- Tổng quan
- Nội dung
- VB gốc
- Tiếng Anh
- Hiệu lực
- VB liên quan
- Lược đồ
-
Nội dung hợp nhất
Tính năng này chỉ có tại LuatVietnam.vn. Nội dung hợp nhất tổng hợp lại tất cả các quy định còn hiệu lực của văn bản gốc và các văn bản sửa đổi, bổ sung, đính chính... trên một trang. Việc hợp nhất văn bản gốc và những văn bản, Thông tư, Nghị định hướng dẫn khác không làm thay đổi thứ tự điều khoản, nội dung.
Khách hàng chỉ cần xem Nội dung hợp nhất là có thể nắm bắt toàn bộ quy định hiện hành đang áp dụng, cho dù văn bản gốc đã qua nhiều lần chỉnh sửa, bổ sung.
- Tải về
Thông tư 27/2020/TT-BTTTT Quy chuẩn tín hiệu truyền hình cáp tương tự tại điểm kết nối thuê bao
| Cơ quan ban hành: | Bộ Thông tin và Truyền thông |
Số công báo:
Số công báo là mã số ấn phẩm được đăng chính thức trên ấn phẩm thông tin của Nhà nước. Mã số này do Chính phủ thống nhất quản lý.
|
Đã biết
|
| Số hiệu: | 27/2020/TT-BTTTT | Ngày đăng công báo: |
Đã biết
|
| Loại văn bản: | Thông tư | Người ký: | Nguyễn Mạnh Hùng |
|
Ngày ban hành:
Ngày ban hành là ngày, tháng, năm văn bản được thông qua hoặc ký ban hành.
|
30/09/2020 |
Ngày hết hiệu lực:
Ngày hết hiệu lực là ngày, tháng, năm văn bản chính thức không còn hiệu lực (áp dụng).
|
Đang cập nhật |
|
Áp dụng:
Ngày áp dụng là ngày, tháng, năm văn bản chính thức có hiệu lực (áp dụng).
|
Đã biết
|
Tình trạng hiệu lực:
Cho biết trạng thái hiệu lực của văn bản đang tra cứu: Chưa áp dụng, Còn hiệu lực, Hết hiệu lực, Hết hiệu lực 1 phần; Đã sửa đổi, Đính chính hay Không còn phù hợp,...
|
Đã biết
|
| Lĩnh vực: | Thông tin-Truyền thông |
TÓM TẮT THÔNG TƯ 27/2020/TT-BTTTT
Ngày 30/9/2020, Bộ Thông tin và Truyền thông đã ban hành Thông tư 27/2020/TT-BTTTT về Quy chuẩn kỹ thuật quốc gia về tín hiệu truyền hình cáp tương tự tại điểm kết nối thuê bao (QCVN 87:2020/BTTTT)
QCVN 87:2020/BTTTT quy định các yêu cầu kỹ thuật về chất lượng tín hiệu truyền hình cáp tại điểm kết nối thuê bao, sử dụng công nghệ tương tự, hệ màu PAL B/G và PAL D/K. Loại truyền hình sử dụng phương tiện truyền dẫn trên mạng cáp, sử dụng điều chế bằng kỹ thuật tương tự để cung cấp các kênh chương trình phát thanh, truyền hình đến người sử dụng dịch vụ.
Các doanh nghiệp cung cấp dịch vụ truyền hình cáp tương tự trên lãnh thổ Việt Nam có trách nhiệm đảm bảo tín hiệu truyền hình cáp tương tự tuân thủ Quy chuẩn này, đồng thời công bố chất lượng về tín hiệu truyền hình cáp theo Quy chuẩn và chịu sự kiểm tra của cơ quan quản lý Nhà nước.
Thông tư có hiệu lực thi hành kể từ ngày 01/4/2021. Trách nhiệm của doanh nghiệp cung cấp dịch vụ truyền hình cáp tương tự thực hiện tại Thông tư 24/2016/TT-BTTTT về quản lý chất lượng dịch vụ phát thanh, truyền hình.
Xem chi tiết Thông tư 27/2020/TT-BTTTT có hiệu lực kể từ ngày 01/04/2021
Tải Thông tư 27/2020/TT-BTTTT
|
BỘ THÔNG TIN VÀ TRUYỀN THÔNG __________ Số: 27/2020/TT-BTTTT |
CỘNG HÒA XÃ HỘI CHỦ NGHĨA VIỆT NAM Độc lập - Tự do - Hạnh phúc _____________________ Hà Nội, ngày 30 tháng 9 năm 2020 |
THÔNG TƯ
Ban hành “Quy chuẩn kỹ thuật quốc gia về tín hiệu truyền hình cáp tương tự tại điểm kết nối thuê bao”
___________
Căn cứ Luật Tiêu chuẩn và Quy chuẩn kỹ thuật ngày 29 tháng 6 năm 2006;
Căn cứ Luật Viễn thông ngày 23 tháng 11 năm 2009;
Căn cứ Nghị định số 127/2007/NĐ-CP ngày 01 tháng 8 năm 2007 của Chính phủ quy định chi tiết và hướng dẫn thi hành một số điều của Luật Tiêu chuẩn và Quy chuẩn kỹ thuật;
Căn cứ Nghị định số 78/2018/NĐ-CP ngày 16 tháng 5 năm 2018 của Chính phủ sửa đổi, bổ sung một số điều của Nghị định số 127/2007/NĐ-CP ngày 01 tháng 8 năm 2007 của Chính phủ quy định chi tiết thi hành một số điều Luật tiêu chuẩn và quy chuẩn kỹ thuật;
Căn cứ Nghị định số 17/2017/NĐ-CP ngày 17 tháng 02 năm 2017 của Chính phủ quy định chức năng, nhiệm vụ, quyền hạn và cơ cấu tổ chức của Bộ Thông tin và Truyền thông;
Theo đề nghị của Vụ trưởng Vụ Khoa học và Công nghệ,
Bộ trưởng Bộ Thông tin và Truyền thông ban hành Thông tư quy định Quy chuẩn kỹ thuật quốc gia về tín hiệu truyền hình cáp tương tự tại điểm kết nối thuê bao.
Điều 1. Ban hành kèm theo Thông tư này Quy chuẩn kỹ thuật quốc gia về tín hiệu truyền hình cáp tương tự tại điểm kết nối thuê bao (QCVN 87:2020/BTTTT).
Điều 2. Hiệu lực thi hành
1. Thông tư này có hiệu lực thi hành kể từ ngày 01 tháng 4 năm 2021.
2. Thông tư số 08/2015/TT-BTTTT ngày 25 tháng 3 năm 2015 của Bộ trưởng Bộ Thông tin và Truyền thông ban hành “Quy chuẩn kỹ thuật quốc gia về tín hiệu truyền hình cáp tương tự tại điểm kết nối thuê bao” hết hiệu lực thi hành kể từ ngày 01 tháng 4 năm 2021.
|
Nơi nhận: - Thủ tướng Chính phủ, các Phó Thủ tướng Chính phủ; - Các Bộ, cơ quan ngang Bộ, cơ quan thuộc Chính phủ; - UBND và Sở TTTT các tỉnh, thành phố trực thuộc TW; - Cục Kiểm tra văn bản QPPL (Bộ Tư pháp); - Công báo, Cổng Thông tin điện tử Chính phủ; - Bộ TTTT: Bộ trưởng và các Thứ trưởng, các cơ quan, đơn vị thuộc Bộ, Cổng thông tin điện tử của Bộ; - Lưu: VT, KHCN (250). |
BỘ TRƯỞNG
Nguyễn Mạnh Hùng |

CỘNG HÒA XÃ HỘI CHỦ NGHĨA VIỆT NAM
QCVN 87:2020/BTTTT
QUY CHUẨN KỸ THUẬT QUỐC GIA
VỀ TÍN HIỆU TRUYỀN HÌNH CÁP TƯƠNG TỰ
TẠI ĐIỂM KẾT NỐI THUÊ BAO
National technical regulation
on analogue cable television signal
at subscriberconnection point
HÀ NỘI – 2020
Mục lục
1. QUY ĐỊNH CHUNG
1.1. Phạm vi điều chỉnh
1.2. Đối tượng áp dụng
1.3. Tài liệu viện dẫn
1.4. Giải thích từ ngữ
1.5. Chữ viết tắt
1.6. Điểm đo và số lượng mẫu đo
2. QUY ĐỊNH KỸ THUẬT
2.1. Băng tần hoạt động
2.2. Mức tín hiệu cao tần
2.3. Đáp tuyến tần số trong một kênh truyền hình
2.4. Độ sai lệch tần số cao tần
2.5. Độ ổn định tần số cao tần
2.6. Tỷ số công suất sóng mang hình trên tạp âm
2.7. Yêu cầu tín hiệu hình
2.8. Khoảng cách giữa tần số sóng mang hình với tần số sóng mang tiếng
2.9. Tỷ lệ công suất sóng mang tín hiệu hình và tiếng
2.10. Băng thông của mỗi kênh
2.11. Độ di tần tiếng
2.12. Sai lệch đáp tuyến biên độ tần số âm thanh
3. QUY ĐỊNH VỀ QUẢN LÝ
4. TRÁCH NHIỆM CỦA TỔ CHỨC, CÁ NHÂN
5. TỔ CHỨC THỰC HIỆN
Phụ lục A (Tham khảo) Mô hình tổng thể hệ thống cung cấp dịch vụ truyền hình cáp tương tự
Thư mục tài liệu tham khảo
Lời nói đầu
QCVN 87:2020/BTTTTthay thếQCVN 87:2015/BTTTT.
QCVN 87:2020/BTTTTdo Cục Phát thanh, truyền hình và thông tin điện tử biên soạn, Vụ Khoa học và Công nghệ trình duyệt, Bộ Khoa học và Công nghệ thẩm định, Bộ trưởng Bộ Thông tin và Truyền thông ban hành kèm theo Thông tư số 27/2020/TT-BTTTT ngày 30 tháng 9 năm 2020.
QUY CHUẨN KỸ THUẬT QUỐC GIA
VỀ TÍN HIỆU TRUYỀN HÌNH CÁP TƯƠNG TỰTẠI ĐIỂM KẾT NỐI THUÊ BAO
National technical regulation
on analogue cable television signalat subscriberconnection point
1. QUY ĐỊNH CHUNG
1.1. Phạm vi điều chỉnh
Quy chuẩn kỹ thuật quốc gia này quy định các yêu cầu kỹ thuật về chất lượng tín hiệu truyền hình cáp tại điểm kết nối thuê bao, sử dụng công nghệ tương tự, hệ màu PAL B/G và PAL D/K.
1.2. Đối tượng áp dụng
Quy chuẩn này áp dụng đối với các cơ quan quản lý nhà nước, các doanh nghiệp cung cấp dịch vụ truyền hình cáp tương tự tại Việt Nam.
1.3. Tài liệu viện dẫn
TCVN 5830:1999, Truyền hình - Các thông số cơ bản.
TCVN 5831:1999, Máy phát hình - Các thông số cơ bản và phương pháp đo.
IEC 60728-1(2014-05), Cable networks for television signals, sound signals and interactive services – Part 1: System performance of forward paths.
IEC 60728-5 (2007), Headend equipment.
1.4. Giải thích từ ngữ
1.4.1. Truyền hình cáp tương tự (analogue cable television)
Loại truyền hình sử dụng phương tiện truyền dẫn trên mạng cáp, sử dụng điều chế bằng kỹ thuật tương tựđể cung cấp các kênh chương trình phát thanh, truyền hình đến người sử dụng dịch vụ.
1.4.2. Tín hiệu truyền hình cáp tương tự (analogue cable television signal)
Tín hiệu cao tần (RF) tổng hợp của tín hiệu hình và tín hiệu tiếng đi kèm được điều chế bằng kỹ thuật tương tự và được truyền dẫn trên mạng cáp đến thiết bị thu hình tương tự của thuê bao.
1.4.3. Thuê bao truyền hình cáp tương tự (analogue cable television subscriber)
Tổ chức, cá nhân Việt Nam hoặc nước ngoài sử dụng dịch vụ truyền hình cáp tương tự trên lãnh thổ Việt Nam, sau đây gọi tắt là “thuê bao”.
1.4.4. Dịch vụ truyền hình cáp tương tự (analogue cable television service)
Dịch vụ ứng dụng viễn thông để truyền dẫn, phân phối các kênh chương trình, chương trình truyền hình và các dịch vụ giá trị gia tăng trên hạ tầng kỹ thuật cung cấp dịch vụ truyền hình cáp tương tự đến thuê bao.
1.4.5. Hạ tầng kỹ thuật cung cấp dịch vụ truyền hình cáp tương tự (technical infrastructure providing analogue cable television service)
Hạ tầng mạng viễn thông có tính năng kỹ thuật đáp ứng yêu cầu kỹ thuật cung cấp dịch vụ truyền hình cáp tương tự.
1.4.6. Doanh nghiệp cung cấp dịch vụ truyền hình cáp tương tự (company providinganalogue cable television service)
Doanh nghiệp cung cấp dịch vụ truyền hình cáp tương tự được hoạt động theo các quy định của pháp luật Việt Nam và của Bộ Thông tin và Truyền thông.
1.4.7. Điểm kết nối thuê bao truyền hình cáp tương tự (the connection point for analogue cable television subscriber)
Điểm cấp tín hiệu truyền hình cáp tương tự tại vị trí thuê bao đăng ký dịch vụ truyền hình cáp tương tự,sau đây gọi tắt là “điểm kết nối thuê bao”.
1.4.8. Điểm tập trung thuê bao truyền hình cáp tương tự (the focus point for analogue cable television subscriber)
Điểm chuyển đổi tín hiệu từ hệ thống cáp đường trục vào hệ thống cáp phân phối (Hub) hoặc vào trung tâm xử lý và chuyển tiếp tín hiệu (Sub Headend), sau đây gọi tắt là “điểm tập trung thuê bao”.
1.4.9. Thiết bị đầu cuối thuê bao truyền hình cáp tương tự (terminal equipment for analogue cable television subscriber)
Thiết bị mà thuê bao sử dụng để kết nối với điểm kết cuối của hạ tầng kỹ thuật truyền hình cáp tương tự để nhận tín hiệu của doanh nghiệp cung cấp dịch vụ.
1.4.10. Mức tín hiệu cao tần (carrier levels)
Mức biên độ của tín hiệu cao tần hình sin sau điều chế tại mỗi kênh truyền hình cáp tương tự đo được tại điểm kết nối thuê bao (đơn vị tính bằng dBµV).
1.4.11. Đáp tuyến biên độ tần số (frequency amplitude response)
Đường biểu diễn (theo thang logarit) sự biến thiên của giá trị biên độ tần số tín hiệu ra với biên độ tần số tín hiệu vào (đơn vị tính bằng dB).
1.4.12. Trễ nhóm (group delay)
Giới hạn trễ nhóm tần số cho phép trong kênh truyền hình bất kỳ (đơn vị tính bằng_s).
1.4.13. Độ sai lệch tần số cao tần (carrier frequency deviation)
Giá trị cho phép sai lệch tối đa so với giá trị tần số trung tâm của mỗi kênh (đơn vị tính bằng Hz).
1.4.14. Độ ổn định tần số (frequency stability)
Tỷ số giữa độ lệch tần số cực đại và tần số máy phát trong khoảng thời gian xác định trước.
1.4.15. Tỷ số sóng mang trên tạp âm C/N (carrier-to-noise ratio)
Tỷ số giữa mức công suất sóng mang trên mức công suất tạp âm (đơn vị tính bằng_dB).
1.4.16. Độ sâu điều chế (depth of modulation)
Tỷ số giữa biên độ tín hiệu tin tức trên tín hiệu điều chế.
1.4.17. Mức xung đồng bộ sau giải điều chế (sync pulse level after demodulation)
Giá trị của mức xung đồng bộ sau giải điều chế.
1.4.18. Méo khuếch đại vi sai (differential amplifier distortion)
Tỷ số giữa mức chênh lệch biên độ tải màu trên tổng biên độ tải màu lớn nhất và nhỏ nhất.
1.4.19. Méo pha vi sai (differential phase distortion)
Tỷ số giữa giá trị đỉnh - đỉnh của sự thay đổi pha của các tín hiệu sóng mang màu trên tín hiệu bậc thang lồng tín hiệu sóng mang màu.
1.4.20. Tỷ số tín hiệu trên tạp âm - S/N (signal-to-noise ratio)
Tỷ số biểu thị cường độ tương đối của tín hiệu so với nhiễu nền trong kênh.
1.4.21. Sai lệch đáp tuyến biên độ tần số tín hiệu hình (frequency deviation amplitude response for video signal)
Chỉ tiêu đánh giá độ sai lệch đáp tuyến biên độ tần số tín hiệu hình trên toàn băng thông.
1.4.22. Khoảng cách giữa tần số sóng mang hình với tần số sóng mang tiếng (space between vision carrier frequency to audio carrier frequency)
Khoảng cách từ tần số sóng mang hình đến tần số sóng mang tiếng của mỗi kênh truyền hình cáp tương tự (đơn vị tính bằng MHz).
1.4.23. Tỷ lệ sóng mang tín hiệu hình và tiếng - V/A (Vision carrier to Audio carrier ratio)
Giá trị chênh lệch cho phép giữa công suất sóng mang tín hiệu hình với công suất sóng mang tín hiệu tiếng của mỗi kênh truyền hình cáp tương tự.
1.4.24. Băng thông của mỗi kênh (bandwidth per channel)
Độ rộng phổ tần số cho phép của mỗi kênh (đơn vị tính bằng MHz).
1.4.25. Độ di tần tiếng (audio frequency deviation)
Độ sai lệch cho phép giữa tần số tín hiệu tiếng và tần số sóng mang tiếng của tín hiệu truyền hình cáp tương tự sau khi điều chế.
1.4.26. Sai lệch đáp tuyến biên độ tần số âm thanh (frequency deviation amplitude response for sound signal)
Tỷ số biểu thị cường độ tương đối của tín hiệu âm thanh so với nhiễu nền trong kênh
1.4.27. Thiết bị thu đo chuyên dùng
Thiết bị đo có tính năng đo các chỉ tiêu kỹ thuật tương ứng và được kiểm định bởi cơ quan, tổ chức có thẩm quyền.
1.4.28. Trung tâm thu phát tập trung kênh chương trình (Headend)
Địa điểm doanh nghiệp thiết lập để tiếp nhận, xử lý và cung cấp kênh chương trình từ đơn vị cung cấp nội dung tớitrung tâm thu phát địa phương và thuê bao.
1.4.28. Trung tâm thu phát tập địa phương(Sub-Headend)
Địa điểm doanh nghiệp thiết lập để tiếp nhận, xử lý và cung cấp kênh chương trình từ trung tâm thu phát tập trung kênh chương trình và kênh chương trình địa phương (nếu có) tới thuê bao.
| AM | Amplitude Modulation | Điều chế biên độ |
| C/N | Carrier-to-noise Ratio | Tỷ số sóng mang trên tạp âm |
| dB | Decibel | Decibel |
| dB(µV) | Decibel Microvolt | Decibel micrô vôn |
| IEC | International Electrotechnical Commission/Commitee | Ủy ban Kỹ thuật Điện Quốc tế |
| ITU | International Telecommunication Union | Liên minh Viễn thông Quốc tế |
| PAL | Phase Alternating Line | Dòng quét luân phiên/xen kẽ theo pha |
| PM | Phase Modulation | Điều chế pha |
| RF | Radio Frequency | Tần số vô tuyến |
| S/N | Signal-to-Noise Ratio | Tỷ số tín hiệu trên tạp âm |
| TV | Television | Máy thu hình (tivi) |
| UHF | Ultra High Frequency | Tần số cực cao |
| V/A | Video/Audio | Tín hiệu hình/Tín hiệu tiếng |
| VHF | Very High Frequency | Tần số rất cao |
| VSB | Vestigial Side-Band | Băng tần biên sót (rớt) |
1.6. Điểm đo và số lượng mẫu đo
Điểm đo tín hiệu truyền hình cáp tương tựđược xác định là tại điểm kết nối thuê bao.
Số lượng mẫu đo:01 mẫu/ điểm tập trung thuê bao.
Trường hợp cơ quan quản lý nhà nước thực hiện đo kiểm phục vụ việc kiểm tra, giám sát theo quy định, số lượng mẫu đo tại điểm tập trung thuê bao có thể nhiều hơn nhưng không quá số lượng thuê bao có trong điểm tập trung thuê bao.
2. QUY ĐỊNH KỸ THUẬT
2.1. Băng tần hoạt động
Băng tần VHF, UHF.
2.2. Mức tín hiệu cao tần
2.2.1. Chỉ tiêu
Tại dải tần số VHF, UHFmức tín hiệu cao tầnphải nằm trong khoảng từ 60 dBµV ÷ 80 dBµV.
Sử dụng thiết bị đo chuyên dùng để xác định mức tín hiệu cao tần của tín hiệu thu được tại điểm kết nối thuê bao.
Sơ đồ đo như Hình 1.

Hình 1 -Sơ đồ đo tín hiệu cao tần
2.3. Đáp tuyến tần số trong một kênh truyền hình
2.3.1. Đáp tuyến biên độ
| Điều chế tín hiệu | Độ rộng băng tần kênh, MHz | Thay đổi lớn nhất (đỉnh - đỉnh), dB | Biến thiên đường bao lớn nhất,dB/MHz |
| Truyền hình AM-VSB | 7 | 2 | 1 |
| Truyền hình AM-VSB | 8 | 2,5 | 1 |
Sử dụng máy đo chuyên dùng để xác định đáp tuyến biên độ tần số trong một kênh truyền hình thu được tại điểm kết nối thuê bao. Giá trị đáp tuyến biên độ trong một kênh tần số đọc trực tiếp trên máy đo.
Sơ đồ đo như Hình 2.
2.3.2. Trễ nhóm
2.3.2.1. Chỉ tiêu
Trễ nhóm trong mức giới hạn ( ± 500 x 10-9 )s.
Sử dụng máy đo chuyên dùng để xác định trễ nhóm tần số trong mỗi kênh truyền hình cáp thu được tại điểm kết nối thuê bao.
Sơ đồ đo như Hình 3.
2.4. Độ sai lệch tần số cao tần
2.4.1. Chỉ tiêu
Dải tần số VHF/UHF: ± 30 kHz.
Sử dụng máy đo chuyên dùng để xác định độ sai lệch tần số cao tần tại điểm kết nối thuê bao.
Giá trị tần số đọc trên máy đo tần số, số lần đo không ít hơn 5.
Độ sai lệch tần số được tính theo công thức sau:
fCT :Tần số công tác của máy phát.
fTB :Tần số trung bình của các lần đo.
Sơ đồ đo như Hình 4.
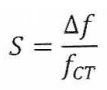
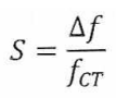
2.5. Độ ổn định tần số cao tần
2.5.1. Chỉ tiêu
Độ ổn định tần số ≤ 10-6.
Sử dụng máy đo như trong 2.4.2 để đo độ ổn định tần số cao tần, số lần đo không ít hơn 5.
Độ ổn định tần số (S) được xác định theo công thức sau:
trong đó:


Sơ đồ đo như Hình 4.
2.6. Tỷ số công suất sóng mang hình trên tạp âm
2.6.1. Chỉ tiêu
C/N ≥ 43 dB
Sử dụng máy đo chuyên dùng để đo tỷ số C/N. Điều chỉnh máy đo (máy phân tích phổ) về kênh cần đo, lựa chọn tần số trung tâm và cài đặt mức để có thể hiển thị toàn bộ băng tần. Thiết lập mức phân giải của máy phân tích phổ tới 100 kHz và thiết lập băng tần video đến 100 Hz.
Đo mức đỉnh của tín hiệu cần đo, đơn vị dB (µV).
Ngắt tín hiệu cần đo, điều chỉnh cổng đầu vào với điện trở phù hợp. Đo mức công suất tạp âm N, đơn vị đo là dB (µV).
Tính tỷ lệ công suất sóng mang hình trên công suất tạp âm qua công thức:

2.7. Yêu cầu tín hiệu hình
2.7.1. Độ sâu điều chế
2.7.1.1. Chỉ tiêu
Mức giới hạn (87,5 ± 2)% của biên độ tín hiệu đỉnh - đỉnh xung đồng bộ.
Sử dụng máy đo chuyên dùng để đo độ sâu điều chế tín hiệu truyền hình cáp tại điểm kết nối thuê bao.
Độ sâu điều chế (m) tính bằng phần trăm theo công thức sau:
trong đó:

Us : Biên độ tín hiệu
Usđc : Biên độ tín hiệu điều chế
Sơ đồ đo như Hình 6.
2.7.2. Mức xung đồng bộ sau giải điều chế
2.7.2.1. Chỉ tiêu
Trong mức giới hạn (300 ± 15) mV.
2.7.2.2. Phương pháp xác định
Sử dụng máy đo chuyên dùng để đo mức xung đồng bộ sau giải điều chế tín hiệu truyền hình tại điểm kết nối thuê bao.
Giá trị mức xung đồng bộ sau giải điều chế đọc trực tiếp trên máy đo.
Sơ đồ đo như Hình 6.
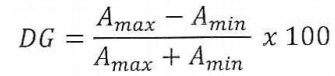
2.7.3. Méo khuếch đại vi sai
2.7.3.1. Chỉ tiêu
Trong mức giới hạn ± 7 % so với giá trị chuẩn biên độ tín hiệu sóng mang màu.
2.7.3.2. Phương pháp xác định
Sử dụng máy đo hiện sóng để đo méo khuếch đại vi sai tín hiệu truyền hình cáp tại điểm kết nối thuê bao.
Điều chỉnh máy hiện sóng ở thang đo 10 µs/vạch chia; 0,1 V/vạch chia.
Đo xác định biên độ lớn nhất Amax và Amin.
Méo khuếch đại vi sai (DG) tính bằng phần trăm theo công thức sau:

Sơ đồ đo như Hình 7.

Hình 7 - Sơ đồ đo méo khuếch đại vi sai
2.7.4. Méo pha vi sai
2.7.4.1. Chỉ tiêu
Trong mức giới hạn ± 5 độ so với giá trị chuẩn pha tín hiệu sóng mang màu.
2.7.4.2. Phương pháp xác định
Sử dụng máy đo chuyên dùng để đo méo pha vi sai tín hiệu truyền hình cáp tại điểm kết nối thuê bao.
Giá trị kết quả đo méo pha vi sai đọc trực tiếp trên máy đo.
Sơ đồ đo như Hình 8.

Hình 8- Sơ đồ đo méo pha vi sai
2.7.5. Tỷ số tín hiệu trên tạp âm
2.7.5.1. Chỉ tiêu
S/N ≥ 45 dB.
2.7.5.2. Phương pháp xác định
Sử dụng máy đo chuyên dùng để đo Tỷ số tín hiệu trên tạp âm(S/N) của các kênh truyền hình cáp thu được tại điểm kết nối thuê bao.
Tỷ số tín hiệu trên tạp âm được tính theo công thức:

trong đó:
So: Biên độ của mức chói 700 mV
No : Biên độ tạp âm
Tỷ số tín hiệu trên tạp âm tổng hợp (S/N): Biên độ tạp âm lấy giá trị đỉnh - đỉnh và được đo trong toàn dải tín hiệu video (0 - 5 MHz).
Sơ đồ đo như Hình 9.

Hình 9- Sơ đồ đo tỷ số S/N
2.7.6. Sai lệch đáp tuyến biên độ tần số hình
2.7.6.1. Chỉ tiêu
Mức giới hạn ± 2 dB trong dải tần 0 MHz đến 5 MHz.
2.7.6.2. Phương pháp xác định
Sử dụng máy đo chuyên dùng để xác định đáp tuyến biên độ của tín hiệu hình trong băng thông kênh truyền tại điểm kết nối thuê bao.
Giá trị độ sai lệch đáp tuyến biên độ tần số hình đọc trực tiếp trên máy đo
Sơ đồ đo như Hình 10.

Hình 10- Sơ đồ đo sai lệch đáp tuyến biên độ tần số hình
2.8. Khoảng cách giữa tần số sóng mang hình với tần số sóng mang tiếng
2.8.1. Chỉ tiêu
- Hệ màu PAL B/G là 5,5 MHz;
- Hệ màu PAL D/K là 6,5 MHz.
2.8.2. Phương pháp xác định
Sử dụng máy chuyên dùng để xác định khoảng cách giữa tần số sóng mang hình và sóng mang tiếng của mỗi kênh truyền hình cáp tại điểm kết nối thuê bao.
Sơ đồ đo như Hình 6.
2.9. Tỷ lệ công suất sóng mang tín hiệu hình và tiếng
2.9.1. Chỉ tiêu
Giới hạn trong khoảng 13 dB ÷ 16 dB.
2.9.2. Phương pháp xác định
Sử dụng thiết bị chuyên dùng để xác định tỷ lệ công suất sóng mang hình và tiếng của các kênh truyền hình cáp tại điểm kết nối thuê bao.
Sơ đồ đo như Hình 11.

Hình 11 - Sơ đồ đo tỷ số công suất tín hiệu sóng mang hình và tiếng
2.10. Băng thông của mỗi kênh
2.10.1. Chỉ tiêu
- Với hệ màu PAL B là 7 MHz;
- Với hệ màu PAL G là 8 MHz;
-Với hệ màu PAL D/K là 8 MHz.
2.10.2. Phương pháp xác định
Sử dụng thiết bị đo chuyên dùng xác định băng thông của mỗi kênh truyền hình cáp thu được tại điểm kết nối thuê bao.
Sơ đồ đo như Hình 12.

Hình 12- Sơ đồ đo băng thông của mỗi kênh
2.11. Độ di tần tiếng
2.11.1. Chỉ tiêu
Độ di tần tối đa cho phép là 50 kHz.
2.11.2. Phương pháp xác định
Sử dụng thiết bị đo chuyên dùng để xác định độ di tần tiếng của mỗi kênh thu được tại điểm kết nối thuê bao.
Sơ đồ đo như Hình 13.

Hình 13- Sơ đồ đo độ di tần tiếng
2.12. Sai lệch đáp tuyến biên độ tần số âm thanh
2.12.1. Chỉ tiêu
Mức giới hạn ± 1,5 dB đối với biên độ tần số âm thanh từ 30 Hz đến 15000 Hz.
2.12.2. Phương pháp xác định
Sử dụng thiết bị đo chuyên dùng xác định độ sai lệch đáp tuyến biên độ tần số âm thanh của mỗi kênh thu được tại điểm kết nối thuê bao.
Sơ đồ đo như Hình 14.

Hình 14- Sơ đồ đo sai lệch đáp tuyến biên độ tần số âm thanh
3. QUY ĐỊNH VỀ QUẢN LÝ
Tín hiệu truyền hình cáp tương tự thuộc phạm vi điều chỉnh quy định tại 1.1 phải tuân thủ các quy định trong Quy chuẩn này.
4. TRÁCH NHIỆM CỦA TỔ CHỨC, CÁ NHÂN
4.1. Doanh nghiệp cung cấp dịch vụ truyền hình cáp tương tự trên lãnh thổ Việt Nam có trách nhiệm đảm bảo tín hiệu truyền hình cáp tương tự tuân thủ Quy chuẩn này.
4.2. Doanh nghiệp cung cấp dịch vụ truyền hình cáp tương tự có trách nhiệm thực hiện công bố chất lượng về tín hiệu truyền hình cáp tương tự theo Quy chuẩn này vàchịu sự kiểm tra của cơ quan quản lý nhà nước theo quy định.
4.3. Trách nhiệm của doanh nghiệp cung cấp dịch vụtruyền hình cáp tương tựthực hiện tại Thông tư số 24/2016/TT-BTTTT ngày 15 tháng 11 năm 2016 của Bộ trưởng Bộ Thông tin và Truyền thông quy định về quản lý chất lượng dịch vụ phát thanh, truyền hình.
5. TỔ CHỨC THỰC HIỆN
5.1. Cục Phát thanh, truyền hình và thông tin điện tử, Cục Viễn thông, các Sở Thông tin và Truyền thông có trách nhiệm tổ chức, hướng dẫn, kiểm tra các doanh nghiệp cung cấp dịch vụ truyền hình cáp tương tự thực hiện Quy chuẩn này.
5.2.Quy chuẩn này thay thế cho QCVN 87:2015/BTTTT “Quy chuẩn kỹ thuật quốc gia về tín hiệu truyền hình cáp tương tự tại điểm kết nối thuê bao”.
5.3. Trong trường hợp các quy định nêu tại Quy chuẩn này có sự thay đổi, bổ sung hoặc được thay thế thì thực hiện tại văn bản mới.
5.4. Trong quá trình triển khai thực hiện Quy chuẩn, nếu có vấn đề phát sinh, vướng mắc, các tổ chức và cá nhân phản ánh bằng văn bản về Bộ Thông tin và Truyền thông (Vụ Khoa học và Công nghệ) để được hướng dẫn, giải quyết./.
A
(Tham khảo)
Mô hình tổng thể hệ thống cung cấp dịch vụ truyền hình cáp tương tự
A.1. Mô hình Hệ thống cung cấp dịch vụ truyền hình cáp tương tự

Hình A.1- Mô hình Hệ thống cung cấp dịch vụ truyền hình cáp tương tự
A.2. Mô hình Hệ thốngcung cấp dịch vụ truyền hình cáp tương tự sử dụng cáp quang trên đường trục

CHÚ THÍCH: Điểm tập trung thuê bao là Fiber Hub.
Hình A.2 - Mô hình hệ thống cung cấp dịch vụ truyền hình cáp tương tự sử dụng cáp quang trên đường trục
A.3. Mô hình hệ thống cung cấp dịch vụ truyền hình cáp tương tự sử dụng cáp quangđến thuê bao

CHÚ THÍCH: Điểm tập trung thuê bao làSub Headend.
Hình A.3 - Mô hình hệ thống cung cấp dịch vụ truyền hình cáp tương tự sử dụng cáp quang đến thuê bao
Thư mục tài liệu tham khảo
[1] Quyết định số 22/2009/QĐ-TTg ngày 16 tháng 02 năm 2009 của Thủ tướng Chính phủ Phê duyệt Quy hoạch truyền dẫn, phát sóng phát thanh, truyền hình đến năm 2020.
[2] QCVN 87:2015/BTTTT, Quy chuẩn kỹ thuật quốc gia về tín hiệu truyền hình cáp tương tự tại điểm kết nối thuê bao.
[3] TCVN 5830: 1999, Truyền hình - Các thông số cơ bản.
[4] TCVN 5831: 1999, Máy phát hình - Các thông số cơ bản và phương pháp đo.
[5] IEC 60728-1 (2014-05), Cable networks for television signals, sound signals and interactive services – Part 1: System performance of forward paths.
[6] IEC 60728-5 (2007), Headend Equipment.
[7] TCVN 5329:1991, Máy thu hình màu - Phân loại, thông số cơ bản và yêu cầu kỹ thuật.
[8] ETSI ES 201 488-1, Data over cable system; Part 1: General.
[9] ETSI ES 201 488-2, Access and Terminals (AT); Data Over Cable Systems; Part 2: Radio Frequency Interface Specification.
_______________________________
Bạn chưa Đăng nhập thành viên.
Đây là tiện ích dành cho tài khoản thành viên. Vui lòng Đăng nhập để xem chi tiết. Nếu chưa có tài khoản, vui lòng Đăng ký tại đây!
Bạn chưa Đăng nhập thành viên.
Đây là tiện ích dành cho tài khoản thành viên. Vui lòng Đăng nhập để xem chi tiết. Nếu chưa có tài khoản, vui lòng Đăng ký tại đây!