- Tổng quan
- Nội dung
- Tiêu chuẩn liên quan
- Lược đồ
- Tải về
Tiêu chuẩn quốc gia TCVN 9401:2024 Kỹ thuật đo và xử lý số liệu GNSS trong trắc địa công trình
| Số hiệu: | TCVN 9401:2024 | Loại văn bản: | Tiêu chuẩn Việt Nam |
| Cơ quan ban hành: | Bộ Khoa học và Công nghệ | Lĩnh vực: | Xây dựng |
| Trích yếu: | Kỹ thuật đo và xử lý số liệu GNSS trong trắc địa công trình | ||
|
Ngày ban hành:
Ngày ban hành là ngày, tháng, năm văn bản được thông qua hoặc ký ban hành.
|
24/12/2024 |
Hiệu lực:
|
Đã biết
|
| Người ký: | Đang cập nhật |
Tình trạng hiệu lực:
Cho biết trạng thái hiệu lực của văn bản đang tra cứu: Chưa áp dụng, Còn hiệu lực, Hết hiệu lực, Hết hiệu lực 1 phần; Đã sửa đổi, Đính chính hay Không còn phù hợp,...
|
Đã biết
|
TÓM TẮT TIÊU CHUẨN VIỆT NAM TCVN 9401:2024
Nội dung tóm tắt đang được cập nhật, Quý khách vui lòng quay lại sau!
Tải tiêu chuẩn Việt Nam TCVN 9401:2024
TIÊU CHUẨN QUỐC GIA
TCVN 9401:2024
KỸ THUẬT ĐO VÀ XỬ LÝ SỐ LIỆU GNSS TRONG TRẮC ĐỊA CÔNG TRÌNH
Measuring and processing techniques for GNSS data in engineering survey
Lời nói đầu
TCVN 9401:2024 thay thế TCVN 9401:2012.
TCVN 9401:2024 do Viện Khoa học công nghệ xây dựng (Bộ Xây dựng) biên soạn, Bộ Xây dựng đề nghị, Tổng cục Tiêu chuẩn Đo lường Chất lượng thẩm định, Bộ Khoa học và Công nghệ công bố.
KỸ THUẬT ĐO VÀ XỬ LÝ SỐ LIỆU GNSS TRONG TRẮC ĐỊA CÔNG TRÌNH
Measuring and processing techniques for GNSS data in engineering survey
1 Phạm vi áp dụng
Tiêu chuẩn này quy định các yêu cầu kỹ thuật về việc đo và xử lý số liệu GNSS khi thành lập lưới khảo sát công trình, lưới khống chế mặt bằng phục vụ thi công công trình, lưới quan trắc chuyển dịch ngang công trình, chuyển điểm thiết kế ra thực địa và trong công tác đo vẽ bản đồ địa hình tỷ lệ lớn phục vụ thiết kế công trình xây dựng.
2 Tài liệu viện dẫn
Các tài liệu viện dẫn sau cần thiết cho việc áp dụng tiêu chuẩn này. Đối với các tài liệu viện dẫn ghi năm công bố thì áp dụng phiên bản được nêu. Đối với các tài liệu viện dẫn không ghi năm công bố thi áp dụng phiên bản mới nhất, bao gồm cả các sửa đổi, bổ sung (nếu có).
TCVN 9398, Công tác trắc địa trong xây dựng công trình - Yêu cầu chung;
TCVN 9399, Nhà và công trình xây dựng -Xác định chuyển dịch ngang bằng phương pháp trắc địa.
3 Thuật ngữ và định nghĩa
Trong tiêu chuẩn này sử dụng các thuật ngữ và định nghĩa sau:
3.1
Công nghệ GNSS (global navigation sattelite system - GNSS)
Công nghệ định vị, dẫn đường bằng hệ thống vệ tinh toàn cầu (tên dùng chung cho tất cả các hệ thống định vị toàn cầu sử dụng vệ tinh).
3.2
Công nghệ đo GNSS tĩnh (static GNSS)
Phương pháp định vị tương đối, sử dụng đồng thời 2 hoặc nhiều máy thu tín hiệu vệ tinh GNSS đặt cố định trên 2 hoặc nhiều điểm cần đo để thu trị đo Code (Coarse/Acquisition Code) và trị đo Phase (Carrier phase) từ các vệ tinh trong khoảng thời gian đủ dài phục vụ cho việc đo đạc lưới khống chế trắc địa.
3.3
Kỹ thuật đo GNSS động (kinematic GNSS)
Phương pháp đo có bản chất như đo GNSS tĩnh với 1 máy đặt cố định (Base station) và một hoặc nhiều máy di động (Rover stations). Sau khi thực hiện kỹ thuật khởi đo tại trạm cố định, máy di động chuyển đến đặt tại các điểm cần đo, thực hiện việc thu tín hiệu vệ tinh trong thời gian một vài s (một vài trị đo) nhưng vẫn đạt được độ chính xác về tọa độ, độ cao cỡ xentimét (cm).
3.4
Kỹ thuật đo GNSS động thời gian thực (real time kinematic GNSS)
Phương pháp đo trong đó số liệu được xử lý, tính được tọa độ, độ cao trong hệ tọa độ địa phương ngay tại thực địa.
3.5
Kỹ thuật đo GNSS động xử lý sau (post processing kinematic GNSS)
Phương pháp trong đó tọa độ, độ cao trong hệ tọa độ địa phương của điểm đo được tính toán sau khi xử lý số liệu đo trong phòng.
3.6
Ca đo (observation session)
Quãng thời gian thu tín hiệu liên tục trên các trạm đo từ lúc bật máy đến lúc tắt máy.
3.7
Đo đồng bộ (simultaneous observation)
Thời lượng đo của hai máy thu trở lên thu tín hiệu của cùng một vệ tinh.
3.8
Vòng đo đồng bộ (simultaneous observation loop)
Vòng khép của các véc-tơ do 3 máy thu cùng ca đo trở lên hợp thành.
3.9
Véc-tơ cạnh đơn (single baseline)
Véc-tơ cạnh tính từ một cặp máy thu ở hai điểm bất kỳ cùng ca đo.
3.10
Cạnh độc lập (independent baseline)
Trong cùng một ca đo có n máy thu tín hiệu vệ tinh tham gia, tổng số cạnh (Baselines) có thể tính được là nx(n-1)/2 nhưng chỉ có n-1 các cạnh này là độc lập, các cạnh còn lại được gọi là các cạnh thường được tạo ra từ các tổ hợp của dữ liệu pha được dùng để tính các cạnh độc lập. Một cạnh được đo trong 2 ca đo khác nhau là độc lập.
3.11
Vòng khép độc lập (independent observation loop)
Vòng khép của các véc-tơ cạnh độc lập hợp thành.
3.12
Độ cao ăng-ten (antenna height)
Độ cao tính từ vị trí quy ước của ăng-ten thu đến tâm mốc.
3.13
Lịch vệ tinh (ephemeris)
Giá trị tọa độ trên quỹ đạo của vệ tinh ở các thời điểm khác nhau. Lịch vệ tinh được phát dưới hai loại: lịch vệ tinh quảng bá và lịch vệ tinh chính xác.
3.14
Lịch vệ tinh quảng bá (broadcast ephemeris)
Tệp dữ liệu chứa thông tin dự báo tham số quỹ đạo của vệ tinh ở một quãng thời gian nào đó được phát cùng với tín hiệu vệ tinh mà máy thu có thể thu được.
3.15
Lịch vệ tinh chính xác (precise ephemeris)
Tệp dữ liệu chứa thông tin tham số quỹ đạo chính xác của vệ tinh do các trạm theo dõi vệ tinh trên mặt đất xác định thông qua việc xử lý tổng hợp và được cung cấp trên mạng sau một khoảng thời gian nhất định.
3.16
Sai phân đơn (single difference, first difference)
Hiệu các trị đo pha thu được tại hai máy thu đồng thời đến từ cùng một vệ tinh.
3.17
Sai phân kép (double difference, second difference)
Hiệu của hai sai phân đơn thu được tại hai máy thu đồng thời đến từ hai vệ tinh.
3.18
Sai phân bội (triple difference)
Hiệu của hai sai phân kép của hai trạm đo đến một cặp vệ tinh ở hai thời điểm khác nhau.
3.19
Tỷ lệ loại bỏ số liệu (percentage of data rejection)
Tỷ lệ giữa số lượng trị đo loại bỏ và số lượng trị đo cần có.
3.20
Geoid
Mặt đẳng thế không nhiễu, được xác định là mặt phù hợp nhất với mặt nước biển trung bình.
3.21
Mô hình Geoid (geoid model)
Tập hợp số liệu biểu thị vị trí không gian của mặt đẳng thế gốc (W0) so với mặt Ellipsoid tham chiếu trong hệ quy chiếu Trái đất. Mô hình Geoid được sử dụng để xác định độ cao thủy chuẩn của các điểm khi đo bằng công nghệ GNSS.
3.22
Độ cao Geoid (geoid height, geoid undulation)
Khoảng cách giữa Ellipsoid tham chiếu và Geoid.
3.23
Độ cao trắc địa (ellipsoid height)
Khoảng cách theo phương pháp tuyến từ điểm đang xét đến Ellipsoid tham chiếu.
3.24
Độ cao thủy chuẩn (level height)
Độ cao theo phương dây dọi từ điểm đang xét so với Geoid.
3.25
Hệ tọa độ quốc gia (national coordinate system)
Hệ tọa độ toán học trong không gian và trên mặt phẳng được thiết lập theo mốc thời gian xác định và sử dụng thống nhất trong cả nước để biểu thị kết quả đo đạc và bản đồ.
CHÚ THÍCH: Hệ tọa độ quốc gia hiện hành của Việt Nam là hệ VN-2000.
3.26
Hệ độ cao quốc gia (national altitude system)
Hệ độ cao được thiết lập theo mốc thời gian xác định và sử dụng thống nhất trong cả nước để xác định giá trị độ cao của đối tượng địa lý.
CHÚ THÍCH: Hệ độ cao quốc gia hiện hành của Việt Nam có điểm gốc độ cao tại Đồ Sơn - Hải Phòng.
3.27
Lưới tọa độ quốc gia (national coordinate network)
Lưới khống chế bao gồm các điểm có tọa độ thống nhất trong toàn quốc phục vụ đo vẽ bản đồ địa hình, bản đồ địa chính, thành lập cơ sở dữ liệu nền địa lý và các loại bản đồ chuyên đề khác và nghiên cứu khoa học. Lưới tọa độ quốc gia bao gồm: Lưới tọa độ cấp “0”, lưới tọa độ hạng I, II và III.
3.28
Lưới độ cao quốc gia (national altitude network)
Lưới khống chế bao gồm các điểm có độ cao thống nhất trong toàn quốc, được đo theo phương pháp đo cao hình học, là cơ sở để xác định độ cao phục vụ đo vẽ bản đô địa hình, nghiên cứu khoa học. Lưới độ cao quốc gia bao gồm lưới độ cao hạng I, II, III và IV.
3.29
Ngoại nghiệp (field-work)
Gồm toàn bộ các công việc thực hiện ở ngoài trời.
3.30
Nội nghiệp (office-work)
Gồm toàn bộ các công việc thực hiện trong nhà.
4 Từ viết tắt
| Từ viết tắt | Ý nghĩa |
| ASCII (American Standard Code for Information Interchange | Mã tiêu chuẩn trao đổi thông tin của Mỹ |
| BDS (BeiDou Navigation Satellite System) | Hệ thống dẫn đường bằng vệ tinh toàn cầu của Trung Quốc |
| Fixed | Lời giải cố định |
| Galileo | Hệ thống vệ tinh dẫn đường toàn cầu của các nước thuộc Tổ chức liên minh Châu Âu (EU) |
| GLONASS (Global Navigation Satellite System) | Hệ thống dẫn đường bằng vệ tinh toàn cầu của cơ quan hàng không vũ trụ Nga |
| GNSS (Global Navigation Satellite System) | Hệ thống vệ tinh dẫn đường toàn cầu |
| GPS (Global Positioning System) | Hệ thống định vị toàn cầu của cơ quan hàng không vũ trụ Mỹ |
| HDOP (Horizontal Dilusion of Precision) | Hệ số suy giảm độ chính xác phương nằm ngang |
| MAC (Master-Auxiliary Concept) | Trạm chính - phụ |
| PDOP (Position Dilusion of Precision) | Hệ số suy giảm độ chính xác vị trí vệ tinh |
| PPK (Post Processing Kinematic) | Đo động xử lý sau |
| PPP (Precise Point Positioning) | Định vị điểm chính xác |
| Ratio | Tỷ số phương sai |
| RINEX (Receiver INdependent Exchange format) | Chuẩn dữ liệu trị đo GNSS theo khuôn dạng dữ liệu ASCII được sử dụng để thuận tiện cho việc xử lý không phụ thuộc máy thu hoặc phần mềm |
| RMS (Root Mean Square) | Sai số trung phương |
| RTK (Real-Time Kinematic) | Đo động thời gian thực |
| Single Base | Dịch vụ cải chính sử dụng giải pháp công nghệ trạm đơn |
| UTM (Universal Transverse Mercator) | Lưới chiếu hình trụ ngang đồng góc |
| VDOP (Vertical Dilution of Position) | Hệ số suy giảm độ chính xác độ cao |
| VN-2000 | Tên Hệ quy chiếu và Hệ tọa độ quốc gia hiện hành của Việt Nam |
| VRS (Virtual Reference station) | Trạm tham chiếu ảo |
| WGS - 84 (World Geodetic System -1984) | Hệ tọa độ trắc địa thế giới -1984 |
5 Quy định chung
5.1 Đo GNSS trong trắc địa công trình cần được tiến hành theo một phương án kỹ thuật đã được phê duyệt nhằm xác định chính xác các giá trị tọa độ điểm GNSS phục vụ cho việc thành lập các mạng lưới khảo sát công trình, lưới khống chế mặt bằng phục vụ thi công và lưới quan trắc chuyển dịch ngang công trình.
5.2 Đo GNSS trong trắc địa công trình được tiến hành theo các trình tự sau:
- Lập phương án kỹ thuật và trình duyệt;
- Chọn điểm, xây dựng mốc;
- Chuẩn bị máy móc và thiết bị;
- Đo ngắm ngoài thực địa;
- Ghi số đo ngoại nghiệp;
- Xử lý số liệu;
- Báo cáo tổng kết và nộp thành quả.
5.3 Các cấp đo và phương pháp đo GNSS nêu trong phương án kỹ thuật được chọn tùy thuộc vào yêu cầu tỉ lệ bản đồ cần thành lập, quy mô công trình, độ chính xác xác định đại lượng cần bố trí, đại lượng dịch chuyển và đặc điểm của từng đối tượng công trình.
5.4 Đo GNSS sử dụng hệ tọa độ trắc địa thế giới WGS-84 (hệ tọa độ trắc địa Quốc tế) khi có yêu cầu sử dụng hệ tọa độ VN-2000 hoặc hệ tọa độ nào khác thì phải tính chuyển đổi tọa độ. Các tham số hình học cơ bản của Ellipsoid toàn cầu được thể hiện trong Bảng 1. Hệ tọa độ VN-2000 có các tham số hình học cơ bản của Ellipsoid hoàn toàn giống với hệ tọa độ trắc địa Quốc tế WGS-84.
Bảng 1 - Tham số hình học cơ bản của Ellipsoid toàn cầu
| Tham số hình học | Ellipsoid toàn cầu (Ellipsoid WGS-84) |
| 1. Bán trục lớn a (m) | 6 378 137 |
| 2. Bán trục nhỏ b (m) | 6 356 752,314 2 |
| 3. Độ dẹt f | 1/298,257 223 563 |
| 4. Bình phương độ lệch tâm thứ nhất e2 | 0,006 694 379 990 13 |
| 5. Bình phương độ lệch tâm thứ hai e’2 | 0,006 739 496 742 227 |
5.5 Khi đo GNSS có yêu cầu sử dụng hệ tọa độ địa phương hoặc hệ tọa độ độc lập thì phải tính chuyển đổi tọa độ và cần phải có các tham số kỹ thuật sau:
- Tham số hình học của Ellipsoid tham khảo;
- Độ kinh của kinh tuyến giữa múi chiếu;
- Hằng số cộng vào tung độ, hoành độ;
- Độ cao chuẩn của mặt chiếu;
- Tọa độ điểm khởi tính và phương vị khởi tính.
5.6 Khi tính chuyển từ hệ tọa độ trắc địa Quốc tế của lưới GNSS sang hệ tọa độ VN-2000, cần phải đảm bảo yêu cầu: Nếu sử dụng phép chiếu UTM 6° (K0 = 0,999 6) thì kinh tuyến trục cách khu đo trong giới hạn từ 160 km đến 200 km. Nếu sử dụng phép chiếu UTM 3° (K0 = 0,999 9) thì kinh tuyến trục cách khu đo trong giới hạn từ 70 km đến 110 km. Khi dùng phép chiếu UTM thì sử dụng Ellipsoid WGS-84.
5.7 Khi tính chuyển đổi độ cao đo GNSS thành độ cao thường thì cần phải sử dụng hệ độ cao quốc gia với điểm gốc là điểm độ cao quốc gia kết hợp với mô hình geoid.
5.8 Thời gian trong đo GNSS được sử dụng là thời gian quốc tế UTC. Khi muốn dùng giờ Việt Nam thì phải tiến hành chuyển đổi (giờ Hà Nội bằng giờ GMT cộng bảy).
5.9 Máy đo và thiết bị sử dụng phải được kiểm nghiệm, hiệu chỉnh theo quy định tại 7.2.
5.10 Công tác kiểm tra, nghiệm thu kỹ thuật phải tiến hành chặt chẽ, kịp thời và thường xuyên từ khi bắt đầu thi công đến khi kết thúc.
6 Thiết kế kỹ thuật lưới GNSS
6.1 Nguyên tắc thành lập và thiết kế lưới
6.1.1 Việc thiết kế kỹ thuật lưới GNSS nhằm đảm bảo các yêu cầu về kỹ thuật và đảm bảo tính thống nhất cho toàn bộ mạng lưới đồng thời là cơ sở cho việc lập dự toán kinh phí triển khai.
6.1.2 Trước khi lập thiết kế kỹ thuật phải tiến hành điều tra, thu thập, nghiên cứu và phân tích các tài liệu có liên quan trong phạm vi khu đo, bao gồm:
- Bản đồ địa hình tỷ lệ lớn nhất đã có trong khu vực xây dựng công trình;
- Hiện trạng mạng lưới tọa độ, độ cao có trong khu đo: sơ đồ lưới; ghi chú điểm, giá trị tọa độ, độ cao;
- Các tài liệu về địa chất công trình, địa chất thủy văn, giao thông, thủy hệ và các tài liệu liên quan đến quy hoạch phát triển của khu đo.
6.1.3 Lưới khảo sát công trình, lưới khống chế thi công công trình và lưới quan trắc chuyển dịch ngang công trình thành lập bằng công nghệ GNSS tĩnh được thiết kế dạng lưới tam giác dày đặc, chuỗi tam giác, chuỗi tứ giác. Lưới khảo sát công trình được thiết kế phủ kín khu đo, lưới khống chế thi công công trình và lưới quan trắc chuyển dịch ngang công trình được thiết kế tạo thành các vòng khép có số cạnh không lớn hơn quy định tại Bảng 2, Bảng 3 và Bảng 4.
6.1.4 Thiết kế kỹ thuật lưới GNSS được thực hiện tuần tự theo các bước: thiết kế sơ bộ, khảo sát thực địa, thiết kế chi tiết.
6.1.4.1 Thiết kế sơ bộ:
Trên cơ sở các tài liệu thu thập được tại 6.1.2, tiến hành thiết kế sơ bộ mạng lưới. Nguyên tắc cơ bản nhất của bước này là sử dụng tất cả các điểm tọa độ hạng cao hơn, độ cao hạng cao hơn có trong khu đo kết hợp với các tài liệu về giao thông, thủy hệ, chất đất để tiến hành thiết kế sơ bộ lưới theo các chỉ tiêu kỹ thuật cơ bản đối với từng cấp hạng.
6.1.4.2 Khảo sát thực địa:
Việc khảo sát thực địa được tiến hành sau bước thiết kế sơ bộ. Trên cơ sở thiết kế sơ bộ tiến hành khảo sát toàn bộ khu vực cần thiết kế trong đó đặc biệt lưu ý tới các thông tin về sự tồn tại của các điểm tọa độ hạng cao, độ cao hạng cao ở thực địa cũng như khả năng sử dụng các điềm này cho đo ngắm. Đối với các mốc thiết kế mới, phải lưu ý khả năng chọn điểm ở các khu vực địa hình khó khăn, dân cư đông đúc. Kết thúc quá trình khảo sát phải lập báo cáo khảo sát phục vụ cho việc thiết kế chi tiết.
6.1.4.3 Thiết kế chi tiết:
a) Trên cơ sở thiết kế sơ bộ kết hợp với báo cáo khảo sát tiến hành thiết kế chi tiết. Kết thúc bước công việc này phải thể hiện sơ đồ mạng lưới đã thiết kế trên máy vi tính kèm theo các thuộc tính cơ bản; số hiệu điểm, tọa độ gần đúng của điểm trên hệ tọa độ VN-2000. Trên sơ đồ thiết kế chi tiết phải sử dụng các ký hiệu rõ ràng và thống nhất để thể hiện các điểm tọa độ hạng cao, các điểm độ cao hạng cao có sử dụng và các điểm tọa độ có đo nối độ cao.
b) Trong thiết kế chi tiết phải tính toán ca đo để thi công lưới đạt được các yêu cầu kinh tế kỹ thuật. Tùy thuộc vào số lượng máy thu GNSS sử dụng, số lần đo lặp tại mỗi điểm để có phương án tạo các ca đo phù hợp. Số lượng ca đo tối thiểu được xác định theo công thức sau:
|
| (1) |
trong đó:
s là tổng số điểm trong lưới;
r là số máy thu sử dụng để đo;
m là giá trị trung bình số lần đo lặp tại các điểm của mạng lưới;
n là số lượng ca đo tối thiểu, nếu giá trị n tính theo công thức (1) bị lẻ thì phải làm tròn thành số nguyên lớn hơn.
6.2 Thiết kế lưới khống chế khảo sát công trình
6.2.1 Lưới khống chế khảo sát công trình được thành lập để đo vẽ trực tiếp bản đồ địa hình công trình tỷ lệ 1:500, 1:1 000, 1:2 000, 1:5 000, lưới được chia thành 2 cấp:
a) Lưới khống chế cơ sở;
b) Lưới khống chế đo vẽ;
- Lưới khống chế cơ sở là lưới khống chế tọa độ, độ cao, được phát triển từ lưới tọa độ, độ cao quốc gia phục vụ lập lưới khống chế đo vẽ và đo đạc chi tiết một khu vực cụ thể. Lưới khống chế cơ sở gồm lưới cơ sở cấp 1 và lưới cơ sở cấp 2. Về độ cao, có 01 cấp là lưới độ cao kỹ thuật;
- Lưới khống chế đo vẽ là lưới khống chế tọa độ, độ cao được phát triển từ lưới khống chế cơ sở hoặc lưới cấp cao hơn phục vụ cho việc đo đạc chi tiết khu đo. Lưới khống chế đo vẽ gồm lưới đo vẽ cấp 1 và lưới đo vẽ cấp 2.
6.2.2 Lưới khống chế khảo sát công trình được xây dựng theo nguyên tắc từ cấp cao đến cấp thấp, từ tổng thể đến cục bộ. Khi lập lưới bằng công nghệ GNSS có thể bỏ qua các cấp trung gian khi xây dựng lưới tọa độ cấp thấp hơn.
6.2.3 Trường hợp có yêu cầu kỹ thuật đặc biệt, có thể xây dựng lưới khống chế khảo sát công trình theo phương án riêng hoặc lưới tọa độ, độ cao tự do và phải được nêu rõ trong thiết kế kỹ thuật.
6.2.4 Lưới khảo sát công trình thành lập bằng công nghệ GNSS tĩnh được thiết kế phải đảm bảo các yêu cầu kỹ thuật chủ yếu như quy định nêu trong Bảng 2.
Bảng 2 - Yêu cầu kỹ thuật chủ yếu của lưới khảo sát công trình thành lập bằng công nghệ GNSS tĩnh
| Chỉ tiêu kỹ thuật | Lưới cơ sở | Lưới đo vẽ | ||
| Cấp 1 | Cấp 2 | Cấp 1 | Cấp 2 | |
| 1. Khoảng cách giữa các điểm lưới, km | 1 ÷ 5 (tùy thuộc vào hình dạng khu đo và điều kiện địa hình) | Tăng dày điểm khống chế | Tăng dày điểm khống chế | Tăng dày điểm khống chế |
| 2. Sai số trung phương vị trí điểm yếu nhất, m | 0,02 | 0,02 | 0,03 | 0,03 |
| 3. Sai số trung phương độ cao điểm yếu nhất, m | 0,03 | 0,03 | 0,04 | 0,04 |
| 4. Sai số trung phương tương đối cạnh yếu nhất | 1/100 000 | 1/20 000 | 1/10 000 | 1/5 000 |
| 5. Giá trị trung bình số lần đo lặp tại các điểm của mạng lưới | ≥ 1,6 | ≥ 1,6 | - | - |
| 6. Số lượng cạnh trong vòng đo độc lập và tuyến phù hợp | 6 | 8 | 10 | 10 |
| 7. Số điểm khống chế tọa độ tối thiểu | 03 điểm gốc là điểm tọa độ quốc gia | 03 điểm gốc thuộc lưới cơ sở cấp 1 trở lên a) | 03 điểm gốc tọa độ thuộc lưới cơ sở cấp 2 trở lên a) | 03 điểm gốc tọa độ thuộc lưới đo vẽ cấp 1 trở lên a) |
| 8. Số điểm khống chế độ cao tối thiểu | 03 điểm gốc độ cao hạng IV trở lên | 03 điểm gốc độ cao hạng IV trở lên | 02 điểm có độ cao cấp kỹ thuật trở lên b) | 02 điểm gốc độ cao là điểm thuộc lưới đo vẽ cấp 1 trở lên b) |
| a) Trong trường hợp lưới có số điểm mới không lớn hơn 3 được phép sử dụng 02 điểm góc tọa độ hạng cao. b) Trong trường hợp lưới có số điểm mới không lớn hơn 3 được phép sử dụng 01 điểm gốc độ cao hạng cao. | ||||
6.2.5 Khi thành lập lưới khảo sát công trình bằng công nghệ GNSS tĩnh, các điểm gốc tọa độ và độ cao được chọn là các điểm có vị trí gần lưới nhất.
6.2.6 Lưới cơ sở cấp 1 được phát triển từ các điểm gốc thuộc lưới tọa độ quốc gia. Lưới cơ sở cấp 2 được xây dựng với mục đích tăng dày điểm khống chế phục vụ cho xây dựng lưới đo vẽ cấp 1, lưới đo vẽ cấp 2 và sử dụng trực tiếp đo vẽ chi tiết trên toàn khu đo. Lưới cơ sở cấp 2 được phát triển từ các điểm gốc tọa độ thuộc lưới cơ sở cấp 1 trở lên.
6.2.7 Lưới khống chế đo vẽ được thành lập nhằm tăng dày điểm khống chế phục vụ đo đạc trực tiếp tọa độ, độ cao các điểm địa hình, địa vật. Lưới khống chế đo vẽ được kết hợp xác định đồng thời tọa độ và độ cao. Lưới khống chế đo vẽ chia làm 2 cấp: lưới đo vẽ cấp 1 và lưới đo vẽ cấp 2.
6.2.8 Vị trí điểm lưới cơ sở cấp 1, lưới cơ sở cấp 2 phải được chọn ở nơi có nền đất vững chắc, ổn định, thuận lợi cho việc thu tín hiệu từ vệ tinh, có góc quan sát bầu trời không bị che chắn không nhỏ hơn 150°. Trường hợp đặc biệt thì cũng phải có góc quan sát bầu trời không nhỏ hơn 120° và chỉ được phép che khuất về một phía. Vị trí điểm chọn phải cách xa trạm phát sóng ít nhất 200 m, cách các vật có khả năng làm nhiễu tín hiệu vệ tinh như đường dây điện cao thế, mái nhà kim loại v.v. 50 m trở lên.
6.2.9 Điểm của lưới cơ sở cấp 1, lưới cơ sở cấp 2 được chôn mốc bê tông, có gắn tâm mốc, phải được chôn chìm dưới mặt đất hoặc khoan gắn dấu mốc trên nền đá, nền bê tông, trên vật kiến trúc. Quy định về số hiệu điểm phải được nêu trong thiết kế kỹ thuật. Nếu có yêu cầu làm tường vây bảo vệ lâu dài thì phải nêu trong thiết kế kỹ thuật. Quy cách và dấu mốc GNSS tham khảo Phụ lục A.
6.2.10 Các mốc thuộc lưới cơ sở cấp 1, cấp 2 phải được lập sơ đồ vị trí mốc và ghi chú điểm.
6.2.11 Tùy theo yêu cầu cụ thể điểm lưới khống chế đo vẽ có thể chôn mốc cố định hoặc tạm thời ở thực địa. Nếu chôn mốc cố định thì quy cách mốc tham khảo Phụ lục A. Nếu làm mốc tạm thời thì phải đảm bảo mốc tồn tại đến kết thúc việc đo đạc và phục vụ kiểm tra, nghiệm thu công trình.
6.2.12 Lưới khống chế đo vẽ phải thiết kế trên bản đồ tỷ lệ lớn nhất có trên khu đo trước khi thi công.
6.2.13 Công nghệ GNSS tĩnh có thể sử dụng để xác định tọa độ, độ cao lưới đo vẽ cấp 1 đồng thời.
6.2.14 Lưới đo vẽ cấp 2 là cấp lưới khống chế cuối cùng được phép phát triển nếu mật độ điểm khống chế thuộc lưới cấp cao hơn chưa đủ để đo vẽ hét khu đo.
6.2.15 Phương pháp phát triển lưới đo vẽ cấp 2 là sử dụng công nghệ đo GNSS tĩnh, kỹ thuật đo GNSS động hoặc dạng đường chuyền đo góc, cạnh. Khi phát triển lưới đo vẽ cấp 2 là lưới đường chuyền đo góc cạnh thì phải chọn vị trí điểm của lưới bậc cao hơn sao cho tạo thành từng cặp điểm thông hướng ngang hoặc thông hướng ngang với điểm cấp cao hơn để phát triển lưới theo dạng đường chuyền.
6.3 Thiết kế lưới khống chế mặt bằng phục vụ thi công công trình
6.3.1 Lưới khống chế mặt bằng phục vụ thi công công trình là một mạng lưới gồm các điểm có tọa độ được xác định chính xác, được đánh dấu bằng các mốc kiên cố trên mặt bằng xây dựng và được sử dụng làm cơ sở để bố trí các hạng mục công trình từ bản vẽ thiết kế ra thực địa cũng như việc tiến hành các công tác đo đạc khác với độ chính xác cần thiết. Tùy thuộc vào quy mô và yêu cầu của công trình, lưới khống chế thi công có hai cấp lưới là lưới độ chính xác cấp 1 và lưới độ chính xác cấp 2.
6.3.2 Lưới khống chế phục vụ thi công công trình thành lập bằng công nghệ GNSS tĩnh được thiết kế phải đảm bảo các yêu cầu kỹ thuật chủ yếu như quy định nêu trong Bảng 3.
Bảng 3 - Yêu cầu kỹ thuật chủ yếu của lưới khống chế mặt bằng phục vụ thi công thành lập bằng công nghệ GNSS tĩnh
| Chỉ tiêu kỹ thuật | Lưới độ chính xác | |
| Cấp 1 | Cấp 2 | |
| 1. Khoảng cách trung bình giữa các điểm lưới, m | 300 ÷ 500 | 100 ÷ 300 |
| 2. Sai số trung phương vị trí điểm yếu nhất, m | 0,01 | 0,01 |
| 3. Sai số trung phương tương đối cạnh yếu nhất | 1/40 000 | 1/20 000 |
| 4. Giá trị trung bình số lần đo lặp tại các điểm của mạng lưới | ≥ 1,6 | ≥ 1,6 |
| 5. Số cạnh lớn nhất trong một vòng khép | 4 | 4 |
6.3.3 Đối với hạng mục công trình có diện tích xây dựng lớn hơn 1 km2 hoặc khu công nghiệp quan trọng, cần thành lập lưới khống chế mặt bằng có độ chính xác cấp 1 hoặc cao hơn cấp 1; đối với hạng mục công trình có diện tích xây dựng nhỏ hơn 1 km2 hoặc khu xây dựng thông thường thành lập lưới khống chế mặt bằng có độ chính xác cấp 2.
6.3.4 Lưới khống chế mặt bằng phục vụ thi công công trình là lưới cạnh ngắn, trong một số trường hợp chất lượng của lưới khống chế có thể được đánh giá dựa vào sai số trung phương vị trí điểm yếu nhất của lưới, giá trị này được xác định dựa vào dung sai cho phép về bố trí công trình. Trong trường hợp yêu cầu độ chính xác vị trí điểm yếu nhất của lưới lần lượt là:
- 2,0 cm thì áp dụng các quy định đối với thiết kế và đo đạc lưới cơ sở cấp 2 trong lưới khảo sát công trình trở lên để thành lập lưới khống chế mặt bằng phục vụ thi công;
- 1,5 cm thì áp dụng các quy định đối với thiết kế và đo đạc lưới quan trắc chuyển dịch ngang công trình độ chính xác cấp 4 như nêu ở Bảng 4;
- Nhỏ hơn hoặc bằng 0,5 cm thì áp dụng các quy định đối với thiết kế và đo đạc lưới quan trắc chuyển dịch ngang công trình độ chính xác cấp 2 và độ chính xác cấp 1 như nêu ở Bảng 4.
6.3.5 Đối với lưới khống chế thi công cần phải ước tính độ chính xác các yếu tố cần xét của lưới GNSS thiết kế theo phương pháp ước tính chặt chẽ trên cơ sở thuật toán bình sai gián tiếp và phải đảm bảo độ chính xác yêu cầu.
6.3.6 Vị trí các điểm mốc khống chế được chọn phải đảm bảo đo được GNSS, yêu cầu quy định vị trí điểm như quy định tại 6.2.8. Mốc có thể đúc sẵn bằng bê tông cốt thép rồi đem chôn, hoặc có thể đúc ở hiện trường, hoặc có thể lợi dụng nền đá, nền bê tông khoan gắn thêm dấu mốc ở hiện trường. Quy cách và dấu mốc GNSS tham khảo Phụ lục A.
6.3.7 Để tính tọa độ các điểm GNSS của lưới khống chế mặt bằng phục vụ thi công trong hệ tọa độ quốc gia thì cần phải có số liệu khởi tính trong hệ tọa độ quốc gia và đo nối với điểm tọa độ quốc gia hoặc đo nổi với điểm tọa độ đã có trong giai đoạn khảo sát. Số điểm đo nối tối thiểu là 3 điểm cho mạng lưới có số điểm mới lớn hơn 3 điểm và số điểm đo nối là 2 điểm khi số điểm mới trong mạng lưới nhỏ hơn hoặc bằng 3 điểm.
6.3.8 Khi thành lập lưới khống chế thi công có hiệu số độ cao mặt đất và mặt chiếu lớn hơn 32 m thì phải tính số hiệu chỉnh do độ cao mặt đất và mặt chiếu, mặt chiếu trong đo đạc công trình được chọn theo quy định nêu trong TCVN 9398.
6.4 Thiết kế lưới quan trắc chuyển dịch ngang công trình
6.4.1 Lưới quan trắc chuyển dịch ngang công trình là mạng lưới được tạo thành từ các mốc khống chế cơ sở (các mốc chuẩn), các điểm cơ sở trung gian (nếu có) và các mốc quan trắc chuyển dịch ngang gắn trực tiếp trên công trình.
6.4.2 Công nghệ GNSS được áp dụng để quan trắc chuyển dịch ngang đối với công trình khi tại các vị trí quan trắc có tầm thông thoáng tốt, đảm bảo đủ điều kiện thu tín hiệu vệ tinh như quy định tại 6.2.8. Lưới quan trắc chuyển dịch ngang công trình bằng GNSS gồm lưới độ chính xác cấp 1, 2, 3 và 4.
6.4.3 Lưới quan trắc chuyển dịch ngang công trình bằng công nghệ GNSS tĩnh được thiết kế phải đảm bảo các yêu cầu kỹ thuật chủ yếu như quy định nêu trong Bảng 4.
Bàng 4 - Yêu cầu kỹ thuật chủ yếu của lưới quan trắc chuyển dịch ngang công trình thành lập bằng công nghệ GNSS tĩnh
| Chỉ tiêu kỹ thuật | Lưới độ chính xác | |||
| Cấp 1 | Cấp 2 | Cấp 3 | Cấp 4 | |
| 1. Sai số trung phương vị trí điểm yếu nhất, mm | 1,5 | 3,0 | 6,0 | 12,0 |
| 2. Giá trị trung bình số lần đo lặp tại các điểm của mạng lưới | ≥ 2,0 | ≥ 2,0 | ≥ 1,6 | ≥ 1,6 |
| 3. Số cạnh lớn nhất trong một vòng khép | 4 | 4 | 4 | 4 |
| 4. Số lượng mốc chuẩn tối thiểu | ≥ 4 | ≥ 4 | ≥ 3 | ≥ 3 |
6.4.4 Hệ tọa độ dùng quan trắc chuyển dịch ngang công trình bằng GNSS là hệ tọa độ độc lập. Khi cần tính tọa độ các điểm quan trắc chuyển dịch ngang công trình bằng GNSS trong hệ tọa độ quốc gia thì cần phải đo nối với một số điểm tọa độ quốc gia.
6.4.5 Mạng lưới GNSS quan trắc chuyển dịch ngang công trình nên được thiết kế từ 1 đến 2 bậc lưới: bậc 1 là lưới cơ sở và bậc 2 là lưới quan trắc. Lưới cơ sở bao gồm các mốc chuẩn đo nối với nhau, lưới quan trắc bao gồm các mốc chuẩn và mốc quan trắc đo nối với nhau. Khi quan trắc chuyển dịch ngang công trình đòi hỏi độ chính xác cao như lưới độ chính xác cấp 1 và lưới độ chính xác cấp 2 thì mạng lưới GNSS nên được thiết kế gồm 1 bậc lưới.
6.4.6 Quy cách của dấu mốc và mốc GNSS quan trắc chuyển dịch ngang các cấp phải phù hợp với các quy định hiện hành hoặc tham khảo thêm TCVN 9399. Riêng đối với quan trắc chuyển dịch ngang công trình bằng lưới độ chính xác cấp 1 thì kết cấu mốc phải là mốc định tâm bắt buộc.
6.4.7 Đối với lưới GNSS quan trắc chuyển dịch ngang công trình, cần phải ước tính độ chính xác các yếu tố cần xét của lưới GNSS thiết kế theo phương pháp ước tính chặt chẽ trên cơ sở thuật toán bình sai gián tiếp và phải đảm bảo độ chính xác yêu cầu.
7 Yêu cầu kỹ thuật đối với máy móc thiết bị
7.1 Chọn máy thu
Việc lựa chọn máy thu GNSS được thực hiện theo các quy định trong Bảng 5.
Bảng 5 - Lựa chọn máy thu GNSS trong đo GNSS tĩnh và tĩnh nhanh
| Dạng lưới khống chế | Loại máy thu | Số lượng máy thu | ||
| 1. Lưới khảo sát công trình | - Thu được trị đo Code và trị đo Phase - Một hoặc đa tần số - Sai số đo cạnh ≤ (10 mm + 1 mm x D) | Lưới cơ sở các cấp 1 và 2 | ≥ 3 | |
| Lưới đo vẽ các cấp 1 và 2 | ≥ 2 | |||
| 2. Lưới khống chế mặt bằng phục vụ thi công | - Thu được trị đo Code và trị đo Phase - Một hoặc đa tần số - Sai số đo cạnh ≤ (5 mm + 1 mm x D) | ≥ 3 | ||
| 3. Lưới quan trắc chuyển dịch ngang công trình | Lưới độ chính xác các cấp 1 và 2 | - Thu được trị đo Code và trị đo Phase - Hai hoặc đa tần số - Sai số đo cạnh ≤ (3 mm + 1 mm x D) | ≥ 3 | |
| Lưới độ chính xác các cấp 3 và 4 | - Thu được trị đo Code và trị đo Phase - Một hoặc đa tần số - Sai số đo cạnh ≤ (5 mm + 1 mm x D) | ≥ 3 | ||
| Các ký hiệu trong Bảng 5: D là chiều dài cạnh đo tính bằng kilômét (km). | ||||
7.2 Kiểm nghiệm máy thu
Trước và trong khi thực hiện công trình, máy thu GNSS sử dụng trong công trình đều phải kiểm tra, kiểm nghiệm theo chỉ dẫn kèm theo thiết bị.
7.3 Bảo trì máy thu
7.3.1 Trong thời gian đo ở ngoại nghiệp máy thu GNSS phải có người chuyên bảo quản. Khi vận chuyển máy cần có biện pháp phòng chấn động, phòng nắng, gió, bụi, ẩm ướt, ăn mòn. Máy điều khiển với các phím bẩm, khi vận chuyển cần để trong hộp vận chuyển.
7.3.2 Các đầu cắm, chỗ tiếp nối của máy và dây dẫn cần giữ gìn sạch sẽ, khi nối máy với nguồn điện bên ngoài cần kiểm tra kỹ điện áp có phù hợp với điện áp của máy không. Khi lắp pin đo, cần chú ý lắp đúng cực. Dây dẫn của ăng-ten thu không để vặn xoắn, không kéo dây dẫn trên bề mặt có độ cứng cao hoặc bề mặt thô, nửa năm kiểm tra lại độ bền của dây một lần.
7.3.3 Khi không sử dụng máy thu cần để trong hòm vận chuyển có đệm mút. Hòm máy cần để chỗ thông thoáng, khô ráo. Khi túi chống ẩm chuyển sang màu hồng, đỏ, cần thay thế ngay.
7.3.4 Máy thu để trong phòng lâu ngày thì một đến hai tháng phải cắm điện kiểm tra hoạt động một lần. Các pin được bảo quản nơi khô ráo tránh mất điện, từ một đến hai tháng phải nạp điện lại một lần và kiểm tra lại điện dung.
7.3.5 Nghiêm cấm tháo rời tùy tiện các bộ phận của máy thu, nếu có sự cố cần lập biên bản giao cho người có chuyên môn sửa chữa, bảo trì.
8 Công tác chuẩn bị đo GNSS
8.1 Chuẩn bị máy và phụ kiện
8.1.1 Công tác chuẩn bị kỹ lưỡng trước khi đo là điều kiện để tránh các trục trặc có thể xảy ra trong quá trình đo. Công tác chuẩn bị bao gồm các nội dung chính sau:
- Trước khi đo cần kiểm tra máy thu GNSS và các thiết bị kèm theo (chân máy, định tâm quang học, ốc nối, thước đo cao ăng-ten, v.v.);
- Kiểm tra dung lượng bộ nhớ trong của máy còn đủ chỗ dung nạp không;
- Chuẩn bị phương tiện đi lại, để di chuyển máy đúng lịch đo;
- Chuẩn bị nguồn điện, ác quy hoặc pin đủ dùng có dự trữ, pin có chất lượng tốt;
- Chuẩn bị phương tiện liên lạc (bộ đàm hoặc điện thoại di động, v.v.);
- Có phương án phối hợp nếu không liên lạc được bằng bộ đàm hoặc điện thoại động (thống nhất theo thời gian đã dự kiến);
- Chuẩn bị sổ đo, bút ghi chép, sơ đồ lưới và lịch đo đã lập cho các ca đo, v.v.
8.1.2 Lưới khống chế mặt bằng phục vụ thi công công trình và lưới quan trắc chuyển dịch ngang công trình đòi hỏi độ chính xác cao nên cần phải kiểm nghiệm lệch tâm pha ăng-ten máy thu và kiểm tra định tâm quang học trước khi đo. Phương pháp kiểm nghiệm lệch tâm pha ăng-ten và kiểm tra định tâm quang học tham khảo các Phụ lục E và F.
8.2 Lập kế hoạch đo
8.2.1 Để đảm bảo thành công cho công tác đo GNSS cần phải tiến hành lập lịch đo và cần lập bảng dự báo các vệ tinh có thể quan sát được. Trong bảng có: số hiệu vệ tinh, độ cao vệ tinh và góc phương vị, thời gian quan sát tốt nhất để quan sát nhóm vệ tinh tốt nhất, hệ số suy giảm độ chính xác vị trí không gian ba chiều, số vệ tinh quan sát lớn hơn hoặc bằng 6.
8.2.2 Khi xung quanh điểm đo có nhiều địa vật che chắn phải lập lịch đo theo điều kiện che chắn thực tế tại các điểm đo. Trong các phần mềm xử lý số liệu GNSS hiện nay đã có sẵn mô đun để người sử dụng lập kế hoạch đo hoặc lập kế hoạch đo trực tuyến thông qua trang web gnssplanning.com.
8.2.3 Tọa độ dùng để lập bảng dự báo cho các vệ tinh là độ kinh, độ vĩ trung bình của khu đo. Thời gian dự báo nên dùng thời gian trung bình khi đo ngắm. Khi khu đo lớn thời gian đo kéo dài thì cần lập bảng dự báo cho từng phân khu với thời gian đo khác nhau và dùng lịch vệ tinh quảng bá có tuổi không quá 20 ngày.
8.2.4 Căn cứ vào số lượng máy thu, đồ hình lưới GNSS đã thiết kế và bảng dự báo vệ tinh. Lập bảng điều độ đo ngắm với nội dung: thời gian đo, số liệu trạm đo, tên trạm đo, số liệu máy thu v.v. như yêu cầu của Phụ lục B.
9 Công tác đo GNSS tĩnh
9.1 Các yêu cầu kỹ thuật cơ bản
9.1.1 Sau khi đến trạm đo, phải đặt máy thu ổn định sau đó mới đặt ăng-ten (trường hợp máy thu và ăng-ten tách rời nhau);
9.1.2 Khi đo trên mốc có định tâm bắt buộc, phải tháo nắp bảo vệ tâm mốc rồi mới lắp ăng-ten;
9.1.3 Vạch định hướng ăng-ten phải luôn luôn hướng về phía Bắc với sai số ± 5°. Những chỗ khó định hướng cần đặt trước cọc định hướng, mỗi lần đo dựa vào cọc định hướng để định hướng ăng-ten.
9.1.4 Công tác đo ngắm trong lưới GNSS bao gồm các thao tác: khởi động máy thu GNSS tại trạm đo và quy trình thu tín hiệu ghi vào bộ nhớ của máy.
9.1.5 Máy thu GNSS phải có định tâm quang học để đo lưới GNSS, định tâm quang học của máy thu GNSS cần được kiểm nghiệm trước khi sử dụng, bảo đảm sai số định tâm nhỏ hơn hoặc bằng ± 1 mm.
9.1.6 Tổ đo phải nghiêm chỉnh tuân theo thời gian quy định trong bảng điều độ công tác, đảm bảo quan trắc đồng bộ cùng một nhóm các vệ tinh. Khi có sự thay đổi so với bảng điều độ phải được sự đồng ý của người phụ trách. Tổ đo không được tùy tiện thay đổi kế hoạch đo ngắm.
9.1.7 Các dây dẫn nối từ ăng-ten đến máy thu và các thiết bị phụ trợ được kiểm tra không có sai sót, mới được tiến hành thu tín hiệu.
9.1.8 Trước khi mở máy cho một ca đo phải đo chiều cao ăng-ten bằng thước chuyên dùng đọc số đến 1 mm, ghi tên trạm máy, ngày tháng năm, số hiệu ca đo, chiều cao ăng-ten. Sau khi tắt máy, tiến hành đo lại chiều cao ăng-ten để kiểm tra, chênh lệch chiều cao ăng-ten giữa hai lần đo không được vượt quá ± 2 mm đối với lưới khống chế mặt bằng phục vụ thi công và lưới quan trắc chuyển dịch ngang công trình, lấy giá trị trung bình ghi vào sổ đo. Nếu như chênh lệch vượt quá hạn sai cho phép, thì phải tìm hiểu nguyên nhân, đề xuất ý kiến xử lý và ghi vào cột ghi chú trong sổ đo.
9.1.9 Sau khi máy thu bắt đầu ghi nhận số liệu, người đo có thể sử dụng các chức năng của bàn phím, chọn menu, tìm thông tin trạm đo, số vệ tinh thu được tín hiệu, số hiệu vệ tinh, tỷ số nhiễu tín hiệu, kết quả định vị tức thời, tình trạng ghi, giữ số liệu (đối với máy thu có bàn phím điều khiển).
9.1.10 Khi máy thu đang ghi kết quả, người đo ghi lần lượt các nội dung theo quy định trong sổ đo. Khi thời gian đo quá 60 min thì cứ 30 min lại ghi một lần.
9.1.11 Trong quá trình đo của một ca đo không được tiến hành các thao tác sau: tắt máy thu và khởi động lại; tiến hành tự đo thử (trừ khi phát hiện có sự cố); thay đổi góc cao của vệ tinh; thay đổi tần suất thu tín hiệu; thay đổi vị trí ăng-ten; ấn phím đóng và xoá thông tin.
9.1.12 Trong thời gian đo người đo không được rời máy, thường xuyên theo dõi tình trạng làm việc của máy thu, theo dõi nguồn điện, tình hình vệ tinh và ghi số liệu; đồng thời đề phòng máy bị chấn động làm chuyển dịch, đề phòng người và vật thể khác gần ăng-ten che chắn tín hiệu vệ tinh.
9.1.13 Trong khi máy thu đang làm việc không được dùng bộ-đàm hoặc điện thoại di động ở gần máy thu. Khi có sấm chớp, mưa to phải tắt máy, ngừng đo và thu cất ăng-ten đề phòng sét đánh.
9.1.14 Trong khi đo phải bảo đảm máy thu hoạt động bình thường, ghi số liệu chính xác. Sau mỗi ngày đo nên kịp thời trút số liệu vào máy tính để tránh mất số liệu.
9.2 Đo đạc lưới khảo sát công trình bằng công nghệ GNSS tĩnh
9.2.1 Ngoài các yêu cầu quy định tại 9.1, lưới khảo sát công trình được đo đạc phải đảm bảo các quy định trong Bảng 6, thiết bị dùng để đo đạc là các máy GNSS nêu trong Bảng 5.
Bảng 6 - Các yêu cầu khi đo đạc lưới khảo sát công trình bằng công nghệ GNSS tĩnh
| Chỉ tiêu kỹ thuật | Lưới cơ sở | Lưới đo vẽ | ||||
| Cấp 1 | Cấp 2 | Cấp 1 | Cấp 2 | |||
| 1. Góc ngưỡng thu tín hiệu cài đặt trong máy thu (độ) | Tĩnh | 15 | 15 | 15 | 15 | |
| Tĩnh nhanh | - | 15 | 15 | 15 | ||
| 2. Số vệ tinh tối thiểu trong thời gian đo | Tĩnh | ≥ 4 | ≥ 4 | ≥ 4 | ≥ 4 | |
| Tĩnh nhanh | - | ≥ 5 | ≥ 5 | ≥ 5 | ||
| 3. Thời gian thu tín hiệu (min) | Máy thu 1 tần số | Tĩnh | ≥ 90 | ≥ 60 | ≥ 45 | ≥ 30 |
| Tĩnh nhanh | - | ≥ 45 | ≥ 30 | ≥ 20 | ||
| Máy thu 2 tần số trở lên | Tĩnh | ≥ 60 | ≥ 45 | ≥ 30 | ≥ 25 | |
| Tĩnh nhanh | - | ≥ 30 | ≥ 20 | ≥ 15 | ||
| 4. Tần suất thu tín hiệu vệ tinh (s) | Tĩnh | 1, 5, 15 | 1, 5, 15 | 1, 5, 15 | 1, 5, 15 | |
| Tĩnh nhanh | - | 1, 5, 15 | 1, 5, 15 | 1, 5, 15 | ||
| 5. Hệ số suy giảm độ chính xác vị trí vệ tinh (PDOP) | Tĩnh | ≤ 4 | ≤ 8 | ≤ 8 | ≤ 8 | |
| Tĩnh nhanh | - | ≤ 6 | ≤ 8 | ≤ 8 | ||
| 6. Tâm pha ăng-ten máy thu GNSS được định tâm với sai số, mm | ≤ 2 | ≤ 2 | ≤ 5 | ≤ 5 | ||
| 7. Đo chiều cao ăng-ten a) | Trước và sau ca đo | Đọc số 2 lần | Đọc số 2 lần | Đọc số 2 lần | ||
| a) Đọc số đến milimét, chênh lệch giữa hai lần đọc số không quá 2 mm. | ||||||
9.2.2 Nếu ca đo có cạnh dài lớn hơn nhiều lần cạnh trung bình thì phải kéo dài thời gian ca đo có cạnh đó thêm 10 min cho mỗi 5 km kéo dài so với cạnh trung bình. Không sử dụng máy thu tín hiệu vệ tinh loại 1 tần số đo cạnh có chiều dài lớn hơn 15 km.
9.2.3 Số lần đo lặp trung bình tại trạm máy trong đo đạc lưới khảo sát công trình theo quy định tại Bảng 2.
9.3 Đo đạc lưới khống chế mặt bằng phục vụ thi công công trình
9.3.1 Ngoài các yêu cầu quy đjnh tại 9.1, lưới khống chế mặt bằng phục vụ thi công công trình được đo đạc phải đảm bảo các yêu cầu quy định chủ yếu như quy định ở Bảng 7, thiết bị dùng để đo đạc là các máy GNSS nêu trong Bảng 5.
Bảng 7 - Các yêu cầu khi đo đạc lưới khống chế mặt bằng phục vụ thi công bằng GNSS tĩnh
| Chỉ tiêu kỹ thuật | Lưới độ chính xác | |||
| Cấp 1 | Cấp 2 | |||
| 1. Góc ngưỡng thu tín hiệu cài đặt trong máy thu (độ) | Tĩnh | 15 | 15 | |
| Tĩnh nhanh | 15 | 15 | ||
| 2. Số vệ tinh tối thiểu trong thời gian đo | Tĩnh | ≥ 4 | ≥ 4 | |
| Tĩnh nhanh | ≥ 5 | ≥ 5 | ||
| 3. Thời gian thu tín hiệu (min) | Máy thu 1 tần số | Tĩnh | ≥ 90 | ≥ 90 |
| Tĩnh nhanh | ≥ 60 | ≥60 | ||
| Máy thu 2 tần số trở lên | Tĩnh | ≥ 60 | ≥ 60 | |
| Tĩnh nhanh | ≥ 45 | ≥ 45 | ||
| 4. Tần suất thu tín hiệu vệ tinh (s) | Tĩnh | 1, 5, 15 | 1, 5, 15 | |
| Tĩnh nhanh | 1, 5, 15 | 1, 5, 15 | ||
| 5. Hệ số suy giảm độ chính xác vị trí vệ tinh (PDOP) | Tĩnh | ≤ 5 | ≤ 5 | |
| Tĩnh nhanh | ≤ 5 | ≤ 5 | ||
| 6. Tâm pha ăng-ten máy thu GNSS được định tâm với sai số, mm | ≤ 1 | ≤ 1 | ||
| 7. Đo chiều cao ăng-ten a) | Trước và sau ca đo | Trước và sau ca đo | ||
| a) Đọc số đến milimét, chênh lệch giữa hai lần đọc số không quá 2 mm. | ||||
9.3.2 Số lần đo lặp trung bình tại trạm máy khi đo đạc lưới khống chế mặt bằng phục vụ thi công theo quy định tại Bảng 3.
9.4 Đo đạc lưới khống chế phục vụ quan trắc chuyển dịch ngang công trình
9.4.1 Ngoài các yêu cầu quy định tại 9.1, lưới khống chế phục quan trắc chuyển dịch ngang công trình được đo đạc phải đảm bảo các yêu cầu quy định như quy định ở Bảng 8, thiết bị dùng để đo đạc là các máy GNSS nêu ở Bảng 5.
Bảng 8 - Các yêu cầu khi đo đạc lưới quan trắc chuyển dịch ngang công trình bằng công nghệ GNSS tĩnh
| Chỉ tiêu kỹ thuật | Lưới độ chính xác | |||||
| Cấp 1 | Cấp 2 | Cấp 3 | Cấp 4 | |||
| 1. Góc ngưỡng thu tín hiệu cài đặt trong máy thu (độ)a) | Tĩnh | 10 | 10 | 10 ÷ 15 | 10 ÷ 15 | |
| Tĩnh nhanh | - | - | - | 10 ÷ 15 | ||
| 2. Số vệ tinh tối thiểu trong thời gian đo | Tĩnh | ≥ 6 | ≥ 6 | ≥ 5 | ≥ 4 | |
| Tĩnh nhanh | - | - | - | ≥ 5 | ||
| 3. Thời gian thu tín hiệu (min) | Máy thu 1 tần số | Tĩnh | - | - | ≥ 120 | ≥ 90 |
| Tĩnh nhanh | - | - | - | ≥ 60 | ||
| Máy thu 2 tần số trở lên | Tĩnh | ≥ 150 | ≥ 120 | ≥ 90 | ≥ 60 | |
| Tĩnh nhanh | - | - | - | ≥ 45 | ||
| 4. Tần suất thu tín hiệu vệ tinh (s) | Tĩnh | 1, 5, 15 | 1, 5, 15 | 1, 5, 15 | 1, 5, 15 | |
| Tĩnh nhanh | - | - | - | 1, 5, 15 | ||
| 5. Hệ số suy giảm độ chính xác vị trí vệ tinh (PDOP) | Tĩnh | ≤ 4 | ≤ 4 | ≤ 5 | ≤ 5 | |
| Tĩnh nhanh | - | - | - | ≤ 5 | ||
| 6. Tâm pha ăng-ten máy thu GNSS được định tâm với sai số, mm | Định tâm bắt buộc | ≤ 1 | ≤ 1 | ≤ 1 | ||
| 7. Đo chiều cao ăng-ten b) | Trước và sau ca đo | Trước và sau ca đo | Trước và sau ca đo | Trước và sau ca đo | ||
| a) Khuyến khích cài đặt góc ngưỡng thu tín hiệu trong máy thu là 10° cho tất cả các trường hợp [2]. b) Đọc số đến milimét, chênh lệch giữa hai lần đọc số không quá 2 mm. | ||||||
9.4.2 Số lần đo lặp trung bình tại trạm máy khi đo đạc lưới khống chế quan trắc chuyển dịch ngang công trình theo quy định tại Bảng 4.
9.5 Đo đạc lưới độ cao kỹ thuật bằng công nghệ GNSS tĩnh
9.5.1 Công nghệ GNSS tĩnh sử dụng đề truyền độ cao cấp kỹ thuật theo lưới riêng hoặc kết hợp đồng thời trong quá trình đo lưới khống chế tọa độ bằng công nghệ GNSS tĩnh.
9.5.2 Các yêu cầu kỹ thuật đo đạc lưới độ cao kỹ thuật bằng công nghệ GNSS tĩnh như đối với đo lưới cơ sở cấp 1, lưới cơ sở cấp 2 trong lập lưới khảo sát công trình.
9.5.3 Lưới độ cao kỹ thuật sử dụng công nghệ GNSS tĩnh còn phải tuân thủ về điểm gốc độ cao, mô hình Geoid, xử lý số liệu và tính toán bình sai theo quy định tại 12.4.7.
10 Công tác đo GNSS động
10.1 Đo lưới đo vẽ cấp 2 trong thành lập lưới khảo sát công trình bằng kỹ thuật đo GNSS động xử lý sau và kỹ thuật đo GNSS động thời gian thực.
10.1.1 Khi đo lưới đo vẽ cấp 2 bằng kỹ thuật đo GNSS động phải sử dụng thiết bị do các hãng chuyên dụng chế tạo và được kiểm nghiệm thực tế ở Việt Nam. Bộ thiết bị đo bao gồm các máy thu tín hiệu vệ tinh GNSS loại thu được trị đo Code và trị đo Phase, 1 tần số hoặc đa tần số, có sai số đo cạnh nhỏ hơn hoặc bằng (10 mm + 1 ppm x D), D là chiều dài cạnh đo tính bằng kilômét (km) và các thiết bị điều khiển có chức năng đo GNSS động.
10.1.2 Kỹ thuật đo GNSS động xử lý sau tại mỗi trạm đo yêu cầu phải sử dụng 2 máy thu tín hiệu vệ tinh tại 02 trạm gốc để cùng với các điểm trạm động tại các điểm đo mới tạo thành các tam giác khép kín.
10.1.3 Kỹ thuật đo GNSS động thời gian thực sử dụng 1 trạm gốc, trong quá trình đo tại mỗi trạm phải đo nối vào ít nhất 2 điểm gốc tọa độ và độ cao thuộc lưới đo vẽ cấp 1 trở lên, phân bố cân đối ở vị trí khống chế khu vực trạm đo theo chế độ đo điểm khống chế ít nhất 20 trị đo trong điều kiện được phép đo để quy chuẩn về hệ tọa độ địa phương nếu không có trước các tham số tính chuyển chính xác giữa hệ tọa độ thế giới (WGS-84) và hệ tọa độ địa phương.
10.1.4 Điểm trạm gốc phải là điểm tọa độ, độ cao có độ chính xác từ điểm lưới đo vẽ cấp 1 trở lên, có điều kiện thông thoáng bầu trời đảm bảo có khả năng thu được tín hiệu của hầu hết các vệ tinh có tại thời điểm đo tại khu vực đặt trạm gốc.
10.1.5 Nếu không có đủ điểm gốc có điều kiện thu tín hiệu vệ tinh tốt, được phép đặt trạm gốc tại điểm chưa có tọa độ nhưng có điều kiện thu tín hiệu vệ tinh tốt và phải đo trùng vào các điểm gốc trong khu đo để đảm bảo trạm đo có ít nhất 3 điểm gốc thuộc lưới đo vẽ cấp 1 trở lên, phân bố đều ở các vị trí khống chế toàn bộ trạm đo để bình sai lưới (đối với đo động xử lý sau) và để quy chuẩn về hệ thống tọa độ địa phương (đối với đo động thời gian thực). Việc đo tại các điểm phải được tiến hành trong điều kiện được phép đo, theo chế độ đo điểm khống chế ít nhất 20 trị đo. Ăng-ten tại trạm gốc và ăng-ten trạm động phải được định tâm có sai số nhỏ hơn hoặc bằng 5 mm, chiều cao ăng-ten xác định đến milimét.
10.1.6 Các điểm mới của lưới đo vẽ cấp 2 phải được thiết kế và đo theo từng cặp thông hướng hoặc thông hướng với 1 điểm cấp cao hơn, có quy tắc đặt tên điểm thống nhất, được đánh dấu bằng cọc gỗ, đóng đinh, sơn để đảm bảo nhận dạng đúng và định tâm chính xác, có khoảng cách giữa 2 điểm phù hợp đảm bảo đo đạc chi tiết bằng phương pháp toàn đạc hiệu quả nhất.
10.1.7 Khoảng cách lớn nhất từ trạm gốc đến điểm lưới đo vẽ cấp 2 không quá 5 km đối với đo vẽ bản đồ tỷ lệ 1:500, 1:1 000 và không quá 10 km đối với đo vẽ bản đồ địa hình tỷ lệ 1:2 000, 1:5 000. Chỉ được phép tiến hành đo trong điều kiện được phép đo và đo theo chế độ đo điểm khống chế ít nhất 20 trị đo.
10.1.8 Sau khi hoàn thành việc đo đạc thực địa, kết quả đo lưới đo vẽ cấp 2 bằng kỹ thuật đo GNSS động xử lý sau được xử lý, tính toán bình sai với các chỉ tiêu kỹ thuật như đối với lưới đo vẽ cấp 2 sử dụng kỹ thuật đo GNSS tĩnh. Kết quả đo lưới đo vẽ cấp 2 bằng kỹ thuật đo GNSS động thời gian thực được lập thành báo cáo trong đó bao gồm danh mục điểm, các thông số chính của trạm đo: điểm trạm gốc, các điểm quy chuẩn, sai sổ tại các điểm quy chuẩn phục vụ cho việc lập báo cáo kỹ thuật.
10.1.9 Kỹ thuật đo GNSS động xử lý sau và đo GNSS động thời gian thực được áp dụng cho đo chi tiết địa hình, địa vật, chuyển điểm thiết kế ra thực địa tại những khu vực không bị che khuất bầu trời và luôn ở chế độ được phép đo. Khoảng cách từ trạm gốc đến điểm đo không quá 5 km đối với đo vẽ bản đồ tỷ lệ 1:500, 1:1 000 và không quá 10 km đối với đo vẽ bản đồ địa hình tỷ lệ 1:2 000, 1:5 000 và chỉ đo trong vùng khống chế của các điểm gốc.
10.2 Đo vẽ chi tiết thành lập bản đồ địa hình tỷ lệ lớn phục vụ thiết kế công trình xây dựng sử dụng mạng lưới trạm định vị vệ tinh quốc gia (lưới trạm CORS).
10.2.1 Mạng lưới trạm định vị vệ tinh quốc gia cung cấp dịch vụ đo động thời gian thực trong hệ tọa độ quốc gia VN-2000, hệ độ cao quốc gia thông qua việc ứng dụng các giải pháp công nghệ mạng như: VRS hoặc theo trạm đơn Single Base v.v. cho người sử dụng.
10.2.2 Dịch vụ đo động thời gian thực được sử dụng trong đo đạc thành lập bản đồ địa hình tỉ lệ lớn phục vụ thiết kế công trình xây dựng. Khi sử dụng dịch vụ đo động thời gian thực, các phương tiện đo GNSS di động phải thỏa mãn các yêu cầu cơ bản sau:
- Là phương tiện đo GNSS động đa tần, thu được đầy đủ tín hiệu từ các hệ thống định vị vệ tinh phổ biến như GPS, GLONASS, Galileo, BDS;
- Thu được tín hiệu từ các hệ thống định vị vệ tinh ờ điều kiện thông thoáng.
10.2.3 Độ chính xác khi sử dụng dịch vụ đo động thời gian thực được cung cấp bởi mạng lưới trạm định vị vệ tinh quốc gia nêu trong Bảng 9.
Bảng 9 - Độ chính xác khi sử dụng dịch vụ đo động thời gian thực được cung cấp bởi mạng lưới trạm định vị vệ tinh quốc gia
| Phương thức cải chính | Độ chính xác tuyệt đối, cm | |||
| về mặt phẳng | về độ cao (khi sử dụng mô hình Geoid theo [1]) | |||
| Khu vực k ≤ 80 km | Khu vực k > 80 km | Khu vực đồng bằng | Khu vực miền núi | |
| 1. Trạm tham chiếu ảo, dịch vụ cải chính sử dụng giải pháp công nghệ trạm chính - phụ, dịch vụ cải chính sử dụng giải pháp công nghệ trạm chính - phụ có điều chỉnh | ≥ 3; ≤ 5 | ≥ 4; ≤ 7 | < 10 | < 17 |
| 2. Single Base (áp dụng nếu S ≤ 25 km) | <5 | |||
| Các ký hiệu trong Bảng 9: k là khoảng cách giữa các trạm định vị vệ tinh tham gia xử lý trong mạng lưới để cung cấp dịch vụ đo động thời gian thực; S là khoảng cách từ vị trí phương tiện thu tín hiệu vệ tinh di động đến trạm định vị vệ tinh cố định được sử dụng để cải chính. | ||||
11 Ghi sổ đo ngoại nghiệp
11.1 Nội dung ghi sổ
Nội dung ghi sổ bao gồm các mục sau:
- Tên dự án;
- Tên trạm đo, số hiệu trạm đo;
- Ngày tháng và số hiệu ca đo;
- Thời gian bắt đầu đo, thời gian kết thúc đo (ghi đến giờ (h), phút (min));
- Số hiệu máy thu và loại ăng-ten;
- Độ cao ăng-ten và độ lệch vị trí (nếu có);
- Chiều cao ăng-ten ghi kết quả đo trung bình của lần đo trước và lần đo sau khi thu tín hiệu, lấy đến 0,001 m.
11.2 Các yêu cầu khi ghi sổ đo ngoại nghiệp
- Các số liệu gốc và các mục ghi chép theo quy định phải ghi ngay tại hiện trường thật rõ ràng, sạch sẽ, không được tẩy xoá hoặc chép lại;
- Kết quả thu tín hiệu vệ tinh của các ca đo sau mỗi ngày làm việc phải trút số liệu vào bộ nhớ ngoài hoặc máy tính;
- Các số liệu trút từ máy thu ra không được có bất kỳ một sự can thiệp hoặc xử lý nào.
12 Xử lý số liệu
12.1 Tính véc-tơ cạnh
12.1.1 Việc xử lý số liệu đo GNSS được thực hiện bằng các phần mềm chính hãng của các hãng sản xuất thiết bị công nghệ GNSS của thế giới, được phép phân phối tại Việt Nam. Phải nghiên cứu kỹ hướng dẫn sử dụng của phần mềm và đặc biệt lưu ý đến các khuyến cáo của hãng xây dựng phần mềm cho các trường hợp cụ thể khi xử lý trị đo.
12.1.2 Việc xử lý số liệu đo lưới GNSS phải thực hiện theo phương pháp xử lý tương đối từng cạnh đo với số liệu thu đồng thời từ hai máy thu tín hiệu vệ tinh như sau:
12.1.2.1 Trước khi xử lý khái lược cạnh phải kiểm tra kỹ toàn bộ số liệu đo, sổ đo, kiểm tra sự phù hợp giữa tên điểm, loại ăng-ten, kiểu đo ăng-ten, độ cao ăng-ten, thời gian đo;
12.1.2.2 Phải tận dụng tối đa số lượng trị đo trong các tệp số liệu đo GNSS khi tính toán. Không được tự ý loại bỏ trị đo khi kết quả tính vẫn đảm bảo các chỉ tiêu kỹ thuật mà phần mềm chấp nhận. Trong trường hợp đặc biệt được phép loại bỏ tối đa 25 % tổng số trị đo GNSS thu nhận được, bao gồm loại bỏ một phần hoặc hoàn toàn số liệu của một hay một số vệ tinh, hạn chế khoảng thời gian, nâng cao góc ngưỡng loại bỏ tín hiệu thu được ở vệ tinh thấp nhưng không được sử dụng góc ngưỡng quá 20°;
12.1.2.3 Trong mọi trường hợp, các cạnh được xử lý phải có lời giải được số nguyên đa trị và đạt các chỉ tiêu kỹ thuật quy định của phần mềm xử lý;
12.1.2.4 Được phép loại bỏ một số cạnh sau tính toán khái lược trong trường hợp có các chỉ tiêu không đảm bảo độ tin cậy theo quy định riêng của phần mềm. Cạnh bị loại bỏ phải là cạnh không làm mất tính liên kết chặt chẽ của đồ hình lưới.
12.2 Kiểm tra kết quả tính véc-tơ cạnh
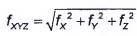
12.2.1 Trong khi chọn mô hình xử lý từng véc-tơ cạnh, đối với cùng một mô hình giải cạnh trong một ca đo thì sai số khép tương đối chiều dài cạnh của bất kỳ hình khép nào cũng không được vượt quá quy định nêu trong Bảng 10.
Bảng 10 - Sai số khép tương đối giới hạn
| n | D, km | |||||||
| 0,10 | 0,15 | 0,20 | 0,50 | 1,00 | 2,00 | 3,00 | 4,00 | |
| 3 | 1:8 100 | 1:12 200 | 1:16 300 | 1:40 600 | 1:80 000 | 1:151 600 | 1:210 000 | 1:255 000 |
| 4 | 1:9 400 | 1:14 100 | 1:18 800 | 1:46 900 | 1:92 400 | 1:175 000 | 1:242 500 | 1:294 500 |
| 5 | 1:10 500 | 1:15 800 | 1:21 000 | 1:52 400 | 1:103 400 | 1:195 700 | 1:271 200 | 1:329 200 |
| 6 | 1:11 500 | 1:17 300 | 1:23 000 | 1:57 400 | 1:113200 | 1:214 400 | 1:297 000 | 1:360 700 |
| Các ký hiệu trong Bảng 10: D là chiều dài trung bình các cạnh trong hình; n là số cạnh trong hình khép. | ||||||||
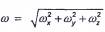
12.2.2 Khi dùng phương thức xử lý riêng từng cạnh hay xử lý nhiều cạnh trong toàn lưới GNSS cũng đều phải chọn các cạnh độc lập tạo thành các vòng đo độc lập; sai số khép tương đối tọa độ thành phần và sai số khép tương đối chiều dài của các vòng đo độc lập phải phù hợp với các quy định sau đây:
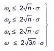
|
| (2) |
trong đó:
σ là độ chính xác chiều dài:
;
ω là sai số khép vòng đo:
;
n là số cạnh trong vòng đo độc lập.
12.2.3 Chênh lệch chiều dài của véc-tơ cạnh đo (ds) không được vượt quá quy định:
|
| (3) |
12.3 Đo bổ sung và đo lại
12.3.1 Bất kỳ nguyên nhân nào tạo thành một điểm khống chế không thể liên kết bởi hai véc-tơ cạnh độc lập đạt yêu cầu thì tại điểm đó phải đo bổ sung hoặc đo lại ít nhất mệt véc-tơ cạnh độc lập.
12.3.2 Có thể loại bỏ véc-tơ cạnh mà chênh lệch chiều dài của véc-tơ cạnh đo lại, sai số khép vòng đo đồng bộ, sai số khép vòng đo độc lập vượt quá hạn sai khi kiểm tra, nhưng phải bảo đảm vòng đo độc lập sau khi loại bỏ véc-tơ cạnh vẫn có số cạnh không vượt quá quy định tại 6.2.4, 6.3.2, 6.4.3 nếu vượt quá quy định đó thì phải đo lại véc-tơ cạnh ấy hoặc hình đồng bộ có liên quan.
12.3.3 Nếu đo vị trí điểm không thoả mãn các yêu cầu đo GNSS mà tại trạm máy đo lại nhiều lần vẫn không thể bảo đảm hạn sai quy định thì có thể dựa vào yêu cầu kỹ thuật chọn thêm điểm mới để tiến hành đo lại.
12.4 Bình sai lưới GNSS
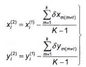
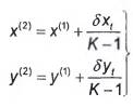
12.4.1 Khi các khoản kiểm tra chất lượng đã phù hợp với yêu cầu thì lấy tất cả các véc-tơ cạnh độc lập tạo thành hình khép kín, lấy véc-tơ 3 chiều của các cạnh và ma trận phương sai - hiệp phương sai của chúng làm thông tin trị đo, lấy tọa độ 3 chiều trong hệ WGS-84 của một điểm làm số liệu khởi tính và tiến hành bình sai lưới GNSS tự do. Kết quả bình sai lưới tự do sẽ cho tọa độ các điểm trong hệ tọa độ WGS-84, số hiệu chỉnh trị đo của 3 số gia tọa độ của véc-tơ cạnh, chiều dài cạnh và thông tin về độ chính xác vị trí điểm. Quá trình này phải tính chuyển từ tọa độ vuông góc không gian (XYZ) về tọa độ và độ cao trắc địa sau đó chuyển về tọa độ vuông góc phẳng X, Y.
12.4.2 Có thể sử dụng tất cả các cạnh đo kể cả các cạnh phụ thuộc để bình sai lưới nếu khẳng định tất cả các cạnh không có sai số thô (sai số do đo độ cao ăng-ten, sai số nhiễu tín hiệu hoặc đa đường dẫn).
12.4.3 Trên cơ sở giá trị của các đại lượng đo đã được xác định qua bình sai lưới tự do, tiến hành bình sai phụ thuộc trong không gian 3 chiều hoặc 2 chiều, trong hệ tọa độ quốc gia hoặc hệ tọa độ khu vực.
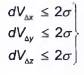
Trong bình sai phụ thuộc, trị tuyệt đối của số hiệu chỉnh (VΔx, VΔy, VΔz) của vectơ cạnh phải thoả mãn các yêu cầu sau đây:
|
| (4) |
Khi vượt hạn sai có thể thấy rằng véc-tơ cạnh ấy hoặc lân cận có chứa sai số thô, cần phải dùng phương pháp đã có trong phần mềm hoặc phương pháp tự đưa ra để loại trừ véc-tơ cạnh có chứa sai số thô cho đến khi thoả mãn yêu cầu trên.
12.4.4 Chênh lệch của số hiệu chỉnh (dVΔx, dVΔy, dVΔz) của véc-tơ cạnh cùng tên trong bình sai ràng buộc và trong bình sai lưới tự do sau khi đã loại trừ sai số thô phải thoả mãn yêu cầu sau đây:
|
| (5) |
12.4.5 Sử dụng điểm khởi tính tọa độ phải phù hợp với hệ quy chiếu sử dụng (về hệ tọa độ và múi chiếu). Đối với lưới GNSS chỉ cần sử dụng một điểm khởi tính là đủ. Nếu sử dụng từ 2 điểm khởi tính trở lên cần xem xét kỹ lưỡng chất lượng của các điểm khởi tính và thực hiện theo các bước bình sai như sau:
12.4.5.1 Phải tiến hành bình sai sơ bộ bằng việc xác định tọa độ và độ cao của tất cả các điểm trong lưới dựa vào 1 điểm gốc khởi tính về tọa độ và 1 điểm gốc khởi tính về độ cao ở khu vực gần lưới nhất. So sánh giá trị tọa độ, độ cao nhận được sau bình sai sơ bộ tại các điểm gốc khác còn lại với giá trị tọa độ, độ cao gốc của các điểm đó để tìm ra các điểm có giá trị sai khác bất thường.
12.4.5.2 Trường hợp khi bình sai sơ bộ phát hiện tồn tại các điểm có sự sai khác bất thường về tọa độ, độ cao phải thực hiện tiếp các bước sau cho đến khi xác định được nguyên nhân:
a) Kiểm tra và xác minh lại gốc về tính chính xác của số liệu gốc;
b) Thay thế điểm gốc được dùng làm khởi tính bằng một điểm gốc khác;
c) Lập các vòng khép mới đi qua điểm gốc được dùng làm khởi tính và điểm có sự sai khác lớn;
d) Xử lý lại các cạnh trong lưới có liên quan;
e) Kiểm tra lại hiện trạng điểm gốc ở thực địa để tránh trường hợp mốc bị biến động hoặc đo nhầm mốc;
f) Trong trường hợp đặc biệt, khi đã tiến hành các biện pháp trên nhưng không đạt yêu cầu thì được phép loại bỏ điểm gốc khi bình sai lưới nếu số điểm gốc còn lại trong lưới vẫn thỏa mãn yêu cầu quy định về số lượng điểm gốc tối thiểu và phải được nêu rõ trong báo cáo kỹ thuật.
12.4.6 Bình sai chính thức lưới GNSS chỉ thực hiện khi đã giải quyết triệt để các tồn tại trong quá trình bình sai sơ bộ. Kết quả bình sai chính thức trong hệ tọa độ vuông góc phẳng cần thoả mãn yêu cầu đã nêu ở 6.2.4, 6.3.2, 6.4.3 đối với các loại lưới cụ thể.
12.4.7 Xử lý độ cao thủy chuẩn các điểm trong đo GNSS tĩnh
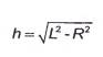
12.4.7.1 Độ cao thủy chuẩn của các điểm trong lưới GNSS được tính từ độ cao trắc địa xác định bằng đo GNSS tĩnh kết hợp với mô hình Geoid và các điểm gốc độ cao quốc gia theo công thức:
| h = H - N | (6) |
trong đó:
h là độ cao thủy chuẩn;
H là độ cao trắc địa đo được bằng công nghệ GNSS;
N là giá trị xác định từ mô hình Geoid.
12.4.7.2 Tùy thuộc vào mô hình Geoid sử dụng, độ cao thủy chuẩn đạt độ chính xác khác nhau. Phải sử dụng mô hình geoid có độ chính xác cao nhất hiện có trong khu vực do cơ quan quản lý nhà nước về đo đạc bản đồ Việt Nam cung cấp. Độ cao thủy chuẩn các điểm trong lưới đạt độ chính xác cấp độ cao kỹ thuật nếu lưới được đo nối vào 3 điểm gốc độ cao hạng IV quốc gia trở lên và sử dụng mô hình Geoid toàn cầu EGM2008 hoặc mô hình Geoid địa phương có độ chính xác phù hợp do cơ quan quản lý về đạc bản đồ Việt Nam công bố.
12.4.7.3 Được phép xây dựng các mô hình Geoid địa phương phủ trùm khu đo để truyền độ cao khi sử dụng công nghệ GNSS. Độ chính xác mô hình Geoid này phải nêu rõ trong thiết kế kỹ thuật.
12.4.7.4 Đối với lưới GNSS ở đồng bằng, trong phạm vi kích thước lưới không quá 2 km và có ít nhất 3 điểm độ cao khởi tính bố trí về các phía khác nhau của mạng lưới, độ chính xác xác định độ cao cho các điểm còn lại trong lưới sẽ đạt độ chính xác tương đương thủy chuẩn hạng IV nếu các điểm khởi tính độ cao được đo nối với độ chính xác thủy chuẩn hạng III.
12.4.8 Trong kết quả bình sai phải đầy đủ các thông tin sau:
- Thông tin về các véc-tơ cạnh (baselines) ΔX, ΔY, ΔZ;
- Sai số khép hình và sai số khép hình yếu nhất;
- Các phương vị cạnh, chiều dài cạnh, hiệu số độ cao và các số hiệu chỉnh tương ứng;
- Tọa độ vuông góc không gian XYZ;
- Tọa độ và độ cao trắc địa B, L, H;
- Tọa độ vuông góc phẳng và độ cao sau bình sai;
- Đánh giá sai số cạnh, sai số tương đối cạnh và sai số phương vị cạnh sau bình sai.
12.4.9 Trong trường hợp hệ tọa độ công trình không theo hệ tọa độ quốc gia, tọa độ sau bình sai bằng phần mềm xử lý lưới GNSS cần chuyển về hệ tọa độ công trình theo phương pháp định vị tối ưu nhờ ít nhất 3 điểm song trùng (là các điểm có tọa độ trong cả hai hệ). Các điểm song trùng cần bố trí đều về các phía trên vùng biên của mạng lưới.
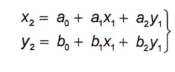
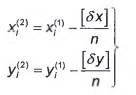
- Tọa độ các điểm lưới GNSS sau bình sai chuyển về hệ tọa độ của công trình theo phương pháp định vị tối ưu, có thể sử dụng công thức chuyển đổi tọa độ phẳng bốn tham số có dạng:
|
| (7) |
- Để xác định các tham số chuyển đổi X0, Y0, φ và m trong công thức (7) phải sử dụng phương pháp số bình phương nhỏ nhất.
- Có thể sử dụng công thức afin bậc nhất để chuyển đổi tọa độ giữa hai hệ tọa độ vuông góc phẳng. Công thức có dạng:
|
| (8) |
Các tham số a0, a1, a2, b0, b1, b2 trong công thức (8) cần phải xác định theo phương pháp số bình phương nhỏ nhất dựa vào các điểm song trùng.
13 Báo cáo kết quả đo
13.1 Sau khi đã kết thúc toàn bộ công tác đo GNSS cần viết báo cáo tổng kết kỹ thuật với nội dung bao gồm:
- Phần I: Nội dung công việc và biện pháp thực hiện;
- Phần II: Các kết quả xử lý số liệu GNSS;
- Phần III: Kết luận và kiến nghị.
13.2 Trong phần nội dung công việc và biện pháp thực hiện cần nêu rõ các điểm sau đây:
- Mục đích, yêu cầu đo GNSS;
- Tình hình khu đo, điều kiện địa lý, tự nhiên;
- Nhiệm vụ được giao, tài liệu trắc địa đã có của khu đo, mục đích đo và yêu cầu độ chính xác;
- Đơn vị thi công đo đạc, thời gian bắt đầu đo, luận cứ kỹ thuật, tình hình đội ngũ cán bộ kỹ thuật, loại hình và số lượng máy thu, tình trạng kiểm nghiệm, phương pháp đo, số ca đo, số điểm gốc, tình trạng đo bổ sung, đo lại, hoàn cảnh đo, các điểm trùng và khối lượng công việc đã thực hiện;
- Tình trạng kiểm tra số liệu ngoại nghiệp, số liệu gốc, nội dung phương pháp và phần mềm hậu xử lý số liệu;
- Phân tích số liệu đo ngoại nghiệp và tính toán kiểm tra tại thực địa;
- Tình hình thực hiện phương án và chấp hành quy trình kỹ thuật.
13.3 Trong phần các kết quả xử lý số liệu GNSS cần phải thể hiện đầy đủ các nội dung sau:
Kết quả bình sai lưới được phép sử dụng mẫu các báo cáo (Report) của các phần mềm xử lý GNSS sử dụng hoặc được biên tập, tổ chức thành các nhóm thông tin sau:
- Các thông số cơ bản về lưới;
- Kết quả xử lý cạnh;
- Sai số khép hình;
- Kết quả bình sai chiều dài cạnh, phương vị, chênh cao;
- Kết quả bình sai tọa độ, độ cao.
13.4 Kết luận và kiến nghị
- Phần kết luận: Phải đánh giá được chất lượng công việc đo GNSS, mức độ hoàn thành công việc đề ra.
- Phần kiến nghị: Trên cơ sở các kết luận đã nêu cần kiến nghị với cơ quan chủ quản về khả năng khai thác các tài liệu đo GNSS và các công việc cần làm tiếp theo (nếu có).
Phụ lục A
(tham khảo)
Quy cách và dấu mốc GNSS
Kích thước tính bằng milimét

Hình A.1 - Cấu tạo mốc GNSS
Kích thước tính bằng milimét

Hình A.2 - Dấu mốc GNSS bằng thép
Kích thước tính bằng milimét

Hình A.3 - Cấu tạo mốc GNSS cấp 1, cấp 2
Kích thước tính bằng milimét

Hình A.4 - Cấu tạo mốc GNSS gắn vào núi đá
Kích thước tính bằng milimét

CHÚ DẪN:
| 1 Mặt bích dày 18, D = 230 | 2 Ống thép Φ219 dày 10, L = 500 | 3 3Φ14 CB300V, L= 1700 |
| 4 Bê tông B12,5 (M150) | 5 Bê tông B7,5 (M100) dày 100, phủ lớp vữa xi măng dày 30; | |

CHÚ DẪN:
1 Trụ xây 220x220 2 Ống thoát nước PVC Φ40
3 Tường xây 4 Lỗ hình côn: trên Φ16, dưới Φ 18
Hình A.5 - Cấu tạo mốc GNSS dùng làm mốc chuẩn quan trắc chuyển dịch ngang (mốc dạng định tâm bắt buộc)
Phụ lục B
(tham khảo)
Bảng điều độ đo GNSS (ca đo thiết kế)
Bảng B.1-Điều độ đo GNSS
| Lần đo | Thời điểm đo từ ... đến ... | Tên và số hiệu điểm đo | Tên và số hiệu điểm đo | Tên và số hiệu điểm đo | Tên và số hiệu điểm đo | Tên và số hiệu điểm đo | Tên và số hiệu điểm đo |
| Số máy | Số máy | Số máy | Số máy | Số máy | Số máy | ||
| 1 |
|
|
|
|
|
|
|
|
|
|
|
|
|
|
|
|
| 2 |
|
|
|
|
|
|
|
|
|
|
|
|
|
|
|
|
| 3 |
|
|
|
|
|
|
|
|
|
|
|
|
|
|
|
|
| 4 |
|
|
|
|
|
|
|
|
|
|
|
|
|
|
|
|
| 5 |
|
|
|
|
|
|
|
|
|
|
|
|
|
|
|
|
| 6 |
|
|
|
|
|
|
|
|
|
|
|
|
|
|
|
|
| 7 |
|
|
|
|
|
|
|
|
|
|
|
|
|
|
|
|
| 8 |
|
|
|
|
|
|
|
|
|
|
|
|
|
|
|
|
Phụ lục C
(tham khảo)
Mẫu bảng thống kê số liệu đo GNSS
MẪU BẢNG THỐNG KÊ SỐ LIỆU ĐO
Khu đo: …………………
| Số hiệu điểm/ Tên điểm | Tên file trạm đo | Ngày đo | Thời gian đo | Loại máy thu (part number) | Loại ăng- ten (part number) | Chiều cao ăng-ten (m) | Phương pháp đo chiều cao ăng-ten | |
| Bắt đầu | Kết thúc | |||||||
| 1. GPS-01 | 97723255 | 21-11- 2019 | 14h00m | 15h04m | Trimble 5700 | Zephyr Geodetic | 1.510 | Đo nghiêng đến mép dưới ăng-ten |
| 2. GPS-02 | 76303251 | 21-11- 2019 | 14h08m | 16h41m | Trimble 5700 | P/N 39105 | 1.445 | Đo thẳng đến đáy ăng-ten (ARP) |
| 3. GPS-03 | 76303263 | 21-11- 2019 | 10h17m | 10h58m | Trimble 5700 | Zephyr | 1.469 |
|
| 4. II-1 | 76303261 | 22-11- 2019 | 07h33m | 08h04m | Trimble 5700 | Zephyr Geodetic | 1.486 |
|
| 5. II-2 | 97723262 | 22-11- 2019 | 07h34m | 08h05m | Trimble 4000 SSE | Compact L1/L2 | 1.550 |
|
| 6. II-3 | 76233260 | 22-11- 2019 | 07h31m | 09h07m | Trimble 5700 | P/N 39105 | 1.499 |
|
| 7. II-4 | 82793263 | 22-11- 2019 | 08h16m | 09h07m | Trimble 5700 | Zephyr | 1.523 |
|
| 8. II-5 | 97723263 | 22-11- 2019 | 08h26m | 09h06m | Trimble 5700 | Zephyr Geodetic | 1.530 |
|
Phụ lục D
(tham khảo)
Phương pháp kiểm định độ ổn định của máy bằng cách đo trên chiều dài chuẩn
D.1 Nội dung phương pháp
Khi kiểm nghiệm,có máy chia đều công suất (gọi tắt là máy chia công suất) để tách tín hiệu thu được của 1 ăng-ten thành hai hoặc nhiều đường có công suất pha như nhau, sau đó dùng cách xử lý sai phân bậc hai để xử lý số liệu tính ra gia số tọa độ, tính ra chiều dài cạnh so với chiều dài chuẩn đã có để phát hiện ra sai số trong nội bộ máy thu. Với cách đo như vậy đã loại trừ sai số đồ hình vệ tinh, độ lệch của tâm ăng-ten, sai số trễ thời gian của tín hiệu, sai số của tín hiệu thứ phát, sai số dọi tâm máy v.v. vì vậy cũng là phương pháp kiểm nghiệm sai số đồng hồ của máy thu, độ trễ thời gian của tín hiệu trong nội bộ máy và các sai sổ liên quan đến đường điện trong máy.
D.2 Cách bố trí đo

Hình D.1 - Sơ đồ chia công suất
D.2.1 Chọn nơi có góc cao của vệ tinh lớn hơn 15°, không có vật che khuất để đặt ăng-ten. Nối giữa ăng-ten và máy chia công xuất như Hình D.1.
D.2.2 Nối điện hai máy thu ở hai đầu chiều dài chuẩn, cùng thu tín hiệu của bốn vệ tinh trở lên trong vòng 1 h đến 1,5 h.
D.2.3 Đổi vị trí, nối điện từ máy chia công suất đến máy thu, đo một lần nữa.
D.2.4 Dùng phần mềm chuyên dùng tính ra tọa độ, chiều dài của cạnh chuẩn, số chênh phải nhỏ hơn mm nếu lớn hơn đưa về xưởng sửa chữa hoặc hạ cấp dùng.
Phụ lục E
(tham khảo)
Kiểm định độ ổn định của tâm pha ăng-ten
E.1 Nội dung này thực hiện trên bãi có chiều dài chuẩn.
E.2 Khi kiểm định dùng hai máy và ăng-ten đặt ở hai đầu cạnh chuẩn. Dọi tâm chính xác, vạch mốc của ăng-ten hướng về phía Bắc. Đo một đoạn thời gian sau đó đổi máy và ăng-ten đo một lần nữa. Nếu bãi chuẩn có chiều dài vuông góc với chiều dài đã đo, đo một lần nữa như trên. Nếu không có chiều dài thứ hai như trên thì một ăng-ten cố định chỉ hướng bắc, ăng-ten thứ hai lần lượt thuận chiều kim đồng hồ quay 90°, 180°, 270° đo như trên.
E.3 Dùng phần mềm chuyên dùng tính ra các thành phần tọa độ ba chiều, gia số tọa độ và chiều dài cạnh, số chênh không được vượt quá hai lần sai số tiêu chuẩn của máy. Nếu vượt quy định đưa về xưởng sữa chữa hoặc hạ cấp sử dụng.
Phụ lục F
(tham khảo)
Kiểm nghiệm và hiệu chỉnh dọi tâm quang học
F.1 Phương pháp kiểm nghiệm
Đem đế máy đặt lên để 3 chân, cân bằng. Dùng bút chì vẽ đường viền của máy lên trên mặt giá 3 chân. Trên nền đất để 1 tờ giấy kẻ li, đọc ra vị trí của trục quang học máy dọi điểm. Nới ốc hãm chuyển đế máy xuống vị trí khác sao cho đường viền trên giá 3 chân vẫn bao để máy, cân lại máy, đọc ra vị trí trục quang học, chuyển để máy đến vị trí thứ 3 làm như trên. Nếu ba vị trí trục quang học trùng nhau là được, nếu có tam giác sai số phải hiệu chỉnh.
F.2 Phương pháp hiệu chỉnh
Xác định tâm của tam giác sai số, vặn hai ốc giữa chữ thập của bộ phận dọi tâm, xê dịch nhẹ cho tâm chữ thập trùng với tâm tam giác sai số, làm đi làm lại cho tới khi chuẩn xác.
Phụ lục G
(tham khảo)
Yêu cầu và phương pháp đo độ cao ăng-ten
G.1 Khi đặt ăng-ten lên bệ máy dùng thước thép đã kiểm định đo hai lần khoảng cách từ tâm mốc đến mặt của bệ máy, hai lần đo chênh nhau 2 mm thì lấy trung bình được h1, đo độ dày của ăng-ten h2, và đo từ cạnh phía trên ăng-ten đến đỉnh cao nhất của ăng-ten h3, độ cao ăng-ten là:
| h = h1 + h2 + h3 | (G.1) |
G.2 Khi lắp ăng-ten lên giá 3 chân đo bằng sào đo
G.2.1 Khi có sào đo chuyên dùng trực tiếp đo chiều cao ăng-ten từ tâm mốc đến vạch chỉ định trên ăng-ten.
G.2.2 Có thể dùng sào đo, đo ba vị trí cách nhau 120° khoảng cách từ tâm mốc đến vạch chỉ định trên ăng-ten, ba lần đo chênh nhau nhỏ hơn 2 mm lấy trung bình được L, biết bán kính của ăng-ten là R, độ cao ăng-ten là:
|
| (G.2) |
G.2.3 Khi không có thước chuyên dùng dùng thước thép nhỏ đo khoảng cách từ tâm mốc đến ba vị trí thành 120° trên giá ba chân chênh nhau nhỏ hơn 2 mm lấy trung bình được L, đo độ cao từ đáy ăng-ten đến đỉnh ăng-ten là h3 biết bán kính ăng-ten R thì độ cao ăng-ten là:
|
| (G.3) |
G.3 Khi đặt ăng-ten trên bệ đo, dùng thước thép nhỏ đo khoảng cách từ tâm mốc đến phía dưới ăng-ten là h', sau đó cộng thêm độ dày của ăng-ten là h" và có:
| h=h'+h" | (G.4) |
Phụ lục H
(tham khảo)
Kết quả đo thực nghiệm và xử lý số liệu lưới đo vẽ cấp 1 trong khảo sát công trình bằng công nghệ GNSS tĩnh
H.1 Sơ đồ mạng lưới đo GNSS

Hình H.1 - Sơ đồ mạng lưới đo GNSS
H.2 Công tác đo đạc thực địa
Các điểm IV-1, IV-2, IV-3, IV-4 là các điểm khống chế cơ sở cấp 2 đã có ở khu vực đo đạc khảo sát địa hình, tọa độ của chúng được cho trong hệ tọa độ VN-2000, phép chiếu UTM, múi chiếu 3°, kinh tuyến trục 107°45'. Các điểm này được đo dẫn thủy chuẩn Hạng IV quốc gia đến. Tọa độ và độ cao của các điểm IV-1, IV-2, IV-3, IV-4 được thể hiện trong Bảng H.1.
Bảng H.1 - Tọa độ và độ cao các điểm gốc
| Số hiệu điểm | Tọa độ, độ cao | ||
| x (m) | y (m) | h (m) | |
| IV-1 | 2 315 726,884 | 421 567,535 | 2,862 |
| IV-2 | 2 315 495,119 | 421 425,271 | 2,110 |
| IV-3 | 2 315 122,763 | 421 063,709 | 2,153 |
| IV-3 | 2 314 858,285 | 421 000,576 | 2,118 |
Việc đo các điểm lưới đo vẽ cấp 1 được thực hiện vào ngày 26 tháng 06 năm 2020 bằng bốn máy thu loại một tần số TRIMBLE R3 có số hiệu 4611106487; 4618107429; 4618107440 và 4618107431. Việc quan trắc các vệ tinh được thực hiện trong điều kiện thời tiết tốt, tất cả các cạnh được đo trong bốn ca đo theo sơ đồ mạng lưới đã được lập.
H.3 Kết quả tính toán và bình sai lưới
H.3.1 Tính cạnh
Các cạnh đo được xử lý bằng mô đun Process Baselines trong phần mềm Trimble Business Center 5.2. Trước hết sử dụng chế độ xử lý mặc định, đối với những cạnh không đạt mới thực hiện tính toán can thiệp nâng cao.
Sau khi tính cạnh nhận được 23 cạnh, tất cả đều cho lời giải FIXED.
RMS lớn nhất là 0,015 m, PDOP lớn nhất là 5,989.
H.3.2 Tính kiểm tra
Việc kiểm tra kết quả đo được thực hiện qua việc tính sai số khép của các hình khép kín. Kết quả tính sai số khép tọa độ fx, fy, fz cho các hình tam giác được trình bày trong Bảng H.3. Sai số khép hình tương đối lớn nhất là 1:21 532, như vậy tất cả các trị đo cạnh có chất lượng rất tốt, được chấp nhận để bình sai lưới.
H.3.3 Bình sai lưới
Công tác bình sai lưới được thực hiện bằng mô đun Adjust Network thuộc phần mềm Trimble Business Center 5.2. Lưới được bình sai trong hệ tọa độ VN-2000, phép chiếu UTM, múi chiếu 3° (m0 = 0,999 9), trên Ellipsoid WGS-84, kinh tuyến trục là 107°45'. Tọa độ và độ cao của các điểm khống chế cơ sở cấp 2 thể hiện trong Bảng H.1 được sử dụng làm các điểm khống chế tọa độ, độ cao gốc để tính toán bình sai lưới.
Trọng số được tính đối với tất cả các trị đo GNSS (All GPS Solution) theo phương pháp lựa chọn (alternative). Sau khi tính nhận được sai số trung phương đơn vị trọng số (Network Reference Factor) là 1,0 và kết quả thử
(Chi - Square) với α = 95 % là PASS.
Kết quả xử lý sơ đồ mạng lưới đo GNSS ở Hình H.1 bằng phần mềm Trimble Business Center 5.2 được thống kê từ bảng H.2 đến bảng H.8 theo phần mềm biên tập chuyên dụng.
Kết quả đánh giá độ chính xác
| - Sai số trung phương trong số đơn vị: | 1,0; |
| - Cạnh ngắn nhất: | 122,320 m; Cạnh (IV-2 - GPS-05); |
| - Cạnh dài nhất: | 677,459 m; Cạnh (IV-4 - GPS-02); |
| - Chiều dài cạnh trung bình: | 293,015 m; |
| - Sai số tương đối cạnh nhỏ nhất: | 1: 225 534; Cạnh (IV-4 - GPS-02); |
| - Sai số tương đối cạnh lớn nhất: | 1: 33 495; Cạnh (GPS-04 - GPS-03); |
| - Sai số phương vị nhỏ nhất: | 1,007"; Cạnh (IV-4 - GPS-02); |
| - Sai số phương vị lớn nhất: | 6,406"; Cạnh (IV-2 - GPS-05). |
Bảng H.2 - Bảng trị đo gia số tọa độ và các chỉ tiêu sai số
| Hệ tọa độ vuông góc không gian | Ellipsoid qui chiếu: WGS-84 |
| Thứ tự | Ca đo | Điểm đầu | Điểm cuối | DX (m) | DY (m) | DZ (m) | RMS | Max PDOP |
| 1 | 1781 | IV-2 | GPS-06 | 20,148 | -63,749 | 177,653 | 0,010 | 3,464 |
| 2 | 1781 | IV-2 | IV-3 | 305,039 | 232,988 | -349,363 | 0,014 | 2,424 |
| 3 | 1781 | IV-2 | GPS-04 | 223,122 | 169,163 | -252,474 | 0,014 | 2,404 |
| 4 | 1781 | IV-2 | GPS-01 | 171,183 | 23,490 | 77,683 | 0,010 | 3,464 |
| 5 | 1781 | IV-2 | GPS-05 | 98,798 | 50,709 | -51,288 | 0,010 | 3,345 |
| 6 | 1781 | IV-2 | 1V-1 | -110,944 | -120,014 | 217,365 | 0,011 | 3,464 |
| 7 | 1782 | GPS-06 | IV-1 | -131,065 | -56,272 | 39,702 | 0,009 | 3,037 |
| 8 | 1782 | GPS-06 | GPS-01 | 151,062 | 87,232 | -99,981 | 0,008 | 2,755 |
| 9 | 1790 | IV-3 | IV-4 | 31,555 | 108,496 | -247,325 | 0,015 | 3,343 |
| 10 | 1790 | IV-3 | GPS-02 | 32,851 | -139,451 | 383,156 | 0,013 | 3,359 |
| 11 | 1790 | IV-3 | GPS-05 | -206,238 | -182,282 | 298,074 | 0,014 | 3,345 |
| 12 | 1790 | IV-3 | GPS-04 | -81,914 | -63,826 | 96,889 | 0,014 | 2,404 |
| 13 | 1790 | IV-3 | GPS-03 | 29,293 | -59,983 | 174,763 | 0,014 | 3,021 |
| 14 | 1791 | GPS-04 | GPS-01 | -51,937 | -145,650 | 330,162 | 0,009 | 2,737 |
| 15 | 1791 | GPS-04 | GPS-05 | -124,324 | -118,458 | 201,185 | 0,014 | 3,345 |
| 16 | 1791 | GPS-01 | GPS-02 | 166,694 | 70,041 | -43,904 | 0,010 | 3,089 |
| 17 | 3272 | IV-1 | GPS-01 | 282,128 | 143,502 | -139,683 | 0,009 | 2,755 |
| 18 | 3270 | GPS-02 | GPS-03 | -3,565 | 79,484 | -208,384 | 0,012 | 5,452 |
| 19 | 3270 | GPS-02 | GPS-04 | -114,759 | 75,620 | -286,257 | 0,011 | 3,089 |
| 20 | 3270 | GPS-02 | IV-4 | -1,289 | 247,942 | -630,485 | 0,014 | 3,359 |
| 21 | 1792 | GPS-03 | GPS-04 | -111,194 | -3,874 | -77,873 | 0,011 | 5,989 |
| 22 | 1792 | GPS-03 | GPS-01 | -163,131 | -149,523 | 252,287 | 0,010 | 5,989 |
| 23 | 1792 | GPS-03 | IV-4 | 2,263 | 168,479 | -422,088 | 0,014 | 3,343 |
| Các ký hiệu trong Bảng H.2: DX, DY, DZ là các trị đo gia số tọa độ trong hệ tọa độ vuông góc không gian. | ||||||||
| CHÚ THÍCH: RMS lớn nhất: (IV-3 - IV-4) RMS = 0,015 RMS nhỏ nhất: (GPS-06 - GPS-01) RMS = 0,008 Max PDOP lớn nhất: (GPS-03 - GPS-04) Max PDOP = 5,989 Max PDOP nhỏ nhất: (IV-2 - GPS-04) Min PDOP = 2,404 | ||||||||
Bảng H.3 - Bảng sai số khép hình tam giác
| Hệ tọa độ vuông góc không gian | Ellipsoid qui chiếu: WGS-84 |
| Thứ tự | Số hiệu vòng khép | fx (m) | fy (m) | fz (m) | fXYZ | [D] (m) | fxyz:[D] | ||
| 1 | IV-2 | GPS-06 | IV-1 | 0,021 | -0,007 | -0,011 | 0,025 | 609,8 | 1: 24 692 |
| 2 | IV-2 | GPS-06 | GPS-01 | 0,027 | -0,006 | -0,011 | 0,024 | 580,3 | 1: 23 736 |
| 3 | IV-2 | IV-3 | GPS-05 | 0,001 | -0,003 | -0,001 | 0,003 | 1 047,1 | 1: 333 793 |
| 4 | IV-2 | IV-3 | GPS-04 | 0,001 | -0,001 | 0,000 | 0,001 | 1 038,1 | 1: 745 289 |
| 5 | IV-2 | GPS-04 | GPS-01 | 0,002 | 0,023 | 0,004 | 0,024 | 931,0 | 1: 39 257 |
| 6 | IV-2 | GPS-04 | GPS-05 | 0,000 | -0,004 | -0,001 | 0,004 | 763,8 | 1: 203 784 |
| 7 | IV-2 | GPS-01 | IV-1 | -0,001 | 0,002 | 0,001 | 0,003 | 807,4 | 1: 316 680 |
| 8 | GPS-06 | IV-1 | GPS-01 | 0,002 | -0,003 | -0,001 | 0,003 | 695,1 | 1: 207 885 |
| 9 | IV-3 | IV-4 | GPS-02 | -0,007 | 0,005 | 0,003 | 0,009 | 1 358,5 | 1: 149 138 |
| 10 | IV-3 | IV-4 | GPS-03 | -0,001 | 0,000 | 0,001 | 0,001 | 913,5 | 1; 630 352 |
| 11 | IV-3 | GPS-02 | GPS-03 | -0,008 | 0,016 | 0,010 | 0,021 | 819,2 | 1: 39 875 |
| 12 | IV-3 | GPS-02 | GPS-04 | 0,005 | -0,005 | 0,012 | 0,014 | 868,6 | 1: 61 230 |
| 13 | IV-3 | GPS-05 | GPS-04 | -0,001 | 0,001 | 0,000 | 0,001 | 812,3 | 1; 567 302 |
| 14 | IV-3 | GPS-04 | GPS-03 | -0,013 | 0,017 | -0,001 | 0,021 | 464,9 | 1: 21 532 |
| 15 | GPS-04 | GPS-01 | GPS-02 | -0,002 | 0,011 | 0,002 | 0,011 | 868,2 | 1: 76 707 |
| 16 | GPS-04 | GPS-01 | GPS-03 | -0,001 | -0,001 | 0,001 | 0,002 | 836,0 | 1: 471 766 |
| 17 | GPS-04 | GPS-02 | GPS-03 | 0,001 | 0,009 | 0,001 | 0,009 | 676,4 | 1: 71 929 |
| 18 | GPS-01 | GPS-02 | GPS-03 | -0,002 | 0,002 | -0,001 | 0,003 | 744,7 | 1: 228 627 |
| 19 | IV-4 | GPS-02 | GPS-03 | 0,013 | -0,021 | -0,013 | 0,028 | 1 355,0 | 1:48 626 |
| Các ký hiệu trong Bảng H.3: fx, fy, fz là sai số khép các gia số tọa độ không gian, sai số này có được từ việc giải các cạnh tham gia vào vòng khép kín;
D là khoảng cách cạnh đo. | |||||||||
| CHÚ THÍCH: Vòng khép tốt nhất: IV-2 IV-3 GPS-04 đạt 1: 745 289 Vòng khép kém nhất: IV-3 GPS-04 GPS-03 đạt 1: 21 532 | |||||||||
Bảng H.4a - Bảng trị đo, số hiệu chỉnh và trị bình sai góc phương vị
| Hệ tọa độ trắc địa | Ellipsoid qui chiếu: WGS-84 |
| Thứ tự | Kí hiệu góc | Trị đo | Sai số đo | Số hiệu chỉnh | Trị bình sai | |
| ° ' " | " | " | ° ' " | |||
| 1 | GPS-04 | GPS-01 | 014 39 20,0 | 1,796 | 1,047 | 014 39 21,05 |
| 2 | IV-2 | GPS-06 | 359 48 53,6 | 3,652 | 7,524 | 359 49 01,12 |
| 3 | IV-3 | GPS-02 | 001 18 30,6 | 1,443 | 1,133 | 001 18 31,73 |
| 4 | IV-2 | IV-3 | 223 53 17,5 | 1,015 | -2,513 | 223 53 14,99 |
| 5 | IV-3 | GPS-03 | 356 47 18,7 | 3,343 | 4,197 | 356 47 22,90 |
| 6 | GPS-01 | GPS-02 | 255 12 01,3 | 3,651 | 4,033 | 255 12 05,33 |
| 7 | IV-2 | GPS-01 | 295 47 08,1 | 2,115 | -3,049 | 295 47 05,05 |
| 8 | IV-3 | GPS-04 | 043 04 12,2 | 4,575 | -6,686 | 043 04 05,51 |
| 9 | IV-3 | GPS-05 | 038 07 43,0 | 1,922 | -2,078 | 038 07 40,92 |
| 10 | GPS-03 | IV-4 | 186 29 40,3 | 1,579 | 1,098 | 186 29 41,40 |
| 11 | IV-2 | GPS-05 | 243 19 34,6 | 6,536 | -2,495 | 243 19 32,10 |
| 12 | GPS-06 | GPS-01 | 237 42 32,4 | 2,784 | 1,437 | 237 42 33,84 |
| 13 | GPS-02 | IV-4 | 186 02 05,9 | 1,027 | -0,820 | 186 02 05,08 |
| 14 | GPS-04 | GPS-05 | 035 28 40,6 | 2,917 | 0,380 | 035 28 40,98 |
| 15 | GPS-03 | GPS-04 | 127 41 13,6 | 4,797 | 4,900 | 127 41 18,50 |
| 16 | IV-2 | GPS-04 | 224 11 45,4 | 1,626 | -0,343 | 224 11 45,06 |
| 17 | GPS-02 | GPS-04 | 163 58 33,0 | 2,070 | -0,253 | 163 58 32,75 |
| 18 | IV-1 | GPS-01 | 244 18 05,6 | 1,443 | 0,403 | 244 18 06,00 |
| 19 | IV-2 | IV-1 | 031 16 24,6 | 1,022 | -1,869 | 031 16 22,73 |
| 20 | GPS-02 | GPS-03 | 185 05 54,2 | 2,994 | 0,886 | 185 05 55,09 |
| 21 | IV-3 | IV-4 | 193 09 19,0 | 1,015 | -0,836 | 193 09 18,16 |
| 22 | GPS-03 | GPS-01 | 036 31 13,5 | 2,395 | 1,493 | 036 31 14,99 |
| 23 | GPS-06 | IV-1 | 073 16 11,4 | 3,346 | -0,193 | 073 16 11,21 |
| CHÚ THÍCH: Sai số đo phương vị lớn nhất: IV-2 - GPS-05 Ma (max) = 6,536" Sai số đo phương vị nhỏ nhất: IV-2 - IV-3 Ma (min) = 1,015” Số hiệu chỉnh phương vị lớn nhất: IV-2 - GPS-06 Va (max) = 7,524” Số hiệu chỉnh phương vị nhỏ nhất: GPS-06 - IV-1 Va (min) = -0,193” | ||||||
Bảng H.4b - Bảng trị đo, số hiệu chỉnh và trị bình sai cạnh
| Hệ tọa độ trắc địa | Ellipsoid qui chiếu: WGS-84 |
| Thứ tự | Kí hiệu góc | Trị đo | Sai số đo | Số hiệu chỉnh | Trị bình sai | |
| (m) | (m) | (m) | (m) | |||
| 1 | GPS-04 | GPS-01 | 364,577 | 0,003 | 0,002 | 364,579 |
| 2 | IV-2 | GPS-06 | 189,818 | 0,002 | 0,004 | 189,822 |
| 3 | IV-3 | GPS-02 | 409,049 | 0,003 | -0 005 | 409,044 |
| 4 | IV-2 | IV-3 | 519,028 | 0,002 | 0,002 | 519,029 |
| 5 | IV-3 | GPS-03 | 187,074 | 0,003 | -0,002 | 187,072 |
| 6 | GPS-01 | GPS-02 | 186,062 | 0,003 | 0,002 | 186,064 |
| 7 | IV-2 | GPS-01 | 189,441 | 0,002 | 0,004 | 189,445 |
| 8 | IV-3 | GPS-04 | 142,030 | 0,003 | 0,005 | 142,035 |
| 9 | IV-3 | GPS-05 | 405,725 | 0,004 | 0,003 | 405,727 |
| 10 | GPS-03 | IV-4 | 454,478 | 0,003 | 0,001 | 454,478 |
| 11 | IV-2 | GPS-05 | 122,323 | 0,003 | -0,001 | 122,321 |
| 12 | GPS-06 | GPS-01 | 201,059 | 0,003 | 0,001 | 201,060 |
| 13 | GPS-02 | IV-4 | 677,477 | 0,003 | -0,003 | 677,474 |
| 14 | GPS-04 | GPS-05 | 264,506 | 0,004 | -0,003 | 264,503 |
| 15 | GPS-03 | GPS-04 | 135,806 | 0,004 | 0,003 | 135,808 |
| 16 | IV-2 | GPS-04 | 377,018 | 0,003 | -0,003 | 377,015 |
| 17 | GPS-02 | GPS-04 | 317,524 | 0,003 | 0,003 | 317,526 |
| 18 | IV-1 | GPS-01 | 345,978 | 0,003 | 0,001 | 345,979 |
| 19 | IV-2 | IV-1 | 271,953 | 0,001 | -0,002 | 271,951 |
| 20 | GPS-02 | GPS-03 | 223,044 | 0,003 | 0,001 | 223,045 |
| 21 | IV-3 | IV-4 | 271,917 | 0,001 | 0,003 | 271,919 |
| 22 | GPS-03 | GPS-01 | 335,585 | 0,003 | 0,001 | 335,586 |
| 23 | GPS-06 | IV-1 | 148,058 | 0,003 | 0,001 | 148,059 |
| CHÚ THÍCH: Sai số đo cạnh lớn nhất: GPS-04 - GPS-05 ms (max) = 0,004 Sai số đo cạnh nhỏ nhất: IV-2 - IV-1 ms (min) = 0,001 Số hiệu chỉnh cạnh lớn nhất: IV-3 - GPS-04 Vs (max) = 0,005 Số hiệu chỉnh cạnh nhỏ nhất: GPS-03 - IV-4 Vs (min) = 0,001 | ||||||
Bảng H.4c - Bảng trị đo, số hiệu chỉnh và trị bình sai chênh cao
| Hệ tọa độ trắc địa | Ellipsoid qui chiếu: WGS-84 |
| Thứ tự | Kí hiệu góc | Trị đo | Sai số đo | Số hiệu chỉnh | Trị bình sai | |
| (m) | (m) | (m) | (m) | |||
| 1 | GPS-04 | GPS-01 | 2,011 | 0,007 | -0,012 | 1,999 |
| 2 | IV-2 | GPS-06 | 1,045 | 0,006 | 0,019 | 1,064 |
| 3 | IV-3 | GPS-02 | 3,338 | 0,009 | -0,001 | 3,337 |
| 4 | IV-2 | IV-3 | 0,038 | 0,008 | -0,003 | 0,035 |
| 5 | IV-3 | GPS-03 | 0,865 | 0,009 | 0,015 | 0,879 |
| 6 | GPS-01 | GPS-02 | 1,372 | 0,009 | -0,001 | 1,372 |
| 7 | IV-2 | GPS-01 | 2,004 | 0,006 | 0,005 | 2,008 |
| 8 | IV-3 | GPS-04 | -0,045 | 0,008 | -0,002 | -0,047 |
| 9 | IV-3 | GPS-05 | -0,044 | 0,008 | 0,001 | -0,042 |
| 10 | GPS-03 | IV-4 | -0,896 | 0,012 | -0,011 | -0,907 |
| 11 | IV-2 | GPS-05 | -0,006 | 0,007 | -0,004 | -0,010 |
| 12 | GPS-06 | GPS-01 | 0,959 | 0,007 | 0,002 | 0,961 |
| 13 | GPS-02 | IV-4 | -3,370 | 0,012 | 0,012 | -3,358 |
| 14 | GPS-04 | GPS-05 | 0,002 | 0,008 | 0,005 | 0,006 |
| 15 | GPS-03 | GPS-04 | -0,910 | 0,009 | 0,010 | -0,899 |
| 16 | IV-2 | GPS-04 | -0,007 | 0,006 | -0,005 | -0,012 |
| 17 | GPS-02 | GPS-04 | -3,383 | 0,008 | 0,001 | -3,382 |
| 18 | IV-1 | GPS-01 | 1,251 | 0,006 | 0,004 | 1,255 |
| 19 | IV-2 | IV-1 | 0,753 | 0,004 | 0,003 | 0,756 |
| 20 | GPS-02 | GPS-03 | -2,474 | 0,009 | -0,004 | -2,478 |
| 21 | IV-3 | IV-4 | -0,032 | 0,011 | 0,003 | -0,029 |
| 22 | GPS-03 | GPS-01 | 1,101 | 0,009 | 0,002 | 1,103 |
| 23 | GPS-06 | IV-1 | -0,292 | 0,006 | 0,001 | -0,291 |
| CHÚ THÍCH: Sai số đo chênh cao lớn nhất: GPS-02 - IV-4 mH (max)= 0,012 Sai số đo chênh cao nhỏ nhất: IV-2 - IV-01 mH (min)= 0,004 Số hiệu chỉnh chênh cao lớn nhất: IV-2 - GPS-06 VH (max)= 0,019 Số hiệu chỉnh chênh cao nhỏ nhất: GPS-01 - GPS-02 VH (min)= -0,001 | ||||||
Bảng H.5 - Bảng tọa độ vuông góc không gian sau bình sai
| Hệ tọa độ vuông góc không gian | Ellipsoid qui chiếu: WGS-84 |
| Số hiệu điểm | X(m) | Y(m) | Z(m) |
| GPS-01 | -1 741 751,021 | 5 699 536,307 | 2 264 435,785 |
| GPS-02 | -1 741 584,325 | 5 699 606,348 | 2 264 391,884 |
| GPS-03 | -1 741 587,888 | 5 699 685,829 | 2 264 183,498 |
| GPS-04 | -1 741 699,086 | 5 699 681,969 | 2 264 105,626 |
| GPS-05 | -1 741 823,410 | 5 699 563,517 | 2 264 306,811 |
| GPS-06 | -1 741 902,084 | 5 699 449,073 | 2 264 535,764 |
| IV-1 | -1 742 033,150 | 5 699 392,802 | 2 264 575,467 |
| IV-2 | -1 741 922,207 | 5 699 512,812 | 2 264 358,101 |
| IV-3 | -1 741 617,173 | 5 699 745,799 | 2 264 008,732 |
| IV-4 | -1 741 585,619 | 5 699 854,298 | 2 263 761,406 |
Bảng H.6 - Bảng tọa độ trắc địa sau bình sai
| Hệ tọa độ trắc địa | Ellipsoid qui chiếu: WGS-84 |
| Số hiệu điểm | B | L | H |
| ° ' " | ° ' " | (m) | |
| GPS-01 | 20 55 57,66675 | 106 59 34,44552 | 0,508 |
| GPS-02 | 20 55 56,12126 | 106 59 28,21964 | 1,886 |
| GPS-03 | 20 55 48,89757 | 106 59 27,53374 | -0,591 |
| GPS-04 | 20 55 46,19801 | 106 59 31,25324 | -1,506 |
| GPS-05 | 20 55 53,20179 | 106 59 36,56624 | -1,505 |
| GPS-06 | 20 56 01,15932 | 106 59 40,32788 | -0,454 |
| IV-1 | 20 56 02,54519 | 106 59 45,23523 | -0,749 |
| IV-2 | 20 55 54,98732 | 106 59 40,34918 | -1,502 |
| IV-3 | 20 55 42,82432 | 106 59 27,89652 | -1,459 |
| IV-4 | 20 55 34,21482 | 106 59 25,75488 | -1,494 |
| Các ký hiệu trong Bảng H.6: B là vĩ độ trắc địa; L là kinh độ trắc địa; H là độ cao trắc địa. | |||
Bảng H.7 - Bảng thành quả tọa độ phẳng và độ cao bình sai
Hệ tọa độ VN-2000, Kinh tuyến trục: 107° 45’ - Múi chiếu: 3 độ (k=0,9999), Ellipsoid qui chiếu: WGS-84
| Số hiệu điểm | Tọa độ, Độ cao | Sai số vị trí điểm | |||||
| x (m) | y (m) | h (m) | mx (m) | my (m) | mh (m) | mp (m) | |
| GPS-01 | 2 315 578,324 | 421 255,087 | 4,120 | 0,002 | 0,002 | 0,016 | 0,003 |
| GPS-02 | 2 315 531,646 | 421 074,980 | 5,498 | 0,003 | 0,003 | 0,022 | 0,004 |
| GPS-03 | 2 315 309,586 | 421 054,111 | 3,021 | 0,003 | 0,003 | 0,017 | 0,004 |
| GPS-04 | 2 315 226,057 | 421 161,187 | 2,106 | 0,003 | 0,003 | 0,007 | 0,004 |
| GPS-05 | 2 315 440,723 | 421 315,712 | 2,107 | 0,004 | 0,003 | 0,007 | 0,005 |
| GPS-06 | 2 315 684,932 | 421 425,550 | 3,158 | 0,002 | 0,003 | 0,011 | 0,004 |
| IV-1 | 2 315 726,884 | 421 567,535 | 2,862 | - | - | - | - |
| IV-2 | 2315495,119 | 421 425,271 | 2,110 | - | - | - | - |
| IV-3 | 2 315 122,763 | 421 063,709 | 2,153 | - | - | - | - |
| IV-4 | 2 314 858,285 | 421 000,576 | 2,118 | - | - | - | - |
| CHÚ THÍCH: Điểm có sai số trung phương vị trí điểm lớn nhất: GPS-05 mP (max)= 0,005 m Điểm có sai số trung phương vị trí điểm nhỏ nhất: GPS-01 mP (max)= 0,003 m Điểm có sai số trung phương độ cao lớn nhất: GPS-02 mh (max)= 0,022 m Điểm có sai số trung phương độ cao điểm nhỏ nhất: GPS-05 mh (max)= 0,007 m | |||||||
Bảng H.8 - Bảng chiều dài cạnh, phương vị và sai số tương hỗ
| Hệ tọa độ phẳng UTM | Ellipsoid qui chiếu: WGS-84 |
| Thứ tự | Điểm đầu | Điểm cuối | Chiều dài | mD | mD:D | Phương vị | mα | dh | mdh |
| (m) | (m) | ° ' " | " | (m) | (m) | ||||
| 1 | GPS-01 | GPS-02 | 186,057 | 0,004 | 1:45 252 | 255 28 13,57 | 3,368 | 1,3771 | 0,013 |
| 2 | GPS-01 | GPS-03 | 335,576 | 0,004 | 1: 91 181 | 216 47 27,66 | 2,095 | -1,0997 | 0,008 |
| 3 | GPS-01 | GPS-04 | 364,567 | 0,004 | 1: 103 800 | 194 55 32,40 | 1,814 | -2,0140 | 0,015 |
| 4 | GPS-01 | GPS-06 | 201,054 | 0,004 | 1: 52 048 | 057 58 40,92 | 2,752 | -0,9623 | 0,009 |
| 5 | GPS-01 | IV-1 | 345,968 | 0,002 | 1: 142 303 | 064 34 12,94 | 1,303 | -1,2578 | 0,016 |
| 6 | GPS-02 | GPS-03 | 223,038 | 0,004 | 1: 54 300 | 185 22 07,81 | 3,126 | -2,4768 | 0,014 |
| 7 | GPS-04 | GPS-02 | 317,516 | 0,004 | 1: 77 148 | 344 14 46,25 | 2,475 | 3,3911 | 0,025 |
| 8 | GPS-04 | GPS-03 | 135,803 | 0,004 | 1: 33 495 | 307 57 26,87 | 4,975 | 0,9142 | 0,016 |
| 9 | GPS-04 | GPS-05 | 264,499 | 0,005 | 1: 57 786 | 035 44 52,15 | 3,072 | 0,0005 | 0,008 |
| 10 | GPS-06 | IV-1 | 148,053 | 0,003 | 1:45 900 | 073 32 21,43 | 3,265 | -0,2955 | 0,011 |
| 11 | IV-2 | GPS-01 | 189,435 | 0,002 | 1: 78 022 | 296 03 16,43 | 2,372 | 2,0102 | 0,016 |
| 12 | IV-2 | GPS-04 | 377,008 | 0,003 | 1: 137 025 | 224 27 54,16 | 1,583 | -0,0038 | 0,007 |
| 13 | 1V-2 | GPS-05 | 122,320 | 0,003 | 1: 37 364 | 243 35 44,23 | 6,406 | -0,0033 | 0,007 |
| 14 | IV-2 | GPS-06 | 189,813 | 0,002 | 1: 86 279 | 000 05 03,18 | 3,628 | 1,0479 | 0,011 |
| 15 | IV-2 | IV-1 | 271,945 | - | - | 031 32 34,06 | - | 0,7524 | - |
| 16 | IV-2 | IV-3 | 519,015 | - | - | 224 09 26,61 | - | 0,0424 | - |
| 17 | IV-3 | GPS-02 | 409,038 | 0,003 | 1: 136 335 | 001 34 44,32 | 1,663 | 3,3449 | 0,027 |
| 18 | IV-3 | GPS-03 | 187,069 | 0,003 | 1: 66 791 | 357 03 32,49 | 3,438 | 0,8681 | 0,017 |
| 19 | IV-3 | GPS-04 | 142,027 | 0,003 | 1: 51 583 | 043 20 26,55 | 4,198 | -0,0462 | 0,007 |
| 20 | IV-3 | GPS-05 | 405,714 | 0,004 | 1: 112 311 | 038 23 56,42 | 1,765 | -0,0457 | 0,007 |
| 21 | IV-4 | GPS-02 | 677,459 | 0,003 | 1: 225 534 | 006 18 19,45 | 1,007 | 3,3791 | 0,027 |
| 22 | IV-4 | GPS-03 | 454,465 | 0,003 | 1: 162 055 | 006 45 54,09 | 1,430 | 0,9023 | 0,017 |
| 23 | IV-4 | IV-3 | 271,909 | - | - | 013 25 32,58 | - | 0,0342 | - |
| Các ký hiệu trong Bảng H.8: dh là chênh cao giữa điểm đầu và điểm cuối của cạnh đo; mD là sai số đo cạnh; mα là sai số đo phương vị; mdh là sai số đo chênh cao. | |||||||||
| CHÚ THÍCH: Cạnh ngắn nhất: 122,320 m; Cạnh (IV-2 - GPS-05) Cạnh dài nhất: 677,459 m; Cạnh (IV-4 - GPS-02) Chiều dài cạnh trung bình: 293,015 m Sai số tương đối cạnh nhỏ nhất: 1: 225 534; Cạnh (IV-4 - GPS-02) Sai số tương đối cạnh lớn nhất: 1: 33 495; Cạnh (GPS-04 - GPS-03) Sai số phương vị nhỏ nhất: 1,007"; Cạnh (IV-4 - GPS-02) Sai số phương vị lớn nhất: 6,406"; Cạnh (IV-2 - GPS-05) | |||||||||
Phụ lục I
(tham khảo)
Quy trình xử lý số liệu lưới GNSS một cấp quan trắc chuyển dịch ngang công trình
I.1 Tính véc-tơ cạnh
Kết quả tính véc-tơ cạnh được thực hiện theo quy định 12.1.
I.2 Kiểm tra kết quả tính véc-tơ cạnh
Kiểm tra kết quả tính véc-tơ cạnh được thực hiện theo quy định 12.2.
I.3 Bình sai lưới GNSS
Sau khi xử lý cạnh, kết quả kiểm tra véc-tơ cạnh đạt yêu cầu thì tiến hành bình sai lưới theo các bước sau:
Bước 1: Dựa vào các cạnh đo GNSS để xác lập đồ hình mạng lưới.
Bước 2: Lựa chọn và thiết lập các thông số của Ellipsoid.
Bước 3: Định nghĩa phép chiếu trong hệ tọa độ phẳng (hệ tọa độ VN-2000 hoặc hệ tọa độ độc lập).
Bước 4: Bình sai lưới với 1 điểm gốc (coi lưới GNSS quan trắc là lưới tự do bậc 0). Điểm FIX tọa độ có thể được chọn là một điểm bất kỳ trong tập hợp điểm khống chế cơ sở (điểm mốc chuẩn) của mạng lưới, như vậy thực chất mạng lưới đã được coi là lưới tự do bậc 0 và bước thực hiện này là quá trình “định vị tạm thời” mạng lưới. Đối với lưới GNSS quan trắc biến dạng công trình cần phải thực hiện phân tích độ ổn định của các điểm cơ sở và định vị lại mạng lưới, quy trình phân tích độ ổn định của mốc chuẩn được trình bày trong mục I.4.
I.4 Phân tích độ ổn định mốc cơ sở trong mạng lưới GNSS quan trắc chuyển dịch ngang công trình
I.4.1 Tiêu chuẩn định vị lưới và tiêu chuẩn ổn định của các mốc cơ sở
Trong chu kỳ đang khảo sát, sau khi đã thực hiện bình sai lưới GNSS quan trắc ở chế độ FIX tọa độ 1 điểm như đã nêu ở trên thì còn cần phải kiểm tra độ ổn định của các điểm cơ sở và định vị lại mạng lưới đó. Việc định vị hệ thống lưới quan trắc trong từng chu kỳ đo được thực hiện theo tiêu chuẩn: a) Lưới được định vị vào vị trí trung bình các điểm khống chế ổn định. Điều kiện này được cụ thể hoá bằng cách lựa chọn ma trận định vị C như sau:
|
| (I.1) |
trong đó:
Ci = Bi đối với các điểm cơ sở ổn định;
Ci = 0 đối với các điểm khác,
b) Tiêu chuẩn đánh giá độ ổn định của điểm cơ sở:
Điểm khống chế cơ sở được coi là ổn định nếu chênh lệch tọa độ của điểm ở chu kỳ đang xét so với chu kỳ đầu không vượt quá sai số giới hạn xác định độ chênh lệch đó.
Tiêu chuẩn nêu trên được cụ thể hóa bằng biểu thức:
|
| (I.2) |
trong đó:
qi là giá trị chênh lệch tọa độ ở chu kỳ đang xét so với chu kỳ đầu;
miq là sai số trung phương xác định qi;
t là hệ số xác định tiêu chuẩn sai số giới hạn (t = 2).
Việc đánh giá độ ổn định của các điểm mốc cơ sở được dựa trên công thức (1.2). Tuy nhiên đối với các mạng lưới trắc địa, do cấu trúc đồ hình mà sau khi bình sai giá trị sai số vị trí của các điểm (mP) thường có giá trị khác nhau, dẫn đến sai số xác định chuyển dịch (mq) cũng khác nhau. Do vậy, có thể dựa vào sai số trung phương cần thiết để xác định chuyển dịch ngang đối với các điểm khống chế cơ sở (
) để làm tiêu chuẩn thống nhất chung cho toàn mạng lưới, khi đó tiêu chuẩn (1.2) được viết lại là:
|
| (I.3) |
Khi xây dựng lưới một cấp thì:
|
| (I.4) |
Không thể triển khai tính toán đồng thời với 2 biểu thức (1.1) và (I.3) do giữa 2 công thức đó có mối ràng buộc về điều kiện áp dụng. Giải pháp hợp lý trong trường hợp này là áp dụng phương pháp lặp nhích dần.
I.4.2 Quy trình phân tích độ ổn định của các mốc cơ sở
Khi bình sai lưới GNSS trong mỗi chu kỳ quan trắc cần chọn xử lý ở chế độ FIX tọa độ 1 điểm (coi lưới GNSS là lưới tự do bậc 0) để tránh ảnh hưởng của sai số số liệu gốc, sau đó cần định vị lại mạng lưới ở chu kỳ đang xét về vị trí trung bình của các.điểm khống chế ổn định. Quá trình định vị lại này được thực hiện thông qua việc áp dụng công thức chuyển đổi tọa độ:
|
| (I.4) |
trong đó:
δX là véc-tơ chuyển dịch của các điểm cơ sở trong chu kỳ khảo sát so với chu kỳ đầu (chu kỳ 0);
X(1) là véc-tơ tọa độ bình sai lưới ở chu kỳ đang xét ứng với chế độ FIX 1 điểm gốc;
X(2) là véc-tơ tọa độ bình sai của lưới đó ứng với ma trận định vị C.
Đối với lưới GNSS tự do ma trận B có dạng:
|
| (I.5) |
Từ đó thu được biểu thức tính chuyển tọa độ bình sai giữa các phương án chọn điều kiện định vị khác nhau như sau:
1- Tính chuyển tọa độ của các điểm trong lưới (gồm n điểm cơ sở) từ chế độ FIX 1 điểm gốc về lưới tự do với C = B:
|
| (I.6) |
2- Khi cần bớt đi 1 điểm định vị (ký hiệu là điểm t) trong tập hợp K điểm định vị:
|
| (I.7) |
Trong trường hợp việc định vị lưới được thực hiện dựa trên công thức (I.1), nếu t là điểm không ổn định và cần phải loại bỏ khỏi quá trình định vị lưới (bằng cách gán cho điểm đỏ giá trị C = 0) thì tọa độ các điểm trong lưới sẽ được tính theo công thức:
|
| (I.8) |
Xét đặc điểm của việc tính toán xử lý số liệu lưới GNSS và trên cơ sở các công thức chuyển đổi tọa độ trong mạng lưới như ở trên, thực hiện một quy trình phân tích độ ổn định lưới GNSS cơ sở trong quan trắc chuyển dịch ngang công trình theo phương pháp lặp nhích dần như sau:
Bước 1: Trong chu kỳ đang khảo sát, thực hiện bình sai lưới khống chế cơ sở như mạng lưới tự do với 1 điểm FIX tọa độ.
Bước 2: Tính chuyển tọa độ bình sai của các điểm trong mạng lưới về hệ tọa độ mới với điều kiện định vị C = B (công thức 1.1).
Bước 3: Tính độ lệch tọa độ của tất các các điểm trong lưới so với tọa độ các điểm đó ở chu kỳ đầu và áp dụng tiêu chuẩn (I.3) để kiểm tra, đánh giá độ ổn định của các điểm mốc có C = B trong lưới.
Bước 4: Có thể xảy ra một trong hai khả năng:
- Nếu phát hiện một (hoặc một số) điểm mốc không ổn định thì sẽ loại một điểm có độ lệch tọa độ lớn nhất ra khỏi nhóm mốc ổn định bằng cách tính chuyển tọa độ theo công thức (I.8) và gán cho mốc đó giá trị C = 0.
- Nếu các điểm mốc còn lại (có giá trị C = B) đều thoả mãn tiêu chuẩn (I.3) thì kết thúc quá trình kiểm tra. Việc định vị lưới được thực hiện gần đúng nhất so với các điểm ổn định.
Quy trình phân tích độ ổn định của các mốc cơ sở quan trắc chuyển dịch ngang công trình nêu trên được thể hiện một cách trực quan thông qua sơ đồ ở hình I.1:

Hình I.1 - Sơ đồ phân tích độ ổn định mốc cơ sở quan trắc chuyển dịch ngang công trình bằng công nghệ GNSS tĩnh
VÍ DỤ: Xử lý số liệu lưới GNSS một cấp quan trắc chuyển dịch ngang công trình
Quá trình xử lý số liệu quan trắc chuyển dịch ngang tường chắn X thuộc dự án A bằng công nghệ GNSS tĩnh theo sơ đồ lưới 1 cấp. Hình I.2 là sơ đồ lưới GNSS quan trắc chuyển dịch ngang tường chắn X.

Hình I.2 - Sơ đồ lưới GNSS quan trắc chuyển dịch ngang
- Mốc chuẩn (mốc cơ sở): 04 mốc (MC1, MC2, MC3, MC4)
- Mốc quan trắc: 07 mốc (QT1, QT2, QT3, QT4, QT5, QT6, QT7)
- Yêu cầu độ chính xác quan trắc: mq =5,0 mm, tính được
=3,5mm
- Mạng lưới quan trắc được thiết kế và đo đạc gồm một cấp lưới với yêu cầu là sai số trung phương vị trí điểm (mP) của các điểm trong lưới sau bình sai phải nhỏ hơn hoặc bằng 3,5 mm.
Xử lý số liệu quan trắc:
Quá trình xử lý số liệu được thực hiện với 3 chu kỳ quan trắc (chu kỳ 0, 1, 2). Trên cơ sở dữ liệu đo của 3 chu kỳ, tiến hành xử lý cạnh và bình sai lưới bằng phần mềm TBC 3.5, các cạnh đo của 3 chu kỳ sau khi xử lý đều đạt lời giải FIX và đồ hình lưới của 3 chu kỳ được xác lập như Hình I.2.
Kết quả bình sai lưới chu kỳ 0, 1, 2 trong hệ tọa độ phẳng (hệ tọa độ VN-2000, múi chiếu 3°, kinh tuyến trục 106°00’00”) ở chế độ FIX 1 điểm gốc (FIX điểm MC1) được đưa ra trong Bảng 1.1. Sai số trung phương vị trí điểm trong chu kỳ 0, 1 và 2 đều đạt yêu cầu nhỏ hơn hoặc bằng 3,5 mm.
Bảng I.1 - Kết quả bình sai lưới chu kỳ 1, 2, 3 trong hệ tọa độ phẳng ở chế độ FIX 1 điểm gốc
(FIX điểm MC1)
| Tên mốc | Tọa độ chu kỳ 0 (Bình sai FIX 1 điểm MC1) (10/10/2017) | Tọa độ chu kỳ 1 (Bình sai FIX 1 điểm MC1) (15/12/2017) | Tọa độ chu kỳ 2 (Bình sai FIX 1 điểm MC1) (15/03/2018) | |||
| x (m) | y (m) | x (m) | y (m) | x(m) | y (m) | |
| MC1 | 2 300 836,196 | 591 738,978 | 2 300 836,196 | 591 738,978 | 2 300 836,196 | 591 738,978 |
| MC2 | 2 300 890,827 | 593 357,108 | 2 300 890,831 | 593 357,106 | 2 300 890,837 | 593 357,105 |
| MC3 | 2 300 786,840 | 593 102,011 | 2 300 786,842 | 593 102,010 | 2 300 786,852 | 593 102,002 |
| MC4 | 2 300 569,658 | 592 851,441 | 2 300 569,658 | 592 851,439 | 2 300 569,661 | 592 851,434 |
| QT1 | 2 301 267,824 | 594 137,943 | 2 301 267,831 | 594 137,941 | 2 301 267,836 | 594 137,940 |
| QT2 | 2 301 176,402 | 594 192,428 | 2 301 176,406 | 594 192,428 | 2 301 176,409 | 594 192,428 |
| QT3 | 2 301 085,411 | 594 246,515 | 2 301 085,418 | 594 246,515 | 2 301 085,423 | 594 246,515 |
| QT4 | 2 300 993,898 | 594 300,976 | 2 300 993,902 | 594 300,983 | 2 300 993,909 | 594 300,984 |
| QT5 | 2300 915,494 | 594 347,674 | 2 300 915,499 | 594 347,678 | 2 300 915,502 | 594 347,673 |
| QT6 | 2300 816,048 | 594 406,783 | 2 300 816,051 | 594 406,782 | 2 300 816,059 | 594 406,784 |
| QT7 | 2300 722,122 | 594 462,730 | 2 300 722,125 | 594 462,730 | 2 300 722,135 | 594 462,726 |
Tiến hành phân tích độ ổn định của mốc chuẩn và tính toán thông số chuyển dịch chu kỳ 1:
Dựa vào tọa độ các mốc chuẩn MC1, MC2, MC3, MC4 ở chu kỳ 0 và chu kỳ 1 tiến hành phân tích độ ổn định của các mốc chuẩn. Tiêu chuẩn ổn định của các mốc chuẩn lấy Δ = 2 x mq = 2 x 3,5 = 7,0 (mm). Kết quả tính toán và phân tích độ ổn định của các mốc chuẩn được thể hiện trong Bảng I.2 và I.3.
Bảng I.2 - Tham số tính chuyển chu kỳ 1
| Tên mốc | Tọa độ chu kỳ 0 (Bình sai FIX 1 điểm MC1) (10/10/2017) | Tọa độ chu kỳ 1 (Bình sai FIX 1 điểm MC1) (15/12/2017) | Độ lệch | |||
| x(m) | y (m) | x(m) | y (m) | δx (m) | δy (m) | |
| MC1 | 2 300 836,196 | 591 738,978 | 2 300 836,196 | 591 738,978 | 0,000 | 0,000 |
| MC2 | 2 300 890,827 | 593 357,108 | 2 300 890,831 | 593 357,106 | 0,004 | -0,002 |
| MC3 | 2 300 786,840 | 593 102,011 | 2 300 786,842 | 593 102,010 | 0,002 | -0,001 |
| MC4 | 2 300 569,658 | 592 851,441 | 2 300 569,658 | 592 851,439 | 0,000 | -0,002 |
|
|
|
| Ʃδx, Ʃδy | 0,006 | -0,005 | |
|
|
|
| Tham số tính chuyển | 0,002 | -0,001 | |
Bảng I.3 - Kết quả đánh giá độ ổn định các mốc chuẩn ở chu kỳ 1
| Tên mốc | Tọa độ chu kỳ 0 (Bình sai FIX 1 điểm MC1) (10/10/2017) | Tọa độ chu kỳ 1 (sau điều chỉnh) (15/12/2017) | Độ lệch tọa độ (mm) | Giới hạn ổn định (mm) | Kết quả đánh giá | ||||
| x(m) | y(m) | x(m) | y (m) | qx | qy | q | Δo | ||
| MC1 | 2 300 836,196 | 591 738,978 | 2 300 836,194 | 591 738,979 | 2,0 | 1,0 | 2,2 | 7,0 | Ổn định |
| MC2 | 2 300 890,827 | 593 357,108 | 2 300 890,829 | 593 357,107 | 2,0 | -1,0 | 2,2 | 7,0 | Ổn định |
| MC3 | 2 300 786,840 | 593 102,011 | 2 300 786,840 | 593 102,011 | 0,0 | 0,0 | 0,0 | 7,0 | Ổn định |
| MC4 | 2 300 569,658 | 592 851,441 | 2 300 569,656 | 592 851,440 | -2,0 | -1,0 | 2,2 | 7,0 | Ổn định |
Từ kết quả ở Bảng I.3 nhận thấy các mốc cơ sở ở chu kỳ 1 đều ồn định nên lấy tham số tính chuyển ở Bảng I.2 để điều chỉnh tọa độ của các điểm quan trắc ở chu kỳ 1. Tọa độ sau điều chỉnh ở chu kỳ 1 và các thông số chuyển dịch tại các điểm quan trắc được đưa trong trong Bảng I.4.
Bảng I.4 - Kết quả tính toán thông số chuyển dịch (chu kỳ 1 so với chu kỳ 0)
| Tên mốc | Tọa độ chu kỳ 0 (Bình sai FIX 1 điểm MC1) (10/10/2017) | Tọa độ chu kỳ 1 (sau điều chỉnh) (15/12/2017) | Thông số chuyển dịch (mm) | ||||
| x (m) | y (m) | x (m) | y (m) | qx | qy | q | |
| QT1 | 2 301 267,824 | 594 137,943 | 2 301 267,829 | 594 137,942 | 5,0 | -1,0 | '5,1 |
| QT2 | 2 301 176,402 | 594 192,428 | 2 301 176,404 | 594 192,429 | 2,0 | 1,0 | 2,2 |
| QT3 | 2 301 085,411 | 594 246,515 | 2 301 085,416 | 594 246,516 | 5,0 | 1,0 | 5,1 |
| QT4 | 2 300 993,898 | 594 300,976 | 2 300 993,900 | 594 300,984 | 2,0 | 8,0 | 8,2 |
| QT5 | 2 300 915,494 | 594 347,674 | 2 300 915,497 | 594 347,679 | 3,0 | 5,0 | 5,8 |
| QT6 | 2 300 816,048 | 594 406,783 | 2 300 816,049 | 594 406,783 | 1,0 | 0,0 | 1.0 |
| QT7 | 2 300 722,122 | 594 462,730 | 2 300 722,123 | 594 462,731 | 1,0 | 1,0 | 1,4 |
Tính toán phân tích độ ổn định của mốc chuẩn và tính toán thông số chuyển dịch chu kỳ 2:
Dựa vào tọa độ các mốc chuẩn MC1, MC2, MC3, MC4 ở chu kỳ 0 và chu kỳ 2 tiến hành phân tích độ ổn định của các mốc chuẩn. Tiêu chuẩn ổn định của các mốc chuẩn lấy Δ = 2 x
= 2 x 3,5 = 7,0 (mm). Kết quả tính toán và phân tích độ ổn định của các mốc chuẩn được thể hiện trong các bảng I.5, I.6 và I.7.
Bảng I.5 - Tham số tính chuyển chu kỳ 2
| Tên mốc | Tọa độ chu kỳ 0 (Bình sai FIX 1 điểm MC1) (10/10/2017) | Tọa độ chu kỳ 2 (Bình sai FIX 1 điểm MC1) (15/3/2018) | Độ lệch | |||
| x(m) | y (m) | x(m) | y (m) | 5x (m) | 5y (m) | |
| MC1 | 2 300 836,196 | 591 738,978 | 2 300 836,196 | 591 738,978 | 0,000 | 0.000 |
| MC2 | 2 300 890,827 | 593 357,108 | 2 300 890,837 | 593 357,105 | 0,010 | -0.003 |
| MC3 | 2 300 786,840 | 593 102,011 | 2 300 786,852 | 593 102,002 | 0,012 | -0.009 |
| MC4 | 2 300 569,658 | 592 851,441 | 2 300 569,661 | 592 851,434 | 0,003 | -0.007 |
|
|
|
| Ʃδx, Ʃδy | 0,025 | -0,019 | |
|
|
|
| Tham số tính chuyển | 0,006 | -0,005 | |
Bảng I.6 - Kết quả đánh giá độ ổn định các mốc chuẩn ở chu kỳ 2 (lần 1)
| Tên mốc | Tọa độ chu kỳ 0 (Bình sai FIX 1 điểm MC1) (10/10/2017) | Tọa độ chu kỳ 2 (sau điều chỉnh) (15/3/2018) | Độ lệch tọa độ (mm) | Giới hạn ổn định (mm) | Kết quả đánh giá | ||||
| x(m) | y (m) | x(m) | y (m) | qx | qy | q | Δ0 | ||
| MC1 | 2 300 836,196 | 591 738,978 | 2 300 836,190 | 591 738,983 | -6,0 | 5,0 | 7,8 | 7,0 | Không ổn định |
| MC2 | 2 300 890,827 | 593 357,108 | 2 300 890,831 | 593 357,110 | 4,0 | 2,0 | 4,5 | 7,0 | Ổn định |
| MC3 | 2 300 786,840 | 593 102,011 | 2 300 786,846 | 593 102,007 | 6,0 | -4,0 | 7,2 | 7,0 | Không ổn định |
| MC4 | 2 300 569,658 | 592 851,441 | 2 300 569,655 | 592 851,439 | -3,0 | -2,0 | 3,6 | 7,0 | Ổn định |
Từ kết quả ở Bảng I.6 nhận thấy chu kỳ 2 có mốc chuẩn MC1 và MC3 là không ổn định. Mốc chuẩn MC1 có độ lệch lớn nhất nên loại điểm này ra khỏi nhóm mốc ổn định bằng cách tính chuyển tọa độ theo công thức (I.8) và gán cho mốc đó giá trị C = 0, kết quả tính toán được thể hiện trong Bảng I.7.
Bảng 1.7 - Kết quả đánh giá độ ổn định các mốc chuẩn ở chu kỳ 2 (lần 2)
| Tên mốc | Tọa độ chu kỳ 0 (Bình sai FIX1 điểm MC1) (10/10/2017) | Tọa độ chu kỳ 2 (sau điều chỉnh) (15/3/2018) | Độ lệch tọa độ (mm) | Giới hạn ổn định (mm) | Kết quả đánh giá | ||||
| x (m) | y (m) | x (m) | y (m) | qx | qy | q | Δ0 | ||
| MC1 | 2 300 836,196 | 591 738,978 | 2 300 836,188 | 591 738,984 | -8,0 | 6,0 | 10,0 | 7,0 | Không ổn định |
| MC2 | 2 300 890,827 | 593 357,108 | 2 300 890,829 | 593 357,111 | 2,0 | 3,0 | 3,6 | 7,0 | Ổn định |
| MC3 | 2 300 786,840 | 593 102,011 | 2 300 786,844 | 593 102,008 | 4,0 | -3,0 | 5,0 | 7,0 | Ổn định |
| MC4 | 2 300 569,658 | 592 851,441 | 2 300 569,653 | 592 851,440 | -5,0 | -1,0 | 5,1 | 7,0 | Ổn định |
Từ kết quả ở Bảng I.7 nhận thấy các điểm mốc cơ sở còn lại là MC2, MC3, MC4 đều ổn định nên tiến hành định vị lại mạng lưới vào vị trí trung bình của các mốc chuẩn ổn định bằng cách tính lại tham số tính chuyển theo các mốc chuẩn ổn định (MC2, MC3, MC4), các tham số tính được là:
Ʃδx/3 = 0,008 (m)
Ʃδy/3 = -0,006 (m)
Sử dụng các tham số tính chuyển này để điều chỉnh tọa độ của các điểm quan trắc ở chu kỳ 2 và tính toán thông số chuyển dịch ở chu kỳ 2. Kết quả tính toán được thể hiện trong Bảng I.8 và I.9.
Bảng I.8 - Kết quả tính toán thông số chuyển dịch (chu kỳ 2 so với chu kỳ 0)
| Tên mốc | Tọa độ chu kỳ 0 (Bình sai FIX 1 điểm MC1) (10/10/2017) | Tọa độ chu kỳ 2 (sau điều chỉnh) (15/3/2018) | Thông số chuyển dịch (mm) | ||||
| X (m) | Y (m) | X (m) | Y (m) | qx | qy | q | |
| QT1 | 2 301 267,824 | 594 137,943 | 2 301 267,828 | 594 137,946 | 4,0 | 3,0 | 5,0 |
| QT2 | 2 301 176,402 | 594 192,428 | 2 301 176,401 | 594 192,434 | -1,0 | 6,0 | 6,1 |
| QT3 | 2 301 085,411 | 594 246,515 | 2 301 085,415 | 594 246,521 | 4,0 | 6,0 | 7,2 |
| QT4 | 2 300 993,898 | 594 300,976 | 2 300 993,901 | 594 300,990 | 3,0 | 14,0 | 14,3 |
| QT5 | 2 300 915,494 | 594 347,674 | 2 300 915,494 | 594 347,679 | 0,0 | 5,0 | 5,0 |
| QT6 | 2 300 816,048 | 594 406,783 | 2 300 816,051 | 594 406,790 | 3,0 | 7,0 | 7,6 |
| QT7 | 2 300 722,122 | 594 462,730 | 2 300 722,127 | 594 462,732 | 5,0 | 2,0 | 5,4 |
Bảng I.9 - Kết quả tính toán thông số chuyển dịch (chu kỳ 2 so với chu kỳ 1)
| Tên mốc | Tọa độ chu kỳ 1 (sau điều chỉnh) (15/12/2017) | Tọa độ chu kỳ 2 (sau điều chỉnh) (15/3/2018) | Thông số chuyển dịch (mm) | ||||
| X (m) | Y (m) | X (m) | Y (m) | qx | qy | q | |
| QT1 | 2 301 267,829 | 594 137,942 | 2 301 267,828 | 594 137,946 | -1,0 | 4,0 | 4,1 |
| QT2 | 2 301 176,404 | 594 192,429 | 2 301 176,401 | 594 192,434 | -3,0 | 5,0 | 5,8 |
| QT3 | 2 301 085,416 | 594 246,516 | 2 301 085,415 | 594 246,521 | -1,0 | 5,0 | 5,1 |
| QT4 | 2 300 993,900 | 594 300,984 | 2 300 993,901 | 594 300,990 | 1,0 | 6,0 | 6,1 |
| QT5 | 2 300 915,497 | 594 347,679 | 2 300 915,494 | 594 347,679 | -3,0 | 0,0 | 3,0 |
| QT6 | 2 300 816,049 | 594 406,783 | 2 300 816,051 | 594 406,790 | 2,0 | 7,0 | 7,3 |
| QT7 | 2 300 722,123 | 594 462,731 | 2 300 722,127 | 594 462,732 | 4,0 | 1,0 | 4,1 |
Thư mục tài liệu tham khảo
[1] Thông tư 03/2020/TT-BTNMT Quy định kỹ thuật về mạng lưới trạm định vị vệ tinh quốc gia.
[2] QCVN 04:2009/BTNMT, Quy chuẩn kỹ thuật quốc gia về Xây dựng lưới tọa độ.
[3] GB50026-2007, Code for engineering surveying (Tiêu chuẩn trắc địa công trình).
Mục lục
Lời nói đầu
1 Phạm vi áp dụng
2 Tài liệu viện dẫn
3 Thuật ngữ và định nghĩa
4 Từ viết tắt
5 Quy định chung
6 Thiết kế kỹ thuật lưới GNSS
7 Yêu cầu kỹ thuật đối với máy móc thiết bị
8 Công tác chuẩn bị đo GNSS
9 Công tác đo GNSS tĩnh
10 Công tác đo GNSS động
11 Ghi sổ đo ngoại nghiệp
12 Xử lý số liệu
13 Báo cáo kết quả đo
Phụ lục A (tham khảo) Quy cách và dấu mốc GNSS
Phụ lục B (tham khảo) Bảng điều độ đo GNSS (ca đo thiết kế)
Phụ lục C (tham khảo) Mẫu bảng thống kê số liệu đo GNSS
Phụ lục D (tham khảo) Phương pháp kiểm định độ ổn định của máy bằng cách đo trên chiều dài chuẩn.
Phụ lục E (tham khảo) Kiểm định độ ổn định của tâm pha ăng-ten
Phụ lục F (tham khảo) Kiểm nghiệm và hiệu chỉnh dpi tâm quang học
Phụ lục G (tham khảo) Yêu cầu và phương pháp đo độ cao ăng-ten
Phụ lục H (tham khảo) Kết quả đo thực nghiệm và xử lý số liệu lưới đo vẽ cấp 1 trong khảo sát công trình bằng công nghệ GNSS tĩnh
Phụ lục I (tham khảo) Quy trình xử lý số liệu lưới GNSS một cấp quan trắc chuyển dịch ngang công trình.
Thư mục tài liệu tham khảo
Bạn chưa Đăng nhập thành viên.
Đây là tiện ích dành cho tài khoản thành viên. Vui lòng Đăng nhập để xem chi tiết. Nếu chưa có tài khoản, vui lòng Đăng ký tại đây!











