• Tổng quan
  • Nội dung
  • Tiêu chuẩn liên quan
  • Lược đồ
  • Tải về
Lưu
Đây là tiện ích dành cho tài khoản Tiêu chuẩn hoặc Nâng cao . Vui lòng Đăng nhập tài khoản để xem chi tiết.
Theo dõi VB
Đây là tiện ích dành cho tài khoản Tiêu chuẩn hoặc Nâng cao . Vui lòng Đăng nhập tài khoản để xem chi tiết.
Ghi chú
Báo lỗi
In

Tiêu chuẩn TCVN 14275:2024 Nhiên liệu sinh học rắn - Xác định các nguyên tố chính - Nhôm, canxi, sắt, magiê, phospho, kali, silic, natri và titan

Ngày cập nhật: Thứ Hai, 19/05/2025 16:21 (GMT+7)
Số hiệu: TCVN 14275:2024 Loại văn bản: Tiêu chuẩn Việt Nam
Cơ quan ban hành: Bộ Khoa học và Công nghệ Lĩnh vực: Tài nguyên-Môi trường
Trích yếu: ISO 16967:2015 Nhiên liệu sinh học rắn - Xác định các nguyên tố chính - Nhôm, canxi, sắt, magiê, phospho, kali, silic, natri và titan
Ngày ban hành:
Ngày ban hành là ngày, tháng, năm văn bản được thông qua hoặc ký ban hành.
31/12/2024
Hiệu lực:
Đã biết
Tiện ích dành cho tài khoản Tiêu chuẩn hoặc Nâng cao. Vui lòng Đăng nhập tài khoản để xem chi tiết.
Người ký: Đang cập nhật
Tình trạng hiệu lực:
Cho biết trạng thái hiệu lực của văn bản đang tra cứu: Chưa áp dụng, Còn hiệu lực, Hết hiệu lực, Hết hiệu lực 1 phần; Đã sửa đổi, Đính chính hay Không còn phù hợp,...
Đã biết
Tiện ích dành cho tài khoản Tiêu chuẩn hoặc Nâng cao. Vui lòng Đăng nhập tài khoản để xem chi tiết.

TÓM TẮT TIÊU CHUẨN VIỆT NAM TCVN 14275:2024

Tiêu chuẩn quốc gia TCVN 14275:2024 ISO 16967:2015: Các quy định cho xác định nguyên tố chính trong nhiên liệu sinh học rắn

Tiêu chuẩn quốc gia TCVN 14275:2024 ISO 16967:2015 được ban hành nhằm quy định phương pháp xác định các nguyên tố chính trong tro của nhiên liệu sinh học rắn, bao gồm nhôm, canxi, sắt, magiê, phospho, kali, silic, natri và titan. Tiêu chuẩn này được biên soạn bởi Ban kỹ thuật tiêu chuẩn quốc gia TCVN/TC238 và đã được công bố bởi Bộ Khoa học và Công nghệ. Văn bản có hiệu lực từ ngày ban hành.

Tiêu chuẩn này cung cấp hai phương pháp xác định các nguyên tố:

  • Phương pháp A xác định trực tiếp trên nhiên liệu.
  • Phương pháp B xác định trên tro đã nung ở nhiệt độ 550 °C.

Việc xác định các nguyên tố này không chỉ giúp đánh giá tính chất của tro mà còn đánh giá mức độ nhiễm bẩn của nhiên liệu do các thành phần bên ngoài như cát hay đất. Tiêu chuẩn này hỗ trợ các tổ chức, cơ sở sản xuất trong việc kiểm soát chất lượng nguyên liệu nhiên liệu sinh học và đảm bảo tính bền vững trong sản xuất.

Một điểm nổi bật trong tiêu chuẩn là việc sử dụng vật liệu đối chứng để đảm bảo tính chính xác của phép đo, đồng thời quy định rõ ràng các loại thuốc thử và thiết bị cần sử dụng trong quy trình phân tích. Các phương pháp phát hiện như ICP-OES và AAS được chỉ định để xác định nồng độ các nguyên tố mục tiêu trong dung dịch phân hủy.

Bên cạnh đó, tiêu chuẩn cũng nêu rõ các yêu cầu về chuẩn bị mẫu, phương pháp phân hủy và phân tích dung dịch, nhằm đảm bảo rằng quy trình thực hiện đáp ứng tiêu chuẩn chất lượng và độ tin cậy.

TCVN 14275:2024 không chỉ đơn thuần là một quy định kỹ thuật mà còn là một công cụ thiết yếu giúp các doanh nghiệp trong ngành chế biến nhiên liệu sinh học thực hiện các phép thử chính xác để duy trì tiêu chuẩn chất lượng.

Ngày ban hành: chưa ghi rõ, ngày có hiệu lực: từ ngày công bố. Tiêu chuẩn này không thay thế văn bản nào trước đó.

Tải tiêu chuẩn Việt Nam TCVN 14275:2024

Tải văn bản tiếng Việt (.pdf) Tiêu chuẩn Việt Nam TCVN 14275:2024 PDF (Bản có dấu đỏ)

Đây là tiện ích dành cho tài khoản thành viên. Vui lòng Đăng nhập để xem chi tiết. Nếu chưa có tài khoản, Đăng ký tại đây!

Tải văn bản tiếng Việt (.doc) Tiêu chuẩn Việt Nam TCVN 14275:2024 DOC (Bản Word)

Đây là tiện ích dành cho tài khoản thành viên. Vui lòng Đăng nhập để xem chi tiết. Nếu chưa có tài khoản, Đăng ký tại đây!

Tình trạng hiệu lực: Đã biết
Hiệu lực: Đã biết
Tình trạng hiệu lực: Đã biết

TIÊU CHUẨN QUỐC GIA

TCVN 14275:2024

ISO 16967:2015

NHIÊN LIỆU SINH HỌC RẮN - XÁC ĐỊNH CÁC NGUYÊN TỐ CHÍNH - NHÔM, CANXI, SẮT, MAGIÊ, PHOSPHO, KALI, SILIC, NATRI VÀ TITAN

Solid biofuels - Determination of major elements - Al, Ca, Fe, Mg, P, K, Si, Na and Ti

Lời nói đầu

TCVN 14275:2024 hoàn toàn tương đương với ISO 16967:2015.

TCVN 14275:2024 do Ban kỹ thuật tiêu chuẩn quốc gia TCVN/TC238 Nhiên liệu sinh học rắn biên soạn, Viện Tiêu chuẩn Chất lượng Việt Nam đề nghị, Ủy ban Tiêu chuẩn Đo lường Chất lượng Quốc gia thẩm định, Bộ Khoa học và Công nghệ công bố.

 

Lời giới thiệu

Các nguyên t được coi là các nguyên tố chính của nhiên liệu sinh học rắn trên thực tế là các nguyên tố chủ yếu trong tro nhiên liệu nhiều hơn là trong nhiên liệu. Việc xác định các nguyên tố này có thể được dùng để đánh giá tính chất của tro trong quá trình chuyển hóa nhiệt hoặc để đánh giá việc sử dụng của tro. Ngoài ra, sự nhiễm bẩn nhiên liệu hoặc chất phụ gia được biểu thị thông qua các giá trị lớn của các nguyên tố đã biết. Sự nhiễm bẩn của nhiên liệu với cát hoặc đất được biểu thị thông qua các giá trị lớn của một số nguyên tố.

Tiêu chuẩn này mô tả phương pháp hóa ướt.

 

NHIÊN LIỆU SINH HỌC RẮN - XÁC ĐỊNH CÁC NGUYÊN TỐ CHÍNH - NHÔM, CANXI, SẮT, MAGIÊ, PHOSPHO, KALI, SILIC, NATRI VÀ TITAN

Solid biofuels - Determination of major elements - Al, Ca, Fe, Mg, P, K, Si, Na and Ti

1 Phạm vi áp dụng

Tiêu chuẩn này quy định phương pháp xác định các nguyên tố chính gồm nhôm, canxi, sắt, magiê, phospho, kali, silic, natri, titan trong tro của nhiên liệu sinh học rắn. Tiêu chuẩn này cũng có thể dùng để xác định các nguyên tố khác là bari (Ba) và mangan (Mn).

Tiêu chuẩn này gồm hai phương pháp: Phương pháp A xác định trực tiếp trên nhiên liệu, phương pháp này cũng có thể dùng để xác định lưu huỳnh và các nguyên tố phụ. Phương pháp B xác định trên tro đã nung ở nhiệt độ 550 °C.

2 Tài liệu viện dẫn

Các tài liệu viện dẫn sau đây rất cần thiết cho việc áp dụng tiêu chuẩn này. Đối với các tài liệu viện dẫn ghi năm công bố thì áp dụng bản được nêu. Đối với các tài liệu viện dẫn không ghi năm công bố thì áp dụng phiên bản mới nhất, bao gồm cả các sửa đổi, bổ sung (nếu có).

TCVN 6196-1 (ISO 9964-1) Chất lượng nước - Xác định natri và kali - Phần 1: Xác định natri bằng trắc phổ hấp thụ nguyên tử.

TCVN 6196-2 (ISO 9964-2) Chất lượng nước - Xác định natri và kali - Phần 2: Xác định kali bằng trắc phổ hấp thụ nguyên tử.

TCVN 6196-3 (ISO 9964-3) Chất lượng nước - Xác định natri và kali - Phần 3: Xác định natri và kali bằng đo phổ phát xạ ngọn lửa.

TCVN 6201 (ISO 7980) Chất lượng nước - Xác định canxi và magie - Phương pháp quang phổ hấp thụ nguyên tử.

TCVN 6665 (ISO 11885) Chất lượng nước - Xác định nguyên tố chọn lọc bằng phổ phát xạ quang plasma cặp cảm ứng (ICP-OES)

TCVN 13652 (ISO 18122) Nhiên liệu sinh học rắn - Xác định hàm lượng tro.

TCVN 13884 (ISO 14780 with Amd 1) Nhiên liệu sinh học rắn - Chuẩn bị mẫu.

TCVN 13887-3 (ISO 18134-3) Nhiên liệu sinh học rắn - Xác định hàm lượng ẩm - Phần 3: Hàm lượng ẩm trong mẫu phân tích chung

ISO 16559 Solid biofuels - Terminology, definitions and descriptions (Nhiên liệu sinh học rắn - Thuật ngữ, định nghĩa và mô tả).

ISO 16993 Solid biofuels - Conversion of analytical results from one basis to another (Nhiên liệu sinh học rắn - Chuyển đi các kết quả phân tích từ cơ sở này sang cơ sở khác).

ISO 17294-2 Water quality - Application of inductively coupled plasma mass spectrometry (ICP-MS) - Part 2: Determination of 62 elements (Chất lượng nước - Phép đo quang phổ plasma cảm ứng cao tần kết nối khối phổ (ICP-MS) - Phần 2: Xác định 62 nguyên tố.

3 Thuật ngữ và định nghĩa

Trong tiêu chuẩn này, sử dụng các thuật ngữ và định nghĩa nêu trong ISO 16559 và các thuật ngữ, định nghĩa sau:

3.1

Vật liệu đối chứng (reference material)

RM

Vật liệu hoặc chất có một hoặc nhiều giá trị tính chất đủ đồng nhất và được thiết lập phù hợp để sử dụng cho hiệu chuẩn thiết bị, đánh giá phép đo hoặc ấn định giá trị cho vật liệu.

3.2

Vật liệu đối chứng được chứng nhận (certified reference material)

CRM

Vật liệu đối chứng, kèm theo giấy chứng nhận, có một hoặc nhiều giá trị tính chất đã được chứng nhận bằng quy trình thiết lập khả năng truy nguyên để thực hiện chính xác công việc, trong đó các giá trị tính chất được thể hiện và mỗi giá trị được chứng nhận có kèm theo độ không đảm bảo ở mức tin cậy đã được công bố.

3.3

Vật liệu đối chứng chuẩn của NIST [1] (NIST standard reference material)

SRM

CRM được tạo ra bi NIST, đáp ứng được các tiêu chí chứng nhận riêng do NIST bổ sung và được ban hành cùng chứng nhận hoặc chứng nhận phân tích thông qua kết quả báo cáo về các đặc trưng của nó và cung cấp được thông tin liên quan đến việc sử dụng vật liệu một cách thích hợp.

4 Ký hiệu và từ viết tắt

4.1  Ký hiệu

Al

Nhôm

Ca

Canxi

Fe

Sắt

Mg

Magiê

P

Phospho

K

Kali

Si

Silic

Na

Natri

Ti

Titan

4.2  Từ viết tắt

Từ viết tắt

Tiếng Anh

Ý nghĩa

ICP-OES

inductively coupled plasma - optical emission spectrometry

phép đo phổ phát xạ quang plasma cặp cảm ứng

ICP-MS

inductively coupled plasma - mass spectrometry

phép đo quang phổ plasma cảm ứng cao tần kết nối khối phổ

FAAS

flame atomic absorption spectrometry

phép đo quang phổ hấp thụ nguyên tử ngọn lửa

FES

flame emission spectrometry

phép đo quang phổ phát xạ ngọn lửa

5 Nguyên tắc

Phân hủy mẫu trong bình kín bằng thuốc thử dưới điều kiện nhiệt độ và áp suất. Sự phân hủy hoặc được thực hiện trực tiếp trên nhiên liệu (phương pháp A) hoặc trên mẫu tro đã nung ở nhiệt độ 550 °C (phương pháp B).

Phát hiện các nguyên tố có thể thực hiện được thông qua ICP-OES, ICP-MS, FAAS hoặc FES.

6 Thuốc thử

Tất cả các thuốc thử phải có độ tinh khiết ở cấp phân tích hoặc cao hơn. Phải sử dụng thuốc thử có cấp chất lượng cao nhất nếu xác định cả các nguyên tố phụ.

6.1  Nước, chứa một lượng nguyên tố chính rất nhỏ, tức là một lượng không gây ảnh hưởng đến việc xác định. Nước khử ion đáp ứng các yêu cầu này.

6.2  Axit nitric (HNO3), 65 % (theo khối lượng), ρ = 1,41 g/ml.

6.3  Hydro peroxit (H2O2), 30 % (theo khối lượng), ρ = 1,11 g/ml.

6.4  Axit flohydric (HF), 40 % (theo khối lượng), ρ = 1,13 g/ml.

CẢNH BÁO  Axit flohydric có thể gây nguy hại cho sức khỏe.

6.5  Axit boric (H3BO3), 4 % (theo khối lượng).

6.6  Vật liệu đối chứng được chứng nhận (CRM hoặc SRM)

Sử dụng vật liệu đối chứng được chứng nhận để kiểm tra xem độ chính xác của phép hiệu chuẩn có đáp ứng được yêu cầu về các tính chất đặc trưng hay không. Ví dụ vật liệu đối chứng được chứng nhận là SRM 1570 lá rau bina (spinach leaves), SRM 1571 lá rau ăn quả (orchard leaves), SRM 1573 lá cà chua (tomato leaves) và SRM 1575 lá thông (pine needles).

Nếu do ảnh hưởng của chất nền hoặc giới hạn dải nồng độ mà lượng vật liệu đối chứng thu hồi được ít thì có thể hiệu chuẩn với ít nhất hai vật liệu CRM hoặc SRM để giải quyết những vấn đề này. Trong trường hợp đó, vật liệu CRM hoặc SRM ngoài sử dụng để hiệu chuẩn còn có thể sử dụng để kiểm chứng.

CHÚ THÍCH  Một CRM hoặc một SRM được chuẩn bị và sử dụng cho ba mục đích chính:

1) giúp xây dựng các phương pháp phân tích chính xác;

2) hiệu chuẩn hệ thống đo sẽ tạo thuận lợi cho việc trao đổi hàng hóa, tạo lập việc kiểm soát chất lượng, xác định các tính chất đặc trưng, hoặc xác định giới hạn cao nht của một tính cht nào đó;

3) để đảm bảo tính đầy đủ và toàn vẹn lâu dài của chương trình đánh giá chất lượng phép đo.

7 Thiết bị, dụng cụ

7.1  Tủ sấy hoặc thiết bị gia nhiệt phù hợp với hệ thống phân hủy khi sử dụng, tủ sấy dùng điện trở hoặc thiết bị gia nhiệt có thể sử dụng ở nhiệt độ ít nhất là 220 °C và có độ chính xác là ± 10 °C.

7.2  Lò vi sóng, sử dụng trong phòng thí nghiệm và được trang bị thiết bị kiểm soát nhiệt độ.

7.3  Bình phân hủy mẫu, sử dụng với hệ thống gia nhiệt, thường được làm từ chất dẻo flo.

7.4  Cân

7.4.1  Phương pháp A, Cân với độ chính xác ít nhất là 1 mg.

7.4.2  Phương pháp B, Cân với độ chính xác ít nhất là 0,1 mg.

7.5  Bình định mức bằng nhựa.

8 Chuẩn bị mẫu thử

Mẫu thử là mẫu phân tích chung với cỡ danh nghĩa lớn nhất là 1 mm, được chuẩn bị theo TCVN 13884 (ISO 14780).

Hàm lượng ẩm của mẫu thử phải xác định bằng phương pháp mô tả trong TCVN 13887-3 (ISO 18134-3).

9 Cách tiến hành

9.1 Phân hủy

9.1.1  Phương pháp A: Xác định trực tiếp trên nhiên liệu

Sự phân hủy phải tiến hành trong bình kín. Nó có thể được thực hiện trong tủ sấy, thiết bị gia nhiệt hoặc trong lò vi sóng.

- Trộn 500 mg mẫu nghiền và đồng nhất, cân chính xác đến 1 mg, với 3,0 ml H2O2 (30 %), 8,0 ml HNO3 (65 %) và 1,0 ml HF (40 %) trong một bình phân hủy kín. Giữ thời gian phản ứng ít nhất là 5 min trước khi đóng bình. Đóng bình phân hủy quá sớm có thể dẫn đến áp suất tích tụ nhanh, đôi khi vượt quá giới hạn áp suất tối đa của bình.

Nếu dự đoán mẫu có hàm lượng tro trên 10 % thì phải sử dụng 2,0 ml HF (40 %).

- Sự gia nhiệt bình không được quá nhanh. Gia nhiệt mẫu theo các chương trình gia nhiệt dưới đây để phân hủy

Gia nhiệt bằng điện trở[2]

Bước 1 gia nhiệt đến 220 °C trong vòng 1 h

 

Bước 2 giữ trong 1 h tại nhiệt độ 220 °C.

Gia nhiệt bằng lò vi sóng[3]

Bước 1 gia nhiệt đến 190 °C trong vòng 15 min

 

Bước 2 giữ trong 20 min tại nhiệt độ 190 °C.

Nếu giới hạn áp suất của bình vượt quá trong quá trình phân hủy và xảy ra van xả áp tự m thì bỏ dung dịch phân hủy do có thể hao hụt Si (dưới dạng khí SiF4).

CHÚ THÍCH  Một số hệ thống bình cao áp phân hủy hiện nay sử dụng các bình flo polyme không chịu được nhiệt độ trên 170 °C. Trong trường hợp này, có thể sử dụng nhiệt độ thấp hơn miễn là mẫu được giữ lâu hơn ở nhiệt độ này và có thể thu được các kết quả so sánh được như khi sử dụng ở nhiệt độ 220 °C, ví dụ bằng cách sử dụng các vật liệu đối chứng sinh khối tương đương.

- Sau khi để nguội đến nhiệt độ phòng, HF được trung hòa bằng cách thêm 10 ml H3BO3 (4 %).

Nếu 2,0 ml HF (40 %) được sử dụng để phân hủy, cần dùng 20 ml H3BO3 (4 %) đ trung hòa.

- Gia nhiệt lại mẫu theo các chương trình gia nhiệt dưới đây để trung hòa

Gia nhiệt bằng điện trở[4]

Bước 1 gia nhiệt nhanh đến 180 °C

 

Bước 2 giữ trong 15 min tại nhiệt độ 180 °C.

Gia nhiệt bằng lò vi sóng[5]

Bước 1 gia nhiệt nhanh đến 150 °C

 

Bước 2 giữ trong 15 min tại nhiệt độ 150 °C.

- Sau khi để nguội, chuyển dung dịch phân hủy sang bình định mức. Rửa kỹ bình phân hủy và chuyển hỗn hợp nước rửa vào bình định mức. Tùy thuộc vào phương pháp phát hiện được sử dụng, thêm nước khử ion vào dung dịch phân hủy đến thể tích phù hợp.

9.1.2  Phương pháp B: Xác định trên tro đã nung ở nhiệt độ 550 °C

- Gia nhiệt mẫu theo quy trình mô tả trong TCVN 13652 (ISO 18122) để thu tro. Cần đảm bảo rằng quy trình tro hóa được tiến hành chính xác theo quy trình này vì những sai khác trong nhiệt độ tro hóa, thời gian và tốc độ luân chuyển không khí sẽ ảnh hưởng đến kết quả. Theo những sai khác trong TCVN 13652 (ISO 18122), chỉ sử dụng chén nung làm từ platin hoặc graphit để chuẩn bị tro, nhưng có thể sử dụng loại chén nung lớn hơn. Đđảm bảo mẫu không bị cháy hoàn toàn trong quá trình chuẩn bị thì sử dụng các chất phụ gia nêu trong TCVN 13652 (ISO 18122). Ngoài ra, không cho phép tro hóa liên tục bằng cách đ lại mẫu vào lượng tro trước đó có trong chén nung.

Chuẩn bị một lượng tro đủ để phân hủy một lượng mẫu lớn hơn, so với quy trình đưa ra trong TCVN 13652 (ISO 18122) thường là cần thiết. Phần trăm tro ở trạng thái khô thu được từ tro đã nung sẽ được tính toán và so sánh với các kết quả thu được về hàm lượng tro ở trạng thái khô xác định trực tiếp theo TCVN 13652 (ISO 18122). Nếu biết hàm lượng tro đã nung, các kết quả của nguyên tố chính xác định được của tro đã nung có thể tính toán đối với trạng thái nhiên liệu.

- Đồng nhất tro đã nung trong cối mã não và nung lại tro đồng nhất ở nhiệt độ 550 °C trong thời gian 30 min.

CHÚ THÍCH 1  Cân phần mẫu thử của tro để phân hủy được thực hiện ngay sau khi chuẩn bị.

Để phân hủy tro các bước làm tiến hành tương tự như phân hủy trong nhiên liệu

- Trộn 50 mg tro nghiền và đồng nhất, cân chính xác đến 0,1 mg, với 2,0 ml H2O2 (30 %), 3,0 ml HNO3 (65 %) và 2,0 ml HF (40 %) trong một bình phân hủy kín. Giữ thời gian phản ứng ít nhất là 5 min trước khi đóng bình.

- Phân hủy mẫu theo một trong các chương trình gia nhiệt mô tả trong 9.1.1 để phân hủy

Nếu giới hạn áp suất của bình vượt quá trong quá trình phân hủy và xảy ra van xả áp tự mở thì bỏ dung dịch phân hủy do có thể hao hụt Si (dưới dạng khí SiF4).

- Sau khi để nguội đến nhiệt độ phòng, HF được trung hòa bằng cách thêm 20 ml H3BO3 (4 %) và 10 ml nước khử ion.

CHÚ THÍCH 2  Nước là cần thiết để giữ Kali (K) trong dung dịch tro sinh học với hàm lượng KCl cao.

- Gia nhiệt lại mẫu theo các chương trình gia nhiệt để trung hòa được mô tả trong 9.1.1.

- Sau khi để nguội, chuyển dung dịch phân hủy sang bình định mức. Rửa kỹ bình phân hủy và chuyển hỗn hợp nước rửa vào bình định mức. Tùy thuộc vào phương pháp phát hiện được sử dụng, thêm nước khử ion vào dung dịch phân hủy đến thể tích phù hợp

9.2 Các phương pháp phát hiện

Để phát hiện nồng độ Al, Ca, Fe, Mg, P, K, Si, Ti trong dung dịch phân hủy, có thể sử dụng các phương pháp sau

- ICP-OES theo các nguyên tắc trong TCVN 6665 (ISO 11885).

- ICP-MS theo các nguyên tắc trong ISO 17294-2.

- AAS theo các nguyên tắc trong TCVN 6201 (ISO 7980), TCVN 6196-1 (ISO 9964-1) và TCVN 6196-2 (ISO 9964-2).

- FES theo các nguyên tắc trong TCVN 6196-3 (ISO 9964-3).

9.3 Hiệu chuẩn thiết bị

Khi đánh giá hệ thống phân tích lần đầu, cần thiết lập một hàm hiệu chuẩn đối với phép đo theo hướng dẫn của nhà sản xuất. Điều chỉnh hàm hiệu chuẩn được thiết lập trong quá trình phân tích nếu cn. Kiểm tra tính năng thiết bị bằng cách dùng các quy trình chuẩn được chấp nhận như phân tích hai lần xác định, sử dụng CRM và/hoặc vật liệu đối chứng chuẩn (SRM), mẫu kiểm soát và tạo các biểu đồ kiểm soát. Việc hiệu chuẩn và chương trình kiểm soát chất lượng được tổ chức và duy trì để có thể thu được độ không đảm bảo đo yêu cầu. Các kết quả của nghiên cứu xác nhận theo Phụ lục B chứng minh hiệu chuẩn có thể đạt được với các thiết bị thương mại thực hiện ở các phòng thí nghiệm có kinh nghiệm

9.4 Phân tích dung dịch phân hủy

Phân tích phần mẫu thử của dung dịch phân hủy theo hướng dẫn của nhà sản xuất.

9.5 Thử nghiệm trắng

Tiến hành thử nghiệm trắng, sử dụng cùng một quy trình và phương pháp như mô tả trong 9.1 đến 9.4, tương ứng, nhưng không có phần mẫu thử. Điều này đánh giá cả hàm lượng các nguyên tố trong thuốc thử cũng như bất kỳ sự nhiễm bẩn nào từ thiết bị và môi trường phòng thí nghiệm. Ảnh hưởng này không đáng kể về mặt định lượng.

CHÚ THÍCH  Hàm lượng các nguyên tố trong dung dịch phân hủy của thử nghiệm trắng tối đa là 20 % thì có thể xem là không đáng kể về mặt định lượng.

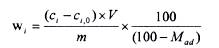
10 Tính toán

Hàm lượng một nguyên tố trong mẫu ở trạng thái khô là giá trị trung bình của hai lần xác định, wi biểu thị bằng mg/kg, được xác định theo Công thức (1):

(1)

trong đó

wi

là nồng độ một nguyên tố trong mẫu ở trạng thái khô, tính bằng mg/kg;

ci

là nồng độ một nguyên tố trong dung dịch phân hủy mẫu đã pha loãng, tính bằng mg/l;

ci,0

là nồng độ một nguyên tố trong dung dịch thử nghiệm trắng, tính bằng mg/l;

V

là thể tích dung dịch phân hủy mẫu đã pha loãng, tính bằng ml;

m

là khối lượng phần mẫu thử sử dụng, tính bằng g;

Mad

là hàm lượng ẩm của mẫu thử phân tích, tính bằng phần trăm theo khối lượng.

Các kết quả có thể được tính ở trạng thái khác, ví dụ ở trạng thái khi nhận mẫu theo ISO 16993.

Nếu việc xác định được thực hiện trên lượng tro đã nung (Phần B), các kết quả có thể được tính toán dựa trên trạng thái nhiên liệu, sử dụng Công thức (2)

(2)

trong đó

Ad

là hàm lượng tro thu được liên quan đến tro đã nung dùng để phân hủy ở trạng thái khô, tính bằng % theo khối lượng;

wi,fuel

là nồng độ một nguyên tố trong mẫu nhiên liệu ở trạng thái khô, tính bằng mg/kg;

wi,ash

là nồng độ một nguyên t trong mẫu tro đã nung ở trạng thái khô, tính bằng mg/kg.

11 Các tính chất đặc trưng

Dữ liệu đặc trưng nhận được đưa ra trong Phụ lục B hiển thị kết quả thu được thông qua nghiên cứu so sánh ở Châu Âu thực hiện trên một mẫu dăm gỗ và một mẫu bã ô-liu thải. Hai mẫu này đại diện cho giới hạn cao nhất của phương pháp. Mẫu dăm gỗ đại diện cho mẫu có hàm lượng của hầu hết các nguyên t là thấp, mẫu bã ô-liu đại diện cho mẫu có hàm lượng của hầu hết các nguyên tố là cao.

12 Báo cáo thử nghiệm

Báo cáo thử nghiệm phải bao gồm ít nhất các thông tin sau:

a) nhận diện phòng thí nghiệm thực hiện thử nghiệm và ngày thử nghiệm;

b) nhận diện sản phẩm (mẫu) được thử;

c) viện dẫn tiêu chuẩn này;

d) phương pháp phân hủy đã sử dụng và phương pháp thử được lựa chọn để xác định;

e) kết quả thử nghiệm bao gồm cả trạng thái mẫu thử, được chỉ ra trong Điều 10;

f) bất kỳ đặc điểm bất thường nào được ghi nhận trong quy trình thử nghiệm;

g) bất kỳ sai khác nào so với tiêu chuẩn này hoặc như một tùy chọn.

 

Phụ lục A

(tham khảo)

Danh sách hệ số chuyển đổi

Danh sách dưới đây đưa ra hệ số chuyển đổi để tính toán các nguyên tố ở trạng thái oxit trong trường hợp xác định trên mẫu tro đã nung ở nhiệt độ 550 °C.

Al Al2O3

1,89

Ca CaO

1,40

Fe Fe2O3

1,43

Mg MgO

1,66

P P2O5

2,29

K K2O

1,20

Si SiO2

2,14

Na Na2O

1,35

Ti TiO2

1,67

 

Phụ lục B

(tham khảo)

Dữ liệu đặc trưng

Một thử nghiệm liên phòng được thực hiện ở các phòng thí nghiệm tại Áo, Bỉ, Đan Mạch, Phần Lan, Đức, Ai-len, Ý, Hà Lan, Tây Ban Nha, Thụy Điển và Vương Quốc Anh. Nhiều thiết bị và các điều kiện phân tích khác được sử dụng phải phù hợp với các thông số chất lượng được quy định trong phương pháp.

Thực hiện các thử nghiệm với hai mẫu, dăm gỗ và bã ô-liu thải được sản xuất từ dự án EU BioNorm theo TCVN 13884 (ISO 14780 with Amd 1:2019). Mẫu “dăm gỗ” có nguồn gốc từ dăm gỗ cây lá kim của Đức; các dăm được sấy và băm đến 1 mm bằng thiết bị cắt. Mẫu “bã ô-liu thải” thu được từ ngành công nghiệp dầu ô-liu tại Tây Ban Nha trong một cơ sở lưu trữ ngoài trời điển hình. Trong mẫu gốc, cũng xuất hiện đá và các tạp chất tự nhiên khác. Dùng tay loại bỏ các tạp chất và đá này, chuẩn bị mẫu từ bã theo hai bước bằng cách dùng thiết bị cắt thô có trang bị một sàng 10 mm và dùng thiết bị cắt phòng thí nghim có trang bị dụng cụ cắt WC và sàng 1 mm.

Tất cả dữ liệu được báo cáo khi mẫu ở trạng thái khô.

Dữ liệu đặc trưng theo TCVN 6910-2 (ISO 5725-2) được đưa ra trong các Bảng từ Bảng B.1 đến Bảng B.9.

CHÚ THÍCH 1  Xem Bảng B.1 đối với giải thích các ký hiệu trong các Bảng từ Bảng B.1 đến Bảng B.9.

CHÚ THÍCH 2  Xem Phụ lục C ISO 16993 về cách sử dụng các thông số xác nhận tính hợp lệ.

Bảng B.1 - Dữ liệu đặc trưng của nhôm (Al)

Mu

n

l

o

%

x

mg/kg

sR

mg/kg

CVR

%

sr

mg/kg

CVr

%

Dăm gỗ

12

57

5

47

8

18

2

4,1

Bã ô-liu thải

11

55

0

2360

170

7,2

110

4,7

Giải thích các ký hiệu

n

là số lượng các phòng thí nghiệm sau khi loại bỏ số lạc (giá trị bất thường)

l

là số lượng số lạc (giá trị bất thường) không chứa giá trị phân tích đơn lẻ

o

là phần trăm của giá trị bên ngoài từ hai lần xác định

x

là trung bình của tổng thể

sR

là độ lệch chuẩn tái lập

CVR

là hệ số biến động của độ tái lập

sr

là độ lệch chuẩn lặp lại

CVr

là hệ số biến động của độ lặp lại

Bảng B.2 - Dữ liệu đặc trưng của canxi (Ca)

Mu

n

l

o

%

x

mg/kg

sR

mg/kg

CVR

%

sr

mg/kg

CVr

%

Dăm gỗ

11

54

1,8

1500

100

6,6

24

1,6

Bã ô-liu thải

13

65

0

14200

1040

7,3

607

4,3

Bảng B.3 - Dữ liệu đặc trưng của sắt (Fe)

Mẫu

n

l

o

%

x

mg/kg

sR

mg/kg

CVR

%

sr

mg/kg

CVr

%

Dăm gỗ

15

69

5,5

54

6

11,7

4

6,6

Bã ô-liu thải

15

73

1,4

1600

165

10,3

81

5,1

Bảng B.4 - Dữ liệu đặc trưng của magiê (Mg)

Mẫu

n

l

o

%

x

mg/kg

sR

mg/kg

CVR

%

sr

mg/kg

CVr

%

Dăm gỗ

12

60

0

194

14

7,2

3

1,7

Bã ô-liu thải

13

65

0

3140

243

7,7

149

4,7

Bảng B.5 - Dữ liệu đặc trưng của phospho (P)

Mẫu

n

l

o

%

x

mg/kg

sR

mg/kg

CVR

%

sr

mg/kg

CVr

%

Dăm gỗ

11

53

3,6

74

5

6,7

2

3,4

Bã ô-liu thải

13

65

0

1490

127

8,5

58

3,9

Bảng B.6 - Dữ liệu đặc trưng của kali (K)

Mẫu

n

l

o

%

x

mg/kg

sR

mg/kg

CVR

%

sr

mg/kg

CVr

%

Dăm gỗ

13

63

3,1

691

77

11,1

12

1,8

Bã ô-liu thải

11

52

5,5

24500

1560

6,4

468

1,9

Bng B.7 - Dữ liệu đặc trưng của silic (Si)

Mu

n

l

o

%

x

mg/kg

sR

mg/kg

CVR

%

sr

mg/kg

CVr

%

Dăm gỗ

8

39

2,5

320

106

33

36

11,2

Bã ô-liu thải

10

49

4,0

10040

1230

12,2

769

7,7

Bảng B.8 - Dữ liệu đặc trưng của natri (Na)

Mẫu

n

l

o

%

x

mg/kg

sR

mg/kg

CVR

%

sr

mg/kg

CVr

%

Dăm gỗ

9

44

0

13

6

48

2

14

Bã ô-liu thải

10

49

0

171

40

23

9

5,4

Bảng B.9 - Dữ liệu đặc trưng của titan (Ti)

Mẫu

n

l

o

%

x

mg/kg

sR

mg/kg

CVR

%

sr

mg/kg

CVr

%

Dăm gỗ

9

43

4,4

5,5

0,40

7,4

0,32

5,9

Bã ô-liu thải

11

54

1,8

136

11

7,9

6

4,4

Bảng B.10 - Danh sách kỹ thuật của thử nghiệm liên phòng

Phương pháp sử dụng

Số lượng phòng thí nghiệm

(18 phòng thí nghiệm tham gia)

Không có thông tin

3

Phân hủy trong lò vi sóng ICP-OES và ICP-MS

13

Phân hủy trong lò vi sóng và AAS

1

Hạt nóng chảy hoặc quang phổ huỳnh quang tia X

1

 

Thư mục tài liệu tham khảo

[1] TCVN 6910-2 (ISO 5725-2), Độ chính xác (độ đúng và độ chụm) của phương pháp đo và kết quả đo - Phần 2: Phương pháp cơ bản xác định độ lặp lại và độ tái lập của phương pháp đo tiêu chuẩn.

[2] ISO 16996, Solid biofuels - Determination of elemental composition by X-ray fluorescence.

[3] ISO/TS 21748:2004, Guidance for the use of repeatability, reproducibility and trueness estimates in measurement uncertainty estimation

[4] NIST Technical note 1297:1994, Guidelines for evaluating and expressing the uncertainty of NIST measurement results

[5] NIST definitions:http://ts.nist.gov/MeasurementServices/ReferenceMaterials/DEFINITIONS.cfm


[1] NIST là tên viết tắt của Viện Tiêu chuẩn và Công nghệ Quốc gia Hoa Kỳ.

[2] Nhiệt độ ấn định dựa vào thiết bị gia nhiệt (ví dụ tủ sấy)

[3] Nhiệt độ n định dựa vào dung dịch phân hủy

[4] Nhiệt độ ấn định dựa vào thiết bị gia nhiệt (ví dụ tủ sấy)

[5] Nhiệt độ ấn định dựa vào dung dịch phân hủy

Bạn chưa Đăng nhập thành viên.

Đây là tiện ích dành cho tài khoản thành viên. Vui lòng Đăng nhập để xem chi tiết. Nếu chưa có tài khoản, vui lòng Đăng ký tại đây!

* Lưu ý: Để đọc được văn bản tải trên Luatvietnam.vn, bạn cần cài phần mềm đọc file DOC, DOCX và phần mềm đọc file PDF.

Văn bản liên quan Tiêu chuẩn Việt Nam TCVN 14275:2024

văn bản cùng lĩnh vực

văn bản mới nhất

CHÍNH SÁCH BẢO VỆ DỮ LIỆU CÁ NHÂN
Yêu cầu hỗ trợYêu cầu hỗ trợ
Chú thích màu chỉ dẫn
Chú thích màu chỉ dẫn:
Các nội dung của VB này được VB khác thay đổi, hướng dẫn sẽ được làm nổi bật bằng các màu sắc:
Sửa đổi, bổ sung, đính chính
Thay thế
Hướng dẫn
Bãi bỏ
Bãi bỏ cụm từ
Bình luận
Click vào nội dung được bôi màu để xem chi tiết.
×