• Tổng quan
  • Nội dung
  • Tiêu chuẩn liên quan
  • Lược đồ
  • Tải về
Lưu
Đây là tiện ích dành cho tài khoản Tiêu chuẩn hoặc Nâng cao . Vui lòng Đăng nhập tài khoản để xem chi tiết.
Theo dõi VB
Đây là tiện ích dành cho tài khoản Tiêu chuẩn hoặc Nâng cao . Vui lòng Đăng nhập tài khoản để xem chi tiết.
Ghi chú
Báo lỗi
In

Tiêu chuẩn TCVN 14276:2024 Nhiên liệu sinh học rắn - Xác định các nguyên tố phụ

Ngày cập nhật: Thứ Hai, 19/05/2025 16:23 (GMT+7)
Số hiệu: TCVN 14276:2024 Loại văn bản: Tiêu chuẩn Việt Nam
Cơ quan ban hành: Bộ Khoa học và Công nghệ Lĩnh vực: Tài nguyên-Môi trường
Trích yếu: ISO 16968:2015 Nhiên liệu sinh học rắn - Xác định các nguyên tố phụ
Ngày ban hành:
Ngày ban hành là ngày, tháng, năm văn bản được thông qua hoặc ký ban hành.
31/12/2024
Hiệu lực:
Đã biết
Tiện ích dành cho tài khoản Tiêu chuẩn hoặc Nâng cao. Vui lòng Đăng nhập tài khoản để xem chi tiết.
Người ký: Đang cập nhật
Tình trạng hiệu lực:
Cho biết trạng thái hiệu lực của văn bản đang tra cứu: Chưa áp dụng, Còn hiệu lực, Hết hiệu lực, Hết hiệu lực 1 phần; Đã sửa đổi, Đính chính hay Không còn phù hợp,...
Đã biết
Tiện ích dành cho tài khoản Tiêu chuẩn hoặc Nâng cao. Vui lòng Đăng nhập tài khoản để xem chi tiết.

TÓM TẮT TIÊU CHUẨN VIỆT NAM TCVN 14276:2024

Tiêu chuẩn quốc gia TCVN 14276:2024 ISO 16968:2015: Quy định đối với Năng lượng sinh học và việc xác định các nguyên tố phụ

Tiêu chuẩn quốc gia TCVN 14276:2024 ISO 16968:2015 được Bộ Khoa học và Công nghệ công bố, có hiệu lực từ ngày 01/01/2024, điều chỉnh việc xác định và quản lý các nguyên tố phụ trong nhiên liệu sinh học rắn. Tiêu chuẩn này mang lại nhiều quy định quan trọng cho các nhà sản xuất và kiểm định viên trong lĩnh vực năng lượng sinh học:

  • Phạm vi áp dụng: Tiêu chuẩn quy định phương pháp xác định các nguyên tố như asen, cadimi, coban, crom, đồng, thủy ngân, mangan, molypden, niken, chì, antimon, vanadi và kẽm trong mọi loại nhiên liệu sinh học rắn. Điều này đặc biệt quan trọng để đảm bảo rằng nhiên liệu không chứa các thành phần độc hại gây ảnh hưởng đến môi trường và sức khỏe con người.

  • Phương pháp xác định: Tiêu chuẩn mô tả cách phân hủy mẫu và các thiết bị phù hợp để xác định nguyên tố trong dung dịch phân hủy. Việc xác định có thể thực hiện qua nhiều phương pháp, bao gồm ICP-OES, ICP-MS, và một số kỹ thuật khác đã được xác nhận tính hợp lệ.

  • Chuẩn bị mẫu: Các mẫu phải được chuẩn bị theo tiêu chuẩn quốc gia hiện hành, trong đó chú ý đến nguy cơ ô nhiễm trong quá trình chuẩn bị. Một mẫu thử thích hợp là mẫu có kích thước nhỏ nhất 1 mm, nhằm đảm bảo hiệu quả trong việc phát hiện các nguyên tố phụ.

  • Báo cáo thử nghiệm: Kết quả thử nghiệm phải chứa đầy đủ thông tin bao gồm ngày tháng, phương pháp phân hủy đã sử dụng, cũng như các phát hiện bất thường trong quá trình thử nghiệm. Điều này giúp đảm bảo sự minh bạch và dễ dàng trong việc tham khảo và kiểm tra sau này.

  • Nguyên tắc và hóa chất sử dụng: Mới đây, tiêu chuẩn yêu cầu sử dụng axit nitric, hydro peroxit và axit flohydric trong phân hủy mẫu, với yêu cầu cao về độ tinh khiết của các chất sử dụng.

TCVN 14276:2024 là một trong những tiêu chuẩn quan trọng góp phần nâng cao chất lượng và an toàn cho các sản phẩm nhiên liệu sinh học rắn tại Việt Nam, đồng thời đảm bảo sự tuân thủ các quy định quốc tế. Những quy định này không chỉ ảnh hưởng đến các nhà sản xuất, mà còn đến các cơ quan kiểm soát chất lượng và bảo vệ môi trường, giúp tạo ra một nền tảng tốt hơn cho việc sử dụng năng lượng tái tạo trong tương lai.

Tải tiêu chuẩn Việt Nam TCVN 14276:2024

Tải văn bản tiếng Việt (.pdf) Tiêu chuẩn Việt Nam TCVN 14276:2024 PDF (Bản có dấu đỏ)

Đây là tiện ích dành cho tài khoản thành viên. Vui lòng Đăng nhập để xem chi tiết. Nếu chưa có tài khoản, Đăng ký tại đây!

Tải văn bản tiếng Việt (.doc) Tiêu chuẩn Việt Nam TCVN 14276:2024 DOC (Bản Word)

Đây là tiện ích dành cho tài khoản thành viên. Vui lòng Đăng nhập để xem chi tiết. Nếu chưa có tài khoản, Đăng ký tại đây!

Tình trạng hiệu lực: Đã biết
Hiệu lực: Đã biết
Tình trạng hiệu lực: Đã biết

TIÊU CHUẨN QUỐC GIA

TCVN 14276:2024

ISO 16968:2015

NHIÊN LIỆU SINH HỌC RẮN - XÁC ĐỊNH CÁC NGUYÊN TỐ PHỤ

Solid biofuels - Determination of minor elements

Lời nói đầu

TCVN 14276:2024 hoàn toàn tương đương với ISO 16968:2015.

TCVN 14276:2024 do Ban kỹ thuật tiêu chuẩn quốc gia TCVN/TC238 Nhiên liệu sinh học rắn biên soạn, Viện Tiêu chuẩn Chất lượng Việt Nam đề nghị, Ủy ban Tiêu chuẩn Đo lường Chất lượng Quốc gia thẩm định, Bộ Khoa học và Công nghệ công bố.

 

Lời giới thiệu

Trong một vài trường hợp, sự xuất hiện của các nguyên tố phụ trong nhiên liệu sinh học rắn có thể liên quan đến môi trường, ví dụ người ta đã chứng minh được rằng nhiều cây trồng để sản xuất năng lượng sẽ chứa cadimi và trong những khu vực bị ô nhiễm, các nguyên tố độc hại khác có thể được tìm thấy với nồng độ cao trong các nhiên liệu sinh học. Điều này là trở ngại nếu tro sau quá trình đốt cháy quay ngược trở lại rừng như một loại phân bón. Các nguyên tố phụ trong nhiên liệu sinh học thường tồn tại ở mức nồng độ rất thấp cần hết sức cẩn thận để tránh bị nhiễm bẩn trong quá trình chuẩn bị mẫu và trong các bước của quá trình phân hủy. Nồng độ điển hình của các nguyên tố phụ trong nhiên liệu sinh học rắn có thể được tham khảo trong ISO 17225-1. Tiêu chuẩn này mô tả phương pháp hóa ướt. Có thể sử dụng phương pháp tương tự như huỳnh quang tia X (XRF) hoặc sử dụng máy phân tích thủy ngân trực tiếp khi đã xác nhận được tính hợp lệ với các vật liệu phù hợp (vật liệu đối chứng sinh khối).

 

NHIÊN LIỆU SINH HỌC RẮN - XÁC ĐỊNH CÁC NGUYÊN TỐ PHỤ

Solid biofuels - Determination of minor elements

1 Phạm vi áp dụng

Tiêu chuẩn này quy định phương pháp xác định các nguyên tố phụ gồm asen, cadimi, coban, crom, đồng, thủy ngân, mangan, molypden, niken, chì, antimon, vanadi và kẽm trong tất cả nhiên liệu sinh học rắn. Ngoài ra, tiêu chuẩn này cũng mô tả phương pháp phân hủy mẫu và đề xuất các thiết bị phù hợp để xác định các nguyên tố có trong dung dịch phân hủy. Việc xác định các nguyên tố khác như selen, thiếc và tali cũng có th được thực hiện với phương pháp mô tả trong tiêu chuẩn này.

2 Tài liệu viện dẫn

Các tài liệu viện dẫn sau đây rất cần thiết cho việc áp dụng tiêu chuẩn này. Đối với các tài liệu viện dẫn ghi năm công bố thì áp dụng bản được nêu. Đối với các tài liệu viện dẫn không ghi năm công bố thì áp dụng phiên bản mới nhất, bao gồm cả các sửa đổi, bổ sung (nếu có).

TCVN 6665 (ISO 11885) Chất lượng nước - Xác định nguyên tố chọn lọc bằng phổ phát xạ quang plasma cặp cảm ứng (ICP-OES)

TCVN 13884 (ISO 14780 with Amd 1) Nhiên liệu sinh học rắn - Chuẩn bị mẫu.

TCVN 13887-3 (ISO 18134-3) Nhiên liệu sinh học rắn - Xác định hàm lượng ẩm - Phần 3: Hàm lượng ẩm trong mẫu phân tích chung

TCVN 11799-2:2017 (ISO 17378-2:2014) Chất lượng nước - Xác định asen và antimon - Phần 2: Phương pháp quang phổ hấp hợp kỹ thuật hydrua (HG-AAS)

ISO 16559 Solid biofuels - Terminology, definitions and descriptions (Nhiên liệu sinh học rắn - Thuật ngữ, định nghĩa và mô tả).

ISO 16993 Solid biofuels - Conversion of analytical results from one basis to another (Nhiên liệu sinh học rắn - Chuyển đổi các kết quả phân tích từ cơ sở này sang cơ sở khác).

ISO 17294-2 Water quality - Application of inductively coupled plasma mass spectrometry (ICP-MS) - Part 2: Determination of 62 elements (Chất lượng nước - Phép đo quang phổ plasma cảm ứng cao tần kết hợp khối phổ (ICP-MS) - Phần 2: Xác định 62 nguyên tố.

EN 112338 Water quality - Determination of mercury - Enrichment methods by amalgamation (Chất lượng nước - Xác định thủy ngân - Phương pháp làm giàu bằng hỗn hống).

3 Thuật ngữ và định nghĩa

Trong tiêu chuẩn này, sử dụng các thuật ngữ và định nghĩa nêu trong ISO 16559 và các thuật ngữ, định nghĩa sau:

3.1

Vật liệu đối chứng (reference material)

RM

Vật liệu hoặc chất có một hoặc nhiều giá trị tính chất đủ đồng nhất và được thiết lập phù hợp để sử dụng cho hiệu chuẩn thiết bị, đánh giá phép đo hoặc ấn định giá trị cho vật liệu.

3.2

Vật liệu đối chứng được chứng nhận (certified reference material)

CRM

Vật liệu đối chứng, kèm theo giấy chứng nhận, có một hoặc nhiều giá trị tính chất đã được chứng nhận bằng quy trình thiết lập khả năng truy nguyên để thực hiện chính xác công việc trong đó các giá trị tính chất được thể hiện và mỗi giá trị được chứng nhận có kèm theo độ không đảm bảo ở mức tin cậy đã được công bố.

3.3

Vật liệu đối chứng chuẩn của NIST [1] (NIST standard reference material)

SRM

CRM được tạo ra bi NIST, đáp ứng được các tiêu chí chứng nhận riêng do NIST bổ sung và được ban hành cùng chứng nhận hoặc chứng nhận phân tích thông qua kết quả báo cáo về các đặc trưng của nó và cung cấp được thông tin liên quan đến việc sử dụng vật liệu một cách thích hợp.

4 Ký hiệu và từ viết tắt

4.1  Ký hiệu

As

Asen

Cd

Cadimi

Co

Coban

Cr

Crom

Cu

Đồng

Hg

Thủy ngân

Mn

Mangan

Mo

Molypden

Ni

Niken

Pb

Chì

Sb

Antimon

V

Vanadi

Zn

Kẽm

4.2 Từ viết tắt

Từ viết tắt

Tiếng Anh

Ý nghĩa

CV-AAS

cold vapour atomic absorption spectrometry

phép đo quang phổ hấp thụ nguyên tử kỹ thuật hóa hơi lạnh

GF-AAS

graphite furnace atomic absorption spectrometry

phép đo quang phổ hấp thụ nguyên tử dùng lò graphit

HG-AAS

hydride generation atomic absorption spectrometry

phép đo quang phổ hấp thụ nguyên tử hóa hơi hydrua

ICP-OES

inductively coupled plasma - optical emission spectrometry

phép đo ph phát xạ quang plasma cặp cảm ứng

ICP-MS

inductively coupled plasma - mass spectrometry

phép đo quang phổ plasma cảm ứng cao tần kết nối khối phổ

5 Nguyên tắc

Dùng axit nitric, hydro peroxit và axit flohydric phân hủy mẫu phân tích trong bình kín làm từ flo polyme trong lò vi sóng hoặc tủ sấy dùng điện tr hoặc thiết bị gia nhiệt. Dung dịch phân hủy sau đó được pha loãng và sử dụng các thiết bị phù hợp để xác định các nguyên tố.

6 Thuốc thử

Tất cả các thuc thử phải có độ tinh khiết ở cấp phân tích hoặc cao hơn. Nếu mức trắng cao vượt quá mức chấp nhận được, tức là cao hơn 30 % giá trị xác định được, việc sử dụng thuốc thử siêu tinh khiết cần được khảo nghiệm.

6.1  Nước, chứa một lượng nguyên tố phụ rất nhỏ, tức là một lượng không gây ảnh hưởng đến việc xác định.

CHÚ THÍCH 1  Nước khử ion hoặc nước ct hai lần đáp ứng các yêu cầu này.

CHÚ THÍCH 2  Nước sử dụng cho việc phân tích vết kim loại thường được tạo ra từ hệ thống nước siêu tinh khiết trong phòng thí nghiệm có độ dẫn điện là 0,056 μS/cm.

6.2  Axit flohydric (HF), 40 % (theo khối lượng), ρ = 1,13 g/ml.

CẢNH BÁO  Axit flohydric có thể gây nguy hiểm cho sức khỏe.

6.3  Hydro peroxit (H2O2), 30 % (theo khối lượng), ρ = 1,11 g/ml.

6.4  Axit nitric (HNO3), 65 % (theo khối lượng), ρ = 1,41 g/ml.

6.5  Axit boric (H3BO3), 4 % (theo khối lượng)

6.6  Vật liệu đối chứng được chứng nhận (CRM hoặc SRM)

Sử dụng vật liệu đối chứng được chứng nhận để kiểm tra xem độ chính xác của phép hiệu chuẩn có đáp ứng được yêu cầu về các tính chất đặc trưng hay không.

Ví dụ  vật liệu đối chứng được chứng nhận là SRM 1570 lá rau bina (spinach leaves), SRM 1571 lá rau ăn quả (orchard leaves), SRM 1573 lá cà chua (tomato leaves) và SRM 1575 lá thông (pine needles).

Nếu do ảnh hưởng của chất nền hoặc giới hạn dải nồng độ mà lượng vật liệu đối chứng thu hồi được ít thì có thể hiệu chuẩn với ít nhất hai vật liệu CRM hoặc SRM để giải quyết những vấn đề này. Trong trường hợp đó, vật liệu CRM hoặc SRM ngoài sử dụng để hiệu chuẩn còn có thể sử dụng để kiểm chứng.

CHÚ THÍCH  Một CRM hoặc một SRM được chuẩn bị và sử dụng cho ba mục đích chính:

1) giúp xây dựng các phương pháp phân tích chính xác;

2) hiệu chuẩn hệ thống đo sẽ tạo thuận lợi cho việc trao đổi hàng hóa, tạo lập việc kiểm soát chất lượng, xác định các tính chất đặc trưng, hoặc xác định giới hạn cao nhất của một tính chất nào đó;

3) để đảm bảo tính đầy đủ và toàn vẹn lâu dài của chương trình đánh giá chất lượng phép đo.

7 Thiết bị, dụng cụ

7.1  Tủ sấy hoặc thiết bị gia nhiệt phù hợp với hệ thống phân hủy khi sử dụng, tủ sấy dùng điện trở hoặc thiết bị gia nhiệt có thể sử dụng ở nhiệt độ ít nhất là 220 °C và có độ chính xác là ± 10 °C.

7.2  Lò vi sóng, sử dụng trong phòng thí nghiệm và ưu tiên loại có thiết bị kiểm soát nhiệt độ.

7.3  Bình phân hủy mẫu, sử dụng với hệ thống gia nhiệt, thường được làm từ chất dẻo flo.

7.4  Cân, với độ chính xác ít nhất là 1 mg.

7.5  Bình định mức bằng nhựa.

8 Chuẩn bị mẫu thử

Mẫu thử là mẫu phân tích chung với cỡ danh nghĩa lớn nhất là 1 mm, được chuẩn bị theo TCVN 13884 (ISO 14780). Đ nghiền mẫu, đặc cần biệt lưu ý đến nguy cơ bị nhiễm bẩn từ quá trình chuẩn bị mẫu. Vật liệu được chọn phụ thuộc vào các nguyên tố cần xác định. Ví dụ, nếu xác định crom và niken ở mức hàm lượng thấp nhưng cần độ chính xác cao thì các phần của máy nghiền tiếp xúc với mẫu không nên làm bằng vật liệu thép không gỉ, sử dụng cacbua vonfram hoặc titan thay thế. Do tốc độ mài mòn cao hơn, nên tránh sử dụng máy nghiền tốc độ cao.

Kết quả được tính toán ở trạng thái khô. Do vậy, hàm lượng ẩm của mẫu th phải xác định bằng phương pháp mô tả trong TCVN 13887-3 (ISO 18134-3).

9 Cách tiến hành

9.1  Phân hủy

- Trong bình phân hủy, cân 400 mg đến 500 mg mẫu đồng nhất, chính xác đến 1 mg.

- Thêm 2,5 ml hydro peroxit (30 %) và đợi 1 min đến 5 min.

- Thêm 5 ml axit nitric (65 %).

- Thêm 0,4 ml axit flohydric (40 %) và đóng kín bình phân hủy mẫu. Có thể không dùng axit flohydric nếu chứng minh được rằng các kết quả tương đương với nhiên liệu sinh học rắn loại hiện có. Khi sử dụng axit flohydric, thiết bị dùng phân tích cần trang bị các bộ phận chống ăn mòn axit này.

CHÚ THÍCH 1  Đối với axit flohydric có nồng độ tương đối thấp, thường chỉ điều chỉnh khi sử dụng các thiết bị ICP-OES hoặc ICP-MS có ống phun chịu axit flohydric. Nhà sản xuất thiết bị có thể cung cấp thông tin liên quan đến việc sử dụng axit flohydric.

Trong một số trường hợp, có th sử dụng axit boric để tạo phức axit fiohydric, đặc biệt khi sử dụng GF-AAS hoặc ICP-OES. Điều này sẽ xác nhận được tính hợp lệ cho các thiết bị thực tế. Chú ý khi sử dụng axit boric với độ tinh khiết cần thiết.

- Gia nhiệt mẫu theo chương trình gia nhiệt dưới đây để phân hủy

Gia nhiệt bằng điện trở[2]

Bước 1 trong vòng 1 h gia nhiệt đến 220 °C, tốc độ là 3,33 °C/min

 

Bước 2 giữ trong 1 h tại nhiệt độ 220 °C.

CHÚ THÍCH 2  Một vài hệ thống bình cao áp phân hủy hiện nay sử dụng bình flo polyme không chịu được nhiệt độ trên 170 °C. Trong trường hợp này, có thể sử dụng nhiệt độ thấp hơn miễn là có thể đưa ra các kết quả so sánh được như khi sử dụng ở nhiệt độ 220 °C, ví dụ bằng cách sử dụng vật liệu chuẩn sinh khối tương đương.

Gia nhiệt bằng lò vi sóng[3]

Bước 1 trong vòng 15 min gia nhiệt đến 190 °C

 

Bước 2 giữ trong 20 min tại nhiệt độ 190 °C.

- Sau khi để nguội, chuyển dung dịch phân hủy sang bình định mức. Rửa kỹ bình phân hủy bằng nước có độ tinh khiết cao và chuyển hỗn hợp nước rửa vào bình định mức. Tùy thuộc vào phương pháp phát hiện được sử dụng, thêm lượng nước đến thể tích phù hợp.

9.2  Phương pháp phát hiện

- As, Cd, Co, Cr, Cu, Hg, Mn, Mo, Ni, Pb, Sb, Se, Sn, Ti, V và Zn có thể được phát hiện bởi ICP-OES, hoặc GF-AAS miễn là giới hạn phát hiện của phương pháp sử dụng đủ để xác minh được các thông số kỹ thuật của nhiên liệu.

- Có thể xác định được As và Se bằng cách sử dụng HG-AAS theo các nguyên tắc được mô tả trong TCVN 11799-2 (ISO 17378-2).

- Có thể xác định được Hg bằng cách sử dụng CV-AAS theo các nguyên tắc được mô tả trong EN 12338.

- Có thể sử dụng ICP-OES theo các nguyên tắc được mô tả trong TCVN 6665 (ISO 11885).

- Có thể sử dụng ICP-MS theo các nguyên tắc được mô tả trong ISO 17294-2.

- Có thể tiến hành với các phương pháp sử dụng thiết bị khác sau khi đã xác nhận tính hợp lệ thông qua vật liệu đối chứng sinh khối của một loại phù hợp và đưa ra được các tính chất đặc trưng là tương tự với tính chất được mô tả trong tiêu chuẩn này.

9.3 Hiệu chuẩn thiết bị

Khi đánh giá hệ thống phân tích lần đầu, cần thiết lập một hàm hiệu chuẩn đối cho phép đo theo hướng dẫn của nhà sản xuất. Điều chỉnh hàm hiệu chuẩn được thiết lập trong quá trình phân tích nếu cần. Kiểm tra tính năng thiết bị bằng cách dùng các quy trình chuẩn được chấp nhận như phân tích hai lần xác định, sử dụng CRM và hoặc vật liệu đối chứng chuẩn (SRM), mẫu kiểm soát và tạo các biểu đồ kiểm soát. Việc hiệu chuẩn và chương trình kiểm soát chất lượng được tổ chức và duy trì để có thể thu được độ không đảm bảo đo yêu cầu. Các kết quả của nghiên cứu xác nhận theo Phụ lục A chứng minh hiệu chuẩn có thể đạt được với các thiết bị thương mại thực hiện ở các phòng thí nghiệm có kinh nghiệm.

9.4  Phân tích dung dịch phân hủy

Phân tích dung dịch phân hủy theo hướng dẫn của nhà sản xuất.

9.5  Thử nghiệm trắng

Tiến hành thử nghiệm trắng, sử dụng cùng một quy trình và phương pháp như mô tả trong 9.1 đến 9.4, tương ứng, nhưng không có phần mẫu thử. Điều này đánh giá cả hàm lượng nguyên tố trong thuốc thử cũng như bất kỳ sự nhiễm bẩn nào từ thiết bị và môi trường phòng thí nghiệm. Giá trị mẫu phải được trừ đi giá trị trắng. Ảnh hưng này không đáng kể về mặt định lượng, nếu hàm lượng các nguyên tố trong dung dịch phân hủy cao hơn 30 % so với hàm lượng các nguyên tố trong dung dịch trắng, giá trị trắng phải ghi lại và xem xét sử dụng thuốc thử chất lượng tốt hơn.

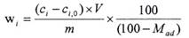
10 Tính toán

Hàm lượng một nguyên tố trong mẫu ở trạng thái khô là giá trị trung bình của hai lần xác định, wi biểu thị bằng mg/kg, được xác định theo công thức (1):

(1)

trong đó

wi

là nồng độ một nguyên tố trong mẫu ở trạng thái khô, tính bằng mg/kg;

ci

là nồng độ một nguyên tố trong dung dịch phân hủy mẫu đã pha loãng, tính bằng mg/l;

ci,0

là nồng độ một nguyên tố trong dung dịch thử nghiệm trắng, tính bằng mg/l;

V

là thể tích dung dịch phân hủy mẫu đã pha loãng, tính bằng ml;

m

là khối lượng phần mẫu thử sử dụng, tính bằng g;

Mad

là hàm lượng ẩm của mẫu thử phân tích, tính bằng phần theo khối lượng (%).

Các kết quả có thể được tính ở trạng thái khác, ví dụ ở trạng thái khi nhận mẫu theo ISO 16993.

11 Các tính chất đặc trưng

Dữ liệu đặc trưng nhận được đưa ra trong Phụ lục A hiển thị kết quả thu được thông qua nghiên cứu so sánh ở Châu Âu thực hiện trên một mẫu dăm gỗ và một mẫu bã ô-liu thải. Hai mẫu này đại diện cho giới hạn cao nhất của phương pháp. Mẫu dăm gỗ đại diện cho mẫu có hàm lượng của hầu hết các nguyên tố là thấp, mẫu bã ô-liu đại diện cho mẫu có hàm lượng của hầu hết các nguyên tố là cao.

11 Báo cáo thử nghiệm

Báo cáo thử nghiệm phải bao gồm ít nhất các thông tin sau:

a) nhận diện phòng thí nghim thực hiện thử nghiệm và ngày thử nghiệm;

b) nhận diện sản phẩm (mẫu) được thử;

c) viện dẫn tiêu chuẩn này;

d) phương pháp phân hủy đã sử dụng và phương pháp thử được lựa chọn để xác định;

e) kết quả thử nghiệm bao gồm cả trạng thái mẫu thử, được chỉ ra trong Điều 10;

f) bất kỳ đặc điểm bất thường nào được ghi nhận trong quy trình thử nghiệm;

g) bất kỳ sai khác nào so với tiêu chuẩn này hoặc như một tùy chọn.

 

Phụ lục A

(tham khảo)

Dữ liệu đặc trưng

Một thử nghiệm liên phòng được thực hiện ở các phòng thí nghiệm tại Áo, Bỉ, Đan Mạch, Phần Lan, Đức, Ai-len, Ý, Hà Lan, Tây Ban Nha, Thụy Điển và Vương Quốc Anh. Nhiều thiết bị và các điều kiện phân tích khác được sử dụng phải phù hợp với các thông số chất lượng được quy định trong phương pháp.

Thực hiện các thử nghiệm với hai mẫu, dăm gỗ và bã ô-liu thải được sản xuất từ dự án EU BioNorm theo TCVN 13884 (ISO 14780 with Amd 1:2019). Mẫu “dăm gỗ” có nguồn gốc từ dăm gỗ cây lá kim của Đức; các dăm được sấy và băm đến 1 mm bằng thiết bị cắt. Mẫu “bã ô-liu thải” thu được từ ngành công nghiệp dầu ô-liu tại Tây Ban Nha trong một cơ sở lưu trữ ngoài trời điển hình. Trong mẫu gốc, cũng xuất hiện đá và các tạp chất tự nhiên khác. Dùng tay loại bỏ các tạp chất và đá này, chuẩn bị mẫu từ bã theo hai bước bằng cách dùng thiết bị cắt thô có trang bị một sàng 10 mm và dùng thiết bị cắt phòng thí nghiệm có trang bị dụng cụ cắt WC và sàng 1 mm.

Tất cả dữ liệu được báo cáo khi mẫu ở trạng thái khô.

Dữ liệu đặc trưng theo TCVN 6910-2 (ISO 5725-2) được đưa ra trong các Bảng từ Bảng A.1 đến Bảng A.13. Danh sách kỹ thuật của thử nghiệm liên phòng được đưa ra trong Bảng A.14.

CHÚ THÍCH 1  Xem Bảng A.1 đối với giải thích các ký hiệu trong các Bảng từ Bng A.1 đến Bảng A.13.

CHÚ THÍCH 2  Xem Phụ lục C ISO 16993 về cách sử dụng các thông số xác nhận tính hợp lệ.

Bảng A.1 - Dữ liệu đặc trưng của asen (As)

Mẫu

n

l

o

%

x

mg/kg

sR

mg/kg

CVR

%

sr

mg/kg

CVr

%

Dăm gỗ

6

27

10

0,036

0,023

64

0,012

34

Bã ô-liu thải

8

38

7,3

0,60

0,057

9,5

0,036

6,0

Giải thích các ký hiệu

n

là số lượng các phòng thí nghiệm sau khi loại bỏ số lạc (giá trị bất thường)

l

là số lượng số lạc (giá trị bất thường) không chứa giá trị phân tích đơn lẻ

o

là phần trăm của giá trị bên ngoài từ hai lần xác định

x

là trung bình của tổng thể

Sr

là độ lệch chuẩn tái lập

CVR

là hệ số biến động của độ tái lập

Sr

là độ lệch chuẩn lặp lại

CVr

là hệ số biến động của độ lặp lại

Bảng A.2 - Dữ liệu đặc trưng của cadimi (Cd)

Mu

n

l

o

%

x

mg/kg

sR

mg/kg

CVR

%

sr

mg/kg

CVr

%

Dăm gỗ

13

63

3,1

0,32

0,021

6,4

0,009

2,9

Bã ô-liu thải

8

40

0

0,025

0,0057

23

0,0050

20

Bảng A.3 - Dữ liệu đặc trưng của coban (Co)

Mẫu

n

l

o

%

x

mg/kg

sR

mg/kg

CVR

%

sr

mg/kg

CVr

%

Dăm gỗ

9

43

4,4

0,34

0,033

9,7

0,010

2,9

Bã ô-liu thải

11

54

1,8

1,04

0,128

12

0,056

5,4

Bảng A.4 - Dữ liệu đặc trưng của crom (Cr)

Mẫu

n

l

o

%

x

mg/kg

sR

mg/kg

CVR

%

sr

mg/kg

CVr

%

Dăm gỗ

9

43

4,4

0,37

0,12

31

0,077

21

Bã ô-liu thải

15

72

4

14,3

3,4

24

1,08

7,6

Bảng A.5 - Dữ liệu đặc trưng của đồng (Cu)

Mẫu

n

l

o

%

x

mg/kg

sR

mg/kg

CVR

%

sr

mg/kg

CVr

%

Dăm gỗ

12

57

6,6

1,29

0,16

12

0,091

7,0

Bã ô-liu thải

15

75

0

25

2,2

8,6

0,85

3,4

Bảng A.6 - Dữ liệu đặc trưng của thủy ngân (Hg)

Mẫu

n

l

o

%

x

mg/kg

sR

mg/kg

CVR

%

sr

mg/kg

CVr

%

Dăm gỗ

6

27

3,6

0,0072

0,0016

23

0,0010

13

Bã ô-liu thải

10

44

2,2

0,012

0,0048

40

0,0026

22

Bảng A.7 - Dữ liệu đặc trưng của mangan (Mn)

Mẫu

n

l

o

%

x

mg/kg

sR

mg/kg

CVR

%

sr

mg/kg

CVsr

%

Dăm gỗ

14

69

1,4

261

18

6,78

3,78

1,4

Bã ô-liu thải

15

73

2,7

40,2

2,5

6,30

1,46

3,6

Bảng A.8 - Dữ liệu đặc trưng của molypden (Mo)

Mẫu

n

l

o

%

x

mg/kg

sR

mg/kg

CVR

%

sr

mg/kg

CVr

%

Dăm gỗ

5

23

0

0,028

0,015

52

0,012

41

Bã ô-liu thải

8

37

7,5

0,22

0,056

25

0,018

8,2

Bảng A.9 - Dữ liệu đặc trưng của niken (Ni)

Mẫu

n

l

o

%

x

mg/kg

sR

mg/kg

CVR

%

sr

mg/kg

CVr

%

Dăm gỗ

10

47

0

0,60

0,103

17

0,042

7,0

Bã ô-liu thải

11

54

1,8

12,5

0,82

6,5

0,68

5,4

Bảng A.10 - Dữ liệu đặc trưng của chì (Pb)

Mẫu

n

l

o

%

x

mg/kg

sR

mg/kg

CVR

%

sr

mg/kg

CVr

%

Dăm gỗ

9

41

10,9

0,75

0,117

16

0,072

9,6

Bã ô-liu thải

13

56

6,7

3,83

0,575

15

0,357

9,3

Bảng A.11 - Dữ liệu đặc trưng của antimon (Sb)

Mẫu

n

l

o

%

x

mg/kg

sR

mg/kg

CVR

%

sr

mg/kg

CVr

%

Dăm gỗ

5

25

0

0,013

0,0042

31

0,001

10

Bã ô-liu thải

5

24

4

0,094

0,014

15

0,010

11

Bảng A.12 - Dữ liệu đặc trưng của vanadi (V)

Mẫu

n

l

o

%

x

mg/kg

sR

mg/kg

CVR

%

sr

mg/kg

CVr

%

Dăm gỗ

9

42

4,5

0,076

0,018

23

0,009

12

Bã ô-liu thải

11

51

7,3

4,26

0,45

11

0,21

4,9

Bảng A.13 - Dữ liệu đặc trưng của kẽm (Zn)

Mẫu

n

l

o

%

x

mg/kg

sR

mg/kg

CVR

%

sr

mg/kg

CVr

%

Dăm gỗ

15

70

5,4

13,8

1,94

14

0,67

4,8

Bã ô-liu thải

15

71

5,3

18,2

1,97

11

0,83

4,5

Bảng A.14 - Danh sách kỹ thuật của thử nghiệm liên phòng

Phương pháp sử dụng

Số lượng phòng thí nghiệm

(16 phòng thí nghiệm tham gia)

Không có thông tin

2

Phân hủy trong lò vi sóng ICP-OES và ICP-MS, HG-AAS, CV-AAS

12

Máy phân tích Hg

2

 

Thư mục tài liệu tham khảo

[1] TCVN 6910-2 (ISO 5725-2), Độ chính xác (độ đúng và độ chụm) của phương pháp đo và kết quả đo - Phần 2: Phương pháp cơ bản xác định độ lặp lại và độ tái lập của phương pháp đo tiêu chuẩn.

[2] ISO 17225-1:2014, Solid biofuels - Fuel specifications and classes - Part 1: General requirements.

[3] ISO/TS 21748:2004, Guidance for the use of repeatability, reproducibility and trueness estimates in measurement uncertainty estimation.

[4] EN 14774, Solid biofuels - Determination of moisture content - Oven dry method - Part 3 Moisture in general analysis sample

[5] EN 15586-2008, Water quality - Determination of trace elements using atomic absorption spectrometry with graphite furnace.

[6] NIST definitions:http://ts.nist.gov/MeasurementServices/ReferenceMaterials/DEFINITIONS.cfm

[7] NIST Technical note 1297:1994, Guidelines for evaluating and expressing the uncertainty of NIST measurement results


[1] NIST là tên viết tắt của Viện Tiêu chuẩn và Công nghệ Quốc gia Hoa Kỳ.

[2] Nhiệt độ ấn định dựa vào thiết bị gia nhiệt (ví dụ tủ sấy)

[3] Nhiệt độ n định dựa vào dung dịch phân hủy

Bạn chưa Đăng nhập thành viên.

Đây là tiện ích dành cho tài khoản thành viên. Vui lòng Đăng nhập để xem chi tiết. Nếu chưa có tài khoản, vui lòng Đăng ký tại đây!

* Lưu ý: Để đọc được văn bản tải trên Luatvietnam.vn, bạn cần cài phần mềm đọc file DOC, DOCX và phần mềm đọc file PDF.

văn bản cùng lĩnh vực

văn bản mới nhất

CHÍNH SÁCH BẢO VỆ DỮ LIỆU CÁ NHÂN
Yêu cầu hỗ trợYêu cầu hỗ trợ
Chú thích màu chỉ dẫn
Chú thích màu chỉ dẫn:
Các nội dung của VB này được VB khác thay đổi, hướng dẫn sẽ được làm nổi bật bằng các màu sắc:
Sửa đổi, bổ sung, đính chính
Thay thế
Hướng dẫn
Bãi bỏ
Bãi bỏ cụm từ
Bình luận
Click vào nội dung được bôi màu để xem chi tiết.
×