- Tổng quan
- Nội dung
- VB gốc
- Tiếng Anh
- Hiệu lực
- VB liên quan
- Lược đồ
-
Nội dung hợp nhất
Tính năng này chỉ có tại LuatVietnam.vn. Nội dung hợp nhất tổng hợp lại tất cả các quy định còn hiệu lực của văn bản gốc và các văn bản sửa đổi, bổ sung, đính chính... trên một trang. Việc hợp nhất văn bản gốc và những văn bản, Thông tư, Nghị định hướng dẫn khác không làm thay đổi thứ tự điều khoản, nội dung.
Khách hàng chỉ cần xem Nội dung hợp nhất là có thể nắm bắt toàn bộ quy định hiện hành đang áp dụng, cho dù văn bản gốc đã qua nhiều lần chỉnh sửa, bổ sung.
- Tải về
Thông tư 20/2022/TT-BTTTT Quy chuẩn về chất lượng dịch vụ truy nhập Internet băng rộng cố định mặt đất
| Cơ quan ban hành: | Bộ Thông tin và Truyền thông |
Số công báo:
Số công báo là mã số ấn phẩm được đăng chính thức trên ấn phẩm thông tin của Nhà nước. Mã số này do Chính phủ thống nhất quản lý.
|
Đang cập nhật |
| Số hiệu: | 20/2022/TT-BTTTT | Ngày đăng công báo: | Đang cập nhật |
| Loại văn bản: | Thông tư | Người ký: | Nguyễn Mạnh Hùng |
|
Ngày ban hành:
Ngày ban hành là ngày, tháng, năm văn bản được thông qua hoặc ký ban hành.
|
29/11/2022 |
Ngày hết hiệu lực:
Ngày hết hiệu lực là ngày, tháng, năm văn bản chính thức không còn hiệu lực (áp dụng).
|
Đang cập nhật |
|
Áp dụng:
Ngày áp dụng là ngày, tháng, năm văn bản chính thức có hiệu lực (áp dụng).
|
Đã biết
|
Tình trạng hiệu lực:
Cho biết trạng thái hiệu lực của văn bản đang tra cứu: Chưa áp dụng, Còn hiệu lực, Hết hiệu lực, Hết hiệu lực 1 phần; Đã sửa đổi, Đính chính hay Không còn phù hợp,...
|
Đã biết
|
| Lĩnh vực: | Thông tin-Truyền thông |
TÓM TẮT THÔNG TƯ 20/2022/TT-BTTTT
Ngày 29/11/2022, Bộ Thông tin và Truyền thông đã ra Thông tư 20/2022/TT-BTTTT ban hành “Quy chuẩn kỹ thuật quốc gia về chất lượng dịch vụ truy nhập Internet băng rộng cố định mặt đất”.
Theo đó, phương pháp mô phỏng xác định tốc độ tải dữ liệu trung bình như sau: số lượng mẫu đo tối thiểu là 1000 mẫu đo tải tệp (file) dữ liệu vào các giờ khác nhau trong ngày với mỗi loại tải lên, tải xuống máy chủ phục vụ công tác đo kiểm. Ngoài ra, dung lượng của mỗi tệp dữ liệu (MB) dùng để thực hiện mẫu đo tối tiểu bằng hai lần giá trị tốc độ tải tối đa (Mbit/s) của gói dịch vụ được đo kiểm. Mặt khác, khoảng cách giữa hai mẫu đo liên tiếp xuất phát từ một đầu cuối tối thiểu là 30 s.
Bên cạnh đó, phương pháp xác định của dịch vụ trợ giúp khách hàng bao gồm:
Thứ nhất, phương pháp mô phỏng hoặc gọi phân công: thực hiện mô phỏng hoặc gọi nhân công tới dịch vụ hỗ trợ khách hàng; số cuộc gọi thử tối thiểu là 250 cuộc gọi vào các giờ khác nhau trong ngày.
Thứ hai, phương pháp giám sát: thực hiện giám sát tất cả các cuộc gọi tới dịch vụ hỗ trợ khách hàng bằng thiết bị hoặc tính tăng sẵn có của mạng; số lượng cuộc gọi lấy mẫu tối thiểu là toàn bộ cuộc gọi trong 7 ngày liên tiếp.
Thông tư có hiệu lực từ ngày 01/7/2023.
Xem chi tiết Thông tư 20/2022/TT-BTTTT có hiệu lực kể từ ngày 01/07/2023
Tải Thông tư 20/2022/TT-BTTTT
|
BỘ THÔNG TIN VÀ TRUYỀN THÔNG _______________ Số: 20/2022/TT-BTTTT |
CỘNG HÒA XÃ HỘI CHỦ NGHĨA VỆT NAM Độc lập - Tự do - Hạnh phúc _______________________ Hà Nội, ngày 29 tháng 11 năm 2022 |
THÔNG TƯ
Ban hành “Quy chuẩn kỹ thuật quốc gia về chất lượng dịch vụ truy nhập
Internet băng rộng cố định mặt đất”
Căn cứ Luật Tiêu chuẩn và Quy chuẩn kỹ thuật ngày 29 tháng 6 năm 2006;
Căn cứ Luật Viễn thông ngày 23 tháng 11 năm 2009;
Căn cứ Luật Tần số vô tuyến điện ngày 23 tháng 11 năm 2009;
Căn cứ Nghị định số 127/2007/NĐ-CP ngày 01 tháng 8 năm 2007 của Chính phủ quy định chi tiết và hướng dẫn thi hành một số điều của Luật Tiêu chuẩn và Quy chuẩn kỹ thuật;
Căn cứ Nghị định số 78/2018/NĐ-CP ngày 16 tháng 5 năm 2018 của Chính phủ sửa đổi, bổ sung một số điều của Nghị định số 127/2007/NĐ-CP ngày 01 tháng 8 năm 2007 của Chính phủ quy định chi tiết thi hành một số điều Luật tiêu chuẩn và quy chuẩn kỹ thuật;
Căn cứ Nghị định số 48/2022/NĐ-CP ngày 26 tháng 7 năm 2022 của Chính phủ quy định chức năng, nhiệm vụ, quyền hạn và cơ cấu tổ chức của Bộ Thông tin và Truyền thông;
Theo đề nghị của Vụ trưởng Vụ Khoa học và Công nghệ,
Bộ trưởng Bộ Thông tin và Truyền thông ban hành Thông tư quy định Quy chuẩn kỹ thuật quốc gia về chất lượng dịch vụ truy nhập Internet băng rộng cố định mặt đất.
Điều 1. Ban hành kèm theo Thông tư này Quy chuẩn kỹ thuật quốc gia về chất lượng dịch vụ truy nhập Internet băng rộng cố định mặt đất (QCVN 34:2022/BTTTT).
Điều 2. Hiệu lực thi hành
1. Thông tư này có hiệu lực thi hành kể từ ngày 01 tháng 7 năm 2023.
2. Thông tư số 08/2019/TT-BTTTT ngày 16 tháng 8 năm 2019 của Bộ trưởng Bộ Thông tin và Truyền thông ban hành “Quy chuẩn kỹ thuật quốc gia về chất lượng dịch vụ truy nhập Internet băng rộng cố định mặt đất” hết hiệu lực thi hành kể từ ngày 01 tháng 7 năm 2023.
Điều 3. Chánh Văn phòng, Vụ trưởng Vụ Khoa học và Công nghệ, Thủ trưởng các cơ quan, đơn vị thuộc Bộ Thông tin và Truyền thông, Giám đốc Sở Thông tin và Truyền thông các tỉnh, thành phố trực thuộc Trung ương và các tổ chức, cá nhân có liên quan chịu trách nhiệm thi hành Thông tư này./.
|
Nơi nhận: - Thủ tướng Chính phủ, các Phó Thủ tướng Chính phủ (để b/c); - Các Bộ, cơ quan ngang Bộ, cơ quan thuộc Chính phủ; - UBND các tỉnh, thành phố trực thuộc Trung ương; - Sở TTTT các tỉnh, thành phố trực thuộc Trung ương; - Cục Kiểm tra văn bản QPPL (Bộ Tư pháp); - Công báo, Cổng Thông tin điện tử Chính phủ; - Bộ TTTT: Bộ trưởng và các Thứ trưởng, các cơ quan, đơn vị thuộc Bộ, Cổng thông tin điện tử của Bộ; - Lưu: VT, KHCN (250). |
BỘ TRƯỞNG
Nguyễn Mạnh Hùng |

CỘNG HÒA XÃ HỘI CHỦ NGHĨA VIỆT NAM
QCVN 34:2022/BTTTT
QUY CHUẨN KỸ THUẬT QUỐC GIA
VỀ CHẤT LƯỢNG DỊCH VỤ TRUY NHẬP INTERNET
BĂNG RỘNG CỐ ĐỊNH MẶT ĐẤT
National technical regulation
on quality of fixed land broadband Internet Access Service
HÀ NỘI - 2022
Mục lục
1. QUY ĐỊNH CHUNG................................................................................................ 5
1.1. Phạm vi điều chỉnh............................................................................................... 5
1.2. Đối tượng áp dụng............................................................................................... 5
1.3. Giải thích từ ngữ.................................................................................................. 5
1.4. Chữ viết tắt.......................................................................................................... 7
2. QUY ĐỊNH KỸ THUẬT............................................................................................ 7
2.1. Các chỉ tiêu chất lượng kỹ thuật............................................................................ 7
2.1.1.Thời gian trễ trung bình........................................................................................7
2.1.2. Tốc độ tải dữ liệu trung bình................................................................................7
2.1.3. Mức chiếm dụng băng thông.............................................................................. 8
2.2. Các chỉ tiêu chất lượng phục vụ............................................................................ 8
2.2.1. Độ khả dụng của dịch vụ................................................................................... 8
2.2.2. Thời gian thiết lập dịch vụ.................................................................................. 9
2.2.3. Thời gian khắc phục mất kết nối......................................................................... 9
2.2.4. Khiếu nại của khách hàng về chất lượng dịch vụ................................................. 9
2.2.5. Hồi âm khiếu nại của khách hàng..................................................................... 10
2.2.6. Dịch vụ trợ giúp khách hàng............................................................................. 10
3. QUY ĐỊNH VỀ QUẢN LÝ....................................................................................... 10
4. TRÁCH NHIỆM CỦA DOANH NGHIỆP CUNG CẤP DỊCH VỤ................................. 10
5. TỔ CHỨC THỰC HIỆN......................................................................................... 11
Phụ lục A (Quy định) Yêu cầu chung về đo kiểm......................................................... 12
Thư mục tài liệu tham khảo....................................................................................... 13
Lời nói đầu
QCVN 34:2022/BTTTT thay thế QCVN 34:2019/BTTTT.
QCVN 34:2022BTTTT do Cục Viễn thông biên soạn, Vụ Khoa học và Công nghệ trình duyệt, Bộ Khoa học và Công nghệ thẩm định, Bộ Thông tin và Truyền thông ban hành kèm theo Thông tư số 20/2022/TT-BTTTT ngày 29 tháng 11 năm 2022.
QUY CHUẨN KỸ THUẬT QUỐC GIA
VỀ CHẤT LƯỢNG DỊCH VỤ TRUY NHẬP INTERNET
BĂNG RỘNG CỐ ĐỊNH MẶT ĐẤT
National technical regulation
on quality of fixed land broadband Internet Access Service
1. QUY ĐỊNH CHUNG
1.1. Phạm vi điều chỉnh
Quy chuẩn này quy định mức giới hạn các chỉ tiêu chất lượng đối với dịch vụ truy nhập Internet băng rộng, thuộc nhóm dịch vụ viễn thông cố định mặt đất (sau đây gọi tắt là dịch vụ truy nhập Internet băng rộng cố định mặt đất),bao gồm:
- Dịch vụ truy nhập Internet băng rộng cố định mặt đất sử dụng công nghệ FTTH/xPON (gọi tắt là dịch vụ truy nhập Internet cáp quang);
- Dịch vụ truy nhập Internet băng rộng cố định mặt đất sử dụng công nghệ Modem cáp truyền hình (gọi tắt là dịch vụ truy nhập Internet cáp truyền hình).
1.2. Đối tượng áp dụng
Quy chuẩn này áp dụng đối với doanh nghiệp viễn thông cung cấp dịch vụ truy nhập Internet băng rộng cố định mặt đất (sau đây gọi tắt là DNCCDV) để thực hiện quản lý chất lượng dịch vụ truy nhập Internet băng rộng cố định mặt đất theo quy định của Nhà nước và của Bộ Thông tin và Truyền thông.
Quy chuẩn này cũng là cơ sở để người sử dụng giám sát chất lượng dịch vụ truy nhập Internet băng rộng cố định mặt đất của các doanh nghiệp.
1.3. Giải thích từ ngữ
1.3.1. Khách hàng (người sử dụng dịch vụ)
Cá nhân, tổ chức Việt Nam hoặc nước ngoài sử dụng dịch vụ truy nhập Internet băng rộng cố định mặt đất tại Việt Nam.
1.3.2. Chất lượng dịch vụ
Kết quả tổng hợp của các chỉ tiêu thể hiện mức độ hài lòng của người sử dụng dịch vụ đối với dịch vụ đó.
1.3.3. Dịch vụ truy nhập Internet
Dịch vụ cung cấp cho người sử dụng Internet khả năng truy nhập đến Internet.
1.3.4. Dịch vụ truy nhập Internet băng rộng cố định mặt đất
Dịch vụ truy nhập Internet được cung cấp thông qua mạng băng rộng cố định mặt đất dựa trên các công nghệ khác nhau có tốc độ tải xuống tối thiểu là 50 Mbit/s.
1.3.5. Dịch vụ truy nhập Internet cáp quang
Dịch vụ truy nhập Internet băng rộng cố định mặt đất dựa trên họ các công nghệ FTTH/xPON, cho phép truy nhập thông tin tốc độ cao trên đường thuê bao quang, phân phối băng tần tải xuống và băng tần tải lên ngang bằng nhau.
1.3.6. Dịch vụ truy nhập Internet cáp truyền hình
Dịch vụ truy nhập Internet băng rộng cố định mặt đất thông qua mạng cáp truyền hình dựa trên công nghệ Modem cáp, cho phép truy nhập thông tin tốc độ cao trên đường thuê bao cáp truyền hình, phân phối băng tần tải xuống có thể lớn hơn băng tần tải lên.
1.3.7. Thời gian trễ
Khoảng thời gian từ lúc máy nguồn gửi gói tin đến máy đích và nhận được bản tin xác nhận.
1.3.8. Tải lên (Upload)
Tải dữ liệu theo hướng từ thiết bị của khách hàng về phía hệ thống thiết bị của DNCCDV.
1.3.9. Tải xuống (Download)
Tải dữ liệu theo hướng từ phía hệ thống thiết bị của DNCCDV đến thiết bị của khách hàng.
1.3.10. Tốc độ tải xuống Vd
Tốc độ tải xuống của gói dịch vụ được ghi trong hợp đồng cung cấp dịch vụ giữa DNCCDV và khách hàng.
1.3.11. Tốc độ tải lên Vu
Tốc độ tải lên của gói dịch vụ được ghi trong hợp đồng cung cấp dịch vụ giữa DNCCDV và khách hàng.
1.3.12. Sự cố
Hư hỏng của một hoặc một số phần tử mạng của DNCCDV dẫn đến việc làm gián đoạn cung cấp dịch vụ.
1.3.13. Hướng kết nối
Hướng kết nối Internet từ DNCCDV đến Internet quốc tế, đến trạm trung chuyền Internet (IX), đến trạm trung chuyển Internet quốc gia (VNIX), đến các DNCCDV khác, bao gồm cả hướng đi và hướng về.
1.3.14. Lưu lượng trao đổi cao nhất nhóm 95 %
Bỏ 5 % mẫu lưu lượng trao đổi cao nhất và lấy mẫu lưu lượng trao đổi cao nhất của 95 % mẫu lưu lượng trao đổi còn lại.
1.3.15. Phương pháp xác định
Phương pháp xác định là các phương pháp đánh giá chất lượng dịch vụ với mức lấy mẫu tối thiểu được quy định để Cơ quan quản lý nhà nước và DNCCDV áp dụng trong việc đo kiểm chất lượng dịch vụ. Mỗi chỉ tiêu chất lượng được quy định một hay nhiều phương pháp xác định khác nhau. Trong trường hợp chỉ tiêu chất lượng dịch vụ được xác định bằng nhiều phương pháp khác nhau quy định tại Quy chuẩn này thì chỉ tiêu chất lượng được đánh giá là phù hợp khi kết quả đánh giá bởi mỗi phương pháp đều phù hợp với mức chỉ tiêu quy định.
1.3.16. Có sẵn đường dây thuê bao
Có sẵn đường dây thuê bao là trường hợp DNCCDV có thể cung cấp dịch vụ truy nhập Internet băng rộng cố định mặt đất trên đường dây thuê bao sẵn có thuộc hạ tầng của mình tại địa chỉ cần thiết lập dịch vụ mà khách hàng cung cấp thông tin trong hợp đồng ký với DNCCDV.
1.4. Chữ viết tắt
|
ACK |
Acknowledgement |
Bản tin xác nhận |
|
FTTH |
Fiber to the Home |
Cáp quang đến nhà thuê bao bao |
|
IX |
Internet exchange |
Trạm trung chuyển Internet |
|
SACK |
Selective Acknowledgement |
Bản tin xác nhận có lựa chọn |
|
VNIX |
Vietnam National Internet exchange |
Trạm trung chuyển Internet quốc gia Việt Nam |
|
xPON |
X - Passive Optical Network |
Họ các công nghệ trên mạng cáp quang thụ động |
|
MB |
Meg a Byte |
Đơn vị tính dung lượng của tệp dữ liệu |
2. QUY ĐỊNH KỸ THUẬT
2.1. Các chỉ tiêu chất lượng kỹ thuật
2.1.1. Thời gian trễ trung bình
2.1.1.1. Định nghĩa
Thời gian trễ trung bình là trung bình cộng của các khoảng thời gian trễ.
2.1.1.2. Chỉ tiêu
Thời gian trễ trung bình: ≤ 50 ms (áp dụng với kết nối trong nước).
2.1.1.3. Phương pháp xác định
Phương pháp mô phỏng. Sử dụng lệnh Ping tới máy chủ phục vụ công tác đo kiểm. Số lượng mẫu đo tối thiểu là 1000 mẫu. Dung lượng gói tin mẫu là 32 bytes. Yêu cầu chung về đo kiềm được quy định tại Phụ lục A.
2.1.2. Tốc độ tải dữ liệu trung bình
2.1.2.1. Định nghĩa
Tốc độ tải dữ liệu trung bình gồm: tốc độ tải xuống trung bình (Pd) và tốc độ tải lên trung bình (Pu):
- Tốc độ tải xuống trung bình (Pd) là tỷ số giữa tổng tốc độ tải xuống trên tổng mẫu đo tải xuống.
- Tốc độ tải lên trung bình (Pu) là tỷ số giữa tổng tốc độ tải lên trên tổng mẫu đo tải lên.
Trong đó:
- Tốc độ tải xuống của từng mẫu đo là tỷ số giữa tổng dung lượng tệp dữ liệu tải xuống trên tổng thời gian tải xuống của mẫu đó.
- Tốc độ tải lên của từng mẫu đo là tỷ số giữa tổng dung lượng tệp dữ liệu tải lên trên tổng thời gian tải lên của mẫu đó.
2.1.2.2. Chỉ tiêu
• Pd ≥ 0,8 Vd.
• Pu ≥ 0,8 Vu.
2.1.2.3. Phương pháp xác định
Phương pháp mô phỏng. Số lượng mẫu đo tối thiểu là 1000 mẫu đo tải tệp (file) dữ liệu vào các giờ khác nhau trong ngày với mỗi loại tải lên, tải xuống máy chủ phục vụ công tác đo kiểm. Dung lượng của tệp dữ liệu (MB) dùng để thực hiện mẫu đo tối thiểu bằng hai lần giá trị tốc độ tải tối đa (Mbit/s) của gói dịch vụ được đo kiểm. Khoảng cách giữa hai mẫu đo liên tiếp xuất phát từ một đầu cuối tối thiểu là 30s. Phương pháp xác định này áp dụng cho từng gói dịch vụ của DNCCDV. Yêu cầu chung về đo kiểm được quy định tại phụ lục A của quy chuẩn này.
2.1.3. Mức chiếm dụng băng thông
2.1.3.1. Định nghĩa
Mức chiếm dụng băng thông là tỷ lệ (%) giữa lượng dữ liệu trao đổi cao nhất trong nhóm 95% trên đường truyền trong một đơn vị thời gian và tốc độ tối đa của đường truyền (tính bằng Mbit/s). Mức chiếm dụng băng thông được xác định cho từng hướng kết nối. Mức chiếm dụng băng thông của một hướng kết nối được xác định trên cơ sở tổng dung lượng trao đổi cao nhất trong nhóm 95% của tất cả đường truyền trong cùng một hướng kết nối đó.
2.1.3.2. Chỉ tiêu
Mức chiếm dụng băng thông của hướng kết nối từ DNCCDV đến Internet quốc tế: ≤ 95 %.
Mức chiếm dụng băng thông của các hướng kết nối khác: ≤ 90 %.
2.1.3.3. Phương pháp xác định
Phương pháp giám sát. Giám sát lưu lượng tất cả các hướng kết nối từ 00h00 đến 24h00 hàng ngày trong khoảng thời gian tối thiểu là 3 tháng liên tiếp, thời gian mỗi mẫu giám sát là 5 min.
2.2. Các chỉ tiêu chất lượng phục vụ
2.2.1. Độ khả dụng của dịch vụ
2.2.1.1. Định nghĩa
Độ khả dụng của dịch vụ (D) là tỷ lệ thời gian trong đó DNCCDV sẵn sàng cung cấp dịch vụ cho khách hàng:

Trong đó:
Tr : Thời gian xác định độ khả dụng của dịch vụ.
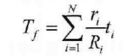
Tf : Thời gian sự cố thuộc trách nhiệm của DNCCDV được tính theo công thức:
N: Tổng số lần xảy ra sự cố trong thời gian xác định độ khả dụng
Ri: Tổng số thuê bao Internet cố định băng rộng tại thời điềm xảy ra sự cố thứ i
ri. Số thuê bao Internet bị ảnh hưởng trong sự cố thứ i
ti: Thời gian sự cố thứ i
2.2.1.2. Chỉ tiêu
Độ khả dụng của dịch vụ ≥ 99,5%.
2.2.1.3. Phương pháp xác định
Phương pháp thống kê. Thống kê toàn bộ sự cố trong thời gian xác định độ khả dụng. Thời gian xác định độ khả dụng tối thiểu là 3 tháng liên tiếp.
2.2.2. Thời gian thiết lập dịch vụ
2.2.2.1. Định nghĩa
Thời gian thiết lập dịch vụ (E) là khoảng thời gian được tính từ lúc DNCCDV ký hợp đồng cung cấp dịch vụ truy nhập Internet băng rộng cố định mặt đất với khách hàng và thống nhất với khách hàng về thời gian lắp đặt, thiết lập dịch vụ cho tới khi khách hàng có thể sử dụng được dịch vụ.
Nếu DNCCDV không thể ký hợp đồng cung cấp dịch vụ thì trong vòng 3 ngày kể từ thời điểm nhận được yêu cầu cung cấp dịch vụ của khách hàng, DNCCDV phải có văn bản thông báo cho khách hàng về việc từ chối ký kết hợp đồng dịch vụ và nêu rõ lý do từ chối.
2.2.2.2. Chỉ tiêu
Trường hợp đã có sẵn đường dây thuê bao: ≥ 90 % số hợp đồng cung cấp dịch vụ có E ≤ 4 ngày.
Trường hợp chưa có sẵn đường dây thuê bao:
- Nội thành, thị xã: ≥ 90 % số hợp đồng cung cấp dịch vụ có E ≤ 7 ngày.
- Thị trấn, xã: ≥ 90 % số hợp đồng cung cấp dịch vụ có E ≤ 9 ngày.
2.2.2.3. Phương pháp xác định
Phương pháp thống kê. Thống kê toàn bộ yêu cầu thiết lập dịch vụ truy nhập Internet băng rộng cố định mặt đất của DNCCDV trong khoảng thời gian tối thiểu là 3 tháng liên tiếp.
2.2.3. Thời gian khắc phục mất kết nối
2.2.3.1. Định nghĩa
Thời gian khắc phục mất kết nối (R) được tính từ lúc DNCCDV nhận được thông báo về việc mất kết nối Internet từ phía khách hàng hoặc từ hệ thống thiết bị của doanh nghiệp đến lúc kết nối được khôi phục.
2.2.3.2.Chỉ tiêu
- Nội thành, thị xã: ≥ 95 % số lần mất kết nối có R ≤ 36 h.
- Thị trấn, xã: ≥ 95 % số lần mất kết nối có R ≤ 72 h.
2.2.3.3. Phương pháp xác định
Phương pháp thống kê. Thống kê đầy đủ số liệu khắc phục mất kết nối trong khoảng thời gian tối thiểu là 3 tháng liên tiếp.
2.2.4. Khiếu nại của khách hàng về chất lượng dịch vụ
2.2.4.1. Định nghĩa
Khiếu nại của khách hàng về chất lượng dịch vụ là sự không hài lòng của khách hàng về chất lượng dịch vụ được báo cho DNCCDV bằng văn bản.
2.2.4.2. Chỉ tiêu
Số khiếu nại của khách hàng về chất lượng dịch vụ (K): ≤ 0,25 khiếu nại/100 thuê bao/3 tháng.
2.2.4.3. Phương pháp xác định
Phương pháp thống kê. Thống kê toàn bộ số khiếu nại của khách hàng về chất lượng dịch vụ trong khoảng thời gian 3 tháng liên tiếp.
2.2.5. Hồi âm khiếu nại của khách hàng
2.2.5.1. Định nghĩa
Hồi âm khiếu nại của khách hàng là văn bản của DNCCDV thông báo cho khách hàng có đơn, thư khiếu nại về việc tiếp nhận và xem xét giải quyết khiếu nại.
2.2.5.2. Chỉ tiêu
DNCCDV phải có văn bản hồi âm cho 100% khách hàng khiếu nại trong thời hạn 2 ngày làm việc kể từ thời điểm tiếp nhận khiếu nại.
2.2.5.3. Phương pháp xác định
Phương pháp thống kê. Thống kê toàn bộ văn bản, hồi âm cho khách hàng khiếu nại về chất lượng dịch vụ trong khoảng thời gian tối thiểu là 3 tháng liên tiếp.
2.2.6. Dịch vụ trợ giúp khách hàng
2.2.6.1. Định nghĩa
Dịch vụ trợ giúp khách hàng là dịch vụ giải đáp thắc mắc, tư vấn, hướng dẫn sử dụng, tiếp nhận yêu cầu, cung cấp thông tin cho khách hàng về dịch vụ truy nhập Internet băng rộng cố định mặt đất.
2.2.6.2. Chỉ tiêu
- Thời gian cung cấp dịch vụ trợ giúp khách hàng bằng nhân công qua điện thoại là 24h trong ngày.
- Tỷ lệ (%) cuộc gọi tới dịch vụ trợ giúp khách hàng chiếm mạch thành công, gửi yêu cầu kết nối đến điện thoại viên và nhận được tín hiệu trả lời của điện thoại viên trong vòng 60s ≥ 80%.
2.2.6.3. Phương pháp xác định
- Phương pháp mô phỏng hoặc gọi nhân công. Thực hiện mô phỏng hoặc gọi nhân công tới dịch vụ hỗ trợ khách hàng, số cuộc gọi thử tối thiểu là 250 cuộc gọi vào các giờ khác nhau trong ngày.
- Phương pháp giám sát. Thực hiện giám sát tất cả các cuộc gọi tới dịch vụ hỗ trợ khách hàng bằng thiết bị hoặc bằng tính năng sẵn có của mạng, số lượng cuộc gọi lấy mẫu tối thiểu là toàn bộ cuộc gọi trong 7 ngày liên tiếp.
3. QUY ĐỊNH VỀ QUẢN LÝ
3.1. Dịch vụ truy nhập Internet băng rộng cố định mặt đất thuộc phạm vi quy định tại 1.1 phải tuân thủ các quy định tại Quy chuẩn này.
3.2. Phương tiện đo, thiết bị đo: tuân thủ quy định của pháp luật đo lường.
4. TRÁCH NHIỆM CỦA DOANH NGHIỆP CUNG CẤP DỊCH VỤ
4.1. Các Doanh nghiệp cung cấp dịch vụ phải đảm bảo chất lượng dịch vụ truy nhập Internet băng rộng cố định mặt đất phù hợp với Quy chuẩn này, thực hiện công bố chất lượng dịch vụ và chịu sự kiểm tra của cơ quan quản lý nhà nước theo các quy định hiện hành.
4.2. Các Doanh nghiệp cung cấp dịch vụ phải nêu rõ các giá trị Vd, Vu đối với từng gói dịch vụ cụ thể trong hợp đồng cung cấp dịch vụ giữa DNCCDV và khách hàng.
4.3. Các doanh nghiệp cung cấp dịch vụ có trách nhiệm xây dựng máy chủ để đảm bảo công tác kiểm tra, giám sát chất lượng dịch vụ theo Quy chuẩn này.
4.4. Trách nhiệm cụ thể của Doanh nghiệp cung cấp dịch vụ được quy định tại văn bản quy phạm pháp luật về quản lý chất lượng dịch vụ viễn thông của Bộ Thông tin và Truyen thông.
5. TỔ CHỨC THỰC HIỆN
5.1. Cục Viễn thông và các Sở Thông tin và Truyền thông có trách nhiệm hướng dẫn, tổ chức triển khai quản lý chất lượng dịch vụ truy nhập Internet băng rộng cố định mặt đất theo Quy chuẩn này.
5.2. Quy chuẩn này được áp dụng thay thế cho Quy chuẩn kỹ thuật quốc gia QCVN 34:2019/BTTTT, Quy chuẩn kỹ thuật quốc gia về chất lượng dịch vụ truy nhập Internet băng rộng cố định mặt đất.
5.3. Trong trường hợp các quy định nêu tại Quy chuẩn này có sự thay đổi, bổ sung hoặc được thay thế thì thực hiện theo quy định tại văn bản mới./.
Phụ lục A
(Quy định)
Yêu cầu chung về đo kiểm
A.1. Máy chủ phục vụ công tác đo kiểm
- Máy chủ phục vụ công tác đo kiểm phải là máy chủ chuyên dụng phục vụ công tác đo kiểm, không sử dụng chung với mục đích thương mại.
- Máy chủ phục vụ công tác đo kiểm được nhận dạng bằng địa chỉ IP chứ không phải bằng địa chỉ tên miền đầy đủ.
- Máy chủ phục vụ công tác đo kiểm được kết nối tới mạng Internet bằng đường truyền có băng thông phải lớn hơn hoặc bằng tổng lưu lượng các hướng đo.
- Thiết lập giao thức điều khiển truyền tải (TCP) của máy chủ phục vụ công tác đo kiểm phải thỏa mãn tối thiểu các yêu cầu sau:
+ Kích cỡ đoạn lớn nhất nằm trong khoảng 1380 bytes - 1460 bytes (Maximum Segment Size between 1380 Bytes and 1460 Bytes);
+ Kích cỡ cửa số TCP Rx > 4096 bytes (TCP RX Window Size > 4096 Bytes);
+ Cho phép SACK (SACK enabled):
+ Cho phép truyền lại nhanh TCP (TCP Fast Retransmit):
+ Cho phép khôi phục nhanh TCP (TCP Fast Recovery enabled);
+ Cho phép trễ ACK (200 ms) (Delayed ACK enabled).
A.2. Yêu cầu về số lượng điểm đo
- Trong khu vực có ít hơn 50.000 thuê bao, số điểm đo kiểm cần thực hiện: tối thiểu 01 điểm đo;
- Trong khu vực có từ 50 000 đến 100 000 thuê bao, số điểm đo kiểm cần thực hiện: tối thiểu 02 điểm đo;
- Trong khu vực có từ 100 000 đến 200 000 thuê bao, số điểm đo kiểm cần thực hiện: tối thiểu 03 điểm đo.;
- Trong khu vực có từ 200 000 đến 400 000 thuê bao, số điểm đo kiểm cần thực hiện: tối thiểu 04 điểm đo;
- Trong khu vực có nhiều hơn 400 000 thuê bao, số điểm đo kiểm cần thực hiện: tối thiểu 05 điểm đo.
A.3. Tệp dữ liệu mẫu
Tệp dữ liệu (MB) dùng để thực hiện mẫu đo phải ở dạng nén.
Thư mục tài liệu tham khảo
[1] QCVN34:2019/BTTTT, Quy chuẩn kỹ thuật quốc gia về chất lượng dịch vụ truy nhập Internet băng rộng cố định mặt đất.
[2] ITU-T Recommendation G.1000 (2001), Communications quality of service: A framework and definitions.
[3] ITU-T Recommendation G.1010 (2001), End - User multimedia QoS categories .
[1] ETSI EG 202 057-4 V1.2.1(2008), Speech Processing, Transmission and Quality Aspects (STQ); User related QoS parameter definitions and measurements; Part 4: Internet access.
[4] ITU-T Y. 1545.1 (2017) “Framework for monitoring the quality of service of IP network services”.
[5] ITU-T Q.3960 (2016) “Framework of Internet related performance measurements”.
Bạn chưa Đăng nhập thành viên.
Đây là tiện ích dành cho tài khoản thành viên. Vui lòng Đăng nhập để xem chi tiết. Nếu chưa có tài khoản, vui lòng Đăng ký tại đây!
Bạn chưa Đăng nhập thành viên.
Đây là tiện ích dành cho tài khoản thành viên. Vui lòng Đăng nhập để xem chi tiết. Nếu chưa có tài khoản, vui lòng Đăng ký tại đây!