Mục lục
  • Tổng quan
  • Nội dung
  • VB gốc
  • Tiếng Anh
  • Hiệu lực
  • VB liên quan
  • Lược đồ
  • Nội dung hợp nhất 

    Tính năng này chỉ có tại LuatVietnam.vn. Nội dung hợp nhất tổng hợp lại tất cả các quy định còn hiệu lực của văn bản gốc và các văn bản sửa đổi, bổ sung, đính chính... trên một trang. Việc hợp nhất văn bản gốc và những văn bản, Thông tư, Nghị định hướng dẫn khác không làm thay đổi thứ tự điều khoản, nội dung.

    Khách hàng chỉ cần xem Nội dung hợp nhất là có thể nắm bắt toàn bộ quy định hiện hành đang áp dụng, cho dù văn bản gốc đã qua nhiều lần chỉnh sửa, bổ sung.

    =>> Xem hướng dẫn chi tiết cách sử dụng Nội dung hợp nhất

  • Tải về
Mục lục
VB song ngữ
Đây là tiện ích dành cho tài khoản Tiếng Anh hoặc Nâng cao . Vui lòng Đăng nhập tài khoản để xem chi tiết.
Lưu
Đây là tiện ích dành cho tài khoản Tiêu chuẩn hoặc Nâng cao . Vui lòng Đăng nhập tài khoản để xem chi tiết.
Theo dõi VB
Đây là tiện ích dành cho tài khoản Tiêu chuẩn hoặc Nâng cao . Vui lòng Đăng nhập tài khoản để xem chi tiết.
Ghi chú
Báo lỗi
In

Thông tư 54/2025/TT-BCT sửa đổi bổ sung Thông tư 09/2025/TT-BCT và Thông tư 12/2025/TT-BCT về khung giá điện

Ngày cập nhật: Thứ Hai, 24/11/2025 13:34 (GMT+7)
Cơ quan ban hành: Bộ Công Thương
Số công báo:
Số công báo là mã số ấn phẩm được đăng chính thức trên ấn phẩm thông tin của Nhà nước. Mã số này do Chính phủ thống nhất quản lý.
Đã biết
Tiện ích dành cho tài khoản Tiêu chuẩn hoặc Nâng cao. Vui lòng Đăng nhập tài khoản để xem chi tiết.
Số hiệu: 54/2025/TT-BCT Ngày đăng công báo:
Đã biết
Tiện ích dành cho tài khoản Tiêu chuẩn hoặc Nâng cao. Vui lòng Đăng nhập tài khoản để xem chi tiết.
Loại văn bản: Thông tư Người ký: Nguyễn Hoàng Long
Trích yếu: Sửa đổi, bổ sung một số điều của Thông tư 09/2025/TT-BCT ngày 01/02/2025 của Bộ trưởng Bộ Công Thương quy định hồ sơ, trình tự, thủ tục, phương pháp xác định, phê duyệt khung giá phát điện; quy định hồ sơ, trình tự, thủ tục xây dựng, phê duyệt khung giá nhập khẩu điện và Thông tư 12/2025/TT-BCT ngày 01/02/2025 của Bộ trưởng Bộ Công Thương quy định phương pháp xác định giá dịch vụ phát điện; nguyên tắc tính giá điện để thực hiện dự án điện lực; nội dung chính của hợp đồng mua bán điện
Ngày ban hành:
Ngày ban hành là ngày, tháng, năm văn bản được thông qua hoặc ký ban hành.
21/11/2025
Ngày hết hiệu lực:
Ngày hết hiệu lực là ngày, tháng, năm văn bản chính thức không còn hiệu lực (áp dụng).
Đang cập nhật
Áp dụng:
Ngày áp dụng là ngày, tháng, năm văn bản chính thức có hiệu lực (áp dụng).
Đã biết
Tiện ích dành cho tài khoản Tiêu chuẩn hoặc Nâng cao. Vui lòng Đăng nhập tài khoản để xem chi tiết.
Tình trạng hiệu lực:
Cho biết trạng thái hiệu lực của văn bản đang tra cứu: Chưa áp dụng, Còn hiệu lực, Hết hiệu lực, Hết hiệu lực 1 phần; Đã sửa đổi, Đính chính hay Không còn phù hợp,...
Đã biết
Tiện ích dành cho tài khoản Tiêu chuẩn hoặc Nâng cao. Vui lòng Đăng nhập tài khoản để xem chi tiết.
Lĩnh vực: Xuất nhập khẩu Công nghiệp Điện lực

TÓM TẮT THÔNG TƯ 54/2025/TT-BCT

Sửa đổi quy định về khung giá phát điện và giá dịch vụ phát điện

Ngày 21/11/2025, Bộ Công Thương đã ban hành Thông tư 54/2025/TT-BCT sửa đổi, bổ sung một số điều của Thông tư 09/2025/TT-BCTThông tư 12/2025/TT-BCT Thông tư này có hiệu lực từ ngày 21/11/2025.

Thông tư này điều chỉnh các quy định liên quan đến hồ sơ, trình tự, thủ tục, phương pháp xác định và phê duyệt khung giá phát điện, khung giá nhập khẩu điện, phương pháp xác định giá dịch vụ phát điện, nguyên tắc tính giá điện để thực hiện dự án điện lực và nội dung chính của hợp đồng mua bán điện.

- Bổ sung và sửa đổi quy định về khung giá phát điện

Thông tư bổ sung quy định về áp dụng khung giá phát điện cho các nhà máy điện năng lượng tái tạo nhỏ, nhà máy điện đã vận hành thương mại và hết thời hạn hợp đồng, và nhà máy điện hết thời hạn hợp đồng BOT. Ngoài ra, các nhà máy điện linh hoạt và nhà máy thủy điện tích năng cũng được định nghĩa và quy định cụ thể trong thông tư này.

- Phương pháp xác định chi phí vốn đầu tư và tỷ suất chiết khấu

Chi phí vốn đầu tư được quy đổi đều hàng năm và tỷ suất chiết khấu tài chính được xác định theo công thức cụ thể. Thông tư cũng quy định chi tiết về lãi suất vốn vay, bao gồm cả vốn vay nội tệ và ngoại tệ, và tỷ lệ vốn góp chủ sở hữu.

- Phương pháp xác định khung giá phát điện cho các loại hình nhà máy điện khác

Thông tư quy định phương pháp xác định khung giá phát điện cho các nhà máy nhiệt điện than có quy mô công suất từ 200 MW trở xuống, nhà máy điện năng lượng tái tạo nhỏ, và các nhà máy điện hết thời hạn hợp đồng BOT. Mức giá tối đa của khung giá phát điện được xác định dựa trên nguyên tắc lập khung giá và thông số đầu vào từ hồ sơ báo cáo nghiên cứu khả thi.

- Điều khoản chuyển tiếp

Các bên đã gửi hồ sơ đề nghị đàm phán hợp đồng mua bán điện trước ngày Thông tư có hiệu lực nhưng chưa ký kết hợp đồng sẽ tiếp tục đàm phán theo quy định hiện hành, trừ khi bên bán điện chọn áp dụng Thông tư mới để đàm phán.

Xem chi tiết Thông tư 54/2025/TT-BCT có hiệu lực kể từ ngày 21/11/2025

Tải Thông tư 54/2025/TT-BCT

Tải văn bản tiếng Việt (.pdf) Thông tư 54/2025/TT-BCT PDF (Bản có dấu đỏ)

Đây là tiện ích dành cho tài khoản thành viên. Vui lòng Đăng nhập để xem chi tiết. Nếu chưa có tài khoản, Đăng ký tại đây!

Tải văn bản tiếng Việt (.doc) Thông tư 54/2025/TT-BCT DOC (Bản Word)

Đây là tiện ích dành cho tài khoản thành viên. Vui lòng Đăng nhập để xem chi tiết. Nếu chưa có tài khoản, Đăng ký tại đây!

Tình trạng hiệu lực: Đã biết
Hiệu lực: Đã biết
Tình trạng hiệu lực: Đã biết

BỘ CÔNG THƯƠNG
______

Số:
54/2025/TT-BCT

CỘNG HOÀ XÃ HỘI CHỦ NGHĨA VIỆT NAM
Độc lập - Tự do - Hạnh phúc
________________________
Hà Nội, ngày 21 tháng 11 năm 2025

THÔNG TƯ

Sửa đổi, bổ sung một số điều của Thông tư số 09/2025/TT-BCT ngày 01
tháng 02 năm 2025 của Bộ trưởng Bộ Công Thương quy định hồ sơ, trình
tự, thủ tục, phương pháp xác định, phê duyệt khung giá phát điện; quy
định hồ sơ, trình tự, thủ tục xây dựng, phê duyệt khung giá nhập khẩu điện
và Thông tư số 12/2025/TT
-BCT ngày 01 tháng 02 năm 2025 của Bộ trưởng
Bộ Công Thương quy định phương pháp xác định giá dịch vụ phát điện;
nguyên tắc tính giá điện để thực hiện dự án điện lực; nội dung chính của
hợp đồng mua bán điện

____________________

Căn cứ Luật Điện lực số 61/2024/QH15;

Căn cứ Nghị định số 40/2025/NĐ-CP ngày 26 tháng 02 năm 2025 của Chính phủ quy định chức năng, nhiệm vụ, quyền hạn và cơ cấu tổ chức của Bộ Công Thương;

Theo đề nghị của Cục trưởng Cục Điện lực;

Bộ trưởng Bộ Công Thương ban hành Thông tư sửa đổi, bổ sung một số điều của Thông tư số 09/2025/TT-BCT ngày 01 tháng 02 năm 2025 của Bộ trưởng Bộ Công Thương quy định hồ sơ, trình tự, thủ tục, phương pháp xác định, phê duyệt khung giá phát điện; quy định hồ sơ, trình tự, thủ tục xây dựng, phê duyệt khung giá nhập khẩu điện và Thông tư số 12/2025/TT-BCT ngày 01 tháng 02 năm 2025 của Bộ trưởng Bộ Công Thương quy định phương pháp xác định giá dịch vụ phát điện; nguyên tắc tính giá điện để thực hiện dự án điện lực; nội dung chính của hợp đồng mua bán điện.

Điều 1. Sửa đổi, bổ sung một số điều của Thông tư số 09/2025/TT-BCT ngày 01 tháng 02 năm 2025 của Bộ trưởng Bộ Công Thương quy định hồ sơ, trình tự, thủ tục, phương pháp xác định, phê duyệt khung giá phát điện; quy định hồ sơ, trình tự, thủ tục xây dựng, phê duyệt khung giá nhập khẩu điện

Đang theo dõi

1. Bổ sung điểm c sau điểm b khoản 1 Điều 1 như sau:

“c) Điểm a khoản 8 Điều 51 quy định áp dụng khung giá phát điện đối với nhà máy điện quy định tại khoản 2 Điều 51, bao gồm: nhà máy điện năng lượng tái tạo nhỏ hết thời hạn áp dụng biểu giá chi phí tránh được; nhà máy điện đã vận hành thương mại và hết thời hạn áp dụng giá hợp đồng mua bán điện; nhà máy điện hết thời hạn hợp đồng BOT và bàn giao cho Chính phủ.”.

Đang theo dõi

2. Sửa đổi, bổ sung điểm a khoản 2 Điều 1 như sau:

“a) Các cơ quan, tổ chức, cá nhân sở hữu nhà máy điện hoạt động trên lãnh thổ nước Cộng hòa xã hội chủ nghĩa Việt Nam đấu nối với hệ thống điện quốc gia trừ các nhà máy thủy điện chiến lược đa mục tiêu, các nhà máy năng lượng tái tạo nhỏ áp dụng biểu giá chi phí tránh được, nhà máy điện và tổ máy cung cấp dịch vụ phụ trợ, hệ thống pin lưu trữ năng lượng được đầu tư độc lập, nhà máy điện áp dụng cơ chế giá mua điện tại các văn bản của cấp có thẩm quyền;”.

Đang theo dõi

3. Sửa đổi khoản 3 Điều 2 như sau:

“3. Nhà máy thủy điện tích năng là nhà máy thủy điện sử dụng hệ thống chứa nước ở các mức cao trình khác nhau để tích trữ thủy năng và phát điện, trong đó nước được bơm từ khu vực chứa nước có cao độ thấp lên khu vực chứa nước có cao độ lớn hơn vào các thời điểm không phát điện để tích trữ thủy năng và xả xuống qua tua-bin để phát điện khi hệ thống điện có nhu cầu.”.

Đang theo dõi

4. Bổ sung khoản 7 sau khoản 6 Điều 2 như sau:

“7. Nhà máy điện linh hoạt là nhà máy nhiệt điện sử dụng động cơ đốt trong dạng pít - tông RICE (viết tắt theo tiếng Anh: Reciprocating Internal Combustion Engine) hoặc tua-bin khí động học Aero-GT (viết tắt theo tiếng Anh:  Aeroderivative Gas Turbine) có đặc điểm khởi động nhanh, thiết kế dạng mô đun linh hoạt để phát điện nhằm cân bằng công suất, duy trì ổn định hệ thống điện.”.

Đang theo dõi

5. Sửa đổi, bổ sung khoản 2 Điều 5 như sau:

Đang theo dõi

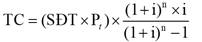
“2. Chi phí vốn đầu tư được quy đổi đều hằng năm TC theo công thức sau:

 Trong đó:

SĐT:

Suất đầu tư tính toán được xác định theo quy định tại khoản 4 Điều này (đồng/kW hoặc đồng/kWp); kWp là đơn vị đo công suất đỉnh đạt được của tấm quang điện mặt trời trong điều kiện tiêu chuẩn;

Pt:

Công suất tính toán (kW hoặc kWp) được quy định tại khoản 3 Điều này;

n: 

Đời sống kinh tế của nhà máy điện được quy định tại Phụ lục ban hành kèm theo Thông tư này (năm).

Đối với loại hình nhà máy điện gió ngoài khơi, n là 25 (năm).

Đối với loại hình nhà máy điện linh hoạt, n là 25 (năm) hoặc được xác định trên cơ sở hồ sơ báo cáo nghiên cứu khả thi đầu tư xây dựng dự án do cơ quan có thẩm quyền phê duyệt.

Đối với loại hình nhà máy điện đầu tư theo hình thức Xây dựng - Kinh doanh - Chuyển giao (BOT), n được xác định theo thời gian vận hành của nhà máy điện quy định tại hợp đồng BOT.

i: 

Tỷ suất chiết khấu tài chính của nhà máy điện được xác định theo quy định tại khoản 5 Điều này (%).”.

Đang theo dõi

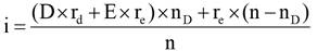
6. Sửa đổi, bổ sung khoản 5 Điều 5 như sau:

Đang theo dõi

“5. Tỷ suất chiết khấu tài chính i (%) áp dụng chi phí sử dụng vốn bình quân gia quyền danh định trước thuế được xác định theo công thức sau:

 

Trong đó:

D: 

Tỷ lệ vốn vay trong tổng mức đầu tư được quy định tại Phụ lục Thông tư này (%);

E:  

Tỷ lệ vốn góp chủ sở hữu trong tổng mức đầu tư được quy định tại Phụ lục ban hành kèm theo Thông tư này (%);

Đối với loại hình nhà máy nhiệt điện than mà doanh nghiệp do Nhà nước nắm giữ 100% vốn điều lệ và sử dụng 100% vốn chủ sở hữu để đầu tư dự án được cấp có thẩm quyền phê duyệt, E được xác định là 100%;

n:  

Đời sống kinh tế của nhà máy điện quy định tại khoản 2 Điều này (năm);

nD:

Thời gian trả nợ vay bình quân là 10 năm;

rd

Lãi suất vốn vay được xác định theo quy định tại điểm a khoản này (%);

re

Tỷ suất lợi nhuận trước thuế trên phần vốn góp chủ sở hữu được xác định theo quy định tại điểm b khoản này (%).”.

Đang theo dõi

7. Sửa đổi, bổ sung điểm a khoản 5 Điều 5 như sau:

Đang theo dõi

“a) Lãi suất vốn vay rd (%) được tính bằng lãi suất bình quân gia quyền các nguồn vốn vay nội tệ và ngoại tệ, được xác định theo công thức sau:

rd = DF × rd,F + DD × rd,D

Trong đó:

DF:

Tỷ lệ vốn vay ngoại tệ trong tổng vốn vay được quy định tại Phụ lục ban hành kèm theo Thông tư này (%).

Đối với loại hình nhà máy điện được đầu tư theo hình thức BOT, DF được xác định trên cơ sở tổng mức đầu tư, cơ cấu nguồn vốn của dự án theo quyết định phê duyệt dự án của cơ quan nhà nước có thẩm quyền;

DD:

Tỷ lệ vốn vay nội tệ (Đồng Việt Nam) trong tổng vốn vay được quy định tại Phụ lục ban hành kèm theo Thông tư này (%);

Đối với loại hình nhà máy nhiệt điện than sử dụng 100% vốn vay nội tệ (Đồng Việt Nam), DD được xác định là 100%;

rd,F:

Lãi suất vốn vay ngoại tệ được xác định bằng lãi suất bình quân SOFR (Secured Overnight Financing Rate) kỳ hạn bình quân 180 ngày (180 Days - Average) của 36 tháng liền kề tính từ thời điểm ngày đầu tiên của tháng 3, tháng 6, tháng 9 hoặc tháng 12 gần nhất của năm đàm phán được công bố bởi Fed (Website: www.newyorkfed.org) cộng với tỷ lệ bình quân năm các khoản phí thu xếp khoản vay của ngân hàng là 3%/năm;

rd,D:

Lãi suất vốn vay nội tệ được xác định bằng trung bình của lãi suất tiền gửi bằng đồng Việt Nam kỳ hạn 12 tháng trả sau dành cho khách hàng cá nhân của ngày đầu tiên của 60 tháng trước liền kề tính từ thời điểm ngày đầu tiên của tháng 3, tháng 6, tháng 9 hoặc tháng 12 gần nhất của năm xây dựng khung giá của 04 (bốn) ngân hàng thương mại (Ngân hàng thương mại cổ phần Ngoại thương Việt Nam, Ngân hàng thương mại cổ phần Công thương Việt Nam, Ngân hàng thương mại cổ phần Đầu tư và Phát triển Việt Nam, Ngân hàng Nông nghiệp và Phát triển nông thôn Việt Nam hoặc đơn vị kế thừa hợp pháp của các ngân hàng này) cộng với tỷ lệ bình quân năm dịch vụ phí của các ngân hàng là 3%/năm.”.

Đang theo dõi

8. Bổ sung Điều 8a sau Điều 8 như sau:

“Điều 8a. Phương pháp xác định khung giá phát điện áp dụng cho loại hình nhà máy điện khác

1. Nhà máy điện khác là nhà máy điện thuộc một trong các trường hợp sau đây:

a) Nhà máy nhiệt điện than có quy mô công suất từ 200 MW trở xuống;

b) Nhà máy nhiệt điện than mà doanh nghiệp do Nhà nước nắm giữ 100% vốn điều lệ, sử dụng 100% vốn chủ sở hữu để đầu tư dự án được cấp có thẩm quyền phê duyệt;

c) Nhà máy nhiệt điện than được sử dụng 100% vốn vay nội tệ để đầu tư dự án;

d) Nhà máy điện năng lượng tái tạo nhỏ hết thời hạn áp dụng biểu giá chi phí tránh được; nhà máy điện đã vận hành thương mại và hết thời hạn áp dụng giá hợp đồng mua bán điện; nhà máy điện hết thời hạn hợp đồng BOT và bàn giao cho Chính phủ.

2. Khung giá phát điện áp dụng cho loại hình nhà máy điện khác quy định tại điểm a, điểm b, điểm c khoản 1 Điều này được quy định như sau:

a) Mức giá tối đa của khung giá phát điện được xác định trên cơ sở nguyên tắc lập khung giá phát điện quy định tại khoản 1 và khoản 2 Điều 3 Thông tư này;

b) Thông số đầu vào để tính toán mức giá tối đa của khung giá phát điện được xác định trên cơ sở hồ sơ báo cáo nghiên cứu khả thi đầu tư xây dựng của dự án được phê duyệt hoặc thiết kế cơ sở của dự án được thẩm định bởi cơ quan nhà nước có thẩm quyền hoặc số liệu thực tế đàm phán hợp đồng mua bán điện (nếu có).

3. Khung giá phát điện áp dụng cho loại hình nhà máy điện khác quy định tại điểm d khoản 1 Điều này được quy định như sau:

a) Mức giá tối đa của khung giá phát điện được xác định trên cơ sở nguyên tắc lập khung giá phát điện quy định tại khoản 1 và khoản 2 Điều 3 Thông tư này;

b) Đời sống kinh tế để tính toán mức giá tối đa phù hợp với thời gian còn lại của đời sống kinh tế nhà máy điện;

c) Suất đầu tư để tính toán mức giá tối đa được xác định trên cơ sở chi phí đầu tư của nhà máy điện theo giá trị còn lại của tài sản tại thời điểm giá dịch vụ phát điện hết hiệu lực hoặc hợp đồng mua bán điện hết hiệu lực, cộng thêm các chi phí cải tạo, nâng cấp (nếu có) được cấp có thẩm quyền phê duyệt hoặc thỏa thuận thống nhất với bên mua điện. Đối với các nhà máy điện hết thời hạn hợp đồng BOT, suất đầu tư để tính toán mức giá tối đa được xác định trên cơ sở giá trị còn lại của tài sản do cơ quan nhà nước có thẩm quyền phê duyệt;

d) Thông số đầu vào khác để tính toán mức giá tối đa của khung giá phát điện được xác định trên cơ sở số liệu thực tế của nhà máy điện do bên bán điện và bên mua điện thỏa thuận.”.

Đang theo dõi

9. Sửa đổi, bổ sung điểm b khoản 1 Điều 12 như sau:

“b) Bảng thông số và các tài liệu tính toán khung giá phát điện theo quy định tại Điều 4, Điều 5, Điều 6, Điều 7, Điều 8Điều 8a Thông tư này;”.

Đang theo dõi

Điều 2.  Sửa đổi, bổ sung một số điều của Thông tư số 12/2025/TT-BCT ngày 01 tháng 02 năm 2025 của Bộ trưởng Bộ Công Thương quy định phương pháp xác định giá dịch vụ phát điện; nguyên tắc tính giá điện để thực hiện dự án điện lực; nội dung chính của hợp đồng mua bán điện

Đang theo dõi

1. Sửa đổi, bổ sung khoản 3 Điều 1 như sau:

“3. Nội dung về phương pháp xác định giá dịch vụ phát điện; nguyên tắc tính giá điện để thực hiện dự án điện lực; nội dung chính của hợp đồng mua bán điện quy định tại Thông tư này không áp dụng đối với các đối tượng sau: nhà máy thuỷ điện chiến lược đa mục tiêu; nhà máy năng lượng tái tạo nhỏ áp dụng cơ chế biểu giá chi phí tránh được; nhà máy điện độc lập được đầu tư theo hình thức Xây dựng - Kinh doanh - Chuyển giao (BOT); nhà máy điện và tổ máy cung cấp dịch vụ phụ trợ; nhà máy thủy điện tích năng; hệ thống pin lưu trữ năng lượng được đầu tư độc lập; nhà máy điện áp dụng cơ chế giá mua điện tại các văn bản của cấp có thẩm quyền.”.

Đang theo dõi

2. Bổ sung khoản 16 sau khoản 15 Điều 2 như sau:

“16. Mức kỳ vọng P50 là giá trị điện năng giao nhận bình quân nhiều năm của nhà máy điện, với xác suất 50% điện năng giao nhận thực tế của nhà máy điện  trong nhiều năm sẽ đạt được hoặc cao hơn giá trị này.”

Đang theo dõi

3. Sửa đổi, bổ sung điểm bđiểm c khoản 2 Điều 5 như sau:

Đang theo dõi

“b) Đời sống kinh tế: Được xác định theo quy định tại Phụ lục I ban hành kèm theo Thông tư này, trừ trường hợp có văn bản của cơ quan nhà nước có thẩm quyền phê duyệt đời sống kinh tế của dự án khác với quy định tại Thông tư này thì áp dụng theo văn bản đó (năm).

Đối với loại hình nhà máy điện gió ngoài khơi, đời sống kinh tế được xác định là 25 (năm).

Đối với loại hình nhà máy điện linh hoạt, đời sống kinh tế được xác định là 25 (năm) hoặc được xác định trên cơ sở hồ sơ báo cáo nghiên cứu khả thi đầu tư xây dựng dự án do cơ quan có thẩm quyền phê duyệt.

Đang theo dõi

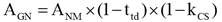
c) Điện năng phát bình quân nhiều năm tại điểm giao nhận điện (AGN) được tính toán như sau:

 

Trong đó:

ANM:

Sản lượng điện phát tại đầu ra của nhà máy điện (không bao gồm hệ thống pin lưu trữ năng lượng) được xác định như sau (kWh):

(i) Đối với dự án nhà máy điện sử dụng vốn đầu tư công, vốn nhà nước ngoài đầu tư công, ANM được xác định trên cơ sở thiết kế cơ sở (hoặc thiết kế kỹ thuật khi không xác định được theo thiết kế cơ sở) phù hợp với thông số lắp đặt nhà máy điện được thẩm định bởi cơ quan nhà nước có thẩm quyền. Đối với loại hình nhà máy điện gió, loại hình nhà máy điện mặt trời, ANM xác định theo mức kỳ vọng P50;

(ii) Đối với dự án nhà máy điện không sử dụng vốn đầu tư công, vốn nhà nước ngoài đầu tư công, ANM do bên bán điện và bên mua điện thỏa thuận trên cơ sở hồ sơ báo cáo nghiên cứu khả thi (hoặc hồ sơ thiết kế kỹ thuật khi không xác định được theo hồ sơ báo cáo nghiên cứu khả thi) phù hợp với thông số lắp đặt nhà máy điện được phê duyệt nhưng không thấp hơn giá trị sản lượng điện được xác định trong hồ sơ này. Đối với loại hình nhà máy điện gió, loại hình nhà máy điện mặt trời, ANM do bên bán điện và bên mua điện thoả thuận theo mức kỳ vọng P50;

(iii) Đối với nhà máy nhiệt điện, ANM tính theo công thức sau:

Pt:

Công suất đầu cực máy phát tại thiết kế được duyệt (kW);

Tmax:

Số giờ vận hành công suất cực đại bình quân nhiều năm của nhà máy được áp dụng theo văn bản của cơ quan nhà nước có thẩm quyền trong trường hợp có văn bản của cơ quan nhà nước có thẩm quyền phê duyệt Tmax hoặc theo quy định tại Phụ lục I ban hành kèm theo Thông tư này.

Trường hợp Tmax không quy định tại Phụ lục I ban hành kèm theo Thông tư này (bao gồm nhà máy điện sinh khối, nhà máy điện rác, nhà máy điện linh hoạt), Tmax được xác định trên cơ sở hồ sơ báo cáo nghiên cứu khả thi được phê duyệt hoặc do bên bán điện và bên mua điện thỏa thuận;

ttd:

Tỷ lệ điện tự dùng và tổn thất máy biến áp tăng áp của nhà máy, tổn thất đường dây đến điểm giao nhận điện với hệ thống điện quốc gia (%) (nếu có) do bên bán điện và bên mua điện thỏa thuận trên cơ sở hồ sơ báo cáo nghiên cứu khả thi được phê duyệt (hoặc thiết kế cơ sở được thẩm định) hoặc theo tài liệu kỹ thuật của nhà chế tạo thiết bị tại thời điểm đàm phán (nếu có) nhưng không vượt quá giá trị tại hồ sơ báo cáo nghiên cứu khả thi được phê duyệt (hoặc thiết kế cơ sở được thẩm định);

kCS:

Tỷ lệ suy giảm công suất (%) được tính bình quân cho toàn bộ đời sống kinh tế của nhà máy nhiệt điện (nếu có) do bên bán điện và bên mua điện thỏa thuận trên cơ sở hồ sơ báo cáo nghiên cứu khả thi được phê duyệt (hoặc thiết kế cơ sở được thẩm định) hoặc theo tài liệu kỹ thuật của nhà chế tạo thiết bị tại thời điểm đàm phán (nếu có).

 

Đối với loại hình nhà máy điện năng lượng tái tạo có sử dụng kết hợp hệ thống pin lưu trữ năng lượng, AGN được tính toán theo công thức sau:

 

Trong đó:

AS:

Điện năng bình quân được sử dụng để sạc hệ thống pin lưu trữ năng lượng (kWh) được xác định như sau:

 

 ABESS:

Dung lượng của hệ thống pin lưu trữ năng lượng theo thiết kế được duyệt (kWh);

 TBESS:

Số chu kỳ sạc - xả tối thiểu của hệ thống pin lưu trữ năng lượng do bên bán điện và bên mua điện thỏa thuận trên cơ sở hồ sơ báo cáo nghiên cứu khả thi được phê duyệt (hoặc thiết kế cơ sở được thẩm định) hoặc theo tài liệu kỹ thuật của nhà chế tạo thiết bị tại thời điểm đàm phán (nếu có);

 n:

Đời sống kinh tế của nhà máy điện được quy định tại điểm b khoản này (năm);

 kv:

Tỷ lệ suy hao dung lượng của hệ thống pin lưu trữ năng lượng được tính bình quân theo năm cho toàn bộ đời sống kinh tế của nhà máy điện (%/năm) do bên bán điện và bên mua điện thỏa thuận trên cơ sở hồ sơ báo cáo nghiên cứu khả thi được phê duyệt (hoặc thiết kế cơ sở được thẩm định) hoặc theo tài liệu kỹ thuật của nhà chế tạo thiết bị tại thời điểm đàm phán (nếu có);

 

:

Hiệu suất chu kỳ sạc - xả của hệ thống pin lưu trữ năng lượng (%) do bên bán điện và bên mua điện thỏa thuận trên cơ sở hồ sơ báo cáo nghiên cứu khả thi được phê duyệt (hoặc thiết kế cơ sở được thẩm định) hoặc theo tài liệu kỹ thuật của nhà chế tạo thiết bị tại thời điểm đàm phán (nếu có) nhưng không được thấp hơn 85%.

Đối với dự án nhà máy điện không sử dụng vốn đầu tư công, vốn nhà nước ngoài đầu tư công, trường hợp không xác định được AGN theo các công thức trên, bên bán điện và bên mua điện thoả thuận trên cơ sở hồ sơ báo cáo nghiên cứu khả thi (hoặc hồ sơ thiết kế kỹ thuật khi không xác định được AGN theo hồ sơ báo cáo nghiên cứu khả thi) phù hợp với thông số lắp đặt nhà máy điện được phê duyệt, có hiệu lực tại thời điểm đàm phán và AGN được quy đổi về điểm giao nhận điện, nhưng không thấp hơn giá trị sản lượng điện được xác định trong các hồ sơ này. Đối với loại hình nhà máy điện gió, nhà máy điện mặt trời, mức kỳ vọng P50 là cơ sở để xác định AGN.”.

Đang theo dõi

4. Sửa đổi, bổ sung khoản 2 Điều 10 như sau:

“2. Điện năng giao nhận bình quân hằng năm và tổng mức đầu tư dự án được xác định như sau:

a) Đối với dự án nhà máy điện sử dụng vốn đầu tư công, vốn nhà nước ngoài đầu tư công, tổng mức đầu tư và điện năng giao nhận bình quân hằng năm (theo mức kỳ vọng P50) được xác định trên cơ sở thiết kế cơ sở phù hợp với thông số lắp đặt nhà máy điện (hoặc thiết kế kỹ thuật khi không xác định được theo thiết kế cơ sở) được thẩm định bởi cơ quan nhà nước có thẩm quyền;

b) Đối với các dự án không sử dụng vốn đầu tư công, vốn nhà nước ngoài đầu tư công, tổng mức đầu tư và điện năng giao nhận bình quân hằng năm (xác định theo mức kỳ vọng P50) do bên bán điện và bên mua điện thỏa thuận trên cơ sở hồ sơ báo cáo nghiên cứu khả thi (hoặc hồ sơ thiết kế kỹ thuật khi không xác định được theo hồ sơ báo cáo nghiên cứu khả thi) phù hợp với thông số lắp đặt nhà máy điện được phê duyệt.”.

Đang theo dõi

5. Bổ sung khoản 3 Điều 22 như sau:

“3. Xây dựng hoặc thuê tư vấn xây dựng tỷ lệ chi phí sửa chữa lớn và chi phí khác, tỷ lệ chi phí nhân công đối với các loại hình nhà máy điện chưa được quy định tại Phụ lục I Thông tư này, đề xuất Bộ Công Thương xem xét bổ sung quy định cho phù hợp.”.

Đang theo dõi

6. Sửa đổi tiêu đề của Bảng 2 tại Phụ lục I như sau:

“Bảng 2 - Tỷ lệ chi phí vận hành và bảo dưỡng của nhà máy điện mặt trời, điện gió theo quy định tại Điều 10 Thông tư này”.

Đang theo dõi

Điều 3. Điều khoản chuyển tiếp

Bên bán điện đã gửi hồ sơ đề nghị đàm phán hợp đồng mua bán điện và hai bên đang trong quá trình đàm phán giá điện trước ngày Thông tư này có hiệu lực thi hành nhưng chưa thỏa thuận, thống nhất ký kết hợp đồng mua bán điện thì tiếp tục đàm phán theo quy định tại Thông tư số 12/2025/TT-BCT, trừ trường hợp bên bán điện lựa chọn áp dụng Thông tư này để tiếp tục đàm phán thì bên bán điện và bên mua điện thực hiện đàm phán giá điện theo quy định tại Thông tư này.

Đang theo dõi

Điều 4. Hiệu lực thi hành

Đang theo dõi

1. Thông tư này có hiệu lực từ ngày 21 tháng 11 năm 2025.

Đang theo dõi

2. Trong quá trình thực hiện nếu có phát sinh vướng mắc, tổ chức, cá nhân có trách nhiệm phản ánh về Bộ Công Thương để xem xét sửa đổi, bổ sung cho phù hợp./.

Đang theo dõi

Nơi nhận:
- Văn phòng Tổng Bí thư;
- Văn phòng Chủ tịch nước;
- Văn phòng Quốc hội;
- Thủ tướng, các Phó Thủ tướng Chính phủ;
- Các Bộ, cơ quan ngang Bộ, cơ quan thuộc Chính phủ;
- Viện Kiểm sát nhân dân tối cao;
- Tòa án nhân dân tối cao;
- Kiểm toán Nhà nước;
- Các Lãnh đạo Bộ;
- Các đơn vị thuộc Bộ Công Thương;
- UBND, HĐND các tỉnh, thành phố trực thuộc trung ương;
- Sở Công Thương các tỉnh, thành phố trực thuộc trung ương;
- Cục Kiểm tra văn bản và Quản lý xử lý vi phạm hành chính,
Bộ Tư pháp;
- Cục Kiểm soát thủ tục hành chính, Văn phòng Chính phủ;
- Cổng thông tin điện tử Chính phủ;
- Cổng thông tin điện tử Bộ Công Thương;
- Công báo;
- Lưu: VT, ĐL (10b).

KT. BỘ TRƯỞNG
THỨ TRƯỞNG





Nguyễn Hoàng Long

Phụ lục đính kèm Văn bản này có phụ lục đính kèm. Tải về để xem toàn bộ nội dung.

Bạn chưa Đăng nhập thành viên.

Đây là tiện ích dành cho tài khoản thành viên. Vui lòng Đăng nhập để xem chi tiết. Nếu chưa có tài khoản, vui lòng Đăng ký tại đây!

Thông tư 54/2025/TT-BCT của Bộ Công Thương sửa đổi, bổ sung một số điều của Thông tư 09/2025/TT-BCT ngày 01/02/2025 của Bộ trưởng Bộ Công Thương quy định hồ sơ, trình tự, thủ tục, phương pháp xác định, phê duyệt khung giá phát điện; quy định hồ sơ, trình tự, thủ tục xây dựng, phê duyệt khung giá nhập khẩu điện và Thông tư 12/2025/TT-BCT ngày 01/02/2025 của Bộ trưởng Bộ Công Thương quy định phương pháp xác định giá dịch vụ phát điện; nguyên tắc tính giá điện để thực hiện dự án điện lực; nội dung chính của hợp đồng mua bán điện

Bạn chưa Đăng nhập thành viên.

Đây là tiện ích dành cho tài khoản thành viên. Vui lòng Đăng nhập để xem chi tiết. Nếu chưa có tài khoản, vui lòng Đăng ký tại đây!

* Lưu ý: Để đọc được văn bản tải trên Luatvietnam.vn, bạn cần cài phần mềm đọc file DOC, DOCX và phần mềm đọc file PDF.

Văn bản liên quan Thông tư 54/2025/TT-BCT

văn bản cùng lĩnh vực

image

Thông tư 25/2026/TT-BTC của Bộ Tài chính sửa đổi, bổ sung một số điều của Thông tư 12/2015/TT-BTC ngày 30/01/2015 quy định chi tiết thủ tục cấp Chứng chỉ nghiệp vụ khai hải quan; cấp và thu hồi mã số nhân viên đại lý làm thủ tục hải quan; trình tự, thủ tục công nhận và hoạt động đại lý làm thủ tục hải quan đã được sửa đổi, bổ sung bởi Thông tư 22/2019/TT-BTC ngày 16/4/2019 và Thông tư 79/2022/TT-BTC ngày 30/12/2022 của Bộ trưởng Bộ Tài chính

image

Nghị định 72/2026/NĐ-CP của Chính phủ sửa đổi mức thuế suất thuế nhập khẩu ưu đãi đối với một số mặt hàng xăng, dầu, nguyên liệu sản xuất xăng, dầu tại Biểu thuế nhập khẩu ưu đãi ban hành kèm theo Nghị định 26/2023/NĐ-CP ngày 31/5/2023 của Chính phủ về Biểu thuế xuất khẩu, Biểu thuế nhập khẩu ưu đãi, Danh mục hàng hóa và mức thuế tuyệt đối, thuế hỗn hợp, thuế nhập khẩu ngoài hạn ngạch thuế quan

văn bản mới nhất

CHÍNH SÁCH BẢO VỆ DỮ LIỆU CÁ NHÂN
Yêu cầu hỗ trợYêu cầu hỗ trợ
Chú thích màu chỉ dẫn
Chú thích màu chỉ dẫn:
Các nội dung của VB này được VB khác thay đổi, hướng dẫn sẽ được làm nổi bật bằng các màu sắc:
Sửa đổi, bổ sung, đính chính
Thay thế
Hướng dẫn
Bãi bỏ
Bãi bỏ cụm từ
Bình luận
Click vào nội dung được bôi màu để xem chi tiết.
×