- Tổng quan
- Nội dung
- VB gốc
- Tiếng Anh
- Hiệu lực
- VB liên quan
- Lược đồ
-
Nội dung hợp nhất
Tính năng này chỉ có tại LuatVietnam.vn. Nội dung hợp nhất tổng hợp lại tất cả các quy định còn hiệu lực của văn bản gốc và các văn bản sửa đổi, bổ sung, đính chính... trên một trang. Việc hợp nhất văn bản gốc và những văn bản, Thông tư, Nghị định hướng dẫn khác không làm thay đổi thứ tự điều khoản, nội dung.
Khách hàng chỉ cần xem Nội dung hợp nhất là có thể nắm bắt toàn bộ quy định hiện hành đang áp dụng, cho dù văn bản gốc đã qua nhiều lần chỉnh sửa, bổ sung.
- Tải về
Nghị định 97/2016/NĐ-CP nội dung chỉ tiêu thống kê
| Cơ quan ban hành: | Chính phủ |
Số công báo:
Số công báo là mã số ấn phẩm được đăng chính thức trên ấn phẩm thông tin của Nhà nước. Mã số này do Chính phủ thống nhất quản lý.
|
Đã biết
|
| Số hiệu: | 97/2016/NĐ-CP | Ngày đăng công báo: |
Đã biết
|
| Loại văn bản: | Nghị định | Người ký: | Nguyễn Xuân Phúc |
|
Ngày ban hành:
Ngày ban hành là ngày, tháng, năm văn bản được thông qua hoặc ký ban hành.
|
01/07/2016 |
Ngày hết hiệu lực:
Ngày hết hiệu lực là ngày, tháng, năm văn bản chính thức không còn hiệu lực (áp dụng).
|
Đã biết
|
|
Áp dụng:
Ngày áp dụng là ngày, tháng, năm văn bản chính thức có hiệu lực (áp dụng).
|
Đã biết
|
Tình trạng hiệu lực:
Cho biết trạng thái hiệu lực của văn bản đang tra cứu: Chưa áp dụng, Còn hiệu lực, Hết hiệu lực, Hết hiệu lực 1 phần; Đã sửa đổi, Đính chính hay Không còn phù hợp,...
|
Đã biết
|
| Lĩnh vực: | Hành chính Chính sách |
TÓM TẮT NGHỊ ĐỊNH 97/2016/NĐ-CP
Ngày 01/07/2016, Chính phủ đã ban hành Nghị định số 97/2016/NĐ-CP quy định nội dung chỉ tiêu thống kê thuộc hệ thống chỉ tiêu thống kê quốc gia.
Theo đó, chỉ tiêu thống kê về đất sẽ được công bố hàng năm, dựa trên số liệu điều tra kiểm kê đất đai, lập bản đồ hiện trạng sử dụng đất và chế độ báo cáo thống kê cấp quốc gia. Chỉ tiêu dân số được chi tiết hóa theo dân số trung bình, giới tính, dân số theo độ tuổi, trình độ học vấn, dân số theo dân tộc và tôn giáo. Các chỉ tiêu này được công bố theo năm; riêng với chỉ tiêu dân số theo dân tộc và tôn giáo, kỳ công bố là 05 năm/lần.
Các chỉ tiêu về thu và cơ cấu thu ngân sách Nhà nước cũng sẽ được công bố theo tháng, quý và năm, dựa trên chế độ báo cáo thống kê cấp quốc gia. Trong đó, khoản thu ngân sách Nhà nước bao gồm toàn bộ các khoản thu từ thuế, lệ phí; toàn bộ các khoản phí thu từ các hoạt động dịch vụ do cơ quan Nhà nước thực hiện, trường hợp được khoán chi phí hoạt động thì được khấu trừ; các khoản phí thu từ các hoạt động dịch vụ do đơn vị sự nghiệp công lập và doanh nghiệp Nhà nước thực hiện nộp ngân sách Nhà nước theo quy định của pháp luật; các khoản viện trợ không hoàn lại của Chính phủ các nước, các tổ chức, cá nhân ở ngoài nước cho Chính phủ Việt Nam và chính quyền địa phương…
Nghị định này có hiệu lực thi hành kể từ ngày 01/07/2016.
Văn bản này được thay thế bởi 94/2022/NĐ-CP
Xem chi tiết Nghị định 97/2016/NĐ-CP có hiệu lực kể từ ngày 01/07/2016
Tải Nghị định 97/2016/NĐ-CP
|
CHÍNH PHỦ Số: 97/2016/NĐ-CP |
CỘNG HÒA XÃ HỘI CHỦ NGHĨA VIỆT NAM Hà Nội, ngày 01 tháng 7 năm 2016 |
NGHỊ ĐỊNH
QUY ĐỊNH NỘI DUNG CHỈ TIÊU THỐNG KÊ THUỘC HỆ THỐNG CHỈ TIÊU THỐNG KÊ QUỐC GIA
Căn cứ Luật tổ chức Chính phủ ngày 19 tháng 6 năm 2015;
Căn cứ Luật thống kê ngày 23 tháng 11 năm 2015;
Theo đề nghị của Bộ trưởng Bộ Kế hoạch và Đầu tư;
Chính phủ ban hành Nghị định quy định nội dung chỉ tiêu thống kê thuộc hệ thống chỉ tiêu thống kê quốc gia.
Điều 1. Ban hành kèm theo Nghị định này Nội dung chỉ tiêu thống kê thuộc hệ thống chỉ tiêu thống kê quốc gia.
Điều 2. Nghị định này có hiệu lực thi hành từ ngày 01 tháng 7 năm 2016.
Điều 3. Các Bộ trưởng, Thủ trưởng cơ quan ngang bộ, Thủ trưởng cơ quan thuộc Chính phủ, Chủ tịch Ủy ban nhân dân tỉnh, thành phố trực thuộc trung ương và Thủ trưởng cơ quan khác có liên quan theo quy định của Luật thống kê 2015 có trách nhiệm thi hành Nghị định này.
Bộ trưởng Bộ Kế hoạch và Đầu tư chịu trách nhiệm hướng dẫn, kiểm tra tình hình và báo cáo kết quả thực hiện hệ thống chỉ tiêu thống kê quốc gia./.
|
Nơi nhận: |
TM. CHÍNH PHỦ |
PHỤ LỤC
NỘI DUNG CHỈ TIÊU THỐNG KÊ THUỘC HỆ THỐNG CHỈ TIÊU THỐNG KÊ QUỐC GIA
(Ban hành kèm theo Nghị định số 97/2016/NĐ-CP ngày 01 tháng 7 năm 2016 của Chính phủ)
01. Đất đai, dân số
0101. Diện tích và cơ cấu đất
I. Khái niệm, phương pháp tính
1. Diện tích đất
Tổng diện tích đất của đơn vị hành chính được xác định gồm toàn bộ diện tích các loại đất trong phạm vi đường địa giới của từng đơn vị hành chính đã được xác định theo quy định của pháp luật.
Diện tích đất của đơn vị hành chính được lấy theo số liệu do cơ quan địa chính có thẩm quyền đo đạc và công bố. Đối với các đơn vị hành chính có biển thì diện tích tự nhiên của đơn vị hành chính đó gồm diện tích các loại đất của phần đất liền và các đảo, quần đảo trên biển tính đến đường mép nước biển triều kiệt trung bình trong nhiều năm. Tổng diện tích đất tự nhiên gồm nhiều loại đất khác nhau tùy theo tiêu thức phân loại. Thông thường diện tích đất được phân theo mục đích sử dụng và người quản lý và sử dụng.
a) Diện tích đất theo mục đích sử dụng là diện tích của phần đất có cùng mục đích sử dụng trong phạm vi của đơn vị hành chính gồm nhóm đất nông nghiệp, nhóm đất phi nông nghiệp và nhóm đất chưa sử dụng.
- Nhóm đất nông nghiệp là đất sử dụng vào mục đích sản xuất, nghiên cứu, thí nghiệm về nông nghiệp, lâm nghiệp, nuôi trồng thủy sản, làm muối và bảo vệ, phát triển rừng. Gồm các loại đất:
+ Đất trồng cây hàng năm gồm đất trồng lúa và đất trồng cây hàng năm khác;
+ Đất trồng cây lâu năm;
+ Đất rừng sản xuất;
+ Đất rừng phòng hộ;
+ Đất rừng đặc dụng;
+ Đất nuôi trồng thủy sản là đất được sử dụng chuyên vào mục đích nuôi, trồng thủy sản nước lợ, nước mặn và nước ngọt;
+ Đất làm muối là ruộng muối để sử dụng vào mục đích sản xuất muối;
+ Đất nông nghiệp khác gồm đất sử dụng để xây dựng nhà kính và các loại nhà khác phục vụ mục đích trồng trọt, kể cả các hình thức trồng trọt không trực tiếp trên đất; xây dựng chuồng trại chăn nuôi gia súc, gia cầm và các loại động vật khác được pháp luật cho phép; đất trồng trọt, chăn nuôi, nuôi trồng thủy sản cho mục đích học tập, nghiên cứu thí nghiệm; đất ươm tạo cây giống, con giống và đất trồng hoa, cây cảnh.
- Nhóm đất phi nông nghiệp gồm các loại đất sử dụng vào mục đích không thuộc nhóm đất nông nghiệp, gồm đất ở; đất xây dựng trụ sở cơ quan; đất sử dụng vào mục đích quốc phòng, an ninh; đất xây dựng công trình sự nghiệp; đất sản xuất, kinh doanh phi nông nghiệp; đất sử dụng vào mục đích công cộng; đất cơ sở tôn giáo, tín ngưỡng; đất làm nghĩa trang, nghĩa địa, nhà tang lễ, nhà hỏa táng; đất sông, ngòi, kênh, rạch, suối và mặt nước chuyên dùng; đất phi nông nghiệp khác.
+ Đất ở gồm đất ở tại nông thôn và đất ở tại đô thị.
Đất ở tại nông thôn là đất ở do hộ gia đình, cá nhân đang sử dụng tại nông thôn gồm đất để xây dựng nhà ở, xây dựng các công trình phục vụ đời sống, vườn, ao trong cùng thửa đất thuộc khu dân cư nông thôn.
Đất ở tại đô thị bao gồm đất để xây dựng nhà ở, xây dựng các công trình phục vụ đời sống, vườn, ao trong cùng một thửa đất thuộc khu dân cư đô thị.
+ Đất xây dựng trụ sở cơ quan gồm đất trụ sở cơ quan nhà nước, tổ chức chính trị, tổ chức chính trị - xã hội.
+ Đất sử dụng mục đích quốc phòng, an ninh gồm đất sử dụng vào các mục đích quy định tại Điều 61 Luật đất đai.
+ Đất xây dựng công trình sự nghiệp gồm đất xây dựng trụ sở của tổ chức sự nghiệp; đất xây dựng cơ sở văn hóa, xã hội, y tế, giáo dục và đào tạo, thể dục thể thao, khoa học và công nghệ, ngoại giao và công trình sự nghiệp khác.
+ Đất sản xuất, kinh doanh phi nông nghiệp gồm đất khu công nghiệp, cụm công nghiệp, khu chế xuất, đất thương mại, dịch vụ; đất cơ sở sản xuất phi nông nghiệp; đất sử dụng cho hoạt động khoáng sản; đất sản xuất vật liệu xây dựng, làm đồ gốm.
+ Đất sử dụng vào mục đích công cộng gồm đất giao thông (đất cảng hàng không, sân bay, cảng đường thủy nội địa, cảng hàng hải, hệ thống đường sắt, hệ thống đường bộ và công trình giao thông khác); thủy lợi; đất có di tích lịch sử - văn hóa, danh lam thắng cảnh; đất sinh hoạt cộng đồng, khu vui chơi giải trí công cộng; đất công trình năng lượng; đất công trình bưu chính, viễn thông; đất chợ; đất bãi thải, xử lý chất thải và đất công trình công cộng khác.
+ Đất cơ sở tôn giáo gồm đất thuộc chùa, nhà thờ, nhà nguyện, thánh thất, thánh đường, niệm, phật đường, tu viện, trường đào tạo riêng của tôn giáo; trụ sở của tổ chức tôn giáo và các cơ sở khác của tôn giáo được Nhà nước cho phép hoạt động.
+ Đất tín ngưỡng bao gồm đất có các công trình đình, đền, miếu, am, từ đường, nhà thờ họ.
+ Đất làm nghĩa trang, nghĩa địa, nhà tang lễ, nhà hỏa táng là đất để làm nơi mai táng tập trung, đất có công trình làm nhà tang lễ và công trình để hỏa táng.
+ Đất sông, ngòi, kênh, rạch, suối là đất có mặt nước của các đối tượng thủy văn dạng tuyến không có ranh giới khép kín để tạo thành thửa đất được hình thành tự nhiên hoặc nhân tạo phục vụ cho mục đích thoát nước, dẫn nước.
+ Đất có mặt nước chuyên dùng là đất có mặt nước của các đối tượng thủy văn dạng ao, hồ, đầm có ranh giới khép kín để hình thành thửa đất, thuộc phạm vi các đô thị và các khu dân cư nông thôn hoặc ngoài khu đô thị, khu dân cư nông thôn nhưng không sử dụng chuyên vào mục đích chuyên nuôi trồng thủy sản, thủy điện, thủy lợi.
+ Đất phi nông nghiệp khác gồm đất làm nhà nghỉ, lán, trại cho người lao động trong cơ sở sản xuất; đất xây dựng kho và nhà để chứa nông sản, thuốc bảo vệ thực vật, phân bón, máy móc, công cụ phục vụ cho sản xuất nông nghiệp và đất xây dựng công trình khác của người sử dụng đất không nhằm mục đích kinh doanh mà công trình đó không gắn liền với đất ở.
- Nhóm đất chưa sử dụng gồm các loại đất chưa xác định mục đích sử dụng, cụ thể:
+ Đất bằng chưa sử dụng là đất chưa sử dụng tại vùng bằng phẳng ở đồng bằng, thung lũng, cao nguyên.
+ Đất đồi núi chưa sử dụng là đất chưa sử dụng trên đất dốc thuộc vùng đồi, núi.
+ Núi đá không có rừng cây là đất chưa sử dụng ở dạng núi đá mà trên đó không có rừng cây.
b) Diện tích đất theo tiêu thức người sử dụng đất
- Người sử dụng đất là người được Nhà nước giao đất, cho thuê đất, công nhận quyền sử dụng đất hoặc đang sử dụng đất chưa được nhà nước công nhận quyền sử dụng đất; gồm hộ gia đình, cá nhân; tổ chức trong nước; tổ chức nước ngoài; người Việt Nam định cư ở nước ngoài; cộng đồng dân cư và cơ sở tôn giáo; doanh nghiệp có vốn đầu tư nước ngoài.
- Người được giao quản lý đất là tổ chức trong nước, cộng đồng dân cư, doanh nghiệp liên doanh, doanh nghiệp 100% vốn nước ngoài được Nhà nước giao đất để quản lý trong các trường hợp quy định tại Điều 8 Luật đất đai.
2. Cơ cấu đất
a) Cơ cấu diện tích đất theo mục đích sử dụng
Là tỷ trọng diện tích của phần đất có cùng mục đích sử dụng trong phạm vi diện tích tự nhiên của đơn vị hành chính; gồm: tỷ trọng đất nông nghiệp, đất phi nông nghiệp và đất chưa sử dụng chiếm trong tổng diện tích tự nhiên.
b) Cơ cấu diện tích đất theo tiêu thức người sử dụng đất
Là tỷ trọng diện tích của phần đất có cùng đối tượng sử dụng hoặc đối tượng được giao để quản lý trong phạm vi diện tích tư nhân của đơn vị hành chính, gồm: Tỷ trọng đất của cơ quan tổ chức, các đơn vị, cá nhân... quản lý hoặc sử dụng chiếm trong tổng diện tích tự nhiên.
II. Phân tổ chủ yếu
- Mục đích sử dụng;
- Đối tượng quản lý và sử dụng;
- Tỉnh/thành phố trực thuộc trung ương.
III. Kỳ công bố: Năm.
IV. Nguồn số liệu
- Điều tra kiểm kê đất đai, lập bản đồ hiện trạng sử dụng đất;
- Chế độ báo cáo thống kê cấp quốc gia.
V. Cơ quan chịu trách nhiệm thu thập, tổng hợp: Bộ Tài nguyên và Môi trường.
0102. Dân số, mật độ dân số
I. Dân số
Khái niệm chung
Dân số là tập hợp người sinh sống trong một quốc gia, khu vực, vùng địa lý kinh tế hoặc một đơn vị hành chính.
Trong thống kê, dân số được thu thập theo khái niệm nhân khẩu thực tế thường trú tại hộ, là những người thực tế thường xuyên ăn ở tại hộ tính đến thời điểm thống kê đã được 6 tháng trở lên, trẻ em mới sinh trước thời điểm thống kê và những người mới chuyển đến sẽ ở ổn định tại hộ, không phân biệt có hay không có hộ khẩu thường trú tại xã/phường/thị trấn đang ở và những người tạm vắng. Nhân khẩu thực tế thường trú tại hộ gồm:
Người thực tế thường xuyên ăn ở tại hộ tính đến thời điểm thống kê đã được 6 tháng trở lên.
Người mới chuyển đến chưa được 6 tháng nhưng xác định sẽ ăn ở ổn định tại hộ và những trẻ em mới sinh trước thời điểm thống kê; không phân biệt họ đã có hay không có giấy tờ pháp lý chứng nhận sự di chuyển đó.
Người tạm vắng gồm người rời hộ đi làm ăn ở nơi khác chưa được 6 tháng tính đến thời điểm thống kê; người đang làm việc hoặc học tập trong nước trong thời hạn 6 tháng; người đang đi thăm, đi chơi nhà người thân, đi nghỉ hè, nghỉ lễ, đi du lịch, sẽ quay trở lại hộ; người đi công tác, đi đánh bắt hải sản, đi tàu viễn dương, đi buôn chuyến; người được cơ quan có thẩm quyền cho phép đi làm việc, công tác, học tập, chữa bệnh, du lịch ở nước ngoài, tính đến thời điểm thống kê họ vẫn còn ở nước ngoài trong thời hạn được cấp phép; người đang chữa bệnh nội trú tại các cơ sở y tế; người đang bị ngành quân đội, công an tạm giữ.
Chỉ tiêu dân số được chi tiết hóa theo một số chỉ tiêu cơ bản như sau:
1. Dân số trung bình
- Khái niệm, phương pháp tính
Dân số trung bình là số lượng dân số tính bình quân cho cả một thời kỳ, được tính theo một số phương pháp thông dụng như sau:
+ Nếu chỉ có số liệu tại hai thời điểm (đầu và cuối của thời kỳ ngắn, thường là một năm) thì sử dụng công thức sau:
|
Ptb |
= |
P0 + P1 |
|
2 |
Trong đó:
Ptb: Dân số trung bình;
P0: Dân số đầu kỳ;
P1: Dân số cuối kỳ.
+ Nếu có số liệu tại nhiều thời điểm cách đều nhau thì sử dụng công thức:

Trong đó:
Ptb: Dân số trung bình
P0,1...,n: Dân số ở các thời điểm 0, 1,..., n
n: Số thời điểm cách đều nhau.
+ Nếu có số liệu tại nhiều thời điểm không cách đều nhau, sử dụng công thức:

Trong đó:
Ptb1: Dân số trung bình của khoảng thời gian thứ nhất;
Ptb2: Dân số trung bình của khoảng thời gian thứ 2;
Ptbn: Dân số trung bình của khoảng thời gian thứ n;
ti: Độ dài của khoảng thời gian thứ i.
- Phân tổ chủ yếu: Giới tính; dân tộc; tôn giáo; độ tuổi; tình trạng hôn nhân; trình độ học vấn; trình độ chuyên môn kỹ thuật; thành thị/nông thôn; tỉnh/thành phố trực thuộc trung ương.
- Kỳ công bố: Năm.
- Nguồn số liệu
+ Tổng điều tra dân số và nhà ở;
+ Điều tra dân số và nhà ở giữa kỳ;
+ Số lượng dân số hàng năm được tính dựa trên cơ sở số liệu dân số gốc thu thập qua tổng điều tra dân số gần nhất và các biến động dân số (sinh, chết, xuất cư và nhập cư) theo phương trình cân bằng dân số. Các biến động dân số được tính từ các tỷ suất nhân khẩu học (các tỷ suất sinh, chết, xuất cư và nhập cư) Thu được qua các cuộc điều tra biến động dân số và kế hoạch hóa gia đình hoặc tổng điều tra dân số và nhà ở.
- Cơ quan chịu trách nhiệm thu thập, tổng hợp: Tổng cục Thống kê.
2. Dân số theo giới tính
- Khái niệm, phương pháp tính
Tỷ số giới tính cho biết có bao nhiêu nam tính trên 100 nữ của tập hợp dân số đã cho.
Công thức thường sử dụng để tính sự khác biệt giới tính là tỷ số giới tính như sau:
|
Tỷ số giới tính |
= |
Số nam |
x 100 |
|
Số nữ |
- Phân tổ chủ yếu: Độ tuổi/nhóm tuổi; Tình trạng hôn nhân; Trình độ học vấn; Nhóm dân tộc (5 năm phân tổ theo 10 nhóm dân tộc có quy mô dân số lớn nhất, hàng năm phân tổ theo 2 nhóm lớn là Kinh và Các dân tộc khác); Tôn giáo (theo tổng điều tra dân số và nhà ở)
- Kỳ công bố: Năm.
- Nguồn số liệu
+ Tổng điều tra dân số và nhà ở;
+ Điều tra dân số và nhà ở giữa kỳ;
+ Suy rộng từ kết quả điều tra mẫu biến động dân số - kế hoạch hóa gia đình.
- Cơ quan chịu trách nhiệm thu thập, tổng hợp: Tổng cục Thống kê.
3. Dân số theo độ tuổi
- Khái niệm, phương pháp tính
Tuổi là khoảng thời gian sống của một người tính từ ngày sinh đến một thời điểm nhất định. Trong thống kê dân số, tuổi được tính bằng số năm tròn (không kể số ngày, tháng lẻ) và thường được gọi là tuổi tròn.
Tuổi tròn được xác định như sau:
Nếu tháng sinh nhỏ hơn (xảy ra trước) tháng điều tra thì:
Tuổi tròn = Năm điều tra - Năm sinh
Nếu tháng sinh lớn hơn (sau) hoặc trùng tháng điều tra thì:
Tuổi tròn = Năm điều tra - Năm sinh - 1
- Phân tổ chủ yếu: Ngoài phân tổ theo từng độ tuổi, cơ cấu dân số theo độ tuổi còn được phân tổ theo nhóm 5 hoặc 10 độ tuổi, trong đó tách riêng nhóm 0 tuổi. Bởi vậy, các nhóm tuổi hình thành như sau:
+ Theo nhóm 5 độ tuổi:
0 tuổi;
1 - 4 tuổi;
5 - 9 tuổi;
10 - 14 tuổi;
...
75 - 79 tuổi;
80 - 84 tuổi;
85 tuổi trở lên.
Riêng nhóm 1 - 4 tuổi có thể được tách riêng theo từng độ tuổi một.
+ Theo nhóm 10 độ tuổi:
0 tuổi;
1 - 9 tuổi;
10 - 19 tuổi;
20 - 29 tuổi;
...
70 - 79 tuổi;
80 - 89 tuổi;
90 tuổi trở lên.
Đối với các mục đích nghiên cứu chuyên đề về giáo dục - đào tạo, sinh sản của dân số, lao động, kinh tế, người ta còn phân tổ thành các nhóm tuổi phù hợp với việc nghiên cứu độ tuổi đi học, độ tuổi kết thúc các cấp học, độ tuổi có khả năng sinh đẻ, độ tuổi tham gia lao động, v.v...
- Kỳ công bố: Năm.
- Nguồn số liệu:
+ Tổng điều tra dân số và nhà ở;
+ Điều tra dân số và nhà ở giữa kỳ;
+ Suy rộng từ kết quả điều tra mẫu biến động dân số - kế hoạch hóa gia đình.
- Cơ quan chịu trách nhiệm thu thập, tổng hợp: Tổng cục Thống kê.
4. Dân số theo tình trạng hôn nhân
- Khái niệm, phương pháp tính
Hôn nhân là quan hệ giữa vợ và chồng sau khi kết hôn.
- Phân tổ chủ yếu
+ Chưa vợ/chồng, hay chưa bao giờ kết hôn;
+ Có vợ/có chồng;
+ Goá (vợ hoặc chồng đã chết và hiện chưa tái kết hôn);
+ Ly hôn (tòa án đã xử cho ly hôn và hiện chưa tái kết hôn);
+ Ly thân (đã kết hôn nhưng không còn sống với nhau như vợ chồng).
- Kỳ công bố: Năm.
- Nguồn số liệu
+ Tổng điều tra dân số và nhà ở;
+ Điều tra dân số và nhà ở giữa kỳ;
+ Suy rộng từ kết quả điều tra mẫu biến động dân số - kế hoạch hóa gia đình hàng năm.
- Cơ quan chịu trách nhiệm thu thập, tổng hợp: Tổng cục Thống kê.
5. Dân số theo trình độ học vấn
- Khái niệm, phương pháp tính
Trình độ học vấn đã đạt được của một người là lớp học cao nhất đã hoàn tất trong hệ thống giáo dục quốc dân mà người đó đã theo học.
Theo Luật giáo dục, hệ thống giáo dục quốc dân gồm giáo dục chính quy và giáo dục thường xuyên. Giáo dục chính quy gồm giáo dục mầm non, giáo dục phổ thông, giáo dục nghề nghiệp, giáo dục đại học.
Các khái niệm chủ yếu thường được sử dụng khi thu thập các số liệu về trình độ học vấn của dân số như sau:
Tình trạng đi học là hiện trạng của một người đang theo học tại một cơ sở giáo dục trong hệ thống giáo dục quốc dân được Nhà nước công nhận, như các trường/lớp mẫu giáo, tiểu học, trung học cơ sở, phổ thông trung học, các trường/lớp dạy nghề và các trường chuyên nghiệp từ bậc trung học chuyên nghiệp trở lên thuộc các loại hình giáo dục - đào tạo khác nhau để nhận được kiến thức học vấn phổ thông hoặc kỹ thuật, chuyên môn nghiệp vụ một cách có hệ thống.
Biết đọc biết viết là khả năng của một người có thể đọc, viết và hiểu đầy đủ những câu đơn giản bằng chữ quốc ngữ, chữ dân tộc hoặc chữ nước ngoài.
Trình độ học vấn cao nhất đã đạt được gồm:
+ Học vấn phổ thông: Đối với những người đã thôi học, là lớp phổ thông cao nhất đã học xong; đối với người đang đi học, là lớp phổ thông trước đó mà họ đã học xong (= lớp đang học - 1);
+ Dạy nghề là những người đã tốt nghiệp các trường sơ cấp nghề, trung cấp nghề hoặc cao đẳng nghề;
+ Trung cấp chuyên nghiệp là những người đã tốt nghiệp bậc trung cấp chuyên nghiệp;
+ Cao đẳng chuyên nghiệp là những người đã tốt nghiệp cao đẳng chuyên nghiệp;
+ Đại học là những người đã tốt nghiệp đại học;
+ Trên đại học là những người đã tốt nghiệp thạc sỹ, tiến sỹ, tiến sỹ khoa học.
- Phân tổ chủ yếu
+ Tình trạng đi học: Đang đi học; đã thôi học; chưa bao giờ đi học;
+ Trình độ học vấn cao nhất: Không biết chữ (hoặc không biết đọc biết viết); biết chữ (hoặc biết đọc biết viết); chưa tốt nghiệp tiểu học; tốt nghiệp tiểu học; tốt nghiệp trung học cơ sở; tốt nghiệp trung học phổ thông; tốt nghiệp sơ cấp nghề; tốt nghiệp trung cấp nghề; tốt nghiệp cao đẳng nghề; tốt nghiệp trung cấp chuyên nghiệp; tốt nghiệp cao đẳng chuyên nghiệp; tốt nghiệp đại học; thạc sỹ; tiến sỹ/tiến sỹ khoa học.
- Kỳ công bố: Năm.
- Nguồn số liệu
+ Tổng điều tra dân số và nhà ở;
+ Điều tra dân số và nhà ở giữa kỳ;
+ Suy rộng từ kết quả điều tra mẫu biến động dân số - kế hoạch hóa gia đình, điều tra lao động - việc làm hoặc các cuộc điều tra chuyên đề khác.
- Cơ quan chịu trách nhiệm thu thập, tổng hợp: Tổng cục Thống kê.
6. Dân số theo dân tộc
- Khái niệm, phương pháp tính
Trong thống kê dân số, dân tộc được thu thập dựa trên cơ sở tự xác định của đối tượng điều tra. Tên dân tộc của một người thường được quy định theo dân tộc của người cha. Đối với một số dân tộc còn theo chế độ mẫu hệ, thì tên dân tộc được ghi theo dân tộc của người mẹ.
- Phân tổ chủ yếu
+ Các đặc trưng nhân khẩu học; Giới tính; độ tuổi; tình trạng hôn nhân; tình hình sinh, chết, di cư,...;
+ Các đặc trưng kinh tế - xã hội: Trình độ học vấn; tình trạng hoạt động kinh tế,....
+ Phân tổ theo vùng địa lý, các đơn vị hành chính.
- Kỳ công bố: 5 năm.
- Nguồn số liệu
+ Tổng điều tra dân số và nhà ở;
+ Điều tra dân số và nhà ở giữa kỳ.
- Cơ quan chịu trách nhiệm thu thập, tổng hợp: Tổng cục Thống kê.
7. Dân số theo tôn giáo
- Khái niệm, phương pháp tính
Trong điều tra thống kê, tôn giáo được hiểu theo hai cấp độ khác nhau:
+ Người có niềm tin hoặc tín ngưỡng vào một giáo lý tôn giáo nhất định;
+ Người đã gia nhập tín đồ của một tôn giáo. Tín đồ khác với tín ngưỡng ở chỗ, ngoài niềm tin hoặc đức tin, tín đồ còn phải thỏa mãn một số tiêu chuẩn và được tổ chức tôn giáo kết nạp làm tín đồ của tôn giáo đó.
- Phân tổ chủ yếu
+ Giới tính;
+ Đơn vị hành chính;
+ Tôn giáo.
- Kỳ công bố: 5 năm.
- Nguồn số liệu
+ Tổng điều tra dân số và nhà ở;
+ Điều tra dân số và nhà ở giữa kỳ.
- Cơ quan chịu trách nhiệm thu thập, tổng hợp: Tổng cục Thống kê.
II. Mật độ dân số
1. Khái niệm, phương pháp tính
Mật độ dân số là số dân tính bình quân trên một kilômét vuông diện tích lãnh thổ.
Mật độ dân số được tính bằng cách chia dân số (thời điểm hoặc bình quân) của một vùng dân cư nhất định cho diện tích lãnh thổ của vùng đó. Mật độ dân số có thể tính cho toàn quốc hoặc riêng từng vùng (nông thôn, thành thị, vùng kinh tế); từng tỉnh, từng huyện, từng xã, v.v... nhằm phản ánh tình hình phân bố dân số theo địa lý vào một thời gian nhất định.
Công thức tính:
|
Mật độ dân số (người/km2) |
= |
Số lượng dân số (người) |
|
Diện tích lãnh thổ (km2) |
2. Phân tổ chủ yếu: Tỉnh/thành phố trực thuộc trung ương.
3. Kỳ công bố: Năm.
4. Nguồn số liệu
- Tổng điều tra dân số và nhà ở;
- Điều tra dân số và nhà ở giữa kỳ;
- Điều tra kiểm kê đất đai, lập bản đồ hiện trạng sử dụng đất.
5. Cơ quan chịu trách nhiệm thu thập, tổng hợp: Tổng cục Thống kê.
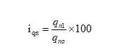
0103. Tỷ số giới tính khi sinh
1. Khái niệm, phương pháp tính
Tỷ số giới tính khi sinh là số bé trai trên 100 bé gái trong tổng số trẻ sinh ra sống trong kỳ báo cáo (thường là một năm) của một khu vực.
Công thức tính:
|
Tỷ số giới tính khi sinh |
= |
Tổng số bé trai sinh ra sống của khu vực trong kỳ báo cáo |
x 100 |
|
Tổng số số bé gái sinh ra sống của khu vực trong kỳ báo cáo |
2. Phân tổ chủ yếu
- Thành thị/nông thôn;
- Tỉnh/thành phố trực thuộc trung ương.
3. Kỳ công bố: Năm.
4. Nguồn số liệu
Số liệu về số trẻ em mới sinh ra sống trong kỳ chia theo giới tính khai thác từ:
- Tổng điều tra dân số và nhà ở;
- Điều tra dân số và nhà ở giữa kỳ;
- Điều tra biến động dân số và kế hoạch hóa gia đình;
- Dữ liệu hành chính.
5. Cơ quan chịu trách nhiệm thu thập, tổng hợp
- Chủ trì: Tổng cục Thống kê;
- Phối hợp: Bộ Y tế.
0104. Tỷ suất sinh thô
1. Khái niệm, phương pháp tính
Tỷ suất sinh thô cho biết cứ 1.000 dân, có bao nhiêu trẻ em sinh ra sống trong năm.
Công thức tính:
Trong đó:
B: Tổng số sinh trong năm;
P: Dân số trung bình (hoặc dân số giữa năm).
2. Phân tổ chủ yếu
- Giới tính của trẻ mới sinh;
- Thành thị/nông thôn;
- Tỉnh/thành phố trực thuộc trung ương.
3. Kỳ công bố: Năm.
4. Nguồn số liệu
- Tổng điều tra dân số và nhà ở;
- Điều tra dân số và nhà ở giữa kỳ;
- Điều tra biến động dân số và kế hoạch hóa gia đình;
- Điều tra nhân khẩu học và sức khỏe;
- Dữ liệu hành chính.
5. Cơ quan chịu trách nhiệm thu thập, tổng hợp: Tổng cục Thống kê.
0105. Tổng tỷ suất sinh
1. Khái niệm, phương pháp tính
Tổng tỷ suất sinh (TFR) là số con đã sinh ra sống tính bình quân trên một phụ nữ (hoặc một nhóm phụ nữ) trong suốt thời kỳ sinh đẻ nếu người phụ nữ (hoặc nhóm phụ nữ) đó tuân theo các tỷ suất sinh đặc trưng của một năm đã cho trong suốt thời kỳ sinh đẻ (nói cách khác là nếu người phụ nữ kinh qua các tỷ suất sinh đặc trưng của những phụ nữ 15 tuổi, 16 tuổi, 17 tuổi,..., cho đến 49 tuổi).
Công thức tính:

Trong đó:
Bx: Là số trẻ sinh ra sống đã đăng ký trong năm của những bà mẹ (x) tuổi;
x: Là khoảng tuổi 1 năm;
Wx: Là số phụ nữ (x) tuổi có đến giữa năm tính toán.
Các tỷ suất sinh đặc trưng theo tuổi được cộng dồn từ x = 15 tới x = 49.
Trong thực tế, tổng tỷ suất sinh được tính bằng phương pháp rút gọn hơn. Trong trường hợp tỷ suất sinh đặc trưng được tính cho nhóm 5 độ tuổi thì chỉ số (i) biểu thị các khoảng cách 5 tuổi, như: 15-19, 20-24,..., 45-49.
Công thức tính:

Trong đó:
Bi: Là số trẻ sinh ra sống đã đăng ký trong năm của những bà mẹ thuộc nhóm tuổi (i);
i: Là khoảng 5 độ tuổi liên tiếp;
Wi: Là số phụ nữ thuộc cùng nhóm tuổi (i) có đến giữa năm tính toán.
Hệ số 5 trong công thức trên nhằm áp dụng cho tỷ suất bình quân của nhóm 5 độ tuổi liên tiếp sao cho TFR sẽ tương xứng với tổng các tỷ suất đặc trưng từng độ tuổi nêu trong công thức trên.
2. Phân tổ chủ yếu
- Thành thị/nông thôn;
- Tỉnh/thành phố trực thuộc trung ương.
3. Kỳ công bố: Năm.
4. Nguồn số liệu
- Tổng điều tra dân số và nhà ở;
- Điều tra dân số và nhà ở giữa kỳ;
- Điều tra biến động dân số và kế hoạch hóa gia đình;
- Dữ liệu hành chính.
0106. Tỷ suất chết thô
1. Khái niệm, phương pháp tính
Tỷ suất chết thô cho biết cứ 1.000 dân, có bao nhiêu người bị chết trong kỳ (thường là một năm lịch). Cũng như tỷ suất sinh thô, tỷ suất chết thô bị tác động bởi nhiều đặc trưng dân số, đặc biệt là cơ cấu tuổi của dân số. Tỷ suất chết thô là thành phần không thể thiếu trong việc tính tỷ suất tăng tự nhiên cũng như tỷ suất tăng chung của dân số.
Công thức tính:

Trong đó:
CDR: Tỷ suất chết thô;
D: Tổng số người chết trong năm;
Ptb: Dân số trung bình (hay dân số giữa năm).
2. Phân tổ chủ yếu
- Giới tính;
- Nhóm nguyên nhân chết;
- Thành thị/nông thôn;
- Vùng và các tỉnh/thành phố trực thuộc trung ương.
3. Kỳ công bố: Năm.
4. Nguồn số liệu
- Tổng điều tra dân số và nhà ở;
- Điều tra dân số và nhà ở giữa kỳ;
- Điều tra biến động dân số và kế hoạch hóa gia đình;
- Dữ liệu hành chính.
5. Cơ quan chịu trách nhiệm thu thập, tổng hợp: Tổng cục Thống kê.
0107. Tỷ lệ tăng dân số
I. Tỷ lệ tăng dân số tự nhiên
1. Khái niệm, phương pháp tính
Tỷ lệ tăng dân số tự nhiên là mức chênh lệch giữa số sinh và số chết so với dân số trung bình trong kỳ nghiên cứu, hoặc bằng hiệu số giữa tỷ suất sinh thô với tỷ suất chết thô của dân số trong kỳ (thường tính cho một năm lịch).
Công thức tính:
Trong đó:
NIR: Tỷ lệ tăng dân số tự nhiên;
B: Số sinh trong năm;
D: Số chết trong năm;
Ptb: Dân số trung bình (hoặc dân số có đến ngày 01 tháng 7) của năm;
CBR: Tỷ suất sinh thô;
CDR: Tỷ suất chết thô.
2. Phân tổ chủ yếu
- Thành thị/nông thôn;
- Tỉnh/thành phố trực thuộc trung ương.
3. Kỳ công bố: Năm.
4. Nguồn số liệu
- Tổng điều tra dân số và nhà ở;
- Điều tra dân số và nhà ở giữa kỳ;
- Điều tra biến động dân số và kế hoạch hóa gia đình.
II. Tỷ lệ tăng dân số chung
1. Khái niệm, phương pháp tính
Tỷ lệ tăng dân số chung (gọi tắt là tỷ lệ tăng dân số) là tỷ suất mà theo đó dân số được tăng lên (hay giảm đi) trong một thời kỳ (thường tính cho một năm lịch) do tăng tự nhiên và di cư thuần, được biểu thị bằng tỷ lệ phần trăm so với dân số trung bình (hay dân số có đến giữa năm).
Công thức tính:
GR = CBR - CDR + IMR - OMR
Trong đó:
GR: Tỷ lệ tăng dân số chung;
CBR: Tỷ suất sinh thô;
CDR: Tỷ suất chết thô;
IMR: Tỷ suất nhập cư;
OMR: Tỷ suất xuất cư.
Hay: GR = NIR + NMR
Trong đó:
NIR: Tỷ lệ tăng dân số tự nhiên;
NMR: Tỷ lệ di cư thuần.
2. Phân tổ chủ yếu
- Thành thị/nông thôn;
- Tỉnh/thành phố trực thuộc trung ương.
3. Kỳ công bố: Năm.
4. Nguồn số liệu
- Tổng điều tra dân số và nhà ở;
- Điều tra dân số và nhà ở giữa kỳ;
- Điều tra biến động dân số và kế hoạch hóa gia đình.
5. Cơ quan chịu trách nhiệm thu thập, tổng hợp: Tổng cục Thống kê.
0108. Tỷ suất nhập cư, xuất cư, tỷ suất di cư thuần
1. Khái niệm, phương pháp tính
a) Tỷ suất nhập cư
Tỷ suất nhập cư là số người từ đơn vị lãnh thổ khác (nơi xuất cư) nhập cư đến một đơn vị lãnh thổ trong kỳ nghiên cứu (thường là một năm lịch) tính bình quân trên 1.000 dân của đơn vị lãnh thổ đó (nơi nhập cư).
Công thức tính:

Trong đó:
IMR: Tỷ suất nhập cư;
I: Số người nhập cư trong năm;
Ptb: Dân số trung bình (hay dân số có đến giữa năm).
b) Tỷ suất xuất cư
Tỷ suất xuất cư là số người xuất cư của một đơn vị lãnh thổ trong kỳ nghiên cứu (thường là một năm lịch) tính bình quân trên 1.000 dân của đơn vị lãnh thổ đó.
Công thức tính:

Trong đó:
OMR: Tỷ suất xuất cư;
O: Số người xuất cư trong năm;
Ptb: Dân số trung bình (hay dân số có đến giữa năm).
c) Tỷ suất di cư thuần
Tỷ suất di cư thuần là hiệu số giữa số người nhập cư và số người xuất cư của một đơn vị lãnh thổ trong kỳ nghiên cứu (thường là một năm lịch) tính bình quân trên 1.000 dân của đơn vị lãnh thổ đó.
Công thức tính:

Trong đó:
NMR: Tỷ suất di cư thuần;
I: Số người nhập cư trong năm;
O: Số người xuất cư trong năm;
Ptb: Dân số trung bình (hay dân số giữa năm).
Hoặc: NMR = IMR - OMR
Trong đó:
NMR: Tỷ suất di cư thuần;
IMR: Tỷ suất nhập cư;
OMR: Tỷ suất xuất cư.
2. Phân tổ chủ yếu
- Giới tính;
- Thành thị/nông thôn;
- Vùng; tỉnh/thành phố trực thuộc trung ương.
3. Kỳ công bố: Năm.
4. Nguồn số liệu
- Tổng điều tra dân số và nhà ở;
- Điều tra dân số và nhà ở giữa kỳ;
- Điều tra biến động dân số và kế hoạch hóa gia đình.
0109. Tuổi thọ trung bình tính từ lúc sinh
1. Khái niệm, phương pháp tính
Tuổi thọ trung bình tính từ lúc sinh là chỉ tiêu thống kê chủ yếu của Bảng sống, biểu thị triển vọng một người mới sinh có thể sống được bao nhiêu năm nếu như mô hình chết hiện tại được tiếp tục duy trì.
Công thức tính:

Trong đó:
e0: Tuổi thọ trung bình tính từ lúc sinh;
T0: Tổng số năm của những người mới sinh trong Bảng sống sẽ tiếp tục sống được;
l0: Số người sống đến độ tuổi 0 của Bảng sống (tập hợp sinh ra sống ban đầu được quan sát).
Tuổi thọ trung bình tính từ lúc sinh là một trong những chỉ tiêu tổng hợp được tính từ Bảng sống.
Bảng sống (hay còn gọi là Bảng chết) là một bảng thống kê bao gồm những chỉ tiêu biểu thị mức độ chết của dân số ở các độ tuổi khác nhau và khả năng sống của dân số khi chuyển từ độ tuổi này sang độ tuổi khác. Bảng sống cho biết từ một tập hợp sinh ban đầu (cùng một đoàn hệ), sẽ có bao nhiêu người sống được đến 1 tuổi, 2 tuổi, …, 100 tuổi,..; trong số đó có bao nhiêu người ở mỗi độ tuổi nhất định bị chết và không sống được đến độ tuổi sau; những người đã đạt được một độ tuổi nhất định sẽ có xác suất sống và xác suất chết như thế nào; tuổi thọ trung bình trong tương lai là bao nhiêu.
2. Phân tổ chủ yếu
- Giới tính;
- Thành thị/nông thôn;
- Tỉnh/thành phố trực thuộc trung ương.
3. Kỳ công bố: Năm.
4. Nguồn số liệu
- Tổng điều tra dân số và nhà ở;
- Điều tra dân số và nhà ở giữa kỳ;
- Điều tra biến động dân số và kế hoạch hóa gia đình.
5. Cơ quan chịu trách nhiệm thu thập, tổng hợp: Tổng cục Thống kê.
0110. Tỷ lệ người khuyết tật
1. Khái niệm, phương pháp tính
Tỷ lệ người khuyết tật là số phần trăm số người khuyết tật so với tổng dân số.
Người khuyết tật là người bị khiếm khuyết một hoặc nhiều bộ phận cơ thể hoặc bị suy giảm chức năng được biểu hiện dưới dạng tật khiến cho lao động, sinh hoạt, học tập gặp khó khăn.
Người khuyết tật được xác định theo phương pháp tiếp cận dựa vào khung Phân loại quốc tế về thực hiện chức năng (ICF) của Tổ chức Y tế Thế giới, theo đó đánh giá khả năng và mức độ thực hiện các chức năng của cấu trúc cơ thể để từ đó đánh giá khuyết tật.
Công thức tính:
|
Tỷ lệ người khuyết tật (%) |
= |
Số người khuyết tật |
x 100 |
|
Dân số cùng thời điểm |
2. Phân tổ chủ yếu
- Loại tật;
- Mức độ;
- Nguyên nhân;
- Nhóm tuổi;
- Giới tính;
- Tỉnh/thành phố trực thuộc trung ương.
3. Kỳ công bố: 5 năm.
4. Nguồn số liệu: Điều tra người khuyết tật.
5. Cơ quan chịu trách nhiệm thu thập, tổng hợp: Tổng cục Thống kê.
0111. Số cuộc kết hôn và tuổi kết hôn trung bình lần đầu
I. Số cuộc kết hôn
1. Khái niệm, phương pháp tính
Kết hôn là việc nam và nữ xác lập quan hệ vợ chồng với nhau theo quy định của Luật hôn nhân và gia đình về điều kiện kết hôn và đăng ký kết hôn.
Nam, nữ kết hôn với nhau phải tuân theo các điều kiện sau đây:
a) Nam từ đủ 20 tuổi trở lên, nữ từ đủ 18 tuổi trở lên;
b) Việc kết hôn do nam và nữ tự nguyện quyết định;
c) Không bị mất năng lực hành vi dân sự;
d) Việc kết hôn không thuộc một trong các trường hợp cấm kết hôn theo quy định của Luật hôn nhân và gia đình.
Để có cái nhìn toàn diện về số cuộc kết hôn, thống kê sẽ phản ánh thực tế kết hôn, gồm:
- Kết hôn có đủ điều kiện theo Luật hôn nhân và gia đình;
- Kết hôn có đủ điều kiện theo Luật hôn nhân và gia đình nhưng không đăng ký;
- Kết hôn không đủ điều kiện theo Luật hôn nhân và gia đình;
- Tảo hôn;
- Sống với nhau như vợ chồng.
Để bảo đảm ý nghĩa phân tích thống kê, chỉ tiêu này được tính thông qua tỷ suất kết hôn (hay tỷ suất kết hôn thô).
Công thức tính:
|
MR (‰) |
= |
Số cặp nam, nữ xác lập quan hệ vợ chồng |
x 1.000 |
|
Dân số trung bình |
Trong đó: MR là tỷ suất kết hôn (thô).
2. Phân tổ chủ yếu
- Thành thị/nông thôn;
- Vùng, tỉnh/thành phố trực thuộc trung ương.
3. Kỳ công bố: Năm.
4. Nguồn số liệu
- Tổng điều tra dân số và nhà ở;
- Điều tra dân số và nhà ở giữa kỳ;
- Điều tra biến động dân số và kế hoạch hóa gia đình;
- Dữ liệu hành chính.
5. Cơ quan chịu trách nhiệm thu thập, tổng hợp
- Chủ trì: Tổng cục Thống kê;
- Phối hợp: Bộ Tư pháp (chịu trách nhiệm thu thập số liệu thống kê đối với số cuộc kết hôn có đủ điều kiện theo Luật hôn nhân và gia đình).
II. Tuổi kết hôn trung bình lần đầu
1. Khái niệm, phương pháp tính
Tuổi kết hôn trung bình lần đầu (SMAM) của dân số là số năm trung bình mà mỗi người sẽ sống độc thân trong suốt cuộc đời của mình, nếu như thế hệ này có tỷ trọng độc thân theo độ tuổi như tỷ trọng độc thân thu được tại thời điểm điều tra.
Tuổi kết hôn trung bình lần đầu của dân số là một trong những chỉ tiêu cơ bản của Bảng kết hôn, được tính bằng cách lấy tổng số người/năm của một đoàn hệ sống trong tình trạng độc thân (Ts) chia cho tổng số ban đầu của đoàn hệ đó (l0). Sau một số phép biến đổi, phương pháp tính tổng quát trên được rút gọn theo công thức như sau:

Trong đó:
SMAM: Tuổi kết hôn trung bình lần đầu;
RS2: Số người/năm sống độc thân của đoàn hệ;
RS3: Số người/năm sống độc thân của những người chưa bao giờ kết hôn;
RM: Số người đã từng kết hôn của đoàn hệ.
2. Phân tổ chủ yếu
- Giới tính;
- Thành thị/nông thôn;
- Vùng; tỉnh/thành phố trực thuộc trung ương.
3. Kỳ công bố: Năm.
4. Nguồn số liệu
- Tổng điều tra dân số và nhà ở;
- Điều tra dân số và nhà ở giữa kỳ;
- Điều tra biến động dân số và kế hoạch hóa gia đình.
5. Cơ quan chịu trách nhiệm thu thập, tổng hợp
- Chủ trì: Tổng cục Thống kê;
- Phối hợp: Bộ Tư pháp.
0112. Tỷ lệ trẻ em dưới 05 tuổi đã được đăng ký khai sinh
1. Khái niệm, phương pháp tính
Trẻ em dưới 05 tuổi được đăng ký khai sinh là số trẻ em dưới 05 tuổi tính từ ngày sinh ra và được cấp giấy khai sinh theo quy định của pháp luật.
Tỷ lệ trẻ em dưới 05 tuổi đã được đăng ký khai sinh cho biết trong 100 trẻ em dưới 05 tuổi có bao nhiêu trẻ em đã được đăng ký khai sinh.
Công thức tính:
|
Tỷ lệ trẻ em dưới 05 tuổi đã được đăng ký khai sinh (%) |
= |
Số trẻ em dưới 05 tuổi đã được đăng ký khai sinh tính đến 31/12 năm báo cáo |
x 100 |
|
Số trẻ em dưới 05 tuổi tính đến 31/12 năm báo cáo |
2. Phân tổ chủ yếu
- Giới tính;
- Tỉnh/thành phố trực thuộc trung ương.
3. Kỳ công bố: Năm.
4. Nguồn số liệu
- Tổng điều tra dân số và nhà ở;
- Điều tra dân số và nhà ở giữa kỳ;
- Điều tra biến động dân số và kế hoạch hóa gia đình;
- Chế độ báo cáo thống kê cấp quốc gia.
5. Cơ quan chịu trách nhiệm thu thập, tổng hợp
- Chủ trì: Tổng cục Thống kê;
- Phối hợp: Bộ Tư pháp, Bộ Y tế.
0113. Số trường hợp tử vong được đăng ký khai tử
1. Khái niệm, phương pháp tính
Số trường hợp tử vong được đăng ký khai tử là số trường hợp chết được đăng ký khai tử trong kỳ nghiên cứu (thường là một năm lịch, từ 01/01 đến 31/12). Gồm cả các trường hợp tuyên bố chết theo bản án/quyết định của tòa án và đã được ghi vào sổ việc thay đổi hộ tịch theo quy định tại Luật hộ tịch, đăng ký khai tử đúng hạn và đăng ký khai tử quá hạn.
Phương pháp tính:
Tổng số việc đăng ký khai tử trong nước tại Ủy ban nhân dân cấp xã và số việc đăng ký khai tử có yếu tố nước ngoài tại các Phòng Tư pháp trên phạm vi cả nước (gồm cả các trường hợp tuyên bố chết theo bản án/quyết định của tòa án và đã được ghi vào số việc thay đổi hộ tịch theo quy định tại Luật hộ tịch) trong một kỳ hạn về thời gian. Tổng số này gồm cả đăng ký khai tử đúng hạn và quá hạn, không gồm đăng ký lại.
2. Phân tổ chủ yếu
- Giới tính;
- Thành thị/nông thôn;
- Tỉnh/thành phố trực thuộc trung ương.
3. Kỳ công bố: Năm.
4. Nguồn số liệu: Chế độ báo cáo thống kê cấp quốc gia.
5. Cơ quan chịu trách nhiệm thu thập, tổng hợp
- Chủ trì: Bộ Tư pháp;
- Phối hợp: Tòa án nhân dân tối cao, Bộ Công an, Bộ Y tế.
02. Lao động, việc làm và bình đẳng giới
0201. Lực lượng lao động
1. Khái niệm, phương pháp tính
Lực lượng lao động (hay còn gọi là dân số hoạt động kinh tế hiện tại) gồm những người từ đủ 15 tuổi trở lên có việc làm hoặc thất nghiệp trong thời kỳ tham chiếu (7 ngày trước thời điểm quan sát).
2. Phân tổ chủ yếu
a) Số liệu công bố hàng quý phân tổ theo:
- Giới tính;
- Trình độ chuyên môn kỹ thuật;
- Thành thị/nông thôn;
- Vùng.
b) Số liệu công bố hàng năm phân tổ theo:
- Giới tính;
- Nhóm tuổi;
- Trình độ chuyên môn kỹ thuật;
- Thành thị/nông thôn;
- Tỉnh/thành phố trực thuộc trung ương.
3. Kỳ công bố: Quý, năm.
4. Nguồn số liệu: Điều tra lao động và việc làm.
5. Cơ quan chịu trách nhiệm thu thập, tổng hợp: Tổng cục Thống kê.
0202. Số lao động có việc làm trong nền kinh tế
1. Khái niệm, phương pháp tính
Lao động có việc làm là tất cả những người từ đủ 15 tuổi trở lên, trong thời gian tham chiếu có làm bất cứ việc gì (không bị pháp luật cấm) từ 01 giờ trở lên để tạo ra các sản phẩm hàng hóa hoặc cung cấp các dịch vụ nhằm mục đích tạo thu nhập cho bản thân và gia đình.
Người có việc làm gồm cả những người không làm việc trong tuần nghiên cứu nhưng đang có một công việc và vẫn gắn bó chặt chẽ với công việc đó (vẫn được trả lương/công trong thời gian không làm việc hoặc chắc chắn sẽ quay trở lại làm sau thời gian không quá 01 tháng).
Ngoài ra, những trường hợp cụ thể sau đây cũng được coi là người có việc làm:
a) Người làm việc để nhận tiền lương, tiền công hay lợi nhuận nhưng đang tham gia các hoạt động tập huấn, đào tạo hoặc các hoạt động nâng cao kỹ năng do yêu cầu của công việc trong đơn vị;
b) Người học việc, tập sự (kể cả bác sỹ thực tập) làm việc và có nhận được tiền lương, tiền công;
c) Người làm việc trong các hộ/cơ sở kinh tế của chính họ để sản xuất ra các sản phẩm hàng hóa và cung cấp dịch vụ;
d) Sinh viên/học sinh/người nghỉ hưu trong thời kỳ tham chiếu có làm một công việc từ 1 giờ trở lên để tạo thu nhập;
đ) Người đang tìm kiếm việc làm nhưng trong thời kỳ tham chiếu có làm một công việc từ 1 giờ trở lên để tạo thu nhập;
e) Người đăng ký hoặc người nhận bảo hiểm thất nghiệp nhưng trong thời kỳ tham chiếu có làm một công việc từ 1 giờ trở lên để tạo thu nhập;
g) Người làm việc vì mục đích tiền công, tiền lương hoặc lợi nhuận nhưng các khoản tiền lương, tiền công và lợi nhuận đó có thể không trả trực tiếp cho họ mà được tích lũy vào thu nhập chung của gia đình họ. Những người này gồm:
- Người làm việc trong các đơn vị kinh doanh được tổ chức bởi một thành viên gia đình đang sống cùng hộ hoặc khác hộ;
- Người thực hiện các phần việc, nhiệm vụ của một công việc làm công ăn lương được tổ chức bởi một thành viên gia đình đang sống cùng hộ hoặc khác hộ.
2. Phân tổ chủ yếu
a) Số liệu công bố hàng quý phân tổ theo:
- Giới tính;
- Trình độ chuyên môn kỹ thuật;
- Khu vực kinh tế;
- Loại hình kinh tế;
- Thành thị/nông thôn;
- Vùng.
b) Số liệu công bố hàng năm phân tổ theo:
- Giới tính;
- Nhóm tuổi;
- Trình độ chuyên môn kỹ thuật;
- Ngành kinh tế;
- Loại hình kinh tế;
- Nghề nghiệp;
- Vị thế việc làm;
- Thành thị/nông thôn;
- Tỉnh/thành phố trực thuộc trung ương.
3. Kỳ công bố: Quý, năm.
4. Nguồn số liệu: Điều tra lao động và việc làm.
0203. Tỷ lệ lao động đã qua đào tạo
1. Khái niệm, phương pháp tính
Người lao động đã qua đào tạo là người từ đủ 15 tuổi trở lên có việc làm hoặc thất nghiệp trong thời kỳ tham chiếu đã hội đủ các yếu tố sau đây:
a) Người đã được đào tạo ở một trường hay một cơ sở đào tạo chuyên môn, kỹ thuật, nghiệp vụ thuộc hệ thống giáo dục quốc dân từ 03 tháng trở lên và đã tốt nghiệp, đã được cấp bằng/chứng chỉ chứng nhận đạt một trình độ chuyên môn, kỹ thuật, nghiệp vụ nhất định, gồm sơ cấp nghề, trung cấp nghề, cao đẳng nghề, trung cấp chuyên nghiệp, cao đẳng chuyên nghiệp, đại học và trên đại học (thạc sỹ, tiến sỹ, tiến sỹ khoa học).
b) Hoặc người chưa qua một trường lớp đào tạo nào nhưng do tự học, do được truyền nghề hoặc vừa làm vừa học nên họ đã có được kỹ năng, tay nghề, tương đương với bậc 1 của công nhân kỹ thuật có bằng/chứng chỉ cùng nghề và thực tế đã từng làm công việc này với thời gian từ 3 năm trở lên (hay còn gọi là công nhân kỹ thuật không bằng/chứng chỉ).
Công thức tính:
|
Tỷ lệ lao động qua đào tạo (%) |
= |
Số lao động qua đào tạo |
x 100 |
|
Lực lượng lao động |
2. Phân tổ chủ yếu
a) Số liệu công bố hàng quý phân tổ theo:
- Giới tính;
- Thành thị/nông thôn;
- Vùng.
b) Số liệu công bố hàng năm phân tổ theo:
- Giới tính;
- Trình độ chuyên môn kỹ thuật;
- Thành thị/nông thôn;
- Tỉnh/thành phố trực thuộc trung ương.
3. Kỳ công bố: Quý, năm.
4. Nguồn số liệu: Điều tra lao động và việc làm.
5. Cơ quan chịu trách nhiệm thu thập, tổng hợp: Tổng cục Thống kê.
0204. Tỷ lệ thất nghiệp
1. Khái niệm, phương pháp tính
Người thất nghiệp là những người từ đủ 15 tuổi trở lên mà trong thời kỳ tham chiếu hội đủ các yếu tố sau: Hiện không làm việc; đang tìm kiếm việc làm; sẵn sàng làm việc.
Số người thất nghiệp còn gồm những người hiện không có việc làm và sẵn sàng làm việc nhưng trong thời kỳ tham chiếu không tìm được việc do:
- Đã chắc chắn có một công việc hoặc một hoạt động sản xuất kinh doanh để bắt đầu sau thời kỳ tham chiếu;
- Phải tạm nghỉ (không được nhận tiền lương, tiền công hoặc không chắc chắn quay lại làm công việc cũ) do cơ sở bị thu hẹp hoặc ngừng sản xuất;
- Đang trong thời gian nghỉ thời vụ;
- Bận việc đột xuất của gia đình hoặc ốm đau tạm thời.
Tỷ lệ thất nghiệp là chỉ tiêu biểu hiện tỷ lệ so sánh số người thất nghiệp với lực lượng lao động.
Người thất nghiệp gồm cả những trường hợp: Sinh viên/học sinh/người nghỉ hưu nhưng đang tìm việc (toàn thời gian hoặc bán thời gian) và sẵn sàng làm việc trong thời kỳ tham chiếu; người làm nội trợ (hoặc làm các công việc nhà) cho gia đình mình nhưng đang tìm việc (toàn thời gian hoặc bán thời gian) và sẵn sàng làm việc trong thời kỳ tham chiếu.
Công thức tính:
|
Tỷ lệ thất nghiệp (%) |
= |
Số người thất nghiệp |
x 100 |
|
Lực lượng lao động |
2. Phân tổ chủ yếu
a) Số liệu công bố hàng quý phân tổ theo:
- Thành thị/nông thôn;
- Vùng.
b) Số liệu công bố hàng năm phân tổ theo:
- Giới tính;
- Độ tuổi;
- Trình độ chuyên môn kỹ thuật;
- Thành thị/nông thôn;
- Tỉnh/thành phố trực thuộc trung ương.
3. Kỳ công bố: Quý, năm.
4. Nguồn số liệu: Điều tra lao động và việc làm.
0205. Tỷ lệ thiếu việc làm
1. Khái niệm, phương pháp tính
Người thiếu việc làm gồm những người có việc làm mà trong thời gian tham chiếu (07 ngày trước thời điểm quan sát) thỏa mãn cả 3 tiêu chuẩn sau đây:
a) Mong muốn làm việc thêm giờ, nghĩa là: Muốn làm thêm một (số) công việc để tăng thêm giờ; muốn thay thế một trong số (các) công việc đang làm bằng một công việc khác để có thể làm việc thêm giờ; muốn tăng thêm giờ của một trong các công việc đang làm, hoặc kết hợp 3 loại mong muốn trên.
b) Sẵn sàng làm việc thêm giờ, nghĩa là trong thời gian tới (ví dụ trong tuần tới) nếu có cơ hội việc làm thì họ sẵn sàng làm thêm giờ ngay.
c) Thực tế họ đã làm việc dưới một ngưỡng thời gian cụ thể đối với tất cả các công việc đã làm trong tuần tham chiếu. Các nước đang thực hiện chế độ làm việc 40 giờ/tuần, ngưỡng thời gian để xác định tình trạng thiếu việc làm của nước ta là đã làm việc dưới 35 giờ trong tuần tham chiếu.
Tỷ lệ thiếu việc làm cho biết số người thiếu việc làm trong 100 người có việc làm.
Công thức tính:
|
Tỷ lệ thiếu việc làm (%) |
= |
Số người thiếu việc làm |
x 100 |
|
Tổng số người đang làm việc |
2. Phân tổ chủ yếu
a) Số liệu công bố hàng quý phân tổ theo:
- Giới tính;
- Trình độ chuyên môn kỹ thuật;
- Thành thị/nông thôn;
- Vùng.
b) Số liệu công bố hàng năm phân tổ theo:
- Giới tính;
- Trình độ chuyên môn kỹ thuật;
- Ngành kinh tế;
- Loại hình kinh tế;
- Thành thị/nông thôn;
- Tỉnh/thành phố trực thuộc trung ương.
3. Kỳ công bố: Quý, năm.
4. Nguồn số liệu: Điều tra lao động và việc làm.
5. Cơ quan chịu trách nhiệm thu thập, tổng hợp: Tổng cục Thống kê.
0206. Năng suất lao động xã hội
1. Khái niệm, phương pháp tính
Năng suất lao động xã hội là chỉ tiêu phản ánh hiệu suất làm việc của lao động, thường đo bằng tổng sản phẩm trong nước tính bình quân một lao động trong thời kỳ tham chiếu, thường là một năm lịch.
Công thức tính:
|
Năng suất lao động xã hội (VND/lao động) |
= |
Tổng sản phẩm trong nước (GDP) |
|
Tổng số người làm việc bình quân |
2. Phân tổ chủ yếu
Việc phân tổ chỉ tiêu Năng suất lao động xã hội phụ thuộc vào cách phân tổ tổng sản phẩm trong nước và số người làm việc bình quân. Trong điều kiện số liệu hiện nay năng suất lao động được phân tổ theo ngành (hoặc khu vực) kinh tế và loại hình kinh tế.
3. Kỳ công bố: Quý, năm.
4. Nguồn số liệu
Số liệu dùng để tính năng suất lao động xã hội được lấy từ hai nguồn:
- Số liệu tổng sản phẩm trong nước (GDP) hàng năm do Tổng cục Thống kê tính từ các cuộc điều tra thống kê, chế độ báo cáo thống kê cấp bộ, ngành;
- Điều tra lao động và việc làm.
5. Cơ quan chịu trách nhiệm thu thập, tổng hợp: Tổng cục Thống kê.
0207. Thu nhập bình quân một lao động đang làm việc
1. Khái niệm, phương pháp tính
Thu nhập của lao động đang làm việc là thu nhập từ tiền công, tiền lương và các khoản thu nhập khác có tính chất như lương gồm tiền làm thêm, tiền thưởng, tiền phụ cấp, tự kinh doanh,... của những người lao động làm công ăn lương trong nền kinh tế. Các khoản thu nhập này có thể bằng tiền mặt hoặc hiện vật.
Thu nhập bình quân một lao động đang làm việc là tổng số tiền thu nhập thực tế tính bình quân một lao động làm công ăn lương, tự kinh doanh.
Công thức tính:
|
Thu nhập bình quân của lao động đang làm việc |
= |
∑ Wi x Li |
|
∑ Li |
Trong đó:
i: Thời gian tham chiếu (thường là 1 tháng);
Li: Số lao động làm công ăn lương tại thời điểm điều tra;
Wi: Thu nhập của lao động làm công ăn lương trong thời gian tham chiếu.
2. Phân tổ chủ yếu
- Nghề nghiệp;
- Ngành kinh tế.
3. Kỳ công bố: Quý, năm.
4. Nguồn số liệu: Điều tra lao động và việc làm.
5. Cơ quan chịu trách nhiệm thu thập, tổng hợp: Tổng cục Thống kê.
0208. Tỷ lệ nữ tham gia cấp ủy đảng
1. Khái niệm, phương pháp tính
Tỷ lệ nữ tham gia các cấp ủy đảng là số phần trăm phụ nữ giữ các chức vụ trong các cấp ủy đảng các cấp so với tổng số người tham gia các cấp ủy đảng.
Công thức tính:
|
Tỷ lệ nữ tham gia các cấp ủy đảng (%) |
= |
Số nữ tham gia các cấp ủy đảng trong nhiệm kỳ xác định |
x 100 |
|
Tổng số người trong các cấp ủy đảng cùng nhiệm kỳ |
2. Phân tổ chủ yếu
- Cấp ủy;
- Dân tộc;
- Nhóm tuổi;
- Trình độ học vấn;
- Tỉnh/thành phố trực thuộc trung ương.
3. Kỳ công bố: Đầu mỗi nhiệm kỳ.
4. Nguồn số liệu: Chế độ báo cáo thống kê cấp quốc gia.
5. Cơ quan chịu trách nhiệm thu thập, tổng hợp: Ban Tổ chức Trung ương Đảng.
0209. Tỷ lệ nữ đại biểu Quốc hội
1. Khái niệm, phương pháp tính
Tỷ lệ nữ đại biểu Quốc hội là số phần trăm nữ đại biểu Quốc hội so với tổng số đại biểu Quốc hội trong cùng nhiệm kỳ.
Công thức tính:
|
Tỷ lệ nữ đại biểu Quốc hội (%) |
= |
Số nữ đại biểu Quốc hội khóa k |
x 100 |
|
Tổng số đại biểu Quốc hội cùng khóa |
2. Phân tổ chủ yếu
- Dân tộc;
- Nhóm tuổi;
- Trình độ học vấn.
3. Kỳ công bố: Đầu mỗi nhiệm kỳ.
4. Nguồn số liệu: Chế độ báo cáo thống kê cấp quốc gia.
5. Cơ quan chịu trách nhiệm thu thập, tổng hợp: Văn phòng Quốc hội.
0210. Tỷ lệ nữ đại biểu Hội đồng nhân dân
1. Khái niệm, phương pháp tính
Tỷ lệ nữ đại biểu Hội đồng nhân dân cấp tỉnh/thành phố, huyện/quận/thị xã/thành phố, xã/phường/thị trấn là số phần trăm nữ đại biểu Hội đồng nhân dân so với tổng số đại biểu Hội đồng nhân dân cùng khóa.
Công thức tính:
|
Tỷ lệ nữ đại biểu Hội đồng nhân dân cấp t khóa k (%) |
= |
Số nữ đại biểu Hội đồng nhân dân cấp t khóa k |
x 100 |
|
Tổng số đại biểu Hội đồng nhân dân cấp t khóa k |
2. Phân tổ chủ yếu
- Cấp hành chính;
- Dân tộc;
- Nhóm tuổi;
- Trình độ học vấn.
3. Kỳ công bố: Đầu mỗi nhiệm kỳ.
4. Nguồn số liệu: Chế độ báo cáo thống kê cấp quốc gia.
5. Cơ quan chịu trách nhiệm thu thập, tổng hợp: Bộ Nội vụ.
0211. Tỷ lệ nữ đảm nhiệm chức vụ lãnh đạo chính quyền
1. Khái niệm, phương pháp tính
Tỷ lệ nữ đảm nhiệm chức vụ lãnh đạo chính quyền là số phần trăm nữ là lãnh đạo chính quyền so với tổng số lãnh đạo chính quyền.
Hệ thống chính quyền của Nhà nước Việt Nam gồm:
a) Cơ quan quyền lực nhà nước gồm Quốc hội ở cấp trung ương và Hội đồng nhân dân các cấp địa phương do nhân dân trực tiếp bầu ra và thay mặt nhân dân thực hiện quyền lực nhà nước;
b) Cơ quan hành chính gồm Chính phủ ở cấp trung ương và Ủy ban nhân dân các cấp địa phương do cơ quan quyền lực tương ứng bầu ra;
c) Cơ quan xét xử gồm Tòa án nhân dân tối cao, Tòa án nhân dân cấp cao và Tòa án nhân dân các cấp địa phương;
d) Cơ quan kiểm sát gồm Viện kiểm sát nhân dân tối cao, Viện kiểm sát nhân dân cấp cao và Viện kiểm sát nhân dân các cấp địa phương.
Chức vụ lãnh đạo chính quyền gồm:
- Cấp Trung ương, gồm:
+ Chủ tịch, Phó Chủ tịch Quốc hội; Chủ nhiệm, Phó Chủ nhiệm các Ủy ban của Quốc hội; Chủ tịch, Phó Chủ tịch Hội đồng dân tộc; Vụ trưởng, Phó Vụ trưởng và tương tương;
+ Chủ tịch nước, Phó Chủ tịch nước;
+ Thủ tướng, Phó Thủ tướng Chính phủ;
+ Bộ trưởng, Thủ trưởng cơ quan ngang Bộ; Thứ trưởng và tương đương; Tổng cục trưởng, Phó Tổng cục trưởng và tương đương; Cục trưởng, Phó Cục trưởng và tương đương; Vụ trưởng, Phó Vụ trưởng và tương đương;
+ Chánh án, Phó Chánh án Tòa án nhân dân tối cao; Chánh án, Phó Chánh án, Chánh tòa, Phó Chánh tòa Tòa án nhân dân cấp cao; Tổng cục trưởng, Phó Tổng cục trưởng và tương đương; Cục trưởng, Phó Cục trưởng và tương đương; Vụ trưởng, Phó Vụ trưởng và tương đương;
+ Viện trưởng, Phó Viện trưởng Viện kiểm sát nhân dân tối cao; Tổng cục trưởng, Phó Tổng cục trưởng và tương đương; Cục trưởng, Phó Cục trưởng và tương đương; Vụ trưởng, Phó Vụ trưởng và tương đương.
- Cấp tỉnh:
+ Chủ tịch, Phó Chủ tịch Hội đồng nhân dân cấp tỉnh;
+ Chủ tịch, Phó Chủ tịch Ủy ban nhân dân tỉnh; Giám đốc, Phó Giám đốc Sở và tương đương;
+ Chánh án, Phó Chánh án, Chánh tòa, Phó Chánh tòa Tòa án nhân dân cấp tỉnh; Viện trưởng, Phó Viện trưởng Viện kiểm sát nhân dân cấp tỉnh.
- Cấp huyện:
+ Chủ tịch, Phó Chủ tịch Hội đồng nhân dân cấp huyện;
+ Chủ tịch, Phó Chủ tịch Ủy ban nhân dân huyện; Trưởng phòng, Phó Trưởng phòng các phòng chuyên môn thuộc Ủy ban nhân dân.
+ Chánh án, Phó Chánh án, Chánh tòa, Phó Chánh tòa Tòa án nhân dân cấp huyện; Viện trưởng, Phó Viện trưởng Viện kiểm sát nhân dân cấp huyện.
- Cấp xã:
+ Chủ tịch, Phó Chủ tịch Hội đồng nhân dân cấp xã;
+ Chủ tịch, Phó Chủ tịch Ủy ban nhân dân xã.
Công thức tính:
|
Tỷ lệ nữ đảm nhiệm chức vụ lãnh đạo chính quyền (%) |
= |
Số nữ đảm nhiệm các chức vụ lãnh đạo chính quyền khóa t |
x 100 |
|
Tổng số lãnh đạo chính quyền cùng khóa |
2. Phân tổ chủ yếu
- Khối các cơ quan Nhà nước;
- Cấp hành chính;
- Dân tộc;
- Nhóm tuổi;
- Trình độ học vấn.
3. Kỳ công bố: Năm.
4. Nguồn số liệu: Chế độ báo cáo thống kê cấp quốc gia.
5. Cơ quan chịu trách nhiệm thu thập, tổng hợp: Bộ Nội vụ, Văn phòng Quốc hội, Tòa án nhân dân tối cao, Viện kiểm sát nhân dân tối cao.
03. Doanh nghiệp, cơ sở kinh tế, hành chính, sự nghiệp
0301. Số cơ sở, lao động trong các cơ sở kinh tế, sự nghiệp
1. Khái niệm, phương pháp tính
a) Số cơ sở kinh tế, sự nghiệp
Cơ sở kinh tế, sự nghiệp (đơn vị cơ sở) được khái niệm như sau:
- Là nơi trực tiếp diễn ra hoạt động sản xuất, kinh doanh, cung cấp dịch vụ, sự nghiệp, hoạt động của tổ chức chính trị - xã hội - nghề nghiệp, tổ chức xã hội, tổ chức xã hội nghề nghiệp, tổ chức tôn giáo, tín ngưỡng...;
- Có chủ thể quản lý hoặc người chịu trách nhiệm về các hoạt động tại địa điểm đó;
- Có địa điểm xác định;
- Có thời gian hoạt động liên tục hoặc định kỳ (theo mùa vụ hoặc theo tập quán kinh doanh,...).
Đơn vị cơ sở có thể là một nhà máy, xí nghiệp, chi nhánh, văn phòng đại diện, khách sạn, nhà hàng, cửa hàng, điểm sản xuất, điểm bán hàng, nhà ga, bến cảng, trường học, bệnh viện, nhà thờ hoặc đền, chùa...
Số cơ sở kinh tế, sự nghiệp là tổng số lượng cơ sở thỏa mãn khái niệm nêu trên, hoạt động trong các ngành kinh tế quốc dân (trừ các ngành nông, lâm nghiệp và thủy sản; hoạt động của Đảng cộng sản, tổ chức chính trị - xã hội, quản lý nhà nước, an ninh quốc phòng, bảo đảm xã hội bắt buộc) tại thời điểm thống kê trên lãnh thổ Việt Nam.
Số cơ sở kinh tế, sự nghiệp gồm:
- Số cơ sở là trụ sở chính của doanh nghiệp (trụ sở chính của doanh nghiệp là cơ sở có trách nhiệm lãnh đạo, quản lý hoạt động của các cơ sở khác trong cùng hệ thống tổ chức, quản lý của doanh nghiệp).
- Số cơ sở là chi nhánh, đơn vị sản xuất kinh doanh phụ thuộc, chịu sự quản lý giám sát của trụ sở chính hoặc một cơ sở chi nhánh khác; cơ sở sản xuất kinh doanh phụ thuộc có thể là một chi nhánh, một văn phòng đại diện của một doanh nghiệp, hoặc của một cơ quan hành chính, sự nghiệp, kể cả trường hợp cơ sở đó chỉ là một bộ phận sản xuất kinh doanh nằm ngoài địa điểm của doanh nghiệp (hoặc cơ quan hành chính sự nghiệp). Trong trường hợp doanh nghiệp không có các chi nhánh, đơn vị phụ thuộc (gọi là doanh nghiệp đơn) thì doanh nghiệp chỉ là một đơn vị cơ sở duy nhất.
- Cơ sở sản xuất kinh doanh cá thể là cơ sở sản xuất kinh doanh do một cá nhân hoặc một nhóm người cùng sở hữu (sở hữu cá thể, tiểu chủ), chưa đăng ký hoạt động theo Luật doanh nghiệp (thuộc loại hình doanh nghiệp).
- Cơ sở sự nghiệp hoạt động trong các ngành khoa học công nghệ; giáo dục đào tạo; y tế, cứu trợ xã hội; thể thao, văn hóa; hoạt động hiệp hội hoạt động tôn giáo... (gọi chung là khu vực sự nghiệp).
b) Số lao động trong các cơ sở kinh tế, sự nghiệp
Số lao động trong các cơ sở kinh tế, sự nghiệp là toàn bộ số lao động hiện đang làm việc trong các cơ sở này tại thời điểm thống kê, gồm lao động làm đầy đủ thời gian; lao động làm bán thời gian; lao động trong biên chế; lao động hợp đồng (có thời hạn và không có thời hạn); lao động gia đình không được trả lương, trả công; lao động thuê ngoài; lao động trực tiếp; lao động gián tiếp... kể cả những người đang nghỉ chờ việc hay chờ chế độ nghỉ hưu, nhưng vẫn thuộc đơn vị cơ sở quản lý.
2. Phân tổ chủ yếu
- Ngành kinh tế;
- Quy mô;
- Loại cơ sở (kinh tế, sự nghiệp, hiệp hội);
- Tỉnh/thành phố trực thuộc trung ương.
4. Nguồn số liệu: Tổng điều tra kinh tế.
5. Cơ quan chịu trách nhiệm thu thập, tổng hợp: Tổng cục Thống kê.
0302. Số cơ sở, lao động trong các cơ sở hành chính
1. Khái niệm, phương pháp tính
a) Số cơ sở hành chính
Cơ sở hành chính (đơn vị cơ sở) được khái niệm như sau:
- Là nơi trực tiếp diễn ra hoạt động của Đảng Cộng sản Việt Nam, tổ chức chính trị xã hội, quản lý nhà nước, an ninh, quốc phòng, bảo đảm xã hội bắt buộc;
- Có chủ thể quản lý hoặc người chịu trách nhiệm về các hoạt động tại địa điểm đó;
- Có địa điểm xác định, thời gian hoạt động liên tục.
Đơn vị cơ sở có thể là một cơ quan hoặc chi nhánh của cơ quan hành chính.
Số cơ sở hành chính là tổng số lượng cơ sở thỏa mãn khái niệm nêu trên, hoạt động trong ngành O theo hệ thống ngành kinh tế quốc dân Hoạt động của Đảng Cộng sản, tổ chức chính trị xã hội, quản lý nhà nước, an ninh, quốc phòng, bảo đảm xã hội bắt buộc tại thời điểm thống kê trên lãnh thổ Việt Nam.
b) Số lao động trong các cơ sở hành chính
Số lao động trong các cơ sở hành chính là toàn bộ số lao động hiện đang làm việc trong các cơ sở này tại thời điểm thống kê, gồm lao động trong biên chế; lao động hợp đồng (có thời hạn và không có thời hạn). Kể cả những người đang nghỉ chờ việc hay chờ chế độ nghỉ hưu, nhưng vẫn thuộc đơn vị quản lý.
2. Phân tổ chủ yếu
- Ngành kinh tế;
- Quy mô;
- Tỉnh/thành phố trực thuộc trung ương.
4. Nguồn số liệu: Điều tra cơ sở hành chính.
5. Cơ quan chịu trách nhiệm thu thập, tổng hợp: Bộ Nội vụ.
0303. Số hộ, lao động kinh tế cá thể nông nghiệp, lâm nghiệp và thủy sản
1. Khái niệm, phương pháp tính
a) Số hộ kinh tế cá thể nông nghiệp, lâm nghiệp và thủy sản
Hộ kinh tế cá thể nông nghiệp, lâm nghiệp và thủy sản là tất cả những hộ có toàn bộ hoặc phần lớn lao động tham gia trực tiếp hoặc gián tiếp sản xuất nông nghiệp, lâm nghiệp và thủy sản, tự tổ chức sản xuất, tự quyết định mọi vấn đề về sản xuất kinh doanh của mình.
Hộ sản xuất nông nghiệp, lâm nghiệp và thủy sản gồm những hộ tiến hành các hoạt động:
- Hoạt động trồng trọt: Làm đất, gieo trồng, chăm sóc, thu hoạch sản phẩm các loại cây nông nghiệp;
- Hoạt động chăn nuôi: Chăn nuôi gia súc, gia cầm, chăn nuôi khác;
- Hoạt động dịch vụ nông nghiệp: Dịch vụ trồng trọt, dịch vụ chăn nuôi, dịch vụ sau thu hoạch...;
- Trồng rừng và chăm sóc rừng; khai thác gỗ và lâm sản ngoài gỗ; dịch vụ lâm nghiệp;
- Hoạt động nuôi trồng thủy sản: Nuôi cá, nuôi tôm và các loại thủy sản khác (kể cả nuôi lồng, bè) trên các loại mặt nước ngọt, mặn, lợ;
- Hoạt động khai thác thủy sản: Khai thác thủy sản bằng các phương tiện cơ giới hoặc thủ công trên các loại mặt nước ngọt, mặn, lợ.
b) Số lao động trong các hộ kinh tế cá thể nông nghiệp, lâm nghiệp và thủy sản
Là tất cả những người trong độ tuổi lao động (nam từ đủ 15 đến dưới 60 tuổi, nữ từ đủ 15 đến dưới 55 tuổi) của các hộ kinh tế cá thể nông, lâm nghiệp và thủy sản có khả năng tham gia hoạt động sản xuất kinh doanh (không gồm những người bị tàn tật, mất sức lao động không tham gia sản xuất kinh doanh và học sinh, sinh viên trong độ tuổi lao động còn đang đi học) bất kể những người này đang có việc làm hoặc chưa có việc làm.
2. Phân tổ chủ yếu
- Quy mô;
- Ngành kinh tế;
- Tỉnh/thành phố trực thuộc trung ương.
3. Kỳ công bố: 5 năm.
4. Nguồn số liệu
- Tổng điều tra nông thôn, nông nghiệp;
- Điều tra nông thôn, nông nghiệp giữa kỳ.
0304. Số doanh nghiệp, lao động, vốn, thu nhập, lợi nhuận của doanh nghiệp
1. Khái niệm, phương pháp tính
- Doanh nghiệp là tổ chức có tên riêng, có tài sản, có trụ sở giao dịch, được đăng ký thành lập theo quy định của pháp luật nhằm mục đích kinh doanh.
Theo loại hình, để thuận lợi cho mục đích thống kê trong tổng hợp đầy đủ số liệu theo thành phần kinh tế, quy ước doanh nghiệp được chia ra các loại như sau:
+ Doanh nghiệp nhà nước gồm doanh nghiệp 100% vốn nhà nước do Trung ương, địa phương quản lý và doanh nghiệp cổ phần vốn trong nước mà nhà nước chiếm giữ trên 50% (để thuận lợi cho việc tổng hợp số liệu, quy ước nếu nhà nước chiếm giữ trên 50% vốn chủ sở hữu được tính là doanh nghiệp nhà nước).
+ Doanh nghiệp ngoài nhà nước gồm các doanh nghiệp vốn trong nước mà nguồn vốn thuộc sở hữu tư nhân của một hay nhóm người hoặc có sở hữu nhà nước nhưng chiếm từ 50% vốn điều lệ trở xuống.
+ Doanh nghiệp có vốn đầu tư nước ngoài là các doanh nghiệp có vốn đầu tư trực tiếp của nước ngoài, không phân biệt tỷ lệ vốn của bên nước ngoài góp. Khu vực có vốn đầu tư nước ngoài gồm doanh nghiệp 100% vốn nước ngoài và doanh nghiệp liên doanh giữa nước ngoài với các đối tác trong nước.
- Lao động trong doanh nghiệp là toàn bộ số lao động do doanh nghiệp quản lý, sử dụng và trả lương, trả công.
- Nguồn vốn trong doanh nghiệp là toàn bộ số vốn của doanh nghiệp được hình thành từ các nguồn khác nhau: Nguồn vốn chủ sở hữu và các khoản nợ phải trả của doanh nghiệp.
- Thu nhập của người lao động trong doanh nghiệp là tổng các khoản mà người lao động nhận được do sự tham gia của họ vào quá trình sản xuất kinh doanh của doanh nghiệp. Thu nhập của người lao động gồm tiền lương, tiền thưởng và các khoản phụ cấp, thu nhập khác có tính chất như lương; bảo hiểm xã hội trả thay lương; các khoản thu nhập khác không tính vào chi phí sản xuất kinh doanh.
- Lợi nhuận trong doanh nghiệp là số lợi nhuận thu được trong năm của doanh nghiệp từ các hoạt động sản xuất kinh doanh, hoạt động tài chính và các hoạt động khác phát sinh trong năm trước khi nộp thuế thu nhập doanh nghiệp (lợi nhuận trước thuế).
2. Phân tổ chủ yếu
- Quy mô của doanh nghiệp;
- Ngành kinh tế;
- Loại hình kinh tế;
- Tỉnh/thành phố trực thuộc trung ương.
Riêng lao động phân tổ thêm giới tính.
3. Kỳ công bố: Năm.
4. Nguồn số liệu: Điều tra doanh nghiệp.
5. Cơ quan chịu trách nhiệm thu thập, tổng hợp: Tổng cục Thống kê.
0305. Giá trị tăng thêm trên 01 đồng giá trị tài sản cố định của doanh nghiệp
1. Khái niệm, phương pháp tính
Giá trị tăng thêm trên một đồng giá trị tài sản cố định của doanh nghiệp là tỷ lệ giữa tổng giá trị tăng thêm trong kỳ chia cho tổng giá trị tài sản cố định trong cùng kỳ nghiên cứu. Chỉ tiêu này nói lên, trong kỳ nghiên cứu (thường là một năm) một đồng giá trị tài sản cố định của doanh nghiệp tạo ra được bao nhiêu đồng giá trị tăng thêm.
Công thức tính:

Trong đó:
H: Giá trị tăng thêm tạo ra trên một đồng tài sản cố định;
Q: Giá trị tăng thêm tạo ra trong kỳ nghiên cứu;
K: Giá trị tài sản cố định (theo giá còn lại) bình quân kỳ nghiên cứu.
2. Phân tổ chủ yếu
- Quy mô theo vốn của doanh nghiệp;
- Ngành kinh tế;
- Loại hình kinh tế;
- Tỉnh/thành phố trực thuộc trung ương.
3. Kỳ công bố: Năm.
4. Nguồn số liệu: Điều tra doanh nghiệp.
0306. Trang bị tài sản cố định bình quân một lao động của doanh nghiệp
1. Khái niệm, phương pháp tính
Trang bị tài sản cố định bình quân một lao động của doanh nghiệp là tỷ lệ so sánh giữa tổng giá trị tài sản cố định với tổng số lao động của doanh nghiệp trong một thời điểm (đầu, hoặc cuối năm) hay trong một thời kỳ (bình quân một năm), là giá trị tài sản cố định tính bình quân một lao động của doanh nghiệp trong kỳ nghiên cứu.
Trang bị tài sản cố định bình quân 1 lao động của doanh nghiệp có thể tính theo nguyên giá tài sản cố định (giá ban đầu) hoặc giá trị còn lại của tài sản cố định.
Công thức tính:

Trong đó:
: Trang bị tài sản cố định bình quân 1 lao động;
: Giá trị tài sản cố định bình quân của doanh nghiệp sử dụng trong kỳ, được tính bằng trung bình cộng giá trị tài sản cố định đầu kỳ và cuối kỳ;
: Số lượng lao động bình quân của doanh nghiệp trong kỳ, được tính bằng trung bình cộng số lao động đầu kỳ và cuối kỳ.
2. Phân tổ chủ yếu
- Quy mô doanh nghiệp;
- Ngành kinh tế;
- Loại hình kinh tế;
- Tỉnh/thành phố trực thuộc trung ương.
3. Kỳ công bố: Năm.
4. Nguồn số liệu: Điều tra doanh nghiệp.
5. Cơ quan chịu trách nhiệm thu thập, tổng hợp: Tổng cục Thống kê.
0307. Tỷ suất lợi nhuận của doanh nghiệp
1. Khái niệm, phương pháp tính
a) Tỷ suất lợi nhuận tính theo doanh thu
Là tỷ lệ so sánh giữa tổng số lợi nhuận trước thuế thu được từ các hoạt động sản xuất kinh doanh và các hoạt động khác trong năm với tổng doanh thu của doanh nghiệp, phản ánh một đồng doanh thu tạo ra trong kỳ có bao nhiêu đồng lợi nhuận.
Công thức tính:
|
Tỷ suất lợi nhuận |
= |
Lợi nhuận trước thuế |
|
Doanh thu trong kỳ |
Trong đó: Doanh thu trong kỳ gồm:
- Doanh thu thuần về bán hàng và cung cấp dịch vụ
|
Doanh thu thuần về bán hàng và cung cấp dịch vụ |
= |
Doanh thu bán hàng và cung cấp dịch vụ |
- |
Các khoản giảm trừ doanh thu |
+ Doanh thu bán hàng và cung cấp dịch vụ phản ánh tổng doanh thu bán hàng hóa, thành phẩm, bất động sản đầu tư và cung cấp dịch vụ trong năm của doanh nghiệp.
+ Các khoản giảm trừ doanh thu phản ánh tổng hợp các khoản được ghi giảm trừ vào tổng doanh thu trong năm, gồm các khoản chiết khấu thương mại; các khoản giảm giá hàng bán; doanh thu hàng bán bị trả lại và các khoản thuế: Thuế tiêu thụ đặc biệt, thuế xuất khẩu, thuế giá trị gia tăng của doanh nghiệp nộp thuế giá trị gia tăng tính theo phương pháp trực tiếp phải nộp tương ứng với số doanh thu được xác định trong năm.
- Doanh thu hoạt động tài chính: Phản ánh doanh thu tiền lãi, tiền bản quyền, cổ tức, lợi nhuận được chia và doanh thu hoạt động tài chính khác trong năm của doanh nghiệp, gồm:
+ Tiền lãi: Lãi cho vay, lãi tiền gửi ngân hàng, lãi bán hàng trả chậm, trả góp, lãi đầu tư trái phiếu, tín phiếu, chiết khấu thanh toán được hưởng do mua hàng hóa, dịch vụ;...
+ Cổ tức, lợi nhuận được chia;
+ Thu nhập về hoạt động đầu tư mua, bán chứng khoán ngắn hạn, dài hạn;
+ Thu nhập về thu hồi hoặc thanh lý các khoản vốn góp liên doanh, đầu tư vào công ty liên kết, đầu tư vào công ty con, đầu tư vốn khác;
+ Thu nhập về các hoạt động đầu tư khác;
+ Lãi tỷ giá hối đoái;
+ Chênh lệch lãi do bán ngoại tệ;
+ Chênh lệch lãi chuyển nhượng vốn;
+ Các khoản doanh thu hoạt động tài chính khác.
- Thu nhập khác: Phản ánh các khoản thu nhập khác, các khoản doanh thu ngoài hoạt động sản xuất kinh doanh trong năm của doanh nghiệp, gồm:
+ Thu nhập từ nhượng bán, thanh lý tài sản cố định;
+ Chênh lệch lãi do đánh giá lại vật tư, hàng hóa, tài sản cố định đưa đi góp vốn liên doanh, đầu tư vào công ty liên kết, đầu tư dài hạn khác;
+ Thu nhập từ nghiệp vụ bán và thuê lại tài sản;
+ Thu được tiền phạt do khách hàng vi phạm hợp đồng;
+ Thu các khoản nợ khó đòi đã xử lý xóa sổ;
+ Các khoản thuế được ngân sách nhà nước hoàn lại;
+ Thu các khoản nợ phải trả không xác định được chủ;
+ Các khoản tiền thưởng của khách hàng liên quan đến tiêu thụ hàng hóa, sản phẩm, dịch vụ không tính trong doanh thu (nếu có);
+ Thu nhập quà biếu, quà tặng bằng tiền, hiện vật của các tổ chức, cá nhân tặng cho doanh nghiệp;
+ Các khoản thu nhập khác ngoài các khoản nêu trên.
b) Tỷ suất lợi nhuận tính theo vốn
Là tỷ lệ so sánh giữa tổng số lợi nhuận trước thuế thu được từ các hoạt động sản xuất kinh doanh và các hoạt động khác trong năm với tổng nguồn vốn bình quân trong kỳ, phản ánh một đồng vốn sinh ra được bao nhiêu đồng lợi nhuận.
Công thức tính:
|
Tỷ suất lợi nhuận tính theo vốn |
= |
Lợi nhuận trước thuế |
|
Nguồn vốn bình quân trong kỳ |
Trong đó:
|
Nguồn vốn bình quân trong kỳ |
= |
Tổng nguồn vốn đầu kỳ + Tổng nguồn vốn cuối kỳ |
|
2 |
2. Phân tổ chủ yếu
- Quy mô doanh nghiệp;
- Ngành kinh tế;
- Loại hình kinh tế;
- Tỉnh/thành phố trực thuộc trung ương.
3. Kỳ công bố: Năm.
4. Nguồn số liệu: Điều tra doanh nghiệp.
5. Cơ quan chịu trách nhiệm thu thập, tổng hợp: Tổng cục Thống kê.
04. Đầu tư và xây dựng
0401. Vốn đầu tư thực hiện toàn xã hội
1. Khái niệm, phương pháp tính
Vốn đầu tư thực hiện toàn xã hội là toàn bộ tiền vốn bỏ ra (chi tiêu) để làm tăng hoặc duy trì năng lực sản xuất và nguồn lực để nâng cao mức sống vật chất và tinh thần của toàn xã hội trong một thời kỳ nhất định (tháng, quý, năm).
Nội hàm của vốn đầu tư thực hiện toàn xã hội gồm các nội dung sau:
a) Vốn đầu tư tạo ra tài sản cố định là chi phí làm tăng thêm giá trị tài sản cố định, gồm vốn đầu tư xây dựng mới nhà cửa, vật kiến trúc, mua sắm tài sản cố định không qua xây dựng cơ bản và chi phí cho sửa chữa lớn tài sản cố định (tức là những chi phí bằng tiền để tạo mới, mở rộng, xây dựng lại, khôi phục hoặc nâng cấp năng lực sản xuất của tài sản cố định của nền kinh tế). Toàn bộ chi phí cho việc thăm dò, khảo sát thiết kế và quy hoạch xây dựng chuẩn bị cho việc đầu tư cũng như chi phí lắp đặt máy móc thiết bị cũng được tính vào khoản mục này.
b) Vốn đầu tư làm tăng tài sản lưu động là chi phí duy trì và phát triển sản xuất gồm vốn đầu tư mua nguyên liệu, vật liệu chính, vật liệu phụ, nhiên liệu, phụ tùng thay thế, vật liệu thiết bị xây dựng cơ bản. Đây là khoản vốn lưu động được bổ sung trong kỳ nghiên cứu.
c) Vốn đầu tư thực hiện khác gồm tất cả các khoản đầu tư của xã hội nhằm tăng năng lực phát triển của xã hội. Sự phát triển của xã hội ngoài yếu tố là tăng tài sản cố định, tài sản lưu động còn yếu tố tăng nguồn lực khác như: Nâng cao dân trí, tăng cường phúc lợi xã hội, cải thiện môi trường sinh thái, hỗ trợ các chương trình phòng chống tệ nạn xã hội và các chương trình phát triển khác như chương trình, mục tiêu quốc gia nhằm nâng cao sức khỏe cộng đồng, kế hoạch hóa gia đình; Chương trình bảo vệ động vật quý hiếm; Chương trình phổ cập giáo dục, đào tạo bồi dưỡng nguồn nhân lực; Chương trình xóa đói giảm nghèo v.v...
Trên phạm vi quốc gia, vốn đầu tư thực hiện toàn xã hội không gồm những khoản đầu tư có tính chất chuyển nhượng quyền sử dụng hoặc quyền sở hữu giữa các cá nhân, hộ dân cư, các doanh nghiệp, tổ chức... nhưng không làm tăng tài sản cố định, tài sản lưu động của toàn bộ nền kinh tế trong phạm vi cả nước, như: Chuyển nhượng đất đai nhà ở, cửa hàng, thiết bị máy móc và các tài sản cố định khác đã qua sử dụng.
Vốn đầu tư thực hiện toàn xã hội được phân tổ theo nguồn vốn đầu tư, khoản mục đầu tư, loại hình kinh tế, ngành kinh tế, tỉnh/thành phố trung ương được đầu tư.
- Chia theo nguồn vốn đầu tư:
+ Vốn ngân sách nhà nước là khoản chi của ngân sách nhà nước để chuẩn bị đầu tư và thực hiện các chương trình, dự án đầu tư kết cấu hạ tầng kinh tế - xã hội và các chương trình, dự án phục vụ phát triển kinh tế - xã hội và một số nhiệm vụ chi đầu tư khác theo quy định của pháp luật.
Vốn đầu tư từ ngân sách nhà nước để bố trí cho các dự án hạ tầng kinh tế - xã hội không có khả năng hoàn vốn trực tiếp hoặc không xã hội hóa được thuộc các ngành, lĩnh vực theo quy định của pháp luật.
Vốn đầu tư từ ngân sách nhà nước gồm vốn đầu tư từ ngân sách trung ương và vốn đầu tư từ ngân sách địa phương.
Các nguồn vốn đầu tư có tính chất ngân sách nhà nước lấy từ các khoản phí, lệ phí, quảng cáo, xổ số kiến thiết, quỹ đất... để đầu tư cũng được tính là nguồn vốn đầu tư từ ngân sách nhà nước.
+ Vốn trái phiếu Chính phủ là nguồn vốn đầu tư từ loại trái phiếu do Bộ Tài chính phát hành để huy động vốn đầu tư cho chương trình, dự án đầu tư cụ thể thuộc phạm vi đầu tư của Nhà nước.
Ở địa phương, có vốn trái phiếu chính quyền địa phương là nguồn vốn đầu tư từ loại trái phiếu do Ủy ban nhân dân cấp tỉnh phát hành nhằm huy động vốn đầu tư cho công trình dự án đầu tư của địa phương.
+ Vốn tín dụng đầu tư phát triển của Nhà nước là vốn đầu tư cho những dự án đầu tư mà chủ đầu tư có thể vay vốn hưởng lãi suất ưu đãi để đầu tư trong những ngành, lĩnh vực quan trọng, chương trình kinh tế lớn của Nhà nước, các vùng khó khăn nhà nước khuyến khích đầu tư bảo đảm có hiệu quả kinh tế - xã hội, có khả năng hoàn trả vốn vay.
Các dự án đầu tư được vay vốn tín dụng đầu tư phát triển của Nhà nước là các dự án thuộc danh mục các dự án vay vốn tín dụng đầu tư ban hành kèm theo Nghị định hiện hành quy định về tín dụng đầu tư và tín dụng xuất khẩu của Nhà nước.
+ Vốn hỗ trợ phát triển chính thức (ODA) và vốn vay ưu đãi của các nhà tài trợ là nguồn vốn đầu tư được hình thành từ hoạt động hợp tác phát triển giữa Chính phủ nước Cộng hòa xã hội chủ nghĩa Việt Nam với các nhà tài trợ là Chính phủ nước ngoài, các tổ chức quốc tế, các tổ chức liên Chính phủ hoặc liên quốc gia.
Vốn ODA gồm ODA viện trợ không hoàn lại và ODA vốn vay.
Vốn vay ưu đãi là hình thức cung cấp vốn vay có điều kiện ưu đãi hơn so với vay thương mại nhưng yếu tố không hoàn lại chưa đạt tiêu chuẩn của ODA vốn vay.
Nguồn vốn ODA và vốn vay ưu đãi do Chính phủ Việt Nam vay để thực hiện các chương trình, dự án đầu tư của Nhà nước được tính là nguồn vốn đầu tư từ ngân sách nhà nước phần vốn nước ngoài.
+ Vốn vay gồm vay ngân hàng thương mại và vốn vay từ các nguồn khác. Đây là khoản tiền mà chủ đầu tư đi vay từ các tổ chức tín dụng trong nước (không kể tín dụng đầu tư của Nhà nước đã nêu ở trên), vay các ngân hàng nước ngoài, vay các tổ chức quốc tế và vay các tổ chức, cá nhân khác để đầu tư sản xuất kinh doanh.
+ Vốn tự có là nguồn vốn thuộc sở hữu của chủ đầu tư được hình thành từ lợi nhuận, trích ra để đầu tư; từ tiền thanh lý tài sản, từ khấu hao tài sản cố định, từ các quỹ, huy động cổ phần, góp vốn liên doanh của các bên đối tác liên doanh...
+ Vốn khác là nguồn vốn đóng góp tự nguyện, cho, biếu, tặng của các tổ chức, cá nhân trong và ngoài nước, là nguồn vốn huy động ngoài các nguồn vốn trên.
- Chia theo khoản mục đầu tư:
Vốn đầu tư được chia thành: Đầu tư xây dựng cơ bản; mua sắm tài sản cố định dùng cho sản xuất không qua xây dựng cơ bản; sửa chữa, nâng cấp tài sản cố định; bổ sung vốn lưu động bằng nguồn vốn tự có; đầu tư khác.
Trong đó, vốn đầu tư xây dựng cơ bản là bộ phận chiếm tỷ trọng lớn nhất, mặc dù không gồm chi phí đền bù, giải phóng mặt bằng; chi phí đào tạo công nhân kỹ thuật và cán bộ quản lý sản xuất; tiền thuê đất hoặc mua quyền sử dụng đất.
Vốn đầu tư xây dựng cơ bản là chỉ tiêu phản ánh toàn bộ những chi phí được biểu hiện thành tiền dùng cho việc xây mới, mở rộng, xây dựng lại và khôi phục tài sản cố định trong một thời kỳ nhất định, bao gồm: Chi phí khảo sát, quy hoạch; chi phí chuẩn bị đầu tư và thiết kế; chi phí xây dựng; chi phí mua sắm, lắp đặt thiết bị và các khoản chi phí khác ghi trong tổng dự toán.
Tùy theo mục đích nghiên cứu, vốn đầu tư xây dựng cơ bản có thể được phân tổ theo các tiêu thức khác nhau. Cùng với những phân tổ theo ngành kinh tế, theo tỉnh/thành phố (theo địa bàn), thì vốn đầu tư xây dựng cơ bản còn được phân theo yếu tố cấu thành với 3 nhóm chính:
+ Vốn đầu tư xây dựng và lắp đặt thiết bị (vốn xây lắp) là phần vốn đầu tư xây dựng cơ bản chi cho việc xây dựng và lắp đặt máy móc, thiết bị của công trình gồm chi phí xây dựng công trình, chi phí lắp đặt máy móc, thiết bị vào vị trí công trình, chi phí hoàn thiện công trình.
+ Vốn đầu tư mua sắm máy móc, thiết bị (vốn thiết bị) là phần vốn đầu tư xây dựng cơ bản chi cho việc mua sắm máy móc, thiết bị và các dụng cụ, khí cụ, gia súc đủ tiêu chuẩn là tài sản cố định theo quy định hiện hành, gồm: Giá trị thiết bị, máy móc, dụng cụ, khí cụ, gia súc được coi là tài sản cố định; chi phí vận chuyển, bảo quản, gia công, kiểm tra máy móc, thiết bị và các dụng cụ, khí cụ trước khi đưa vào lắp đặt. Vốn thiết bị gồm cả giá trị mua sắm thiết bị máy móc cần lắp đặt và thiết bị máy móc không cần lắp đặt.
+ Vốn đầu tư xây dựng cơ bản khác là phần vốn đầu tư xây dựng cơ bản không thuộc vốn xây lắp và vốn thiết bị, gồm: Chi phí tư vấn, đầu tư khảo sát, thiết kế, chi quản lý, chi giải phóng mặt bằng, chi đào tạo lao động tiếp nhận và vận hành công trình, các khoản chi khác.
- Chia theo loại hình kinh tế, vốn đầu tư chia thành 3 loại hình kinh tế:
+ Vốn đầu tư cho khu vực kinh tế nhà nước;
+ Vốn đầu tư cho khu vực kinh tế ngoài nhà nước;
+ Vốn đầu tư cho khu vực có vốn đầu tư trực tiếp nước ngoài.
- Chia theo ngành kinh tế: Vốn đầu tư được chia theo các ngành kinh tế trong hệ thống ngành kinh tế Việt Nam (VSIC).
- Chia theo địa bàn tỉnh/thành phố trực thuộc trung ương.
2. Phân tổ chủ yếu
a) Kỳ tháng phân tổ theo cấp quản lý (cấp trung ương và cấp địa phương).
b) Kỳ quý phân tổ theo loại hình kinh tế.
c) Kỳ năm phân tổ theo:
- Nguồn vốn đầu tư;
- Khoản mục đầu tư;
- Ngành kinh tế;
- Loại hình kinh tế;
- Tỉnh/thành phố trực thuộc trung ương.
3. Kỳ công bố: Tháng, quý, năm.
4. Nguồn số liệu
- Điều tra vốn đầu tư thực hiện;
- Điều tra doanh nghiệp;
- Điều tra cơ sở sản xuất kinh doanh cá thể phi nông nghiệp;
- Dữ liệu hành chính;
- Chế độ báo cáo thống kê cấp quốc gia.
5. Cơ quan chịu trách nhiệm thu thập, tổng hợp
- Chủ trì: Tổng cục Thống kê;
- Phối hợp: Bộ Tài chính.
0402. Tỷ lệ vốn đầu tư thực hiện toàn xã hội so với tổng sản phẩm trong nước
1. Khái niệm, phương pháp tính
Là tỷ lệ phần trăm giữa vốn đầu tư thực hiện toàn xã hội so với tổng sản phẩm trong nước của một thời kỳ xác định.
Công thức tính:
|
Vốn đầu tư thực hiện toàn xã hội so với tổng sản phẩm trong nước (%) |
= |
Vốn đầu tư thực hiện toàn xã hội trong năm tính theo giá hiện hành |
x 100 |
|
Tổng sản phẩm trong nước cùng năm tính theo giá hiện hành |
2. Phân tổ chủ yếu: Tỉnh/thành phố trực thuộc trung ương.
3. Kỳ công bố: Năm.
4. Nguồn số liệu
- Như nguồn số liệu của chỉ tiêu 0401;
- Như nguồn số liệu của chỉ tiêu 0501.
5. Cơ quan chịu trách nhiệm thu thập, tổng hợp: Tổng cục Thống kê.
0403. Hiệu quả sử dụng vốn đầu tư (ICOR)
1. Khái niệm, phương pháp tính
Hiệu quả sử dụng vốn đầu tư (Hệ số ICOR) là chỉ tiêu kinh tế tổng hợp phản ánh cần bao nhiêu đồng vốn đầu tư thực hiện tăng thêm để tăng thêm 1 đồng tổng sản phẩm trong nước (GDP). Hệ số ICOR thay đổi tùy theo thực trạng kinh tế - xã hội trong từng thời kỳ khác nhau, phụ thuộc vào cơ cấu đầu tư và hiệu quả sử dụng đồng vốn. Nếu hệ số ICOR thấp, chứng tỏ đầu tư có hiệu quả cao và ngược lại.
Công thức tính:

Trong đó:
ICOR - Hiệu quả sử dụng vốn đầu tư;
V1 - Vốn đầu tư thực hiện của năm nghiên cứu;
G1 - Tổng sản phẩm trong nước của năm nghiên cứu;
G0 - Tổng sản phẩm trong nước của năm trước năm nghiên cứu.
Các chỉ tiêu về vốn đầu tư thực hiện và tổng sản phẩm trong nước để tính hệ số ICOR phải được tính theo cùng một loại giá: Giá hiện hành hoặc giá so sánh. Khi tính theo giá hiện hành phải tính theo giá hiện hành của cùng một năm, cụ thể phải chuyển GDP của năm trước năm nghiên cứu (G0) về giá hiện hành của năm nghiên cứu (giá hiện hành dùng để tính G1).
2. Phân tổ chủ yếu
- Ngành kinh tế;
- Loại hình kinh tế.
3. Kỳ công bố: Năm.
4. Nguồn số liệu
- Như nguồn số liệu của chỉ tiêu 0401;
- Như nguồn số liệu của chỉ tiêu 0501.
5. Cơ quan chịu trách nhiệm thu thập, tổng hợp: Tổng cục Thống kê.
0404. Năng lực mới tăng của nền kinh tế
1. Khái niệm, phương pháp tính
Năng lực mới tăng của nền kinh tế là kết quả của hoạt động đầu tư tạo ra từ việc xây mới nhà cửa, vật kiến trúc, đầu tư tài sản cố định không qua xây dựng cơ bản và đầu tư cho sửa chữa tài sản cố định (mở rộng, khôi phục, nâng cấp năng lực sản xuất của tài sản cố định) biểu hiện dưới hình thái hiện vật là các công trình xây dựng, các phương tiện, thiết bị máy móc và các loại tài sản cố định khác dùng cho sản xuất được đầu tư hoàn thành đưa vào sử dụng trong kỳ nghiên cứu.
Năng lực mới tăng trong năm được tạo ra cho các ngành kinh tế, các loại hình kinh tế là rất lớn, được biểu hiện ở rất nhiều thể loại khác nhau, như: Đường sá, cầu cống, sân bay, bến cảng, công trình thủy lợi, nhà máy, công trình điện, bệnh viện, trường học, trạm truyền hình, bảo tàng, nhà văn hóa,...
Phương pháp tính:
Năng lực mới tăng là khả năng sản xuất hoặc phục vụ sản xuất tính theo thiết kế khi nghiệm thu bàn giao tài sản cố định đưa vào sử dụng. Đơn vị tính được tính theo đơn vị tính của năng lực thiết kế khi bàn giao đưa vào sử dụng.
Trường hợp mở rộng, đổi mới thiết bị hoặc khôi phục từng phần của tài sản cố định (công trình, hạng mục công trình xây dựng, máy móc thiết bị...) thì chỉ tính phần năng lực mới tăng thêm do đầu tư mới tạo ra (không được tính phần năng lực của công trình, hạng mục công trình cũ).
2. Phân tổ chủ yếu: Ngành đầu tư.
3. Kỳ công bố: Năm.
4. Nguồn số liệu
- Điều tra vốn đầu tư thực hiện;
- Điều tra doanh nghiệp;
- Điều tra cơ sở sản xuất kinh doanh cá thể;
- Dữ liệu hành chính.
- Chế độ báo cáo thống kê cấp quốc gia.
5. Cơ quan chịu trách nhiệm thu thập, tổng hợp: Tổng cục Thống kê.
0405. Diện tích sàn xây dựng nhà ở hoàn thành
1. Khái niệm, phương pháp tính
Diện tích sàn xây dựng nhà ở hoàn thành là tổng diện tích nhà ở được xây dựng hoàn thành bàn giao trong kỳ (thường là một năm) được sử dụng cho mục đích ở và sinh hoạt của hộ gia đình hoặc cá nhân.
Phương pháp tính:
Diện tích sàn xây dựng nhà ở hoàn thành gồm diện tích của các ngôi nhà được xây dựng mới trong năm và diện tích của các phòng được xây mới do mở rộng hoặc nâng tầng các nhà ở cũ hiện có.
a) Nhà chung cư là nhà có từ 2 tầng trở lên, có nhiều căn hộ, có lối đi, cầu thang chung, có phần sở hữu riêng, phần sở hữu chung và hệ thống công trình hạ tầng sử dụng chung cho các hộ gia đình, cá nhân, tổ chức, gồm nhà chung cư được xây dựng với mục đích để ở và nhà chung cư được xây dựng có mục đích sử dụng hỗn hợp để ở và kinh doanh.
Đối với căn hộ chung cư là tổng diện tích sàn xây dựng sử dụng để ở và sinh hoạt của hộ, không tính diện tích sử dụng chung cho các hộ trong nhà chung cư như: Diện tích cầu thang, đường đi, hành lang chung, nhà bếp, nhà vệ sinh sử dụng chung, phòng bảo vệ, phòng văn hóa,...
b) Nhà ở riêng lẻ là nhà ở được xây dựng trên thửa đất ở riêng biệt thuộc quyền sử dụng hợp pháp của tổ chức, hộ gia đình, cá nhân, gồm nhà biệt thự, nhà ở liền kề và nhà ở độc lập.
Đối với nhà riêng lẻ (gồm cả nhà biệt thự) là tổng diện tích sàn xây dựng sử dụng để ở và sinh hoạt của hộ, gồm diện tích các phòng ngủ, phòng tiếp khách, phòng đọc sách, giải trí... và diện tích hành lang, cầu thang, tiền sảnh ngôi nhà. Không tính diện tích của những ngôi nhà riêng lẻ không dùng cho mục đích để ở của hộ như: Nhà chăn nuôi, nhà bếp, nhà vệ sinh, nhà kho được xây dựng riêng ngoài ngôi nhà chính để ở.
- Đối với nhà ở một tầng, thì ghi tổng diện tích phần nền nhà tính cả tường (phần có trần, mái che) của ngôi nhà đó; trường hợp có tường, khung cột chung thì chỉ tính 1/2 diện tích mặt bằng của tường, khung cột chung đó.
- Đối với nhà nhiều tầng, thì ghi tổng diện tích (phần có trần, mái che) của các tầng; trường hợp có tường, khung cột chung ở các tầng, thì chỉ tính 1/2 diện tích mặt bằng của tường, khung cột chung đó.
- Phần sàn và gầm sàn nhà không được bao che và không được sử dụng để ở, thì không tính diện tích. Trường hợp phần gầm sàn nhà cao từ 2,1 m trở lên, có bao che và được sử dụng để ở, thì được tính diện tích.

Quy ước:
- Nếu khu bếp và khu vệ sinh được xây dựng liền kề với ngôi nhà mà hộ đang ở (chung hoặc liên tường), thì tính diện tích của khu bếp và khu vệ sinh đó vào tổng diện tích của ngôi nhà của hộ.
- Nếu khu bếp và khu vệ sinh được xây dựng hoàn toàn tách rời (độc lập) với ngôi nhà mà hộ đang ở dù trong cùng một khuôn viên đất thì không tính diện tích của khu bếp và khu vệ sinh vào tổng diện tích của ngôi nhà của hộ.
- Đối với ngôi nhà/căn hộ có khu bếp và khu vệ sinh khép kín như hình vẽ trên thì diện tích của ngôi nhà/căn hộ được tính theo phạm vi trong đường nét đứt.
- Trường hợp ngôi nhà/căn hộ có gác xếp bảo đảm chiều cao từ gác xếp đến trần từ 2,1 m trở lên và diện tích tối thiểu 4 m2 thì phần gác xép này được tính vào tổng diện tích ở của ngôi nhà/căn hộ.
2. Phân tổ chủ yếu
- Loại nhà (nhà chung cư, nhà riêng lẻ);
- Tỉnh/thành phố trực thuộc trung ương.
3. Kỳ công bố: 5 năm.
4. Nguồn số liệu
- Điều tra hoạt động xây dựng;
- Điều tra doanh nghiệp;
- Chế độ báo cáo thống kê cấp quốc gia.
5. Cơ quan chịu trách nhiệm thu thập, tổng hợp
- Chủ trì: Tổng cục Thống kê;
- Phối hợp: Bộ Xây dựng.
0406. Số lượng nhà ở, tổng diện tích nhà ở hiện có và sử dụng
1. Khái niệm, phương pháp tính
Số lượng nhà ở hiện có và sử dụng là tổng số căn hộ trong các nhà chung cư và những ngôi nhà ở riêng lẻ thực tế đang tồn tại trên địa bàn tại thời điểm báo cáo.
Diện tích nhà ở hiện có và sử dụng là diện tích sàn xây dựng của nhà ở được sử dụng cho mục đích ở và sinh hoạt của hộ gia đình hoặc cá nhân dân cư, hiện đang được sử dụng tính đến thời điểm báo cáo.
Phương pháp tính
- Phương pháp tính số lượng nhà ở hiện có và sử dụng:
+ Nguyên tắc tính số lượng nhà ở hiện có và sử dụng căn cứ vào mục đích sử dụng của ngôi nhà là dùng cho mục đích để ở của hộ gia đình hoặc cá nhân dân cư. Không tính các ngôi nhà dùng vào các mục đích khác không phải để ở như: Dùng cho mục đích kinh doanh, bệnh viện, trường học, nhà trọ, khách sạn và các ngôi nhà mà hộ gia đình dân cư dùng làm nhà kho, nhà chăn nuôi, nhà bếp, nhà tắm...
+ Chỉ tính những ngôi nhà thực tế hiện có và đang sử dụng hoặc sẵn sàng cho mục đích để ở, không phân biệt thời gian sử dụng, loại nhà, hiện trạng mới cũ và hình thức sở hữu.
+ Cách tính là cộng toàn bộ những ngôi nhà hiện có tại thời điểm báo cáo của các loại nhà chung cư, nhà ở tập thể không phải chung cư, nhà ở riêng lẻ của hộ gia đình và cá nhân dân cư.
- Phương pháp tính tổng diện tích nhà ở hiện có và sử dụng: Tổng diện tích sàn ngôi nhà/căn hộ được tính như sau:
+ Đối với căn hộ chung cư là tổng diện tích sử dụng cho mục đích để ở và sinh hoạt của hộ gia đình, không tính diện tích sử dụng chung như: Cầu thang hành lang chung, nhà bếp, nhà vệ sinh sử dụng chung, phòng bảo vệ, phòng văn hóa...
+ Đối với nhà ở riêng lẻ là diện tích sàn xây dựng để sử dụng cho mục đích để ở của hộ gia đình, cá nhân gồm diện tích các phòng ngủ, phòng tiếp khách, phòng đọc sách, giải trí... và diện tích hành lang, cầu thang, tiền sảnh ngôi nhà; không tính diện tích của những ngôi nhà riêng lẻ không dùng cho mục đích để ở của hộ gia đình như: Nhà chăn nuôi, nhà bếp, nhà vệ sinh, nhà kho.
Phần sàn và gầm sàn nhà không được bao che và không được sử dụng để ở, thì không tính diện tích. Trường hợp phần gầm sàn nhà cao từ 2,1 m trở lên, có bao che và được sử dụng để ở, thì được tính diện tích.
2. Phân tổ chủ yếu
a) Loại nhà:
- Nhà chung cư;
- Nhà ở riêng lẻ.
b) Mức độ kiên cố xây dựng:
- Nhà ở kiên cố;
- Nhà ở bán kiên cố;
- Nhà ở thiếu kiên cố;
- Nhà đơn sơ.
c) Hình thức sở hữu:
- Nhà ở thuộc sở hữu nhà nước;
- Nhà ở thuộc sở hữu tập thể;
- Nhà ở thuộc sở hữu cá nhân;
- Nhà ở thuộc sở hữu cá nhân nước ngoài.
d) Năm xây dựng của ngôi nhà.
đ) Thành thị/nông thôn.
e) Tỉnh/thành phố trực thuộc trung ương.
3. Kỳ công bố: 5 năm.
4. Nguồn số liệu
- Tổng điều tra dân số và nhà ở;
- Điều tra dân số và nhà ở giữa kỳ.
5. Cơ quan chịu trách nhiệm thu thập, tổng hợp
- Chủ trì: Tổng cục Thống kê;
- Phối hợp: Bộ Xây dựng.
0407. Diện tích nhà ở bình quân đầu người
1. Khái niệm, phương pháp tính
Diện tích nhà ở bình quân đầu người được tính bằng cách chia tổng số diện tích ở của hộ dân cư cho tổng số nhân khẩu của hộ.
Công thức tính:
|
Diện tích nhà ở bình quân đầu người (m2) |
= |
Tổng số diện tích ở của hộ (m2) |
|
Tổng số nhân khẩu của hộ |
Diện tích nhà ở là diện tích mà các thành viên của hộ sử dụng để ở, gồm diện tích các phòng để ăn, ngủ, tiếp khách, học tập, vui chơi và diện tích cải tạo mở rộng đủ điều kiện để ở. Không tính diện tích khu phụ (nhà tắm, nhà vệ sinh, bếp), kho chứa, diện tích dùng cho kinh doanh.
2. Phân tổ chủ yếu
- Sở hữu;
- Loại nhà;
- Thành thị/nông thôn;
- Tỉnh/thành phố trực thuộc trung ương.
3. Kỳ công bố: 5 năm.
4. Nguồn số liệu
- Tổng điều tra dân số và nhà ở;
- Điều tra dân số và nhà ở giữa kỳ.
5. Cơ quan chịu trách nhiệm thu thập, tổng hợp
- Chủ trì: Tổng cục Thống kê;
- Phối hợp: Bộ Xây dựng.
05. Tài khoản quốc gia
0501. Tổng sản phẩm trong nước (GDP)
1. Khái niệm, phương pháp tính
Tổng sản phẩm trong nước là giá trị sản phẩm vật chất và dịch vụ cuối cùng được tạo ra của nền kinh tế trong một khoảng thời gian nhất định (quý, năm). Điều này có nghĩa trong GDP không tính các giá trị sản phẩm vật chất và dịch vụ đã sử dụng ở các khâu trung gian trong quá trình sản xuất tạo ra sản phẩm. GDP biểu thị kết quả sản xuất do các đơn vị thường trú tạo ra trong lãnh thổ kinh tế của một quốc gia.
Nội dung tổng quát của GDP được xét dưới các góc độ khác nhau:
- Xét dưới góc độ sử dụng (chi tiêu): GDP là tổng cầu của nền kinh tế gồm tiêu dùng cuối cùng của hộ dân cư, tiêu dùng cuối cùng của Nhà nước, tích lũy tài sản và chênh lệch xuất nhập khẩu hàng hóa và dịch vụ.
- Xét dưới góc độ thu nhập, GDP gồm thu nhập của người lao động từ sản xuất, thuế sản xuất, khấu hao tài sản cố định dùng cho sản xuất và giá trị thặng dư sản xuất trong kỳ.
- Xét dưới góc độ sản xuất: GDP bằng giá trị sản xuất trừ đi chi phí trung gian.
Phương pháp tính:
a) Theo giá hiện hành
Có 3 phương pháp tính tổng sản phẩm trong nước
- Phương pháp sản xuất: Tổng sản phẩm trong nước bằng tổng giá trị tăng thêm theo giá cơ bản của tất cả các ngành kinh tế cộng với thuế sản phẩm trừ đi trợ cấp sản phẩm.
Công thức tính:
|
Tổng sản phẩm trong nước (GDP) |
= |
Tổng giá trị tăng thêm theo giá cơ bản của tất cả các ngành |
+ |
Thuế sản phẩm |
- |
Trợ cấp sản phẩm |
- Phương pháp thu nhập: Tổng sản phẩm trong nước bằng Tổng thu nhập tạo nên từ các yếu tố tham gia vào quá trình sản xuất như lao động, vốn, đất đai, máy móc. Theo phương pháp này, tổng sản phẩm trong nước gồm 4 yếu tố: Thu nhập của người lao động từ sản xuất (bằng tiền và hiện vật quy ra tiền), thuế sản xuất (đã giảm trừ phần trợ cấp cho sản xuất), khấu hao tài sản cố định dùng trong sản xuất và thặng dư/ thu nhập hỗn hợp.
Công thức tính:
|
Tổng sản phẩm trong nước |
= |
Thu nhập của người lao động từ sản xuất |
+ |
Thuế sản xuất (đã giảm trừ phần trợ cấp sản xuất) |
+ |
Khấu hao TSCĐ dùng trong sản xuất |
+ |
Thặng dư sản xuất hoặc thu nhập hỗn hợp |
- Phương pháp sử dụng (chi tiêu): Tổng sản phẩm trong nước bằng tổng của 3 yếu tố: Tiêu dùng cuối cùng của hộ dân cư và nhà nước; tích lũy tài sản (tài sản cố định, tài sản lưu động và tài sản quý hiếm) và chênh lệch xuất, nhập khẩu hàng hóa và dịch vụ.
Công thức tính:
|
Tổng sản phẩm trong nước |
= |
Tiêu dùng cuối cùng |
+ |
Tích lũy tài sản |
+ |
Chênh lệch xuất nhập khẩu hàng hóa và dịch vụ |
b) Theo giá so sánh
Tổng sản phẩm trong nước (GDP) theo giá so sánh được tính gián tiếp bằng hiệu giữa giá trị sản xuất theo giá so sánh và chi phí trung gian theo giá so sánh (vì chỉ tiêu GDP hoặc giá trị tăng thêm không thể phân tích được thành các yếu tố giá và lượng, nên không có chỉ số giá phù hợp để giảm phát trực tiếp).
Thuế nhập khẩu của năm báo cáo theo giá so sánh được tính bằng công thức sau:
|
Thuế nhập khẩu năm báo cáo theo giá so sánh |
= |
Tổng giá trị nhập khẩu năm báo cáo theo giá so sánh |
x |
Thuế nhập khẩu năm báo cáo theo giá hiện hành |
|
Trị giá nhập khẩu năm báo cáo theo giá hiện hành |
Bên cạnh tính GDP theo giá so sánh bằng phương pháp sản xuất, có thể tính bằng phương pháp sử dụng. Tức là GDP theo giá so sánh bằng tổng cộng tiêu dùng cuối cùng theo giá so sánh, tích lũy tài sản theo giá so sánh và chênh lệch xuất nhập khẩu hàng hóa, dịch vụ theo giá so sánh.
Tiêu dùng cuối cùng theo giá so sánh được tính bằng cách chia tiêu dùng cuối cùng theo các nhóm sản phẩm hàng hóa và dịch vụ cho chỉ số giá tiêu dùng (CPI) hoặc chỉ số giá sản xuất hàng hóa và dịch vụ của kỳ báo cáo so với kỳ gốc của các nhóm tương ứng.
Tích lũy tài sản theo giá so sánh được tính theo công thức sau:
|
Tích lũy tài sản của năm t theo theo giá so sánh theo loại tài sản |
= |
Tích lũy tài sản của năm t theo giá hiện hành theo loại tài sản |
|
Chỉ số giá sản xuất theo loại tài sản của năm t so với năm gốc |
Xuất, nhập khẩu hàng hóa theo giá so sánh:
|
Tổng giá trị xuất khẩu/nhập khẩu theo giá so sánh |
= |
Tổng giá trị xuất khẩu/nhập khẩu năm báo cáo tính bằng USD |
|
Chỉ số giá xuất khẩu/nhập khẩu theo USD của năm báo cáo so với năm gốc x Chỉ số giá USD |
2. Phân tổ chủ yếu
a) Kỳ quý phân tổ theo:
- Ngành kinh tế và nhóm ngành;
- Mục đích sử dụng (tích lũy tài sản, tiêu dùng cuối cùng, chênh lệch xuất, nhập khẩu).
b) Kỳ 6 tháng, 9 tháng, năm phân tổ theo:
- Ngành kinh tế;
- Loại hình kinh tế (cả năm);
- Mục đích sử dụng (tích lũy tài sản, tiêu dùng cuối cùng, chênh lệch xuất, nhập khẩu);
- Tỉnh/thành phố trực thuộc trung ương.
3. Kỳ công bố: Quý, 6 tháng, 9 tháng, năm.
4. Nguồn số liệu
- Điều tra doanh nghiệp;
- Điều tra cơ sở sản xuất kinh doanh cá thể;
- Điều tra thu thập thông tin lập bảng cân đối liên ngành và tính hệ số chi phí trung gian;
- Điều tra thu thập thông tin tính các chỉ tiêu giá trị sản xuất và giá trị tăng thêm của các đơn vị sự nghiệp và tổ chức vô vị lợi;
- Dữ liệu hành chính;
- Chế độ báo cáo thống kê cấp quốc gia.
5. Cơ quan chịu trách nhiệm thu thập, tổng hợp: Tổng cục Thống kê.
0502. Cơ cấu tổng sản phẩm trong nước
1. Khái niệm, phương pháp tính
Cơ cấu tổng sản phẩm trong nước là tỷ trọng giá trị tăng thêm được tạo ra của các ngành/các nhóm ngành và thuế sản phẩm trừ trợ cấp sản phẩm, các loại hình kinh tế... so với tổng sản phẩm trong nước. Cơ cấu tổng sản phẩm trong nước được tính theo giá hiện hành.
Tỷ trọng tổng sản phẩm trong nước của một ngành (nhóm ngành), một loại hình kinh tế được tính theo công thức sau:

Trong đó:
Ki: Cơ cấu của ngành, nhóm ngành, loại hình kinh tế thứ i;
Ii: Giá trị tăng thêm của ngành, nhóm ngành, loại hình kinh tế thứ i;
GDP: Tổng sản phẩm trong nước.
2. Phân tổ chủ yếu
a) Kỳ quý phân tổ theo:
- Ngành kinh tế;
- Mục đích sử dụng.
b) Kỳ năm phân tổ theo:
- Ngành kinh tế;
- Loại hình kinh tế;
- Mục đích sử dụng.
3. Kỳ công bố: Quý, năm.
4. Nguồn số liệu: Như nguồn số liệu của chỉ tiêu 0501.
5. Cơ quan chịu trách nhiệm thu thập, tổng hợp: Tổng cục Thống kê.
0503. Tốc độ tăng tổng sản phẩm trong nước
1. Khái niệm, phương pháp tính
a) Tính tốc độ tăng quý, 6 tháng, 9 tháng, năm
Tốc độ tăng tổng sản phẩm trong nước quý, 6 tháng, 9 tháng, năm (kỳ) là tỷ lệ phần trăm tăng lên của tổng sản phẩm trong nước (GDP) của kỳ này so với của cùng kỳ năm trước.
Tốc độ tăng trưởng tổng sản phẩm trong nước được tính theo giá so sánh theo công thức sau:
|
Tốc độ tăng trưởng GDP (%) |
= |
GDPn1 |
x 100 - 100 |
|
GDPn0 |
Trong đó:
GDPn1: Là GDP theo giá so sánh của quý, 6 tháng, 9 tháng hoặc năm báo cáo;
GDPn0: Là GDP theo giá so sánh của quý, 6 tháng, 9 tháng hoặc năm trước năm báo cáo.
b) Tính tốc độ tăng trưởng GDP bình quân theo thời kỳ (nhiều năm)
Công thức tính:

Trong đó:
dGDP: Tốc độ tăng GDP bình quân năm thời kỳ; từ sau năm gốc so sánh đến năm thứ n;
GDPn: GDP theo giá so sánh năm cuối (năm thứ n) của thời kỳ nghiên cứu;
GDP0: GDP theo giá so sánh năm gốc so sánh của thời kỳ nghiên cứu;
n - Số năm tính từ năm gốc so sánh cho đến năm báo cáo.
2. Phân tổ chủ yếu
a) Kỳ quý phân tổ theo:
- Ngành kinh tế và nhóm ngành;
- Mục đích sử dụng.
b) Kỳ 6 tháng, 9 tháng, năm phân tổ theo:
- Ngành kinh tế và nhóm ngành;
- Loại hình kinh tế (kỳ năm);
- Mục đích sử dụng;
- Tỉnh/thành phố trực thuộc trung ương.
3. Kỳ công bố: Quý, 6 tháng, 9 tháng, năm.
4. Nguồn số liệu: Từ báo cáo số liệu GDP và giá trị tăng thêm (VA) các ngành, nhóm ngành, thuế sản phẩm, loại hình kinh tế... hàng quý và hàng năm theo giá so sánh của Tổng cục Thống kê.
5. Cơ quan chịu trách nhiệm thu thập, tổng hợp: Tổng cục Thống kê.
0504. Tổng sản phẩm trong nước xanh (GDP xanh)
1. Khái niệm, phương pháp tính
GDP xanh là phần còn lại của GDP sau khi đã trừ các chi phí do khử chất thải từ sản xuất, tiêu dùng, chi phí tiêu dùng tài nguyên và mất mát về môi trường do các hoạt động kinh tế.
Việc tính toán chỉ tiêu GDP xanh hay nói rộng ra là hạch toán môi trường trong tài khoản quốc gia (SEEA) chính là bước hoàn thiện tài khoản quốc gia của Liên hợp quốc. Phương pháp tính chỉ tiêu GDP xanh được xem xét trên cơ sở của phương pháp tính GDP trong hệ thống tài khoản quốc gia.
GDP xanh = GDP - Ω
Ω: Chi phí khử chất thải, tiêu dùng tài nguyên của các hoạt động kinh tế, gồm:
- Chi phí khử chất thải từ các hoạt động sản xuất và tiêu dùng cần được khử;
- Giá trị sản xuất của các ngành khai thác;
- Chi phí sử dụng đất.
2. Phân tổ chủ yếu: Ngành kinh tế hoặc nhóm ngành kinh tế.
3. Kỳ công bố: Năm.
4. Nguồn số liệu
- Tổng sản phẩm trong nước: Nguồn số liệu như nguồn số liệu của chỉ tiêu 0501;
- Từ điều tra chuyên đề về các loại chất ô nhiễm, chất thải và thông tin về các hoạt động và chi phí bảo vệ môi trường;
- Từ điều tra tác động của hoạt động sản xuất và sử dụng sản phẩm tác động đến môi trường;
- Từ báo cáo số liệu GDP và giá trị tăng thêm (VA) các ngành, nhóm ngành.
5. Cơ quan chịu trách nhiệm thu thập, tổng hợp: Tổng cục Thống kê.
0505. Tổng sản phẩm trong nước bình quân đầu người (tính bằng Đồng Việt Nam (VND), Đô la Mỹ (USD))
1. Khái niệm, phương pháp tính
Tổng sản phẩm trong nước bình quân đầu người được tính bằng cách chia tổng sản phẩm trong nước trong năm cho dân số trung bình trong năm tương ứng. Tổng sản phẩm trong nước bình quân đầu người có thể tính theo giá hiện hành, tính theo nội tệ hoặc ngoại tệ; cũng có thể tính theo giá so sánh để tính tốc độ tăng.
Công thức tính:
|
Tổng sản phẩm trong nước bình quân đầu người (VND/người) |
= |
Tổng sản phẩm trong nước (GDP) trong năm (tính bằng VND) |
|
Dân số trung bình trong cùng năm |
Tổng sản phẩm trong nước bình quân đầu người tính bằng ngoại tệ được tính bằng USD theo tỷ giá hối đoái (hiện hành) và tỷ giá sức mua tương đương.
|
Tổng sản phẩm trong nước bình quân đầu người (theo USD hoặc sức mua tương đương) |
= |
GDP bình quân đầu người tính bằng VND |
|
Tỷ giá hối đoái VND/USD hoặc tỷ giá sức mua tương đương bình quân năm. |
2. Phân tổ chủ yếu: Tỉnh/thành phố trực thuộc trung ương.
3. Kỳ công bố: Năm.
4. Nguồn số liệu
- Tổng sản phẩm trong nước: Nguồn số liệu như nguồn số liệu của chỉ tiêu 0501;
- Tổng điều tra dân số và nhà ở;
- Điều tra dân số và nhà ở giữa kỳ;
- Điều tra biến động dân số và kế hoạch hóa gia đình;
- Tỷ giá hối đoái VND/USD bình quân năm, tỷ giá sức mua tương đương do Tổng cục Thống kê công bố căn cứ vào báo cáo của Ngân hàng Nhà nước và công bố của Tổ chức Thống kê Liên hợp quốc.
5. Cơ quan chịu trách nhiệm thu thập, tổng hợp: Tổng cục Thống kê.
0506. Tích lũy tài sản
I. Tích lũy tài sản gộp
1. Khái niệm, phương pháp tính
Tích lũy tài sản gộp là chỉ tiêu kinh tế tổng hợp phản ánh khoản chi đầu tư tài sản cố định, tài sản lưu động và tài sản quý hiếm trong một thời kỳ nhất định. Là tổng đầu tư vào tư liệu sản xuất, chỉ gồm tư liệu sản xuất được sản xuất ra (như máy móc, công trình xây dựng, đường sá, cầu cống, phương tiện giao thông, các nguyên bản nghệ thuật - văn hóa...) và những chi phí cải tạo và nâng cấp năng lực đối với những tài sản không do sản xuất tạo ra (như là nâng cao năng lực của đất đai, các nguồn tài nguyên thiên nhiên...).
Tích lũy tài sản gộp được phân theo nhóm, loại tài sản và được tính theo giá hiện hành và giá so sánh.
a) Tích lũy tài sản cố định
Tích lũy tài sản cố định là toàn bộ phần mới tăng thêm trong kỳ của tài sản có giá trị lớn, được sử dụng nhiều lần và có thời gian sử dụng trong sản xuất hơn một năm. Giá trị tài sản cố định mới tăng do kết quả của đầu tư trong năm của tất cả các đơn vị thường trú thuộc các ngành và loại hình kinh tế.
Tích lũy tài sản cố định gồm tài sản hữu hình và tài sản vô hình như:
- Các đơn vị sản xuất nhận được và trừ đi thanh lý tài sản cố định hữu hình mới và hiện có;
- Các đơn vị sản xuất nhận được và trừ đi thanh lý tài sản cố định vô hình;
- Phí chuyển nhượng mua bán tài sản hữu hình và vô hình hiện có, gồm cả phí trả cho các đơn vị đại lý mua bán, phí cho hợp pháp hóa quyền sở hữu tài sản,..;
- Chi cải tạo lớn tài sản hữu hình không do sản xuất tạo ra (không tái tạo lại) như đất đai cho nông nghiệp...;
- Chi sửa chữa lớn làm tăng năng lực sản xuất của tài sản cố định;
- Nhận được tài sản cố định do thuê tài chính.
Phương pháp tính
- Tích lũy tài sản cố định theo giá hiện hành
Tích lũy tài sản cố định tính bằng giá trị tài sản cố định nhận về (kể cả tài sản tự chế) trừ đi tài sản cố định thanh lý trong kỳ của các đơn vị thể chế.
Trong thực tế dựa vào chế độ hạch toán và báo cáo thống kê hiện hành, có hai phương pháp tính như sau:
Phương pháp 1: Phương pháp dựa vào sự tăng/giảm tài sản cố định
Công thức chung dùng để tính tích lũy tài sản cố định theo từng loại như sau:
|
Tích lũy TSCĐ |
= |
Tổng giá trị TSCĐ cuối kỳ theo nguyên giá |
- |
Tổng giá trị TSCĐ đầu kỳ theo nguyên giá |
+ |
Tăng TSCĐ do đánh giá lại TSCĐ |
- |
Giảm TSCĐ do đánh giá lại TSCĐ |
Phương pháp 2: Phương pháp vốn đầu tư thực hiện toàn xã hội
Phương pháp này đòi hỏi thông tin về vốn đầu tư xây dựng cơ bản toàn xã hội thực hiện trong năm. Tuy nhiên, không phải toàn bộ vốn đầu tư xây dựng cơ bản toàn xã hội sẽ tính hết vào tích lũy tài sản cố định, vì có một phần trong vốn này không làm tăng tài sản cố định như: Phần vốn dùng mua sắm tài sản lưu động chuẩn bị cho dự án đầu tư tài sản cố định, một phần vốn dùng đền bù hoa màu, giải phóng mặt bằng cho công trình xây dựng, vốn dùng để xây dựng lán trại tạm thời...
Công thức tính tích lũy tài sản cố định theo phương pháp vốn đầu tư như sau:
|
Tích lũy TSCĐ trong kỳ |
= |
Tổng vốn đầu tư xây dựng cơ bản toàn xã hội thực hiện trong kỳ |
- |
Vốn đầu tư không làm tăng tài sản cố định |
- Tích lũy tài sản cố định theo giá so sánh:
Để tính tích lũy tài sản cố định theo giá so sánh cần chia theo các loại tài sản: Tài sản cố định là nhà ở, tài sản cố định là công trình xây dựng vật kiến trúc, tài sản cố định là máy móc thiết bị, tài sản cố định do nuôi, trồng v.v... để từ đó dùng chỉ số giá sản xuất và chỉ số giá tư liệu sản xuất tương thích với từng loại tài sản để tính chuyển về giá so sánh, cụ thể:
+ Đối với tài sản cố định là nhà ở, các công trình xây dựng và vật kiến trúc khác, xây dựng cơ bản dở dang: Dùng chỉ số giảm phát giá trị sản xuất của từng nhóm ngành hoạt động xây dựng tương ứng với các loại tài sản trên để tính chuyển từ giá hiện hành về giá so sánh. Chỉ số giảm phát giá trị sản xuất của các nhóm ngành được tính bằng tỷ lệ giữa giá trị sản xuất theo giá hiện hành và giá trị sản xuất theo giá so sánh của năm báo cáo của nhóm ngành đó;
+ Đối với tài sản cố định là máy móc thiết bị, phương tiện vận tải: Dùng chỉ số giá máy móc thiết bị và phương tiện vận tải để tính chuyển về giá so sánh;
+ Đối với tài sản cố định là sản phẩm từ hoạt động trồng trọt và chăn nuôi: Tách riêng theo từng loại sản phẩm tích lũy tài sản cố định do trồng trọt và chăn nuôi tạo ra, sau đó dùng chỉ số giảm phát giá trị sản xuất của trồng trọt và chăn nuôi để tính chuyển tài sản cố định tương ứng từ giá hiện hành về giá so sánh;
+ Đối với loại tài sản vô hình: Dùng chỉ số giá tiêu dùng (CPI) để tính chuyển từ giá hiện hành về giá so sánh;
+ Đối với tài sản cố định do cải tạo đất, phát triển đồn điền, vườn cây ăn quả và tài sản cố định là phí chuyển quyền sử dụng tài sản dùng chỉ số giá giảm phát giá trị sản xuất ngành xây dựng cơ bản để tính chuyển từ giá hiện hành về giá so sánh;
+ Đối với tài sản cố định là gia súc, gia cầm cơ bản v.v...; Dùng chỉ số giá sản xuất của sản phẩm chăn nuôi để tính chuyển từ giá hiện hành về giá so sánh.
b) Tích lũy tài sản lưu động
Tài sản lưu động (TSLĐ) gồm tài sản là nguyên, nhiên vật liệu dùng cho sản xuất, sản phẩm dở dang, thành phẩm tồn kho, hàng hóa mua vào để bán ra.
Phương pháp tính:
- Tích lũy tài sản lưu động theo giá hiện hành:
Công thức chung để tính tích lũy tài sản lưu động theo từng nhóm tài sản như sau:
|
Tích lũy TSLĐ |
= |
Giá trị TSLĐ cuối kỳ |
- |
Giá trị TSLĐ đầu kỳ |
+ |
Giá trị TSLĐ tăng do đánh giá lại |
- |
Giá trị TSLĐ giảm do đánh giá lại |
- Tích lũy tài sản lưu động theo giá so sánh:
Để tính tích lũy tài sản lưu động theo giá so sánh, cần chia các loại TSLĐ theo nhóm như: Nguyên vật liệu; thành phẩm tồn kho, sản phẩm dở dang... rồi dùng chỉ số giá tương thích với từng loại tài sản lưu động để tính chuyển về giá so sánh. Cụ thể:
+ Đối với nhóm TSLĐ là nguyên, nhiên vật liệu, dùng chỉ số giá bán của người sản xuất theo từng nhóm để tính chuyển. Cụ thể dùng chỉ số giá bán của người sản xuất là nguyên vật liệu để tính giảm phát cho tích lũy tài sản lưu động là nguyên vật liệu.
+ Đối với tích lũy tài sản là nhiên liệu dùng chỉ số giá của người sản xuất là nhiên liệu để tính giảm phát.
+ Đối với nhóm thành phẩm tồn kho, sản phẩm dở dang,... dùng chỉ số giá bán của người sản xuất để tính chuyển từ giá hiện hành về giá so sánh.
c) Tích lũy tài sản quý hiếm
Tài sản quý hiếm do các tổ chức, cá nhân (gồm cả hộ dân cư tiêu dùng) nắm giữ với mục đích bảo toàn giá trị của cải. Tài sản quý hiếm không bị hao mòn và thông thường không giảm giá trị theo thời gian.
Công thức tính:
|
Tích lũy tài sản |
= |
Tổng giá trị tài sản quý hiếm nhận được trong kỳ |
- |
Giá trị nhượng bán tài sản quý hiếm trong kỳ |
Hoặc
|
Tích lũy tài sản |
= |
Tổng giá trị tài sản quý hiếm cuối kỳ |
- |
Tổng giá trị tài sản quý hiếm đầu kỳ |
|
Tích lũy tài sản |
= |
Tích lũy tài sản quý hiếm theo giá hiện hành |
|
Chỉ số giá vàng năm báo cáo so với năm gốc |
2. Phân tổ chủ yếu
a) Kỳ quý phân tổ theo: Loại tài sản (tài sản cố định, tài sản lưu động).
b) Kỳ năm phân tổ theo:
- Loại tài sản (tài sản cố định, tài sản lưu động);
- Loại hình kinh tế.
3. Kỳ công bố: Quý, năm.
4. Nguồn số liệu
- Khảo sát mức sống dân cư Việt Nam;
- Điều tra doanh nghiệp;
- Điều tra cơ sở sản xuất kinh doanh cá thể;
- Chế độ báo cáo thống kê cấp quốc gia.
5. Cơ quan chịu trách nhiệm thu thập, tổng hợp: Tổng cục Thống kê.
II. Tích lũy tài sản thuần
1. Khái niệm, phương pháp tính
Tích lũy tài sản thuần bằng tích lũy tài sản gộp đã loại trừ phần khấu hao tài sản cố định.
Nội dung của tích lũy tài sản thuần cũng tương tự như tích lũy tài sản gộp nhưng đã trừ phần khấu hao tài sản cố định.
Phương pháp tính:
- Tích lũy tài sản thuần theo giá hiện hành
|
Tích lũy tài sản thuần theo giá hiện hành trong kỳ |
= |
Tích lũy tài sản gộp theo giá hiện hành trong kỳ |
- |
Khấu hao tài sản cố định theo giá hiện hành trong kỳ |
- Tích lũy tài sản thuần theo giá so sánh
|
Tích lũy tài sản thuần theo giá so sánh trong kỳ |
= |
Tích lũy tài sản gộp theo giá so sánh trong kỳ |
- |
Khấu hao tài sản cố định theo giá so sánh trong kỳ |
Khấu hao tài sản cố định theo giá so sánh được tính từ tỷ lệ khấu hao tài sản cố định theo giá hiện hành so với tổng tài sản cố định theo giá hiện hành và giá trị tài sản cố định theo giá so sánh.
2. Phân tổ chủ yếu
- Loại tài sản;
- Loại hình kinh tế.
3. Kỳ công bố: Quý, năm.
4. Nguồn số liệu
- Khảo sát mức sống dân cư Việt Nam;
- Điều tra doanh nghiệp;
- Điều tra cơ sở sản xuất kinh doanh cá thể;
- Dữ liệu hành chính;
- Chế độ báo cáo thống kê cấp quốc gia.
5. Cơ quan chịu trách nhiệm thu thập, tổng hợp: Tổng cục Thống kê.
0507. Tiêu dùng cuối cùng
I. Tiêu dùng cuối cùng của nhà nước
1. Khái niệm, phương pháp tính
Tiêu dùng cuối cùng của nhà nước là toàn bộ giá trị sản phẩm vật chất và dịch vụ nhà nước đã sử dụng để chi tiêu cho các nhu cầu thường xuyên của Nhà nước về quản lý nhà nước, an ninh quốc phòng, bảo đảm xã hội bắt buộc...
Phần giá trị sản phẩm dịch vụ công do các cơ quan quản lý nhà nước về lập pháp, hành pháp, tư pháp, nghiên cứu khoa học công, các tổ chức chính trị - xã hội, đơn vị phục vụ cộng đồng,... tạo ra từ cấp trung ương tới cấp xã để bảo đảm và duy trì hoạt động thường xuyên của Nhà nước trong thời kỳ nhất định.
- Theo giá hiện hành:
|
Tiêu dùng cuối cùng của Nhà nước |
= |
Giá trị sản xuất của hoạt động khoa học và công nghệ; quản lý nhà nước và an ninh quốc phòng, bảo đảm xã hội bắt buộc; phục vụ cộng đồng |
- |
Phần giá trị sản xuất của các hoạt động này bán trên thị trường (nếu có) và phần giá trị tự sản xuất để tích lũy (nếu có) |
- Theo giá so sánh:
|
Tiêu dùng cuối cùng của Nhà nước theo giá so sánh |
= |
Tiêu dùng cuối cùng của Nhà nước theo giá hiện hành (năm báo cáo) |
|
Chỉ số giảm phát giá trị sản xuất của các ngành hoạt động thuộc quản lý nhà nước tương ứng của năm báo cáo so với năm gốc |
2. Phân tổ chủ yếu: Chức năng quản lý.
3. Kỳ công bố: Quý, năm.
4. Nguồn số liệu: Chế độ báo cáo thống kê cấp quốc gia.
5. Cơ quan chịu trách nhiệm thu thập, tổng hợp: Tổng cục Thống kê.
II. Tiêu dùng cuối cùng của hộ dân cư
1. Khái niệm, phương pháp tính
Tiêu dùng cuối cùng của hộ dân cư là toàn bộ giá trị về sản phẩm vật chất và dịch vụ do cá nhân dân cư đã sử dụng cho nhu cầu đời sống vật chất và tinh thần hàng ngày của cá nhân trong năm, gồm:
- Tiêu dùng cuối cùng từ thu nhập của hộ dân cư là toàn bộ chi tiêu từ ngân sách của hộ dân cư dùng để tiêu dùng và tiêu dùng tự túc các sản phẩm vật chất và dịch vụ cho cuộc sống hàng ngày của toàn bộ thành viên trong các hộ dân cư. Đặc điểm của loại tiêu dùng cuối cùng này là làm giảm ngân sách của hộ dân cư, gồm cả phần chi của hộ cho người lao động làm thuê công việc nội trợ trong gia đình, không gồm chi tiêu cho sản xuất.
- Tiêu dùng cuối cùng của hộ dân cư hưởng thụ không phải trả tiền là những sản phẩm vật chất và dịch vụ của các đơn vị thường trú thuộc khu vực nhà nước và không vị lợi phục vụ trực tiếp không phải trả tiền cho các thành viên của hộ dân cư, như: Y tế, văn hóa, giáo dục,...
a) Tiêu dùng cuối cùng từ thu nhập của hộ dân cư
|
Tiêu dùng cuối cùng từ thu nhập của hộ dân cư |
= |
Tiêu dùng cuối cùng do chi mua hàng hóa và dịch vụ của hộ dân cư |
+ |
Tiêu dùng cuối cùng là sản phẩm tự túc của hộ dân cư |
- Tiêu dùng cuối cùng của hộ dân cư do chi mua sản phẩm hàng hóa và dịch vụ từ ngân sách của hộ dân cư. Có hai phương pháp tính như sau:
Phương pháp 1: Phương pháp tính từ chi ngân sách hộ dân cư
|
Tiêu dùng cuối cùng của hộ dân cư từ thu nhập trong năm |
= |
Tiêu dùng cuối cùng do mua trên thị trường bình quân một hộ hoặc nhân khẩu trong năm |
x |
Tổng số hộ hoặc số nhân khẩu bình quân trong năm |
Công thức trên được tính riêng cho từng loại sản phẩm và theo từng loại hộ dân cư hoặc nhân khẩu của khu vực thành thị và nông thôn.
Phương pháp 2: Phương pháp tính từ tổng mức bán lẻ hàng hóa và doanh thu dịch vụ tiêu dùng
|
Tiêu dùng cuối cùng của hộ dân cư |
= |
Tổng mức bán lẻ hàng hóa và doanh thu dịch vụ tiêu dùng |
- |
Phần giá trị sản phẩm do các đơn vị sản xuất mua |
+ |
Giá trị sản phẩm mua chưa có trong tổng mức bán lẻ hàng hóa và doanh thu dịch vụ tiêu dùng và tự sản xuất tự tiêu cho tiêu dùng cuối cùng |
Phần giá trị sản phẩm hàng hóa và dịch vụ hộ dân cư mua cho nhu cầu tiêu dùng của hộ trong năm chưa có trong tổng mức bán lẻ được tính riêng cho từng loại như sau:
+ Tiêu dùng điện sinh hoạt
|
Tiêu dùng cuối cùng |
= |
Tổng số KW giờ điện thương phẩm dùng trong sinh hoạt của các hộ dân cư |
x |
Đơn giá bình quân của 1 KW giờ điện sinh hoạt |
+ Tiêu dùng nước sinh hoạt
|
Tiêu dùng cuối cùng |
= |
Tổng số m3 nước máy hộ dân cư mua trong năm |
x |
Đơn giá bình quân của 1 m3 nước máy sinh hoạt |
+ Tiêu dùng cuối cùng về vận tải, bưu điện, du lịch, văn hóa, y tế, giáo dục...
|
Tiêu dùng cuối cùng |
= |
Giá trị sản xuất của vận tải, bưu điện, du lịch, văn hóa, y tế, giáo dục... |
- |
Phần giá trị sản phẩm của các ngành vận tải, bưu điện, du lịch, văn hóa, y tế, giáo dục... do các đơn vị sản xuất mua |
- |
Phần giá trị sản phẩm của các ngành vận tải, bưu điện, du lịch, văn hóa, y tế, giáo dục... do các hộ dân cư được hưởng không phải trả tiền |
- |
Phần giá trị sản phẩm của các ngành vận tải, bưu điện, du lịch, văn hóa, y tế, giáo dục... đã xuất khẩu (nếu có) |
+ Tiêu dùng cuối cùng về dịch vụ ngân hàng và bảo hiểm là phần giá trị sản xuất đã được phân bổ cho khu vực hộ dân cư của hoạt động ngân hàng và bảo hiểm.
+ Tiêu dùng cuối cùng về xổ số là toàn bộ giá trị sản xuất của hoạt động xổ số.
+ Tiêu dùng cuối cùng về dịch vụ làm thuê công việc nội trợ trong gia đình là toàn bộ giá trị sản xuất của hoạt động làm thuê các công việc gia đình trong các hộ dân cư.
- Tiêu dùng cuối cùng là sản phẩm tự túc (tự sản xuất tự tiêu dùng)
Tiêu dùng cuối cùng là sản phẩm tự túc phải là phần giá trị đã được tính vào giá trị sản xuất của một ngành hay hoạt động nào đó, gồm:
+ Tiêu dùng sản phẩm vật chất: Nông, lâm nghiệp và thủy sản; tiểu thủ công nghiệp...
+ Tiêu dùng về dịch vụ nhà tự có tự ở của hộ dân cư...
Tiêu dùng tự túc là sản phẩm vật chất được tính như sau:
|
Tiêu dùng tự túc |
= |
Tiêu dùng tự túc bình quân một hộ hoặc một nhân khẩu điều tra |
x |
Tổng số hộ hoặc nhân khẩu |
Công thức trên được tính theo từng loại sản phẩm, từng loại hộ và theo thành thị, nông thôn.
Tiêu dùng tự túc về dịch vụ nhà tự có tự ở: Giá trị nhà tự có tự ở được coi là một hoạt động dịch vụ nhà ở cho chính bản thân hộ dân cư.
b) Tiêu dùng cuối cùng của hộ dân cư hưởng thụ không phải trả tiền:
- Tiêu dùng cuối cùng không phải trả tiền qua các tổ chức nhà nước.
Công thức tính:
|
Tiêu cuối cùng dùng không phải trả tiền về vận tải, bưu điện, du lịch văn hóa, y tế, giáo dục đào tạo |
= |
Giá trị sản xuất của các ngành, hoạt động vận tải, bưu điện, du lịch, văn hóa, y tế, giáo dục đào tạo |
- |
Phần giá trị sản xuất của các ngành, hoạt động vận tải, bưu điện, du lịch, văn hóa, y tế, giáo dục đào tạo bán trên thị trường cho mục đích sản xuất, cho tiêu dùng cuối cùng và cho xuất khẩu |
- Tiêu dùng cuối cùng không phải trả tiền qua các tổ chức khác (tổ chức ngoài nhà nước, từ thiện, tôn giáo, hiệp hội..
Công thức tính:
|
Tiêu dùng cuối cùng không phải trả tiền qua các tổ chức khác (tổ chức ngoài nhà nước, từ thiện, tôn giáo, hiệp hội) |
= |
Giá trị sản xuất của hoạt động của các tổ chức trên |
- |
Phần giá trị bán trên thị trường (nếu có) của các tổ chức đó |
c) Từ kết quả tính toán trên, tiêu dùng cuối cùng của hộ dân cư theo các hình thức tiêu dùng sau:
- Tiêu dùng cuối cùng của hộ dân cư theo đối tượng sử dụng:
|
Tiêu dùng cuối cùng của hộ dân cư theo đối tượng sử dụng |
= |
Tiêu dùng cuối cùng từ thu nhập của hộ dân cư |
+ |
Tiêu dùng cuối cùng hộ dân cư hưởng thụ không phải trả tiền |
- Tiêu dùng cuối cùng của hộ dân cư theo đơn vị thường trú
|
Tiêu dùng cuối cùng của hộ dân cư theo đơn vị thường trú |
= |
Tiêu dùng cuối cùng do chi mua hàng hóa và dịch vụ từ ngân sách hộ dân cư (cá nhân) |
+ |
Giá trị sản phẩm hàng hóa, dịch vụ hộ dân cư (cá nhân) mua cho tiêu dùng chưa được tính trong tổng mức bán lẻ |
+ |
Tiêu dùng cuối cùng là sản phẩm tự túc |
+ |
Tiêu dùng cuối cùng (hộ dân cư) cá nhân được hưởng thụ không phải trả tiền (mục 1.2 khoản b) |
+ Tiêu dùng cuối cùng của hộ dân cư theo lãnh thổ
|
Tiêu dùng cuối cùng của hộ dân cư theo lãnh thổ |
= |
Tiêu dùng cuối cùng của cá nhân (hộ dân cư) từ tổng mức bán lẻ |
+ |
Phần giá trị sản phẩm hàng hóa và dịch vụ hộ dân cư (cá nhân) mua cho tiêu dùng chưa được tính trong tổng mức bán lẻ |
+ |
Tiêu dùng cuối cùng là sản phẩm tự túc |
+ |
Tiêu dùng cuối cùng (hộ dân cư) cá nhân được hưởng thụ không phải trả tiền |
Hiện nay Tổng cục Thống kê tính và công bố tiêu dùng cuối cùng theo đối tượng chi tiêu (theo giá so sánh).
Công thức tính:
|
Tiêu dùng cuối cùng của hộ dân cư do chi mua sản phẩm hàng hóa và dịch vụ ở thị trường từ ngân sách của gia đình theo giá so sánh |
= |
Tiêu dùng cuối cùng của hộ dân cư do chi mua sản phẩm hàng hóa và dịch vụ từ ngân sách hộ dân cư (cá nhân) theo giá hiện hành năm báo cáo |
|
Chỉ số giá tiêu dùng (CPI) bình quân của năm báo cáo so với năm gốc |
Chỉ tiêu này được tính chi tiết theo từng nhóm sản phẩm cụ thể.
|
Tiêu dùng cuối cùng của hộ dân cư từ sản phẩm tự túc theo giá so sánh |
= |
Tiêu dùng cuối cùng của hộ dân cư từ sản phẩm tự túc theo giá hiện hành (năm báo cáo) của từng ngành sản phẩm |
|
Chỉ số giảm phát theo từng ngành tương ứng của năm báo cáo so với năm gốc |
Chỉ tiêu này được tính chi tiết theo từng ngành sản phẩm.
|
Tiêu dùng cuối cùng của hộ dân cư hưởng thụ không phải trả tiền theo giá so sánh |
= |
Tiêu dùng cuối cùng của hộ dân cư hưởng thụ không phải trả tiền theo giá hiện hành (năm báo cáo) của từng ngành sản phẩm |
|
Chỉ số giảm phát giá trị sản xuất của ngành sản phẩm tương ứng của năm báo cáo so với năm gốc |
2. Phân tổ chủ yếu
a) Kỳ quý phân tổ theo:
- Mục đích;
- Đối tượng sử dụng.
b) Kỳ năm phân tổ theo:
- Mục đích;
- Đối tượng chi/đối tượng sử dụng.
3. Kỳ công bố: Quý, năm.
4. Nguồn số liệu
- Tổng điều tra kinh tế;
- Tổng điều tra dân số và nhà ở;
- Điều tra dân số và nhà ở giữa kỳ;
- Điều tra doanh nghiệp;
- Điều tra cơ sở sản xuất kinh doanh cá thể,
- Khảo sát mức sống dân cư Việt Nam;
- Điều tra thu thập thông tin lập bảng cân đối liên ngành và tính hệ số chi phí trung gian;
- Chế độ báo cáo thống kê cấp quốc gia.
5. Cơ quan chịu trách nhiệm thu thập, tổng hợp: Tổng cục Thống kê.
0508. Thu nhập quốc gia (GNI)
1. Khái niệm, phương pháp tính
Thu nhập quốc gia là chỉ tiêu phản ánh kết quả thu nhập lần đầu được tạo ra từ các yếu tố sở hữu của một quốc gia tham gia vào hoạt động sản xuất trên lãnh thổ quốc gia đó hay ở nước ngoài trong một thời kỳ nhất định, thường là một năm.
Tổng thu nhập quốc gia (GNI) là chỉ tiêu cân đối của tài khoản phân phối thu nhập lần đầu. Do vậy, để tính chỉ tiêu này cần phải lập các tài khoản sản xuất và tài khoản tạo thành thu nhập hoặc phải xuất phát từ chỉ tiêu GDP và các chỉ tiêu có liên quan.
a) Theo giá hiện hành
|
Thu nhập quốc gia (GNI) |
= |
GDP |
+ |
Chênh lệch giữa thu nhập của người lao động Việt Nam ở nước ngoài gửi về và thu nhập của người nước ngoài ở Việt Nam gửi ra |
+ |
Chênh lệch giữa thu nhập sở hữu nhận được từ nước ngoài với thu nhập sở hữu trả cho nước ngoài |
Trong đó:
- Chênh lệch (thuần) giữa thu nhập và chi trả về thu nhập lao động với nước ngoài là phần còn lại giữa các khoản thu nhập về tiền lương và tiền công lao động (bằng tiền hay hiện vật) và các khoản thu nhập khác mang tính chất trả công lao động cho công nhân và người lao động Việt Nam thường trú ở nước ngoài nhận được từ các tổ chức, đơn vị dân cư sản xuất không thường trú (nước ngoài) - (trừ đi) phân chi về thù lao lao động của các tổ chức, đơn vị dân cư sản xuất thường trú của Việt Nam chi trả cho công nhân và người lao động nước ngoài thường trú ở Việt Nam;
- Chênh lệch giữa thu nhập sở hữu nhận được từ nước ngoài với thu nhập sở hữu trả cho nước ngoài là phần còn lại của thu nhập sở hữu do đơn vị và dân cư thường trú Việt Nam nhận được từ nước ngoài (từ đơn vị và dân cư không thường trú) - (trừ đi) thu nhập sở hữu của đơn vị và dân cư không thường trú Việt Nam.
Thu nhập hay chi trả sở hữu gồm các khoản sau:
+ Thu nhập hoặc chi trả về lợi tức đầu tư trực tiếp với nước ngoài;
+ Thu nhập hoặc chi trả lợi tức đầu tư vào giấy tờ có giá như: Cổ phần, cổ phiếu, trái phiếu, các loại giấy tờ có giá và công cụ tài chính khác;
+ Thu nhập hoặc chi trả lợi tức về cho thuê, mướn, quyền sử dụng, bản quyền sáng chế, nhãn mác, quyền khai thác khoáng sản phục vụ cho quá trình sản xuất, cho thuê đất đai, vùng trời, vùng biển, tô giới...
b) Theo giá so sánh
|
Thu nhập quốc gia (GNI) theo giá so sánh |
= |
Thu nhập quốc gia (GNI) theo giá hiện hành năm báo cáo |
|
Chỉ số giảm phát GDP của năm báo cáo so với năm gốc so sánh |
2. Phân tổ chủ yếu: Thu nhập quốc gia gộp và thuần (thu nhập quốc gia thuần là thu nhập quốc gia gộp đã loại trừ khấu hao tài sản cố định).
3. Kỳ công bố: Năm.
4. Nguồn số liệu
- Số liệu GDP: Nguồn số liệu như nguồn số liệu của chỉ tiêu 0501;
- Dữ liệu hành chính;
- Chế độ báo cáo thống kê cấp quốc gia.
5. Cơ quan chịu trách nhiệm thu thập, tổng hợp: Tổng cục Thống kê.
0509. Tỷ lệ thu nhập quốc gia so với tổng sản phẩm trong nước
1. Khái niệm, phương pháp tính
Tỷ lệ thu nhập quốc gia so với tổng sản phẩm trong nước là tỷ lệ phần trăm của thu nhập quốc gia so với tổng sản phẩm trong nước (GDP) trong một thời kỳ nhất định, thường là một năm.
Công thức tính:
|
T(%) |
= |
GNI theo giá hiện hành năm n |
x 100 |
|
GDP theo giá hiện hành năm n |
Trong đó:
T - Tỷ lệ thu nhập quốc gia so với tổng sản phẩm trong nước;
GNI - Thu nhập quốc gia năm n;
GDP - Tổng sản phẩm trong nước năm n.
2. Phân tổ chủ yếu: Tỷ lệ gộp và tỷ lệ thuần.
3. Kỳ công bố: Năm.
4. Nguồn số liệu:
- Số liệu GDP: Như nguồn số liệu của chỉ tiêu 0501;
- Số liệu GNI: Như nguồn số liệu của chỉ tiêu 0508.
5. Cơ quan chịu trách nhiệm thu thập, tổng hợp: Tổng cục Thống kê.
0510. Thu nhập quốc gia khả dụng (NDI)
1. Khái niệm, phương pháp tính
Thu nhập quốc gia khả dụng là tổng thu nhập của quốc gia từ sản xuất, từ thu nhập sở hữu và từ chuyển nhượng hiện hành, là tổng nguồn thu nhập có thể dùng cho tiêu dùng cuối cùng và để dành (tiết kiệm) của quốc gia.
Đây là chỉ tiêu cân đối của tài khoản phân phối lại thu nhập. Tài khoản này cho biết số dư của thu nhập lần đầu được chuyển thành thu nhập khả dụng các khoản chuyển nhượng xã hội bằng hiện vật như thế nào.
Phương pháp tính:
a) Theo giá hiện hành
|
Thu nhập quốc gia khả dụng (NDI) |
= |
Thu nhập quốc gia (GNI) |
+ |
Chuyển nhượng hiện hành thuần từ nước ngoài |
Trong đó:
Chuyển nhượng hiện hành là quá trình trao đổi thu nhập giữa các đơn vị và dân cư thường trú và không thường trú với mục đích cho tiêu dùng cuối cùng. Chuyển nhượng hiện hành thuần từ nước ngoài là chênh lệch giữa thu từ chuyển nhượng hiện hành từ bên ngoài với chi chuyển nhượng hiện hành cho bên ngoài:
- Thuế đánh vào thu nhập và của cải thuần, gồm thuế lợi tức doanh nghiệp, thuế thu nhập cá nhân và các loại lệ phí đánh vào của cải và tiêu dùng khác;
- Chuyển nhượng hiện hành khác, gồm đóng bảo hiểm y tế, tiền hưu trí mất sức, đóng/chi trả bảo hiểm tai nạn, rủi ro, nộp niên liễm, nguyệt liễm, viện trợ nhân đạo, quà biếu, tặng của chính phủ, tổ chức phi chính phủ và các tổ chức quốc tế, ngoài ra còn gồm cả các khoản quà biếu và kiều hối của các hộ dân cư nhận được từ nước ngoài và ngược lại gửi ra nước ngoài.
b) Theo giá so sánh:
|
Thu nhập quốc gia khả dụng (NDI) |
= |
Thu nhập quốc gia khả dụng (NDI) theo giá hiện hành năm báo cáo |
|
Chỉ số giảm phát GDP của năm báo cáo so với năm gốc so sánh |
2. Phân tổ chủ yếu: Khu vực thể chế và toàn bộ nền kinh tế (kỳ 2 năm).
3. Kỳ công bố: Năm, 2 năm.
4. Nguồn số liệu
- Khảo sát mức sống dân cư Việt Nam;
- Chế độ báo cáo thống kê cấp quốc gia;
- Số liệu GNI: Như nguồn số liệu của chỉ tiêu 0508.
4. Nguồn số liệu
- Khảo sát mức sống dân cư Việt Nam;
- Chế độ báo cáo thống kê cấp quốc gia;
- Số liệu GNI: Như nguồn số liệu của chỉ tiêu 0508.
0511. Tỷ lệ tiết kiệm so với tổng sản phẩm trong nước
1. Khái niệm, phương pháp tính
Tiết kiệm là một trong hai thành phần cấu thành của thu nhập quốc gia khả dụng, bằng hiệu số giữa thu nhập quốc gia khả dụng và tiêu dùng cuối cùng.
Công thức tính:
|
Tỷ lệ tiết kiệm so với GDP (%) |
= |
Tiết kiệm trong năm |
x 100 |
|
GDP trong cùng năm |
2. Phân tổ chủ yếu: Khu vực thể chế và toàn bộ nền kinh tế (kỳ 2 năm).
3. Kỳ công bố: Năm, 2 năm.
4. Nguồn số liệu
- Chế độ báo cáo thống kê cấp quốc gia;
- Từ các chỉ tiêu thống kê trong hệ thống tài khoản quốc gia do Tổng cục Thống kê tổng hợp, tính toán.
5. Cơ quan chịu trách nhiệm thu thập, tổng hợp: Tổng cục Thống kê.
0512. Tỷ lệ tiết kiệm so với tích lũy tài sản
1. Khái niệm, phương pháp tính
Tỷ lệ tiết kiệm so với tích lũy tài sản trong một thời kỳ nhất định được tính theo công thức:
|
Tỷ lệ tiết kiệm so với tích lũy tài sản (%) |
= |
Tiết kiệm trong năm |
x 100 |
|
Tích lũy tài sản trong cùng năm |
2. Phân tổ chủ yếu: Tỷ lệ gộp và thuần.
3. Kỳ công bố: Năm.
4. Nguồn số liệu: Số liệu các chỉ tiêu tiết kiệm và tích lũy tài sản do Tổng cục Thống kê tổng hợp, tính toán.
5. Cơ quan chịu trách nhiệm thu thập, tổng hợp: Tổng cục Thống kê.
0513. Mức tiêu hao và tăng/giảm mức tiêu hao năng lượng cho sản xuất so với tổng sản phẩm trong nước
1. Khái niệm, phương pháp tính
Mức tiêu hao năng lượng là chỉ tiêu tổng hợp cho biết để tạo ra một đồng tổng sản phẩm trong nước (GDP) thì cần sử dụng bao nhiêu đồng năng lượng cho sản xuất.
Tăng/giảm mức tiêu hao năng lượng cho sản xuất so với tổng sản phẩm trong nước phản ánh kết quả của việc đổi mới công nghệ, đổi mới quy trình sản xuất và áp dụng các sáng kiến cải tiến kỹ thuật để giảm mức tiêu hao năng lượng trong sản xuất kinh doanh. Tăng/giảm mức tiêu hao năng lượng còn do sự thay đổi cấu trúc nền kinh tế, có thể giảm mức tiêu hao năng lượng so với GDP bằng cách hạn chế các ngành, hoạt động tiêu tốn nhiều năng lượng và phát triển các ngành, hoạt động ít tiêu hao năng lượng hơn.
Năng lượng dùng cho sản xuất gồm: Xăng, dầu, khí, than, điện,...
Công thức tính:
|
Mức tiêu hao năng lượng cho sản xuất so với GDP |
= |
Mức tiêu hao năng lượng cho sản xuất |
||
|
GDP |
||||
|
Tăng/giảm mức tiêu hao nhiên liệu cho sản xuất so với GDP (%) |
= |
Mức tiêu hao năng lượng cho sản xuất so với GDP năm báo cáo |
- |
Mức tiêu hao năng lượng cho sản xuất so với GDP năm trước năm báo cáo |
Lưu ý:
- Mức tiêu hao năng lượng cho sản xuất và GDP đều phải tính theo cùng một loại giá (giá hiện hành hoặc giá so sánh).
- Đối với từng ngành hoặc nhóm ngành, chỉ tiêu GDP được thay thế bằng chỉ tiêu giá trị tăng thêm của ngành đó.
2. Phân tổ chủ yếu: Ngành kinh tế.
3. Kỳ công bố: Năm.
4. Nguồn số liệu
- Điều tra doanh nghiệp;
- Điều tra cơ sở sản xuất kinh doanh cá thể.
5. Cơ quan chịu trách nhiệm thu thập, tổng hợp: Tổng cục Thống kê.
0514. Tốc độ tăng năng suất các nhân tố tổng hợp (TFP)
1. Khái niệm, phương pháp tính
Năng suất các nhân tố tổng hợp là kết quả sản xuất mang lại do nâng cao hiệu quả sử dụng tài sản cố định và lao động hoặc các nhân tố hữu hình, nhờ vào tác động của các nhân tố vô hình như đổi mới công nghệ, hợp lý hóa sản xuất, cải tiến quản lý, nâng cao trình độ lao động của công nhân... (gọi chung là các nhân tố tổng hợp).
Tốc độ tăng năng suất các nhân tố tổng hợp được đo bằng tỷ lệ tăng lên của kết quả sản xuất do nâng cao năng suất của các nhân tố tổng hợp.
Phương pháp tính:
Hàm sản xuất tổng thể được giả định có dạng tổng quát như sau:
Y = f (K, L,t)
Trong đó:
Y (GDP): Tổng sản phẩm trong nước;
K và L: Các tổng nhập lượng vốn và lao động;
t: Thời gian.
Một giả định đơn giản nhất về tác động của thời gian là sự tiến bộ về hiệu quả kinh tế như công nghệ và phương pháp quản lý, trong đó cho rằng tác động này làm tăng khối lượng sản phẩm sản xuất ra từ một sự kết hợp nhất định của hai nhân tố sản xuất là vốn và lao động. Tuy nhiên, nó không hề ảnh hưởng tới các sản phẩm biên tế tương đối của các nhân tố sản xuất riêng rẽ. Sản phẩm biên tế riêng rẽ của một nhân tố sản xuất là sự gia tăng lượng sản phẩm sản xuất ra khi nhập lượng của nhân tố sản xuất đó tăng lên một đơn vị, với điều kiện là nhập lượng của các nhân tố sản xuất khác không thay đổi.
Với giả định này, hàm sản xuất có thể được viết như sau:
Yt = Atf(Kt, Lt)
Với A là tiến bộ về hiệu quả kinh tế như công nghệ, phương pháp quản lý, điều hành... (được gọi chung là năng suất nhân tố tổng hợp).
Tốc độ tăng năng suất nhân tố tổng hợp được xác định qua công thức:
GA= GY - βKGK - βLGL
Trong đó:
GY: Tốc độ tăng của GDP;
GK: Tốc độ tăng trưởng của vốn,
GL: Tốc độ tăng trưởng của lao động;
ΒK và βL: Hệ số góc của vốn và lao động.
2. Phân tổ chủ yếu
- Khu vực kinh tế;
- Loại hình kinh tế.
3. Kỳ công bố: Năm.
4. Nguồn số liệu
- Số liệu về giá trị tăng thêm hoặc tổng sản phẩm trong nước và số liệu về lao động có thể sử dụng trực tiếp hoặc khai thác để tính toán từ số liệu có trong Niên giám Thống kê, do Tổng cục Thống kê tổng hợp và công bố;
- Số liệu vốn hoặc giá trị tài sản cố định được kết hợp tính từ nhiều nguồn khác nhau, do Tổng cục Thống kê tổng hợp và công bố;
- Hệ số βK và βL tính toán từ bảng I/O được lập 5 năm một lần và sử dụng cho nhiều năm.
5. Cơ quan chịu trách nhiệm thu thập, tổng hợp: Tổng cục Thống kê.
0515. Tỷ trọng đóng góp của các yếu tố vốn, lao động, năng suất các nhân tố tổng hợp vào tốc độ tăng trưởng chung
1. Khái niệm, phương pháp tính
Tỷ trọng đóng góp của các yếu tố vốn, lao động, năng suất các nhân tố tổng hợp được đo bằng tỷ lệ phần trăm đóng góp của từng yếu tố trong tăng trưởng chung của tổng sản phẩm trong nước.
Công thức tính:
|
Tỷ trọng đóng góp của yếu tố vốn (%) |
= |
Mức tăng GDP so với năm trước do yếu tố vốn đóng góp |
|
Tổng mức tăng GDP so với năm trước |
|
Tỷ trọng đóng góp của yếu tố lao động (%) |
= |
Mức tăng GDP so với năm trước do yếu tố lao động đóng góp |
|
Tổng mức tăng GDP so với năm trước |
|
Tỷ trọng đóng góp của TFP (%) |
= |
Mức tăng GDP so với năm trước do TFP đóng góp |
|
Tổng mức tăng GDP so với năm trước |
2. Phân tổ chủ yếu
- Khu vực kinh tế;
- Loại hình kinh tế
3. Kỳ công bố: Năm.
4. Nguồn số liệu: Như nguồn số liệu của chỉ tiêu 0514.
5. Cơ quan chịu trách nhiệm thu thập, tổng hợp: Tổng cục Thống kê.
06. Tài chính công
0601. Thu và cơ cấu thu ngân sách nhà nước
1. Khái niệm, phương pháp tính
a) Thu ngân sách nhà nước gồm:
- Toàn bộ các khoản thu từ thuế, lệ phí;
- Toàn bộ các khoản phí thu từ các hoạt động dịch vụ do cơ quan nhà nước thực hiện, trường hợp được khoán chi phí hoạt động thì được khấu trừ; các khoản phí thu từ các hoạt động dịch vụ do đơn vị sự nghiệp công lập và doanh nghiệp nhà nước thực hiện nộp ngân sách nhà nước theo quy định của pháp luật;
- Các khoản viện trợ không hoàn lại của Chính phủ các nước, các tổ chức, cá nhân ở ngoài nước cho Chính phủ Việt Nam và chính quyền địa phương;
- Các khoản thu khác theo quy định của pháp luật.
b) Cơ cấu thu NSNN là chỉ tiêu phản ánh tỷ trọng từng khoản thu trong tổng thu NSNN.
Công thức tính:
|
Tỷ trọng mỗi khoản thu ngân sách nhà nước theo từng loại phân tổ (%) |
= |
Thu ngân sách nhà nước theo từng loại phân tổ |
x 100 |
|
Tổng thu ngân sách nhà nước |
2. Phân tổ chủ yếu
a) Kỳ tháng, quý phân tổ theo: Sắc thuế
b) Kỳ năm phân tổ theo:
- Sắc thuế;
- Ngành kinh tế;
- Loại hình kinh tế.
- Bộ, ngành;
- Tỉnh/thành phố trực thuộc trung ương.
3. Kỳ công bố: Tháng, quý, năm.
4. Nguồn số liệu: Chế độ báo cáo thống kê cấp quốc gia.
5. Cơ quan chịu trách nhiệm thu thập, tổng hợp: Bộ Tài chính.
0602. Tỷ lệ thu ngân sách nhà nước so với tổng sản phẩm trong nước
1. Phương pháp tính
|
Tỷ lệ thu ngân sách nhà nước so với tổng sản phẩm trong nước (%) |
= |
Tổng thu ngân sách nhà nước |
x 100 |
|
Tổng sản phẩm trong nước |
Lưu ý: Các chỉ tiêu tổng thu ngân sách nhà nước và tổng sản phẩm trong nước cùng được tính theo giá hiện hành.
2. Phân tổ chủ yếu
a) Kỳ quý phân tổ theo: Khoản thu chủ yếu.
b) Kỳ năm phân tổ theo:
- Khoản thu chủ yếu;
- Ngành kinh tế.
3. Kỳ công bố: Quý, năm.
4. Nguồn số liệu: Chế độ báo cáo thống kê cấp quốc gia.
5. Cơ quan chịu trách nhiệm thu thập, tổng hợp: Tổng cục Thống kê.
0603. Tỷ lệ động viên thu ngân sách từ thuế, lệ phí so với tổng sản phẩm trong nước
1. Phương pháp tính
|
Tỷ lệ động viên thu ngân sách từ thuế và lệ phí so với tổng sản phẩm trong nước (%) |
= |
Thuế và lệ phí |
x 100 |
|
Tổng sản phẩm trong nước |
Lưu ý: Thuế và lệ phí và Tổng sản phẩm trong nước đều tính theo giá hiện hành.
2. Phân tổ chủ yếu: Loại thuế, lệ phí.
3. Kỳ công bố: Năm.
4. Nguồn số liệu: Chế độ báo cáo thống kê cấp quốc gia.
5. Cơ quan chịu trách nhiệm thu thập, tổng hợp: Tổng cục Thống kê.
0604. Chi và cơ cấu chi ngân sách nhà nước
1. Khái niệm, phương pháp tính
a) Chi ngân sách nhà nước gồm:
- Chi đầu tư phát triển;
- Chi dự trữ quốc gia;
- Chi thường xuyên;
- Chi trả nợ lãi;
- Chi viện trợ;
- Các khoản chi khác theo quy định của pháp luật.
b) Cơ cấu chi NSNN là chỉ tiêu phản ánh tỷ trọng từng khoản chi trong tổng chi NSNN.
|
Tỷ trọng mỗi khoản chi ngân sách nhà nước theo từng loại phân tổ (%) |
= |
Chi ngân sách nhà nước theo từng loại phân tổ |
x 100 |
|
Tổng chi ngân sách nhà nước |
2. Phân tổ chủ yếu
a) Kỳ tháng phân tổ theo: Mục lục ngân sách.
b) Kỳ quý, năm phân tổ theo:
- Mục lục ngân sách;
- Ngành kinh tế;
- Chức năng;
- Bộ/ngành;
- Tỉnh/thành phố trực thuộc trung ương.
3. Kỳ công bố: Tháng, quý, năm.
4. Nguồn số liệu: Chế độ báo cáo thống kê cấp quốc gia.
5. Cơ quan chịu trách nhiệm thu thập, tổng hợp: Bộ Tài chính.
0605. Tỷ lệ chi ngân sách nhà nước so với tổng sản phẩm trong nước
1. Khái niệm, phương pháp tính
Là tỷ lệ phần trăm giữa chi ngân sách nhà nước và tổng sản phẩm trong nước.
Công thức tính:
|
Tỷ lệ chi ngân sách nhà nước so với tổng sản phẩm trong nước (%) |
= |
Tổng chi ngân sách nhà nước |
x 100 |
|
Tổng sản phẩm trong nước |
2. Phân tổ chủ yếu
- Khoản chi chủ yếu;
- Ngành kinh tế.
3. Kỳ công bố: Năm.
4. Nguồn số liệu: Chế độ báo cáo thống kê cấp quốc gia.
5. Cơ quan chịu trách nhiệm thu thập, tổng hợp: Tổng cục Thống kê.
0606. Bội chi ngân sách nhà nước
1. Khái niệm, phương pháp tính
Bội chi ngân sách nhà nước gồm bội chi ngân sách trung ương và bội chi ngân sách địa phương cấp tỉnh. Bội chi ngân sách trung ương được xác định bằng chênh lệch lớn hơn giữa tổng chi ngân sách trung ương không gồm chi trả nợ gốc và tổng thu ngân sách trung ương. Bội chi ngân sách địa phương cấp tỉnh là tổng hợp bội chi ngân sách cấp tỉnh của từng địa phương, được xác định bằng chênh lệch lớn hơn giữa tổng chi ngân sách cấp tỉnh không gồm chi trả nợ gốc và tổng thu ngân sách cấp tỉnh của từng địa phương.
Công thức tính:
|
Bội chi ngân sách nhà nước |
= |
Tổng thu ngân sách nhà nước |
- |
Tổng chi ngân sách nhà nước |
2. Phân tổ chủ yếu: Nguồn bù đắp (vay trong nước, vay nước ngoài).
3. Kỳ công bố: Tháng, quý, năm.
4. Nguồn số liệu: Chế độ báo cáo thống kê cấp quốc gia.
5. Cơ quan chịu trách nhiệm thu thập, tổng hợp: Bộ Tài chính.
0607. Tỷ lệ bội chi ngân sách nhà nước so với tổng sản phẩm trong nước
1. Nội dung, phương pháp tính
|
Tỷ lệ bội chi ngân sách nhà nước so với tổng sản phẩm trong nước (%) |
= |
Bội chi ngân sách nhà nước |
x 100 |
|
Tổng sản phẩm trong nước |
Lưu ý: Bội chi ngân sách nhà nước và tổng sản phẩm trong nước đều tính theo giá hiện hành.
2. Phân tổ chủ yếu: Nguồn bù đắp.
3. Kỳ công bố: Quý, năm.
4. Nguồn số liệu: Chế độ báo cáo thống kê cấp quốc gia.
5. Cơ quan chịu trách nhiệm thu thập, tổng hợp: Tổng cục Thống kê.
0608. Dư nợ của Chính phủ
1. Khái niệm, phương pháp tính
Nợ Chính phủ là khoản nợ phát sinh từ các khoản vay trong nước, nước ngoài, được ký kết, phát hành nhân danh Nhà nước, nhân danh Chính phủ hoặc các khoản vay khác do Bộ Tài chính ký kết, phát hành, ủy quyền phát hành theo quy định của pháp luật. Nợ Chính phủ không gồm các khoản nợ do Ngân hàng Nhà nước Việt Nam phát hành nhằm thực hiện chính sách tiền tệ trong từng thời kỳ.
Dư nợ Chính phủ là tổng dư nợ Chính phủ tại thời điểm báo cáo.
Công thức tính:
|
Dư nợ cuối kỳ |
= |
Dư nợ đầu kỳ |
+ |
Rút vốn trong kỳ |
- |
Trả nợ gốc trong kỳ (tính theo từng loại tiền vay) |
2. Phân tổ chủ yếu: Nguồn cho vay (trong nước, nước ngoài).
3. Kỳ công bố: Năm.
4. Nguồn số liệu: Chế độ báo cáo thống kê cấp quốc gia.
5. Cơ quan chịu trách nhiệm thu thập, tổng hợp: Bộ Tài chính.
0609. Dư nợ nước ngoài của quốc gia
1. Khái niệm, phương pháp tính
Nợ nước ngoài của quốc gia là tổng các khoản nợ nước ngoài của Chính phủ, nợ được Chính phủ bảo lãnh, nợ của doanh nghiệp và tổ chức khác được vay theo phương thức tự vay, tự trả theo quy định của pháp luật Việt Nam.
Dư nợ nước ngoài của quốc gia là tổng dư nợ nước ngoài của quốc gia tại thời điểm báo cáo.
Công thức tính:
|
Dư nợ cuối kỳ |
= |
Dư nợ đầu kỳ |
+ |
Rút vốn trong kỳ |
- |
Trả nợ gốc trong kỳ (tính theo từng loại tiền vay) |
2. Phân tổ chủ yếu: Theo đối tượng vay (Chính phủ, doanh nghiệp).
3. Kỳ công bố: Năm.
4. Nguồn số liệu: Chế độ báo cáo thống kê cấp quốc gia.
5. Cơ quan chịu trách nhiệm thu thập, tổng hợp
- Chủ trì: Bộ Tài chính;
- Phối hợp: Ngân hàng Nhà nước Việt Nam.
0610. Dư nợ công
1. Khái niệm, phương pháp tính
Nợ công gồm nợ Chính phủ, nợ được Chính phủ bảo lãnh và nợ chính quyền địa phương.
Dư nợ công là tổng dư nợ công tại thời điểm báo cáo.
Công thức tính:
|
Dư nợ cuối kỳ |
= |
Dư nợ đầu kỳ |
+ |
Rút vốn trong kỳ |
- |
Trả nợ gốc trong kỳ (tính theo từng loại tiền vay) |
2. Phân tổ chủ yếu: Nguồn vốn vay (vay trong nước và nước ngoài).
3. Kỳ công bố: Năm.
4. Nguồn số liệu: Chế độ báo cáo thống kê cấp quốc gia.
5. Cơ quan chịu trách nhiệm thu thập, tổng hợp: Bộ Tài chính.
07. Tiền tệ và bảo hiểm
0701. Tổng phương tiện thanh toán
1. Khái niệm, phương pháp tính
Tổng phương tiện thanh toán gồm tiền mặt lưu thông ngoài hệ thống ngân hàng; các khoản tiền gửi tại các tổ chức tín dụng, chi nhánh ngân hàng nước ngoài của các tổ chức, cá nhân là người cư trú của Việt Nam thuộc khu vực thể chế phi tài chính, khu vực thể chế hộ dân cư, khu vực thể chế không vì lợi nhuận phục vụ hộ dân cư; các loại giấy tờ có giá bằng đồng Việt Nam, ngoại tệ do các tổ chức tín dụng, chi nhánh ngân hàng nước ngoài phát hành cho các tổ chức, cá nhân là người cư trú của Việt Nam.
Công thức tính:
|
Tiền mặt lưu thông ngoài hệ thống ngân hàng |
= |
Tổng số tiền do Ngân hàng Nhà nước phát hành |
- |
Tiền mặt tồn quỹ tại Ngân hàng Nhà nước, Kho bạc Nhà nước và tại các tổ chức tín dụng, chi nhánh ngân hàng |
2. Kỳ công bố: Quý, năm.
3. Nguồn số liệu: Chế độ báo cáo thống kê cấp quốc gia.
4. Cơ quan chịu trách nhiệm thu thập, tổng hợp: Ngân hàng Nhà nước Việt Nam.
0702. Tốc độ tăng tổng phương tiện thanh toán
1. Khái niệm, phương pháp tính
Tốc độ tăng tổng phương tiện thanh toán là số phần trăm hay số lần thay đổi của tổng phương tiện thanh toán theo thời gian.
Tốc độ tăng tổng phương tiện thanh toán được tính bằng chỉ số phát triển tổng phương tiện thanh toán trừ đi một (nếu tính theo số lần) hoặc một trăm (nếu tính theo phần trăm).
Công thức tính:
|
IM2 |
= |
M2,t - M2,t-1 |
x 100 |
|
M2,t-1 |
Trong đó:
IM2: Tốc độ tăng tổng phương tiện thanh toán;
M2,t : Tổng phương tiện thanh toán cuối kỳ báo cáo.
2. Kỳ công bố: Quý, năm.
3. Nguồn số liệu:
- Chế độ báo cáo thống kê cấp quốc gia;
- Tổng phương tiện thanh toán: Nguồn số liệu như nguồn số liệu của chỉ tiêu 0701.
4. Cơ quan chịu trách nhiệm thu thập, tổng hợp: Ngân hàng Nhà nước Việt Nam.
0703. Số dư huy động vốn của các tổ chức tín dụng
1. Khái niệm, phương pháp tính
Số dư huy động vốn của tổ chức tín dụng được hiểu là số tiền bằng đồng Việt Nam, bằng ngoại tệ tại một thời điểm nhất định mà các tổ chức tín dụng, chi nhánh ngân hàng nước ngoài nhận của các tổ chức, cá nhân là người cư trú của Việt Nam thuộc khu vực thể chế phi tài chính, khu vực thể chế hộ dân cư, khu vực thể chế không vì lợi nhuận phục vụ hộ dân cư dưới hình thức nhận tiền gửi không kỳ hạn, tiền gửi có kỳ hạn, tiền gửi tiết kiệm và các hình thức nhận tiền gửi khác theo quy tắc có hoàn trả đầy đủ tiền gốc, lãi cho người gửi tiền theo thỏa thuận.
2. Phân tổ chủ yếu
- Loại tiền tệ (Đồng Việt Nam, ngoại tệ);
- Đối tượng (tổ chức kinh tế, dân cư);
- Thời hạn (không kỳ hạn, có kỳ hạn);
- Tỉnh/thành phố trực thuộc Trung ương.
3. Kỳ công bố: Quý, năm.
4. Nguồn số liệu: Chế độ báo cáo thống kê cấp quốc gia.
5. Cơ quan chịu trách nhiệm thu thập, tổng hợp: Ngân hàng Nhà nước Việt Nam.
0704. Dư nợ tín dụng của các tổ chức tín dụng
1. Khái niệm, phương pháp tính
Dư nợ tín dụng của các tổ chức tín dụng là toàn bộ số dư bằng đồng Việt Nam và ngoại tệ tại một thời điểm cụ thể của các khoản cấp tín dụng của tổ chức tín dụng đối với các cá nhân, tổ chức là người cư trú của Việt Nam thuộc khu vực thể chế phi tài chính, khu vực hộ gia đình và khu vực thể chế không vì lợi nhuận phục vụ hộ gia đình dưới hình thức: Cho vay; chiết khấu, tái chiết khấu các công cụ chuyển nhượng và các giấy tờ có giá khác; cho thuê tài chính; bao thanh toán; các khoản trả thay cá nhân, tổ chức trong trường hợp cá nhân, tổ chức được bảo lãnh không thực hiện được nghĩa vụ của mình khi đến hạn thanh toán và các nghiệp vụ cấp tín dụng khác được Ngân hàng Nhà nước chấp thuận.
2. Phân tổ chủ yếu
- Loại tiền tệ: Đồng Việt Nam, ngoại tệ;
- Thời hạn: Ngắn hạn, trung hạn và dài hạn;
- Ngành kinh tế;
- Loại hình kinh tế;
- Tỉnh/thành phố trực thuộc trung ương.
3. Kỳ công bố: Quý, năm.
4. Nguồn số liệu: Chế độ báo cáo thống kê cấp quốc gia.
5. Cơ quan chịu trách nhiệm thu thập, tổng hợp: Ngân hàng Nhà nước Việt Nam.
0705. Tốc độ tăng dư nợ tín dụng của các tổ chức tín dụng
1. Khái niệm, phương pháp tính
Tốc độ tăng dư nợ tín dụng là phần trăm hay số lần thay đổi của dư nợ tín dụng tại một thời điểm nhất định so với thời điểm trước đó.
Tốc độ tăng dư nợ tín dụng của các tổ chức tín dụng gồm:
a) Tốc độ tăng tín dụng bằng Đồng Việt Nam: Loại ngắn hạn, trung hạn và dài hạn.
b) Tốc độ tăng tín dụng bằng ngoại tệ: Loại ngắn hạn, trung hạn và dài hạn.
Tốc độ tăng dư nợ tín dụng bằng chỉ số phát triển dư nợ tín dụng trừ đi một hoặc một trăm.
Công thức tính:
|
Tốc độ tăng dư nợ tín dụng cuối kỳ báo cáo so với cuối quý trước/cuối năm trước/cùng kỳ năm trước (%) |
= |
Dư nợ tín dụng cuối kỳ báo cáo |
x 100 - 100 |
|
Dư nợ tín dụng (cuối quý trước, cuối năm trước, cùng kỳ năm trước) |
2. Phân tổ chủ yếu
- Loại tiền tệ: Đồng Việt Nam, ngoại tệ;
- Thời hạn: Ngắn hạn, trung hạn và dài hạn;
- Ngành kinh tế;
- Loại hình kinh tế;
- Tỉnh/thành phố trực thuộc trung ương.
3. Kỳ công bố: Quý, năm.
4. Nguồn số liệu: Chế độ báo cáo thống kê cấp quốc gia.
5. Cơ quan chịu trách nhiệm thu thập, tổng hợp: Ngân hàng Nhà nước Việt Nam.
0706. Lãi suất
1. Khái niệm, phương pháp tính
Lãi suất là giá phải trả cho việc sử dụng vốn. Lãi suất huy động là tỷ lệ giữa số tiền lãi với số vốn huy động. Lãi suất cho vay là tỷ lệ giữa số tiền lãi và số tiền cho vay. Lãi suất liên ngân hàng là lãi suất của các giao dịch vốn thực hiện giữa các ngân hàng với nhau.
Lãi suất gồm lãi suất huy động, lãi suất cho vay, lãi suất liên ngân hàng, trong đó:
a) Lãi suất huy động, phân loại thành lãi suất huy động bằng Đồng Việt Nam và ngoại tệ, gồm lãi suất tiền gửi tiết kiệm không kỳ hạn và có kỳ hạn (3 tháng, 6 tháng, 12 tháng, từ trên 12 tháng đến 24 tháng và trên 24 tháng), lãi suất huy động bằng phát hành giấy tờ có giá gồm lãi suất huy động bằng phát hành giấy tờ có giá loại dưới 12 tháng và loại từ 12 tháng trở lên.
b) Lãi suất cho vay, phân loại thành lãi suất cho vay bằng Đồng Việt Nam và ngoại tệ, gồm lãi suất cho vay ngắn hạn và lãi suất cho vay trung hạn, dài hạn.
c) Lãi suất liên ngân hàng, phân theo các kỳ hạn, gồm lãi suất qua đêm, 1 tuần, 2 tuần, 1 tháng, 3 tháng, 6 tháng, 9 tháng và 12 tháng.
Phương pháp tính:
Lãi suất tiền gửi tiết kiệm và lãi suất phát hành giấy tờ có giá được báo cáo theo mức lãi suất trả sau. Lãi suất huy động và cho vay bình quân quý và năm cho từng loại kỳ hạn được tính theo phương pháp bình quân số học giản đơn của các mức lãi suất huy động và cho vay thực tế phổ biến mà các tổ chức tín dụng áp dụng trong kỳ báo cáo.
Lãi suất liên ngân hàng bình quân quý và năm cho từng loại kỳ hạn được tính theo phương pháp bình quân số học giản đơn các mức lãi suất của các giao dịch vốn thực hiện giữa các ngân hàng với nhau.
2. Phân tổ chủ yếu
- Lãi suất liên ngân hàng, huy động, cho vay;
- Loại tiền tệ, hình thức huy động, thời hạn.
3. Kỳ công bố: Quý, năm.
4. Nguồn số liệu: Chế độ báo cáo thống kê cấp quốc gia.
5. Cơ quan chịu trách nhiệm thu thập, tổng hợp: Ngân hàng Nhà nước Việt Nam.
0707. Cán cân thanh toán quốc tế
1. Khái niệm, phương pháp tính
Cán cân thanh toán quốc tế là báo cáo thống kê tổng hợp các giao dịch giữa người cư trú và người không cư trú ở Việt Nam trong một thời gian nhất định.
Bảng cán cân thanh toán quốc tế gồm các hạng mục sau:
a) Cán cân vãng lai
Hàng hóa: Xuất khẩu FOB
Hàng hóa: Nhập khẩu FOB
Hàng hóa (ròng)
Dịch vụ: Xuất khẩu
Dịch vụ: Nhập khẩu
Dịch vụ (ròng)
Thu nhập (Thu nhập sơ cấp): Thu
Thu nhập (Thu nhập sơ cấp): Chi
Thu nhập (Thu nhập sơ cấp) (ròng)
Chuyển giao vãng lai (Thu nhập thứ cấp): Thu
Chuyển giao vãng lai (Thu nhập thứ cấp): Chi
Chuyển giao vãng lai (Thu nhập thứ cấp) (ròng)
b) Cán cân vốn
Cán cân vốn: Thu
Cán cân vốn: Chi
Tổng cán cân vãng lai và cán cân vốn
c) Cán cân tài chính
Đầu tư trực tiếp ra nước ngoài: Tài sản có
Đầu tư trực tiếp vào Việt Nam: Tài sản nợ
Đầu tư trực tiếp (ròng)
Đầu tư gián tiếp ra nước ngoài: Tài sản có
Vốn cổ phần và cổ phiếu quỹ
Chứng khoán nợ
Đầu tư gián tiếp vào Việt Nam: Tài sản nợ
Vốn cổ phần và cổ phiếu quỹ
Chứng khoán nợ
Đầu tư gián tiếp (ròng)
Các công cụ tài chính phái sinh (không nằm trong dự trữ): Tài sản có
Các công cụ tài chính phái sinh (không nằm trong dự trữ): Tài sản nợ
Các công cụ tài chính phái sinh (không nằm trong dự trữ) (ròng)
Đầu tư khác: Tài sản có
Tiền và tiền gửi
Cho vay, thu hồi nợ nước ngoài
Ngắn hạn
Dài hạn
Tín dụng thương mại và ứng trước
Các khoản phải thu/phải trả khác
Đầu tư khác: Tài sản nợ
Tiền và tiền gửi
Vay, trả nợ nước ngoài
Ngắn hạn
Dài hạn
Tín dụng thương mại và ứng trước
Các khoản phải thu/phải trả khác
Đầu tư khác (ròng)
d) Lỗi và sai sót
đ) Cán cân tổng thể
e) Dự trữ và các hạng mục liên quan
Tài sản dự trữ
Tín dụng và vay nợ từ Quỹ Tiền tệ quốc tế
Tài trợ đặc biệt
Phương pháp tính:
Nguyên tắc lập cán cân thanh toán quốc tế:
- Phù hợp với thông lệ quốc tế về thống kê cán cân thanh toán quốc tế và điều kiện thực tiễn của Việt Nam;
- Đơn vị tiền tệ lập cán cân thanh toán quốc tế là Đồng Đô la Mỹ (USD);
- Tỷ giá quy đổi Đồng Việt Nam (VND) sang USD là tỷ giá trung tâm do Ngân hàng Nhà nước công bố tại thời điểm cuối kỳ báo cáo;
- Quy đổi các ngoại tệ không phải USD sang USD được thực hiện như sau:
+ Quy đổi ngoại tệ sang VND theo tỷ giá tính chéo của VND so với loại ngoại tệ đó do Ngân hàng Nhà nước công bố để tính thuế xuất khẩu và thuế nhập khẩu áp dụng trong kỳ báo cáo;
+ Sau khi quy đổi sang VND, việc quy đổi sang USD được thực hiện theo tỷ giá trung tâm do Ngân hàng Nhà nước công bố tại thời điểm cuối kỳ báo cáo.
- Thời điểm thống kê các giao dịch là thời điểm thay đổi quyền sở hữu giữa người cư trú và người không cư trú ở Việt Nam;
- Giá trị của giao dịch được xác định theo nguyên tắc thị trường tại thời điểm giao dịch.
Các mối quan hệ hạch toán cơ bản trong cán cân thanh toán:
- Cán cân vãng lai gồm toàn bộ các giao dịch giữa người cư trú và người không cư trú ở Việt Nam về hàng hóa, dịch vụ, thu nhập của người lao động, thu nhập từ đầu tư, chuyển giao vãng lai.
Công thức tính:
|
Cán cân vãng lai (A) |
= |
Hàng hóa (ròng) |
+ |
Dịch vụ (ròng) |
+ |
Thu nhập (thu nhập sơ cấp) (ròng) |
+ |
Chuyển giao vãng lai (thu nhập thứ cấp) (ròng) |
|
Hàng hóa (ròng) |
= |
Xuất khẩu hàng hóa (FOB) |
- |
Nhập khẩu hàng hóa (FOB) |
|
Dịch vụ (ròng) |
= |
Xuất khẩu dịch vụ |
- |
Nhập khẩu dịch vụ |
|
Thu nhập (thu nhập sơ cấp) (ròng) |
= |
Thu (thu nhập sơ cấp) |
- |
Chi (thu nhập sơ cấp) |
|
Chuyển giao vãng lai (thu nhập thứ cấp) (ròng) |
= |
Thu từ chuyển giao vãng lai (thu nhập thứ cấp) |
- |
Chi chuyển giao vãng lai (thu nhập thứ cấp) |
- Cán cân vốn gồm toàn bộ các giao dịch giữa người cư trú và không cư trú về chuyển giao vốn và mua, bán các tài sản phi tài chính, phi sản xuất của khu vực Chính phủ và khu vực tư nhân.
Công thức tính:
|
Cán cân vốn (B) |
= |
Thu cán cân vốn |
- |
Chi cán cân vốn |
- Cán cân tài chính gồm toàn bộ các giao dịch giữa người cư trú và người không cư trú về đầu tư trực tiếp, đầu tư gián tiếp, giao dịch phái sinh tài chính, vay, trả nợ nước ngoài, tín dụng thương mại, tiền và tiền gửi.
Công thức tính:
|
Cán cân tài chính (C) |
= |
Đầu tư trực tiếp (ròng) |
+ |
Đầu tư gián tiếp (ròng) |
+ |
Các công cụ tài chính phái sinh (không nằm trong dự trữ) (ròng) |
+ |
Đầu tư khác (ròng) |
|
Đầu tư trực tiếp (ròng) |
= |
Đầu tư trực tiếp ra nước ngoài (tài sản có) |
+ |
Đầu tư trực tiếp vào Việt Nam (tài sản nợ) |
|
Đầu tư gián tiếp (ròng) |
= |
Đầu tư gián tiếp nước ngoài (tài sản có) |
+ |
Đầu tư gián tiếp vào Việt Nam (tài sản nợ) |
|
Các công cụ tài chính phái sinh (không nằm trong dự trữ) (ròng) |
= |
Các công cụ tài chính phái sinh (không nằm trong dự trữ) (tài sản có) |
+ |
Các công cụ tài chính (không nằm trong dự trữ) (tài sản nợ) |
Đầu tư khác gồm các giao dịch vay, trả nợ nước ngoài, tín dụng thương mại, tiền và tiền gửi giữa người cư trú và người không cư trú ở Việt Nam.
Công thức tính:
|
Đầu tư khác (ròng) |
= |
Đầu tư khác (tài sản có) |
+ |
Đầu tư khác (tài sản nợ) |
- Lỗi và sai sót là phần chênh lệch giữa tổng của cán cân vãng lai, cán cân vốn, cán cân tài chính với cán cân thanh toán tổng thể.
Công thức tính:
Lỗi và sai sót (D) = E - (A + B + C).
- Cán cân tổng thể: được xác định bằng thay đổi dự trữ ngoại hối Nhà nước chính thức do giao dịch tạo ra trong kỳ báo cáo (E= -F)
- Dự trữ và các hạng mục liên quan: được xác định bằng thay đổi dự trữ ngoại hối Nhà nước chính thức do giao dịch tạo ra trong kỳ báo cáo.
2. Phân tổ chủ yếu: Loại giao dịch.
3. Kỳ công bố: Quý, năm.
4. Nguồn số liệu
- Dữ liệu hành chính;
- Chế độ báo cáo thống kê cấp quốc gia.
5. Cơ quan chịu trách nhiệm thu thập, tổng hợp: Ngân hàng Nhà nước Việt Nam.
0708. Tỷ lệ cán cân vãng lai so với tổng sản phẩm trong nước
1. Phương pháp tính
|
Tỷ lệ cán cân vãng lai so với tổng sản phẩm trong nước (%) |
= |
Cân đối cán cân vãng lai |
x 100 |
|
Tổng sản phẩm trong nước |
2. Kỳ công bố: Quý, năm.
3. Nguồn số liệu: Chế độ báo cáo thống kê cấp quốc gia.
4. Cơ quan chịu trách nhiệm thu thập, tổng hợp: Tổng cục Thống kê.
0709. Vốn đầu tư gián tiếp nước ngoài vào Việt Nam và Việt Nam ra nước ngoài
1. Khái niệm, phương pháp tính
Đầu tư gián tiếp nước ngoài vào Việt Nam là việc đơn vị không thường trú của Việt Nam đầu tư vào Việt Nam dưới hình thức mua, bán chứng khoán, các giấy tờ có giá khác hoặc đầu tư thông qua các quỹ đầu tư chứng khoán, các định chế tài chính trung gian khác do đơn vị thường trú của Việt Nam thực hiện theo quy định của pháp luật mà không trực tiếp tham gia quản lý hoạt động đầu tư ở Việt Nam.
Đầu tư gián tiếp của Việt Nam ra nước ngoài là việc đơn vị thường trú của Việt Nam đầu tư ra nước ngoài dưới hình thức mua, bán chứng khoán, các giấy tờ có giá khác hoặc đầu tư thông qua các quỹ đầu tư chứng khoán, các định chế tài chính trung gian khác ở nước ngoài mà không trực tiếp tham gia quản lý hoạt động đầu tư ở nước ngoài.
2. Phân tổ chủ yếu: Công cụ đầu tư.
3. Kỳ công bố: Quý, năm.
4. Nguồn số liệu: Chế độ báo cáo thống kê cấp quốc gia.
5. Cơ quan chịu trách nhiệm thu thập, tổng hợp
- Chủ trì: Ngân hàng Nhà nước Việt Nam;
- Phối hợp: Bộ Tài chính.
0710. Tỷ giá giao dịch bình quân trên thị trường ngoại tệ liên ngân hàng của Đồng Việt Nam (VND) với Đô la Mỹ (USD)
1. Khái niệm, phương pháp tính
Tỷ giá trung tâm của Đồng Việt Nam (VND) với Đô la Mỹ (USD) là tỷ giá do Ngân hàng Nhà nước Việt Nam thông báo hàng ngày, được xác định trên cơ sở tham chiếu diễn biến tỷ giá bình quân gia quyền trên thị trường ngoại tệ liên ngân hàng, diễn biến tỷ giá trên thị trường quốc tế của một số đồng tiền của các nước có quan hệ thương mại, vay, trả nợ, đầu tư lớn với Việt Nam, các cân đối kinh tế vĩ mô, tiền tệ và phù hợp với mục tiêu chính sách tiền tệ.
Tỷ giá giao dịch bình quân trên thị trường ngoại tệ liên ngân hàng của VND với USD được tính trên cơ sở bình quân của các tỷ giá trung tâm của Đồng Việt Nam so với Đô la Mỹ.
2. Kỳ công bố: Tháng, quý, năm.
3. Nguồn số liệu: Chế độ báo cáo thống kê cấp quốc gia.
4. Cơ quan chịu trách nhiệm thu thập, tổng hợp: Ngân hàng Nhà nước Việt Nam.
0711. Tổng thu phí, chi trả bảo hiểm
I. Tổng thu phí bảo hiểm
1. Khái niệm, phương pháp tính
Công thức tính:
|
Doanh thu phí bảo hiểm |
= |
Doanh thu phí bảo hiểm phi nhân thọ |
+ |
Doanh thu phí bảo hiểm nhân thọ |
a) Doanh thu phí bảo hiểm phi nhân thọ
Doanh thu phí bảo hiểm phản ánh tổng doanh thu phí bảo hiểm gốc và nhận tái bảo hiểm sau khi trừ (-) các khoản, gồm: giảm phí bảo hiểm gốc, giảm phí nhận tái bảo hiểm, hoàn phí bảo hiểm gốc, hoàn phí nhận tái bảo hiểm và chênh lệch tăng, giảm dự phòng phí bảo hiểm gốc và nhận tái bảo hiểm trong kỳ báo cáo của doanh nghiệp bảo hiểm phi nhân thọ.
Công thức tính:
|
Doanh thu phí bảo hiểm |
= |
Phí bảo hiểm gốc |
+ |
Phí nhận tái bảo hiểm |
- |
Tăng (giảm) dự phòng phí bảo hiểm gốc và nhận tái bảo hiểm |
Trong đó:
- Phí bảo hiểm gốc phản ánh tổng số doanh thu phí bảo hiểm gốc sau khi trừ (-) các khoản giảm phí bảo hiểm gốc, hoàn phí bảo hiểm gốc phát sinh trong kỳ báo cáo của doanh nghiệp bảo hiểm phi nhân thọ;
- Phí nhận tái bảo hiểm phản ánh tổng số doanh thu phí nhận tái bảo hiểm sau khi trừ (-) các khoản giảm phí nhận tái bảo hiểm, hoàn phí nhận tái bảo hiểm phát sinh trong kỳ báo cáo của doanh nghiệp bảo hiểm phi nhân thọ;
- Tăng (giảm) dự phòng phí bảo hiểm gốc và nhận tái bảo hiểm phản ánh số chênh lệch tăng, giảm dự phòng phí bảo hiểm gốc và nhận tái bảo hiểm chưa được hưởng, là số chênh lệch giữa số dự phòng phí bảo hiểm gốc và nhận tái bảo hiểm phải trích trong năm tài chính với số dự phòng phí bảo hiểm gốc và nhận tái bảo hiểm năm trước chuyển sang.
b) Doanh thu phí bảo hiểm nhân thọ
Doanh thu phí bảo hiểm phản ánh tổng doanh thu phí bảo hiểm gốc và nhận tái bảo hiểm sau khi trừ (-) các khoản, gồm giảm phí bảo hiểm gốc, giảm phí nhận tái bảo hiểm, hoàn phí bảo hiểm gốc, hoàn phí nhận tái bảo hiểm và chênh lệch tăng, giảm dự phòng phí chưa được hưởng của bảo hiểm gốc và nhận tái bảo hiểm trong kỳ báo cáo của doanh nghiệp bảo hiểm nhân thọ.
|
Doanh thu phí bảo hiểm |
= |
Phí bảo hiểm gốc |
+ |
Phí nhận tái bảo hiểm |
- |
Tăng (giảm) dự phòng phí bảo hiểm gốc và nhận tái bảo hiểm chưa được hưởng |
Trong đó:
- Phí bảo hiểm gốc phản ánh tổng số doanh thu phí bảo hiểm gốc sau khi trừ (-) các khoản giảm phí bảo hiểm gốc, hoàn phí bảo hiểm gốc phát sinh trong kỳ báo cáo của doanh nghiệp bảo hiểm nhân thọ;
- Phí nhận tái bảo hiểm phản ánh tổng số doanh thu phí nhận tái bảo hiểm sau khi trừ (-) các khoản giảm phí nhận tái bảo hiểm, hoàn phí nhận tái bảo hiểm phát sinh trong kỳ báo cáo của doanh nghiệp bảo hiểm nhân thọ;
- Tăng (giảm) dự phòng phí bảo hiểm gốc và nhận tái bảo hiểm chưa được hưởng phản ánh số chênh lệch tăng, giảm dự phòng phí bảo hiểm gốc và nhận tái bảo hiểm chưa được hưởng, là số chênh lệch giữa số dự phòng phí bảo hiểm gốc và nhận tái bảo hiểm chưa được hưởng phải trích trong năm tài chính với số dự phòng phí bảo hiểm gốc và nhận tái bảo hiểm chưa được hưởng năm trước chuyển sang.
2. Phân tổ chủ yếu
- Loại hình doanh nghiệp;
- Nghiệp vụ bảo hiểm (bảo hiểm nhân thọ và bảo hiểm phi nhân thọ).
3. Kỳ công bố: Năm.
4. Nguồn số liệu
- Điều tra doanh nghiệp;
- Dữ liệu hành chính.
5. Cơ quan chịu trách nhiệm thu thập, tổng hợp
- Chủ trì: Bộ Tài chính;
- Phối hợp: Tổng cục Thống kê.
II. Tổng chi trả bảo hiểm
1. Khái niệm, phương pháp tính
Công thức tính:
|
Tổng chi trả bảo hiểm |
= |
Chi bồi thường bảo hiểm phi nhân thọ |
+ |
Tổng chi bồi thường và trả tiền bảo hiểm nhân thọ |
a) Chi bồi thường bảo hiểm phi nhân thọ
Chỉ tiêu này phản ánh tổng số chi bồi thường bảo hiểm gốc và nhận tái bảo hiểm và các khoản chi liên quan đến hoạt động bồi thường khi xảy ra tai nạn tổn thất sau khi trừ (-) các khoản phải thu ghi giảm chi bồi thường, gồm thu đòi người thứ ba bồi hoàn, thu hàng đã xử lý bồi thường 100% của doanh nghiệp bảo hiểm phi nhân thọ phát sinh trong kỳ báo cáo.
Công thức tính:
|
Chi bồi thường |
= |
Tổng chi bồi thường |
- |
Các khoản giảm trừ |
Trong đó:
- Tổng chi bồi thường phản ánh tổng số chi bồi thường bảo hiểm gốc và nhận tái bảo hiểm và các khoản chi liên quan đến hoạt động bồi thường khi xảy ra tai nạn tổn thất như chi bồi thường cho người được bảo hiểm, chi giám định tổn thất, chi điều tra, thu thập thông tin liên quan đến sự kiện bảo hiểm, chi xử lý hàng tổn thất đã được giải quyết bồi thường 100% của doanh nghiệp bảo hiểm phi nhân thọ phát sinh trong kỳ báo cáo;
- Các khoản giảm trừ phản ánh tổng số thu giảm chi bồi thường bảo hiểm gốc và nhận tái bảo hiểm gồm thu đòi người thứ ba bồi hoàn, thu hàng đã xử lý bồi thường 100% của doanh nghiệp bảo hiểm phi nhân thọ phát sinh trong kỳ báo cáo.
b) Tổng chi bồi thường và trả tiền bảo hiểm nhân thọ
Chỉ tiêu này là chỉ tiêu tổng hợp phản ánh tổng chi phí bồi thường và trả tiền bảo hiểm của doanh nghiệp bảo hiểm nhân thọ sau khi trừ (-) các khoản thu giảm chi phí bồi thường và trả tiền bảo hiểm (như thu bồi thường nhượng tái bảo hiểm) và sau khi điều chỉnh các khoản tăng giảm dự phòng nghiệp vụ bảo hiểm gốc và nhận tái bảo hiểm phát sinh trong kỳ báo cáo.
Công thức tính:
|
Tổng chi bồi thường và trả tiền bảo hiểm |
= |
Chi bồi thường và trả tiền bảo hiểm |
- |
Thu bồi thường nhượng tái bảo hiểm |
+ |
Tăng (giảm) dự phòng nghiệp vụ bảo hiểm gốc |
+ |
Tăng (giảm) dự phòng nghiệp vụ nhận tái bảo hiểm |
Trong đó:
- Chi bồi thường và trả tiền bảo hiểm phản ánh tổng số chi bồi thường và trả tiền bảo hiểm của doanh nghiệp bảo hiểm nhân thọ phát sinh trong kỳ báo cáo;
- Thu bồi thường nhượng tái bảo hiểm phản ánh số chi bồi thường và trả tiền bảo hiểm phải thu của doanh nghiệp nhận tái bảo hiểm để giảm chi bồi thường và trả tiền bảo hiểm của doanh nghiệp bảo hiểm nhân thọ trong kỳ báo cáo;
- Tăng (giảm) dự phòng nghiệp vụ bảo hiểm gốc phản ánh số tăng, giảm dự phòng nghiệp vụ bảo hiểm gốc, là số chênh lệch giữa số dự phòng nghiệp vụ bảo hiểm gốc phải trích trong năm tài chính với số dự phòng nghiệp vụ bảo hiểm gốc năm trước chuyển sang;
- Tăng (giảm) dự phòng nghiệp vụ nhận tái bảo hiểm phản ánh số tăng, giảm dự phòng nghiệp vụ nhận tái bảo hiểm, là số chênh lệch giữa số dự phòng nghiệp vụ nhận tái bảo hiểm phải trích trong năm tài chính với số dự phòng nghiệp vụ nhận tái bảo hiểm năm trước chuyển sang.
2. Phân tổ chủ yếu
- Loại hình doanh nghiệp;
- Nghiệp vụ bảo hiểm (bảo hiểm nhân thọ và bảo hiểm phi nhân thọ).
3. Kỳ công bố: Năm.
4. Nguồn số liệu
- Điều tra doanh nghiệp;
- Dữ liệu hành chính.
5. Cơ quan chịu trách nhiệm thu thập, tổng hợp
- Chủ trì: Bộ Tài chính;
- Phối hợp: Tổng cục Thống kê.
0712. Số người đóng bảo hiểm xã hội, bảo hiểm y tế, bảo hiểm thất nghiệp
1. Khái niệm, phương pháp tính, phân tổ chủ yếu
a) Số người đóng bảo hiểm xã hội
Số người đóng bảo hiểm xã hội gồm số người tham gia đóng bảo hiểm xã hội bắt buộc và số người tham gia đóng bảo hiểm xã hội tự nguyện.
Bảo hiểm xã hội bắt buộc là loại hình bảo hiểm xã hội do Nhà nước tổ chức mà người lao động và người sử dụng lao động bắt buộc phải tham gia.
Bảo hiểm xã hội tự nguyện là loại hình bảo hiểm xã hội do Nhà nước tổ chức mà người tham gia được lựa chọn mức đóng, phương thức đóng phù hợp với thu nhập của mình và Nhà nước có chính sách hỗ trợ tiền đóng bảo hiểm xã hội để người tham gia hưởng chế độ hưu trí và tử tuất.
Số người tham gia đóng bảo hiểm xã hội bắt buộc thuộc các đối tượng sau:
- Người lao động là công dân Việt Nam thuộc đối tượng tham gia bảo hiểm xã hội bắt buộc, gồm:
+ Người làm việc theo hợp đồng lao động không xác định thời hạn, hợp đồng lao động xác định thời hạn, hợp đồng lao động theo mùa vụ hoặc theo một công việc nhất định có thời hạn từ đủ 03 tháng đến dưới 12 tháng, kể cả hợp đồng lao động được ký kết giữa người sử dụng lao động với người đại diện theo pháp luật của người dưới 15 tuổi theo quy định của pháp luật về lao động;
+ Người làm việc theo hợp đồng lao động có thời hạn từ đủ 01 tháng đến dưới 03 tháng;
+ Cán bộ, công chức, viên chức;
+ Công nhân quốc phòng, công nhân công an, người làm công tác khác trong tổ chức cơ yếu;
+ Sĩ quan, quân nhân chuyên nghiệp quân đội nhân dân; sĩ quan, hạ sĩ quan nghiệp vụ, sĩ quan, hạ sĩ quan chuyên môn kỹ thuật công an nhân dân; người làm công tác cơ yếu hưởng lương như đối với quân nhân; hạ sĩ quan, chiến sĩ quân đội nhân dân; hạ sĩ quan, chiến sĩ công an nhân dân phục vụ có thời hạn; học viên quân đội, công an, cơ yếu đang theo học được hưởng sinh hoạt phí;
+ Người đi làm việc ở nước ngoài theo hợp đồng quy định tại Luật người lao động Việt Nam đi làm việc ở nước ngoài theo hợp đồng;
+ Người quản lý doanh nghiệp, người quản lý điều hành hợp tác xã có hưởng tiền lương;
+ Người hoạt động không chuyên trách ở xã, phường, thị trấn.
- Người lao động là công dân nước ngoài vào làm việc tại Việt Nam có giấy phép lao động hoặc chứng chỉ hành nghề hoặc giấy phép hành nghề do cơ quan có thẩm quyền của Việt Nam cấp được tham gia bảo hiểm xã hội bắt buộc theo quy định của Chính phủ;
- Người sử dụng lao động tham gia bảo hiểm xã hội bắt buộc gồm cơ quan nhà nước, đơn vị sự nghiệp, đơn vị vũ trang nhân dân; tổ chức chính trị, tổ chức chính trị - xã hội, tổ chức chính trị xã hội - nghề nghiệp, tổ chức xã hội - nghề nghiệp, tổ chức xã hội khác; cơ quan, tổ chức nước ngoài, tổ chức quốc tế hoạt động trên lãnh thổ Việt Nam; doanh nghiệp, hợp tác xã, hộ kinh doanh cá thể, tổ hợp tác, tổ chức khác và cá nhân có thuê mướn, sử dụng lao động theo hợp đồng lao động.
Người tham gia bảo hiểm xã hội tự nguyện là công dân Việt Nam từ đủ 15 tuổi trở lên và không thuộc đối tượng đóng bảo hiểm xã hội bắt buộc.
Phân tổ chủ yếu: Loại bảo hiểm; tỉnh/thành phố trực thuộc trung ương.
b) Số người đóng bảo hiểm y tế
Bảo hiểm y tế là hình thức bảo hiểm bắt buộc được áp dụng đối với các đối tượng theo quy định của Luật bảo hiểm y tế để chăm sóc sức khỏe, không vì mục đích lợi nhuận và do Nhà nước tổ chức thực hiện.
Số người đóng bảo hiểm y tế là số người tham gia đóng bảo hiểm y tế được phân thành 5 nhóm:
- Nhóm do người lao động và người sử dụng lao động đóng, gồm:
+ Người lao động làm việc theo hợp đồng lao động không xác định thời hạn, hợp đồng lao động có thời hạn từ đủ 03 tháng trở lên; người lao động là người quản lý doanh nghiệp hưởng tiền lương; cán bộ, công chức, viên chức (sau đây gọi chung là người lao động);
+ Người hoạt động không chuyên trách ở xã, phường, thị trấn theo quy định của pháp luật.
- Nhóm do tổ chức bảo hiểm xã hội đóng, gồm:
+ Người hưởng lương hưu, trợ cấp mất sức lao động hàng tháng;
+ Người đang hưởng trợ cấp bảo hiểm xã hội hàng tháng do bị tai nạn lao động, bệnh nghề nghiệp hoặc mắc bệnh thuộc danh mục bệnh cần chữa trị dài ngày; người từ đủ 80 tuổi trở lên đang hưởng trợ cấp tuất hàng tháng;
+ Cán bộ xã, phường, thị trấn đã nghỉ việc đang hưởng trợ cấp bảo hiểm xã hội hàng tháng;
+ Người đang hưởng trợ cấp thất nghiệp.
- Nhóm do ngân sách nhà nước đóng, gồm:
+ Sĩ quan, quân nhân chuyên nghiệp, hạ sĩ quan, binh sĩ quân đội đang tại ngũ; sĩ quan, hạ sĩ quan nghiệp vụ và sĩ quan, hạ sĩ quan chuyên môn, kỹ thuật đang công tác trong lực lượng công an nhân dân, học viên công an nhân dân, hạ sĩ quan, chiến sĩ phục vụ có thời hạn trong công an nhân dân; người làm công tác cơ yếu hưởng lương như đối với quân nhân; học viên cơ yếu được hưởng chế độ, chính sách theo chế độ, chính sách đối với học viên ở các trường quân đội, công an;
+ Cán bộ xã, phường, thị trấn đã nghỉ việc đang hưởng trợ cấp hàng tháng từ ngân sách nhà nước;
+ Người đã thôi hưởng trợ cấp mất sức lao động đang hưởng trợ cấp hàng tháng từ ngân sách nhà nước;
+ Người có công với cách mạng, cựu chiến binh;
+ Đại biểu Quốc hội, đại biểu Hội đồng nhân dân các cấp đương nhiệm;
+ Trẻ em dưới 06 tuổi;
+ Người thuộc diện hưởng trợ cấp bảo trợ xã hội hàng tháng;
+ Người thuộc hộ dân cư nghèo; người dân tộc thiểu số đang sinh sống tại vùng có điều kiện kinh tế - xã hội khó khăn; người đang sinh sống tại vùng có điều kiện kinh tế - xã hội đặc biệt khó khăn; người đang sinh sống tại xã đảo, huyện đảo;
+ Thân nhân của người có công với cách mạng là cha đẻ, mẹ đẻ, vợ hoặc chồng, con của liệt sĩ; người có công nuôi dưỡng liệt sĩ;
+ Thân nhân của người có công với cách mạng, trừ các đối tượng quy định tại điểm i khoản 3 Điều 12 Luật sửa đổi, bổ sung một số điều của Luật bảo hiểm y tế;
+ Thân nhân của các đối tượng quy định tại điểm a khoản 3 Điều 12 Luật sửa đổi, bổ sung một số điều của Luật bảo hiểm y tế;
+ Người đã hiến bộ phận cơ thể người theo quy định của pháp luật;
+ Người nước ngoài đang học tập tại Việt Nam được cấp học bổng từ ngân sách của Nhà nước Việt Nam.
- Nhóm được ngân sách nhà nước hỗ trợ mức đóng, gồm:
+ Người thuộc hộ dân cư cận nghèo;
+ Học sinh, sinh viên.
- Nhóm tham gia bảo hiểm y tế theo hộ dân cư gồm những người thuộc hộ dân cư, trừ đối tượng quy định tại các khoản 1, 2, 3 và 4 Điều 12 Luật sửa đổi, bổ sung một số điều của Luật bảo hiểm y tế.
Phân tổ chủ yếu: Nhóm tham gia bảo hiểm y tế; tỉnh/thành phố trực thuộc trung ương.
c) Số người đóng bảo hiểm thất nghiệp
Bảo hiểm thất nghiệp là chế độ nhằm bù đắp một phần thu nhập của người lao động khi bị mất việc làm, hỗ trợ người lao động học nghề, duy trì việc làm, tìm việc làm trên cơ sở đóng vào Quỹ bảo hiểm tự nguyện.
Số người đóng bảo hiểm thất nghiệp là số người tham gia đóng bảo hiểm thất nghiệp, cụ thể như sau:
- Người lao động phải tham gia bảo hiểm thất nghiệp khi làm việc theo hợp đồng lao động hoặc hợp đồng làm việc như sau:
+ Hợp đồng lao động hoặc hợp đồng làm việc không xác định thời hạn;
+ Hợp đồng lao động hoặc hợp đồng làm việc xác định thời hạn;
+ Hợp đồng lao động theo mùa vụ hoặc theo một công việc nhất định có thời hạn từ đủ 03 tháng đến dưới 12 tháng.
Trong trường hợp người lao động giao kết và đang thực hiện nhiều hợp đồng lao động thì người lao động và người sử dụng lao động của hợp đồng lao động giao kết đầu tiên có trách nhiệm tham gia bảo hiểm thất nghiệp.
- Người lao động theo quy định tại khoản 1 Điều 43 Luật việc làm đang hưởng lương hưu, giúp việc gia đình thì không phải tham gia bảo hiểm thất nghiệp.
- Người sử dụng lao động tham gia bảo hiểm thất nghiệp gồm cơ quan nhà nước, đơn vị sự nghiệp công lập, đơn vị vũ trang nhân dân; tổ chức chính trị, tổ chức chính trị - xã hội, tổ chức chính trị xã hội - nghề nghiệp, tổ chức xã hội, tổ chức xã hội - nghề nghiệp; cơ quan, tổ chức nước ngoài, tổ chức quốc tế hoạt động trên lãnh thổ Việt Nam; doanh nghiệp, hợp tác xã, hộ dân cư, hộ kinh doanh, tổ hợp tác, tổ chức khác và cá nhân có thuê mướn, sử dụng lao động theo hợp đồng làm việc hoặc hợp đồng lao động.
Phân tổ chủ yếu: Tỉnh/thành phố trực thuộc trung ương.
2. Kỳ công bố: Năm.
3. Nguồn số liệu: Chế độ báo cáo thống kê cấp quốc gia.
4. Cơ quan chịu trách nhiệm thu thập, tổng hợp: Bảo hiểm Xã hội Việt Nam.
0713. Số người được hưởng bảo hiểm xã hội, bảo hiểm y tế, bảo hiểm thất nghiệp
1. Khái niệm, phương pháp tính, Phân tổ chủ yếu
a) Số người được hưởng bảo hiểm xã hội
Số người được hưởng bảo hiểm xã hội là số người đã tham gia bảo hiểm xã hội được nhận tiền bảo hiểm xã hội (tính theo số người, bất kể một người nhận được nhiều loại bảo hiểm xã hội khác nhau).
Số người được hưởng bảo hiểm xã hội được chi trả theo các chế độ: ốm đau, thai sản; tai nạn lao động, bệnh nghề nghiệp; hưu trí; tử tuất.
Phân tổ chủ yếu: Chế độ trợ cấp; thời gian hưởng: hưởng 1 lần/hàng tháng; tỉnh/thành phố trực thuộc Trung ương.
b) Số người được hưởng bảo hiểm y tế
Số người được hưởng bảo hiểm y tế là số người đã tham gia bảo hiểm y tế khi đi khám chữa bệnh được hưởng các dịch vụ khám chữa bệnh (tính theo số lượt người khám chữa bệnh bảo hiểm y tế).
Phân tổ chủ yếu: Nhóm đối tượng tham gia; hình thức điều trị: nội trú/ngoại trú; tỉnh/thành phố trực thuộc Trung ương.
c) Số người được hưởng bảo hiểm thất nghiệp
Số người được hưởng bảo hiểm thất nghiệp là số người đã tham gia đóng bảo hiểm thất nghiệp khi mất việc làm (thất nghiệp) được hưởng chế độ bảo hiểm thất nghiệp (tính theo số người hưởng bảo hiểm thất nghiệp).
Phân tổ chủ yếu: Chế độ trợ cấp: Trợ cấp thất nghiệp/hỗ trợ học nghề/hỗ trợ đào tạo nâng cao kỹ năng nghề; tỉnh/thành phố trực thuộc trung ương.
2. Kỳ công bố: Năm.
3. Nguồn số liệu: Chế độ báo cáo thống kê cấp quốc gia.
4. Cơ quan chịu trách nhiệm thu thập, tổng hợp: Bảo hiểm Xã hội Việt Nam.
0714. Thu, chi bảo hiểm xã hội, bảo hiểm y tế, bảo hiểm thất nghiệp
I. Thu bảo hiểm xã hội, bảo hiểm y tế, bảo hiểm thất nghiệp
1. Khái niệm, phương pháp tính
Số tiền thu bảo hiểm xã hội, bảo hiểm y tế, bảo hiểm thất nghiệp là số tiền thu từ:
- Ngân sách nhà nước;
- Người sử dụng lao động;
- Người tham gia đóng bảo hiểm xã hội, bảo hiểm y tế, bảo hiểm thất nghiệp;
- Tiền sinh lời của hoạt động đầu tư từ các quỹ bảo hiểm xã hội, bảo hiểm y tế, bảo hiểm thất nghiệp;
- Các nguồn thu khác.
2. Phân tổ chủ yếu
- Nguồn;
- Loại thu;
- Tỉnh/thành phố trực thuộc trung ương.
3. Kỳ công bố: Quý, năm.
4. Nguồn số liệu: Chế độ báo cáo thống kê cấp quốc gia.
5. Cơ quan chịu trách nhiệm thu thập, tổng hợp: Bảo hiểm Xã hội Việt Nam.
II. Chi bảo hiểm xã hội, bảo hiểm y tế, bảo hiểm thất nghiệp
1. Khái niệm, phương pháp tính
Số tiền chi bảo hiểm xã hội, bảo hiểm y tế, bảo hiểm thất nghiệp là số tiền thực chi cho các đối tượng được hưởng bảo hiểm xã hội, bảo hiểm y tế, bảo hiểm thất nghiệp theo quy định của pháp luật. Gồm chi từ các nguồn:
- Chi từ nguồn ngân sách nhà nước;
- Chi từ quỹ bảo hiểm xã hội;
- Chi từ quỹ bảo hiểm y tế;
- Chi từ quỹ bảo hiểm thất nghiệp.
2. Phân tổ chủ yếu
- Nguồn;
- Loại chi;
- Tỉnh/thành phố trực thuộc trung ương.
3. Kỳ công bố: Quý, năm.
4. Nguồn số liệu: Chế độ báo cáo thống kê cấp quốc gia.
5. Cơ quan chịu trách nhiệm thu thập, tổng hợp: Bảo hiểm Xã hội Việt Nam.
08. Nông, lâm nghiệp và thủy sản
0801. Diện tích gieo trồng cây hàng năm
1. Khái niệm, phương pháp tính
Là diện tích gieo trồng các loại cây nông nghiệp có thời gian sinh trưởng không quá 1 năm kể từ lúc gieo trồng đến khi thu hoạch sản phẩm, gồm:
- Diện tích lúa;
- Diện tích ngô và cây lương thực có hạt khác (lúa mì, lúa mạch, cao lương);
- Diện tích cây lấy củ có chất bột: khoai lang, sắn, khoai sọ...;
- Diện tích mía;
- Diện tích cây thuốc lá, thuốc lào;
- Diện tích cây lấy sợi: đay, cói, bông;
- Diện tích cây có hạt chứa dầu: lạc, đỗ tương, vừng;
- Diện tích cây rau, đậu các loại và diện tích hoa, cây cảnh: rau muống, su hào...;
- Diện tích cây gia vị, dược liệu hàng năm: ớt cay, ngải cứu...;
- Diện tích cây hàng năm khác: cỏ, cây thức ăn gia súc....
Diện tích gieo trồng cây hàng năm được tính theo từng vụ sản xuất. Do cây hàng năm có nhiều phương thức gieo trồng khác nhau, phương pháp tính diện tích gieo trồng được quy định như sau:
- Diện tích trồng trần: Trên một diện tích trong một vụ chỉ trồng một loại cây hàng năm nhất định với mật độ cây trồng bình thường. Cây trồng trần, trồng bao nhiêu đất tính bấy nhiêu diện tích gieo trồng;
- Diện tích trồng xen: Trên cùng diện tích trồng hơn một loại cây xen nhau, song song cùng tồn tại, cây trồng chính có mật độ bình thường, cây trồng xen được trồng nhằm tiết kiệm diện tích nên mật độ thưa hơn cây trồng trần. Như vậy cây trồng chính được tính diện tích như cây trồng trần, cây trồng xen căn cứ theo mật độ cây thực tế hay số lượng hạt giống để quy đổi ra diện tích cây trồng trần;
- Diện tích trồng gối vụ: Diện tích khi cây trồng trước chuẩn bị thu hoạch thì trồng gối cây sau nhằm tranh thủ thời vụ. Cả cây trồng trước và cây trồng gối vụ được tính như trồng trần.
- Diện tích trồng lưu gốc: Diện tích cây trồng một lần nhưng cho thu hoạch ở nhiều vụ liên tiếp. Mỗi vụ tính một lần diện tích.
2. Phân tổ chủ yếu
- Loại cây chủ yếu;
- Tỉnh/thành phố trực thuộc trung ương.
3. Kỳ công bố: Vụ, năm.
4. Nguồn số liệu: Điều tra diện tích gieo trồng các loại cây nông nghiệp.
5. Cơ quan chịu trách nhiệm thu thập, tổng hợp: Tổng cục Thống kê.
0802. Diện tích cây lâu năm
1. Khái niệm, phương pháp tính
Là diện tích trồng các loại cây nông nghiệp có thời gian sinh trưởng từ khi gieo trồng đến khi thu hoạch sản phẩm lần đầu từ 1 năm trở lên và cho thu hoạch sản phẩm trong nhiều năm.
a) Diện tích cây lâu năm chỉ tính diện tích hiện còn sống đến thời điểm quan sát, thuộc tất cả các loại hình kinh tế trên địa bàn, gồm diện tích trồng tập trung và số cây trồng phân tán quy về diện tích trồng tập trung trên toàn bộ diện tích đất như: Đất khoán, đấu thầu, đất vườn, đất mới khai hoang....
Diện tích cây lâu năm gồm:
- Diện tích cây ăn quả: Cam, bưởi, chuối, dứa, xoài, nhãn, vải, chôm chôm, bơ, mít, sầu riêng, măng cụt, thanh long, táo;
- Diện tích cây lấy quả chứa đầu: Dừa, cọ;
- Diện tích cây điều;
- Diện tích cây hồ tiêu;
- Diện tích cây cao su;
- Diện tích cây cà phê;
- Diện tích cây chè;
- Diện tích cây gia vị, cây dược liệu lâu năm: Gừng, sa nhân, atichode;
- Diện tích cây lâu năm khác: Dâu tằm, trầu không, cau...
b) Diện tích cây lâu năm hiện có (tính đến thời điểm điều tra, báo cáo)
Công thức tính:
|
Diện tích cây lâu năm hiện có |
= |
Diện tích cây lâu năm trồng tập trung |
+ |
Diện tích cây lâu năm trồng phân tán cho sản phẩm (quy đổi) |
- Diện tích cây lâu năm trồng tập trung gồm những diện tích trồng cây lâu năm từ 100 m2 trở lên.
Diện tích cây lâu năm trồng tập trung là những diện tích trồng liền khoảnh từ 100 m2 trở lên, mật độ cây trồng cơ bản bảo đảm tiêu chuẩn kỹ thuật của địa phương.
Công thức tính:
|
Diện tích cây lâu năm trồng tập trung |
= |
Diện tích cây lâu năm trồng mới |
+ |
Diện tích đang trong quá trình kiến thiết cơ bản |
+ |
Diện tích cây lâu năm cho sản phẩm |
Trong đó:
+ Diện tích cây lâu năm trồng mới là diện tích cây lâu năm được trồng từ 1/1 đến 31/12 năm báo cáo và được nghiệm thu đạt tiêu chuẩn kỹ thuật quy định. Những diện tích không đạt tiêu chuẩn kỹ thuật quy định trong năm phải trồng đi trồng lại nhiều lần mới đạt tiêu chuẩn nghiệm thu cũng chỉ tính một lần diện tích trồng mới đến thời điểm quan sát cuối năm; hoặc những diện tích trồng trong năm nhưng đến thời điểm quan sát mà số cây trên diện tích đó đã chết thì không tính là diện tích trồng mới;
+ Diện tích cây lâu năm đang trong quá trình kiến thiết cơ bản là diện tích cây lâu năm đang trong quá trình chăm sóc, chưa cho sản phẩm, gồm cả những diện tích cây lâu năm cho thu bói;
+ Diện tích cây lâu năm cho sản phẩm là diện tích cây lâu năm thực tế đã hoàn thành thời kỳ xây dựng cơ bản và đã cho thu hoạch sản phẩm ổn định. Ví dụ: cây cao su trung bình cho sản phẩm sau 7 năm trồng; cây cà phê cho thu quả ổn định sau 3 năm trồng, ươm.
- Diện tích cây lâu năm trồng phân tán cho sản phẩm: Căn cứ vào số lượng cây trồng phân tán cho sản phẩm và mật độ cây trồng tập trung theo tập quán địa phương để quy đổi ra diện tích trồng tập trung.
Công thức tính:
|
Diện tích cây lâu năm trồng phân tán cho sản phẩm quy đổi về diện tích trồng tập trung (ha) |
= |
Tổng số cây trồng phân tán cho sản phẩm |
|
Mật độ cây trồng tập trung bình quân 1 ha |
2. Phân tổ chủ yếu
- Loại cây chủ yếu;
- Trồng mới/cho sản phẩm;
- Tỉnh/thành phố trực thuộc trung ương.
3. Kỳ công bố: Năm.
4. Nguồn số liệu: Điều tra diện tích gieo trồng các loại cây nông nghiệp.
5. Cơ quan chịu trách nhiệm thu thập, tổng hợp: Tổng cục Thống kê.
0803. Năng suất một số loại cây trồng chủ yếu
1. Khái niệm, phương pháp tính
Năng suất cây trồng là số lượng sản phẩm chính thu được tính trên một đơn vị diện tích gieo trồng hoặc diện tích thu hoạch của từng loại cây trồng trong một vụ sản xuất hoặc cả năm của một đơn vị sản xuất nông nghiệp, một địa phương hay cả nước.
Công thức tính năng suất cây trồng có sự khác biệt giữa cây hàng năm và cây lâu năm.
a) Đối với cây hàng năm có hai loại năng suất: Năng suất gieo trồng và năng suất thu hoạch.
- Năng suất gieo trồng là năng suất tính cho toàn bộ diện tích gieo trồng gồm cả diện tích mất trắng.
Công thức tính:
|
Năng suất gieo trồng |
= |
Sản lượng thu hoạch (vụ, năm) |
|
Tổng diện tích gieo trồng (vụ, năm) |
- Năng suất thu hoạch là năng suất chỉ tính trên diện tích thu hoạch không gồm diện tích mất trắng.
Công thức tính:
|
Năng suất thu hoạch |
= |
Sản lượng thu hoạch (vụ, năm) |
|
Diện tích thu hoạch (vụ, năm) |
b) Đối với cây lâu năm: Chỉ tính năng suất đối với những diện tích cho sản phẩm bất kể trong vụ, năm đó có cho sản phẩm hay không (còn gọi là diện tích đã đưa vào sản xuất kinh doanh) không gồm diện tích trồng mới, diện tích đang trong thời kỳ kiến thiết cơ bản chưa đưa vào sản xuất kinh doanh.
Công thức tính:
|
Năng suất thu hoạch |
= |
Sản lượng thu hoạch (năm) |
|
Diện tích cho sản phẩm (năm) |
2. Phân tổ chủ yếu
- Loại cây;
- Tỉnh/thành phố trực thuộc trung ương.
3. Kỳ công bố: Vụ, năm.
4. Nguồn số liệu:
- Điều tra năng suất, sản lượng cây hàng năm;
- Điều tra năng suất, sản lượng câu lâu năm.
5. Cơ quan chịu trách nhiệm thu thập, tổng hợp: Tổng cục Thống kê.
0804. Sản lượng một số loại cây trồng chủ yếu
1. Khái niệm, phương pháp tính
Sản lượng cây trồng là khối lượng sản phẩm chính của từng loại cây hoặc một nhóm cây nông nghiệp thu được trong một vụ sản xuất hoặc trong năm của một đơn vị sản xuất nông nghiệp, một địa phương hay cả nước, gồm:
- Sản lượng thu hoạch các loại cây hàng năm (thóc, ngô; khoai lang, sắn, rau, đậu, đỗ tương, mía, thuốc lá, lạc, cói,..), được tính theo vụ sản xuất;
- Sản lượng thu hoạch các loại cây lâu năm (chè búp, cà phê, cao su, hồ tiêu, cam, xoài, nhãn, vải, chôm chôm, dứa,...). Sản lượng cây lâu năm gồm cả sản lượng của diện tích đã cho sản phẩm ổn định và sản lượng cây lâu năm cho thu bói. Sản lượng cây lâu năm được tính 1 năm 1 lần.
Sản lượng cây trồng được tính theo hình thái sản phẩm quy định cho từng loại sản phẩm. Đối với các sản phẩm như: thóc, ngô, đỗ xanh, đỗ tương,... thì tính theo hình thái hạt khô; các loại như: khoai lang, khoai tây, sắn tính theo củ tươi; chè tính theo búp tươi, cà phê tính theo nhân khô, cao su tính theo mủ khô, cam tính theo quả tươi, v.v...
Công thức tính:
|
Sản lượng cây trồng |
= |
Diện tích thu hoạch |
x |
Năng suất thu hoạch |
2. Phân tổ chủ yếu
- Loại cây;
- Loại hình kinh tế;
- Tỉnh/thành phố trực thuộc trung ương.
3. Kỳ công bố: Vụ, năm.
4. Nguồn số liệu
- Điều tra năng suất, sản lượng cây hàng năm;
- Điều tra năng suất, sản lượng cây lâu năm.
5. Cơ quan chịu trách nhiệm thu thập, tổng hợp
Tổng cục Thống kê
0805. Cân đối một số nông sản chủ yếu
1. Khái niệm, phương pháp tính
Cân đối sản phẩm nông nghiệp là hệ thống chỉ tiêu biểu hiện mối quan hệ giữa nguồn cung và sử dụng của từng loại sản phẩm nông nghiệp của quốc gia trong một thời kỳ nhất định (thường là 1 năm). Đối với mỗi sản phẩm nông nghiệp tổng nguồn cung cấp bằng tổng mức sử dụng sản phẩm đó trong từng thời kỳ.
Để lập bảng cân đối cho một loại nông sản thường phải xác định các chỉ tiêu chủ yếu sau đây:
- Tổng nguồn cung của một loại nông sản trong thời kỳ nhất định.
Công thức tính:
|
Tổng nguồn cung của một loại nông sản trong kỳ |
= |
Thay đổi tồn kho |
+ |
Sản lượng sản xuất trong kỳ |
+ |
Số lượng nhập khẩu trong kỳ |
+ Thay đổi tồn kho là biến động đối với hàng tồn kho trong một năm nhất định từ sản xuất đến bán lẻ; thay đổi tồn kho gồm sự tăng, giảm về lượng của nông sản đó trong kho của Nhà nước, cũng như kho của các đơn vị sản xuất, nhập khẩu, xuất khẩu, doanh nghiệp bán buôn và bán lẻ, doanh nghiệp vận tải, bến bãi và tại các hộ, trang trại.
- Sản lượng sản phẩm sản xuất trong kỳ là tổng lượng nông sản đó sản xuất trong một năm nhất định (không gồm hao hụt trong quá trình thu hoạch).
- Nhập khẩu là toàn bộ sản lượng sản phẩm được đưa từ bên ngoài biên giới vào một quốc gia trong một năm nhất định.
- Tổng sử dụng của một loại nông sản trong thời kỳ nhất định.
Công thức tính:
|
Tổng sử dụng của một loại nông sản trong kỳ |
= |
Số lượng làm thức ăn chăn nuôi |
+ |
Số lượng làm giống |
+ |
Số dùng để chế biến |
+ |
Sử dụng khác |
+ |
Hao hụt |
+ |
Xuất khẩu trong kỳ |
+ |
Để ăn |
+ Thức ăn chăn nuôi là lượng nông sản đó đem cho gia súc, gia cầm và vật nuôi khác ăn và những sản phẩm đã qua chế biến có thể dùng làm thức ăn cho vật nuôi nhưng không được tách riêng trong bảng cân đối lương thực;
+ Giống là lượng nông sản đó sử dụng cho mục đích tái sản xuất, như hạt đem trồng, và trứng để ấp;
+ Chế biến là lượng nông sản đó được sử dụng cho mục đích để sản xuất ra các sản phẩm lương thực, thực phẩm như làm bún, làm bánh, kẹo, giò, chả...
+ Sử dụng khác là lượng nông sản đó được sử dụng để sản xuất các sản phẩm phi lương thực, thực phẩm khác, ví dụ như dừa để sản xuất xà phòng, sắn sản xuất xăng...; sử dụng cho khách du lịch nước ngoài; sai số thống kê...
+ Hao hụt là lượng nông sản đó bị hao hụt trong quá trình sản xuất cho đến tiêu dùng, lưu kho và vận chuyển. Tuy nhiên, loại trừ hao hụt xảy ra vào thời kỳ trước thu hoạch và trong khi thu hoạch. Cũng loại trừ cả hao hụt trong tiêu dùng tại hộ gia đình ví dụ như trong bảo quản, trong chế biến, nấu nướng và lượng thức ăn thừa cho các vật nuôi trong nhà hay phần vứt bỏ đi;
+ Xuất khẩu là toàn bộ các dịch chuyển của nông sản đó ra khỏi quốc gia trong một năm nhất định, gồm cả tạm nhập và tái xuất;
+ Để ăn là lượng nông sản đó sẵn có cho tiêu dùng của con người trong một năm cụ thể được thể hiện dưới dạng trọng lượng. Các số liệu bình quân đầu người được tính dựa trên số dân số trung bình cư trú lâu dài trong một năm cụ thể, không gồm người nước ngoài.
Công thức tính tổng lượng cung cấp cho tiêu dùng:
|
Tổng lượng cung cấp cho tiêu dùng |
= |
Sản lượng sản xuất trong kỳ |
+ |
(Nhập khẩu - xuất khẩu) |
+/- |
Thay đổi tồn kho |
- |
(Giống + Thức ăn chăn nuôi + Hao hụt + Chế biến + Sử dụng khác) |
2. Phân tổ chủ yếu
- Loại nông sản;
- Nguồn;
- Mục đích sử dụng.
3. Kỳ công bố: Năm.
4. Nguồn số liệu
- Các cuộc điều tra hàng năm;
- Chế độ báo cáo thống kê cấp quốc gia.
5. Cơ quan chịu trách nhiệm thu thập, tổng hợp: Tổng cục Thống kê.
0806. Số lượng gia súc, gia cầm và vật nuôi khác
1. Khái niệm, phương pháp tính
Số lượng gia súc, gia cầm và vật nuôi khác là số đầu con gia súc, gia cầm hoặc vật nuôi khác của ngành chăn nuôi có tại thời điểm quan sát, trong đó.
a) Số lượng gia súc gồm:
- Số lượng trâu, gồm số đầu con trâu thịt, trâu cày kéo có tại thời điểm quan sát (kể cả nghé mới sinh sau 24 giờ).
- Số lượng bò, gồm số đầu con bò thịt, bò cày kéo, bò sữa có tại thời điểm điều tra (kể cả bê mới sinh sau 24 giờ).
+ Số lượng bò sữa là số bò có nguồn gốc từ các giống bò sữa được nuôi với mục đích để chuyên lấy sữa.
+ Số lượng bò cái sữa là số bò cái sữa đã đẻ từ 1 lứa trở lên.
- Số lượng lợn/heo gồm số lợn/heo nái, lợn/heo thịt, lợn/heo đực giống (không kể lợn/heo sữa).
+ Số lượng lợn nái là những con được tách ra, chọn lọc để nuôi với mục đích sinh sản và những con nái đã đẻ từ 1 lứa trở lên.
+ Số lượng lợn nái đẻ gồm số nái đã đẻ từ một lứa trở lên.
+ Số lượng lợn đực giống gồm lợn đực được nuôi nhằm mục đích phối giống.
- Số lượng gia súc khác gồm: Ngựa, dê, cừu, hươu, nai, thỏ, chó....
b) Số lượng gia cầm gồm:
- Số lượng gà gồm số lượng gà nội, bản địa, gà lai giữa giống nội, bản địa với giống nhập khẩu, gà công nghiệp nuôi, với mục đích lấy thịt, đẻ trứng (Chỉ tính những con gà từ 1 tháng trở lên, riêng gà công nghiệp chỉ tính những con từ 7 ngày tuổi trở lên).
+ Gà công nghiệp: gồm một số giống gà thường có nguồn gốc từ các giống ngoại được nuôi với mục đích để chuyên lấy thịt (gà chuyên thịt) hoặc để chuyên lấy trứng (gà chuyên trứng). Gà công nghiệp thường có năng suất (thịt/trứng) cao, nuôi với số lượng lớn theo một quy trình khép kín và sử dụng hoàn toàn thức ăn công nghiệp.
+ Gà mái đẻ: Gồm gà nội/bản địa và gà công nghiệp nuôi với mục đích lấy trứng.
- Số lượng vịt, ngan, ngỗng thịt và đẻ trứng (chỉ tính những con từ 1 tháng tuổi trở lên).
- Số lượng gia cầm khác gồm: Chim cút, bồ câu, đà điểu...
c) Vật nuôi khác:
Số lượng vật nuôi khác gồm: Ong, trăn, rắn, nhím, tằm...
2. Phân tổ chủ yếu
- Loại vật nuôi;
- Loại hình chăn nuôi (doanh nghiệp/trang trại/hộ gia đình);
- Loại hình kinh tế;
- Tỉnh/thành phố trực thuộc trung ương.
3. Kỳ công bố: 6 tháng, năm.
4. Nguồn số liệu: Điều tra chăn nuôi.
5. Cơ quan chịu trách nhiệm thu thập, tổng hợp: Tổng cục Thống kê.
0807. Sản lượng một số sản phẩm chăn nuôi chủ yếu
1. Khái niệm, phương pháp tính
Sản lượng một số sản phẩm chăn nuôi chủ yếu là sản lượng sản phẩm chính của gia súc, gia cầm và vật nuôi chủ yếu khác do lao động chăn nuôi kết hợp với quá trình sinh trưởng tự nhiên của vật nuôi tạo ra trong một thời kỳ nhất định (quý, 6 tháng, năm), gồm:
- Sản lượng thịt hơi xuất chuồng: Trọng lượng thịt hơi của đàn gia súc, gia cầm và vật nuôi khác đã xuất bán hoặc tự giết thịt trong kỳ; không tính gia súc, gia cầm và vật nuôi khác xuất chuồng bán cho nhu cầu nuôi sinh sản, đẻ trứng, cày kéo; những con còi cọc, những con bị bệnh nhưng vẫn giết mổ lấy thịt;
- Sản lượng sản phẩm chăn nuôi không qua giết mổ: Các loại sản phẩm thu được trong quá trình chăn nuôi gia súc, gia cầm và vật nuôi khác nhưng không qua giết mổ như sữa tươi, trứng gia cầm, kén tằm, mật ong, lông cừu, nhung hươu,...
2. Phân tổ chủ yếu
- Loại sản phẩm;
- Loại hình kinh tế;
- Tỉnh/thành phố trực thuộc trung ương.
3. Kỳ công bố: 6 tháng, năm.
4. Nguồn số liệu: Điều tra chăn nuôi.
5. Cơ quan chịu trách nhiệm thu thập, tổng hợp: Tổng cục Thống kê.
0808. Diện tích rừng trồng mới tập trung
1. Khái niệm, phương pháp tính
Diện tích rừng trồng mới tập trung là diện tích trồng mới các loại cây lâm nghiệp bảo đảm tiêu chuẩn kỹ thuật và có quy mô diện tích từ 0,5 ha trở lên, nếu là dải cây phải có chiều rộng tối thiểu 20 m và có từ 3 hàng cây trở lên, thực hiện trong một thời kỳ nhất định (quý, 6 tháng, 9 tháng, năm).
Gồm diện tích rừng trồng mới tập trung của các loại hình kinh tế thực hiện trong kỳ. Không tính diện tích các loại cây nông nghiệp như cao su, cà phê, chè... trồng trên đất lâm nghiệp bằng nguồn vốn của các chương trình, dự án lâm nghiệp. Diện tích rừng trồng mới tập trung trong kỳ không bảo đảm tiêu chuẩn kỹ thuật phải phá đi trồng lại lần thứ hai, thứ ba chỉ được tính một lần diện tích trồng mới.
Căn cứ vào mục đích sử dụng, diện tích rừng trồng mới tập trung được chia thành các loại: Diện tích rừng sản xuất trồng mới; diện tích rừng phòng hộ trồng mới; diện tích rừng đặc dụng trồng mới.
2. Phân tổ chủ yếu
a) Kỳ 6 tháng: Phân tổ theo loại rừng
b) Kỳ năm phân tổ theo:
- Loại rừng (phân theo mục đích sử dụng);
- Loại hình kinh tế;
- Tỉnh/thành phố trực thuộc trung ương.
3. Kỳ công bố: 6 tháng, năm.
4. Nguồn số liệu:
- Điều tra lâm nghiệp;
- Chế độ báo cáo thống kê cấp quốc gia.
5. Cơ quan chịu trách nhiệm thu thập, tổng hợp
- Chủ trì: Tổng cục Thống kê;
- Phối hợp: Bộ Nông nghiệp và Phát triển nông thôn.
0809. Sản lượng gỗ và lâm sản ngoài gỗ
1. Khái niệm, phương pháp tính
Sản lượng gỗ và lâm sản ngoài gỗ là khối lượng gỗ, củi, tre, nứa, vầu, luồng,... và các sản phẩm tự nhiên trong rừng như cánh kiến, nhựa cây, quả có dầu, quả có hạt,... được khai thác và thu nhặt từ rừng tự nhiên và rừng trồng trong một thời kỳ nhất định:
- Sản lượng gỗ gồm gỗ tròn, gỗ ở dạng thô, gỗ cưa khúc, gỗ thanh, gỗ cọc đẽo vỏ, gỗ tà vẹt đường ray.
- Sản lượng lâm sản ngoài gỗ gồm củi, tre, luồng, nứa hàng, nứa nguyên liệu giấy,...
- Sản lượng các sản phẩm khác thu nhặt từ rừng gồm cánh kiến, nhựa cây thường, nhựa cây thơm, quả có dầu và các sản phẩm khác.
2. Phân tổ chủ yếu
a) Sản lượng gỗ phân tổ theo:
- Loại hình kinh tế;
- Tỉnh/thành phố trực thuộc trung ương.
b) Sản lượng lâm sản chủ yếu ngoài gỗ phân tổ theo:
- Loại lâm sản;
- Tỉnh/thành phố trực thuộc trung ương.
3. Kỳ công bố: Năm.
4. Nguồn số liệu
- Điều tra lâm nghiệp;
- Chế độ báo cáo thống kê cấp quốc gia.
5. Cơ quan chịu trách nhiệm thu thập, tổng hợp
- Chủ trì: Tổng cục Thống kê;
- Phối hợp: Bộ Nông nghiệp và Phát triển nông thôn.
0810. Diện tích nuôi trồng thủy sản
1. Khái niệm, phương pháp tính
Diện tích nuôi trồng thủy sản là diện tích mặt nước tự nhiên hoặc nhân tạo được sử dụng để nuôi trồng thủy sản trong thời kỳ, gồm diện tích ao, hồ, đầm, ruộng lúa, ruộng muối, sông cụt, vũng, vịnh, đầm, phá, ao đào trên cát, bãi triều ven biển... gồm cả hồ, đập thủy lợi được khoanh nuôi, bảo vệ nguồn lợi thủy sản để thu hoạch, diện tích được quây lại ở sông, hồ lớn, ven biển để nuôi trồng thủy sản, diện tích bờ bao, kênh dẫn nước vào, ra; các ao lắng, lọc...
Diện tích nuôi trồng thủy sản không gồm diện tích của các công trình phụ trợ phục vụ nuôi trồng thủy sản như: Khu vực làm biến thế điện, nhà làm việc, lán trại, nhà kho/nhà xưởng chứa/chế biến thức ăn... và phần diện tích mặt nước chưa thả nuôi.
Công thức tính:
|
Diện tích nuôi trồng thủy sản trong kỳ |
= |
Số vụ nuôi |
x |
Diện tích nuôi trồng thủy sản |
Trong đó:
+ Số vụ nuôi là số lần thu hoạch dứt điểm trong kỳ. Nếu trong kỳ, thu hoạch rải rác theo hình thức tỉa thưa, thả bù, không có vụ nuôi rõ ràng thì chỉ tính 1 vụ nuôi. Trường hợp này thường gặp ở nuôi quảng canh và quảng canh cải tiến;
+ Diện tích mặt nước nuôi trồng thủy sản được tính cho loại nuôi chính. Loại nuôi chính được xác định theo mục đích ban đầu của người nuôi và thường là loại có giá trị hoặc sản lượng lớn nhất.
Những nơi diện tích mặt nước không ổn định (tăng, giảm theo thời vụ hoặc thủy triều...) chỉ tính ở mức trung bình và tương đối ổn định phần diện tích có nuôi trồng thủy sản trong kỳ báo cáo.
Đối với ruộng trũng nuôi tôm, cá... chỉ tính phần diện tích mặt nước có độ sâu từ 30 cm trở lên và có nuôi trồng thủy sản từ 03 tháng trở lên.
- Nếu trên cùng một diện tích có nuôi nhiều vụ mà loại thủy sản nuôi ở các vụ không giống nhau thì diện tích nuôi trồng trong kỳ được tính cho từng loại thủy sản.
Tùy theo mục đích nghiên cứu và tiêu thức phân loại, diện tích nuôi trồng thủy sản được chia theo:
a) Loại nước:
- Diện tích nuôi trồng thủy sản nước ngọt là phần diện tích nuôi trồng thủy sản thuộc khu vực trong đất liền hoặc hải đảo, chưa có sự xâm thực của nước biển như: Sông, suối, hồ đập thủy lợi, đất trũng ngập nước (ruộng trũng, sình lầy,...); có độ mặn của nước dưới 0,5‰.
- Diện tích nuôi trồng thủy sản nước lợ là phần diện tích nuôi trồng thủy sản ở khu vực tiếp giáp giữa đất liền và biển (cửa sông, cửa lạch,... nơi giao thoa giữa nước mặn và nước ngọt từ đất liền chảy ra); độ mặn của nước dao động từ 0,5 đến 20‰.
- Diện tích nuôi trồng thủy sản nước mặn là phần diện tích nuôi trồng thủy sản ở khu vực biển (có độ mặn của nước trên 20‰). Khu vực biển được tính từ mép nước triều kiệt trở ra.
b) Phương thức nuôi:
- Nuôi thâm canh là nuôi ở trình độ kỹ thuật cao, tuân thủ theo quy tắc kỹ thuật chặt chẽ tác động mạnh vào quá trình phát triển và sinh trưởng của đối tượng nuôi: từ chọn giống theo tiêu chuẩn kỹ thuật (thuần, đủ kích cỡ và sức sống) môi trường được chuẩn bị kỹ lưỡng trước khi thả giống, mật độ nuôi bảo đảm theo quy định, đối tượng được chăm sóc thường xuyên hàng ngày, hàng giờ để phòng trừ bệnh, bảo đảm điều kiện môi trường phù hợp với phát triển của thủy sản nuôi; thức ăn hoàn toàn là thức ăn công nghiệp; cơ sở hạ tầng được đầu tư toàn diện như hệ thống ao, đầm, thủy lợi, giao thông, cấp thoát nước, sục khí. Nuôi thâm canh cho năng suất thu hoạch cao hơn nhiều so với nuôi truyền thống.
Hệ thống nuôi tuần hoàn nước (hệ thống nuôi kín) cũng là một hình thức nuôi thâm canh cao.
- Nuôi bán thâm canh là nuôi thủy sản ở trình độ kỹ thuật thấp hơn so với nuôi thâm canh nhưng cao hơn so với phương thức nuôi quảng canh cải tiến: con giống thả nuôi là giống sản xuất hoặc giống tự nhiên, mật độ thả nuôi cao; hệ thống ao, hồ, đầm nuôi được đầu tư khá lớn, có các máy móc đi kèm như máy sục khí, quạt đảo nước...; cho ăn hàng ngày với thức ăn chủ yếu là thức ăn công nghiệp.
- Nuôi quảng canh cải tiến là nuôi thủy sản ở trình độ kỹ thuật thấp hơn nuôi bán thâm canh nhưng cao hơn so với nuôi quảng canh: mật độ thả giống thấp; cho ăn thức ăn công nghiệp hoặc kết hợp với thức ăn tự nhiên với mức độ thường xuyên nhưng cường độ thấp.
- Nuôi quảng canh là nuôi ở trình độ kỹ thuật đơn giản, ít tác động đến quá trình phát triển, sinh trưởng của đối tượng nuôi, con giống thả với mật độ thấp, thức ăn chủ yếu từ tự nhiên thông qua việc lấy nước vào (qua cửa cống) và nhốt giữ vật nuôi trong một thời gian nhất định (tùy thuộc vào đối tượng, mùa vụ), cũng có thể cho ăn thường xuyên nhưng chưa theo quy trình chặt chẽ. Hình thức này còn gọi là nuôi truyền thống, có ưu điểm là phù hợp với quy luật tự nhiên, ít gây tổn hại tới môi trường nhưng năng suất nuôi thủy sản rất thấp.
c) Theo hình thức nuôi thủy sản: nuôi ao/hầm; nuôi bể/bồn; nuôi lồng, bè; nuôi đăng quầng; nuôi bạt đáy/ao xây; nuôi vèo; nuôi ruộng trũng; nuôi trong hồ, đập thủy lợi; nuôi trên đầm, vịnh phá ven biển...
d) Theo cách thức nuôi
- Nuôi chuyên canh: nuôi một loại thủy sản.
- Nuôi kết hợp: nuôi một loại thủy sản kết hợp với một hay nhiều loại thủy sản khác hoặc nuôi thủy sản kết hợp với sản xuất của các ngành khác như cá - lúa, tôm - lúa, nuôi cá/tôm/thủy sản khác trong rừng ngập mặn..., trong đó:
+ Nuôi thủy sản - lúa là cách thức nuôi thủy sản kết hợp với trồng lúa theo kiểu 1 vụ cá/tôm/thủy sản khác - 1 vụ lúa (không tính diện tích nuôi thủy sản xen với trồng lúa).
+ Nuôi thủy sản xen rừng ngập mặn là diện tích nuôi thủy sản kết hợp với trồng rừng hoặc trong các rừng ngập mặn để bảo đảm môi trường sinh thái.
2. Phân tổ chủ yếu
- Loại thủy sản chủ yếu;
- Phương thức nuôi;
- Loại nước;
- Tỉnh/thành phố trực thuộc trung ương.
3. Kỳ công bố: Năm.
4. Nguồn số liệu
- Điều tra thủy sản;
- Tổng điều tra nông thôn, nông nghiệp;
- Điều tra nông thôn, nông nghiệp giữa kỳ.
5. Cơ quan chịu trách nhiệm thu thập, tổng hợp: Tổng cục Thống kê.
0811. Sản lượng thủy sản
1. Khái niệm, phương pháp tính
Sản lượng thủy sản là khối lượng sản phẩm hữu ích chưa qua chế biến hoặc đã qua sơ chế thu được từ hoạt động nuôi trồng, khai thác thủy sản trong một thời kỳ nhất định (thường là tháng, quý, 6 tháng và năm), gồm:
- Các loại động vật thủy sinh sống dưới nước trong đất liền, ven biển, ngoài khơi:
+ Các loài cá có vẩy: Chép, mè, trôi, trắm, hồng, song... hoặc không có vẩy: Cá kèo, cá trình, thờn bơn...;
+ Các loài động vật thuộc họ giáp xác: Tôm, cua, ghẹ, cáy...;
+ Các loài nhuyễn thể: Nhuyễn thể chân đầu (mực, bạch tuộc,...); nhuyễn thể 1 mảnh vỏ (ốc); nhuyễn thể 2 mảnh vỏ (nghêu, sò, hến, tu hài, vẹm,...);
+ Các loài động vật sống dưới nước khác (rùa, giun biển,...)
- Các loài thực vật thủy sinh: Rong biển, tảo biển...;
- Các sản phẩm thu nhặt từ biển làm nguyên liệu sản xuất hoặc tiêu dùng như ngọc trai, yến sào, vỏ ốc...
Không tính vào sản lượng thủy sản: Các loài thú biển khai thác (trừ cá voi) như hải cẩu, hà mã...
Sản lượng thủy sản có thể phân thành nhiều loại khác nhau tùy theo mục đích nghiên cứu và tiêu thức phân loại.
a) Theo ngành hoạt động, gồm:
- Sản lượng thủy sản khai thác là khối lượng sản phẩm thủy sản thu được từ hoạt động đánh bắt, thu nhặt nguồn lợi thủy sản sẵn có trong thiên nhiên ở trong nội địa hay vùng biển, thuộc các loại mặt nước (nước mặn, lợ, ngọt) trong một thời kỳ nhất định. Sản lượng thủy sản khai thác gồm sản lượng thủy sản khai thác biển và sản lượng thủy sản khai thác nội địa.
- Sản lượng thủy sản nuôi trồng: Là khối lượng sản phẩm thủy sản thu được từ các hoạt động nuôi, trồng các loại thủy sản trong các vùng mặt nước mặn, lợ, ngọt.
b) Theo loại nước, gồm:
- Sản lượng thủy sản nuôi nước ngọt;
- Sản lượng thủy sản nuôi nước lợ;
- Sản lượng thủy sản nuôi nước mặn.
Thủy sản sinh trưởng cuối cùng ở đâu thì tính cho loại mặt nước đó, mặc dù trước đó đã sống ở môi trường nước khác.
c) Theo loài thủy sản, gồm:
- Sản lượng cá;
- Sản lượng tôm;
- Sản lượng thủy sản khác.
2. Phân tổ chủ yếu
a) Kỳ quý phân tổ theo:
- Nhóm công suất tàu, thuyền;
- Tỉnh/thành phố trực thuộc trung ương.
b) Kỳ 6 tháng, năm phân tổ theo:
- Loài thủy sản;
- Ngành kinh tế;
- Loại nước;
- Tỉnh/thành phố trực thuộc trung ương.
3. Kỳ công bố
a) Sản lượng thủy sản: 6 tháng, năm;
b) Sản lượng thủy sản khai thác biển: Quý, năm.
4. Nguồn số liệu:
- Điều tra thủy sản;
- Tổng điều tra nông thôn, nông nghiệp;
- Điều tra nông thôn, nông nghiệp giữa kỳ.
5. Cơ quan chịu trách nhiệm thu thập, tổng hợp: Tổng cục Thống kê.
0812. Số lượng và công suất tàu thuyền có động cơ khai thác hải sản
1. Khái niệm, phương pháp tính
a) Số lượng tàu/thuyền
Số lượng tàu/thuyền có động cơ khai thác hải sản là những tàu/thuyền chuyên dùng khai thác hải sản có gắn máy động lực để di chuyển gồm những tàu/thuyền đã đăng kiểm và chưa đăng kiểm nhưng thực tế trong năm có hoạt động khai thác; và những tàu/thuyền cơ giới mới đóng nhưng có mục đích sử dụng vào việc khai thác hải sản lâu dài.
b) Công suất tàu/thuyền
Công suất tàu/thuyền khai thác hải sản là tổng công suất hiện có của các máy chính của tàu/thuyền tại một thời điểm nhất định. Đơn vị tính công suất là mã lực (CV). Số tàu thuyền có động cơ khai thác hải sản được chia thành các nhóm: Nhỏ hơn 20CV; từ 20 đến dưới 50CV; từ 50 đến dưới 90CV; từ 90 đến dưới 250CV; từ 250 đến dưới 400CV; từ 400CV trở lên.
2. Phân tổ chủ yếu
- Nhóm công suất;
- Nghề khai thác chính;
- Phạm vi khai thác;
- Tỉnh/thành phố trực thuộc trung ương.
3. Kỳ công bố: Năm.
4. Nguồn số liệu
- Điều tra thủy sản;
- Tổng điều tra nông thôn, nông nghiệp;
- Điều tra nông thôn, nông nghiệp giữa kỳ.
5. Cơ quan chịu trách nhiệm thu thập, tổng hợp: Tổng cục Thống kê.
09. Công nghiệp
0901. Chỉ số sản xuất công nghiệp
1. Khái niệm, phương pháp tính
a) Khái niệm
Là tỷ lệ phần trăm giữa khối lượng sản xuất công nghiệp tạo ra trong kỳ hiện tại với khối lượng sản xuất công nghiệp kỳ gốc.
Chỉ số sản xuất công nghiệp có thể tính với nhiều kỳ gốc khác nhau tùy thuộc mục đích nghiên cứu. Ở nước ta hiện nay thường chọn kỳ gốc so sánh là cùng kỳ năm trước và kỳ trước liền kề; ít sử dụng gốc so sánh là một tháng cố định của một năm nào đó. Tuy nhiên, hầu hết các nước trên thế giới sử dụng gốc so sánh là tháng bình quân của một năm được chọn làm gốc để tính “chỉ số khối lượng sản phẩm công nghiệp”.
Việc tính chỉ số sản xuất công nghiệp được bắt đầu từ tính chỉ số sản xuất của sản phẩm hay còn gọi là chỉ số cá thể. Từ chỉ số cá thể có thể tính cho các chỉ số sản xuất của ngành công nghiệp cấp 4, cấp 2, cấp 1 và toàn ngành công nghiệp; cũng có thể tính cho một địa phương và cho toàn quốc.
Công thức tính:

Trong đó:
Ix: Chỉ số sản xuất chung;
iXn: Chỉ số sản xuất của sản phẩm (hoặc của một ngành) thứ n;
WXn: Quyền số sản xuất của sản phẩm (hoặc của một ngành) thứ n. Trong công thức này, quyền số được thể hiện là tỷ trọng của sản phẩm trong một ngành hoặc tỷ trọng của một ngành chi tiết trong ngành cấp cao hơn.
b) Quy trình tính toán
- Tính chỉ số sản xuất của một sản phẩm
Công thức tính:

Trong đó:
iqn: Chỉ số sản xuất của sản phẩm cụ thể thứ n (ví dụ như: sản phẩm điện, than, vải, xi măng...);
qn1: Khối lượng sản phẩm hiện vật được sản xuất ra ở thời kỳ báo cáo;
qno: Khối lượng sản phẩm hiện vật được sản xuất ra ở thời kỳ gốc.
Tính chỉ số sản xuất cho từng sản phẩm riêng biệt tuy đơn giản, nhưng lại rất quan trọng, bởi các chỉ số của từng sản phẩm sẽ là cơ sở để tính chỉ số chung cho ngành, cho địa phương và cho toàn quốc. Nếu các chỉ số của từng sản phẩm thiếu chính xác sẽ làm cho chỉ số chung không chính xác.
- Tính chỉ số sản xuất của một ngành công nghiệp cấp 4
Chỉ số sản xuất của một ngành công nghiệp cấp 4 là chỉ số bình quân gia quyền của các chỉ số sản phẩm đại diện cho ngành đó.
Công thức tính:

Trong đó:
IqN4: Chỉ số sản xuất của ngành cấp 4 thứ N;
iqn: Chỉ số sản xuất của sản phẩm thứ n;
Wqn: Quyền số sản xuất của sản phẩm thứ n;
q: Ký hiệu cho khối lượng sản xuất;
N4: Ký hiệu cho ngành cấp 4 (N4=1,2,3,...j);
(j: Số thứ tự của ngành cấp 4 cuối cùng)
n: Ký hiệu cho số sản phẩm (n=1,2,3...k).
(k: Số thứ tự của sản phẩm cuối cùng trong ngành công nghiệp cấp 4).
- Tính chỉ số sản xuất của một ngành công nghiệp cấp 2
Chỉ số sản xuất của ngành công nghiệp cấp 2 là chỉ số bình quân gia quyền các chỉ số sản xuất của các ngành cấp 4 đại diện cho ngành cấp 2 (hoặc là chỉ số bình quân gia quyền các chỉ số sản xuất của các ngành công nghiệp cấp 3 đại diện cho ngành cấp 2).
Công thức tính:

Trong đó:
IqN2: Chỉ số sản xuất của ngành công nghiệp cấp 2;
IqN4: Chỉ số sản xuất của ngành công nghiệp cấp 4 đại diện cho ngành công nghiệp cấp 2;
WqN4: Quyền số sản xuất của ngành công nghiệp cấp 4 đại diện cho ngành công nghiệp cấp 2.
Quyền số sản xuất của ngành công nghiệp cấp 4 là tỷ trọng của giá trị tăng thêm của ngành công nghiệp cấp 4 đó trong tổng giá trị tăng thêm của ngành công nghiệp cấp 2 tại thời điểm được chọn để tính quyền số.
- Tính chỉ số sản xuất của ngành công nghiệp cấp 1
Chỉ số sản xuất của ngành công nghiệp cấp 1 là chỉ số bình quân gia quyền của các chỉ số sản xuất của các ngành công nghiệp cấp 2 trong ngành cấp 1.
Công thức tính:

Trong đó:
IqN1: Chỉ số sản xuất của ngành công nghiệp cấp 1;
IqN2: Chỉ số sản xuất của các ngành công nghiệp cấp 2;
WqN2: Quyền số sản xuất của các ngành công nghiệp cấp 2.
Trong ngành công nghiệp cấp 1 gồm nhiều ngành công nghiệp cấp 2 có vị trí quan trọng khác nhau. Tùy điều kiện, khả năng và yêu cầu mà chỉ số sản xuất của ngành công nghiệp cấp 1 được tính bình quân gia quyền từ tất cả các ngành công nghiệp cấp 2 thuộc ngành cấp 1, hoặc chỉ tính bình quân gia quyền của một số ngành cấp 2 quan trọng đủ đại diện cho ngành cấp 1.
- Tính chỉ số sản xuất của toàn ngành công nghiệp
Chỉ số sản xuất của toàn ngành công nghiệp là chỉ số bình quân gia quyền các chỉ số sản xuất của các ngành công nghiệp cấp 1 (gồm 4 ngành công nghiệp cấp I là: công nghiệp khai khoáng; công nghiệp chế biến, chế tạo; công nghiệp sản xuất và phân phối điện, khí đốt, nước nóng, hơi nước và điều hòa không khí; cung cấp nước, hoạt động quản lý và xử lý rác thải, nước thải).
Công thức tính:

Trong đó:
IQ: Chỉ số sản xuất của toàn ngành công nghiệp;
IqN1: Chỉ số sản xuất của từng ngành công nghiệp cấp 1;
WqN1: Quyền số của từng ngành công nghiệp cấp 1.
2. Phân tổ chủ yếu
- Ngành kinh tế;
- Tỉnh/thành phố trực thuộc trung ương.
3. Kỳ công bố: Tháng, quý, năm.
4. Nguồn số liệu: Điều tra ngành công nghiệp.
5. Cơ quan chịu trách nhiệm thu thập, tổng hợp: Tổng cục Thống kê.
0902. Sản lượng một số sản phẩm công nghiệp chủ yếu
1. Khái niệm, phương pháp tính
Là sản lượng của những sản phẩm quan trọng đối với nền kinh tế được ngành công nghiệp sản xuất ra trong một thời kỳ nhất định (tháng, quý, năm).
Danh mục sản phẩm công nghiệp chủ yếu được quy định căn cứ vào vị trí, vai trò của sản phẩm đối với tiêu dùng trong nước, xuất khẩu, nhu cầu dự trữ và đóng góp cho ngân sách. Danh mục này thay đổi theo từng thời kỳ phát triển kinh tế xã hội. Sản lượng của mỗi sản phẩm chủ yếu gồm thành phẩm (chính phẩm, thứ phẩm, phụ phẩm) và bán thành phẩm bán ra ngoài, trong đó:
- Thành phẩm là sản phẩm do hoạt động sản xuất công nghiệp của cơ sở tạo ra; không phân biệt sản phẩm đó được sản xuất từ nguyên vật liệu của cơ sở hay nguyên vật liệu của khách hàng đưa đến gia công. Những sản phẩm này đã làm xong thủ tục nhập kho thành phẩm trong kỳ, gồm:
+ Chính phẩm là những sản phẩm vật chất công nghiệp sản xuất ra đạt quy cách và phẩm chất đúng tiêu chuẩn kỹ thuật quy định.
+ Thứ phẩm là những sản phẩm vật chất công nghiệp sản xuất ra chưa đạt tiêu chuẩn quy cách và phẩm chất theo quy định nhưng vẫn có giá trị sử dụng và được tiêu thụ (thị trường chấp nhận).
+ Phụ phẩm (còn gọi là sản phẩm song song) là những sản phẩm vật chất được tạo ra trong quá trình sản xuất công nghiệp cùng với sản phẩm chính.
- Bán thành phẩm là sản phẩm do hoạt động sản xuất công nghiệp của cơ sở tạo ra, đã kết thúc giai đoạn sản xuất nhất định trong phạm vi một phân xưởng sản xuất (kết thúc một công đoạn trong toàn bộ công đoạn sản xuất sản phẩm), phù hợp với quy cách, đạt tiêu chuẩn kỹ thuật quy định của một giai đoạn sản xuất và còn được tiếp tục sản xuất chế biến trong phân xưởng sản xuất khác của cơ sở (một công đoạn tiếp tục của sản xuất sản phẩm). Bán thành phẩm của các cơ sở sản xuất được bán ra ngoài cũng được coi là thành phẩm công nghiệp.
2. Phân tổ chủ yếu
a) Kỳ tháng, quý phân tổ theo loại sản phẩm.
b) Kỳ năm phân tổ theo:
- Loại sản phẩm;
- Loại hình kinh tế.
3. Kỳ công bố: Tháng, quý, năm.
4. Nguồn số liệu: Điều tra ngành công nghiệp.
5. Cơ quan chịu trách nhiệm thu thập, tổng hợp: Tổng cục Thống kê.
0903. Tỷ trọng giá trị xuất khẩu sản phẩm công nghệ cao trong tổng giá trị sản phẩm công nghệ cao
1. Khái niệm, phương pháp tính
Là chỉ tiêu tương đối, thể hiện bằng tỷ lệ phần trăm (%) giữa giá trị xuất khẩu sản phẩm công nghệ cao trong tổng giá trị sản phẩm công nghệ cao trong một thời kỳ nhất định.
Công thức tính:
|
Tỷ trọng giá trị xuất khẩu sản phẩm công nghệ cao trong tổng giá trị sản phẩm công nghệ cao |
= |
Giá trị xuất khẩu sản phẩm công nghệ cao trong kỳ báo cáo |
x 100 |
|
Tổng giá trị sản phẩm công nghệ cao trong kỳ báo cáo |
Sản phẩm công nghệ cao là sản phẩm do công nghệ cao tạo ra, có chất lượng, tính năng vượt trội, giá trị gia tăng cao, thân thiện với môi trường.
2. Phân tổ chủ yếu
- Ngành kinh tế;
- Loại sản phẩm công nghệ cao.
3. Kỳ công bố: Năm.
4. Nguồn số liệu
- Điều tra doanh nghiệp;
- Điều tra xuất khẩu, nhập khẩu hàng hóa;
- Chế độ báo cáo thống kê cấp quốc gia.
5. Cơ quan chịu trách nhiệm thu thập, tổng hợp
- Chủ trì: Tổng cục Thống kê;
- Phối hợp: Bộ Công Thương, Bộ Khoa học và Công nghệ, Bộ Tài chính.
0904. Tỷ trọng công nghiệp chế biến trong tổng sản phẩm trong nước
1. Khái niệm, phương pháp tính
Tỷ trọng công nghiệp chế biến, chế tạo trong tổng sản phẩm trong nước là tỷ lệ phần trăm (%) của giá trị tăng thêm được tạo ra của ngành công nghiệp chế biến, chế tạo so với tổng sản phẩm trong nước trong một thời kỳ nhất định.
Công thức tính:

Trong đó:
Icbct: Tỷ trọng ngành chế biến, chế tạo trong GDP
VAcbct: giá trị tăng thêm ngành chế biến, chế tạo
GDP: Tổng GDP toàn bộ nền kinh tế
2. Phân tổ chủ yếu
- Loại hình kinh tế;
- Tỉnh/thành phố trực thuộc trung ương.
3. Kỳ công bố: Năm.
4. Nguồn số liệu
- Điều tra doanh nghiệp;
- Điều tra cơ sở sản xuất kinh doanh cá thể.
5. Cơ quan chịu trách nhiệm thu thập, tổng hợp: Tổng cục Thống kê.
0905. Giá trị tăng thêm bình quân đầu người của công nghiệp chế biến theo sức mua tương đương
1. Khái niệm, phương pháp tính
Giá trị tăng thêm bình quân đầu người của công nghiệp chế biến, chế tạo theo sức mua tương đương (PPP) được tính bằng tỷ lệ giá trị tăng thêm của ngành công nghiệp chế biến, chế tạo trong năm theo sức mua tương đương chia cho dân số bình quân trong năm tương ứng.
Công thức tính:

Trong đó:
VAcbctbq: Giá trị tăng thêm bình quân đầu người của công nghiệp chế biến, chế tạo theo sức mua tương đương;
VAcbcttd: Giá trị tăng thêm ngành chế biến, chế tạo theo sức mua tương đương;
VAcbcttd = VAcbcthh x Ttd
P: Dân số bình quân trong năm;
VAcbcthh: giá trị tăng thêm ngành chế biến, chế tạo tính theo giá hiện hành;
Ttd: Tỷ giá sức mua tương đương của Việt Nam so với tỷ giá bình quân toàn cầu.
2. Phân tổ chủ yếu: Loại hình kinh tế.
3. Kỳ công bố: Năm.
4. Nguồn số liệu
- Điều tra doanh nghiệp;
- Điều tra cơ sở sản xuất kinh doanh cá thể.
5. Cơ quan chịu trách nhiệm thu thập, tổng hợp: Tổng cục Thống kê.
0906. Chỉ số tiêu thụ sản phẩm công nghiệp chế biến, chế tạo
1. Khái niệm, phương pháp tính
Chỉ số tiêu thụ sản phẩm ngành công nghiệp chế biến, chế tạo là chỉ tiêu so sánh mức tiêu thụ hàng hóa và dịch vụ công nghiệp chế biến, chế tạo kỳ nghiên cứu với thời kỳ được chọn làm gốc so sánh. Kỳ gốc so sánh của chỉ số tiêu thụ thường là tháng bình quân của năm được chọn làm gốc hoặc tháng trước liền kề, tháng cùng kỳ năm trước,...
Quy trình tính chỉ số tiêu thụ sản phẩm công nghiệp chế biến, chế tạo cũng gồm 5 bước chính như sau:
- Tính chỉ số tiêu thụ của từng sản phẩm
Công thức tính:

Trong đó:
itn: Chỉ số tiêu thụ của sản phẩm n;
Tn1: Số lượng sản phẩm hiện vật tiêu thụ ở thời kỳ hiện tại của sản phẩm n;
Tn0: Số lượng sản phẩm hiện vật tiêu thụ ở thời kỳ gốc so sánh của sản phẩm n;
t: Ký hiệu cho tiêu thụ;
n: Ký hiệu cho số thứ tự sản phẩm (n = 1, 2, 3,.... k),
- Tính chỉ số tiêu thụ của ngành công nghiệp chế biến, chế tạo cấp 4
Công thức tính:

Trong đó:
ItN4: Chỉ số tiêu thụ của ngành cấp 4 (N4 = 1, 2, 3,... X);
itn: Chỉ số tiêu thụ của sản phẩm n;
Wtn: Quyền số tiêu thụ của sản phẩm thứ n (n = 1, 2, 3,.... k).
Quyền số tiêu thụ của sản phẩm là tỷ trọng doanh thu tiêu thụ của sản phẩm đó trong tổng doanh thu tiêu thụ của các sản phẩm thuộc ngành công nghiệp chế biến, chế tạo cấp 4 tại thời điểm được chọn để tính quyền số.
- Tính chỉ số tiêu thụ của ngành công nghiệp chế biến, chế tạo cấp 2
Công thức tính:

Trong đó:
ItN2: Chỉ số tiêu thụ của ngành cấp 2 (N2 = 1, 2, 3,... Y);
ItN4: Chỉ số tiêu thụ của ngành công nghiệp chế biến, chế tạo cấp 4;
WtN4: Quyền số tiêu thụ của ngành công nghiệp chế biến, chế tạo cấp 4.
Quyền số tiêu thụ của ngành công nghiệp chế biến, chế tạo cấp 4 là tỷ trọng của doanh thu tiêu thụ của ngành công nghiệp chế biến, chế tạo cấp 4 đó trong tổng doanh thu tiêu thụ của ngành công nghiệp chế biến, chế tạo cấp 2 tại thời điểm được chọn để tính quyền số.
- Chỉ số tiêu thụ của toàn ngành công nghiệp chế biến, chế tạo
Công thức tính:

Trong đó:
ItN1: Chỉ số tiêu thụ của toàn ngành công nghiệp chế biến, chế tạo;
ItN2: Chỉ số tiêu thụ của ngành công nghiệp chế biến, chế tạo cấp 2;
WtN2: Quyền số tiêu thụ của ngành công nghiệp chế biến, chế tạo cấp 2.
Quyền số tiêu thụ của ngành công nghiệp chế biến, chế tạo cấp 2 là tỷ trọng của doanh thu tiêu thụ của ngành công nghiệp chế biến, chế tạo cấp 2 đó trong tổng doanh thu tiêu thụ của ngành công nghiệp chế biến, chế tạo cấp 1 tại thời điểm được chọn để tính quyền số.
2. Phân tổ chủ yếu: Ngành kinh tế.
3. Kỳ công bố: Quý, năm.
4. Nguồn số liệu: Điều tra ngành công nghiệp.
5. Cơ quan chịu trách nhiệm thu thập, tổng hợp: Tổng cục Thống kê.
0907. Chỉ số tồn kho sản phẩm công nghiệp chế biến, chế tạo
1. Khái niệm, phương pháp tính
Chỉ số tồn kho sản phẩm công nghiệp chế biến, chế tạo là chỉ tiêu so sánh mức tồn kho sản phẩm công nghiệp chế biến, chế tạo tại thời điểm quan sát với thời điểm được chọn làm gốc so sánh. Tùy theo mục đích nghiên cứu mà thời điểm gốc so sánh được chọn khác nhau. Cụ thể:
- Khi so sánh theo kỳ gốc cố định thường phải chọn mức tồn kho đầu tháng, cuối tháng của tháng nào đó hoặc đầu năm, cuối năm của một năm nào đó cố định để so sánh cho các tháng, các năm tiếp theo;
- Khi so sánh với cùng kỳ năm trước thường chọn kỳ gốc là mức tồn kho cuối tháng, cuối quý, cuối năm trước;
- Khi so sánh với kỳ trước liền kề, thì chọn mức tồn kho cuối tháng, cuối quý hoặc cuối năm trước liền kề.
Chỉ số tồn kho sản phẩm phản ánh tình hình biến động tồn kho của sản phẩm trong các cơ sở sản xuất của ngành công nghiệp.
Chỉ số tồn kho sản phẩm công nghiệp gồm chỉ số tồn kho của từng sản phẩm được tính trên cơ sở số lượng sản phẩm tồn kho của từng sản phẩm giữa thời điểm kỳ báo cáo và kỳ gốc so sánh; chỉ số tồn kho của ngành công nghiệp cấp 4 là chỉ số bình quân gia quyền các chỉ số tồn kho của những sản phẩm đại diện cho ngành công nghiệp cấp 4 đó; chỉ số tồn kho của ngành công nghiệp cấp 2, cấp 1 là chỉ số bình quân gia quyền các chỉ số tồn kho của ngành hoặc loại hình sở hữu cấp dưới đại diện.
- Chỉ số tồn kho của từng sản phẩm
Công thức tính:

Trong đó:
idn: Chỉ số tồn kho của sản phẩm n (n = 1, 2, 3... k);
qdn1: Số lượng sản phẩm tồn kho của sản phẩm n tại thời điểm kỳ hiện tại;
qdn0: Số lượng sản phẩm tồn kho của sản phẩm n tại thời điểm kỳ gốc so sánh;
d: Ký hiệu cho tồn kho.
- Chỉ số tồn kho của ngành công nghiệp chế biến, chế tạo cấp 4
Công thức tính:

Trong đó:
IdN4: Chỉ số tồn kho của ngành cấp 4;
idn: Chỉ số tồn kho của sản phẩm đại diện thứ n;
Wdn: Quyền số tồn kho của sản phẩm thứ n.
Quyền số tồn kho của sản phẩm là tỷ trọng giá trị tồn kho của sản phẩm đó trong tổng giá trị tồn kho của ngành công nghiệp chế biến, chế tạo cấp 4 tại thời điểm được chọn để tính quyền số.
- Chỉ số tồn kho của ngành công nghiệp chế biến, chế tạo cấp 2
Công thức tính:

Trong đó:
IdN2: Chỉ số tồn kho của ngành công nghiệp chế biến, chế tạo cấp 2;
IdN4: Chỉ số tồn kho của ngành công nghiệp chế biến, chế tạo cấp 4;
WdN4: Quyền số tồn kho của ngành công nghiệp chế biến, chế tạo cấp 4.
Quyền số tồn kho của ngành công nghiệp chế biến, chế tạo cấp 4 là tỷ trọng giá trị tồn kho của ngành công nghiệp chế biến, chế tạo cấp 4 trong tổng giá trị tồn kho của ngành công nghiệp chế biến, chế tạo cấp 2 tại thời điểm được chọn để tính quyền số.
- Chỉ số tồn kho của toàn ngành công nghiệp chế biến, chế tạo
Công thức tính:

Trong đó:
IdN1: Chỉ số tồn kho của toàn ngành công nghiệp chế biến, chế tạo;
IdN2: Chỉ số tồn kho của ngành công nghiệp chế biến, chế tạo cấp 2;
WdN2: Quyền số tồn kho của ngành công nghiệp chế biến, chế tạo cấp 2.
Quyền số tồn kho của ngành công nghiệp chế biến, chế tạo cấp 2 là tỷ trọng giá trị tồn kho của ngành công nghiệp chế biến, chế tạo cấp 2 trong tổng giá trị tồn kho của ngành công nghiệp chế biến, chế tạo cấp 1 tại thời điểm được chọn để tính quyền số.
2. Phân tổ chủ yếu: Ngành kinh tế.
3. Kỳ công bố: Quý, năm.
4. Nguồn số liệu: Điều tra ngành công nghiệp.
5. Cơ quan chịu trách nhiệm thu thập, tổng hợp: Tổng cục Thống kê.
0908. Cân đối một số năng lượng chủ yếu
1. Khái niệm, phương pháp tính
a) Nguồn năng lượng
Năng lượng là dạng vật chất đặc biệt, tồn tại dưới nhiều hình thái khác nhau (hình thái vật thể như: Than, củi, dầu, gas; hình thái phi vật thể như: Điện, sức gió,.. nhưng đều có đặc tính chung là khi tiêu dùng sẽ tạo ra một nhiệt năng nhất định hoặc khả năng sinh ra công thông qua hệ thống thiết bị truyền lực. Chỉ tiêu nguồn năng lượng là khối lượng của các loại năng lượng sẵn sàng đáp ứng cho nhu cầu tiêu dùng của toàn xã hội trong một thời kỳ nhất định (tháng, quý, năm). Khối lượng năng lượng được tính theo đơn vị tính tự nhiên của từng loại năng lượng như: Điện tính bằng kwh; than tính bằng tấn; xăng, dầu tính bằng tấn hoặc lít; khí thiên nhiên tính bằng m3,... đồng thời cũng có thể tính theo đơn vị quy đổi chung cho các loại năng lượng như: Calo, Jun,...
Công thức tính tổng nguồn năng lượng:
|
Tổng nguồn năng lượng |
= |
Chênh lệch tồn kho |
+ |
Sản xuất |
+ |
Nhập khẩu |
- |
Xuất khẩu |
- |
Hao hụt, tổn thất |
Phương pháp tính từng yếu tố như sau:
- Chênh lệch tồn kho là khả năng sẵn sàng huy động ngay cho nhu cầu, nên được tính vào nguồn cung để cân đối với cầu. Tồn kho được tính đầy đủ ở tất cả các khâu của quá trình sản xuất và cung ứng năng lượng, gồm tồn kho ở khâu sản xuất, khâu cung ứng và cả khâu sử dụng. Đối với những loại năng lượng sản xuất gắn liền với tiêu thụ, không xác định được lượng tồn kho, thì tồn kho bằng 0.
Tồn kho chỉ được tính vào nguồn năng lượng phần chênh lệch giữa tồn kho đầu kỳ với tồn kho cuối kỳ. Yếu tố chênh lệch tồn kho được tính bằng cách lấy mức tồn kho đầu kỳ trừ (-) mức tồn kho cuối kỳ, nếu kết quả là dương (+) được cộng vào tổng nguồn năng lượng, nếu âm (-) thì phải trừ bớt trong tổng nguồn năng lượng trong kỳ.
- Sản xuất là sản lượng của một loại năng lượng cụ thể được sản xuất ra trong kỳ, được nhập kho hoặc sẵn sàng cho tiêu thụ. Sản lượng sản xuất được tính vào tổng nguồn năng lượng phải là sản phẩm bảo đảm đáp ứng được cho nhu cầu và xong thủ tục nhập kho để tiêu thụ (đối với loại năng lượng có thực hiện chế độ nhập kho như: Sản xuất than, khai thác dầu, tinh lọc xăng dầu,...); hoặc sẵn sàng cung cấp cho các nhu cầu sử dụng (đối với loại năng lượng sản xuất ra không thực hiện thủ tục nhập kho như: Sản xuất điện, khai thác khí đốt...). Cách tính cụ thể nguồn năng lượng sản xuất như sau:
+ Đối với những nguồn năng lượng sản xuất (kể cả nguồn năng lượng nguyên thủy và nguồn năng lượng thứ sinh) có thực hiện nhập kho thành phẩm, thì sản lượng năng lượng sản xuất được tính bằng sản lượng đã làm xong thủ tục nhập kho trong kỳ.
+ Trường hợp sản xuất năng lượng vừa để bán ra ngoài, vừa sử dụng cho các hoạt động sản xuất kinh doanh khác của đơn vị, thì sản lượng năng lượng sản xuất phải được tính đầy đủ cả phần sản xuất để bán ra ngoài và phần dùng trong nội bộ đơn vị. Để tính không trùng và không sót, trường hợp này được quy định cách tính như sau:
Nếu đơn vị sản xuất thực hiện hạch toán nhập kho toàn bộ sản phẩm sản xuất, sau đó mới làm thủ tục xuất kho tiêu thụ cho bên ngoài hoặc cho tiêu dùng nội bộ, thì lấy theo số liệu sản phẩm nhập kho trong kỳ.
Nếu đơn vị chỉ nhập kho với thành phẩm bán ra ngoài, còn dùng trong nội bộ đơn vị không qua nhập kho và cung ứng trực tiếp ở nơi sản xuất, thì sản lượng năng lượng sản xuất bằng số nhập kho trong kỳ cộng với sản lượng thực tế đã tiêu dùng cho nội bộ đơn vị.
+ Đối với những nguồn năng lượng sản xuất nhưng không thực hiện thủ tục nhập kho thành phẩm, mà tổ chức cung ứng trực tiếp cho tiêu dùng như: Sản xuất điện, khai thác khí đốt,... thì sản lượng năng lượng sản xuất được tính trên đồng hồ đo sản lượng tại nơi sản xuất chuyển qua cho tiêu thụ.
+ Đối với một số nguồn năng lượng sản phẩm không chỉ sử dụng cho mục đích làm nguồn năng lượng mà còn được sử dụng với mục đích làm nguyên vật liệu đầu vào cho sản xuất cho các ngành khác. Nếu dùng cho mục đích làm nguồn năng lượng, thì đó là sản phẩm năng lượng, nhưng nếu dùng làm nguyên liệu cho sản xuất cho các ngành khác thì không phải là sản phẩm năng lượng. Với những sản phẩm này, sản lượng năng lượng sản xuất được tính trên cơ sở số liệu sản xuất thực tế cho nhu cầu làm nguồn cung cấp năng lượng hoặc sản lượng thực tế đã dùng vào mục đích cung cấp nguồn năng lượng.
- Nhập khẩu: Để cân đối giữa cung và cầu các nguồn năng lượng, nhiều quốc gia sản xuất trong nước không đủ đáp ứng nhu cầu, cần phải nhập khẩu, phổ biến nhập khẩu năng lượng là than, xăng dầu, khí đốt, một số nước đã nhập khẩu cả điện. Nguồn năng lượng nhập khẩu phải căn cứ vào hải quan, đó là sản lượng năng lượng đã hoàn thành thủ tục nhập khẩu tại hải quan cửa khẩu và được đưa về nhập kho trong nước của các đơn vị nhập khẩu hoặc bán thẳng cho đơn vị sử dụng trong nước.
- Xuất khẩu: Ngược lại với nhập khẩu, xuất khẩu làm giảm nguồn cung năng lượng.
Năng lượng xuất khẩu là sản lượng năng lượng đã làm xong thủ tục hải quan cửa khẩu và được đưa lên phương tiện vận chuyển khỏi biên giới. Trường hợp xuất khẩu năng lượng không qua thủ tục hải quan thì tính theo sản lượng thực tế của các đơn vị trực tiếp bán cho nước ngoài.
- Hao hụt, tổn thất tự nhiên là toàn bộ số năng lượng mất đi trong quá trình lưu thông phân phối theo định mức kỹ thuật, đó là những hao hụt tất yếu phải có đo đặc tính kỹ thuật sinh ra, ví dụ: Xăng, dầu có bốc hơi tự nhiên, điện khi truyền tải phải có hao hụt trên đường dây, than để lâu phải có hao hụt theo thời tiết mưa nắng.., Những hao hụt này được xác định trước theo các định mức cho phép. Những tổn thất trên do đã được tính trong các yếu tố chênh lệch tồn kho, sản xuất, nhập khẩu, nhưng lại không còn có ý nghĩa sẵn sàng cho cung cấp nên luồn mang ý nghĩa là một số âm phải trừ đi trong tổng các yếu tố của tổng nguồn năng lượng.
b) Tiêu dùng năng lượng
Tiêu dùng năng lượng là khối lượng năng lượng thực tế đã tiêu dùng cho các hoạt động sản xuất kinh doanh, tiêu dùng cho dân cư và tiêu dùng khác của xã hội trong kỳ nghiên cứu. Tiêu dùng năng lượng thường tính toán cho hai chỉ tiêu: Tiêu dùng năng lượng chung và tiêu dùng năng lượng cuối cùng.
- Tiêu dùng năng lượng chung là khối lượng năng lượng tiêu dùng cho hoạt động sản xuất, hoạt động dịch vụ, tiêu dùng cho dân cư và tiêu dùng khác. Khối lượng năng lượng tiêu dùng chung gồm khối lượng năng lượng đầu vào khi tiêu dùng sẽ bị mất hoàn toàn và khối lượng năng lượng.
Công thức tính:
|
Tiêu dùng năng lượng chung |
= |
Tiêu dùng hoạt động sản xuất |
+ |
Tiêu dùng cho hoạt động dịch vụ |
+ |
Tiêu dùng cho dân cư |
+ |
Tiêu dùng cho các hoạt động khác |
+ Tiêu dùng năng lượng cho hoạt động sản xuất là khối lượng năng lượng tiêu dùng trực tiếp cho hoạt động sản xuất vật chất hay cho ngành công nghiệp, nông nghiệp. Về nguyên tắc phải tính năng lượng tiêu dùng trực tiếp cho hoạt động sản xuất, nhưng thực tế không thể có hạch toán riêng biệt cho các hoạt động, mà phải căn cứ vào chủ thể tiêu dùng có tư cách pháp nhân về sử dụng năng lượng, đó là các cơ sở sản xuất hạch toán kinh doanh độc lập. Trong trường hợp một cơ sở hạch toán độc lập có nhiều hoạt động thuộc các nhóm khác nhau, nếu hạch toán riêng được năng lượng tiêu dùng cho từng nhóm thì tách ra đưa vào tiêu dùng của mỗi nhóm. Nếu không hạch toán tách được thì quy ước tính cả vào cho hoạt động chính của cơ sở.
+ Tiêu dùng năng lượng cho hoạt động dịch vụ là khối lượng năng lượng tiêu dùng trực tiếp cho các hoạt động dịch vụ kinh doanh vì lợi nhuận; dịch vụ có thu và dịch vụ công của các đơn vị kinh doanh dịch vụ và đơn vị sự nghiệp. Đối với các đơn vị kinh doanh dịch vụ thì phương pháp tính như năng lượng tiêu dùng cho hoạt động sản xuất trình bày ở trên. Đối với tiêu dùng năng lượng của các đơn vị sự nghiệp thì việc tính toán chỉ tiêu này phải căn cứ vào đơn vị sự nghiệp có đủ tư cách pháp nhân như: Bệnh viện, trạm điều dưỡng, trường học, viện nghiên cứu... Trong trường hợp một đơn vị sự nghiệp có nhiều hoạt động khác nhau, nếu tính riêng được thì tách cho từng hoạt động, không tách riêng được thì quy ước tính vào cho hoạt động chính.
+ Tiêu dùng năng lượng cho dân cư là khối lượng năng lượng tiêu dùng trực tiếp phục vụ đời sống của các cá nhân, hộ dân cư.
Năng lượng tiêu dùng cho dân cư chỉ tính năng lượng trực tiếp tiêu dùng cho đời sống của dân cư và hộ dân cư như: Năng lượng để thắp sáng, nấu ăn, chạy các thiết bị đồ gia dụng (máy giặt, bàn là, ti vi, tủ lạnh, lò sưởi, máy hút bụi, quạt, điều hòa nhiệt độ,...). Không tính vào tiêu dùng dân cư những năng lượng trực tiếp dùng vào sản xuất, kinh doanh dịch vụ của hộ dân cư (phần này tính vào nhóm sản xuất hoặc kinh doanh dịch vụ).
+ Tiêu dùng năng lượng cho các hoạt động khác là khối lượng năng lượng tiêu dùng trực tiếp cho các hoạt động khác ngoài 3 nhóm đối tượng trên (như nghiên cứu, thử nghiệm khoa học; các tổ chức quốc tế; các đại sứ quán...). Việc tính toán chỉ tiêu này phải căn cứ vào cơ quan, tổ chức có đầy đủ tư cách pháp nhân về sử dụng năng lượng theo các hợp đồng và khối lượng năng lượng thực tế tiêu dùng đã thanh toán với đơn vị cung cấp năng lượng.
- Tiêu dùng năng lượng cuối cùng là phần năng lượng tiêu dùng trực tiếp cho toàn xã hội khi tiêu dùng năng lượng bị mất hoàn toàn, không tái tạo ra nguồn năng lượng khác. Năng lượng tiêu dùng cuối cùng không gồm năng lượng tiêu dùng để chế biến ra các loại năng lượng mới.
Công thức tính:
|
Năng lượng tiêu dùng cuối cùng |
= |
Năng lượng tiêu dùng chung |
- |
Năng lượng tiêu dùng để chế biến ra các loại năng lượng mới |
Phương pháp tính của từng đối tượng trong tiêu dùng cuối cùng tương tự như phần tiêu dùng chung, chỉ khác là không có tiêu dùng cho các hoạt động chế biến năng lượng khác.
2. Phân tổ chủ yếu
- Loại năng lượng;
- Khu vực tiêu dùng năng lượng.
3. Kỳ công bố: Năm.
4. Nguồn số liệu
- Điều tra doanh nghiệp;
- Điều tra cơ sở sản xuất kinh doanh cá thể;
- Khảo sát mức sống dân cư Việt Nam.
5. Cơ quan chịu trách nhiệm thu thập, tổng hợp: Tổng cục Thống kê.
0909. Năng lực sản xuất của sản phẩm công nghiệp
1. Khái niệm, phương pháp tính
Năng lực sản xuất của một số sản phẩm công nghiệp chủ yếu là khối lượng của những sản phẩm công nghiệp quan trọng đối với nền kinh tế và nhu cầu tiêu dùng của dân cư mà ngành công nghiệp có thể sản xuất ra trong một thời kỳ nhất định.
Năng lực sản xuất của một sản phẩm thường được thể hiện ở sản phẩm cuối cùng của dây chuyền sản xuất và biểu hiện bằng khối lượng thành phẩm được sản xuất ra tính theo năng lực sản xuất thiết kế hoặc theo năng lực sản xuất thực tế.
a) Năng lực sản xuất theo thiết kế là khả năng sản xuất cao nhất của máy móc, dây chuyền sản xuất hiện có trong điều kiện sử dụng đầy đủ và hợp lý nhất các tư liệu sản xuất, áp dụng các quy trình công nghệ theo thiết kế với việc tổ chức sản xuất ở điều kiện bình thường.
b) Năng lực sản xuất thực tế là khối lượng sản phẩm thực tế đã sản xuất trong kỳ trên cơ sở điều kiện thực tế hiện có về máy móc, thiết bị, nguồn nhân lực, nguồn tài chính và các nguồn lực khác.
2. Phân tổ chủ yếu
- Sản phẩm chủ yếu;
- Tỉnh/thành phố trực thuộc trung ương.
3. Kỳ công bố: 2 năm.
4. Nguồn số liệu: Điều tra năng lực sản xuất của một số sản xuất công nghiệp.
5. Cơ quan chịu trách nhiệm thu thập, tổng hợp
- Chủ trì: Bộ Công Thương;
- Phối hợp: Tổng cục Thống kê.
10. Thương mại, dịch vụ
1001. Doanh thu bán lẻ hàng hóa
1. Khái niệm, phương pháp tính
Bán lẻ hàng hóa là bán những hàng hóa loại mới, hàng đã qua sử dụng, chủ yếu cho tiêu dùng cá nhân, hộ gia đình, tại các cửa hàng, siêu thị, trung tâm thương mại, hợp tác xã mua bán, quầy hàng bán tại chợ hoặc bán lưu động,...
Doanh thu bán lẻ hàng hóa gồm toàn bộ số tiền thu được, hoặc sẽ thu được từ bán lẻ hàng hóa (kể cả các khoản phụ thu và phí thu thêm ngoài giá bán, nếu có) của các doanh nghiệp, cơ sở sản xuất kinh doanh cá thể phi nông, lâm nghiệp và thủy sản.
2. Phân tổ chủ yếu
- Kỳ tháng, quý phân tổ theo: Nhóm hàng chủ yếu;
- Kỳ năm phân tổ theo: Tỉnh/thành phố trực thuộc trung ương.
3. Kỳ công bố: Tháng, quý, năm.
4. Nguồn số liệu
- Điều tra doanh nghiệp;
- Điều tra bán buôn, bán lẻ hàng hóa;
- Điều tra cơ sở sản xuất kinh doanh cá thể.
5. Cơ quan chịu trách nhiệm thu thập, tổng hợp: Tổng cục Thống kê.
1002. Doanh thu dịch vụ lưu trú và ăn uống
I. Doanh thu dịch vụ lưu trú
1. Khái niệm, phương pháp tính
- Doanh thu thuần dịch vụ lưu trú là toàn bộ số tiền đã và sẽ thu được do cung cấp dịch vụ lưu trú ngắn ngày cho khách hàng trong một khoảng thời gian nhất định (tháng/quý/năm). Cơ sở cung cấp dịch vụ lưu trú gồm: Cơ sở kinh doanh biệt thự hoặc căn hộ kinh doanh, khách sạn, nhà khách, nhà nghỉ và các cơ sở lưu trú khác (ký túc xá học sinh, sinh viên; chỗ nghỉ trọ trên xe lưu động..
- Dịch vụ lưu trú gồm các hoạt động kinh doanh của các cơ sở chỉ cung cấp dịch vụ lưu trú ngắn ngày và các cơ sở cung cấp đồng thời cả dịch vụ lưu trú ngắn ngày và dịch vụ ăn uống/phương tiện giải trí cho khách du lịch, khách vãng lai. Các cơ sở cung cấp những hoạt động này gồm: Khách sạn, biệt thự hoặc căn hộ, nhà khách, nhà nghỉ kinh doanh lưu trú ngắn ngày; ký túc xá học sinh, sinh viên; chỗ nghỉ trọ trên xe lưu động; lều quán, trại dùng để nghỉ tạm. Dịch vụ lưu trú cũng gồm cả hoạt động của các doanh nghiệp cung cấp dịch vụ lưu trú dài hạn cho sinh viên (như: “làng sinh viên”), nhà điều dưỡng.
Hoạt động cho thuê nhà ở dài ngày và hoạt động cho thuê văn phòng không được coi là hoạt động thuộc dịch vụ lưu trú, các hoạt động đó thuộc phạm vi của hoạt động kinh doanh bất động sản.
2. Phân tổ chủ yếu: Tỉnh/thành phố trực thuộc trung ương.
3. Kỳ công bố: Tháng, quý, năm.
4. Nguồn số liệu
- Điều tra doanh nghiệp;
- Điều tra cơ sở sản xuất kinh doanh cá thể;
- Điều tra dịch vụ lưu trú, ăn uống, du lịch và dịch vụ khác.
5. Cơ quan chịu trách nhiệm thu thập, tổng hợp: Tổng cục Thống kê.
II. Doanh thu dịch vụ ăn uống
1. Khái niệm, phương pháp tính
- Doanh thu dịch vụ ăn uống là tổng số tiền đã và sẽ thu được do cung cấp dịch vụ ăn uống cho khách hàng trong một khoảng thời gian nhất định, gồm bán hàng ăn uống do cơ sở tự chế biến và hàng ăn uống mua từ bên ngoài để bán mà không cần qua chế biến, không cần dịch vụ phục vụ thêm của cơ sở (hàng chuyển bán).
+ Doanh thu hàng chuyển bán là số tiền đã và sẽ thu được do bán các loại hàng hóa không do đơn vị chế biến (tức là hàng hóa mua về để bán, ví dụ như: Rượu bia, thuốc lá nhà hàng mua về để phục vụ khách hàng uống, hút tại nhà hàng).
- Dịch vụ ăn uống gồm các hoạt động kinh doanh của các nhà hàng, bar và căng tin cung cấp các dịch vụ ăn uống cho khách hàng tại chỗ (khách hàng được phục vụ hoặc tự phục vụ) hoặc mang về, các dịch vụ phục vụ ăn uống lưu động; cung cấp dịch vụ ăn uống theo hợp đồng không thường xuyên và dịch vụ ăn uống khác.
Dịch vụ ăn uống không bao gồm dịch vụ ăn uống gắn liền với các cơ sở cung cấp dịch vụ lưu trú không có hạch toán riêng vì đã được tính vào dịch vụ lưu trú.
2. Phân tổ chủ yếu: Tỉnh/thành phố trực thuộc trung ương.
3. Kỳ công bố: Tháng, quý, năm.
4. Nguồn số liệu
- Điều tra doanh nghiệp;
- Điều tra cơ sở sản xuất kinh doanh cá thể;
- Điều tra dịch vụ lưu trú, ăn uống, du lịch và dịch vụ khác.
5. Cơ quan chịu trách nhiệm thu thập, tổng hợp: Tổng cục Thống kê.
1003. Doanh thu dịch vụ khác
1. Khái niệm, phương pháp tính
Doanh thu dịch vụ khác gồm:
a) Doanh thu dịch vụ kinh doanh bất động sản là tổng số tiền đã thu và phải thu do cung cấp các dịch vụ kinh doanh bất động sản trong kỳ. Doanh thu dịch vụ kinh doanh bất động sản gồm doanh thu của các dịch vụ sau:
- Bán bất động sản, gồm cả đất nền phân lô và khu nhà lưu động. Doanh thu bán bất động sản gồm cả trị giá vốn của bất động sản đã bán;
- Cho thuê bất động sản để sản xuất, kinh doanh và để ở, kể cả đất nền phân lô;
- Điều hành bất động sản với quyền sở hữu, quyền sử dụng hoặc đi thuê nhà để ở và nhà không dùng để ở (nhà kho, khu triển lãm, nơi dạo mát và trung tâm thương mại), đất, cung cấp nhà, căn hộ có đồ đạc hoặc chưa có đồ đạc hoặc các phòng sử dụng lâu dài theo tháng hoặc theo năm;
- Môi giới, tư vấn, đấu giá, định giá bất động sản, đấu giá quyền sử dụng đất.
Doanh thu dịch vụ kinh doanh bất động sản không bao gồm doanh thu từ các hoạt động: Xây dựng nhà cửa, các công trình để bán, chia tách và cải tạo đất; hoạt động của khách sạn, nhà nghỉ, lều trại, cắm trại du lịch và những nơi không phải để ở khác; dịch vụ cho thuê phòng ngắn ngày, ký túc xá học sinh, sinh viên, nhà cho công nhân/người lao động ở tập trung.
b) Doanh thu dịch vụ hành chính và dịch vụ hỗ trợ (trừ dịch vụ du lịch lữ hành) là số tiền đã và sẽ thu được do cung cấp các dịch vụ gồm: Cho thuê máy móc, thiết bị, tài sản (không kèm người điều khiển), cho thuê đồ dùng cá nhân và gia đình; cho thuê tài sản phi tài chính; dịch vụ lao động và việc làm; dịch vụ bảo vệ cá nhân, hệ thống bảo đảm an toàn, dịch vụ thám tử tư nhân; dịch vụ vệ sinh nhà cửa, công trình và cảnh quan; dịch vụ hành chính, hỗ trợ văn phòng và các hoạt động hỗ trợ kinh doanh khác... (trừ dịch vụ kinh doanh tour du lịch, đại lý du lịch, các dịch vụ hỗ trợ du lịch khác).
c) Doanh thu thuần hoạt động giáo dục và đào tạo là toàn bộ số tiền đã thu và sẽ phải thu từ cung cấp dịch vụ giáo dục và đào tạo cho khách hàng kể cả dịch vụ tư vấn du học, không gồm doanh thu bán sách, báo, tài liệu nghiên cứu và các dụng cụ học tập cho khách hàng.
d) Doanh thu thuần hoạt động y tế là toàn bộ số tiền đã thu và phải thu từ cung cấp dịch vụ khám chữa bệnh cho khách hàng; không gồm doanh thu bán thuốc chữa bệnh, dụng cụ y tế gia dụng như máy đo huyết áp, máy đo đường huyết, máy massage...
đ) Doanh thu hoạt động xổ số, thể thao, vui chơi và giải trí (ngành VSIC 92 và 93) là toàn bộ số tiền đã thu và phải thu từ việc cung cấp các dịch vụ phục vụ nhu cầu thể thao, vui chơi và giải trí của người dân. Doanh thu hoạt động này không gồm các khoản thu từ các hoạt động của các bảo tàng, bảo tồn các khu di tích lịch sử, các vườn bách thú, bách thảo và hoạt động cá cược, đánh bạc; các hoạt động nghệ thuật kịch câm, âm nhạc và các hoạt động nghệ thuật, giải trí đã được phân vào nhóm hoạt động của ngành 90 sáng tác, nghệ thuật và giải trí.
Ngoài một số dịch vụ trên, doanh thu hoạt động dịch vụ khác còn gồm số tiền đã thu và sẽ thu từ cung cấp các dịch vụ sửa chữa máy vi tính, đồ dùng cá nhân và gia đình (sửa chữa, bảo dưỡng máy vi tính, thiết bị ngoại vi và thiết bị liên lạc; sửa chữa thiết bị nghe nhìn điện tử gia dụng; sửa chữa giày dép, giường, tủ, bàn ghế...); dịch vụ giặt là, làm sạch các sản phẩm dệt và lông thú; dịch vụ phục vụ tang lễ phục vụ cá nhân và cộng đồng.
2. Phân tổ chủ yếu
- Ngành kinh tế;
- Tỉnh/thành phố trực thuộc trung ương.
3. Kỳ công bố: Năm.
4. Nguồn số liệu
- Điều tra doanh nghiệp;
- Điều tra cơ sở sản xuất kinh doanh cá thể;
- Điều tra dịch vụ lưu trú, ăn uống, du lịch và dịch vụ khác.
5. Cơ quan chịu trách nhiệm thu thập, tổng hợp
- Chủ trì: Tổng cục Thống kê;
- Phối hợp: Bộ, ngành có quản lý dịch vụ.
1004. Số lượng chợ, siêu thị, trung tâm thương mại
I. Số lượng chợ
1. Khái niệm, phương pháp tính
Số lượng chợ là chỉ tiêu phản ánh toàn bộ số chợ mang tính truyền thống, được tổ chức tại một địa điểm theo quy hoạch để đáp ứng nhu cầu mua, bán, trao đổi hàng hóa phục vụ nhu cầu tiêu dùng của dân cư trên từng địa bàn.
Siêu thị, trung tâm thương mại, trung tâm giao dịch mua bán hàng hóa gồm cả siêu thị không tính là chợ.
Phương pháp tính:
Chợ được chia thành 3 loại như sau:
- Chợ loại 1:
+ Là chợ có trên 400 điểm kinh doanh, được đầu tư xây dựng kiên cố, hiện đại theo quy hoạch;
+ Được đặt ở vị trí trung tâm kinh tế thương mại quan trọng của tỉnh/thành phố trực thuộc trung ương hoặc là chợ đầu mối của ngành hàng, khu vực kinh tế và được tổ chức họp thường xuyên;
+ Có mặt bằng và phạm vi chợ phù hợp với quy mô hoạt động của chợ và tổ chức đầy đủ các dịch vụ tại chợ: Trông giữ xe, bốc xếp hàng hóa, kho bảo quản hàng hóa, dịch vụ đo lường, dịch vụ kiểm tra chất lượng hàng hóa, vệ sinh an toàn thực phẩm và các dịch vụ khác.
- Chợ loại 2:
+ Là chợ có trên 200 điểm đến 400 điểm kinh doanh, được đầu tư xây dựng kiên cố hoặc bán kiên cố theo quy hoạch;
+ Được đặt ở trung tâm giao lưu kinh tế của khu vực và được tổ chức họp thường xuyên hay không thường xuyên;
+ Có mặt bằng phạm vi chợ phù hợp với quy mô hoạt động của chợ và tổ chức các dịch vụ tối thiểu tại chợ: Trông giữ xe, bốc xếp hàng hóa, kho bảo quản hàng hóa, dịch vụ đo lường, vệ sinh công cộng.
- Chợ loại 3:
+ Là chợ có từ 200 điểm kinh doanh trở xuống hoặc các chợ chưa đầu tư xây dựng kiên cố hoặc bán kiên cố;
+ Chủ yếu phục vụ nhu cầu mua bán hàng hóa của nhân dân trong một thôn, một xã/phường/thị trấn và địa bàn phụ cận.
2. Phân tổ chủ yếu
- Loại chợ (loại 1, loại 2, loại 3);
- Tỉnh/thành phố trực thuộc trung ương.
3. Kỳ công bố: Năm.
4. Nguồn số liệu: Chế độ báo cáo thống kê cấp quốc gia.
5. Cơ quan chịu trách nhiệm thu thập, tổng hợp: Bộ Công Thương.
II. Số lượng siêu thị, trung tâm thương mại
1. Khái niệm, phương pháp tính
Số lượng siêu thị, trung tâm thương mại là toàn bộ số lượng siêu thị, trung tâm thương mại hiện có trong kỳ báo cáo.
Siêu thị là một loại hình cửa hàng hiện đại; kinh doanh tổng hợp hoặc chuyên doanh; có cơ cấu chủng loại hàng hóa phong phú, đa dạng, bảo đảm chất lượng; đáp ứng các tiêu chuẩn về diện tích kinh doanh, trang bị kỹ thuật và trình độ quản lý, tổ chức kinh doanh; có các phương thức phục vụ văn minh, thuận tiện nhằm thỏa mãn nhu cầu mua sắm hàng hóa của khách hàng.
Trung tâm thương mại là một loại hình tổ chức kinh doanh thương mại hiện đại, đa chức năng, gồm tổ hợp các loại hình cửa hàng, cơ sở hoạt động dịch vụ... được bố trí tập trung, liên hoàn trong một hoặc một số công trình kiến trúc liền kề; đáp ứng các tiêu chuẩn về diện tích kinh doanh, trang bị kỹ thuật và trình độ quản lý, tổ chức kinh doanh; có các phương thức phục vụ văn minh, thuận tiện đáp ứng nhu cầu phát triển hoạt động kinh doanh của thương nhân và thỏa mãn nhu cầu về hàng hóa, dịch vụ của khách hàng.
a) Siêu thị: được phân thành 3 hạng sau:
- Siêu thị hạng 1:
+ Siêu thị kinh doanh tổng hợp:
Có diện tích kinh doanh từ 5.000 m2 trở lên;
Có công trình kiến trúc được xây dựng vững chắc, có tính thẩm mỹ cao, có thiết kế và trang thiết bị kỹ thuật tiên tiến, hiện đại, bảo đảm các yêu cầu phòng cháy, chữa cháy, vệ sinh môi trường, an toàn và thuận tiện cho mọi đối tượng khách hàng; có bố trí nơi trông giữ xe và khu vệ sinh cho khách hàng phù hợp với quy mô kinh doanh của siêu thị;
Có hệ thống kho và các thiết bị kỹ thuật bảo quản, sơ chế, đóng gói, bán hàng, cân đo, thanh toán và quản lý kinh doanh tiên tiến, hiện đại;
Tổ chức, bố trí hàng hóa theo ngành hàng, nhóm hàng một cách văn minh, khoa học để phục vụ khách hàng lựa chọn, mua sắm, thanh toán thuận tiện, nhanh chóng; có nơi bảo quản hành lý cá nhân; có các dịch vụ ăn uống, giải trí, phục vụ người khuyết tật, phục vụ trẻ em, giao hàng tận nhà, bán hàng qua mạng, qua điện thoại.
+ Siêu thị chuyên doanh:
Có diện tích kinh doanh từ 1.000 m2 trở lên;
Có công trình kiến trúc được xây dựng vững chắc, có tính thẩm mỹ cao, có thiết kế và trang thiết bị kỹ thuật tiên tiến, hiện đại, bảo đảm các yêu cầu phòng cháy chữa cháy, vệ sinh môi trường, an toàn và thuận tiện cho mọi đối tượng khách hàng; có bố trí nơi trông giữ xe và khu vệ sinh cho khách hàng phù hợp với quy mô kinh doanh của siêu thị;
Có hệ thống kho và các thiết bị kỹ thuật bảo quản, sơ chế, đóng gói, bán hàng, cân đo, thanh toán và quản lý kinh doanh tiên tiến, hiện đại;
Tổ chức, bố trí hàng hóa theo ngành hàng, nhóm hàng một cách văn minh, khoa học để phục vụ khách hàng lựa chọn, mua sắm, thanh toán thuận tiện, nhanh chóng; có nơi bảo quản hành lý cá nhân; có các dịch vụ ăn uống, giải trí, phục vụ người khuyết tật, phục vụ trẻ em, giao hàng tận nhà, bán hàng qua mạng, qua điện thoại.
- Siêu thị hạng 2:
+ Siêu thị kinh doanh tổng hợp:
Có diện tích kinh doanh từ 2.000 m2 trở lên;
Có công trình kiến trúc được xây dựng vững chắc, có tính thẩm mỹ, có thiết kế và trang thiết bị kỹ thuật hiện đại, bảo đảm các yêu cầu phòng cháy, chữa cháy, vệ sinh môi trường, an toàn và thuận tiện cho khách hàng; có bố trí nơi trông giữ xe và khu vệ sinh cho khách hàng phù hợp với quy mô kinh doanh của siêu thị;
Có kho và các thiết bị kỹ thuật bảo quản, đóng gói, bán hàng, thanh toán và quản lý kinh doanh hiện đại;
Tổ chức, bố trí hàng hóa theo ngành hàng, nhóm hàng một cách văn minh, khoa học để phục vụ khách hàng lựa chọn, mua sắm, thanh toán thuận tiện, nhanh chóng; có nơi bảo quản hành lý cá nhân; có các dịch vụ ăn uống, giải trí, phục vụ người khuyết tật, phục vụ trẻ em, giao hàng tận nhà, bán hàng qua điện thoại.
+ Siêu thị chuyên doanh:
Có diện tích kinh doanh từ 500 m2 trở lên;
Có công trình kiến trúc được xây dựng vững chắc, có tính thẩm mỹ, có thiết kế và trang thiết bị kỹ thuật hiện đại, bảo đảm các yêu cầu phòng cháy chữa cháy, vệ sinh môi trường, an toàn và thuận tiện cho khách hàng; có bố trí nơi trông giữ xe và khu vệ sinh cho khách hàng phù hợp với quy mô kinh doanh của siêu thị;
Có kho và các thiết bị kỹ thuật bảo quản, đóng gói, bán hàng, thanh toán và quản lý kinh doanh hiện đại;
Tổ chức, bố trí hàng hóa theo ngành hàng, nhóm hàng một cách văn minh, khoa học để phục vụ khách hàng lựa chọn, mua sắm, thanh toán thuận tiện, nhanh chóng; có nơi bảo quản hành lý cá nhân; có các dịch vụ ăn uống, giải trí, phục vụ người khuyết tật, phục vụ trẻ em, giao hàng tận nhà, bán hàng qua bưu điện, điện thoại.
- Siêu thị hạng 3:
+ Siêu thị kinh doanh tổng hợp:
Có diện tích kinh doanh từ 500 m2;
Công trình kiến trúc được xây dựng vững chắc, có thiết kế và trang thiết bị kỹ thuật hiện đại bảo đảm các yêu cầu phòng cháy, chữa cháy, vệ sinh môi trường, an toàn, thuận tiện cho khách hàng; có bố trí nơi trông giữ xe và khu vệ sinh cho khách hàng phù hợp với quy mô kinh doanh của siêu thị;
Có kho và các thiết bị kỹ thuật bảo quản, đóng gói, bán hàng, thanh toán và quản lý kinh doanh hiện đại;
Tổ chức, bố trí hàng hóa theo ngành hàng, nhóm hàng một cách văn minh, khoa học để phục vụ khách hàng lựa chọn, mua sắm, thanh toán thuận tiện, nhanh chóng; có nơi bảo quản hành lý cá nhân, có các dịch vụ phục vụ người khuyết tật, giao hàng tận nhà.
+ Siêu thị chuyên doanh:
Có diện tích kinh doanh từ 250 m2 trở lên;
Công trình kiến trúc được xây dựng vững chắc, có thiết kế và trang thiết bị kỹ thuật hiện đại bảo đảm các yêu cầu phòng cháy, chữa cháy, vệ sinh môi trường, an toàn, thuận tiện cho khách hàng; có bố trí nơi trông giữ xe và khu vệ sinh cho khách hàng phù hợp với quy mô kinh doanh của siêu thị;
Có kho và các thiết bị kỹ thuật bảo quản, đóng gói, bán hàng, thanh toán và quản lý kinh doanh hiện đại;
Tổ chức, bố trí hàng hóa theo ngành hàng, nhóm hàng một cách văn minh, khoa học để phục vụ khách hàng lựa chọn, mua sắm, thanh toán thuận tiện, nhanh chóng; có nơi bảo quản hành lý cá nhân, có các dịch vụ phục vụ người khuyết tật, giao hàng tận nhà.
b) Trung tâm thương mại: Chia thành 3 hạng sau:
- Trung tâm thương mại hạng I:
+ Có diện tích kinh doanh từ 50.000 m2 trở lên và có nơi trông giữ xe phù hợp với quy mô kinh doanh của trung tâm thương mại;
+ Các công trình kiến trúc được xây dựng vững chắc, có tính thẩm mỹ cao, có thiết kế và trang thiết bị kỹ thuật tiên tiến, hiện đại bảo đảm các yêu cầu phòng cháy, chữa cháy, vệ sinh môi trường, an ninh, an toàn, thuận tiện cho mọi đối tượng tham gia hoạt động kinh doanh trong khu vực;
+ Hoạt động đa chức năng cả về kinh doanh hàng hóa và kinh doanh các loại hình dịch vụ, gồm khu vực để bố trí các cửa hàng bán buôn, bán lẻ hàng hóa; nhà hàng, khách sạn; khu vực để tổ chức hội chợ triển lãm trưng bày giới thiệu hàng hóa; khu vực dành cho hoạt động vui chơi giải trí, cho thuê văn phòng làm việc, hội trường, phòng họp để tổ chức các hội nghị, hội thảo, giao dịch và ký kết các hợp đồng thương mại trong, ngoài nước; khu vực dành cho các hoạt động tài chính, ngân hàng, bảo hiểm, bưu chính viễn thông, tin học, tư vấn, môi giới đầu tư, du lịch.
- Trung tâm thương mại hạng II:
+ Có diện tích kinh doanh từ 30.000 m2 trở lên và có nơi trông giữ xe phù hợp với quy mô kinh doanh của trung tâm thương mại;
+ Các công trình kiến trúc được xây dựng vững chắc, có tính thẩm mỹ cao, có thiết kế và trang thiết bị kỹ thuật tiên tiến, hiện đại bảo đảm các yêu cầu phòng cháy, chữa cháy, vệ sinh môi trường, an ninh, an toàn, thuận tiện cho mọi đối tượng tham gia hoạt động kinh doanh trong khu vực;
+ Hoạt động đa chức năng cả về kinh doanh hàng hóa và kinh doanh các loại hình dịch vụ, gồm khu vực để bố trí các cửa hàng bán buôn, bán lẻ hàng hóa; nhà hàng, khách sạn; khu vực để trưng bày giới thiệu hàng hóa; khu vực dành cho hoạt động vui chơi giải trí, cho thuê văn phòng làm việc, hội trường, phòng họp để tổ chức các hội nghị, hội thảo, giao dịch và ký kết các hợp đồng thương mại trong, ngoài nước; khu vực dành cho các hoạt động tài chính, ngân hàng, bảo hiểm, bưu chính viễn thông, tư vấn, môi giới đầu tư, du lịch.
- Trung tâm thương mại hạng III:
+ Có diện tích kinh doanh từ 10.000 m2 trở lên và có nơi trông giữ xe phù hợp với quy mô kinh doanh của trung tâm thương mại;
+ Các công trình kiến trúc được xây dựng vững chắc, có thiết kế và trang thiết bị kỹ thuật hiện đại, bảo đảm các yêu cầu phòng cháy chữa cháy, vệ sinh môi trường, an ninh, an toàn, thuận tiện cho mọi đối tượng tham gia hoạt động kinh doanh trong khu vực;
+ Hoạt động đa chức năng cả về kinh doanh hàng hóa và kinh doanh các loại hình dịch vụ, gồm: Khu vực để bố trí cửa hàng bán buôn, bán lẻ hàng hóa; khu vực để trưng bày giới thiệu hàng hóa; khu vực dành cho hoạt động ăn uống vui chơi, giải trí, cho thuê văn phòng làm việc, phòng họp để tổ chức các hội nghị, hội thảo, giao dịch và ký kết các hợp đồng thương mại trong, ngoài nước; khu vực dành cho hoạt động tư vấn, môi giới đầu tư, du lịch.
2. Phân tổ chủ yếu
- Loại hình kinh tế;
- Tỉnh/thành phố trực thuộc trung ương.
3. Kỳ công bố: Năm.
4. Nguồn số liệu: Chế độ báo cáo thống kê cấp quốc gia.
5. Cơ quan chịu trách nhiệm thu thập, tổng hợp: Bộ Công Thương.
1005. Giá trị xuất khẩu, nhập khẩu hàng hóa
I. Giá trị xuất khẩu hàng hóa
1. Khái niệm, phương pháp tính
Tổng giá trị hàng hóa của Việt Nam đưa ra nước ngoài, làm giảm nguồn của cải vật chất của đất nước. Giá trị xuất khẩu hàng hóa được tính theo giá loại FOB hoặc tương đương, là giá của hàng hóa tính đến cửa khẩu xuất (không gồm phí bảo hiểm quốc tế và phí vận tải quốc tế), được tính cho một thời kỳ nhất định và tính theo một loại tiền thống nhất là đô la Mỹ.
Hàng hóa xuất khẩu gồm toàn bộ hàng hóa có xuất xứ trong nước và hàng tái xuất, được đưa ra nước ngoài trong đó:
- Hàng có xuất xứ trong nước là hàng hóa được khai thác, sản xuất, chế biến trong nước theo quy tắc xuất xứ của Việt Nam;
- Hàng tái xuất là hàng xuất khẩu có xuất xứ nước ngoài mà trước đó đã được thống kê là hàng nhập khẩu.
Phương pháp tính:
- Hàng hóa thuộc các loại hình xuất khẩu:
+ Kinh doanh: Hàng hóa bán theo các hợp đồng thương mại thông thường ký với nước ngoài;
+ Đầu tư: Hàng hóa xuất khẩu để tạo tài sản cố định của dự án khuyến khích đầu tư, dự án đầu tư bằng nguồn vốn hỗ trợ phát triển chính thức (gọi tắt là nguồn vốn ODA);
+ Gia công: Hàng hóa xuất khẩu theo các hợp đồng gia công, lắp ráp ký với nước ngoài, gồm thành phẩm hoàn trả sau gia công; nguyên liệu/vật tư xuất khẩu để gia công; hàng hóa làm mẫu phục vụ cho gia công; máy móc, thiết bị trực tiếp phục vụ gia công được thỏa thuận trong hợp đồng gia công;
+ Tái xuất là hàng xuất khẩu có xuất xứ nước ngoài mà trước đó đã được thống kê là hàng nhập khẩu.
- Hàng hóa thuộc loại hình hàng đổi hàng với nước ngoài, không sử dụng các hình thức thanh toán bằng tiền;
- Hàng hóa thuộc giao dịch giữa doanh nghiệp mẹ với doanh nghiệp con, chi nhánh đầu tư trực tiếp ở nước ngoài;
- Hàng hóa thuộc loại hình vay nợ, viện trợ chính phủ, phi chính phủ;
- Hàng hóa thuộc hợp đồng thuê tài chính, theo đó người thuê có quyền lợi, trách nhiệm, chịu rủi ro... liên quan đến hàng hóa. Nếu trong hợp đồng không xác định rõ các nội dung trên thì căn cứ vào thời hạn thuê là 12 tháng trở lên;
- Hàng trả lại trong kinh doanh xuất nhập khẩu;
- Hàng hóa đưa ra nước ngoài để tham dự hội chợ, triển lãm, chào mẫu và được bán ở nước ngoài;
- Hàng hóa bán, trao đổi của cư dân biên giới, không có hợp đồng thương mại, hàng của người xuất cảnh vượt quá mức quy định và phải nộp thuế xuất khẩu theo quy định của pháp luật;
- Các hàng hóa đặc thù:
+ Vàng phi tiền tệ: Vàng ở các dạng thanh, thỏi, bột, vụn, vảy... do các doanh nghiệp, ngân hàng thương mại (trừ ngân hàng nhận ủy quyền thực hiện giao dịch của Ngân hàng Nhà nước) xuất khẩu cho mục đích kinh doanh, gia công, chế tác... theo quy định của pháp luật;
+ Tiền giấy, chứng khoán chưa phát hành, tiền xu không hoặc chưa đưa vào lưu thông; các bộ sưu tập tiền xu hoặc tiền giấy;
+ Phương tiện lưu giữ thông tin, hình ảnh: Băng từ, đĩa từ, CD-ROM, thẻ thông minh... đã hoặc chưa ghi âm, ghi hình, dữ liệu hoặc phần mềm máy tính, được sản xuất để dùng chung hoặc để mua/bán thông thường (trừ loại được sản xuất theo yêu cầu riêng của khách hàng nước ngoài);
+ Hàng hóa gửi ra nước ngoài qua đường bưu chính hoặc chuyển phát, có giá trị vượt quá quy định miễn thuế xuất khẩu theo quy định của pháp luật;
+ Hàng hóa xuất khẩu sử dụng phương thức thương mại điện tử: Việc trao đổi thông tin, đặt hàng, ký kết hợp đồng thương mại và thanh toán với nước ngoài được thực hiện qua mạng Internet nhưng hàng hóa được đưa ra khỏi lãnh thổ Việt Nam, thực hiện các thủ tục hải quan thông thường;
+ Điện;
+ Hàng hóa, nhiên liệu bán cho các phương tiện vận tải nước ngoài sử dụng trong hành trình giao thông quốc tế;
+ Khoáng sản được khai thác trong khu vực thềm lục địa, hải phận quốc tế, vùng chồng lấn... và bán cho nước ngoài;
+ Thiết bị giàn khoan bán ngoài khơi;
+ Máy bay, tàu thuyền và phương tiện vận tải khác thuộc các giao dịch không thực hiện tờ khai hải quan.
2. Phân tổ chủ yếu
a) Kỳ tháng phân tổ theo:
- Loại hình kinh tế (khu vực kinh tế trong nước và khu vực có vốn đầu tư trực tiếp nước ngoài);
- Danh mục hàng hóa xuất, nhập khẩu Việt Nam;
- Nước/vùng lãnh thổ cuối cùng hàng đến là nước/vùng lãnh thổ mà hàng hóa sẽ được chuyển đến theo thỏa thuận với khách hàng nước ngoài và tại thời điểm xuất khẩu biết rằng sẽ không xảy ra giao dịch thương mại hay hoạt động nào làm thay đổi tình trạng pháp lý của hàng hóa;
- Tỉnh/thành phố trực thuộc trung ương: Căn cứ vào số liệu xuất khẩu của các doanh nghiệp, tổ chức đăng ký mã số thuế tại tỉnh/thành phố trực thuộc trung ương.
b) Kỳ quý, năm phân tổ theo:
- Loại hình kinh tế: Gồm khu vực kinh tế trong nước và khu vực có vốn đầu tư trực tiếp nước ngoài;
- Ngành kinh tế;
- Danh mục hàng hóa xuất, nhập khẩu Việt Nam;
- Nước/vùng lãnh thổ cuối cùng hàng đến là nước/vùng lãnh thổ mà hàng hóa sẽ được chuyển đến theo thỏa thuận với khách hàng nước ngoài và tại thời điểm xuất khẩu biết rằng sẽ không xảy ra giao dịch thương mại hay hoạt động nào làm thay đổi tình trạng pháp lý của hàng hóa;
- Hàng tái xuất;
- Phương thức vận tải: Phương tiện vận tải được sử dụng để đưa hàng hóa ra khỏi lãnh thổ đất nước, gồm vận tải bằng đường biển, đường hàng không, đường sắt, đường ô tô;
- Tỉnh/thành phố trực thuộc trung ương: Căn cứ vào số liệu xuất khẩu của các doanh nghiệp, tổ chức đăng ký mã số thuế tại tỉnh/thành phố trực thuộc trung ương.
3. Kỳ công bố: Tháng, quý, năm.
4. Nguồn số liệu
- Đối với hàng hóa phải thực hiện tờ khai hải quan tại Việt Nam: Chế độ báo cáo thống kê cấp quốc gia;
- Đối với hàng hóa không thực hiện tờ khai hải quan tại Việt Nam: Điều tra doanh nghiệp; điều tra xuất khẩu, nhập khẩu hàng hóa; tờ khai bổ sung đăng ký ở các nước khác qua trao đổi số liệu thống kê hải quan.
5. Cơ quan chịu trách nhiệm thu thập, tổng hợp
- Chủ trì: Bộ Tài chính;
- Phối hợp: Tổng cục Thống kê.
II. Giá trị nhập khẩu hàng hóa
1. Khái niệm, phương pháp tính
Toàn bộ giá trị hàng hóa đưa từ nước ngoài vào Việt Nam, làm tăng nguồn của cải, vật chất của đất nước. Giá trị nhập khẩu được tính theo giá loại CIF là giá thực tế phải trả tính đến cửa khẩu nhập đầu tiên, được tính cho một thời kỳ nhất định, tính theo một loại tiền thống nhất là Đô la Mỹ.
Hàng hóa nhập khẩu gồm toàn bộ hàng hóa có xuất xứ nước ngoài và hàng tái nhập, được đưa từ nước ngoài vào Việt Nam, trong đó:
- Hàng hóa có xuất xứ nước ngoài là hàng hóa được khai thác, sản xuất, chế biến ở nước ngoài theo quy tắc xuất xứ của Việt Nam;
- Hàng hóa tái nhập là hàng nhập khẩu có xuất xứ trong nước mà trước đó đã được thống kê là hàng xuất khẩu.
Phương pháp tính:
- Hàng hóa thuộc các loại hình nhập khẩu:
+ Kinh doanh: Hàng hóa phục vụ mục đích sản xuất, tiêu dùng trong nước và xuất khẩu, kinh doanh thông thường, theo các hợp đồng thương mại ký với nước ngoài;
+ Đầu tư: Hàng hóa nhập khẩu để tạo tài sản cố định của dự án khuyến khích đầu tư, dự án đầu tư bằng nguồn vốn ODA;
+ Gia công: Hàng hóa nhập khẩu theo các hợp đồng gia công, lắp ráp ký với nước ngoài gồm nguyên liệu/vật tư nhập khẩu để gia công; hàng hóa làm mẫu phục vụ cho gia công; máy móc, thiết bị trực tiếp phục vụ gia công được thỏa thuận trong hợp đồng gia công;
+ Tái nhập là hàng nhập khẩu có xuất xứ trong nước mà trước đó đã được thống kê là hàng xuất khẩu.
- Hàng hóa thuộc loại hình hàng đổi hàng với nước ngoài, không sử dụng các hình thức thanh toán bằng tiền;
- Hàng hóa thuộc giao dịch giữa doanh nghiệp mẹ với doanh nghiệp con, chi nhánh đầu tư trực tiếp ở nước ngoài;
- Hàng hóa thuộc loại hình vay nợ, viện trợ Chính phủ, phi Chính phủ;
- Hàng hóa thuộc hợp đồng thuê tài chính, theo đó người thuê có quyền lợi, trách nhiệm, chịu rủi ro... liên quan đến hàng hóa. Nếu trong hợp đồng không xác định rõ các nội dung trên thì căn cứ vào thời hạn thuê là 12 tháng trở lên;
- Hàng trả lại trong kinh doanh xuất nhập khẩu;
- Hàng hóa đưa vào Việt Nam để tham dự hội chợ, triển lãm, chào mẫu và được bán ở Việt Nam;
- Hàng hóa mua, trao đổi của cư dân biên giới, không có hợp đồng thương mại, hàng của người nhập cảnh vượt quá mức quy định và phải nộp thuế nhập khẩu theo quy định của pháp luật;
- Các hàng hóa đặc thù:
+ Vàng phi tiền tệ: Vàng ở các dạng thanh, thỏi, bột, vụn, vảy... do các doanh nghiệp, ngân hàng thương mại (trừ ngân hàng nhận ủy quyền của Ngân hàng Nhà nước) nhập khẩu cho mục đích kinh doanh, gia công, chế tác, lưu giữ giá trị... theo quy định của pháp luật;
+ Tiền giấy, chứng khoán chưa phát hành, tiền xu không hoặc chưa đưa vào lưu thông; các bộ sưu tập tiền xu hoặc tiền giấy;
+ Phương tiện lưu giữ thông tin, hình ảnh: Băng từ, đĩa từ, CD-ROM, thẻ thông minh... đã hoặc chưa ghi âm, ghi hình, dữ liệu hoặc phần mềm máy tính, được sản xuất để dùng chung hoặc để mua/bán thông thường (trừ loại được sản xuất theo yêu cầu riêng của khách hàng);
+ Hàng hóa nhận qua đường bưu chính hoặc chuyển phát, có giá trị vượt quá quy định miễn thuế nhập khẩu theo quy định của pháp luật;
+ Hàng hóa nhập khẩu sử dụng phương thức thương mại điện tử: Việc trao đổi thông tin, đặt hàng, ký kết hợp đồng thương mại và thanh toán với nước ngoài được thực hiện qua mạng Internet nhưng hàng hóa được đưa vào lãnh thổ Việt Nam thực hiện các thủ tục hải quan thông thường;
+ Điện;
+ Hàng hóa, nhiên liệu mua của nước ngoài để sử dụng trong hành trình giao thông quốc tế;
+ Khoáng sản được mua của nước ngoài tại khu vực thềm lục địa, hải phận quốc tế, vùng chồng lấn... với nước ngoài;
+ Thiết bị giàn khoan mua ngoài khơi;
+ Máy bay, tàu thuyền và phương tiện vận tải khác thuộc các giao dịch không thực hiện tờ khai hải quan.
2. Phân tổ chủ yếu
a) Kỳ tháng phân tổ theo:
- Loại hình kinh tế: Khu vực kinh tế trong nước và khu vực có vốn đầu tư trực tiếp nước ngoài;
- Danh mục hàng hóa xuất, nhập khẩu Việt Nam;
- Nước/vùng lãnh thổ cuối cùng hàng đến;
- Tỉnh/thành phố trực thuộc trung ương.
b) Kỳ quý, năm phân tổ theo:
- Loại hình kinh tế: Khu vực kinh tế trong nước và khu vực có vốn đầu tư trực tiếp nước ngoài;
- Ngành kinh tế;
- Danh mục hàng hóa xuất, nhập khẩu Việt Nam;
- Nước/vùng lãnh thổ cuối cùng hàng đến;
- Hàng tái xuất;
- Phương thức vận tải: Phương tiện vận tải được sử dụng để đưa hàng hóa ra khỏi lãnh thổ đất nước, gồm vận tải bằng đường biển, đường hàng không, đường sắt, đường ô tô;
- Tỉnh/thành phố trực thuộc trung ương.
3. Kỳ công bố: Tháng, quý, năm.
4. Nguồn số liệu
- Đối với hàng hóa phải thực hiện tờ khai hải quan tại Việt Nam: Chế độ báo cáo thống kê cấp quốc gia;
- Đối với hàng hóa không thực hiện tờ khai hải quan tại Việt Nam: Điều tra doanh nghiệp; điều tra xuất khẩu, nhập khẩu hàng hóa.
5. Cơ quan chịu trách nhiệm thu thập, tổng hợp
- Chủ trì: Bộ Tài chính;
- Phối hợp: Tổng cục Thống kê.
1006. Mặt hàng xuất khẩu, nhập khẩu
I. Mặt hàng xuất khẩu
1. Khái niệm, phương pháp tính
Mặt hàng xuất khẩu gồm các hàng hóa thuộc phạm vi thống kê, tương ứng với quy định về chỉ tiêu “Giá trị xuất khẩu hàng hóa - mã số 1005”, được tính theo mặt hàng chủ yếu và các phân loại hàng hóa khác nhau.
2. Phân tổ chủ yếu
- Nước/vùng lãnh thổ cuối cùng hàng đến;
- Hàng tái xuất;
- Mặt hàng chủ yếu;
- Danh mục hàng hóa xuất nhập khẩu Việt Nam.
3. Kỳ công bố: Tháng, quý, năm.
4. Nguồn số liệu
- Đối với hàng hóa phải thực hiện tờ khai hải quan tại Việt Nam: Chế độ báo cáo thống kê cấp quốc gia;
- Đối với hàng hóa không thực hiện tờ khai hải quan tại Việt Nam: Điều tra doanh nghiệp; điều tra xuất khẩu, nhập khẩu hàng hóa, tờ khai bổ sung đăng ký ở nước khác qua trao đổi số liệu thống kê hải quan.
5. Cơ quan chịu trách nhiệm thu thập, tổng hợp
- Chủ trì: Bộ Tài chính;
- Phối hợp: Tổng cục Thống kê.
II. Mặt hàng nhập khẩu
1. Khái niệm, phương pháp tính
Mặt hàng nhập khẩu gồm các hàng hóa thuộc phạm vi thống kê, tương ứng với quy định về chỉ tiêu Giá trị nhập khẩu hàng hóa - mã số 1005, được tính theo mặt hàng chủ yếu và các phân loại hàng hóa khác nhau.
2. Phân tổ chủ yếu
- Nước/vùng lãnh thổ cuối cùng hàng đến;
- Hàng tái xuất;
- Mặt hàng chủ yếu;
- Danh mục hàng hóa xuất nhập khẩu Việt Nam.
3. Kỳ công bố: Năm.
4. Nguồn số liệu
- Đối với hàng hóa phải thực hiện tờ khai hải quan tại Việt Nam: Chế độ báo cáo thống kê cấp quốc gia;
- Đối với hàng hóa không thực hiện tờ khai hải quan tại Việt Nam: Điều tra doanh nghiệp, điều tra xuất khẩu, nhập khẩu hàng hóa.
5. Cơ quan chịu trách nhiệm thu thập, tổng hợp
- Chủ trì: Bộ Tài chính;
- Phối hợp: Tổng cục Thống kê.
1007. Xuất siêu, nhập siêu hàng hóa
1. Khái niệm, phương pháp tính:
Xuất siêu hàng hóa là khi tổng giá trị xuất khẩu hàng hóa lớn hơn tổng giá trị nhập khẩu hàng hóa trong một thời kỳ nhất định, phản ánh tình trạng thặng dư cán cân thương mại hàng hóa.
Nhập siêu hàng hóa là khi tổng giá trị nhập khẩu hàng hóa lớn hơn tổng giá trị xuất khẩu hàng hóa trong một thời kỳ nhất định, phản ánh tình trạng thâm hụt cán cân thương mại hàng hóa.
2. Phân tổ chủ yếu
- Châu lục: Phân tổ theo khu vực địa lý;
- Khối nước: Gồm các khối EU, ASEAN, OPEC, APEC;
- Nước/vùng lãnh thổ.
3. Kỳ công bố: Tháng, quý, năm.
4. Nguồn số liệu
- Đối với hàng hóa phải thực hiện tờ khai hải quan tại Việt Nam: Chế độ báo cáo thống kê cấp quốc gia;
- Đối với hàng hóa không thực hiện tờ khai hải quan tại Việt Nam: Điều tra doanh nghiệp; điều tra xuất khẩu, nhập khẩu hàng hóa.
5. Cơ quan chịu trách nhiệm thu thập, tổng hợp: Tổng cục Thống kê.
1008. Giá trị xuất khẩu, nhập khẩu dịch vụ
I. Giá trị xuất khẩu dịch vụ
1. Khái niệm, phương pháp tính
Giá trị xuất khẩu dịch vụ là tổng giá trị các khoản thu về dịch vụ do người (đơn vị) thường trú Việt Nam cung cấp cho người (đơn vị) không thường trú, tương ứng với sản lượng dịch vụ đã cung cấp.
2. Phân tổ chủ yếu
- Loại dịch vụ: Gồm 11 loại dịch vụ theo Danh mục dịch vụ xuất, nhập khẩu Việt Nam dựa vào Phân loại dịch vụ mở rộng trong Cán cân thanh toán quốc tế, gồm:
+ Dịch vụ vận tải;
+ Dịch vụ du lịch;
+ Dịch vụ bưu chính, viễn thông;
+ Dịch vụ xây dựng;
+ Dịch vụ bảo hiểm;
+ Dịch vụ tài chính, ngân hàng;
+ Dịch vụ máy tính và thông tin;
+ Phí sử dụng giấy phép, thương hiệu, bản quyền;
+ Dịch vụ kinh doanh khác;
+ Dịch vụ cá nhân, văn hóa và giải trí;
+ Dịch vụ Chính phủ, chưa phân loại vào đâu.
- Nước/vùng lãnh thổ chủ yếu.
3. Kỳ công bố: Quý, năm.
4. Nguồn số liệu
- Điều tra chi tiêu của khách du lịch quốc tế đến Việt Nam;
- Điều tra xuất khẩu, nhập khẩu dịch vụ;
- Chế độ báo cáo thống kê cấp quốc gia.
5. Cơ quan chịu trách nhiệm thu thập, tổng hợp
- Chủ trì: Tổng cục Thống kê;
- Phối hợp: Ngân hàng Nhà nước Việt Nam; bộ, ngành có quản lý dịch vụ.
II. Giá trị nhập khẩu dịch vụ
1. Khái niệm, phương pháp tính
Giá trị nhập khẩu dịch vụ là tổng giá trị các khoản chi về dịch vụ do người thường trú của Việt Nam trả cho người không thường trú, tương ứng với sản lượng dịch vụ đã tiêu dùng.
2. Phân tổ chủ yếu
- Loại dịch vụ: Gồm 11 loại dịch vụ theo Danh mục dịch vụ xuất, nhập khẩu Việt Nam dựa vào Phân loại dịch vụ mở rộng trong Cán cân thanh toán quốc tế, gồm:
+ Dịch vụ vận tải;
+ Dịch vụ du lịch;
+ Dịch vụ bưu chính, viễn thông;
+ Dịch vụ xây dựng;
+ Dịch vụ bảo hiểm;
+ Dịch vụ tài chính;
+ Dịch vụ máy tính và thông tin;
+ Phí sử dụng giấy phép, thương hiệu, bản quyền;
+ Dịch vụ kinh doanh khác;
+ Dịch vụ cá nhân, văn hóa và giải trí;
+ Dịch vụ Chính phủ, chưa phân loại vào đâu
- Nước/vùng lãnh thổ chủ yếu.
3. Kỳ công bố: Quý, năm.
4. Nguồn số liệu
- Điều tra chi tiêu của khách du lịch quốc tế đến Việt Nam;
- Điều tra xuất khẩu, nhập khẩu dịch vụ;
- Chế độ báo cáo thống kê cấp quốc gia.
5. Cơ quan chịu trách nhiệm thu thập, tổng hợp
- Chủ trì: Tổng cục Thống kê;
- Phối hợp: Ngân hàng Nhà nước Việt Nam; bộ, ngành có quản lý dịch vụ.
1009. Xuất siêu, nhập siêu dịch vụ
1. Khái niệm, phương pháp tính
- Xuất siêu dịch vụ phản ánh tình trạng cân đối thương mại dịch vụ khi tổng giá trị xuất khẩu dịch vụ lớn hơn tổng giá trị nhập khẩu dịch vụ của đất nước trong một thời kỳ nhất định.
- Nhập siêu dịch vụ phản ánh tình trạng cân đối thương mại dịch vụ khi tổng giá trị nhập khẩu dịch vụ lớn hơn tổng giá trị xuất khẩu dịch vụ của đất nước trong một thời kỳ nhất định.
2. Phân tổ chủ yếu: Nước/vùng lãnh thổ chủ yếu.
3. Kỳ công bố: Năm.
4. Nguồn số liệu
- Điều tra chi tiêu của khách du lịch quốc tế đến Việt Nam;
- Điều tra xuất khẩu, nhập khẩu dịch vụ;
- Chế độ báo cáo thống kê cấp quốc gia.
5. Cơ quan chịu trách nhiệm thu thập, tổng hợp: Tổng cục Thống kê.
1010. Tỷ trọng giá trị hàng xuất khẩu đã qua chế biến trong tổng giá trị xuất khẩu hàng hóa
1. Khái niệm, phương pháp tính
Là chỉ tiêu tương đối, thể hiện bằng tỷ lệ phần trăm (%) giữa tổng giá trị hàng xuất khẩu đã qua chế biến trong tổng giá trị hàng hóa xuất khẩu trong một thời kỳ nhất định.
Chỉ tiêu này được tính toán bằng cách lấy tổng giá trị hàng hóa xuất khẩu đã qua chế biến hay đã tinh chế theo Danh mục tiêu chuẩn ngoại thương chia cho tổng trị giá hàng hóa xuất khẩu của đất nước trong 6 tháng, năm, trong đó hàng chế biến hay đã tinh chế gồm 4 nhóm:
- Nhóm 5: Hóa chất và sản phẩm liên quan;
- Nhóm 6: Hàng chế biến phân loại chủ yếu dựa trên nguyên liệu;
- Nhóm 7: Máy móc, thiết bị, phương tiện vận tải và phụ tùng của chúng;
- Nhóm 8: Hàng chế biến khác.
2. Phân tổ chủ yếu: Theo bốn nhóm hàng hóa nêu ở trên.
3. Kỳ công bố: 6 tháng, năm.
4. Nguồn số liệu
- Đối với hàng hóa phải thực hiện tờ khai hải quan tại Việt Nam: Chế độ báo cáo thống kê cấp quốc gia;
- Đối với hàng hóa không thực hiện tờ khai hải quan tại Việt Nam: Điều tra doanh nghiệp; điều tra xuất khẩu, nhập khẩu hàng hóa.
5. Cơ quan chịu trách nhiệm thu thập, tổng hợp: Tổng cục Thống kê.
1011. Tỷ trọng giá trị xuất khẩu sản phẩm công nghệ cao trong tổng giá trị xuất khẩu hàng hóa
1. Khái niệm, phương pháp tính
Là chỉ tiêu tương đối, thể hiện bằng tỷ lệ phần trăm (%) giữa tổng giá trị sản phẩm công nghệ cao xuất khẩu trong tổng giá trị hàng hóa xuất khẩu của một thời kỳ nhất định.
Chỉ tiêu này được tính toán bằng cách lấy tổng giá trị của sản phẩm công nghệ cao xuất khẩu của một số nhóm mặt hàng theo Danh mục tiêu chuẩn ngoại thương chia cho tổng trị giá hàng hóa xuất khẩu trong kỳ báo cáo. Trong đó, hàng công nghệ cao gồm các nhóm mặt hàng: Máy bay và các thiết bị liên quan; máy tính và thiết bị điện; điện tử viễn thông; tân dược; máy móc, thiết bị, dụng cụ khoa học; hóa chất; máy móc không dùng điện và trang thiết bị vũ khí.
2. Phân tổ chủ yếu: Theo nhóm hàng hóa nêu ở trên.
3. Kỳ công bố: Năm.
4. Nguồn số liệu
- Đối với hàng hóa phải thực hiện tờ khai hải quan tại Việt Nam: Chế độ báo cáo thống kê cấp quốc gia;
- Đối với hàng hóa không thực hiện tờ khai hải quan tại Việt Nam: Điều tra xuất khẩu, nhập khẩu hàng hóa; điều tra doanh nghiệp.
5. Cơ quan chịu trách nhiệm thu thập, tổng hợp
- Chủ trì: Tổng cục Thống kê;
- Phối hợp: Bộ Công Thương, Bộ Khoa học và Công nghệ.
1012. Tỷ trọng giá trị xuất khẩu khoáng sản trong tổng giá trị xuất khẩu hàng hóa
1. Khái niệm, phương pháp tính
Là chỉ tiêu tương đối, thể hiện bằng tỷ lệ phần trăm (%) giá trị hàng hóa xuất khẩu là khoáng sản trong tổng giá trị hàng hóa xuất khẩu trong thời kỳ 6 tháng hoặc năm.
Chỉ tiêu này được tính toán bằng cách lấy tổng trị giá hàng hóa là khoáng sản được xuất khẩu trong một thời kỳ chia cho tổng trị giá hàng xuất khẩu của đất nước trong cùng thời kỳ, trong đó hàng hóa là khoáng sản thuộc các chương số 25, 26, 27 theo Danh mục hàng hóa xuất nhập khẩu Việt Nam, cụ thể:
- Chương 25: Muối, lưu huỳnh; đất và đá; thạch cao; vôi và xi măng;
- Chương 26: Quặng, xỉ và tro;
- Chương 27: Nhiên liệu khoáng; dầu khoáng và các sản phẩm chưng cất từ chúng; các chất chứa bi-tum; các loại sáp khoáng chất.
2. Phân tổ chủ yếu: Theo ba nhóm hàng khoáng sản nêu ở trên.
3. Kỳ công bố: 6 tháng, năm.
4. Nguồn số liệu
- Đối với hàng hóa phải thực hiện tờ khai hải quan tại Việt Nam: Chế độ báo cáo thống kê cấp quốc gia;
- Đối với hàng hóa không thực hiện tờ khai hải quan tại Việt Nam: Điều tra xuất khẩu, nhập khẩu hàng hóa; điều tra doanh nghiệp.
5. Cơ quan chịu trách nhiệm thu thập, tổng hợp: Tổng cục Thống kê.
1013. Tỷ trọng giá trị nhập khẩu tư liệu sản xuất trong tổng giá trị nhập khẩu hàng hóa
1. Khái niệm, phương pháp tính
Là chỉ tiêu tương đối, thể hiện bằng tỷ lệ phần trăm (%) giữa giá trị hàng hóa nhập khẩu là tư liệu sản xuất trong tổng giá trị hàng hóa nhập khẩu của đất nước trong năm.
Chỉ tiêu này được tính toán bằng cách lấy tổng giá trị hàng hóa nhập khẩu là tư liệu sản xuất chia cho tổng giá trị hàng hóa nhập khẩu của đất nước trong năm. Tư liệu sản xuất gồm: Máy móc, thiết bị, phương tiện vận tải và phụ tùng; nhiên liệu, nguyên vật liệu và phụ liệu dùng cho mục đích sản xuất.
2. Phân tổ chủ yếu
- Tỷ trọng giá trị nhập khẩu hàng hóa là máy móc, thiết bị, phương tiện vận tải và phụ tùng so với tổng giá trị hàng hóa nhập khẩu;
- Tỷ trọng giá trị nhập khẩu hàng hóa là nguyên nhiên vật liệu so với tổng giá trị hàng hóa nhập khẩu.
3. Kỳ công bố: Năm.
4. Nguồn số liệu
- Đối với hàng hóa phải thực hiện tờ khai hải quan tại Việt Nam: Chế độ báo cáo thống kê cấp quốc gia;
- Đối với hàng hóa không thực hiện tờ khai hải quan tại Việt Nam: Điều tra xuất khẩu, nhập khẩu hàng hóa; điều tra doanh nghiệp.
5. Cơ quan chịu trách nhiệm thu thập, tổng hợp: Tổng cục Thống kê.
11. Giá cả
1101. Chỉ số giá tiêu dùng (CPI), chỉ số giá vàng, chỉ số giá Đô la Mỹ
I. Chỉ số giá tiêu dùng (CPI)
1. Khái niệm, phương pháp tính
CPI là chỉ tiêu tương đối (tính bằng %) phản ánh xu hướng và mức độ biến động giá cả chung theo thời gian của các loại hàng hóa và dịch vụ tiêu dùng hàng ngày của người dân.
Danh mục hàng hóa và dịch vụ đại diện gồm các mặt hàng và dịch vụ chủ yếu, đại diện cho tiêu dùng của dân cư trong một giai đoạn nhất định, được sử dụng để điều tra thu thập giá định kỳ, phục vụ tính CPI.
Quyền số tính CPI là tỷ trọng chi tiêu cho các nhóm hàng hóa và dịch vụ trong tổng chi tiêu của dân cư của năm được chọn làm gốc so sánh. Quyền số này được sử dụng cố định trong 5 năm.
Sau mỗi chu kỳ 5 năm, danh mục mặt hàng đại diện, quyền số lại được cập nhật cho phù hợp với thị trường tiêu dùng và cơ cấu chi tiêu cho đời sống hàng ngày của người dân trong thời kỳ hiện tại.
Công thức tính:
Chỉ số giá tiêu dùng được tính toán theo công thức Laspeyres bình quân nhân gia quyền có dạng tổng quát như sau:

Trong đó:
là chỉ số giá tiêu dùng kỳ báo cáo (t) so với kỳ gốc cố định (0);
tương ứng là giá tiêu dùng kỳ báo cáo t và kỳ gốc cố định (0);
là quyền số kỳ gốc cố định (0);
là chi tiêu dùng ở kỳ gốc cố định (0);
n là số mặt hàng.
Phương pháp tính chỉ số giá tiêu dùng
Chỉ số giá tiêu dùng được tính từ kết quả điều tra giá tiêu dùng của từng tỉnh/thành phố trực thuộc trung ương. Chỉ số giá tiêu dùng được tính bằng phương pháp bình quân nhân gia quyền giữa mức biến động giá của các nhóm mặt hàng với quyền số tương ứng.
Chỉ số giá tiêu dùng của các tỉnh/thành phố trực thuộc trung ương được tính bằng phương pháp bình quân nhân gia quyền giữa chỉ số giá tiêu dùng của mỗi nhóm hàng hóa và dịch vụ tiêu dùng được chọn điều tra với quyền số tương ứng.
Chỉ số giá tiêu dùng của 6 vùng kinh tế được tính bằng phương pháp bình quân nhân gia quyền giữa chỉ số giá tiêu dùng của mỗi tỉnh/thành phố trực thuộc trung ương trong vùng với quyền số tương ứng.
Chỉ số giá tiêu dùng của cả nước được tính bằng phương pháp bình quân nhân gia quyền giữa chỉ số giá tiêu dùng của các vùng kinh tế với quyền số tương ứng.
2. Phân tổ chủ yếu
- Danh mục hàng hóa tiêu dùng cá nhân theo mục đích sử dụng (COICOP);
- Thành thị/nông thôn;
- Tỉnh/thành phố trực thuộc trung ương.
3. Kỳ công bố: Tháng.
4. Nguồn số liệu
- Điều tra giá tiêu dùng (CPI);
- Khảo sát mức sống dân cư Việt Nam.
5. Cơ quan chịu trách nhiệm thu thập, tổng hợp: Tổng cục Thống kê.
II. Chỉ số giá vàng, chỉ số giá Đô la Mỹ
1. Khái niệm, phương pháp tính
Chỉ số giá vàng, chỉ số giá Đô la Mỹ là chỉ tiêu tương đối (tính bằng %) phản ánh xu hướng và mức độ biến động giá theo thời gian của mặt hàng vàng và Đô la Mỹ trên thị trường.
- Phương pháp tính
Giá vàng và Đô la Mỹ được thu thập hàng tháng tại các điểm bán lẻ, giá bình quân được tính bằng bình quân giá các ngày trong tháng.
Chỉ số giá vàng và chỉ số Đô la Mỹ được tính theo công thức sau:

Trong đó:
là chỉ số giá vàng hoặc Đô la Mỹ tháng báo cáo (t) so với tháng trước tháng báo cáo (t-1);
là giá bình quân vàng hoặc Đô la Mỹ tháng báo cáo (t);
là giá bình quân vàng hoặc Đô la Mỹ tháng trước tháng báo cáo (t-1);
2. Phân tổ chủ yếu
- Tỉnh/thành phố trực thuộc trung ương;
- Vùng kinh tế.
3. Kỳ công bố: Tháng.
4. Nguồn số liệu: Điều tra giá tiêu dùng (CPI).
5. Cơ quan chịu trách nhiệm thu thập, tổng hợp: Tổng cục Thống kê.
1102. Chỉ số lạm phát cơ bản
1. Khái niệm
Chỉ số lạm phát cơ bản là chỉ tiêu tương đối (tính bằng %) phản ánh sự thay đổi mức giá chung mang tính chất dài hạn, sau khi đã loại trừ những thay đổi mang tính chất ngẫu nhiên, tạm thời của chỉ số giá tiêu dùng.
2. Phương pháp tính
Phương pháp chung của việc tính toán chỉ số lạm phát cơ bản là nhằm loại bỏ những biến động tạm thời hay còn gọi là yếu tố ngẫu nhiên của giá cả một số mặt hàng trong tỷ lệ lạm phát chung.
Phương pháp phổ biến được dùng để tính chỉ số lạm phát cơ bản là phương pháp loại trừ trực tiếp vì phương pháp này đơn giản, dễ áp dụng và dễ hiểu đối với người sử dụng.
Hiện nay, chỉ số lạm phát cơ bản được tính toán bằng phương pháp loại bỏ trực tiếp 16 nhóm hàng lương thực, thực phẩm tươi sống, năng lượng và giá do Nhà nước quản lý.
3. Kỳ công bố: Tháng.
4. Nguồn số liệu: Điều tra giá tiêu dùng (CPI).
5. Cơ quan chịu trách nhiệm thu thập, tổng hợp: Tổng cục Thống kê.
1103. Chỉ số giá sinh hoạt theo không gian
1. Khái niệm, phương pháp tính
Chỉ số giá sinh hoạt theo không gian (SCOLI) là một chỉ tiêu tương đối (tính bằng %) phản ánh sự chênh lệch giá hàng hóa và dịch vụ phục vụ cho đời sống hàng ngày của người dân giữa các tỉnh/thành phố trực thuộc trung ương, giữa các vùng trong nước tại một thời điểm (tháng, quý hoặc năm).
Phương pháp tính:
SCOLI được tính dựa trên cơ sở phương pháp luận của giá so sánh quốc tế với Nguồn số liệu của điều tra giá tiêu dùng. Dựa vào số liệu giá tiêu dùng bình quân của 63 tỉnh/thành phố trực thuộc trung ương để xây dựng chỉ số SCOLI cấp tỉnh/thành phố theo các bước sau:
Bước 1: Biên soạn số liệu tính chỉ số SCOLI cấp tỉnh/thành phố và vùng.
Bước 2: Xác định sản phẩm trùng giữa các tỉnh/thành phố và vùng.
Bước 3: Tổng hợp chỉ số SCOLI cấp tỉnh/thành phố và vùng.
Tổng hợp chỉ số giá cấp cơ sở:
Việc tính toán chỉ số giá ở mức thấp nhất được gọi là tổng hợp cấp cơ sở. Ở cấp này là cấp tổng hợp không có quyền số. Đây là cấp sản phẩm trong CPI (nhóm cấp 4) và là cấp nhóm cơ bản trong giá so sánh quốc tế (ICP). Sử dụng phương pháp Country-Product-Dummy (CPD) để tổng hợp cấp cơ sở.
Phương trình hồi quy cho CPD có thể viết như sau:
Inpcp = Ycp - xcpβ + εcp
Trong đó:
pcp là giá của sản phẩm p ở tỉnh/vùng c;
xcp = [Dc2...DcNcDp1Dp2..,DpNp]
β = [α2... αNc...Y1,Y2...YNp]T
Dcj và Dpi: Là sản phẩm và tỉnh/vùng giả định;
Np và Nc: Số lượng sản phẩm và tỉnh/vùng tương ứng.
Trong ký hiệu ma trận, sắp xếp theo quan sát riêng lẻ có thể viết thành:
Y = X β + ε
Tổng hợp chỉ số giá cấp cao hơn:
Tổng hợp chỉ số SCOLI ở cấp có quyền số (cấp 3, 2, 1, chung). Áp dụng công thức bình quân nhân gia quyền để tổng hợp chỉ số giá từ nhóm cấp 3 đến chỉ số giá chung. Sử dụng quyền số theo nhóm hàng CPI của 63 tỉnh, thành phố trực thuộc trung ương, theo 6 vùng và cả nước.
SCOLI được tính toán theo công thức bình quân nhân gia quyền có dạng tổng quát như sau:

Trong đó:
IA/B là chỉ số giá của nhóm cần tính;
là giá tỉnh/vùng so sánh A;
là giá tỉnh/vùng được chọn làm gốc (B);
là quyền số kỳ gốc cố định (0);
n là số lượng mặt hàng tham gia tính toán chỉ số.
2. Phân tổ chủ yếu
- Nhóm hàng hóa, dịch vụ theo cấu trúc của chỉ số giá tiêu dùng;
- Tỉnh/thành phố trực thuộc trung ương;
- Vùng kinh tế.
3. Kỳ công bố: Năm.
4. Nguồn số liệu: Điều tra giá tiêu dùng (CPI).
5. Cơ quan chịu trách nhiệm thu thập, tổng hợp: Tổng cục Thống kê.
1104. Chỉ số giá nguyên liệu, nhiên liệu, vật liệu dùng cho sản xuất
1. Khái niệm, phương pháp tính
Chỉ số giá nguyên liệu, nhiên liệu, vật liệu dùng cho sản xuất là chỉ tiêu tương đối (tính bằng %) phản ánh xu hướng và mức độ biến động giá theo thời gian của các loại nguyên, nhiên, vật liệu đại diện dùng cho sản xuất.
Điều tra giá nguyên liệu, nhiên liệu, vật liệu dùng cho sản xuất dựa trên Danh mục mặt hàng đại diện dùng cho sản xuất nông, lâm nghiệp và thủy sản; công nghiệp chế biến chế tạo và xây dựng. Danh mục này được xây dựng cho từng thời kỳ và sử dụng cố định trong một khoảng thời gian (thường là 5 năm) chia làm 3 danh mục theo 3 ngành sản xuất để điều tra thu thập giá định kỳ phục vụ tính chỉ số giá nguyên liệu, nhiên liệu, vật liệu dùng cho sản xuất.
Quyền số để tính chỉ số giá nguyên liệu, nhiên liệu, vật liệu cho sản xuất là tỷ trọng về chi phí trung gian của từng nhóm nguyên liệu, nhiên liệu, vật liệu trên tổng chi phí trung gian của tất cả các loại nguyên liệu, nhiên liệu, vật liệu đưa vào sản xuất. Quyền số sử dụng cố định trong khoảng 5 năm.
Công thức tính:
Chỉ số giá nguyên liệu, nhiên liệu, vật liệu dùng cho sản xuất được tính toán theo công thức Laspeyres bình quân nhân gia quyền có dạng tổng quát như sau:

Trong đó:
là chỉ số giá nguyên liệu, nhiên liệu, vật liệu kỳ báo cáo (t) so với kỳ gốc cố định (0);
tương ứng là giá nguyên liệu, nhiên liệu, vật liệu dùng cho sản xuất nông nghiệp, công nghiệp chế biến chế tạo, xây dựng kỳ báo cáo t và kỳ gốc cố định (0);
là quyền số kỳ gốc cố định (0);
là chi phí trung gian theo nhóm ngành ở kỳ gốc cố định (0);
n là số lượng mặt hàng.
2. Phân tổ chủ yếu
- Ngành sản phẩm;
- Vùng kinh tế.
3. Kỳ công bố: Quý, năm.
4. Nguồn số liệu: Điều tra giá nguyên liệu, nhiên liệu, vật liệu dùng cho sản xuất.
5. Cơ quan chịu trách nhiệm thu thập, tổng hợp: Tổng cục Thống kê.
1105. Chỉ số giá sản xuất nông nghiệp, lâm nghiệp, thủy sản, công nghiệp và dịch vụ
1. Khái niệm, phương pháp tính
Chỉ số giá sản xuất nông nghiệp, lâm nghiệp, thủy sản, công nghiệp và dịch vụ là 03 chỉ số giá sản xuất sau:
- Chỉ số giá sản xuất nông nghiệp, lâm nghiệp và thủy sản;
- Chỉ số giá sản xuất công nghiệp;
- Chỉ số giá sản xuất dịch vụ.
Chỉ số giá sản xuất nông nghiệp, lâm nghiệp, thủy sản, công nghiệp và dịch vụ là các chỉ tiêu tương đối (tính bằng %) phản ánh xu hướng và mức độ biến động giá theo thời gian của các loại sản phẩm nông nghiệp, lâm nghiệp, thủy sản, công nghiệp và dịch vụ do người sản xuất trực tiếp bán và cung cấp ra thị trường.
Chỉ số giá sản xuất nông nghiệp, lâm nghiệp, thủy sản, công nghiệp và dịch vụ được tính dựa trên các danh mục sản phẩm đại diện của hoạt động sản xuất nông nghiệp, lâm nghiệp, thủy sản, công nghiệp và dịch vụ cho một thời kỳ nhất định (khoảng 5 năm), được sử dụng để thu thập giá định kỳ, phục vụ tính chỉ số giá sản xuất nông nghiệp, lâm nghiệp, thủy sản, công nghiệp và dịch vụ.
Quyền số để tính chỉ số giá sản xuất nông nghiệp, lâm nghiệp và thủy sản là tỷ trọng giá trị sản xuất của từng nhóm ngành sản phẩm nông nghiệp, lâm nghiệp và thủy sản so với tổng giá sản xuất của toàn ngành nông nghiệp, lâm nghiệp và thủy sản. Quyền số dùng cố định trong khoảng 5 năm.
Quyền số để tính chỉ số giá sản xuất công nghiệp là tỷ trọng doanh thu của từng nhóm sản phẩm công nghiệp so với tổng doanh thu tiêu thụ của cả ngành công nghiệp. Quyền số dùng cố định trong khoảng 5 năm.
Quyền số để tính chỉ số giá sản xuất dịch vụ là tỷ trọng về giá trị sản xuất của từng nhóm ngành dịch vụ trong tổng giá trị sản xuất dịch vụ. Quyền số dùng cố định trong khoảng 5 năm.
Công thức tính:
Chỉ số giá sản xuất nông nghiệp, lâm nghiệp và thủy sản, công nghiệp, dịch vụ được tính toán theo công thức Laspeyres bình quân nhân gia quyền có dạng tổng quát như sau:

Trong đó:
là chỉ số giá sản xuất nông nghiệp, lâm nghiệp và thủy sản, công nghiệp, dịch vụ kỳ báo cáo (t) so với kỳ gốc cố định (0);
tương ứng là giá của sản phẩm nông nghiệp, lâm nghiệp và thủy sản, công nghiệp, dịch vụ kỳ báo cáo t và kỳ gốc cố định (0);
là quyền số kỳ gốc cố định (0);
là giá trị sản xuất của nhóm ngành nông nghiệp, lâm nghiệp và thủy sản, công nghiệp, dịch vụ ở kỳ gốc cố định (0);
n là số lượng mặt hàng.
2. Phân tổ chủ yếu
- Ngành kinh tế;
- Vùng kinh tế.
3. Kỳ công bố: Quý, năm.
4. Nguồn số liệu:
- Điều tra giá sản xuất dịch vụ;
- Điều tra giá sản xuất hàng hóa.
5. Cơ quan chịu trách nhiệm thu thập, tổng hợp: Tổng cục Thống kê.
1106. Chỉ số giá xây dựng
1. Khái niệm, phương pháp tính
Chỉ số giá xây dựng là chỉ tiêu tương đối (tính bằng %) phản ánh mức độ biến động (tăng hoặc giảm) của giá xây dựng công trình qua thời gian của toàn ngành xây dựng trên phạm vi cả nước.
Danh mục mặt hàng, dịch vụ đại diện được xây dựng theo các nguyên tắc: Vật liệu xây dựng chủ yếu của các công trình xây dựng, đó là các vật liệu xây dựng chiếm tỷ trọng lớn trong chi phí vật liệu, phổ biến và có khả năng tồn tại tương đối ổn định, lâu dài trong hoạt động xây dựng; máy và thiết bị thi công xây dựng chủ yếu là những loại máy và thiết bị được sử dụng phổ biến, có tỷ trọng chi phí lớn trong các công trình xây dựng; nhân công xây dựng chủ yếu là những nhân công phổ biến có tỷ trọng chi phí nhân công lớn trong các công trình xây dựng.
Quyền số tính chỉ số giá xây dựng là tỷ trọng (%) giá trị sản xuất xây dựng của từng nhóm mặt hàng trong tổng giá trị sản xuất xây dựng.
Chỉ số giá xây dựng được tính toán theo công thức Laspeyres bình quân nhân gia quyền có dạng tổng quát như sau:

Trong đó:
là chỉ số giá xây dựng kỳ báo cáo (t) so với kỳ gốc cố định (0);
tương ứng là giá mặt hàng xây dựng kỳ báo cáo t và kỳ gốc cố định (0);
là quyền số kỳ gốc cố định (0);
là giá trị sản xuất xây dựng ở kỳ gốc cố định (0);
n là số lượng mặt hàng.
Chỉ số giá xây dựng tỉnh/thành phố trực thuộc trung ương được tính bằng phương pháp bình quân nhân gia quyền giữa chỉ số giá xây dựng của từng nhóm mặt hàng đại diện được chọn điều tra với quyền số tương ứng.
Chỉ số giá xây dựng vùng được tính bằng phương pháp bình quân nhân gia quyền giữa chỉ số giá xây dựng của từng tỉnh/thành phố trực thuộc trung ương trong vùng với quyền số tương ứng.
Chỉ số giá xây dựng cả nước được tính bằng phương pháp bình quân nhân gia quyền giữa chỉ số giá xây dựng của từng vùng kinh tế với quyền số tương ứng.
2. Phân tổ chủ yếu
- Nhóm sản phẩm: Theo loại công trình;
- Vùng kinh tế.
3. Kỳ công bố: Quý, năm.
4. Nguồn số liệu: Điều tra giá xây dựng.
5. Cơ quan chịu trách nhiệm thu thập, tổng hợp
- Chủ trì: Bộ Xây dựng;
- Phối hợp: Tổng cục Thống kê.
1107. Chỉ số giá bất động sản
1. Khái niệm, phương pháp tính
Chỉ số giá bất động sản là chỉ tiêu tương đối (tính bằng %), phản ánh xu hướng và mức độ biến động giá giao dịch bất động sản theo thời gian.
Chỉ số giá bất động sản được tính dựa trên danh mục mặt hàng bất động sản đại diện được giao dịch trên thị trường trong một thời kỳ nhất định. Danh mục mặt hàng bất động sản đại diện được sử dụng để thu thập giá định kỳ phục vụ tính chỉ số bất động sản.
Quyền số của chỉ số giá bất động sản là tỷ trọng (tính bằng %) về giá trị giao dịch bất động sản của các nhóm hàng tương ứng trên tổng giá trị bất động sản giao dịch trên thị trường. Quyền số được sử dụng cố định trong 5 năm.
Công thức tính:
Chỉ số giá bất động sản được tính toán theo công thức Laspeyres bình quân nhân gia quyền có dạng tổng quát như sau:

Trong đó:
là chỉ số giá bất động sản kỳ báo cáo (t) so với kỳ gốc cố định (0);
tương ứng là giá bất động sản kỳ báo cáo t và kỳ gốc cố định (0);
là quyền số kỳ gốc cố định (0);
là giá trị bất động sản ở kỳ gốc cố định (0);
n là số lượng mặt hàng.
2. Phân tổ chủ yếu
- Bất động sản để bán, chuyển nhượng;
- Bất động sản để cho thuê;
- Dịch vụ kinh doanh bất động sản.
3. Kỳ công bố: Quý, năm.
4. Nguồn số liệu: Điều tra giá bất động sản.
5. Cơ quan chịu trách nhiệm thu thập, tổng hợp
- Chủ trì: Tổng cục Thống kê;
- Phối hợp: Bộ Xây dựng.
1108. Chỉ số giá tiền lương
1. Khái niệm, phương pháp tính
Chỉ số giá tiền lương là chỉ tiêu tương đối (tính bằng %), đo lường những thay đổi qua thời gian về mức lương (giá tiền lương) mà người sử dụng lao động trả cho người lao động. Đặc biệt, chỉ số giá tiền lương đo lường những thay đổi về mức tiền lương, tiền công cho từng loại công việc mà người lao động nhận được theo định kỳ (thường là hàng tháng, quý) và chỉ phản ánh sự thay đổi thuần tuý về mức lương, không tính những thay đổi do nâng lương theo niên hạn, nâng ngạch bậc.
Danh mục đại diện để tính chỉ số giá tiền lương là danh sách các loại công việc đại diện cho các ngành nghề hoạt động, được thu thập về mức lương (giá) nhằm tính toán chỉ số giá tiền lương, gồm các ngành, nghề, ngạch, bậc đại diện phổ biến. Mỗi loại công việc đại diện được các doanh nghiệp lựa chọn từ danh sách trả lương theo hướng dẫn của Tổng cục Thống kê.
Quyền số chỉ số giá tiền lương là tỷ trọng (tính bằng %) tổng số tiền lương của mỗi loại công việc đại diện trong tổng quỹ tiền lương trả cho người lao động.
Công thức tính:
Chỉ số giá tiền lương được tính toán theo công thức Laspeyres như sau:

Trong đó:
: Chỉ số giá tiền lương kỳ báo cáo (t) so với kỳ gốc cố định (0);
: Tiền lương kỳ báo cáo (t);
: Tiền lương kỳ gốc cố định (0);
: Người hưởng mức lương kỳ gốc cố định (0);
: Quyền số kỳ gốc cố định (0);
n: Số lượng loại công việc.
Chỉ số giá tiền lương được tính hàng năm cho cả nước.
2. Kỳ công bố: Năm.
3. Nguồn số liệu: Điều tra giá tiền lương.
4. Cơ quan chịu trách nhiệm thu thập, tổng hợp: Tổng cục Thống kê.
1109. Chỉ số giá xuất khẩu, nhập khẩu
1. Khái niệm, nội dung, phương pháp tính
Chỉ số giá xuất khẩu, nhập khẩu (XMPI) là chỉ số giá xuất khẩu và chỉ số giá nhập khẩu.
Chỉ số giá xuất khẩu là chỉ tiêu tương đối (tính bằng %) phản ánh xu hướng và mức độ biến động giá của hàng hóa xuất khẩu theo thời gian.
Chỉ số giá nhập khẩu là chỉ tiêu tương đối (tính bằng %) phản ánh xu hướng và mức độ biến động giá của hàng hóa nhập khẩu theo thời gian.
Danh mục mặt hàng xuất khẩu, nhập khẩu sử dụng để tính chỉ số giá xuất khẩu, nhập khẩu gồm các mặt hàng xuất khẩu, nhập khẩu đại diện trong một thời kỳ nhất định, được sử dụng để thu thập giá định kỳ, phục vụ tính chỉ số giá xuất khẩu, nhập khẩu.
Quyền số của chỉ số giá xuất khẩu, nhập khẩu (tính bằng %) là tỷ trọng về trị giá xuất khẩu, nhập khẩu của các nhóm hàng hóa và dịch vụ tương ứng trên tổng trị giá kim ngạch xuất khẩu, nhập khẩu. Quyền số được sử dụng cố định trong 5 năm. Tuy nhiên, trong trường hợp tình hình xuất khẩu, nhập khẩu có biến động mạnh thì có thể rút ngắn thời gian sử dụng, cập nhật quyền số vào giữa kỳ phương án điều tra.
Công thức tính:
Chỉ số giá xuất khẩu, nhập khẩu được tính toán theo công thức Laspeyres bình quân nhân gia quyền có dạng tổng quát như sau:

Trong đó:
là chỉ số giá xuất khẩu, nhập khẩu kỳ báo cáo (t) so với kỳ gốc cố định (0);
tương ứng là giá của hàng hóa xuất khẩu, nhập khẩu kỳ báo cáo t và kỳ gốc cố định (0);
là quyền số kỳ gốc cố định (0);
là kim ngạch xuất khẩu, nhập khẩu ở kỳ gốc cố định (0);
n là số lượng mặt hàng.
2. Phân tổ chủ yếu
- Danh mục hàng hóa xuất khẩu, nhập khẩu Việt Nam;
- Danh mục các nhóm hàng xuất khẩu, nhập khẩu chủ yếu.
3. Kỳ công bố: Quý, năm.
4. Nguồn số liệu: Điều tra giá xuất khẩu, nhập khẩu.
5. Cơ quan chịu trách nhiệm thu thập, tổng hợp
- Chủ trì: Tổng cục Thống kê;
- Phối hợp: Bộ Tài chính.
1110. Tỷ giá thương mại
1. Khái niệm, phương pháp tính
Do điều kiện hiện nay của Việt Nam, mới chỉ tính toán được tỷ giá thương mại hàng hóa.
Tỷ giá thương mại hàng hóa là chỉ tiêu tương đối (tính bằng %) phản ánh mối quan hệ tỷ lệ giữa giá hàng xuất khẩu với giá hàng nhập khẩu của quốc gia trong một thời kỳ nhất định.
Tỷ giá thương mại hàng hóa được tính dựa trên số liệu về chỉ số giá xuất khẩu và chỉ số giá nhập khẩu tính theo Đô la Mỹ có cùng gốc so sánh.
Công thức tính:
|
Tỷ giá thương mại |
= |
Chỉ số giá xuất khẩu hàng hóa |
x 100 |
|
Chỉ số giá nhập khẩu hàng hóa |
2. Phân tổ chủ yếu: Nhóm hàng xuất, nhập khẩu chủ yếu.
3. Kỳ công bố: Quý, năm.
4. Nguồn số liệu: Điều tra giá xuất khẩu, nhập khẩu.
5. Cơ quan chịu trách nhiệm thu thập, tổng hợp
- Chủ trì: Tổng cục Thống kê;
- Phối hợp: Bộ Tài chính.
12. Giao thông vận tải
1201. Doanh thu vận tải, kho bãi và dịch vụ hỗ trợ vận tải
1. Khái niệm, phương pháp tính
Là số tiền thu được sau khi thực hiện dịch vụ kinh doanh vận tải, kho bãi và các dịch vụ hỗ trợ vận tải khác trong một thời kỳ nhất định gồm:
- Doanh thu hoạt động vận tải hành khách là tổng số tiền thu được sau khi thực hiện dịch vụ phục vụ đi lại trong nước và ngoài nước của hành khách trên các phương tiện vận chuyển đường bộ, đường sắt, đường thủy, đường hàng không;
- Doanh thu vận tải hàng hóa là số tiền thu được sau khi thực hiện dịch vụ vận chuyển hàng hóa trong nước và ngoài nước bằng các phương tiện vận chuyển đường bộ, đường sắt, đường thủy, đường hàng không;
- Doanh thu dịch vụ hỗ trợ vận tải là số tiền thu được do thực hiện các hoạt động dịch vụ hỗ trợ vận tải, gồm:
+ Doanh thu dịch vụ bốc xếp là số tiền thu được từ hoạt động bốc, xếp hàng hóa, hành lý của hành khách lên phương tiện vận chuyển;
+ Doanh thu dịch vụ kho bãi là số tiền thu được do thực hiện các hoạt động cho thuê các loại kho, bãi để lưu giữ, bảo quản hàng hóa;
+ Doanh thu dịch vụ hỗ trợ khác liên quan đến vận tải.
Công thức tính:
|
Doanh thu vận tải, kho bãi và dịch vụ hỗ trợ vận tải |
= |
Doanh thu vận tải hành khách |
+ |
Doanh thu vận tải hàng hóa |
+ |
Doanh thu dịch vụ hỗ trợ cho vận tải (bốc xếp, kho bãi, DV vận tải khác) |
Trong đó:
- Doanh thu vận tải hành khách được tính bằng số tiền tương đương với lượng vé bán ra hoặc số tiền hành khách phải trả khi đi trên một tuyến đường nhất định;
- Doanh thu vận tải hàng hóa được tính bằng số hàng hóa thực tế vận chuyển được (kể cả bao bì nếu có) nhân với đơn giá cước bình quân thực tế (theo chế độ quy định của nhà nước hoặc theo thỏa thuận của chủ hàng và chủ phương tiện);
- Doanh thu dịch vụ hỗ trợ vận tải:
+ Doanh thu bốc xếp hàng hóa: Bằng khối lượng hàng hóa bốc xếp thực tế từ phương tiện ra khỏi phương tiện (hoặc ngược lại từ ngoài lên phương tiện) nhân với đơn giá cước bình quân thực tế (theo chế độ quy định của nhà nước hoặc theo thỏa thuận của chủ hàng với người bốc xếp).
+ Doanh thu kinh doanh kho bãi được tính bằng số tiền đã hoặc sẽ thu được do cho thuê kho, bãi để bảo quản, lưu giữ hàng hóa.
+ Doanh thu dịch vụ hỗ trợ khác liên quan đến vận tải.
2. Phân tổ chủ yếu
- Ngành đường: Ngành vận tải hành khách, hàng hóa (đường bộ, đường sắt, đường thủy, đường hàng không), bốc xếp, kho bãi;
- Tỉnh/thành phố trực thuộc trung ương.
3. Kỳ công bố: Tháng, quý, năm.
4. Nguồn số liệu
- Điều tra doanh nghiệp;
- Điều tra cơ sở sản xuất kinh doanh cá thể;
- Điều tra hoạt động vận tải, kho bãi.
5. Cơ quan chịu trách nhiệm thu thập, tổng hợp: Tổng cục Thống kê.
1202. Số lượt hành khách vận chuyển và luân chuyển
1. Khái niệm, phương pháp tính
a) Số lượt hành khách vận chuyển
Là số hành khách thực tế đã vận chuyển trong kỳ, bất kể độ dài quãng đường vận chuyển là bao nhiêu. Đơn vị tính là lượt hành khách.
b) Số lượt hành khách luân chuyển
Là số lượt hành khách được luân chuyển tính theo cả hai yếu tố: Số lượt vận chuyển và cự ly (quãng đường) vận chuyển thực tế. Đơn vị tính là hành khách - Kilômét (Hk.Km).
Công thức tính:
|
Số lượt hành khách luân chuyển (Hk.Km) |
= |
Số lượt hành khách vận chuyển (Hk) |
x |
Cự ly vận chuyển thực tế (Km) |
Trong đó:
Cự ly vận chuyển thực tế là quãng đường tính giá vé đã được cơ quan có thẩm quyền quy định.
Đối với xe khách cho thuê theo hợp đồng vận tải chuyến thì lượt hành khách vận chuyển của mỗi hợp đồng chỉ tính 1 lần hành khách vận chuyển theo số ghế phương tiện.
2. Phân tổ chủ yếu
- Ngành vận tải (đường sắt, đường bộ, đường thủy, đường hàng không);
- Trong nước/ngoài nước;
- Tỉnh/thành phố trực thuộc trung ương.
3. Kỳ công bố: Tháng, quý, năm.
4. Nguồn số liệu
- Điều tra doanh nghiệp;
- Điều tra cơ sở sản xuất kinh doanh cá thể;
- Điều tra hoạt động vận tải, kho bãi.
5. Cơ quan chịu trách nhiệm thu thập, tổng hợp: Tổng cục Thống kê.
1203. Khối lượng hàng hóa vận chuyển và luân chuyển
1. Khái niệm, phương pháp tính
a) Khối lượng hàng hóa vận chuyển
Là khối lượng hàng hóa đã được vận chuyển trong kỳ, bất kể độ dài quãng đường vận chuyển là bao nhiêu. Đơn vị tính khối lượng hàng hóa vận chuyển là tấn (T), vận tải đường ống là mét khối (m3), nhưng quy đổi ra tấn để cộng chung khi tính tổng khối lượng vận chuyển.
Khối lượng hàng hóa vận chuyển được tính theo trọng lượng thực tế của hàng hóa vận chuyển (kể cả bao bì nếu có). Khối lượng hàng hóa vận chuyển chỉ được tính sau khi kết thúc quá trình vận chuyển, đã vận chuyển đến nơi giao nhận theo quy định trong hợp đồng vận chuyển và làm xong thủ tục thực tế xếp trên phương tiện để tính khối lượng hàng hóa vận chuyển. Đối với hàng hóa cồng kềnh vận chuyển bằng ô tô, trong điều kiện không thể cân đo trực tiếp được khối lượng thì quy ước tính bằng 50% tấn trọng tải phương tiện hoặc tính theo thỏa thuận giữa chủ phương tiện và chủ hàng để tính khối lượng hàng hóa thực tế.
b) Khối lượng hàng hóa luân chuyển
Là khối lượng vận tải hàng hóa tính theo cả hai yếu tố: Khối lượng hàng hóa vận chuyển và cự ly vận chuyển thực tế. Đơn vị tính là Tấn-Kilômet (T.Km).
Công thức tính:
|
Khối lượng hàng hóa luân chuyển (T.Km) |
= |
Khối lượng hàng hóa vận chuyển (T) |
x |
Cự ly vận chuyển thực tế (Km) |
2. Phân tổ chủ yếu
- Ngành vận tải (đường sắt, đường bộ, đường thủy, đường hàng không);
- Trong nước/ngoài nước;
- Tỉnh/thành phố trực thuộc trung ương.
3. Kỳ công bố: Tháng, quý, năm.
4. Nguồn số liệu
- Điều tra doanh nghiệp;
- Điều tra cơ sở sản xuất kinh doanh cá thể;
- Điều tra hoạt động vận tải, kho bãi.
5. Cơ quan chịu trách nhiệm thu thập, tổng hợp: Tổng cục Thống kê.
1204. Khối lượng hàng hóa thông qua cảng
1. Khái niệm, phương pháp tính
Khối lượng hàng hóa thông qua cảng là khối lượng hàng hóa thực tế xuất hoặc nhập cảng trong kỳ gồm:
Khối lượng hàng hóa xuất cảng là số tấn hàng hóa thực tế được các cảng xếp lên phương tiện vận tải đường biển, đường thủy nội địa và hàng không đã rời đến các cảng khác.
Khối lượng hàng hóa nhập cảng là số tấn hàng hóa thực tế do phương tiện đường biển, đường thủy nội địa và hàng không vận chuyển từ các cảng khác tới cập cảng đã được bốc dỡ ra khỏi phương tiện đó.
Khối lượng hàng hóa thông qua cảng gồm hàng xuất khẩu, hàng nhập khẩu, hàng xuất nội, hàng nhập nội, hàng nước ngoài quá cảnh; không gồm hàng do cảng bốc xếp nhưng ở ngoài phạm vi cảng, lượng chất lỏng qua cảng phục vụ tàu thuyền như: Nước ngọt, nhiên liệu và lượng hàng tổn thất trong quá trình bốc xếp tại cảng.
2. Phân tổ chủ yếu
- Cảng biển;
- Cảng thủy nội địa;
- Cảng hàng không.
3. Kỳ công bố: Quý, năm.
4. Nguồn số liệu: Chế độ báo cáo thống kê cấp quốc gia.
5. Cơ quan chịu trách nhiệm thu thập, tổng hợp: Bộ Giao thông vận tải.
1205. Số lượng, năng lực bốc xếp hiện có và mới tăng của cảng thủy nội địa
1. Khái niệm, phương pháp tính
a) Số lượng cảng thủy nội địa
Là số lượng cảng thủy nội địa hiện có trong kỳ báo cáo. Cảng thủy nội địa là hệ thống các công trình được xây dựng để phương tiện thủy nội địa, tàu biển, phương tiện thủy nước ngoài neo đậu, xếp, dỡ hàng hóa, đón trả hành khách và thực hiện các dịch vụ hỗ trợ khác; cảng thủy nội địa có vùng đất cảng và vùng nước cảng. Cảng thủy nội địa bao gồm cảng tổng hợp, cảng hàng hóa, cảng hành khách, cảng chuyên dùng.
b) Năng lực bốc xếp hiện có của cảng thủy nội địa
Năng lực bốc xếp hiện có của cảng thủy nội địa là khả năng xếp dỡ hàng hóa thông qua cảng mà cảng có thể đảm nhận được trong năm báo cáo.
Năng lực bốc xếp hiện có được tính theo hai chỉ tiêu: Năng lực bốc xếp theo thiết kế và năng lực bốc xếp thực tế.
c) Năng lực bốc xếp mới tăng của cảng thủy nội địa
Là khả năng bốc xếp hàng hóa thông qua cảng tăng thêm (theo thiết kế trong xây dựng) do hoạt động đầu tư mở rộng, nâng cấp hoặc xây dựng mới các cảng thủy nội địa được hoàn thành bàn giao đưa vào sử dụng trong năm báo cáo.
2. Phân tổ chủ yếu: Cảng thủy nội địa.
3. Kỳ công bố: Năm.
4. Nguồn số liệu: Chế độ báo cáo thống kê cấp quốc gia.
5. Cơ quan chịu trách nhiệm thu thập, tổng hợp: Bộ Giao thông vận tải.
1206. Số lượng, năng lực vận chuyển hiện có và mới tăng của cảng hàng không
1. Khái niệm, phương pháp tính
a) Số lượng cảng hàng không hiện có là số lượng cảng hàng không hiện có đến kỳ báo cáo. Cảng hàng không là khu vực xác định, bao gồm sân bay, nhà ga và trang bị, thiết bị, công trình cần thiết khác được sử dụng cho tàu bay đi, đến và thực hiện vận chuyển hàng không.
b) Năng lực vận chuyển hiện có của cảng hàng không là khả năng tiếp nhận tàu bay; đưa đón hành khách đi đến; bốc xếp giao nhận, bảo quản hàng hóa và thực hiện các dịch vụ khác của cảng hàng không hiện có trong kỳ, được tính theo năng lực thiết kế hoặc năng lực theo thực tế.
c) Năng lực vận chuyển mới tăng của cảng hàng không là năng lực vận chuyển mới tăng (tính theo thiết kế) của hệ thống cảng hàng không đã xây dựng hoàn thành, bàn giao đưa vào sử dụng trong kỳ, gồm năng lực mới tăng do nâng cấp, mở rộng các cảng hàng không hiện có.
2. Phân tổ chủ yếu
- Nội địa;
- Quốc tế.
3. Kỳ công bố: Năm.
4. Nguồn số liệu: Chế độ báo cáo thống kê cấp quốc gia.
5. Cơ quan chịu trách nhiệm thu thập, tổng hợp: Bộ Giao thông vận tải.
13. Công nghệ thông tin và truyền thông
1301. Doanh thu bưu chính, chuyển phát
1. Khái niệm, phương pháp tính
- Doanh thu của hoạt động bưu chính, chuyển phát là tổng số tiền đã và sẽ thu về do việc cung cấp dịch vụ bưu chính, chuyển phát trong nước và quốc tế cho khách hàng của các đơn vị trong một thời kỳ nhất định.
- Doanh thu bưu chính, chuyển phát gồm doanh thu về cung cấp dịch vụ bưu chính và doanh thu thu được do cung cấp dịch vụ chuyển phát.
+ Dịch vụ bưu chính gồm dịch vụ nhận, phân loại, vận chuyển và phân phối (trong nước và quốc tế) thư, bưu phẩm, bưu kiện bằng các phương thức, từ địa điểm của người gửi đến địa điểm của người nhận (không gồm dịch vụ chuyển tiền bưu điện, tiết kiệm bưu điện).
+ Dịch vụ chuyển phát gồm dịch vụ nhận, phân loại, vận chuyển và phân phối (trong nước và quốc tế) thư, bưu phẩm, bưu kiện của các doanh nghiệp không hoạt động theo giao ước dịch vụ chung; dịch vụ này cũng gồm cả dịch vụ giao hàng tận nhà.
2. Phân tổ chủ yếu
- Ngành kinh tế;
- Loại hình kinh tế.
3. Kỳ công bố: 6 tháng, năm.
4. Nguồn số liệu
- Điều tra hoạt động cung cấp dịch vụ thông tin và truyền thông;
- Chế độ báo cáo thống kê cấp quốc gia.
5. Cơ quan chịu trách nhiệm thu thập, tổng hợp
- Chủ trì: Bộ Thông tin và Truyền thông;
- Phối hợp: Tổng cục Thống kê.
1302. Sản lượng bưu chính, chuyển phát
1. Khái niệm, phương pháp tính
Sản lượng bưu chính, chuyển phát gồm sản lượng dịch vụ thư và dịch vụ kiện, gói hàng hóa do các đơn vị cung cấp dịch vụ bưu chính thực hiện trong một thời kỳ nhất định. Trong đó:
- Sản lượng dịch vụ thư là lượng thư có địa chỉ nhận, không địa chỉ nhận (thư truyền thông, thư quảng cáo) được chấp nhận, vận chuyển và phân phát trong nước, quốc tế. Sản lượng dịch vụ thư không gồm số lượng thư không phải thanh toán trả cước dịch vụ.
- Sản lượng dịch vụ gói, kiện hàng hóa là số lượng gói, kiện hàng hóa được chấp nhận, vận chuyển và phát trong nước, quốc tế. Sản lượng dịch vụ gói, kiện hàng hóa; không gồm số lượng gói, kiện hàng hóa chuyển phát không phải thanh toán giá cước dịch vụ.
- Bưu phẩm là số lượng bưu phẩm thường các loại, bưu phẩm phát trong ngày, bưu phẩm chuyển phát nhanh có tính cước được chuyển đi trong nước và quốc tế; không gồm các bưu phẩm không phải trả cước như bưu phẩm nghiệp vụ (được gửi và nhận giữa các đơn vị bưu chính, viễn thông với nhau).
- Bưu kiện là số lượng bưu kiện thường, bưu kiện chuyển phát nhanh có tính cước được chuyển đi trong nước và quốc tế; không gồm các bưu kiện không phải trả cước như bưu kiện nghiệp vụ được gửi và nhận giữa các đơn vị bưu chính, viễn thông với nhau.
- Số thư chuyển tiền, điện chuyển tiền là số lượng thư, điện chuyển tiền trong nước và quốc tế qua bưu điện.
- Tổng số báo chí phát hành qua bưu điện là tổng số lượng các loại báo, tạp chí Trung ương, ngành, địa phương, báo, tạp chí nhập khẩu được phát hành trong nước và quốc tế qua bưu điện.
2. Phân tổ chủ yếu: Loại sản phẩm chủ yếu.
3. Kỳ công bố: 6 tháng, năm.
4. Nguồn số liệu
- Điều tra hoạt động cung cấp dịch vụ thông tin và truyền thông;
- Chế độ báo cáo thống kê cấp quốc gia.
5. Cơ quan chịu trách nhiệm thu thập, tổng hợp
- Chủ trì: Bộ Thông tin và Truyền thông;
- Phối hợp: Tổng cục Thống kê.
1303. Doanh thu viễn thông
1. Khái niệm, phương pháp tính
Doanh thu viễn thông là số tiền thu được từ kết quả hoạt động của các dịch vụ từ dịch vụ truyền ký hiệu, tín hiệu, số liệu, chữ viết, âm thanh, hình ảnh hoặc các dạng khác của thông tin giữa các điểm kết đầu, cuối của mạng viễn thông. Hay doanh thu viễn thông gồm doanh thu từ cung cấp dịch vụ viễn thông trong nước và quốc tế như: Điện thoại cố định, điện thoại di động, nhắn tin, điện báo, telex, fax, thư điện tử, các dịch vụ internet, truyền số liệu, phát sóng truyền hình...
Doanh thu viễn thông được xác định bằng tổng doanh thu giá cước áp dụng đối với người sử dụng dịch vụ viễn thông trả sau và doanh thu bán thẻ đối với dịch vụ viễn thông trả trước; doanh thu chênh lệch thanh toán giá cước giữa các doanh nghiệp viễn thông và doanh thu chênh lệch thanh toán quốc tế giữa doanh nghiệp viễn thông và các đối tác nước ngoài. Dịch vụ viễn thông gồm các dịch vụ viễn thông cơ bản và dịch vụ viễn thông giá trị gia tăng.
2. Phân tổ chủ yếu
- Ngành kinh tế;
- Loại hình kinh tế.
3. Kỳ công bố: Quý, năm.
4. Nguồn số liệu
- Điều tra hoạt động cung cấp dịch vụ thông tin và truyền thông;
- Chế độ báo cáo thống kê cấp quốc gia.
5. Cơ quan chịu trách nhiệm thu thập, tổng hợp
- Chủ trì: Bộ Thông tin và Truyền thông;
- Phối hợp: Tổng cục Thống kê.
1304. Số lượng thuê bao điện thoại
1. Khái niệm, phương pháp tính
Số lượng thuê bao điện thoại là số thuê bao điện thoại cố định đang hòa mạng và số lượng thuê bao điện thoại di động phát sinh lưu lượng thoại, tin nhắn, dữ liệu đang hoạt động hai chiều và thuê bao bị khóa một chiều tính đến thời điểm thu thập số liệu.
Phương pháp tính:
Đối với thuê bao điện thoại cố định: Sử dụng số liệu thống kê trên hệ thống của doanh nghiệp tại thời điểm thu thập số liệu.
Đối với thuê bao điện thoại di động là tổng số thuê bao phát sinh lưu lượng thoại, tin nhắn, dữ liệu đang hoạt động hai chiều và thuê bao bị khóa một chiều tại thời điểm thu thập số liệu.
2. Phân tổ chủ yếu
- Kỳ tháng, quý, năm phân tổ theo: Loại thuê bao (cố định, di động);
- Kỳ năm phân tổ thêm tỉnh/thành phố trực thuộc trung ương.
3. Kỳ công bố: Tháng, quý, năm.
4. Nguồn số liệu
- Điều tra hiện trạng phổ cập dịch vụ thông tin và truyền thông;
- Chế độ báo cáo thống kê cấp quốc gia.
5. Cơ quan chịu trách nhiệm thu thập, tổng hợp
- Chủ trì: Bộ Thông tin và Truyền thông;
- Phối hợp: Tổng cục Thống kê.
1305. Tỷ lệ người sử dụng điện thoại di động
1. Khái niệm, phương pháp tính
Tỷ lệ người sử dụng điện thoại di động được tính bằng tỷ số giữa số người sử dụng điện thoại di động và dân số.
Tùy theo yêu cầu quản lý của từng thời kỳ và để bảo đảm mục tiêu so sánh quốc tế số người sử dụng điện thoại di động được quy định theo độ tuổi và tần suất sử dụng nhất định. Vì vậy, phạm vi thu thập số liệu sẽ được quy định cụ thể trong từng phương án điều tra.
2. Phân tổ chủ yếu
- Thành thị/nông thôn;
- Tỉnh/thành phố trực thuộc trung ương.
3. Kỳ công bố: Năm.
4. Nguồn số liệu
- Điều tra hiện trạng phổ cập dịch vụ thông tin và truyền thông;
- Chế độ báo cáo thống kê cấp quốc gia.
5. Cơ quan chịu trách nhiệm thu thập, tổng hợp
- Chủ trì: Bộ Thông tin và Truyền thông;
- Phối hợp: Tổng cục Thống kê.
1306. Tỷ lệ người sử dụng Internet
1. Khái niệm, phương pháp tính
Tỷ lệ người sử dụng Internet được tính bằng tỷ số giữa số người sử dụng Internet so với dân số tại thời điểm quan sát.
Tùy theo yêu cầu quản lý của từng thời kỳ và để bảo đảm mục tiêu so sánh quốc tế, số người sử dụng Internet được quy định theo độ tuổi và tần suất sử dụng nhất định. Vì vậy, phạm vi thu thập số liệu sẽ được quy định cụ thể trong từng phương án điều tra.
2. Phân tổ chủ yếu
- Thành thị/nông thôn;
- Tỉnh/thành phố trực thuộc trung ương.
3. Kỳ công bố: Năm.
4. Nguồn số liệu: Điều tra hiện trạng phổ cập dịch vụ thông tin và truyền thông.
5. Cơ quan chịu trách nhiệm thu thập, tổng hợp
- Chủ trì: Bộ Thông tin và Truyền thông;
- Phối hợp: Tổng cục Thống kê.
1307. Số lượng thuê bao truy nhập Internet
1. Khái niệm, phương pháp tính
Số lượng thuê bao truy nhập Internet gồm số thuê bao truy nhập Internet cố định và số thuê bao truy nhập Internet di động.
Dịch vụ truy nhập Internet là dịch vụ cung cấp cho người sử dụng Internet khả năng truy nhập Internet.
2. Phân tổ chủ yếu
- Phương thức kết nối (cố định, di động);
- Tỉnh/thành phố trực thuộc trung ương.
3. Kỳ công bố: Quý, năm.
4. Nguồn số liệu
- Điều tra hiện trạng phổ cập dịch vụ thông tin và truyền thông;
- Chế độ báo cáo thống kê cấp quốc gia.
5. Cơ quan chịu trách nhiệm thu thập, tổng hợp
- Chủ trì: Bộ Thông tin và Truyền thông;
- Phối hợp: Tổng cục Thống kê.
1308. Tỷ lệ hộ gia đình có kết nối Internet
1. Khái niệm, phương pháp tính
Tỷ lệ hộ gia đình có kết nối Internet được tính bằng số hộ gia đình kết nối Internet tại thời điểm quan sát so với tổng số hộ gia đình tại thời điểm quan sát.
Hộ gia đình có kết nối Internet là hộ gia đình được cung cấp dịch vụ truy nhập Internet. Phạm vi thu thập số liệu và những quy định chi tiết về hộ gia đình có sử dụng Internet sẽ được quy định cụ thể trong từng phương án điều tra.
2. Phân tổ chủ yếu
- Thành thị/nông thôn;
- Tỉnh/thành phố trực thuộc trung ương.
3. Kỳ công bố: Năm.
4. Nguồn số liệu: Điều tra hiện trạng phổ cập dịch vụ thông tin và truyền thông.
5. Cơ quan chịu trách nhiệm thu thập, tổng hợp
- Chủ trì: Bộ Thông tin và Truyền thông;
- Phối hợp: Tổng cục Thống kê.
1309. Số đơn vị có giao dịch thương mại điện tử
1. Khái niệm, phương pháp tính
Số đơn vị có giao dịch thương mại điện tử là số lượng doanh nghiệp, tổ chức thực hiện mua bán hàng hóa, dịch vụ, xúc tiến thương mại, quảng cáo, khuyến mại và các khâu khác thông qua các trang thông tin điện tử bán hàng (không gồm các đơn vị có trang thông tin điện tử nhưng chỉ dùng để quảng cáo, giới thiệu đơn vị và các đơn vị mua, bán hàng hóa, dịch vụ qua điện thoại, fax). Cụ thể:
- Đối với đơn vị bán hàng phải có hàng hóa, dịch vụ chào bán trên mạng Internet và có ít nhất một giao dịch bán hàng hóa, dịch vụ được thực hiện trên mạng Internet trong kỳ quan sát;
- Đối với đơn vị mua hàng phải đặt mua hàng hóa, dịch vụ trên mạng Internet và có ít nhất một giao dịch mua hàng hóa, dịch vụ được thực hiện trên mạng Internet trong kỳ quan sát.
Giao dịch thương mại điện tử thường được thực hiện thông qua các phương thức: Giao dịch B2B là giao dịch thương mại điện tử giữa tổ chức với tổ chức (giữa doanh nghiệp với doanh nghiệp, giữa doanh nghiệp với cơ quan nhà nước...); giao dịch B2C là giao dịch thương mại điện tử giữa tổ chức với người tiêu dùng; giao dịch C2C là giao dịch thương mại điện tử giữa người tiêu dùng với người tiêu dùng.
2. Phân tổ chủ yếu
- Ngành kinh tế;
- Loại hình kinh tế.
3. Kỳ công bố: 2 năm.
4. Nguồn số liệu
- Điều tra thống kê thương mại điện tử;
- Chế độ báo cáo thống kê cấp quốc gia.
5. Cơ quan chịu trách nhiệm thu thập, tổng hợp: Bộ Công Thương.
1310. Dung lượng kết nối Internet quốc tế bình quân một trăm dân
1. Khái niệm, phương pháp tính
Dung lượng kết nối Internet quốc tế bình quân một trăm dân là số dung lượng kết nối Internet quốc tế tại thời điểm quan sát tính bình quân một trăm dân (đơn vị tính là: ki lô bít/giây). Nói cách khác, cứ một trăm người dân sử dụng bao nhiêu dung lượng kết nối Internet quốc tế.
Dung lượng kết nối Internet quốc tế là tổng dung lượng các đường truyền kết nối Internet quốc tế của các doanh nghiệp viễn thông cung cấp dịch vụ truy nhập Internet tại Việt Nam.
2. Phân tổ chủ yếu: Loại hình doanh nghiệp cung cấp dịch vụ.
3. Kỳ công bố: Năm.
4. Nguồn số liệu
- Điều tra hoạt động cung cấp dịch vụ thông tin và truyền thông;
- Chế độ báo cáo thống kê cấp quốc gia.
5. Cơ quan chịu trách nhiệm thu thập, tổng hợp
- Chủ trì: Bộ Thông tin và Truyền thông;
- Phối hợp: Tổng cục Thống kê.
1311. Doanh thu công nghệ thông tin
1. Khái niệm, phương pháp tính
Doanh thu công nghệ thông tin là toàn bộ số tiền đã và sẽ thu từ hoạt động cung cấp các dịch vụ lập trình, viết, sửa, thử nghiệm và trợ giúp các phần mềm theo yêu cầu sử dụng riêng biệt của từng khách hàng, kể cả các phần mềm nhúng; lập và thiết kế hệ thống máy tính tích hợp các phần cứng, phần mềm và công nghệ giao tiếp; quản lý và điều hành hệ thống máy tính của khách hàng và công cụ xử lý dữ liệu; các hoạt động chuyên gia; các hoạt động khác liên quan đến máy tính; cung cấp hạ tầng thông tin cho thuê, xử lý dữ liệu, cung cấp các công cụ tìm kiếm và cổng khác cho Internet (gồm các hoạt động của ngành 62 và 631 thuộc VSIC 2007).
2. Phân tổ chủ yếu: Tỉnh/thành phố trực thuộc trung ương.
3. Kỳ công bố: Năm.
4. Nguồn số liệu
- Điều tra doanh nghiệp;
- Chế độ báo cáo thống kê cấp quốc gia.
5. Cơ quan chịu trách nhiệm thu thập, tổng hợp
- Chủ trì: Tổng cục Thống kê;
- Phối hợp: Bộ Thông tin và Truyền thông.
14. Khoa học và công nghệ
1401. Số tổ chức khoa học và công nghệ
1. Khái niệm, phương pháp tính
Tổ chức khoa học và công nghệ là tổ chức có chức năng chủ yếu là nghiên cứu khoa học, nghiên cứu triển khai và phát triển công nghệ, hoạt động dịch vụ khoa học và công nghệ, được thành lập và đăng ký hoạt động theo quy định của pháp luật.
Hình thức của tổ chức khoa học và công nghệ được quy định như sau:
- Tổ chức nghiên cứu khoa học, tổ chức nghiên cứu khoa học và phát triển công nghệ được tổ chức dưới các hình thức viện hàn lâm, viện, trung tâm, phòng thí nghiệm, trạm nghiên cứu, trạm quan trắc, trạm thử nghiệm và hình thức khác do Bộ trưởng Bộ Khoa học và Công nghệ quy định (gọi chung là tổ chức nghiên cứu khoa học và phát triển công nghệ);
- Cơ sở giáo dục đại học được tổ chức theo quy định của Luật giáo dục đại học. Cơ sở giáo dục đại học gồm trường đại học, học viện và cao đẳng;
- Tổ chức dịch vụ khoa học và công nghệ được tổ chức dưới hình thức trung tâm, văn phòng, phòng thử nghiệm và hình thức khác do Bộ trưởng Bộ Khoa học và Công nghệ quy định.
Phương pháp tính: Tổng số tổ chức khoa học và công nghệ có tại thời điểm báo cáo.
2. Phân tổ chủ yếu
- Loại hình tổ chức: Tổ chức nghiên cứu khoa học và phát triển công nghệ; cơ sở giáo dục đại học; tổ chức dịch vụ khoa học và công nghệ.
- Lĩnh vực khoa học và công nghệ: Khoa học tự nhiên; khoa học kỹ thuật và công nghệ; khoa học nông nghiệp; khoa học y dược; khoa học xã hội; khoa học nhân văn.
- Loại hình kinh tế;
- Tỉnh/thành phố trực thuộc trung ương.
3. Kỳ công bố: Năm.
4. Nguồn số liệu
- Điều tra tiềm lực khoa học và công nghệ của các tổ chức khoa học và công nghệ;
- Chế độ báo cáo thống kê cấp quốc gia.
5. Cơ quan chịu trách nhiệm thu thập, tổng hợp: Bộ Khoa học và Công nghệ.
1402. Số người trong các tổ chức khoa học và công nghệ
1. Khái niệm, phương pháp tính
Số người trong các tổ chức khoa học và công nghệ là những lao động được tổ chức khoa học và công nghệ quản lý, sử dụng và trả lương, gồm cả lao động được tuyển dụng chính thức và lao động hợp đồng.
Phương pháp tính: Tổng số người trong các tổ chức khoa học và công nghệ tại thời điểm báo cáo.
2. Phân tổ chủ yếu
- Giới tính;
- Dân tộc;
- Loại hình tổ chức;
- Lĩnh vực khoa học và công nghệ;
- Lĩnh vực đào tạo;
- Trình độ chuyên môn;
- Chức danh.
3. Kỳ công bố: Năm.
4. Nguồn số liệu
- Điều tra tiềm lực khoa học và công nghệ của các tổ chức khoa học và công nghệ;
- Chế độ báo cáo thống kê cấp quốc gia.
5. Cơ quan chịu trách nhiệm thu thập, tổng hợp
- Chủ trì: Bộ Khoa học và Công nghệ;
- Phối hợp: Tổng cục Thống kê.
1403. Số người hoạt động nghiên cứu khoa học và phát triển công nghệ
1. Khái niệm, phương pháp tính
Số người hoạt động nghiên cứu khoa học và phát triển công nghệ là những người do tổ chức quản lý, sử dụng và trả lương, trực tiếp tham gia hoặc trực tiếp hỗ trợ các hoạt động nghiên cứu khoa học và phát triển công nghệ.
Số người hoạt động nghiên cứu khoa học và phát triển công nghệ chia theo 4 nhóm: Cán bộ nghiên cứu, cán bộ kỹ thuật, nhân viên hỗ trợ và nhân lực khác.
a) Cán bộ nghiên cứu là những người có trình độ cao đẳng trở lên trực tiếp tham gia vào hoạt động nghiên cứu khoa học và phát triển công nghệ nhằm tạo ra những tri thức, sản phẩm và quá trình mới, tạo ra phương pháp và hệ thống mới; dành tối thiểu 10% thời gian lao động cho hoạt động nghiên cứu khoa học và phát triển công nghệ. Nhóm này gồm cả những nhà quản lý trực tiếp hoạt động nghiên cứu khoa học và phát triển công nghệ.
b) Cán bộ kỹ thuật là những kỹ thuật viên, nhân viên phòng thí nghiệm có trình độ trung cấp và tương đương trở lên, tham gia vào nhiệm vụ nghiên cứu khoa học và phát triển công nghệ bằng việc thực hiện những công việc khoa học và kỹ thuật đòi hỏi phải gắn với các khái niệm và quy trình thao tác dưới sự giám sát của cán bộ nghiên cứu.
c) Nhân viên hỗ trợ là những nhân viên hành chính và văn phòng tham gia vào nhiệm vụ nghiên cứu khoa học và phát triển công nghệ. Trong nhóm này gồm cả những người làm quản lý, quản trị hành chính và các công việc liên quan đến nhân sự, tài chính và hành chính nếu các công việc của họ trực tiếp phục vụ công việc nghiên cứu khoa học và phát triển công nghệ.
d) Nhân lực khác là những người hoạt động nghiên cứu khoa học và phát triển công nghệ không thuộc các nhóm trên.
Những người làm công việc phục vụ gián tiếp như tạp vụ, vệ sinh, lái xe, bảo vệ,... thì không coi là người hoạt động nghiên cứu khoa học và phát triển công nghệ.
2. Phân tổ chủ yếu
- Vị trí hoạt động;
- Lĩnh vực khoa học và công nghệ;
- Trình độ chuyên môn;
- Khu vực hoạt động;
- Giới tính.
3. Kỳ công bố: 2 năm.
4. Nguồn số liệu
- Điều tra nghiên cứu khoa học và phát triển công nghệ;
- Chế độ báo cáo thống kê cấp quốc gia.
5. Cơ quan chịu trách nhiệm thu thập, tổng hợp
- Chủ trì: Bộ Khoa học và Công nghệ.
- Phối hợp: Tổng cục Thống kê.
1404. Số sáng chế được cấp văn bằng bảo hộ
1. Khái niệm, phương pháp tính
Sáng chế được cấp văn bằng bảo hộ là những sáng chế được cơ quan nhà nước có thẩm quyền cấp văn bằng bảo hộ nhằm xác lập quyền sở hữu công nghiệp trong nước và nước ngoài.
Sáng chế là giải pháp kỹ thuật dưới dạng sản phẩm hoặc quy trình nhằm giải quyết một vấn đề xác định bằng việc ứng dụng các quy luật tự nhiên.
Số sáng chế được cấp văn bằng bảo hộ được tính bằng số sáng chế được cấp văn bằng bảo hộ quyền sở hữu trí tuệ, gồm:
a) Số văn bằng do Cục Sở hữu trí tuệ Việt Nam cấp cho người Việt Nam;
b) Số văn bằng do Cục Sở hữu trí tuệ Việt Nam cấp cho người nước ngoài.
2. Phân tổ chủ yếu
- Lĩnh vực kỹ thuật;
- Khu vực hoạt động: Tổ chức nghiên cứu khoa học và phát triển công nghệ; trường đại học, học viện, cao đẳng; cơ quan hành chính, đơn vị sự nghiệp khác; tổ chức ngoài nhà nước, doanh nghiệp;
- Quốc tịch của chủ văn bằng.
3. Kỳ công bố: Năm.
4. Nguồn số liệu
- Điều tra nghiên cứu khoa học và phát triển công nghệ;
- Chế độ báo cáo thống kê cấp quốc gia.
5. Cơ quan chịu trách nhiệm thu thập, tổng hợp: Bộ Khoa học và Công nghệ.
1405. Chỉ số đổi mới công nghệ, thiết bị
1. Khái niệm, phương pháp tính
Là chỉ tiêu tương đối, thể hiện bằng tỷ lệ phần trăm (%) đổi mới công nghệ, thiết bị giữa năm trước và năm sau.
Nội dung của đổi mới công nghệ, thiết bị: Tổng số doanh nghiệp có đổi mới công nghệ, thiết bị; tổng chi cho đổi mới công nghệ, thiết bị trong doanh nghiệp; tổng chi mua máy móc, thiết bị của doanh nghiệp; số hợp đồng và kinh phí chuyển giao công nghệ đã thực hiện.
2. Phân tổ chủ yếu
- Ngành kinh tế;
- Loại hình kinh tế;
- Tỉnh/thành phố trực thuộc trung ương.
3. Kỳ công bố: Năm.
4. Nguồn số liệu
- Điều tra doanh nghiệp;
- Chế độ báo cáo thống kê cấp quốc gia.
5. Cơ quan chịu trách nhiệm thu thập, tổng hợp: Bộ Khoa học và Công nghệ.
1406. Tỷ lệ chi đổi mới công nghệ so với tổng vốn cố định của doanh nghiệp
1. Khái niệm, phương pháp tính
Tỷ lệ chi đổi mới công nghệ so với tổng vốn cố định của doanh nghiệp bằng tỷ lệ phần trăm của chi đổi mới công nghệ so với tổng vốn cố định của doanh nghiệp.
Chi cho đổi mới công nghệ trong doanh nghiệp là khoản đầu tư của doanh nghiệp dành cho việc đổi mới sản phẩm và đổi mới quy trình sản xuất, như mua phát minh, mua thiết bị, sản xuất thiết bị quản lý, dây chuyền mới, mua bản quyền nhãn mác,...
2. Phân tổ chủ yếu
- Ngành kinh tế;
- Loại hình kinh tế;
- Nguồn cấp kinh phí.
3. Kỳ công bố: Năm.
4. Nguồn số liệu: Điều tra doanh nghiệp.
5. Cơ quan chịu trách nhiệm thu thập, tổng hợp: Tổng cục Thống kê.
1407. Chi cho nghiên cứu khoa học và phát triển công nghệ
1. Khái niệm, phương pháp tính
Chi cho nghiên cứu khoa học và phát triển công nghệ là các khoản chi gồm chi đầu tư phát triển, chi cho nhiệm vụ nghiên cứu khoa học và phát triển công nghệ và chi khác.
Nguồn cấp kinh phí được chia thành 3 loại nguồn:
- Từ ngân sách nhà nước (gồm cả các nguồn có tính chất ngân sách nhà nước), được chia thành ngân sách trung ương và ngân sách địa phương. Ngân sách trung ương gồm kinh phí cân đối từ Bộ Khoa học và Công nghệ và từ các bộ, ngành. Ngân sách địa phương là nguồn được cân đối từ ngân sách của tỉnh/thành phố trực thuộc trung ương;
- Từ nguồn ngoài ngân sách nhà nước gồm từ các doanh nghiệp và từ trường đại học;
- Nguồn từ nước ngoài.
2. Phân tổ chủ yếu
- Nguồn cấp kinh phí;
- Loại hình nghiên cứu;
- Khu vực hoạt động: Tổ chức nghiên cứu khoa học và phát triển công nghệ; trường đại học, học viện, cao đẳng; cơ quan hành chính, đơn vị sự nghiệp khác; tổ chức ngoài nhà nước, doanh nghiệp;
- Tỉnh/thành phố trực thuộc trung ương.
3. Kỳ công bố: 2 năm.
4. Nguồn số liệu
- Điều tra nghiên cứu khoa học và phát triển công nghệ;
- Chế độ báo cáo thống kê cấp quốc gia.
5. Cơ quan chịu trách nhiệm thu thập, tổng hợp
- Chủ trì: Bộ Khoa học và Công nghệ;
- Phối hợp: Tổng cục Thống kê; Bộ Tài chính.
15. Giáo dục
1501. Số học sinh phổ thông bình quân một giáo viên
1. Khái niệm, phương pháp tính
Số học sinh phổ thông bình quân một giáo viên là tỷ số giữa tổng số học sinh và tổng số giáo viên của mỗi cấp học.
Công thức tính:
|
Số học sinh phổ thông bình quân một giáo viên cấp học t năm học k |
= |
Số học sinh phổ thông cấp học t đang học trong năm học k |
|
Số giáo viên phổ thông cấp học t đang giảng dạy trong năm học k |
2. Phân tổ chủ yếu
- Loại hình;
- Cấp học;
- Tỉnh/thành phố trực thuộc trung ương.
3. Kỳ công bố: Năm.
4. Nguồn số liệu
- Điều tra các cơ sở giáo dục ngoài công lập;
- Chế độ báo cáo thống kê cấp quốc gia.
5. Cơ quan chịu trách nhiệm thu thập, tổng hợp: Bộ Giáo dục và Đào tạo.
1502. Số học sinh phổ thông bình quân một lớp học
1. Khái niệm, phương pháp tính
Số học sinh phổ thông bình quân một lớp học là tỷ số giữa tổng số học sinh trên tổng số lớp học của mỗi cấp học.
Công thức tính:
|
Số học sinh phổ thông bình quân một lớp học cấp học t năm học k |
= |
Số học sinh phổ thông đang học cấp học t năm học k |
|
Số lớp học cấp học t năm học k |
2. Phân tổ chủ yếu
- Cấp học;
- Tỉnh/thành phố trực thuộc trung ương.
3. Kỳ công bố: Năm.
4. Nguồn số liệu
- Điều tra các cơ sở giáo dục ngoài công lập;
- Chế độ báo cáo thống kê cấp quốc gia.
5. Cơ quan chịu trách nhiệm thu thập, tổng hợp: Bộ Giáo dục và Đào tạo.
1503. Tỷ lệ học sinh đi học phổ thông
1. Khái niệm, phương pháp tính
Tỷ lệ học sinh đi học phổ thông gồm tỷ lệ học sinh đi học chung phổ thông và tỷ lệ học sinh đi học đúng tuổi phổ thông.
Tỷ lệ học sinh đi học chung cấp tiểu học là số phần trăm số học sinh đang học cấp tiểu học so với tổng dân số ở độ tuổi cấp tiểu học từ 6 - 10 tuổi.
Tỷ lệ học sinh đi học chung cấp trung học cơ sở là số phần trăm số học sinh đang học cấp trung học cơ sở so với tổng dân số ở độ tuổi cấp trung học cơ sở từ 11 - 14 tuổi.
Tỷ lệ học sinh đi học chung cấp trung học phổ thông là số phần trăm số học sinh đang học cấp trung học phổ thông so với tổng dân số ở độ tuổi cấp trung học phổ thông từ 15 - 17 tuổi.
Công thức tính:
|
Tỷ lệ học sinh đi học chung cấp học i năm học t (%) |
= |
Số học sinh đang học cấp học i năm học t |
x 100 |
|
Dân số trong độ tuổi cấp học i trong năm t |
Tỷ lệ học sinh đi học đúng tuổi cấp tiểu học là số phần trăm số học sinh tuổi từ 6 - 10 tuổi đang học cấp tiểu học so với tổng dân số trong độ tuổi cấp tiểu học từ 6 - 10 tuổi.
Tỷ lệ học sinh đi học đúng tuổi cấp trung học cơ sở là số phần trăm số học sinh tuổi từ 11 - 14 tuổi đang học cấp trung học cơ sở so với tổng dân số trong độ tuổi cấp trung học cơ sở từ 11 - 14 tuổi.
Tỷ lệ học sinh đi học đúng tuổi cấp trung học phổ thông là số phần trăm số học sinh tuổi từ 15 - 17 tuổi đang học cấp trung học phổ thông so với tổng dân số trong độ tuổi cấp trung học phổ thông từ 15 - 17 tuổi.
Công thức tính:
|
Tỷ lệ học sinh đi học đúng tuổi cấp học i năm học t (%) |
= |
Số học sinh trong độ tuổi cấp học i đang học cấp học i năm học t |
x 100 |
|
Dân số trong độ tuổi cấp học i trong năm học t |
Tuổi học sinh quy ước bằng năm khai giảng năm học trừ đi năm sinh của học sinh trong giấy khai sinh.
2. Phân tổ chủ yếu
- Chung/đúng tuổi;
- Cấp học;
- Giới tính;
- Dân tộc;
- Tỉnh/thành phố trực thuộc trung ương.
3. Kỳ công bố: Năm.
4. Nguồn số liệu
- Điều tra các cơ sở giáo dục ngoài công lập;
- Chế độ báo cáo thống kê cấp quốc gia.
5. Cơ quan chịu trách nhiệm thu thập, tổng hợp
- Chủ trì: Bộ Giáo dục và Đào tạo;
- Phối hợp: Tổng cục Thống kê.
16. Y tế và chăm sóc sức khỏe
1601. Số bác sỹ, số giường bệnh trên mười nghìn dân
1. Khái niệm, phương pháp tính
a) Số bác sỹ trên mười nghìn dân được xác định tại thời điểm báo cáo theo công thức:
|
Số bác sỹ bình quân trên mười nghìn dân |
= |
Số bác sỹ công tác trong lĩnh vực y tế có đến thời điểm báo cáo |
x 10.000 |
|
Dân số cùng thời điểm |
Bác sỹ ở đây gồm bác sĩ, thạc sỹ, tiến sỹ, giáo sư, phó giáo sư có trình độ chuyên môn về y học và có bằng bác sỹ trở lên hiện đang công tác trong lĩnh vực y tế.
b) Số giường bệnh trên mười nghìn dân được xác định tại thời điểm báo cáo theo công thức:
|
Số giường bệnh bình quân mười nghìn dân |
= |
Số giường bệnh tại các cơ sở y tế có đến thời điểm báo cáo |
x 10.000 |
|
Dân số cùng thời điểm |
Không tính số giường tại các trạm y tế xã/phường/thị trấn, cơ quan.
2. Phân tổ chủ yếu: Tỉnh/thành phố trực thuộc trung ương.
3. Kỳ công bố: Năm.
4. Nguồn số liệu
- Điều tra cơ sở và nhân lực y tế ngoài công lập;
- Chế độ báo cáo thống kê cấp quốc gia.
5. Cơ quan chịu trách nhiệm thu thập, tổng hợp: Bộ Y tế.
1602. Tỷ số tử vong mẹ trên một trăm nghìn trẻ đẻ sống
1. Khái niệm, phương pháp tính
Số phụ nữ chết do những nguyên nhân liên quan đến mang thai và sinh đẻ (không do những nguyên nhân tình cờ như tai nạn, tự tử,...) đã xảy ra trong thời gian từ khi mang thai cho đến 42 ngày sau đẻ tính bình quân trên một trăm nghìn trẻ em đẻ ra sống trong kỳ nghiên cứu (thường là một năm lịch).
Công thức tính:

Trong đó:
MRb: Tỷ số tử vong mẹ trên một trăm nghìn trẻ đẻ sống;
: Số phụ nữ chết do những nguyên nhân liên quan đến mang thai và sinh đẻ trong kỳ (năm lịch);
B: Số trẻ em đẻ ra sống trong kỳ (năm lịch).
2. Phân tổ chủ yếu: Nhóm dân tộc (Kinh và các dân tộc khác).
3. Kỳ công bố: 5 năm.
4. Nguồn số liệu
- Tổng điều tra dân số và nhà ở;
- Điều tra dân số và nhà ở giữa kỳ;
- Điều tra biến động dân số và kế hoạch hóa gia đình.
5. Cơ quan chịu trách nhiệm thu thập, tổng hợp: Tổng cục Thống kê.
1603. Tỷ suất chết của trẻ em dưới một tuổi
1. Khái niệm, phương pháp tính
Tỷ suất chết của trẻ em dưới một tuổi là số đo mức độ chết của trẻ em trong năm đầu tiên của cuộc sống. Tỷ suất này được định nghĩa là số trẻ em dưới một tuổi chết tính bình quân trên một nghìn trẻ em sinh ra sống trong năm.
Công thức tính:

Trong đó:
IMR: Tỷ suất chết của trẻ em dưới một tuổi;
D0: Số trẻ em chết ở độ tuổi dưới một tuổi trong năm;
B: Tổng số trường hợp sinh ra sống trong năm.
2. Phân tổ chủ yếu
- Giới tính;
- Vùng;
- Tỉnh/thành phố trực thuộc trung ương.
3. Kỳ công bố: Năm.
4. Nguồn số liệu
- Tổng điều tra dân số và nhà ở;
- Điều tra dân số và nhà ở giữa kỳ;
- Điều tra biến động dân số và kế hoạch hóa gia đình.
5. Cơ quan chịu trách nhiệm thu thập, tổng hợp: Tổng cục Thống kê.
1604. Tỷ suất chết của trẻ em dưới năm tuổi
1. Khái niệm, phương pháp tính
Tỷ suất chết của trẻ em dưới năm tuổi là số trẻ em dưới năm tuổi chết tính bình quân trên 1.000 trẻ em sinh ra sống trong năm.
Công thức tính:

Trong đó:
U5MR: Tỷ suất chết của trẻ em dưới năm tuổi;
5D0: Số trẻ em chết ở độ tuổi dưới năm tuổi trong năm;
B: Tổng số trường hợp đẻ ra sống trong năm.
2. Phân tổ chủ yếu
- Giới tính;
- Thành thị/nông thôn;
- Vùng;
- Tỉnh/thành phố trực thuộc trung ương.
3. Kỳ công bố: Năm.
4. Nguồn số liệu
- Tổng điều tra dân số và nhà ở;
- Điều tra dân số và nhà ở giữa kỳ;
- Điều tra biến động dân số và kế hoạch hóa gia đình.
5. Cơ quan chịu trách nhiệm thu thập, tổng hợp: Tổng cục Thống kê.
1605. Tỷ lệ trẻ em dưới một tuổi được tiêm chủng đầy đủ các loại vắc xin
1. Khái niệm, phương pháp tính
Tỷ lệ trẻ em dưới một tuổi được tiêm (uống) đầy đủ các loại vắc xin phòng bệnh theo quy định của Bộ Y tế được xác định theo công thức:
|
Tỷ lệ trẻ em dưới một tuổi được tiêm (uống) đầy đủ vắc xin (%) |
= |
Số trẻ em dưới một tuổi được tiêm (uống) đầy đủ các loại vắc xin phòng bệnh theo quy định của Bộ Y tế trong năm xác định |
x 100 |
|
Tổng số trẻ em dưới một tuổi trong khu vực trong cùng năm |
2. Phân tổ chủ yếu: Tỉnh/thành phố trực thuộc trung ương.
3. Kỳ công bố: Năm.
4. Nguồn số liệu:
- Điều tra nhân khẩu học và sức khỏe;
- Chế độ báo cáo thống kê cấp quốc gia.
5. Cơ quan chịu trách nhiệm thu thập, tổng hợp: Bộ Y tế.
1606. Tỷ lệ trẻ em dưới năm tuổi suy dinh dưỡng
1. Khái niệm, phương pháp tính
Tỷ lệ trẻ em dưới năm tuổi suy dinh dưỡng là số trẻ em dưới năm tuổi bị suy dinh dưỡng (SDD) ít nhất một trong 3 thể: Cân nặng theo tuổi; chiều cao theo tuổi hoặc cân nặng theo chiều cao tính trên 100 trẻ được cân đo của khu vực trong thời điểm điều tra.
Trẻ em suy dinh dưỡng cân nặng theo tuổi là trẻ em dưới năm tuổi có cân nặng theo tuổi thấp dưới trừ hai độ lệch chuẩn (-2SD) của cân nặng trung vị của quần thể tham khảo của Tổ chức Y tế Thế giới.
Trẻ em suy dinh dưỡng chiều cao theo tuổi là trẻ em dưới năm tuổi có chiều cao theo tuổi thấp dưới trừ hai độ lệch chuẩn (-2SD) của chiều cao trung vị của quần thể tham khảo của Tổ chức Y tế Thế giới.
Trẻ em suy dinh dưỡng cân nặng theo chiều cao là trẻ em dưới năm tuổi có cân nặng theo chiều cao thấp dưới trừ hai độ lệch chuẩn (-2SD) của cân nặng trung vị của quần thể tham khảo của Tổ chức Y tế Thế giới.
Quần thể tham khảo của Tổ chức Y tế Thế giới (WHO) là một nhóm trẻ có sức khỏe, cân nặng và chiều cao phát triển bình thường và cân nặng, chiều cao của những trẻ em này được Tổ chức Y tế Thế giới dùng làm chuẩn để đánh giá tình trạng dinh dưỡng của những trẻ em cùng độ tuổi. Quần thể tham khảo năm 2006 của Tổ chức Y tế Thế giới là chuẩn mới thay thế cho quần thể tham khảo cũ trước đây của Hoa Kỳ và của Tổ chức Y tế Thế giới.
Tình trạng dinh dưỡng được phân loại theo các mức sau:
- Bình thường: ≥ - 2SD
- Suy dinh dưỡng (SDD):
Độ I (vừa) < - 2SD và ≥ - 3SD
Độ II (nặng): < - 3SD và ≥ - 4SD
Độ III (rất nặng): < - 4SD
Trong đó, SD là độ chênh lệch chuẩn.
Khái niệm suy dinh dưỡng theo nghĩa rộng cũng gồm cả hiện tượng thừa dinh dưỡng, hiện tượng béo phì.
|
Tỷ lệ trẻ em dưới năm tuổi suy dinh dưỡng cân nặng theo tuổi (%) |
= |
Số trẻ em dưới năm tuổi suy dinh dưỡng cân nặng theo tuổi |
x 100 |
|
Số trẻ em dưới năm tuổi được cân |
|
Tỷ lệ trẻ em dưới năm tuổi suy dinh dưỡng chiều cao theo tuổi (%) |
= |
Số trẻ em dưới năm tuổi suy dinh dưỡng chiều cao theo tuổi |
x 100 |
|
Số trẻ em dưới năm tuổi được đo chiều cao |
|
Tỷ lệ trẻ em dưới năm tuổi suy dinh dưỡng cân nặng theo chiều cao (%) |
= |
Số trẻ em dưới năm tuổi suy dinh dưỡng cân nặng theo chiều cao |
x 100 |
|
Số trẻ em dưới năm tuổi được cân và đo chiều cao |
2. Phân tổ chủ yếu
- Mức độ suy dinh dưỡng;
- Giới tính;
- Dân tộc (Kinh/khác);
- Nhóm tháng tuổi;
- Thành thị/nông thôn;
- Tỉnh/thành phố trực thuộc trung ương.
3. Kỳ công bố: Năm.
4. Nguồn số liệu
- Điều tra dinh dưỡng;
- Chế độ báo cáo thống kê cấp quốc gia.
5. Cơ quan chịu trách nhiệm thu thập, tổng hợp: Bộ Y tế.
1607. Số ca hiện nhiễm HIV được phát hiện trên một trăm nghìn dân
1. Khái niệm, phương pháp tính
Số ca hiện nhiễm HIV được phát hiện trên một trăm nghìn dân là số người đã được cơ quan y tế phát hiện bị nhiễm HIV ở một khu vực và thời điểm xác định tính trên một trăm nghìn dân của khu vực đó.
|
Số ca hiện nhiễm HIV được phát hiện trên một trăm nghìn dân |
= |
Tổng số người hiện nhiễm HIV khu vực a thời điểm t |
x 100.000 |
|
Tổng số dân khu vực a thời điểm t |
2. Phân tổ chủ yếu
- Giới tính;
- Nhóm tuổi;
- Tỉnh/thành phố trực thuộc trung ương.
3. Kỳ công bố: Năm.
4. Nguồn số liệu: Chế độ báo cáo thống kê cấp quốc gia.
5. Cơ quan chịu trách nhiệm thu thập, tổng hợp: Bộ Y tế.
1608. Số ca tử vong do HIV/AIDS được báo cáo hàng năm trên một trăm nghìn dân
1. Khái niệm, phương pháp tính
Số trường hợp tử vong do HIV/AIDS trên một trăm nghìn dân trong năm báo cáo, được xác định theo công thức:
|
Số ca tử vong do HIV/AIDS khu vực a năm t trên một trăm nghìn dân (người) |
= |
Tổng số trường hợp mới tử vong do HIV/AIDS khu vực a trong năm t |
x 100.000 |
|
Dân số trung bình khu vực a năm t |
2. Phân tổ chủ yếu
- Giới tính;
- Nhóm tuổi;
- Tỉnh/thành phố trực thuộc trung ương.
3. Kỳ công bố: Năm.
4. Nguồn số liệu: Chế độ báo cáo thống kê cấp quốc gia.
5. Cơ quan chịu trách nhiệm thu thập, tổng hợp: Bộ Y tế.
17. Văn hóa, thể thao và du lịch
1701. Số di sản văn hóa cấp quốc gia
1. Khái niệm, phương pháp tính
Di sản văn hóa cấp quốc gia là sản phẩm tinh thần, vật chất có giá trị lịch sử, văn hóa, khoa học tiêu biểu của Việt Nam được lưu truyền từ thế hệ này qua thế hệ khác; gồm di sản văn hóa phi vật thể và di sản văn hóa vật thể.
Di sản văn hóa phi vật thể là sản phẩm tinh thần gắn với cộng đồng hoặc cá nhân, vật thể và không gian văn hóa liên quan, có giá trị lịch sử, văn hóa, khoa học, thể hiện bản sắc của cộng đồng, không ngừng được tái tạo và được lưu truyền từ thế hệ này sang thế hệ khác bằng truyền miệng, truyền nghề, trình diễn và các hình thức khác.
Di sản văn hóa vật thể là sản phẩm vật chất có giá trị lịch sử, văn hóa, khoa học, gồm di tích lịch sử - văn hóa, danh lam, thắng cảnh, di vật, cổ vật, bảo vật quốc gia. Chỉ tiêu này chỉ thống kê những di sản văn hóa vật thể là di tích lịch sử - văn hóa và danh lam thắng cảnh.
2. Phân tổ chủ yếu
- Hạng;
- Mục.
3. Kỳ công bố: Năm.
4. Nguồn số liệu: Chế độ báo cáo thống kê cấp quốc gia.
5. Cơ quan chịu trách nhiệm thu thập, tổng hợp: Bộ Văn hóa, Thể thao và Du lịch.
1702. Số huy chương trong các kỳ thi đấu quốc tế
1. Khái niệm, phương pháp tính
Số huy chương trong các kỳ thi đấu quốc tế là số huy chương vàng, bạc, đồng của vận động viên nước ta đạt được trong các giải thi đấu thể thao quốc tế chính thức trong năm, không gồm thành tích của vận động viên đạt được trong các giải mời tham dự. Các giải thể thao quốc tế chính thức được tổ chức gồm giải Thế giới (Thế vận hội Olympic, vô địch, vô địch trẻ); giải châu Á (Á vận hội ASIAD, vô địch, vô địch trẻ), giải Đông Nam Á (SEA Games, vô địch, vô địch trẻ).
2. Phân tổ chủ yếu
- Loại huy chương;
- Môn thể thao;
- Tỉnh/thành phố trực thuộc trung ương.
3. Kỳ công bố: Năm.
4. Nguồn số liệu: Chế độ báo cáo thống kê cấp quốc gia.
5. Cơ quan chịu trách nhiệm thu thập, tổng hợp: Bộ Văn hóa, Thể thao và Du lịch.
1703. Doanh thu dịch vụ du lịch lữ hành
1. Khái niệm, phương pháp tính
Là toàn bộ doanh thu thuần du lịch lữ hành, gồm doanh thu thuần do bán, tổ chức thực hiện các chương trình du lịch; doanh thu thuần hoạt động đại lý lữ hành (tiền hoa hồng do bán các chương trình du lịch của một doanh nghiệp lữ hành cho khách du lịch, không tổ chức thực hiện chương trình đó); doanh thu từ các dịch vụ khác giúp đỡ khách du lịch...
2. Phân tổ chủ yếu: Tỉnh/thành phố trực thuộc trung ương.
3. Kỳ công bố: Tháng, quý, năm.
4. Nguồn số liệu
- Điều tra doanh nghiệp;
- Điều tra cơ sở sản xuất kinh doanh cá thể.
5. Cơ quan chịu trách nhiệm thu thập, tổng hợp: Tổng cục Thống kê.
1704. Số lượt người nước ngoài đến Việt Nam
1. Khái niệm, phương pháp tính
Người nước ngoài đến Việt Nam là người mang giấy tờ xác định quốc tịch nước ngoài và người không quốc tịch nhập cảnh vào Việt Nam.
2. Phân tổ chủ yếu
- Quốc tịch;
- Phương tiện đến.
3. Kỳ công bố: Tháng, quý, năm.
4. Nguồn số liệu: Chế độ báo cáo thống kê cấp quốc gia.
5. Cơ quan chịu trách nhiệm thu thập, tổng hợp
- Chủ trì: Bộ Công an, Bộ Quốc phòng;
- Phối hợp: Tổng cục Thống kê.
1705. Số lượt người Việt Nam ra nước ngoài
1. Khái niệm, phương pháp tính
Người Việt Nam ra nước ngoài là công dân Việt Nam thường trú tại Việt Nam xuất cảnh ra nước ngoài.
2. Phân tổ chủ yếu: Phương tiện đi.
3. Kỳ công bố: Tháng, quý, năm.
4. Nguồn số liệu: Chế độ báo cáo thống kê cấp quốc gia.
5. Cơ quan chịu trách nhiệm thu thập, tổng hợp
- Chủ trì: Bộ Công an, Bộ Quốc phòng;
- Phối hợp: Tổng cục Thống kê.
1706. Số lượt khách du lịch nội địa
1. Khái niệm, phương pháp tính
Khách du lịch nội địa là công dân Việt Nam, người nước ngoài thường trú tại Việt Nam đi du lịch trong phạm vi lãnh thổ Việt Nam. Trong thống kê, chỉ tiêu số lượt khách du lịch nội địa được hiểu là những người đi ra khỏi môi trường sống thường xuyên của mình để đến một nơi khác và ở đó trong thời gian ít hơn 12 tháng liên tục với mục đích chính của chuyến đi là thăm quan, nghỉ dưỡng, báo chí hội nghị, học tập, thăm thân, chữa bệnh hay các mục đích khác ngoài việc lao động kiếm sống ở nơi đến.
Khách du lịch nghỉ qua đêm là những khách ngủ lại ít nhất một đêm trong các cơ sở lưu trú du lịch tại nơi đến du lịch.
Khách trong ngày là những người không nghỉ qua đêm tại bất kỳ một cơ sở lưu trú du lịch nào tại nơi đến du lịch.
Lượt khách do các cơ sở lưu trú phục vụ là số lượt khách đến thuê buồng, giường, nghỉ tại cơ sở lưu trú kể cả lượt khách nghỉ trong ngày và lượt khách có nghỉ qua đêm.
Lượt khách do các cơ sở lữ hành phục vụ là tổng số khách du lịch theo các tour do các đơn vị kinh doanh du lịch tổ chức thực hiện.
Chỉ tiêu này được tổng hợp thông qua các cơ sở lưu trú du lịch và công ty du lịch lữ hành.
Công thức tính:
|
Tổng số lượt khách du lịch nội địa |
= |
Tổng số lượt khách du lịch nội địa nghỉ đêm |
+ |
Tổng số lượt khách du lịch nội địa tham quan trong ngày |
Trong đó:
|
Tổng số lượt khách du lịch nội địa có nghỉ đêm |
= |
Tổng số đêm lưu trú của khách du lịch nội địa |
|
Số đêm lưu trú bình quân một lượt khách du lịch nội địa qua đêm |
|
Tổng số lượt khách du lịch nội địa tham quan trong ngày |
= |
Tổng số lượt khách du lịch nội địa có nghỉ đêm |
|
Tỷ lệ giữa khách du lịch nội địa có nghỉ đêm và khách du lịch nội địa tham quan trong ngày trên địa bàn |
2. Phân tổ chủ yếu
- Khách du lịch nghỉ qua đêm;
- Khách trong ngày;
- Lượt khách do các cơ sở lưu trú phục vụ;
- Lượt khách do các cơ sở lữ hành phục vụ;
- Tỉnh/thành phố trực thuộc trung ương.
3. Kỳ công bố: Quý, năm.
4. Nguồn số liệu: Chế độ báo cáo thống kê cấp quốc gia.
5. Cơ quan chịu trách nhiệm thu thập, tổng hợp: Bộ Văn hóa, Thể thao và Du lịch.
1707. Chi tiêu của khách quốc tế đến Việt Nam
1. Khái niệm, phương pháp tính
Chi tiêu của khách quốc tế đến Việt Nam là tổng số tiền mà khách quốc tế đến Việt Nam đã chi tiêu trong suốt thời gian ở tại Việt Nam, gồm các khoản sau:
- Chi đi lại trong nước Việt Nam (không gồm tiền vé vận chuyển quốc tế);
- Chi ăn ở;
- Chi mua hàng hóa;
- Chi thăm quan, vui chơi giải trí, văn hóa thể thao;
- Chi y tế;
- Chi khác tại Việt Nam.
Công thức tính:
|
Chi tiêu bình quân một lượt khách quốc tế |
= |
Tổng chi tiêu của toàn bộ khách được điều tra |
|
Tổng số khách được điều tra |
|
Chi tiêu bình quân ngày khách quốc tế |
= |
Tổng chi tiêu của toàn bộ khách được điều tra |
|
Tổng số ngày của khách được điều tra |
|
Tổng chi tiêu của khách quốc tế |
= |
Chi tiêu bình quân một lượt khách quốc tế đến Việt Nam |
x |
Tổng số lượt khách quốc tế đến Việt Nam trong năm |
2. Phân tổ chủ yếu
- Quốc tịch;
- Loại chi tiêu.
3. Kỳ công bố: Năm.
4. Nguồn số liệu: Điều tra chi tiêu của khách du lịch quốc tế đến Việt Nam.
5. Cơ quan chịu trách nhiệm thu thập, tổng hợp: Tổng cục Thống kê.
1708. Chi tiêu của khách du lịch nội địa
1. Khái niệm, phương pháp tính
Là tổng số tiền chi tiêu của khách du lịch nội địa hoặc đại diện cho đoàn đi trong suốt thời gian đi và ở lại nơi đến. Từ nơi đến ở đây có ý nghĩa rộng vì nó bao hàm toàn bộ những nơi được đi thăm trong hành trình chuyến đi.
Chi tiêu du lịch trong nước được chia theo 3 nhóm chính là chi phí cho chuẩn bị chuyến đi, chi phí trong thời gian đi (chi phí xuất hiện trong thời gian chuyến đi và ở lại nơi đến) và chi phí sau chuyến đi (chi phí liên quan đến chuyến đi của khách tại nước cư trú của người đó khi họ quay về sau chuyến đi), gồm:
Các khoản chi phí cần thiết cho quá trình chuẩn bị chuyến đi (tức là chi phí trước chuyến đi);
Các khoản chi phí mới xuất hiện trong thời gian chuyến đi và ở lại nơi đến (tức là chi phí trong chuyến đi);
Các khoản chi phí của khách tại nơi cư trú của người đó khi mà họ quay về sau chuyến đi (tức là chi phí sau chuyến đi).
Công thức tính:
|
Chi tiêu bình quân ngày khách du lịch nội địa |
= |
Tổng chi tiêu của toàn bộ khách du lịch nội địa được điều tra |
|
Tổng số ngày của khách du lịch nội địa được điều tra |
|
Chi tiêu bình quân một lượt khách du lịch nội địa |
= |
Tổng chi tiêu của toàn bộ khách du lịch nội địa được điều tra |
|
Tổng số khách du lịch nội địa được điều tra |
|
Tổng chi tiêu của khách du lịch nội địa |
= |
Chi tiêu bình quân một lượt khách du lịch nội địa |
x |
Tổng số lượt khách du lịch nội địa trong thời kỳ điều tra |
2. Phân tổ chủ yếu
- Khoản chi;
- Phương tiện;
- Mục đích;
- Nghề nghiệp;
- Độ tuổi, giới tính;
- Loại cơ sở lưu trú;
- Tỉnh/thành phố trực thuộc trung ương.
3. Kỳ công bố: Năm.
4. Nguồn số liệu
- Điều tra hộ gia đình thu thập thông tin về du lịch;
- Chế độ báo cáo thống kê cấp quốc gia.
5. Cơ quan chịu trách nhiệm thu thập, tổng hợp
- Chủ trì: Tổng cục Thống kê;
- Phối hợp: Bộ Văn hóa, Thể thao và Du lịch.
18. Mức sống dân cư
1801. Chỉ số phát triển con người (HDI)
1. Khái niệm, phương pháp tính
Chỉ số phát triển con người (HDI) là thước đo tổng hợp phản ánh sự phát triển của con người trên các phương diện: Sức khỏe (thể hiện qua tuổi thọ trung bình tính từ lúc sinh); tri thức (thể hiện qua chỉ số giáo dục) và thu nhập (thể hiện qua tổng thu nhập quốc gia bình quân đầu người).
HDI nhận giá trị từ 0 đến 1. HDI càng gần 1 có nghĩa là trình độ phát triển con người càng cao, trái lại càng gần 0 nghĩa là trình độ phát triển con người càng thấp.
Chỉ số phát triển con người được tính theo công thức:
HDI = (Isức khỏe x Igiáo dục x Ithu nhập)I/3
Trong đó:
- Isức khỏe: Chỉ số tuổi thọ trung bình tính từ lúc sinh;
- Igiáo dục: Chỉ số giáo dục được tính bằng cách bình quân nhân giản đơn chỉ số năm đi học bình quân và chỉ số năm đi học kỳ vọng;
+ Số năm đi học bình quân được tính bằng tổng số năm đã đi học của dân số từ 25 tuổi trở lên chia cho tổng dân số từ 25 tuổi trở lên.
+ Số năm đi học kỳ vọng là tổng số năm đi học mà một đứa trẻ từ 05 tuổi trở lên có thể nhận được trong suốt cuộc đời. Giả định rằng xác suất bắt đầu ghi danh đi học tại một độ tuổi bất kỳ của đứa trẻ đó bằng tỷ lệ nhập học của độ tuổi đó.
Công thức tính:
|
|
: Số năm đi học kỳ vọng của độ tuổi a đến độ tuổi t;
: Số người đang đi học đúng tuổi theo lớp quy định (trong đó i = a, a+1,..n) tại trường học năm thứ t; n biểu thị giới hạn tuổi theo lý thuyết của trường học;
: Dân số trong độ tuổi đi học theo quy định năm thứ t. Tuổi của mức 1 biểu thị tổng dân số độ tuổi đi học của cấp 1 theo quy định;
Dl: Thời gian lý thuyết của cấp 1 theo quy định.
- Ithu nhập- Chỉ số tổng thu nhập quốc gia bình quân đầu người tính theo sức mua tương đương (PPP - USD).
Các chỉ số thành phần trên được tính theo công thức chung như sau:
|
Giá trị chỉ số |
= |
Giá trị thực - Giá trị tối thiểu |
|
Giá trị tối đa - Giá trị tối thiểu |
Riêng Ithu nhập được tính theo công thức:
|
Ithu nhập |
= |
ln(giá trị thực) - ln(giá trị tối thiểu) |
|
In(giá trị tối đa) - ln(giá trị tối thiểu) |
2. Kỳ công bố: Năm.
3. Nguồn số liệu
- Tổng điều tra dân số và nhà ở;
- Điều tra dân số và nhà ở giữa kỳ;
- Điều tra biến động dân số và kế hoạch hóa gia đình hàng năm;
- Khảo sát mức sống dân cư Việt Nam;
- Thống kê tài khoản quốc gia;
- Chương trình so sánh quốc tế (ICP).
4. Cơ quan chịu trách nhiệm thu thập, tổng hợp: Tổng cục Thống kê.
1802. Tỷ lệ nghèo
1. Khái niệm, phương pháp tính
Tỷ lệ nghèo là số phần trăm về số người hoặc số hộ có mức thu nhập (hoặc chi tiêu) bình quân đầu người thấp hơn chuẩn nghèo trong tổng số người hoặc số hộ được nghiên cứu.
Công thức tính:
|
Tỷ lệ nghèo (%) |
= |
Số người (hoặc hộ) được nghiên cứu có thu nhập (chi tiêu) bình quân đầu người thấp hơn chuẩn nghèo |
x 100 |
|
Tổng số người (hoặc hộ) được nghiên cứu |
Chuẩn nghèo là mức thu nhập (hoặc chi tiêu) bình quân đầu người được dùng để xác định người nghèo hoặc hộ nghèo. Những người hoặc hộ có thu nhập (hoặc chi tiêu) bình quân đầu người thấp hơn chuẩn nghèo được coi là người nghèo hoặc hộ nghèo.
Chuẩn nghèo bằng chuẩn nghèo lương thực, thực phẩm cộng với một mức chi tối thiểu cho các mặt hàng phi lương thực - thực phẩm, gồm: Nhà ở, quần áo, đồ dùng gia đình, học tập văn hóa, giải trí, y tế, đi lại, thông tin liên lạc...
Chuẩn nghèo lương thực, thực phẩm là trị giá của một rổ hàng hóa lương thực, thực phẩm thiết yếu bảo đảm khẩu phần ăn duy trì với nhiệt lượng tiêu dùng một người một ngày là 2100 Kcal.
2. Phân tổ chủ yếu
- Nhóm dân tộc: Kinh, Hoa/dân tộc khác;
- Thành thị/nông thôn;
- Tỉnh/thành phố trực thuộc trung ương.
2. Kỳ công bố: Năm.
4. Nguồn số liệu: Khảo sát mức sống dân cư Việt Nam.
5. Cơ quan chịu trách nhiệm thu thập, tổng hợp: Tổng cục Thống kê.
1803. Hệ số bất bình đẳng trong phân phối thu nhập (hệ số Gini)
1. Khái niệm, phương pháp tính
Hệ số Gini (G) được tính dựa vào đường cong Lorenz, Đường cong Lorenz được tạo bởi 2 yếu tố: Tỷ lệ thu nhập của dân cư cộng dồn và tỷ lệ dân số tương ứng cộng dồn.
Hệ số Gini là giá trị của diện tích A (được tạo bởi đường cong Lorenz và đường thẳng 45° từ gốc tọa độ) chia cho diện tích A+B (là diện tích tam giác vuông nằm dưới đường thẳng 45° từ gốc tọa độ).
Công thức tính:

Trong đó:
Fi - Tỷ lệ dân số cộng dồn đến người thứ i;
Yi - Tỷ lệ thu nhập cộng dồn đến người thứ i.
Khi đường cong Lorenz trùng với đường thẳng 45° (đường bình đẳng tuyệt đối) thì hệ số Gini bằng 0 (vì A= 0), xã hội có sự phân phối thu nhập bình đẳng tuyệt đối, mọi người dân có thu nhập như nhau; và khi đường cong Lorenz trùng với trục hoành, hệ số Gini bằng 1 (vì B=0), xã hội có sự phân phối thu nhập bất bình đẳng tuyệt đối, một người dân hưởng toàn bộ thu nhập của cả xã hội. Hệ số Gini nhận giá trị từ 0 đến 1. Hệ số Gini càng gần 1 thì sự bất bình đẳng về thu nhập trong dân cư càng lớn.

Hệ số Gini có giá trị chính xác nhất khi được tính dựa trên số liệu thu nhập bình quân của từng người dân. Tuy nhiên, căn cứ vào tính sẵn có và sự thuận tiện trong tính toán cũng có thể tính hệ số Gini dựa trên số liệu thu nhập bình quân đầu người theo nhóm dân cư. Giá trị của hệ số Gini tính theo nhóm dân cư thấp hơn giá trị của hệ số Gini tính theo từng người dân. Số nhóm dân cư càng lớn thì tính chính xác của hệ số Gini càng cao.
2. Phân tổ chủ yếu: Thành thị/nông thôn.
3. Kỳ công bố: 2 năm.
4. Nguồn số liệu: Khảo sát mức sống dân cư Việt Nam.
5. Cơ quan chịu trách nhiệm thu thập, tổng hợp: Tổng cục Thống kê.
1804. Tỷ lệ dân số đô thị được cung cấp nước sạch qua hệ thống cấp nước, tập trung
1. Khái niệm, phương pháp tính
Tỷ lệ dân số đô thị được cung cấp nước sạch là phần trăm dân số sống ở khu vực đô thị được cung cấp nước sạch trong tổng số dân sống ở khu vực đô thị.
Công thức tính:
|
Tỷ lệ dân số đô thị được cung cấp nước sạch (%) |
= |
Dân số đô thị được cung cấp nước sạch |
x 100 |
|
Tổng dân số khu vực đô thị |
Nước sạch là nước máy được sản xuất từ các nhà máy xử lý nước và cung cấp cho người dân, đạt tiêu chuẩn quy định của Bộ Xây dựng.
Dân số thành thị là dân số sống ở các đô thị từ loại 5 đến loại đặc biệt.
2. Phân tổ chủ yếu: Tỉnh/thành phố trực thuộc trung ương.
3. Kỳ công bố: Năm.
4. Nguồn số liệu
- Điều tra các chỉ tiêu về hạ tầng kỹ thuật đô thị;
- Chế độ báo cáo thống kê cấp quốc gia.
5. Cơ quan chịu trách nhiệm thu thập, tổng hợp: Bộ Xây dựng.
1805. Tỷ lệ dân số được sử dụng nguồn nước hợp vệ sinh
1. Khái niệm, phương pháp tính
Tỷ lệ dân số được sử dụng nguồn nước hợp vệ sinh là phần trăm dân số được sử dụng nguồn nước hợp vệ sinh trong tổng dân số.
Công thức tính:
|
Tỷ lệ dân số được sử dụng nguồn nước hợp vệ sinh (%) |
= |
Dân số (diện nghiên cứu) được sử dụng nguồn nước hợp vệ sinh |
x 100 |
|
Tổng dân số (diện nghiên cứu) |
Nguồn nước hợp vệ sinh là nước được sử dụng trực tiếp hoặc sau lọc thỏa mãn các yêu cầu chất lượng: Không mầu, không mùi, không vị lạ, không chứa thành phần có thể gây ảnh hưởng đến sức khỏe con người, có thể dùng để ăn uống sau khi đun sôi; đồng thời kết hợp với các quan sát theo hướng dẫn sau:
- Giếng đào hợp vệ sinh: Nằm cách nhà tiêu, chuồng gia súc hoặc nguồn gây ô nhiễm khác ít nhất 10 m; thành giếng cao tối thiểu 0,6m được xây bằng gạch, đá hoặc thả ống buy sâu ít nhất 3 m kể từ mặt đất; sân giếng phải làm bằng bê tông, lát gạch, đá, không bị nứt nẻ.
- Giếng khoan hợp vệ sinh: Nằm cách nhà tiêu, chuồng gia súc hoặc nguồn gây ô nhiễm khác ít nhất 10 m; sân giếng phải làm bằng bê tông, lát gạch, đá, không bị nứt nẻ.
- Các nguồn nước hợp vệ sinh khác: Nước suối hoặc nước mặt không bị ô nhiễm bởi các chất thải của người, động vật, hóa chất, thuốc bảo vệ thực vật hoặc chất thải công nghiệp, làng nghề; nước mưa được thu hứng từ mái ngói, mái tôn, trần nhà bê tông (sau khi xả nước bụi bẩn) trong bể chứa, lu chứa được rửa sạch trước khi thu hứng; nước mạch lộ là nguồn nước ngầm xuất lộ từ khe núi đá và núi đất không bị ô nhiễm bởi chất thải của người hoặc động vật, hóa chất, thuốc bảo vệ thực vật hoặc chất thải công nghiệp, làng nghề.
2. Phân tổ chủ yếu: Tỉnh/thành phố trực thuộc trung ương.
3. Kỳ công bố: 2 năm, năm có Tổng điều tra dân số và nhà ở.
4. Nguồn số liệu
- Tổng điều tra dân số và nhà ở;
- Khảo sát mức sống dân cư Việt Nam.
5. Cơ quan chịu trách nhiệm thu thập, tổng hợp: Tổng cục Thống kê.
1806. Tỷ lệ dân số sử dụng hố xí hợp vệ sinh
1. Khái niệm, phương pháp tính
Tỷ lệ dân số sử dụng hố xí hợp vệ sinh là số phần trăm hộ gia đình được sử dụng hố xí hợp vệ sinh trong tổng số hộ hiện có trong năm xác định.
Công thức tính:
|
Tỷ lệ dân số sử dụng hố xí hợp vệ sinh (%) |
= |
Số hộ (diện nghiên cứu) sử dụng hố xí hợp vệ sinh |
x 100 |
|
Tổng số hộ (diện nghiên cứu) |
Hố xí hợp vệ sinh phải bảo đảm các tiêu chuẩn: Không gây ô nhiễm đất bề mặt, không gây ô nhiễm nước bề mặt và nước ngầm, không có ruồi muỗi, không có mùi hôi thối và mất mỹ quan, không tạo khả năng súc vật tiếp xúc với phân.
2. Phân tổ chủ yếu
- Thành thị/nông thôn;
- Tỉnh/thành phố trực thuộc trung ương.
3. Kỳ công bố: 2 năm.
4. Nguồn số liệu: Khảo sát mức sống dân cư Việt Nam.
5. Cơ quan chịu trách nhiệm thu thập, tổng hợp: Tổng cục Thống kê.
19. Trật tự, an toàn xã hội và tư pháp
1901. Số vụ tai nạn giao thông; số người chết, bị thương do tai nạn giao thông
1. Khái niệm, phương pháp tính
Tai nạn giao thông là sự kiện bất ngờ, nằm ngoài ý muốn chủ quan của con người, xảy ra khi các đối tượng tham gia giao thông đang hoạt động trên đường giao thông công cộng, đường chuyên dùng hoặc ở các địa bàn giao thông công cộng (gọi là mạng lưới giao thông: Đường bộ, đường sắt, đường thủy, đường hàng không), nhưng do chủ quan, vi phạm các quy tắc an toàn giao thông hoặc do gặp phải các tình huống, sự cố đột xuất không kịp phòng tránh, đã gây ra những thiệt hại nhất định cho tính mạng, sức khỏe con người hoặc tài sản.
Một lần hoặc nhiều lần va chạm liên tiếp giữa các đối tượng tham gia giao thông tại một địa điểm nhất định thì được gọi là một vụ tai nạn giao thông. Vụ tai nạn giao thông xảy ra đối với một hoặc nhiều đối tượng tham gia giao thông.
Tai nạn giao thông gây ra hậu quả làm thiệt hại về người và tài sản. Số người bị tai nạn giao thông gồm những người bị thương và chết do tai nạn giao thông gây ra.
Người chết do tai nạn giao thông gồm toàn bộ số người bị chết do các tai nạn giao thông gây ra.
Người bị thương là những người bị tổn thương về thể xác và tâm trí do ảnh hưởng trực tiếp của tai nạn giao thông, làm ảnh hưởng đến cuộc sống bình thường. Những trường hợp bị sốc hoặc ảnh hưởng đến tâm trí do biến cố ảnh hưởng đến gia đình và bản thân không được tính là số người bị thương.
Số người bị thương do tai nạn giao thông gồm toàn bộ số người bị thương phải điều trị do tai nạn giao thông gây ra.
2. Phân tổ chủ yếu
- Loại tai nạn (đường bộ/đường sắt/đường thủy);
- Tỉnh/thành phố trực thuộc trung ương.
3. Kỳ công bố: Tháng, 6 tháng, năm.
4. Nguồn số liệu: Chế độ báo cáo thống kê cấp quốc gia.
5. Cơ quan chịu trách nhiệm thu thập, tổng hợp: Bộ Công an.
1902. Số vụ cháy, nổ và mức độ thiệt hại
1. Khái niệm, phương pháp tính
Cháy, nổ là trường hợp xảy ra cháy, nổ ngoài ý muốn và sự kiểm soát của con người trong khu dân cư, cơ sở, cháy rừng, phương tiện giao thông gây thiệt hại về người, tài sản và ảnh hưởng tới môi trường. Một lần xảy ra cháy, nổ thì được gọi là một vụ cháy, nổ.
Thiệt hại do cháy, nổ gồm thiệt hại về người (chết và bị thương do cháy, nổ) và thiệt hại về tài sản (thiêu hủy hoặc hư hỏng) tính theo giá hiện hành.
2. Phân tổ chủ yếu
- Loại cháy nổ;
- Tỉnh/thành phố trực thuộc trung ương.
3. Kỳ công bố: Tháng, quý, 6 tháng, năm.
4. Nguồn số liệu: Chế độ báo cáo thống kê cấp quốc gia.
5. Cơ quan chịu trách nhiệm thu thập, tổng hợp: Bộ Công an.
1903. Số vụ án, số bị can đã khởi tố
1. Khái niệm, phương pháp tính
Số vụ án đã khởi tố là số vụ việc có dấu hiệu tội phạm đã được cơ quan có thẩm quyền ra quyết định khởi tố vụ án hình sự.
Số bị can đã khởi tố là số người hoặc pháp nhân bị cơ quan có thẩm quyền ra quyết định khởi tố bị can.
- Nguyên tắc xác định tội danh:
+ Nếu vụ án có nhiều tội danh thì tội danh của vụ án được thống kê theo tội danh nghiêm trọng nhất của vụ án (của bị can đầu vụ);
+ Nếu bị can bị khởi tố về nhiều tội trong cùng một vụ án thì tội danh của bị can được thống kê theo tội danh nghiêm trọng nhất trong vụ án đó;
+ Trong các trường hợp trên nếu các tội danh có cùng mức độ nghiêm trọng thì thống kê theo tội danh có số thứ tự của điều luật nhỏ nhất trong Bộ luật hình sự.
2. Phân tổ chủ yếu
- Tội danh;
- Số bị can phân tổ thêm cá nhân/pháp nhân; nếu bị can là cá nhân phân tổ thêm giới tính, nhóm tuổi;
- Tỉnh/thành phố trực thuộc trung ương.
3. Kỳ công bố: 6 tháng, năm.
4. Nguồn số liệu: Chế độ báo cáo thống kê cấp quốc gia.
5. Cơ quan chịu trách nhiệm thu thập, tổng hợp: Viện kiểm sát nhân dân tối cao.
1904. Số vụ án, số bị can đã truy tố
1. Khái niệm, phương pháp tính
Số vụ án đã truy tố là số vụ án mà Viện kiểm sát đã ra quyết định truy tố vụ án ra trước Tòa án bằng bản cáo trạng hoặc quyết định truy tố.
Số bị can đã truy tố là số bị can mà Viện kiểm sát đã ra quyết định truy tố bị can đó ra trước Tòa án bằng bản cáo trạng hoặc quyết định truy tố.
Nguyên tắc xác định tội danh:
+ Nếu vụ án có nhiều tội danh thì tội danh của vụ án được thống kê theo tội danh nghiêm trọng nhất của vụ án (của bị can đầu vụ);
+ Nếu bị can bị khởi tố về nhiều tội trong cùng một vụ án thì tội danh của bị can được thống kê theo tội danh nghiêm trọng nhất trong vụ án đó;
+ Trong các trường hợp trên nếu các tội danh có cùng mức độ nghiêm trọng thì thống kê theo tội danh có số thứ tự của điều luật nhỏ nhất trong Bộ luật hình sự.
2. Phân tổ chủ yếu
- Tội danh;
- Số bị can phân tổ thêm cá nhân/pháp nhân; nếu bị can là cá nhân phân tổ thêm giới tính, nhóm tuổi;
- Tỉnh/thành phố trực thuộc trung ương.
3. Kỳ công bố: 6 tháng, năm.
4. Nguồn số liệu: Chế độ báo cáo thống kê cấp quốc gia.
5. Cơ quan chịu trách nhiệm thu thập, tổng hợp: Viện kiểm sát nhân dân tối cao.
1905. Số vụ, số người phạm tội đã bị kết án
1. Khái niệm, phương pháp tính
Số vụ, số người phạm tội đã bị kết án là số vụ án và số bị cáo mà Tòa án nhân dân cấp sơ thẩm đã đưa ra xét xử và tuyên là có tội.
2. Phân tổ chủ yếu
- Nhóm tội: Theo chương của Bộ luật hình sự;
- Số bị cáo phân tổ thêm giới tính, nhóm tuổi;
- Tỉnh/thành phố trực thuộc trung ương.
3. Kỳ công bố: Năm.
4. Nguồn số liệu: Chế độ báo cáo thống kê cấp quốc gia.
5. Cơ quan chịu trách nhiệm thu thập, tổng hợp: Tòa án nhân dân tối cao.
1906. Tỷ lệ dân số từ mười lăm tuổi trở lên bị bạo lực
1. Khái niệm, phương pháp tính
Bạo lực là hành vi cố ý gây tổn hại hoặc có khả năng gây tổn hại về thể chất, tinh thần và tình dục của một người khác.
Phạm vi tính toán của chỉ tiêu gồm các công dân từ mười lăm tuổi trở lên là nạn nhân của các hành vi bạo lực, bất kể bạo lực trong gia đình hay ngoài xã hội.
Công thức tính:
|
Tỷ lệ dân số từ 15 tuổi trở lên bị bạo lực (%) |
= |
Số người từ 15 tuổi trở lên bị bạo lực trong kỳ |
x 100 |
|
Dân số 15 tuổi trở lên trung bình trong cùng kỳ |
2. Phân tổ chủ yếu
- Thành thị/nông thôn;
- Giới tính;
- Loại bạo lực;
- Tỉnh/thành phố trực thuộc trung ương.
3. Kỳ công bố: 10 năm.
4. Nguồn số liệu: Điều tra thống kê.
5. Cơ quan chịu trách nhiệm thu thập, tổng hợp
- Chủ trì: Tổng cục Thống kê;
- Phối hợp: Bộ Văn hóa, Thể thao và Du lịch.
1907. Số lượt người được trợ giúp pháp lý
1. Khái niệm, phương pháp tính
Số lượt người được trợ giúp pháp lý là số lần người được trợ giúp pháp lý được cung cấp dịch vụ pháp lý miễn phí theo quy định của pháp luật trợ giúp pháp lý.
Người được cung cấp dịch vụ pháp lý miễn phí là người thuộc một trong các đối tượng sau:
+ Người nghèo là người thuộc chuẩn nghèo theo quy định của pháp luật;
+ Người có công với cách mạng là người hoạt động cách mạng trước Tổng khởi nghĩa 19 tháng 8 năm 1945; bà mẹ Việt Nam anh hùng; anh hùng Lực lượng vũ trang nhân dân, anh hùng Lao động; thương binh, người hưởng chính sách như thương binh; bệnh binh; người hoạt động kháng chiến bị nhiễm chất độc hóa học; người hoạt động cách mạng, hoạt động kháng chiến bị địch bắt tù, đày; người hoạt động kháng chiến giải phóng dân tộc, bảo vệ Tổ quốc và làm nghĩa vụ quốc tế; người có công giúp đỡ cách mạng; cha đẻ, mẹ đẻ, vợ, chồng của liệt sĩ; con của liệt sĩ; người có công nuôi dưỡng liệt sĩ;
+ Người già được trợ giúp pháp lý là người từ đủ 60 tuổi trở lên, sống cô đơn, không nơi nương tựa;
+ Người tàn tật được trợ giúp pháp lý là người bị khiếm khuyết một hay nhiều bộ phận cơ thể hoặc bị suy giảm chức năng biểu hiện dưới những dạng tật khác nhau, khiến cho lao động, sinh hoạt, học tập gặp nhiều khó khăn hoặc là người bị nhiễm chất độc hóa học, bị nhiễm HIV mà không có nơi nương tựa;
+ Trẻ em được trợ giúp pháp lý là người dưới 16 tuổi không nơi nương tựa;
+ Người dân tộc thiểu số thường trú ở vùng có điều kiện kinh tế - xã hội đặc biệt khó khăn theo quy định của pháp luật;
+ Nạn nhân theo quy định của pháp luật phòng, chống mua bán người theo quy định Luật phòng chống mua bán người;
+ Các đối tượng khác được trợ giúp pháp lý theo quy định tại điều ước quốc tế mà nước Cộng hòa xã hội chủ nghĩa Việt Nam là thành viên.
Phương pháp tính:
Trong một kỳ báo cáo, một người được cung cấp dịch vụ pháp lý miễn phí trong 01 vụ việc thì tính là 01 lần (tức là 01 lượt người), trong 02 vụ việc thì tính là 02 lần (tức là 02 lượt người).
Trong một kỳ báo cáo, một người được cung cấp dịch vụ pháp lý miễn phí 02 lần trong 01 vụ việc thì tính là 01 lượt người được trợ giúp pháp lý.
Nếu một người thuộc nhiều đối tượng trợ giúp pháp lý khác nhau thì chỉ thống kê theo đối tượng mà người được trợ giúp pháp lý có giấy tờ chứng minh và cung cấp đầu tiên để lưu trong hồ sơ.
Riêng trường hợp nếu người được trợ giúp pháp lý vừa là người nghèo, vừa là người dân tộc thiểu số thì thống kê vào cột vừa là người nghèo, vừa là người dân tộc thiểu số và không thống kê vào cột người nghèo hoặc cột người dân tộc thiểu số.
Nếu người được trợ giúp pháp lý thuộc các đối tượng đặc thù (là nạn nhân của bạo lực gia đình hoặc nạn nhân bị xâm hại tình dục) thì vừa thống kê vào diện đối tượng được trợ giúp pháp lý, vừa thống kê họ vào diện đối tượng đặc thù.
Đối tượng đặc thù là những đối tượng đáp ứng đủ 02 yêu cầu:
- Là những người thuộc diện được trợ giúp pháp lý theo quy định của pháp luật trợ giúp pháp lý;
- Là nạn nhân của bạo lực gia đình hoặc nạn nhân bị xâm hại tình dục.
Nạn nhân của bạo lực gia đình là nạn nhân chịu ảnh hưởng trực tiếp của các hành vi bạo lực gia đình được quy định tại Điều 2 của Luật phòng, chống bạo lực gia đình.
Nạn nhân bị xâm hại tình dục là nạn nhân của những hành vi xâm hại tình dục được quy định từ Điều 141 đến Điều 147 Bộ luật hình sự.
2. Phân tổ chủ yếu
- Đối tượng được trợ giúp pháp lý;
- Tỉnh/thành phố trực thuộc trung ương.
3. Kỳ công bố: Năm.
4. Nguồn số liệu: Chế độ báo cáo thống kê cấp quốc gia.
5. Cơ quan chịu trách nhiệm thu thập, tổng hợp: Bộ Tư pháp.
1908. Kết quả thi hành án dân sự
1. Khái niệm, phương pháp tính
Chỉ tiêu kết quả thi hành án dân sự phản ánh thực chất kết quả công việc của cơ quan thi hành án dân sự là thi hành các bản án, quyết định đã có hiệu lực pháp luật. Kết quả thi hành án dân sự là số việc, số tiền thi hành án xong theo kỳ báo cáo (kỳ báo cáo thống kê hàng năm từ 31/9 năm trước đến 01/10 năm sau nhằm bảo đảm thống nhất với số liệu và kỳ báo cáo của Chính phủ trước Quốc hội hàng năm).
Số việc thi hành xong là việc chấp hành viên đã tổ chức thi hành xong hoặc đã đình chỉ thi hành án toàn bộ các quyền, nghĩa vụ trong quyết định thi hành án, hoặc những việc đã tổ chức thi hành xong một phần quyền, nghĩa vụ, nhưng phần còn lại đã ủy thác (phần ủy thác này cơ quan thi hành án dân sự nhận ủy thác ra quyết định thi hành án nên cơ quan thi hành án dân sự nhận ủy thác thống kê là vụ việc mới), đình chỉ, giảm thi hành án và đã xóa sổ thụ lý thi hành án.
Trường hợp đối với những việc đã thu được tiền, tài sản, cơ quan thi hành án dân sự đã báo gọi nhưng người được nhận chưa đến nhận nên đã lập phiếu chi và gửi cho họ qua đường bưu điện hoặc chưa xác định được địa chỉ của người nhận và cơ quan thi hành án dân sự đã gửi tiền vào ngân hàng, lập sổ theo dõi riêng hoặc đã giao cho cơ quan có thẩm quyền xử lý theo quy định của pháp luật thì tính là việc thi hành xong.
Số tiền thi hành xong là số tiền (gồm tiền và tài sản được quy đổi thành tiền) Chấp hành viên đã thu được (đã thu, nộp ngân sách và chi trả cho người được thi hành án theo nội dung quyết định thi hành án), đã được đình chỉ thi hành án hoặc được giảm thi hành án.
Trường hợp đối với những khoản tiền, tài sản đã thu được, cơ quan Thi hành án dân sự đã thông báo nhưng người được nhận chưa đến nhận nên đã lập phiếu chi và gửi cho họ qua đường bưu điện hoặc chưa xác định được địa chỉ của người nhận và cơ quan thi hành án dân sự đã gửi tiền vào ngân hàng, lập sổ theo dõi riêng hoặc đã giao cho cơ quan có thẩm quyền xử lý theo quy định của pháp luật thì tính là tiền thi hành xong.
Công thức tính:
|
Tỷ lệ thi hành xong (về việc ...) (%) |
= |
Số việc thi hành xong + Số việc đình chỉ thi hành |
x 100 |
|
Số việc có điều kiện thi hành |
(Trong đó: Số việc có điều kiện thi hành = Tổng số việc phải thi hành - Số việc chưa có điều kiện thi hành)
|
Tỷ lệ thi hành xong về tiền (%) |
= |
Số tiền thi hành xong + Số tiền đình chỉ thi hành + Số tiền giảm thi hành án |
x 100 |
|
Số tiền có điều kiện thi hành |
(Trong đó: Số tiền có điều kiện thi hành = Tổng số tiền phải thi hành - Số tiền chưa có điều kiện thi hành)
2. Phân tổ chủ yếu
- Cơ quan thi hành án (Tổng cục Thi hành án dân sự, Cục Thi hành án dân sự, Chi cục Thi hành án dân sự);
- Vụ việc.
3. Kỳ công bố: Năm.
4. Nguồn số liệu: Chế độ báo cáo thống kê cấp quốc gia.
5. Cơ quan chịu trách nhiệm thu thập, tổng hợp: Bộ Tư pháp.
20. Bảo vệ môi trường
2001. Diện tích rừng hiện có
1. Khái niệm, phương pháp tính
Diện tích rừng hiện có là diện tích đất tại thời điểm quan sát có hệ sinh thái gồm quần thể thực vật rừng, động vật rừng, vi sinh vật rừng, đất rừng và các yếu tố môi trường khác.
Diện tích rừng hiện có là diện tích có thành phần chính gồm các loại cây lâm nghiệp như: Gỗ, tre, nứa, luồng,... hoặc hệ thực vật đặc trưng, có độ che phủ của tán rừng từ 10% trở lên, gồm diện tích rừng trồng và rừng tự nhiên trên đất rừng sản xuất, đất rừng phòng hộ, đất rừng đặc dụng.
a) Diện tích rừng sản xuất là diện tích rừng sử dụng vào mục đích sản xuất lâm nghiệp theo quy định của pháp luật về bảo vệ và phát triển rừng. Diện tích rừng sản xuất được quy hoạch nhằm mục đích khai thác gỗ, củi, nguyên liệu giấy và các lâm sản khác phục vụ cho sản xuất và đời sống.
b) Diện tích rừng phòng hộ là diện tích rừng sử dụng vào mục đích phòng hộ đầu nguồn, bảo vệ đất, bảo vệ môi trường sinh thái... được quy hoạch nhằm mục đích giữ nước, chống lũ, chống xói mòn, điều hòa khí hậu, chắn gió, cát bảo vệ các công trình thủy lợi, thủy điện, bảo vệ sản xuất và đời sống theo quy định của pháp luật về bảo vệ và phát triển rừng.
c) Diện tích rừng đặc dụng là diện tích rừng được sử dụng chủ yếu vào mục đích nghiên cứu, thí nghiệm khoa học, bảo tồn thiên nhiên, mẫu chuẩn hệ sinh thái rừng của quốc gia, nguồn gen sinh vật rừng, bảo vệ di tích lịch sử, văn hóa và danh lam thắng cảnh, kết hợp phòng hộ, góp phần bảo vệ môi trường theo quy định của pháp luật về bảo vệ và phát triển rừng. Rừng đặc dụng gồm:
- Vườn quốc gia là vùng đất tự nhiên được thành lập để bảo vệ lâu dài một hay nhiều hệ sinh thái, đáp ứng các yêu cầu sau:
+ Vùng đất tự nhiên gồm mẫu chuẩn của các hệ sinh thái cơ bản còn nguyên vẹn hoặc ít bị tác động của con người, các khu rừng có giá trị cao về văn hóa, du lịch;
+ Phải đủ rộng để chứa được một hay nhiều hệ sinh thái và không bị thay đổi bởi những tác động xấu của con người;
+ Tỷ lệ diện tích hệ sinh thái cần bảo tồn phải đạt từ 70% trở lên;
+ Điều kiện giao thông tương đối thuận lợi.
- Khu bảo tồn thiên nhiên (còn gọi là khu dự trữ tự nhiên và khu bảo toàn loài sinh cảnh) là vùng đất tự nhiên được thành lập nhằm mục đích bảo đảm diễn thế tự nhiên và đáp ứng các yêu cầu sau:
+ Có dự trữ tài nguyên thiên nhiên và có giá trị đa dạng sinh học cao;
+ Có giá trị cao về khoa học, giáo dục, du lịch;
+ Có các loài động thực vật đặc hữu hoặc là nơi cư trú, ẩn náu, kiếm ăn của các loài động vật hoang dã quý hiếm;
+ Đủ rộng để chứa được một hay nhiều hệ sinh thái, tỷ lệ diện tích cần bảo tồn trên 70%.
- Khu rừng văn hóa - lịch sử - môi trường là khu vực gồm một hay nhiều cảnh quan có giá trị thẩm mỹ tiêu biểu, có giá trị văn hóa - lịch sử nhằm phục vụ các hoạt động văn hóa, du lịch hoặc để nghiên cứu, gồm:
+ Khu vực rừng có các thắng cảnh trên đất liền, ven biển hay hải đảo;
+ Khu vực rừng có di tích lịch sử - văn hóa đã được xếp hạng.
2. Phân tổ chủ yếu
- Loại rừng (phân theo mục đích sử dụng);
- Tỉnh/thành phố trực thuộc trung ương.
3. Kỳ công bố: Năm.
4. Nguồn số liệu
- Điều tra kiểm kê rừng;
- Chế độ báo cáo thống kê cấp quốc gia.
5. Cơ quan chịu trách nhiệm thu thập, tổng hợp: Bộ Nông nghiệp và Phát triển nông thôn.
2002. Diện tích rừng được bảo vệ
1. Khái niệm, phương pháp tính
Diện tích rừng được bảo vệ là diện tích rừng giao cho các tổ chức, cá nhân, hộ gia đình quản lý bảo vệ kết hợp với khai thác hợp lý nhằm ngăn chặn những tác nhân xâm hại đến rừng như chặt phá rừng làm nương rẫy, khai thác lâm sản và săn bắt động vật rừng trái phép.
Diện tích rừng được bảo vệ gồm diện tích rừng sản xuất, rừng phòng hộ, rừng đặc dụng đã được giao cho các chủ rừng quản lý bảo vệ tính đến thời điểm nhất định.
2. Phân tổ chủ yếu
a) Kỳ 6 tháng phân tổ theo loại rừng.
b) Kỳ năm phân tổ theo:
- Loại rừng;
- Loại hình kinh tế;
- Tỉnh/thành phố trực thuộc trung ương.
3. Kỳ công bố: 6 tháng, năm.
4. Nguồn số liệu
- Điều tra kiểm kê rừng;
- Chế độ báo cáo thống kê cấp quốc gia.
5. Cơ quan chịu trách nhiệm thu thập, tổng hợp: Bộ Nông nghiệp và Phát triển nông thôn.
2003. Tỷ lệ che phủ rừng
1. Khái niệm, phương pháp tính
Tỷ lệ che phủ rừng là tỷ lệ phần trăm diện tích rừng hiện có so với diện tích đất tự nhiên của cả nước, một vùng lãnh thổ hay một địa phương tại một thời điểm nhất định.
Công thức tính:
Trong đó:
- Shcr là diện tích rừng hiện có;
- Stn là tổng diện tích đất tự nhiên.
2. Phân tổ chủ yếu
- Loại rừng (phân theo mục đích sử dụng);
- Tỉnh/thành phố trực thuộc trung ương.
3. Kỳ công bố: Năm.
4. Nguồn số liệu
- Điều tra kiểm kê rừng;
- Chế độ báo cáo thống kê cấp quốc gia.
5. Cơ quan chịu trách nhiệm thu thập, tổng hợp: Bộ Nông nghiệp và Phát triển nông thôn.
2004. Số vụ thiên tai và mức độ thiệt hại
1. Khái niệm, nội dung
Vụ thiên tai là một thảm họa do thiên nhiên gây ra như bão, lụt, lũ, lốc, động đất, sạt lở đất, triều cường, xâm nhập mặn, sóng thần, núi lửa, sét đánh, mưa đá, băng giá, nóng, hạn hán,...
Số vụ thiên tai là tổng số vụ thiên tai xảy ra trong kỳ báo cáo có ảnh hưởng đến các khu vực địa lý khác nhau của đất nước.
Mức độ thiệt hại gồm thiệt hại về người và tài sản của các vụ thiên tai. Về người gồm số người chết, số người bị mất tích, số người bị thương; thiệt hại về tài sản được ước tính toàn bộ giá trị thiệt hại bằng tiền mặt do vụ thiên tai gây ra.
2. Phân tổ chủ yếu
- Loại thiên tai;
- Vùng;
- Tỉnh/thành phố trực thuộc trung ương.
3. Kỳ công bố: Tháng, năm.
4. Nguồn số liệu: Chế độ báo cáo thống kê cấp quốc gia.
5. Cơ quan chịu trách nhiệm thu thập, tổng hợp: Bộ Nông nghiệp và Phát triển nông thôn.
2005. Tỷ lệ diện tích các khu bảo tồn thiên nhiên
1. Khái niệm, phương pháp tính
Diện tích các khu bảo tồn thiên nhiên trên cạn (gồm vườn quốc gia, khu dự trữ thiên nhiên, khu bảo tồn loài - sinh cảnh, khu bảo vệ cảnh quan) được công nhận trên địa bàn các tỉnh/thành phố trực thuộc trung ương.
Tỷ lệ diện tích các khu bảo tồn thiên nhiên là tỷ lệ phần trăm diện tích các khu bảo tồn thiên nhiên trên cạn (gồm vườn quốc gia, khu dự trữ thiên nhiên, khu bảo tồn loài - sinh cảnh, khu bảo vệ cảnh quan) được công nhận trên địa bàn các tỉnh/thành phố trực thuộc trung ương trong tổng số diện tích tự nhiên của tỉnh/thành phố trực thuộc trung ương.
Công thức tính:
|
Tỷ lệ diện tích các khu bảo tồn thiên nhiên (%) |
= |
Tổng diện tích các khu bảo tồn thiên nhiên được công nhận trên địa bàn các tỉnh/thành phố trực thuộc trung ương |
x 100 |
|
Tổng số diện tích tự nhiên của tỉnh/thành phố trực thuộc trung ương |
2. Phân tổ chủ yếu: Tỉnh/thành phố trực thuộc trung ương.
3. Kỳ công bố: 5 năm.
4. Nguồn số liệu: Chế độ báo cáo thống kê cấp quốc gia.
5. Cơ quan chịu trách nhiệm thu thập, tổng hợp: Bộ Tài nguyên và Môi trường.
2006. Diện tích đất bị thoái hóa
1. Khái niệm, phương pháp tính
Đất bị thoái hóa là đất bị thay đổi những đặc tính và tính chất vốn có ban đầu (theo chiều hướng xấu) do sự tác động của điều kiện tự nhiên và con người.
Thoái hóa đất có khả năng xảy ra trên tất cả các loại đất: Đất sản xuất nông nghiệp, đất lâm nghiệp, đất nuôi trồng thủy sản, đất bằng chưa sử dụng, đất đồi núi chưa sử dụng.
Đất bị thoái hóa gồm các loại hình sau: Đất bị khô hạn, hoang mạc hóa; đất bị hoang hóa; sạt lở đất; kết von, đá ong hóa; đất bị chai cứng, chặt bí; ô nhiễm đất; xói mòn đất; đất bị ngập úng; đất bị mặn hóa; đất bị phèn hóa.
Công thức tính:
|
Tổng diện tích đất bị thoái hóa |
= |
Diện tích đất bị thoái hóa nhẹ |
+ |
Diện tích đất bị thoái hóa trung bình |
+ |
Diện tích đất bị thoái hóa nặng |
Tổng hợp phân hạng mức độ thoái hóa đất (đất bị thoái hóa nặng, thoái hóa trung bình, thoái hóa nhẹ) theo quy định kỹ thuật về điều tra thoái hóa đất của Bộ Tài nguyên và Môi trường.
2. Phân tổ chủ yếu
- Loại hình thoái hóa;
- Loại đất (đất sản xuất nông nghiệp, đất lâm nghiệp, đất nuôi trồng thủy sản, đất bằng chưa sử dụng, đất đồi núi chưa sử dụng);
- Tỉnh/thành phố trực thuộc trung ương.
3. Kỳ công bố: 5 năm.
4. Nguồn số liệu: Chế độ báo cáo thống kê cấp quốc gia.
5. Cơ quan chịu trách nhiệm thu thập, tổng hợp: Bộ Tài nguyên và Môi trường.
2007. Tỷ lệ chất thải nguy hại được thu gom, xử lý
1. Khái niệm, phương pháp tính
Chất thải là vật chất được thải ra từ sản xuất, kinh doanh, dịch vụ, sinh hoạt hoặc hoạt động khác.
Chất thải nguy hại là chất thải chứa yếu tố độc hại, phóng xạ, lây nhiễm, dễ cháy, dễ nổ, gây ăn mòn, gây ngộ độc hoặc có đặc tính nguy hại khác.
Tỷ lệ chất thải nguy hại được xử lý là tỷ lệ phần trăm các chất thải nguy hại được xử lý (kể cả tái chế, đồng xử lý, thu hồi năng lượng từ chất thải nguy hại) bảo đảm đạt quy chuẩn quốc gia trong tổng khối lượng chất thải nguy hại.
Tỷ lệ này càng cao phản ánh mức độ bảo vệ môi trường càng tốt và ngược lại.
2. Phân tổ chủ yếu
- Trạng thái tồn tại của chất thải nguy hại rắn/lỏng/khí;
- Tỉnh/thành phố trực thuộc trung ương.
3. Kỳ công bố: Năm.
4. Nguồn số liệu: Chế độ báo cáo thống kê cấp quốc gia.
5. Cơ quan chịu trách nhiệm thu thập, tổng hợp
- Chủ trì: Bộ Tài nguyên và Môi trường;
- Phối hợp: Bộ Công Thương; Bộ Y tế.
2008. Lượng phát thải khí nhà kính bình quân đầu người
1. Khái niệm, phương pháp tính
Khí thải hiệu ứng nhà kính là các thành phần khí của khí quyển, gồm các khí trong tự nhiên và các khí sinh ra do hoạt động của con người, hấp thụ và phát xạ bức xạ ở các bước sóng cụ thể trong khoảng phổ của bức xạ hồng ngoại nhiệt phát ra từ bề mặt trái đất, khí quyển và bởi mây. Các đặc tính này gây ra hiệu ứng nhà kính, chỉ hiệu ứng giữ nhiệt ở tầng thấp của khí quyển bởi các khí nhà kính hấp thụ bức xạ từ mặt đất phát ra và phát xạ trở lại mặt đất làm cho lớp khí quyển tầng thấp và bề mặt trái đất ấm lên. Theo Nghị định thư Kyoto, các khí thải gây hiệu ứng nhà kính chủ yếu gồm CO2, CH4, N2O, HFCs, PFCs, SF6.
Lượng các khí thải hiệu ứng nhà kính được tính quy đổi ra lượng khí thải CO2, được thu thập số liệu trên phạm vi cả nước.
Công thức tính:
|
Lượng khí thải hiệu ứng nhà kính bình quân đầu người (tấn khối) |
= |
Tổng lượng khí thải hiệu ứng nhà kính quy đổi ra CO2 trong năm (tấn khối) |
|
Dân số bình quân năm (người) |
Lượng khí thải hiệu ứng nhà kính của từng loại khí tính theo công thức tương tự.
2. Phân tổ chủ yếu: Loại khí thải, nguồn phát thải.
3. Kỳ công bố: 2 năm.
4. Nguồn số liệu: Chế độ báo cáo thống kê cấp quốc gia.
5. Cơ quan chịu trách nhiệm thu thập, tổng hợp
- Chủ trì: Bộ Tài nguyên và Môi trường;
- Phối hợp: Bộ Kế hoạch và Đầu tư, Bộ Nông nghiệp và Phát triển nông thôn, Bộ Xây dựng, Bộ Công Thương, Bộ Giao thông vận tải, Ủy ban nhân dân các tỉnh/thành phố trực thuộc trung ương./.
Bạn chưa Đăng nhập thành viên.
Đây là tiện ích dành cho tài khoản thành viên. Vui lòng Đăng nhập để xem chi tiết. Nếu chưa có tài khoản, vui lòng Đăng ký tại đây!
Bạn chưa Đăng nhập thành viên.
Đây là tiện ích dành cho tài khoản thành viên. Vui lòng Đăng nhập để xem chi tiết. Nếu chưa có tài khoản, vui lòng Đăng ký tại đây!
