- Tổng quan
- Nội dung
- Tiêu chuẩn liên quan
- Lược đồ
- Tải về
Tiêu chuẩn Quốc gia TCVN 6827:2001 ISO 9408:1999 Chất lượng nước - Đánh giá sự phân hủy sinh học hiếu khí hoàn toàn các hợp chất hữu cơ trong môi trường nước bằng cách xác định nhu cầu oxi trong máy đo hô hấp kín
| Số hiệu: | TCVN 6827:2001 | Loại văn bản: | Tiêu chuẩn Việt Nam |
| Cơ quan ban hành: | Bộ Khoa học, Công nghệ và Môi trường | Lĩnh vực: | Tài nguyên-Môi trường |
|
Ngày ban hành:
Ngày ban hành là ngày, tháng, năm văn bản được thông qua hoặc ký ban hành.
|
2001 |
Hiệu lực:
|
Đã biết
|
| Người ký: | Đang cập nhật |
Tình trạng hiệu lực:
Cho biết trạng thái hiệu lực của văn bản đang tra cứu: Chưa áp dụng, Còn hiệu lực, Hết hiệu lực, Hết hiệu lực 1 phần; Đã sửa đổi, Đính chính hay Không còn phù hợp,...
|
Đã biết
|
TÓM TẮT TIÊU CHUẨN VIỆT NAM TCVN 6827:2001
Nội dung tóm tắt đang được cập nhật, Quý khách vui lòng quay lại sau!
Tải tiêu chuẩn Việt Nam TCVN 6827:2001
TIÊU CHUẨN VIỆT NAM
TCVN 6827 : 2001
ISO 9408 : 1999
CHẤT LƯỢNG NƯỚC - ĐÁNH GIÁ SỰ PHÂN HUỶ SINH HỌC HIẾU KHÍ HOÀN TOÀN CÁC HỢP CHẤT HỮU CƠ TRONG MÔI TRƯỜNG NƯỚC BẰNG CÁCH XÁC ĐỊNH NHU CẦU OXI TRONG MÁY ĐO HÔ HẤP KÍN
Water quality - Evaluation of ultimate aerobic biodegradability of organic compounds in aqueous medium by determination of oxygen demand in áp suất closed respirometer
Lời nói đầu
TCVN 6827 : 2001 hoàn toàn tương đương với ISO 9408 : 1999;
TCVN 6827 : 2001 do Ban kỹ thuật tiêu chuẩn TCVN/TC/F13
Các phương pháp phân tích và lấy mẫu biên soạn, Tổng cục Tiêu chuẩn Đo lường Chất lượng đề nghị, Bộ Khoa học, Công nghệ và Môi trường ban hành.
CHẤT LƯỢNG NƯỚC - ĐÁNH GIÁ SỰ PHÂN HỦY SINH HỌC HIẾU KHÍ HOÀN TOÀN CÁC HỢP CHẤT HỮU CƠ TRONG MÔI TRƯỜNG NƯỚC BẰNG CÁCH XÁC ĐỊNH NHU CẦU OXI TRONG MÁY ĐO HÔ HẤP KÍN
Water quality - Evaluation of ultimate aerobic biodegradability of organic compounds in aqueous medium by determination of oxygen demand in a closed respirometer
Cảnh báo - Bùn hoạt hoá và nước thải có thể chứa sinh vật gây bệnh tiềm tàng. Do đó cần hết sức chú ý khi làm việc với chúng. Cần chú ý cẩn thận khi làm việc với những chất thử có độc tính và hoá chất mà chưa biết rõ bản chất của chúng.
1 Phạm vi áp dụng
Tiêu chuẩn này qui định phương pháp xác định nhu cầu oxi trong máy đo hô hấp kín để đánh giá sự phân huỷ sinh học hoàn toàn các hợp chất hữu cơ và nước thải trong môi trường nước bởi vi sinh vật hiếu khí ở nồng độ đã cho.
Phương pháp này áp dụng cho các hợp chất hữu cơ mà :
a) tan trong nước dưới các điều kiện thử;
b) ít tan trong nước dưới các điều kiện thử, trong trường hợp này có thể cần áp dụng các biện pháp đặc biệt để tăng độ tan các hợp chất hữu cơ (thí dụ, xem ISO 10634);
c) không ảnh hưởng và không phản ứng với chất hấp thụ CO2;
d) có thể bay hơi, khi sử dụng máy đo hô hấp thích hợp hoặc các điều kiện thích hợp (thí dụ, một tỷ lệ nhỏ của thể tích khoảng trống so với thể tích môi trường lỏng);
e) không gây ức chế các vi sinh vật thử ở nồng độ thử đã chọn. ảnh hưởng ức chế của hợp chất hữu cơ lên vi khuẩn có thể được xác định theo qui định trong 7.3, hoặc sử dụng bất kỳ một phương pháp nào khác [thí dụ, xem TCVN 6226 : 1996 (ISO 8192 :1986)].
Chú thích -Những điều kiện nêu trong tiêu chuẩn này không phải luôn luôn là điều kiện tối -u cho mức phân huỷ sinh học tối đa. Các phương pháp phân huỷ sinh học khác, xem ISO 15462.
2 Thuật ngữ và định nghĩa
Trong tiêu chuẩn này, các thuật ngữ và định nghĩa sau đây được sử dụng:
2.1 Sự phân huỷ sinh học hiếu khí hoàn toàn :
Hợp chất hoá học hoặc chất hữu cơ bị phân huỷ bởi các vi sinh vật trong sự có mặt của oxi tạo thành cacbon dioxit, nước và muối khoáng của bất kỳ nguyên tố nào có mặt (khoáng hóa) và sinh khối mới.
2.2 Sự phân huỷ sinh học ban đầu
Sự thay đổi cấu trúc của hợp chất hoá học bởi vi sinh vật, dẫn đến sự mất một tính chất đặc trưng.
2.3 Bùn hoạt hoá
Sinh khối tạo thành trong khi xử lý hiếu khí nước thải do các vi khuẩn và các vi sinh vật khác phát triển khi có mặt của oxi hoà tan.
2.4 Hàm lượng chất rắn lơ lửng của bùn hoạt hoá
Lượng chất rắn thu được bằng cách lọc hoặc ly tâm một thể tích biết trước của bùn hoạt hoá và sấy ở 105oC đến khối lượng không đổi.
2.5 Nhu cầu oxy sinh hoá (BOD)
Nồng độ khối lượng oxy hoà tan bị tiêu tốn dưới những điều kiện nhất định bởi sự oxy hoá sinh học hiếu khí một hợp chất hoá học hoặc chất hữu cơ trong nước.
Chú thích -Nhu cầu oxy sinh hoá được biểu thị bằng miligam oxy tiêu tốn ứng với một miligam (hoặc gam) hợp chất thử.
2.6 Nhu cầu oxy hoá học (COD)
Nồng độ khối lượng oxy tương đương với lượng chất oxy hoá tiêu tốn bởi hợp chất hoá học hoặc chất hữu cơ khi mẫu nước được xử lý với chất oxy hoá đó trong điều kiện nhất định.
Chú thích -Nhu cầu oxy hoá học được biểu thị bằng miligam oxy tiêu tốn ứng với một miligam (hoặc gam) hợp chất thử.
2.7 Nhu cầu oxy lý thuyết (ThOD)
Lượng oxy lý thuyết tối đa cần để oxy hoá hoàn toàn một hợp chất hoá học tính theo công thức phân tử.
Chú thích - Nhu cầu oxy lý thuyết được biểu thị bằng miligam oxy tiêu tốn ứng với một miligam (hoặc gam) hợp chất thử.
2.8 Cácbon hữu cơ hoà tan (DOC)
Phần cacbon hữu cơ trong nước không thể loại bỏ bằng cách tách pha đã qui định.
Chú thích – Các thí dụ của việc tách pha qui định là cho ly tâm 15 min ở 40 000 m/ s2 hoặc bằng cách lọc qua màng có đường kính lỗ từ 0,2 m đến 0,45 m.
2.9 Pha trễ
Thời gian tính từ khi bắt đầu thử đến khi vi sinh vật phân huỷ thích nghi và/hoặc việc chọn lọc phân huỷ vi sinh đạt được và độ phân huỷ sinh học của hợp chất hoá học hay chất hữu cơ đã tăng khoảng 10% của mức phân huỷ tối đa.
Chú thích – Pha trễ tính bằng ngày.
2.10 Mức phân hủy sinh học tối đa
Mức phân huỷ sinh học tối đa một hợp chất hoá học hoặc chất hữu cơ trong một phép thử là mức mà cao hơn mức đó không có sự phân huỷ sinh học nào xảy ra tiếp trong khi thử.
Chú thích – Mức phân hủy sinh học tối đa được tính bằng phần trăm.
2.11 Pha phân huỷ sinh học
Thời gian tính từ khi kết thúc pha trễ của phép thử đến khi đạt được khoảng 90 % mức độ phân huỷ sinh học tối đa.
Chú thích – Pha phân huỷ sinh học được tính bằng ngày.
2.12 Pha tới hạn
Thời gian tính từ khi kết thúc pha phân huỷ sinh học cho đến khi kết thúc phép thử.
Chú thích – Pha phân huỷ được tính bằng ngày.
2.13 Phơi nhiễm trước
ủ trước chất cấy vi sinh vật cùng với hợp chất thử hoá học hoặc hợp chất thử hữu cơ, để tăng khả năng phân huỷ sinh học chất thử của chất cấy này, bằng cách làm thích nghi và/hoặc chọn lọc các vi sinh vật.
2.14 Thích nghi trước
ủ trước chất cấy vi sinh vật trong các điều kiện thử nhưng không có hợp chất thử hoá học hoặc chất hữu cơ để cải thiện tính năng của phép thử, bằng cách cho vi sinh vật thích nghi với điều kiện thử.
3 Nguyên tắc
Xác định sự phân huỷ sinh học của các hợp chất hữu cơ bởi các vi sinh vật hiếu khí, dùng hệ thử thuỷ tĩnh. Trong tiêu chuẩn này các hợp chất hữu cơ gồm các loại nước thải. Hỗn hợp thử chứa môi trường vô cơ, hợp chất hữu cơ là nguồn cacbon và năng lượng duy nhất ở nồng độ khối lượng cacbon hữu cơ thông thường 100 mg/l [nhưng nhu cầu oxi lý thuyết (ThOD) ít nhất phải là 100 mg/l], và chất cấy hỗn hợp thu được từ nhà máy xử lý nước thải hoặc từ một nguồn khác trong môi trường.
Hỗn hợp được khuấy trộn trong bình thử kín và lượng oxi tiêu tốn được xác định bằng cách đo lượng oxi cần thiết để đảm bảo thể tích khí trong bình của máy đo hô hấp luôn được ổn định, hoặc bằng cách đo sự thay đổi thể tích hoặc áp suất (hoặc kết hợp của cả hai) trong thiết bị. Cacbon dioxit tạo ra được hấp thụ vào chất thích hợp trong bình thử.
Sự phân huỷ được theo dõi qua chu kỳ 28 ngày, hoặc nếu cần có thể lâu hơn, bằng cách xác định oxi tiêu tốn một cách tự động hoặc bằng thủ công. Lượng oxi tiêu tốn bởi hợp chất hữu cơ (sau khi đã hiệu chỉnh bằng so sánh với kiểm tra mẫu trắng) được biểu thị bằng phần trăm nhu cầu oxi lý thuyết (ThOD), tính được từ công thức của hợp chất, hoặc nhu cầu oxi hoá học (COD).
Đối với các hợp chất tan đủ trong nước, thì việc loại bỏ cacbon hữu cơ hoà tan (DOC) có thể xác định được (tuỳ chọn) bằng cách đo nồng độ DOC ở thời điểm bắt đầu và điểm cuối của công đoạn ủ để thu được thông tin bổ sung về sự phân huỷ sinh học hoàn toàn. Nếu có sẵn phương pháp phân tích chất đặc trưng thì có thể thu được thông tin về khả năng phân huỷ ban đầu.
4 Môi trường thử
Tiến hành ủ nơi tối hoặc trong ánh sáng khuếch tán, có nhiệt độ ổn định trong suốt quá trình thử, không dao động quá ±1oC trong khoảng từ 20oC đến 25oC.
5 Thuốc thử
Chỉ dùng các thuốc thử tinh khiết phân tích.
5.1 Nước
Nước cất hoặc nước đã loại ion chứa DOC nhỏ hơn 1 mg/l.
5.2 Môi trường thử
5.2.1 Thành phần
5.2.1.1 Dung dịch a)
Hoà tan các thành phần sau :
Kali dihydrophosphat khan (KH2PO4) 8,5 g
Dikali hydrophosphat khan (K2HPO4) 21,75 g
Dinatri hydrophosphat ngậm 2 nước (Na2HPO4.2H2O) 33,4 g
Amoni clorua (NH4Cl) 0,5 g
Nước (5.1) 1 000 ml
Để kiểm tra dung dịch đệm này, nên đo pH, pH nên khoảng 7,4. Nếu không đạt thì chuẩn bị dung dịch mới.
5.2.1.2 Dung dịch b)
Hoà tan trong nước 22,5 g magie sunphat ngậm 7 phân tử nước (MgSO4.7H2O) (5.1) và pha loãng đến 1 000 ml.
5.2.1.3 Dung dịch c)
Hoà tan 36,4 g canxi clorua ngậm 2 phân tử nước (CaCl2.2H2O) trong nước (5.1) và pha loãng đến 1 000 ml.
5.2.1.4 Dung dịch d)
Hoà tan 0,25 g sắt (III) clorua ngậm 6 phân tử nước (FeCl3.6H2O) trong nước (5.1) và pha loãng đến 1000 ml. Chuẩn bị dung dịch ngay trước khi dùng hoặc bổ sung một giọt axit clohidric đậm đặc (HCl) để tránh kết tủa.
5.2.2 Chuẩn bị môi trường thử
Để pha 1 000 ml môi trường thử thì thêm:
- 10 ml dung dịch a);
- 1 ml của mỗi dung dịch b), c) và d)
vào khoảng 800 ml nước (5.1). Thêm nước (5.1) cho đến vạch 1 000 ml. Chuẩn bị môi trường thử mới ngay trước khi sử dụng. Các dung dịch từ a) đến c) có thể bảo quản đến 6 tháng ở nhiệt độ phòng, nơi tối.
5.3 Chất hấp thụ cacbon dioxit
Dung dịch kali hidroxit (khoảng 10 mol/l), các hạt xút hoặc chất hấp thụ thích hợp khác.
5.4 Dung dịch thuỷ ngân clorua
Hoà tan 1 g thuỷ ngân (II) clorua (HgCl2) trong 100 ml nước (5.1).
5.5 Dung dịch natri hidroxit
Hoà tan natri hidroxit (NaOH) trong nước (5.1) để thu được dung dịch có nồng độ từ 0,1 mol /l đến 0,5 mol/l.
5.6 Dung dịch axit clohidric
Pha loãng axit clohidric (HCl) đậm đặc trong nước (5.1) để thu được dung dịch có nồng độ từ 0,1 mol/l đến 0,5 mol/l.
6 Thiết bị, dụng cụ
Đảm bảo tất cả các dụng cụ thuỷ tinh đã được rửa kỹ và không chứa chất hữu cơ hoặc chất độc.
6.1 Máy đo hô hấp kín
Nguyên lý của máy đo hô hấp kín được đưa ra trong phụ lục D. Máy đo hô hấp chứa các bình thử cho phép cung cấp oxi và khuấy trộn, có hệ thống ống không thấm oxi và cacbon dioxit. Các bình của máy đo hô hấp được đặt trong phòng có nhiệt độ ổn định hoặc trong nồi cách thuỷ kiểm soát được nhiệt độ ổn định. Khi kiểm tra hợp chất thử bay hơi, thiết bị được sử dụng phải thích hợp hoặc đáp ứng được với mục đích cụ thể này. Không để thất thoát hợp chất do việc sử dụng thiết bị.
6.2 Nồi cách thuỷ hoặc phòng có nhiệt độ ổn định (phù hợp với điều 4).
6.3 Dụng cụ đo cacbon hữu cơ hoà tan
Dụng cụ này phải có độ nhạy đủ để đo cacbon hữu cơ hoà tan (DOC) (tuỳ chọn).
6.4 Dụng cụ đo nhu cầu oxi hoá học (tuỳ chọn).
6.5 Máy ly tâm hoặc thiết bị lọc
Máy ly tâm phải tạo được gia tốc 4 000 g.
Thiết bị lọc phải được gắn với các bộ màng lọc (đường kính danh định của lỗ từ 0,2 μm đến 0,45 μm) mà không hấp thụ hoặc giải phóng cacbon hữu cơ.
6.6 pH mét (dụng cụ phòng thí nghiệm thông thường).
7 Cách tiến hành
7.1 Chuẩn bị các dung dịch thử
7.1.1 Hợp chất thử
Chuẩn bị dung dịch gốc của hợp chất thử tan trong nước trong môi trường thử (5.2) và thêm một lượng thích hợp của dung dịch gốc này vào các bình thử để thu được nồng độ khối lượng cuối cùng của hợp chất thử là 100 mg/l, nhưng tương đương với ít nhất là 100 mg/l ThOD. Tuỳ thuộc vào các đặc tính của hợp chất thử (thí dụ như tính độc) và mục đích của phép thử, có thể sử dụng các nồng độ khác. Thêm các hợp chất tan ít trong nước trực tiếp vào các bình thử. Xác định chính xác lượng được thêm vào. Nếu cần, xác định COD của hợp chất thử, thí dụ như sử dụng TCVN 6491 : 1999 (ISO 6060).
Chú thích – Đối với các chi tiết về xử lý các hợp chất ít tan trong nước, xem ISO 10634.
7.1.2 Dung dịch hợp chất đối chứng
Dùng hợp chất hữu cơ đã biết độ phân huỷ sinh học làm hợp chất đối chứng, như anilin hoặc natri benzoat có độ phân huỷ > 60%. Chuẩn bị dung dịch gốc của hợp chất đối chứng trong môi trường thử (5.2) theo cùng cách như đối với hợp chất thử tan trong nước (7.1.1) để có được nồng độ khối lượng cuối cùng là 100 mg hợp chất đối chứng ứng với mỗi một lít môi trường thử.
7.1.3 Dung dịch kiểm tra ức chế
Nếu cần, (thí dụ, khi không có đầy đủ thông tin về độc tính của hợp chất thử), chuẩn bị một dung dịch chứa dung dịch hợp chất thử (7.1.1) và cả hợp chất đối chứng (7.1.2) trong môi trường thử (5.2), tốt nhất ở nồng độ khối lượng là 100 mg/l cho mỗi dung dịch.
7.2 Chuẩn bị chất cấy
7.2.1 Khái quát
Chuẩn bị chất cấy, tốt nhất là dùng bùn hoạt hoá hoặc các nguồn khác (từ 7.2.2 đến 7.2.4) hoặc hỗn hợp của các nguồn này để thu được quần thể vi khuẩn cho đủ hoạt tính phân huỷ sinh học. Kiểm tra hoạt tính của chất cấy sử dụng hợp chất đối chứng (7.1.2 và điều 9). BOD của mẫu trắng phải thoả mãn chuẩn cứ hợp lệ (xem điều 9). Để giảm bớt ảnh hưởng của mẫu trắng có thể thích nghi trước chất cấy, thí dụ : sục khí một tuần trước khi sử dụng. Dùng một thể tích thích hợp để ủ.
Chú thích -Thông thường, chất cấy không nên phơi nhiễm trước, để tuân theo dự đoán chung tác động phân huỷ trong môi trường. Trong một số trường hợp có thể sử dụng chất cấy đã phơi nhiễm trước phụ thuộc vào mục đích của phép thử với điều kiện là khi sử dụng các chất cấy đó thì cần nêu rõ trong báo cáo kết quả (thí dụ phần trăm phân huỷ sinh học = x%, sử dụng chất cấy đã cấy phơi nhiễm trước) và nêu chi tiết phương pháp cấy phơi nhiễm trước. Chất cấy đã được cấy phơi nhiễm trước có thể lấy từ phòng thí nghiệm thử phân huỷ sinh học dưới các điều kiện thích hợp khác nhau [thí dụ: phép thử Zahn-wellen (ISO 9888) và thử SCAS (ISO 9887)] hoặc mẫu lấy từ nơi có các điều kiện môi trường tương ứng (thí dụ trạm xử lý các chất tương tự hoặc các khu vực bị ô nhiễm).
Theo kinh nghiệm thì thể tích thích hợp có nghĩa là :
- đủ để thu được quần thể vi sinh có đủ hoạt tính phân hủy sinh học;
- phân huỷ hợp chất đối chứng bằng đúng phần trăm đã qui định (xem điều 9);
- cho từ 103 đến 106 đơn vị hình thành tế bào trong một mililit hỗn hợp cuối cùng;
- không tạo quá 30 mg/l chất rắn lơ lửng của bùn hoạt hoá trong hỗn hợp cuối cùng.
- lượng cacbon hữu cơ hoà tan do chất cấy sinh ra nhỏ hơn 10% nồng độ ban đầu cacbon hữu cơ do hợp chất thử đưa vào.
- thông thường, 1 ml đến 10 ml chất cấy là đủ cho 1 000 ml dung dịch thử.
7.2.2 Chất cấy từ trạm bùn hoạt hoá
Lấy mẫu chất cấy từ bùn hoạt hoá ở trong bể sục khí của trạm xử lý hoặc từ phòng thí nghiệm làm việc chủ yếu với nước thải sinh hoạt. Trộn đều và xác định nồng độ chất rắn lơ lửng của bùn hoạt hoá, thí dụ: sử dụng TCVN 6625 : 2000 (ISO 11923)]. Nếu cần, cô đặc bùn bằng cách để lắng sao cho thể tích của bùn thêm vào mẫu thử là nhỏ nhất nhưng vẫn thoả mãn chuẩn cứ ở 7.2.1. Nếu nghi ngờ thấy bùn có chứa chất ức chế thì ly tâm, rửa bằng môi trường (5.2), ly tâm lại và hoà tan lại trong môi trường. Giữ mẫu trong điều kiện thoáng khí và nên dùng trong ngày lấy mẫu. Dùng một thể tích thích hợp (7.2.1) để thu được 30 mg/l chất rắn lơ lửng ở hỗn hợp cuối cùng.
7.2.3 Chất cấy từ nước thải
Lấy mẫu từ nhánh hoặc dòng thải chính hoặc từ phòng thí nghiệm xử lý nước thải làm việc chủ yếu với nước thải sinh hoạt. Nếu cần, lọc hoặc ly tâm để cô đặc mẫu. Trộn đều và giữ mẫu trong điều kiện thoáng khí và nên dùng trong ngày lấy mẫu. Trước khi sử dụng, để mẫu lắng trong vòng 1 h và lấy một thể tích thích hợp của phần nổi trên để ủ.
7.2.4 Chất cấy từ nước bề mặt
Lấy mẫu từ nguồn nước mặt thích hợp, nếu cần, lọc hoặc ly tâm để cô đặc mẫu. Giữ mẫu trong các điều kiện hiếu khí và tốt nhất là sử dụng ngay trong ngày lấy mẫu. Dùng một thể tích thích hợp làm chất cấy.
7.3 Thử nghiệm
Lắp đặt máy đo hô hấp kín (xem 6.1 và thí dụ được mô tả trong phụ lục D). Chuẩn bị đủ số lượng các bình thử để có được :
- ít nhất 2 bình cho hợp chất thử (7.1.1) (FT);
- ít nhất 2 bình mẫu trắng (FB) chứa môi trường thử và chất cấy;
- ít nhất 1 bình chứa hợp chất đối chứng (7.1.2) để kiểm tra qui trình (FC);
- nhất 1 bình chứa dung dịch (7.1.3) để kiểm tra ảnh hưởng ức chế của hợp chất thử (FI);
- nếu cần, thêm 1 bình chứa hợp chất thử (7.1.1) nhưng không có chất cấy để kiểm tra khả năng loại trừ phi sinh học(FS), được tiệt trùng bằng cách thêm một hợp chất độc vô cơ thích hợp để ngăn cản hoạt động của vi khuẩn. Thí dụ, dùng dung dịch thuỷ ngân (II) clorua (5.4) 1 ml/l. Nếu cần, hai tuần sau khi phép thử bắt đầu cho thêm cùng một lượng chất độc như thế.
Cho các lượng môi trường thử thích hợp (5.2), chất cấy (7.2), chất thử (7.1.1) và hợp chất đối chứng (7.1.2) ở các nồng độ mong muốn vào các bình tương ứng phù hợp với bảng 1 để có được thể tích thử cuối cùng như ý muốn. Cho chất hấp thụ (5.3) vào các ngăn bình của máy hấp thụ CO2. Đo pH của các lượng chứa trong bình và nếu cần, dùng dung dịch trong 5.5 hoặc trong 5.6 để chỉnh pH về 7,4.
Đặt tất cả các bình thử trong nồi cách thuỷ hoặc trong phòng có nhiệt độ ổn định (6.2), đưa chúng về nhiệt độ mong muốn (xem điều 4), đậy kín nắp bình và trong trường hợp máy hô hấp tự động thì nối máy và bắt đầu khuấy trộn. Ghi lại các số đọc nhu cầu oxi sinh hoá (oxi tiêu tốn) trên áp kế (nếu thực hiện bằng tay), hoặc kiểm tra lại xem bộ ghi của máy đo hô hấp tự động đã đúng chức năng chưa. Tiến hành theo chỉ dẫn của nhà sản xuất đối với từng loại máy đo hô hấp tương ứng.
Nếu mức oxi tiêu tốn đạt được gần như ổn định (pha tới hạn) và không còn sự phân huỷ sinh học nào tiếp thì phép thử coi như đã kết thúc. Thông thường, chu kỳ thử tối đa sẽ không vượt quá 28 ngày. Nếu sự phân huỷ đã bắt đầu một cách thấy rõ nhưng chưa đạt điểm tới hạn thì kéo dài thử nghiệm một tuần đến hai tuần.
Đo pH của ngày thử nghiệm cuối cùng.
Khi kiểm tra cacbon hữu cơ hoà tan (DOC), ở thời điểm bắt đầu (thời điểm 0) và ở thời điểm kết thúc chu kỳ thử (thời điểm t), rút lấy từ các bình thử các mẫu có kích cỡ thích hợp. Cách khác, xác định riêng rẽ giá trị DOC ban đầu (thời điểm 0) trong bình đã chuẩn bị riêng rẽ hoặc tính giá trị này từ hợp chất thử được thêm vào. Lọc các mẫu này qua bộ màng lọc hoặc ly tâm 15 phút ở gia tốc 4 000 g (xem 6.5). Khi việc đo DOC không thực hiện trong ngày thì giữ các mẫu trong các bình thuỷ tinh đậy kín đến 48 h ở nhiệt độ 4oC nơi tối và trong các bình thuỷ tinh kín.
Chú thích – Việc loại bỏ DOC có thể do phân huỷ sinh học nhưng cũng do các quá trình phi sinh học như sự hấp thụ lên cột hoặc lên thành bình hoặc trong trường hợp các hợp chất thử bay hơi, nó bay hơi và hấp thụ lên hệ thống ống. Khi làm việc với các hỗn hợp, có thể xuất hiện sự hấp thụ chọn lọc của các thành phần khác nhau.
Khi phải kiểm tra sự phân huỷ ban đầu, dùng phép phân tích đặc biệt để xác định nồng độ của hợp chất thử trong các bình FT và FS ở điểm cuối của phép thử (thời điểm t).
Bảng 1 – Sự phân bố cuối cùng của các hợp chất thử và hợp chất đối chứng trong các bình thử
| Bình thử | Môi trường thử (5.2) | Hợp chất thử (7.1.1) | Hợp chất đối chứng (7.1.2) | Chất cấy (7.2) |
| FT hợp chất thử | + | + | - | + |
| FT hợp chất thử | + | + | - | + |
| FB mẫu trắng | + | - | - | + |
| FB mẫu trắng | + | - | - | + |
| FC kiểm tra chất cấy | + | - | + | + |
| FI kiểm tra ức chế (tuỳ chọn) | + | + | + | + |
| FS kiểm tra loại trừ phi sinh học(tuỳ chọn) | + | + | - | - |
Nếu hợp chất thử chứa nitơ thì xác định nồng độ nitrat và nitrit ngay khi kết thúc thử nghiệm, hoặc ngay trên các mẫu được bảo quản thích hợp. Cách khác, sử dụng qui trình thử vết định lượng về nitrit và nitrat trên một thể tích nhỏ của hỗn hợp phản ứng lấy từ mỗi bình và chỉ áp dụng phương pháp định lượng nếu thu được kết quả dương tính. Nếu có nitrat hoá thì hiệu chỉnh lại lượng oxi tiêu tốn (xem phụ lục B).
8 Tính toán và biểu thị kết quả
8.1 Tính toán
8.1.1 Nhu cầu oxi sinh hoá riêng
Lượng oxi tiêu tốn thu được từ số đọc trong máy đo hô hấp đối với từng bình là nhu cầu oxi sinh hoá. Tính nhu cầu oxi sinh hoá riêng BS theo công thức (1). Trong trường hợp có nitrat hoá thì hiệu chỉnh lượng oxi tiêu tốn (xem 7.3 và phụ lục B).
![]()
trong đó
BS là nhu cầu oxi sinh hoá riêng, tính bằng miligam oxi trên gam hợp chất thử;
Bt là nhu cầu oxi sinh hoá đo được của hợp chất thử FT ở thời điểm t, tính bằng miligam trên lít;
BBt là nhu cầu oxi sinh hoá đo được của kiểm tra mẫu trắng FB ở thời điểm t, tính bằng miligam trên lít;
ρTC là nồng độ khối lượng của hợp chất thử, tính bằng gam trên lít.
8.1.2 Phần trăm phân huỷ sinh học
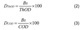
Sự phân huỷ sinh học được xác định là tỷ lệ của nhu cầu oxi sinh hoá riêng với nhu cầu oxi lý thuyết (ThOD) (thí dụ về việc tính toán xem phụ lục A) hoặc với nhu cầu oxi hoá học (COD). Xác định phần trăm phân huỷ đối với từng bình, sử dụng công thức (2) và/hoặc công thức (3):

trong đó
DThOD là phần trăm phân huỷ sinh học của ThOD ở thời điểm t;
DCOD là phần trăm phân huỷ sinh học của COD ở thời điểm t;
BS là nhu cầu oxi đặc trưng của hợp chất thử, tính bằng miligam ứng với một gam hợp chất thử;
ThOD là nhu cầu oxi lý thuyết, tính bằng miligam ứng với một gam hợp chất thử;
COD là nhu cầu oxi hoá học được xác định bằng thực nghiệm, tính bằng miligam ứng với gam hợp chất thử.
Chú thích – Vì COD của hoá chất ít khi lớn như ThOD nên phần trăm phân huỷ COD thường cao hơn phần trăm phân huỷ ThOD. Phần trăm phân huỷ ThOD thường chính xác hơn và nên sử dụng giá trị này.
8.1.3 Tính DOC đã loại bỏ
Khi xác định DOC loại bỏ của hợp chất thử hoà tan trong nước, thì dùng công thức (4) để tính phần trăm loại trừ của cacbon hữu cơ hoà tan DC cho từng bình thử FT :

trong đó
ρcTO là nồng độ khối lượng DOC trong bình thử FT ở thời điểm 0, tính bằng miligam trên lít;
ρcBO là nồng độ khối lượng DOC trong bình mẫu trắng FB ở thời điểm 0, tính bằng miligam trên lít;
ρcTt là nồng độ khối lượng DOC trong bình thử FT ở thời điểm t, tính bằng miligam trên lít;
ρcBt là nồng độ khối lượng DOC trong bình mẫu trắng FB ở thời điểm t, tính bằng miligam trên lít; Nếu ρcTO được tính từ hợp chất thử được thêm vào thì bỏ qua ρcBO .
8.1.4 Tính sự phân huỷ ban đầu
Khi tiến hành các phép phân tích đặc trưng về hợp chất thử, tính phần trăm phân huỷ sinh học ban đầu DS của hợp chất thử so với lượng hợp chất thử trong bình FS ở cuối thử nghiệm sử dụng công thức (5):

trong đó
ρT là nồng độ khối lượng của hợp chất thử trong bình FT, tại thời điểm t, tính bằng miligam trên lít;
ρS là nồng độ khối lượng của hợp chất thử trong bình FS, tại thời điểm t, tính bằng miligam trên lít;
8.1.5 Hợp chất đối chứng, loại trừ phi sinh học và kiểm tra ức chế
Tương tự, tính mức phân huỷ sinh học và sự loại bỏ DOC trong bình FC của hợp chất đối chứng và của bình FS kiểm tra loại trừ phi sinh học và bình FI kiểm tra ức chế, nếu có.
8.2 Biểu thị kết quả
Lập bảng các giá trị BOD đo được và phần trăm phân huỷ sinh học DThOD và/ hoặc DCOD đối với từng bình thử và đối với từng khoảng thời gian đo. Trong trường hợp dùng máy đo hô hấp tự động, có thể chọn từng điểm thời gian đã định thích hợp từ đường cong của oxi tiêu tốn được vẽ tự động. Dựng đồ thị đường phân huỷ sinh học theo thời gian, tính bằng phần trăm và chỉ rõ pha trễ và pha phân huỷ. Nếu đối với các bình thử kép FT thu được các kết quả có thể so sánh (chênh lệch < 20%), dựng đường cong trung bình, mặt khác dựng các đường cong đối với từng bình (xem thí dụ trong phụ lục C). Tương tự dựng đường cong phân huỷ sinh học của hợp chất đối chứng FC và của bình FS kiểm tra loại trừ phi sinh học và bình FI kiểm tra ức chế, nếu có.
Xác định giá trị trung bình của phần trăm phân huỷ sinh học trong pha tới hạn hoặc sử dụng giá trị cao nhất, thí dụ : khi đường cong trong pha trễ hạ xuống; và chỉ rõ mức phân huỷ sinh học cực đại là “mức phân huỷ sinh học của hợp chất thử ” trong báo cáo kết quả.
Thông tin về độc tính của hợp chất thử có thể có ích trong phần giải thích kết quả phân huỷ sinh học yếu. Nếu phần trăm phân huỷ trong bình FI < 25% và sự phân huỷ hợp chất thử trong bình FT quan sát thấy thiếu, thì có thể nói rằng hợp chất thử gây ức chế. Trong trường hợp này, phải lặp lại phép thử sử dụng nồng độ chất thử thấp hơn hoặc dùng một chất cấy khác. Nếu trong bình FS (kiểm tra loại trừ phi sinh học, nếu cần) quan sát thấy một lượng BOD đáng kể (>10%), thì có thể xảy ra quá trình phân huỷ phi sinh học.
Nếu sự loại bỏ DOC, sự phân huỷ ban đầu và / hoặc nitrit/nitrat đã xác định được, thì chỉ rõ các giá trị đo được và tính toán được. Chỉ rõ giá trị pH đo được.
9 Tính đúng đắn của các kết quả
9.1 Chuẩn cứ của tính đúng đắn
Phép thử được coi là đúng nếu
a) phần trăm phân huỷ sinh học trong bình FC (kiểm tra chất cấy) lớn hơn 60% trong ngày thứ 14;
b) lượng BOD trong bình mẫu trắng FB ở cuối thử nghiệm thường từ 20 mg/l đến 30 mg/l, không vượt quá 60 mg/l sau 28 ngày.
Nếu a) hoặc b) không thoả mãn thì nên lặp lại phép thử sử dụng chất cấy khác hoặc chất cấy đã được thích nghi trước tốt hơn.
9.2 ức chế
Nếu có bình FI (kiểm tra ức chế), thì hợp chất thử bị coi là ức chế nếu phần trăm phân huỷ hợp chất đối chứng trong bình FI nhỏ hơn 40% ở cuối thử nghiệm. Trong trường hợp này, nên lặp lại phép thử với nồng độ hợp chất thử thấp hơn.
9.3 Giá trị pH
Nếu giá trị pH ở cuối phép thử nằm ngoài phạm vi từ 6 đến 8,5 (thí dụ do nitrat hoá hợp chất thử chứa nitơ) và nếu phần trăm phân huỷ hợp chất thử nhỏ hơn 60%, thì nên lặp lại phép thử với nồng độ chất thử thấp hơn, sử dụng bùn hoạt hoá không nitrat hoá làm chất cấy hoặc tăng khả năng đệm của môi trường vô cơ. Điều này phải được nêu rõ trong báo cáo kết quả.
10 Báo cáo thử nghiệm
Báo cáo thử nghiệm cần ít nhất những thông tin sau:
a) trích dẫn tiêu chuẩn này;
b) mọi thông tin cần để nhận dạng hợp chất thử và nồng độ chất thử;
c) mọi số liệu đo được (thí dụ dạng bảng), cũng như đường cong phân huỷ;
d) nồng độ ThOD và/hoặc COD của hợp chất thử và hợp chất đối chứng đã dùng;
e) tên chất đối chứng đã dùng và sự phân huỷ thu được với hợp chất thử này;
f) nguồn, đặc tính, nồng độ hoặc thể tích chất cấy đã dùng và thông tin về xử lý trước;
g) các đặc trưng chính của máy đo hô hấp đã dùng;
h) nhiệt độ ủ của phép thử;
i) phần trăm DOC loại bỏ hoặc sự phân huỷ sinh học ban đầu, nếu có;
j) phần trăm phân huỷ thu được trong bình FS (loại trừ phi sinh học), nếu có;
k) phần trăm phân huỷ thu được trong bình FI (kiểm tra ức chế), nếu có và nêu độc tính của hợp chất thử;
l) lý do trong trường hợp loại bỏ phép thử;
m) mọi thay đổi của qui trình chuẩn hoặc mọi tình huống có thể ảnh hưởng đến kết quả.
Phụ lục A
(tham khảo)
THÍ DỤ VỀ TÍNH TOÁN NHU CẦU OXI LÝ THUYẾT (THOD)
A.1 Khái quát
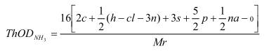
Nhu cầu oxi lý thuyết (ThOD) của chất theo lý thuyết CcHhClclNnNanaOoPpSs có phân tử lượng tương ứng là Mr có thể tính được theo :

Tính toán này nói rằng C được vô cơ hoá về dạng CO2, H về H2O, P về P2O5 và Na về Na2O. Halogen tách thành halogenua hidro. Nitơ được tách thành amoni và không bị oxi hoá thành nitrit hoặc nitrat. Sunfua được coi như bị oxi hoá về trạng thái + VI.
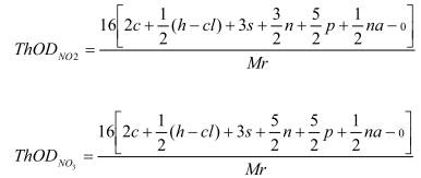
Trong trường hợp hợp chất chứa nitơ, nitơ có thể được tách thành nitrit hoặc nitrat sau khi nitrat hoá, với nhu cầu oxi lý thuyết tương ứng là:

A.2 Thí dụ : Glucoza
Công thức phân tử là C6H12O6 và có phân tử lượng Mr = 180.

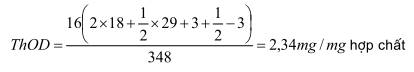
A.3 Thí dụ : Natri n-dodexylbenzensunfonat
Công thức phân tử là C18H29SO3Na và phân tử lượng Mr = 348.

A.4 Thí dụ : di-n-dodexylamin
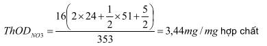
Công thức phân tử là (C12H25)2NH và phân tử lượng Mr = 353. Coi như khi phân tích quan sát thấy tạo thành nitrat hoàn toàn.

Phụ lục B
(tham khảo)
HIỆU CHỈNH LƯỢNG OXI TIÊU TỐN KHI CÓ NITRAT HOÁ
Nếu nitrat hoá xảy ra nhưng không hoàn toàn, thì lượng oxi tiêu tốn bởi hỗn hợp phản ứng có thể hiệu chỉnh cho lượng oxi dùng để oxi hoá amoni thành nitrit và nitrat, nếu sự thay đổi nồng độ của nitrit và nitrat trong quá trình ủ xác định được bằng cách tính đến các phương trình sau:
2NH4Cl + 3O2 = 2HNO2 + 2HCl + 2H2O (B.1)
2HNO2 + O2 = 2HNO3 (B.2)
Tổng cộng
2NH4Cl + 4O2 = 2HNO3 + 2HCl + 2H2O (B.3)
Từ phương trình (B.1), lượng oxi tiêu tốn để oxi hoá 28 g nitơ chứa trong amoni clorua (NH4Cl) đến nitrit là 96 g, nghĩa là hệ số của 96/28 = 3,43. Cũng tương tự, từ phương trình (B.3), lượng oxi tiêu tốn để oxi hoá 28 g nitơ đến nitrat là 128 g, nghĩa là hệ số của 128/28 = 4,57.
Vì các phản ứng xảy ra liên tiếp bởi các loài vi khuẩn khác nhau, nên nồng độ nitrit có thể tăng hoặc giảm. Khi nồng độ nitrit giảm, một nồng độ tương đương nitrat được tạo thành. Như vậy, lượng oxi tiêu tốn để tạo thành nitrat là 4,57 nhân với sự tăng nồng độ nitrat-N, trong khi lượng oxi tiêu tốn để tạo thành nitrit là 3,43 nhân với sự tăng nồng độ nitrit-N. Với sự giảm nồng độ, thì lượng oxi “mất đi” là 3,43 nhân với sự giảm nồng độ nitrit.
O1 = 4,57 x ∆NO3-N ....(B.4)
O2 = 3,43 x ∆NO2-N ....(B.5)
O3 = -[3,43 x ∆NO2-N] ....(B.6)
trong đó
O1 là oxi tiêu tốn để tạo thành nitrat;
O2 là oxi tiêu tốn để tạo thành nitrit;
O3 là oxi “tiêu tốn” để làm biến mất nitrrit;
∆NO3-N là sự tăng nồng độ nitrat-N;
∆NO2-N là sự thay đổi nồng độ nitrit-N;
Sử dụng các công thức B.4 và B.5 hoặc B.6 :
O4 = [4,57 x ∆NO3-N ] [3,43 x ∆NO2-N] ..........(B.7)
Và do đó
O5 = O6 - O4 ........ (B.8)
trong đó
O4 là lượng oxi tiêu tốn cho nitrat hoá;
O5 là lượng oxi tiêu tốn để oxi hoá cacbon;
O6 là tổng lượng oxi tiêu tốn.
Nếu chỉ xác định được lượng nitơ bị oxi hoá tổng số, thì lượng oxi tiêu tốn cho sự nitrat hoá có thể lấy gần đúng là 4,57 lần tăng nồng độ nitơ bị oxi hoá.
Giá trị hiệu chỉnh cho lượng oxi tiêu tốn do oxi hoá cacbon được so sánh với ThODNH3 như được tính toán ở phụ lục A.
Phụ lục C
(tham khảo)
THÍ DỤ VỀ ĐƯỜNG CONG PHÂN HUỶ SINH HỌC

Hình C.1 – Sự phân huỷ sinh học của anilin trong phép thử đo hô hấp
Phụ lục D
(tham khảo)
MÁY ĐO HÔ HẤP KÍN

1 Chất hấp thụ CO2 5 Đơn vị tạo oxi
2 Bộ điều khiển 6 Bình thử
3 Máy in, máy vẽ hoặc máy vi tính 7 Máy khuấy
4 áp kế
Hình D.1 – Nguyên lý của máy đo hô hấp kín
Dùng máy khuấy từ để khuấy hỗn hợp thử trong bình thử, bình này đã được đổ chất lỏng đến khoảng một phần ba. Nếu có phân huỷ sinh học, thì các vi sinh vật sẽ tiêu thụ oxi và tạo cacbon dioxit. Oxi trong pha khí của bình sẽ được hoà tan trong chất lỏng. Cacbon dioxit trong phần trên của bình sẽ được hấp thụ và áp suất tổng trong bình sẽ giảm.
Sự giảm áp này được phát hiện bằng áp kế, được dùng để bắt đầu phát sinh điện phân oxi. Khi áp suất ban đầu được lập lại, thì điện phân ngừng và lượng điện đã dùng được đo trong bộ điều khiển. Lượng điện sử dụng tỷ lệ thuận với lượng oxi tiêu tốn. Điều này được chỉ rõ trên máy vẽ đồ thị, máy in hoặc trực tiếp trên máy tính.
Phụ lục
TÀI LIỆU THAM KHẢO
[1] TCVN 6491: 1999 (ISO 6060:1989) Chất lượng nước -Xác định nhu cầu oxy hoá học.
[2] TCVN 6621 : 2000 (ISO 7827 : 1994) Chất lượng nước -Đánh giá sự phân huỷ sinh học hiếu khí hoàn toàn của các chất hữu cơ trong môi trường nước -Phương pháp phân tích cacbon hữu cơ hoà tan (DOC);
[3] TCVN 6226: 1996 (ISO 8192:1986) Chất lượng nước -Thử sự ức chế khả năng tiêu thụ oxy của bùn hoạt hoá.
[4] TCVN 6634 : 2000 (ISO 8245 : 1999) Chất lượng nước -Hướng dẫn xác định cacbon hữu cơ tổng số (TOC) và cacbon hữu cơ hoà tan (DOC).
[5] ISO 9887:1992 Chất lượng nước -Đánh giá sự phân huỷ sinh học hiếu khí hoàn toàn của các chất hữu cơ trong môi trường nước -Phương pháp bùn hoạt hoá nửa liên tục (SCAS).
[6] ISO 9888:1991 Chất lượng nước -Đánh giá sự phân huỷ sinh học hiếu khí hoàn toàn của các chất hữu cơ trong môi trường nước -Thử tĩnh (phương pháp Zahn-Wellens).
[7] ISO 10634 : 1995 Chất lượng nước -Hướng dẫn chuẩn bị và xử lý các hợp chất hữu cơ ít tan trong nước để đánh giá tiếp khả năng phân huỷ của chúng trong môi trường nước.
[8] TCVN 6625: 2000 (ISO 11923 : 1997) Chất lượng nước -Xác định chất rắn lơ lửng bằng cách lọc qua cái lọc sợi thủy tinh.
ISO/TR 15462 : 1997 Chất lượng nước -Chọn các phép thử về khả năng phân huỷ.
Bạn chưa Đăng nhập thành viên.
Đây là tiện ích dành cho tài khoản thành viên. Vui lòng Đăng nhập để xem chi tiết. Nếu chưa có tài khoản, vui lòng Đăng ký tại đây!