới giá trị trong khoảng từ 50% đến 10% trong thời gian thử 12h.
6.3.1 Quy trình (tiếp theo 6.2.1)
10) Có thể bắt đầu phép thử dung lượng ngay sau 6.2.1. Đặt để đạt tới CU sau thời gian tăng tRC phải được xác định trước trong 7.2. Cần lắp sẵn GPACM trong thiết bị chứa mẫu tại lưu lượng không khí định mức và ở mức cân bằng.
11) Chuẩn bị và khởi động nguồn khí kiểm chứng bằng đặt lại CU.
12) Giám sát TU, TD, RHU, RHD, ∆p và Q sau mỗi 1 min (hoặc lâu hơn nếu tại ít nhất 100 điểm số liệu có thể được tạo ra hiệu suất xuống tới 50%).
13) Bật nguồn và đợi tRC.Ghi thời gian bắt đầu t0.
14) Đo CD cho đến khi đạt mức đủ ổn định hoặc đo ít nhất 20 min trong trường hợp thiết lập một mẫu hoặc đủ thời gian để đưa ra số đọc ổn định trong thiết lập nhiều mẫu.
15) Bật tới CU và bắt đầu đo. Ghi sự tăng nồng độ nhưng loại bỏ các số đọc trong thời gian tDC.
16) Đo CU cho đến khi dạt mức ổn định hoặc đo ít nhất khoảng 20 min trong trường hợp thiết lập một mẫu hoặc đủ thời gian để cho số đọc ổn định trong thiết lập nhiều mẫu.
17) Bật tới CD và bắt đầu đo. Ghi nồng độ tăng lên nhưng loại bỏ các số đọc trong suốt thời gian tDC.
18) Đo CD cho khoảng thời gian dài hơn, ví dụ 20 min phụ thuộc vào tổng thời gian thử dự kiến và nếu sử dụng thiết lập nhiều mẫu hoặc một mẫu.
19) Lặp lại các bước từ 15 đến 18 cho phần còn lại của phép thử cho đến khi đạt tới điểm cuối mong muốn và được ổn định ít nhất 10 min.
20) Nếu lập kế hoạch cho phép thử độ giải hấp, phép thử độ giải hấp có thể được tiến hành đúng nếu tiếp tục thử nghiệm ngay sau phép thử này.
21) Tiếp tục quy trình cho độ giải hấp trong 6.4 mà không kết thúc phép thử này - hoặc - Ghi dung lượng, thời gian thử tEND và hiệu suất lọc cuối tEND.
22) Tắt nguồn và kết thúc phép thử.
6.3.2 Tính toán
Từ hệ thống thu nhận số liệu, cần tạo ra bảng số liệu thô có ngày, thời gian, thời gian thử nghiệm, CU, CD, TU, TD, RHU, RHD, ∆p và Q. Đối với mục đích xác nhận tính hợp lệ (Điều 7) việc giám sát thiết bị tạo khí cũng hữu ích, ví dụ tín hiệu từ van lưu lượng khối lượng. Điều này là thuận lợi để có được thông tin ở trên, hoặc tại ít nhất nồng độ theo thời gian, có sẵn như là biểu đồ của phép đo trên máy tính.
6.3.2.1 Tính hiệu suất
Từ bảng số liệu thô, tính hiệu suất lọc, EC bằng:
![]()
Và được vẽ theo thời gian, xem Hình 2.

CHÚ DẪN
| E | Hiệu suất % | t0 | Thời gian bắt đầu |
| t | Thời gian | tEND | Thời gian kết thúc |
Hình 2 - Ví dụ về biểu đồ hiệu suất theo thời gian
6.3.2.2 Tính dung lượng
Dung lượng (ms) là khối lượng của chất ô nhiễm hấp thu được bởi GPACM. Tổng lượng ms được tính theo lượng tăng lên do thực tế là quy trình trong 6.3.1 chỉ sử dụng một máy phân tích nên việc tính toán cần sử dụng trung bình nội suy cho nồng độ không đo được. Các giá trị nội suy cũng cần được sử dụng ở nơi mà các giá trị thải bỏ trong suốt thời gian tRC và tDC. Giả định rằng một trong các nồng độ (CU hoặc CD) và lưu lượng được đo liên tục, ví dụ sau mỗi 3 min. Trong các Công thức dưới đây thời gian được cho theo giờ và ví dụ đã được nêu đối với phép đo trước phin lọc 1h sau một giờ và sau đó vào mỗi giờ thứ sáu và như đã minh họa trong Hình 3.

CHÚ DẪN
t Thời gian [h]
C Nồng độ [ppb]
|
| Nồng độ trước phin lọc được nội suy CU |
| CD và CU đo được với một máy phân tích |
Hình 3 - Ví đụ đồ thị nồng độ khi sử dụng một máy phân tích đối với CU vàCD
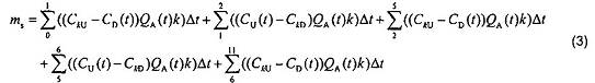
ms = msD(0<t<1) + msU(1<t<2) + msD(2<t<5) + msU(5<t<6) + msD(6<t<11) (2)
CU được nội suy tuyến tính khi đo CD như đã chỉ ra bằng CkU và CD được nội suy tuyến tính khi đo CU như đã chỉ ra bằng CkD:

Trong đó:
| QA | là giá trị trung bình tính được của các phép đo lưu lượng không khí; |
| k | là nhiệt độ, áp suất tuyệt đối và hằng số phụ thuộc khí để chuyển ppm thành mg/m3. Nó tương đương với mật độ của khí kiểm chứng tại nhiệt độ và áp suất tuyệt đối tiến hành phép đo. |
Tính dung lượng tổng theo cách này. Đề đạt được nội suy tuyến tính đúng, phép tính này cần được thực hiện giữa ba giá trị trung bình điểm động của hai bộ số liệu. Mặc dù các công thức có thể phức tạp nhưng công việc thực hành trên máy tính chỉ là sao chép các giá trị trung bình vào ô trống của từng cột nồng độ. Nếu có sẵn hai máy phân tích thì chỉ cần tích hợp một máy. Nếu thử nghiệm nhiều mẫu cần tách và xử lý riêng rẽ các bộ số liệu sau phin lọc theo các công thức ở trên.
6.3.3 Báo cáo và đồ thị
Các phép đo dung lượng được trình bày như:
- Giá trị ban đầu của EC [%], Ei, [%] được tính như giao điểm của trục hiệu suất thẳng đứng bằng cách ngoại suy đường hiệu suất phù hợp tuyến tính theo thời gian từ các giá trị giữa 2 min đến 12 min của đồ thị EC theo thời gian đã tạo ra trong 6.4.2 và được ghi ở trang đầu của báo cáo thử nghiệm.
- Các giá trị cụ thể cho ms tương ứng với hiệu suất tại 95%, 90%, 70%, 50% và theo như có sẵn dưới 50% được ghi ở trang đầu của báo cáo thử nghiệm.
- EC theo ms[g] trong báo cáo thử nghiệm, Điều 8.
- EC theo thời gian (h), trong báo cáo thử nghiệm, Điều 8.
- CD theo thời gian (h) trong báo cáo thử nghiệm, Điều 8.
Ngoài ra, để kiểm tra xác nhận tính đúng đắn của phép thử theo các đồ thị và số liệu thô phải đạt được ở phép thử trong phòng thử nghiệm và có sẵn theo yêu cầu sau:
- TU và TD theo thời gian (h) trong khoảng từ 21°C đến 25°C với vạch chia nhiệt độ 0,5°C hoặc hẹp hơn.
- RHU và RHD theo thời gian (h) trong khoảng từ 45% đến 55% với vạch chia nhiệt độ 0,5% hoặc hẹp hơn.
- Lưu lượng không khí (Q) và đặt van lưu lượng khối lượng cho hợp chất kiểm chứng theo thời gian (h) trong độ phân giải thích hợp.
- ∆p theo thời gian (h) trong độ phân giải thích hợp.
6.4 Xác định lượng duy trì
6.4.1 Yêu cầu chung
Phần cuối của phép thử được thực hiện ngay sau phép thử dung lượng và được tiến hành tại nồng độ “zero" của hợp chất kiểm chứng (tức là nguồn tắt). Mục đích của phép thử này là để xác định khả năng giải hấp. Sự giải hấp là biểu hiện đặc trưng của GPACM được thiết kế để loại bỏ VOCs. Phép thử cần tiếp tục cho đến khi nồng độ sau phin lọc < 5% nồng độ kiểm chứng ban đầu hoặc tối đa 6h.
Cần lưu ý rằng phép thử là hoàn toàn có thể và cần chú ý tới các tính chất giải hấp tại điểm cuối hoặc điểm có lượng xuyên thấu sớm hơn tại điểm xả khí tổng. Khoảng thời gian thử nghiệm và điểm cuối đã chọn (EEND hoặc tEND) được đồng thuận giữa nhà sản xuất và người sử dụng.
6.4.2 Quy trình (tiếp tục từ 6.3.1)
23) Tắt nguồn, ghi thời gian tVC và tiếp tục đo CD trong khi tiến hành phép thử độ giải hấp. Ghi sự giảm nồng độ nhưng loại bỏ số đọc trong thời gian tDC vì chúng bị ảnh hưởng đáng kể bởi sự hấp phụ của thành bình v.v.. Nếu hiệu suất lọc dưới 90%.
24) Đo CD cho đến khi đạt tới điểm cuối mong muốn.
25) Ghi thời gian thử độ giải hấp và nồng độ cuối CD.
26) Tắt phép thử hoàn toàn.
6.4.3 Tính toán
Từ việc xác định dung lượng, xác định tổng dung lượng hấp thu tại nồng độ kiểm chứng mong muốn. Lượng duy trì mr được xác định theo:
6.4.4 Báo cáo và đồ thị
- Ghi giá trị của mr lên trang đầu của báo cáo thử nghiệm.
- Chỉ ra đồ thị mr theo thời gian trong báo cáo thử nghiệm, Điều 8.
KẾT THÚC CHUỖI THỬ NGHIỆM.
7 Xác nhận tính hợp lệ của thiết lập phép thử
7.1 Yêu cầu chung
Nhiều hợp phần cần được quan tâm đặc biệt liên quan đến sự sản xuất, sự hiệu chuẩn và sự điều chỉnh của chúng, để đảm bảo rằng việc thiết lập phép thử phù hợp với các yêu cầu của tiêu chuẩn này. Vì tiêu chuẩn này được dựa trên tính năng hơn là xác định thiết bị cụ thể, nên nghĩa vụ của người xây dựng và người sử dụng thiết bị thử nghiệm là đổ chứng thực tính năng được yêu cầu.
Quy định trong Phụ lục A mô tả các bảng liệt kê danh mục cần kiểm tra bao gồm việc thực hiện các kiểm soát quan trọng nhất. Phụ lục này cũng bao gồm việc xác định độ chính xác của bộ cảm biến và xác nhận tính hợp lệ và đối với sự vận hành thường ngày. Đặc biệt xác định các thời gian trễ quan trọng mà nồng độ và khí cụ thể được mô tả chi tiết dưới đây.
7.2 Xác định thời gian tăng và thời gian suy giảm
Nếu chỉ sử dụng một máy phân tích hoặc nếu sử dụng nhiều thiết bị chứa mẫu song song, phải xác định thời gian trễ đối với sự thay đổi nồng độ trong hệ thống. Việc xác định thời gian trễ được thực hiện mà không có thiết bị thử nghiệm nhưng tiến hành đối với từng khí, tại từng nồng độ và lưu lượng không khí.
Kết quả của các phép thử trong Điều 6 phụ thuộc vào các phép do nồng độ đúng. Phải luôn luôn có thời gian trễ nhất định sau khi thay đổi nồng độ cho đến khi mức mong muốn nằm trong khoảng ± 5% của giá trị mục tiêu. Điều này phụ thuộc vào khí kiểm chứng, nồng độ và phản ứng của nó và diện tích bề mặt thành bên trong của bệ thử nghiệm. Quy trình sau đây đảm bảo rằng có thể loại bỏ số liệu nồng độ từ pha chuyển tiếp.
7.2.1 Quy trình
1) Chọn lưu lượng đúng, hợp chất kiểm chứng và nồng độ kiểm chứng CU cho thiết bị được thử nghiệm theo 5.4 hoặc 5.5 và Phụ lục D.
2) Chuẩn bị bệ thử nghiêm và làm kín bệ thử nghiệm mà không gắn với GPACM nhưng lắp thiết bị chứa mẫu đúng.
3) Chuẩn bị và cung cấp nguồn khí kiểm chứng và ổn định nguồn khí kiểm chứng tới nồng độ mong muốn trước phin lọc.
4) Tắt nguồn (để xả khí) và để nồng độ đạt tới “zero”.
5) Bật nguồn và ghi lại thời gian (tV0). (VO = van mở).
6) Để cho nồng độ kiểm chứng đạt tới CU tại điểm lấy mẫu sau phin lọc và ghi lại thời gian (t0).
7) Khi CU có sự ổn định đáng kể, tắt nguồn và ghi lại tVC . (VC = van đóng).
8) Để cho nồng độ tại CD đạt tới "zero” trong khoảng CU ít nhất < 5% và ghi lại tEND.
7.2.2 Tính toán
Các giá trị được sử dụng trong phép thử xác định dung lượng là:
- Tính thời gian tăng tRC = (t0 - tV0) ;
- Tính thời gian suy giảm tDC = (tEND - tVC).
Số liệu trên là đặc trưng cho khí kiểm chứng đã chọn, nồng độ và lưu lượng không khí của chúng được sử dụng. Có thể sử dụng lại số liệu này ở phép thử tiếp theo nếu không có thay đổi trong thiết lập. Tuy nhiên, cần thường xuyên kiểm tra chặt chẽ các giá trị này như một phần của công tác QA.
- tRC là thời gian cho đến khi GPACM đưa ra nồng độ đúng trước phin lọc và khởi động thời gian kiểm chứng thực, tức là t0.
- tRC là thời gian trễ khi đang bật giữa số liệu CDvà số liệu CU tại hiệu suất lọc cao mà trong đó các giá trị trong suốt thời gian tRC cần được thải bỏ trong phần mềm ghi số liệu.
- tDC là thời gian cho đến khi bệ thử nghiệm hoàn toàn không có khí kiểm chứng, việc này là quan trọng đối với các phép đo “zero”, và đối với an toàn khi gắn thiết bị chứa mẫu GPACM vào bệ thử nghiệm.
- tDC là thời gian cho đến khi các giá trị nồng độ sau phin lọc CD của GPACM phản ánh sự thấu qua thực qua thiết bị và không duy trì sự hấp phụ từ các thành bình và ống thử nghiệm, ví dụ sau phép đo sau phin lọc. Do đó cần thải bỏ các giá trị ghi được trong khoảng thời gian tDC trong phần mềm ghi số liệu.
- tDC đối với các khí đã cho tại các nồng độ thấp, ví dụ amoniac tại 100 ppm có thể thực hiện vài giờ.
- tRC và tDC cũng phải được tính đến giữa các mẫu nếu sử dụng thiết lập thiết bị chứa nhiều mẫu.
7.3.3 Báo cáo và đồ thị
Báo cáo thử nghiệm cần bao gồm cả các giá trị của tRC và tDC, Điều 8.

CHÚ DẪN
| t | Thời gian |
| C | Nồng độ |
| tV0 | Thời gian ghi được tại thời điểm mở van khi kiểm chứng |
| t0 | Thời gian bắt đầu, khi CU (nồng độ chất ô nhiễm trước phin lọc) bằng nồng độ kiểm chứng đã chọn đối với ống dẫn rỗng |
| tVC | Thời gian ghi được tại thời điểm đóng van khi kiểm chứng |
| tEND | Thời gian khi dừng phép thử |
| tRC | Thời gian tăng đối với nồng độ kiểm chứng (RC) |
| tDC | Thời gian suy giảm đối với nồng độ kiểm chứng (DC) |
Hình 4 - Ví dụ về đồ thị thực nghiệm để xác định thời gian tăng và thời gian suy giảm
8 Đánh giá và báo cáo
8.1 Giới thiệu về báo cáo thử nghiệm
Trình tự phép thử được mô tả trong Điều 6. Đối với từng phần của phép thử mục mô tả “đồ thị và báo cáo" mô tả thông tin cần bao gồm trong báo cáo thử đã nêu dưới đây. Báo báo chứa thông tin và các đồ thị ví dụ làm mẫu. Phần chữ thay đổi được thể hiện bằng chữ in nghiêng. Các đồ thị chỉ ra số liệu thực của phép thử tương tự và có thể được sử dụng như một hướng dẫn về cách trình bày số liệu. Nên loại bỏ phần của báo cáo đề cập đến phép thử lượng duy trì tùy chọn nếu phần này không được thực hiện.
8.2 Ví dụ báo cáo thử nghiệm
| BÁO CÁO THỬ NGHIỆM TCVN 11965-1 (ISO 10121-1) | |||||||||||||||||||||
| Báo cáo số | Chèn thông tin ứng dụng | Ngày nhận mẫu | Chèn thông tin ứng dụng | ||||||||||||||||||
| Ngày thử nghiệm | Chèn thông tin ứng dụng | Ngày báo cáo | Chèn thông tin ứng dụng | ||||||||||||||||||
| NHÀ CUNG CẤP PHÉP THỬ: | |||||||||||||||||||||
| Tổ chức thử nghiệm | Tên của tổ chức thử nghiệm | Địa chỉ | Chèn thông tin ứng dụng | ||||||||||||||||||
| Điện thoại | Chèn thông tin ứng dụng | Web | Chèn thông tin ứng dụng | ||||||||||||||||||
| Người vận hành | Chèn thông tin ứng dụng | Người giám sát | Chèn thông tin ứng dụng | ||||||||||||||||||
| KHÁCH HÀNG THỬ NGHIỆM: | |||||||||||||||||||||
| Tên khách hàng | Địa chỉ | Chèn thông tin ứng dụng | |||||||||||||||||||
| Điện thoại | Chèn thông tin ứng dụng | Web | Chèn thông tin ứng dụng | ||||||||||||||||||
| PHƯƠNG TIỆN THỬ NGHIỆM (GPACM) | |||||||||||||||||||||
| Nhà sản xuất | Tên nhà sản xuất | Địa chỉ | Chèn thông tin ứng dụng | ||||||||||||||||||
| Điện thoại | Chèn thông tin ứng dụng | Web | Chèn thông tin ứng dụng | ||||||||||||||||||
| Tên sản phẩm | Chèn thông tin ứng dụng | Số lô (nếu có sẵn) | Chèn thông tin ứng dụng | ||||||||||||||||||
| Cấp độ sản phẩm | AC-VOC | Số mẻ (nếu có sẵn) | Chèn thông tin ứng dụng | ||||||||||||||||||
| Kích cỡ hạt [mm] hoặc [mesh] nếu LF | 4x8 |
|
| ||||||||||||||||||
| Khoảng kích thước hạt trung bình | Chèn thông tin ứng dụng | Kích thước hạt lớn nhất | Chèn thông tin ứng dụng | ||||||||||||||||||
| Thông tin mẫu | Chèn thông tin ứng dụng | Các nhận dạng khác | Chèn thông tin ứng dụng | ||||||||||||||||||
| CÁC ĐIỀU KIỆN THỬ NGHIỆM: | |||||||||||||||||||||
| Vận tốc bề mặt [mm/s] | 260 | Cấu hình sử dụng | GPACM-LP | ||||||||||||||||||
| Đường kính mẫu, D [mm] | 50 | x [mm] |
| Nồng độ kiểm chứng [ppb] | 9100 | ||||||||||||||||
| Độ dày mẫu, T [mm] | 26 | y [mm] |
| Khối lượng mẫu (g) | 48,3 | ||||||||||||||||
| Khí thử nghiệm | Toluen | Nhiệt độ [°C] | 23 | RH [%] | 50 | ||||||||||||||||
| CÁC ĐIỀU KIỆN THỬ NGHIỆM: | |||||||||||||||||||||
| Máy phân tích | Chèn thông tin ứng dụng | Model | Chèn thông tin ứng dụng | ||||||||||||||||||
| Áp suất không khí tĩnh [mbar] | Chèn thông tin ứng dụng | tRC[s] | 40 | tDC[s] | 30 | ||||||||||||||||
|
|
|
|
|
|
| ||||||||||||||||
|
|
|
|
|
|
| ||||||||||||||||
|
|
|
|
|
|
| ||||||||||||||||
| TỔNG CÁC KẾT QUẢ THỬ NGHIỆM: | |||||||||||||||||||||
| ∆p[Pa] | 64 | ∆p rỗng [Pa] | 12 | Hiệu suất ban đầu/Ei (kiểm chứng) [%] | 88 | ||||||||||||||||
| Khoảng thời gian thử nghiệm TEND [h] | 11,2 | Hiệu suất cuối Eend [%] | 18 | ||||||||||||||||||
| ms Dung lượng [g] và thời gian [h] @ | Hiệu suất 95% | N.A | N.A | Hiệu suất 90% | N.A | N.A | Hiệu suất 70% | 2,6 | 4,5 | ||||||||||||
| Hiệu suất 50% | 4,5 | 7 | Hiệu suất 30% | 5,5 | 10 | Tổng số | 7,3 | 11,2 | |||||||||||||
| mr lượng duy trì [g] | 40 | Thời gian còn lại tr [s] | 0,1 | ||||||||||||||||||
| Bình luận: | |||||||||||||||||||||
| ĐỒ THỊ XÁC ĐỊNH DUNG LƯỢNG: | |||||||||||||||||||||
|
a) Ví dụ của phép thử dung lượng, E theo ms, (xem 6.3) | |||||||||||||||||||||
|
b) Ví dụ của phép tính dung lượng, E theo thời gian t, (xem 6.3) Hình 5 - Các đồ thị xác định dung lượng | |||||||||||||||||||||
| N.A Không có thông tin. | |||||||||||||||||||||
| ĐỒ THỊ XÁC ĐỊNH LƯỢNG DUY TRÌ: | |||||||||||||||||||||
|
Hình 6 - Ví dụ của phép thử lượng duy trì, C theo thời gian t, (xem 6.4) | |||||||||||||||||||||
| ĐỒ THỊ XÁC NHẬN GIÁ TRỊ PHÉP THỬ | |||||||||||||||||||||
|
a) Ví dụ sự xác nhận giá trị sử dụng của nồng độ đo được
b) Ví dụ xác nhận giá trị sử dụng của sự dao động và độ chính xác của độ ẩm tương đối Hình 7 - Các đồ thị xác nhận giá trị của phép thử | |||||||||||||||||||||
9 Các khía cạnh an toàn
Tất cả các hóa chất nguy hại đang sử dụng trong công việc tại các nồng độ được tăng cao gây ra rủi ro nghiêm trọng tới nhân viên và môi trường. Đây là yêu cầu tuyệt đối mà nhà cung cấp phép thử xem xét và hành động để cung cấp vùng làm việc an toàn nhưng không được giới hạn như sau.
- Phải đảm bảo đào tạo nhân viên phù hợp.
- Cần xử lý tất cả các hóa chất theo quy định địa phương về an toàn cho nhân viên, ví dụ các mức TLV, xử lý, bảo quản và vận chuyển.
- Phải có sẵn bảng số liệu kỹ thuật và tài liệu MSDs đối với các hóa chất được sử dụng tại điểm sử dụng.
- Cần kiểm tra độc tính, nguy cơ cháy và nổ của tất cả các hóa chất được sử dụng trong bảng số liệu kỹ thuật và tài liệu MSDS.
- Cần xử lý và bảo quản tất cả các chất bên trong các bình áp suất bằng quy trình đúng, ví dụ sử dụng các bệ hoặc thành lắp vào để phòng ngừa rơi vãi hoặc đổ ra ngoài không chủ ý.
- Các thiết bị chứa có một lượng hợp chất kiểm chứng đáng kể, ví dụ các bình hoặc bình áp suất hoặc bình VOC cần được bảo quản và sử dụng theo các quy định an toàn địa phương và phổ biến nhất trong khoang kín có thông gió sao cho các chất của bình vỡ ra không đi vào khu vực làm việc.
- Bệ thử nghiệm hoàn chỉnh và tất cả ống dẫn và ống làm việc phải được thử về rò rỉ.
- Cần lắp đặt máy giám sát rò rỉ và giám sát khí (cảm biến) vào các vị trí làm việc nơi hợp chất kiểm chứng có thể xả vào khu vực làm việc.
- Trước khi thực hiện phép thử kiểm chứng với các hợp chất có độc tính nghiêm trọng ví dụ như hydro sunfua, giá trị của các số liệu thử nghiệm cần được xem xét về các rủi ro. Cần xem xét về việc sử dụng các hợp chất khác có đặc tính hấp phụ tương tự để xác định dung lượng và có thể hạn chế việc sử dụng các hợp chất độc hại cho các phép đo hiệu suất nồng độ thấp.
- Cũng phải thừa nhận rằng tất cả các khí kiểm chứng thấu qua GPACM là có trong khí xả. Tùy thuộc vào độc tính của hợp chất, nồng độ của hợp chất và các quy định địa phương mà thực hiện các hành động phù hợp.
Danh mục ở trên tập trung vào các vấn đề có thể xuất hiện trong quá trình thử nghiệm. Tuy nhiên, tiêu chuẩn này không đề cập tới mọi vấn đề an toàn liên quan đến người sử dụng. Trách nhiệm của người sử dụng là phải thiết lập các thực hành an toàn và sức khỏe phù hợp và xác định khả năng áp dụng các giới hạn quy định trước khi sử dụng.
Phụ lục A
(Quy định)
Các yêu cầu với thiết bị thử nghiệm, xác nhận tính hợp lệ của thiết bị và sự vận hành thường ngày
Các bảng sau chứa các hợp phần mà cần được quan tâm đặc biệt về việc sản xuất, sự hiệu chuẩn và sự điều chỉnh của chúng, để đảm bảo rằng việc thiết lập phép thử nghiệm phù hợp với các yêu cầu của tiêu chuẩn này. Tiêu chuẩn này được dựa trên việc xác định các tính năng hơn là thiết bị cụ thể, nên nhiệm vụ của người sản xuất và người sử dụng thiết bị thử nghiệm này là xác nhận tính năng yêu cầu.
Bảng A.1, Độ chính xác của các cảm biến, chứa thông tin về độ chính xác được yêu cầu của hệ thống thiết bị được sử dụng để xác định các thông số quá trình chung. Tiêu chí thường xuyên được đáp ứng bởi sự hiệu chuẩn lượng vết và được kiểm soát.
Bảng A.2, Xác nhận giá trị sử dụng, có các tính chất hệ thống chủ yếu được xác định bởi thiết kế của bàn thử nghiệm. Các tính chất này phải được kiểm tra một lần để chỉ ra rằng, khái niệm, thiết kế và cấu trúc là vừa đủ để phù hợp với các yêu cầu tính năng cơ bản. Những tiêu chí này thường được xác nhận bằng việc xác định các đặc tính tính năng thích hợp.
Bảng A.3, Vận hành thường ngày, bảng liệt kê các phép thử, sự điều chỉnh và sự hiệu chuẩn, phải được tiến hành thường xuyên và kiểm soát để bảo đảm và duy trì khả năng lâu dài của thiết bị thử nghiệm để tạo ra các phép đo tái lập và đáng tin cậy.
Các chữ số ở cột đầu tiên đề cập tới các điều liên quan trong tiêu chuẩn này.
Bảng A1 - Độ không đảm bảo đo của các cảm biến
| Điều | Thiết bị | Yêu cầu | Bình luận |
| Điều 6 và 7 | Đo độ không đảm bảo lưu lượng không khí | ± 2% | Liên quan đến số đọc thực |
| Điều 6 và 7 | Đo độ không đảm bảo giảm áp | ± 2% | Liên quan đến số đọc thực |
| Điều 6 và 7 | Đo độ không đảm bảo nhiệt độ | + 0,5 °C | Liên quan đến số đọc thực |
|
| Xác định độ không đảm bảo trong máy phân tích/cảm biến được sử dụng | ± 1,5% | Liên quan đến số đọc thực |
| Điều 6 và 7 | Đo độ không đảm bảo của độ ẩm tương đối | ± 1 % | Liên quan đến số đọc thực |
| Điều 6 và 7 | Đo độ không đảm bảo của áp suất xung quanh | ± 3 mbar | Liên quan đến số đọc thực |
Thứ tự thực hiện các phép thử trong bảng sau là thích hợp. Trình tự thử nghiệm như đã chỉ ra trong danh sách kiểm tra có thể được sử dụng như một hướng dẫn.
Bảng A.2 - Sự xác nhận tính hợp lệ
| Điều | Mục phép thử hoặc thông số | Yêu cầu | Bình luận |
| 5 | Bàn thử dẫn điện và tiếp đất |
| Kiểm tra điện thế |
| Điều 5 và 7 | Kiểm soát nhiệt độ | 23°C ± 0,5°C | Kiểm tra bằng nhiệt kế đã hiệu chuẩn |
| Điều 5 và 7 | Kiểm soát độ ẩm (tương đối) | 50% ± 3% RH | Kiểm tra bằng cảm biến độ ẩm đã hiệu chuẩn |
| 7 | Rò rỉ của khoang thử và ống dẫn | < 0,2% lưu lượng thử đã nêu trong 5.5 hoặc Phụ lục D tại 500 Pa | Kiểm tra theo trạng thái chấp nhận được của các phương pháp kỹ thuật |
| 7 | Độ sạch của không khí thử nghiệm, sự ô nhiễm nền | < 1% nồng độ kiểm chứng | Kiểm tra ống dẫn rỗng mà không có khí kiểm chứng |
| 7 | Độ sạch của không khí thử nghiệm, bụi | Độ sạch bụi > F7 + ISO 25 Ea | Kiểm tra ống dẫn rỗng mà không có khí kiểm chứng |
| Điều 5 và 7 | Cảm biến lưu lượng khí, đạt được trong bàn thử nghiệm | ± 2% độ không đảm bảo đo | ± 2% độ lặp lại |
| Điều 5, 6 và 7 | Kiểm soát lưu lượng không khí | Khoảng: 5 cm/s - 30 cm/s | Giá thử và thiết bị chứa mẫu cần được xác nhận tính hợp lệ 10 cm/s/h. Vận tốc bề mặt phải được giữ trong dung sai 3% cho ít nhất 12h |
| 6 | Khoảng giảm áp, lớn nhất 1000 - 4000 Pa | Khoảng ít nhất 10% > ∆p lớn nhất | Khuyến nghị: sử dụng nhiều hơn một cảm biến để bao quát toàn bộ khoảng |
| 6 | Cảm biến giảm áp - Độ không đảm bảo | ± 2% | của toàn bộ giá trị khoảng |
| 6 | Cảm biến giảm áp - Độ lặp lại | ± 2% |
|
| 5 | Dụng cụ cố định mẫu: cho phép mẫu được làm kín mà không bị rò rỉ |
|
|
|
| Ống lấy mẫu: vật liệu và tính chất |
| Không rò rỉ khí, các vật liệu bền hóa học |
|
| Phun khí kiểm chứng - nồng độ | ± 3% điểm đặt, ổn định qua 1h | Kiểm tra sử dụng AXÍT, BAZƠ và khí VOC 90 ppm |
|
| Phải kiểm tra sự ổn định của khí liểm chứng với từng máy kiểm soát lưu lượng khối lượng được sử dụng cho việc xác định liều lượng khí | Xem ở trên |
|
|
| Các detector khí - hiệu chuẩn | Khí hiệu chuẩn với độ tinh khiết > 99,5% |
|
|
| Các detector khí - lưu lượng lấy mẫu | giá trị đặt ± 5 | Sử dụng thiết bị đo lưu lượng độ đúng cao |
|
| Các detector khí - độ nhạy chéo | Kiểm tra độ nhạy chéo tiềm ẩn | Sổ tay máy vận hành (yêu cầu chăm sóc đặc biệt với PIDs và các máy đo phổ hồng ngoại) |
|
| Khí hiệu chuẩn; độ chính xác, tuổi thọ và sự pha loãng | Phù hợp với chứng nhận | Kiểm tra chứng nhận và khuyến nghị của nhà cung cấp |
| 6 | Xác định thời gian trễ/phản hồi của thiết bị (chênh lệch cho các thuốc thử, các detector và các thiết lập phép thử nghiệm khác nhau) | (N/A) | Thời gian giữa việc phun khí và tín hiệu detector đầy đủ, xem 6.1 đối với sự mô tả chi tiết |
| 5 | Lập thành tài liệu của hồ sơ tính năng |
| Tất cả các kết quả thu được trong quá trình xác nhận tính hợp lệ phải được lập thành tài liệu |
| a Cần phân loại phin lọc như đã nêu trong EN 779:2012 và TCVN 11487-1:2016 (ISO 29463-1:2011). | |||
Bảng A.3 - Vận hành thường ngày
| Điều | Mục | Yêu cầu | Tần suất | Bình luận |
| 6 | So sánh việc lấy mẫu trước và sau phin lọc với thiết bị chứa mẫu được lắp không có thiết bị chứa | Tỷ số CD/CU giữa 0,98 và 1,02 | Thường ngày |
|
| 5 | Độ giảm áp của thiết bị chứa mẫu rỗng |
| Từng phép thử | Đối với từng máy phân tích sử dụng |
| 7 | Nồng độ nền (ngoại trừ metan và NO) | < 1% nồng độ tích lũy của thuốc thử kiểm chứng | Thường ngày | Sử dụng từng máy phân tích |
| 5 | Hiệu chuẩn detector và các máy phân tích |
| Từng phép thử |
|
| 6 | Đồng nhất về không gian của nồng độ hợp chất kiểm chứng | ± 5% | Sau mỗi sự cải biên của bàn thử nghiệm |
|
| 6 | Ổn định của nồng độ kiểm chứng | ± 5% | Sau mỗi thay đổi, dịch vụ hoặc sửa chữa các máy kiểm soát lưu lượng khối lượng |
|
| 5 | Giám sát CU, Cd, Tu, TD, RHu, RHd, ∆p và Q sau mỗi phút trong 6 điểm số liệu ghi được đối với mỗi bệ thử nghiệm rỗng | Độ chính xác phù hợp với 5.3 Bảng 1 | Trước mỗi phép thử |
|
| 6 | Phép thử rò rỉ của ống dẫn | < 0,2% tại 500 Pa | Thường niên |
|
| 6 | Hiệu chuẩn phép đo lưu lượng không khí | ± 3% | Thường quý |
|
| 6 | Hiệu chuẩn cảm biến giảm áp | + 2% | Thường quý |
|
| 6 | Hiệu chuẩn cảm biến độ ẩm và nhiệt độ | ± 1% | Thường quý |
|
| 6 | Độ lặp lại | ± 5% | Thường niên |
|
| 6 | Làm sạch bàn thử nghiệm và các thành phần |
| Theo nhu cầu |
|
Phụ lục B
(Tham khảo)
Khí kiểm chứng, các nguồn tạo khí và các kỹ thuật phân tích
B.1 Khí kiểm chứng và các nguồn tạo khí
Việc phun các chất ô nhiễm phải được tiến hành an toàn. Có thể điều chỉnh các lượng phun phù hợp với các yêu cầu cụ thể, và các nồng độ thúc đẩy thử nghiệm thích hợp đã liệt kê.
B.1.1 Các loại khí
Việc phun pha khí có thể đạt được bằng phun khí trực tiếp từ xilanh, nhưng phải tiến hành cẩn trọng để đảm bảo các mẫu có nồng độ rất cao không thể tăng lên ngoài ý muốn, cần sử dụng xylanh đã pha loãng sơ bộ, nếu có sẵn, đến cuối phép thử này. Tuy nhiên, các phin lọc kích thước đầy đủ được thử nghiệm tại các lưu lượng không khí định mức, có thể cần các xylanh không pha loãng để đạt tới thời gian tiếp xúc có thể chấp nhận được và cũng vì lý do kinh tế. Đặc biệt đối với các khí không pha loãng, cần sử dụng các khoang kín thông gió tách rời đối với các xylanh khí. Hơn nữa, các detector khí và các van ngắt phải được sử dụng thích hợp để vận hành an toàn thiết bị.
Cần xử lý các khí thải từ thiết bị để giảm chất ô nhiễm tới mức an toàn trước khi xả vào khí quyển theo quy định địa phương. Phải thực hiện sự xem xét riêng cho việc hủy bỏ và dọn dẹp thiết bị giữa các phép thử. Phải nhận thấy rằng cũng có thể tạo ra các bề mặt tiếp xúc với các khí thử nghiệm hấp phụ chất ô nhiễm và các sản phẩm phản ứng nguy hại. Ví dụ các loại khí kiểm chứng và mức nồng độ thích hợp được nêu trong Bảng B.1, Bảng B.2, Bảng B.3 và Bảng B.4.
B.1.2 Các loại chất lỏng
Các loại chất lỏng phải được làm bay hơi trước khi bơm vào thiết bị thử nghiệm. Các phương pháp thích hợp khác nhau theo các loại chất thử, nhưng phải cung cấp lưu lượng ổn định để có được nồng độ sau phin lọc không đối với các giới hạn được nêu trong bảng. Các kỹ thuật đặc thù bao gồm các vòi phun và/hoặc các bề mặt được gia nhiệt.
B.1.3 Các loại bảng khí kiểm chứng
Bảng B.1 - Các khí axít
| Hợp chất | Nồng độ kiểm chứng đề xuất, ppm(v) |
| sunphua đioxit | 9 ± 5% hoặc 90 ± 5% |
| Nitơ dioxit | 9 ± 5% hoặc 90 ± 5% |
| Nitơ oxit | 9 ± 5% hoặc 90 ± 5% |
| Hydro sunphua | 9 + 5% hoặc 90 ± 5% |
| Axit axetic | 9 ± 5% hoặc 90 ± 5% |
Bảng B.2 - Các khí (bazơ) kiềm
| Hợp chất | Nồng độ kiểm chứng đề xuất, ppm(v) |
| Amoni | 9 ± 5% hoặc 90 ± 5% |
| NMP | 9 ± 5% hoặc 90 ± 5% |
Bảng B.3 - Các khí VOC
| Hợp chất | Nồng độ kiểm chứng đề xuất, ppm(v) |
| Toluen | 9 ± 5% hoặc 90 ± 5% |
| Isopropanol | 9 ± 5% hoặc 90 ± 5% |
| Isobutanol | 9 ± 5% hoặc 90 ± 5% |
| Hexan | 9 ± 5% hoặc 90 ± 5% |
| Tetracloroetylen | 9 ± 5% hoặc 90 ± 5% |
| Focmandehyt | 9 ± 5% hoặc 90 ± 5% |
| Mercaptan | 9 ± 5% hoặc 90 ± 5% |
| Etanol | 9 ± 5% hoặc 90 ± 5% |
| MEK | 9 ± 5% hoặc 90 ± 5% |
| Axeton | 9 + 5% hoặc 90 ± 5% |
| n-butana | 9 ± 5% hoặc 90 ± 5% |
| a Bao gồm cả butan vì nó được sử dụng trước trong các tiêu chuẩn DIN dù không phải là chất ô nhiễm phổ biến. | |
Bảng B.4 - Các khí khác
| Hợp chất | Nồng độ kiểm chứng đề xuất, ppm(v) |
| Ozon | 9 ± 5% hoặc 90 ± 5% |
| Clo | 9 ± 5% hoặc 90 ± 5% |
| Cacbon monoxit | 9 ± 5% hoặc 90 ± 5% |
| Cacbon đioxit | 900 ± 5% hoặc 9000 ± 5% |
B.2 Thiết bị phát hiện khí
Không một thiết bị đơn lẻ nào có thể phát hiện tất cả các loại khí trong tiêu chuẩn này và thiết bị phải được chọn cẩn thận theo các đặc tính tính năng của chất ô nhiễm. Tương tự tốc độ lấy mẫu và độ chính xác của các detector và thiết bị đo có thể khác nhau rất nhiều.
Các phương pháp được khuyến nghị cho phép thử đơn giản hóa bao gồm cả FID đối với các chất hữu cơ, các detector phát quang hóa cho NOx và amoni và detector huỳnh quang UV cho SO2. Có thể sử dụng FTIRs cho khoảng thuốc thử lớn.
FID trực tuyến có thể không đạt tới nồng độ đủ thấp để hữu ích trong trường hợp cụ thể. Nếu một FID trực tuyến có độ nhạy quá thấp ở lưu lượng sau phin lọc, có thể sử dụng thiết bị tại chỗ, ví dụ các ống Tenax (GC-MS/FID) hoặc các ống hấp thụ khí (sắc ký ion).
B.2.1 Các phương pháp (trực tuyến) máy phân tích điển hình
| CPR | Máy phân tích kiểu tang quay phát hiện đo màu trên giấy tẩm hóa chất |
| IMS | Quang phổ linh động ion |
| MGD | Detector tăng khối lượng (tính chất hữu cơ ngưng tụ) sử dụng các bộ cộng hưởng áp điện kiểu khác nhau |
| P-GC | Thiết bị sắc ký khí xách tay |
| ECS | Cảm biến kiểu tế bào điện hóa |
| ICS | Hệ thống quan trắc sắc ký ion |
| CLS | Hệ thống quan trắc hóa phát quang |
| CPE | Điện cực kiểm soát thế điện năng |
| PAS | Phát xạ quang âm |
| NDIR | Hấp thụ hồng ngoại không phân tán |
| UV | Hấp thụ tia cực tím |
| UVL | Huỳnh quang tia cực tím |
| PID | Detector quang ion hóa |
| FID | Detector ion hóa ngọn lửa |
| FTIR | Quang phổ hồng ngoại biến đổi Furie |
| NPD | Detector nitơ-photpho cho GC |
B.2.2 Các máy phân tích đề xuất cho các khí kiểm chứng theo bảng
Bảng B.5 - Các khí axít
| Hợp chất | Kỹ thuật đề xuất |
| Sunphua đioxit | UVL, (CPR) |
| Nitơ oxít | CLS (NO, NO2 và NOx nên được giám sát cùng nhau để phát hiện khả năng chuyển đổi của từng chất), (CPR) |
| Nitơ đioxít | |
| Hydro sunphit | UVL, (CPR) |
| Axít axetic | PAS (FID) |
Bảng B.6 - Các khí (bazơ) kiềm
| Hợp chất | Kỹ thuật đề xuất |
| Amoni | CLS, PAS, CPR |
| NMP | FID, NPD |
Bảng B.7 - Các khí VOC
| Hợp chất | Kỹ thuật đề xuất |
| Toluen | PAS, PID, FID, UV |
| Isopropan | PAS, PID, FID |
| Isobutanol | PAS, PID, FID |
| Hexan | PAS, FID |
| Tetracloroetylen | PAS, PID, (FID) |
| Focmandehyt | PAS, CPE |
| Mercaptan | PAS, (UVL) |
| Etanol | PAS, FID |
| Butan | PAS, FID |
Bảng B.8 - Các khí khác
| Hợp chất | Kỹ thuật đề xuất |
| Ozon | UV, (CPE) |
| Clo | CPE, UV |
| Cacbon monoxit | CPE, PAS, NDIR, FTIR |
| Cacbon dioxlt | CPE, PAS, NDIR, FTIR |
B.2.3 Các kỹ thuật tại chỗ
Bên cạnh các kỹ thuật phân tích đã liệt kê, có nhiều kỹ thuật phân tích tại chỗ mà có thể được sử dụng để phân tích nhiều chất đặc trưng. Những kỹ thuật này thường có trong các ứng dụng công nghiệp nhưng có thể cũng được quan tâm trong việc thử nghiệm phin lọc chung. Thông tin dưới đây là tổng hợp ban đầu về việc phát hiện chất ô nhiễm phân tử trong không khí (AMC) trong phòng sạch của TCVN 8644-8 (ISO 14644-8). Để tiến hành các phân tích này cần thực hiện bằng kỹ thuật lấy mẫu phù hợp để chiết mẫu từ ống dẫn và kỹ thuật phân tích tại chỗ là lựa chọn và với giới hạn phát hiện có thể chấp nhận.
B.2.3.1 Các phương pháp lấy mẫu điển hình để phân tích tại chỗ
Phương pháp này có thể bao gồm cả, nhưng không bị giới hạn bởi:
| DIFF | Máy lấy mẫu khuếch tán thụ động |
| FC | Máy thu thập phin lọc |
| IMP | Bộ va chạm trong loạt chứa đầy bằng dung môi phù hợp |
| SB | Túi lấy mẫu để thu gom trực tiếp ống dẫn không khí |
| SOR | Ống hấp thụ |
| WW | Tấm hoặc bản đối chứng hoặc đĩa sử dụng như bộ thu thập mẫu |
| VPD | Sự phân hủy pha hơi |
| DES | Chiết quét nhỏ giọt |
| DT | Ống khuếch tán |
B.2.3.2 Các phương pháp phân tích tại chỗ điển hình
Phương pháp này có thể bao gồm cả, nhưng không bị giới hạn bởi:
| AA | Phổ hấp thụ nguyên tử |
| AA-F | Phổ hấp thụ nguyên tử - ngọn lửa |
| AA-GF | Phổ hấp thụ nguyên tử - lò graphit |
| AES | Phổ phát xạ nguyên tử |
| CL | Hóa phát quang |
| CZE | Vùng mao mạch điện di |
| GC-MS | Sắc ký khí - quang phổ khối lượng |
| IC | Sắc ký ion |
| ICP-MS | Cặp plasma cảm ứng - quang phổ khối lượng |
| MS | Phổ khối lượng |
| UVS | Phổ tia cực tím |
| FTIR | Phổ hồng ngoại biến đổi Furie |
| VPD | Sự phân hủy pha hơi |
| TXRF | Quang phổ huỳnh quang tia X phản xạ toàn phần |
| VPD-TXRF | Phân hủy pha hơi - huỳnh quang tia X phản xạ toàn phần |
| DSE-TXRF | Huỳnh quan phản xạ tia X toàn phần - chiết quét nhỏ giọt |
| TOF-SIMS | Thời gian bay - quang phổ khối lượng ion thứ cấp |
| API-MS | lon hóa áp suất khí quyển - quang phổ khối lượng |
B.2.3.2 Các kỹ thuật phân tích tại chỗ và lấy mẫu đề xuất tại các khoảng nồng độ khác nhau
Bảng B.9 Mô tả khoảng nồng độ có thể ứng dụng cho một số kỹ thuật phân tích tại chỗ khác nhau.
Bảng B.9 - Các kỹ thuật phần tích và lấy mẫu tại các khoảng nồng độ khác nhau
|
| AMC ISO cơ số n (10 -n g/m3) | ||||||
| Hợp chất | 0 | 1 | 2 | 3 | 4 | 5 | |
| AXÍT | IMP, IC | IMP, IC, CPR | |||||
| BAZƠ | |||||||
| CHẤT HỮU CƠ | SOR, SB; GC-MS | ||||||
| CHẤT VÔ CƠ | IMP; AA, AA-F, AA-CF, phổ UV, ICP-MS | ||||||
|
| AMC ISO cơ số n (10-n g/m3) | ||||||
| Hợp chất | 6 | 7 | 8 | 9 | 10 | 11 | 12 |
| AXÍT | IMP, IC,CPR, DIFF | IMP, IC, DIFF | IMP, IC DIFF, CZE | IMP, CZE |
| ||
| BAZƠ | IMP, IC, DIFF, IMS | IMP, IC, CZE | |||||
| CHẤT HỮU CƠ | SOR; GC-MS |
|
|
| |||
| CHẤT VÔ CƠ | IMP; AA-F, AA-CF, phổ UV, ICP- MSS | IMP, phổ UV, ICP-MS | ICP-MS |
|
| ||
Phụ lục C
(Tham khảo)
Thiết kế bệ thử nghiệm phương tiện
C.1 Sơ đồ thiết kế bệ thử nghiệm GPACM
Bằng cách lấy ví dụ, Hình C.1 chỉ ra đường ống dẫn được yêu cầu cho bệ thử nghiệm đặc thù được sử dụng trong tiêu chuẩn này. Sử dụng các bộ thiết bị HEPA tiêu chuẩn và cacbon hoạt tính để lọc và làm tinh khiết không khí lối vào. Sau đó, khí này bị ô nhiễm bởi khí thử nghiệm, cần tối thiểu sự rò rỉ trong phòng thử nghiệm hoặc môi trường vì các hóa chất thử nghiệm có thể gây độc hại hoặc ăn mòn thiết bị do đó thiết bị này ưa dùng hơn thiết bị mà ống dẫn thử nghiệm được vận hành trong điều kiện hút. Nếu sử dụng hệ thống áp suất thì hệ thống đó phải được cấu tạo cẩn thận và được duy trì để ngăn rò rỉ.

CHÚ DẪN
| 1 | Máy phân tích | 5 | Buồng cân bằng |
| 2 | Thiết bị chứa mẫu | 6 | Thiết bị chứa khí |
| 3 | Bơm hút | 7 | Nguồn của không khí đã ổn định RH và T |
| 4 | Kiểm soát lưu lượng |
|
|
Hình C.1 - Ví dụ thiết kế bệ thử nghiệm đặc thù với năm thiết bị chứa mẫu song song
Phụ lục D
(Quy định)
Quy trình lấy mẫu chuẩn và các thông số thử nghiệm cho GPACM khác nhau
Sử dụng phương tiện các cấu hình khác nhau tùy vào cấu trúc của thiết bị đã định. Ba loại phương tiện khác nhau đã nhận dạng trong tiêu chuẩn này là GPACM-LF (ví dụ bụi có hình dạng và kích thước khác nhau đã đã định cho các ứng dụng nhồi không chặt), GPACM-PL (ví dụ lưới tấm phẳng dùng cho tấm một lớp, thiết bị loại túi hoặc nếp gấp) và GPACM -TS (ví dụ cấu trúc ba chiều mà dày hơn tấm phẳng nhiều lần và được sử dụng làm các phần hoàn thiện trong thiết bị). Đối với từng cấu hình GPACM này, thông tin chuẩn trong việc lấy mẫu, các phép đo thiết bị chứa mẫu và các thông số thử nghiệm được nêu dưới đây.
D.1 Quy trình lấy mẫu
D.1.1 Yêu cầu chung
Việc lấy mẫu GPACM phải được thực hiện sao cho các mẫu thử nghiệm là đại diện theo lô hoặc mẻ trong truy vấn. Tiến hành việc xem xét theo kiểu khác nhau. Khi lấy được mẫu đại diện, mẫu cũng phải được đưa vào thiết bị chứa mẫu theo cách sao cho không lệch số liệu do các ảnh hưởng cạnh mép hoặc các giới hạn không được tính toán của thiết lập phép thử.
D.1.2 Lấy mẫu và chuẩn bị GPACM-LF, các vật liệu nhồi không chặt
Các vật liệu nhồi không chặt phải được lấy mẫu theo cách đảm bảo rằng sự phân bố kích thước của mẫu là đại diện cho giá trị trung bình đã định của thiết bị chứa gốc và không bị ảnh hưởng bởi sự lắng tụ trong quá trình vận chuyển, v.v.. Thông tin về lô và mẻ và nhận dạng khác cũng nên được ghi lại và được chuyển vào mẫu. Tốt nhất là lấy một mẫu thứ hai mẫu mà được giữ lại tại chỗ của người sử dụng để sử dụng nếu số liệu không được như mong muốn hoặc bất kỳ lỗi nào xảy ra trong việc vận chuyển hoặc tại phòng thử nghiệm cung cấp việc thực hiện phép đo. Thông tin về kỹ thuật lấy mẫu tốt có thể thu được từ ASTM E 300 [5].
Không cần ổn định mẫu trong tiêu chuẩn này. Vì số liệu đã được ấn định để đại diện cho vật liệu thực nên tốt nhất là thực hành thử nghiệm “như đã nhận được” trừ khi mẫu không được biết quy định kỹ thuật vật liệu khác nhau. Hơn nữa, Việc ổn định mẫu ban đầu chỉ thị và hiệu chính mọi chênh lệch trong hàm lượng hơi ẩm.
Việc làm đầy thiết bị chứa mẫu phải được thực hiện theo ASTM D285,[6] với các điều kiện sau; mẫu được làm đầy trong xilanh đo trọng lượng thấp trong suốt có chiều cao và đường kính giống nhau để được sử dụng trong phép thử. Sau khi làm đầy và làm lắng đúng mẫu được cân và được báo cáo theo (g). Sau đó, hàm lượng được chuyển vào cột thử nghiệm và được lắng đúng. Tùy thuộc vào đường kính hạt trung bình, dpa, tiêu chí thử nghiệm khác nhau và các kích thước lớp mẫu được mô tả trong D.2.3.
D.1.3 Lấy mẫu và chuẩn bị GP ACM-FL, các vật liệu tấm phẳng
Các vật liệu tấm phẳng thường được phân phối theo lô hoặc mẻ của các dụng cụ cuộn và có thể được lấy mẫu bằng việc chọn ngẫu nhiên một hoặc hai vòng cuốn, tháo ra một vòng và bỏ đi phần vòng đó, sau đó lấy ra ba mẫu theo hướng vuông góc vòng cuốn (từ một phía, từ trung tâm và từ phía còn lại). Sau đó, tháo rời thêm một vòng nữa và lấy thêm ba mẫu nữa theo hướng vuông góc hướng vòng cuốn. Có thể cân sáu mẫu và mẫu gần nhất với giá trị trung bình được sử dụng để thử nghiệm. Có thể lặp lại quy trình với cuộn thứ hai nếu các mẫu từ cuộn đầu tiên cho thấy sự biến đổi nên trong lớn hoặc nếu vật liệu bị nghi ngờ có các biến đổi đáng kể. Các mẫu phải được tiếp xúc với bề mặt tròn để cho phép làm kín trong thiết bị chứa mẫu thích hợp.
D.1.4 Lấy mẫu và chuẩn bị GPACM, cấu trúc ba chiều
Các cấu trúc ba chiều có thể linh hoạt, ví dụ cấu trúc ngăn mở, dạng bọt dễ thấm hoặc lưới hoặc tấm lượn sóng, ví dụ các hạt gắn kết, các khay dạng tổ ong, đá nén nguyên khối, v.v... Các cấu trúc này cũng có thể được phân phối vào trong các kích thước cụ thể, ví dụ các hợp phần hoàn thiện cho thiết bị, hoặc như các bản hoặc các lát lớn hoặc như các tấm lớn 1000 mm x 2000 mm. Tùy thuộc vào hình dạng như đã chuyển đến và độ cứng của vật liệu, cần chọn các công cụ phù hợp để tạo ra các mẫu bằng cách cắt từ các tấm lớn hơn hoặc chọn ngẫu nhiên các mảnh nhỏ hơn được thử nghiệm “như thực tại”. Có thể chọn mẫu đại diện nhất bằng cách cân năm hoặc nhiều hơn các mảnh và lấy ra một mảnh gần nhất với trọng lượng trung bình. Tốt hơn hết nên khoanh tròn các mẫu bằng cạnh mép hoặc các bề mặt xước, ví dụ dải băng PTFE hoặc được sử dụng bằng khớp nối với thiết bị chứa mẫu vòng tròn. Quan trọng nhất là tắc nghẽn do khớp nối hoặc làm kín (PTFE) càng nhỏ càng tốt, miễn là xáo trộn lưu lượng nhỏ nhất và với tiết diện không đáng kể so với diện tích mẫu hữu dụng. Sử dụng các mẫu có kích thước nhỏ nhất để biểu thị như một hàm của số lỗ rỗng dọc theo đường kính (ngắn nhất) của mẫu, np.
D.2 Chọn số liệu thử nghiệm cho các loại GPACM khác nhau
D.2.1 Yêu cầu chung
Các phép đo chuẩn chỉ ra từ hình D.1. Các giá trị cho các phép đo này được nêu trong D.2.2 và D.2.3. Đường kính thiết bị chứa mẫu nhỏ nhất được nêu trong các sự phần dưới đây và tùy thuộc vào, ví dụ, kích thước hạt trung bình. Đường kính thiết bị chứa mẫu lớn nhất không được nêu và có thể được chọn tự do bởi người sử dụng và nhà cung cấp. Vì đường kính của giá đỡ phép thử không bị cố định nên lưu lượng Q không được nêu. Q có thể tính được dễ dàng từ vận tốc bề mặt quy định chuẩn và đường kính thiết bị chứa mẫu đã chọn.

CHÚ DẪN
| 1 | Q, điểm lấy mẫu lưu lượng khí Z | 4 | Đường kính D và độ dày T của mẫu phương tiện GPAC xem dưới đây |
| 2 | Điểm lấy mẫu trước phin lọc đối với TU, RHU, pU và CU tại điểm X | 5 | Máy khuếch tán khoảng cách y từ bề mặt mẫu phương tiện |
| 3 | Máy khuếch tán tại khoảng cách x từ bề mặt mẫu phương tiện | 6 | Điểm lấy mẫu sau phin lọc đối với TD, RHD, pD và CD tại điểm Y |
Hình D.1 - Sơ đồ hình chiếu của thiết bị chứa mẫu chỉ ra ống dẫn, các thông số đo và các điểm lấy mẫu
D.2.2 Các thông số thử nghiệm được chọn giữa người sử dụng và nhà cung cấp
| Thông số/GPACM | Vận tốc bề mặt vf | Đường kính mẫu hình trụ D | Độ dày (lớp) mẫu T | x | y |
| Đơn vị | mm/s | mm | mm | mm | mm |
| Người sử dụng và nhà cung cấp | Cho ứng dụng cụ thể | Cho ứng dụng cụ thể | Cho ứng dụng cụ thể | 2,5 x D | 2,5 x D |
D.2.3 Các thông số thử nghiệm cho phép thử chuẩn đối chứng
| Thông Số/GPACM | Vận tốc bề mặt vf | Đường kính mẫu hình tại D | Độ dày (lớp) mẫu T | x | y |
| Đơn vị | mm/s | mm | mm | mm | mm |
| LF (0,1 < dp<2 mm) | 130 | > 26 | 13 | ≥ 2,5 x D | ≥ 2,5 x D |
| LF (2 < dp< 5 mm) | 260 | > 10 x dpMc | 26 | ≥ 2,5x D | ≥ 2,5 x D |
| LF (≥ 5 mm) | 520 | > 10 x dpMc | 52 | ≥ 2,5 x D | ≥ 2,5 x D |
| FL (ứng dụng lưu lượng thấp) | 100 | ≥ 113 | -b | ≥ 2,5 x D | ≥ 2,5 x D |
| FL (ứng dựng lưu lượng thấp) | 200 | ≥ 113 | -b | ≥ 2,5 x D | ≥ 2,5 x D |
| TS (5 < T < = 26 mm) | 1001 | ≥ 50 hoặc 1 pcs | -b | ≥ 2,5 x D | ≥ 2,5 x D |
| TS (T > 26 mm) | 5001 | ≥ 50 hoặc 1 pcs | -b | ≥ 2,5x D | ≥ 2,5 x D |
| a Vận tốc bề mặt theo lưu lượng phải được điều chỉnh để khóa vùng bằng ống nối hoặc làm kín PTFE. Vùng khóa phải < 5% tiết diện. b Chiều cao hoặc độ dày của cấu trúc ba chiều là đặc trưng cho vật liệu mẫu. c dpM được ấn định như chiều dài tiết diện lớn nhất của hạt. | |||||

CHÚ DẪN
| 1 | Chèn hỗ trợ |
| 2 | Phần hình ống |
| 3 | Mẫu đá nguyên khối |
Hình D.2 - Ví dụ cấu trúc ba chiều của đá nguyên khối có thể nối khớp với cột thử nghiệm như thế nào bằng cách chèn
Thư mục tài liệu tham khảo
[1] JIS B 9901:1997 (E), Gas removal - Method of test for performance of gas-removal filters.
[2] ASHRAE 145.2: 2011, Laboratory Test Method for Assessing the Performance of Gas-Phase Air- Cleaning Systems: Air-Cleaning Devices.
[3] ASHRAE 145.1: 2008, Laboratory Test Method for Assessing the Performance of Gas-Phase Air- Cleaning Systems: Loose Granular Media.
[4] ASTM D 5160-95 (2008), Standard Guide for Gas-Phase Adsorption Testing of Activated Carbon
[5] ASTM E 300-3 (2009), Standard Practice for Sampling Industrial Chemicals.
[6] ASTM D 2854-9, Standard Test Method for Apparent Density of Activated Carbon.
[7] EN 779:2012, Particulate air filters for general ventilation - Determination of the filtration performance.
[8] TCVN 11487-1:2016 (ISO 29463-1:2011), Phin lọc hiệu suất cao và vật liệu lọc để loại bỏ hạt trong không khí - Phần 1: Phân loại, thử tính năng và ghi nhãn.
Bạn chưa Đăng nhập thành viên.
Đây là tiện ích dành cho tài khoản thành viên. Vui lòng Đăng nhập để xem chi tiết. Nếu chưa có tài khoản, vui lòng Đăng ký tại đây!




