- Tổng quan
- Nội dung
- VB gốc
- Tiếng Anh
- Hiệu lực
- VB liên quan
- Lược đồ
-
Nội dung hợp nhất
Tính năng này chỉ có tại LuatVietnam.vn. Nội dung hợp nhất tổng hợp lại tất cả các quy định còn hiệu lực của văn bản gốc và các văn bản sửa đổi, bổ sung, đính chính... trên một trang. Việc hợp nhất văn bản gốc và những văn bản, Thông tư, Nghị định hướng dẫn khác không làm thay đổi thứ tự điều khoản, nội dung.
Khách hàng chỉ cần xem Nội dung hợp nhất là có thể nắm bắt toàn bộ quy định hiện hành đang áp dụng, cho dù văn bản gốc đã qua nhiều lần chỉnh sửa, bổ sung.
- Tải về
Quyết định 43/QĐ-ĐTĐL 2020 Quy trình Lập kế hoạch vận hành thị trường điện
| Cơ quan ban hành: | Cục Điều tiết điện lực |
Số công báo:
Số công báo là mã số ấn phẩm được đăng chính thức trên ấn phẩm thông tin của Nhà nước. Mã số này do Chính phủ thống nhất quản lý.
|
Đang cập nhật |
| Số hiệu: | 43/QĐ-ĐTĐL | Ngày đăng công báo: | Đang cập nhật |
| Loại văn bản: | Quyết định | Người ký: | Nguyễn Anh Tuấn |
|
Ngày ban hành:
Ngày ban hành là ngày, tháng, năm văn bản được thông qua hoặc ký ban hành.
|
16/03/2020 |
Ngày hết hiệu lực:
Ngày hết hiệu lực là ngày, tháng, năm văn bản chính thức không còn hiệu lực (áp dụng).
|
Đang cập nhật |
|
Áp dụng:
Ngày áp dụng là ngày, tháng, năm văn bản chính thức có hiệu lực (áp dụng).
|
Đã biết
|
Tình trạng hiệu lực:
Cho biết trạng thái hiệu lực của văn bản đang tra cứu: Chưa áp dụng, Còn hiệu lực, Hết hiệu lực, Hết hiệu lực 1 phần; Đã sửa đổi, Đính chính hay Không còn phù hợp,...
|
Đã biết
|
| Lĩnh vực: | Công nghiệp, Điện lực |
TÓM TẮT QUYẾT ĐỊNH 43/QĐ-ĐTĐL
Ngày 16/3/2020, Cục Điều tiết điện lực đã ra Quyết định 43/QĐ-ĐTĐL về việc ban hành Quy trình Lập kế hoạch vận hành thị trường điện.
Theo đó, việc lập kế hoạch vận hành thị trường điện phải đảm bảo an ninh cung cấp điện, đảm bảo hệ thống điện vận hành an toàn cao nhất trong điều kiện thực tế của hệ thống, Đảm bảo công bằng, minh bạch đối với các thành viên tham gia thị trường điện, tuân thủ yêu cầu về chống lũ, tưới tiêu và duy trì dòng chảy sinh thái theo các quy trình vận hành hồ chứa thủy điện được phê duyệt.
Cụ thể, đơn vị vận hành hệ thống điện và thị trường điện có trách nhiệm lập kế hoạch vận hành thị trường điện năm tới, bao gồm các bước sau: Dự báo phụ tải gồm phụ tải hệ thống điện quốc gia và phụ tải hệ thống điện miền; Tính toán giá trị nước và mức nước tối ưu các hồ chứa thuỷ điện; Tính toán giới hạn giá bản chào của tổ máy nhiệt điện; Xác định các phương án giá trần thị trường; Lựa chọn nhà máy điện mới tốt nhất;...
Bên cạnh đó, Cục Điều tiết điện lực còn quy định cụ thể kế hoạch vận hành thị trường điện tháng tới cũng như kế hoạch vận hành hệ thống điện và thị trường điện tuần tới.
Quyết định có hiệu lực kể từ ngày ký.
Xem chi tiết Quyết định 43/QĐ-ĐTĐL có hiệu lực kể từ ngày 16/03/2020
Tải Quyết định 43/QĐ-ĐTĐL
|
BỘ CÔNG THƯƠNG Số: 43/QĐ-ĐTĐL |
CỘNG HÒA XÃ HỘI CHỦ NGHĨA VIỆT NAM Hà Nội, ngày 16 tháng 3 năm 2020 |
BAN HÀNH QUY TRÌNH LẬP KẾ HOẠCH VẬN HÀNH THỊ TRƯỜNG ĐIỆN
____________
CỤC TRƯỞNG CỤC ĐIỀU TIẾT ĐIỆN LỰC
Căn cứ Quyết định số 3771/QĐ-BCT ngày 02 tháng 10 năm 2017 của Bộ trưởng Bộ Công Thương quy định chức năng, nhiệm vụ, quyền hạn và cơ cấu tổ chức của Cục Điều tiết điện lực;
Căn cứ Thông tư số 45/2018/TT-BCT ngày 15 tháng 11 năm 2018 của Bộ trưởng Bộ Công Thương quy định vận hành thị trường bán buôn điện cạnh tranh và sửa đổi, bổ sung một số điều của Thông tư số 56/2014/TT-BCT ngày 19 tháng 12 năm 2014 của Bộ trưởng Bộ Công Thương quy định phương pháp xác định giá phát điện, trình tự kiểm tra hợp đồng mua bán điện;
Căn cứ Thông tư số 24/2019/TT-BCT ngày 14 tháng 11 năm 2019 của Bộ trưởng Bộ Công Thương sửa đổi, bổ sung một số điều của Thông tư số 45/2018/TT-BCT ngày 15 tháng 11 năm 2018 của Bộ trưởng Bộ Công Thương quy định vận hành thị trường bán buôn điện cạnh tranh và sửa đổi, bổ sung một số điều của Thông tư số 56/2014/TT-BCT ngày 19 tháng 12 năm 2014 của Bộ trưởng Bộ Công Thương quy định phương pháp xác định giá phát điện, trình tự kiểm tra hợp đồng mua bán điện;
Theo đề nghị của Trưởng phòng Thị trường điện,
QUYẾT ĐỊNH:
Điều 1. Ban hành kèm theo Quyết định này Quy trình lập kế hoạch vận hành thị trường điện hướng dẫn thực hiện Thông tư số 45/2018/TT-BCT ngày 15 tháng 11 năm 2018 của Bộ trưởng Bộ Công Thương quy định vận hành thị trường bán buôn điện cạnh tranh và sửa đổi, bổ sung một số điều của Thông tư số 56/2014/TT-BCT ngày 19 tháng 12 năm 2014 của Bộ trưởng Bộ Công Thương quy định phương pháp xác định giá phát điện, trình tự kiểm tra hợp đồng mua bán điện và Thông tư số 24/2019/TT-BCT ngày 14 tháng 11 năm 2019 của Bộ trưởng Bộ Công Thương sửa đổi, bổ sung một số điều của Thông tư số 45/2018/TT-BCT.
Điều 2. Quyết định này có hiệu lực thi hành kể từ ngày ký.
Điều 3. Chánh Văn phòng Cục, các Trưởng phòng, Giám đốc Trung tâm Nghiên cứu phát triển thị trường điện lực và Đào tạo thuộc Cục Điều tiết điện lực, Tổng giám đốc Tập đoàn Điện lực Việt Nam, Giám đốc các đơn vị điện lực và đơn vị có liên quan chịu trách nhiệm thi hành Quyết định này./.
|
Nơi nhận: |
CỤC TRƯỞNG |
LẬP KẾ HOẠCH VẬN HÀNH THỊ TRƯỜNG ĐIỆN
(Ban hành kèm theo Quyết định số 43 /QĐ-ĐTĐL ngày 16 tháng 03 năm 2020 của Cục trưởng Cục Điều tiết điện lực)
Chương I
QUY ĐỊNH CHUNG
Điều 1. Phạm vi điều chỉnh
Quy trình này quy định về phương pháp, trình tự thực hiện và trách nhiệm của các đơn vị trong tính toán, lập kế hoạch vận hành thị trường bán buôn điện cạnh tranh.
Điều 2. Đối tượng áp dụng
Quy trình này áp dụng đối với các đơn vị sau đây:
1. Đơn vị mua buôn điện.
2. Đơn vị phát điện.
3. Đơn vị vận hành hệ thống điện và thị trường điện.
4. Đơn vị truyền tải điện.
5. Tập đoàn Điện lực Việt Nam.
Điều 3. Giải thích từ ngữ
Trong quy trình này, các từ ngữ dưới đây được hiểu như sau:
1. Công suất công bố là mức công suất sẵn sàng lớn nhất của tổ máy phát điện được đơn vị chào giá hoặc Đơn vị vận hành hệ thống điện và thị trường điện và đơn vị phát điện ký hợp đồng cung cấp dịch vụ phụ trợ công bố theo lịch vận hành thị trường điện.
2. Công suất phát ổn định thấp nhất của nhà máy điện được xác định bằng công suất phát ổn định thấp nhất (Pmin) của một tổ máy của nhà máy điện được lập lịch huy động trong mô hình mô phỏng thị trường điện của chu kỳ đó.
3. Chu kỳ giao dịch là 60 phút, tính từ thời điểm bắt đầu của mỗi giờ trong ngày giao dịch. Khi các điều kiện về cơ sở hạ tầng được đáp ứng, Cục Điều tiết điện lực xem xét giảm chu kỳ giao dịch xuống 30 phút.
4. Chương trình tối ưu thủy nhiệt điện ngắn hạn là phần mềm tối ưu thủy nhiệt điện ngắn hạn để tính toán lịch lên xuống và biểu đồ huy động của các tổ máy được Đơn vị vận hành hệ thống điện và thị trường điện sử dụng trong lập kế hoạch vận hành thị trường điện tuần tới.
5. Dịch vụ phụ trợ là các dịch vụ điều khiển tần số thứ cấp, khởi động nhanh, dự phòng vận hành phải phát để đảm bảo an ninh hệ thống điện, điều chỉnh điện áp và khởi động đen.
6. Dịch vụ dự phòng điều chỉnh tần số là dịch vụ phụ trợ phục vụ công tác điều khiển tần số thứ cấp theo quy định tại Quy định hệ thống điện truyền tải do Bộ Công Thương ban hành.
7. Đơn vị chào giá là đơn vị trực tiếp nộp bản chào giá trong thị trường điện, bao gồm đơn vị phát điện hoặc các nhà máy điện được đăng ký chào giá trực tiếp và đơn vị đại diện chào giá cho nhóm nhà máy thủy điện bậc thang.
8. Đơn vị mua buôn điện là đơn vị điện lực có chức năng mua buôn điện trên thị trường điện giao ngay (tại các điểm giao nhận giữa lưới truyền tải điện và lưới phân phối điện và tại các điểm giao nhận với các nhà máy điện trên lưới phân phối). Trong giai đoạn đầu vận hành thị trường điện, đơn vị mua buôn điện bao gồm 05 Tổng công ty Điện lực thuộc Tập đoàn Điện lực Việt Nam (Tổng công ty Điện lực miền Bắc, miền Trung, miền Nam, Thành phố Hà Nội và Thành phố Hồ Chí Minh).
9. Đơn vị mua điện là đơn vị tham gia thị trường bán buôn điện với vai trò là bên mua điện, bao gồm đơn vị mua buôn điện và Tập đoàn Điện lực Việt Nam (Công ty Mua bán điện - đơn vị được Tập đoàn Điện lực Việt Nam ủy quyền thực hiện chức năng mua điện).
10. Đơn vị phát điện là đơn vị sở hữu một hoặc nhiều nhà máy điện tham gia thị trường điện và ký hợp đồng mua bán điện cho các nhà máy điện này với đơn vị mua điện.
11. Đơn vị phát điện gián tiếp giao dịch là đơn vị phát điện có nhà máy điện không chào giá trực tiếp trên thị trường điện và không áp dụng cơ chế thanh toán trên thị trường điện.
12. Đơn vị phát điện trực tiếp giao dịch là Đơn vị phát điện có nhà máy điện được chào giá trực tiếp trên thị trường điện.
13. Đơn vị truyền tải điện là đơn vị điện lực được cấp phép hoạt động điện lực trong lĩnh vực truyền tải điện, chịu trách nhiệm quản lý, vận hành lưới điện truyền tải quốc gia.
14. Đơn vị vận hành hệ thống điện và thị trường điện là đơn vị chỉ huy điều khiển quá trình phát điện, truyền tải điện, phân phối điện trong hệ thống điện quốc gia, điều hành giao dịch thị trường điện.
15. Giá công suất thị trường là mức giá tính toán cho mỗi chu kỳ giao dịch, áp dụng để tính toán khoản thanh toán công suất cho các Đơn vị phát điện trong thị trường điện.
16. Giá điện năng thị trường là mức giá cho một đơn vị điện năng xác định cho mỗi chu kỳ giao dịch, áp dụng để tính toán khoản thanh toán điện năng cho các Đơn vị phát điện trong thị trường điện.
17. Giá thị trường điện toàn phần là tổng giá điện năng thị trường và giá công suất thị trường của mỗi chu kỳ giao dịch.
18. Giá trần bản chào là mức giá cao nhất mà đơn vị chào giá được phép chào cho một tổ máy phát điện trong bản chào giá ngày tới.
19. Giá trần thị trường điện là mức giá điện năng thị trường cao nhất được xác định cho từng năm.
20. Giá trị cắt giảm phụ tải là thông số sử dụng trong mô hình tính toán, đặc trưng cho giá trị hàm phạt khi mô hình tính toán đưa ra kết quả có cắt giảm phụ tải do thiếu nguồn.
21. Giá trị nước là mức giá biên kỳ vọng tính toán cho lượng nước tích trong các hồ thủy điện khi được sử dụng để phát điện thay thế cho các nguồn nhiệt điện trong tương lai, tính quy đổi cho một đơn vị điện năng.
22. Hệ số suy giảm hiệu suất là chỉ số suy giảm hiệu suất của tổ máy phát điện theo thời gian vận hành.
23. Hệ số tải trung bình năm hoặc tháng là tỷ lệ giữa tổng sản lượng điện năng phát trong 01 năm hoặc 01 tháng và tích của tổng công suất đặt với tổng số giờ tính toán hệ số tải năm hoặc tháng.
24. Hệ thống thông tin thị trường điện là hệ thống các trang thiết bị và cơ sở dữ liệu phục vụ quản lý, trao đổi thông tin thị trường điện do Đơn vị vận hành hệ thống điện và thị trường điện quản lý.
25. Hợp đồng mua bán điện là hợp đồng mua bán điện ký kết giữa đơn vị mua điện với đơn vị phát điện trực tiếp giao dịch theo mẫu do Bộ Công Thương ban hành.
26. Khối phụ tải là thông số sử dụng trong mô hình tính toán giá trị nước, được xác định từ một cặp giá trị: khoảng thời gian (giờ) và phụ tải (MWh). Trong tính toán giá trị nước, phụ tải một tuần bao gồm tối thiểu 05 (năm) khối phụ tải.
27. Lập lịch có ràng buộc là việc sắp xếp thứ tự huy động các tổ máy phát điện theo phương pháp tối thiểu chi phí mua điện có xét đến các ràng buộc kỹ thuật trong hệ thống điện.
28. Lập lịch không ràng buộc là việc sắp xếp thứ tự huy động các tổ máy phát điện theo phương pháp tối thiểu chi phí mua điện không xét đến các ràng buộc trong hệ thống điện.
29. Mô hình mô phỏng thị trường điện là hệ thống các phần mềm mô phỏng huy động các tổ máy phát điện và tính giá điện năng thị trường được Đơn vị vận hành hệ thống điện và thị trường điện sử dụng trong lập kế hoạch vận hành năm, tháng và tuần.
30. Mô hình tính toán giá trị nước là hệ thống các phần mềm tối ưu thủy nhiệt điện để tính toán giá trị nước được Đơn vị vận hành hệ thống điện và thị trường điện sử dụng trong lập kế hoạch vận hành năm, tháng và tuần.
31. Mức nước giới hạn là mức nước thượng lưu thấp nhất của hồ chứa thủy điện cuối mỗi tháng trong năm hoặc cuối mỗi tuần trong tháng do Đơn vị vận hành hệ thống điện và thị trường điện tính toán và công bố theo quy định tại Quy trình thực hiện đánh giá an ninh hệ thống điện trung hạn và ngắn hạn do Cục Điều tiết điện lực ban hành hướng dẫn thực hiện Quy định hệ thống điện truyền tải do Bộ Công Thương ban hành.
32. Mức nước tối ưu là mức nước thượng lưu của hồ chứa thủy điện vào thời điểm cuối mỗi tháng hoặc cuối mỗi tuần, đảm bảo việc sử dụng nước cho mục đích phát điện đạt hiệu quả cao nhất và đáp ứng các yêu cầu ràng buộc, do Đơn vị vận hành hệ thống điện và thị trường điện tính toán, công bố.
33. Năm N là năm hiện tại vận hành thị trường điện, được tính theo năm dương lịch.
34. Ngày D là ngày giao dịch hiện tại.
35. Ngày điển hình là ngày được chọn có chế độ tiêu thụ điện điển hình của phụ tải điện theo quy định tại Quy định nội dung, phương pháp, trình tự và thủ tục nghiên cứu phụ tải điện do Bộ Công Thương ban hành. Ngày điển hình bao gồm ngày điển hình của ngày làm việc, ngày cuối tuần (thứ Bảy, Chủ nhật), ngày lễ (nếu có) cho năm, tháng và tuần.
36. Ngày giao dịch là ngày diễn ra các hoạt động giao dịch thị trường điện, tính từ 00h00 đến 24h00 hàng ngày.
37. Nhà máy điện BOT là nhà máy điện được đầu tư theo hình thức Xây dựng - Kinh doanh - Chuyển giao thông qua hợp đồng giữa nhà đầu tư và cơ quan nhà nước có thẩm quyền.
38. Nhà máy điện mới tốt nhất là nhà máy nhiệt điện mới đưa vào vận hành có giá phát điện bình quân tính toán cho năm tới thấp nhất và giá hợp đồng mua bán điện được thoả thuận căn cứ theo khung giá phát điện cho nhà máy điện chuẩn do Bộ Công Thương ban hành. Nhà máy điện mới tốt nhất được lựa chọn hằng năm để sử dụng trong tính toán giá công suất thị trường.
39. Nhà máy thủy điện chiến lược đa mục tiêu là nhà máy thủy điện trong danh mục nhà máy điện lớn có ý nghĩa đặc biệt quan trọng về kinh tế - xã hội, quốc phòng, an ninh do Thủ tướng Chính phủ phê duyệt và danh mục nhà máy điện phối hợp vận hành với nhà máy điện lớn có ý nghĩa đặc biệt quan trọng về kinh tế - xã hội, quốc phòng, an ninh do Bộ Công Thương phê duyệt.
40. Nhóm nhà máy thủy điện bậc thang là tập hợp các nhà máy thủy điện, trong đó lượng nước xả từ hồ chứa của nhà máy thuỷ điện bậc thang trên chiếm toàn bộ hoặc phần lớn lượng nước về hồ chứa nhà máy thuỷ điện bậc thang dưới và giữa hai nhà máy điện này không có hồ chứa điều tiết nước lớn hơn 01 tuần.
41. Phụ tải hệ thống là tổng sản lượng điện năng của toàn hệ thống điện tính quy đổi về đầu cực các tổ máy phát điện và sản lượng điện năng nhập khẩu trong một chu kỳ giao dịch trừ đi sản lượng của các nhà máy phát điện có tổng công suất đặt nhỏ hơn hoặc bằng 30MW không tham gia thị trường điện và sản lượng của các nhà máy thủy điện bậc thang trên cùng một dòng sông thuộc một đơn vị phát điện có tổng công suất đặt nhỏ hơn hoặc bằng 60MW (đáp ứng tiêu chuẩn áp dụng biểu giá chi phí tránh được do Bộ Công Thương ban hành).
42. Phụ tải hệ thống điện miền là tổng sản lượng điện năng tiêu thụ của toàn hệ thống điện miền có tính đến điện năng xuất khẩu và tổn thất trên lưới điện truyền tải, tổn thất trên lưới điện phân phối thuộc miền.
43. Phụ tải hệ thống điện quốc gia là tổng phụ tải hệ thống điện các miền và tổn thất trên các đường dây liên kết miền.
44. Sản lượng kế hoạch năm là sản lượng điện năng của nhà máy điện dự kiến được huy động trong năm tới.
45. Sản lượng kế hoạch tháng là sản lượng điện năng của nhà máy điện dự kiến được huy động các tháng trong năm.
46. Suất hao nhiệt là lượng nhiệt năng tiêu hao của tổ máy hoặc nhà máy điện để sản xuất ra một đơn vị điện năng.
47. Thành viên tham gia thị trường điện là các đơn vị tham gia vào các hoạt động giao dịch hoặc cung cấp dịch vụ trên thị trường điện theo quy định tại Thông tư số 45/2018/TT-BCT ngày 15 tháng 11 năm 2018 của Bộ trưởng Bộ Công Thương quy định vận hành thị trường bán buôn điện cạnh tranh và sửa đổi, bổ sung một số điều của Thông tư số 56/2014/TT-BCT ngày 19 tháng 12 năm 2014 của Bộ trưởng Bộ Công Thương quy định phương pháp xác định giá phát điện, trình tự kiểm tra hợp đồng mua bán điện (sau đây viết tắt là Thông tư số 45/2018/TT-BCT).
48. Tháng M là tháng vận hành thị trường điện hiện tại, được tính theo tháng dương lịch.
49. Thông tư số 24/2019/TT-BCT là Thông tư số 24/2019/TT-BCT ngày 14 tháng 11 năm 2019 của Bộ trưởng Bộ Công thương về Sửa đổi, bổ sung một số điều của Thông tư số 45/2018/TT-BCT ngày 15 tháng 11 năm 2018 của Bộ trưởng Bộ Công Thương quy định vận hành thị trường bán buôn điện cạnh tranh và sửa đổi, bổ sung một số điều của Thông tư số 56/2014/TT-BCT ngày 19 tháng 12 năm 2014 của Bộ trưởng Bộ Công Thương quy định phương pháp xác định giá phát điện, trình tự kiểm tra hợp đồng mua bán điện.
50. Tổng số giờ tính toán hệ số tải năm là tổng số giờ của cả năm N đối với các tổ máy đã vào vận hành thương mại từ năm N-1 trở về trước hoặc là tổng số giờ tính từ thời điểm vận hành thương mại của tổ máy đến hết năm đối với các tổ máy đưa vào vận hành thương mại trong năm N, trừ đi thời gian sửa chữa của tổ máy theo kế hoạch đã được phê duyệt trong năm N.
51. Tổng số giờ tính toán hệ số tải tháng là tổng số giờ của cả tháng M đối với các tổ máy đã vào vận hành thương mại từ tháng M-1 trở về trước hoặc là tổng số giờ tính từ thời điểm vận hành thương mại của tổ máy đến hết tháng đối với các tổ máy đưa vào vận hành trong tháng M, trừ đi thời gian sửa chữa của tổ máy theo kế hoạch đã được phê duyệt trong tháng M.
52. Trang thông tin điện tử thị trường điện là trang thông tin điện tử có chức năng công bố thông tin vận hành thị trường điện.
53. Tuần T là tuần vận hành thị trường điện hiện tại, bắt đầu từ 00h00 thứ Hai đến 24h00 Chủ nhật.
54. Xác suất ngừng máy sự cố là xác suất bất khả dụng do nguyên nhân sự cố của một tổ máy, được tính bằng tỉ lệ phần trăm (%) giữa số chu kỳ ngừng máy sự cố trên tổng của số chu kỳ khả dụng và số chu kỳ ngừng máy sự cố.
Chương II
NGUYÊN TẮC VÀ SỐ LIỆU ĐẦU VÀO PHỤC VỤ LẬP KẾ HOẠCH VẬN HÀNH THỊ TRƯỜNG ĐIỆN
Mục 1. NGUYÊN TẮC LẬP KẾ HOẠCH VẬN HÀNH THỊ TRƯỜNG ĐIỆN
Điều 4. Nguyên tắc lập kế hoạch vận hành thị trường điện
1. Đảm bảo an ninh cung cấp điện, đảm bảo hệ thống điện vận hành an toàn cao nhất trong điều kiện thực tế của hệ thống.
2. Đảm bảo công bằng, minh bạch đối với các thành viên tham gia thị trường điện.
3. Tuân thủ yêu cầu về chống lũ, tưới tiêu và duy trì dòng chảy sinh thái theo các quy trình vận hành hồ chứa thủy điện được phê duyệt và các đăng ký của Đơn vị phát điện có xác nhận của cơ quan có thẩm quyền tại địa phương.
4. Đảm bảo ràng buộc về nhiên liệu sơ cấp cho các nhà máy nhiệt điện.
5. Đảm bảo các điều kiện kỹ thuật cho phép của các tổ máy phát điện và lưới điện truyền tải.
6. Đảm bảo thực hiện các thoả thuận về sản lượng và công suất trong các hợp đồng xuất, nhập khẩu điện; hợp đồng mua bán điện của các nhà máy điện.
7. Đảm bảo huy động nguồn điện theo mục tiêu tối thiểu hoá chi phí mua điện cho toàn hệ thống.
Điều 5. Hệ thống chương trình lập kế hoạch vận hành thị trường điện
Hệ thống chương trình lập kế hoạch vận hành thị trường điện năm, tháng và tuần tới là một hoặc nhiều phần mềm có các chức năng sau:
1. Tính toán giá trị nước theo quy định tại Phụ lục 1 Quy trình này.
2. Mô phỏng thị trường điện theo quy định tại Phụ lục 16 Quy trình này.
3. Phân loại tổ máy, tính toán giá trần bản chào của các tổ máy nhiệt điện.
4. Lựa chọn giá trần thị trường điện.
5. Tính toán lựa chọn nhà máy điện mới tốt nhất.
6. Tính toán giá công suất thị trường.
7. Tính toán sản lượng hợp đồng năm, tháng, tuần và cho từng chu kỳ giao dịch.
8. Tính toán giá phát điện bình quân.
9. Tính toán tối ưu thủy nhiệt điện ngắn hạn.
10. Các chức năng cần thiết khác.
Mục 2. SỐ LIỆU ĐẦU VÀO CHO LẬP KẾ HOẠCH VẬN HÀNH THỊ TRƯỜNG ĐIỆN
Điều 6. Số liệu đầu vào
Số liệu đầu vào được sử dụng tính toán lập kế hoạch vận hành thị trường điện và tính toán giá trị nước bao gồm:
1. Phụ tải hệ thống điện.
2. Thông số thủy văn.
3. Kế hoạch bảo dưỡng, sửa chữa.
4. Thông số nhà máy thủy điện.
5. Thông số nhà máy nhiệt điện.
6. Nhiên liệu.
7. Giới hạn truyền tải.
8. Tiến độ công trình mới.
9. Kế hoạch xuất, nhập khẩu điện.
10. Dịch vụ phụ trợ.
11. Các số liệu hợp đồng mua bán điện.
12. Phương thức giao nhận điện năng.
13. Các số liệu chung của thị trường.
Điều 7. Phụ tải hệ thống điện
Đơn vị vận hành hệ thống điện và thị trường điện và các đơn vị liên quan có trách nhiệm dự báo phụ tải hệ thống điện theo quy định tại Quy trình dự báo nhu cầu phụ tải hệ thống điện do Cục Điều tiết điện lực ban hành.
Điều 8. Thủy văn
1. Đơn vị mua điện có trách nhiệm cung cấp cho Đơn vị vận hành hệ thống điện và thị trường điện tất cả chuỗi số liệu thống kê lưu lượng nước về hồ thủy điện từng tuần trong quá khứ của các nhà máy thủy điện dự kiến vận hành trong các chu kỳ tính toán lập kế hoạch theo mẫu quy định tại Phụ lục 3 Quy trình này.
2. Đơn vị phát điện sở hữu nhà máy thủy điện có trách nhiệm cung cấp cho Đơn vị vận hành hệ thống điện và thị trường điện chuỗi số liệu thống kê lưu lượng nước về hồ thủy điện trong quá khứ theo yêu cầu của Đơn vị vận hành hệ thống điện và thị trường điện.
3. Đơn vị vận hành hệ thống điện và thị trường điện có trách nhiệm cập nhật các yêu cầu về ràng buộc mức nước, lưu lượng chạy máy tối thiểu, lưu lượng xả không qua chạy máy phải đảm bảo trong các giai đoạn vận hành của các hồ chứa thủy điện theo các quy trình vận hành liên hồ chứa, quy trình vận hành hồ chứa được cấp có thẩm quyền phê duyệt.
4. Căn cứ chuỗi số liệu thống kê do các đơn vị cung cấp, Đơn vị vận hành hệ thống điện và thị trường điện có trách nhiệm tính toán chuỗi lưu lượng nước về theo các phương pháp quy định tại Phụ lục 3 Quy trình này.
Điều 9. Kế hoạch bảo dưỡng, sửa chữa
Đơn vị vận hành hệ thống điện và thị trường điện và các đơn vị liên quan có trách nhiệm lập kế hoạch bảo dưỡng, sửa chữa thiết bị điện cho các tổ máy phát điện, đường dây truyền tải điện và các thiết bị kết nối liên quan theo quy định tại Quy trình lập kế hoạch bảo dưỡng, sửa chữa lưới điện và nhà máy điện trong hệ thống điện quốc gia do Cục Điều tiết điện lực ban hành.
Điều 10. Thông số nhà máy thủy điện
1. Đơn vị phát điện sở hữu nhà máy thủy điện đang vận hành có trách nhiệm cung cấp các thông số kỹ thuật của nhà máy đã được quy định trong hợp đồng mua bán điện và đặc tính hồ chứa cho Đơn vị vận hành hệ thống điện và thị trường điện theo quy định tại Phụ lục 4 Quy trình này.
2. Đơn vị phát điện sở hữu nhà máy điện BOT phối hợp với Đơn vị mua điện (ký hợp đồng mua bán điện với đơn vị phát điện) cung cấp các thông số của nhà máy cho Đơn vị vận hành hệ thống điện và thị trường điện theo quy định tại Phụ lục 4 Quy trình này.
3. Đơn vị vận hành hệ thống điện và thị trường điện có trách nhiệm xác định mức nước dự kiến của các hồ thủy điện tại thời điểm bắt đầu chu kỳ tính toán lập kế hoạch vận hành thị trường điện.
Điều 11. Thông số nhà máy nhiệt điện
1. Đơn vị phát điện sở hữu nhà máy nhiệt điện có trách nhiệm cung cấp các thông số kỹ thuật của nhà máy đã được quy định trong hợp đồng mua bán điện cho Đơn vị vận hành hệ thống điện và thị trường điện theo quy định tại Phụ lục 5 Quy trình này.
2. Đơn vị phát điện sở hữu nhà máy điện BOT phối hợp với Đơn vị mua điện (ký hợp đồng mua bán điện với đơn vị phát điện) cung cấp các thông số của nhà máy cho Đơn vị vận hành hệ thống điện và thị trường điện theo quy định tại Phụ lục 5 Quy trình này.
3. Đơn vị mua điện có trách nhiệm cung cấp cho Đơn vị vận hành hệ thống điện và thị trường điện các số liệu theo quy định tại Khoản 1, Khoản 2 Điều 22 Thông tư số 45/2018/TT-BCT và các số liệu về chi phí khởi động theo mẫu quy định tại Phụ lục 5 Quy trình này để phục vụ công tác tính toán mô phỏng thị trường điện và tính toán giá trần bản chào của tổ máy nhiệt điện.
4. Đơn vị phát điện sở hữu nhà máy nhiệt điện có trách nhiệm cung cấp suất hao nhiệt thô cho Đơn vị vận hành hệ thống điện và thị trường điện theo quy định tại Phụ lục 5 Quy trình này phục vụ mô phỏng giới hạn nhiên liệu trong mô phỏng thị trường điện. Trường hợp không có số liệu suất hao nhiệt thô do Đơn vị phát điện cung cấp, Đơn vị vận hành hệ thống điện và thị trường điện sử dụng suất hao nhiệt thô trung bình theo số liệu tiêu thụ nhiên liệu khí năm N-1 phục vụ mô phỏng giới hạn nhiên liệu khí trong mô phỏng thị trường điện.
Điều 12. Nhiên liệu
1. Đơn vị mua điện có trách nhiệm cung cấp cho Đơn vị vận hành hệ thống điện và thị trường điện các số liệu về giá nhiên liệu theo quy định tại Phụ lục 6 Quy trình này.
2. Trước ngày 20 hàng tháng, Đơn vị phát điện sở hữu nhà máy nhiệt điện có trách nhiệm cung cấp cho Đơn vị vận hành hệ thống điện và thị trường điện thông tin về kế hoạch cung cấp nhiên liệu trong các tiếp theo để làm cơ sở tính toán lập kế hoạch vận hành tháng tới và xem xét điều chỉnh sản lượng hợp đồng theo quy định tại Khoản 4 Điều 38 Quy trình này.
3. Căn cứ các số liệu được Đơn vị mua điện cung cấp, Đơn vị vận hành hệ thống điện và thị trường điện có trách nhiệm cập nhật các số liệu về giới hạn cung cấp khí và kế hoạch bảo dưỡng, sửa chữa các hệ thống cung cấp khí theo quy định tại Phụ lục 6 Quy trình này.
Điều 13. Giới hạn truyền tải
Đơn vị vận hành hệ thống điện và thị trường điện có trách nhiệm xác định giới hạn truyền tải, đặc tính tổn thất truyền tải của các đường dây truyền tải liên kết hệ thống điện miền phục vụ tính toán lập kế hoạch vận hành thị trường điện.
Điều 14. Tiến độ công trình mới
1. Đơn vị mua điện có trách nhiệm cung cấp cho Đơn vị vận hành hệ thống điện và thị trường điện:
a) Số liệu về tiến độ các nhà máy mới dự kiến vận hành trong các chu kỳ tính toán lập kế hoạch vận hành thị trường điện theo quy định tại Phụ lục 7 Quy trình này;
b) Thông số kỹ thuật của các nhà máy điện mới dự kiến vận hành trong các chu kỳ tính toán lập kế hoạch vận hành thị trường điện theo mẫu quy định tại Phụ lục 4 và Phụ lục 5 Quy trình này.
2. Đơn vị truyền tải điện có trách nhiệm cung cấp số liệu về tiến độ và thông số kỹ thuật các đường dây mới cho Đơn vị vận hành hệ thống điện và thị trường điện theo mẫu quy định tại Phụ lục 7 Quy trình này.
Điều 15. Kế hoạch xuất, nhập khẩu điện
1. Số liệu sử dụng trong lập kế hoạch vận hành thị trường điện năm tới, tháng tới:
a) Số liệu dự báo xuất, nhập khẩu điện từng tháng về điện năng, công suất cực đại;
b) Biểu đồ xuất, nhập khẩu điện ngày điển hình tại các điểm đấu nối.
2. Số liệu dùng trong việc lập kế hoạch vận hành thị trường điện tuần tới:
a) Số liệu dự báo xuất, nhập khẩu điện từng tuần về điện năng, công suất cực đại;
b) Biểu đồ xuất nhập khẩu điện ngày điển hình tại các điểm đấu nối.
3. Đơn vị vận hành hệ thống điện và thị trường điện có trách nhiệm phối hợp với Đơn vị mua điện (ký hợp đồng xuất, nhập khẩu điện) tính toán và công bố các số liệu về xuất, nhập khẩu điện.
Điều 16. Dịch vụ phụ trợ
1. Các loại hình dịch vụ phụ trợ cho vận hành hệ thống điện trong thị trường điện bao gồm:
a) Điều khiển tần số thứ cấp;
b) Khởi động nhanh;
c) Điều chỉnh điện áp;
d) Khởi động đen;
đ) Dự phòng vận hành phải phát để đảm bảo an ninh hệ thống điện.
2. Đơn vị vận hành hệ thống điện và thị trường điện có trách nhiệm xác định nhu cầu các loại dịch vụ phụ trợ theo quy định tại Quy định hệ thống điện truyền tải do Bộ Công Thương ban hành.
Điều 17. Số liệu hợp đồng mua bán điện
1. Đơn vị mua điện có trách nhiệm cung cấp cho Đơn vị vận hành hệ thống điện và thị trường điện các số liệu trong hợp đồng mua bán điện về giá điện và sản lượng điện của các đơn vị phát điện theo mẫu quy định tại Phụ lục 8 Quy trình này.
2. Đơn vị phát điện và Đơn vị mua điện có trách nhiệm cung cấp cho Đơn vị
vận hành hệ thống điện và thị trường điện: Tỷ lệ sản lượng điện năng thanh toán theo giá hợp đồng, hệ số hiệu chỉnh sản lượng năm, sản lượng hợp đồng năm, sản lượng hợp đồng tháng, các nội dung thỏa thuận điều chỉnh sản lượng hợp đồng tháng trong trường hợp các đơn vị này đã thỏa thuận và thống nhất trong hợp đồng mua bán điện.
3. Đơn vị mua điện có trách nhiệm cung cấp cho Đơn vị vận hành hệ thống điện và thị trường điện các số liệu hợp đồng mua bán điện của các nhà máy BOT theo mẫu quy định tại Phụ lục 8 Quy trình này.
4. Đơn vị vận hành hệ thống điện và thị trường điện có trách nhiệm thu thập số liệu về chi phí vận hành và giá điện của các nhà máy thủy điện chiến lược đa mục tiêu được Tập đoàn Điện lực Việt Nam tính toán xác định hàng năm theo quy định tại Quy định phương pháp, trình tự xác định chi phí hàng năm và giá điện của nhà máy thủy điện chiến lược đa mục tiêu do Bộ Công Thương ban hành.
5. Đơn vị vận hành hệ thống điện và thị trường điện có trách nhiệm thu thập các thông tin về chi phí mua điện từ các nhà máy điện BOT, các nhà máy thủy điện chiến lược đa mục tiêu và các nhà máy điện cung cấp dịch vụ phụ trợ để tính toán giá phát điện bình quân năm tới.
Điều 18. Phương thức giao nhận điện năng
Đơn vị mua điện có trách nhiệm cung cấp cho Đơn vị vận hành hệ thống điện và thị trường điện phương thức giao nhận điện năng theo quy định tại Quy định đo đếm điện năng trong hệ thống điện do Bộ Công Thương ban hành.
Điều 19. Số liệu chung của thị trường điện
1. Các số liệu chung của thị trường điện bao gồm các thông số hàm phạt, các thông số thiết lập trong các chương trình tính toán sử dụng trong lập kế hoạch vận hành thị trường điện.
2. Đơn vị vận hành hệ thống điện và thị trường điện có trách nhiệm xác định các số liệu chung của thị trường theo quy định tại Phụ lục 9 Quy trình này để thực hiện tính toán lập kế hoạch vận hành thị trường điện và báo cáo Cục Điều tiết điện lực.
3. Trong trường hợp cần thay đổi các số liệu chung của thị trường điện để đảm bảo các mục tiêu vận hành thị trường điện, đảm bảo an ninh hệ thống và trong các trường hợp đặc biệt khác, Đơn vị vận hành hệ thống điện và thị trường điện xác định các số liệu mới phù hợp, báo cáo Cục Điều tiết điện lực.
Điều 20. Xử lý trong các trường hợp không có đầy đủ số liệu
1. Trong trường hợp các đơn vị tham gia thị trường điện cạnh tranh cung cấp số liệu không đầy đủ hoặc không chính xác, Đơn vị vận hành hệ thống điện và thị trường điện có quyền yêu cầu các đơn vị cung cấp lại số liệu. Các đơn vị tham gia thị trường điện có trách nhiệm cập nhật và cung cấp các số liệu chính xác theo yêu cầu của Đơn vị vận hành hệ thống điện và thị trường điện.
2. Trong trường hợp các đơn vị không tuân thủ các yêu cầu về cung cấp số liệu hoặc cung cấp không đảm bảo kịp thời và chính xác theo quy định, Đơn vị vận hành hệ thống điện và thị trường điện có trách nhiệm thu thập, tính toán các số liệu tối ưu nhất để thay thế cho các số liệu đầu vào còn thiếu hoặc không chính xác. Số liệu tự thu thập, tính toán phải được nêu trong hồ sơ trình Tập đoàn Điện lực Việt Nam và Cục Điều tiết điện lực về kế hoạch vận hành thị trường điện.
Chương III
KẾ HOẠCH VẬN HÀNH THỊ TRƯỜNG ĐIỆN NĂM TỚI
Điều 21. Nội dung, trình tự lập kế hoạch vận hành thị trường điện năm tới
1. Đơn vị vận hành hệ thống điện và thị trường điện có trách nhiệm lập kế hoạch vận hành thị trường điện năm tới, bao gồm các bước sau:
a) Dự báo phụ tải, bao gồm phụ tải hệ thống điện quốc gia và phụ tải hệ thống điện miền;
b) Tính toán giá trị nước và mức nước tối ưu các hồ chứa thuỷ điện;
c) Tính toán giới hạn giá bản chào của tổ máy nhiệt điện;
d) Xác định các phương án giá trần thị trường;
đ) Lựa chọn nhà máy điện mới tốt nhất;
e) Tính toán giá công suất thị trường tương ứng với các phương án giá trần thị trường;
g) Tính toán giá phát điện bình quân cho năm tới, giá phát điện bình quân cho các nhà máy điện trực tiếp tham gia thị trường điện theo từng phương án giá trần thị trường;
h) Tính toán sản lượng kế hoạch, sản lượng hợp đồng năm và phân bổ sản lượng hợp đồng năm vào các tháng trong năm của các Đơn vị phát điện trực tiếp giao dịch.
2. Đơn vị vận hành hệ thống điện và thị trường điện có trách nhiệm sử dụng hệ thống chương trình lập kế hoạch vận hành thị trường điện theo quy định tại Điều 5 Quy trình này để tính toán lập kế hoạch vận hành thị trường điện năm tới theo trình tự quy định tại Phụ lục 1 Quy trình này.
Điều 22. Cung cấp số liệu phục vụ lập kế hoạch vận hành thị trường điện năm tới
1. Trước ngày 15 tháng 7 hằng năm, đơn vị tham gia thị trường điện và đơn vị liên quan có trách nhiệm cung cấp cho Đơn vị vận hành hệ thống điện và thị trường điện các số liệu theo quy định tại Quy trình lập kế hoạch bảo dưỡng, sửa chữa lưới điện và nhà máy điện trong hệ thống điện quốc gia do Cục Điều tiết điện lực ban hành. Đơn vị phát điện sở hữu nhà máy điện thuộc khu công nghiệp có trách nhiệm cung cấp thêm nhu cầu phụ tải nội bộ dự kiến từng tháng của năm tiếp theo.
2. Trước 01 tháng 8 hằng năm, đơn vị tham gia thị trường điện và các đơn vị liên quan có trách nhiệm cung cấp cho Đơn vị vận hành hệ thống điện và thị trường điện các số liệu theo quy định tại Quy trình dự báo nhu cầu phụ tải hệ thống điện do Cục Điều tiết điện lực ban hành.
3. Trước ngày 01 tháng 9 hằng năm, đơn vị tham gia thị trường điện và đơn vị liên quan có trách nhiệm cung cấp cho Đơn vị vận hành hệ thống điện và thị trường điện các số liệu theo quy định tại Điều 8, Điều 10, Điều 11, Điều 12, Điều 13, Điều 14, Điều 15, Điều 16, Điều 17 và Điều 18 Quy trình này.
4. Trước ngày 10 tháng 11 hằng năm, đơn vị mua buôn điện có trách nhiệm cập nhật và cung cấp số liệu phụ tải dự báo năm tới cho Đơn vị vận hành hệ thống điện và thị trường điện để phục vụ công tác tính toán phân bổ sản lượng hợp đồng cho đơn vị mua buôn điện.
5. Trước ngày 15 tháng 11 hằng năm, Đơn vị mua điện và Đơn vị phát điện có trách nhiệm công bố và xác nhận các số liệu về tỷ lệ sản lượng điện năng theo giá hợp đồng, hệ số hiệu chỉnh sản lượng năm, sản lượng hợp đồng năm, sản lượng hợp đồng tháng đã thống nhất trên Trang thông tin điện tử thị trường điện theo quy định tại Quy trình quản lý vận hành hệ thống công nghệ thông tin điều hành thị trường điện do Cục Điều tiết điện lực ban hành.
Điều 23. Chuẩn bị các số liệu đầu vào cho lập kế hoạch vận hành thị trường điện năm tới
1. Trước ngày 15 tháng 8 hằng năm, Đơn vị vận hành hệ thống điện và thị trường điện có trách nhiệm hoàn thành việc lập kế hoạch bảo dưỡng sửa chữa thiết bị điện cho các tổ máy phát điện, đường dây truyền tải điện và các thiết bị kết nối liên quan.
2. Trước ngày 01 tháng 9 hằng năm, Đơn vị vận hành hệ thống điện và thị trường điện có trách nhiệm hoàn thành dự báo phụ tải.
3. Trước ngày 01 tháng 10 hằng năm, trên cơ sở các thông tin được các đơn vị cung cấp, Đơn vị vận hành hệ thống điện và thị trường điện có trách nhiệm xác định các thông số và cập nhật vào các chương trình tính toán.
Điều 24. Phân loại nhà máy thủy điện theo điều tiết hồ chứa

Tđt: Thời gian điều tiết hồ chứa (ngày);
Vhi: Thể tích hữu ích (triệu m3);
Qmax: Lưu lượng nước chạy máy tối đa của nhà máy (m3/s).
2. Căn cứ thời gian điều tiết hồ chứa theo tính toán, các nhà máy thủy điện được phân loại thành ba nhóm sau:
a) Nhóm nhà máy thủy điện có hồ chứa điều tiết trên 01 tuần: Gồm các nhà máy thủy điện có thời gian điều tiết hồ chứa (Tđt) lớn hơn 07 ngày;
b) Nhóm nhà máy thủy điện có hồ chứa điều tiết từ 02 ngày đến 01 tuần: Gồm các nhà máy thủy điện có thời gian điều tiết hồ chứa (Tđt) từ 02 ngày đến 07 ngày;
c) Nhóm nhà máy thủy điện có hồ chứa điều tiết dưới 02 ngày: Gồm các nhà máy thủy điện có thời gian điều tiết hồ chứa (Tđt) nhỏ hơn 02 ngày.
Điều 25. Xác định suất hao nhiệt của tổ máy nhiệt điện
1. Suất hao nhiệt của tổ máy nhiệt điện được xác định theo thứ tự ưu tiên như sau:
a) Đơn vị mua điện có trách nhiệm cung cấp suất hao nhiệt hợp đồng đã được hiệu chỉnh theo hệ số suy giảm hiệu suất cho Đơn vị vận hành hệ thống điện và thị trường điện theo khung thời gian quy định tại Điều 22 Quy trình này. Trường hợp suất hao nhiệt trong hợp đồng là suất hao nhiệt bình quân cả đời dự án thì không phải điều chỉnh theo hệ số suy giảm hiệu suất;
b) Trong trường hợp trong hợp đồng hoặc hồ sơ đàm phán hợp đồng chỉ có đường đặc tính suất hao tại các mức tải thì suất hao nhiệt của các tổ máy được xác định là suất hao nhiệt tại mức tải tương ứng với sản lượng điện năng phát bình quân nhiều năm của nhà máy điện được quy định trong hợp đồng mua bán điện;
c) Trong trường hợp tổ máy nhiệt điện không có số liệu suất hao nhiệt trong hợp đồng hoặc trong hồ sơ đàm phán hợp đồng mua bán điện, suất hao nhiệt của tổ máy nhiệt điện đó được xác định bằng suất hao nhiệt của nhà máy nhiệt điện chuẩn cùng nhóm công nghệ phát điện và công suất đặt. Đơn vị vận hành hệ thống điện và thị trường điện có trách nhiệm tính toán suất tiêu hao nhiệt của nhà máy điện chuẩn.
2. Hệ số suy giảm hiệu suất của tổ máy nhiệt điện được xác định theo thứ tự ưu tiên như sau:
a) Hệ số suy giảm hiệu suất của tổ máy nhiệt điện được xác định bằng hệ số suy giảm hiệu suất trong hợp đồng hoặc trong hồ sơ đàm phán hợp đồng mua bán điện;
b) Trường hợp nhà máy nhiệt điện không có số liệu hệ số suy giảm hiệu suất trong hợp đồng hoặc trong hồ sơ đàm phán hợp đồng mua bán điện, áp dụng hệ số suy giảm hiệu suất của nhà máy điện chuẩn cùng nhóm với nhà máy điện đó.
Điều 26. Xác định nhu cầu dịch vụ phụ trợ cho năm tới
Đơn vị vận hành hệ thống điện và thị trường điện có trách nhiệm tính toán xác định nhu cầu các loại hình dịch vụ phụ trợ cho năm tới theo quy định tại Quy định hệ thống điện truyền tải do Bộ Công Thương ban hành và theo thời gian biểu quy định tại Phụ lục 2 Quy trình này.
Điều 27. Tính toán giá trị nước năm tới
1. Đơn vị vận hành hệ thống điện và thị trường điện có trách nhiệm tính toán giá trị nước năm tới theo nguyên tắc quy định tại Phụ lục 17 và theo thời gian biểu quy định tại Phụ lục 2 Quy trình này.
2. Quy định về tính toán giá trị nước năm tới:
a) Chu kỳ tính toán giá trị nước năm tới là 52 tuần tính từ ngày đầu tiên của năm N có xét đến 03 năm tiếp theo;
b) Số liệu đầu vào của 03 năm tiếp theo được lấy bằng số liệu của 52 tuần đầu tiên;
c) Mức nước tại thời điểm bắt đầu chu kỳ tính toán là mức nước dự kiến được Đơn vị vận hành hệ thống điện và thị trường điện tính toán, cập nhật căn cứ trên mức nước thực tế của từng hồ tại thời điểm tính toán và lượng nước cần sử dụng từ thời điểm tính toán đến thời điểm bắt đầu chu kỳ tính toán;
d) Kết quả tính toán giá trị nước 52 tuần đầu tiên trong chu kỳ tính toán được sử dụng trong quá trình lập kế hoạch vận hành năm tới.
3. Kết quả tính toán giá trị nước phục vụ quá trình lập kế hoạch vận hành năm tới bao gồm các số liệu sau:
a) Giá trị nước 52 tuần đầu tiên trong chu kỳ tính toán của các nhà máy thủy điện (đồng/kWh);
b) Sản lượng điện phát 52 tuần đầu tiên trong chu kỳ tính toán của các nhà máy thủy điện (GWh);
c) Công suất khả dụng 52 tuần đầu tiên trong chu kỳ tính toán của các tổ máy (MW);
d) Mức nước tối ưu 52 tuần trong chu kỳ tính toán của các nhà máy thủy điện (m).
Điều 28. Tính toán mô phỏng thị trường điện năm tới
1. Trước ngày 15 tháng 11 hằng năm, Đơn vị vận hành hệ thống điện và thị trường điện có trách nhiệm tính toán mô phỏng thị trường điện theo quy định tại Phụ lục 16 và theo thời gian biểu quy định tại Phụ lục 2 Quy trình này.
2. Trong tính toán mô phỏng thị trường, các tổ máy được cập nhật vào chương trình mô phỏng thị trường như sau:
a) Các tổ máy nhiệt điện sử dụng chi phí biến đổi theo quy định tại Khoản 3 Điều 17 Thông tư số 45/2018/TT-BCT;
b) Các tổ máy thủy điện sử dụng thông số kỹ thuật tổ máy, đặc tính hồ chứa và thông số thủy văn;
c) Các tổ máy chưa có đầy đủ số liệu được mô phỏng là tổ máy với sản lượng cố định bằng sản lượng trong kế hoạch vận hành hệ thống điện.
3. Kết quả mô phỏng thị trường bao gồm:
a) Giá trị nước của các hồ thủy điện trong từng tuần của năm tới (đồng/kWh);
b) Mức nước tối ưu các hồ chứa thủy điện từng tuần và từng tháng của năm tới (m);
c) Sản lượng dự kiến của các tổ máy trong từng tuần của năm tới (MWh);
d) Giá biên dự kiến các miền.
Điều 29. Phân loại tổ máy nhiệt điện năm tới
1. Các tổ máy nhiệt điện được phân loại thành ba nhóm như sau:
a) Nhóm tổ máy chạy nền;
b) Nhóm tổ máy chạy lưng;
c) Nhóm tổ máy chạy đỉnh.
2. Đơn vị vận hành hệ thống điện và thị trường điện có trách nhiệm tính toán phân loại tổ máy chạy nền, chạy lưng và chạy đỉnh năm tới và theo thời gian biểu quy định tại Phụ lục 2 Quy trình này.
3. Việc phân loại các tổ máy chạy nền, chạy lưng và chạy đỉnh được xác định căn cứ trên kết quả tính toán hệ số tải trung bình của tổ máy nhiệt điện.
4. Số liệu đầu vào phục vụ tính toán phân loại tổ máy:
a) Kết quả tính toán tổng sản lượng điện năng dự kiến của các tổ máy nhiệt điện trong kế hoạch vận hành thị trường điện năm tới theo phương pháp lập lịch có ràng buộc;
b) Công suất đặt của nhà máy, công suất đặt của từng tổ máy, số tổ máy;
c) Thời điểm đưa tổ máy mới vào vận hành thương mại.
5. Trình tự tính toán phân loại tổ máy chạy nền, chạy lưng, chạy đỉnh cho kế hoạch vận hành năm tới được thực hiện như sau:
: Hệ số tải trung bình năm của tổ máy i (%);
: Tổng sản lượng điện năng dự kiến trong năm tới của tổ máy i, xác định từ kết quả tính toán mô phỏng thị trường điện (MWh);
: Công suất đặt của tổ máy i (MW);
: Tổng số chu kỳ tính toán hệ số tải năm.
6. Đơn vị vận hành hệ thống điện và thị trường điện có trách nhiệm sử dụng mô hình mô phỏng thị trường để xác định hệ số tải trung bình năm của các tổ máy phát điện:
a) Nhóm tổ máy chạy nền: Bao gồm các tổ máy phát điện có hệ số tải trung bình năm lớn hơn hoặc bằng 60%;
b) Nhóm tổ máy chạy lưng: Bao gồm các tổ máy phát điện có hệ số tải trung bình năm lớn hơn 25% và nhỏ hơn 60%;
c) Nhóm tổ máy chạy đỉnh: Bao gồm các tổ máy phát điện có hệ số tải trung bình năm nhỏ hơn hoặc bằng 25%.
Điều 30. Tính toán giá trần bản chào của tổ máy nhiệt điện
Đơn vị vận hành hệ thống điện và thị trường điện có trách nhiệm tính toán, công bố số liệu đầu vào và kết quả tính toán giá trần bàn chào của các tổ máy nhiệt điện theo quy định tại Điều 22 Thông tư số 45/2018/TT-BCT.
Điều 31. Xác định giá trần thị trường điện áp dụng cho các đơn vị phát điện
Đơn vị vận hành hệ thống điện và thị trường điện có trách nhiệm tính toán các phương án giá trần thị trường điện theo quy định tại Điều 23 Thông tư số 45/2018/TT-BCT và theo thời gian biểu quy định tại Phụ lục 2 Quy trình này.
Điều 32. Lựa chọn nhà máy điện mới tốt nhất
1. Nhà máy điện mới tốt nhất cho năm N là nhà máy điện tham gia thị trường điện đáp ứng đủ các tiêu chí sau:
a) Bắt đầu vận hành phát điện toàn bộ công suất đặt trong năm N-1 trừ trường hợp quy định tại Khoản 3 Điều này;
b) Là nhà máy điện chạy nền, được phân loại theo tiêu chí tại Điều 29 Quy trình này;
c) Sử dụng công nghệ nhiệt điện than hoặc tua-bin khí chu trình hỗn hợp;
d) Có chi phí phát điện toàn phần trung bình thấp nhất cho 01 kWh.
2. Trước ngày 01 tháng 10 hằng năm, Đơn vị mua điện có trách nhiệm lập danh sách các nhà máy điện đáp ứng các tiêu chí quy định tại Điểm a, Điểm c Khoản 1 Điều này và cung cấp các số liệu hợp đồng mua bán điện của các nhà máy điện này cho Đơn vị vận hành hệ thống điện và thị trường điện để xác định nhà máy điện mới tốt nhất theo mẫu quy định tại Phụ lục 15 Quy trình này. Các số liệu bao gồm:
a) Giá biến đổi cho năm N;
b) Giá cố định năm N được thỏa thuận trong hợp đồng mua bán điện áp dụng cho thanh toán trong năm N;
c) Sản lượng điện năng thỏa thuận để tính giá hợp đồng.
3. Trong trường hợp có ít hơn 03 (ba) nhà máy điện đáp ứng các tiêu chí quy định tại các Điểm a, Điểm b và Điểm c Khoản 1 Điều này, Đơn vị vận hành hệ thống điện và thị trường điện bổ sung danh sách các nhà máy mới đã lựa chọn cho năm N-1 để đảm bảo số lượng không ít hơn 03 (ba) nhà máy điện và yêu cầu bên mua điện cập nhật, cung cấp lại các số liệu quy định tại Khoản 2 Điều này để tính toán, lựa chọn nhà máy điện mới tốt nhất cho năm N.

: Giá phát điện toàn phần trung bình trong năm N của nhà máy điện (đồng/kWh);
: Giá cố định cho năm N theo hợp đồng mua bán điện của nhà máy điện (đồng/kWh);
: Giá biến đổi cho năm N theo hợp đồng mua bán điện của nhà máy điện (đồng/kWh);
: Sản lượng điện năng thỏa thuận để tính giá hợp đồng cho năm N của nhà máy điện (kWh);
: Sản lượng điện năng dự kiến trong năm N của nhà máy điện xác định từ mô hình mô phỏng thị trường theo phương pháp lập lịch có ràng buộc (kWh).
5. Đơn vị vận hành hệ thống điện và thị trường điện có trách nhiệm tính toán danh sách các nhà máy điện mới tốt nhất được sắp xếp theo thứ tự giá phát điện toàn phần trung bình từ thấp đến cao theo thời gian biểu quy định tại Phụ lục 2 Quy trình này. Nhà máy điện mới tốt nhất lựa chọn cho năm N là nhà máy điện có giá phát điện toàn phần trung bình thấp nhất từ kết quả tính toán theo quy định tại Khoản 4 Điều này.
Điều 33. Xác định giá công suất thị trường
1. Số liệu phục vụ tính giá công suất thị trường bao gồm:
a) Giá điện năng thị trường dự kiến của các chu kỳ giao dịch trong năm N được xác định từ mô hình mô phỏng thị trường điện cho mỗi phương án giá trần thị trường điện;
b) Sản lượng dự kiến của nhà máy điện mới tốt nhất tại các chu kỳ giao dịch trong năm N xác định từ mô hình mô phỏng thị trường theo phương pháp lập lịch có ràng buộc được quy đổi về vị trí đo đếm (kWh);
c) Chi phí phát điện toàn phần trung bình cho 01 kWh của nhà máy điện mới tốt nhất xác định tại Khoản 4 Điều 32 Quy trình này (đồng/kWh);
d) Biểu đồ phụ tải hệ thống các ngày điển hình các tháng trong năm;
đ) Công suất cực đại, cực tiểu của phụ tải hệ thống trong từng tháng.
2. Đơn vị vận hành hệ thống điện và thị trường điện có trách nhiệm thu thập các số liệu quy định tại Khoản 1 Điều này và tính toán giá công suất thị trường.
3. Căn cứ kết quả tính toán mô phỏng thị trường điện quy định tại Điều 28 và các phương án giá trần thị trường điện quy định tại Điều 31 Quy trình này, Đơn vị vận hành hệ thống điện và thị trường điện có trách nhiệm xác định giá công suất thị trường theo quy định tại Điều 26 Thông tư số 45/2018/TT-BCT và theo thời gian biểu quy định tại Phụ lục 2 Quy trình này.
Điều 34. Xác định sản lượng hợp đồng năm và phân bổ từng tháng
1. Đối với các nhà máy điện đã có thoả thuận về tỷ lệ sản lượng thanh toán theo giá hợp đồng (chưa thống nhất về sản lượng hợp đồng năm và sản lượng hợp đồng từng tháng trong năm tới), trước ngày 15 tháng 11 hằng năm, Đơn vị vận hành hệ thống điện và thị trường điện có trách nhiệm sử dụng tỷ lệ sản lượng thanh toán theo giá hợp đồng mà các đơn vị đã thống nhất để tính toán sản lượng hợp đồng năm và phân bổ sản lượng hợp đồng năm vào các tháng trong năm cho từng nhà máy điện và đơn vị mua điện theo quy định tại Điều 27 và Điều 28 Thông tư số 45/2018/TT-BCT.
2. Đối với các nhà máy điện đã có thoả thuận về tỷ lệ sản lượng thanh toán theo giá hợp đồng, sản lượng hợp đồng năm (chưa thống nhất sản lượng hợp đồng từng tháng trong năm tới), trước ngày 15 tháng 11 hằng năm, Đơn vị vận hành hệ thống điện và thị trường điện có trách nhiệm sử dụng sản lượng hợp đồng năm mà các đơn vị đã thống nhất để tính toán phân bổ sản lượng hợp đồng năm vào các tháng trong năm cho từng nhà máy điện và đơn vị mua điện theo quy định tại Điều 27 và Điều 28 Thông tư số 45/2018/TT-BCT.
3. Đối với các nhà máy điện chưa có thỏa thuận, thống nhất với Đơn vị mua điện về tỷ lệ sản lượng thanh toán theo giá hợp đồng, sản lượng hợp đồng năm tới và từng tháng trong năm tới, trước ngày 15 tháng 11 hằng năm, Đơn vị vận hành hệ thống điện và thị trường điện có trách nhiệm tính toán sản lượng hợp đồng năm và phân bổ sản lượng hợp đồng năm vào các tháng trong năm cho từng nhà máy điện và bên mua điện theo quy định tại Điều 27 và Điều 28 Thông tư số 45/2018/TT-BCT.
4. Việc tính toán sản lượng hợp đồng năm và phân bổ sản lượng hợp đồng năm vào các tháng trong năm phải được điều chỉnh phù hợp với lịch bảo dưỡng sửa chữa, sản lượng phát lớn nhất, sản lượng phát tối thiểu trong tháng của các nhà máy điện, có xem xét đến xác suất sự cố và thực tế vận hành của các nhà máy điện trong 5 năm trước.
5. Trường hợp sau khi điều chỉnh theo Khoản 4 Điều này, tổng sản lượng hợp đồng các tháng trong năm không bằng sản lượng hợp đồng năm, sản lượng hợp đồng tháng được điều chỉnh phân bổ theo tỷ lệ sản lượng phụ tải hệ thống điện từng tháng trên nguyên tắc đảm bảo tổng sản lượng hợp đồng năm không thay đổi và đảm bảo nguyên tắc quy định tại Khoản 4 Điều này.
6. Trước ngày 15 tháng 11 hằng năm, Đơn vị vận hành hệ thống điện và thị trường điện có trách nhiệm gửi kết quả tính toán sản lượng hợp đồng năm, tháng cho Đơn vị mua điện và các đơn vị phát điện trực tiếp giao dịch để kiểm tra.
7. Đơn vị phát điện và đơn vị mua điện có trách nhiệm phối hợp với Đơn vị vận hành hệ thống điện và thị trường điện trong việc kiểm tra, xử lý các sai lệch trong kết quả tính toán sản lượng hợp đồng năm, tháng và ký kết sản lượng hợp đồng năm, tháng theo quy định tại Điều 29 Thông tư số 45/2018/TT-BCT.
Điều 35. Kiểm tra, thẩm định kế hoạch vận hành thị trường điện năm
1. Trước ngày 15 tháng 11 năm N, sau khi đã tiếp nhận sản lượng hợp đồng mà các đơn vị đã thỏa thuận, kiểm tra và hoàn thiện các tính toán lập kế hoạch vận hành thị trường điện năm tới, Đơn vị vận hành hệ thống điện và thị trường điện có trách nhiệm lập Báo cáo kế hoạch vận hành thị trường điện năm tới trình Tập đoàn Điện lực Việt Nam thẩm định.
2. Báo cáo kế hoạch vận hành thị trường điện năm tới bao gồm các thông số đầu vào, thuyết minh và kết quả tính toán, nội dung cơ bản bao gồm:
a) Số liệu đầu vào (theo quy định tại Điều 6 Quy trình này);
b) Giá trị nước và kết quả giá trị nước từng tuần, mức nước tối ưu từng tháng của các hồ thủy điện cho năm tới;
c) Kết quả tính toán, phân loại tổ máy và giá trần các tổ máy nhiệt điện;
d) Các phương án giá trần thị trường;
đ) Kết quả tính toán, lựa chọn nhà máy mới tốt nhất;
e) Kết quả tính toán giá công suất thị trường;
g) Thống kê các thỏa thuận sản lượng hợp đồng năm, sản lượng hợp đồng tháng của các nhà máy điện đã có thỏa thuận với Đơn vị mua điện;
h) Kết quả tính toán sản lượng hợp đồng năm và sản lượng hợp đồng tháng của các nhà máy điện chưa có thỏa thuận với Đơn vị mua điện;
i) Kết quả giá phát điện bình quân cho năm tới theo từng phương án giá trần thị trường;
k) Kết quả tính toán, phân loại nhà máy thủy điện theo điều tiết hồ chứa.
Điều 36. Phê duyệt, công bố kế hoạch vận hành thị trường điện năm
1. Trước ngày 15 tháng 11 năm N, sau khi thẩm định, Tập đoàn Điện lực Việt Nam có trách nhiệm trình Cục Điều tiết điện lực thẩm định và phê duyệt kế hoạch vận hành thị trường điện năm tới.
2. Cục Điều tiết điện lực có trách nhiệm công bố tỷ lệ sản lượng thanh toán theo giá hợp đồng cho đơn vị phát điện chưa có thỏa thuận, thống nhất với Đơn vị mua điện năm tới.
3. Đơn vị vận hành hệ thống điện và thị trường điện có trách nhiệm công bố các thông tin về kế hoạch vận hành thị trường điện năm tới theo quy định tại Khoản 2, Khoản 3 Điều 30 Thông tư số 45/2018/TT-BCT lên Trang thông tin điện tử thị trường điện theo quy định tại Quy trình quản lý vận hành hệ thống công nghệ thông tin điều hành thị trường điện do Cục Điều tiết điện lực ban hành và công bố thông tin thị trường điện.
4. Trong thời hạn 15 ngày làm việc kể từ ngày công bố kế hoạch vận hành thị trường điện năm, đối với các nhà máy điện chưa thỏa thuận và thống nhất sản lượng hợp đồng năm, sản lượng hợp đồng từng tháng trong năm, trên cơ sở sản lượng hợp đồng tại điểm giao nhận do Đơn vị vận hành hệ thống điện và thị trường điện tính toán và công bố, Đơn vị mua điện và Đơn vị phát điện trực tiếp giao dịch có trách nhiệm ký kết, bổ sung phụ lục về sản lượng hợp đồng năm, sản lượng hợp đồng tháng tại điểm giao nhận vào hợp đồng mua bán điện.
Chương IV
KẾ HOẠCH VẬN HÀNH THỊ TRƯỜNG ĐIỆN THÁNG TỚI
Điều 37. Nội dung và trình tự lập kế hoạch vận hành thị trường điện tháng tới
1. Đơn vị vận hành hệ thống điện và thị trường điện có trách nhiệm lập kế hoạch vận hành thị trường điện tháng tới, bao gồm các bước sau:
a) Dự báo phụ tải, bao gồm phụ tải hệ thống điện quốc gia và phụ tải hệ thống điện miền;
b) Tính toán giá trị nước, mức nước tối ưu, sản lượng dự kiến của nhà máy thủy điện bậc thang và nhà máy thủy điện có hồ chứa điều tiết trên một tuần;
c) Tính toán phân loại tổ máy và tính toán giá trần bản chào của tổ máy nhiệt điện;
d) Tính toán sản lượng dự kiến của các nhà máy thủy điện chiến lược đa mục tiêu;
đ) Xác định sản lượng hợp đồng từng chu kỳ của từng nhà máy điện;
e) Xác định nhu cầu dịch vụ dự phòng điều chỉnh tần số, danh sách các tổ máy phát điện đủ điều kiện cung cấp dịch vụ dự phòng điều chỉnh tần số trong kế hoạch vận hành tháng tới.
2. Đơn vị vận hành hệ thống điện và thị trường điện có trách nhiệm sử dụng hệ thống chương trình lập kế hoạch vận hành thị trường điện tại Điều 5 Quy trình này để tính toán lập kế hoạch vận hành tháng theo quy định tại Sơ đồ 2 Phụ lục 1 Quy trình này.
Điều 38. Cung cấp số liệu phục vụ lập kế hoạch vận hành thị trường điện tháng tới
1. Trước ngày 15 hằng tháng, các đơn vị tham gia thị trường điện có trách nhiệm cập nhật và cung cấp cho Đơn vị vận hành hệ thống điện và thị trường điện các số liệu theo các quy định tại Điều 8, Điều 10, Điều 11, Điều 13, Điều 14, Điều 15, Điều 16, Điều 17 và Điều 18 Quy trình này và theo quy định tại Quy trình lập kế hoạch bảo dưỡng, sửa chữa lưới điện và nhà máy điện trong hệ thống điện quốc gia do Cục Điều tiết điện lực ban hành.
2. Trước ngày 20 hằng tháng, đơn vị tham gia thị trường điện và đơn vị liên quan có trách nhiệm cung cấp cho Đơn vị vận hành hệ thống điện và thị trường điện các số liệu theo quy định tại Điều 22 Quy trình này và quy định tại Quy trình dự báo nhu cầu phụ tải hệ thống điện do Cục Điều tiết điện lực ban hành. Các đơn vị phát điện sở hữu nhà máy điện thuộc khu công nghiệp có trách nhiệm cung cấp thêm nhu cầu phụ tải nội bộ dự kiến của tháng tiếp theo.
3. Trước ngày 20 hằng tháng, Đơn vị mua điện và Đơn vị phát điện có trách nhiệm công bố và xác nhận sản lượng hợp đồng tháng tới và các tháng còn lại trong năm, sản lượng hợp đồng từng chu kỳ giao dịch (đối với nhà máy điện mới) trong trường hợp đã thỏa thuận và thống nhất trên Trang thông tin điện tử thị trường điện theo quy định tại Quy trình quản lý vận hành hệ thống công nghệ thông tin điều hành thị trường điện do Cục Điều tiết điện lực ban hành và công bố thông tin thị trường điện.
4. Trước ngày 20 hằng tháng, Đơn vị phát điện có trách nhiệm cung cấp sản lượng khả dụng dự kiến nhà máy điện tháng tới theo đặc tính kỹ thuật tổ máy có xét đến kế hoạch bảo dưỡng sửa chữa và thông tin về kế hoạch cung cấp nhiên liệu tháng tới và các tháng tiếp theo đối với các nhà máy nhiệt điện (có xác nhận của đơn vị cung cấp nhiên liệu) cho Đơn vị vận hành hệ thống điện và thị trường điện lên Trang thông tin điện tử thị trường điện theo quy định tại Quy trình quản lý vận hành hệ thống công nghệ thông tin điều hành thị trường điện do Cục Điều tiết điện lực ban hành và công bố thông tin thị trường điện để làm cơ sở tính toán lập kế hoạch vận hành tháng tới và xem xét điều chỉnh sản lượng hợp đồng theo quy định tại Quy trình tính toán thanh toán trong thị trường điện do Cục Điều tiết điện lực ban hành.
5. Trước ngày 20 hằng tháng, đơn vị mua buôn điện có trách nhiệm dự báo phụ tải từng chu kỳ giao dịch của tháng tới và gửi Đơn vị vận hành hệ thống điện và thị trường điện để phục vụ lập kế hoạch vận hành tháng tới.
Điều 39. Chuẩn bị các số liệu đầu vào cho lập kế hoạch vận hành thị trường điện tháng tới
1. Trước ngày 20 hằng tháng, Đơn vị vận hành hệ thống điện và thị trường điện có trách nhiệm dự kiến phụ tải tháng tới theo quy định tại Quy trình dự báo nhu cầu phụ tải hệ thống điện do Cục Điều tiết điện lực ban hành.
2. Trước ngày 20 hằng tháng, Đơn vị vận hành hệ thống điện và thị trường điện có trách nhiệm dự kiến kế hoạch bảo dưỡng sửa chữa thiết bị điện cho các tổ máy phát điện, đường dây truyền tải điện và các thiết bị kết nối liên quan cho tháng tới.
3. Trước ngày 25 hằng tháng, Đơn vị vận hành hệ thống điện và thị trường điện có trách nhiệm hoàn thành việc lập kế hoạch bảo dưỡng sửa chữa thiết bị điện cho các tổ máy phát điện, đường dây truyền tải điện và các thiết bị kết nối liên quan cho tháng tới theo quy định tại Quy trình lập kế hoạch bảo dưỡng, sửa chữa lưới điện và nhà máy điện trong hệ thống điện quốc gia do Cục Điều tiết điện lực ban hành.
4. Trước ngày 20 hằng tháng, trên cơ sở các thông tin được các đơn vị cung cấp, Đơn vị vận hành hệ thống điện và thị trường điện có trách nhiệm xác định các thông số và cập nhật vào các chương trình tính toán.
Điều 40. Tính toán giá trị nước tháng tới
1. Trước ngày 20 hằng tháng, Đơn vị vận hành hệ thống điện và thị trường điện có trách nhiệm tính toán giá trị nước của các hồ thủy điện trong tháng tới theo quy định tại Phụ lục 17 Quy trình này.
2. Quy định về tính toán giá trị nước tháng tới
a) Chu kỳ tính toán giá trị nước tháng tới là 52 tuần tính từ ngày đầu tiên của tháng M có xét đến 03 năm tiếp theo;
b) Số liệu đầu vào của 03 năm tiếp theo được lấy bằng số liệu của 52 tuần đầu tiên;
c) Mức nước tại thời điểm bắt đầu chu kỳ tính toán là mức nước được Đơn vị vận hành hệ thống điện và thị trường điện tính toán, cập nhật căn cứ trên mức nước thực tế của từng hồ tại thời điểm tính toán và lượng nước cần sử dụng từ thời điểm tính toán đến thời điểm bắt đầu chu kỳ tính toán;
d) Kết quả tính toán giá trị nước của 05 tuần đầu tiên trong chu kỳ tính toán được sử dụng trong quá trình lập kế hoạch vận hành tháng tới.
3. Kết quả tính toán giá trị nước phục vụ quá trình lập kế hoạch vận hành tháng tới bao gồm các số liệu sau:
a) Giá trị nước 05 tuần đầu tiên trong chu kỳ tính toán của các nhà máy thủy điện (đồng/kWh);
b) Sản lượng điện phát 05 tuần đầu tiên trong chu kỳ tính toán của các nhà máy thủy điện (GWh);
c) Công suất khả dụng 05 tuần đầu tiên trong chu kỳ tính toán của các tổ máy (MW);
d) Mức nước tối ưu từng tuần trong chu kỳ tính toán của các nhà máy thủy điện (m).
Điều 41. Tính toán mô phỏng thị trường tháng tới
1. Trước ngày 23 hằng tháng, Đơn vị vận hành hệ thống điện và thị trường điện có trách nhiệm tính toán mô phỏng thị trường điện theo phương pháp và trình tự quy định tại Phụ lục 16 Quy trình này.
2. Các tổ máy trong chương trình mô phỏng thị trường được cập nhật như sau:
a) Giá bản chào các tổ máy nhiệt điện từng giờ trong một tuần bằng nhau và được cập nhật bằng kết quả chi phí biến đổi của nhiệt điện từng tuần trong tháng tới;
b) Các tổ máy thủy điện mô phỏng đặc tính kỹ thuật, đặc tính hồ chứa, lưu lượng nước về, mức nước hồ chứa thủy điện từ kết quả của chương trình tính toán giá trị nước;
c) Công suất các tổ máy từng giờ trong tuần được cập nhật bằng công suất khả dụng của các tổ máy;

: Công suất tối đa từng giờ của tổ máy i trong tuần T (MW);
: Sản lượng của tổ máy i trong tuần T được tính toán từ chương trình tính toán giá trị nước (MWh).
3. Tính toán mô phỏng thị trường đưa ra sản lượng từng giờ của từng tổ máy theo phương pháp lập lịch có ràng buộc (MWh).
Điều 42. Phân loại tổ máy nhiệt điện tháng tới
1. Trước ngày 23 hằng tháng, Đơn vị vận hành hệ thống điện và thị trường điện có trách nhiệm sử dụng mô hình mô phỏng thị trường được quy định tại Điều 41 Quy trình này để xác định hệ số tải trung bình tháng của các tổ máy phát điện, phân loại các tổ máy chạy nền, chạy lưng và chạy đỉnh trong tháng tới.

: Hệ số tải trung bình tháng của tổ máy i (%);
: Tổng sản lượng điện năng dự kiến trong tháng tới của tổ máy i, xác định từ kết quả tính toán kế hoạch vận hành tháng được xác định tại Điều 41 Quy trình này (MWh);
![]()
: Công suất đặt của tổ máy i (MW);
: Tổng số chu kỳ tính toán hệ số tải tháng.
3. Căn cứ hệ số tải trung bình tháng từ kết quả mô phỏng, các tổ máy được phân loại thành ba nhóm sau:
a) Nhóm tổ máy chạy nền bao gồm các tổ máy phát điện có hệ số tải trung bình tháng lớn hơn hoặc bằng 70%;
b) Nhóm tổ máy chạy lưng bao gồm các tổ máy phát điện có hệ số tải trung bình tháng lớn hơn 25% và nhỏ hơn 70%;
c) Nhóm tổ máy chạy đỉnh bao gồm các tổ máy phát điện có hệ số tải trung bình tháng nhỏ hơn hoặc bằng 25%.
Điều 43. Điều chỉnh giá trần bản chào của tổ máy nhiệt điện
1. Trước ngày 23 hằng tháng, Đơn vị vận hành hệ thống điện và thị trường điện có trách nhiệm tính toán và điều chỉnh giá trần bản chào các tổ máy nhiệt điện trong tháng tới theo phương pháp quy định tại Điều 22 Thông tư số 45/2018/TT-BCT.
2. Trước ngày 23 hằng tháng, sau khi tính toán điều chỉnh giá trần bản chào các tổ máy nhiệt điện trong tháng tới, Đơn vị vận hành hệ thống điện và thị trường điện có trách nhiệm công bố số liệu đầu vào và kết quả giá trần bản chào, giá trung bình của các giá trần bản chào của các tổ máy nhiệt điện trong tháng tới.
Điều 44. Tính toán sản lượng hợp đồng cho nhà máy điện mới tham gia thị trường điện giữa năm vận hành
Trừ trường hợp Đơn vị phát điện và Đơn vị mua điện thỏa thuận, thống nhất được tỷ lệ sản lượng thanh toán theo giá hợp đồng và sản lượng hợp đồng các tháng còn lại trong năm, sản lượng hợp đồng của nhà máy điện mới tham gia thị trường điện giữa năm vận hành được xác định theo các bước sau:
1. Trước ngày 20 hằng tháng, Đơn vị phát điện có kế hoạch đưa nhà máy điện vào vận hành thương mại trong tháng tới có trách nhiệm cung cấp các thông tin về kinh tế và kỹ thuật của nhà máy điện cho Đơn vị vận hành hệ thống điện và thị trường điện để tính toán kế hoạch vận hành tháng tới và các tháng tiếp theo trong năm N.
2. Trước ngày 23 hằng tháng, Đơn vị vận hành hệ thống điện và thị trường điện có trách nhiệm tính toán sản lượng hợp đồng tháng cho nhà máy điện (tính từ tháng nhà máy điện tham gia thị trường điện đến hết năm N) trong kế hoạch vận hành thị trường điện tháng tới.

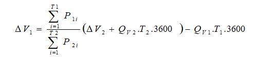
: Tổng sản lượng hợp đồng tháng M của nhà máy điện (kWh);
: Sản lượng kế hoạch tháng M theo phương thức vận hành hệ thống điện cập nhật tháng tới và các tháng còn lại năm N của nhà máy điện và được quy đổi về điểm giao nhận (kWh);
Tỷ lệ sản lượng thanh toán theo giá hợp đồng áp dụng cho năm N được quy định tại Khoản 4 Điều 1 Thông tư số 24/2019/TT-BCT (%).
Điều 45. Điều chỉnh sản lượng hợp đồng tháng
1. Trước ngày 20 hằng tháng, trường hợp Đơn vị phát điện và Đơn vị mua điện thống nhất trong hợp đồng mua bán điện về sản lượng hợp đồng tháng, hoặc các nội dung và kết quả điều chỉnh sản lượng hợp đồng tháng, các đơn vị có trách nhiệm thông báo sản lượng hợp đồng tháng tới và các tháng còn lại trong năm mà các bên đã thống nhất cho Đơn vị vận hành hệ thống điện và thị trường điện để phục vụ công tác vận hành thị trường điện.
2. Trường hợp sản lượng hợp đồng tháng của các nhà máy điện được tính toán phân bổ theo quy định tại Khoản 2 Điều 27 Thông tư số 45/2018/TT-BCT, việc điều chỉnh sản lượng hợp đồng tháng được thực hiện theo quy định tại Khoản 1, Khoản 2, Khoản 3 Điều 37 Thông tư số 45/2018/TT-BCT, Khoản 4 Điều 1 Thông tư số 24/2019/TT-BCT và quy định tại Quy trình tính toán thanh toán trong thị trường điện do Cục Điều tiết điện lực ban hành.
Điều 46. Xác định sản lượng hợp đồng từng chu kỳ
Trừ trường hợp đã có thỏa thuận trong hợp đồng mua bán điện của nhà máy điện mới (vận hành thương mại sau thời điểm ngày 01 tháng 01 năm 2020), sản lượng hợp đồng từng chu kỳ giao dịch của nhà máy điện được xác định như sau:
1. Trước 05 ngày cuối cùng hằng tháng, Đơn vị vận hành hệ thống điện và thị trường điện có trách nhiệm tính toán phân bổ sản lượng hợp đồng từng chu kỳ trong tháng tới cho từng nhà máy điện và đơn vị mua điện theo quy định tại Điều 38, Điều 40 Thông tư số 45/2018/TT-BCT.
2. Trước 05 ngày cuối cùng hằng tháng, Đơn vị vận hành hệ thống điện và thị trường điện có trách nhiệm công bố lên Trang thông tin điện tử thị trường điện số liệu đầu vào phục vụ tính toán và kết quả tính toán sản lượng hợp đồng sơ bộ trong tháng cho đơn vị mua điện và đơn vị phát điện trực tiếp giao dịch. Đơn vị mua điện và đơn vị phát điện có trách nhiệm phối hợp với Đơn vị vận hành hệ thống điện và thị trường điện hoàn thành kiểm tra các sai lệch trong kết quả tính toán sản lượng hợp đồng từng chu kỳ giao dịch trong tháng tới ít nhất 03 ngày trước ngày cuối cùng hằng tháng. Đơn vị vận hành hệ thống điện và thị trường điện có trách nhiệm gửi kết quả tính toán sản lượng hợp đồng từng chu kỳ giao dịch chính thức trong tháng cho đơn vị mua điện và đơn vị phát điện trực tiếp giao dịch ít nhất 03 ngày trước ngày cuối cùng hằng tháng.
Điều 47. Kiểm tra, phê duyệt và công bố kế hoạch vận hành thị trường điện tháng tới
1. Sau khi đã kiểm tra và hoàn thiện các tính toán lập kế hoạch vận hành thị trường điện tháng tới, Đơn vị vận hành hệ thống điện và thị trường điện có trách nhiệm trình Tập đoàn Điện lực Việt Nam kế hoạch vận hành thị trường điện tháng tới.
2. Kế hoạch vận hành thị trường điện tháng bao gồm các thông số đầu vào và thuyết minh tính toán, nội dung cơ bản bao gồm:
a) Giá trị nước, mức nước tối ưu của các nhà máy thủy điện bậc thang và nhà máy thủy điện có hồ chứa điều tiết trên một tuần hằng tuần trong tháng tới;
b) Giá trần bản chào cho từng tổ máy nhiệt điện trong tháng tới;
c) Giá trung bình của các giá trần bản chào của các tổ máy nhiệt điện tham gia thị trường điện;
đ) Sản lượng thanh toán theo giá hợp đồng từng chu kỳ của các nhà máy điện trong tháng tới;
d) Sản lượng dự kiến phát từng chu kỳ của các nhà máy điện trong tháng tới.
3. Tập đoàn Điện lực Việt Nam có trách nhiệm xem xét và phê duyệt kế hoạch vận hành thị trường điện tháng đã lập.
4. Trước 03 ngày cuối cùng hằng tháng, sau khi kế hoạch vận hành thị trường điện tháng được Tập đoàn Điện lực Việt Nam phê duyệt, Đơn vị vận hành hệ thống điện và thị trường điện có trách nhiệm công bố kế hoạch vận hành thị trường điện tháng tới lên Trang thông tin điện tử thị trường điện theo quy định tại Quy trình vận hành hệ thống thông tin thị trường do Cục Điều tiết điện lực ban hành và công bố thông tin.
5. Trước ngày cuối cùng hằng tháng, trên cơ sở sản lượng hợp đồng tại điểm giao nhận do Đơn vị vận hành hệ thống điện và thị trường điện tính toán và công bố, Đơn vị mua điện và Đơn vị phát điện trực tiếp giao dịch có trách nhiệm ký xác nhận sản lượng hợp đồng tháng tới được điều chỉnh theo quy định tại Điều 45 Quy trình này và sản lượng hợp đồng từng chu kỳ giao dịch theo kết quả tính toán của Đơn vị vận hành hệ thống điện và thị trường điện.
Chương V
LẬP KẾ HOẠCH VẬN HÀNH HỆ THỐNG ĐIỆN VÀ THỊ TRƯỜNG ĐIỆN TUẦN TỚI
Điều 48. Nội dung, trình tự lập kế hoạch vận hành hệ thống điện và thị trường điện tuần tới
1. Đơn vị vận hành hệ thống điện và thị trường điện có trách nhiệm lập kế hoạch vận hành hệ thống điện và thị trường điện tuần tới, bao gồm các nội dung sau:
a) Dự báo phụ tải, bao gồm phụ tải hệ thống điện quốc gia và phụ tải hệ thống điện miền;
b) Tổng sản lượng điện dự kiến phát của từng nhà máy điện trong tuần tới;
c) Giá trị nước và sản lượng dự kiến hàng giờ của nhà máy thủy điện chiến lược đa mục tiêu;
d) Giá trị nước của các nhà máy thuỷ điện bậc thang, các nhà máy thuỷ điện có hồ chứa điều tiết trên một tuần;
đ) Sản lượng hợp đồng tuần, sản lượng hợp đồng từng chu kỳ giao dịch của các nhà máy thủy điện có hồ chứa điều tiết từ 02 ngày đến 01 tuần;
e) Giá trị nước cao nhất của các nhà máy thủy điện tham gia thị trường điện;
g) Sản lượng dự kiến từng chu kỳ của các nhà máy thuỷ điện có hồ chứa dưới 02 ngày;
h) Mức nước tối ưu tuần của các hồ chứa thủy điện;
i) Mức nước giới hạn tuần của các hồ chứa thủy điện có khả năng điều tiết trên 01 tuần;
k) Lịch bảo dưỡng, sửa chữa nguồn và lưới điện trong tuần tới;
l) Xác định nhu cầu dịch vụ dự phòng điều chỉnh tần số, danh sách các tổ máy dự kiến cung cấp dịch vụ dự phỏng điều chỉnh tần số trong kế hoạch vận hành tuần tới;
m) Các kiến nghị, đề xuất để đảm bảo vận hành hệ thống điện và thị trường điện ổn định, an toàn, tin cậy.
2. Đơn vị vận hành hệ thống điện và thị trường điện có trách nhiệm sử dụng các công cụ phần mềm tính toán theo quy định tại Điều 5 Quy trình này để tính toán lập kế hoạch vận hành hệ thống điện và thị trường điện tuần theo trình tự quy định tại Sơ đồ 3 Phụ lục 1 Quy trình này.
Điều 49. Cung cấp số liệu phục vụ lập kế hoạch vận hành hệ thống điện và thị trường điện tuần tới
1. Trước 08h00 thứ Ba hằng tuần, đơn vị tham gia thị trường điện và đơn vị liên quan có trách nhiệm cung cấp cho Đơn vị vận hành hệ thống điện và thị trường điện các số liệu theo quy định tại Quy trình dự báo nhu cầu phụ tải hệ thống điện do Cục Điều tiết điện lực ban hành.
2. Trước 15h00 thứ Ba hằng tuần, đơn vị tham gia thị trường điện và đơn vị liên quan có trách nhiệm cung cấp cho Đơn vị vận hành hệ thống điện và thị trường điện các số liệu theo quy định tại Điều 8, Điều 10, Điều 11, Điều 12, Điều 13, Điều 14, Điều 15, Điều 16, Điều 17 và Điều 18 Quy trình này và theo quy định tại Quy trình lập kế hoạch bảo dưỡng, sửa chữa lưới điện và nhà máy điện trong hệ thống điện quốc gia do Cục Điều tiết điện lực ban hành.
Điều 50. Chuẩn bị số liệu đầu vào cho lập kế hoạch vận hành hệ thống điện và thị trường điện tuần tới
Trước 17h00 thứ Ba hằng tuần, Đơn vị vận hành hệ thống điện và thị trường điện có trách nhiệm:
1. Dự kiến phụ tải tuần tới theo phương pháp quy định tại Quy trình dự báo nhu cầu phụ tải hệ thống điện do Cục Điều tiết điện lực ban hành.
2. Dự kiến kế hoạch bảo dưỡng sửa chữa thiết bị điện cho các tổ máy phát điện, đường dây truyền tải điện và các thiết bị kết nối liên quan cho tuần tới.
3. Xác định các thông số và cập nhật vào các chương trình tính toán căn cứ trên cơ sở các thông tin được các đơn vị liên quan cung cấp.
Điều 51. Tính toán giá trị nước tuần tới
1. Trước 10h00 thứ Tư hằng tuần, Đơn vị vận hành hệ thống điện và thị trường điện có trách nhiệm tính toán giá trị nước của các hồ thủy điện trong tuần tới theo nguyên tắc quy định tại Phụ lục 1 Quy trình này.
2. Quy định về tính toán giá trị nước tuần tới
a) Chu kỳ tính toán giá trị nước tuần tới là 52 tuần tính từ ngày đầu tiên của tuần T có xét đến 03 năm tiếp theo;
b) Số liệu đầu vào của 03 năm tiếp theo được lấy bằng số liệu của 52 tuần đầu tiên;
c) Mức nước tại thời điểm bắt đầu chu kỳ tính toán là mức nước được Đơn vị vận hành hệ thống điện và thị trường điện tính toán, cập nhật căn cứ trên mức nước thực tế của từng hồ tại thời điểm tính toán và lượng nước cần sử dụng từ thời điểm tính toán đến thời điểm bắt đầu chu kỳ tính toán;
d) Kết quả tính toán giá trị nước của 01 tuần đầu tiên trong chu kỳ tính toán được sử dụng trong quá trình xác định giới hạn giá chào và biểu đồ phát của nhà máy thủy điện trong tuần tới.
3. Kết quả tính toán giá trị nước phục vụ quá trình lập kế hoạch vận hành tuần tới bao gồm các số liệu sau:
a) Giá trị nước 01 tuần đầu tiên trong chu kỳ tính toán của nhà máy thủy điện chiến lược đa mục tiêu (đồng/kWh);
b) Sản lượng điện phát 01 tuần đầu tiên trong chu kỳ tính toán của nhà máy thủy điện chiến lược đa mục tiêu (GWh);
c) Giá trị nước 01 tuần đầu tiên trong chu kỳ tính toán của các nhóm nhà máy thủy điện bậc thang (đồng/kWh);
d) Giá trị nước 01 tuần đầu tiên trong chu kỳ tính toán của các nhà máy thủy điện khác có hồ chứa điều tiết trên 01 tuần (đồng/kWh);
đ) Mức nước tối ưu từng tuần trong chu kỳ tính toán của các nhà máy thủy điện (m).
Điều 52. Tính toán kế hoạch vận hành nguồn điện tuần tới
1. Trước 15h00 thứ Tư hằng tuần, Đơn vị vận hành hệ thống điện và thị trường điện có trách nhiệm tính toán kế hoạch vận hành nguồn điện tuần sử dụng chương trình tối ưu thủy nhiệt điện ngắn hạn.
2. Giá bản chào và công suất các tổ máy trong chương trình tối ưu được cập nhật như sau:
a) Giá bản chào các tổ máy nhiệt điện từng giờ trong một tuần bằng nhau và được cập nhật bằng giá biến đổi các tổ máy nhiệt điện tuần tới;
b) Các tổ máy thủy điện được mô phỏng theo quy định tại Phụ lục 16 Quy trình này.
3. Điều tiết hồ chứa thủy điện tuần tới căn cứ trên dự báo lưu lượng nước về trung bình tuần của hồ chứa thủy điện, mức nước thượng lưu đầu tuần và mức nước thượng lưu cuối tuần
a) Dự báo lưu lượng nước về trung bình tuần tới được xác định căn cứ trên lưu lượng nước về trung bình 07 ngày liền kề trước đó và có điều chỉnh thêm ±20% nếu lưu lượng nước về trung bình 07 ngày liền kề chênh lệch với lưu lượng nước về trung bình 10 ngày liền kề quá ±20%;
b) Mức nước thượng lưu đầu tuần tới của các nhà máy thủy điện có hồ chứa điều tiết trên một tuần được tính toán căn cứ trên mức nước hiện tại, sản lượng dự kiến các ngày còn lại trong tuần hiện tại và dự báo lưu lượng nước về trung bình các ngày còn lại trong tuần theo nguyên tắc sau:
- Sản lượng dự kiến các ngày còn lại trong tuần hiện tại được tính toán bằng sản lượng điện thực tế trung bình các ngày đã qua, trong đó có xét đến ngày thường, ngày lễ, ngày thứ Bảy và ngày Chủ nhật, số ngày trung bình bằng số ngày từ thời điểm tính toán đến cuối tuần;
- Dự báo lưu lượng nước về trung bình các ngày còn lại trong tuần hiện tại được tính bằng lưu lượng nước về thực tế trung bình của các ngày liền trước thời điểm tính toán, số ngày trung bình bằng 03 ngày liền kề trước đó.
c) Mức nước thượng lưu cuối tuần của các nhà máy thủy điện có hồ chứa điều tiết dưới 01 tuần được cập nhật bằng mức nước thượng lưu đầu tuần tới;

: Thời gian trong tuần (giờ);
: Thời gian từ đầu tuần tới đến cuối tháng (giờ);
: Công suất khả dụng của nhà máy tại giờ thứ i trong tuần có tính đến lịch, bảo dưỡng sửa chữa (MW);
: Công suất khả dụng của nhà máy tại giờ thứ i từ đầu tuần đến cuối tháng có tính đến kế hoạch bảo dưỡng, sửa chữa (MW);
: Chênh lệch thể tích giữa đầu tuần và cuối tuần (m3);
: Dự kiến lưu lượng nước về trung bình tính toán tuần (m3/s);
: Chênh lệch thể tích giữa đầu tuần đến cuối tháng (m3);
: Lưu lượng nước về trung bình tính toán tháng đã được phê duyệt (m3/s).
4. Kết quả tính toán từ chương trình tối ưu thủy nhiệt điện ngắn hạn bao gồm: Sản lượng điện (MWh) từng chu kỳ của nhà máy điện bao gồm nhà máy thủy điện chiến lược đa mục tiêu, các nhà máy thủy điện có hồ chứa điều tiết từ 02 ngày đến 01 tuần và các nhà máy điện khác.
Điều 53. Tính toán kế hoạch vận hành lưới điện truyền tải tuần tới
Trước 15h00 thứ Tư hằng tuần, Đơn vị vận hành hệ thống điện và thị trường điện có trách nhiệm tính toán kế hoạch vận hành lưới điện truyền tải tuần tới theo trình tự sau:
1. Tính toán cân bằng công suất hệ thống điện quốc gia tại các thời điểm cao điểm và thấp điểm trong ngày tương ứng với kết quả dự báo nhu cầu phụ tải điện tại các thời điểm đó.
2. Xây dựng cơ sở dữ liệu cho tính toán các chế độ vận hành lưới điện tại thời điểm cao điểm và thấp điểm trong ngày căn cứ kết quả dự báo phụ tải, cân bằng công suất và cấu hình lưới điện của hệ thống điện.
3. Tính toán dòng điện ngắn mạch tại các thanh cái 500kV, 220kV và 110kV trong lưới điện truyền tải.
4. Tính toán chế độ vận hành bình thường của lưới điện tại các thời điểm cao điểm và thấp điểm trong ngày; cảnh báo các phần tử của lưới điện (đường dây hoặc máy biến áp) mang tải cao theo quy định tại Điều 59 Quy định hệ thống điện truyền tải do Cục Điều tiết điện lực ban hành; đánh giá khả năng đáp ứng nhu cầu phụ tải điện của lưới điện quốc gia, vùng, miền.
5. Tính toán chế độ vận hành lưới điện khi sự cố phần tử nguy hiểm trong hệ thống điện (chế độ N-1) tại các thời điểm cao điểm và thấp điểm trong ngày. Cảnh báo các phần tử của lưới điện (đường dây hoặc máy biến áp) có khả năng xảy ra sự cố nguy hiểm.
6. Tính toán và quy định biểu đồ điện áp các điểm nút chính trong hệ thống điện quốc gia.
7. Tính toán các chế độ vận hành đặc biệt khác (nếu cần).
8. Đề xuất các giải pháp để đảm bảo vận hành lưới điện an toàn, tin cậy.
Điều 54. Tính toán sản lượng hợp đồng tuần
Trước 15h00 thứ Tư hằng tuần, Đơn vị vận hành hệ thống điện và thị trường điện có trách nhiệm tính toán sản lượng hợp đồng tuần của các nhà máy thủy điện có hồ chứa điều tiết từ 02 ngày đến 01 tuần theo quy định tại Khoản 15 Điều 1 Thông tư số 24/2019/TT-BCT.
Điều 55. Kiểm tra, phê duyệt, công bố kế hoạch vận hành hệ thống điện và thị trường điện tuần tới
1. Trước ngày 15h00 thứ Năm hằng tuần, sau khi đã kiểm tra và hoàn thành các tính toán lập kế hoạch vận hành hệ thống điện và thị trường điện tuần tới, Đơn vị vận hành hệ thống điện và thị trường điện có trách nhiệm trình Tập đoàn Điện lực Việt Nam phê duyệt kế hoạch vận hành hệ thống điện và thị trường điện tuần tới.
2. Trước 10h00 thứ Sáu hằng tuần, Tập đoàn Điện lực Việt Nam có trách nhiệm phê duyệt kế hoạch vận hành hệ thống điện và thị trường điện tuần tới.
3. Trước 15h00 thứ Sáu hằng tuần, Đơn vị vận hành hệ thống điện và thị trường điện có trách nhiệm công bố kế hoạch vận hành hệ thống điện và thị trường điện tuần tới lên trang thông tin điện tử thị trường điện theo quy định tại Quy trình quản lý vận hành hệ thống công nghệ thông tin điều hành thị trường điện do Cục Điều tiết điện lực ban hành và công bố thông tin thị trường điện.
4. Đơn vị mua điện và Đơn vị phát điện sở hữu nhà máy thủy điện có hồ chứa điều tiết từ 02 ngày đến 01 tuần có trách nhiệm ký kết, xác nhận sản lượng hợp đồng tuần căn cứ vào các thông tin được Đơn vị vận hành hệ thống điện và thị trường điện công bố./.
Bạn chưa Đăng nhập thành viên.
Đây là tiện ích dành cho tài khoản thành viên. Vui lòng Đăng nhập để xem chi tiết. Nếu chưa có tài khoản, vui lòng Đăng ký tại đây!
Bạn chưa Đăng nhập thành viên.
Đây là tiện ích dành cho tài khoản thành viên. Vui lòng Đăng nhập để xem chi tiết. Nếu chưa có tài khoản, vui lòng Đăng ký tại đây!