- Tổng quan
- Nội dung
- VB gốc
- Tiếng Anh
- Hiệu lực
- VB liên quan
- Lược đồ
-
Nội dung hợp nhất
Tính năng này chỉ có tại LuatVietnam.vn. Nội dung hợp nhất tổng hợp lại tất cả các quy định còn hiệu lực của văn bản gốc và các văn bản sửa đổi, bổ sung, đính chính... trên một trang. Việc hợp nhất văn bản gốc và những văn bản, Thông tư, Nghị định hướng dẫn khác không làm thay đổi thứ tự điều khoản, nội dung.
Khách hàng chỉ cần xem Nội dung hợp nhất là có thể nắm bắt toàn bộ quy định hiện hành đang áp dụng, cho dù văn bản gốc đã qua nhiều lần chỉnh sửa, bổ sung.
- Tải về
Nghị định 18/2025/NĐ-CP quy định một số điều của Luật Điện lực liên quan đến hoạt động mua bán điện và tình huống bảo đảm cung cấp điện
| Cơ quan ban hành: | Chính phủ |
Số công báo:
Số công báo là mã số ấn phẩm được đăng chính thức trên ấn phẩm thông tin của Nhà nước. Mã số này do Chính phủ thống nhất quản lý.
|
Đã biết
|
| Số hiệu: | 18/2025/NĐ-CP | Ngày đăng công báo: |
Đã biết
|
| Loại văn bản: | Nghị định | Người ký: | Bùi Thanh Sơn |
| Trích yếu: | Quy định chi tiết một số điều của Luật Điện lực liên quan đến hoạt động mua bán điện và tình huống bảo đảm cung cấp điện | ||
|
Ngày ban hành:
Ngày ban hành là ngày, tháng, năm văn bản được thông qua hoặc ký ban hành.
|
08/02/2025 |
Ngày hết hiệu lực:
Ngày hết hiệu lực là ngày, tháng, năm văn bản chính thức không còn hiệu lực (áp dụng).
|
Đang cập nhật |
|
Áp dụng:
Ngày áp dụng là ngày, tháng, năm văn bản chính thức có hiệu lực (áp dụng).
|
Đã biết
|
Tình trạng hiệu lực:
Cho biết trạng thái hiệu lực của văn bản đang tra cứu: Chưa áp dụng, Còn hiệu lực, Hết hiệu lực, Hết hiệu lực 1 phần; Đã sửa đổi, Đính chính hay Không còn phù hợp,...
|
Đã biết
|
| Lĩnh vực: | Công nghiệp Điện lực | ||
TÓM TẮT NGHỊ ĐỊNH 18/2025/NĐ-CP
Ngày 08/02/2025, Chính phủ ban hành Nghị định 18/2025/NĐ-CP quy định chi tiết một số điều của Luật Điện lực liên quan đến hoạt động mua bán điện và tình huống bảo đảm cung cấp điện.
1. Tổ chức, cá nhân khi đề nghị giao kết hợp đồng mua bán điện phục vụ mục đích sinh hoạt phải bảo đảm các điều kiện sau:
- Chủ thể đề nghị giao kết hợp đồng của bên mua điện là người đại diện theo pháp luật hoặc theo ủy quyền của bên mua điện thực hiện giao kết hợp đồng;
- Chủ thể đề nghị giao kết hợp đồng của bên bán điện là người đại diện theo pháp luật hoặc theo ủy quyền của đơn vị bán lẻ điện đáp ứng nhu cầu của Bên mua điện thực hiện giao kết hợp đồng;
- Chủ thể tham gia đề nghị giao kết hợp đồng bảo đảm điều kiện có hiệu lực của giao dịch dân sự theo quy định của Bộ luật Dân sự. Trường hợp người mất năng lực hành vi dân sự thì người đại diện theo pháp luật của người mất năng lực hành vi dân sự là chủ thể tham gia đề nghị giao kết hợp đồng;…
2. Đối với việc mua bán điện sử dụng ngoài mục đích sinh hoạt, bên mua điện và bên bán điện được phép thỏa thuận số lần ghi chỉ số đo điện năng trong tháng. Trường hợp hai bên không thỏa thuận được, việc ghi chỉ số đo điện năng được quy định căn cứ vào sản lượng điện tiêu thụ bình quân đăng ký trong hợp đồng mua bán điện như sau:
- Dưới 50.000 kWh/tháng, ghi chỉ số một lần trong một tháng;
- Từ 50.000 đến 100.000 kWh/tháng, ghi chỉ số hai lần trong một tháng;
- Trên 100.000 kWh/tháng, ghi chỉ số ba lần trong một tháng.
3. Các tình huống cấp bách đe dọa nghiêm trọng đến khả năng bảo đảm cung cấp điện bao gồm:
- Xảy ra hoặc có nguy cơ xảy ra tình trạng mất cân bằng công suất giữa nguồn điện và phụ tải điện dẫn tới phải ngừng, giảm mức cung cấp điện được Đơn vị điều độ hệ thống điện quốc gia xác định trong các Phương thức vận hành hệ thống điện.
- Xảy ra hoặc có nguy cơ xảy ra tình trạng thiếu sản lượng điện năng đáp ứng cho phụ tải điện dẫn tới phải ngừng, giảm mức cung cấp điện được Đơn vị điều độ hệ thống điện quốc gia xác định trong các Phương thức vận hành hệ thống điện.
- Các tình huống mất khả dụng nguồn điện, sự cố hệ thống truyền tải điện, tăng trưởng đột biến của nhu cầu phụ tải dẫn đến tình trạng mất cân bằng công suất giữa nguồn điện và phụ tải điện.
Nghị định có hiệu lực từ ngày ký.
Xem chi tiết Nghị định 18/2025/NĐ-CP có hiệu lực kể từ ngày 08/02/2025
Tải Nghị định 18/2025/NĐ-CP
|
CHÍNH PHỦ __________ Số: 18/2025/NĐ-CP |
CỘNG HÒA XÃ HỘI CHỦ NGHĨA VIỆT NAM Độc lập - Tự do - Hạnh phúc ________________________ Hà Nội, ngày 08 tháng 02 năm 2025 |
NGHỊ ĐỊNH
Quy định chi tiết một số điều của Luật Điện lực liên quan đến hoạt động
mua bán điện và tình huống bảo đảm cung cấp điện
___________
Căn cứ Luật Tổ chức Chính phủ ngày 19 tháng 6 năm 2015;
Căn cứ Luật sửa đổi, bổ sung một số điều của Luật Tổ chức Chính phủ và Luật Tổ chức chính quyền địa phương ngày 22 tháng 11 năm 2019;
Căn cứ Luật Điện lực ngày 30 tháng 11 năm 2024;
Theo đề nghị của Bộ trưởng Bộ Công Thương;
Chính phủ ban hành Nghị định quy định chi tiết một số điều của Luật Điện lực liên quan đến hoạt động mua bán điện và tình huống bảo đảm cung cấp điện.
Chương I
QUY ĐỊNH CHUNG
Điều 1. Phạm vi điều chỉnh
Nghị định này quy định chi tiết một số điều của Luật Điện lực, bao gồm:
1. Khoản 6 Điều 44 về biện pháp bảo đảm, chất lượng điện năng của Bên mua điện trong Hợp đồng mua bán điện phục vụ mục đích ngoài sinh hoạt; điều kiện giao kết hợp đồng mua bán điện phục vụ mục đích sinh hoạt.
2. Khoản 7 Điều 48 về ghi chỉ số đo điện năng.
3. Khoản 5 Điều 53 về các tình huống cấp bách đe dọa nghiêm trọng đến khả năng bảo đảm cung cấp điện.
Điều 2. Đối tượng áp dụng
Nghị định này áp dụng đối với cơ quan, tổ chức, cá nhân thực hiện hoạt động điện lực, sử dụng điện tại Việt Nam.
Chương II
BIỆN PHÁP BẢO ĐẢM, CHẤT LƯỢNG ĐIỆN NĂNG, ĐIỀU KIỆN
GIAO KẾT HỢP ĐỒNG MUA BÁN ĐIỆN PHỤC VỤ MỤC ĐÍCH
SINH HOẠT, GHI CHỈ SỐ ĐO ĐIỆN NĂNG
Điều 3. Bảo đảm thực hiện hợp đồng mua bán điện
1. Bên mua điện là khách hàng sử dụng điện có sản lượng điện tiêu thụ bình quân từ 1.000.000 kWh/tháng trở lên theo đăng ký tại hợp đồng mua bán điện có trách nhiệm thực hiện biện pháp bảo đảm thực hiện hợp đồng trước khi hợp đồng mua bán điện có hiệu lực. Trường hợp sản lượng điện tiêu thụ bình quân đăng ký tại hợp đồng mua bán điện thấp hơn mức này, nhưng sản lượng điện tiêu thụ thực tế bình quân 12 tháng gần nhất từ 1.000.000 kWh/tháng trở lên, bên mua điện có trách nhiệm phối hợp với bên bán điện sửa đổi, bổ sung hợp đồng mua bán điện đã ký để bổ sung nội dung về bảo đảm thực hiện hợp đồng và thực hiện biện pháp bảo đảm thực hiện hợp đồng trước khi hợp đồng sửa đổi, bổ sung có hiệu lực. Hằng năm, bên bán điện và bên mua điện thỏa thuận giá trị thực hiện bảo đảm hợp đồng phù hợp với sản lượng điện bình quân sử dụng thực tế trong 12 tháng trước liền kề.
2. Giá trị bảo đảm thực hiện hợp đồng do các bên mua điện và bên bán điện thỏa thuận trong phạm vi dải giá trị từ 10 đến 15 ngày tiền điện, được tính trên cơ sở sản lượng điện tiêu thụ bình quân tháng đăng ký trong hợp đồng mua bán điện hoặc sản lượng điện tiêu thụ thực tế bình quân 12 tháng gần nhất và giá điện năng giờ bình thường được áp dụng.
3. Biện pháp, hình thức, hiệu lực bảo đảm, quyền và nghĩa vụ trong việc bảo đảm hợp đồng do các bên thỏa thuận cụ thể trong hợp đồng mua bán điện; khuyến khích việc thực hiện biện pháp bảo lãnh qua ngân hàng.
4. Quy định về bảo đảm thực hiện hợp đồng mua bán điện không áp dụng đối với trường khách hàng sử dụng điện với mục đích cấp điện cho trụ sở làm việc của cơ quan nhà nước, đơn vị sự nghiệp công lập, đơn vị lực lượng vũ trang, tổ chức chính trị, tổ chức chính trị - xã hội.
Điều 4. Trách nhiệm bảo đảm chất lượng điện năng của bên mua điện ngoài mục đích sinh hoạt
1. Bên mua điện có trách nhiệm bảo đảm các thiết bị sử dụng điện của mình đáp ứng yêu cầu về chất lượng điện năng theo quy chuẩn về kỹ thuật điện do Bộ trưởng Bộ Công Thương ban hành.
2. Bên mua điện để sản xuất, kinh doanh có trạm điện riêng hoặc có công suất sử dụng cực đại từ 40 kW trở lên trong 3 chu kỳ ghi chỉ số đo điện năng liên tiếp có trách nhiệm:
a) Đăng ký biểu đồ phụ tải và đặc tính kỹ thuật công nghệ của thiết bị sử dụng điện với bên bán điện;
c) Đảm bảo các tiêu chuẩn kỹ thuật về sóng hài, dao động điện áp, nhấp nháy điện áp theo Quy định về hệ thống truyền tải điện, phân phối điện và đo đếm điện năng do Bộ trưởng Bộ Công Thương ban hành.
3. Trường hợp bên mua điện có khả năng phát công suất phản kháng lên hệ thống điện và bên bán điện có nhu cầu mua công suất phản kháng, hai bên có thể thỏa thuận việc mua, bán công suất phản kháng thông qua hợp đồng.
4. Trường hợp bên mua điện có yêu cầu chất lượng điện năng cao hơn quy định của Bộ Công Thương, bên mua điện và bên bán điện có thể thỏa thuận và quy định cụ thể về yêu cầu chất lượng điện năng trong hợp đồng mua bán điện.
Điều 5. Việc thực hiện mua, bán công suất phản kháng
1. Bên mua điện để sản xuất, kinh doanh có trạm điện riêng hoặc có công suất sử dụng cực đại đăng ký tại hợp đồng mua bán điện từ 40 kW trở lên và có hệ số công suất cosj < 0,9 phải mua công suất phản kháng. Phương pháp xác định hệ số công suất cosj được quy định tại khoản 2 Điều này.
Trường hợp bên mua điện có công suất sử dụng cực đại đăng ký tại hợp đồng mua bán điện dưới 40 kW nhưng có công suất sử dụng điện thực tế cực đại từ 40 kW trở lên trong 3 chu kỳ ghi chỉ số công tơ liên tiếp thì bên mua điện thuộc đối tượng phải mua công suất phản kháng kể từ chu kỳ ghi chỉ số kế tiếp của 3 chu kỳ ghi chỉ số trên. Bên mua điện có trách nhiệm thỏa thuận lại hợp đồng mua bán điện với bên bán điện để thực hiện theo quy định tại khoản 2 Điều 4 Nghị định này.
3. Trường hợp bên mua điện ký một Hợp đồng cho nhiều công tơ đo đếm điện tại một địa điểm được cấp chung cùng một đường dây thì điện năng tác dụng là tổng sản lượng điện năng tác dụng của các công tơ và điện năng phản kháng là tổng sản lượng điện năng phản kháng của các công tơ.
a) Khi có công tơ đo đếm riêng cho phần điện năng sử dụng để sản xuất, kinh doanh thì chỉ áp dụng mua công suất phản kháng đối với phần điện năng sử dụng cho mục đích này:
5. Tiền mua công suất phản kháng là số tiền bên mua điện phải trả cho bên bán điện để bù đắp các khoản chi phí phát sinh thêm do bên mua điện sử dụng quá lượng công suất phản kháng quy định được tính theo công thức quy định tại mục 2 Phụ lục ban hành kèm theo Nghị định này.
6. Bên mua điện phải thanh toán tiền mua công suất phản kháng cùng kỳ với tiền mua điện năng tác dụng. Việc xử lý nợ tiền mua công suất phản kháng được thực hiện như xử lý nợ tiền mua điện năng tác dụng.
Điều 6. Điều kiện giao kết hợp đồng mua bán điện phục vụ mục đích sinh hoạt
1. Tổ chức, cá nhân khi đề nghị giao kết hợp đồng mua bán điện phục vụ mục đích sinh hoạt phải bảo đảm các điều kiện sau:
a) Chủ thể đề nghị giao kết hợp đồng của bên mua điện là người đại diện theo pháp luật hoặc theo ủy quyền của bên mua điện thực hiện giao kết hợp đồng;
b) Chủ thể đề nghị giao kết hợp đồng của bên bán điện là người đại diện theo pháp luật hoặc theo ủy quyền của đơn vị bán lẻ điện đáp ứng nhu cầu của Bên mua điện thực hiện giao kết hợp đồng;
c) Chủ thể tham gia đề nghị giao kết hợp đồng bảo đảm điều kiện có hiệu lực của giao dịch dân sự theo quy định của Bộ luật Dân sự. Trường hợp người mất năng lực hành vi dân sự thì người đại diện theo pháp luật của người mất năng lực hành vi dân sự là chủ thể tham gia đề nghị giao kết hợp đồng;
d) Trường hợp bên mua điện gồm nhiều hộ sử dụng điện chung giao kết 01 hợp đồng thì chủ thể giao kết hợp đồng của Bên mua điện là đại diện số hộ dùng chung ký hợp đồng và có văn bản ủy quyền của các hộ dùng chung khác. Tại hợp đồng phải ghi rõ số hộ dùng chung (có danh sách kèm theo) và giá bán điện được áp dụng theo quy định của pháp luật về điện lực. Việc ủy quyền thực hiện theo quy định của pháp luật về dân sự;
đ) Trường hợp bên mua điện là người thuê nhà để ở thì chủ thể giao kết hợp đồng của bên mua điện là chủ sở hữu nhà ở hoặc người thuê nhà được chủ sở hữu nhà ở ủy quyền bằng văn bản. Trong đó, chủ sở hữu nhà ở có cam kết thanh toán tiền điện trong trường hợp người thuê nhà được ủy quyền chủ thể giao kết hợp đồng không thực hiện nghĩa vụ thanh toán tiền điện;
e) Tại một địa điểm đăng ký mua điện, bên mua điện là một hộ gia đình thì chỉ được giao kết 01 hợp đồng.
2. Bên mua điện lập hồ sơ đề nghị giao kết hợp đồng mua bán điện phục vụ mục đích sinh hoạt bằng văn bản giấy hoặc hình thức thông điệp dữ liệu có giá trị như văn bản theo quy định của pháp luật, gửi 01 bộ hồ sơ tới bên bán điện trong trường hợp bằng văn bản giấy. Hồ sơ đề nghị giao kết hợp đồng mua bán điện bao gồm các giấy tờ, tài liệu sau đây:
a) Đề nghị giao kết hợp đồng mua bán điện phục vụ mục đích sinh hoạt;
b) Số định danh cá nhân của người đại diện theo pháp luật hoặc theo ủy quyền của bên mua điện do Cơ sở dữ liệu quốc gia về dân cư xác lập. Trong trường hợp không tra cứu được trên Cơ sở dữ liệu quốc gia thì sử dụng bản sao của thẻ căn cước hoặc thẻ căn cước công dân hoặc chứng minh nhân dân hoặc giấy xác nhận thông tin về cư trú của người đại diện bên mua điện có thông tin về cư trú của hộ gia đình tại địa điểm mua điện hoặc một trong số các giấy tờ sau: Giấy chứng nhận về quyền sở hữu nhà ở; giấy chứng nhận về quyền sử dụng đất (trên đất đã có nhà ở); quyết định phần nhà; hợp đồng mua bán nhà; hợp đồng thuê nhà có thời hạn từ 01 năm trở lên hoặc giấy tờ khác chứng minh quyền sở hữu, quản lý, sử dụng địa điểm mua điện có thời hạn từ 01 năm trở lên để đăng ký mua điện.
3. Bên bán điện phải thực hiện giao kết hợp đồng và cấp điện cho bên mua điện trong thời hạn 07 ngày làm việc kể từ ngày các bên đáp ứng quy định tại khoản 1 và khoản 2 Điều này.
Điều 7. Ghi chỉ số đo điện năng
1. Đối với việc mua bán điện sử dụng cho mục đích sinh hoạt, bên bán điện ghi chỉ số đo điện năng mỗi tháng 01 lần vào ngày ấn định do hai bên thỏa thuận trong hợp đồng mua bán điện, trừ trường hợp bất khả kháng có nguy cơ mất an toàn cho người lao động quy định trong hợp đồng mua bán điện. Cho phép dịch chuyển thời điểm ghi chỉ số đo điện năng trước hoặc sau 01 ngày so với ngày ấn định hoặc dịch chuyển theo thỏa thuận trong hợp đồng mua bán điện.
2. Đối với việc mua bán điện sử dụng ngoài mục đích sinh hoạt, bên mua điện và bên bán điện được phép thỏa thuận số lần ghi chỉ số đo điện năng trong tháng. Trường hợp hai bên không thỏa thuận được, việc ghi chỉ số đo điện năng được quy định căn cứ vào sản lượng điện tiêu thụ bình quân đăng ký trong hợp đồng mua bán điện như sau:
a) Dưới 50.000 kWh/tháng, ghi chỉ số một lần trong một tháng;
b) Từ 50.000 đến 100.000 kWh/tháng, ghi chỉ số hai lần trong một tháng;
c) Trên 100.000 kWh/tháng, ghi chỉ số ba lần trong một tháng.
3. Trong trường hợp sản lượng điện tiêu thụ thực tế bình quân của bên mua điện cho mục đích ngoài sinh hoạt trong ba tháng gần nhất vượt quá hoặc thấp hơn các ngưỡng tiêu thụ tương ứng với số lần ghi chỉ số đang áp dụng theo quy định tại điểm a, điểm b và điểm c khoản 2 Điều này, bên bán điện và bên mua điện có quyền thỏa thuận để điều chỉnh số lần ghi chỉ số đo điện năng.
4. Đối với bên mua điện sử dụng điện năng ít hơn 15 kWh/tháng, chu kỳ ghi chỉ số đo điện năng do hai bên thỏa thuận.
5. Đối với việc mua bán buôn điện, việc ghi chỉ số đo điện năng do hai bên thỏa thuận trong hợp đồng.
6. Bên bán điện phải bảo đảm tính chính xác của chỉ số đo điện năng đã ghi.
Chương III
TÌNH HUỐNG CẤP BÁCH ĐE DỌA NGHIÊM TRỌNG
ĐẾN KHẢ NĂNG BẢO ĐẢM CUNG CẤP ĐIỆN
Điều 8. Các tình huống cấp bách đe dọa nghiêm trọng đến khả năng bảo đảm cung cấp điện
1. Xảy ra hoặc có nguy cơ xảy ra tình trạng mất cân bằng công suất giữa nguồn điện và phụ tải điện dẫn tới phải ngừng, giảm mức cung cấp điện được Đơn vị điều độ hệ thống điện quốc gia xác định trong các Phương thức vận hành hệ thống điện.
2. Xảy ra hoặc có nguy cơ xảy ra tình trạng thiếu sản lượng điện năng đáp ứng cho phụ tải điện dẫn tới phải ngừng, giảm mức cung cấp điện được Đơn vị điều độ hệ thống điện quốc gia xác định trong các Phương thức vận hành hệ thống điện.
3. Các tình huống mất khả dụng nguồn điện, sự cố hệ thống truyền tải điện, tăng trưởng đột biến của nhu cầu phụ tải dẫn đến tình trạng mất cân bằng công suất giữa nguồn điện và phụ tải điện.
Chương IV
HIỆU LỰC THI HÀNH
Điều 9. Hiệu lực thi hành
1. Nghị định này có hiệu lực thi hành kể từ ngày ký.
2. Các quy định về hợp đồng mua bán điện phục vụ mục đích sinh hoạt quy định tại Điều 11 Nghị định số 137/2013/NĐ-CP đã được sửa đổi, bổ sung theo quy định tại Điều 8 Nghị định số 104/2022/NĐ-CP và quy định về bảo đảm thực hiện hợp đồng mua bán điện, chất lượng điện năng, ghi chỉ số công tơ điện quy định tại Điều 12, Điều 15 và Điều 17 Nghị định số 137/2013/NĐ-CP hết hiệu lực từ ngày Nghị định này có hiệu lực thi hành.
3. Đối với các hợp đồng mua bán điện đã được ký kết trước ngày Nghị định này có hiệu lực thi hành thì tiếp tục được thực hiện theo hợp đồng đã được ký kết. Đối với những khách hàng đã thực hiện bảo đảm hợp đồng theo quy định tại Nghị định số 137/2013/NĐ-CP thuộc trường hợp quy định tại khoản 4 Điều 3 Nghị định này thì có quyền đề nghị bên bán điện sửa đổi hợp đồng mua bán điện theo quy định tại Nghị định này./.
Phụ lục
CÔNG THỨC XÁC ĐỊNH HỆ SỐ CÔNG SUẤT COSj
VÀ TIỀN MUA CÔNG SUẤT PHẢN KHÁNG
(Kèm theo Nghị định số 18/2025/NĐ-CP
ngày 08 tháng 02 năm 2025 của Chính phủ)
____________
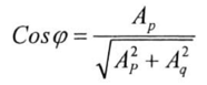
1. Hệ số công suất cosj được xác định theo công thức sau:

Trong đó:
Ap: Điện năng tác dụng trong chu kỳ ghi chỉ số công tơ (kWh);
Aq: Điện năng phản kháng nhận về trong chu kỳ ghi chỉ số công tơ là lượng công suất phản kháng tiêu thụ bởi các thiết bị điện trong khoảng thời gian giữa hai lần ghi chỉ số công tơ (kVArh).
2. Tiền mua công suất phản kháng được tính theo công thức sau:
Trong đó:
Tq = Tp x k%
Tq: Tiền mua công suất phản kháng (chưa có thuế giá trị gia tăng);
Tp: Tiền mua điện năng tác dụng (chưa có thuế giá trị gia tăng);
k: Hệ số bù đắp chi phí do bên mua điện sử dụng quá lượng công suất phản kháng quy định (%), được xác định theo bảng sau:
|
Hệ số công suất Cosj |
k (%) |
Hệ số công suất Cosj |
k (%) |
|
Từ 0,9 trở lên |
0 |
0,74 |
21,62 |
|
0,89 |
1,12 |
0,73 |
23,29 |
|
0,88 |
2,27 |
0,72 |
25 |
|
0,87 |
3,45 |
0,71 |
26,76 |
|
0,86 |
4,65 |
0,7 |
28,57 |
|
0,85 |
5,88 |
0,69 |
30,43 |
|
0,84 |
7,14 |
0,68 |
32,35 |
|
0,83 |
8,43 |
0,67 |
34,33 |
|
0,82 |
9,76 |
0,66 |
36,36 |
|
0,81 |
11,11 |
0,65 |
38,46 |
|
0,8 |
12,5 |
0,64 |
40,63 |
|
0,79 |
13,92 |
0,63 |
42,86 |
|
0,78 |
15,38 |
0,62 |
45,16 |
|
0,77 |
16,88 |
0,61 |
47,54 |
|
0,76 |
18,42 |
0,6 |
50 |
|
0,75 |
20 |
Dưới 0,6 |
52,54 |
Bạn chưa Đăng nhập thành viên.
Đây là tiện ích dành cho tài khoản thành viên. Vui lòng Đăng nhập để xem chi tiết. Nếu chưa có tài khoản, vui lòng Đăng ký tại đây!
Bạn chưa Đăng nhập thành viên.
Đây là tiện ích dành cho tài khoản thành viên. Vui lòng Đăng nhập để xem chi tiết. Nếu chưa có tài khoản, vui lòng Đăng ký tại đây!