- Tổng quan
- Nội dung
- Tiêu chuẩn liên quan
- Lược đồ
- Tải về
Tiêu chuẩn TCVN 13766:2023 Chất thải rắn - Bãi chôn lấp hợp vệ sinh - Yêu cầu thiết kế
| Số hiệu: | TCVN 13766:2023 | Loại văn bản: | Tiêu chuẩn Việt Nam |
| Cơ quan ban hành: | Bộ Khoa học và Công nghệ | Lĩnh vực: | Tài nguyên-Môi trường |
| Trích yếu: | Chất thải rắn - Bãi chôn lấp hợp vệ sinh - Yêu cầu thiết kế | ||
|
Ngày ban hành:
Ngày ban hành là ngày, tháng, năm văn bản được thông qua hoặc ký ban hành.
|
27/07/2023 |
Hiệu lực:
|
Đã biết
|
| Người ký: | Đang cập nhật |
Tình trạng hiệu lực:
Cho biết trạng thái hiệu lực của văn bản đang tra cứu: Chưa áp dụng, Còn hiệu lực, Hết hiệu lực, Hết hiệu lực 1 phần; Đã sửa đổi, Đính chính hay Không còn phù hợp,...
|
Đã biết
|
TÓM TẮT TIÊU CHUẨN VIỆT NAM TCVN 13766:2023
Nội dung tóm tắt đang được cập nhật, Quý khách vui lòng quay lại sau!
Tải tiêu chuẩn Việt Nam TCVN 13766:2023
TIÊU CHUẨN QUỐC GIA
TCVN 13766:2023
CHẤT THẢI RẮN - BÃI CHÔN LẤP HỢP VỆ SINH - YÊU CẦU THIẾT KẾ
Solid wastes - Sanitary landfills - Design requirements
Lời nói đầu
TCVN 13766:2023 do Hiệp Hội Môi trường Đô thị và Khu Công nghiệp Việt Nam biên soạn, Bộ Xây dựng đề nghị, Tổng cục Tiêu chuẩn Đo lường Chất lượng thẩm định, Bộ Khoa học và Công nghệ công bố.
CHẤT THẢI RẮN - BÃI CHÔN LẤP HỢP VỆ SINH - YÊU CẦU THIẾT KẾ
Solid wastes - Sanitary landfills - Design requirements
1 Phạm vi áp dụng
Tiêu chuẩn này đưa ra các yêu cầu để thiết kế mới các bãi chôn lấp chất thải rắn hợp vệ sinh, mở rộng các bãi chôn lấp chất thải rắn hiện có kể cả các bãi chôn lấp trong khu liên hợp xử lý chất thải.
2 Tài liệu viện dẫn
Các tài liệu viện dẫn sau đây là cần thiết khi áp dụng tiêu chuẩn này. Đối với các tài liệu viện dẫn ghi năm công bố thì áp dụng phiên bản được nêu. Đối với các viện dẫn không ghi năm công bố thì áp dụng phiên bản mới nhất bao gồm cả các sửa đổi, bổ sung (nếu có).
TCVN 4054: 2005, Đường ô tô - Yêu cầu thiết kế.
TCVN 9385: 2012, Quy định về chống sét cho công trình
TCVN 13439:2022, Bãi chôn lấp chất thải nguy hại, yêu cầu thiết kế
TCVN 6696: 2009, Chất thải rắn - Bãi chôn lấp hợp vệ sinh - Yêu cầu chung về bảo vệ môi trường.
TCVN 7957: 2008, Thoát nước - Mạng lưới và công trình bên ngoài - Tiêu chuẩn thiết kế
3 Thuật ngữ, định nghĩa và chữ viết tắt
Trong tiêu chuẩn này, áp dụng các thuật ngữ và định nghĩa sau:
3.1
Chất thải rắn (Solid waste).
Vật chất ở thể rắn hoặc bùn sệt được thải ra từ hoạt động sản xuất, kinh doanh, dịch vụ, sinh hoạt hoặc hoạt động khác.
3.2
Bãi chôn lấp hợp vệ sinh (Sanitary landfill)
Bãi được chôn lấp được quy hoạch về địa điểm, có kết cấu và xây dựng đúng với quy định và công năng để chôn lấp gồm các ô để chôn lấp các chất thải rắn thông thường phát sinh từ các khu dân cư và các khu công nghiệp. Bãi chôn lấp gồm các ô để chôn lấp chất thải, vùng đệm, các công trình phụ trợ như: Trạm xử lý nước, trạm xử lý khí thải, trạm cung cấp điện và nước, trạm cân, văn phòng điều hành và các hạng mục khác.
3.3
Khí thải [bãi chôn lấp] (landfill gas)
Khí thoát ra môi trường do quá trình phân hủy tự nhiên của các chất thải rắn trong các ô chôn lấp chất thải rắn.
3.4
Nước rỉ rác [từ bãi chôn lấp] (landfill leachate)
Tất cả các chất lỏng, kể cả các thành phần lơ lửng trong chất lỏng đó, được thấm qua hoặc chảy ra từ chất thải được chôn lấp trong ô chôn lấp của một bãi chôn lấp chất thải rắn.
3.5
Vùng đệm (buffer zone)
Dải đất bao quanh bãi chôn lấp để ngăn cách, giảm thiểu các tác động của bãi chôn lấp đến môi trường và khu dân cư xung quanh và ngược lại.
3.6
Ô chôn lấp chất thải (landfill cell)
Các ô có kích thước và kết cấu nhất định trong bãi chôn lấp mà chất thải được chôn lấp vào đó.
3.7
Lớp lót ô chôn lấp (bottom layer)
Lớp vật liệu được trải trên toàn bộ bề mặt diện tích đáy và thành của ô chôn lấp chất thải để ngăn ngừa nước rỉ rác từ bãi chôn lấp thấm vào môi trường đất vào tầng chứa nước dưới đất xung quanh và bên dưới bãi chôn lấp.
3.8
Lớp phủ (cover layer)
Lớp đất hoặc vật liệu phù hợp được phủ lên trên toàn bộ bãi chôn lấp trong quá trình vận hành và khi đóng bãi nhằm ngăn ngừa các tác động bất lợi từ ô chôn lấp đến môi trường xung quanh và từ bên ngoài vào ô chôn lấp.
3.9
Hệ thống thu gom khí thải (gas collection system)
Hệ thống các công trình đường ống thu gom khí thải để có các biện pháp xử lý phù hợp tránh gây ra các hậu quả về ô nhiễm, cháy nổ đối với môi trường xung quanh.
3.10
Hệ thống thu gom nước rỉ rác (leachate collection system)
Hệ thống các công trình đường ống, đường cống, kênh mương, hố thăm dò có chức năng thu gom và dẫn nước rỉ rác về trạm xử lý nước thải của bãi chôn lấp.
4 Quy định chung
4.1 Phân loại theo quy mô bãi chôn lấp
Quy mô bãi chôn lấp được xác định dựa trên cơ sở dân số đô thị; tỷ lệ gia tăng lượng chất thải rắn; tỷ lệ gia tăng dân số; tốc độ phát triển kinh tế và định hướng phát triển tương lai trong suốt thời gian vận hành bãi chôn lấp. Quy mô bãi chôn lấp được xác định theo Bảng 1.
Bảng 1- Quy mô bãi chôn lấp chất thải rắn
| Quy mô | Công suất tiếp nhận chất thải rắn (nghìn tấn/năm) |
| 1. Bãi chôn lấp quy mô nhỏ | < 20 |
| 2. Bãi chôn lấp quy mô vừa | ≥ 20 đến 100 |
| 3. Bãi chôn lấp quy mô lớn | > 100 đến 200 |
| 4. Bãi chôn lấp quy mô rất lớn | > 200 |
4.2 Phân loại theo mô hình bãi chôn lấp
a) Mô hình bãi chôn lấp được lựa chọn theo đặc điểm địa hình, điều kiện địa chất công trình, địa chất thủy văn và theo đặc thù của từng loại chất thải được chôn lấp
b) Theo đặc điểm địa hình, điều kiện địa chất công trình, địa chất thủy văn:
- Bãi chôn lấp nổi: Bãi chôn lấp nổi trên mặt đất ở những nơi có địa hình bằng phẳng hoặc độ dốc nhỏ, xung quanh bãi được xây tường hoặc đắp đê bao.
- Bãi chôn lấp chìm: Bãi chôn lấp chìm dưới mặt đất.
- Bãi chôn lấp hỗn hợp kết hợp nửa chìm: Bãi chôn lấp được xây dựng dạng nửa chìm, nửa nổi, bằng cách đào hố lấy đất để đắp đê bao quanh tạo thành ô chôn lấp. Chất thải sau khi lấp đầy hố đào, được tiếp tục đổ tiếp lên trên theo từng lớp.
c) Theo loại chất thải được chôn lấp:
- Bãi chôn lấp hỗn hợp chất thải chưa phân loại
- Bãi chôn lấp chất trơ và tro xỉ từ quá trình công nghệ xử lý
5 Yêu cầu quy hoạch tổng mặt bằng bãi chôn lấp
5.1 Tổng mặt bằng bãi chôn lấp
Tổng mặt bằng bãi chôn lấp phải đáp ứng phân khu chức năng rõ ràng, giải quyết tốt quan hệ giữa xây dựng trước mắt và phát triển trong tương lai.
5.2 Không gian chức năng trong bãi chôn lấp
Không gian chức năng trong bãi chôn lấp phải được phân thành các khu vực chủ yếu:
a) Khu chôn lấp: gồm các ô chôn lấp.
b) Khu xử lý nước rỉ rác: công trình xử lý nước rỉ rác, trạm bơm nước rỉ rác, ô chứa bùn.
c) Khu phụ trợ: nhà điều hành, nhà nghỉ cho nhân viên, trạm phân tích, trạm cân, nhà để xe, trạm rửa xe, trạm sửa chữa, bảo dưỡng điện máy.
5.3 Tổ chức không gian mặt bằng quy hoạch trong bãi chôn lấp
a) Tổ chức không gian mặt bằng quy hoạch trong bãi chôn lấp phải đảm bảo:
- Các công trình và các hạng mục công trình được tổ chức, sắp xếp hợp lý, đáp ứng nhu cầu sử dụng và quản lý.
- Hệ thống giao thông, các công trình phụ trợ chung cho toàn cơ sở xử lý chất thải rắn phải bố trí tại vị trí trung tâm đảm bảo cho công tác vận chuyển.
- Sử dụng triệt để điều kiện địa hình, hiện trạng, cây xanh, mặt nước và đường giao thông hiện có trên khu đất xây dựng bãi chôn lấp.
b) Tổ chức không gian chức năng phải tính đến khả năng phục hồi cảnh quan và tái sử dụng mặt bằng sau khi chấm dứt hoạt động bãi chôn lấp.
5.4 Vị trí các khu chức năng trong bãi chôn lấp phải đảm bảo yêu cầu sau:
a) Nhà điều hành phải bố trí đầu hướng gió chính so với khu chôn lấp và phải có biện pháp cách ly hạn chế ảnh hưởng của bụi, khí độc và tiếng ồn.
b) Bãi chôn lấp phải được bố trí cuối hướng gió so với các công trình khác trong tổng mặt bằng.
c) Xung quanh bãi chôn lấp phải có hàng rào bảo vệ và cây xanh cách ly. Chiều rộng nhỏ nhất của dải cây xanh cách ly là 10 m.
CHÚ THÍCH: Chọn cây xanh lá kim, có tán rộng, xanh quanh năm. Không trồng các loại cây ăn quả, cây có dầu, lá rụng nhiều, dễ gây cháy bãi vào mùa khô.
6 Nội dung công trình và các giải pháp thiết kế
6.1 Yêu cầu chung
6.1.1 Tài liệu cơ bản khi thiết kế bãi chôn lấp chất thải rắn
a) Tài liệu về địa hình.
b) Tài liệu về khí hậu: lượng mưa, cường độ mưa, lượng mưa lớn nhất trong ngày, gió, hướng gió, tốc độ gió, các diễn biến bất thường về thời tiết (bão, lốc, gió xoáy).
c) Tài liệu về thủy văn: hướng dòng chảy mặt, mực nước, lưu lượng dòng chảy, thời gian xuất hiện dòng chảy.
e) Tài liệu về đặc điểm địa chất, địa chất thủy văn: hướng dòng nước ngầm, chiều sâu phân bố tầng chứa nước, chiều sâu mực nước và sự biến đổi theo mùa, tình hình khai thác sử dụng nước ngầm.
f) Tài liệu về đặc điểm địa chất công trình: tính chất cơ lý của đất đá, tính thấm nước, bản đồ đẳng hệ số thấm ở độ sâu dưới đáy bãi chôn lấp chất thải rắn (nếu có).
6.1.2 Quản lý nước mưa, nước mặt chảy vào các ô chôn lấp và bãi chôn lấp chất thải rắn
a) Trong bãi chôn lấp phải thiết kế và xây dựng hệ thống mương rãnh xung quanh để ngăn và thu gom không cho nước mưa, nước mặt ở xung quanh chảy vào các ô chôn lấp.
b) Đối với bãi chôn lấp nổi, bắt buộc phải có đê bao quanh bãi và hệ thống thu gom nước mặt không cho tràn vào bãi chôn lấp. Được sử dụng bạt che tạm thời để hạn chế sự xâm nhập của nước mưa rơi trực tiếp xuống các ô chôn lấp.
c) Áp dụng các biện pháp làm tường chắn hoặc đắp đê bao quanh ô chứa để ngăn chặn không cho nước mặt chảy vào các ô chôn lấp. Chiều cao và chiều rộng của đê, tường chắn phải được thiết kế đảm bảo cao hơn mực nước cao nhất có thể xảy ra và phải được thiết kế đủ lực để chống vỡ đê, ngăn cản được nước mặt thấm qua thân tường chắn và đê.
d) Các rãnh, mương ngăn nước mặt tràn vào bãi và ra khỏi bãi phải được tính toán kỹ để khi mưa lớn nhất vẫn đủ khả năng thoát nước và bảo đảm bền vững của công trình, đồng thời ngăn không để các ô chôn lấp bị thấm.
e) Các ô chôn lấp phải được lót dưới đáy và thành ô để ngăn chặn sự rò rỉ nước rỉ rác vào tầng nước ngầm ở khu vực xung quanh.
6.2 Các hạng mục công trình
Các hạng mục công trình trong bãi chôn lấp được quy định trong Bảng 2.
Bảng 2 - Các hạng mục công trình trong bãi chôn lấp
| Hạng mục | Loại bãi chôn lấp | ||
| Bãi chôn lấp lớn và rất lớn | Bãi chôn lấp vừa và nhỏ | Bãi chôn lấp chất trơ | |
| 1- Khu tiền xử lý | |||
| - Phân loại chất thải rắn | BB | KK | (-) |
| 2- Khu chôn lấp | |||
| - Ô chôn lấp | BB | BB | BB |
| - Hệ thống thu gom nước rỉ rác | BB | BB | BB |
| - Hệ thống thu gom và xử lý khí thải | BB | BB | (-) |
| - Hệ thống thoát và ngăn nước mưa | BB | BB | BB |
| - Hệ thống quan trắc nước ngầm | BB | BB | (-) |
| - Đường nội bộ | BB | BB | BB |
| - Hàng rào và cây xanh | BB | BB | BB |
| - Bãi hoặc kho chứa chất phủ bề mặt | BB | BB | (-) |
| 3- Khu xử lý nước rỉ rác | |||
| - Trạm bơm nước rỉ rác | BB | BB | BB |
| - Công trình xử lý nước rỉ rác | BB | BB | BB |
| - Hồ trắc nghiệm | BB | KK | KK |
| - Ô chứa bùn | BB | BB | BB |
| 4- Khu phụ trợ | |||
| - Nhà điều hành | BB | BB | BB |
| - Nhà nghỉ cho nhân viên | BB | BB | KK |
| - Khu vệ sinh và tắm cho công nhân | BB | BB | KK |
| - Trạm phân tích | BB | BB | (-) |
| - Trạm cân | BB | BB | BB |
| - Nhà để xe | BB | BB | KK |
| - Trạm rửa xe | BB | BB | BB |
| - Trạm sửa chữa, bảo dưỡng điện, máy | BB | BB | KK |
| - Kho dụng cụ và chứa phế liệu | BB | BB | KK |
| - Hệ thống cấp, thoát nước, cấp điện, thông tin liên lạc | BB | BB | BB |
| CHÚ THÍCH: BB - Hạng mục công trình bắt buộc phải có KK - Hạng mục công trình khuyến khích xây dựng (-) - Hạng mục không yêu cầu | |||
6.3. Yêu cầu thiết kế
6.3.1 Khu chôn lấp và ô chôn lấp
Khu chôn lấp được chia thành các ô chôn lấp. Diện tích ô chôn lấp được xác định theo khối lượng chất thải và mô hình bãi chôn lấp đảm bảo thời gian vận hành của mỗi ô tối thiểu 3 năm. Diện tích ô chôn lấp được quy định trong Bảng 3.
Bảng 3- Diện tích các ô chôn lấp
| Đối tượng phục vụ | Khối lượng chất thải tiếp nhận | Diện tích ô chôn lấp (m2) |
| 1- Xử lý chất thải rắn cho các đô thị loại IV trở xuống. | < 20 | Từ 5 000 đến 10 000 |
| 2- Xử lý CTR cấp vùng tỉnh hoặc cho các đô thị loại từ loại II - III. | ≥ 20 đến 100 | Từ 10 000 đến 15 000 |
| 3- Xử lý CTR cấp vùng liên tỉnh, vùng tỉnh hoặc cho các đô thị loại từ loại I - loại đặc biệt. | > 100 đến 200 | Từ trên 15 000 đến 20 000 |
| 4- Xử lý CTR cấp vùng liên tỉnh, vùng tỉnh. | > 200 | Trên 25 000 |
6.3.2 Thành, đáy và vách ngăn các ô chôn lấp
- Kết cấu phải vững chắc, đủ khả năng chịu tải, bảo đảm an toàn, không xảy ra sụt lún và vỡ bờ trong quá trình vận hành bãi chôn lấp cũng như sau khi đóng bãi.
- Sức chịu tải của đáy ô chôn lấp phụ thuộc vào tải trọng máy móc, thiết bị vận hành, tải trọng chất thải trong bãi, tải trọng các lớp phủ trung gian và lớp phủ bề mặt. Tải trọng yêu cầu của đáy ô chôn lấp không nhỏ hơn 1 kg/cm2.
- Đáy ô chôn lấp phải đảm bảo được thiết kế với độ dốc để dễ dàng cho việc thu gom và tiêu thoát nước rác. Độ dốc đáy ô chôn lấp thiết kế theo độ dốc địa hình nhưng không nhỏ hơn 1 %. Khu vực gần ống thu gom nước rác phải có độ dốc thiết kế tối thiểu 3 %. Đảm bảo chống thấm nước rác. Thành và đáy ô chôn lấp được thiết kế lớp chống thấm có hệ số thấm tối đa 10-7 cm/s, bề dày tối thiểu đạt 60 cm.
- Độ dốc thiết kế đáy ô chôn lấp xem trên Hình 1.
CHÚ THÍCH:
1. Đối với các bãi chôn lấp có thành và đáy là đất tự nhiên có hệ số thấm nhỏ hơn 10-3 cm/s, độ dày lớn hơn 100 cm và không có vết nứt gãy hoặc lỗi khác thì không cần thiết kế lớp chống thấm
2. Đối với các bãi chôn lấp sử dụng hố trũng tự nhiên và nhân tạo (moong, mỏ, mương đào...) nếu cao trình đáy cao hơn mực nước ngầm và đất thành ô chôn lấp có lưu lượng thấm thấp hơn 1,5.10-8 m3/m2/ngày đêm thì không cần thi công lớp chống thấm.
Ghi chú: Kích thước tính bằng mm

Hình 1- Độ dốc thiết kế đáy ô chôn lấp
c) Cấu tạo của một ô chôn lấp chất thải rắn xem trên hình 2, gồm các lớp sau:
- Lớp đệm bằng cát để thu gom nước rỉ rác, dày 0,3 m.
- Lớp chống thấm HDPE, dày 1,5 mm.
- Lớp vải địa kỹ thuật.
- Lớp sét có hệ số thấm K ≤ 10-7 cm/s, dày hơn 60 cm.
d) Đối với các bãi chôn lấp chất thải rắn là các chất thải trơ (là các chất còn lại sau khi được tái chế, thu hồi) thì cấu tạo của ô chôn lấp bao gồm:
- Lớp đệm bằng cát để thu gom nước rỉ rác, dày 0,3 m.
- Lớp chống thấm HDPE, dày 1,5 mm.
- Lớp vải địa kỹ thuật.
- Lớp sét có hệ số thấm K ≤ 10-4 cm/s, dày hơn 30 cm.

Hình 2- Mặt cắt điển hình của ô chôn lấp loại nửa chìm, nửa nổi
e) Trường hợp có quy hoạch các ô chôn lấp chất thải nguy hại trong bãi chôn lấp hợp vệ sinh, việc tính toán thiết kế ô chôn lấp chất thải nguy hại phải tuân thủ TCVN 13439:2022: “Bãi chôn lấp chất thải nguy hại- yêu cầu thiết kế”. Cấu tạo của ô chôn lấp chất thải nguy hại phải tuân thủ TCVN 13439:2022: “Bãi chôn lấp chất thải nguy hại- yêu cầu thiết kế”.
- Đối với (ô) chôn lấp các chất thải có tính dễ cháy, dễ nổ: sử dụng hệ thống lớp lót đáy và thành tương tự như bãi chôn lấp chất thải thông thường.
- Đối với bãi (ô) chôn lấp các chất thải có tính độc, các chất thải có tính ăn mòn: phải sử dụng hệ thống lớp lót đáy và thành kép.
Mặt cắt ngang điển hình của hệ thống lớp lót đáy và thành kép được nêu ở Hình 3.

Hình 3- Mặt cắt ngang điển hình đáy ô chôn lấp chất thải nguy hại với lớp lót kép
f) Đối với những khu vực xây dựng bãi chôn lấp chất thải rắn phải vận chuyển đất sét khó khăn thì có thể thay thế lớp đất sét bằng vật liệu màng chống thấm đất sét tổng hợp Bentomat GCL. Đây là loại vật liệu có độ dày nhỏ hơn 6 mm được tạo thành bởi một lớp đất sét tổng hợp (sodium bentonite) kẹp giữa hai lớp vải địa kỹ thuật, có tác dụng chống thấm nhỏ hơn từ 10 đến 100 lần so với lớp đất sét (đầm nén) dày 60 cm đến 90 cm.
g) Khi xem xét lựa chọn vật liệu lót cần lưu ý các điểm sau:
- Độ bền, trơ đối với các yếu tố khí hậu thời tiết.
- Độ bền chống lại các động vật gậm nhấm và vi trùng.
- Khả năng giữ được các tính chất mong muốn ở mọi nhiệt độ.
- Kiểm soát, đảm bảo về chất lượng cả trong giai đoạn chế tạo và khi đặt vào ô chôn lấp.
6.3.3 Lớp phủ trung gian
a) Chất thải phải được chôn lấp thành các lớp riêng rẽ và ngăn cách nhau bằng các lớp phủ.
b) Trường hợp vật liệu phủ là đất, phải tiến hành phủ lấp lớp trung gian trên bề mặt rác khi rác đã được đầm chặt (theo các lớp) có độ cao tối đa 2,2 m. Chiều dày lớp đất phủ phải đạt 20 cm. Tỷ lệ lớp đất phủ chiếm khoảng 10 % đến 15% tổng thể tích rác thải và đất phủ.
c) Đất phủ phải có thành phần hạt sét lớn hơn 30 %, đủ ẩm để dễ đầm nén. Lớp đất phủ phải được trải đều khắp lớp chất thải và sau khi đầm nén kỹ có bề dày khoảng từ 15 cm đến 20 cm.
d) Các loại vật liệu đáp ứng các điều kiện sau đây cũng được sử dụng làm vật liệu phủ trung gian giữa các lớp chất thải:
- Có hệ số thấm nhỏ hơn 10-4 cm/s và có ít nhất 20 % khối lượng có kích thước nhỏ hơn 0,08 mm.
- Có khả năng ngăn mùi,.
- Không gây cháy, nổ.
- Có khả năng ngăn chặn các loại côn trùng, động vật đào bới.
- Có khả năng ngăn chặn sự phát tán các chất thải là vật liệu nhẹ.
6.3.4 Lớp phủ bề mặt
a) Lớp phủ bề mặt bãi chôn lấp phải có tác dụng cách ly chất thải với môi trường trên bề mặt; ngăn không cho nước mưa và nước mặt ngấm xuống các ô chứa chất thải và giảm lượng nước rác phát sinh sau khi đóng các ô hoặc bãi chôn lấp.
b) Cấu tạo lớp phủ bề mặt xem trên Hình 4, gồm các lớp:
- Lớp cát chuyển tiếp có bề dày từ 20 cm đến 30 cm phủ trực tiếp lên lớp bề mặt lớp chất thải cuối cùng.
- Lớp sét nén phủ trên lớp cát càng dày càng tốt, tối thiểu phải đạt 60 cm, với hệ số thấm K ≤ 10-7 cm/s.
- Lớp màng lót vải địa kỹ thuật có bề dày 1,0 mm phủ trực tiếp lên lớp sét nén.
- Lớp cát đệm nằm trên lớp màng lót có bề dày tối thiểu 0,5 m.
- Lớp thổ nhưỡng có bề dày không nhỏ hơn 30 cm.
- Lớp phủ thực vật: có tác dụng chống xói mòn, trồng cỏ hoặc loại cây dễ chùm, nông, không trồng các loại cây lớn, rễ cọc sẽ tạo điều kiện phá vỡ tầng phủ.
c) Lớp phủ bề mặt phải có độ dốc tối thiểu 3 %. Xung quanh bãi chôn lấp phải xây dựng hệ thống thu gom và thoát nước mưa, nước mặt
Hình 4- Cấu tạo lớp phủ bề mặt ô chôn lấp
6.3.5 Chiều cao ô chôn lấp
a) Thiết kế ô chôn lấp phải đảm bảo sao cho chiều cao từ đáy đến đỉnh ô chôn lấp đạt từ 15 m đến 25 m tùy thuộc vào mô hình bãi chôn lấp và điều kiện cảnh quan xung quanh.
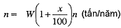
b) Chiều cao ô chôn lấp được xác định theo công thức sau:
- Tổng khối lượng chất thải rắn được tiếp nhận vào chôn lấp trong n năm vận hành.
|
| (1) |
trong đó:
W: Khối lượng chất thải rắn (tấn/năm)
x: Tỷ lệ tăng hoặc giảm chất thải rắn cho mỗi năm
n: năm thứ n chất thải rắn được tiếp nhận tại ô chôn lấp
|
| (2) |
- Thể tích của chất thải rắn được chôn lấp trong mỗi ô chôn lấp sau n năm:
|
| (3) |
trong đó:
a: Tỷ trọng của chất thải rắn, thường lấy a = 0,40-0,5 (tấn/m3)
- Thể tích của lớp phủ bề mặt bãi chôn lấp và lớp đất phủ trung gian:
|
| (4) |
- Thể tích của lớp lót đáy (bao gồm cả phần thu gom nước rỉ rác và khí thải):
|
| (5) |
Trong đó:
k1: hệ số kể tới sự gia tăng thể tích do bao gồm cả phần thu gom nước rỉ rác và khí thải
k1 thường được chọn từ 0,15-0,25
- Thể tích của chất thải rắn bị phân hủy sinh học tại bãi chôn lấp:
|
| (6) |
Trong đó:
m: hệ số phân hủy sinh học
m = 0,1 đối với ô chôn lấp chất thải rắn sinh hoạt và
m = 0,05 đối với ô chôn lấp chất thải rắn vô cơ.
- Thể tích của ô chôn lấp chất thải rắn:
|
| (7) |
- Chiều cao của ô chôn lấp:
|
| (8) |
Trong đó:
S: Diện tích ô chôn lấp chất thải rắn (m2)
k2: Tỷ lệ diện tích dành cho đường giao thông và khu vực phụ trợ (%)
6.3.6 Hệ thống thu gom nước rỉ rác
a) Thành phần hệ thống thu gom nước rỉ rác bao gồm:
- Tầng thu nước rỉ rác
- Hệ thống ống thu gom nước rỉ rác
- Hố thu nước rỉ rác
b) Tầng thu gom nước rỉ rác được đặt ở đáy và thành ô chôn lấp và nằm trên màng lót chống thấm. Tầng thu gom nước rỉ rác phải có chiều dày ít nhất 30 cm với những đặc tính sau:
+ Có ít nhất 5% khối lượng hạt có kích thước nhỏ hơn hoặc bằng 0,075 mm.
+ Có hệ số thấm tối thiểu bằng 1 x 10-2 cm/s,
c) Mỗi ô chôn lấp phải có một hệ thống thu gom nước rỉ rác riêng. Hệ thống ống thu gom nước rỉ rác của mỗi ô chôn lấp được thiết kế với yêu cầu sau:
- Có một hoặc nhiều tuyến chính chạy dọc theo hướng dốc của ô chôn lấp. Các tuyến nhánh dẫn nước rỉ rác về tuyến chính. Tuyến chính dẫn nước rỉ rác về hố thu để bơm hoặc dẫn thẳng vào công trình xử lý nước rỉ rác. Sơ đồ bố trí ống thu gom nước điển hình như Hình 5.
- Trên mỗi tuyến ống, cứ 180 m đến 200 m lại có một hố ga để tránh tình trạng tắc ống. Hố ga thường được xây bằng gạch, có kết cấu chống thấm. Kích thước hố ga 80 cm x 80 cm x 80 cm. Sơ đồ bố trí hố ga xem Hình 6.
- Ống thu gom nước rỉ rác có mặt phía trong nhẵn, đường kính ít nhất là 15 cm. Ống được đục lỗ với đường kính từ 1 cm đến 2 cm trên suốt chiều dài ống. Tỷ lệ lỗ rỗng chiếm từ 10 % đến 15 % diện tích bề mặt ống.
- Đường ống thu gom nước rỉ rác cần đảm bảo độ bền hóa học và cơ học trong suốt thời gian vận hành bãi chôn lấp.
- Độ dốc của mỗi tuyến ống tùy thuộc vào địa hình đáy ô chôn lấp nhưng không nhỏ hơn 1%.
d) Hố thu nước rỉ rác:
- Đối với các bãi chôn lấp mà nước rác từ hệ thống thu gom nước rỉ rác không hoặc khó tự chảy vào các công trình xử lý nước rỉ rác, phải thiết kế các hố thu nước rỉ rác. Số lượng, chiều sâu hố thu tuân theo các tiêu chuẩn hiện hành về công trình xử lý nước rỉ rác.
- Hố thu nước rỉ rác phải có kết cấu vững chắc, có thể sử dụng lâu dài đồng thời phải đảm bảo khả năng chống thấm nước rỉ rác.
Ghi chú: Kích thước tính bằng mm

Hình 5- Sơ đồ bố trí ống thu gom nước rỉ rác điển hình
Ghi chú: Kích thước tính bằng mm

Hình 6 - Mặt cắt ống thu gom nước rỉ rác
6.3.7 Cấu tạo của hệ thống thu gom khí thải
a) Bãi chôn lấp chất thải rắn phải thiết kế hệ thống thu gom khí thải:
- Hệ thống thu gom khí thải được bố trí thành mạng lưới tam giác đều, khoảng cách giữa các ống liên tiếp nhau khoảng 50 m đến 60 m (xem Hình 7).

Hình 7- Sơ đồ bố trí hệ thống thu gom khí thải
- Các ống thu gom khí thải được lắp đặt trong quá trình vận hành, nối ghép, nâng dần độ cao theo độ cao vận hành ô chôn lấp. Đoạn ống nối ghép phải được hàn gắn cẩn thận. Phần ống nằm trong lớp đất phủ bề mặt ô chôn lấp và phần nhô cao trên mặt bãi phải sử dụng ống thép tráng kẽm hoặc vật liệu có sức bền cơ học và hóa học tương đương.
- Độ cao cuối cùng của ống thu gom khí thải phải lớn hơn bề mặt ô chôn lấp tối thiểu 1,0 m (tính từ lớp phủ trên cùng).
- Hệ thống thu gom khí thải phải sử dụng nhựa đường kính tối thiểu 150 mm, đục lỗ cách đều suốt chiều dài ống với mật độ lỗ rỗng đạt từ 15 % đến 20 % diện tích bề mặt ống.
b) Tùy theo lượng khí rác phát sinh, có thể sử dụng khí thải vào mục đích dân sinh hoặc tiêu hủy bằng phương pháp đốt.
c) Đối với các bãi chôn lấp chất thải trơ thì không phải lắp đặt hệ thống thu gom khí thải.
6.3.8 Hệ thống thoát nước bề mặt
a) Xung quanh bãi chôn lấp phải thiết kế hệ thống thoát, nước mưa để ngăn nước mưa chảy tràn vào các ô chôn lấp.
b) Đối với bãi chôn lấp chìm: Căn cứ vào lưu lượng nước từ các sườn dốc xung quanh chảy vào để thiết kế mương thoát nước mưa. Tiết diện mương đảm bảo khả năng tiêu thoái nước lũ với tần suất nêu trong Bảng 4. Kết cấu mương phải đảm bảo bền vững trong suốt quá trình vận hành bãi chôn lấp.
CHÚ THÍCH: Ở những vị trí có với địa hình xung quanh có độ dốc lớn hoặc có lũ phải xây kè đá, để phòng bờ kênh bị vỡ.
c) Đối với bãi chôn lấp nổi: Sử dụng đê bao không thấm nước để ngăn nước bên ngoài chảy vào bãi chôn lấp. Đê phải có độ cao lớn hơn mức nước lũ có tần suất nêu trong Bảng 4, mặt đê rộng từ 3 m đến 4 m, có hàng rào và trồng cây. Trong bãi chôn lấp có hệ thống thu gom nước mưa riêng và đổ vào các hệ thống thoát nước mưa của khu vực.
Bảng 4- Tần suất ngập úng áp dụng để thiết kế hệ thống thoát nước mưa
| Loại bãi chôn lấp | Tần suất ngập úng áp dụng để thiết kế (năm) |
| Nhỏ | 10 |
| Vừa | 15 |
| Lớn | 30 |
| Rất lớn | 50 |
6.3.9 Hệ thống giếng quan trắc nước ngầm
a) Hệ thống giếng quan trắc nước ngầm được thiết kế nhằm quan trắc định kỳ và giám sát chất lượng nước ngầm khu vực trong giai đoạn vận hành và giai đoạn cần kiểm soát bãi chôn lấp sau khi đã đóng bãi.
b) Chiều sâu giếng quan trắc nước ngầm phụ thuộc vào mực nước ngầm và phải cho phép lấy được mẫu nước ở độ sâu tối thiểu 20 m.
c) Xung quanh giếng quan trắc nước ngầm phải xây bảo vệ và có biển báo “Giếng quan trắc nước ngầm”.
d) Giếng quan trắc nước ngầm sử dụng ống nhựa đường kính không nhỏ hơn 15 cm. Chiều dài ống phải đảm bảo sâu hơn mặt dưới của tầng thu nước chính ít nhất là 1 m (phần này không đục lỗ để làm ống lắng). Phần thân giếng qua tầng thu nước chính có đục lỗ, xung quanh chèn bằng cát vàng. Phần miệng giếng nhô cao hơn mặt đất 0,5 m, có nắp đậy chống nước mưa, và các dị vật lọt vào làm tắc giếng (Xem hình 8).
e) Giếng quan trắc nước ngầm bố trí theo hướng dòng chảy từ thượng lưu đến hạ lưu. Tùy thuộc vào quy mô bãi chôn lấp mà xác định số lượng giếng tại thượng lưu và hạ lưu bãi chôn lấp. Thông thường nên có 1 giếng ở thượng lưu và 3 giếng ở hạ lưu. Các giếng quan trắc bố trí cách hàng rào bãi chôn lấp ít nhất 300 m và cách nhau từ 300 m đến 500 m.
CHÚ THÍCH: Bố trí 1 giếng quan trắc tại các mỗi điểm dân cư gần bãi chôn lấp. Không được sử dụng giếng quan trắc nước ngầm vào mục đích khác.
f) Các yếu tố quan trắc bao gồm: Mực nước được theo dõi nhờ các máy tự ghi hoặc có thể đo trực tiếp tại các lỗ khoan. Trong năm đầu tiên, mực nước được đo mỗi tháng một lần. Các năm tiếp theo từ 3 tháng đo 1 lần. Các mẫu lấy và phân tích ở phòng thí nghiệm ít nhất 3 tháng 1 lần để xác định các tính chất vật lý, thành phần hóa học, sinh học của nước ngầm.

Hình 8- Cấu trúc giếng khoan quan trắc nước ngầm
6.3.10 Hệ thống đường nội bộ
a) Diện tích đường nội bộ chiếm từ 10 % đến 15 % diện tích bãi chôn lấp. Căn cứ quy mô và thời gian vận hành, các loại đường trong bãi chôn lấp được quy định trong Bảng 5.
b) Kết cấu đường nội bộ và cao độ thiết kế nền đường được thiết kế theo TCVN 4054:2005. Hai bên đường trồng cây phải có chỉ giới đường đỏ.
Bảng 5- Các loại đường trong bãi chôn lấp
| Quy mô bãi chôn lấp | Loại đường | ||
| Vĩnh cửu | Bán vĩnh cửu | Đường tạm | |
| Nhỏ và vừa |
| x | x |
| Lớn và rất lớn | x | x | x |
| CHÚ THÍCH 1- X - Loại đường quy định thiết kế cho bãi chôn lấp 2- Đường tạm chỉ dùng cho xe vào đổ rác tại các ô chôn lấp | |||
c) Trên các đường ra vào bãi chôn lấp phải thiết kế hệ thống biển báo nhằm cảnh báo phòng ngừa cho người và phương tiện qua lại. Hệ thống biển báo phải đạt các yêu cầu sau:
- Biển báo đặt cách hàng rào bãi chôn lấp ít nhất 100 m
- Hình dạng kích thước biển báo theo các tiêu chuẩn hiện hành.
6.3.11 Hàng rào và cây xanh
a) Bãi chôn lấp nhất thiết phải có hàng rào bảo vệ xung quanh bãi. Tùy theo khả năng đầu tư có các loại hàng rào sau:
- Hàng rào bằng dây thép gai kết hợp với trồng cây (nên trồng các loại cây dễ chùm, cây có gai phát triển nhanh).
- Hàng rào bằng tường gạch hoặc bê tông.
b) Bãi chôn lấp phải được trồng cây xanh đảm bảo chắn gió, bụi ảnh hưởng tới khu vực lân cận. Trồng cây tại các vị trí sau:
- Xung quanh bãi chôn lấp;
- Xung quanh khu xử lý nước rỉ rác;
- Trồng cây ngăn cách với khu điều hành;
- Trên các khu đất chưa xây dựng;
- Trên các ô chôn lấp đã đóng cửa;
- Cây xanh cách ly đường giao thông;
- Cây xanh cách ly các ô chôn lấp.
6.3.12 Bãi và kho chứa chất phủ bề mặt
a) Chất phủ và vật liệu phủ trên toàn bộ bãi chôn lấp trong khi vận hành và khi đóng bãi chôn lấp phải được cất giữ trong bãi hoặc kho chứa. Tùy theo điều kiện ở từng vị trí để chọn vật liệu phủ phù hợp.
b) Khối lượng chất phủ được ước tính bằng 20 % đến 25 % khối lượng chất thải. Tùy theo quy mô và yêu cầu dự trữ của từng bãi chôn lấp mà xác định kho hay bãi chứa chất phủ.
c) Kho, bãi chứa chất phủ được thiết kế nền đảm bảo chịu tải của vật liệu và xe ra vào. Xung quanh kho bãi có tường chắn để vật liệu phủ không vương vãi ra ngoài.
6.3.13 Khu phân loại chất thải rắn
a) Khu phân loại chất thải rắn là nơi tập kết chất thải rắn để phân loại và thu hồi các phế liệu có thể tái chế trước khi đưa vào chôn lấp.
b) Khu phân loại chất thải rắn đặt ở vị trí thuận tiện cho việc đưa chất thải vào ô chôn lấp.
c) Diện tích khu phân loại chất thải rắn cần đảm sức chứa chất thải trong 2 ngày.
d) Khu phân loại chất thải rắn được thiết kế nền đảm bảo sức chịu tải của chất thải và xe ra vào. Xung quanh có rãnh thu gom nước rác dẫn về khu xử lý nước rác.
6.3.14 Khu xử lý nước rác
a) Tổng diện tích của khu xử lý nước rác chiếm từ 5 % đến 10 % tổng diện tích bãi chôn lấp chất thải rắn
b) Khu xử lý nước rác bao gồm các công trình sau:
- Trạm bơm nước rác.
- Các công trình xử lý nước rác (bằng phương pháp cơ học, xử lý hóa học và xử lý sinh học).
- Ô chứa bùn.
c) Trong trường hợp nước rác không tự chảy được vào các công trình xử lý, phải có hệ thống bơm để đưa nước rác vào công trình xử lý.
d) Trạm bơm nước rác phải bố trí thành công trình riêng biệt. Số lượng và công suất làm việc của máy bơm xác định theo lưu lượng nước rác có xét đến đặc điểm của máy bơm. Trong trạm bơm phải có máy bơm dự phòng. Diện tích, kết cấu nhà, hố thu, bể chứa nước, miệng xả theo TCVN 7957 : 2008
6.3.15 Công trình xử lý nước rác
a) Công trình xử lý nước rác nên bố trí ở khu vực có cao độ thấp hơn khu chôn lấp, cần tận dụng độ dốc địa hình để nước rác từ hệ thống thu gom của bãi chôn lấp có thể tự chảy và các công trình xử lý.
b) Khu đất xây dựng công trình xử lý nước rác phải có độ dốc đảm bảo nước rác có thể tự chảy được qua các công trình và thoát nước mưa thuận lợi. Khu đất phải đảm bảo không ngập lụt, có mực nước ngầm thấp.
c) Khu đất xây dựng công trình xử lý nước rác phải đảm bảo:
- Khả năng xây dựng từng đợt.
- Khả năng mở rộng công suất khi lưu lượng nước rác tăng.
- Thuận lợi cho quản lý và sửa chữa.
- Chiều dài mương dẫn, cống dẫn phải ngắn nhất.
6.3.16 Ô chứa bùn
a) Các bãi chôn lấp quy mô từ vừa đến rất lớn được thiết kế ô chứa bùn để chứa bùn tạm thời trong trường hợp không vận chuyển kịp bùn từ khu xử lý nước rác sang khu chôn lấp. Kích thước ô chứa bùn căn cứ vào kết quả tính toán lưu lượng nước rác và tỷ lệ bùn lắng trong các công trình xử lý.
b) Ô chứa bùn phải có kết cấu gạch hoặc bê tông. Yêu cầu trát, láng đảm bảo không thấm nước ra ngoài
6.3.17 Khu phụ trợ
a) Tỷ lệ diện tích xây dựng các công trình phụ trợ trong bãi chôn lấp chiếm từ 10 % đến 20 % tổng diện tích bãi chôn lấp.
b) Cổng ra vào, nhà bảo vệ:
- Cổng ra vào cơ sở xử lý cần được xây dựng thuận tiện cho các phương tiện vận chuyển và tiếp nhận chất thải rắn.
- Phải xây dựng một số cổng phụ xung quanh để đảm bảo cho quá trình hoạt động của các phương tiện.
c) Trạm cân xe
- Trạm cân phải được bố trí ngay khu tiếp nhận chất thải rắn và đảm bảo hoạt động hiệu quả, tránh ùn tắc khi các phương tiện ra, vào.
- Trạm cân bao gồm trạm cân xe đến và xe đi, nhằm mục đích xác định chính xác lượng rác tiếp nhận.
- Thiết kế trạm cân phải xem xét đến công suất, tần suất tiếp nhận rác hàng ngày, chiều dài và tải trọng các loại xe thu gom chất thải rắn vận chuyển đến.
- Trường hợp xe thu gom quá lớn phải trang bị cầu cân.
d) Khu rửa xe
- Tất cả các thiết bị, phương tiện làm việc tại bãi chôn lấp đều được rửa trước khi ra khỏi bãi chôn lấp. Nước sau quá trình rửa xe cần được thu gom và xử lý đạt tiêu chuẩn.
e) Khu nhà điều hành
- Nhà điều hành được thiết kế, xây dựng đảm bảo khoảng cách ly hợp vệ sinh với các công trình trong cơ sở xử lý chất thải rắn.
- Mặt bằng khu nhà điều hành bao gồm: Nhà hành chính, nhà ăn, nhà để xe nhân viên, gara xe ô tô, kho cơ điện.
f) Bãi đỗ xe
- Bãi đỗ xe phải được bố trí liền kề với khu nhà hành chính, thuận tiện ra vào và đảm bảo không gian cách ly với các khu xử lý chất thải rắn.
g) Hệ thống giao thông nội bộ
- Mạng lưới đường giao thông nội bộ từ cổng cơ sở xử lý dẫn tới các công trình xử lý và các ô chôn lấp.
h) Hệ thống cấp nước
- Phải xây dựng hệ thống cấp nước phục vụ sinh hoạt, rửa xe, tưới cây...Nhu cầu cấp nước cho các mục đích sử dụng tại bãi chôn lấp được tính toán trên cơ sở của các tiêu chuẩn hiện hành.
- Tách riêng hệ thống cấp nước sinh hoạt và nước phục vụ cho các mục đích khác.
i) Hệ thống cấp điện
- Phải xây dựng trạm biến thế và trạm đặt máy phát điện đảm bảo thiếu bị máy móc trong các khu chức năng hoạt động liên tục.
- Mạng lưới cấp điện phải được thiết kế theo các quy định liên quan
k) Hệ thống thoát nước
- Các hệ thống thoát nước mưa, nước thải sinh hoạt, nước từ các hoạt động khác (rửa xe,...) sẽ được dẫn thoát theo hệ thống riêng biệt.
- Thiết kế hệ thống thoát nước theo TCVN 7957:2008
- Nước rác rò rỉ từ các khu lưu giữ, chôn lấp và từ quá trình xử lý cần được thu gom triệt để đưa đến trạm xử lý. Chất lượng nước sau xử lý phải đạt tiêu chuẩn hiện hành.
l) Hệ thống thông tin liên lạc
- Bãi chôn lấp chất thải rắn phải được trang bị đầy đủ hệ thống thông tin liên lạc nội bộ và kết nối với bên ngoài.
- Phòng chứa nhiên liệu và bảo trì thiết bị: Phục vụ cho quá trình vận hành, duy tu, bảo dưỡng và sửa chữa các trang thiết bị, máy móc. Đảm bảo các hoạt động tại bãi chôn lấp chất thải rắn diễn ra liên tục.
m) Khu vực an ninh
- Cơ sở xử lý chất thải rắn cần xây dựng hệ thống an ninh chung giám sát và đảm bảo mọi hoạt động diễn ra an toàn.
- Khu vực an ninh gồm: Tường bao, rãnh, hào ngăn động vật; cây xanh cách ly; biển báo và chỉ dẫn; hệ thống điện chiếu sáng, hệ thống phòng cháy nổ; nhà trạm bảo vệ; chuông báo động.
6.3.18 Hệ thống chống sét
Hệ thống chống sét cho bãi chôn lấp được thiết kế theo TCVN 9385:2012 về Chống sét cho công trình xây dựng- Hướng dẫn thiết kế, kiểm tra và bảo trì hệ thống thuộc lĩnh vực xây dựng
6.3.19 Hệ thống phòng cháy, chữa cháy (PCCC)
Hệ thống PCCC cho bãi chôn lấp được thiết kế theo các quy định hiện hành. Các dấu hiệu an toàn cháy được thiết kế theo các quy định hiện hành.
Thư mục tài liệu tham khảo
[1] TCVN 4054: 2005, Đường ô tô - Yêu cầu thiết kế.
[2] TCVN 9385: 2012, Quy định về chống sét cho công trình
[3] TCVN 13439:2022, Bãi chôn lấp chất thải nguy hại, yêu cầu thiết kế
[4] TCVN 6696 : 2009, Chất thải rắn - Bãi chôn lấp hợp vệ sinh - Yêu cầu chung về bảo vệ môi trường.
[5] TCVN 7957 : 2008, Thoát nước - Mạng lưới và công trình bên ngoài - Tiêu chuẩn thiết kế
Bạn chưa Đăng nhập thành viên.
Đây là tiện ích dành cho tài khoản thành viên. Vui lòng Đăng nhập để xem chi tiết. Nếu chưa có tài khoản, vui lòng Đăng ký tại đây!