- Tổng quan
- Nội dung
- Tiêu chuẩn liên quan
- Lược đồ
- Tải về
Tiêu chuẩn quốc gia TCVN 9400:2024 Công trình dân dụng và công nghiệp có chiều cao lớn - Xác định độ nghiêng bằng phương pháp trắc địa
| Số hiệu: | TCVN 9400:2024 | Loại văn bản: | Tiêu chuẩn Việt Nam |
| Cơ quan ban hành: | Bộ Khoa học và Công nghệ | Lĩnh vực: | Xây dựng |
| Trích yếu: | Công trình dân dụng và công nghiệp có chiều cao lớn - Xác định độ nghiêng bằng phương pháp trắc địa | ||
|
Ngày ban hành:
Ngày ban hành là ngày, tháng, năm văn bản được thông qua hoặc ký ban hành.
|
24/12/2024 |
Hiệu lực:
|
Đã biết
|
| Người ký: | Đang cập nhật |
Tình trạng hiệu lực:
Cho biết trạng thái hiệu lực của văn bản đang tra cứu: Chưa áp dụng, Còn hiệu lực, Hết hiệu lực, Hết hiệu lực 1 phần; Đã sửa đổi, Đính chính hay Không còn phù hợp,...
|
Đã biết
|
TÓM TẮT TIÊU CHUẨN VIỆT NAM TCVN 9400:2024
Nội dung tóm tắt đang được cập nhật, Quý khách vui lòng quay lại sau!
Tải tiêu chuẩn Việt Nam TCVN 9400:2024
TIÊU CHUẨN QUỐC GIA
TCVN 9400:2024
CÔNG TRÌNH DÂN DỤNG VÀ CÔNG NGHIỆP CÓ CHIỀU CAO LỚN - XÁC ĐỊNH ĐỘ NGHIÊNG BẰNG PHƯƠNG PHÁP TRẮC ĐỊA
Civil and industrial works with great height- Tilt determination by geodetic method
Lời nói đầu
TCVN 9400:2024 thay thế TCVN 9400:2012.
TCVN 9400:2024 do Viện Khoa học công nghệ xây dựng (Bộ Xây dựng) biên soạn, Bộ Xây dựng đề nghị, Tổng cục Tiêu chuẩn Đo lường Chất lượng thẩm định, Bộ Khoa học và Công nghệ công bố.
CÔNG TRÌNH DÂN DỤNG VÀ CÔNG NGHIỆP CÓ CHIỀU CAO LỚN - XÁC ĐỊNH ĐỘ NGHIÊNG BẰNG PHƯƠNG PHÁP TRẮC ĐỊA
Civil and industrial works with great height- Tilt determination by geodetic method
1 Phạm vi áp dụng
Tiêu chuẩn này quy định các yêu cầu và áp dụng để đo, xác định độ nghiêng của nhà cao tầng; các công trình có dạng hình trụ tròn (silô chứa vật liệu rời, bồn chứa nhiên liệu, ống khói nhà máy và tương tự); tháp (truyền hình, ăng ten vô tuyến viễn thông); cột điện cao thế đường dây trên không và các công trình khác trong giai đoạn thi công xây dựng cũng như trong giai đoạn khai thác sử dụng bằng phương pháp trắc địa.
2 Tài liệu viện dẫn
Các tài liệu viện dẫn sau là cần thiết cho việc áp dụng tiêu chuẩn này. Đối với các tài liệu viện dẫn ghi năm công bố thì áp dụng phiên bản được nêu. Đối với các tài liệu viện dẫn không ghi năm công bố thì áp dụng phiên bản mới nhất, bao gồm cả các sửa đổi, bổ sung (nếu có).
TCVN 9360:2024, Công trình dân dụng và công nghiệp - Xác định độ lún bằng phương pháp đo cao hình học.
TCVN 9401:2024, Kỹ thuật đo và xử lý số liệu GNSS trong trắc địa công trình.
3 Thuật ngữ và định nghĩa
Trong tiêu chuẩn này sử dụng các thuật ngữ và định nghĩa sau:
3.1
Đo nghiêng công trình bằng phương pháp trắc địa (tilt monitoring by geodetic method)
Phương pháp sử dụng các máy móc trắc địa để đo đạc xác định độ nghiêng của công trình.
3.2
Độ nghiêng của công trình (tilt of buildings)
Sự sai lệch của trục đứng thực tế của nó tại điểm đang xét so với đường thẳng đứng được xác định bằng đường dây dọi.
3.3
Góc nghiêng (tilt angle)
Góc hợp bởi trục đứng lý tưởng (đường dây dọi) và trục đứng thực tế của công trình.
3.4
Hướng nghiêng (tilt direction):
Góc định hướng của véc tơ độ nghiêng tổng hợp.
3.5
Chu kỳ quan trắc nghiêng (tilt monitoring cycle)
Khoảng thời gian giữa hai lần đo lặp lại liên tiếp cho các mốc quan trắc nghiêng gắn ở công trình. Để thực hiện n chu kỳ quan trắc nghiêng thì cần thực hiện n+1 lần đo lặp. Lần đo quan trắc đầu tiên được quy ước là chu kỳ 0.
3.6
Công nghệ GNSS (global navigation sattelite system - GNSS)
Công nghệ định vị, dẫn đường bằng hệ thống vệ tinh toàn cầu (tên dùng chung cho tất cả các hệ thống định vị toàn cầu sử dụng vệ tinh).
3.7
Hệ thống VAS (vertical alignment system)
Hệ thống kết hợp công nghệ GNSS, máy toàn đạc điện tử và các cảm biến đo độ nghiêng để kiểm soát độ thẳng đứng của tòa nhà cao tầng có chiều cao lớn trong quá trình thi công.
4 Ký hiệu
C sai số khi trục ngắm của ống kính máy kinh vĩ (máy toàn đạc điện tử) không vuông góc với trục quay của ống kính;
D khoảng cách giữa hai điểm, định thức;
eX véc tơ độ lệch (độ nghiêng) của một điểm so với chân công trình theo hướng trục OX;
ey véc tơ độ lệch (độ nghiêng) của một điểm so với chân công trình theo hướng trục OY;
e véc tơ độ lệch tổng hợp (độ nghiêng tổng hợp) của một điểm so với chân công trình;
H, h độ cao của một điểm, chiều cao của công trình;
m sai số trung phương của một đại lượng đo;
mβ sai số trung phương đo góc;
mP sai số trung phương vị trí điểm;
MO sai số vạch chỉ tiêu bàn độ đứng của máy kinh vĩ (máy toàn đạc điện tử) hay là sai số khi trục ngắm của máy nằm ngang thì vạch khắc bàn độ đứng (0° - 180°) hay (90° - 270°); (0° - 0°) lại không trùng với vạch chuẩn đọc số hoặc vạch “0” trên thang đọc số;
Z góc thiên đỉnh của điểm quan trắc;
ε góc nghiêng của công trình;
α góc định hướng, góc phương vị, hướng nghiêng;
β góc đo;
ΔX, ΔY gia số tọa độ;
Δh chênh lệch độ cao giữa hai điểm.
5 Quy định chung
5.1 Các phương pháp trắc địa để đo đạc, xác định độ nghiêng của công trình:
5.1.1 Đối với nhà cao tầng, các phương pháp để đo đạc xác định độ nghiêng bao gồm:
- Phương pháp cơ học;
- Phương pháp sử dụng máy kinh vĩ;
- Phương pháp sử dụng máy toàn đạc điện tử;
- Phương pháp sử dụng máy chiếu đứng;
- Phương pháp sử dụng công nghệ GNSS;
- Phương pháp sử dụng hệ thống VAS.
Nội dung của các phương pháp trên được nêu trong Điều 6 và Phụ lục A.
5.1.2 Đối với các công trình có dạng hình trụ tròn (silô chứa vật liệu rời, bồn chứa nhiên liệu, ống khói nhà máy và tương tự), các phương pháp để đo đạc xác định độ nghiêng bao gồm:
- Phương pháp giao hội thuận;
- Phương pháp đo hướng;
- Phương pháp đo tọa độ bên ngoài công trình;
- Phương pháp chiếu đứng từ tâm công trình;
- Phương pháp chiếu đứng từ bên ngoài công trình.
Nội dung của các phương pháp trên được nêu trong Điều 7 và Phụ lục A.
5.1.3 Đối với các công trình tháp (truyền hình, ăng ten vô tuyến viễn thông), cột điện cao thế đường dây trên không, các phương pháp để đo đạc xác định độ nghiêng bao gồm:
- Phương pháp đo góc nhỏ;
- Phương pháp đo tọa độ.
Nội dung của các phương pháp trên được nêu trong Điều 8 và Phụ lục A.
5.2 Phương pháp đo độ nghiêng sẽ được lựa chọn tùy theo độ chính xác yêu cầu, điều kiện đo ngắm và trang thiết bị của đơn vị tiến hành đo đạc.
5.3 Để biểu diễn độ nghiêng và hướng nghiêng đối với mỗi công trình cần xác lập một hệ tọa độ thống nhất. Hệ tọa độ này có thể là chung cho toàn bộ công trình hoặc cũng có thể là cục bộ đối với từng hạng mục riêng biệt.
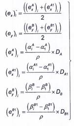
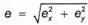
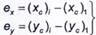
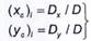
5.4 Đối với các công trình có trục đứng duy nhất và rõ ràng như ống khói nhà máy, tháp truyền hình, ăng ten vô tuyến viễn thông, si lô bồn chứa nhiên liệu, v.v. thì độ nghiêng của công trình được hiểu là sự sai lệch của trục đứng thực tế của nó tại điểm đang xét so với đường thẳng đứng được xác định bằng đường dây dọi. Độ nghiêng của công trình được đặc trưng bởi véc tơ độ lệch tổng hợp e (Hình 1). Thông thường phân tích véc tơ này được phân tích thành hai thành phần vuông góc với nhau. Thành phần trục X (ký hiệu là ex) và thành phần trục Y (ký hiệu là ey). Đối với các công trình không có trục đứng duy nhất và rõ ràng như các toà nhà cao tầng thì độ nghiêng của nó được đánh giá qua độ nghiêng của các bức tường và các cột chịu lực chính.

Hình 1 - Những yếu tố về độ nghiêng của công trình
5.5 Độ nghiêng của công trình còn được thể hiện bằng góc nghiêng e và hướng nghiêng α. Góc nghiêng là góc hợp bởi trục đứng lý tưởng (đường dây dọi) và trục đứng thực tế của công trình. Góc nghiêng ε (Hình 1) được xác định theo công thức:
|
| (1) |
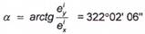
Hướng nghiêng α là góc định hướng của véc tơ e, là góc hợp bởi trục X và hình chiếu của véc tơ e trên mặt phẳng (Hình 1). Hướng nghiêng sẽ được xác định theo công thức:
|
| (2) |
5.6 Việc quan trắc độ nghiêng phải được thực hiện bằng các máy móc, thiết bị phù hợp với từng phương pháp và độ chính xác yêu cầu. Trước khi đưa vào sử dụng các máy móc thiết bị phải được kiểm nghiệm và hiệu chỉnh theo đúng các quy định của tiêu chuẩn hoặc qui phạm chuyên ngành.
5.7 Trong giai đoạn thi công xây dựng công trình, công trình cần được đảm bảo độ thẳng đứng theo yêu cầu của thiết kế, vì vậy độ nghiêng cần phải được phát hiện kịp thời để có biện pháp chỉnh sửa.
5.8 Độ nghiêng của công trình trong giai đoạn khai thác sử dụng xuất hiện do nhiều nguyên nhân: Do tác động của tải trọng, tác động của gió, do ảnh hưởng của độ lún không đều, v.v. Việc xác định độ nghiêng của công trình trong giai đoạn này cần phải được thực hiện lặp đi lặp lại theo các chu kỳ để theo dõi và đánh giá sự phát triển độ nghiêng theo thời gian. Việc lựa chọn chu kỳ đo dài hay ngắn tùy thuộc vào tốc độ phát triển độ nghiêng của công trình.
5.9 Sự phát triển độ nghiêng của công trình trong giai đoạn khai thác sử dụng có liên quan trực tiếp với sự lún lệch của nó, vì vậy song song với sự theo dõi độ nghiêng cần tiến hành theo dõi cả độ lún của công trình bằng phương pháp thủy chuẩn hình học chính xác theo TCVN 9360:2024.
5.10 Khi quan trắc độ nghiêng của các công trình trong điều kiện không có không gian thao tác đủ rộng thì máy kinh vĩ hoặc máy toàn đạc điện tử cần phải được trang bị thêm kính ngắm vuông góc và phải sử dụng loại máy có con lắc điện tử để bù xiên cho hai trục và con lắc này phải được kích hoạt ở chế độ hoạt động.
5.11 Sai số giới hạn khi quan trắc độ nghiêng của một số công trình được cho trong Bảng 1.
Bảng 1 - Sai số giới hạn khi quan sát độ nghiêng công trình
| Loại công trình | Sai số giới hạn đo đạc |
| Nhà cao tầng | 0,0002 x H |
| Ống khói nhà máy | 0,0005 x H |
| Các silô chứa vật liệu rời, bồn chứa dầu, khí hoá lỏng | 0,001 x H |
| Tháp truyền hình, ăng ten vô tuyến viễn thông | 0,0002 x H |
| Cột điện cao thế đường dây trên không | 0,0005 x H |
| Các ký hiệu trong Bảng 1: H là chiều cao của công trình. |
|
6 Quan trắc độ nghiêng của nhà cao tầng
6.1 Hệ tọa độ quy ước dùng để quan trắc độ nghiêng các toà nhà cao tầng tốt nhất nên chọn sao cho các trục của nó song song hoặc vuông góc với các cạnh của toà nhà (Hình 2).
6.2 Các điểm quan trắc độ nghiêng nên chọn tại các khu vực có thể đặc trưng tốt nhất cho sự dịch chuyển của toà nhà như: các góc nhà, khu vực khe lún, khu vực có xuất hiện các vết nứt và các khu vực theo yêu cầu.
6.3 Để xác định độ nghiêng của nhà cao tầng cần bố trí các điểm đo cố định A1, A2, An, và B1, B2, Bn, khi đặt máy tại các điểm A1 sẽ ngắm tới công trình theo hướng song song với trục X còn khi đặt máy tại các điểm Bi thì ngắm tới công trình theo hướng song song với trục Y (Hình 2).

Hình 2 - Hệ trục tọa độ và các điểm quan trắc độ nghiêng nhà cao tầng
6.4 Đo độ nghiêng của các toà nhà cao tầng trong giai đoạn thi công xây dựng
6.4.1 Trong giai đoạn thi công xây dựng nhà cao tầng, độ thẳng đứng tổng thể của tòa nhà được đảm bảo bằng các dụng cụ chiếu đứng để chuyển tọa độ từ mặt bằng cơ sở (mặt bằng tầng một) lên các tầng. Vì vậy trong giai đoạn này chỉ đo độ nghiêng cục bộ của các yếu tố trên từng tầng. Các yếu tố cần xác định độ nghiêng là cốp pha để đổ bê tông các cột, tường chịu lực, buồng thang máy và các yếu tố khác.
6.4.2. Phương pháp đơn giản nhất để xác định độ nghiêng của các yếu tố của nhà cao tầng trong giai đoạn thi công là treo dây dọi và dùng thước để đo khoảng cách từ dây dọi đến yếu tố cần kiểm tra ở phía trên và phía dưới. Độ nghiêng của yếu tố cần quan trắc được đánh giá thông qua chênh lệch khoảng cách đo được ở phía trên và phía dưới (Hình A.1, Phụ lục A).
6.4.3 Trong quá trình thi công nhà cao tầng, việc quan trắc độ nghiêng được thực hiện nhằm mục đích đảm bảo độ thẳng đứng cho tòa nhà. Khi các chi tiết bề ngoài của tòa nhà bị vướng dàn giáo và các vật bao che dẫn tới không có điều kiện thực hiện quan trắc từ bên ngoài thì việc quan trắc được thực hiện từ bên trong theo theo phương pháp chiếu đứng. Phương pháp kiểm tra độ nghiêng nhà cao tầng theo phương pháp chiếu đứng tham khảo A.9, Phụ lục A.
6.4.4 Công nghệ GNSS có thể được sử dụng để kiểm tra độ nghiêng nhà cao tầng trong giai đoạn thi công xây dựng. Phương pháp kiểm tra độ nghiêng nhà cao tầng bằng GNSS tham khảo A.10, Phụ lục A.
6.4.5 Chu kỳ đo nghiêng trong thời gian thi công nhà cao tầng thực hiện theo yêu cầu của thiết kế hoặc mỗi khi tăng thêm một đến ba tầng đo một chu kỳ. Trong giai đoạn sau khi cất nóc công trình đến khi đưa vào sử dụng khoảng một đến ba tháng đo một chu kỳ.
6.4.6 Đối với các nhà cao tầng có số tầng nhiều và chiều cao lớn nên sử dụng hệ thống VAS (Vertical Alignment System) để kiểm soát và đảm bảo độ thẳng đứng của tòa nhà trong quá trình thi công. Hệ thống VAS là hệ thống công nghệ có độ chính xác cao, sai số không bị tích lũy theo độ cao của tòa nhà, các thành phần chính của hệ thống như mô tả ở Hình 3:

Hình 3 - Các thành phần chính của hệ thống VAS
- Trạm cố định (Base): Đây là trạm đặt máy thu tín hiệu vệ tinh được kết nối trực tiếp với máy tính (máy chủ) có phần mềm quản lý trạm. Trạm có nhiệm vụ thu tín hiệu vệ tinh từ các hệ thống vệ tinh GNSS một cách liên tục 24/7, sử dụng để tính toán ra giá trị tọa. độ hiện tại của trạm sau đó so sánh với giá trị tọa độ đã biết của vị trí đặt máy thu để tính toán các số hiệu chỉnh cần thiết;
- Các máy thu GNSS gắn trên sàn công tác của hệ thống cốp pha trượt trên tòa nhà đang thi công (gồm có từ 3 đến 4 máy thu đặt ở các góc của sàn trượt (sàn công tác)). Mỗi máy thu GNSS được lắp tổ hợp với một gương phản chiếu 360°. Nhiệm vụ của các máy thu này là thu tín hiệu vệ tinh và truyền về trạm Base để nó xác định tọa độ chính xác (theo thời gian thực) của tâm máy thu và cũng là tọa độ của tâm gương phản chiếu. Như vậy các máy thu GNSS và các gương 360° cùng tổ hợp với chúng luôn luôn chuyển động do tải trong gió, hoạt động của cần cẩu và các hoạt động kỹ thuật khác trong quá trình thi công nhưng tọa độ theo thời gian thực của chúng luôn luôn được xác định;
- Hệ thống các cảm biến độ nghiêng (Tilt Sensor) có nhiệm vụ xác định độ nghiêng (dao động) của tòa nhà. Toàn bộ dữ liệu từ các sensor cảm biến độ nghiêng được truyền tức thời về máy chủ có cài đặt phần mềm quản lý trạm, kết quả xử lý đồng bộ dữ liệu thu nhận được từ các sensor này chính là kết quả dao động tức thời của toàn bộ tòa nhà theo thời gian, phần mềm sẽ tính ra lượng hiệu chỉnh cần thiết để hiệu chỉnh hệ thống trục của tầng mới xây về vị trí ban đầu ứng với trạng thái không bị dao động của tòa nhà;
- Máy toàn đạc điện tử được lắp cố định tại một điểm ở gần giữa sàn công tác. Tọa độ chính xác của tâm máy được xác định bằng chương trình giao hội nghịch (Resection) được cài đặt sẵn trong máy thông qua việc ngắm đến các gương gắn tổ hợp cùng các máy thu GNSS. Dựa vào tọa độ của máy và các gương có thể dễ dàng triển khai hệ thống trục của tòa nhà theo tọa độ thời gian thực.
Với sự trợ giúp của hệ thống thiết bị công nghệ VAS trên từng mặt sàn mới xây dựng của tòa nhà, các kỹ thuật viên trắc địa luôn luôn triển khai được hệ trục ứng với trạng thái tĩnh ban đầu của tòa nhà mà không bị ảnh hưởng của các yếu tố không mong muốn như gió, hoạt động của các thiết bị thi cp6ng trên công trình và các yếu tố khác.
6.5 Đo độ nghiêng của các toà nhà cao tầng trong giai đoạn khai thác sử dụng
6.5.1 Độ nghiêng của các toà nhà cao tầng trong giai đoạn khai thác sử dụng có thể được đo bằng các máy toàn đạc điện tử có chế độ đo trực tiếp không cần gương, các máy toàn đạc điện tử thông thường hoặc các máy kinh vĩ.
6.5.2 Chu kỳ quan trắc độ nghiêng trong giai đoạn khai thác sử dụng là khoảng ba tháng, sáu tháng hoặc 12 tháng đo một chu kỳ.
6.5.3 Việc đo độ nghiêng của các toà nhà cao tầng trong giai đoạn khai thác sử dụng bắt đầu bằng việc đánh dấu các điểm đặt máy cố định như Hình 2 và các điểm đo tại các vị trí được xem xét cẩn thận theo yêu cầu của đơn vị quản lý công trình và cơ quan thiết kế. Các điểm đặt máy được cố định bằng các mốc bê tông kiên cố trên mặt đất cách công trình một khoảng cách phù hợp để đo ngắm một cách thuận lợi và đảm bảo độ chính xác (nếu điều kiện cho phép thì nên chọn khoảng cách từ điểm đặt máy tới chân công trình bằng chiều cao của nó). Các điểm quan trắc có thể làm bằng kim loại gắn cố định vào công trình, cũng có thể đánh dấu các điểm quan trắc bằng sơn hoặc dán vào đó gương giấy đặc biệt.
6.5.4 Đo độ nghiêng của nhà cao tầng bằng máy toàn đạc điện tử có chế độ đo trực tiếp bằng lazer không cần gương được thực hiện theo trình tự sau:
a) Đặt máy tại điểm Ai (i=1, 2,..., n - các điểm cố định đánh dấu trên mặt đất) sao cho mặt phẳng chuẩn trực của máy vuông góc với hướng X. Từ Ai lần lượt ngắm máy tới các điểm Aj (j=1, 2,..., k - các điểm quan trắc được đánh dấu trên thân công trình) và đo các khoảng cách ngang tương ứng là D(1)A, D(2)A…, D(k)A (Hình A.3, Phụ lục A);
b) Chuyển máy ra điểm Bi thực hiện các thao tác tương tự như ở điểm Ai và đo được các khoảng cách ngang D(1)B, D(2)B,… D(k)B;
c) Tính thành phần độ nghiêng của công trình dọc theo hướng X bằng công thức:
|
| (3) |
d) Tính thành phần độ nghiêng của công trình dọc theo hướng Y bằng công thức:
|
| (4) |
e) Tính độ lớn của véc tơ tổng hợp e:
|
| (5) |
f) Tính góc nghiêng theo công thức (1) và hướng nghiêng của công trình theo công thức (2).
6.5.5 Nếu không có máy toàn đạc điện tử có chế độ đo trực tiếp bằng lazer thì có thể sử dụng máy toàn đạc điện tử thông thường, nhưng trong trường hợp này tại các điểm Ai(j) và Bi(j) cần phải dán các gương giấy chuyên dùng. Trình tự đo ngắm và tính các yếu tố đặc trưng cho độ nghiêng của công trình tương tự như trong 6.5.4.
6.5.6 Nếu không có máy toàn đạc điện tử và điều kiện đo ngắm cho phép thì có thể sử dụng máy kinh vĩ thông thường, tốt nhất nên dùng máy kinh vĩ điện tử có hệ thống con lắc điện tử để hiệu chỉnh độ nghiêng của hai trục (dual axis correction). Trình tự đo ngắm và xác định yếu tố đặc trưng cho độ nghiêng như sau:
a) Đặt máy kinh vĩ tại điểm Ai cân máy cẩn thận bằng bọt thủy điện tử, đặt Dual - axis correction ở chế độ mở;
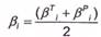
b) Lần lượt ngắm máy lên các điểm Aij đã đánh dấu ở chu kỳ 1 và đọc được các góc αi1, αi2..., αik;
c) Chuyển máy sang điểm Bi và làm tương tự sẽ đọc được các góc βi1, βi2..., βik;
d) Tính độ lệch theo hướng X bằng công thức:
|
| (6) |
e) Tính độ lệch theo hướng Y bằng công thức:
|
| (7) |
Trong các công thức (6) và (7):
α, β : đơn vị tính bằng giây (s);
đơn vị tính bằng milimét (mm);
ρ = 206 265.
Véc tơ đô lệch tổng hợp được tính theo công thức (5), hướng nghiêng được tính theo công thức (2) tương tự như trong 6.5.4. Các khoảng cách từ các điểm Ai và Bi tới công trình được đo với sai số không vượt quá 1 xentimét (cm).
6.5.7 Có thể sử dụng máy kinh vĩ và một thước nhựa hoặc thước kim loại thông thường để đo độ nghiêng theo trình tự sau:
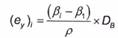
a) Đặt máy tại điểm Ai tương tự như trong 6.5.4;
b) Lần lượt ngắm máy lên các điểm Aij và hạ dần ống kính xuống để có thể đọc số trên thước đặt tại điểm Ai1 theo chỉ đứng của máy kinh vĩ. Khoảng cách từ điểm Ai1 trên thước tới vị trí chiếu của điểm Aij chính là thành phần độ lệch theo hướng X (ex) của điểm Aij như hình A.2 trong Phụ lục A;
c) Chuyển máy sang điểm Bi và làm tương tự sẽ xác định được thành phần độ lệch theo hướng Y (ey); Các yếu tố khác được xác định theo các công thức (5) và (6).
6.5.8 Độ nghiêng của các tòa nhà cao tầng trong giai đoạn khai thác sử dụng có thể được đo bằng công nghệ định vị vệ tinh (GNSS). Khi sử dụng công nghệ định vị vệ tinh thì mốc khống chế cơ sở được bố trí ở dưới mặt đất gồm ba đến bốn điểm (các điểm khống chế phải được chọn ở những chỗ đảm bảo thu được tín hiệu vệ tinh) và các điểm quan trắc được gắn cố định trên nóc tòa nhà (các điểm quan trắc trên nóc tòa nhà được bố trí sao cho đảm bảo thu được tín hiệu vệ tinh).
6.6 Xác định độ nghiêng mặt tường và các kết cấu xây dựng
Độ nghiêng của mặt tường được xác định bằng cách sử dụng các máy toàn đạc điện tử có chế đo lazer không cần dùng gương, tiến hành đo tọa độ các điểm nằm trên tường ở các vị trí khác nhau (Hình 4) sau đó lập mặt phẳng xấp xỉ theo phương pháp số bình phương nhỏ nhất để xác định độ nghiêng của tường. Xác lập mặt phẳng được thực hiện theo trình tự sau:

Hình 4 - Xác định độ nghiêng mặt tường
- Thiết lập hệ tọa độ vuông góc không gian sao cho trục OY trùng với cạnh tường, trục OZ là trục đứng. Phương trình mặt phẳng có thể viết dưới dạng:
|
| (8) |
trong đó:
yi, xi, zi là độ nghiêng theo trục y, tọa độ theo trục x và độ cao của điểm i;
a, b, c là các hệ số của phương trình mặt phẳng.
- Để xác định các tham số mặt phẳng cần ít nhất 3 điểm đo, khi số điểm đo lớn hơn 3 áp dụng nguyên lý số bình phương nhỏ nhất để xác định các tham số của mặt phẳng.
|
| (9) |
- Trên cơ sở (9) lập được phương trình số hiệu chỉnh:
|
| (10) |
- Với n điểm đo xác định được hệ phương trình chỉnh:
| Az + L= V | (11) |
trong đó:
|
| (12) |
- Lập hệ phương trình chuẩn và tính được véc tơ tham số mặt phẳng:
|
| (13) |
|
| (14) |
- Độ lệch của từng điểm đo so với mặt phẳng được xác định theo công thức:
|
| (15) |
- Dựa vào các tham số mặt phẳng (a, b, c) để xác định độ nghiêng lớn nhất công trình so với mặt phẳng đứng:
|
| (16) |
Đo nghiêng mặt tường bằng chế độ đo không gương của các máy toàn đạc điện tử thì khoảng cách từ máy đến điểm đo không vượt quá 100 m.
7 Quan trắc độ nghiêng của các công trình có dạng hình trụ tròn
7.1 Các công trình dạng hình trụ tròn bằng bê tông cốt thép như si lô chứa vật liệu rời, ống khói nhà máy, v.v. chủ yếu được thi công theo phương pháp cốp pha trượt, vì vậy việc đo độ nghiêng của các đối tượng này trong giai đoạn thi công xây dựng tốt nhất nên thực hiện bằng các máy chiếu chuyên dùng. Các máy chiếu thích hợp cho loại công việc này được giới thiệu trong Phụ lục F.
7.2 Tùy theo kết cấu của mâm sàng (sàn công tác) và tùy điều kiện đo ngắm cụ thể mà có thể sử dụng phương pháp chiếu từ tâm lên hoặc chiếu từ bên ngoài.
7.3 Quy trình xác định độ nghiêng theo phương pháp chiếu từ tâm lên được thực hiện theo trình tự sau:
a) Trước khi thi công xây dựng công trình bằng phương pháp cốp pha trượt cần bố trí chính xác vị trí tâm của công trình (silô hoặc ống khói) ngoài hiện trường, cố định nó bằng một mốc kiên cố trên đó có lắp đặt bộ phận định tâm bắt buộc để đặt máy chiếu như trình bày trong phần Phụ lục G;
b) Dựng một hệ tọa độ giả định có gốc tọa độ là điểm vừa được đánh dấu như đã nêu ở phần trên, hai trục X và Y của nó được đánh dấu trên thực địa bằng các mốc bê tông kiên cố;

Hình 5 - Tấm mica có khắc hệ tọa độ gắn trên mâm sàng
c) Dựng hệ trục tọa độ vuông góc thứ hai trên mặt một tấm mica. Tấm mica này có kích thước khoảng 60 cm x 60 cm (Hình 5) trên đó các trục X và Y được chia thành các vạch 1 cm bằng hai loại mực khác nhau để dễ nhận biết. Trong hệ tọa độ này để tiện cho việc tính toán vị trí thực tế của mâm sàng nên ghi các vạch khắc có dấu (-) theo hướng từ gốc tọa độ lên phía trên và sang bên phải và ngược lại giá trị vạch khắc có dấu dương bên trái và phía dưới gốc tọa độ tăng dần từ trên xuống dưới và từ phải qua trái;
d) Đặt tấm mica có hệ tọa độ này vào tâm mâm sàng sao cho điểm O’ của hệ tọa độ trên tấm mica trùng với gốc tọa độ O trên mặt đất và các trục X’ và Y’ trùng với các trục X và Y đã đánh dấu như đã nói ở phần trên;
e) Trong quá trình thi công xây dựng công trình bằng phương pháp cốp pha trượt, sau mỗi lần trượt cần đặt máy chiếu tại điểm đã đánh dấu ở tâm công trình và ngắm vào tấm mica đặt ở mặt dưới mâm sàng đọc các số đọc Ax và Ay trên hệ trục tọa độ, đây chính là thành phần độ lệch tâm của công trình tại điểm đang quan sát (ex và ey) so với vị trí tâm chính xác của nó dưới mặt đất;
f) Giá trị của véc tơ độ nghiêng tổng hợp và hướng nghiêng được tính theo các công thức (5) và công thức (2);
g) Độ lệch thành phần, véc tơ độ lệch tổng hợp và hướng lệch phải được thông báo kịp thời cho đơn vị thi công để chỉnh mâm sàng về vị trí thẳng đứng.
7.4 Nếu kết cấu của công trình không cho phép chiếu trực tiếp từ tâm lên thì có thể thực hiện việc xác định độ nghiêng bằng phương pháp chiếu từ bên ngoài theo quy trình sau đây:
a) Bố trí điểm tâm của công trình và dựng hệ tọa độ giả định XOY giống như 7.3 nhưng không cần đánh dấu điểm O bằng mốc kiên cố và cũng không cần xây dựng mốc dọi tâm bắt buộc. Mốc O ở tâm của công trình chỉ sử dụng tạm thời;
b) Từ tâm của công trình bố trí bốn điểm O1, O2, O3, O4 sao cho điểm này nằm trên các trục tọa độ và cách mép ngoài của công trình từ 0,8 m đến 1 m (Hình A.8, Phụ lục A). Các điểm được đánh dấu bằng các mốc bê tông kiên cố có hệ thống dọi tâm bắt buộc để đặt máy chiếu đứng;
c) Dựng trên bốn tấm mica bốn hệ tọa độ X'O1'Y', X'O2'Y'2, X'O'3Y' và X'O'4Y’ giống như làm trong 7.3;
d) Đặt máy chiếu đứng tại điểm O1 và gắn tấm mica có chia vạch như Hình 5 lên mâm sàng ở vòng đầu tiên sao cho điểm O1 trùng với điểm O'1 và các trục O1'X’, O1’Y’ song song với các trục O1X và O1Y. Cũng làm tương tự như vậy đối với các điểm O2, O3 và O4;
e) Trong quá trình thi công silô bằng phương pháp cốp pha trượt, sau mỗi lần trượt cán bộ kỹ thuật lần lượt đặt máy chiếu tại các điểm O1, O2, O3 và O4, đọc các giá trị Δx và Δy trên các thang số tương ứng. Dựa vào các số đọc này tính được tọa độ thực tế của các điểm O1’, O2’, O3’ và O4’ trên cơ sở đó tính ra tọa độ thực tế của tâm công trình;
f) Tính được độ nghiêng thực tế của nó để đơn vị thi công kịp thời điều chỉnh. Trình tự xử lý số liệu xác định độ nghiêng bằng phương pháp này được trình bày trong Phụ lục E.
7.5 Trong giai đoạn khai thác sử dụng đối với các công trình có dạng hình côn hoặc hình trụ tròn có bán kính lớn thì tốt nhất nên xác định độ nghiêng của những công trình này bằng phương pháp đo tọa độ bên ngoài công trình sử dụng các máy toàn đạc điện tử có chế độ đo trực tiếp bằng lazer không cần gương phản xạ. Trình tự thực hiện việc đo độ nghiêng trong trường hợp này như sau:
a) Lập một đường chuyền khép kín xung quanh đối tượng cần xác định độ nghiêng (Hình A.6, Phụ lục A). Số điểm đường chuyền tối thiểu là 3, khuyển cáo từ 5 điểm đến 9 điểm. Tọa độ và độ cao của các điểm được xác định trong một hệ giả định;
b) Lần lượt đặt các máy toàn đạc điện tử tại các điểm của đường chuyền, nhập tọa độ và độ cao của điểm đặt máy, định hướng máy theo tọa độ của một điểm đường chuyền khác;
c) Khởi động chế độ xác định tọa độ không gian ba chiều và ngắm máy vào đối tượng cần xác định độ nghiêng ở vòng sát mặt đất (chân của công trình) theo hướng vuông góc với bề mặt của đối tượng, xác định tọa độ x(1)A, y(1)A, H(1)a;
d) Đưa ống kính lên cao dần và đo tọa độ cho đến khi H(2)A bằng H(1)A+ Δh trong đó Δh bằng 2 m, 5 m hoặc 10 m tùy theo yêu cầu, đo các giá trị x(2)A, y(2)A, H(2)a và lần lượt làm như vậy cho đến hết chiều cao của công trình;
e) Chuyển máy sang điểm đường chuyển tiếp theo và lặp lại các thao tác như bước b, c và d như tại điểm A;
f) Dựa vào tọa độ của các điểm được đo trên từng vòng xác định ra tọa độ tâm x(i)c, y(i)c và bán kính Ri của vòng đo đó;
g) So sánh tọa độ x(i)c, y(i)c của từng vòng với vòng đo ở sát mặt đất sẽ xác định được độ nghiêng của công trình. Trình tự tính toán số liệu xác định độ nghiêng của công trình được trình bày trong Phụ lục B.
7.6 Nếu không có máy toàn đạc điện tử với chế độ đo trực tiếp bằng lazer thì có thể sử dụng máy kinh vĩ thông thường để xác định tọa độ tâm công trình bằng phương pháp giao hội thuận. Bài toán giao hội thuận có thể thực hiện từ 2 điểm trở lên (Hình A.4, Phụ lục A). Việc mở rộng ra giao hội từ 3 điểm hoặc 4 điểm được thực hiện tương tự như đối với trường hợp 2 điểm, trình tự thực hiện như sau:
a) Triển khai một đường chuyền khép kín 3 điểm đến 4 điểm xung quanh đối tượng cần kiểm tra độ nghiêng như mục 7.5. Vị trí các điểm phải chọn cách công trình một khoảng tối thiểu bằng chiều cao của nó. Tọa độ và độ cao của các điểm được tính trong một hệ giả định;
b) Đặt máy tại điểm A đo chiều cao máy và hướng máy lên đối tượng tại điểm nằm sát mặt đất đo các giá trị αT1, αP1, αB1, và Z1,
trong đó:
αT1 là số đọc trên bàn độ ngang khi tia ngắm tiếp xúc với đối tượng ở mép bên trái của vòng 1;
αP1 là số đọc trên bàn độ ngang khi tia ngắm tiếp xúc với đối tượng ở mép phải;
αB1 là số đọc trên bàn độ ngang khi ngắm tới tiêu ngắm đặt tại điểm B;
Z1 là góc thiên đỉnh khi ngắm vòng 1.
c) Dựa vào khoảng cách từ điểm đặt máy tới công trình tính các giá trị Zi ứng với các vòng trên đối tượng cần quan trắc theo công thức:
|
| (17) |
trong đó:
D là khoảng cách từ điểm đặt máy tới công trình;
dH là chênh cao giữa các vòng đo;
Hst là chiều cao máy tại điểm A.
d) Lần lượt đặt giá trị của bàn độ đứng bằng góc Zi vừa tính được và ngắm máy vào mép trái hoặc mép phải của đối tượng và đọc các số đọc αTi, α Pi, α Bi như đối với vòng 1;
e) Chuyển máy sang điểm B và thực hiện các thao tác như ở điểm A. Các số đọc trên bàn độ ngang ký hiệu là βTi, βPi, βAi, trong đó:
βTi là số đọc trên mặt bàn độ ngang khi tia ngắm tiếp xúc với đối tượng ở mép bên trái của vòng i;
βPi là số đọc trên bàn độ ngang khi tia ngắm tiếp xúc với đối tượng ở mép phải khi ngắm vòng i;
βAi là số đọc trên bàn độ ngang khi ngắm tới tiêu ngắm đặt tại điểm A.
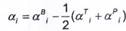
f) Tính các góc αi, βi theo công thức:
|
| (18) |
|
| (19) |
g) Tính tọa độ (xc)i và (yc)i (tọa độ tâm của vòng thứ i) theo công thức:
|
| (20) |
|
| (21) |
h) Tính các thành phần độ lệch theo các trục X và Y theo các công thức:
|
| (22) |
|
| (23) |
Véc tơ độ nghiêng tổng hợp và góc nghiêng được tính theo các công thức (5) và (1).
7.7 Nếu có thể chọn được hai điểm đặt máy sao cho chúng tạo thành hai hướng vuông góc với nhau (Hình A.5, Phụ lục A) thì có thể xác định độ nghiêng của đối tượng bằng phương pháp đo hướng theo trình tự sau:
a) Đặt máy tại điểm A cân bằng máy chính xác, đo khoảng cách từ máy tới đối tượng DA và chiều cao máy iA sau đó ngắm theo hướng tiếp tuyến với 2 mép của đối tượng ở vòng sát mặt đất (chân công trình) đọc các số đọc αT1, αP1, và Z1 (Hình A.5, Phụ lục A);
b) Tính giá trị các góc thiên đỉnh Zi của các vòng cách nhau 2, 3, 4, 5 m hoặc 10 m tùy theo nhiệm vụ yêu cầu theo công thức (17);
c) Đặt bàn độ đứng của máy lần lượt vào các giá trị góc Zi tính được của các vòng, tại mỗi vòng đọc các giá trị αT1 và αP1;
d) Chuyển máy sang điểm B và lặp lại các thao tác như tại điểm A;
e) Độ nghiêng của công trình theo hướng X tại vòng thứ i được tính theo công thức sau:
|
| (24) |
trong đó:
|
| (25) |
Thành phần độ nghiêng của công trình theo hướng Y được xác định theo công thức:
|
| (26) |
trong đó:
|
| (27) |
Véc tơ độ nghiêng tổng hợp và góc nghiêng được tính theo các công thức (5) và (1), hướng nghiêng được tính theo công thức (2).
Khi bài toán giao hội được thực hiện từ trên 2 điểm thì cần phải thực hiện bình sai để xác định tọa độ tâm của công trình.
8 Xác định độ nghiêng của các tháp truyền hình, tháp ăng ten vô tuyến viễn thông và cột điện cao thế đường dây trên không
Các tháp truyền hình, tháp ăng ten vô tuyến viễn thông và cột điện cao thế đường dây trên không thường có tiết diện ngang là hình vuông và được lắp ráp bằng các loại thép ống và thép hình. Phương pháp dùng quan trắc độ nghiêng của tháp là phương pháp đo góc nhỏ bằng máy kinh vĩ theo trình tự sau đây:
a) Khôi phục vị trí tâm của tháp truyền hình, tháp ăng ten vô tuyến viễn thông và cột điện cao thế đường dây trên không, đánh dấu nó bằng một điểm cố định trên mặt đất và đặt tại đây một tiêu ngắm;
b) Dựng hệ trục tọa độ giả định có gốc tọa độ là tâm của tháp vừa được xác định trong 8a) và hai trục X và Y vuông góc với các cạnh của tháp như Hình 6;

Hình 6 - Sơ đồ xác định độ nghiêng của tháp truyền hình, tháp ăng ten vô tuyến viễn thông và cột điện cao thế đường dây trên không
c) Trên hai hướng X và Y chọn mỗi hướng 2 điểm A, A1 và B, B1, nếu điều kiện cho phép thì chọn các điểm này sao cho khoảng cách từ chúng tới tâm tháp xấp xỉ bằng chiều cao của tháp. Dùng máy toàn đạc điện tử hoặc thước thép xác định các khoảng cách này;
d) Đặt máy kinh vĩ hoặc máy toàn đạc điện tử tại A và đo góc tạo bởi điểm giữa của từng tầng và tâm tháp để xác định các góc αAi;
e) Chuyển máy sang các điểm A1, B, B1 và thực hiện quá trình đo đạc tương tự như tại điểm A đo được các góc αA1, βBi và βB1i tạo bởi điểm giữa của từng tầng tháp với tâm tháp;
f) Độ nghiêng của tầng tháp thử i theo hướng các trục X và Y được tính theo công thức:
|
| (28) |
trong đó:
αAi là số đọc trên bàn độ ngang khi ngắm máy lên điểm giữa của đốt thứ i khi đặt máy tại điểm A;
αA1i là số đọc trên bàn độ ngang khi ngắm máy lên điểm giữa của đốt thứ i khi đặt máy tại điểm A1;
βBi là số đọc trên bàn độ ngang khi ngắm máy lên điểm giữa của đốt thứ i khi đặt máy tại điểm B;
βB1i là số đọc trên bàn độ ngang khi ngắm máy lên điểm giữa của đốt thứ i khi đặt máy tại điểm B1.
Theo các công thức trên, ngoài độ nghiêng còn có thể đánh giá được độ vặn xoắn của tháp. Nếu các cặp giá trị (exA)i và (exA1)i, (eyB)i và (eyB1)i có dấu ngược nhau hoặc có giá trị không bằng nhau nghĩa là tháp bị vặn xoắn. Véc tơ độ lệch tổng hợp và góc nghiêng được xác định theo công thức (5) và (1).
9 Lập báo cáo kết quả đo đạc xác định độ nghiêng
9.1 Sau khi kết thúc mỗi chu kì đo nghiêng, phải kịp thời xử lý số liệu. Khi kết quả xử lý số liệu xuất hiện một trong các tình trạng sau đây, phải thông báo ngay cho đơn vị xây dựng và đơn vị thi công để có biện pháp tương ứng:
1. Giá trị độ nghiêng đến giá trị dự báo hoặc xấp xỉ giá trị cho phép;
2. Giá trị độ nghiêng thay đổi bất thường.
9.2 Khi kết thúc một giai đoạn đo độ nghiêng, ví dụ kết thúc thi công phần thân nhà cao tầng hoặc kết thúc một giai đoạn thử tải, v.v. cần lập báo cáo giai đoạn. Khi kết thúc quá trình đo độ nghiêng do hết hạn hợp đồng, cần lập báo cáo kết quả đo độ nghiêng theo các nội dung sau đây:
- Phần I: Nội dung công việc và biện pháp thực hiện;
- Phần II: Các kết quả đo và xác định độ nghiêng;
- Phần III: Kết luận và kiến nghị.
9.3 Trong phần nội dung công việc và biện pháp thực hiện cần nêu rõ các điểm sau đây:
- Mục đích, yêu cầu nhiệm vụ của công tác đo độ nghiêng;
- Giới thiệu đặc điểm về vị trí địa hình, đặc điểm về kỹ thuật của khu vực đo độ nghiêng;
- Đặc điểm về hình dạng, kích thước, loại nền móng, kết cấu kiến trúc v.v. và những đặc điểm về hiện trạng công trình;
- Phương pháp và dụng cụ đo, độ chính xác yêu cầu và số lượng chu kì đo, tiến độ thực hiện công việc;
- Phương pháp xử lý số liệu và tính toán độ nghiêng.
9.4 Trong phần các kết quả đo và xác định độ nghiêng cần phải thể hiện đầy đủ các nội dung sau:
- Các kết quả đo đạc và kết quả xử lý tính toán độ nghiêng của các chu kì đo;
- Bảng tổng hợp về độ nghiêng và hướng nghiêng tại các vị trí quan trắc theo các chu kì;
- Độ nghiêng lũy kế tại các vị trí quan trắc;
- Vị trí có độ nghiêng lớn nhất và vị trí có độ nghiêng nhỏ nhất.
Phụ lục A
(tham khảo)
Các phương pháp xác định độ nghiêng
A.1 Phương pháp cơ học
A.1.1 Phạm vi áp dụng
Phương pháp này áp dụng để kiểm tra độ nghiêng của các cột trong phạm vi từng tầng nhà hoặc kiểm tra độ nghiêng của các tường.
A.1.2 Nội dung
Đây là phương pháp đơn giản nhất để xác định độ nghiêng của công trình. Để xác định độ nghiêng cần treo một dây dọi và đo khoảng cách từ dây dọi đến đến bề mặt của công trình ở phía trên (đỉnh) và phía dưới (gốc) như Hình A.1. Độ nghiêng thành phần (ex) của công trình theo hướng thước đo sẽ được xác định dựa vào chênh lệch của hai khoảng cách nói trên. Muốn xác định độ nghiêng thành phần (ey) cần treo dọi và thực hiện đo ở hướng vuông góc với mặt vừa đo (ex).

Hình A.1 - Xác định độ nghiêng của các cột bằng dây dọi
A.1.3 Độ chính xác
Phương pháp cơ học dùng dây dọi có độ chính xác không cao. Do dây dọi bị dao động nên khó đo được khoảng cách chính xác từ dây dọi đến bề mặt của công trình. Đặc biệt là công trình càng cao thì độ chính xác càng giảm. Với các công trình có độ cao từ 3 m đến 5 m thì sai số đo khoảng cách nằm trong khoảng từ 2 mm đến 3 mm trong điều kiện không có gió.
A.2 Phương pháp chiếu bằng chỉ đứng của máy kinh vĩ
A.2.1 Phạm vi áp dụng
Phương pháp này nên áp dụng để xác định độ nghiêng của các nhà cao tầng.
A.2.2 Nội dung
Để thực hiện phương pháp này có thể sử dụng bất kỳ loại máy kinh vĩ nào. Tuy nhiên để tăng độ chính xác của phương pháp, khi sử dụng máy quang cơ thông thường cần có bọt thủy nằm ngang (đặt trên trục quay của ống kính). Nếu sử dụng máy kinh vĩ điện tử hoặc toàn đạc điện tử thì chế độ bù xiên của hai trục cần phải đặt ở trạng thái hoạt động. Việc xác các định độ nghiêng thành phần bằng phương pháp này được thực hiện như sau:
- Máy kinh vĩ đặt tại điểm cố định (ví dụ điểm A1, Hình A.2) cách công trình một khoảng bằng chiều cao của nó, cân máy bằng bọt thủy dài (đối với máy kinh vĩ quang cơ) hoặc bằng bọt thủy điện tử (đối với máy kinh vĩ điện tử). Đánh dấu các điểm A(1), A(2), A(k) trên công trình (dán hoặc vẽ các tiêu ngắm). Tại điểm A(1) ở sát mặt đất, đặt một thước có khắc vạch milimét (mm) nằm ngang. Chiếu các điểm A(j) (j=1, 2, .... k) bằng chỉ đứng của máy kinh vĩ xuống thước đặt ở phía dưới ta sẽ đọc được khoảng cách dj tính từ điểm A(i) tới hình chiếu của điểm A(1). Chênh lệch khoảng cách dj trong các chu kỳ đo so với khoảng cách (dj)i đo được trong chu kỳ đầu cho phép đánh giá được độ nghiêng của công trình theo hướng vuông góc với tia ngắm. Độ nghiêng của công trình theo hướng thứ hai cũng được xác định tương tự;
- Nếu không có điều kiện đặt thước đo trực tiếp, thì độ lệch có thể được xác định một cách dán tiếp thông qua việc đo các hướng tới các điểm A(1), A(2), ...A(1). Trong trường hợp này để tính được độ lệch thành phần cần phải biết cả khoảng cách từ điểm đặt máy tới công trình. Công thức để xác định độ lệch thành phần được nêu trong 6.5.6.

Hình A.2 - Đo độ nghiêng bằng máy kinh vĩ và thước
A.2.3 Độ chính xác
Nguồn sai số chủ yếu trong phương pháp này là sai số ngắm chuẩn điểm A. Sai số này nằm trong khoảng từ 5 đến 10". Với khoảng cách từ điểm đặt máy tới công trình khoảng 100 m thì sai số xác định độ nghiêng thành phần do sai số ngắm chuẩn gây ra nằm trong khoảng từ 3 mm đến 5 mm. Ngoài ra cũng phải kể đến sai số làm trùng vạch chuẩn của thước với vạch chuẩn tại điểm B và sai số đọc số trên thước. Tổng hợp hai nguồn sai số này xấp xỉ 1 mm. Như vậy sai số xác định độ nghiêng theo một hướng sẽ xấp xỉ bằng 5 mm. Sai số xác định véc tơ tổng hợp là 5 x
xấp xỉ bằng 7 mm.
A.3 Phương pháp sử dụng máy toàn đạc điện tử
A.3.1 Phạm vi áp dụng
Phương pháp này rất thuận tiện cho việc quan trắc độ nghiêng của các nhà cao tầng. Hiệu quả kinh tế đặc biệt cao nếu các máy toàn đạc điện tử được tích hợp chế độ đo trực tiếp không cần gương.
A.3.2 Nội dung
Chuẩn bị các điểm đặt máy và các điểm đo giống như trong trường hợp đo độ nghiêng bằng máy kinh vĩ thông thường. Nếu máy có chế độ đo trực tiếp không cần gương thì các điểm đo nên đánh dấu bằng các vòng tròn. Nếu dùng máy toàn đạc điện tử thông thường thì các điểm đo cần phải được gia cố sao cho có thể lắp được các gương chuyên dùng hoặc dán các gương giấy. Việc xác định độ nghiêng thành phần trong trường hợp này rất đơn giản bằng cách đo khoảng cách ngang từ điểm đặt máy tới các điểm quan trắc. Chênh lệch khoảng cách ngang từ điểm đặt máy tới các điểm đo so với khoảng cách từ điểm đặt máy tới điểm đo đầu tiên trên mặt bằng tầng một chính là độ nghiêng thành phần của điểm đo này theo hướng tia ngắm.
A.3.3 Độ chính xác
Độ chính xác đo độ nghiêng bằng máy toàn đạc điện tử chủ yếu phụ thuộc vào độ chính xác của loại máy được sử dụng. Đối với máy toàn đạc điện tử độ chính xác đo khoảng cách được xác định theo công thức:
| mD = ± (a + b x D) | (A.1) |
trong đó:
a là thành phần sai số không phụ thuộc khoảng cách, gồm ảnh hưởng của sai số đo hiệu pha và sai số xác định hằng số K của máy (đa số các máy toàn đạc điện tử thành phần a = 2 mm);
b là thành phần sai số phụ thuộc khoảng cách, gồm ảnh hưởng của sai số xác định tốc độ truyền sóng điện tử và sai số xác định tần số điều biến của máy (đa số các máy toàn đạc điện tử thành phần 6 = 2 x 10-6).
Khi đo độ nghiêng khoảng cách từ máy tới các điểm đo thường ngắn (khoảng vài chục mét) vì vậy sai số đo khoảng cách chủ yếu là thành phần a, hơn nữa ảnh hưởng của sai số xác định hằng số K của máy và của gương cũng sẽ bị loại trừ vì vậy sai số xác định khoảng cách chỉ nằm trong khoảng từ 1 mm đến 2 mm. Sai số xác định độ nghiêng 1 lần đo sẽ là:
![]()
Sai số xác định véc tơ tổng hợp một lần đo là:
![]()
Thông thường tại mỗi điểm đo người ta xác định các yếu tố bằng cách đo ít nhất là 3 lần vì vậy sai số xác định giá trị xác suất nhất của vác tơ tổng hợp sẽ là:
![]()

Hình A.3 - Đo độ nghiêng bằng máy toàn đạc điện tử
A.4 Phương pháp giao hội thuận
A.4.1 Phạm vi áp dụng
Phương pháp này nên áp dụng cho các công trình có dạng hình tròn hoặc hình côn khi không trực tiếp ngắm tới tâm của công trình tại đỉnh và đáy.
A.4.2 Nội dung
Khi tiến hành các thao tác đo cần thực hiện các điểm sau:
a) Vì không trực tiếp ngắm tới tâm của công trình tại đỉnh và đáy vì vậy thay cho việc ngắm vào tâm của công trình có thể ngắm vào mép của công trình theo đường tiếp tuyến bên phải và bên trái. Giá trị của hướng đo từ điểm đặt máy tới tâm công trình được lấy là giá trị trung bình khi ngắm theo đường tiếp tuyến mép bên trái và mép bên phải;
b) Việc xác định góc α và β trong sơ đồ giao hội được thực hiện ít nhất là 3 vòng đo đầy đủ, mỗi vòng đo thực hiện các thao tác sau.
- Đặt máy tại điểm A;
- Ngắm đường tiếp tuyến bên trái công trình ở vị trí bàn độ trái, đọc số trên bàn độ ngang;
- Ngắm đường tiếp tuyến bên phải công trình ở vị bàn độ trái đọc số trên bàn độ ngang;
- Ngắm vào tiêu đặt tại điểm B ở vị trí bàn độ trái, đọc số trên bàn độ ngang;
- Đảo kính sang bàn độ phải và thực hiện trình tự ngắm và đọc số ngược lại bắt đầu từ điểm B và kết thúc là đường tiếp tuyến phía bên trái của công trình.
c) Để tăng độ chính xác xác định tọa độ tâm của công trình cần chọn thêm một điểm cố định C với điều kiện tương tự như các điểm A và B. Việc chọn thêm điểm C và chương trình đo cho phép xác định từng tọa độ tâm công trình hai lần độc lập với nhau. Giá trị tọa độ chính thức được lấy là trung bình của hai giá trị tọa độ thu được và độ chính xác xác định tọa độ tăng xấp xỉ 1,5 lần;

Hình A.4 - Đo độ nghiêng của công trình bằng phương pháp giao hội thuận
A.4.2 Độ chính xác
Độ chính xác xác định tọa độ tâm của công trình ở phía trên và ở phía dưới được xác định theo công thức của giao hội thuận như sau:
|
| (A.2) |
trong đó:
γ = 180° - (α + β);
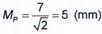
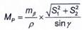
S1, S2 là khoảng cách từ hai điểm đặt máy tới tâm công trình;
với S1 = S2= 100 m , mβ = 10", γ = 90° thì MP = 7 mm.
Nếu chọn 3 điểm cố định có tọa độ A, B và C thì tọa độ tâm công trình sẽ được xác định 2 lần độc lập nhau nghĩa là độ chính xác tăng lên
lần, trong trường hợp này:
![]()
A.5 Phương pháp đo hướng
A.5.1 Phạm vi áp dụng
Phương pháp này có thể được ứng dụng tốt cho các công trình có tiết diện hình trụ tròn hoặc hình côn có bán kính nhỏ.
A.5.2 Nội dung
Nội dung của phương pháp đo hướng để xác định độ nghiêng cũng gần giống phương pháp giao hội góc thuận. Phương pháp này chỉ có một số điểm khác biệt sau đây:
a) Nếu trong phương pháp giao hội thuận góc ở tâm tạo bởi hai tia ngắm tới hai điểm cố định không nhất thiết phải là góc vuông thì trong trường hợp xác định độ nghiêng bằng phương pháp đo hướng góc này bắt buộc phải là góc vuông;
b) Nếu trong phương pháp giao hội thuận tọa độ của các điểm cố định phải được biết trước thì trong phương pháp này hướng tọa độ của các điểm này là không cần thiết mà chỉ cần xác định khoảng cách từ các điểm cố định trên tâm công trình.
c) Nếu trong phương pháp giao hội góc thuận phải đo góc hợp bởi hướng tại điểm đặt máy tới điểm cố định khác và hướng tới tâm công trình thì trong phương pháp đo hướng tại mỗi điểm đứng máy chỉ cần do duy nhất hướng tới tâm công trình ở trên và ở dưới.

Hình A.5 - Đo độ nghiêng của công trình hình trụ hoặc hình côn theo phương pháp đo hướng
A.5.3 Độ chính xác
Sai số xác định độ lệch thành phần được tính theo công thức:
|
| (A.3) |
trong đó:
mex là sai số xác định độ lệch thành phần (độ nghiêng thành phần) theo hướng trục X;
mβ là sai số đo góc;
D là khoảng cách từ máy đến điểm đo;
ρ = 206 265.
Với khoảng cách từ điểm đặt máy tới công trình D bằng 100 m, sai số đo góc mβ = 10” thì sai số xác định độ nghiêng thành phần
và
tính theo công thức (A.3) là 5 mm. Sai số xác định véc tơ độ nghiêng tổng hợp me =5 x
= 7 (mm).
A.6 Phương pháp đo tọa độ bên ngoài công trình
A.6.1 Phạm vi áp dụng
Phương pháp này nên áp dụng cho các công trình có tiết diện là hình tròn có đường kính lớn như silo chứa vật liệu rời, bồn chứa xăng dầu hoặc khí hoá lỏng LPG, ống khói nhà máy, v.v.
A.6.2 Nội dung của phương pháp
Nội dung của phương pháp này là xác định tọa độ tâm của công trình trên các độ cao khác nhau dựa vào tọa độ đo thực tế của các điểm trên thân ở phía trong hoặc phía ngoài công trình (Hình A.6)

Hình A.6 - Xác định độ nghiêng bằng phương pháp đo tọa độ bên ngoài
A.6.3 Độ chính xác
Độ chính xác xác định độ nghiêng của công trình bằng phương pháp này phụ thuộc vào độ chính xác xác định tọa độ tâm của nó trên các độ cao khác nhau. Độ chính xác xác định tâm của công trình không những phụ thuộc vào số điểm đo tọa độ trên từng vòng mà còn phụ thuộc vào phân bố các điểm này theo vòng tròn. Trường hợp số điểm đo tọa độ lớn hơn 6 và các điểm phân bố tương đối đều thì độ chính xác xác định tọa độ tâm vòng tròn bằng phương pháp số bình phương nhỏ nhất tương đương với độ chính xác xác định tọa độ của các điểm bằng máy toàn đạc điện tử.
A.7 Phương pháp chiếu đứng từ tâm công trình
A.7.1 Phạm vi áp dụng
Phương pháp này nên sử dụng cho các công trình có dạng hình tròn hoặc hình côn trong giai đoạn thi công xây dựng có khả năng chiếu trực tiếp từ tâm lên.
A.7.2 Nội dung
Sử dụng máy chiếu đứng chiếu trực tiếp từ tâm công trình lên các vòng ở trên cao để xác định tọa độ tâm thực tế của nó tại vòng đang xét. Độ nghiêng của công trình được xác định thông qua giá trị chênh lệch tọa độ tâm thực tế của vòng đang xét và tâm của công trình ở chân của nó.

Hình A.7 - Xác định độ nghiêng bằng phương pháp chiếu đứng từ tâm công trình
A.7.3 Độ chính xác
Đây là phương pháp xác định độ nghiêng có độ chính xác cao, sai số xác định độ nghiêng của công trình nằm trong khoảng vài milimét.
A.8 Phương pháp chiếu đứng từ bên ngoài công trình
A.8.1 Phạm vi áp dụng
Phương pháp này ứng dụng để xác định độ nghiêng của các silô hoặc ống khói trong giai đoạn thi công bằng phương pháp cốp pha trượt nhưng không có khả năng chiếu trực tiếp từ tâm công trình lên.
A.8.2 Nội dung của phương pháp
Nội dung của phương pháp này là sử dụng máy chiếu đứng để xác định tọa độ thực tế của các điểm O1’, O2’, O3’ và O4’ nằm trên các trục tọa độ, thông qua chúng xác định được tọa độ thực tế của tâm công trình tại vòng đang xét và xác định được độ nghiêng của nó.

Hình A.8 - Xác định độ nghiêng bằng phương pháp chiếu đứng từ bên ngoài công trình
A.8.3 Độ chính xác
Phương pháp này có độ chính xác gần tương đương với phương pháp chiếu từ tâm lên nghĩa là cũng cho phép xác định được độ nghiêng với sai số khoảng vài milimét.
A.9 Phương pháp chiếu đứng xác định độ nghiêng của nhà cao tầng
A.9.1 Phạm vi áp dụng
Phương pháp này áp dụng để xác định độ nghiêng của nhà cao tầng trong giai đoạn thi công xây dựng.
A.9.2 Nội dung
Phương pháp này gồm các bước thực hiện như sau:
Bước 1: Xây dựng hệ thống mốc khống chế tọa độ (điểm gốc) trên mặt sàn bê tông cốt 0,000 m (tại tầng 01) để làm cơ sở chuyển tọa độ từ sàn cốt 0,000 m lên các tầng thi công ở trên, số điểm khống chế trên mặt sàn cốt 0,000 m tối thiểu là 3 điểm, tọa độ các điểm khống chế này phải được xác định đảm bảo độ chính xác theo yêu cầu đề ra.
Bước 2: Dùng máy chiếu đứng chuyển tọa độ các điểm gốc lên các sàn tầng thi công ở trên: Khi dùng máy chiếu đứng để chuyển tọa độ tâm mốc theo đường thẳng đứng từ mặt bằng gốc lên các sàn tầng thi công ở bên trên thì trên hướng thẳng đứng đã được chọn trước cần đặt các lỗ thông tầng kích thước 200 x 200 (mm) hoặc lỗ tròn đường kính 200 mm thẳng với các mốc trên mặt sàn cốt 0,000 m. Định tâm thiết bị chiếu đứng trên điểm gốc, cân bằng máy để đưa điểm ngắm về vị trí thẳng đứng. Trên mặt bằng cần chuyền tọa độ lên đặt vào đường thẳng đứng quang học (hoặc laze) một tấm lưới chiếu (tấm paletka). Tấm lưới này thường được làm bằng mi ca trong suốt trên đó có kẻ một mạng lưới ô vuông. Dựa theo lưới ô vuông này xác định được vị trí chính xác của đường thẳng đứng được chiếu lên. Để kiểm tra và nâng cao độ chính xác, việc đọc số trên lưới ô vuông được tiến hành ở 4 vị trí bàn độ của máy (0° - 180°, 90° - 270°) và đánh dấu được vị trí điểm trung bình.
Bước 3: Từ các điểm khống chế tọa độ đã được chiếu lên, tiến hành dựng các đường thẳng song song với các trục chính của tòa nhà.
Bước 4: Từ các đường thẳng song song với các trục chính của tòa nhà, sử dụng máy kinh vĩ (hoặc máy toàn đạc điện tử) kết hợp với thước nivo để kiểm tra khoảng cách từ đường thẳng này đến các điểm cần kiểm tra độ nghiêng. Trên cơ sở so sánh kết quả đo ở tầng hiện tại với các tầng phía dưới để đánh giá độ nghiêng của các cột, các bức tường và các chi tiết khác cần quan tâm.
CHÚ THÍCH: Phương pháp chiếu đứng cũng được sử dụng để đo kiểm tra đánh giá độ lệch tọa độ các điểm không chế do nhà thầu thi công xây dựng tòa nhà chuyển lên các sàn tầng thi công. Tùy thuộc vào chiều cao của tòa nhà và máy chiếu đứng sử dụng mà có thể phải áp dụng phương pháp chiếu phân đoạn để chuyển tọa độ lên các tầng ở trên.
A.9.3 Độ chính xác
Phương pháp chiếu điểm lên trên bằng máy chiếu đứng có độ chính xác cao, sai số nằm trong khoảng vài milimét. Đo đạc độ nghiêng từ các đường thẳng song song với các trục chính đến các điểm cần kiểm tra độ nghiêng bằng máy kinh vĩ (hoặc máy toàn đạc điện tử) cũng có sai số khoảng vài milimét. Tổng hợp các nguồn sai số thì phương pháp này đạt độ chính xác khoảng 1 cm.
A.10 Phương pháp sử dụng công nghệ GNSS
A.10.1 Phạm vi áp dụng
Phương pháp này áp dụng để xác định độ nghiêng của nhà cao tầng trong giai đoạn thi công xây dựng.
A.10.2 Nội dung
Phương pháp này gồm các bước thực hiện như sau:
Bước 1: Xây dựng các điểm khống chế trên mặt đất, các mốc khống chế trên mặt đất phải có kết cấu vững chắc và được đặt tại các vị trí ổn định, đảm bảo thu được tín hiệu vệ tinh, số lượng mốc khống chế trên mặt đất tối thiểu là 03 mốc.
Bước 2: Thiết lập các điểm khống chế trên các sàn tầng thi công để tiến hành thu tín hiệu vệ tinh, số điểm khống chế trên sàn tầng thi công tối thiểu là 03 điểm. Tiến hành đo đạc mạng lưới GNSS gồm các điểm khống chế trên mặt đất và các điểm khống chế trên sàn tầng thi công. Bình sai mạng lưới GNSS xác định tọa độ điểm khống chế trên sàn thi công theo TCVN 9401:2024.
Bước 3: Tính chuyển tọa độ các điểm đo GNSS trên sàn thi công về hệ tọa độ thi công công trình.
Bước 4: Từ các điểm khống chế tọa độ trên sàn thi công tiến hành dựng các đường thẳng song song với các trục chính của tòa nhà.
Bước 4: Từ các đường thẳng song song với các trục chính của tòa nhà, sử dụng máy kinh vĩ (hoặc máy toàn đạc điện tử) kết hợp với thước nivo để kiểm tra khoảng cách từ đường thẳng này đến các điểm cần kiểm tra độ nghiêng. Trên cơ sở so sánh kết quả đo ở tầng hiện tại với các tầng phía dưới để đánh giá độ nghiêng của các cột, các bức tường và các chi tiết khác cần quan tâm.
CHÚ THÍCH: Phương pháp này cũng có thể được sử dụng để đo kiểm tra đánh giá độ lệch tọa độ các điểm khống chế do nhà thầu thi công xây dựng tòa nhà chuyển lên các sàn tầng thi công hoặc dùng để quan trắc độ nghiêng theo thời gian của tòa nhà cao tầng trong giai đoạn khai thác sử dụng.
A.10.3 Độ chính xác
Phương pháp chuyển điểm từ mặt đất lên sàn thi công ở trên cao có sai số nằm trong khoảng vài milimét. Đo đạc độ nghiêng từ các đường thẳng song song với các trục chính đến các điểm cần kiểm tra độ nghiêng bằng máy kinh vĩ (hoặc máy toàn đạc điện tử) cũng có sai số khoảng vài milimét. Tổng hợp các nguồn sai số thì phương pháp này đạt độ chính xác khoảng 1 cm.
A.11 Phương pháp đo hướng xác định độ nghiêng các silô bằng kim loại có trụ thép rải đều xung quanh
A.11.1 Nội dung
Các silô vỏ kim loại (tôn mạ kẽm hoặc thép mạ kẽm) có trụ thép rải đều xung quanh thường được sử dụng để chứa nguyên liệu sản xuất các thực phẩm dinh dưỡng hoặc thức ăn gia súc. Đối với các silô bằng bê tông cốt thép thì toàn bộ thành bê tông của silô chịu lực còn đối với các silô loại này thì vai trò chịu lực chính lả các trụ thép rải đều xung quanh, vì vậy đo đạc xác định độ nghiêng đối với các silô loại này cần phải thực hiện đối với các trụ chịu lực.
Đối với các silô kim loại véc tơ tổng hợp độ nghiêng e của một điểm quan trắc trên trụ silô có thể phân tích thành 2 thành phần:
eR là thành phần theo hướng bán kính;
eT là thành phần theo hướng tiếp tuyến.
Thành phần eR được xác định bằng chương trình đo khoảng cách ngang của máy toàn đạc điện tử nêu tại A.3, Phụ lục A.
Thành phần eT xác định bằng phương pháp đo góc theo trình tự như sau (Hình H.1):

Hình A.9 - Quan trắc độ nghiêng trụ đỡ silô theo hướng
- Đặt máy tại một điểm cố định (A) và ngắm chuẩn tới một điểm B.
- Lần lượt đo các góc ngang α1,…. αn tới các điểm quan trắc: 1, 2,..., n.
- Thành phần độ lệch theo hướng tiếp tuyến (đơn vị góc) chính là sai lệch của các giá trị αi so với α1
| dαi = αi – α1 | (H.1) |
- Thành phần độ lệch theo hướng tiếp tuyến eτ:
|
| (H.2) |
A.11.2 Độ chính xác
Với khoảng cách từ máy tới điểm đo nhỏ hơn hoặc bằng 100 m, máy toàn đạc sử dụng để quan trắc có độ chính xác đo góc mβ = 5” và sai số đo cạnh ms = ±(2 mm + 2x10-6xD) mm thì:
- Độ chính xác xác định độ nghiêng theo hướng bán kính là 3 mm.
- Độ chính xác xác định độ nghiêng theo hướng tiếp tuyến tính theo công thức (A.3) là 2,5 mm.
Sai số xác định véc tơ tổng hợp độ nghiêng là:
![]()
A.11.3 Ví dụ
Kết quả quan trắc độ nghiêng của một trụ silô kim loại đường kính 14,5 m gồm 11 vòng đo với tổng chiều cao là 20 m được ghi trong bảng A.1.
Bảng A.1 - Kết quả quan trắc độ nghiêng
| Điểm quan trắc | Độ cao | Khoảng cách ngang Di | eR (m) | Góc đo | Chênh lệch góc đo | eτ (m) | e (m) |
| (1) | (2) | (3) | (4) | (5) | (6) | (7) | (8) |
| 1 | 0,0 | 20,136 | 0,000 | 10°16’02” | 0°00’00” | 0,000 | 0,000 |
| 2 | 2,0 | 20,129 | -0,007 | 10°16’08” | 0°00’06” | +0,001 | 0,007 |
| 3 | 4,0 | 20,137 | +0,001 | 10°16’27” | 0°00’25” | +0,002 | 0,002 |
| 4 | 6,0 | 20,135 | -0,001 | 10°16’39” | 0°00’37” | +0,004 | 0,004 |
| 5 | 8,0 | 20,129 | -0,007 | 10°16’47" | 0°00'45” | +0,004 | 0,008 |
| 6 | 10,0 | 20,118 | -0,018 | 10°16’58” | 0°00’56” | +0,005 | 0,019 |
| 7 | 12,0 | 20,113 | -0,023 | 10°17’21” | 0°01'19” | +0,008 | 0,024 |
| 8 | 14,0 | 20,107 | -0,029 | 10°17’36” | 0°01’34” | +0,009 | 0,030 |
| 9 | 16,0 | 20,106 | -0,030 | 10°17’48” | 0°01’46” | +0,010 | 0,032 |
| 10 | 18,0 | 20,102 | -0,034 | 10°18’32" | 0°02’30” | +0,015 | 0,037 |
| 11 | 20,0 | 20,101 | -0,035 | 10°18’50” | 0°02’48” | +0,016 | 0,038 |
| CHÚ THÍCH: Cột (1): Điểm quan trắc; Cột (2): Độ cao tại điểm quan trắc; Cột (3): Số liệu đo hiện trường về khoảng cách ngang (Di - hình chiếu ngang của đoạn thẳng nối điểm đặt máy tới điểm quan trắc); Cột (4): Giá trị eRi là thành phần nghiêng theo hướng bán kính; Cột (5): Số liệu quan trắc hiện trường về góc; Cột (6): Giá trị độ lệch góc; Cột (7); Giá tri eτi là thành phần nghiêng theo hướng tiếp tuyến; Cột (8): Giá trị độ lệch tổng hợp tính theo công thức:
Đối với các silô loại này đô nghiêng riêng rẽ của từng trụ là rất quan trọng phục vụ cho việc lên phương án sửa chữa. Độ nghiêng tổng hợp của silô chỉ là số liệu tham khảo. Khi cần thiết có thể tính độ nghiêng tổng hợp theo công thức:
Cũng giống như các silô bằng bê tông cốt thép và các công trình có chiều cao lớn khác, thiết bị tiện lợi nhất trong trường hợp này là máy toàn đạc điện tử có chế độ đo trực tiếp không cần gương. | |||||||
A.12 Phương pháp xác định độ nghiêng cột điện cao thế đường dây trên không bằng phương pháp đo tọa độ
A.12.1 Nội dung
Phương pháp xác định độ nghiêng cột điện cao thế đường dây trên không bằng phương pháp đo tọa độ được thực hiện như sau:
- Tại mỗi cột điện cần đo độ nghiêng, thiết lập các điểm khống chế có tọa độ và độ cao trong hệ tọa độ giả định;
- Từ các điểm khống chế dùng máy toàn đạc điện tử có chế đô đo lazer không cần dùng gương phản xạ để đo tọa độ tới các điểm đặc trưng ở bốn góc trên thân cột ở các vị trí độ cao khác nhau (ở mỗi vị trí độ cao trên thân cột đo 04 điểm ở bốn góc);
- Tiến hành đưa tọa độ các điểm đo ở các vị trí độ cao khác nhau lên phần mềm Autocad để xác định tọa độ tâm cột ở các vị trí độ cao đo nghiêng (tâm cột được xác định như hình I.1);
- Sau khi xác định được tọa độ tâm cột ở các vị trí độ cao khác nhau, tiến hành so sánh tọa độ tâm cột ở các vị trí trên cao so với tọa độ tâm ở chân cột, chênh lệch tọa độ thu được chính là độ nghiêng của tâm cột ở trên so với tâm cột ở chân cột.
I.2 Độ chính xác
Độ chính xác xác định độ nghiêng cột điện cao thế đường dây trên không bằng phương pháp này phụ thuộc vào độ chính xác xác định tọa độ tâm cột trên các độ cao khác nhau. Độ chính xác phương pháp này tương đương với độ chính xác xác định tọa độ của các điểm bằng máy toàn đạc điện tử.
I.3 Ví dụ
Quá trình đo độ nghiêng đối với một cột điện cao thế đường dây trên không có độ cao khoảng 94 m. Xác định độ nghiêng tại các độ cao 25,12 m; 53,47; 73,30 m và 93,15 m so với độ cao 0,0 m.
- Xác định hiện trạng móng:

Hình A.10 - Mặt bằng kích thước các trụ chân móng
Bảng A.2 - Bảng kích thước các cạnh của trụ chân móng
| Kích thước, m | |||||
| Cạnh 1-2 | Cạnh 2-3 | Cạnh 3-4 | Cạnh 4-1 | Cạnh 1-3 | Cạnh 2-4 |
| 15,054 | 15,080 | 15,074 | 15,083 | 21,335 | 21,297 |
- Kết quả đo nghiêng:
Bảng A.3 - Bảng tổng hợp số liệu kết quả đo nghiêng
| Vị trí đo | Độ nghiêng theo trục X | Độ nghiêng theo trục Y | Độ nghiêng tổng hợp | Hướng nghiêng |
| Cốt 00 | 00 | 00 |
|
|
| Cốt 25,12 m | +50 | +12 | 51 | |
| Cốt 00 | 00 | 00 |
|
|
| Cốt 53,47 m | +41 | +18 | 45 | |
| Cốt 00 | 00 | 00 |
|
|
| Cốt 73,30 m | +30 | +30 | 42 | |
| Cốt 00 | 00 | 00 |
|
|
| Cốt 93,15 m | +15 | +31 | 34 | |
| CHÚ DẪN: Cốt 00 m là cao độ mặt bản để dưới chân cột. | ||||
So sánh độ lệch tim cột ở các vị trí cao độ:
- Vị trí độ cao 25,120 m so với vị trí độ cao 0,000 m:

Hình A.11 - Độ lệch tim cột ở độ cao 25,120 m so với vị trí độ cao 0,000 m
- Vị trí độ cao 53,470 m so với vị trí độ cao 0,000 m:

Hình A.12 - Độ lệch tim cột ở độ cao 53,470 m so với vị trí độ cao 0,000 m
- Vị trí độ cao 73,300 m so với vị trí độ cao 0,000 m:

Hình A.13 - Độ lệch tim cột ở độ cao 73,300 m so với vị trí độ cao 0,000 m
- Vị trí độ cao 93,150 m so với vị trí độ cao 0,000 m:

Hình A.14 - Độ lệch tim cột ở độ cao 93,150 m so với vị trí độ cao 0,000 m
Phụ lục B
(tham khảo)
Xử lý số liệu đo đạc xác định độ nghiêng công trình có thiết diện hình tròn bằng phương pháp đo tọa độ bên ngoài
B.1 Quy trình xử lý số liệu
Quy trình xử lý số liệu đo đạc xác định độ nghiêng công trình có thiết diện hình tròn bằng phương pháp đo tọa độ bên ngoài đối với sơ đồ bố trí các điểm đo được thể hiện trên Hình A.6 gồm các bước sau:
Bước 1: Tính tọa độ gần đúng của tâm công trình ở vòng thứ i theo công thức:
|
| (B.1) |
trong đó:
(x°c)i, (y°c)i là tọa độ gần đúng của tâm công trình ở vòng thứ i;
xj(i), y j(i) là tọa độ của các điểm đo thực tế trên công trình ở vòng thứ i;
j = 1, 2,..., n là số điểm đo trên vòng thứ i.
Bước 2: Lập hệ phương trình số hiệu chỉnh theo công thức:
| V = AX+ L | (B.2) |
trong đó:
V là véc tơ số hiệu chỉnh;
A là ma trận hệ số phương trình số hiệu chỉnh;
X là véc tơ ẩn số;
L là véc tơ số hạng tự do.
|
| (B.3) |
|
| (B.4) |
|
| (B.5) |
|
| (B.6) |
Bước 3: Lập hệ phương trình chuẩn theo nguyên lý số bình phương nhỏ nhất [vv] = min:
|
| (B.7) |
Bước 4: Giải hệ phương trình tuyến tính (B.7) sẽ nhận được 3 ẩn số dx, dy và R.
Bước 5: Tính tọa độ tâm:
| xc = x0c +dx | (B.8) |
| yc = y0c +dy | (B.9) |
Lặp lại các bước từ (2) đến (5) cho đến khi sai lệch xc, yc và R sau hai lần lặp liên tiếp không sai lệch quá 1 mm thì dừng lại sẽ được tọa độ xc, yc chính xác cho vòng đang xét.
Quy trình trên đây được thực hiện cho từng vòng của công trình. Có tọa độ tâm của các vòng có thể dễ dàng xác định được độ nghiêng theo các công thức (1) và (2).
B.2 Ví dụ
Quá trình xử lý số liệu đối với một silô bột liệu của nhà máy xi măng X được thực hiện quan trắc độ nghiêng bằng phương pháp đo tọa độ từ bên ngoài như sau:
Bảng B.1 - Tọa độ các điểm trên vòng 1, H = 0,5 m
| Điểm đo | Tọa độ của các điểm đo trực tiếp | |
| x (m) | y (m) | |
| 1 | 921,244 | 591,497 |
| 2 | 925,610 | 603,854 |
| 3 | 934,889 | 604,594 |
| 4 | 940,699 | 598,590 |
| 5 | 939,403 | 588,931 |
| 6 | 925,951 | 585,947 |
Từ tọa độ ở Bảng B.1, tính tọa độ gần đúng tâm của vòng 1 theo công thức (B.1). Kết quả thu được là:
(x°c)1 = 931,299 m
(y°c)1 = 595,569 m
Với các giá trị (x°c)1, (y°c)1 lập được ma trận hệ số phương trình số hiệu chỉnh theo công thức (B.4) và véc tơ số hạng tự do như sau:

Hệ phương trình chuẩn theo công thức (B.7) có dạng:
6,000 00R + 0,116 41dx + 0,176 49dy + 61,968 68 = 0,000
0,116 41R + 3,057 02dx + 0,450 42dy + 0,000 00 = 0,000
0,176 49R + 0,450 42dx +2,942 98dy + 0,000 00 = 0,000
Giải hệ phương trình trên thu được:
R = 10,351 m
dx = -0,310 m
dy = -0,573 m
Như vậy, các ẩn số cần xác định của vòng 1 sau lần lặp thứ nhất là:
R = 10,351 m
(xc1)1 = 930,990 m
(yc1)1 = 594,995 m
Sử dụng (xc1)1 và (yc1)1 để tính lặp cho lần thứ hai thì ma trận hệ số phương trình số hiệu chỉnh như sau:

Hệ phương trình chuẩn của lần lặp thứ hai có dạng:
6,000 00R + 0,178 62dx + 0,332 10dy + 62,160 35 = 0,000
0,178 62R + 3,07116dx + 0,499 32dy + 1,858 10 = 0,000
0,332 10R + 0,499 32dx + 2 928 84dy + 3,440 21 = 0,000
Giải hệ phương trình trên thu được:
R = 10,360 m
dx = 0,003 m
dy = -0,001 m
Các tham số cần xác định của vòng 1 sau lần lặp thứ hai là:
R = 10,360 m
(xc1)2 = 930,993 m
(yc1)2 = 594,994 m
Sử dụng (xc1)2 và (yc1)2 để tính lặp cho lần thứ ba thì ma trận hệ số phương trình số hiệu chỉnh như sau:

Hệ phương trình chuẩn của lần lặp thứ 3 là:
6,000 00R + 0,177 60dx + 0,332 70dy + 62,160 24 = 0,000
0 177 60R + 3,071 32dx + 0,499 13dy + 1,838 00 = 0,000
0,332 70R + 0,499 13dx + 2,928 68dy + 3,449 00 = 0,000
Giải hệ phương trình này được:
R = 10,360 m
dx = 0,001 m
dy = 0,001 m
Các tham số cầ nxác định của vòng tròn sau lần lặp thứ ba là:
R(1) = 10,360 m
(xc1)3 = 930,992 m
(yc1)3 = 594,995 m
Sau lần lặp thứ ba các ẩn số không thay đổi so với lần lắp thứ 2 quá 1 mm vì vậy quá trình lặp sẽ dừng lại và các tham số sau lần lặp thứ ba sẽ được láy chính thức của vòng 1.
Đối với các vòng tiếp theo cũng làm tương tự nên trong các bảng dưới đây chỉ thống kê các số liệu đo và kết quả cuối cùng.
Bảng B.2 - Tọa độ các điểm đo trên vòng thứ 2, H = 10,5 m
| Điểm đo | x (m) | y (m) |
| 1 | 921,233 | 591,506 |
| 2 | 925,621 | 603,869 |
| 3 | 934,880 | 604,587 |
| 4 | 940,705 | 598,582 |
| 5 | 939,417 | 588,951 |
| 6 | 925,959 | 585,963 |
Các tham số của vòng thứ 2 là:
R(2) = 10,358 m
xc(2) = 930,991 m
yc(2) = 594,999 m
Bảng B.3 Tọa độ các điểm đo trên vòng thứ 3, H = 15,5 m
| Điểm đo | x (m) | y (m) |
| 1 | 921,222 | 591,519 |
| 2 | 925,637 | 603,846 |
| 3 | 934,855 | 604,587 |
| 4 | 940,716 | 598,589 |
| 5 | 939,432 | 588,971 |
| 6 | 925,948 | 585,975 |
Các tham số của vòng thứ 3 là:
R(3) = 10,354 m
xc(3) = 930,999 m
yc(3) = 594,989 m
Bảng B.4 - Tọa độ các điểm đo trên vòng thứ 4, H = 20,5 m
| Điểm đo | x (m) | y (m) |
| 1 | 921,234 | 591,487 |
| 2 | 925,626 | 603,844 |
| 3 | 934,867 | 604,594 |
| 4 | 940,701 | 598,581 |
| 5 | 939,422 | 588,966 |
| 6 | 925,956 | 585,956 |
Các tham số của vòng thứ 4 là:
R(4) = 10,355 m
xc(4) = 930,991 m
yc(4) = 594,991 m
Bảng B.5 - Tọa độ các điểm đo trên vòng thứ 5, H = 25,5 m
| Điểm đo | x (m) | y (m) |
| 1 | 921,263 | 591,488 |
| 2 | 925,645 | 603,863 |
| 3 | 934,880 | 604,588 |
| 4 | 940,676 | 598,582 |
| 5 | 939,417 | 588,956 |
| 6 | 925,959 | 585,955 |
Các tham số của vòng thứ 5 là:
R(5)= 10,348 m
xc(5) = 930,992 m
yc(5)= 594,993 m
Bảng B.6 - Tọa độ các điểm đo trên vòng thứ 6, H = 30,5 m
| Điểm đo | x (m) | y (m) |
| 1 | 921,239 | 591,491 |
| 2 | 925,618 | 603,866 |
| 3 | 934,876 | 604,581 |
| 4 | 940,688 | 598,576 |
| 5 | 939,417 | 588,945 |
| 6 | 925,942 | 585,956 |
Các tham số của vòng thứ 6 là:
R(6)= 10,357 m
xc(6) = 930,985 m
yc(6)= 594,991 m
Bảng B.7 - Tọa độ các điểm đo trên vòng thứ 7, H = 35,5 m
| Điểm đo | x (m) | y (m) |
| 1 | 921,255 | 591,469 |
| 2 | 925,606 | 603,859 |
| 3 | 934,892 | 604,590 |
| 4 | 940,683 | 598,585 |
| 5 | 939,417 | 588,937 |
| 6 | 925,956 | 585,955 |
Các tham số của vòng thứ 7 là:
R(7) = 10,357 m
xc(7) = 930,985 m
yc(7)= 594,991 m
Bảng B.8 - Tọa độ các điểm đo trên vòng thứ 8, H = 40,5 m
| Điểm đo | x (m) | y (m) |
| 1 | 921,255 | 591,483 |
| 2 | 925,623 | 603,867 |
| 3 | 934,877 | 604,588 |
| 4 | 940,681 | 598,576 |
| 5 | 939,426 | 588,952 |
| 6 | 925,942 | 585,946 |
Các tham số của vòng thứ 8 là:
R(8)= 10,357 m
xc(8) = 930,987 m
yc(8) = 594,988 m
Bảng B.9 - Tọa độ các điểm đo trên vòng thứ 9, H = 45,5 m
| Điểm đo | x (m) | y (m) |
| 1 | 921,233 | 591,512 |
| 2 | 925,632 | 603,850 |
| 3 | 934,878 | 604,587 |
| 4 | 940,682 | 598,580 |
| 5 | 939,427 | 588,955 |
| 6 | 925,963 | 585,936 |
Các tham số của vòng thứ 9 là:
R(9)= 10,356 m
xc(9) = 930,989 m
yc(9)= 594,983 m
Bảng B.10 - Tọa độ các điểm đo trên vòng thứ 10, H = 50,5 m
| Điểm đo | x (m) | y (m) |
| 1 | 921,256 | 591,487 |
| 2 | 925,622 | 603,866 |
| 3 | 934,899 | 604,596 |
| 4 | 940,676 | 598,589 |
| 5 | 939,432 | 588,955 |
| 6 | 925,943 | 585,946 |
Các tham số của vòng thứ 10 là:
R(10) = 10,359 m
xc(10) = 930,990 m
yc(10)= 594,993 m
Bảng B.11 - Tọa độ các điểm đo trên vòng thứ 11, H = 60,5 m
| Điểm đo | x (m) | y (m) |
| 1 | 921,250 | 591,510 |
| 2 | 925,591 | 603,842 |
| 3 | 934,896 | 604,588 |
| 4 | 940,678 | 598,588 |
| 5 | 939,421 | 588,943 |
| 6 | 925,956 | 585,935 |
Các tham số của vòng thứ 11 là:
R(11) = 10,357 m
xc(11) = 930,991 m
yc(11) = 594,989 m
Bảng B.12 - Tọa độ các điểm đo trên vòng thứ 12, H = 72,5 m
| Điểm đo | x (m) | y (m) |
| 1 | 921,240 | 591,490 |
| 2 | 925,622 | 603,856 |
| 3 | 934,868 | 604,578 |
| 4 | 940,682 | 598,585 |
| 5 | 939,421 | 588,966 |
| 6 | 925,960 | 585,936 |
Các tham số của vòng thử 12 là:
R(12) = 10,354 m
xc(12) = 930,982 m
yc(12)= 594,986 m
Bảng B.13 - Bảng tính độ nghiêng và hướng nghiêng của silô
| Thứ tự | Độ cao so với Chân silô (m) | Tọa độ tâm silô | Độ nghiêng | Góc nghiêng | Hướng nghiêng | |||
| x (m) | y (m) | Theo trục x (m) | Theo trục y (m) | Độ nghiêng tổng hợp (m) (e/h) | ||||
| 1 | 0,00 | 930,992 | 594,995 | 0,000 | 0,000 | 0,000 | 00o00'00” | 0°00'00” |
| 2 | 10,0 | 930,991 | 594,999 | -0,002 | 0,004 | 0,005(1/215 0) | 00o01’43” | 116°33’54” |
| 3 | 15,0 | 930,999 | 594,989 | 0,007 | -0,006 | 0,009 (1/171 0) | 00°02’04” | 319°23’55” |
| 4 | 20,0 | 930,991 | 594,991 | -0,001 | -0,004 | 0,005 (1/442 0) | 00°00’14" | 255°57’50” |
| 5 | 25,0 | 930,992 | 594,993 | 0,000 | -0,002 | 0,002 (1/142 90) | 00-00’16” | 270°00’00” |
| 6 | 30,0 | 930,985 | 594,991 | -0,008 | -0,004 | 0,009 (1/349 0) | 00°01’02” | 206°33’54” |
| 7 | 35,0 | 930,989 | 594,996 | -0,003 | 0,001 | 0,003 (1/118 80) | 00°00’18” | 161°33’54” |
| 8 | 40,0 | 930,987 | 594,989 | -0,005 | -0,005 | 0,007 (1/543 0) | oo-oo^e" | 225°00’00" |
| 9 | 45,0 | 930,989 | 594,983 | -0,003 | -0,012 | 0,012(1/368 0) | 00°0Ơ55” | 228°30’00” |
| 10 | 50,0 | 930,990 | 594,993 | -0,002 | -0,002 | 0,003 (1/186 70) | 00°00’12 | 255°57’50" |
| 11 | 60,0 | 930,991 | 594,989 | -0,002 | -0,006 | 0,006(1/102 10) | 00°00'21 | 251 °33'54" |
| 12 | 72,0 | 930,982 | 594,986 | -0,010 | -0,009 | 0,014 (1/531 0) | 00°00’40 | 221°59’14” |

Hình B.1 - Đồ thị thể hiện độ nghiêng của silô theo trục tọa độ
Phụ lục C
(tham khảo)
Xử lý số liệu đo đạc xác định độ nghiêng bằng phương pháp đo hướng
C.1 Quy trình xử lý số liệu
Quy trình xử lý số liệu đo đạc xác định độ nghiêng bằng phương pháp đo hướng đối với sơ đồ bố trí các điểm đo được thể hiện trên Hình A.5 gồm các bước sau:
Bước 1: Tính giá trị của hướng đi từ điểm A và điểm B qua tâm của công trình theo các công thức:
|
| (C.1) |
|
| (C.2) |
Trong các công thức (C.1) và (C.2):
(αi)c là giá trị của hướng đi từ điểm A qua tâm công trình tại vòng đo thứ i;
αiT, αiP là giá trị đo của hướng đi từ điểm A tới mép trái và mép phải của công trình tại vòng đo thứ i;
(βi)c là giá trị của hướng đi từ điểm B qua tâm công trình tại vòng đo thứ i;
βiT, βiP là giá trị đo của hướng đi từ điểm B tới mép trái và mép phải của công trình tại vòng đo thứ i.
Bước 2: Tính độ lệch hướng của các vòng đo so với vòng đo ở chân công trình theo các công thức:
|
| (C.3) |
|
| (C.4) |
Trong các công thức (C.3) và (C.4):
dαi là độ lệch hướng theo hướng trục X;
dβi là độ lệch hướng theo hướng trục Y;
(α1)c là giá trị của hướng đi từ điểm A qua tâm công trình tại vòng đo 1;
(β1)c là giá trị của hướng đi từ điểm B qua tâm công trình tại vòng đo 1.
Bước 3: Tính toán độ nghiêng theo hướng trục X và trục Y theo các công thức:
|
| (C.5) |
|
| (C.6) |
Trong các công thức (C.5) và (C.6):
ex, ex là độ nghiêng theo hướng trục X và trục Y;
DA, DB là khoảng cách từ điểm A và điểm B tới công trình.
C.2 Ví dụ
Quá trình xử lý số liệu đo đạc xác định độ nghiêng của một công trình hình trụ cao 60 m bằng phương pháp đo hướng được ghi trong các Bảng C.1 và Bảng C.2:
Bảng C.1 - Số liệu do tại điểm A, D = 62,791 m
| Điểm ngắm | Độ cao (m) | Giá trị hướng | Giá trị của hướng đi từ điểm A qua tâm (αi)c | Độ lệch hướng | Độ nghiêng theo hướng trục X | |
| Mép trái (αiT) | Mép phải (αiP) | |||||
| (1) | (2) | (3) | (4) | (5) | (6) | (7) |
| 1 | 0,0 | 0°00'00” | 12°37'56" | 6°18'58” | 0°00'00” | 0,000 |
| 2 | 15,0 | 0°00'10” | 12°38'08” | 6°19'09” | +0°00'11” | +0,003 |
| 3 | 30,0 | 0°00'26” | 12°38'28” | 6°19'27” | +0°00'29” | +0,009 |
| 4 | 45,0 | 0°01'12” | 12°38'56” | 6°20'04” | +0°01'06” | +0,020 |
| 5 | 60,0 | 0°03'02” | 12°41'16” | 6°22'09” | +0°03'11” | +0,058 |
Bảng C.2 - số liệu đo tại điểm B, D = 66,269 m
| Điểm ngắm | Độ cao (m) | Giá trị hướng | Giá trị của hướng đi từ điểm A qua tâm (αi)c | Độ lệch hướng | Độ nghiêng theo hướng trục X | |
| Mép trái (βiT) | Mép phải (βiP) | |||||
| (1) | (2) | (3) | (4) | (5) | (6) | (7) |
| 1 | 0,0 | 0°00'00” | 11°58'25” | 5°59'10” | 0o00'00” | 0,000 |
| 2 | 15,0 | 359°59'50” | 11°58'05” | 5°58'58” | -0o00'12” | -0,004 |
| 3 | 30,0 | 0°00'10” | 11°58'36” | 5°59'23” | +0°00'13” | +0,004 |
| 4 | 45,0 | 0°00'56” | 11°59'30” | 6°00'13” | +0°01'03” | +0,020 |
| 5 | 60,0 | 0°01'11” | 11°59'50” | 6°00'30” | +0°01'20” | +0,026 |
Phụ lục D
(tham khảo)
Xử lý số liệu đo đạc xác định độ nghiêng bằng phương pháp giao hội
D.1 Quy trình xử lý số liệu
Quy trình xử lý số liệu đo đạc xác định độ nghiêng bằng phương pháp giao hội đối với sơ đồ bố trí các điểm đo được thể hiện trên Hình A.4 gồm các bước sau:
Bước 1: Tính sai số 2C của máy kinh vĩ (máy toàn đạc điện tử) theo công thức:
| 2C = CL+ 180 - CR | (D.1) |
trong đó:
CL là số đọc bàn độ trái;
CR là số đọc bàn độ phải.
Biển động sai số 2C trong một vòng đo không được vượt quá 12".
Bước 2: Tính trị số hướng trung bình theo công thức:
| Atb = CL-C = CR-180 + C | (D.2) |
Bước 3: Trị số hướng trung bình quy 0 được tính theo công thức:
|
| (D.3) |
trong đó:
là trị số hướng trung bình quy 0;
i = 0,1, 2 là số lượng hướng đo trên một trạm máy.
Bước 4: Trị số hướng tới tâm công trình được tính theo công thức:
|
| (D.4) |
trong đó:
Ac là trị số hướng tới tâm công trình;
là trị số hướng quy 0 tới mép trái của công trình;
là trị số hướng quy 0 tới mép phải của công trình;
i là số lượng vòng đo góc trên một trạm máy.
Bước 5: Góc mở tại điểm đặt máy được tính theo công thức:
| α = AB - AC | (D.5) |
| β = BC - BA | (D.6) |
Trong các công thức (D.5) và (D.6):
α là góc mở tại điểm đặt máy A;
β là góc mở tại điểm đặt máy A;
AB là trị số hướng quy 0 hướng ngắm từ điểm A tới điểm B;
BA là trị số hướng quy 0 hướng ngắm từ điểm B tới điểm A;
Ac, Bc là trị số hướng tới tâm công trình được xác định từ trạm máy A và trạm máy B.
Bước 6: Tính tọa độ tâm công trình (điểm giao hội) theo các công thức (20) và (21).
Bước 7: Tính các thành phần độ lệch theo các trục X và Y theo các công thức (22) và (23).
Bước 8: Tính góc nghiêng và hướng nghiêng theo công thức (1) và (2).
D.2 Ví dụ
Số liệu quan trắc độ nghiêng của một công trình bằng phương pháp giao hội với sơ đồ đo từ hai điểm A và B được trình bày trên Hình A.4. Các số liệu đo thực địa của vòng đầu tiên (chân công trình) được ghi trong các Bảng D.1 và Bảng D.2
Bảng D.1 - Số liệu đo trên trạm máy A
| Vòng đo | Điểm ngắm | CL | CR | 2C | Hướng trung bình | Trị hướng quy 0 | Trị hướng tới tâm | Góc α |
| (1) | (2) | (3) | (4) | (5) | (6) | (7) | (8) | (9) |
| 1 | LA | 0°00’00” | 188°00'06” | -6” | 0°00'03” | 0°00'00” |
|
|
|
| RA | 33°13'01” | 213°13'05” | -4” | 33°13'03” | 33°13'00" | 16°36'30” | 59°02'10” |
|
| B | 75°38'41” | 255°38'45” | -4” | 75°38'43” | 75°38'40” |
|
|
| 2 | LA | 60°00'00” | 240°00'08” | -8" | 60°00'04” | 0°00'00” |
|
|
|
| RA | 93°13'04” | 273°13'10” | -6” | 93°13'07” | 33°13'03” | 16°36'32” | 59°02'07” |
|
| B | 135°38'38” | 315°38'48" | -10” | 135°38'43” | 75°38'39” |
|
|
| 3 | LA | 120°00'00” | 200°00'10" | -10” | 120°00'05” | 0°00'00” |
|
|
|
| RA | 153°13'12” | 333°13'16” | -4” | 153°13'14” | 33°13'09" | 16°36'34” | 59°02'04” |
|
| B | 195°38'40” | 15°38'46” | -6” | 195°38'43” | 75°38'38" |
|
|
| CHÚ THÍCH: Cột (1) là số vòng đo góc; Cột (2) là điểm ngắm; Cột (3) là giá trị đo góc tại vị trí bàn độ trái của máy; Cột (4) là giá trị đo góc tại vị trí bàn độ phải của máy; Cột (5) là sai số 2C của máy, tính theo công thức (F.1); Cột (6) là trị số hướng trung bình, tính theo công thức (F.2); Cột (7) là trị số hướng quy 0, tính theo công thức (F.3); Cột (8) là trị số hướng tới tâm công trình, tính theo công thức (F.4); Cột (9) là góc mở tại điểm đặt máy, tính theo công thức (F.5) αtb = 59°02'07" | ||||||||
Bảng D.2 - số liệu đo trên trạm máy B
| Vòng đo | Điểm ngắm | CL | CR | 2C | Hướng trung bình | Trị hướng quy 0 | Trị hướng tới tâm | Góc α |
| 1 | A | 0°00'00” | 180°00'10” | -10” | 0°00'05” | 0°00'00” |
|
|
|
| LB | 32°12'05” | 212°12'13” | -8" | 32°12’09” | 32°12'04” | 16°06'02” | 56°18'38” |
|
| RB | 72°24'43” | 252°24'47” | -4” | 72°24’45" | 72°24'40” |
|
|
| 2 | A | 60°00'12” | 240°00'12” | -12” | 60°00'06” | 0°00'00” |
|
|
|
| LB | 92°12'07” | 272°12'17” | -10” | 92° 12'12” | 32°12'06” | 16°06'03” | 56°18'36” |
|
| RB | 132°24'45” | 312°24'45” | 00” | 132°24'45” | 72°24'39” |
|
|
| 3 | A | 120°00'00” | 300°00'06” | -06” | 120°00'03" | 0°00'00” |
|
|
|
| LB | 152°12'02” | 332°12'04” | -02" | 152°12'03" | 32°12'00" | 16°06'00" | 56°18'37" |
|
| RB | 192°24'40” | 12°24'40" | -00” | 192°24'40” | 72°24'37” |
|
|
| CHÚ THÍCH: Cột (1) là số vòng đo góc; Cột (2) là điểm ngắm; Cột (3) là giá trị đo góc tại vị trí bàn độ trái của máy; Cột (4) là giá trị đo góc tại vị trí bàn độ phải của máy; Cột (5) là sai số 2C của máy, tính theo công thức (D.1); Cột (6) là trị số hướng trung bình, tính theo công thức (D.2); Cột (7) là trị số hướng quy 0, tính theo công thức (D.3); Cột (8) là trị số hướng tới tâm công trình, tính theo công thức (D.4); Cột (9) là góc mở tại điểm đặt máy, tính theo công thức (D.5); βtb = 56°18'37” | ||||||||
Bảng D.3 - Tọa độ của các điểm cố định A và B
| Điểm | x (m) | y (m) |
| A | 970,000 | 982,000 |
| B | 970,000 | 1 020,000 |
Với các số liệu đo và tính trong Bảng D.1 và Bảng D.2, tọa độ tâm của công trình ở vòng 1 được tính theo các công thức (20) và (21), giá trị thu được là:
x1 = 1 000,000 m
y1 = 1 000,000 m
Đối với các vòng còn lại cũng được thực hiện tính theo trình tự các bước như đã trình bày ở trên. Sau khi tính được tọa độ tâm của các vòng, tính các thành phần độ lệch theo các trục X và Y theo các công thức (22) và (23), tính độ nghiêng tổng hợp theo công thức (5), tính góc nghiêng và hướng nghiêng theo công thức (1) và (2).
Phụ lục E
(tham khảo)
Xử lý số liệu đo đạc xác định độ nghiêng của công trình trong giai đoạn thi công xây dựng bằng phương pháp chiếu từ ngoài
E.1 Quy trình xử lý số liệu
Quy trình xử lý số liệu đo đạc quan trắc độ nghiêng của công trình trong giai đoạn thi công xây dựng bằng phương pháp chiếu từ ngoài đối với sơ đồ bố tri các điểm đo được thể hiện trên Hình A.8, Phụ lục A, gồm các bước sau:
Bước 1: Tính tọa độ thực tế của các điểm O1’, O2’, O3’, O4' theo công thức:
|
| (E.1) |
Bước 2: Tính hệ số A, B, C của phương trình đường thẳng A1x + B1y + C1 = 0 đi qua hai điểm O1 và O3 theo các công thức sau:
|
| (E.2) |
|
| (E.3) |
|
| (E.4) |
Bước 3: Tính hệ số A, B, C của phương trình đường thẳng A2x + B2y + C2 = 0 đi qua hai điểm O2 và O4 theo các công thức sau:
|
| (E.5) |
|
| (E.6) |
|
| (E.7) |
Bước 4: Tính các định thức:
| D = (A1 x B2)-(A2 x B1) | (E.8) |
| Dx= (C1 x B2) - (C2 x B1) | (E.9) |
| Dy = (A1 x C2) - (A2 x C1) | (E.10) |
Bước 5: Tính tọa độ tâm thực tế của công trình tại vòng (chính là giao điểm của hai đường thẳng thứ i nối giữa O1 với O3 và nối giữa O2 với O4):
|
| (E.11) |
Bước 6: Tính độ lệch của tâm vòng thứ i theo hướng trục X và trục Y:
|
| (E.12) |
Bước 7: Tính véc tơ độ nghiêng tổng hợp theo công thức (5), tính góc nghiêng theo công thức (1) và hướng nghiêng theo công thức (2).
G.2 Ví dụ
Số liệu quan trắc độ nghiêng của một công trình trong giai đoạn thi công xây dựng bằng phương pháp chiếu từ ngoài đối với sơ đồ bố trí các điểm đo được thể hiện trên Hình A.8. Tọa độ các điểm cố định được thể hiện trong Bảng E.1, các số liệu đo thực địa của vòng đầu tiên được thể hiện trong Bảng E.2:
Bảng E.1 - Tọa độ của các điểm cố định
| Thứ tự | Tên điểm | Tọa độ | Ghi chú | |
| x (m) | y (m) | |||
| 1 | O1 | 1 000,000 | 988,800 | Điểm đo mép bên trái |
| 2 | O2 | 1 011,200 | 1 000,000 | Điểm đo mép bên trên |
| 3 | O3 | 1 000,000 | 1 011,200 | Điểm đo mép bên phải |
| 4 | O4 | 988,800 | 1 000,000 | Điểm đo mép bên dưới |
| 5 | O | 1 000,000 | 1 000,000 | Tâm công trình trên mặt đất |
Bảng E.2 - số liệu đo đạc và kết quả tính toán
| Thứ tự | Điểm đã đặt máy | Số đọc | Tọa độ | ||
| Δx (mm) | Δy (mm) | x’ (m) | y’ (m) | ||
| (1) | (2) | (3) | (4) | (5) | (6) |
| 1 | O1 | -123 | +166 | 999,877 | 988,966 |
| 2 | O2 | +82 | +140 | 1 011,282 | 1 000,140 |
| 3 | O3 | -84 | +95 | 999,916 | 1 011,295 |
| 4 | O4 | + 141 | +122 | 988,941 | 1 000,122 |
1. Tính tọa độ thực tế của các điểm O1’, O2’, O3', O4’ theo công thức (E.1), kết quả được thể hiện trong các cột (5) và (6) của Bảng E.2.
2. Tính các hệ số của phương trình đường thẳng nối 2 điểm O1 và O3 theo các công thức (E.2), (E.3) và (E.4), kết quả thu được:
A1 = -22,329; B1 = + 0,039; C1 = - 22 287,684
3. Tính các hệ số của phương trình đường thẳng nối 2 điểm O2 và O4 theo các công thức (E.5), (E.6) và (E.7), kết quả thu được:
A2 = + 0,018; B2 = -22,341; C2 = -22 325,925
4. Tính các đính thức theo các công thức (E.8), (E.9) và (E.10), kết quả thu được:
D = 498,851
Dx = 498 799,859
Dy = 498 916,758
5. Tính tọa độ tâm thực tế của công trình tại vòng thứ i (chính là giao điểm của hai đường thẳng nối giữa O1 với O3 và nối giữa O2 với O4):
(xc)i = 999,897 (m)
(yc)i = 1 000,132 (m)
6. Tính độ lệch của tâm vòng thứ i theo hướng trục X và trục Y:
ex = 999,897 - 1 000,000 = -0,103 (m)
ey =1 000,132 - 1 000,000 = -0,132 (m)
7. Tính véc tơ độ lệch tổng hợp của tâm vòng thứ i so với vòng thứ nhất (trên mặt đất) theo công thức (5):
![]()
8. Tính hướng nghiêng của tâm công trình tại vòng thứ i:
![]()
9. Tính góc nghiêng của công trình tại vòng thứ i, với hi = 56 m tính được:
![]()
Phụ lục F
(tham khảo)
Tính năng kỹ thuật của một số máy sử dụng để đo độ nghiêng công trình
Bảng F.1- Tính năng kỹ thuật của một số máy toàn đạc điện tử thông thường
| Loại máy | Độ chính xác đo | |
| Canh | Góc | |
| SET - 5E | ±(3mm +3 x 10-6D) | 5" |
| GTS-605 | ± (3 mm +3 x 10-6D) | 5" |
| TC-1100 | ± (2 mm +2 x 10-6D) | 3" |
| TC-1010 | ± (3 mm +2 x 10-6D) | 3" |
| SET- 3B | ± (3 mm +3 x 10-6D) | 3" |
| SET -3010 | ± (2 mm +2 x 10-6D) | 3" |
| TCR- 303 | ± (2 mm +2 x 10-6D) | 3" |
| GTS-223 | ± (3 mm +3 x 10-6D) | 3" |
| DTM - 550 | ± (2 mm +2 x 10-6D) | 2" |
| SET - 2C | ± (3 mm +2 x 10-6D) | 2" |
| TRIMBLE 5602 DR300+ | ± (2 mm +2 x 10-6D) | 2" |
| DTM - 851 | ± (2 mm +2 x 10-6D) | 1" |
| NPL-820 | ±(3 mm +3 x 10-6D) | 1" |
| SET-1010 | ± (2 mm +2 x 10-6D) | 1" |
| TC-1800 | ± (2 mm +2 x 10-6D) | 1" |
| GTS-301 | ± (2 mm +2 x 10-6D) | 1" |
| DTS-701 | ± (2 mm+2 x 10-6D) | 1" |
| TCR 1201+ | ±(1 mm +1,5 x 10-6D) | 1" |
Bảng F.2 - Tính năng kỹ thuật của một số máy toàn đạc điện tử có chế độ đo không cần gương phản xạ
| Loại máy | Độ chính xác đo | |
| Cạnh - Có gương - Không gương | Góc | |
| TS06 Plus | ± (2 mm + 2 x 10-6D) ± (2mm + 2 x 10-6D) | 2,0” |
| TS02 Plus | ± (2 mm + 2 x 10-6D) ± (3mm + 2 x 10-6D) | 2,0” |
| TS12 | ± (1 mm + 1,5 x 10-6D) ± (2mm + 2 x 10-6D) | 1,0" |
| TS15 | ± (1 mm + 1,5 x 10-6D) ± (2mm + 2 x 10-6D) | 1,0" |
| S8 | ± (1 mm + 1 x 10-6D) ± (3mm + 2 x 10-6D) | 1,0" |
| MS1A | ± (1 mm + 1 x 10-6D) ± (3 mm + 1 x 10-6D) | 1,0" |
| MS05A | ± (0,8 mm + 1 x 10-6D) ± (1 mm + 1 x 10-6D) | 0,5" |
| TM30 | ± (0,6 mm + 1 x 10-6D) ± (2 mm + 2 x 10-6D) | 0,5" |
| TM50 | ± (0,6 mm + 1 x 10-6D) ± (2 mm + 2 x 10-6D) | 0,5" |
| TS30 | ± (0,6 mm + 1 x 10-6D) ± (2 mm + 2 x 10-6D) | 0,5" |
| TS50 | ± (0,6 mm + 1 x 10-6D) ± (2 mm + 2 x 10-6D) | 0,5" |
Bảng F.3 - Tính năng kỹ thuật của một số máy chiếu đứng
| STT | Loại máy | Độ chính xác |
| 1 | DZJ2 | 2,5 mm /100 m |
| 2 | PZL | 1 mm /100 m |
| 3 | JC100 | 1 mm /100 m |
| 4 | DZJ200 | 1 mm / 45 m |
| 5 | NZL | 0,5 mm /100 m |
Phụ lục G
(tham khảo)
Cấu tạo mốc cố định dọi tâm bắt buộc

Hình G.1 - Cấu tạo mốc cố định dọi tâm bắt buộc
Thư mục tài liệu tham khảo
[2] GB 50026-2007, Code for engineering surveying (tiêu chuẩn trắc địa công trình).
Mục lục
Lời nói đầu
1 Phạm vi áp dụng
2 Tài liệu viện dẫn
3 Thuật ngữ và định nghĩa
4 Ký hiệu
5 Quy định chung
6 Quan trắc độ nghiêng của nhà cao tầng
7 Quan trắc độ nghiêng của các công trình có dạng hình trụ tròn
8 Xác định độ nghiêng của các tháp truyền hình, tháp ăng ten vô tuyến viễn thông và cột điện cao thế đường dây trên không
9 Lập báo cáo kết quả đo đạc xác định độ nghiêng
Phụ lục A (tham khảo)
Các phương pháp xác định độ nghiêng
Phụ lục B (tham khảo) Xử lý số liệu đo đạc xác định độ nghiêng công trình có thiết diện hình tròn bằng phương pháp đo tọa độ bên ngoài
Phụ lục C (tham khảo)
Xử lý số liệu đo đạc xác định độ nghiêng bằng phương pháp đo hướng
Phụ lục D (tham khảo) Xử lý số liệu đo đạc xác định độ nghiêng bằng phương pháp giao hội
Phụ lục E (tham khảo)
Xử lý số liệu đo đạc xác định độ nghiêng của công trình trong giai đoạn thi công xây dựng bằng phương pháp chiếu từ ngoài
Phụ lục F (tham khảo)
Tính năng kỹ thuật của một số máy sử dụng để đo độ nghiêng công trình
Phụ lục G (tham khảo)
Cấu tạo mốc cố định dọi tâm bắt buộc
Thư mục tài liệu tham khảo
Bạn chưa Đăng nhập thành viên.
Đây là tiện ích dành cho tài khoản thành viên. Vui lòng Đăng nhập để xem chi tiết. Nếu chưa có tài khoản, vui lòng Đăng ký tại đây!







