- Tổng quan
- Nội dung
- Quy chuẩn liên quan
- Lược đồ
- Tải về
Quy chuẩn kỹ thuật Quốc gia QCVN 122:2020/BTTTT Thiết bị vô tuyến mạng diện rộng công suất thấp
| Số hiệu: | QCVN 122:2020/BTTTT | Loại văn bản: | Quy chuẩn Việt Nam |
| Cơ quan ban hành: | Bộ Thông tin và Truyền thông | Lĩnh vực: | Thông tin-Truyền thông |
|
Ngày ban hành:
Ngày ban hành là ngày, tháng, năm văn bản được thông qua hoặc ký ban hành.
|
16/11/2020 |
Hiệu lực:
|
Đã biết
|
| Người ký: | Đang cập nhật |
Tình trạng hiệu lực:
Cho biết trạng thái hiệu lực của văn bản đang tra cứu: Chưa áp dụng, Còn hiệu lực, Hết hiệu lực, Hết hiệu lực 1 phần; Đã sửa đổi, Đính chính hay Không còn phù hợp,...
|
Đã biết
|
TÓM TẮT QUY CHUẨN VIỆT NAM QCVN 122:2020/BTTTT
QCVN 122:2020/BTTTT: Quy chuẩn kỹ thuật cho thiết bị vô tuyến mạng diện rộng công suất thấp (LPWAN) hoạt động tại băng tần 920 MHz đến 923 MHz
Quy chuẩn kỹ thuật Quốc gia QCVN 122:2020/BTTTT được ban hành vào ngày 16/11/2020, có hiệu lực thi hành ngay từ ngày ban hành, quy định các tiêu chuẩn kỹ thuật cho thiết bị vô tuyến mạng diện rộng công suất thấp (LPWAN) hoạt động trong băng tần 920 MHz đến 923 MHz.
Quy chuẩn này áp dụng cho các tổ chức và cá nhân sản xuất, kinh doanh thiết bị vô tuyến trong mạng LPWAN, bao gồm các cảm biến và thiết bị truy cập, nhằm đảm bảo rằng các thiết bị này hoạt động an toàn và hiệu quả trong thông tin di động. Nội dung chính của quy chuẩn gồm toàn bộ yêu cầu kỹ thuật, điều kiện đo kiểm, và các điều khoản quản lý, trách nhiệm của tổ chức, cá nhân có liên quan.
Trong đó, Quy định kỹ thuật yêu cầu các thiết bị phải có tính năng ngắt máy phát trong thời gian đo kiểm và đảm bảo nguồn điện đạt tiêu chuẩn theo quy định. Các yêu cầu đo đạc như băng thông chiếm dụng, công suất phát xạ hiệu dụng và các phép đo đối với phát xạ ngoài băng đều được quy định rõ ràng.
Ngoài ra, quy định cũng có các phụ lục kèm theo để hướng dẫn về công cụ đo kiểm và điều kiện đo kiểm trong môi trường thông thường và khắc nghiệt. Ví dụ, điều kiện nhiệt độ cho phép đo kiểm thường từ 15°C đến 35°C với độ ẩm tương đối 20% đến 75%, trong khi điều kiện khắc nghiệt có thể dài tới -20°C và cao tới 55°C tùy thuộc vào loại thiết bị.
Cuối cùng, quy chuẩn công nhận tầm quan trọng của việc quản lý thiết bị vô tuyến và yêu cầu tiến hành các biện pháp thử nghiệm một cách nghiêm ngặt nhằm nâng cao trách nhiệm của các tổ chức, cá nhân trong việc đảm bảo hoạt động của các thiết bị không ảnh hưởng đến các hệ thống vô tuyến khác trong cùng một băng tần.
Tải quy chuẩn Việt Nam QCVN 122:2020/BTTTT

CỘNG HÒA XÃ HỘI CHỦ NGHĨA VIỆT NAM
QCVN 122:2020/BTTTT
QUY CHUẨN KỸ THUẬT QUỐC GIA
VỀ THIẾT BỊ VÔ TUYẾN MẠNG DIỆN RỘNG CÔNG SUẤT THẤP (LPWAN)BĂNG TẦN 920 MHz ĐẾN 923 MHz
National technical regulation
on radio equipment in the Low Power Wide Area Networks (LPWAN) operating in the 920MHz to923 MHz frequency band
HÀ NỘI - 2020
Mục lục
1. QUY ĐỊNH CHUNG
1.1. Phạm vi điều chỉnh
1.2. Đối tượng áp dụng
1.3. Tài liệu viện dẫn
1.4.Thuật ngữ và định nghĩa
1.5. Ký hiệu
1.6. Chữ viết tắt
2. QUY ĐỊNH KỸ THUẬT
2.1. Yêu cầu chung
2.1.1. Tính năng ngắt máy phát
2.1.2. Thiết bị đo kiểm phụ trợ
2.1.3. Phân loại máy thu
2.2. Các điều kiện đo kiểm, nguồn và nhiệt độ môi trường
2.2.1. Tín hiệu đo kiểm
2.2.2. Nguồn điện đo kiểm
2.2.3. Điều kiện đo kiểm thông thường
2.2.4. Điều kiện đo kiểm khắc nghiệt
2.2.5. Đo kiểm thiết bị với các mức công suất tương thích
2.2.6. Ăng ten giả
2.2.7. Thiết bị không có đầu kết nối RF ngoài
2.2.8. Phép đo dẫn và phép đo bức xạ
2.2.9. Máy thu đo
2.3. Giải thích kết quả đo
2.4. Yêu cầu và phương pháp đo
2.4.1. Tần số hoạt động
2.4.2. Phát xạ không mong muốn trong miền phát xạ giả
2.4.3. Công suất phát xạ hiệu dụng
2.4.4. Chu kỳ hoạt động
2.4.5. Băng thông chiếm dụng
2.4.6. Phát xạ ngoài băng của máy phát
2.4.7. Công suất tức thời
2.4.8. Hoạt động của máy phát dưới điều kiện điện áp thấp
2.4.9. Quá tải đầu vào máy thu
3. QUY ĐỊNH VỀ QUẢN LÝ
4. TRÁCH NHIỆM CỦA TỔ CHỨC, CÁ NHÂN
5. TỔ CHỨC THỰC HIỆN
Phụ lục A (Quy định) Đặc tính kỹ thuật của thiết bị đo kiểm
Phụ lục B (Quy định) Hộp ghép đo
Phụ lục C (Quy định) Vị trí đo kiểm và sắp xếp cho phép đo bức xạ
Phụ lục D (Quy định) Mã số HS thiết bị vô tuyến mạng diện rộng công suất thấp (LPWAN) băng tần 920 MHz đến 923 MHz
Thư mục tài liệu tham khảo
Lời nói đầu
QCVN 122:2020/BTTTT do Cục Tần số vô tuyến điện biên soạn, Vụ Khoa học và Công nghệ trình duyệt, Bộ Khoa học và Công nghệ thẩm định, Bộ Thông tin và Truyền thông ban hành kèm theo Thông tư số 38/TT-BTTTT ngày 16 tháng 11 năm 2020.
QUY CHUẨN KỸ THUẬT QUỐC GIA
VỀ THIẾT BỊ VÔ TUYẾN MẠNG DIỆN RỘNG CÔNG SUẤT THẤP(LPWAN)BĂNG TẦN 920 MHz ĐẾN 923 MHz
National technical regulation
on radio equipment in Low Power Wide Area Networks(LPWAN) operating in the 920 MHz to 923 MHz frequency band
1. QUY ĐỊNH CHUNG
1.1. Phạm vi điều chỉnh
Quy chuẩn này quy định các chỉ tiêu kỹ thuật về phổ tần, điều kiện kỹ thuật và phương pháp đo đối với thiết bị vô tuyến trong mạng diện rộng công suất thấp(LPWAN)hoạt động tại băng tần 920 MHz đến 923 MHz.
Thiết bị vô tuyến trong mạng LPWAN bao gồm các cảm biến (Sensors hay End-points) và thiết bị truy cập (Access stations hay Gateways) được kết nối với nhau qua giao diện vô tuyến; sử dụng phổ tần dùng chung (băng tần 920 MHz đến 923 MHz) với các thiết bị vô tuyến cự ly ngắn khác.
Các thiết bị vô tuyến trong mạng LPWAN sử dụng phổ tần cấp phép cho thông tin di động công cộng IMT không thuộc phạm vi điều chỉnh của Quy chuẩn này.
Quy chuẩn này áp dụng đối với sản phẩm, hàng hóa làthiết bị vô tuyến trong mạng diện rộng công suất thấp (LPWAN) có mã số HS quy định tại Phụ lục D.
1.2. Đối tượng áp dụng
Quy chuẩn này được áp dụng cho các tổ chức, cá nhân Việt Nam và nước ngoài có hoạt động sản xuất, kinh doanh các thiết bị thuộc phạm vi điều chỉnh của Quy chuẩn này trên lãnh thổ Việt Nam.
1.3. Tài liệu viện dẫn
Recommendation ITU-T O.153 (10/92): “Basic parameters for the measurement of error performance at bit rates below the primary rate”.
ETSI TS 103 060 (V1.1.1): “Electromagnetic compatibility and Radio spectrum Matters (ERM);Short Range Devices (SRD); Method for a harmonized definition of Duty Cycle Template (DCT) transmission as a passive mitigation technique used by short range devices and related conformance test methods”.
CISPR 16 (2006) (parts 1-1, 1-4 and 1-5): “Specification for radio disturbance and immunity measuring apparatus and methods; Part 1: Radio disturbance and immunity measuring apparatus”.
Directive 2014/53/EU of the European Parliament and of the Council of 16 April 2014 on the harmonisation of the laws of the Member States relating to the making available on the market of radio equipment and repealing Directive 1999/5/EC.
ETSI TR 100 028 (all parts) (V1.4.1): “Electromagnetic compatibility and Radio spectrum Matters (ERM); Uncertainties in the measurement of mobile radio equipment characteristics”.
ETSI TR 102 273-2 (V1.2.1): “Electromagnetic compatibility and Radio spectrum Matters (ERM); Improvement on Radiated Methods of Measurement (using test site) and evaluation of the corresponding measurement uncertainties; Part 2: Anechoic chamber”.
ETSI TR 102 273-3 (V1.2.1): “Electromagnetic compatibility and Radio spectrum Matters (ERM); Improvement on Radiated Methods of Measurement (using test site) and evaluation of the corresponding measurement uncertainties; Part 3: Anechoic chamber with a ground plane”.
ETSI TR 102 273-4 (V1.2.1): “Electromagnetic compatibility and Radio spectrum Matters (ERM); Improvement on Radiated Methods of Measurement (using test site) and evaluation of the corresponding measurement uncertainties; Part 4: Open area test site”.
ETSI EN 300 220-1 (V3.1.1) (02-2017): “Short Range Devices (SRD) operating in the frequency range 25 MHz to 1 000 MHz; Part 1: Technical characteristics and methods of measurement”.
1.4. Thuật ngữ và định nghĩa
1.4.1. Xác nhận (acknowledgement)
Thông tin ngắn gọn từ bộ phát đáp tới bộ khởi tạo tin nhắn xác nhận đã thu thành công tin nhắn.
1.4.2. Kênh liền kề (adjacent channel)
Băng tần số, có độ rộng bằng độ rộng kênh danh định (OCW), nằm ở hai bên của kênh danh định.

Hình 1 - Định nghĩa các kênh liền kề
1.4.3. Thiết bị phụ trợ (ancillary equipment)
Thiết bị được sử dụng trong kết nối với máy thu hoặc máy phát.
CHÚ THÍCH: Một thiết bị được coi là thiết bị phụ trợ khi:
· Thiết bị được sử dụng kết hợp với một máy thu hoặc máy phát để tạo ra các tính năng hoạt động vàhoặc điều khiển bổ sung cho thiết bị thông tin vô tuyến (ví dụ như để mở rộng điều khiển tới vị trí hoặc khu vực khác); và
· Thiết bị không thể sử dụng riêng lẻ để tạo ra các chức năng sử dụng độc lập của một máy thu hoặc máy phát; và
· Máy thu/máy phát mà nó kết nối tới có khả năng tạo ramột số hoạt động đã được dự tính như phát vàhoặc thu không cần có thiết bị phụ trợ (nghĩa là nó không phải là một khối con của thiết bị chính cần thiết để duy trì chức năng cơ bản của thiết bị chính).
1.4.4. Thích ứng kênh(channel adaptivity)
Khả năng thích ứng với các chế độ của thiết bị mà không thay đổi kênh truyền.
1.4.5. Khoảng cách kênh (channel spacing)
Khoảng cách, tính theo Hz, giữa các tần số trung tâm danh định liền kề.
1.4.6. Tần số trung tâm (centre frequency)
Tần số trung tâm danh định của một kênh tần số.
1.4.7. Phép đo dẫn (conducted measurement)
Phép đo được thực hiện bằng cách dùng đầu nối trực tiếp trở kháng 50Ω tới thiết bị cần đo kiểm.
1.4.8. Truyền dẫn liên tục (continuous transmission)
Truyền dẫn mà không bị gián đoạn trong thời gian đo.
1.4.9. Thời gian truyền dẫn lũykế (cumulative on time (Ton-cum))
Tổng của Ton, trong thời gian quan sát Tobs.
CHÚ THÍCH: Xem Hình 2.

Hình 2 - Minh họa thời gian truyền dẫn lũy kế
1.4.10. Thời gian chết (dead time)
Thời gian giữa thời điểm cuối trong khoảng thời gian đánh giá kênh trống(CCA) và thời điểm bắt đầu của truyền dẫn.
1.4.11. Ăng tenrời(dedicated antenna)
Ăng ten có thể tháo rời, được kiểm tra và cung cấp kèm theo thiết bị vô tuyến, được thiết kế như một phần không thể thiếu của thiết bị.
1.4.12. Thời gian trì hoãn (deferral time)
Thời gian ngẫu nhiên một truyền dẫn bị hoãn lại trước khi thực hiện lại đánh giá kênh trống khi một kênh không rỗi.
1.4.13. Thời gian bỏ qua (disregard time)
Khoảng thời gian nhà sản xuất công bố trong đó hai bức xạ vô tuyến riêng biệt trong một kênh hoạt động được xem như một khối liên tục được phát đi.
CHÚ THÍCH: Xem Hình 4.
1.4.14. Chu kỳ làm việc (Duty cycle)
Tỉ số được biểu diễn dưới dạng phần trăm, của khoảng truyền dẫn lũy kế Ton-cum trong thời gian quan sát Tobs.
trên một băng thông quan sát Fobs.
1.4.16. Ăng ten tích hợp (Integral antenna)
Ăng ten cố định, được gắn cùng với thiết bị và được thiết kế như một phần không thể thiếu của thiết bị.
1.4.17. Nghe trước khi phát (Listen before transmit)
Cơ chế mà một thiết bị áp dụng đánh giá kênh trống trước khi thực hiện truyền dẫn (cũng được biết đến như nghe trước khi nói).
1.4.18. Thời lượng truyền dẫn tối đa (Ton-Max) (maximum transmission duration Ton-Max)
Khoảng thời gian truyền dẫn Ton dài nhất được cho phép.
1.4.19. Bộ khởi tạo tin nhắn (Message Initiator (MI))
Thiết bị mà phát ra một tin nhắn để chuyển tới một thiết bị khác, chẳng hạn như một máy phát đáp tin nhắn.
1.4.20. Máy phát đáp tin nhắn (Message Responder (MR))
Thiết bị thu một tin nhắn từ thiết bị khác, chẳng hạn như máy khởi tạo tin nhắn.
1.4.21. Khoảng giữa các truyền dẫn cực tiểu (minimum inter-transmission interval Toff-Min)
Khoảng nhỏ nhất trong một kênh giữa hai lần truyền dẫn bởi cùng một thiết bị.
1.4.22. Băng thông quan sát (observation bandwidth (Fobs))
Băng thông mà năng lượng của một thiết bị được xem xét cho mục đích đánh giá thời gian truyền dẫn.
1.4.23. Thời gian quan sát (observation period (Tobs))
Khoảng thời gian tham chiếu.
1.4.24. Băng thông chiếm dụng (Occupied BandWidth (OBW))
Độ rộng của một băng tần số trong đó dưới tần số thấp nhất và trên tần số cao nhất của nó, công suất bức xạ trung bình mỗi biên chỉ bằng 0,5 % tổng công suất bức xạ.
CHÚ THÍCH: Xem Hình 3.
1.4.25. Thời gian ngắt(off time (Toff))
Khoảng thời gian giữa hai lần truyền dẫn thành công trong một kênh danh định.
CHÚ THÍCH: Xem Hình 4
1.4.26. Thời gian thực hiện một truyền dẫn (on time (Ton))
Khoảng thời gian thực hiện thành công một truyền dẫn.
CHÚ THÍCH: Xem Hình 4
1.4.27. Kênh hoạt động (Operating Channel OC)
Dải tần số mà thiết bị truyền dẫn trên đó, được định nghĩa bằng hai giá trị rìa tần số: Flow và Fhigh được công khai bởi nhà sản xuất.
1.4.28. Băng thông kênh hoạt động(Operating Channel Bandwidth OCW)
Độ rộng giữa hai tần số Flow và Fhigh được công khai giống như kênh danh định.
1.4.29. Tần số hoạt động(Operating frequency)
Tần số trung tâm danh định của kênh tần số.
1.4.30. Băng tần số hoạt động(Operating frequency band)
Băng tần để thiết bị hoạt động và thực hiện đầy đủ các chức năng đã được thiết kế của thiết bị, được định nghĩa bằng hai giá trị rìa tần số: Flow-OFB và Fhigh-OFB.
1.4.31. Miền ngoài băng (Out of Band domain)
Dải tần số ngay ngoài kênh danh định và là kết quả của quá trình điều chế, nhưng không bao gồm phát xạ giả.

Hình 3 - Băng thông chiếm dụng
1.4.32.Phát xạ ngoài băng (Out of Band Emission)
Các phát xạ trong miền ngoài băng.
1.4.34.Đo bức xạ (Radiated measurements)
Các phép đo liên quan đến trường bức xạ.
1.4.35.Ngưỡng tín hiệu (Signal threshold (Pngưỡng))
Mức công suất của băng thông máy thu xác định điểm bắt đầu và kết thúc của một truyền dẫn. Pngưỡng được thiết lập ở -26dB.
1.4.36.Phát xạ giả (Spurious emission)
Các phát xạ trên một hay nhiều tần số ở ngoài miền phát xạ ngoài băng và mức phát xạ có thể giảm mà không ảnh hưởng đến việc truyền dẫn thông tin.
CHÚ THÍCH: Các phát xạ giả bao gồm phát xạ hài, các phát xạ ký sinh, các sản phẩm xuyên điều chế và các sản phẩm biến đổi tần số nhưng không bao gồm phát xạ ngoài băng.
CHÚ THÍCH: Xem Hình 4.
1.4.37.Truyền dẫn (transmission)
Phát xạ vô tuyến liên tục hoặc chuỗi các phát xạ mà khoảng cách giữa các phát xạ ngắn hơn TDis, với một mức tín hiệu lớn hơn ngưỡng tín hiệu Pngưỡng trong kênh danh định.

Hình 4 - Các định nghĩa truyền dẫn
1.5. Ký hiệu
| dB | Đềxiben |
| E | Cường độ trường |
| NaCl | Dung dịch Natri Clorua |
| R | Khoảng cách |
| S | Độ nhạy của máy thu |
| λ | Bước sóng |
1.6. Chữ viết tắt
| AC | Alternative Current | Dòng điện xoay chiều |
| ACK | Acknowledgment | Xác nhận |
| ACP | Adjacent Channel Power | Công suất kênh liền kề |
| ACS | Adjacent Channel Selectivity | Độ chọn lọc kênh liền kề |
| AFA | Adaptive Frequency Agility | Khả năng thích ứng tần số |
| ARQ | Automatic Repeat reQuest | Yêu cầu lặp lại tự động |
| AVG | Average | Trung bình cộng |
| BER | Bit Error Ratio | Tỉ lệ lỗi bit |
| BW | BandWidth | Băng thông |
| CCA | Clear Channel Assessment | Đánh giá kênh trống |
| CISPR | International Special Committee on Radio Interference | Ủy ban quốc tế về nhiễu vô tuyến |
| DC | Duty Cycle | Chu kỳ làm việc |
| DCT | Duty Cycle Template | Mẫu chu kỳ làm việc |
| e.r.p. | effective radiated power | Công suất bức xạ hiệu dụng |
| EU | European Union | Ủy ban Châu Âu |
| EUT | Equipment Under Test | Thiết bị cần đo kiểm |
| FAR | Fully Anechoic Room | Phòng đo không phản xạ |
| FEC | Forward Error Correction | Sửa lỗi trước |
| FHSS | Frequency Hopping Spread Spectrum | Trải phổ nhảy tần |
| IF | Intermediate Frequency | Tần số trung tần |
| IMT | International Mobile Telecommunication | Thông tin di động toàn cầu |
| ITU-T | International Telecommunication Union - Telecommunication Standardization Sector | Liên minh Viễn thông Quốc tế - Bộ phận tiêu chuẩn hóa viễn thông |
| IoT | Internet of Things | Internet vạn vật |
| LBT | Listen Before Talk | Nghe trước khi nói |
| LPDA | Logarithmic Periodic Dipole Ăng ten | Ăng tenlô-ga-rít chu kỳ |
| LPWAN | Low Power Wide Area Networks | Mạng diện rộng công suất thấp |
| MI | Message Initiator | Bộ khởi tạo tin nhắn |
| MR | Message Responder | Bộ phát đáp tin nhắn |
| OATS | Open Area Test Site | Vùng đo kiểm mở rộng |
| OBW | Occupied BandWidth | Băng thông chiếm dụng |
| OC | Operating Channel | Kênh hoạt động |
| OCW | Operating Channel Bandwidth | Băng thông kênh hoạt động |
| OFB | Operational Frequency Band | Băng tần số hoạt động |
| OFDM | Orthogonal Frequency Division Modulation | Điều chế phân chia theo tần số trực giao |
| OOB | Out Of Band | Ngoài băng |
| PD | Power Density | Mật độ công suất |
| PSD | Power Spectral Density | Mật độ phổ công suất |
| RB | Receiver Bandwidth | Băng thông máy thu |
| RBW | Resolution BandWidth | Băng thông phân dải |
| RBWref | REFerence Resolution BandWidth | Băng thông phân dải tham chiếu |
| RF | Radio Frequency | Tần số vô tuyến |
| RMS | Root Mean Square | Giá trị hiệu dụng |
| RX | Receiver | Máy thu |
| SA | Spectrum Analyser | Máy phân tích phổ |
| SA | Semi-Anechoic Room | Phòngđo bán phản xạ |
| SR | Switching Range | Dải chuyển mạch |
| SRD | Short Range Device | Thiết bị cự ly ngắn |
| TR | Technical Report | Báo cáo kỹ thuật |
| TX | Transmitter | Máy phát |
| VBW | Video Bandwidth | Băng thông video |
| VSWR | Voltage Standing Wave Ratio | Tỉ số sóng đứng theo điện áp |
2. QUY ĐỊNH KỸ THUẬT
2.1. Yêu cầu chung
2.1.1. Tính năng ngắt máy phát
Nếu máy phát có tính năng ngắt tự động, sẽ thiết lập tính năng không hoạt động trong thời gian đo kiểm. Trường hợp ngược lại, sẽ cần phải có phương pháp đo kiểm khác phù hợp.
2.1.2. Thiết bị đo kiểm phụ trợ
Khi yêu cầu đo kiểm, bên có thiết bị cần đo kiểm phải cung cấp kèm theo thiết bị toàn bộ các thông tin về nguồn tín hiệu đo cần thiết và thông tin cài đặt thiết bị.
2.1.3. Phân loại máy thu
Hiệu năng của máy thu liên quan đến khả năng hoạt động bình thường khi có xuất hiện tín hiệu của hệ thống vô tuyến khác ở băng tần lân cận. Máy thu được phân loại dựa theo hiệu năng như Bảng 1a.
Việc lựa chọn loại máy thu phải chú ý đặc biệt đến nguy cơ nhiễu sóng từ các hệ thống hoạt động trong cùng băng tần hoặc trong băng tần liền kề, đặc biệt là các ứng dụng có liên quan đến bảo đảm an toàn, an ninh. Nhà sản xuất phải thông tin đến người sử dụng về rủi ro cho thấy thiết bị có thể hoạt động không đúng với mục đích sử dụng.
Bảng 1a - Phân loại máy thu
| Phân loại máy thu | Mô tả |
| 1 | Loại 1 là nhóm máy thu có mức hiệu năng cao |
| 1,5 | Loại 1,5 là nhóm máy thu nâng cao hiệu năng của máy thu loại 2 |
| 2 | Loại 2 là nhóm máy thu có mức hiệu năng tiêu chuẩn |
Loại máy thu phải được ghi trong kết quả đo kiểm và hướng dẫn sử dụng của thiết bị.
2.2. Các điều kiện đo kiểm, nguồn và nhiệt độ môi trường
2.2.1. Tín hiệu đo kiểm
2.2.1.1. Tín hiệu đo kiểm cho dữ liệu
Đối với đo kiểm cụ thể, tín hiệu đo kiểm là sóng mang được điều chế hoặc không điều chế được tạo bởi EUT. EUT có khả năng phát ra các tín hiệu đo kiểm sau:
| D-M1: | Tín hiệu đo kiểm bao gồm một sóng mang không điều chế. Tín hiệu này là tùy chọn nhưng giúp đơn giản hóa một số bài đo. |
| D-M2: | Tín hiệu đo kiểm là một sóng mang được điều chế ở trạng thái hoạt động bình thường với băng thông chiếm dụng RF lớn nhất. Tín hiệu đo kiểm ưu tiên bao gồm một chuỗi bit giả ngẫu nhiên dài tối thiểu 511 bit theo Khuyến nghị ITU-T O.153. Chuỗi này sẽ được lặp lại liên tục. |
| D-M2a: | Tín hiệu đo kiểm được mô tả trong D-M2 nhưng được tạo ra không liên tục. Các tín hiệu RF được tạo phải giống nhau cho mỗi lần truyền ngoại trừ chuỗi dữ liệu, xảy ra thường xuyên theo thời gian, có thể lặp lại chính xác và thời lượng của chúng thể hiện hoạt động bình thường của EUT ngoại trừ tuân thủ giới hạn chu kỳ hoạt động. |
| D-M3: | Tín hiệu đo kiểm mô tả hoạt động bình thường của EUT. Tín hiệu này phải được phòng thử nghiệm và nhà sản xuất đồng ý trong trường hợp dùng các bản tin lựa chọn và được phát đi hay được giải mã trong thiết bị. Tín hiệu đo kiểm này có thể được định dạng và có thể chứa mã tìm lỗi và sửa lỗi. |
Tín hiệu đo kiểm có thể được tạo ra bằng cách áp dụng đo tín hiệu băng gốc vào cổng điều chế trên thiết bị hoặc do bên trong thiết bị tạo ra. Chi tiết về phương pháp thực hiện theo khai báo của nhà sản xuất và phải ghi vào báo cáo đo kiểm.
Đối với mỗi bài đo kiểm, tín hiệu đo kiểm sẽ được ghi lại trong báo cáo đo kiểm. Khuyến nghị tín hiệu đo kiểm cho mỗi bài đo được chỉ trong Bảng 1.
Bảng 1 -Tín hiệu đo kiểm
| Yêu cầu | Tín hiệu đo kiểm |
| Công suất phát xạ hiệu dụng | D-M1, D-M2, D-M2a, D-M3 |
| Chu kỳ hoạt động | D-M3 |
| Băng thông chiếm dụng | D-M2, D-M2a, D-M3 |
| Phát xạ ngoài băng | D-M2, D-M2a, D-M3 |
| Phát xạ không mong muốn trong miền phát xạ giả | D-M1, D-M2, D-M2a, D-M3 |
| Công suất tức thời | D-M3 |
| Phát trong điều kiện điện áp thấp | D-M1, D-M2, D-M2a, D-M3 |
| Quá tải đầu vào máy thu | D-M3 |
2.2.2. Nguồn điện đo kiểm
2.2.2.1. Yêu cầu chung
Thiết bị được đo kiểm bằng cách sử dụng nguồn điện đo kiểm phù hợp theo quy định tại 2.2.2.2 hoặc 2.2.2.3 tùy thuộc thiết bị được cấp nguồn bằng nguồn bên ngoài hoặc tích hợp bên trong, thiết bị sẽ được đo kiểm nguồn điện bên ngoài theo quy định tại 2.2.2.2, sau đó sử dụng nguồn điện bên trong theo quy định tại 2.2.2.3.
Nguồn điện đo kiểm được sử dụng phải được ghi trong báo cáo đo kiểm.
2.2.2.2. Nguồn điện đo kiểm ngoài
Nguồn điện đo kiểm ngoài phải có khả năng tạo ra điện áp đo kiểm mức độ bình thường và cao được quy định tại 2.2.3.2 và 2.2.4.2. Trở kháng bên trong của nguồn điện đo kiểm ngoài phải đủ thấp để không ảnh hưởng tới kết quả đo kiểm. Tùy thuộc mục đích đo kiểm, điện áp của nguồn đo kiểm phải được đo tại đầu vào của thiết bị. Lưu ý, đây có thể là điểm nối chính của thiết bị với một nguồnđiện cung cấp ngoài. Nguồn điện đo kiểm ngoài phải được tách rời phù hợp và được áp dụng càng gần các cực pin của thiết bị càng tốt. Đối với các phép đo bức xạ, bất kỳ dây dẫn nguồn điện ngoài phải được sắp xếp sao cho không ảnh hưởng đến phép đo (ví dụ sử dụng ferit trên dây cáp điện).
Trong quá trình đo kiểm, điện áp nguồn điện đo kiểm sẽ nằm trong khoảng phạm vi dung sai <±1% đối với điện áp ban đầu của mỗi bài đo kiểm. Giá trị của dung sai này có thể có ảnh hưởng nhất định đối với một vài phép đo. Do đó, đối với những phép đo này nên sử dụng giá trị dung sai nhỏ hơn để tăng độ chính xác của phép đo.
Đối với đo phát xạ, bất kỳ dây dẫn nguồn điện ngoài phải được sắp xếp sao cho không ảnh hưởng tới phép đo.
2.2.2.3. Nguồn điện đo kiểm tích hợp
Đối với đo phát xạ trên thiết bị di động có ăng ten tích hợp sẵn hay ăng tenrời, nguồn điện bên trong được sạc đầy sẽ được sử dụng. Pin sử dụng theo cung cấp hoặc khuyến nghị của nhà sản xuất. Nếu pin được sử dụng, ở cuối bài đo kiểm điện áp phải trong khoảng sai < ±5% so với điện áp ở đầu bài đo kiểm. Trong trường hợp không phù hợp, áp dụng C.3.1.
Nếu cần thiết, đối với phép đo dẫn, điều kiện đo kiểm khắc nghiệt hoặc sử dụnghộp ghép đo, nguồn điện cung cấp ngoài được mô tả tại 2.2.2.2 với điện áp yêu cầu có thể thay thế cho pin theo cung cấp hay khuyến nghị. Điều này cần được ghi trong báo cáo đo kiểm.
2.2.3. Điều kiện đo kiểm thông thường
2.2.3.1. Nhiệt độ và độ ẩm thông thường
Các điều kiện nhiệt độ và độ ẩm thông thường cho đo kiểm phải nằm trong phạm vi sau:
* Nhiệt độ: +15 oC tới +35 oC.
* Độ ẩm tương đối: 20% tới 75%.
Trong trường hợp không thực hiện đo kiểm trong các điều kiện trên, nhiệt độ và độ ẩm củamôi trường trong suốt quá trình đo kiểm phải được ghi trong báo cáo đo kiểm.
2.2.3.2. Nguồn điện đo kiểm thông thường
a) Điện áp lưới
Điện áp đo kiểm thông thường cho thiết bị được kết nối với điện áp lưới phải là điện áp danh định. Đối với Quy chuẩn này, điện áp danh định sẽ là điện áp khai báo hoặc bất kỳ điện áp nào được khai báo khi thiết kế thiết bị.
Tần số của nguồn điện đo kiểm tương ứng với nguồn điện xoay chiều và phải nằm trong khoảng 49 Hz đến 51 Hz.
b) Các nguồn ắc qui axit-chì thông thường
Đối với các thiết bị vô tuyến được thiết kế hoạt động với các loại nguồn ắc qui axit-chì, điện áp đo kiểm thông thường là 1,1 lần điện áp danh định của pin (ví dụ 6V,12V,...).
c) Các nguồn khác
Để hoạt động nhờ các nguồn cấp hoặc pin kiểu khác (sơ cấp hoặc thứ cấp), điện áp đo kiểm thông thường phải được nhà sản xuất và phòng thử nghiệm công nhận. Những giá trị này được ghi rõ trong kết quả đo kiểm.
2.2.4. Điều kiện đo kiểm khắc nghiệt
2.2.4.1. Yêu cầu chung
Trừ khi có quy định khác, bài đo kiểm được thực hiện trong điều kiện đo kiểm khắc nghiệt sẽ áp dụng đồng thời điều kiện nhiệt độ và điện áp khắc nghiệt.
2.2.4.2. Nhiệt độ khắc nghiệt
a) Yêu cầu chung
Trước khi thực hiện các phép đo, thiết bị phải đạt cân bằng nhiệt trong buồng thử nghiệm. Thiết bị phải được tắt trong thời gian ổn định nhiệt độ.
Trong trường hợp thiết bị có chứa các mạch ổn định nhiệt được thiết kế hoạt động liên tục, các mạch ổn định nhiệt sẽ được bật trong 15 min sau khi đạt được cân bằng nhiệt và thiết bị phải đáp ứng các yêu cầu quy định.
Nếu cân bằng nhiệt không được kiểm tra bằng đo đạc, thời gian ổn định nhiệt độ ít nhất là 1 h hoặc khoảng thời gian được quyết định bởi phòng đo kiểm. Trình tự các phép đo phải được lựa chọn và độ ẩm trong buồng thử nghiệm phải được kiểm soát để không xảy ra hiện tượng ngưng tụ.
b) Quy trình đối với thiết bị được thiết kế để hoạt động liên tục
Nếu thiết bị được nhà sản suất thiết kế để hoạt động liên tục thì quy trình đo kiểm được thực hiện như sau:
- Trước khi đo kiểm ở nhiệt độ cực cao, thiết bị phải được đặt ở trong buồng đo kiểm cho đến khi đạt được cân bằng nhiệt. Sau đó, thiết bị sẽ được bật trong điều kiện truyền sóng khoảng 30 min, thiết bị phải đáp ứng các yêu cầu quy định.
- Đối với các đo kiểm ở nhiệt độ cực thấp, thiết bị phải được đặt ở trong buồng đo kiểm cho đến khi đạt được cân bằng nhiệt. Sau đó, thiết bị sẽ được bật khoảng thời gian 1 min, thiết bị phải đáp ứng các yêu cầu quy định.
c) Quy trình đối với thiết bị được thiết kể để hoạt động không liên tục
Nếu thiết bị được nhà sản suất thiết kế để hoạt động không liên tục thì quy trình đo kiểm được thực hiện như sau:
- Trước khi đo kiểm ở nhiệt độ cực cao, thiết bị phải được đặt ở trong buồng đo kiểm cho đến khi đạt được cân bằng nhiệt. Thiết bị sẽ:
* Bật tắt truyền sóng theo chu kỳ hoạt động mà nhà sản xuất khai báo trong khoảng thời gian 5 min hoặc:
* Nếu nhà sản xuất công bố khoảng thời gian vượt quá 1 min thì truyền trong điều kiện không quá 1 min, sau đó thiết bị ở chế độ tắt hoặc chờ trong khoảng 4 min, thiết bị phải đáp ứng các yêu cầu quy định.
- Đối với các đo kiểm ở nhiệt độ cực thấp, thiết bị phải được đặt trong buồng đo kiểm cho đến khi đạt được cân bằng nhiệt. Sau đó, thiết bị sẽ được chuyển sang chế độ chờ hoặc chế độ nhận khoảng 1 min, thiết bị phải đáp ứng các yêu cầu quy định.
d) Khoảng nhiệt độ khắc nghiệt
Đo kiểm ở nhiệt độ khắc nghiệt phải được thực hiện theo các quy trình quy định tại 2.2.4.2.a ở nhiệt độ trên và nhiệt độ dưới theo thông tin công bố của nhà sản xuất.
Ví dụ về phạmvi thường dùng cho thiết bị:
- Chung: từ -20 °C đến +55 °C;
- Cầm tay: từ -10 °C đến +55 °C;
- Sử dụng trong nhà: từ +5 °C đến +35 °C;
- Ô tô: từ -40 °C đến +125 °C.
Trong báo cáo đo kiểm phải nêu phạm vi được sử dụng.
2.2.4.3. Điện áp nguồn đo kiểm khắc nghiệt
a) Điện áp lưới
Điện áp đo kiểm khắc nghiệt đối với thiết bị được kết nối với nguồn điện xoay chiều phải là điện áp danh định ±10 %. Đối với thiết bị hoạt động ngoài dải điện áp lưới thì áp dụng 2.2.4.3.d.
b) Các nguồn ắc qui axit-chì thông thường
Khi thiết bị vô tuyến được thiết kế để hoạt động từ nguồn ắc qui axit-chì thông thường, điện áp đo kiểm khắc nghiệt sẽ là 1,3 và 0,9 nhân với điện áp danh định của pin (6V, 12V, ...).
Đối với các ứng dụng sử dụng loại pin "gel-cell", điện áp khắc nghiệt sẽ là 1,15 và 0,85 nhân với điện áp thông thường của điện áp pin được khai báo.
c) Nguồn sử dụng các loại pin khác
Điện áp đo kiểm cực thấp cho các thiết bị có nguồn sử dụng pin như sau:
- Đối với thiết bị có chỉ báo pin, điện áp cuối như chỉ báo;
- Đối với thiết bị không có chỉ báo pin thì điện áp cuối sẽ được sử dụng như sau:
+ Đối với pin Leclanche hay pin Lithium: 0,85 nhân với điện áp danh định của pin;
+ Đối với pin Nickel-Cadmium: 0,9 nhân với điện áp danh định của pin.
Đối với các loại pin khác hay thiết bị khác, điện áp đo kiểm cực thấp cho điều kiện phóng điện sẽ theo thông báo của nhà sản xuất thiết bị.
Điện áp đo kiểm cực cao sẽ theo khai báo của nhà sản xuất nếu có sự khác biệt với điện áp danh định.
d) Các nguồn khác
Đối với thiết bị sử dụng các nguồn khác hay có khả năng vận hành từ nhiều nguồn khác nhau, điện áp đo kiểm khắc nghiệt phải được đồng ý từ nhà sản xuất thiết bị và phòng đo kiểm. Điều này được ghi lại trong báo cáo đo kiểm.
2.2.5. Đo kiểm thiết bị với các mức công suất tương thích
Thiết bị có bộ tương thích năng lượng đầu ra bằng cách sử dụng các mô-đun công suất riêng biệt cần phải được khai báo. Mỗi mô-đun sẽ được đo kiểm khi kết hợp với thiết bị.
2.2.6. Ăng ten giả
Trường hợp phép đo phải sử dụngăng ten giả để thử nghiệm thiết bị thì nó phải thuộc loại tải thuần trở, được nối với đầu kết nối ăng ten. Hệ số sóng đứng (VSWR) trên đầu kết nối RF 50 Ω không được vượt quá 1,5:1 cho toàn bộ dải tần số cần đo kiểm.
2.2.7. Thiết bị không có đầu kết nối RF ngoài
2.2.7.1. Điều kiện chung
Đối với thiết bị có ăng tentích hợp hoặc có đầu kết nối ăng ten khác với đấu nối đồng trục 50 Ω, các phép đo dẫn được tiến hành như sau:
- Lắp đầu kết nối bên trong;
- Lắp đầu kết nối tạm thời;
- Sử dụng hộp ghép đo.
2.2.7.2. Thiết bị có bộ kết nối trong
Thiết bị cần đo kiểm (EUT) có đầu kết nối đồng trục 50 Ω giữa ăng ten và mạch điện, có thể sử dụng để thực hiện các phép đo dẫn. Việc truy cập vào đầu kết nối phải được đấu theo sơ đồ. Thực tế việc sử dụng các ăng ten bên trong để thực hiện các đo đạc phải được ghi trong báo cáo đo kiểm.
2.2.7.3. Thiết bị có bộ kết nối ăng ten tạm thời
Đối với một bộ thiết bị với ăng ten thông thường được kết nối, có thể được đo kiểm cho phép đo phát xạ. Nhà sản xuất phải tham dự buổi đo kiểm khi kết thúc các phép đo phát xạ để ngắt kết nối ăng ten và lắp đầu kết nối tạm thời. Nhân viên phòng đo kiểm sẽ không kết nối hay ngắt kết nối bất kỳ đầu kết nối ăng ten tạm thời này.
Ngoài ra, hai bộ thiết bị có thể được gửi tới phòng đo kiểm, một bộ được gắn với đầu kết nối ăng ten tạm thời với ăng ten không kết nối và thiết bị khác nối với ăng ten. Mỗi thiết bị sẽ được sử dụng cho các bài đo kiểm thích hợp. Sẽ có hai bộ thiết bị giống hệt nhau ngoại trừ đầu kết nối ăng ten.
2.2.7.4. Hộp ghép đo
Hộp ghép đo là một cấu trúcđể ghép nối ăng ten tích hợp với một đầu cuối RF 50 Ω tại tất cả các tần số mà phép đo kiểm cần thực hiện.
Hộp ghép đo chỉ được sử dụng cho phép đo tương đối.
Thông tin về hộp ghép đo tham khảo tại Phụ lục B.
2.2.8. Phép đo dẫn và phép đo bức xạ
Mặc dù phương pháp đo cho phép đo dẫn, nhưng cần chú ý rằng thiết bị và các phụ kiện ăng ten của nó phải tuân thủ yêu cầu kỹ thuật hiện hành.
Phương pháp đo kiểm sử dụng kết nối đo dẫn có thể thay thế sử dụng bằng đo phát xạ. Đối với các phép đo nhất định, một đo kiểm tương đương sử dụng hộp ghép đo có thể được sử dụng thay thế. Trong các trường hợp như vậy, quy trình thích hợp được thiết lập các mức tham chiếu sẽ được sử dụng và ghi lại.
Nếu phương pháp đo kiểm chỉ định là phép đo phát xạ thì không thể thay thế phép đo được tiến hành với phép đo dẫn hoặc với hộp ghép đo.
Hướng dẫn chi tiết về bố trí đo kiểm bức xạ được mô tả trong Phụ lục C.
Hướng dẫn về các phép đo có thể thực hiện sử dụng kết nối đo dẫn hoặc hộp ghép nối xem tại Bảng 2.
Bảng 2 - Tùy chọn phép đo
| Mô tả | Thực hiện với đầu nối trên EUT | Hộp ghép nối | Bức xạ |
| Tần số hoạt động | Có | Có | Có |
| Công suất phát xạ hiệu dụng | Có | Chỉ áp dụng cho bài đo kiểm nhiệt độ khắc nghiệt | Có |
| Băng thông chiếm dụng lớn nhất | Có | Có | Có |
| Phát xạ ngoài băng | Có | Chỉ áp dụng cho bài đo kiểm nhiệt độ khắc nghiệt | Có |
| Phát xạ không mong muốn trong miền phát xạ giả | Có | Không | Có |
| Công suất tức thời | Có | Không | Có |
| Phát trong điều kiện điện áp thấp | Có | Có | Có |
| Quá tải đầu vào máy thu | Có | Không | Có |
Nếu thiết bị được đo kiểm có nhiều hơn một cổngăng ten, ví dụ ăng ten riêng cho thu và phát hoặc ăng ten riêng cho các tần số hoạt động khác nhau hoặc nhiều loại ăng ten khác nhau thì:
- Nếu mọi cổngăng ten có đầu kết nối 50 Ω, phép đo dẫn có thể được thực hiện như trong Bảng 2. Tất cả cổng ăng ten được kết nối 50 Ω như mô tả tại 2.2.6.
- Các trường hợp khác, chỉ thực hiện phép đo phát xạ. Tất cả các cổng ăng ten phải gắn ăng ten tượng trưng trong điều kiện sử dụng thông thường.
CHÚ THÍCH: Việc thay thế một ăng ten bằng một đường truyền có thể ảnh hưởng đến hoạt động của ăng ten khác.
2.2.9. Máy thu đo
2.2.9.1. Khái niệm
Thuật ngữ "Máy thu đo" dùng để chỉ một vôn kế chọn lọc tần số hoặc một máy phân tích phổ. Thông tin chi tiết trong A.1. Trừ khi có quy định khác, máy tách sóng RMS sẽ được sử dụng.
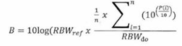
2.2.9.2. Băng thông tham chiếu
Thông thường, băng thông phân giải của máy thu đo (RBW) sẽ phải bằng với băng thông tham chiếu (RBWref) trong Bảng 3.
Bảng 3 - Băng thông tham chiếu cho máy thu đo
| Dải tần số (f) | Băng thông phân giải máy thu đo (RBWref) |
| f < 150 kHz
| 200 Hz hoặc 300 Hz |
| 150 kHz ≤ f < 25 MHz | 9 kHz hoặc 10 kHz |
| 25 MHz ≤ f ≤ 1 000 MHz | 100 kHz hoặc 120 kHz |
| f > 1 000 MHz | 1 MHz |
| CHÚ THÍCH: Dải tần số và giá trị RBWref tương ứng được lấy từ CISPR 16. | |
Để tăng độ chính xác, độ nhạy và hiệu quả phép đo, RBW có thể khác với RBWref.
Khi RBWđo<RBWref, kết quả:
Trong đó:
- P(i) là mẫu đo với RBWđo;
- n là số lượng mẫu bên trong RBWref;
- B là giá trị tương ứng tại RBWref.
Khi RBWđo > RBWref, kết quả cho phát xạ băng rộng:

Trong đó:
- A là giá trị đo tại băng thông đo lớn hơn RBWđo;
- B là giá trị tương ứng tại RBWref.
2.3. Giải thích kết quả đo
Giải thích kết quả đo được ghi trong báo cáo đo kiểm đối với các phép đo được mô tả trong tài liệu này thực hiện như sau:
- Giá trị đo liên quan đến giới hạn tương ứng sẽ được sử dụng để quyết định xem thiết bị có đáp ứng được yêu cầu của tài liệu;
- Giá trị của độ không đảm bảo đo đối với phép đo của mỗi thông số phải được đưa vào báo cáo đo kiểm;
- Giá trị được ghi lại của mỗi phép đo không đảm bảo đối với mỗi phép đo phải bằng hoặc thấp hơn giá trị trong Bảng 4.
Đối với phương pháp đo kiểm, theo tài liệu này, số liệu sai số phải được tính toán và tương ứng với các yếu tố mở rộng (yếu tố vùng phủ) k = 1,96 hay k = 2 (theo mức tin cậy 95 % và 95,45 % trong trường hợp phân bổ bình thường theo hàm Gaussian. Nguyên lý tính toán sai số theo tài liệu ETSI TR 100 028, đặc biệt trong Phụ lục D của ETSITR 100 028-2.
Bảng 4 - Độ không bảo đảm đo
| Tần số vô tuyến | ±0,5 ppm |
| Công suất RF, phép đo dẫn | ±1,5 dB |
| Phát xạ giả phép đo dẫn của máy phát, có thể lên tới 6 GHz | ±3dB |
| Phát xạ bức xạ của máy phát, có thể lên tới 6 GHz | ±6 dB |
| Độ không đảm bảo mức RF đối với BER cho trước | ±1,5 dB |
| Băng thông chiếm dụng | ±5 % |
| Nhiệt độ | ±2,5 °C |
| Độ ẩm | ±10 % |
2.4. Yêu cầu và phương pháp đo
2.4.1. Tần số hoạt động
2.4.1.1. Khái niệm
Tần số hoạt động danh định là tần số trung tâm của kênh có độ rộng OCW.
2.4.1.2. Giới hạn
Tần số hoạt động của thiết bị phải nằm trong phạm vi từ 920 MHz đến 923 MHz.
2.4.1.3. Phương pháp đo
Thông tin trong Bảng 5 phải được ghi lại trong báo cáo đo kiểm.
Bảng 5 - Thông tin ghi lại đối với báo cáo đo kiểm cho bài đo tần số hoạt động
| Giá trị | Ghi chú |
| Tần số hoạt động một băng hay nhiều băng | Theo khai báo của nhà sản xuất |
| Một hay nhiều tần số hoạt động danh định | Theo khai báo của nhà sản xuất |
| Độ rộng kênh hoạt động - OCW. | Theo khai báo của nhà sản xuất |
2.4.2. Phát xạ không mong muốn trong miền phát xạ giả
2.4.2.1. Khái niệm
a) Phát xạ không mong muốn cho chế độ phát

Hình 5 - Mặt nạ phổ cho phát xạ không mong muốn trong miền phát xạ giả với băng thông tham chiếu
Phát xạ giả là những phát xạ không mong muốn trong miền phát xạ giả ở những tần số khác so với kênh hoạt động và miền phát xạ ngoài băng. Mối quan hệ miền phát xạ giả được chỉ ở Hình 5.
b) Phát xạ không mong muốn cho các chế độ khác
Phát xạ giả từ EUT là một tổ hợp ở bất kỳ tần số nào, phát xạ bởi thiết bị và ăng ten.
2.4.2.2. Giới hạn tham chiếu
Công suất của bất kỳ phát xạ không mong muốn trong miền phát xạ giả không được vượt quá giá trị trong Bảng 6.
Bảng 6 - Giới hạn phát xạ miền phát xạ giả
| Tần số
Trạng thái | 47 MHz tới 74 MHz 87,5 MHz tới 118 MHz 174 MHz tới 230 MHz 470 MHz tới 790 MHz | Tần số dưới 1 000 MHz | Tần số trên 1 000 MHz |
| Chế độ TX | -54 dBm | -36 dBm | -30 dBm |
| RX và các chế độ khác | -57 dBm | -57 dBm | -47 dBm |
2.4.2.3. Phương pháp đo
a) Điều kiện đo kiểm đối với chế độ phát
Đặt EUT hoạt động bình thường ở chế độ tương ứng.
Đối với EUT không có đầu nối ăng ten đồng trục 50 Ω bên ngoài, mức phát xạ giả sẽ được thiết lập theo trình tự đo bức xạ tại 2.4.2.3.c.2.
Đối với tất cả EUT khác, mức phát xạ giả được thiết lập:
• Trình tự phép đo dẫn theo 2.4.2.3.c.1 và
• Trinh tự phép đo bức xạ theo 2.4.2.3.c.2 với cổng ăng ten đầu cuối với tải giả.
i) Máy phát được cho hoạt động ở tần số hoạt động thấp nhất và cao nhất theo khai báo của nhà sản xuất. Một số tần số bổ sung có thể đo kiểm.
ii) Phép đo được thực hiện khi EUT hoạt động ở mức công suất cao nhất của nó theo khai báo của nhà sản xuất và khi EUT ở chế độ chờ.
iii) RBW của máy thu đo theo Bảng 7.
Bảng 7 - Thông số cho đo phát xạ giả chế độ phát
| Chế độ hoạt động | Dải tần số | RBWref (Chú thích 2) |
| Chế độ phát | 9 kHz ≤ f < 150 kHz | 1 kHz |
| 150 kHz ≤ f < 30 MHz | 10 kHz | |
| 30 MHz ≤ f < fc - m | 100 kHz | |
| fc - m ≤ f < fc - n | 10 kHz | |
| fc - n ≤ f < fc - p | 1 kHz | |
| fc + p < f ≤ fc + n | 1 kHz | |
| fc + n < f ≤ fc +m | 10 kHz | |
| fc + m < f ≤ 1 GHz | 100 kHz | |
| 1 GHz < f ≤ 6 GHz | 1 MHz | |
| CHÚ THÍCH 1: f là tần số đo được; fc là tần số đang hoạt động; m là 10 x OCW hoặc 500 kHz, lấy giá trị lớn hơn; n là 4 x OCW hoặc 100 kHz, lấy giá trị lớn hơn; p là 2,5 x OCW. CHÚ THÍCH 2: Nếu giá trị của RBW sử dụng cho phép đo khác với RBWref thì sử dụng điều chỉnh băng thông theo 2.2.9.2. | ||
b) Điều kiện đo kiểm cho chế độ thu và các chế độ khác
Đặt EUT hoạt động bình thường ở chế độ tương ứng.
Đối với EUT không có đầu nối ăng ten đồng trục 50 Ω bên ngoài, mức phát xạ giả sẽ được thiết lập theo trình tự đo bức xạ tại 2.4.2.3.c.2
Đối với tất cả EUT khác mức phát xạ giả được thiết lập cả:
• Trình tự đo độ dẫn theo 2.4.2.3.c.1 và
• Trình tự đo bức xạ theo 2.4.2.3.c.2 với cổng ăng ten đầu cuối với tải giả.
c) Trình tự đo
c.1. Đo dẫn
Kết nối cổng ăng ten của EUT với tải giả và đầu ra của tải giả được kết nối với máy thu đo.
Cho EUT hoạt động.
Áp dụng 2.4.2.3.a với chế độ phát.
Điều chỉnh máy thu đo tới dải tần số theo Bảng 8.
Bảng 8 - Băng tần đo phát xạ giả bằng phương pháp dẫn
| Băng tần |
| 9 kHz tới 6 GHz |
| CHÚ THÍCH: Chỉ cần thực hiện phép đo trong dải 4 GHz tới 6 GHz nếu phát hiện phát xạ trong phạm vi giới hạn 10 dB giữa 1,5 GHz và 4 GHz. |
Đối với mỗi tần số trong thành phần phát xạ giả xác định được, mức công suất sẽ được đo và ghi chú.
c.2. Đo bức xạ
Lựa chọn vị trí đo kiểm thích hợp từ mô tả tại C.2.
Kết nối EUT với ăng ten hoạt động bình thường của nó.
Kết nối đầu ra của ăng ten đo kiểm với máy thu đo. Thực hiện phép đo được mô tả sử dụng phương thức đo bức xạ thích hợp mô tả tại C.6.1 (hoặc C.6.2) phụ thuộc vào vị trí đo kiểm, sau đó thực hiện theo C.6.3. Khởi động EUT.
Áp dụng 2.4.2.3.a đối với chế độ phát.
Điều chỉnh máy thu đo tới dải tần số theo Bảng 9.
Bảng 9 - Băng tần đo phát xạ giả bằng phương pháp bức xạ
| Băng tần |
| 25 MHz tới 6 GHz |
| CHÚ THÍCH: Chỉ cần thực hiện phép đo trong dải 4 GHz tới 6 GHz nếu phát hiện phát xạ trong phạm vi giới hạn 10 dB giữa 1,5 GHz và 4 GHz. |
Đối với mỗi tần số trong thành phần phát xạ giả xác định được trong dải tần số theo Bảng 9, mức công suất phát xạ giả được thiết lập bằng cách sử dụng quy trình được mô tả theo C.6 và được ghi chú vào trong báo cáo.
CHÚ THÍCH: Mức tín hiệu cao nhất được đo bởi máy thu đo theo phân cực đứng và phân cực ngang.
Phép đo bức xạ trong C.6.1 (hoặc C.6.2) được thực hiện bởi phép đo thay thế được định nghĩa tại C.6.3 với thiết lập tần số của máy phát tín hiệu đã được hiệu chuẩn tới tần số của thành phần phát xạ giả được xác định, nếu cần thiết, thiết lập suy hao đầu vào của máy được điều chỉnh để tăng độ nhạy thu của máy thu đo.
Phép đo công suất phát xạ hiệu dụng của các thành phần phát xạ có mức lớn hơn hai mức công suất tại đầu vào ăng ten thay thế, mức tăng độ tăng ích ăng ten thay thế được điều chỉnh bởi suy hao cáp (giá trị dB).
Ghi lại mức công suất đo được trong báo cáo đo kiểm đối với mỗi thành phần phát xạ giả.
2.4.3. Công suất phát xạ hiệu dụng
2.4.3.1. Khái niệm
Công suất phát xạ hiệu dụng là công suất phát xạ ở hướng có mức phát cực đại và dưới các điều kiện xác định của phép đo đối với tín hiệu không điều chế. Đối với thiết bị có kết nối ăng ten cố định hoặc tạm thời thì công suất phát xạ hiệu dụng có thể lấy là công suất tới đầu kết nối có tính đến tăng ích ăng ten.
2.4.3.2. Giới hạn
Công suất phát xạ hiệu dụng không vượt quá 14 dBm e.r.p.
2.4.3.3. Phương pháp đo
a) Công suất phát xạ hiệu dụng (Đo bằng phương pháp dẫn)
a.1. Yêu cầu chung
Phép đo chỉ thực hiện cho EUT có đầu nối ăng ten ngoài cố định.
a.2. Điều kiện đo kiểm
i) Thực hiện phép đo tại tần số hoạt động thấp nhất và tần số hoạt động cao nhất theo khai báo của nhà sản xuất. Có thể bổ sung thêm một vài tần số đo kiểm.
ii) Bật máy phát, nếu có thể, không điều chế và máy thu đo được điều chỉnh tới tần số của máy phát. Không sử dụng tín hiệu đo kiểm D-M1 (sóng mang không điều chế) cho thiết bị có điều chế đường bao không cố định.
iii) RBW của máy phân tích phổ phải đủ rộng để bao phủ toàn bộ đường bao công suất (≥ OCW) của tín hiệu EUT.
a.3. Trình tự đo kiểm
Máy phát được kết nối với tải giả theo 2.2.6 và công suất dẫn thu được được đo bởi máy thu đo theo 2.2.9.
Trong trường hợp điều chế đường bao không cố định thì sử dụng chế độ tách sóng đỉnh.
Độ tăng ích tối đa của ăng ten sẽ được sử dụng với thiết bị theo khai báo của nhà sản xuất và ghi lại trong báo cáo đo kiểm.
Giới hạn công suất phát xạ hiệu dụng (Perp) được tính bằng giá trị tối đa công suất dẫn (Pdẫn) được điều chỉnh bằng độ tăng ích ăng ten (so với mức lưỡng cực) (Perp = Pdẫn + tăng ích ăng ten).
Thông tin Bảng 10 được ghi trong báo cáo đo kiểm.
Bảng 10 - Thông tin báo cáo đo kiểm đối với đo bằng phương pháp dẫn công suất phát xạ hiệu dụng
| Giá trị | Ghi chú |
| Môi trường đo kiểm | Sóng mang hoạt động hoặc không điều chế danh định |
| Tần số trung tâm | Tần số hoạt động danh định |
| Kết quả đo công suất phát xạ hiệu dụng | Giá trị đo được lớn nhất của giá trị công suất của phép đo dẫn được điều chỉnh bởi tăng ích ăng ten (so với ăng ten lưỡng cực) |
| CHÚ THÍCH: Đối với ăng ten chuyên dụng thì độ tăng ích ăng ten theo khai báo của nhà sản xuất. | |
b) Công suất phát xạ hiệu dụng (Đo bức xạ)
b.1. Yêu cầu chung
Phương pháp này áp dụng đối với EUT không đo theo 2.4.3.3.a.
b.2. Điều kiện đo kiểm
i) Thực hiện phép đo tại tần số hoạt động thấp nhất và tần số hoạt động cao nhất theo khai báo của nhà sản xuất. Có thể bổ sung thêm một vài tần số đo kiểm.
ii) Thực hiện phép đo tại mức công suất cao nhất của máy phát dự kiến hoạt động.
iii) Bật máy phát, nếu có thể, không điều chế và máy thu đo được điều chỉnh tới tần số của máy phát. Không sử dụng tín hiệu đo kiểm D-M1 (sóng mang không điều chế) cho thiết bị có điều chế đường bao không cố định.
iv) RBW của máy phân tích phổ phải đủ rộng để bao phủ toàn bộ đường bao công suất (≥ OCW) của tín hiệu EUT.
v) Trong trường hợp ăng ten có thể tháo rời thì ăng ten được lắp như đang sử dụng bình thường.
vi) Đối với phép đo trong điều kiện nhiệt độ khắc nghiệt nên sử dụng đầu kết nối bên trong hoặc tạm thời thay vì sử dụng bộ ghép nối.
b.2. Trình tự đo
Vị trí đo kiểm thích hợp sẽ được lựa chọn theo mô tả tại C.2 và công suất bức xạ được thiết lập theo trình tự được mô tả tại C.6.1 (hoặc C.6.2) tùy thuộc vào vị trí đo kiểm theo C.6.3.
Sử dụng chế độ tách sóng đỉnh trong trường hợp đường bao điều chế không cố định.
Ghi thông tin trong Bảng 11 vào báo cáo đo kiểm.
Bảng 11 - Thông tin trong báo cáo đo kiểm đối với công suất phát xạ hiệu dụng
| Giá trị | Ghi chú |
| Môi trường đo kiểm | Sóng mang hoạt động danh định hoặc không điều chế |
| Tần số trung tâm | Tần số hoạt động danh định |
| Phép đo của công suất phát xạ hiệu dụng | Giá trị lớn hơn từ phép đo theo chiều ngang và dọc công suất phát xạ tương đương, cộng với tăng ích ăng ten của thiết bị |
| CHÚ THÍCH: Trong trường hợp ăng ten có thể tháo rời thì tăng ích ăng ten theo khai báo của nhà sản xuất. | |
2.4.4. Chu kỳ hoạt động
2.4.4.1. Khái niệm
Chu kỳ hoạt động là tỷ lệ phần trăm giữa thời gian truyền Ton-cum và thời gian quan sát Tobs.

Trừ khi có quy định khác, Tobs trong 1 h và băng thông quan sát Fobs trong dải tần số hoạt động. Mỗi đường truyền bao gồm một tín hiệu vô tuyến hoặc chuỗi các tín hiệu vô tuyến trong khoảng thời gian nội tại < TDis.
Một thiết bị có thể hoạt động đồng thời trên nhiều băng tần, giới hạn chu kỳ hoạt động của mỗi băng riêng biệt áp dụng cho với mỗi truyền dẫn trong băng tần đó.
Trường hợp điều chế đa sóng mang trong một băng tần, chu kỳ hoạt động áp dụng cho toàn bộ tín hiệu thực hiện truyền sóng (ví dụ như OFDM).
Thiết bị có thể kích hoạt bằng tay trong thời gian định sẵn hoặc nguồn ngoài. Tùy thuộc vào phương pháp kích hoạt, thời gian có thể định sẵn hoặc ngẫu nhiên.
2.4.4.2. Giới hạn
Chu kỳ hoạt động của thiết bị LPWAN không quá 10 % (áp dụng đối với thiết bị truy cập Access Station/Gateway) và không quá 1 % (áp dụng đối với thiết bị cảm biến Sensor/End-point).
2.4.4.3. Phương pháp đo
Đánh giá chung một chu kỳ bằng khoảng thời gian quan sát Tobs trên băng thông quan sát Fobs. Trừ khi có quy định khác, Tobs trong 1 h và băng thông quan sát là băng tần hoạt động.
Khoảng thời gian đại diện là thời gian thiết bị kích hoạt trong chế độ sử dụng thông thường. Chế độ sử dụng thông thường được xác định là đáp ứng của thiết bị trong suốt 99 % truyền dẫn sinh ra trong vòng đời thiết bị.
Quy trình gồm thiết lập, vận hành thử, bảo trì không có trong chu kỳ hoạt động bình thường.
Khi chế độ xác nhận được sử dụng, bộ phát bổ sung đúng giờ từ bộ trả lời tin nhắn phải được khai báo một lần cho dù có trong chu kỳ nhiệm vụ của bộ khởi tạo tin nhắn hay trong chu trình nhiệm vụ trả lời tin nhắn.
CHÚ THÍCH: Mục đích của nguyên tắc là không cho phép EUT vượt quá giá trị chu kỳ hoạt động tối đa.
2.4.5. Băng thông chiếm dụng
2.4.5.1. Khái niệm
Băng thông chiếm dụng (OBW) là dải tần số trong đó tập trung 99 % tổng công suất trung bình của phát xạ thu được. Trong trường hợp phổ đối xứng, phần dư của tổng công suất (ký hiệu là β) sẽ được chia thành β /2 ở mỗi bên của phổ. Trừ khi có quy định khác, β /2 được lấy là 0,5 % theo mô tả tại Hình 3.
Băng thông chiếm dụng lớn nhất bao gồm các băng tần bên cạnh ở trên mức phát xạ riêng biệt và lỗi tần số hay độ dịch dưới điều kiện đo kiểm khắc nghiệt.
2.4.5.2. Giới hạn
Kênh hoạt động được khai báo và nằm hoàn toàn trong dải tần số hoạt động.
Băng thông chiếm dụng tối đa ở mức 99 % sẽ nằm trong kênh hoạt động được định nghĩa bởi tần số thấp và tần số cao.
2.4.5.3. Phương pháp do
a) Điều kiện đo kiểm
i) Thực hiện phép đo tại tần số hoạt động thấp nhất và tần số hoạt động cao nhất theo khai báo của nhà sản xuất. Có thể bổ sung thêm một vài tần số đo kiểm.
ii) Thực hiện đo với máy phân tích phổ.
iii) Đối với thiết bị có công suất phát xạ hiệu dụng ≤ -30 dBm thì OBW có thể đo hoặc lấy bằng OCW trong dải tần số hoạt động.
b) Đo bức xạ
Vị trí đo kiểm thích hợp sẽ được lựa chọn theo mô tả tại C.2 và thực hiện các phép đo theo 2.4.5.3.d sử dụng các phương pháp đo bức xạ tương ứng được mô tả tại C.6.
c) Đo bằng phương pháp dẫn
Ăng ten giả sẽ được kết nối giữa EUT và thiết bị đo kiểm thông qua bộ suy hao thích hợp.
Thực hiện các phép đo theo 2.4.5.3.d.
d) Trình tự đo
Máy phân tích phổ được cấu hình phù hợp cho các thông số tại Bảng 12.
Bảng 12 - Các thông số đo kiểm đối với phép đo băng thông chiếm dụng tối đa
| Cài đặt | Giá trị | Ghi chú |
| Tần số trung tâm | Tần số hoạt động danh định | Tần số hoạt động cao nhất hoặc thấp nhất theo khai báo của nhà sản xuất |
| RBW | 1 % tới 3 % của OCW không được dưới 100 Hz |
|
| VBW | 3 x RBW | Giá trị gần nhất trên phân tích phổ tới 3 x RBW |
| Dải tần số đo (Span) | Tối thiểu 2 lần độ rộng kênh hoạt động | Dải tần số đo cần đủ lớn để bao gồm tất các các thành phần chính của tín hiệu và băng tần bên cạnh |
| Chế độ tách sóng | RMS |
|
| Chế độ dò (Trace) | Mức lớn nhất (Max hold) |
|
Phép đo OBW được thực hiện trong điều kiện đo kiểm thông thường và khắc nghiệt. Bất kỳ yêu cầu kết quả cho OBW lớn nhất dưới điều kiện khắc nghiệt được xác định bằng cách cộng và trừ các kết quả lỗi tần số trên và dưới cho từng phép đo băng thông trong bài đo kiểm này.
Bước 1:
Để EUT hoạt động ở tần số hoạt động cao nhất theo khai báo của nhà sản xuất với tín hiệu đo kiểm phù hợp.
Điều chỉnh suy hao tín hiệu để đảm bảo đường bao công suất tín hiệu đủ cao hơn mức nhiễu nền của máy phân tích để tránh phép đo bao gồm tín hiệu nhiễu ở hai bên đường bao công suất.
Bước 2:
Sử dụng đánh dấu máy phân tích phổ tại giá trị lớn nhất dò được.
Bước 3:
Sử dụng chức năng băng thông chiếm dụng 99 % trên máy phân tích phổ để đo băng thông chiếm dụng của tín hiệu.
đ) Ghi thông tin
Đối với mỗi điều kiện đo kiểm, thông tin tại Bảng 13 sẽ được ghi trong báo cáo đo kiểm.
Bảng 13 - Ghi thông tin trong báo cáo đo kiểm đối với băng thông chiếm dụng
| Giá trị | Ghi chú |
| Điều kiện đo kiểm | Điều kiện bình thường hoặc khắc nghiệt |
| Tín hiệu đo kiểm | Tín hiệu đo kiểm được sử dụng theo Bảng 1 |
| Tần số trung tâm | Tần số hoạt động cao nhất hoặc thấp nhất theo khai báo của nhà sản xuất và bất kỳ tần số nào được sử dụng trong các trường hợp đo kiểm. |
| Băng thông chiếm dụng | Giá trị đo được với phân tích phổ |
| Băng thông chiếm dụng tối đa | Giá trị OBW đo được lớn nhất hoặc nếu phép đo chỉ thực hiện ở điều kiện nhiệt độ bình thường, kết quả lỗi tần số trên và dưới sẽ tính với OBW đo được để tính băng thông chiếm dụng tối đa |
2.4.6. Phát xạ ngoài băng của máy phát
2.4.6.1. Khái niệm
Định nghĩa 2 miền ngoài băng, một cho OC (Hình 6) và một cho băng tần số hoạt động (Hình 7). Mặt nạ phổ cho hai miền ngoài băng có thể chồng lấn lên nhau.

Hình 6 - Miền phát xạ ngoài băng đối với kênh tần số hoạt động với BW tham chiếu
Miền phát xạ ngoài băng áp dụng đối với kênh tần số hoạt động như trong Hình 6.

Hình 7 - Miền phát xạ ngoài băng đối cho dải tần số hoạt động với BW tham chiếu
Các giới hạn áp dụng đối với tần số ngay phía trên và ngay phía dưới dải tần số hoạt động như trong Hình 7.
Ghi chú: flow_OFB là biên thấp hơn dải tần số hoạt động;
fhigh_OFB là biên cao hơn dải tần số hoạt động.
2.4.6.2. Giới hạn
Mức phát xạ của EUT trong miền OOB đối với kênh hoạt động và dải tần số hoạt động sẽ ít hơn hoặc bằng so với mức mặt nạ phổ tại Bảng 14.
Bảng 14 - Giới hạn phát xạ trong miền phát xạ ngoài băng
| Miền | Dải tần số | RBWref | Giới hạn công suất lớn nhất |
| Giới hạn OOB áp dụng cho dải tần số hoạt động (Như Hình 7) | f ≤ flow_OFB - 400 kHz | 10 kHz | -36 dBm |
| flow_OFB - 400 kHz ≤ f < flow_OFB - 200 kHz | 1 kHz | -36 dBm | |
| flow_OFB - 200 kHz ≤ f < flow_OFB | 1 kHz | Như Hình 7 | |
| f = flow_OFB | 1 kHz | 0 dBm | |
| f = fhigh_OFB | 1 kHz | 0 dBm | |
| fhigh_OFB < f ≤ fhigh_OFB + 200 kHz | 1 kHz | Như Hình 7 | |
| fhigh_OFB + 200 kHz ≤ f ≤ fhigh_OFB + 400 kHz | 1 kHz | -36 dBm | |
| fhigh_OFB + 400 kHz ≤ f | 10 kHz | -36 dBm | |
| Giới hạn OOB áp dụng cho kênh hoạt động (Như Hình 6) | f = fc - 2,5 x OCW | 1 kHz | -36 dBm |
| fc - 2,5 x OCW ≤ f ≤ fc - 0,5 x OCW | 1 kHz | Như Hình 6 | |
| f = fc - 0,5 x OCW | 1 kHz | 0 dBm | |
| f = fc + 0,5 x OCW | 1 kHz | 0 dBm | |
| fc + 0,5 x OCW ≤ f ≤ fc + 2,5 x OCW | 1 kHz | Như Hình 6 | |
| f = fc + 2,5 x OCW | 1 kHz | -36 dBm | |
| CHÚ THÍCH: f là tần số đo; fc là tần số hoạt động; flow_OFB là biên thấp hơn dải tần số hoạt động; fhigh_OFB là biên cao hơn dải tần số hoạt động; OCW là băng thông kênh hoạt động. | |||
2.4.6.3. Phương pháp đo
a) Điều kiện đo kiểm
i) Thực hiện bài đo kiểm theo 2.4.6.3.b nếu EUT không có đầu kết nối cố định hoặc tạm thời.
ii) Thực hiện bài đo kiểm theo 2.4.6.3.c nếu EUT có đầu kết nối ăng ten cố định hoặc tạm thời.
iii) Đối với phép đo trong điều kiện nhiệt độ khắc nghiệt nên sử dụng bộ kết nối bên trong hoặc tạm thời thay vì sử dụng bộ ghép nối.
b) Phép đo bức xạ
Thực hiện phép đo theo 2.4.6.3.d tùy thuộc vị trí đo kiểm lựa chọn phép đo thích hợp theo mô tả phép đo bức xạ tương ứng tại C.6.1 (hoặc C.6.2) hay C.6.3.
c) Phép đo dẫn
Kết nối EUT và thiết bị đo kiểm thông qua ăng ten giả với bộ suy hao thích hợp.
Thực hiện phép đo theo 2.4.6.3.d.
d) Trình tự đo
Bảng 15 - Thông số đo kiểm cho phép đo ngoài bảng tần kênh hoạt động
| Cài đặt phân tích phổ | Giá trị | Ghi chú |
| Tần số trung tâm | Tần số hoạt động |
|
| Dải tần số đo (Span) | 6 x độ rộng kênh hoạt động |
|
| RBW | 1 kHz (xem ghi chú) | Băng thông phân giải cho phép đo miền phát xạ ngoài băng |
| Chức năng tách sóng | RMS |
|
| Chế độ theo dõi | Trung bình tuyến tính | Chỉ áp dụng đối với EUT tạo tín hiệu đo kiểm D-M2. Lấy trung bình số lượng mẫu thích hợp để có kết quả ổn định |
| Mức lớn nhất (Max hold) | Chỉ áp dụng đối với EUT tạo tín hiệu đo kiểm D- M2a hoặc D-M3. | |
| CHÚ THÍCH: Nếu giá trị sử dụng RBW khác với RBWref trong 2.4.6.2 thì sử dụng băng thông hiệu chỉnh theo 2.2.9.2. | ||
Cấu hình thiết bị đo kiểm tương ứng với thông số trong Bảng 15.
Bước 1:
Khởi động EUT ở tần số hoạt động cao nhất theo khai báo của nhà sản xuất với tín hiệu đo kiểm tương ứng.
Ghi lại hình dạng tín hiệu khi ổn định dưới mặt nạ phổ ngoài băng cho kênh hoạt động.
Bước 2:
Cấu hình lại thiết bị đo kiểm với thông số tương ứng tại Bảng 16.
Bảng 16 - Cài đặt thông số đo kiểm đối với phép đo miền ngoài băng (biên tần dưới)
| Cấu hình phân tích phổ | Giá trị | Ghi chú |
| Tần số trung tâm | fClow | Tần số hoạt động thấp nhất trong dải |
| Dải tần số đo (Span) | 2 x (500 kHz + fClow -flow_OFB) | Đảm bảo mặt nạ ngoài cùng bên trái duy trì trong dải |
| CHÚ THÍCH: flow_OFB là biên dưới của dải tần số hoạt động. | ||
Khởi động lại EUT với tín hiệu đo kiểm thích hợp ở tần số hoạt động thấp nhất theo khai báo của nhà sản xuất.
Nếu thiết bị chỉ sử dụng duy nhất một tần số hoạt động trong băng tần số hoạt động thì thực hiện phép đo với tần số hoạt động danh định.
Ghi lại hình dạng tín hiệu khi ổn định dưới mặt nạ phổ ngoài băng cho kênh hoạt động và mặt nạ phổ dải tần số hoạt động.
Bước 3:
Cấu hình lại thiết bị đo kiểm với thông số tương ứng tại Bảng 17.
Bảng 17 - Cài đặt thông số đo kiểm đối với phép đo miền ngoài băng (biên tần trên)
| Cấu hình phân tích phổ | Giá trị | Ghi chú |
| Tần số trung tâm | fchigh | Tần số hoạt động cao nhất trong dải |
| Dải tần số đo (Span) | 2 x (500 kHz + fhigh_OFB - fchigh) | Đảm bảo mặt nạ ngoài cùng bên phải duy trì trong dải |
| GHI CHÚ: fhigh_OFB là biên trên của dải tần số hoạt động. | ||
Khởi động lại EUT với tín hiệu đo kiểm thích hợp ở tần số hoạt động cao nhất theo khai báo của nhà sản xuất.
Nếu thiết bị chỉ sử dụng duy nhất một tần số hoạt động trong băng tần số hoạt động thì thực hiện phép đo với tần số hoạt động danh định.
Ghi lại hình dạng tín hiệu khi ổn định dưới mặt nạ phổ ngoài băng cho kênh hoạt động và mặt nạ phổ dải tần số hoạt động.
Bước 4:
Đối với thiết bị đáp ứng nhanh tần số, lặp lại phép đo cho mỗi tần số hoạt động.
Bước 5:
Nếu yêu cầu lặp lại phép đo từ bước 1 đến bước 5 dưới điều kiện đo kiểm khắc nghiệt.
2.4.7. Công suất tức thời
2.4.7.1. Khái niệm
Công suất tức thời của máy phát là công suất tập trung vào những tần số ngoài kênh hoạt động do việc bật và tắt máy phát.
2.4.7.2. Giới hạn
Công suất tức thời không được vượt quá giá trị trong Bảng 18.
Bảng 18 - Giới hạn công suất tức thời của máy phát
| Đô lệch tuyệt đối từ tần số trung tâm | RBWref | Giới hạn công suất đỉnh tại các điểm đo |
| ≤ 400 kHz | 1 kHz | 0 dBm |
| > 400 kHz | 1 kHz | -27 dBm |
2.4.7.3. Phương pháp đo
a. Điều kiện đo kiểm
1) Thực hiện phép đo tại tần số hoạt động thấp nhất và cao nhất theo khai báo của nhà sản xuất. Có thể bổ sung đo kiểm thêm các tần số khác.
2) Thực hiện các phép đo tại mức công suất cao nhất tại đó máy phát dự kiến hoạt động.
b. Trình tự phép đo
Kết nối đầu ra của EUT tới máy phân tích phổ hoặc thiết bị đo tương đương.
Các phép đo được thực hiện ở chế độ zero span. Thiết lập tần số trung tâm của máy phân tích với một độ dịch từ tần số trung tâm hoạt động. Giá trị độ dịch và cài đặt RBW tương ứng được liệt kê tại Bảng 19.
Bảng 19 - RBW cho phép đo công suất tức thời
| Các điểm đo: độ lệch so với tần số trung tâm | RBW phân tích | RBWref |
| -0,5 x OCW - 3 kHz 0,5 x OCW + 3 kHz Không áp dụng cho OCW < 25 kHz | 1 kHz | 1 kHz |
| lựa chọn giá trị lớn hơn: ±12,5 kHz hoặc ± OCW | Tối đa (mẫu RBW 1, 3, 10 kHz) ≤ độ lệch tần số/6 (xem Chú thích) | 1 kHz |
| -0,5 x OCW - 400 kHz 0,5 x OCW + 400 kHz | 100 kHz | 1 kHz |
| -0,5 x OCW - 1 200 kHz 0,5 x OCW + 1 200 kHz | 300 kHz | 1 kHz |
| CHÚ THÍCH: Tối đa (mẫu RBW 1, 3, 10 kHz) là băng thông tối đa được trang bị phổ biến trên các máy phân tích phổ. Ví dụ: nếu OCW là 25 kHz thì giá trị RBW tương ứng đối với một tần số độ lệch OCW là 3 kHz. Các thông số cài đặt khác được liệt kê ở Bảng 20, và nếu OCW là 250 kHz thì RBW tương ứng với độ lệch OCW là 30 kHz. | ||
Bảng 20 - Các thông số cho phép đo công suất tức thời
| Cài đặt phân tích phổ | Giá trị | Ghi chú |
| VBW /RBW | 10 | Tại giá trị RBW cao hơn VBW có thể được chỉnh tới giá trị lớn nhất của nó. |
| Thời gian quét | 500 ms |
|
| Bộ lọc RBW | Gaussian |
|
| Chức năng tách | RMS |
|
| Chế độ dò | Mức lớn nhất (Max hold) |
|
| Số điểm quét | 501 |
|
| Chế độ đo | Quét liên tục |
|
| CHÚ THÍCH: Tỉ lệ giữa số điểm quét và thời gian quét cùng tỉ lệ như trên nếu sử dụng số lượng khác nhau của điểm quét. | ||
Sử dụng chế độ điều chế D-M3. Cài đặt phân tích phổ theo Bảng 20 và thực hiện một phép đo cho mỗi độ lệch tần số. EUT sẽ truyền ít nhất 5 tín hiệu đo kiểm D-M3. Ghi lại giá trị đỉnh và lặp lại phép đo đối với mỗi độ lệch tần số trong Bảng 19.
Biến đổi giá trị công suất ghi được sang giá trị công suất đo được đối với RBWref bằng công thức trong 2.2.9.2.
2.4.8. Hoạt động của máy phát dưới điều kiện điện áp thấp
2.4.8.1. Khái niệm
Phát trong điều kiện điện áp thấp lả khả năng của thiết bị có thể duy trì tần số hoạt động và không sinh ra phát xạ nào vượt quá giới hạn liên quan khi điện áp pin xuống dưới mức điện áp khắc nghiệt thấp.
Chỉ tiêu này chỉ áp dụng đối với thiết bị EUT sử dụng pin.
2.4.8.2. Giới hạn
Chỉ tiêu về hoạt động của máy phát dưới điều kiện điện áp thấp chỉ áp dụng cho thiết bị cần đo được cấp điện bằng pin.
Khi điện áp tụt xuống dưới điện áp hoạt động theo khai báo của nhà sản xuất, thiết bị sẽ:
a) Duy trì kênh hoạt động OC mà không vượt quá bất kỳ giới hạn nào (ví dụ chu kỳ hoạt động); hoặc
b) Giảm công suất bức xạ hiệu dụng dưới giới hạn phát xạ giả mà không vượt quá bất kỳ giới hạn nào (ví dụ chu kỳ hoạt động); hoặc
c) Tắt (ngừng chức năng).
2.4.8.3. Phương pháp đo
a) Điều kiện đo kiểm
Thực hiện đo kiểm tại tần số hoạt động theo khai báo của nhà sản xuất.
b) Thủ tục đo
Bước 1:
Khởi động EUT hoạt động tại tần số hoạt động theo khai báo của nhà sản xuất với tín hiệu đo kiểm thích hợp và điện áp hoạt động bình thường.
Đo và ghi lại tần số trung tâm của tín hiệu phát.
Bước 2:
Giảm điện áp hoạt động theo từng mức thích hợp đến khi điện áp về không.
Đo và ghi lại tần số trung tâm của tín hiệu phát.
Ghi lại bất kỳ dấu hiệu bất thường.
2.4.9. Quá tải đầu vào máy thu
2.4.9.1. Khái niệm
Quá tải đầu vào máy thu là phép đo khả năng của máy thu có thể thu được một tín hiệu điều chế mong muốn với mức sụt giảm không vượt qua một giá trị cho trước khi có hiện diện cả một tín hiệu vào không mong muốn tại bất kỳ tần số nào trừ các tần số đáp ứng giả hoặc tần số kênh liền kề hay tần số băng liền kề.
2.4.9.2. Giới hạn tham chiếu cho máy thu loại 2
Mức quá tải đầu vào máy thu đối với độ lệch tần số chỉ định phải lớn hơn hoặc bằng mức giới hạn Bảng 21, ngoại trừ tại tần số có các đáp ứng giả.
Bảng 21 - Giới hạn mức quá tải đầu vào máy thu cho máy thu loại 2
| Yêu cầu | Giới hạn |
| Máy thu loại 2 | |
| Quá tải đầu vào máy thu tại ±2 MHz từ dải tần số fhigh và flow | ≥ -69 dBm |
| Quá tải đầu vào máy thu tại ±10 MHz từ dải tần số fhigh và flow | ≥ -44 dBm |
| Quá tải đầu vào máy thu tại ±5 % từ tần số trung tâm hoặc 15 MHz nếu giá trị nào lớn hơn | ≥ -44 dBm |
2.4.9.3. Giới hạn tham chiếu cho máy thu loại 1,5
Mức quá tải đầu vào máy thu đối với độ lệch tần số chỉ định phải lớn hơn hoặc bằng mức giới hạn Bảng 22, ngoại trừ tại tần số có các đáp ứng giả.
Bảng 22 - Giới hạn mức quá tải đầu vào máy thu cho máy thu loại 1,5
| Yêu cầu | Giới hạn |
| Máy thu loại 1,5 | |
| Quá tải đầu vào máy thu tại ±2 MHz từ dải tần số fhigh và flow | ≥ -43 dBm |
| Quá tải đầu vào máy thu tại ±10 MHz từ dải tần số fhigh và flow | ≥ -33 dBm |
| Quá tải đầu vào máy thu tại ±5 % từ tần số trung tâm hoặc 15 MHz nếu giá trị nào lớn hơn | ≥ -33 dBm |
2.4.9.4. Giới hạn tham chiếu cho máy thu loại 1
Mức quá tải đầu vào máy thu đối với độ lệch tần số chỉ định phải lớn hơn hoặc bằng mức giới hạn Bảng 23, ngoại trừ tại tần số có các đáp ứng giả.
Bảng 23 - Giới hạn mức quá tải đầu vào máy thu cho máy thu loại 1
| Yêu cầu | Giới hạn |
| Máy thu loại 1 | |
| Quá tải đầu vào máy thu tại ±2 MHz từ dải tần số fhigh và flow | ≥ -20 dBm |
| Quá tải đầu vào máy thu tại ±10 MHz từ dải tần số fhigh và flow | ≥ -20 dBm |
| Quá tải đầu vào máy thu tại ±5 % từ tần số trung tâm hoặc 15 MHz nếu giá trị nào lớn hơn | ≥ -20 dBm |
Ngoài ra, cần thiết đo theo 2.4.9.5.d tăng mức máy phát tín hiệu A thêm +40 dB từ bước 1 đến bước 4.
2.4.9.5. Phương pháp đo
a) Điều kiện đo kiểm
i) Thực hiện phép đo với tần số trung tâm theo khai báo của nhà sản xuất
ii) Thực hiện đo kiểm theo 2.4.9.5.b nếu thiết bị cần đo kiểm không có đầu nối ăng ten cố định hoặc tạm thời.
iii) Thực hiện đo kiểm theo 2.4.9.5.C nếu thiết bị cần đo kiểm có đầu nối ăng ten cố định hoặc tạm thời.
b) Đo bức xạ
Vị trí đo kiểm thực hiện theo C.2.
Máy phát tín hiệu A và B được nối kết hợp với nhau theo sơ đồ Hình 8 và phải đặt bên ngoài vị trí đo kiểm.
Đầu ra của bộ ghép nối sẽ được kết nối với ăng ten đo kiểm với phân cực ăng ten giống với ăng ten thiết bị cần đo kiểm. Ăng ten đo kiểm phải đặt trong khu vực đo kiểm.
Thiết bị cần được đo kiểm được đặt ở vị trí bàn xoay theo hướng độ nhạy lớn nhất.
Thực hiện phép đo tại 2.4.9.5.d.
c) Đo dẫn
Hai máy phát tín hiệu A và B được nối kết hợp với thiết bị cần đo kiểm theo Hình 8.
Thực hiện phép đo tại 2.4.9.5.d.

Hình 8 - Sắp xếp đo quá tải đầu vào máy thu
d) Trình tự đo
Máy phát tín hiệu A phát tín hiệu đo kiểm được điều chế thích hợp ở tần số hoạt động của máy thu EUT.
Máy phát tín hiệu B phát tín hiệu không điều chế.
Các phép đo được thực hiện ở các tần số của tín hiệu không mong muốn ở những độ lệch tần số được định nghĩa trong yêu cầu kỹ thuật để tránh các đáp ứng giả. Bổ sung các điểm đo được yêu cầu trong yêu cầu kỹ thuật
Nếu máy thu có một vài băng tần số hoạt động thì phải đo quá tải đầu vào máy thu tại mỗi băng ít nhất 1 lần.
Bước 1:
Máy phát tín hiệu B tắt. Phát tín hiệu máy phát tín hiệu A sao cho ở mức thấp nhất thu được đáp ứng mong muốn hoặc phải lớn hơn mức tham chiếu sau:
S = 10logRBkHz - 4 dBµV emf
Hoặc
SP = 10logRBkHz - 117 dBm
Trong đó: SP là độ nhạy tính theo dBm;
RB là băng thông máy thu khai báo tính theo đơn vị kHz.
Băng thông máy thu RB sẽ được khai báo bởi nhà sản xuất. RB là độ chọn lọc băng thông máy thu tại 3 dB.
Ví dụ, độ nhạy thu cho thiết bị có khoảng cách kênh 25 kHz với băng thông 16 kHz không vượt quá +8 dBpV emf cho máy thu có trở kháng đầu vào 50 Ω. Điều này tương ứng với độ nhạy máy thu là -105 dBm.
Sau đó tăng mức đầu ra của máy phát tín hiệu A lên 3 dB trừ khi có yêu cầu kỹ thuật khác.
Bước 2:
Bật máy phát tín hiệu B và phát hoạt động ở tần số hoạt động danh định - độ lệch tần số.
Máy phát tín hiệu B được điều chỉnh biên độ tín hiệu sao cho ở mức thu thấp nhất mà tại đó hiệu năng tối thiểu của thiết bị thu không đạt được. Giữ nguyên thiết lập máy phát tín hiệu B, thay thế máy thu bằng thiết bị đo công suất RF phù hợp. Ghi lại mức công suất hiển thị của thiết bị đo.
Mức quá tải đầu vào máy thu là mức công suất thu được từ máy phát tín hiệu B tại đầu nối ăng ten EUT.
Mức quá tải đầu vào máy thu ngoài ra có thể được đo ở đầu nối ăng ten đối với đo kiểm độ dẫn hoặc được tính cho đo kiểm bức xạ (xem tại C.6.4).
Mức quá tải đầu vào máy thu phải cao hơn hoặc bằng mức công suất quá tải đầu vào máy thu được yêu cầu trong yêu cầu kỹ thuật.
Bước 3:
Phép đo tại bước 1 tới bước 3 được lặp lại với độ lệch tín hiệu ở các tần số yêu cầu.
Bước 4:
Thông tin trong Bảng 24 được ghi lại trong báo cáo đo kiểm đối với mức tín hiệu đo được và độ lệch tín hiệu không mong muốn.
Bảng 24 - Thông tin ghi trong báo cáo đo kiểm
| Giá trị | Ghi chú |
| Tần số hoạt động | Tần số trung tâm danh định của máy thu |
| Máy phát tín hiệu A | Mức công suất của máy phát tín hiệu A |
| Mức quá tải đầu vào máy thu | Mức công suất của máy phát tín hiệu B |
3. QUY ĐỊNH VỀ QUẢN LÝ
3.1. Các thiết bị vô tuyến mạng diện rộng công suất thấp (LPWAN) băng tần 920 MHz đến 923 MHz thuộc phạm vi điều chỉnh quy định tại 1.1 phải tuân thủ các quy định trong Quy chuẩn này.
3.2. Việc đo kiểm/thử nghiệm đối với các yêu cầu kỹ thuật trong Quy chuẩn này (trừ 2.4.9) được thực hiện bởi phòng thử nghiệm trong nước được chỉ định, hoặc phòng thử nghiệm ngoài nước được thừa nhận.
3.3. Yêu cầu kỹ thuật quy định tại 2.4.9 trong Quy chuẩn này, tổ chức, cá nhân được phép sử dụng kết quả đo kiểm/thử nghiệm của phòng thử nghiệm trong nước được chỉ định, hoặc phòng thử nghiệm ngoài nước được thừa nhận, hoặc các phòng thử nghiệm trong nước và ngoài nước được công nhận phù hợp với tiêu chuẩn ISO/IEC 17025, hoặc kết quả đo kiểm/thử nghiệm của nhà sản xuất.
4. TRÁCH NHIỆM CỦA TỔ CHỨC, CÁ NHÂN
Các tổ chức cá nhân liên quan có trách nhiệm thực hiện các quy định về chứng nhận hợp quy và công bố hợp quy các thiết bị vô tuyến mạng diện rộng công suất thấp (LPWAN) băng tần 920 MHz đến 923 MHz và chịu sự kiểm tra của cơ quan quản lý nhà nước theo các quy định hiện hành.
5. TỔ CHỨC THỰC HIỆN
5.1. Cục Viễn thông và các Sở Thông tin và Truyền thông có trách nhiệm tổ chức triển khai hướng dẫn và quản lý các thiết bị vô tuyến mạng diện rộng công suất thấp (LPWAN) băng tần 920 MHz đến 923 MHz theo Quy chuẩn này.
5.2. Trong trường hợp các quy định nêu tại Quy chuẩn này có sự thay đổi, bổ sung hoặc được thay thế thì thực hiện theo quy định tại văn bản mới.
5.3. Trong quá trình triển khai thực hiện Quy chuẩn này, nếu có vấn đề phát sinh, vướng mắc, tổ chức và cá nhân có liên quan phản ánh bằng văn bản về Bộ Thông tin và Truyền thông (Vụ Khoa học và Công nghệ) đề được hướng dẫn, giải quyết./.
Phụ lục A
(Quy định)
Đặc tính kỹ thuật của thiết bị đo kiểm
A.1. Máy phân tích phổ
Công cụ để đo kiểm cần được dùng là máy phân tích phổ. Đặc tính của máy phân tích phổ cần phải theo các yêu cầu sau:
- Độ chính xác tần số đánh dấu phải trong khoảng ±100 Hz;
- Độ chính xác của phép đo suy hao trong khoảng ±3,5 dB;
- Dải động phải lớn hơn 80 dB;
- Hệ số bộ lọc dạng Gaussian RBW ≤12;
Có thể điều chỉnh máy phân tích phổ để cho phép tách trên màn hình của nó hai biên độ bằng nhau các thành phần có tần số chênh lệch 100 Hz.
Đối với các điều chế phân phối thống kê, máy phân tích phổ và thiết bị tích hợp (khi thích hợp) cần phải cho phép xác định mật độ phổ công suất (năng lượng trên thời gian và băng thông), phải được tích hợp qua băng thông cho trước.
Nhiễu pha trung bình trong các kênh lân cận và thay thế phải là phép đo của các kênh liền kề và thay thế công suất kênh lân cận không bị giới hạn bởi nhiễu pha.
Các chức năng cần phải có trong một quy trình đo kiểm:
- OBW;
- ACP;
- Trung bình công suất tuyến tính;
Ghi chú: Trung bình tuyến tính là phương pháp đo trung bình trên máy phân tích phổ, trong đó, giá trị công suất đo kiểm là giá trị trung bình trong miền công suất tuyến tính.
Phương pháp trung bình thay thế cho công suất trung bình tuyến tính theo công thức:
Pkết quả = Pđo kiểm + 2,5 dB
Trong đó, Pkết quả là kết quả của Pđo kiểm lấy từ giá trị đo trên phân tích phổ.
A.2. Máy tạo tín hiệu và nguồn tín hiệu
Cần lưu ý rằng hiệu suất của các bộ tạo tín hiệu và nguồn tín hiệu là đủ cho các thử nghiệm được thực hiện. Điều này đặc biệt quan trọng đối với nhiễu pha.
Phụ lục B
(Quy định)
Hộp ghép đo
B.1. Khái niệm hộp ghép đo
Thiết bị dự kiến đo có dùng ăng ten nhỏ phù hợp tích hợp bên trong, không có đầu kết nối 50 Ω, phù hợp với hộp ghép đo tại Hình B.1.
Phép đo kiểm cố định chính là phép đo trên thiết bị có ăng ten thích hợp, đo kiểm trên tín hiệu bức xạ tạo ra khi phép hộp ghép đo thực hiện. Để đo tín hiệu không mong muốn trong vùng phát xạ giả, băng thông phép đo kiểm cố định sẽ trên 5 lần tần số hoạt động. Nếu không được, phép đo bức xạ theo 2.4.2 và Phụ lục C.
Thiết bị cố định là thiết bị vô tuyến có ghép ăng ten thích hợp 50 Ω cho các tần số cần đo.
Phép đo cố định sẽ đầy đủ thông tin được khai báo.
Phép đo cố định cần cung cấp:
a) Kết nối tới nguồn cung cấp công suất đầy đủ;
b) Phương pháp để cung cấp đầu vào hoặc đầu ra cho thiết bị. Điều đó bao gồm cả ăng ten thích hợp. Trong trường hợp thiết bị hoạt động nhanh, giao diện âm thanh cần cung cấp đường kết nối thẳng hoặc qua bộ ghép âm, hộp ghép đo sẽ cung cấp phù hợp bộ ghép như cho dữ liệu hoặc đầu ra hình ảnh.
Thông thường, hộp ghép đo được cung cấp bởi nhà sản xuất.
Các đặc tính phép đo kiểm trong phòng thí nghiệm và sẽ theo một số thông số sau:
a) Suy hao ghép nối không lớn hơn 30 dB.
b) Băng thông phù hợp.
c) Giá trị suy hao ghép vượt quá dải tần số đo được không quá 2 dB.
d) Mạch điện với bộ ghép nối RF sẽ không hoạt động hoặc thiết bị phi tuyến
e) Giá trị VSWR tại 50 Ω sẽ lớn hơn 1,5 dải tần cần đo.
f) Suy hao ghép nối phải không phụ thuộc vào vị trí của hộp ghép đo và không bị ảnh hưởng bởi người hoặc các vật thể ở gần xung quanh. Suy hao ghép nối phải có thể tái tạo được khi thiết bị cần đo dịch chuyển hoặc bị thay thế.
g) Suy hao ghép nối phải không thay đổi khi điều kiện môi trường thay đổi.
h) Các thông số được liệt kê ở trên phải thỏa mãn dưới điều kiện nhiệt độ khắc nghiệt.
Suy hao của phép đo cố định ghép nối giữa tín hiệu thu tại điểm đo lớn hơn ít nhất 10 dB so với nhiễu nền. Nếu suy hao lớn quá thì có thễ được bù bởi bộ khuếch đại tuyến tính bên ngoài hộp ghép đo.

Hình B.1 - Hộp ghép đo
B.2. Chế độ sử dụng
Chế độ hộp ghép đo hay dùng cho đo kiểm máy thu và phát trong trường hợp có ăng ten bên trong thiết bị.
Thông thường đo các bức xạ của công suất sóng mang và độ nhạy trong điều kiện cường độ trường thay đổi. Các phép đo trong các điều kiện khắc nghiệt được đo trước khi hiệu chuẩn trong Phụ lục C.
Phụ lục C
(Quy định)
Vị trí đo kiểm và sắp xếp cho phép đo bức xạ
C.1. Giới thiệu
Ba vị trí thử nghiệm phổ biến nhất và một vật thử nghiệm cố định, sẽ được sử dụng trong các phép đo bức xạ theo Quy chuẩn này:
- Khu vực đo kiểm mở (OATS);
- Phòng bán phản xạ (SAR);
- Phòng không phản xạ (FAR).
Ba khu vực nêu trên là các phép đo qua không gian. Phép đo tuyệt đối và tương đối đều được thực hiện trong khu vực trên. Các phép đo này được mô tả tại C.2. C.3 mô tả các ăng ten được sử dụng trong những bài đo này. Hộp ghép đo chỉ được dử dụng cho các phép đo giá trị tương đối và được mô tả ở C.3.
Trường hợp các phép đo tuyệt đối được thực hiện, địa điểm kiểm tra cần được xác minh. Thủ tục xác minh được mô tả trong khoản 6 của ETSI TR 102 273-4 cho OATS, trong khoản 6 của ETSI TR 102 273-3 cho SAR,và trong khoản 6 của ETSI TR 102 273-2 cho FAR. Thông tin tính độ không đảm bảo đo của phép đo trên một trong những vị trí thử nghiệm này có thể được tìm thấy trong ETSI TR 100 028-1, ETSI TR 100 028-2, ETSI TR 102 273-2, ETSI TR 102 273-3 và ETSITR 102 273-4.
C.2. Vị trí đo kiểm bức xạ
C.2.1. OATS
Địa điểm kiểm tra khu vực mở bao gồm một bàn xoay ở một đầu và cột ăng ten có chiều cao thay đổi ở đầu kia ở trên một mặt phẳng mặt đất, trong trường hợp lý tưởng, được thực hiện hoàn hảo và ở mức độ vô hạn. Trong thực tế, trong khi độ dẫn tốt có thể đạt được, kích thước mặt phẳng phải được giới hạn. Khu vực đo kiểm mở rộng (OATS) được minh họa trong Hình C.1.

Hình C.1 - Khu vực đo kiểm mở OATS
Mặt phẳng mặt đất tạo ra một đường phản xạ mong muốn, sao cho tín hiệu mà ăng ten thu nhận được là tổng của các tín hiệu nhận được từ các đường truyền trực tiếp và phản xạ. Các pha của hai tín hiệu này tạo ra mức nhận cho mỗi chiều cao của ăng ten phát (hoặc EUT) và ăng ten thu phía trên mặt phẳng mặt đất. Cột ăng ten cung cấp một cơ sở chiều cao thay đổi (từ 1 m đến 4 m) để vị trí của ăng ten đo có thể được tối ưu hóa cho tín hiệu ghép tối đa giữa các ăng ten hoặc giữa EUT và ăng ten đo. Một bàn xoay có khả năng quay xuyên 360° trong mặt phẳng ngang và nó được sử dụng để hỗ trợ mẫu thử (EUT) tại chiều cao quy định, thường là 1,5 m so với mặt phẳng mặt đất. Khoảng cách đo và kích thước phòng tối thiều có thể được tìm thấy trong C.3.4. Khoảng cách sử dụng trong thực tế các phép đo phải được ghi lại với kết quả thử nghiệm. Thông tin thêm về OATS có thể được tìm thấy trong ETSI TR 102 273-4.
C.2.2. SAR
Phòng bán phản xạ (SAR) hay là phòng không phản xạ với mặt phẳng dẫn điện là một vỏ bọc, thường được che chắn, có tường và trần bên trong được phủ bằng vật liệu hấp thụ vô tuyến. Sàn là kim loại, không được phủ bởi vật liệu hấp thụ và tạo thành mặt phẳng mặt đất. Phòng thường chứa cột ăng ten ở một đầu và một bàn xoay ở đầu kia. Một phòng không phản xạ điển hình với mặt phẳng dẫn điện được minh họa trong Hình C.2. Loại buồng thử này mô phỏng phép đo lý tưởng qua không gian, trong đó đặc tính của nó tương đương với miền dẫn sóng vô hạn.

Hình C.2 - Phòng bán phản xạ (SAR)
Trong mô hình này, mặt phẳng mặt đất tạo ra một đường phản xạ mong muốn, sao cho tín hiệu thu được từ ăng ten thu là tổng các tín hiệu nhận được từ các đường truyền trực tiếp và phản xạ. Các pha của hai tín hiệu này tạo một mức nhận duy nhất cho mỗi chiều cao của ăng ten phát (hoặc EUT) và ăng ten thu phía trên mặt đất. Cột ăng ten cung cấp một cơ sở chiều cao thay đổi (từ 1 m đến 4 m) để vị trí của ăng ten đo có thể được tối ưu hóa cho tín hiệu ghép tối đa giữa các ăng ten hoặc giữa EUT và ăng ten đo. Một bàn xoay có khả năng quay 360° trong mặt phẳng ngang và nó được sử dụng để hỗ trợ mẫu thử (EUT) tại chiều cao quy định, thường là 1,5 m so với mặt đắt. Khoảng cách đo và kích thước phòng tối thiểu có thể được tìm thấy trong C.3.4. Khoảng cách sử dụng trong thực tế các phép đo phải được ghi lại với kết quả thử nghiệm. Thông tin thêm về Phòng bán phản xạ có thể được tìm thấy trong ETSI TR 102 273-3.
C.2.3. FAR
Phòng không phản xạ hoàn toàn là một phòng kín, thường được che chắn, có tường, sàn và trần bên trong được phủ bằng vật liệu hấp thụ sóng vô tuyến. Phòng thường chứa một giá đỡ ăng ten ở một đầu và một bàn xoay ở đầu kia. Một phòng không phản xạ hoàn toàn điển hình được minh họa trong Hình C.3.

Hình C.3 - Phòng không phản xạ (FAR)
Vật liệu che chắn phòng và hấp thụ vô tuyến phối hợp với nhau để cung cấp một môi trường được kiểm soát cho mục đích thử nghiệm. Loại phòng thử này cố gắng mô phỏng các điều kiện không gian trống. Việc che chắn cung cấp một không gian thử nghiệm, với mức độ nhiễu giảm từ các tín hiệu xung quanh và các hiệu ứng bên ngoài khác, trong khi vật liệu hấp thụ vô tuyến giảm thiểu các phản xạ không mong muốn từ các bức tường và trần nhà có thể ảnh hưởng đến đo. Việc che chắn phải đủ để loại bỏ nhiễu từ môi trường bên ngoài che dấu mọi tín hiệu phải đo. Một bàn xoay có khả năng quay 360° trong mặt phẳng ngang và nó được sử dụng để hỗ trợ EUT ở gần như có thể đến độ cao 1,5 m so với mặt đất. Thiết bị dự định đeo trên người có thể được thử nghiệm bằng cách sử dụng một người mô phỏng làm hỗ trợ. Mô phỏng người bao gồm một ống acrylic có thể xoay được chứa đầy nước muối, đặt trên mặt đất.
Các kích thước bao gồm:
- Độ cao: 1,7 ± 0,1 m;
- Thông số bên trong: 300 ± 5 mm;
- Độ dày tường 5 ± 0,5 mm.
Bình chứa phải được đổ đầy dung dịch muối (NaCI) 1,5 g mỗi lít nước cất. Thiết bị phải được cố định vào bề mặt của người mô phỏng, ở độ cao thích hợp cho thiết bị.
CHÚ THÍCH: Để giảm trọng lượng của người mô phỏng, có thể sử dụng một ống thay thế có một ống tâm rỗng đường kính tối đa 220 mm. Khoảng cách đo và kích thước buồng tối thiểu có thể được tìm thấy trong C.3.4. Khoảng cách sử dụng trong thực tế các phép đo phải được ghi lại với kết quả thử nghiêm. Thông tin thêm về Phòng không phản xạ hoàn toàn có thể được tìm thấy trong ETSI TR 102 273-2.
C.2.4. Khoảng cách đo
Khoảng cách đo nên chọn để đo EUT tại điều kiện trường xa. Khoảng cách nhỏ nhất giữa thiết bị và ăng ten đo nên là λ hoặc rm ˃˃
trong đó:
- λ là bước sóng tính theo m;
- rm là khoảng cách nhỏ nhất giữa EUT và ăng ten đo tính theo m;
- D là kích thước lớn nhất của khẩu độ vật lý của ăng ten lớn nhất trong thiết lập đo, tính theo m.
là khoảng cách giữa tia bức xạ gần trong vùng Fresnel và tia bức xạ trong vùng Fraunhofer tính theo m, được biết là khoảng cách Rayleigh.
Khoảng cách khuyến nghị để đo là 3 m hoặc 10 m, trong đó điều kiện không được đáp ứng và khoảng cách sẽ là kết quả của phép đo trường gần, nên ghi lại kết quả trong bài báo cáo đo kiểm và độ không đảm bảo đo cần ghi lại trong kết quả.
C.3. Các loại ăng ten
C.3.1. Yêu cầu chung
Tất các ăng ten đều cần có cho phép đo bức xạ tại ba vị trí được nêu ra tại C.2. Phụ thuộc vào mục đích đo các ăng ten sẽ được thiết kế như ăng ten đo hoặc ăng ten thay thế.
C.3.2. Ăng ten đo
Trong đo kiểm phát xạ, ăng ten đo sử dụng phát hiện trường điện của EUT trong một giai đoạn đo hoặc từ ăng ten thay thế trong giai đoạn khác. Khi vị trí đo kiểm được sử dụng để đo đặc tính của máy thu, ăng ten được sử dụng làm thiết bị phát.
Ăng ten đo sẽ lắp trên giá đỡ cho phép ăng ten được sử dụng trong phân cực ngang hoặc đứng. Ngoài ra, trên OATS hoặc SAR, chiều cao của trung tâm ăng ten trên mặt đất phải thay đổi trong phạm vi chỉ định (thường là 1 m đến 4 m).
Trong tần số từ 30 MHz đến 1 000 MHz, sử dụng ăng ten lưỡng cực nhị phân hoặc ăng ten lô-ga-rít chu kỳ (LPDA). Trên 1 GHz, nên sử dụng ăng ten loa (horn antenna) hoặc ăng ten lưỡng cực lô-ga-rít.
Tuy nhiên, đối với thử nghiệm phát xạ giả, có thể sử dụng kết hợp ăng ten nhị phân và ăng ten mảng lưỡng cực định kỳ để bao phủ toàn bộ dải tần 30 MHz đến 1 000 MHz.
Ăng ten đo không yêu cầu hiệu chuẩn tuyệt đối.
C.3.3. Ăng ten thay thế
Ăng ten thay thế phải được sử dụng để thay thế thiết bị được thử trong các phép đo thay thế.
Phù hợp với dải tần số và mức phản xạ ngược lại của ăng ten sẽ cần tính đến khi tính toán độ không bảo đảm phép đo.
Tâm pha của ăng ten phải trùng với điểm tham chiếu của mẫu thử mà đã được thay thế. Do đó, ăng ten có tâm pha thay đổi theo hàm của tần số (LPDA) không phù hợp làm ăng ten thay thế.
Điểm tham chiếu của ăng ten thay thế phải trùng với tâm của EUT khi ăng ten của nó ở bên trong hoặc điểm mà được ăng ten ngoài được kết nối với EUT.
Khoảng cách giữa cực dưới của ăng ten và mặt đất tối thiểu là 30 cm.
Ăng ten thay thế phải được hiệu chuẩn. Đối với dưới 1 GHz, hiệu chuẩn tương đối với một lưỡng cực nửa bước sóng, trong khi trên 1 GHz, bộ phát xạ đẳng hướng là tham chiếu.
CHÚ THÍCH: Không thể sử dụng số liệu hiệu chuẩn dành cho sử dụng phía trên bề mặt phản chiếu trong buồng không phản xạ hoặc ngược lại.
C.4. Hướng dẫn đặt điểm đo kiểm bức xạ
C.4.1. Yêu cầu chung
Quy trình cụ thể, thông thường thiết bị đo kiểm và thích hợp sẽ cần phải thực hiện trước khi đo kiểm bức xạ phát ra. Các sơ đồ này là phổ biến cho tất các các vị trí thử nghiệm được mô tả trong C.2.
Khi cần thiết, cần khung lắp có kích thước tối thiểu để gắn EUT trên bàn xoay. Khung làm bằng độ dẫn thấp, độ thấm tương đối thấp, vật liệu như polystyren, ..
C.4.2. Công suất cung cấp cho thiết bị EUT sử dụng pin
Tất cả các đo kiểm sử dụng nguồn cung cấp gồm đo kiểm trên EUT được thiết kế để sử dụng pin. Đối với thiết bị chạy bằng pin, dây dẫn nguồn phải được kết nối với các đầu nối nguồn của EUT (và được theo dõi bằng vôn kế kỹ thuật số) nhưng pin vẫn tồn tại, cách ly với phần còn lại của thiết bị, có thể bằng cách dán băng dính các tiếp điểm của nó.
Dây cáp có thể ảnh hưởng đến hiệu suất đo của EUT. Vì thế, sẽ cần phải có cách thức để không bị ảnh hưởng. Điều này có thể đạt được bằng cách định tuyến ra khỏi EUT cũng như đi dây dưới mặt đất hoặc trên tường bằng đường dẫn ngắn nhất có thể. Các biện pháp phòng ngừa nên được thực hiện để giảm thiểu ảnh hưởng từ các dây dẫn này.
C.4.3. Chuẩn bị vị trí
Các dây cáp đến ăng ten đo và thay thế được sắp xếp theo phân cực ngang cách khu vực đo kiểm tối thiểu 2 m (trừ khi, trong trường hợp cả hai loại buồng không phản xạ, đều đặt sát tường) và cho phép đo phân cực đứng và xuyên qua mặt đất hoặc màn bàn (nếu thích hợp) cho thiết bị thử nghiệm. Các biện pháp phòng ngừa cần thực hiện với mục đích giảm thiểu ảnh hưởng của dây dẫn. Các dây cáp, đi dây và bọc dây phải bảo đảm tiêu chuẩn thực hiện đo kiểm.
Dữ liệu hiệu chuẩn cho các hạng mục của thiết bị đo kiểm phải có sẵn và hợp lệ. Đối với ăng ten thử nghiệm, ăng ten thay thế, dữ liệu phải gồm hệ số tăng ích so với bộ phát xạ đẳng hướng (hoặc hệ số ăng ten) cho tần số thử nghiệm. Ngoài ra, phải xác định hệ số VSWR của ăng ten thay thế và ăng ten đo.
Dữ liệu hiệu chuẩn trên tất cả các dây cáp và bộ suy hao phải bao gồm hệ số suy hao và hệ số VSWR trong toàn bộ dải tần của các bài thử nghiệm. Tất cả các số liệu suy hao và VSWR sẽ ghi lại trong hồ sơ đo kiểm.
Khi các hệ số sửa lỗi/bảng hiệu chỉnh được yêu cầu, cần phải có sẵn ngay lập tức.
Đối với tất cả các hạng mục của thiết bị thử nghiệm, các sai số tối đa phải được xác định cùng với việc sai số lỗi. Ví dụ:
- Suy hao do cáp: +0,5 dB với phân bố hình chữ nhật;
- Máy thu đo: độ chính xác mức tín hiệu 1,0 dB (Độ lệch chuẩn) với phân bố lỗi Gaussian.
Khi tiến hành đo, cần thực hiện kiểm tra hệ thống trên các hạng mục của thiết bị thử nghiệm.
C.5. Ghép tín hiệu
C.5.1. Yêu cầu chung
Trường hợp bức xạ có thể gây nhiễu loạn trường điện từ và dẫn đến độ không đảm bảo đo. Nhiễu này có thể được giảm thiểu bằng cách sử dụng các phương pháp ghép phù hợp, bộ tách tín hiệu và giảm nhiễu.
C.5.2. Các tín hiệu dữ liệu
Độ cách ly có thể đạt được sử dụng phương pháp quang học, siêu âm hoặc hồng ngoại. Để giảm nhiễu loạn trường, có thể sử dụng kết nối cáp quang phù hợp. Kết nối bức xạ siêu âm hoặc hồng ngoại đòi hỏi các biện pháp phù hợp để giảm thiểu nhiễu xung quanh.
C.6. Quy trình đo bức xạ
C.6.1. Yêu cầu chung
Phụ lục này đưa các quy trình chung cho các phép đo bức xạ tại các vị trí đo kiểm và sắp xếp theo hướng dẫn tại Phụ lục C. Tốt nhất các phép đo bức xạ phải được thực hiện trong FAR, tại C.7.3. Các phép đo bức xạ trong OATS hoặc SAR được mô tả trong C.7.2.
C.6.2. Đo bức xạ trên OATS hoặc SAR
Phép đo bức xạ sẽ thực hiện hỗ trợ thêm bởi ăng ten đo và ăng ten được khuyến nghị tại phần C.2 và vị trí đo kiểm tại phần C.1. Thiết bị EUT và ăng ten đo được thiết lập sao cho đạt được mức công suất phát tối đa. Vị trí này sẽ được ghi lại trong báo cáo đo kiểm:
a) Ăng ten đo thiết lập phân cực đứng trừ khi có quy định khác và EUT được đặt tại vị trí chuẩn và được bật lên.
b) Thiết bị đo được kết nối với ăng ten đo và thiết lập theo các thông số kỹ thuật của thử nghiệm.

Hình C.4 - Bố trí đo - Cách 1
1. EUT
2. Ăng ten đo
3. Thiết bị đo
c) EUT được xoay 360° trong mặt phẳng nằm ngang cho đến khi nhận được tín hiệu lớn nhất từ máy đo.
d) Ăng ten đo phải được nâng hoặc hạ xuống một lần nữa trong phạm vi chiều cao quy định cho đến khi đạt được mức tối đa. Mức này sẽ được ghi lại.
e) Phép đo được thiết lập lại với ăng ten phân cực ngang.
CHÚ THÍCH: Mức tối đa có giá trị thấp hơn giá trị có thể đạt được ở độ cao ngoài giới hạn đã khuyến cáo.
C.6.3. Đo bức xạ trên FAR
Đối với phép đo bức xạ sử dụng FAR, quy trình giống quy trình được mô tả trong C.7.2.
C.6.4. Máy đo thay thế
Để xác định giá trị đo tuyệt đối, phép đo thay thế sẽ được thực hiện. Các bước thực hiện sau:
a) Thay thế EUT bằng ăng ten thay thế được mô tả như thiết bị 1 (EUT) trong Hình C.4. Các ăng ten sử dụng là ăng ten phân cực đứng.
b) Kết nối với bộ tạo tín hiệu chuẩn với ăng ten thay thế và điều chỉnh theo tần số đo.
c) Nếu OATS hoặc SAR được sử dụng, ăng ten đo sẽ được tăng hoặc giảm để đảm bảo thu được tín hiệu mức cao nhất.
d) Sau đó, công suất của bộ tạo tín hiệu sẽ điều chỉnh mức bằng với thu tại thiết bị đo như EUT.
e) Công suất bức xạ bằng công suất cung cấp bởi bộ tạo tín hiệu, tăng độ tăng ích ăng ten để bù phần suy hao cáp (giá trị tính bằng dB).
f) Phép đo được lặp lại với ăng ten phân cực ngang.
CHÚ THÍCH: Đối với vị trí đo cần thiết lập cố định ăng ten và lặp lại vị trí với các EUT, các giá trị hiệu chỉnh từ hiệu chuẩn vị trí có thể thay đổi.
C.6.5. Phép đo bức xạ cho các máy thu
Các phép đo bức xạ phải thực hiện trong FAR. Phép đo trên thiết bị thu về cơ bản là sự đảo ngược các phép đo trên thiết bị phát, với một bộ tạo tín hiệu được kết nối với ăng ten đo. Việc hiệu chuẩn dựa trên nguyên tắc thay thế EUT bằng ăng ten thay thế và thiết bị đo phù hợp. Đối với C.3.3 dùng ăng ten thay thế.
CHÚ THÍCH: Việc này không yêu cầu một lưỡng cực nửa bước sóng, chỉ cần một ăng ten với độ tăng ích theo nửa bước sóng.
Có hai phương pháp:
a) Kết nối ăng ten thay thế với máy thu đo hiệu chuẩn và đọc kết quả đo trực tiếp.
b) Đo suy hao đường truyền từ ăng ten đo đến ăng ten thay thế và trừ phần này với mức thu tín hiệu máy tạo tín hiệu để đạt được kết quả đo.
Đối với phương pháp a) mức nhận được trong số phép đo có thể quá thấp, do đó có thể cần tăng tín hiệu của bộ tạo tín hiệu phù hợp và áp dụng mức bù tương đương để cho kết quả đo.
Đối với phương pháp b) là một phép đo hiệu chuẩn có thể sử dụng cho nhiều thử nghiệm.
C.7. Hướng dẫn của yêu cầu kỹ thuật cho đo kiểm
C.7.1. Yêu cầu chung
Phần này cung cấp các hướng dẫn về các yêu cầu kỹ thuật đo kiểm khác nhau để phù hợp với các phép đo bức xạ.
C.7.2. Vị trí đo kiểm cho tín hiệu vô tuyến phù hợp và đáp ứng
Bảng C.1 đưa ra vị trí đo kiểm cho mỗi phép đo vô tuyến khi thực hiện các phép đo bức xạ trên thiết bị có ăng ten tích hợp.
Bảng C.1 - Tham chiếu các phép đo kiểm vô tuyến và phương pháp đo
| Đo kiểm vô tuyến phù hợp (Điều khoản) | Vị trí đo kiểm tương ứng (Phụ lục) |
| 2.4.3 | C.2.1, C.2.2, C.2.3 |
| 2.4.5 | C.2.1, C.2.2, C.2.3 |
| 2.4.6 | C.2.1, C.1.2, C.2.3 |
| 2.4.2 | C.2.1, C.2.2, C.2.3 |
| 2.6.1 | C.2.1, C.2.2, C.2.3 |
Phụ lục D
(Quy định)
Mã số HS thiết bị vô tuyến mạng diện rộng công suất thấp (LPWAN) băng tần 920 MHz đến 923 MHz
| TT | Tên sản phẩm, hàng hóa theo QCVN | Mã số HS | Mô tả sản phẩm, hàng hóa |
| 01 | Thiết bị vô tuyến mạng diện rộng công suất thấp (LPWAN) băng tần 920 MHz đến 923 MHz. | 8517.62.21 8517.62.59 8517.62.69 8517.62.99 8517.69.00 | Thiết bị trạm gốc, thiết bị truy cập vô tuyến, hoặc thiết bị đầu cuối có chức năng cảm biến, đo lường, ghi nhận và truyền tải các thông số cần đo qua giao diện vô tuyến. |
| 9015.10.90 9026.80.20 | Các cảm biến có chức năng đo lường các thông số môi trường, ghi nhận và truyền tải các thông số cần đo qua giao diện vô tuyến. |
Thư mục tài liệu tham khảo
[1] ETSI EN 300 220-1 V3.1.1 (02-2017): "Short Range Devices (SRD) operating in the frequency range 25 MHz to 1 000 MHz; Part 1: Technical characteristics and methods of measurement".
[2] ETSI EN 300 220-2 V3.2.1 (2018-06) “Short Range Devices (SRD) operating in the frequency range 25 MHz to 1 000 MHz; Part 2: Harmonised standard for access to radio spectrum for non specific radio equipment”.
[3] ITU-R Report SM.2423-0 (2018-06) “Technical and operational aspects of low power wide area networks for machine-type communication and the Internet of Things in frequency ranges harmonised for SRD operation”.
[4] ITU-R Recommendation SM.329-12 (09/2012) “Unwanted emissions in the spurious domain".
[5] Regulation number 3/2019 LPWAN (Indonesia).
[6] Class assignment No. 1-2017 (Malaysia).
[7] IMDA TS SRD Issue 1 Revision 1, 4/2018 (Singapore).
Bạn chưa Đăng nhập thành viên.
Đây là tiện ích dành cho tài khoản thành viên. Vui lòng Đăng nhập để xem chi tiết. Nếu chưa có tài khoản, vui lòng Đăng ký tại đây!