• Tổng quan
  • Nội dung
  • Tiêu chuẩn liên quan
  • Lược đồ
  • Tải về
Lưu
Đây là tiện ích dành cho tài khoản Tiêu chuẩn hoặc Nâng cao . Vui lòng Đăng nhập tài khoản để xem chi tiết.
Theo dõi VB
Đây là tiện ích dành cho tài khoản Tiêu chuẩn hoặc Nâng cao . Vui lòng Đăng nhập tài khoản để xem chi tiết.
Ghi chú
Báo lỗi
In

Tiêu chuẩn quốc gia TCVN 13948:2024 ISO 8890:1988 Vật liệu chịu lửa định hình sít đặc - Xác định độ chịu axit sulfuric

Ngày cập nhật: Thứ Sáu, 14/03/2025 10:05 (GMT+7)
Số hiệu: TCVN 13948:2024 Loại văn bản: Tiêu chuẩn Việt Nam
Cơ quan ban hành: Bộ Khoa học và Công nghệ Lĩnh vực: Xây dựng
Trích yếu: ISO 8890:1988 Vật liệu chịu lửa định hình sít đặc - Xác định độ chịu axit sulfuric
Ngày ban hành:
Ngày ban hành là ngày, tháng, năm văn bản được thông qua hoặc ký ban hành.
16/10/2024
Hiệu lực:
Đã biết
Tiện ích dành cho tài khoản Tiêu chuẩn hoặc Nâng cao. Vui lòng Đăng nhập tài khoản để xem chi tiết.
Người ký: Đang cập nhật
Tình trạng hiệu lực:
Cho biết trạng thái hiệu lực của văn bản đang tra cứu: Chưa áp dụng, Còn hiệu lực, Hết hiệu lực, Hết hiệu lực 1 phần; Đã sửa đổi, Đính chính hay Không còn phù hợp,...
Đã biết
Tiện ích dành cho tài khoản Tiêu chuẩn hoặc Nâng cao. Vui lòng Đăng nhập tài khoản để xem chi tiết.

TÓM TẮT TIÊU CHUẨN VIỆT NAM TCVN 13948:2024

Tiêu chuẩn quốc gia TCVN 13948:2024 về Xác định độ chịu axit sulfuric của vật liệu chịu lửa

Ngày 16/10/2024, Bộ Xây dựng đã công bố Tiêu chuẩn quốc gia TCVN 13948:2024 ISO 8890:1988 "Vật liệu chịu lửa định hình sít đặc - Xác định độ chịu axit sulfuric", nhằm quy định phương pháp xác định độ chịu axit của vật liệu chịu lửa khi tiếp xúc với axit sulfuric. Tiêu chuẩn này có hiệu lực ngay khi công bố.

Tiêu chuẩn này áp dụng cho các loại vật liệu chịu lửa định hình sít đặc đang được sử dụng trong các ứng dụng công nghiệp và môi trường có khả năng tiếp xúc với axit sulfuric.

Phương pháp thử nghiệm xác định độ chịu axit

Phương pháp thử nghiệm trong tiêu chuẩn này yêu cầu mẫu vật liệu chịu lửa được nghiền nhỏ và chịu tác động của axit sulfuric 70% đun sôi trong 6 tiếng. Kết quả sẽ được tính toán dựa trên sự thay đổi khối lượng của mẫu vật liệu, được biểu thị dưới dạng phần trăm so với khối lượng ban đầu của vật liệu.

Thiết bị và dụng cụ thử nghiệm

Tài liệu quy định các thiết bị và dụng cụ cần thiết cho việc thử nghiệm, bao gồm máy nghiền, cân chính xác, bình cầu đáy tròn, bộ ngưng tụ, nhiệt kế và các dụng cụ phòng thí nghiệm khác. Tất cả thiết bị cần phải đảm bảo tiêu chuẩn và quy định cụ thể để đảm bảo tính chính xác của kết quả thử nghiệm.

Chuẩn bị mẫu và tiến hành thử nghiệm

Mẫu thử cần được lấy chính xác theo các tiêu chuẩn đã quy định. Sau khi thực hiện các bước chuẩn bị, mẫu thử sẽ được cân và tiến hành thử nghiệm theo trình tự đã được hướng dẫn. Việc kiểm soát nhiệt độ, thời gian và điều kiện thử nghiệm rất quan trọng để đảm bảo độ tin cậy của kết quả.

Kết quả và báo cáo thử nghiệm

Sau khi thử nghiệm, kết quả cần được tính và báo cáo được yêu cầu phải có thông tin chi tiết như thiết lập thử nghiệm, ngày thử nghiệm, thông tin về vật liệu thử nghiệm và các giá trị đo đạc trong suốt quá trình thử nghiệm. Các báo cáo này cùng với dữ liệu đo được sẽ là căn cứ để đánh giá độ chịu axit của vật liệu chịu lửa.

Tiêu chuẩn này nhằm cung cấp cơ sở để đánh giá khả năng hoạt động của vật liệu chịu lửa trong các điều kiện sử dụng thực tế, từ đó đưa ra lựa chọn vật liệu phù hợp cho từng ứng dụng công nghiệp.

Tải tiêu chuẩn Việt Nam TCVN 13948:2024

Tải văn bản tiếng Việt (.pdf) Tiêu chuẩn Việt Nam TCVN 13948:2024 PDF (Bản có dấu đỏ)

Đây là tiện ích dành cho tài khoản thành viên. Vui lòng Đăng nhập để xem chi tiết. Nếu chưa có tài khoản, Đăng ký tại đây!

Tải văn bản tiếng Việt (.doc) Tiêu chuẩn Việt Nam TCVN 13948:2024 DOC (Bản Word)

Đây là tiện ích dành cho tài khoản thành viên. Vui lòng Đăng nhập để xem chi tiết. Nếu chưa có tài khoản, Đăng ký tại đây!

Tình trạng hiệu lực: Đã biết
Hiệu lực: Đã biết
Tình trạng hiệu lực: Đã biết

TIÊU CHUẨN QUỐC GIA

TCVN 13948:2024

 ISO 8890:1988

VẬT LIỆU CHỊU LỬA ĐỊNH HÌNH SÍT ĐẶC - XÁC ĐỊNH ĐỘ CHỊU AXIT SULFURIC

Dense shaped refractory products - Determination of resistance to sulfuric acid

Lời nói đầu

TCVN 13948:2024 tương đương với ISO 8890:1988.

TCVN 13948:2024 do Viện Vật liệu xây dựng biên soạn, Bộ Xây dựng đề nghị, Tổng cục Tiêu chuẩn Đo lường Chất lượng thẩm định, Bộ Khoa học và Công nghệ công bố.

 

VẬT LIỆU CHỊU LỬA ĐỊNH HÌNH SÍT ĐC - XÁC ĐỊNH ĐỘ CHỊU AXIT SULFURIC

Dense shaped refractory products - Determination of resistance to sulfuric acid

1  Phạm vi áp dụng

Tiêu chuẩn này quy định phương pháp xác định độ chịu axit của vật liệu chịu lửa định hình sít đặc chịu tác động bởi axit sulfuric.

CHÚ THÍCH: Sử dụng axit sulfuric vì nó cho kết quả đại diện khi phơi nhiễm vật liệu chịu lửa với nhiều axit khác nhau trừ axit hydrofluoric.

2  Tài liệu viện dẫn

Các tài liệu viện dẫn sau là cần thiết khi áp dụng tiêu chuẩn nảy. Đối với tài liệu ghi năm công bố chỉ áp dụng bản được nêu. Đối với các tài liệu viện dẫn không ghi năm công bố thì áp dụng phiên bản mới nhất, bao gồm cả các sửa đổi, bổ sung (nếu có).

TCVN 2230 (ISO 565), Sàng thử nghiệm - Lưới kim loại đan, tấm kim loại đột lỗ và lưới đột lỗ bằng điện.

TCVN 7157 (ISO 4799), Dụng cụ thí nghiệm bằng thủy tinh - Bộ ngưng tụ.

TCVN 8829 (ISO 383), Dụng cụ thí nghiệm bằng thủy tinh - Khớp nối nhám hình côn có thể lắp lẫn.

ISO 1770, Solid-stem general purpose thermometers (Nhiệt kế đa năng).

ISO 1773, Laboratory glassware - Boiling flasks (narrow-necked) (Dụng cụ thí nghiệm bằng thủy tinh - Bình đun sôi(cổ hẹp)).

ISO 5022, Shaped refractory products - Sampling and acceptance testing(Sản phẩm chịu lửa định hình sít đặc - Lấy mẫu và nghiệm thu).

3 Nguyên tắc

Mẫu thử đã nghiền theo quy định, chịu tác động bởi axit sulfuric 70 % đun sôi trong 6 h, xác định kết quả mất khối lượng và biểu thị theo phần trăm so với khối lượng ban đầu của vật liệu đã sấy khô.

4  Thiết bị, dụng cụ

Bao gồm các thiết bị thông thường trong phòng thí nghiệm và các thiết bị, dụng cụ sau:

4.1  Máy nghiền cơ học, tốt nhất không làm bằng thép

4.2  Sàng kim loại, kích thước lỗ 0,8 mm, phù hợp yêu cầu TCVN 2230 (ISO 565) (danh sách kích thước phụ).

4.3  Sàng kim loại, kích thước lỗ 0,63 mm, phù hợp yêu cầu TCVN 2230 (ISO 565) (danh sách kích thước phụ).

4.4  Cân, có khả năng cân 25 g chính xác đến 0,001 g.

4.5  Bình cầu đáy tròn, dung tích 500 ml (xem ISO 1773), có cổ ngắn và hẹp, được trang bị nắp thủy tinh có gắn nhiệt kế (xem TCVN 8829)(ISO 383).

4.6  Bộ ngưng tụ, chiều dài 250 mm, có ít nhất 16 vòng xoắn (xem TCVN 7157) (ISO 4799).

4.7  Nhiệt kế nhúng chìm (chiều dài xấp xỉ 110 mm) (xem ISO 1770).

4.8  Bếp cách cát hoặc bếp cách dầu.

4.9  Chén lọc bằng sứ.

4.10 Tủ sấy ổn định nhiệt, có khả năng duy trì ở nhiệt độ (110 + 5)°C.

5  Thuốc thử

Trong khi thử nghiệm chỉ sử dụng thuốc thử có cấp phân tích đã được công nhận và chỉ sử dụng nước cất hoặc nước tinh khiết.

5.1  Axit sulfuric, 70 %, ρ = 1,615 g/cm3.

5.2  Bari clorua, dung dịch 50 g/L.

6  Mẫu thử

6.1  Số lượng mẫu lấy theo ISO 5022 hoặc các tiêu chuẩn lấy mẫu khác.

6.2  Từ mỗi viên mẫu, lấy hai mảnh mẫu có tổng khối lượng xấp xỉ 250 g, một mảnh từ tâm và một mảnh từ cạnh.

6.3  Nghiền hai mảnh mẫu đó cùng nhau sử dụng máy nghiền (4.1), sàng và nghiền lại phần vật liệu trên sàng cho đến khi tất cả vật liệu lọt qua sàng 0,8 mm (4.2).

CHÚ THÍCH: Vật nghiền phải cứng hơn vật liệu thử nghiệm. Nếu sử dụng vật nghiền bằng thép phải xử lý vật liệu đã nghiền cn thận bằng nam châm.

6.4  Sàng vật liệu qua sàng 0,63 mm (4.3). Làm sạch phần còn lại trên sàng cùng bụi bám trên sàng bằng cách rửa với nước cất. Phần trên sàng là vật liệu dùng để thử nghiệm.

CHÚ THÍCH: Sẽ phát sinh sai số hệ thống nếu kích thước hạt sử dụng khác với giới hạn đưa ra trong 6.3 và 6.4 6

6.5  Sấy khô phần còn lại trên sàng 0,63 mm trong tủ sấy nhiệt độ (110 ± 5) °C đến khối lượng không đổi. Trước mỗi lần cân, làm nguội vật liệu và sàng đến nhiệt độ phòng trong bình hút ẩm. Cân chính xác đến 0,001 g.

7  Cách tiến hành

7.1  Thực hiện ít nhất 2 mẫu thử song song.

7.2  Với mỗi mẫu thử cản 20 g mẫu đã sấy khô (khối lượng m1), chính xác đến 0,001 g.

7.3  Cho mẫu thử vừa cân vào bình cầu đáy tròn (4.5) và đổ ngập mẫu thử bằng 200 ml dung dịch axit sulfuric (5.1). Gắn bộ ngưng tụ (4.6) và chèn một nhiệt kế (4.7) ngập trong chất lỏng ít nhất 15 mm.

7.4  Trong vòng 30 min, đưa các thành phần trong bình đến nhiệt độ điểm sôi bằng bếp cách cát hoặc bếp cách dầu (4.8) [nhiệt độ sôi của axit sulfuric 70 % (m/m) xấp xỉ 170 °C]. Ghi nhiệt độ của chất lỏng sau khi bắt đầu sôi.

7.5  Giữ chất lỏng sôi nhẹ trong 6 h. Ghi nhiệt độ của chất lỏng ở thời gian cuối.

7.6  Sau khi chất lỏng sôi 6 h, lấy bình ra khỏi thiết bị gia nhiệt và làm lạnh trong 1 h. Gạn sạch axit trên mẫu thử. cẩn thận đổ khoảng 500 ml nước cất và rửa sạch toàn bộ thành phần trong bình vào chén lọc sứ (4.9) đã được sấy khô và cân chính xác đến 0,001 g, dùng một máy hút để hỗ trợ quá trình lọc. Rửa cặn trong chén lọc bằng nước cất cho đến khi dịch lọc không bị đục khi nhỏ vài giọt dung dịch bari chloride vào.

7.7  Sấy khô chén lọc chứa cặn trong tủ sấy ở nhiệt đô (110 ± 5) °C đến khối lượng không đi. Trước mỗi lần cân, làm nguội chén lọc và các thành phần trong chén lọc đến nhiệt độ phòng trong bình hút ẩm.

Cân chén lọc và các thành phần trong chén lọc chính xác đến 0,001 g (khối lượng m2)

8  Biểu thị kết quả

Tính mất khối lượng của mẫu thử theo phần trăm khối lượng ban đầu, sử dụng công thức

(1)

trong đó

m1 là khối lượng ban đầu của mẫu thử, tính bằng gam;

m2 là khối lượng cặn còn lại, tính bằng gam.

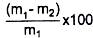
Độ chịu axit được tính theo công thức

(2)

trong đó

m1 là khối lượng ban đầu của mẫu thử, tính bằng gam;

m2 là khối lượng cặn còn lại, tính bằng gam.

9  Báo cáo thử nghiệm

Báo cáo thử nghiệm bao gồm các thông tin sau:

a) thiết lập thử nghiệm;

b) ngày thử nghiệm;

c) viện dẫn tiêu chuẩn này(TCVN 13948:2024);

d) vật liệu thử nghiệm (nhà sản xuất, loại mẫu, số mẻ mẫu..,);

e) nhiệt độ và điểm thời gian của axit ngay khi bắt đầu sôi và trước khi kết thúc thử nghiệm;

f) các giá trị riêng lẻ và giá trị trung bình tính toán từ mất khối lượng tương ứng của mỗi mẫu thử nghiệm

CHÚ THÍCH: Sử dụng các giá trị riêng lẻ đ xác định giá trị trung bình. Sử dụng giá trị trung bình để phân tích thống kê, ví dụ theo ISO 5022.

Bạn chưa Đăng nhập thành viên.

Đây là tiện ích dành cho tài khoản thành viên. Vui lòng Đăng nhập để xem chi tiết. Nếu chưa có tài khoản, vui lòng Đăng ký tại đây!

* Lưu ý: Để đọc được văn bản tải trên Luatvietnam.vn, bạn cần cài phần mềm đọc file DOC, DOCX và phần mềm đọc file PDF.

Văn bản liên quan Tiêu chuẩn Việt Nam TCVN 13948:2024

văn bản cùng lĩnh vực

văn bản mới nhất

CHÍNH SÁCH BẢO VỆ DỮ LIỆU CÁ NHÂN
Yêu cầu hỗ trợYêu cầu hỗ trợ
Chú thích màu chỉ dẫn
Chú thích màu chỉ dẫn:
Các nội dung của VB này được VB khác thay đổi, hướng dẫn sẽ được làm nổi bật bằng các màu sắc:
Sửa đổi, bổ sung, đính chính
Thay thế
Hướng dẫn
Bãi bỏ
Bãi bỏ cụm từ
Bình luận
Click vào nội dung được bôi màu để xem chi tiết.
×