- Tổng quan
- Nội dung
- VB gốc
- Tiếng Anh
- Hiệu lực
- VB liên quan
- Lược đồ
-
Nội dung hợp nhất
Tính năng này chỉ có tại LuatVietnam.vn. Nội dung hợp nhất tổng hợp lại tất cả các quy định còn hiệu lực của văn bản gốc và các văn bản sửa đổi, bổ sung, đính chính... trên một trang. Việc hợp nhất văn bản gốc và những văn bản, Thông tư, Nghị định hướng dẫn khác không làm thay đổi thứ tự điều khoản, nội dung.
Khách hàng chỉ cần xem Nội dung hợp nhất là có thể nắm bắt toàn bộ quy định hiện hành đang áp dụng, cho dù văn bản gốc đã qua nhiều lần chỉnh sửa, bổ sung.
- Tải về
Thông tư 04/2011/TT-BTNMT kỹ thuật đo địa chấn trong điều tra cơ bản địa chất
| Cơ quan ban hành: | Bộ Tài nguyên và Môi trường |
Số công báo:
Số công báo là mã số ấn phẩm được đăng chính thức trên ấn phẩm thông tin của Nhà nước. Mã số này do Chính phủ thống nhất quản lý.
|
Đang cập nhật |
| Số hiệu: | 04/2011/TT-BTNMT | Ngày đăng công báo: | Đang cập nhật |
| Loại văn bản: | Thông tư | Người ký: | Nguyễn Linh Ngọc |
|
Ngày ban hành:
Ngày ban hành là ngày, tháng, năm văn bản được thông qua hoặc ký ban hành.
|
29/01/2011 |
Ngày hết hiệu lực:
Ngày hết hiệu lực là ngày, tháng, năm văn bản chính thức không còn hiệu lực (áp dụng).
|
Đang cập nhật |
|
Áp dụng:
Ngày áp dụng là ngày, tháng, năm văn bản chính thức có hiệu lực (áp dụng).
|
Đã biết
|
Tình trạng hiệu lực:
Cho biết trạng thái hiệu lực của văn bản đang tra cứu: Chưa áp dụng, Còn hiệu lực, Hết hiệu lực, Hết hiệu lực 1 phần; Đã sửa đổi, Đính chính hay Không còn phù hợp,...
|
Đã biết
|
| Lĩnh vực: | Tài nguyên-Môi trường, Khoáng sản |
TÓM TẮT THÔNG TƯ 04/2011/TT-BTNMT
Ngày 29/01/2011, Bộ Tài nguyên và Môi trường đã ban hành Thông tư 04/2011/TT-BTNMT về việc quy định kỹ thuật đo địa chấn trong điều tra cơ bản địa chất về khoáng sản và địa chất công trình.
Theo đó, dự án đo địa chấn độc lập cần thể hiện những nội dung sau: Mục tiêu, nhiệm vụ căn cứ vào các yêu cầu của thẩm quyền quyết định hoặc cơ sở pháp lý khác, dự án địa chấn xác định các nhiệm vụ cụ thể và kỹ thuật công tác, thời gian tiến hành công việc; Vị trí vùng công tác, đặc điểm địa lý, kinh tế, nhân văn và đánh giá ảnh hưởng tới quá trình thi công; Lịch sử nghiên cứu địa chất, địa chất công trình, địa vật lý đã tiến hành trên vùng công tác;…
Bên cạnh đó, trước khi thi công phải tổ chức học tập an toàn lao động theo quy định hiện hành của hoạt động điều tra cơ bản địa chất về khoáng sản. Người tham gia sản xuất chuyên môn phải được huấn luyện an toàn lao động về làm việc ở vùng có vật liệu nổ, các biện pháp sơ cứu khi có tai nạn; xây dựng và phổ biến nội quy an toàn lao động, biện pháp phối hợp giữa bộ phận nổ mìn và tổ công tác chuyên môn.
Ngoài ra, sau mỗi ngày đo phải sao tài liệu từ máy đo ra phương tiện lưu trữ khác. Đồng thời, kiểm tra, hiệu đính, hệ thống các sổ ghi thực địa, xác định đoạn tuyến lên bản đồ thi công; kiểm tra chất lượng băng ghi bằng cách duyệt trên máy tính, hoặc in ra bằng giấy. Chú ý phát hiện lỗi khởi động ghi cộng sóng, lỗi kênh không hoạt động, lỗi lắp ngược cực máy thu, từ đó chỉ đạo thi công tìm biện pháp khắc phục lỗi nếu có và đo lại các đoạn không đạt chất lượng;…
Thông tư có hiệu lực thi hành từ ngày 15/3/2011.
Xem chi tiết Thông tư 04/2011/TT-BTNMT có hiệu lực kể từ ngày 15/03/2011
Tải Thông tư 04/2011/TT-BTNMT
|
BỘ TÀI NGUYÊN VÀ |
CỘNG HÒA XÃ HỘI CHỦ NGHĨA VIỆT NAM |
|
Số: 04/2011/TT-BTNMT |
Hà Nội, ngày 29 tháng 01 năm 2011 |
THÔNG TƯ
QUY ĐỊNH KỸ THUẬT ĐO ĐỊA CHẤN TRONG ĐIỀU TRA CƠ BẢN ĐỊA CHẤT VỀ KHOÁNG SẢN VÀ ĐỊA CHẤT CÔNG TRÌNH
____________
BỘ TRƯỞNG BỘ TÀI NGUYÊN VÀ MÔI TRƯỜNG
Căn cứ Luật Khoáng sản và Luật sửa đổi, bổ sung một số điều của Luật Khoáng sản;
Căn cứ Nghị định số 25/2008/NĐ-CP ngày 04 tháng 3 năm 2008 của Chính phủ Quy định chức năng, nhiệm vụ, quyền hạn và cơ cấu tổ chức của Bộ Tài nguyên và Môi trường;
Căn cứ Nghị định số 89/2010/NĐ-CP ngày 18 tháng 9 năm 2010 của Chính phủ sửa đổi, bổ sung Điều 3 Nghị định số 25/2008/NĐ-CP ngày 04 tháng 3 năm 2008 của Chính phủ Quy định chức năng, nhiệm vụ, quyền hạn và cơ cấu tổ chức của Bộ Tài nguyên và Môi trường;
Xét đề nghị của Cục trưởng Cục Địa chất và Khoáng sản và Vụ trưởng Vụ pháp chế,
QUY ĐỊNH:
Chương I
Thông tư này quy định về trình tự, nội dung và các yêu cầu của công tác đo địa chấn trong điều tra cơ bản địa chất về khoáng sản và địa chất công trình.
Thông tư này áp dụng đối với các đơn vị, tổ chức, cá nhân tham gia thực hiện các nhiệm vụ, đề án, dự án điều tra cơ bản địa chất về khoáng sản, thăm dò khoáng sản, khảo sát địa chất công trình, địa chất thuỷ văn, điều tra tai biến địa chất và các lĩnh vực khác có liên quan (gọi tắt là dự án chuyên môn) tiến hành công tác đo địa chấn.
1. Phương pháp đo địa chấn là việc thu nhận sóng đàn hồi truyền lan trong môi trường đất đá và nước từ nguồn gây sóng địa chấn gây ra nhằm luận giải tham số đặc trưng của lan truyền sóng địa chấn.
2. Nguồn gây sóng địa chấn có thể là búa tay, búa máy hoặc thuốc nổ sinh ra sóng đàn hồi lan truyền cả trong môi trường đất đá, nước và không khí.
3. Máy thu địa chấn là thiết bị biến đổi sự rung động của mặt đất do sự lan truyền sóng cơ học thành tín hiệu điện chuyển đến trạm ghi.
4. Băng ghi sóng địa chấn là sản phẩm của công tác đo địa chấn.
Điều 4. Lĩnh vực áp dụng
1. Điều tra cơ bản địa chất về khoáng sản, thăm dò khoáng sản:
a) Đo vẽ lập bản đồ địa chất công trình tỷ lệ 1:50.000;
b) Đánh giá tài nguyên khoáng sản;
c) Xác định các đới phá hủy, đứt gẫy, các hang động karst.
2. Khảo sát địa chất công trình, địa chất thuỷ văn, điều tra tai biến địa chất và các lĩnh vực khác có liên quan:
a) Khảo sát nền móng các công trình xây dựng;
b) Xác định chiều sâu mực nước ngầm;
c) Xác định các tham số đàn hồi của đất đá trong thế nằm tự nhiên;
1. Phương pháp địa chấn có thể tiến hành trên mặt đất, trên mặt nước sông, hồ, ven biển, trong lỗ khoan, trong hầm lò và các công trình khai đào khác.
Bảng 1. Các chỉ tiêu kỹ thuật của công tác đo địa chấn
|
Chỉ tiêu kỹ thuật |
Đơn vị tính |
Tỷ lệ từ < 1:2.000 đến 1:10.000 |
Tỷ lệ 1:2.000 đến lớn hơn |
||
|
Nhỏ nhất |
Lớn nhất |
Nhỏ nhất |
Lớn nhất |
||
|
1. Phương pháp sóng khúc xạ |
|
|
|
|
|
|
a. Các chỉ tiêu thi công thực địa |
|
|
|
|
|
|
Khoảng cách điểm thu sóng (ĐT) |
m |
5 |
10 |
0,5 |
5 |
|
Khoảng cách điểm nguồn (điểm nguồn) |
m |
50 |
200 |
10 |
60 |
|
Số điểm nguồn trên một chặng thu |
điểm |
4 |
9 |
4 |
7 |
|
Số điểm nguồn gần |
điểm |
2 |
5 |
2 |
3 |
|
Độ lệch cho phép đặt điểm nguồn gần |
m |
0,5 |
1 |
0,1 |
0,5 |
|
Số điểm nguồn xa |
điểm |
2 |
4 |
2 |
6 |
|
Độ lệch cho phép đặt điểm nguồn xa |
% |
-5 |
+20 |
-5 |
+20 |
|
b. Các chỉ tiêu kết quả khảo sát |
|
|
|
|
|
|
Sai số xác định ranh giới trong lớp phủ, sóng theo dõi không liên tục |
% |
10 |
20 |
10 |
20 |
|
Sai số xác định ranh giới mặt nền, sóng theo dõi liên tục |
% |
7 |
15 |
7 |
15 |
|
Sai số xác định modul đàn hồi (Ed), hệ số Poisson (n) |
% |
7 |
15 |
7 |
15 |
|
2. Phương pháp sóng phản xạ |
|
|
|
|
|
|
Khoảng cách điểm thu sóng (ĐT) |
m |
1 |
5 |
|
|
|
Khoảng cách điểm nguồn (điểm nguồn) |
m |
1 |
5 |
|
|
|
Số điểm nguồn trên một đoạn thu |
điểm |
6 |
24 |
|
|
|
Độ lệch cho phép đặt điểm nguồn |
m |
0,2 |
1 |
|
|
|
Sai số xác định các tốc độ truyền sóng |
% |
7 |
10 |
|
|
|
Sai số xác định ranh giới địa tầng |
% |
7 |
15 |
|
|
|
3. Đo hầm lò, chiếu sóng, trong lỗ khoan, mặt cắt đứng |
|
|
|
|
|
|
Khoảng cách điểm thu sóng |
m |
|
|
0,5 |
2 |
|
Số điểm nguồn trên một đoạn thu |
điểm |
|
|
2 |
12 |
|
Độ lệch cho phép đặt điểm nguồn |
% |
|
|
10 |
20 |
|
Sai số định vị đối tượng khi chiếu sóng |
% |
|
|
10 |
25 |
|
Sai số xác định modul đàn hồi (Ed), hệ số Poisson (n) |
% |
|
|
5 |
10 |
|
4. Trắc địa xác định tuyến |
|
|
|
|
|
|
Sai số xác định độ cao |
m |
0,1 |
|
0,1 |
|
|
Sai số định vị trên bộ |
m |
0,5 |
1 |
0,1 |
0,5 |
|
Sai số định vị trên vùng nước |
m |
1 |
1,5 |
1 |
1 |
3. Các chỉ tiêu kỹ thuật quy định tại Bảng 1 được áp dụng với các điều kiện sau:
a) Các đoạn tuyến không thuộc phạm vi điều chỉnh đánh giá chất lượng thi công;
b) Tính sai số theo phương pháp trung bình bình phương khi số lượng điểm lớn hơn 15 điểm; tính sai số theo trung bình số học khi số lượng điểm tính nhỏ hơn bằng 15 điểm;
c) Các chỉ tiêu độ lệch và sai số được lấy theo giá trị lớn nhất khi điều kiện địa hình, địa chất phức tạp (mặt địa hình hoặc mặt ranh giới có độ phân cắt lớn; tốc độ truyền sóng trong lớp biến đổi trên đoạn bé hơn 2 lần khoảng cách điểm thu sóng);
d) Phương pháp sóng phản xạ chỉ khảo sát được từ độ sâu 5m trở xuống.
Chương II
LẬP DỰ ÁN
Điều 6. Chuẩn bị và lập dự án
1. Trường hợp công tác đo địa chấn là một thành phần trong dự án chuyên môn và thực hiện tổ hợp với các phương pháp khảo sát khác thì công tác chuẩn bị và lập dự án tướn theo quy định về lập đề án, báo cáo điều tra cơ bản địa chất về tài nguyên khoáng sản.
2. Trường hợp dự án đo địa chấn độc lập, việc tiến hành khảo sát, xác định đối tượng, đề xuất mạng lưới tuyến đo, lựa chọn phương pháp thu phải trình cơ quan có thẩm quyền phê duyệt dự án.
Điều 7. Thu thập tài liệu liên quan đến nhiệm vụ và vùng công tác
1. Bản đồ địa hình có tỷ lệ tương ứng tỷ lệ đo vẽ địa chất công trình hoặc lớn hơn.
2. Các tài liệu địa chất, địa chất thủy văn, địa chất công trình và địa vật lý.
3. Sơ đồ bố trí các công trình khảo sát địa chất và địa vật lý liên quan.
4. Tình trạng lớp mặt để đánh giá điều kiện phát và thu sóng, phục vụ chọn kiểu nguồn phát sóng và cách xử lý điểm thu sóng thích hợp.
Điều 8. Cơ sở xác định nhiệm vụ của phương pháp địa chấn
1. Dựa vào nhiệm vụ đặt ra của công tác điều tra cơ bản địa chất về khoáng sản, thăm dò khoáng sản để khảo sát địa chất công trình, địa chất thuỷ văn, điều tra tai biến địa chất của khu vực khảo sát;
2. Dựa vào kết quả tổng hợp các tài liệu địa chất, địa vật lý liên quan thu thập được;
3. Dựa vào khả năng áp dụng và điều kiện thi công của phương pháp địa chấn.
Điều 9. Thành lập, xác định mạng lưới tuyến và khoảng cách điểm thu sóng
1. Đối với công tác đo địa chấn trên mặt đất, chọn cách bố trí tuyến theo các dạng sau:
a) Khi công tác địa chấn có nhiệm vụ cùng cấp tài liệu theo mặt cắt của dự án địa chất công trình thì bố trí tuyến liên tục, trùng (hoặc ít nhất dài hơn mỗi phía nửa chặng thu) so với tuyến lập mặt cắt địa chất công trình cần thành lập;
b) Khi công tác địa chấn có nhiệm vụ cùng cấp tài liệu tựa cho các phương pháp khác, đo đạc thực hiện trên các đoạn tuyến 200m đến 500m, bố trí phối hợp với các dạng công tác khác như khoan, khai đào, thí nghiệm cơ lý và các phương pháp địa vật lý khác;
c) Khi khảo sát theo diện tích hoặc cần tài liệu tập trung theo tuyến công trình xây dựng để có mặt cắt địa chất công trình tổng hợp, như trong khảo sát đập thuỷ điện, đường hầm, nền móng công trình xây dựng thì bố trí theo mạng lưới, gồm các tuyến dọc mặt cắt và các tuyến ngang để liên kết theo diện.
2. Đối với phương pháp địa chấn hầm lò, chiếu sóng, mặt cắt đứng, đo lỗ khoan, bố trí theo điều kiện cụ thể của công trình khoan, khai đào.
3. Chọn khoảng cách điểm thu theo quy định của Bảng 1 tại Điều 5 Thông tư này.
4. Chọn khoảng cách điểm thu dày hơn khi thực hiện các nhiệm vụ đặc thù:
a) Đo ở đoạn tuyến có độ sâu nền đá gốc nhỏ hơn khoảng cách điểm thu sóng hiện dùng;
b) Xác định tốc độ truyền sóng trong các lớp phủ phục vụ tính tham số cơ lý cho công trình xây dựng, vì khi khoảng cách điểm thu bình thường thì đoạn biểu đồ thời khoảng tương ứng với lớp đó không đủ ít nhất 3 điểm thu để tính tốc độ truyền sóng.
Điều 10. Phương pháp sóng khúc xạ
1. Phương pháp sóng khúc xạ được sử dụng khi độ sâu nghiên cứu không vượt quá 50m.
2. Chọn hệ quan sát sóng khúc xạ gồm chọn số điểm nguồn và độ dài đoạn thu L.
3. Chọn số điểm nguồn:
- Có ít nhất hai điểm ở phạm vi đoạn thu (điểm nguồn gần), trong đó hai điểm ở hai đầu đoạn (điểm nguồn 1 và điểm nguồn 3, Hình 2);
- Có ít nhất hai điểm ngoài đoạn thu (điểm nguồn xa).
|
|
|
Hình 2. Sơ đồ hệ quan sát 5 điểm nổ, gồm 3 điểm nổ gần, 2 điểm |
b) Hệ quan sát thường dùng là hệ 5 điểm nguồn gồm 3 điểm nguồn gần, 2 điểm nguồn xa. Các điểm nguồn tạo ra các cặp biểu đồ sóng giao và đuổi nhau.
- Điểm nguồn xa đặt cách đoạn thu một khoảng lớn hơn khoảng cách điểm lộ sóng nền để trên đoạn thu, sóng từ mặt nền hoàn toàn lộ ra ở sóng tới đầu tiên;
- Khi tuyến dài có nhiều đoạn thu, các điểm nguồn bố trí ở vị trí xác định, để một số điểm nguồn gần của đoạn này là điểm nguồn xa của đoạn kế tiếp.
c) Chọn hệ quan sát có 5 điểm nguồn trở lên khi:
- Khảo sát chi tiết mặt cắt lớp phủ;
- Chi tiết các dị thường ở lớp nền đá gốc, hang, karst hay có sự biến đổi tốc độ truyền sóng theo độ sâu trong nền đá gốc.
d) Việc bố trí các điểm nguồn bổ sung được thiết kế trong khi lập dự án và thực hiện trong quá trình thi công khi có yêu cầu tài liệu chi tiết của đoạn tuyến và có thêm thông tin về môi trường địa chất.
4. Độ dài đoạn thu L lựa chọn theo hai trường hợp:
|
|
|
Hình 3. Xác định độ dài đoạn thu tối thiểu L cho điểm nguồn gần |
b) Khi vùng khảo sát có nền đá cứng ở độ sâu lớn hơn 40m, phải đo thử nghiệm để chọn độ dài đoạn thu L thích hợp;
c) Dựa theo ước lượng ở điểm a khoản này, thực hiện quan sát với độ dài đoạn thu L từ 2 đến 3 chặng đo kề nhau.
d) Phân tích tài liệu, xác định mô hình môi trường và độ sâu nghiên cứu đã đạt được;
đ) Chọn độ dài đoạn thu L đảm bảo nghiên cứu đến 1,3 lần độ sâu khảo sát. Khi độ dài búi dây thu nhỏ hơn độ dài đoạn thu cần thiết, thì thi công nhiều chặng đo cho một đoạn thu theo quy định tại Mục 2 Phụ lục III ban hành kèm theo Thông tư này.
4. Khi đoạn tuyến đo là sông suối có dòng chảy mạnh, có sóng hay xoáy nước, việc đo ghi trên sông bị nhiễu lớn, thì chọn dạng đo địa chấn phát nguồn ngược. Trong cách đo này, cần chăng cáp thép làm đường tuyến đo, phát sóng tại các ĐT tương ứng trên tuyến, còn máy thu sóng đặt tại các điểm cố định trên bờ, tương ứng với các điểm nguồn. Đoạn tuyến ngang sông được coi là một đoạn thu, bố trí hai ĐT ở hai bên bờ sông, tương ứng với 2 điểm nguồn gần và 2 đến 4 ĐT xa bờ, tương ứng với các điểm nguồn xa.
Khi lập dự án, phải thu thập tài liệu về dòng chảy, địa vật, để chọn biện pháp thi công phù hợp. Đồng thời xem xét khả năng chăng dây nối máy thu qua sông để đo đồng thời hai bên bờ nhằm giảm sai số xác định thời gian sóng đến. Nếu cần, phải khảo sát thực địa trước. Từ đó, vẽ sơ đồ bố trí đo, cách đặt cáp thép, điểm đặt máy thu sóng và các chỉ dẫn kỹ thuật cho thi công.
Điều 11. Phương pháp sóng phản xạ
1. Chọn hệ quan sát điểm sâu chung đo ghi ở băng tần 150 đến 2000Hz
a) Khoảng cách điểm thu sóng chọn từ 1 đến 4m. Không dùng khoảng cách thu lớn hơn 1/20 độ sâu lớn nhất cần khảo sát để đảm bảo chất lượng cộng điểm sâu chung;
b) Bậc cộng sóng chọn từ 6 đến 24;
c) Dùng nguồn phát sóng là đập, súng hơi, nổ kíp hoặc nổ mìn liều nổ nhỏ.
2. Đo đạc thử nghiệm để xác định các tham số quan sát thực hiện theo trình tự sau:
a) Đo với khoảng cách điểm thu dày cỡ 1m và bậc cộng lớn từ 12 trở lên;
b) Xử lý kết quả thử nghiệm với bậc cộng và khoảng cách thu khác nhau;
c) So sánh kết quả, chọn ra tham số ứng với bậc cộng tối thiểu mà kết quả xử lý điểm sâu chung thể hiện rõ các ranh giới phản xạ ở độ sâu khảo sát yêu cầu lớn nhất.
|
|
|
Hình 4. Sơ đồ đo và cộng sóng điểm sâu chung với bậc cộng bằng 3 |
Điều 12. Phương pháp mặt cắt đứng và địa chấn lỗ khoan
1. Thiết bị quan sát:
a) Phát sóng bằng nguồn xung (đập, búa máy, nổ kíp hoặc mìn);
b) Thu sóng trong lỗ khoan bằng đầu thu chuyên dụng với 3 kênh X, Y và Z.
2. Hệ quan sát:
a) Cần ít nhất hai điểm nguồn: Một điểm nguồn gần, đặt sát miệng lỗ khoan theo khả năng không gây phá hủy lỗ khoan, thường từ 2 đến 4m và điểm nguồn xa, cách miệng lỗ khoan cỡ 1/5 độ sâu lỗ khoan, nhưng không nhỏ hơn 7m;

c) Khi đo địa chấn lỗ khoan, có thể chọn dạng đo ngược bằng cách đảo các vị trí thu và phát trên sơ đồ đo đã thiết kế.
Điều 13. Phương pháp chiếu sóng địa chấn
1. Đo chiếu sóng địa chấn giữa các lỗ khoan, các công trình khai đào, trên mặt đất hoặc bố trí hai bên sườn núi.
2. Khoảng cách điểm thu sóng chọn theo quy định tại Bảng 1 Điều 5 Thông tư này.
3. Số lượng và cách bố trí điểm nguồn xác định theo yêu cầu khảo sát và dựa trên quan hệ hình học của đối tượng với đoạn thu sóng, sao cho các tia sóng bao trùm lên khối cần nghiên cứu.
Điều 14. Đo địa chấn hầm lò

2. Quan sát thực hiện theo phương pháp sóng khúc xạ:
a) Mạng lưới khảo sát ở tỷ lệ 1: 200 đến 1: 1000;
b) Khoảng cách điểm thu 1 đến 2m;
c) Hệ quan sát là 4 đến 5 điểm nguồn, trong đó có 2 điểm nguồn xa;
d) Nguồn phát sóng bằng đập búa hoặc nổ kíp.
Điều 15. Lựa chọn nguồn phát sóng đàn hồi
a) Kiểu nguồn phát, đặc trưng chính, độ sâu nghiên cứu sóng khúc xạ, độ sâu nghiên cứu sóng phản xạ và chiếu sóng của các kiểu nguồn tương ứng được quy định tại Bảng 2;
Bảng 2. Các kiểu nguồn chính
|
Kiểu nguồn |
Đặc trưng chính |
Độ sâu nghiên cứu sóng khúc xạ |
Độ sâu nghiên cứu sóng phản xạ và chiếu sóng |
|
Liều nổ TNT, amonit |
Phổ rộng, |
Theo liều nổ |
Theo liều nổ |
|
Kíp điện |
xung đẳng hướng |
0 ¸ 15m |
20 ¸ 300m |
|
Búa đập 5Kg, cộng nhiều lần đập |
Xung có hướng |
0 ¸ 35m |
20 ¸ 500m |
|
Búa máy 1 ¸ 4KW |
Xung có hướng |
0 ¸ 40m |
20 ¸ 500m |
|
Máy rung Vibroseis 10 ¸ 300HP |
Băng tần hẹp, rung động có hướng |
0 ¸ 50m |
Theo công suất 20 ¸ vài nghìn m |
|
Nguồn xung điện (boomer) 2KW |
Đẳng hướng, dùng ở môi trường nước |
0 ¸ 35m |
20 ¸ 100m |
|
Súng hơi, 2 ¸ 100HP |
Đẳng hướng, dùng ở môi trường nước |
0 ¸ 50m |
Theo công suất 20 ¸ vài nghìn m |
Điều 16. Nội dung của dự án địa chấn
1. Dự án đo địa chấn độc lập cần thể hiện những nội dung sau:
a) Mục tiêu, nhiệm vụ căn cứ vào các yêu cầu của thẩm quyền quyết định hoặc cơ sở pháp lý khác, dự án địa chấn xác định các nhiệm vụ cụ thể và kỹ thuật công tác, thời gian tiến hành công việc;
b) Vị trí vùng công tác, đặc điểm địa lý, kinh tế, nhân văn và đánh giá ảnh hưởng tới quá trình thi công;
c) Lịch sử nghiên cứu địa chất, địa chất công trình, địa vật lý đã tiến hành trên vùng công tác. Đánh giá mức độ sử dụng những tài liệu đã có vào phân tích giải đoán tài liệu địa chấn;
d) Phương pháp và khối lượng công tác, nêu tóm tắt các vấn đề:
- Cơ sở địa chất - địa vật lý để lựa chọn các dạng công tác địa chấn, nhiệm vụ kỹ thuật và khối lượng của công tác đó;
- Phương pháp quan sát, mạng lưới và các biện pháp kỹ thuật cần áp dụng;
- Yêu cầu về trắc địa đối với các dạng công việc;
- Sai số cho phép của các phương pháp công tác.
đ) Tổ chức thi công: tổng quát về kế hoạch thi công, gồm tổ chức, nhân lực, các bước thực hiện. Nếu dự án kéo dài, cần có biểu đồ lịch thi công;
e) Công tác văn phòng: nêu các phương pháp xử lý tính toán. Các phương pháp cổ điển chỉ cần nêu ngắn gọn;
f) Sản phẩm của dự án: báo cáo, mặt cắt địa chấn - địa chất, bảng giá trị tham số cơ lý của các địa tầng, các sơ đồ trên cơ sở nhiệm vụ quy định tại điểm a khoản này.
g) Dự toán: được tính toán trên cơ sở định mức, đơn giá và chi phí phụ trợ theo qui định hiện hành;
h) Danh mục tài liệu tham khảo;
i) Các phụ lục, bản vẽ kèm theo dự án:
- Sơ đồ khái quát vùng công tác;
- Sơ đồ địa chất, địa chất công trình ở tỷ lệ khảo sát (1:50.000, 1:25.000 hay lớn hơn);
- Sơ đồ bố trí tuyến địa chấn và các công trình khảo sát địa chất, địa vật lý có liên quan;
- Khi đo chiếu sóng, lỗ khoan, hay mặt cắt đứng có nhiều hướng phát sóng, cần vẽ lược đồ quan sát dự kiến.
2. Khi công tác địa chấn là một thành phần trong dự án khảo sát địa chất công trình thì các nội dung trên chỉ nêu ngắn gọn, phù hợp nội dung dự án chung.
3. Thành phần tổ lập dự án gồm:
a) Chủ nhiệm dự án: Điều tra viên chính bậc 4 chuyên ngành địa vật lý trở lên;
b) Hai điều tra viên chính chuyên ngành địa vật lý;
c) Một điều tra viên chính chuyên ngành địa chất hoặc địa chất công trình;
d) Một điều tra viên chuyên ngành trắc địa;
đ) Các kỹ thuật viên.
Điều 17. Điều kiện triển khai dự án
Dự án chỉ được triển khai thực hiện khi đã có quyết định phê duyệt của cấp có thẩm quyền hoặc hợp đồng dịch vụ đo địa chấn đã được ký kết có giá trị pháp lý.
Điều 18. Thành phần một tổ đo địa chấn
1. Bộ phận đo máy gồm:
a) Đo máy 1 người, chức danh điều tra viên chính, chuyên ngành địa vật lý bậc 3;
b) Ghi sổ 1 người, chức danh điều tra viên chính, chuyên ngành địa vật lý bậc 2;
c) Phụ trách đường dây 4 người, chức danh điều tra viên, chuyên ngành địa vật lý bậc 3;
d) Công nhân đường dây từ 6 đến 12 người.
2. Bộ phận phát sóng gồm:
a) Chỉ huy phát sóng: 01 người;
b) Công nhân nổ mìn hoặc đập búa biên chế tối thiểu 2 nhóm; mỗi nhóm từ 2 đến 4 người.
3. Bộ phận trắc địa gồm:
a) Đo máy 01 người có chức danh điều tra viên chính, chuyên ngành trắc địa bậc 3;
b) Ghi sổ 01 người có chức danh điều tra viên chính, chuyên ngành trắc địa bậc 2;
c) Kỹ thuật viên 02 người.
4. Bộ phận văn phòng thực địa gồm:
a) Phụ trách chung 1 người, điều tra viên chính bậc 4 chuyên ngành địa vật lý trở lên;
b) Hai điều tra viên chính chuyên ngành địa vật lý phân tích tài liệu: 4 người
c) Điều tra viên 2 người;
d) Kỹ thuật viên 2 người.
Điều 19. Công tác an toàn lao động
1. Trước khi thi công phải tổ chức học tập an toàn lao động theo quy định hiện hành của hoạt động điều tra cơ bản địa chất về khoáng sản.
2. Người tham gia sản xuất chuyên môn phải được huấn luyện an toàn lao động về làm việc ở vùng có vật liệu nổ, các biện pháp sơ cứu khi có tai nạn.
3. Khi dùng nguồn phát sóng là chất nổ phải thực hiện theo quy định tại Thông tư số 23/2009/TT-BCT ngày 11 tháng 8 năm 2009 của Bộ Công Thương quy định chi tiết một số điều của Nghị định số 39/2009/NĐ-CP ngày 23 tháng 4 năm 2009 của Chính phủ về vật liệu nổ công nghiệp và quy định tại Thông tư số 35/2010/TT-BCA ngày 11 tháng 10 năm 2010 của Bộ Công an quy định về cấp giấy phép vận chuyển vật liệu nổ công nghiệp và hàng nguy hiểm.
4. Xây dựng và phổ biến nội quy an toàn lao động, biện pháp phối hợp giữa bộ phận nổ mìn và tổ công tác chuyên môn.
Chương III
THI CÔNG THỰC ĐỊA
Điều 20. Yêu cầu trong thi công thực địa
1. Trước khi thi công thực địa, thiết bị đo địa chất phải được hiệu chuẩn, kiểm định tại cơ sở được cấp phép hoạt động kiểm định và có Quy trình kiểm định đúng với thiết bị đo.
2. Các thiết bị đo địa chấn mới sản xuất hoặc nhập khẩu khi chưa ban hành Qui trình kiểm định, thực hiện các biện pháp hiệu chuẩn theo các nội dung quy định tại mục 1, 2, 3, 4, 5 và mục 6 Phụ lục II ban hành kèm theo Thông tư này.
Điều 21. Chọn tham số ghi sóng
a) Δt là bước số hoá, tính bằng s;
5. Chọn độ dài ghi tín hiệu theo thời gian cần có để ghi hết tín hiệu có ích đến muộn nhất.
b) Khi đo địa chấn lỗ khoan, chiếu sóng địa chấn, chọn cỡ 2 lần thời gian truyền theo tia của sóng dọc P;
c) Khi đo sóng phản xạ, chọn theo sóng dọc P phản xạ từ ranh giới ở độ sâu lớn nhất cần khảo sát;
d) Trường hợp máy qui định chọn độ dài ghi là số điểm số hóa của kênh tín hiệu (Samples), thì tính độ dài này bằng thời gian cần ghi chia cho bước số hóa.
Bảng 3. Đặc trưng băng tần của sóng và chọn bước số hoá
|
Phương pháp |
Băng tần chính |
Bước số hoá |
|
Sóng khúc xạ trên mặt đất, nước |
25 đến 500Hz |
100 đến 500ms |
|
Sóng khúc xạ trong hầm lò |
30 đến 1000Hz |
20 đến 250ms |
|
Đo lỗ khoan, chiếu sóng, mặt cắt đứng |
30 đến 1000Hz |
20 đến 250ms |
|
sóng phản xạ điểm sâu chung |
>30Hz |
20 đến 50ms |
6. Chọn thời điểm bắt đầu ghi sóng khi dùng nguồn xung lực (đập búa, nổ, bắn súng hơi): cần thực hiện ghi sóng từ trước thời điểm phát nguồn (dấu moment) từ 1 đến 5ms, bằng cách đặt độ trễ ghi (số Delay/Pre-Trig) là âm.
7. Chọn bộ lọc tương tự:
a) Chọn bộ lọc tương tự (Analog Filter) của máy bằng thực đơn đặt tham số ghi (Setting):
- Bộ lọc này cắt phần phổ tín hiệu lọc trước khi ghi, nên sẽ mất hẳn trong số liệu;
- Khi đo các phương pháp khác (sóng khúc xạ, chiếu sóng ), nên đo ghi tín hiệu ở dải rộng:
- Khi đo sóng phản xạ điểm sâu chung, chọn bộ lọc thông cao với giới hạn dưới từ 150 đến 200Hz.
b) Khi dùng bộ lọc và cần chọn tham số lọc, thì thực hiện:
- Đo thử nghiệm trên một vài chặng máy, với dải rộng hoặc lọc với giới hạn dưới của băng tần theo quy định tại Bảng 3 khoản 4 Điều này;
- Dùng chức năng lọc số (Digital Filter) của máy, với các bộ lọc khác nhau để chọn ra băng thể hiện tín hiệu rõ nhất, từ đó chọn tham số lọc tương tự thích hợp.
2. Đặc trưng động lực (Dynamic): trên các băng ghi sóng khi ra xa điểm nguồn có sự hấp thụ sóng mạnh, gây ra giảm biên độ và tần số biểu kiến của tín hiệu bị giảm. Theo dõi đường ghi sóng trên các băng của điểm nguồn thuận và ngược sẽ định xứ được điểm thay đổi đặc trưng động lực XA XB. Đánh dấu các đoạn này, sau đó theo mặt cắt đã lập hiệu chỉnh độ nghiêng tia sóng và sẽ xác định được đoạn hấp thụ sóng mạnh ở mặt nền (Hình 16).
3. Đối với karst chứa nước thường quan sát được bức tranh sóng hỗn loạn, tuỳ thuộc dạng và độ lớn của hang. Kết quả xác định cần được kiểm tra, đối chiếu với kết quả của phương pháp khác.
Hình 16. Xác định vị trí đới phá huỷ trong đá gốc theo điểm thay đổi mạnh đặc trưng động lực của sóng.
a) Vị trí XA theo băng của điểm nguồn thuận;
b) Vị trí XB theo băng của điểm nguồn ngược;
c) Hiệu đính vị trí ranh giới đới trên mặt cắt theo độ nghiêng tia sóng.
Điều 22. Phát sóng
1. Nguồn nổ mìn, nổ kíp:
a) Bố trí lấy dấu khởi động theo kiểu vòng dây, hoặc kiểu xung điện phát nổ. Nếu dùng kiểu xung điện phát nổ, cần kiểm tra độ trễ phát nổ của loạt kíp;
b) Tại điểm nguồn gần, dùng kíp hoặc liều nổ nhỏ:
- Khi nổ trên bộ, cần đặt liều nổ trong hố và chèn lấp đất, nhưng độ sâu không quá 1/15 khoảng cách điểm thu sóng;
- Khu vực lộ đá quá rắn thì đặt trên mặt đá;
- Khi đo trên vùng nước cần dùng phao giữ cho liều nổ ở độ sâu đã được xác định và dùng dây chăng từ thuyền tới búi dây để giữ liều nổ đúng vị trí.
c) Tại điểm nguồn xa, cần chôn sâu liều nổ để đảm bảo hiệu suất phát sóng tốt. Tìm cách tận dụng các hố, vũng có nước hay sông ngòi trong phạm vi độ lệch quy định tại Bảng 1 khoản 2 Điều 5 Thông tư này;
d) Khi dùng buồng nổ, cần đào hố đặt buồng chắn có độ sâu an toàn cần thiết tương ứng với liều nổ sử dụng. Liều nổ lớn nhất không được vượt quá trị số an toàn của buồng theo lý lịch thiết bị. Không dùng buồng đã bị hư hại;
đ) Đảm bảo khoảng cách an toàn từ liều nổ đến người và thiết bị, theo quy định tại Điều 19 Thông tư này.
2. Nguồn đập tạ, búa, búa máy:
a) Bố trí lấy dấu khởi động bằng công tắc búa, hoặc máy thu sóng đặt tại điểm phát. Khi dùng máy thu sóng, cần chú ý giữ máy thu không bị bật khỏi điểm đặt máy sau mỗi lần đập, đảm bảo mức tín hiệu khởi động ổn định;
b) Trên nền đất mềm, dùng đe sắt, thớt nhựa hoặc gỗ cứng, đặt nằm ngang hoặc ở góc nghiêng đã thiết kế của phương pháp đo làm điểm đập búa hoặc tạ;

3. Nguồn rung: dùng máy thu sóng đặt tại điểm phát để thu tín hiệu chuẩn và để khởi động đo ghi. Hướng phát rung thực hiện theo khả năng thiết bị và thiết kế đo đạc của dự án.
4. Nguồn xung điện, súng hơi:
a) Điểm nguồn gần được treo bằng phao, hoặc vào mạn thuyền ở độ sâu không > 1/15 khoảng cách điểm thu sóng;

Điều 23. Thi công đo phương pháp sóng khúc xạ trên mặt đất và trong hầm lò
1. Định vị điểm đặt máy thu trên tuyến bằng thước dây, hoặc bằng các gút đầu nối máy thu trên cáp đo.
2. Rải cáp và máy thu lên tuyến đo
a) Chặng máy đầu tiên trên tuyến cần rải máy thu sao cho một điểm thu trùng vào một điểm mốc nào đó của tuyến. Các chặng máy kế tiếp được rải gối ít nhất một điểm thu lên chặng máy trước đó;
b) Để đặt máy thu, dùng choòng đục lỗ rộng gần bằng đuôi máy thu theo hướng vuông góc với mặt đất đá. Cắm máy thu chặt vào đất đá. Nếu đất đá quá cứng chắc, dùng đất sét đắp lên để đặt máy thu.
3. Xác định vị trí các điểm nguồn trong phạm vi búi dây (điểm nguồn gần) dựa theo vị trí các điểm thu:
a) Để tránh gây hư hỏng máy thu, các điểm nguồn có thể dịch ngang tuyến, nhưng không quá 20% khoảng cách điểm thu;
b) Khi sử dụng nguồn nổ ở điểm nguồn gần tại đầu búi dây thu mà cường độ sóng không đủ mạnh để thu ở điểm xa nhất, thì chọn cách xử lý sau:
- Nổ nhiều lần với liều nhỏ và thực hiện cộng sóng;
- Tăng liều nổ, gỡ bỏ các máy thu sát điểm nguồn, ghi băng thể hiện được sóng ở đoạn xa điểm nguồn đó.
4. Xác định vị trí các điểm nguồn ngoài búi dây (điểm nguồn xa) bằng thước dây, hoặc theo vị trí của điểm nguồn đã thi công ở chặng máy trước.
5. Ghi vào sổ đo các đặc điểm của đoạn tuyến: mốc trắc địa, địa hình địa vật, vị trí có thay đổi của hướng tuyến đo, vết lộ địa chất, các thay đổi trạng thái bề mặt, so với vị trí các máy thu, để định vị đoạn thu và giải thích tài liệu sau này.
Điều 24. Thi công đo phương pháp sóng khúc xạ trên mặt nước (sông, hồ)
1. Trước khi thi công trên mặt nước phải làm công tác chuẩn bị, gồm có:
a) Xác định cách cố định búi dây thu trên mặt nước;

Hình 9. Đo sóng khúc xạ trên sông nước.
a) Khi có điểm buộc cáp;
b) Khi không có điểm buộc cáp;
c) Bè chữ điền bằng ống bương hay ống nhựa để đặt máy thu sóng.
d) Xác định tọa độ thực tế của đoạn thu bằng GPS hoặc bằng máy kinh vĩ;
d) Cáp thu ở độ sâu đồng đều nhau trong khoảng 0,2 đến 1m.
2. Phát sóng:
a) Khi ghi băng sóng của điểm nguồn gần, cần bố trí nguồn phát sóng đúng vị trí, với sai lệch không quá 10% khoảng cách điểm thu;
3. Đo địa chấn ngược đòi hỏi việc đánh dấu thời điểm phát sóng phải đồng nhất, do đó chỉ dùng cách lấy dấu khởi động kiểu vòng dây và phải dùng dây dẫn chất lượng tốt để truyền tín hiệu khởi động.
4. Ghi vào sổ thực địa các mốc địa hình địa vật, sơ đồ vị trí búi dây, độ sâu thực tế của búi dây so với mặt nước.
5. Khi dùng máy kinh vĩ giao hội, thì nhật ký trắc địa phải ghi rõ giờ phút đo, để dễ đối chiếu với tài liệu địa chấn.
Điều 25. Thi công phương pháp đo sóng phản xạ điểm sâu chung
1. Thi công đo ghi theo số kênh của máy:
a) Thực hiện rải búi dây theo bố trí điểm thu đã thiết kế;
b) Đo ghi với phát sóng lần lượt tại các điểm thu;
c) Khi sang các chặng kế tiếp thì rải gối 1 đến 2 điểm thu.
2. Thi công cuốn chiếu:
a) Có búi dây thu bội, có số kênh thu là bội số N = 2, 3 hay 4 lần số kênh ghi, nối vào một chuyển mạch chọn đoạn thu dạng thanh trượt.
b) Chọn bội N theo khả năng trang bị, ví dụ khi dùng 24 kênh ghi thì có 48, 72 hay 96 điểm thu, còn chuyển mạch chọn đoạn có 24 cặp đường ra, số cặp đường vào tuỳ theo số điểm thu;
c) Dùng bậc cộng 6, ghi 12 kênh bằng máy ghi 24 kênh như Mark- 6 và bội số búi dây N = 2, thì sử dụng chế độ do cuốn chiếu (Roll up Mode) của máy.
3. Thi công điểm sâu chung trên mặt nước: thực hiện khi tàu chạy dọc tuyến theo dạng giả cuốn chiếu. Khi thi công chọn tốc độ thuyền và nhịp nổ thích hợp để tạo được phân bố đoạn thu trên tuyến có dạng cuốn chiếu.
4. Định vị điểm đo bằng GPS: Ghi nhật ký gồm thời gian và các địa vật đi qua để đối chiếu vị trí điểm đo theo bản đồ.
Điều 26. Thi công đo mặt cắt đứng, địa chấn lỗ khoan
1. Khi đo mặt cắt đứng và địa chấn lỗ khoan thuận, thả đãy máy thu xuống lỗ khoan đến đoạn cần đo sâu nhất, đo các chặng khi kéo cáp lên. Thực hiện phát sóng tại các điểm nguồn đã thiết kế.
2. Trong quá trình đo, nếu phải xê dịch các điểm nguồn, thì chọn điểm cùng hướng gần nhất, có điều kiện thu phát sóng tương tự điểm trước và phải bố trí quan sát gối ít nhất 1 điểm thu.
3. Khi đo địa chấn lỗ khoan ngược, đặt máy thu sóng tại các vị trí thiết kế, thả ống bắn mìn xuống lỗ khoan đến độ sâu cần đo sâu nhất, đo các điểm nguồn khi kéo cáp lên.
4. Ghi vào sổ thực địa tình trạng lỗ khoan, vẽ sơ đồ bố trí thực tế các điểm nguồn - điểm thu. Khi đo xong một quan sát, ghi vào sổ các số liệu theo quy định tại mục 3 Phụ lục I ban hành kèm theo Thông tư này.
Điều 27. Thi công đo chiếu sóng địa chấn
1. Thực hiện bố trí điểm thu và điểm nguồn như trong thiết kế của dự án;
2. Trong quá trình đo, nếu điểm nguồn đặt ở mặt đất và vì lý do nào đó buộc phải xê dịch, thì điểm nguồn mới phải đảm bảo khống chế được đối tượng cần chiếu sóng và phải bố trí quan sát gối ít nhất 1 điểm thu.
Điều 28. Công tác trắc địa xác định toạ độ và địa hình tuyến địa chấn
1. Khi đo địa chấn trên mặt đất (sóng khúc xạ và sóng phản xạ), công tác trắc địa thực hiện theo qui phạm trắc địa hiện hành, với nhiệm vụ bố trí tuyến theo thiết kế ra thực địa và thu thập mặt cắt địa hình ở tỷ lệ khảo sát của địa chấn.
2. Khi đo sóng khúc xạ trên mặt nước, xác định tọa độ hai đầu chặng đo bằng GPS hoặc kinh vĩ giao hội từ các mốc trên bờ, với sai số quy định tại Bảng 1 khoản 2 Điều 5 Thông tư này.
3. Khi đo sóng phản xạ điểm sâu chung trên mặt nước, dùng định vị GPS kết hợp với ghi nhật ký đối chiếu địa hình địa vật trên bờ.
4. Khi đo chiếu sóng địa chấn, đo mặt cắt đứng, công tác trắc địa xác định độ cao và khoảng cách giữa các điểm đó tới miệng công trình khoan đào.
Điều 29. Công tác văn phòng thực địa
1. Sau mỗi ngày đo phải sao tài liệu từ máy đo ra phương tiện lưu trữ khác.
2. Kiểm tra, hiệu đính, hệ thống các sổ ghi thực địa, xác định đoạn tuyến lên bản đồ thi công.
3. Kiểm tra chất lượng băng ghi bằng cách duyệt trên máy tính, hoặc in ra bằng giấy. Chú ý phát hiện lỗi khởi động ghi cộng sóng, lỗi kênh không hoạt động, lỗi lắp ngược cực máy thu, từ đó chỉ đạo thi công tìm biện pháp khắc phục lỗi nếu có và đo lại các đoạn không đạt chất lượng.
4. Nhập tọa độ điểm nguồn, điểm thu sóng cho các tệp băng ghi: khi chưa có tọa độ trắc địa, thì nhập tọa độ X theo khoảng cách cộng đồn của điểm thu tính từ mốc 0 của tuyến. Khi đã có tọa độ XYZ đầy đủ, thì nhập các tọa độ này.
5. Vạch pha sơ bộ cho các sóng quan tâm: sóng đầu và các sóng ngang nếu quan sát được.
6. Lập biểu đồ thời khoảng, kiểm tra thời gian tương hỗ.
7. Phát hiện các băng ghi còn thiếu, các băng ghi có chất lượng xấu không đạt yêu cầu sử dụng để quyết định đo lại.
Điều 30. Đánh giá chất lượng thi công
1. Đánh giá chất lượng thi công dựa trên chất lượng băng ghi theo quy định tại Điều 31 Thông tư này và chỉ số băng đảm bảo chất lượng cho mỗi chặng đo.
2. Số băng ghi qui định của một chặng đo là số tệp số liệu cần có ứng với hệ quan sát và hướng phát xung nguồn đã thiết kế cho các điểm nguồn đó; các băng thừa chỉ dùng để tham khảo; loại bỏ các băng không rõ vị trí thu phát sóng.
3. Đánh giá chất lượng tài liệu băng địa chấn dựa theo các chỉ tiêu:
a) Vị trí thực địa của chặng đo, có ghi rõ ràng trong sổ thực địa;
b) Số kênh không làm việc trong tổng số kênh bố trí đo đạc;
c) Thời gian bắt đầu ghi, phải sớm hơn thời gian xuất hiện sóng;
d) Bức tranh sóng thu được trên băng ghi, phải thể hiện rõ đầu sóng đầu tiên;
đ) Mức nhiễu ngẫu nhiên, có ảnh huởng đến việc xác định sóng và điểm gẫy đầu sóng hay không.
4. Các yếu tố điều chỉnh khi đánh giá chất lượng:
a) Không thể thi công hoàn chỉnh chặng đo theo thiết kế vì các yếu tố địa hình địa vật cản trở, như khi bố trí điểm nguồn bị vướng công trình dân sinh, đê điều, vách đá, vực sâu nguy hiểm;
b) Không thu được sóng do trạng thái đất đá có tính hấp thụ sóng mạnh, mà với phương tiện hiện có không khắc phục được, như trên vùng phá huỷ, đứt gãy, hang karst, đới phong hoá cực mạnh.
Điều 31. Đánh giá chất lượng băng ghi
1. Băng ghi loại tốt:
a) Số kênh không làm việc không quá 5% số kênh đo và không phải kênh của máy gối (máy đầu tiên và cuối cùng) và không nằm kề nhau;
b) Bức tranh sóng trên băng rõ ràng: Sóng đầu và điểm gẫy đầu sóng rõ ràng;
c) Biên độ nhiễu trước khi xuất hiện sóng đầu nhỏ hơn 1/3 biên độ của sóng đầu;
d) Đầu sóng đầu tiên hiện rõ ở 85% số kênh đo.
2. Băng ghi loại khá:
a) Số kênh không làm việc không quá 10% số kênh đo và không nằm kề nhau;
b) Đầu sóng đầu tiên hiện rõ ở 70% số kênh đo.
3. Băng ghi loại trung bình:
a) Số kênh không làm việc không quá 15% số kênh đo và không nằm kề nhau;
b) Đầu sóng đầu tiên hiện rõ ở 50% số kênh đo.
4. Băng ghi loại yếu:
a) Số kênh không làm việc không quá 20% số kênh đo, hoặc có 2 kênh không làm việc nằm kề nhau;
b) Đầu sóng đầu tiên hiện rõ ở 30% số kênh đo.
5. Các băng có chất lượng xấu, phải loại bỏ:
a) Băng ghi có trên 2 kênh không làm việc nằm kề nhau, hoặc không đạt chất lượng loại yếu nói trên;
b) Các chặng đo có trên 45% số băng ghi có chất lượng yếu sẽ phải đo lại.
Chương IV
Điều 32. Yêu cầu thực hiện công tác văn phòng
Công tác xử lý tài liệu văn phòng được tiến hành đồng thời và ngay sau khi kết thúc công tác thực địa.
Điều 33. Hệ thống và hoàn chỉnh tài liệu thực địa
1. Thực hiện kiểm tra, hiệu đính, hệ thống các sổ ghi thực địa, xác định vị trí các đoạn tuyến lên bản đồ thi công.
2. Hệ thống lại các băng ghi đã in, đối chiếu với sổ ghi thực địa và các tệp số liệu.
3. Xác định tọa độ điểm nguồn, điểm thu sóng và nhập vào các tệp số liệu băng ghi.
4. Loại bỏ các tệp số liệu hỏng hoặc thừa ra khỏi thư mục số liệu chính.

Điều 34. Vạch pha và sóng địa chấn
Vạch pha và sóng địa chấn cần bắt đầu ngay sau khi thi công và kiểm tra lại khi tổng kết tài liệu.
1. Đầu tiên thực hiện vạch pha sóng thứ nhất (cực trị tín hiệu thứ nhất). Khi bức tranh sóng phức tạp, có giao thoa nhiều sóng hoặc có nhiễu thì sử dụng các pha tiếp theo; sau đó vạch đầu sóng ở các đường ghi hiện rõ đầu sóng.
Điều 35. Thành lập biểu đồ thời khoảng
a) Dùng các màu khác nhau cho các điểm nguồn và sóng khác nhau;
b) Lập biểu đồ thời khoảng có quan hệ chặt với vạch sóng trên băng ghi, nên thường phải làm nhiều lần, đặc biệt khi dò tìm sóng ngang;
c) Khi thực hiện trên giấy milimet, lập biểu đồ thời khoảng sơ bộ cho các đoạn thu, trên đó vẽ tất cả vạch pha đã vạch. Thực hiện hiệu chỉnh về đầu sóng bằng com-pa trên bản vẽ. Sau đó can hoặc vẽ lại để có biểu đồ thời khoảng đầu sóng của tuyến;
d) Khi thực hiện trên máy tính thì việc lật qua lại giữa băng ghi và biểu đồ, kiểm tra và tính toán hiệu chỉnh sẽ thuận lợi hơn. Do đó chỉ cần in ra sản phẩm liên kết sóng là biểu đồ thời khoảng đầu sóng của tuyến.
2. Đối với phương pháp sóng khúc xạ:
a) Kiểm tra tính song song của các biểu đồ thời khoảng đuổi nhau cho các sóng theo dõi được liên tục, ứng với các ranh giới khúc xạ rõ, đặc biệt là sóng từ mặt nền;

c) Xác định thời gian tương hỗ TAB và TBA cho các cặp biểu đồ giao nhau.
Sai số xác định thời gian tương hỗ theo chiếu thuận và ngược, ΔTAB= |TAB - TBA| không được vượt quá 5% Ttb (với Ttb = (TAB + TBA) / 2 ). Sau đó lập biểu đồ hiệu q và biểu đồ t0 theo biểu thức:
q = tA - tB + TAB
t0 = tA + tB - TAB
Việc dịch chuyển, tính q và t0 có thể thực hiện bằng com-pa trên giấy milimet, hoặc dùng bảng tính của các phần mềm văn phòng.Điều 36. Tính và tổng hợp các tốc độ trung bình, tốc độ lớp cho Vp và Vs
Vk = Δh/Δt
trong đó:
Δh: Chênh lệch độ sâu giữa điểm thu 1 và điểm thu 2, tính bằng m;
Δt : Gia số thời gian giữa điểm thu 1 và điểm thu 2, tính bằng giây (s).
b) Hiệu chính theo góc của tia sóng với trục lỗ khoan j để có tốc độ thực V, tính bằng m/s, (Hình 13):


c) Kết quả tính được đưa lên biểu đồ, từ đó thực hiện chia lớp theo tốc độ và xác định tốc độ lớp là trung bình các trị số thu được trong lớp đó.
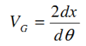
2. Đối với phương pháp sóng khúc xạ, để tính toán chính xác ranh giới, cần tính tốc độ các sóng và tập hợp thành mặt cắt tốc độ:
trong đó:
x Khoảng cách đến điểm nguồn, tính bằng mét;
q Trị số thời gian đọc trên biểu đồ hiệu, tính bằng s;
VG Tốc độ truyền sóng của ranh giới, tính bằng m/s.


Điều 37. Xác định ranh giới địa chấn
1. Với tài liệu địa chấn lỗ khoan: Xác định ranh giới bằng điểm đặc trưng của biểu đồ thời khoảng và biến đổi tốc độ thực, kết hợp với xem xét đặc trừng động lực của sóng.
2. Với tài liệu đo mặt cắt đứng, chiếu sóng địa chấn: xác định bằng điểm đặc trưng của biểu đồ thời khoảng, tốc độ và đồ giải hình học biểu đồ tia sóng. Kiểm lại kết quả bằng tính lại biểu đồ thời khoảng theo mô hình môi trường đã thu được. Công đoạn này có thể phải thực hiện lặp nhiều lần để thu được kết quả chính xác.
3. Với tài liệu địa chấn khúc xạ: trong từng bước lập mặt cắt, sử dụng các phương pháp sau:
a) Phương pháp t0 xác định độ sâu pháp tuyến h của ranh giới
; với Vtb là tốc độ trung bình lớp phủ bên trên
;
b) Sử dụng phương pháp t0 để tính cho các lớp phủ và mặt nền. Có thể dùng các biến thể khác của phương pháp t0, như tính bề dày lớp, tính với hệ số hiệu chỉnh;
Điều 38. Xác định các đới phá huỷ, karst theo đặc trưng động và động lực
1. Đặc trưng động (Kinematic): trên mặt cắt địa chấn độ sâu tính toán thăng giáng, tốc độ ranh giới giảm và biểu đồ thời khoảng có thăng giáng mạnh.
a) Vị trí XA theo băng của điểm nguồn thuận;
b) Vị trí XB theo băng của điểm nguồn ngược;
c) Hiệu đính vị trí ranh giới đới trên mặt cắt theo độ nghiêng tia sóng.
3. Đối với karst chứa nước thường quan sát được bức tranh sóng hỗn loạn, tuỳ thuộc dạng và độ lớn của hang. Kết quả xác định cần được kiểm tra, đối chiếu với kết quả của phương pháp khác.
Điều 39. Đánh giá sai số
1. Khi quan sát mạng lưới, thực hiện xác định sai số độ sâu ranh giới mạnh (nền hoặc lớp tựa) tại các điểm cắt nhau của tuyến. Sai số tương đối độ sâu tại điểm cắt không được quá 5%.
2. Khi có công trình khoan địa chất, sai số độ ranh giới xác định theo tài liệu địa chấn và tài liệu khoan không quá 7%.
Điều 40. Thành lập mặt cắt địa chấn - địa chất
1. Mặt cắt địa chấn - địa chất thành lập theo các số liệu thu được từ quan sát địa chấn và có đối chiếu và hiệu đính kết quả của các quan sát khác.
2. Khi phục vụ đo vẽ lập bản đồ địa chất, địa chất công trình và địa chất tai biến tỷ lệ 1:50.000, thành lập mặt cắt địa chấn - địa chất với tỷ lệ ngang 1:5.000, tỷ lệ đứng 1:1.000 đến 1:500.
3. Khi phục vụ đánh giá khoáng sản, địa chất tai biến và khảo sát công trình xây dựng, thành lập mặt cắt địa chấn - địa chất với tỷ lệ ngang 1: 2.000 đến 1:1000, tỷ lệ đứng 1:1.000 đến 1:200.
4. Trên mặt cắt, biểu diễn các ranh giới, các đới phá huỷ đã xác định, vị trí một số điểm nguồn, các giá trị tham số điển hình (Vp, Vs, Ed, n ), ký hiệu địa chất các lớp và khối đá.
5. Thiết đồ các lỗ khoan, giếng, hào, hố khai đào địa chất công trình trên tuyến địa chấn lựa chọn đưa vào mặt cắt biểu diễn biểu đồ thời khoảng.
Điều 41. Xác lập tương quan giữa các tham số địa chấn và các chỉ tiêu địa chất công trình
trong đó:
Vp, Vs: Tốc độ truyền sóng dọc và ngang, tính bằng m/s;
n: Hệ số Poisson;
Ed: Modul đàn hồi, tính bằng PA;
s: Khối lượng thể tích tự nhiên (mật độ), tính bằng Kg/m3;
g: Gia tốc trọng trường, tính bằng m/s2.
2. Lập tương quan giữa Ed và n với Vp. Quan hệ Ed (Vp) có dạng:
Lg(Ed) = aLg(Vp) - b
Trường hợp không đủ số liệu để tính tương quan, thì sử dụng công thức của Hawkin: Lg(Ed) = 2,3416 Lg(Vp) - 4,9
3. Dùng kết quả thu được để tính Ed tại vị trí chỉ quan sát được sóng dọc và chỉ thu được Vp.
Điều 42. Sản phẩm của đo địa chấn lập bản đồ địa chất công trình
Khi đo địa chấn phục vụ vẽ bản đồ địa chất công trình tỷ lệ 1:50.000, thành lập các sơ đồ phân vùng cùng tỷ lệ với tỷ lệ bản đồ địa chất công trình, các tham số modul đàn hồi, hệ số biến dạng, khối lượng thể tích tự nhiên, độ rỗng, độ ẩm cho vùng lập bản đồ địa chất công trình.
Điều 43. Lập báo cáo tổng kết
1. Báo cáo tổng kết công tác đo địa chấn gồm báo cáo thuyết minh, phụ lục, các bản vẽ kèm theo báo cáo.
2. Báo cáo thuyết minh gồm các nội dung chính:
a) Mở đầu: nêu tóm tắt cơ sở pháp lý và kỹ thuật kinh tế của dự án; tình hình thực hiện khối lượng công tác, những nội dung thay đổi so với dự án; các phương pháp kỹ thuật đã áp dụng, chất lượng công tác và kết quả chính đã đạt được; đơn vị thực hiện và những người tham gia chính;
b) Chương 1: Khái quát vùng công tác thể hiện các nội dung: vị trí vùng công tác (vị trí hành chính, tọa độ, kèm bản đồ chỉ dẫn tỷ lệ nhỏ khổ A4); các đặc điểm địa hình, sông, suối, khí hậu, dân cư, kinh tế, giao thông; sơ lược lịch sử nghiên cứu địa chất, địa chất công trình và địa vật lý có liên quan đến công tác, mức độ sử dụng những tài liệu đã có để giải quyết nhiệm vụ được giao. Trường hợp công tác đo địa chấn là hợp phần của dự án chuyên môn chỉ cần nêu các thông tin có liên quan đến điều kiện thực hiện nhiệm vụ;
c) Chương 2: Phương pháp và kỹ thuật công tác thực địa thể hiện các nội dung: phương pháp và kỹ thuật công tác đã sử dụng; chất lượng tài liệu thực địa đã được đánh giá theo biên bản nghiệm thu, hoặc theo qui định hiện hành; những nét chính trong phân tích, xử lý, giải đoán tài liệu địa chấn và xử lý tổng hợp với các tài liệu địa chất, địa chất công trình và địa vật lý khác;
d) Chương 3: Kết quả công tác thể hiện các nội dung: kết quả công tác, trình bày theo các tuyến, hầm lò, lỗ khoan đã đo; kết quả liên kết tài liệu địa chấn theo mặt bằng; kết quả liên kết với các tài liệu địa chất, địa chất công trình và địa vật lý khác; đánh giá mức độ giải quyết nhiệm vụ kỹ thuật được giao;
d) Chương 4: Phần kinh tế;
e) Kết luận nêu tóm tắt các kết quả chủ yếu đã thực hiện; các vấn đề tồn tại chưa giải quyết được và phương hướng giải quyết.
3. Các bản vẽ và phụ lục kèm theo báo cáo:
a) Sơ đồ bố trí tuyến đo địa chấn, thành lập trên nền địa hình và các công trình địa chất - địa vật lý khác có cùng tỷ lệ;
b) Biểu đồ thời khoảng trên các tuyến, hầm lò, lỗ khoan;
c) Mặt cắt địa chấn - địa chất các tuyến, hầm lò, lỗ khoan;
d) Khi các tuyến đo địa chấn lập được thành mạng lưới, thì thành lập bản đồ phân chia các khối đất đá theo tính chất vật lý, các đới phá huỷ và đứt gãy;
d) Khi công tác địa chấn có nhiệm vụ xác định các tham số đàn hồi và cơ lý của đá và có tương quan thực nghiệm với các tham số địa chất công trình thì thành lập các bảng so sánh, các biểu đồ tương quan và các bản đồ tham số địa chất công trình theo tài liệu địa vật lý cho các lớp có đủ số liệu và có tương quan đảm bảo độ tin cậy của thông tin.
4. Thành phần tổ lập báo cáo gồm:
a) Chủ biên điều tra viên chính chuyên ngành địa vật lý bậc 4 trở lên;
b) 02 điều tra viên chuyên ngành địa vật lý phân tích tài liệu;
c) 03 kỹ thuật viên tính toán;
d) 01 điều tra viên chính chuyên ngành địa chất công trình.
Điều 44. Phê duyệt, bàn giao kết quả
1. Báo cáo tổng kết được nghiệm thu phê duyệt theo các Quy chế hiện hành về quản lý các đề án, dự án thuộc Bộ Tài nguyên và Môi trường.
2. Báo cáo sau khi được cấp thẩm quyền phê duyệt phải nộp lưu trữ địa chất theo các quy định hiện hành.
Chương V
ĐIỀU KHOẢN THI HÀNH
Điều 45. Hiệu lực thi hành
1. Thông tư này có hiệu lực thi hành từ ngày 15 tháng 3 năm 2011
Bãi bỏ quy trình kỹ thuật đo địa chấn được ban hành tại Quyết định số 661/QĐ/ĐCKS-KHTC ngày 23 tháng 12 năm 2004 của Cục truởng Cục Địa chất và Khoáng sản Việt Nam.
2. Cục truởng Cục Địa chất và Khoáng sản, các đơn vị trực thuộc Bộ Tài nguyên và Môi trường, các tổ chức, cá nhân thực hiện các dự án chuyên môn áp dụng phương pháp đo địa chấn chịu trách nhiệm thi hành Thông tư này./.
|
Nơi nhận: |
KT.BỘ TRƯỞNG |
PHỤ LỤC I
MẪU CÁC SỔ GHI ĐỊA CHẤN
(Ban hành kèm theo Thông tư số 04 /2011/TT-BTNMT ngày 29 tháng 01 năm 2011 của Bộ Tài nguyên và Môi trường)
1. MẪU BÌA VÀ TRANG ĐẦU CỦA SỔ GHI ĐỊA CHẤN
|
CƠ QUAN CHỦ TRÌ TỔNG CỤC, CỤC, TRUNG TÂM….. ĐƠN VỊ…. SỔ GHI ĐO ĐỊA CHẤN Số ..... Vùng công tác: ......... Tên máy: ......... Số máy: ......... Người do máy: .........
Ai nhặt được sổ này, xin gửi đến địa chỉ: .....
Năm .........
|
2. MẪU TRANG GHI ĐO SÓNG KHÚC XẠ, PHẢN XẠ
|
Vùng: ..... |
Máy: ..... |
Ngày: ..... |
|
Tuyến: ..... |
Số máy: ..... |
Thời tiết: ..... |
|
Khoảng cách điểm nguồn: ..... |
Người do: ..... |
Bắt đầu lúc: ..... |
|
Khoảng cách điểm thu: ..... |
Người ghi: ..... |
Kết thúc lúc: ..... |
|
TT |
Tên tệp số liệu |
Cọc điểm nguồn |
Cọc điểm thu |
Ghi chú: đặc điểm địa hình, địa vật, mốc tuyến, địa chất, thuỷ văn, ... |
|
|
Đầu |
Cuối |
||||
|
1 |
2 |
3 |
4 |
5 |
6 |
|
|
|
|
|
|
|
|
|
|
|
|
|
|
|
|
|
|
|
|
|
|
|
|
|
|
|
|
|
|
|
|
|
|
|
3. MẪU TRANG GHI ĐO ĐỊA CHẤN LỖ KHOAN, CHIẾU SÓNG ĐỊA CHẤN
|
Vùng: ..... |
Máy: ..... |
Ngày: ..... |
|
Lỗ khoan: ..... |
Số máy: ..... |
Thời tiết: ..... |
|
Độ sâu LK: ..... |
Người do: ..... |
Bắt đầu lúc: ..... |
|
Khoảng cách điểm thu: ..... |
Người ghi: ..... |
Kết thúc lúc: ..... |
|
TT |
Tên tệp số liệu |
Điểm nguồn |
Hướng phát xung |
Điểm thu |
Ghi chú: Vẽ sơ đồ do, tình trạng LK |
|
|
Đầu |
Cuối |
|||||
|
1 |
2 |
3 |
4 |
5 |
6 |
7 |
|
|
|
|
|
|
|
|
|
|
|
|
|
|
|
|
|
|
|
|
|
|
|
|
|
|
|
|
|
|
|
|
|
|
|
|
|
|
|
|
4. MẪU TRANG GHI THEO DÕI MÁY ĐỊA CHẤN
|
Đơn vị chủ máy: |
Số máy: ..... |
Quyển số: ..... |
|
Năm sản xuất: |
Máy: ..... |
Từ ngày: ..... |
|
Năm đưa vào sử dụng: |
|
Đến ngày: ..... |
|
TT |
Ngày tháng |
Công việc |
Bộ phận máy có sự cố |
Người thực hiện |
Chữ ký |
Tình trạng thiết bị: Trước, sau kiểm tra, sửa chữa |
|
1 |
2 |
3 |
4 |
5 |
6 |
7 |
|
|
|
|
|
|
|
|
|
|
|
|
|
|
|
|
|
|
|
|
|
|
|
|
|
|
|
|
|
|
|
|
|
|
|
|
|
|
|
|
PHỤ LỤC II
CÁC BIỆN PHÁP KIỂM CHUẨN HỆ ĐO GHI ĐỊA CHẤN
(Ban hành kèm theo Thông tư số 04 /2011/TT-BTNMT ngày 29 tháng 01 năm 2011 của Bộ Tài nguyên và Môi trường)
Khi chưa có Qui trình kiểm định hệ máy đo ghi địa chấn, thực hiện các phương pháp kiểm tra sau:
1. Kiểm tra bề ngoài các thiết bị chính
+ Kiểm tra tài liệu kỹ thuật của máy: thuyết minh kỹ thuật, hướng dẫn sử dụng, lý lịch máy.
+ Kiểm tra máy đo ghi: Vỏ máy, mặt màn hình, bảng phim bấm, không bị nứt vỡ.
+ Vòng đệm giữa các hợp phần vỏ máy khít và không rách đứt, đảm bảo kín không bị thấm nước. Các đầu nối không bị biến dạng, chân nối không bị han rỉ. Các ốc vít phải đủ và vặn chặt.
+ Cáp thu không bị rách vỏ hay đứt, gãy. Đầu cáp và vòng nối máy thu không bị biến dạng, han rỉ.
+ Các máy thu và đầu dây có kẹp cá sấu không bị biến dạng, han rỉ.
2. Kiểm tra khả năng làm việc
+ Lắp nguồn cho máy theo hướng dẫn sử dụng. Bật máy. Theo dõi quá trình khởi động của máy đến khi hiện bảng thực đơn chính điều khiển đo đạc. Nếu thấy bất thường, cần tắt máy, tìm nguyên nhân và khắc phục. Nếu không tìm được nguyên nhân, cần chuyển máy đến cơ sở sửa chữa.
+ Kiểm tra điều hành đo đạc của máy:
- Kiểm tra chức năng đặt tham số làm việc: Dùng các thực đơn đặt tham số ghi (Setting), thay đổi thử các tham số đo ghi như bước số hoá, độ dài ghi, độ trễ ghi (đương và âm), độ nhạy khởi động, đặt bộ lọc,... Khi kết thúc phép thử, trả lại các tham số như trị số sẽ dùng trong đo thực địa.
- Kiểm tra hoạt động của chức năng Chờ ghi (máy Mark-6 báo là Armed). Thử đoản mạch lối vào khởi động (Trig), máy sẽ phải ghi một băng.
- Kiểm tra hoạt động của chức năng Kiểm tra máy thu (Geophone Check).
3. Kiểm chuẩn tính đồng nhất của các kênh ghi của máy đo ghi
+ Đặt bước số hoá ở trị số sẽ làm việc hoặc nhỏ hơn một cấp theo bảng chọn của máy.
+ Để hở mạch các lối vào, dùng chức năng Kiểm tra máy thu (Geophone Check) của máy đo để phát sang các lối vào tín hiệu xung kiểm tra, ghi một đến ba băng ghi.
c) Hiện và in băng này với tỷ lệ hiện tín hiệu các kênh như nhau, xem xét dạng, quá trình quá độ và độ lớn của tín hiệu ghi được.
+ Các đường ghi trên một băng phải cùng dạng (dạng cụ thể không quan trọng), sai lệch độ khuếch không quá 15% và sai lệch pha của các cực trị không quá 1%.4. Kiểm tra cơ sở thời gian của máy
|
Mạch cơ sở thời gian của máy điều khiển bước số hoá và tiến trình số hoá số liệu. Do mạch đồng hồ hiện đại dùng máy phát thạch anh có độ chính xác 10-5, nên chỉ kiểm tra khi thấy: + Thời gian thực của máy tính điều hành đo ghi chạy sai khác với các đồng hồ thông thường. + Kết quả kiểm chuẩn đồng nhất kênh ghi cho ra dạng xung khác với kết quả kiểm tra của kỳ trước. |
|
|
Hình 17. Mạch dùng cho kiểm cơ sở thời gian của máy |
Kiểm tra bằng cách ghi tín hiệu vào là tín hiệu của đường điện lưới quốc gia 50 Hz, có chu kỳ T= 20 ms (Không dùng điện của các máy phát khác). Dùng một hệ gồm biến áp 220 V xuống 1,5 V có dây cuộn cách ly và một biến trở có điện trở không quá 220 Ω, chỉnh cho tín hiệu ra cỡ 0,2 V trước khi nối vào máy địa chấn. Cần có von kế hiện mức tín hiệu này, để tránh tín hiệu lớn (điện áp đỉnh quá 3 V) có thể làm hỏng máy (Hình 17).
Đo ghi tín hiệu này và xác định chu kỳ thực trên băng. Nếu chu kỳ sai khác với chu kỳ điện lưới quá 5% thì cơ sở thời gian của máy đã sai.
5. Kiểm tra mạch khởi động ghi (mạch dấu moment)
Kiểm tra chế độ khởi động tương tự (Analog) và chế độ khóa (Switch).
Chế độ khởi động tương tự dùng khi khởi động ghi cho máy trực tiếp từ mạch lấy dấu khởi động bằng máy thu sóng, bằng công tắc búa, hoặc bằng vòng dây hay xung phát nổ (khi nổ).
Chế độ khoá dùng khi ghép nhiều máy đo ghi, mà máy nhận xung khởi động ghi từ máy đo chủ khác.
+ Để kiểm tra chế độ khởi động tương tự, đặt chức năng khởi động (Set Trig) ở khởi động tương tự (Analog), độ nhạy khởi động 50 ¸ 70% (Analog Trig Sensitivity). Dùng một máy thu lắp vào đầu dây khởi động. Đặt máy ở chế độ đo đạc. Gõ nhẹ lên máy thu, sẽ phải khởi động một lần đo ghi.
+ Để kiểm tra chế độ khởi động khóa, đặt chức năng khởi động ở chế độ khóa (Switch). Dùng một dây dẫn nối tắt lối vào khởi động. Đặt máy ở chế độ đo đạc. Lúc chập mạch (hoặc lúc nhả dây ra) sẽ phải khởi động một lần đo ghi.
+ Kiểm tra độ trễ khi dùng xung điện phát nổ: Độ trễ nổ một vài ms của kíp nổ sẽ gây sai lệch đo thời gian trong địa chấn công trình, vì thế không nên dùng phương pháp xung phát nổ để lấy dấu khởi động. Nếu dùng, cần kiểm tra độ trễ phát nổ cho loạt kíp sẽ sử dụng.
Cách kiểm độ trễ là lắp đặt hệ đo trên bãi thử, với vài ba kênh thu. Nổ thử tại sát điểm thu với hai cách lấy dấu khởi động: theo vòng dây và theo xung phát nổ. Xác định thời gian của các cực trị sóng ở các máy thu và so sánh số đọc giữa hai kiểu lấy dấu khởi động. Nếu độ lệch khởi động dưới 1ms thì chấp nhận được cách lấy dấu khởi động đo ghi theo xung phát nổ.
6. Kiểm tra máy thu sóng
Gồm kiểm tra tính đồng pha và cùng hệ số biến đổi tín hiệu (hệ số cơ điện) của máy thu.
+ Đánh số các máy thu hiện có, lần lượt kiểm tra các máy thu theo nhóm 12 hoặc 24 chiếc (theo số kênh đo của máy).
+ Lắp đặt hệ thống đo trên sân đất có điều kiện bề mặt đồng nhất, đặt các máy thu tại cùng một vị trí, sau đó ghi băng với nguồn đập cách điểm thu cỡ 7 đến 10m.
+ Hiện và in băng này với tỷ lệ hiện tín hiệu các kênh như nhau. Kiểm tra dạng của các đường ghi với nhau. Đường ghi của các kênh phải cùng dạng. Sai lệch độ khuếch đại không được quá 15% và sai lệch pha của các cực trị không quá 1%.
+ Khi thay nhóm máy thu, giữ lại một máy hay hai máy của nhóm cũ để làm mốc so sánh giữa các nhóm.
PHỤ LỤC III
CÁC HƯỚNG DẪN KỸ THUẬT BỔ SUNG
(Ban hành kèm theo Thông tư số 04 /2011/TT-BTNMT ngày 29 tháng 01 năm 2011 của Bộ Tài nguyên và Môi trường)
1. Các nguồn phát sóng
Đặc trưng sóng do nguồn phát ra là yếu tố quan trọng, quyết định đến chất lượng tài liệu và do đó đến khả năng giải quyết nhiệm vụ của phương pháp địa chấn. Đặc trưng này phụ thuộc vào các yếu tố:
- Kiểu nguồn,
- Môi trường quanh nguồn,
- Cách thức thi công phát sóng.
Do đó khi thi công cần xử lý tốt điểm phát sóng, đặc biệt khi cần phát sóng có hướng xung lực ưu tiên nhất định.
+ Nguồn nổ (chất nổ TNT, ammonit, kíp nổ) cho ra xung lực mạnh phổ rộng và gần đẳng hướng.
Một vụ nổ gây ra trong môi trường 3 vùng biến dạng: Tâm lò nổ là vùng vỡ vụn, bao quanh là vùng nứt vỡ và ở ngoài cùng đủ xa là vùng dao động đàn hồi.
Để bảo đảm an toàn cho thiết bị, búi dây thu phải ở ngoài vùng nứt vỡ. Khoảng an toàn cho người và các phương tiện khác xác định theo vùng đá văng theo Qui định về sử dụng vật liệu nổ.
Tín hiệu thực có ở ngoài điểm nổ tuỳ thuộc môi trường xung quanh. Môi trường nổ tốt nhất là nước (sông hồ, trong lỗ khoan có nước) hoặc đất bão hoà nước. Môi trường đất đá bở rời sẽ làm giảm tần số sóng phát ra, thường tần số chính sẽ dưới 30 Hz, ảnh huởng đến giải đoán các sóng đến sau xung đầu tiên. Đặc biệt nổ ở môi trường cát thạch anh khô, sẽ làm phát sinh hiệu ứng áp điện, tạo ra xung điện nhiễu có thể xoá hết tín hiệu sóng thu được ở máy thu.
Yếu tố xác định hiệu suất tạo sóng của vụ nổ là lớp chắn phía trên liều nổ, ngăn chặn năng lượng thoát ra không khí. Vì thế chỉ khi dùng liều nổ nhỏ mới nổ trên mặt đất. Khi dùng liều nổ lớn, phải đặt trong lỗ khoan hoặc hố đào đủ sâu, chèn nút lỗ nổ cẩn thận. Buồng nổ là phương tiện cho phép thi công nổ liều nhỏ ở vùng dân cư - công nghiệp cần có độ an toàn cao.
Khi ngăn chặn được năng lượng thoát ra không khí, thì biên độ sóng A tại điểm đủ xa điểm nổ (vùng dao động đàn hồi), tỷ lệ với căn bậc ba của lượng liều nổ Q:

Trong đó K là hệ số tỷ lệ phụ thuộc hiệu suất tạo sóng và khoảng cách đến điểm thu. Vì lý do này, cách ghi cộng đồng bộ nhiều lần nổ sẽ tăng hiệu quả sử dụng chất nổ.
+ Nguồn búa đập cho ra xung dịch chuyển có phương ưu tiên theo hướng đập. Trên nền đất đá cứng chắc, sẽ cho ra tần số đủ cao, trên 40 Hz, nhưng trên nền đất đá bở rời, phong hoá sẽ cho ra tần thấp, tần số chính có thể dưới 25 Hz. Nếu dùng kiểu tạ thả rơi, thì chỉ cho ra xung dịch chuyển theo phương thẳng đứng.
+ Nguồn phát sóng định hướng chọn lọc, là thiết bị dùng búa máy kích thích vào đất các xung dịch chuyển theo phương ưu tiên nhất định, dùng cho đo đạc trên bộ. Nguồn này có tính chất gần giống nguồn búa đập, nhưng mạnh hơn và dễ tự động hoá đo đạc hơn.
+ Nguồn máy rung Vibroseis, phát tín hiệu hình sin có tần số kiểm soát được trong dải tần làm việc, cho ra xung dịch chuyển có hướng. Việc xử lý tài liệu phức tạp. Lượng dữ liệu của một băng ghi địa chấn rung rất lớn; dùng lượng dĩa cứng 350 MB của máy do có thể không đủ sức chứa cho một ca làm việc.
+ Nguồn súng hơi, xung điện (boomer) thích hợp cho đo ghi ở môi trường nước, có đặc trưng băng tần không rộng như nguồn nổ và dạng xung nguồn thường có cực trị lặp, có thể gây khó khăn cho xác định các sóng đến sau.
2. Xây dựng biểu đồ sóng tiên nghiệm
Qui định chung của phương pháp sóng khúc xạ là khi lập dự án, phải xác định mô hình môi trường, dựng biểu đồ sóng dự đoán, từ đó chọn hệ quan sát và tham số ghi phù hợp, trong đó:
+ Độ dài đoạn thu phải đủ lớn để với 1 điểm nguồn gần ở đầu đoạn thu, phải theo dõi được sóng nền PPP lộ ra ở sóng tới đầu tiên (First Break) khi ra xa điểm nguồn.
+ Độ dài ghi tín hiệu phải đủ lớn để ghi hết các tín hiệu có ich. Biểu đồ sóng dự đoán từ lớp i có dạng:
ti = t0i + hi / Vi
Trong đó:
hi, Vi độ sâu và tốc độ sóng,
t0i = 2hi /Vi-1 thời gian tiếng vang của ranh giới thứ i.
Tính toán hoặc đồ giải, sẽ tìm được điểm lộ sóng nền XN (Hình 3).
Chọn tín hiệu có ích đến sau sóng tới đầu tiên và chọn độ dài ghi dựa theo như cầu khảo sát và khả năng đo ghi của máy. Theo biểu đồ sóng tiên nghiệm, có thể (và thực tế thường phải) bỏ qua các sóng hình thành từ ranh giới trong lớp phủ khi ra xa điểm nguồn. Tuy nhiên trong địa chấn công trình phải theo dõi được sóng trao đổi PSP hình thành từ mặt nền đá gốc.
Với mô hình môi trường phổ biến của địa chất công trình, có nền đá gốc ở sâu cỡ 5 ¸ 30 m và tỷ số tốc độ lớp phủ với đá gốc là 1/2, thì điểm lộ sóng nền thường không quá 70 m. Khi máy đo có 24 kênh, khoảng cách điểm thu từ 5m trở lên, một chặng đo đủ đảm bảo điều kiện này, nên nhiều văn liệu hiện tại coi một chặng đo là đủ để bắt gặp sóng từ mặt nền đá gốc. Chỉ khi dùng máy 1,6 hay 12 kênh, thì mới nhấn mạnh đến việc theo dõi đến khi bắt được sóng từ mặt nền đá gốc.
Để tính toán, có thể dùng mẫu môi trường phổ biến của địa chất công trình là 3 lớp, với V1 = 500, V2 = 1500 và V3 = 4500 (lớp nền) và uớc lượng hi từ thông tin ban đầu về vùng khảo sát.
Kết quả tính cho mô hình môi trường phổ biến của địa chất công trình cho ra công thức kinh nghiệm XN = 2,5h.
3. Lọc số bằng chức năng Filter của chương trình điều hành máy đo

Hình 18. a) Băng ghi dải rộng 16 ¸ 1000Hz chưa lọc; và b) băng ghi đã lọc số dải tần 80 ¸ 500Hz, làm nổi trục đồng pha, nhưng các gẫy đầu sóng kém rõ ràng hơn.
Máy đo hiện đại như Mark-6 có chức năng Lọc số (Digital Filter) cài sẵn trong chương trình điều hành, gồm:
|
Bandpass |
Lọc thông băng. |
|
Highpass |
Lọc thông cao. |
|
Lowpass |
Lọc thông thấp. |
|
Band Rejection |
Lọc triệt băng. |
|
a - b Filter |
Lọc san, để khử nhiễu theo thuật toán Kalman. |
Khi chọn phép lọc trong miền tần số, sẽ yêu cầu chọn các tham số:
|
Lowcut Frequency |
Tần cắt dưới. |
|
Highcut Frequency |
Tần cắt trên. |
|
Filter Slope |
Độ dốc tại ranh giới lọc, tính ra dB/Octave. |
Khi chọn Lọc san Kalman a - b Filter, sẽ yêu cầu chọn các chỉ số:
|
Alpha |
Chỉ số san, chọn trong dải 0,0 (san mạnh) đến 1,0 (san yếu). |
|
Filter Damping (Beta): |
Chỉ số suy giảm bộ lọc. |
Điểm yếu của phép lọc trong xử lý số là tính đẳng hướng với thời gian, tức là coi diễn biến tín hiệu theo chiếu t và -t là như nhau, trong khi bộ lọc điện tử (bộ lọc analogue) chỉ phản ứng với thời gian thuận t. Vì thế bộ lọc điện tử bảo toàn dạng đầu sóng của tín hiệu, còn phép lọc số sẽ biến đầu sóng thành dao động về quá khứ. Do đó phép lọc số sẽ làm nổi các cực trị, làm mờ các đầu sóng (Hình 18).
Khi xử lý tài liệu sóng khúc xạ trong địa chất công trình, thì lọc số sẽ giúp liên kết pha thuận lợi hơn, nhưng việc tìm đầu sóng phải thực hiện trên băng chưa lọc.
4. Tạo điều kiện thuận lợi để kích thích sóng ngang
Khi dùng máy thu thẳng đứng, chỉ có thể thu được sóng ngang trao đổi loại PSP.
Sự hình thành các sóng trong môi trường được giải thích trên mô hình hai lớp phẳng ngang, có tốc độ V1 và V2 và độ sâu H2 như sau (Hình 19):

Hình 19. Sự hình thành sóng P1P2P1 (hay PPP) và sóng trao đổi P1S2P1 (hay PSP).
a) Biểu đồ thời khoảng; b) Mô hình môi trường và phân tích xung lực để ước lượng cường độ sóng; c) Băng ghi có sóng PPP và sóng trao đổi PSP
Từ điểm nguồn A, tia sóng dọc tới hạn P1 vào môi trường 2 tại điểm B, tạo ra tia khúc xạ trượt theo ranh giới BC.
Xung lực Ei của tia tới được phân tích ra hai thành phần Eh và Ev. Thành phần Eh cùng phương với tia khúc xạ, tạo ra sóng trượt dọc P2 ở lớp nền, còn Ev tạo ra dao động ngang, lan truyền thành sóng trượt S2 (kiểu Sự - ngang thẳng đứng). Các dao động ngang truyền chậm hơn, nên khi ra khoảng đủ xa thì phân ly sóng.
Theo nguyên lý Huy-ghen, rung động trong lớp nền, ví dụ tại điểm C, sẽ kích thích môi trường V1 rung động theo. Rung động này tạo ra cả sóng dọc P1 và ngang S1 trong môi trường 1, với biên độ sóng xác định theo thành phần xung dọc EP và ngang tia ES. Vì dùng máy thu thẳng đứng, nên ta thu được sóng dọc P1.
Kết quả là tại điểm thu D, sẽ thu được hai sóng đầu hình thành từ tia trượt, là P1 P2 P1 và P1 S2 P1, hay viet gọn là PPP và PSP.
Phép phân tích lực cho thấy biên độ sóng PSP lớn hơn PPP nhiều lần. Mặt khác môi trường hấp thụ sóng ngang mạnh hơn, nên suy giảm biên độ và tần số của sóng PSP sẽ lớn hơn. Do đó dấu hiệu để giải đoán sóng ngang là cùng với sự tương hợp dạng biểu đồ sóng, thì biên độ và chu kỳ biểu kiến của sóng PSP phải lớn hơn sóng PPP tương ứng. Tỷ số biên độ theo Savitch là 1,3 đến 3 lần đối với đá nguyên dạng, mặc dù theo phân tích vectơ thì tỷ số này phải lớn hơn nữa.
Từ phép phân tích lực, ta cũng thấy để tăng hiệu quả tạo sóng khi dùng nguồn búa đập, cần đập nghiêng theo góc tới hạn, hướng về phía búi thu.
Hình học địa chấn là khảo sát gần đúng của lý thuyết đàn hồi, nên phép phân tích lực theo hướng tia sóng không đủ để lý giải phân bố năng lượng các sóng trao đổi. Và trong thực tế sự hình thành sóng trao đổi ngang rất tuỳ thuộc vào trạng thái của ranh giới. Trong môi trường thực, đo sóng khúc xạ trên mẫu đá (bằng siêu âm) hoặc đo trong hầm lò thì sóng PSP xuất hiện khá rõ. Nhưng khi đo sóng khúc xạ trên mặt cắt có lớp nền nằm sâu trên 5 m thì sóng trượt ngang thường bị hấp thụ mất, nên việc tìm sóng ngang rất khó khăn.
5. Xử lý tài liệu địa chấn phản xạ
Kỹ thuật quan sát và xử lý tài liệu sóng phản xạ liên tục được hoàn thiện và phát triển và kết tinh trong hệ thống thiết bị và phần mềm đắt giá thuộc sở hữu của các công ty thăm dò dầu khí. Những người làm địa chấn công trình - mỏ khó có thể trang bị được như vậy.
Những thông tin sau đây đưa ra để định hướng cho việc chọn lựa mức độ yêu cầu thực hiện xử lý tài liệu.
Giả sử đã nhập tọa độ (x,y,z) của điểm nguồn (điểm nguồn) và điểm thu (ĐT) cho các đường ghi, việc xử lý tài liệu sóng phản xạ điểm sâu chung thường gồm có những công đoạn sau:
+ Xử lý các băng ghi điểm nguồn chung
Gồm có hiệu đính, khử các nhiễu thường trực và hiệu đính về thời gian thẳng đứng (hay khử độ dịch địa chấn). Nhiễu thường trực chủ yếu gồm sóng đầu tiên và sóng mặt (sóng Rayleigh), sóng không khí.
- Hiệu đính điều kiện phát - thu (hiệu đính đặc trưng tĩnh): Thực hiện hiệu đính độ sâu và trạng thái tốc độ của điểm phát và thu về cùng độ sâu hoặc độ cao tuyệt đối qui uớc.
Để hiệu đính tài liệu đo trên bộ, phải có số liệu tốc độ ở lớp phủ mặt. Xác định tốc độ này bằng đo lỗ khoan và/hoặc dùng các sóng đầu tiên của băng ghi để xác định lớp mặt theo cách xử lý tài liệu của phương pháp sóng khúc xạ.
- Khử sóng đầu tiên: Bằng phép dập (hay xoá, Mute). Hàm hệ số xoá có dạng cửa sổ thời gian. Vị trí cửa sổ này dịch theo thời điểm xuất hiện sóng đầu tiên. Tham số quan trọng và khó chọn là bề rộng và dạng của đoạn chuyển tiếp hệ số, sao cho nó dập được sóng đầu, nhưng không làm mất các phản xạ sớm và không tạo ra các dao động phụ khi xử lý số (hiệu ứng Gibbs trong xử lý số).

Hình 20. Các nhiễu thường trực trên băng sóng phản xạ (a), đường ghi (b) và một dạng hàm cửa sổ (c) để xoá sóng đầu tiên cho đường ghi đó.
Đoạn chuyển tiếp đơn giản có dạng tuyến tính (hình 20c). Dạng phức tạp hơn là cosin có đặc tính dập tốt hơn (thường gọi là cửa sổ Hanning).
- Khử sóng mặt: Thực hiện đồng thời cho các đường ghi của băng điểm nguồn chung. Hiệu quả thường phụ thuộc vào sự đồng đều điều kiện thu của các đường ghi. Có hai phương pháp chính:
+ Trừ chọn lựa: Xác định dạng xung tín hiệu (wavelet) của sóng mặt và trừ nó đi trên các đường ghi. Hiệu quả khử phụ thuộc phép xác định dạng tín hiệu và sự đồng nhất dạng tín hiệu của các đường ghi.
+ Lọc trong miền số sóng n, t (wave number): Thực hiện biến đổi băng ghi từ miền (x,t) sang miền (n, t), dập bỏ các vùng ứng với nhiễu thường trực, rồi biến đổi trở lại miền (x,t).
Thực tế có thể tiến hành đồng thời cả hai phương pháp, để bổ trợ lẫn nhau.
- Hiệu chỉnh về thời gian thẳng đứng: Thực hiện hiệu chỉnh cho các đường ghi về dạng nổ và thu sóng tại cùng một điểm (xG, yG), tiền đề cho cộng sóng điểm sâu chung.
+ Xử lý các đường ghi
Đường ghi tín hiệu sóng phản xạ s(t) có mô hình là tích chặp của hàm cường độ tín hiệu phản xạ k(t) và hàm dạng xung tín hiệu phản xạ w(t). Hàm k(t) là đãy xung d, ứng với các đầu sóng.
Độ dài hiệu dụng của w(t) quyết định đến độ phân giải các ranh giới phản xạ của tài liệu: Nếu xung phản xạ kế tiếp xuất hiện quá sớm, khi xung trước chưa kết thúc, thì sẽ bị chế khuất.
Phép lọc ngược (Deconvolution) thực hiện biến đổi đường ghi để rút ngắn độ dài hiệu dụng của dạng xung w(t) đã quan sát được. Trường hợp lý tuởng là rút ngắn về xung d, song trong thực tế khó đạt được điều đó. Có hai hướng xử lý chính:
- Lọc ngược bằng toán tử f(t), rút ngắn tối da hàm w(t). Đa số các công trình nghiên cứu lọc ngược đều theo hướng này.
- Tính đồng thời hai hàm k(t) và w(t) bằng phép tương tự cao nhất (Maximum Likelyhood Deconvolution). Đây là ý tuởng hay, nhưng khối lượng tính toán lớn và thuật tính chưa ổn định, nên chưa chiếm lĩnh được vị trí trong xử lý.
Lọc ngược áp dụng trong 3 giai đoạn: trước khi cộng sóng, cộng với bậc cộng thấp (trộn sóng), hoặc sau khi cộng.
+ Cộng sóng
Thực hiện cộng các đường ghi để làm nổi các tín hiệu có tương quan trong không gian (x,y,z), cho ra sản phẩm mặt cắt địa chấn - địa chất.
- Cộng điểm sâu chung: Cộng các đường ghi có chung trung điểm của điểm nguồn và ĐT.
- Cộng điểm phản xạ chung: Hiện ít có tài liệu đề cập đến.
+ Phương pháp địa chấn địa tầng
Phương pháp địa chấn địa tầng thực hiện giải đoán địa chất các băng ghi tổng của sóng phản xạ, gồm các bước:
- Các mặt phản xạ được chia thành tập hay phức hệ, dựa theo các dấu hiệu của đặc trưng động (dạng sóng, tốc độ), đặc trưng động lực (cường độ, tần số,...), mức độ liên tục và quan hệ thế nằm của ranh giới. Trong một tập, các ranh giới nằm gần song song, có đặc trưng động - động lực giống nhau, phản ánh các nhịp của quá trình trầm tích.
- Quan hệ giữa các tập phản ánh quan hệ các tầng trầm tích, với các dạng chỉnh hợp và bất chỉnh hợp (phủ, gá, bào mòn, đào khoét, đứt gẫy). Xác định ranh giới giữa các tập hay phức hệ đó để đưa lên mặt cắt địa chất.
- Dựa trên kết quả phân chia đó, kết hợp với các quan sát địa chất - địa vật lý khác, xác định ra các tầng trầm tích và thạch học của chúng.
Đây là công đoạn phụ thuộc vào trực giác và kinh nghiệm của người phân tích, đặc biệt khi lý giải các hiện tượng biểu hiện trong tài liệu địa chấn khác.
Bạn chưa Đăng nhập thành viên.
Đây là tiện ích dành cho tài khoản thành viên. Vui lòng Đăng nhập để xem chi tiết. Nếu chưa có tài khoản, vui lòng Đăng ký tại đây!
Bạn chưa Đăng nhập thành viên.
Đây là tiện ích dành cho tài khoản thành viên. Vui lòng Đăng nhập để xem chi tiết. Nếu chưa có tài khoản, vui lòng Đăng ký tại đây!



