- Tổng quan
- Nội dung
- VB gốc
- Tiếng Anh
- Hiệu lực
- VB liên quan
- Lược đồ
-
Nội dung hợp nhất
Tính năng này chỉ có tại LuatVietnam.vn. Nội dung hợp nhất tổng hợp lại tất cả các quy định còn hiệu lực của văn bản gốc và các văn bản sửa đổi, bổ sung, đính chính... trên một trang. Việc hợp nhất văn bản gốc và những văn bản, Thông tư, Nghị định hướng dẫn khác không làm thay đổi thứ tự điều khoản, nội dung.
Khách hàng chỉ cần xem Nội dung hợp nhất là có thể nắm bắt toàn bộ quy định hiện hành đang áp dụng, cho dù văn bản gốc đã qua nhiều lần chỉnh sửa, bổ sung.
- Tải về
Thông tư 53/2014/TT-BTC Quy chuẩn kỹ thuật quốc gia đối với thóc dự trữ quốc gia
| Cơ quan ban hành: | Bộ Tài chính |
Số công báo:
Số công báo là mã số ấn phẩm được đăng chính thức trên ấn phẩm thông tin của Nhà nước. Mã số này do Chính phủ thống nhất quản lý.
|
Đã biết
|
| Số hiệu: | 53/2014/TT-BTC | Ngày đăng công báo: |
Đã biết
|
| Loại văn bản: | Thông tư | Người ký: | Nguyễn Hữu Chí |
|
Ngày ban hành:
Ngày ban hành là ngày, tháng, năm văn bản được thông qua hoặc ký ban hành.
|
24/04/2014 |
Ngày hết hiệu lực:
Ngày hết hiệu lực là ngày, tháng, năm văn bản chính thức không còn hiệu lực (áp dụng).
|
Đã biết
|
|
Áp dụng:
Ngày áp dụng là ngày, tháng, năm văn bản chính thức có hiệu lực (áp dụng).
|
Đã biết
|
Tình trạng hiệu lực:
Cho biết trạng thái hiệu lực của văn bản đang tra cứu: Chưa áp dụng, Còn hiệu lực, Hết hiệu lực, Hết hiệu lực 1 phần; Đã sửa đổi, Đính chính hay Không còn phù hợp,...
|
Đã biết
|
| Lĩnh vực: | Chính sách |
TÓM TẮT THÔNG TƯ 53/2014/TT-BTC
Từ ngày 01/01/2021, Thông tư này bị hết hiệu lực bởi Thông tư 87/2020/TT-BTC.
Xem chi tiết Thông tư 53/2014/TT-BTC có hiệu lực kể từ ngày 03/11/2014
Tải Thông tư 53/2014/TT-BTC
|
BỘ TÀI CHÍNH Số: 53/2014/TT-BTC |
CỘNG HÒA XÃ HỘI CHỦ NGHĨA VIỆT NAM Hà Nội, ngày 24 tháng 04 năm 2014 |
THÔNG TƯ
VỀ QUY CHUẨN KỸ THUẬT QUỐC GIA ĐỐI VỚI THÓC DỰ TRỮ QUỐC GIA
Căn cứ Luật Tiêu chuẩn và Quy chuẩn kỹ thuật số 68/2006/QH11 ngày 29 tháng 6 năm 2006;
Căn cứ Luật dự trữ quốc gia số 22/2012/QH13 ngày 20/11/2012;
Căn cứ Nghị định số 127/2007/NĐ-CP ngày 01/8/2007 của Chính phủ quy định chi tiết thi hành một số điều của Luật Tiêu chuẩn và Quy chuẩn kỹ thuật;
Căn cứ Nghị định số 94/2013/NĐ-CP ngày 21/8/2013 của Chính phủ quy định chi tiết thi hành Luật dự trữ quốc gia;
Căn cứ Nghị định số 215/2013/NĐ-CP ngày 23/12/2013 của Chính phủ quy định chức năng, nhiệm vụ, quyền hạn và cơ cấu tổ chức của Bộ Tài chính;
Theo đề nghị của Tổng cục trưởng Tổng cục Dự trữ Nhà nước,
Bộ trưởng Bộ Tài chính ban hành Thông tư về Quy chuẩn kỹ thuật quốc gia đối với thóc dự trữ quốc gia.
Điều 1. Ban hành kèm theo Thông tư này Quy chuẩn kỹ thuật quốc gia đối với thóc dự trữ quốc gia.
Điều 2. Thông tư này có hiệu lực từ ngày 03 tháng 11 năm 2014 và thay thế Thông tư số 204/2011/TT-BTC ngày 30/12/2011 ban hành Quy chuẩn kỹ thuật quốc gia về dự trữ nhà nước đối với thóc.
Điều 3. Tổng cục trưởng Tổng cục Dự trữ Nhà nước, Thủ trưởng các cơ quan, tổ chức và cá nhân có liên quan đến việc quản lý, nhập, xuất và bảo quản thóc dự trữ quốc gia có trách nhiệm tổ chức thực hiện Thông tư này.
Trong quá trình thực hiện, nếu có vấn đề vướng mắc, các cơ quan, tổ chức, cá nhân kịp thời phản ánh về Bộ Tài chính để nghiên cứu, sửa đổi, bổ sung./.
|
Nơi nhận: |
KT. BỘ TRƯỞNG |
QCVN 14: 2014/BTC
QUY CHUẨN KỸ THUẬT QUỐC GIA
ĐỐI VỚI THÓC DỰ TRỮ QUỐC GIA
National technical regulation on paddy for state reserve
Lời nói đầu
QCVN 14: 2014/BTC thay thế QCVN 14: 2011/BTC;
QCVN 14: 2014/BTC do Ban soạn thảo Quy chuẩn kỹ thuật quốc gia đối với thóc dự trữ quốc gia biên soạn, Tổng cục Dự trữ Nhà nước trình duyệt và được ban hành kèm theo Thông tư số 53/2014/TT-BTC ngày 24 tháng 4 năm 2014 của Bộ Tài chính.
QUY CHUẨN KỸ THUẬT QUỐC GIA
ĐỐI VỚI THÓC DỰ TRỮ QUỐC GIA
National technical regulation on paddy for state reserve
1. QUY ĐỊNH CHUNG
Quy chuẩn này quy định yêu cầu kỹ thuật, quy trình bảo quản và công tác quản lý đối với thóc dự trữ quốc gia.
Quy chuẩn này áp dụng đối với các cơ quan, tổ chức, cá nhân có liên quan đến hoạt động quản lý thóc dự trữ quốc gia.
Trong Quy chuẩn này, các từ ngữ dưới đây được hiểu như sau:
1.3.15.1. Toàn bộ phần lọt qua sàng có kích thước 1,60 mm x 20,00 mm.
1.3.15.2. Tạp chất vô cơ gồm đất, cát, đá, sỏi, mảnh kim loại....
1.3.15.3. Tạp chất hữu cơ gồm hạt lép, hạt bị hư hỏng hoàn toàn, cỏ dại, hạt cây trồng khác, rơm rạ, rác, xác côn trùng...
2. QUY ĐỊNH VỀ KỸ THUẬT
Thóc nhập kho dự trữ quốc gia phải là thóc mới. Tùy thuộc vào tình hình sản xuất, thời vụ từng năm người có thẩm quyền quyết định thời vụ và chất lượng thóc nhập kho:
- Màu sắc: Hạt thóc có màu sắc đặc trưng của giống, loại.
- Mùi: Có mùi tự nhiên của thóc mới, không có mùi lạ.
- Trạng thái: Hạt mẩy, vỏ trấu không bị nứt, hở.
Thóc nhập kho dự trữ quốc gia phải bảo đảm yêu cầu chất lượng theo quy định tại Bảng 1.
|
Chỉ tiêu |
Chất lượng |
|
1 |
2 |
|
1. độ ẩm, % khối lượng, không lớn hơn Đối với các tỉnh đồng bằng Nam Bộ và thành phố Hồ Chí Minh |
14,0 15,5 |
|
2. Tạp chất, % khối lượng, không lớn hơn |
3,0 |
|
3. Hạt không hoàn thiện, % khối lượng, không lớn hơn |
6,5 |
|
4. Hạt vàng, % khối lượng, không lớn hơn |
0,5 |
|
5. Hạt bạc phấn, % khối lượng, không lớn hơn |
7,0 |
|
6. Hạt lẫn loại, % khối lượng, không lớn hơn |
10,0 |
Thóc nhập kho không bị nấm men, nấm mốc, không có côn trùng sống và sinh vật hại khác nhìn thấy bằng mắt thường.
- Màu sắc: Hạt thóc có màu sắc đặc trưng của giống, loại.
- Mùi: Có mùi tự nhiên của thóc, không có mùi lạ.
- Trạng thái: Hạt mẩy, vỏ trấu không bị nứt, hở.
Các chỉ tiêu chất lượng của thóc xuất kho được quy định tại Bảng 2.
|
Chỉ tiêu |
Chất lượng |
|
1 |
2 |
|
1. độ ẩm, % khối lượng, không lớn hơn Đối với các tỉnh đồng bằng Nam Bộ và thành phố Hồ Chí Minh |
14,0 15,5 |
|
2. Tạp chất, % khối lượng, không lớn hơn |
5,0 |
|
3. Hạt không hoàn thiện, % khối lượng, không lớn hơn |
10,0 |
|
4. Hạt vàng, % khối lượng, không lớn hơn |
1,25 |
|
5. Hạt bạc phấn, % khối lượng, không lớn hơn |
10,0 |
|
6. Hạt lẫn loại, % khối lượng, không lớn hơn |
10,0 |
3. PHƯƠNG PHÁP THỬ
3.1.1. Lấy mẫu
Theo TCVN 9027: 2011 (ISO 24333:2009) Ngũ cốc và sản phẩm ngũ cốc - Lấy mẫu.
Riêng mô hình lấy mẫu áp dụng đối với ngăn thóc bảo quản đổ rời như sau:
* Đến 150 tấn: Tối thiểu 8 điểm lấy mẫu, cách tường, cách phai 0,5m

* Từ trên 150 tấn đến 400 tấn: Tối thiểu 11 điểm lấy mẫu, cách tường, cách phai 0,5m

Các điểm lấy mẫu phải cách lớp kê lót 0,5 m, độ sâu lấy mẫu đến 2 m. Sử dụng loại xiên lấy mẫu có tối thiểu 3 điểm lấy mẫu. đối với khối hạt có độ sâu lớn thì cứ 2 m lấy một mẫu ban đầu tương ứng với độ sâu. Lặp lại quy trình nhiều lần nếu cần. đánh dấu và cố định vị trí các điểm lấy mẫu thóc trong suốt thời gian lưu kho.
Từ mẫu ban đầu lấy theo điểm 3.1.1 lấy ra 3 kg mẫu chung. Dùng dụng cụ chia mẫu để lấy 1,5 kg làm mẫu thử nghiệm, 1,5 kg còn lại dùng làm mẫu lưu.
Tiến hành xác định mẫu thử theo Phụ lục I Sơ đồ Quy trình phân tích thóc.
Trong thời gian chuẩn bị mẫu quan sát màu sắc, ngửi mùi của thóc, kiểm tra côn trùng, các sinh vật hại khác và ghi chép lại tất cả các nhận xét.
Các nội dung trong phương pháp xác định độ ẩm phù hợp với ISO 712:2009 Cereals and creal products - Determination of moisture content - Routine reference (Ngũ cốc và các sản phẩm ngũ cốc - Xác định độ ẩm - Phương pháp chuẩn) hoặc có thể sử dụng phương pháp xác định độ ẩm khác cho kết quả có độ chính xác tương đương hoặc cao hơn.
- Cân phân tích, có độ chính xác đến ± 0,001 g.
- Chén cân bằng kim loại hoặc bằng thuỷ tinh, có nắp đậy kín.
- Tủ sấy, có thể khống chế được nhiệt độ ở 130 0C đến 133 0C.
- Bình hút ẩm.
- Máy (cối) nghiền, có các đặc tính sau:
+ Làm bằng vật liệu không hút ẩm;
+ Dễ làm sạch, có dung tích vừa với lượng mẫu cân;
+ Có khả năng nghiền nhanh và cho kích thước hạt sau khi nghiền đồng đều, không sinh nhiệt đáng kể và kín (không tiếp xúc với không khí bên ngoài);
+ Có khả năng điều chỉnh để hạt sau khi nghiền lọt hết qua sàng lỗ vuông kích thước 1,7 mm x 1,7 mm.
Điều chỉnh máy (cối) nghiền để nhận được hạt sau khi nghiền lọt hết qua sàng lỗ vuông có kích thước 1,7 mm x 1,7 mm. Nghiền 1 lượng mẫu nhỏ và bỏ đi. Sau đó tiến hành nghiền nhanh và cân ngay khoảng 5 g mẫu thử. Cân lượng mẫu đã nghiền với độ chính xác đến 0,001 g. Cho vào chén cân có nắp (chén cân và nắp đã được sấy trước đến khối lượng không đổi và cân với độ chính xác đến 0,001 g). Mở nắp chén cân rồi đặt chén cân vào trong tủ sấy, (nắp để bên cạnh trong tủ sấy). Tiến hành sấy mẫu ở nhiệt độ 130 0C đến 133 0C trong vòng 120 min ± 5 min kể từ khi tủ sấy đạt được 130 0C đến 133 0C.
Lấy nhanh chén cân ra khỏi tủ sấy, đậy nắp và đặt vào bình hút ẩm. Sau khoảng 30 min đến 45 min khi chén nguội đến nhiệt độ phòng thì đem cân với độ chính xác đến 0,001 g.

m1 là khối lượng mẫu trước khi sấy, tính bằng gam.
m2 là khối lượng mẫu sau khi sấy, tính bằng gam.
Kết quả phép thử có sai số cho phép
Nếu chênh lệch kết quả độ ẩm của hai lần nhắc lại không vượt quá 0,2 % thì kết quả trung bình của hai lần nhắc lại được báo cáo.
Nếu kết quả của hai lần nhắc lại vượt quá sai số cho phép này thì phải thực hiện lại phép thử.
+ Nếu kết quả hai lần nhắc lại của phép thử thứ hai nằm trong sai số cho phép thì kết quả trung bình của hai lần nhắc lại này được báo cáo.
+ Nếu kết quả của hai lần nhắc lại này vẫn vượt quá sai số cho phép thì kiểm tra xem kết quả trung bình của hai phép thử có nằm trong sai số cho phép (0,2 %) hay không. Nếu hai kết quả trung bình của hai phép thử nằm trong sai số cho phép thì báo cáo kết quả trung bình này, nếu không thì phải kiểm tra lại thiết bị, các thủ tục tiến hành và thực hiện lại từ đầu.
- Cốc thuỷ tinh, chổi quét phải khô, sạch.
- Sàng có kích thước lỗ sàng 1,60 mm x 20,00 mm có đáy thu nhận và nắp đậy.
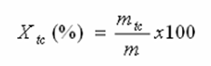
Từ phần mẫu thử 1, cân 500 g mẫu với độ chính xác đến 0,01 g và đổ lên sàng thử đã được lắp đáy sàng và đậy nắp. Sàng bằng tay trong 2 min. đổ toàn bộ phần còn lại trên sàng vào khay men trắng. Nhặt các tạp chất vô cơ và hữu cơ ở trên sàng gộp với phần tạp chất nhỏ còn lại dưới đáy sàng cho vào cốc thủy tinh khô sạch, đã biết khối lượng. Cân toàn bộ khối lượng tạp chất chính xác đến 0,01 g.
Tạp chất của thóc (Xtc), tính bằng phần trăm khối lượng, xác định theo công thức:

mtc là khối lượng tạp chất, tính bằng gam;
m là khối lượng mẫu thử, tính bằng gam.
Kết quả phép thử là trị số trung bình cộng của hai lần xác định song song trên cùng một mẫu thử khi sự sai khác của chúng không vượt quá 1 % giá trị trung bình. Báo cáo kết quả chính xác đến một chữ số thập phân.
Máy xay phòng thí nghiệm.
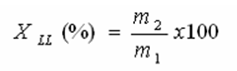
Cân 200 g mẫu thóc sạch (Đã loại bỏ tạp chất) thu được theo 3.2.3, chính xác đến 0,01 g, tiến hành tách vỏ trấu bằng máy xay phòng thử nghiệm. Tách những hạt chưa bóc hết vỏ trấu và xay lại. Sau đó tách riêng các hạt gạo lật nguyên và cân với độ chính xác đến 0,01 g. Nhặt riêng các hạt có kích thước và hình dạng khác rõ với những hạt trong nhóm hạt chính và cân, chính xác đến 0,01 g.
Hạt lẫn loại (XLL), tính bằng phần trăm khối lượng, xác định theo công thức:

m1 là khối lượng gạo lật nguyên, tính bằng gam;
m2 là khối lượng hạt khác loại, tính bằng gam.
Kết quả phép thử là trị số trung bình cộng của hai lần xác định song song trên cùng một mẫu thử khi sự sai khác của chúng không vượt quá 1 % giá trị trung bình. Báo cáo kết quả chính xác đến một chữ số thập phân.
Dụng cụ đo kích thước hạt, có thể đo chính xác đến 0,01 mm.
Nhặt một cách ngẫu nhiên 100 hạt gạo lật nguyên vẹn thu được ở 3.2.4. Dùng dụng cụ đo kích thước hạt tiến hành đo chiều dài của từng hạt, tính bằng milimet. Tính giá trị chiều dài trung bình để phân loại thóc theo định nghĩa tại 1.3.3, 1.3.4, 1.3.5.
- Máy xay phòng thí nghiệm.
- Khay men trắng.
- Thiết bị xát phòng thí nghiệm.
Từ phần mẫu thử 2, cân 100 g thóc, chính xác đến 0,01 g, dàn mỏng mẫu trên khay men trắng loại bỏ tạp chất vô cơ. Dùng máy xay phòng thí nghiệm để tiến hành tách vỏ trấu. Dàn đều mẫu gạo lật thu được trên khay men trắng, nhặt hết hạt không hoàn thiện, để riêng. Tiếp tục cho số gạo lật này xát trắng ở mức bình thường bằng thiết bị xát phòng thí nghiệm, đưa lên khay men trắng quan sát, phân loại hạt bằng cách nhặt vào các cốc thủy tinh sạch đã biết khối lượng từng loại hạt: Hạt bạc phấn, hạt vàng. Cân riêng từng loại hạt với độ chính xác đến 0,01 g.
Phần trăm từng loại hạt được tính theo công thức:
Hạt không hoàn thiện X1. Hạt vàng/ hạt bạc phấn Xi, được tính bằng phần trăm khối lượng, xác định theo công thức:

m là khối lượng gạo lật của mẫu, tính bằng gam;
a1 là khối lượng hạt không hoàn thiện, tính bằng gam;
ai là khối lượng hạt vàng/ khối lượng hạt bạc phấn, tính bằng gam;
m1 là khối lượng phần gạo trắng thu được sau khi xát trắng ở mức bình thường, tính bằng gam;
Kết quả phép thử là trị số trung bình cộng của hai lần xác định song song trên cùng một mẫu thử khi sự sai khác của chúng không vượt quá 1 % giá trị trung bình. Báo cáo kết quả chính xác đến một chữ số thập phân.
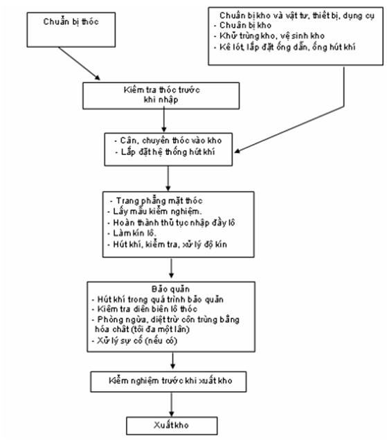
4. QUY ĐỊNH VỀ GIAO NHẬN VÀ BẢO QUẢN
Trước khi bốc xếp thóc lên các phương tiện vận chuyển hoặc đưa thóc vào kho phải chuẩn bị đầy đủ phương tiện, dụng cụ, hướng dẫn cho người lao động, bảo đảm an toàn người và hàng hóa. Các phương tiện vận chuyển thóc phải sạch sẽ và đảm bảo che mưa, nắng. Không để thóc chung với hóa chất và các loại hàng hóa khác dễ gây bẩn làm ảnh hưởng đến chất lượng thóc.
Trong Quy chuẩn kỹ thuật quốc gia này quy định hai phương thức bảo quản: Bảo quản thóc đổ rời trong điều kiện áp suất thấp và Bảo quản thóc đóng bao trong điều kiện áp suất thấp.
- Vật tư, dụng cụ kê lót phải đảm bảo yêu cầu: Khô sạch, chắc chắn, chịu lực khối hạt, không lọt thóc, không làm ảnh hưởng xấu đến chất lượng thóc.
- Các dụng cụ, thiết bị khác: Xiên lấy mẫu, thiết bị đo nhiệt độ và độ ẩm lô thóc...thích hợp để sử dụng đối với điều kiện bảo quản thóc.
- Thiết bị hút khí: Thường là máy hút bụi có công suất đảm bảo hút được không khí trong lô thóc đạt áp suất âm tối thiểu là 1000 Pa (Pascan).
- Thiết bị xác định độ kín khí: Bằng áp kế (manomet) có cấu tạo là một ống thuỷ tinh hoặc ống nhựa trong suốt được uốn theo hình chữ U. Mỗi nhánh dài từ 30 cm đến 35 cm, đường kính lỗ 5 mm. Giữa hai nhánh đặt một thước chia vạch tới mm. đổ nước đến giữa thân ống; vị trí mực nước thăng bằng giữa hai thân ống tương ứng với vạch số 0 của thước (nên pha màu vào nước để dễ quan sát). Toàn bộ ống và thước được gắn cố định trên tấm gỗ có giá đỡ hoặc có móc để treo.
- Túi chính bảo quản để bọc kín lô thóc được gia công từ màng PVC (Polyvinylclorua). Yêu cầu màng PVC có độ dày (0,5 ± 0,03) mm; đảm bảo trong suốt, không có bọt khí, không có khuyết tật (phồng rộp, lẫn tạp chất, vết sọc, vết xước). Màng PVC được gắn kết với nhau bằng keo dán PVC hoặc bằng các thiết bị dán chuyên dụng theo kích thước của lô thóc, đảm bảo độ kín các đường dán trong quá trình gắn kết các tấm màng PVC với nhau.
- Túi bảo vệ gồm 2 lớp (lớp túi bảo vệ ngoài tiếp xúc với tường, nền kho; lớp túi bảo vệ trong tiếp xúc với thóc) để giữ cho túi chính không bị xây xước, rách thủng trong quá trình nhập, bảo quản và xuất thóc, được gia công từ các chất liệu mềm, dẻo, càng xốp, nhẹ càng tốt và không gây ảnh hưởng xấu đến chất lượng thóc trong quá trình bảo quản. Kích thước túi bảo vệ ngoài và túi bảo vệ trong phù hợp với kích thước túi chính, chiều cao túi bảo vệ bằng chiều cao lô thóc.
- Ống hút khí: Dùng để chuyển dòng khí trong khối thóc ra ngoài. Ống hút khí làm bằng ống nhựa PVC cứng; một đầu ống nối với ống dẫn khí bằng cút thu, phần ống bên ngoài lô thóc tạo thành cửa hút khí dài khoảng 30 cm có gắn van khóa khí cách cửa hút từ 10 cm đến 15 cm. Cửa hút khí có đường kính phù hợp đảm bảo độ kín khít khi nối với thiết bị hút khí. Tùy theo kích thước kho và khối lượng thóc chứa có thể bố trí một hoặc hai cửa hút khí cho một lô thóc.
- Ống dẫn khí đối với thóc đổ rời trong điều kiện áp suất thấp: được đặt gọn trong lô thóc nhằm tạo các khoảng trống, thoáng và lưu thông khí khi hút. Ống dẫn khí thường làm bằng ống nhựa PVC cứng có đường kính từ 10 cm đến 20 cm; các lỗ thoáng được tạo (bằng cách khoan hoặc xẻ rãnh) suốt chiều dài của thân ống với mật độ và kích thước lỗ phù hợp đảm bảo hút khí thuận lợi đồng thời không để hạt thóc lọt vào trong ống.
Hệ thống ống hút khí đảm bảo không bị gãy, bẹp và biến dạng dưới tác động của quá trình nhập, xuất, bảo quản; dễ gia công (cắt, khoan lỗ, ghép nối...).
- Thóc dự trữ quốc gia nhập từ các địa phương Miền Bắc, Miền Trung và Tây Nguyên được đóng 45kg/bao. Bao chứa thóc là bao sợi Polypropylen (PP) màu trắng; bảo đảm mới, bền chắc, khô sạch, không mốc, không nhiễm sâu, mọt, hóa chất, không có mùi lạ; khối lượng một vỏ bao: (120 ± 10) g.
- Thóc dự trữ quốc gia nhập từ các tỉnh Nam Bộ, thành phố Hồ Chí Minh được đóng 70kg/bao. Bao chứa thóc là bao đay; bảo đảm bền chắc, khô sạch, không mốc, không nhiễm sâu, mọt, hóa chất, không có mùi lạ; khối lượng một vỏ bao: (1000 ± 10) g.
- Cải tạo kho phù hợp, thuận tiện cho việc định hình lô hàng.
- Làm nhẵn nền kho, tường kho.
- Hoàn thiện hệ thống chống chim, chuột.
- Vệ sinh và sát trùng kho.
- Túi chính bảo quản kín lô thóc được gia công từ màng PVC bao gồm tấm phủ (bao gồm mặt trên và bốn mặt xung quanh lô thóc) và tấm sàn. Chiều dài và chiều rộng túi lớn hơn kích thước khối hạt 15 cm, chiều cao túi lớn hơn từ 20 cm đến 30 cm so với chiều cao khối hạt.
- Tấm phủ được gắn với tấm sàn làm kín lô thóc sau khi hoàn thành thủ tục nhập đầy lô, được đánh dấu sẵn vị trí các điểm lấy mẫu thóc. Một đầu ống gel nhựa để nối với áp kế được gắn sẵn vào tấm phủ tại khoảng giữa phía ngoài đỉnh lô.
- Lắp đặt ống hút khí
Lắp đặt ống hút khí: đặt chính giữa lô phía cửa kho cách nền kho từ 10 cm đến 30 cm, được tạo bởi một ống nhựa cứng đường kính khoảng 3 cm xuyên qua tấm phủ. Phần ống ngoài lô thóc dài từ 30 cm đến 40 cm, có một van khóa khí cách miệng ống từ 10 cm đến 15 cm, phần ống còn lại 2m nằm trong lô thóc được khoan các hàng lỗ so le dọc theo ống, đường kính lỗ khoan 0,5 cm, khoảng cách giữa 2 lỗ trong cùng hàng khoảng 10 cm để giúp cho việc hút khí nhanh.
Phần màng PVC tiếp xúc với ống phải kín, không bị bong trong suốt thời gian bảo quản.
- Túi chính bảo quản:
+ Màng PVC được gia công hoàn chỉnh thành túi có 5 mặt hoặc gia công thành từng phần (gồm các mặt xung quanh và đáy lô thóc) để tiện điều chỉnh. Chiều dài và chiều rộng túi chính theo đúng kích thước khối hạt; riêng chiều cao túi lớn hơn từ 20 cm đến 30 cm so với chiều cao khối hạt.
+ Tấm phủ được gắn kín sau khi lô thóc hoàn thành thủ tục nhập đầy lô. Kích thước tấm phủ bằng bề mặt khối hạt được đánh dấu sẵn vị trí các điểm lấy mẫu thóc. Một đầu ống gel nhựa để nối với áp kế được gắn sẵn vào tấm phủ tại khoảng giữa phía ngoài đỉnh lô.
- Túi bảo vệ có 5 mặt gồm 2 lớp (lớp túi bảo vệ ngoài tiếp xúc với tường, nền kho; lớp túi bảo vệ trong tiếp xúc với thóc). Kích thước túi bảo vệ ngoài và túi bảo vệ trong phù hợp với kích thước túi chính, đảm bảo lồng khít túi chính ở giữa, chiều cao túi bảo vệ bằng chiều cao lô thóc.
- Điều chỉnh, cố định các lớp túi
+ Túi bảo vệ ngoài: Treo và cố định lên tường kho (chừa lại mặt trước để thuận tiện cho việc nhập thóc).
+ Túi chính bảo quản: đặt trong túi bảo vệ ngoài; điều chỉnh và cố định miệng túi chính vào vị trí đã định ở tường kho (dán kín mặt đáy vào thành túi nếu trước đó để rời từng bộ phận). Kiểm tra độ kín toàn bộ túi chính và xử lý những chỗ hở, rách thủng, xước.
+ Túi bảo vệ trong: đặt bên trong túi chính và cố định theo các vị trí tương ứng của túi chính.
- Lắp đặt ống dẫn khí và ống hút khí
Tuỳ thuộc vị trí đặt các ống hút khí và các ống dẫn khí, có thể lắp đặt trước khi đổ thóc hoặc sau khi thóc được đổ tới độ cao đã định rồi lắp đặt.
Các ống dẫn khí và ống hút khí có thể lắp đặt trong phạm vi 1/3 chiều cao phía dưới lô thóc. Số lượng ống dẫn khí và ống hút khí tuỳ thuộc vào kích thước loại hình kho tương ứng với khối lượng thóc nhập.
Có 2 kiểu đặt ống dẫn khí: Kiểu song song và kiểu xương cá (xem hình vẽ mô tả).
+ Kiểu song song: Các ống dẫn khí được đặt song song với tường kho hướng ra phía cửa. độ dài mỗi ống nhỏ hơn chiều dài lô thóc 2 m (cách tường mỗi đầu 1 m). Ống hút khí đặt cách tường bên từ 1 m đến 1,5 m, các ống cách nhau khoảng 3 m.
+ Kiểu xương cá (ít phổ biến hơn): Yêu cầu các ống được lắp đặt phân bổ tương đối đều theo mặt phẳng ngang.
- Lắp đặt ống hút, tạo cửa hút khí: Ống hút khí được nối thông với ống dẫn khí bằng cút thu. Lắp van khóa khí vào phần ống hút ở phần ngoài lô cách cửa hút từ 10 cm đến 15 cm. Các lô thóc có tích lượng từ 200 tấn trở lên có thể bố trí hai cửa hút khí để tiện cho việc hút khí giải phóng nhiệt, ẩm ra khỏi lô thóc trong quá trình bảo quản.
Mô hình hệ thống ống dẫn, hút khí trong các kho:
Hình 3: Mô hình kiểu một cửa hút khí song song



- Thóc nhập kho phải qua cân 100 %. đưa hàng lên cân phải nhẹ nhàng, khối lượng một mã cân không được quá tải trọng cho phép đối với cân (cân phải có giấy kiểm định còn hiệu lực).
- Thủ kho phải theo dõi, ghi chép đầy đủ, chính xác khối lượng thóc cân nhập theo quy định.
- Thóc đã qua cân được chuyển thẳng vào kho, chú ý không được để bẩn, rách màng. Việc đổ/chất xếp thực hiện theo hướng dẫn đảm bảo quy cách.
- Thóc bảo quản đổ rời: độ cao khối hạt tối đa 3,5 m; chiều cao đỉnh khối hạt đảm bảo cách trần kho ít nhất 1,7 m. Yêu cầu trong quá trình nhập cần giữ cho khối hạt không bị lèn, nén chặt. Khối lượng một ngăn không lớn hơn 400 tấn.
- Thóc bảo quản ở dạng đóng bao: Các bao thóc được xếp ngay ngắn tạo thành lô, 5 lớp bao hoặc 6 lớp bao xếp giật lùi vào 0,3 m tạo thành một cấp, trong mỗi lớp, các bao được xếp cài khóa vào nhau đảm bảo lô thóc không bị nghiêng, đổ trong quá trình bảo quản, chiều cao tối đa không quá 4 m (theo loại hình kho thiết kế) khối lượng một lô không lớn hơn 400 tấn. Lô thóc phải cách tường tối thiểu 0,5 m, đỉnh lô thóc đảm bảo cách trần kho tối thiểu 1,7 m, các lô cách nhau tối thiểu 1 m. Tạo các giếng và rãnh thông thoáng trong khi chất xếp. Lô chất xếp dưới 100 tấn không cần tạo giếng; lô 100 tấn đến 250 tấn thóc cần tạo một giếng; lô từ 250 tấn đến 400 tấn cần tạo 2 giếng. Giếng được tạo từ lớp bao đầu tiên tới đỉnh lô, kích thước giếng 1 m × 1 m. Theo độ cao lô thóc cần tạo 3 tầng rãnh đều nhau. Các rãnh được tạo theo cả 2 chiều rộng và dài của lô thông với giếng, kích thước của rãnh 0,3 m × 0,3 m.
- Tại các điểm đã đánh dấu để lấy mẫu thóc trên tấm phủ, khoét lỗ đặt các đoạn ống nhựa cứng dài từ 25 cm đến 30 cm đối với thóc đổ rời (Đối với thóc đóng bao không cần tạo các điểm lấy mẫu) đảm bảo thuận tiện cho việc lấy mẫu và kiểm tra, xử lý khi lô thóc có sự cố. Một đầu ống cắm vào lô thóc, đầu trên nhô lên khỏi mặt tấm phủ khoảng 5 cm có nắp chụp hoặc tạo cút ren, đảm bảo độ kín khí.
- Làm kín túi chính (dán tấm phủ vào các mặt xung quanh), kiểm tra kỹ các đường dán.
- Lắp áp kế (manomet).
- Lắp ống gen thử độ kín khí. Một đầu gắn vào chính giữa đỉnh lô thóc, đầu còn lại ở chân lô để gắn vào áp kế khi đo áp lực và hút khí lô thóc.
- Sau khi nhập đầy kho, lô thóc cần tiếp tục được hút khí thông thoáng cả trước và sau khi dán kín không để lô thóc xẩy ra hiện tượng bốc nóng.
- Đối với thóc nhập kho tại các tỉnh Nam Bộ và thành phố Hồ Chí Minh độ ẩm 15,5 % cần tăng cường quạt gió, thông thoáng đưa độ ẩm khối hạt ổn định ở mức ≤ 14,5 % và nhiệt độ ở mức ≤ 35 0C mới tiến hành phủ màng chụp, dán kín để lô thóc không xẩy ra hiện tượng bốc nóng.
- Đối với thóc nhập kho tại các địa phương Miền Bắc, Miền Trung, Tây Nguyên độ ẩm 14 % sau khi toàn bộ khối hạt lô thóc có độ ẩm ổn định ở mức ≤ 14 % và nhiệt độ ở mức ≤ 35 0C mới tiến hành dán kín để lô thóc hạn chế ảnh hưởng môi trường tránh xảy ra hiện tượng bốc nóng.
- Gắn áp kế vào ống gel nhựa (Đã được nối thông với lô thóc ở đỉnh lô và kéo dài xuống chân lô), ống gel có đường kính phù hợp đảm bảo kín khít khi gắn vào nhánh áp kế.
- Cho máy hút khí hoạt động và thường xuyên theo dõi mức nước ở áp kế. Hút khí lô thóc tới mức chênh lệch cột nước trên áp kế là 100 mm (áp suất âm 980,7 Pa) khóa van ở cửa hút khí đồng thời tắt máy.
- Theo dõi ghi chép:
+ Sau khi khóa van, chờ 5 min để ổn định, ghi lại mức cột nước trên áp kế và bấm đồng hồ theo dõi thời gian di chuyển của cột nước.
+ Xác định khoảng thời gian độ chênh cột nước trên áp kế giảm xuống còn 85 mm (áp suất âm 833,6 Pa). Khoảng thời gian đó đạt mức từ 40 min trở lên thì lô thóc được coi là đảm bảo độ kín, nếu ở mức dưới 40 min thì cần tiến hành các biện pháp kiểm tra xử lý.
Việc thử độ kín lô thóc tiến hành lặp lại 3 lần.
- Kiểm tra và xử lý màng bị thủng, hở: để dò tìm các điểm thủng, hở gây lọt khí cần chọn thời điểm yên tĩnh; hút khí tới mức chênh lệch cột nước trên áp kế là 100 mm (áp suất âm 980,7 Pa); tập trung lắng nghe hoặc có thể dùng các thiết bị khuyếch đại âm thanh thông thường để kiểm tra phát hiện, xử lý. Trước hết phải kiểm tra lại toàn bộ các vị trí lộ diện ở xung quanh lô thóc (cần chú ý kiểm tra ở các mối dán ghép, cửa hút nạp khí, van khóa).
Trường hợp sau khi kiểm tra vẫn không phát hiện được điểm rò thủng thì tiến hành bốc dỡ từng phần lô thóc để tìm phát hiện chỗ hở, xử lý làm kín.
- Ba tháng đầu bảo quản (tính từ khi bọc kín lô thóc): Hút khí lô thóc tới mức chênh lệch cột nước trên áp kế là 100 mm (áp suất âm 980,7 Pa) và thường xuyên duy trì áp suất trong lô thóc tối thiểu mức chênh lệch cột nước trên áp kế là 20 mm (áp suất âm 196 Pa).
- Từ tháng thứ tư đến khi xuất kho: Hút khí lô thóc tới mức chênh lệch cột nước trên áp kế là 100 mm (áp suất âm 980,7 Pa); khi áp suất trong lô thóc giảm còn mức chênh lệch cột nước trên áp kế là 10 mm (áp suất âm 98 Pa) thì tiếp tục hút khí như trên.
Lưu ý:
+ Từ khi nhập đầy lô đến khi bọc kín lô thóc cần tăng cường thông gió cưỡng bức để giảm thời gian lô thóc tiếp xúc trực tiếp với không khí môi trường nhằm giảm nhanh nhiệt độ, độ ẩm do các hoạt động sinh lý của thóc gây ra.
+ Thường xuyên duy trì mức chênh lệch cột nước trên áp kế tối thiểu là 10 mm (áp suất âm trong lô thóc tối thiểu là 98 Pa).
+ đối với thóc nhập kho tại các tỉnh đồng bằng Nam Bộ và thành phố Hồ Chí Minh thực hiện như sau:
Hàng ngày, với điều kiện thời tiết khô ráo (Độ ẩm không khí dưới 80 %) cần mở các cửa kho để thông thoáng khối hạt. Việc mở cửa thông gió tiến hành trong điều kiện thích hợp:
Độ ẩm tương đối của không khí trong kho lớn hơn độ ẩm tương đối của không khí ngoài kho (RHtr > RHng);
Nhiệt độ khối hạt lớn hơn nhiệt độ không khí (Th > Tkk).
Ngoài thông gió tự nhiên, trong những trường hợp cần thiết có thể dùng quạt công nghiệp để tăng cường khả năng thông gió.
- Độ ẩm khối hạt
+ Độ ẩm của thóc bảo quản đổ rời không lớn hơn 14 %;
+ Độ ẩm của thóc không lớn hơn 14,0 % đối với thóc đóng bao tại tại các địa phương Miền Bắc, Miền Trung, Tây Nguyên (các bao lớp ngoài rìa lô, giếng thông gió);
+ Độ ẩm của thóc không lớn hơn 14,5 % đối với thóc đóng bao tại các tỉnh đồng bằng Nam Bộ và thành phố Hồ Chí Minh (các bao lớp ngoài rìa lô, giếng thông gió).
- Nhiệt độ trung bình của khối hạt không lớn hơn 32 0C (Đối với lô thóc mới nhập kho bảo quản từ tháng thứ nhất đến hết tháng thứ 3 nhiệt độ trung bình của khối hạt không lớn hơn 35 0C).
- Mật độ côn trùng gây hại không có côn trùng sống nhìn thấy bằng mắt thường.
- Vệ sinh lô hàng: Lau sạch màng bằng giẻ mềm.
- Vệ sinh thường xuyên trong kho: Trần, tường, các cửa ra vào, cửa thông gió.
- Vệ sinh ngoài kho: Phải quét dọn hàng ngày hè kho, sân kho; hàng tuần dãy cỏ xung quanh kho. Dọn sạch máng, hệ thống thoát nước quanh kho.
- Thường xuyên theo dõi độ kín của lô thóc; trước mỗi lần hút khí ghi chép mức độ chênh lệch cột nước.
- Hàng tháng theo dõi, ghi chép các chỉ số nhiệt độ, độ ẩm không khí bên ngoài và trong lô thóc.
- Hàng quý lấy mẫu và phân tích đánh giá chất lượng thóc theo các chỉ tiêu: cảm quan, độ ẩm, tỷ lệ hạt vàng. Ba tháng đầu, mỗi tháng lấy mẫu xác định độ ẩm một lần.
Kiểm tra chất lượng, công tác bảo quản khi có sự cố xảy ra hoặc theo yêu cầu của cơ quan quản lý cấp trên.
Kết quả kiểm tra chất lượng định kỳ và kiểm tra đột xuất do thủ trưởng đơn vị, phòng kỹ thuật hoặc nhóm công tác thực hiện; kết quả được ghi vào sổ theo dõi công tác bảo quản (hoặc lập biên bản theo yêu cầu).
- Xử lý chống đọng sương, chống mốc trong quá trình bảo quản: đề phòng nhiệt độ môi trường xuống thấp đột ngột, trước khi có gió lạnh tiến hành đóng kín các cửa kho (cửa thông gió và cửa ra vào), tìm các biện pháp làm tăng nhiệt độ trong ngăn kho đồng thời tăng cường hút khí nóng, ẩm từ trong khối thóc ra ngoài.
- Trường hợp phát hiện lô thóc có hiện tượng bốc nóng điểm, tại các điểm lấy mẫu tương ứng trên bề mặt lô thóc cắm các ống hút khí và nối với máy hút khí, tăng cường hút khí.
- Thường xuyên kiểm tra, kịp thời xử lý không để trình trạng đọng sương kéo dài gây men mốc. Trường hợp thóc có hiện tượng bị mốc, phải chuyển ngay số thóc mốc ra ngoài xử lý đồng thời áp dụng các biện pháp kỹ thuật để đưa khối thóc về trạng thái an toàn.
- đối với thóc đóng bao khi phát hiện lô thóc có hiện tượng bốc nóng điểm cần cắt màng tại điểm bốc nóng, tăng cường hút khí đến khi ổn định, dán màng và đưa vào chế độ bảo quản như ban đầu. Trường hợp lô thóc bị bốc nóng toàn bộ cần phải cắt màng phủ và tăng cường thông thoáng để đưa lô thóc về trạng thái an toàn, tiến hành dán kín và đưa vào chế độ bảo quản theo quy định.
Áp dụng các biện pháp phòng trừ tổng hợp trong suốt quá trình bảo quản bao gồm:
- Trong cùng một nhà kho hay một dãy kho hạn chế để đan xen các ngăn, lô thóc cũ và mới; giữa các ngăn kho phải có vách ngăn đảm bảo hạn chế tối đa sự lây nhiễm của côn trùng.
- Không để bao bì, dụng cụ chứa đựng thóc cùng với các ngăn hoặc lô có thóc. Giữ vệ sinh trong và ngoài kho luôn sạch.
- Giữ độ ẩm khối hạt luôn nằm trong giới hạn an toàn nhằm hạn chế điều kiện thuận lợi phát sinh, phát triển của côn trùng và vi sinh vật.
- Phun thuốc bảo vệ thực vật định kỳ một tháng một lần cho cửa kho, các khoảng trống trong kho.
- Trộn thuốc bảo vệ thực vật với hạt trong hoặc sau khi nhập bằng các thuốc dạng tiếp xúc. Danh mục thuốc và liều lượng sử dụng theo quy định.
Trong cả chu kỳ bảo quản (khoảng thời gian từ lúc nhập tới lúc xuất kho): Tiến hành một lần biện pháp phòng ngừa, trừ diệt côn trùng bằng hóa chất. Tùy thuộc khả năng, mức độ phát sinh phát triển của côn trùng để lựa chọn loại hóa chất, thời điểm xử lý phù hợp:
- Hoặc sử dụng dạng thuốc tiếp xúc phun hoặc trộn cho khối hạt đối với thóc đổ rời từ thời điểm nhập kho đến trước khi phủ kín lô thóc, phun xung quanh bao và lô thóc đối với thóc đóng bao trước khi phủ kín. Danh mục thuốc và liều lượng sử dụng theo quy định;
- Hoặc xử lý bằng thuốc bảo vệ thực vật dạng xông hơi khi phát hiện có côn trùng phát triển trong quá trình bảo quản. Xử lý bằng xông hơi phải đảm bảo thời gian ủ thuốc theo hướng dẫn sử dụng của từng loại thuốc dùng. Danh mục thuốc và liều lượng sử dụng theo quy định.
- đối với chuột hoặc các sinh vật hại khác (mối, chim...), biện pháp chủ yếu là phòng ngừa, kho bảo quản phải có hệ thống ngăn chặn, đảm bảo hạn chế tối đa chuột và các sinh vật hại phá hại khác xuất hiện trong kho. Riêng đối với kho cuốn và kho có trần kiên cố, kho có hệ thống chống chuột đã được cải tạo yêu cầu không có chuột trong kho.
- Khi phát hiện trong kho có chuột hoặc các sinh vật hại phá hại khác phải sử dụng phối hợp mọi biện pháp để tiêu diệt. Chú ý đảm bảo vệ sinh môi trường, an toàn thực phẩm khi sử dụng các biện pháp trừ diệt.
- Mở van khóa khí để cân bằng áp suất không khí trong và ngoài lô thóc.
- Cắt tấm màng PVC:
Đối với bảo quản thóc đổ rời trong điều kiện áp suất thấp, cắt xung quanh tường kho phủ trên đỉnh lô hàng (cắt theo đường dán).
Đối với bảo quản thóc đóng bao trong điều kiện áp suất thấp, cắt xung quanh chân sát với tấm sàn lô hàng (cắt sát theo đường dán).
- Xuất thóc theo nguyên tắc: Trong một lô xuất theo thứ tự từ trên xuống dưới, từ ngoài vào trong, xuất gọn từng lô hàng, chỉ mở tấm phủ để lô thóc thông thoáng trước khi xuất kho 2 h.
- Quá trình xuất thóc chú ý bảo vệ các lớp túi và hệ thống ống dẫn, hút khí không bị hư hỏng, túi chính cần lau sạch và bảo quản cẩn thận nếu còn tái sử dụng.
- Một tháng sau khi kết thúc nhập kho, Thủ trưởng đơn vị dự trữ quốc gia chỉ đạo các bộ phận chuyên môn báo cáo chất lượng thóc nhập kho về Cơ quan quản lý dự trữ quốc gia chuyên trách.
- Hàng tháng đơn vị dự trữ quốc gia trực thuộc báo cáo Thủ trưởng đơn vị dự trữ quốc gia tình hình chất lượng thóc bảo quản.
- Hàng quý, tổng hợp, báo cáo Cơ quan quản lý dự trữ quốc gia chuyên trách tình hình chất lượng thóc bảo quản vào ngày 20 tháng cuối quý. Trường hợp đột xuất đơn vị gửi báo cáo riêng.
- Chậm nhất một tháng sau khi kết thúc xuất kho, Thủ trưởng đơn vị dự trữ quốc gia gửi báo cáo chất lượng thóc xuất và tình hình hao hụt thóc về Cơ quan quản lý dự trữ quốc gia chuyên trách.
5. QUY ĐỊNH VỀ QUẢN LÝ
- Kho bảo quản thóc dự trữ phải là loại kho kiên cố đảm bảo ngăn được tác động trực tiếp của các yếu tố thời tiết đến khối hạt với các loại hình kho, cụ thể: Kho cuốn, kho A1, kho Tiệp, kho cải tiến và kho nhà bằng.
- Tường và nền kho không bị thấm, ẩm ướt, đọng sương trong mùa mưa ẩm, mặt nền kho đảm bảo phẳng, nhẵn.
- Hệ thống cửa kho phải đảm bảo kín và ngăn ngừa được sinh vật gây hại xâm nhập, thoáng khí, thuận tiện khi thông gió tự nhiên.
- Kho chứa thóc phải thường xuyên sạch, trong kho không có mùi lạ; xung quanh kho phải quang đãng, đảm bảo thoát nước tốt, cách ly các nguồn nhiễm bẩn, hóa chất.
- Thóc nhập kho dự trữ quốc gia phải đảm bảo các chỉ tiêu chất lượng theo quy định tại khoản 2.1.
- Trước khi cân nhập, kỹ thuật viên phối hợp cùng thủ kho trực tiếp lấy mẫu đại diện của chuyến hàng để kiểm tra các chỉ tiêu chất lượng. Những chuyến hàng có các chỉ tiêu chất lượng đạt tiêu chuẩn mới nhập kho; những chuyến hàng có các chỉ tiêu chất lượng không đạt tiêu chuẩn không nhập kho.
- Kỹ thuật viên lập phiếu kiểm tra chất lượng cho những chuyến hàng có các chỉ tiêu chất lượng đạt tiêu chuẩn nhập kho (nội dung phiếu kiểm tra theo quy định). Thủ kho căn cứ phiếu kiểm tra thực hiện cân nhập. Trong lúc cân nhập, thủ kho phối hợp kiểm tra nhanh các chỉ tiêu chất lượng. Nếu không thống nhất với kết quả kiểm tra thể hiện trong phiếu, thủ kho có quyền đề nghị Lãnh đạo đơn vị cho tạm dừng việc nhập kho để kiểm tra lại.
- Ngay sau khi lô thóc nhập đủ khối lượng quy định, Thủ trưởng đơn vị dự trữ quốc gia tổ chức lấy mẫu kiểm tra lập phiếu kiểm nghiệm chất lượng theo thủ tục nhập đầy lô (nội dung phiếu kiểm nghiệm chất lượng theo quy định) và chịu trách nhiệm về kết quả ghi trên phiếu kiểm nghiệm theo quy định của pháp luật.
Phiếu kết quả thử nghiệm chất lượng lô được lập thành 04 bản theo quy định, trong đó:
- 01 bản lưu tại đơn vị dự trữ quốc gia;
- 03 bản để tại đơn vị dự trữ quốc gia trực thuộc (01 bản đính kèm biên bản nhập đầy kho thủ kho lưu hồ sơ tại ngăn (lô) kho; 01 bản do kỹ thuật viên đơn vị dự trữ quốc gia trực thuộc lưu theo dõi; 01 bản giao cho bộ phận kế toán đơn vị dự trữ quốc gia trực thuộc).
Thời gian bảo quản được tính từ lúc ngăn/lô thóc nhập đầy (theo biên bản nhập đầy kho).
Mỗi ngăn/lô thóc sau khi kết thúc nhập, chuẩn bị đưa vào bảo quản phải lập biên bản nhập đầy kho theo quy định của pháp luật.
Biên bản nhập đầy kho được lập thành 04 bản có đầy đủ chữ ký của thủ kho bảo quản, trưởng kho, kỹ thuật viên kiểm nghiệm, kế toán đơn vị dự trữ quốc gia trực thuộc, Lãnh đạo đơn vị dự trữ quốc gia trực thuộc theo quy định, trong đó:
- 01 bản gửi đơn vị dự trữ quốc gia (Phòng Kỹ thuật bảo quản);
- 03 bản để tại đơn vị dự trữ quốc gia trực thuộc (01 bản thủ kho lưu hồ sơ tại ngăn (lô) kho; 01 bản do kỹ thuật viên đơn vị dự trữ quốc gia trực thuộc lưu; 01 bản giao cho bộ phận kế toán đơn vị dự trữ quốc gia trực thuộc).
Mỗi lô hàng đều được lập thẻ lô hàng bao gồm các nội dung sau:
- Địa điểm bảo quản: Tên lô thóc, ngăn kho, loại kho, điểm kho;
- Loại thóc, dạng hình hạt;
- Khối lượng thóc toàn bộ, số lượng bao (Đối với thóc bảo quản đóng bao);
- Thời gian nhập:
+ Bắt đầu nhập;
+ Ngày nhập đầy lô.
- Phương thức bảo quản;
- Tên thủ kho bảo quản.
Sau khi nhập đầy kho đơn vị dự trữ quốc gia lập sổ theo dõi bảo quản. Thông qua kết quả theo dõi, kiểm tra ghi lại diễn biến các chỉ tiêu chất lượng ngăn/lô thóc theo thời gian, nội dung công việc bảo quản đã thực hiện, các biện pháp xử lý khắc phục sự cố và những kiến nghị đề xuất (nếu có).
5.7.1. Khi có lệnh xuất hàng, thủ kho phải chuẩn bị đủ sổ sách, hồ sơ, chứng từ của lô hàng.
5.7.2. Tổ chức lấy mẫu, kiểm tra các chỉ tiêu chất lượng, báo cáo thực trạng lô hàng với thủ trưởng đơn vị. Với thóc đổ rời trước thời điểm xuất kho, trong phạm vi 5 ngày phải lấy mẫu kiểm nghiệm chất lượng thóc của ngăn xuất. Với thóc đóng bao việc lấy mẫu thực hiện ngay trước khi xuất thóc cho khách hàng.
5.7.3. Khi xuất hàng xong phải hoàn chỉnh các thủ tục, chứng từ giao nhận theo đúng quy định. Sau khi xuất hết thóc thu gọn các vật liệu kê lót, dụng cụ, quét dọn kho sạch sẽ.
- Thóc bảo quản đổ rời trong điều kiện áp suất thấp: Thời gian lưu kho đến 30 tháng;
- Thóc bảo quản đóng bao trong điều kiện áp suất thấp:
+ Thóc bảo quản đóng bao trong điều kiện áp suất thấp tại tại các địa phương Miền Bắc, Miền Trung và Tây Nguyên: Thời gian lưu kho đến 30 tháng;
+ Thóc bảo quản đóng bao trong điều kiện áp suất thấp tại các tỉnh đồng bằng Nam Bộ và thành phố Hồ Chí Minh : Thời gian lưu kho đến 18 tháng.
Lập phương án phòng chống cháy, nổ, phòng cháy chữa cháy và lực lượng ứng cứu khi có tình huống xảy ra. Trang bị, tổ chức công tác phòng chống cháy, nổ theo Nghị định số 35/2003/NĐ-CP ngày 04/4/2003 của Chính phủ quy định chi tiết thi hành một số điều của Luật phòng cháy và chữa cháy, Thông tư 04/2004/TT-BCA ngày 31/3/2004 của Bộ Công an hướng dẫn thi hành Nghị định số 35/2003/NĐ-CP ngày 04/4/2003 của Chính phủ quy định chi tiết thi hành một số điều của Luật phòng cháy và chữa cháy, Nghị định số 46/2012/NĐ-CP ngày 22/5/2012 của Chính phủ sửa đổi, bổ sung một số điều của Nghị định số 35/2003/NĐ-CP ngày 04/4/2003 của Chính phủ quy định chi tiết thi hành một số điều của Luật phòng cháy và chữa cháy và Nghị định 130/2006/NĐ-CP ngày 08/11/2006 của Chính phủ quy định chế độ bảo hiểm cháy, nổ bắt buộc.
5.10.1. Thủ kho bảo quản được trang bị đầy đủ trang thiết bị bảo hộ lao động theo đúng quy định.
5.10.2. Lần hút khí ngay sau khi xử lý diệt trùng phải cảnh báo và không để người đến gần khu vực xả khí.
6. TRÁCH NHIỆM CỦA TỔ CHỨC, CÁ NHÂN
6.1. Các tổ chức, cá nhân cung cấp thóc dự trữ quốc gia có trách nhiệm cung cấp thóc có chất lượng phù hợp với quy định tại mục 2 của Quy chuẩn này.
6.2. Thủ trưởng đơn vị dự trữ quốc gia có trách nhiệm chỉ đạo tổ chức thực hiện công tác giao nhận và bảo quản thóc theo đúng quy định tại mục 4 và mục 5 của Quy chuẩn này. Trong quá trình bảo quản thóc đơn vị quản lý trực tiếp có trách nhiệm kiểm tra chất lượng thóc thường xuyên và định kỳ 3 tháng một lần lấy mẫu xác định, đối chiếu các chỉ tiêu chất lượng theo quy định.
6.3. Trong trường hợp lô thóc bảo quản trong điều kiện áp suất thấp không đảm bảo độ kín hoặc lô thóc bảo quản có biểu hiện xuống cấp về các chỉ tiêu chất lượng (tỷ lệ hạt vàng tăng cao, mật độ côn trùng sống vượt quá quy định cho phép, thóc bị ẩm mốc) hoặc khối lượng có biểu hiện không bình thường thì thủ kho, đơn vị quản lý trực tiếp phải chịu trách nhiệm tìm hiểu xác định nguyên nhân, xử lý khắc phục đảm bảo ngăn lô thóc an toàn theo quy định. Nếu sự cố vượt quá khả năng, đơn vị khẩn trương báo cáo cấp trên bàn biện pháp giải quyết.
7. TỔ CHỨC THỰC HIỆN
7.1. Tổng cục Dự trữ Nhà nước có trách nhiệm hướng dẫn và kiểm tra thực hiện Quy chuẩn này.
7.2. Trong trường hợp các tiêu chuẩn, hướng dẫn quy định tại Quy chuẩn này có sự thay đổi, bổ sung hoặc được thay thế thì thực hiện theo quy định tại văn bản mới./.
PHỤ LỤC 1
SƠ ĐỒ QUY TRÌNH PHÂN TÍCH THÓC

PHỤ LỤC 2
SƠ ĐỒ QUY TRÌNH BẢO QUẢN THÓC ĐỔ RỜI TRONG ĐIỀU KIỆN ÁP SUẤT THẤP

PHỤ LỤC 3
SƠ ĐỒ QUY TRÌNH BẢO QUẢN THÓC ĐÓNG BAO TRONG ĐIỀU KIỆN ÁP SUẤT THẤP

Bạn chưa Đăng nhập thành viên.
Đây là tiện ích dành cho tài khoản thành viên. Vui lòng Đăng nhập để xem chi tiết. Nếu chưa có tài khoản, vui lòng Đăng ký tại đây!
Bạn chưa Đăng nhập thành viên.
Đây là tiện ích dành cho tài khoản thành viên. Vui lòng Đăng nhập để xem chi tiết. Nếu chưa có tài khoản, vui lòng Đăng ký tại đây!