- Tổng quan
- Nội dung
- VB gốc
- Tiếng Anh
- Hiệu lực
- VB liên quan
- Lược đồ
-
Nội dung hợp nhất
Tính năng này chỉ có tại LuatVietnam.vn. Nội dung hợp nhất tổng hợp lại tất cả các quy định còn hiệu lực của văn bản gốc và các văn bản sửa đổi, bổ sung, đính chính... trên một trang. Việc hợp nhất văn bản gốc và những văn bản, Thông tư, Nghị định hướng dẫn khác không làm thay đổi thứ tự điều khoản, nội dung.
Khách hàng chỉ cần xem Nội dung hợp nhất là có thể nắm bắt toàn bộ quy định hiện hành đang áp dụng, cho dù văn bản gốc đã qua nhiều lần chỉnh sửa, bổ sung.
- Tải về
Văn bản hợp nhất 16/VBHN-BDTTG 2025 quy định nguyên tắc, tiêu chí, định mức phân bổ vốn ngân sách trung ương và tỷ lệ vốn đối ứng của ngân sách địa phương
| Số hiệu: | 16/VBHN-BDTTG | Ngày ký xác thực: | 27/10/2025 |
| Loại văn bản: | Văn bản hợp nhất | Cơ quan hợp nhất: | Bộ Dân tộc và Tôn giáo |
|
Ngày đăng công báo:
|
Đang cập nhật |
Người ký:
|
Y Vinh Tơr |
| Trích yếu: | Quyết định quy định nguyên tắc, tiêu chí, định mức phân bổ vốn ngân sách trung ương và tỷ lệ vốn đối ứng của ngân sách địa phương thực hiện Chương trình mục tiêu quốc gia phát triển kinh tế - xã hội vùng đồng bào dân tộc thiểu số và miền núi giai đoạn 2021 - 2030, giai đoạn I: Từ năm 2021 đến năm 2025 | ||
|
Số công báo:
Số công báo là mã số ấn phẩm được đăng chính thức trên ấn phẩm thông tin của Nhà nước. Mã số này do Chính phủ thống nhất quản lý.
|
Đang cập nhật |
Ngày hết hiệu lực:
Ngày hết hiệu lực là ngày, tháng, năm văn bản chính thức không còn hiệu lực (áp dụng).
|
Đang cập nhật |
TÓM TẮT VĂN BẢN HỢP NHẤT 16/VBHN-BDTTG
Văn bản hợp nhất 16/VBHN-BDTTG: Quy định phân bổ vốn ngân sách giai đoạn 2021-2025
Văn bản số 16/VBHN-BDTTG được Bộ Dân tộc và Tôn giáo ban hành ngày 27 tháng 10 năm 2025, có hiệu lực từ ngày ký, hợp nhất nội dung từ Quyết định số 39/2021/QĐ-TTg và các quyết định sửa đổi tiếp theo liên quan đến việc phân bổ vốn ngân sách trung ương cho Chương trình mục tiêu quốc gia phát triển kinh tế - xã hội vùng đồng bào dân tộc thiểu số và miền núi giai đoạn 2021 - 2030.
Chương trình này được thực hiện trong 10 năm, chia thành 2 giai đoạn, với giai đoạn I bắt đầu từ năm 2021 và kết thúc vào năm 2025. Các quy định trong văn bản nêu rõ các nguyên tắc, tiêu chí và định mức phân bổ vốn ngân sách nhằm đảm bảo việc sử dụng vốn đúng mục đích, hiệu quả.
Nguyên tắc phân bổ vốn phải tuân thủ theo các quy định tại Luật Đầu tư công và Luật Ngân sách nhà nước, đảm bảo không vượt quá tổng mức vốn đã được phê duyệt. Đối tượng áp dụng bao gồm các bộ, cơ quan, các tỉnh, thành phố trực thuộc Trung ương, và các đơn vị sử dụng vốn ngân sách nhà nước.
Nội dung chính của văn bản quy định rằng, tổng nguồn vốn ngân sách trung ương trung hạn và hằng năm để thực hiện Chương trình sẽ được phân bổ theo các nguyên tắc và tiêu chí đã được xác định. Đặc biệt, ưu tiên sẽ được dành cho các địa phương còn nhiều khó khăn, cũng như các dự án cấp thiết về hạ tầng giao thông và cơ sở vật chất thiết yếu.
Cụ thể, các địa phương sẽ cần bố trí tỷ lệ vốn đối ứng theo quy định, mà tỷ lệ này có thể từ 5% đến 15% tổng ngân sách trung ương hỗ trợ, tùy thuộc vào mức độ hỗ trợ mà từng địa phương nhận được. Việc phân bổ vốn nhằm khuyến khích các địa phương tự cân đối ngân sách và tạo nguồn lực để thực hiện các nghi vụ phát triển.
Văn bản còn lập ra các tiêu chí cụ thể và phương pháp tính toán để phân bổ từng khoản hỗ trợ cho các mục tiêu cụ thể như phát triển sản xuất nông – lâm nghiệp bền vững, đầu tư cơ sở hạ tầng thiết yếu, và bảo vệ môi trường. Đáng chú ý, việc hỗ trợ các dự án về cơ sở hạ tầng và dịch vụ công sẽ được ưu tiên tối đa để cải thiện đời sống của người dân trong vùng đồng bào dân tộc thiểu số.
Cuối cùng, quyền hạn và trách nhiệm được phân định rõ giữa các bộ, ngành trong việc triển khai thực hiện Chương trình, đảm bảo tính minh bạch và hiệu quả trong sử dụng vốn ngân sách quốc gia trong giai đoạn này.
Tải văn bản hợp nhất 16/VBHN-BDTTG
|
| CỘNG HÒA XÃ HỘI CHỦ NGHĨA VIỆT NAM
|
QUYẾT ĐỊNH
Quy định nguyên tắc, tiêu chí, định mức phân bổ vốn ngân sách trung ương và tỷ lệ vốn đối ứng của ngân sách địa phương thực hiện Chương trình mục tiêu quốc gia phát triển kinh tế - xã hội vùng đồng bào dân tộc thiểu số và miền núi giai đoạn 2021 - 2030, giai đoạn i: từ năm 2021 đến năm 2025
Quyết định số 39/2021/QĐ-TTg ngày 30 tháng 12 năm 2021 của Thủ tướng Chính phủ quy định nguyên tắc, tiêu chí, định mức phân bổ vốn ngân sách trung ương và tỷ lệ vốn đối ứng của ngân sách địa phương thực hiện Chương trình mục tiêu quốc gia phát triển kinh tế - xã hội vùng đồng bào dân tộc thiểu số và miền núi giai đoạn 2021 - 2030, giai đoạn I: từ năm 2021 đến năm 2025, có hiệu lực kể từ ngày 30 tháng 12 năm 2021, được sửa đổi, bổ sung bởi:
1. Quyết định số 18/2023/QĐ-TTg ngày 01 tháng 7 năm 2023 của Thủ tướng Chính phủ sửa đổi, bổ sung và bãi bỏ một số điều của Quyết định số 39/2021/QĐ-TTg ngày 30 tháng 12 năm 2021 của Thủ tướng Chính phủ quy định nguyên tắc, tiêu chí, định mức phân bổ vốn ngân sách trung ương và tỷ lệ vốn đối ứng của ngân sách địa phương thực hiện Chương trình mục tiêu quốc gia phát triển kinh tế - xã hội vùng đồng bào dân tộc thiểu số và miền núi giai đoạn 2021 - 2030, giai đoạn I: từ năm 2021 đến năm 2025, có hiệu lực kể từ ngày 01 tháng 7 năm 2023.
2. Quyết định số 35/2025/QĐ-TTg ngày 25 tháng 9 năm 2025 của Thủ tướng Chính phủ sửa đổi, bổ sung một số điều của Quyết định số 39/2021/QĐ-TTg ngày 30 tháng 12 năm 2021 của Thủ tướng Chính phủ quy định nguyên tắc, tiêu chí, định mức phân bổ vốn ngân sách trung ương và tỷ lệ vốn đối ứng của ngân sách địa phương thực hiện Chương trình mục tiêu quốc gia phát triển kinh tế - xã hội vùng đồng bào dân tộc thiểu số và miền núi giai đoạn 2021 - 2030, giai đoạn I: từ năm 2021 đến năm 2025, đã được sửa đổi, bổ sung và bãi bỏ một số điều tại Quyết định số 18/2023/QĐ-TTg ngày 01/7/2023 của Thủ tướng Chính phủ, có hiệu lực kể từ ngày 25 tháng 9 năm 2025.
Căn cứ Luật Tổ chức Chính phủ ngày 18 tháng 02 năm 2025;
Theo đề nghị của Bộ trưởng Bộ Dân tộc và Tôn giáo;
Thủ tướng Chính phủ ban hành Quyết định quy định nguyên tắc, tiêu chí, định mức phân bổ vốn ngân sách trung ương và tỷ lệ vốn đối ứng của ngân sách địa phương thực hiện Chương trình mục tiêu quốc gia phát triển kinh tế - xã hội vùng đồng bào dân tộc thiểu số và miền núi giai đoạn 2021 - 2030, giai đoạn I: từ năm 2021 đến năm 2025[1],
Điều 1. Phạm vi điều chỉnh
Quyết định này quy định các nguyên tắc, tiêu chí, định mức phân bổ vốn ngàn sách trung ương và tỷ lệ vốn đối ứng của ngân sách địa phương thực hiện Chương trình mục tiêu quốc gia phát triển kinh tế - xã hội vùng đồng bào dân tộc thiểu số và miền núi giai đoạn 2021 - 2030, giai đoạn I: từ năm 2021 đến năm 2025 (sau đây gọi tắt là Chương trình); là căn cứ để lập kế hoạch đầu tư trung hạn và hằng năm nguồn ngân sách nhà nước của Chương trình cho các cấp, các ngành và đơn vị sử dụng vốn ngân sách nhà nước.
Điều 2. Đối tượng áp dụng
1.[2] Bộ, cơ quan ngang bộ, cơ quan thuộc Chính phủ, các cơ quan khác ở trung ương, các tỉnh, thành phố trực thuộc Trung ương, xã và các đơn vị sử dụng vốn ngân sách nhà nước để thực hiện Chương trình (sau đây gọi tắt là bộ, cơ quan trung ương và địa phương).
2. Cơ quan, tổ chức tham gia hoặc có liên quan đến lập kế hoạch đầu tư trung hạn và hằng năm nguồn ngân sách nhà nước của Chương trình trong giai đoạn 2021 - 2025.
Điều 3. Nguyên tắc phân bổ vốn
1. Tuân thủ quy định của Luật Đầu tư công, Luật Ngân sách nhà nước, Nghị quyết số 973/2020/UBTVQH14 ngày 08 tháng 7 năm 2020 của Ủy ban Thường vụ Quốc hội quy định về các nguyên tắc, tiêu chí và định mức phân bổ vốn đầu tư công nguồn ngân sách nhà nước giai đoạn 2021 - 2025 và các văn bản pháp luật khác có liên quan.
2. Bám sát các mục tiêu và chỉ tiêu cụ thể của Chương trình giai đoạn 2021 - 2025 nhằm hoàn thành các mục tiêu, chỉ tiêu đề ra; bảo đảm không vượt quá tổng mức vốn đầu tư, vốn sự nghiệp và không thay đổi cơ cấu nguồn vốn của Chương trình đã được cấp có thẩm quyền phê duyệt.
3. Ưu tiên bố trí vốn thực hiện các nhiệm vụ trọng tâm, quan trọng phù hợp với các mục tiêu phân bổ nguồn vốn đầu tư công giai đoạn 2021 - 2025, các nhiệm vụ được cấp có thẩm quyền phê duyệt giai đoạn trước nhưng chưa đủ nguồn lực thực hiện đã được tích hợp tại nội dung Chương trình; các địa phương chỉ đạo điểm được Thủ tướng Chính phủ hoặc cấp có thẩm quyền phê duyệt; tập trung đầu tư, hỗ trợ các xã, thôn, bản khó khăn nhất, giải quyết các vấn đề bức xúc, cấp bách nhất; ưu tiên hỗ trợ hộ nghèo, các nhóm dân tộc thiểu số còn gặp nhiều khó khăn và có khó khăn đặc thù; ưu tiên cho các địa bàn còn thiếu hụt cơ sở hạ tầng thiết yếu; phân bổ vốn đầu tư Chương trình tập trung, không phân tán, dàn trải, bảo đảm hiệu quả sử dụng vốn đầu tư.
4.[3] Ưu tiên bố trí ngân sách trung ương đầu tư các công trình giao thông cho các xã chưa có đường ô tô đến trung tâm xã được rải nhựa hoặc bê tông; đầu tư công trình giao thông kết nối (hệ thống cầu, đường giao thông), công trình điện lưới quốc gia phục vụ phát triển kinh tế - xã hội, bảo đảm quốc phòng, an ninh cho địa bàn có nhiều xã biên giới, xã khu vực III và thôn đặc biệt khó khăn; đầu tư trường dân tộc nội trú địa bàn có đông đồng bào dân tộc thiểu số sinh sống, có nhiều xã đặc biệt khó khăn nhưng chưa có địa điểm hoặc phải thuê địa điểm hoạt động.
5. Đáp ứng yêu cầu quản lý tập trung, thống nhất về mục tiêu, cơ chế, chính sách của Chương trình; tăng cường phân cấp cho cơ sở để tạo sự chủ động, linh hoạt cho các địa phương, các cấp, các ngành trong triển khai, thực hiện Chương trình trên cơ sở nội dung, định hướng, lĩnh vực cần ưu tiên, phù hợp với đặc thù, điều kiện, tiềm năng lợi thế từng địa phương, từng vùng theo quy định của pháp luật, đảm bảo công khai, minh bạch, dễ thực hiện.
6.[4] (được bãi bỏ).
7.[5] Ngân sách trung ương chỉ hỗ trợ các địa phương nhận bổ sung cân đối từ ngân sách trung ương và các tỉnh, thành phố: Đà Nẵng, Quảng Ngãi, Khánh Hòa.
8. Phân bổ vốn của Chương trình bảo đảm công khai, minh bạch, đơn giản, dễ hiểu, dễ tính toán, dễ áp dụng, góp phần đẩy mạnh cải cách hành chính và tăng cường phòng, chống tham nhũng, thực hành tiết kiệm, chống lãng phí.
Điều 4. Nguyên tắc phân bổ vốn ngân sách trung ương trung hạn và hằng năm
1. Tổng nguồn vốn ngân sách trung ương trung hạn và hằng năm để thực hiện Chương trình phân bổ cho các cơ quan trung ương và địa phương theo quy định tại Luật Ngân sách nhà nước, Luật Đầu tư công, các văn bản hướng dẫn về nội dung này.
2.[6] Các bộ, cơ quan trung ương và các địa phương tham gia thực hiện Chương trình căn cứ kế hoạch vốn ngân sách trung ương được giao xây dựng kế hoạch thực hiện, xác định mục tiêu, nhiệm vụ cụ thể, xây dựng phương án phân bổ vốn ngân sách trung ương gửi Bộ Dân tộc và Tôn giáo để tổng hợp gửi Bộ Tài chính theo quy định.
3. Nguồn vốn phân bổ hằng năm của Chương trình phải phù hợp với kế hoạch trung hạn được cấp có thẩm quyền thông qua và khả năng cân đối ngân sách hằng năm; ưu tiên bố trí vốn để hoàn thành các chương trình, dự án chuyển tiếp từ kế hoạch năm trước sang năm sau; ưu tiên các địa phương giải ngân nhanh để tạo điều kiện sớm hoàn thành các mục tiêu, nhiệm vụ của Chương trình.
Điều 5. Tiêu chí, định mức và phương pháp phân bổ nguồn vốn ngân sách trung ương
Tiêu chí, định mức và phương pháp tính toán, xác định nguồn vốn ngân sách trung ương (vốn đầu tư và vốn sự nghiệp) phân bổ cho các bộ, cơ quan trung ương và địa phương thực hiện Chương trình được quy định chi tiết theo 10 Phụ lục ban hành kèm theo Quyết định này.
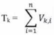
Tổng số vốn phân bổ cho địa phương thứ k (Tk) được tổng hợp từ vốn phân bổ của các dự án, tiểu dự án thành phần thứ i (Vk,i) của địa phương đó:

Trong đó:
- i là dự án, tiểu dự án thứ i
![]()
- k là tỉnh thứ k
![]()
Phương pháp tính toán, xác định vốn phân bổ của địa phương (k) theo tiêu chí của từng dự án, tiểu dự án thành phần (i):
Vk,i = Qi.Xk,i
Trong đó:
- Vk,i: Vốn phân bổ của dự án, tiểu dự án thứ i cho địa phương thứ k.
- Xk,i: Số điểm dự án, tiểu dự án thứ i của địa phương thứ k.
- Qi: Vốn định mức cho 01 điểm phân bổ của dự án, tiểu dự án thứ i

Gi: Vốn ngân sách trung ương để phân bổ cho dự án, tiểu dự án thứ i.
Điều 6. Quy định tỷ lệ vốn đối ứng của ngân sách địa phương thực hiện Chương trình
1. Quy định chung:
a) Tổng vốn đối ứng từ nguồn vốn ngân sách địa phương của các tỉnh, thành phố trực thuộc Trung ương giai đoạn 2021 - 2025 phải bảo đảm mức quy định tại Nghị quyết số 120/2020/QH14 ngày 19 tháng 6 năm 2020 của Quốc hội phê duyệt chủ trương đầu tư Chương trình.
b)[7] Các địa phương bố trí đủ vốn ngân sách địa phương giai đoạn 2021 - 2025 để thực hiện các mục tiêu, nhiệm vụ đã được cấp thẩm quyền phê duyệt.
Địa phương được hỗ trợ vốn từ ngân sách trung ương thực hiện chương trình mục tiêu quốc gia chịu trách nhiệm bố trí vốn ngân sách địa phương giai đoạn 5 năm, cân đối vốn ngân sách địa phương hằng năm không thấp hơn mức vốn đối ứng thực hiện Chương trình tại địa phương theo quy định tại điểm b khoản 2 Điều 6 Quyết định số 39/2021/QĐ-TTg.
2. Quy định cụ thể:
a)[8] Đối với các địa phương tự cân đối được ngân sách (trừ 03 địa phương có nhiều xã, thôn, bản đặc biệt khó khăn gồm: Đà Nẵng, Quảng Ngãi và Khánh Hòa): 100% vốn thực hiện Chương trình từ nguồn ngân sách địa phương và các nguồn vốn huy động hợp pháp khác, đảm bảo Kế hoạch thực hiện Chương trình trong giai đoạn 05 năm và hằng năm của Ủy ban nhân dân cấp tỉnh theo quy định tại Quyết định số 1719/QĐ-TTg ngày 14 tháng 10 năm 2021 của Thủ tướng Chính phủ, trong đó định mức đầu tư, hỗ trợ đối với từng dự án, tiểu dự án không thấp hơn định mức bình quân của Chương trình.
b) Đối với các địa phương nhận hỗ trợ từ ngân sách trung ương:
Các địa phương nhận hỗ trợ từ ngân sách trung ương từ 70% trở lên: Hằng năm, ngân sách địa phương bố trí đối ứng tối thiểu bằng 05% tổng ngân sách trung ương hỗ trợ thực hiện Chương trình cho địa phương.
Các địa phương nhận hỗ trợ từ ngân sách trung ương từ 50% đến dưới 70%: Hằng năm, ngân sách địa phương bố trí đối ứng tối thiểu bằng 10% tổng ngân sách trung ương hỗ trợ thực hiện Chương trình cho địa phương.
Các địa phương nhận hỗ trợ từ ngân sách trung ương dưới 50% và các tỉnh, thành phố Đà Nẵng, Quảng Ngãi, Khánh Hòa: Hằng năm, ngân sách địa phương bố trí đối ứng tối thiểu bằng 15% tổng ngân sách trung ương hỗ trợ thực hiện Chương trình cho địa phương[9].
c) Danh sách các địa phương tự cân đối được ngân sách và tỷ lệ hỗ trợ từ ngân sách trung ương cho các địa phương được căn cứ trên cơ sở dự toán thu, chi ngân sách năm 2022 của từng địa phương đã được Quốc hội quyết định, Thủ tướng Chính phủ giao.
Điều 7. Tổ chức thực hiện
1. [10] Trách nhiệm của Bộ Dân tộc và Tôn giáo
a)[11] Chủ trì, phối hợp với Bộ Tài chính và các bộ, cơ quan trung ương, các địa phương tổng hợp phương án phân bổ kế hoạch vốn đầu tư phát triển và vốn sự nghiệp nguồn ngân sách trung ương trung hạn và hằng năm thực hiện các dự án, tiểu dự án, nội dung thành phần thuộc Chương trình của các bộ, cơ quan trung ương và địa phương theo đúng nguyên tắc, tiêu chí và định mức quy định tại Quyết định này.
b) Chịu trách nhiệm về tính chính xác của các thông tin, số liệu và mức vốn phân bổ cho các dự án, tiểu dự án thành phần do Bộ Dân tộc và Tôn giáo được phân công chủ trì, quản lý[12].
c) Trong quá trình tổ chức thực hiện nếu có khó khăn, vướng mắc, giao Bộ Dân tộc và Tôn giáo chủ trì, phối hợp với các bộ, ngành có liên quan tham mưu sửa đổi, bổ sung cho phù hợp[13].
2[14] Trách nhiệm của Bộ Tài chính
a) Chủ trì, phối hợp với Bộ Dân tộc và Tôn giáo đề xuất phương án cân đối, trình cấp có thẩm quyền phê duyệt vốn đầu tư phát triển nguồn ngân sách trung ương hằng năm cho Chương trình[15].
b) Tổng hợp phương án phân bổ vốn đầu tư phát triển nguồn ngân sách trung ương trung hạn và hằng năm trong giai đoạn 2021 - 2025 cho các bộ, cơ quan trung ương và địa phương thực hiện Chương trình trên cơ sở đề xuất của Bộ Dân tộc và Tôn giáo, bảo đảm đúng nguyên tắc, tiêu chí và định mức quy định tại Quyết định này[16].
c) Tổng hợp phương án phân bổ vốn sự nghiệp nguồn ngân sách trung ương hằng năm cho các bộ, cơ quan trung ương và địa phương thực hiện Chương trình để trình cấp có thẩm quyền xem xét quyết định.
3. Trách nhiệm của các bộ, cơ quan trung ương chủ trì, quản lý các dự án, tiểu dự án, nội dung thành phần của Chương trình
a) Chủ trì, phối hợp với Bộ Dân tộc và Tôn giáo, Bộ Tài chính và các địa phương xây dựng phương án phân bổ kế hoạch vốn ngân sách trung ương trung hạn và hằng năm thực hiện dự án, tiểu dự án, nội dung thành phần thuộc Chương trình do bộ, cơ quan trung ương quản lý theo đúng nguyên tắc, tiêu chí và định mức quy định tại Quyết định này, gửi Bộ Dân tộc và Tôn giáo tổng hợp[17];
b) Chịu trách nhiệm về tính chính xác của các thông tin, số liệu và mức vốn phân bổ cho các dự án, tiểu dự án thành phần do bộ, cơ quan trung ương được giao chủ trì, quản lý.
4. Trách nhiệm của Ủy ban nhân dân cấp tỉnh
a) Căn cứ nguyên tắc, tiêu chí, định mức phân bổ vốn ngân sách trung ương và tỷ lệ vốn đối ứng của ngân sách địa phương được quy định tại Quyết định này, đặc điểm tình hình thực tế của địa phương, xây dựng các nguyên tắc, tiêu chí và định mức phân bổ nguồn ngân sách nhà nước trung hạn và hằng năm cho các ngành, các cấp của địa phương, trình Hội đồng nhân dân cấp tỉnh quyết định;
b) Lập kế hoạch vốn đầu tư phát triển và kinh phí sự nghiệp nguồn ngân sách nhà nước trung hạn và hằng năm thuộc Chương trình theo đúng các nguyên tắc, tiêu chí và định mức do địa phương quy định;
c) Chịu trách nhiệm về tính chính xác các thông tin, số liệu và mức vốn phân bổ cho các dự án trong kế hoạch vốn đầu tư phát triển và sự nghiệp nguồn ngân sách nhà nước trung hạn và hằng năm thuộc Chương trình do địa phương quản lý.
Điều 8. Hiệu lực thi hành[18]
1. Quyết định này có hiệu lực từ ngày ký ban hành.
2. Bộ trưởng, Thủ trưởng cơ quan ngang bộ, Thủ trưởng cơ quan thuộc Chính phủ, các cơ quan liên quan ở trung ương, Chủ tịch Ủy ban nhân dân tỉnh, thành phố trực thuộc Trung ương, Thủ trưởng các cơ quan, đơn vị sử dụng vốn ngân sách nhà nước thực hiện Chương trình giai đoạn 2021 - 2025 chịu trách nhiệm thi hành Quyết định này./.
| BỘ DÂN TỘC VÀ TÔN GIÁO Số: 16/VBHN-BDTTG | XÁC THỰC VĂN BẢN HỢP NHẤT Hà Nội, ngày 27 tháng 10 năm 2025
KT. BỘ TRƯỞNG |
PHỤ LỤC I
PHÂN BỔ VỐN NGÂN SÁCH TRUNG ƯƠNG THỰC HIỆN DỰ ÁN 1
GIẢI QUYẾT TÌNH TRẠNG THIẾU ĐẤT Ở, NHÀ Ở, ĐẤT SẢN XUẤT, NƯỚC SINH HOẠT
(Kèm theo Văn bản số: 16/VBHN-BDTTG, ngày 27 tháng 10 năm 2025 của Bộ Dân tộc và Tôn giáo)
1. Phân bổ vốn đầu tư
a) Phân bổ vốn cho bộ, cơ quan trung ương: Không.
b) Phân bổ vốn cho các địa phương: Áp dụng phương pháp tính điểm theo các tiêu chí như sau:
| TT | Nội dung tiêu chí | Số điểm | Số lượng | Tổng số điểm |
| 1 | Cứ 1 hộ được hỗ trợ đất ở | 0,4 | a | 0,4 x a |
| 2 | Cứ 1 hộ được hỗ trợ nhà ở | 0,4 | b | 0,4 x b |
| 3 | Cứ 1 hộ được hỗ trợ đất sản xuất | 0,225 | c | 0,225 x c |
| 4 | Cứ 1 công trình nước sinh hoạt tập trung | 30 | d | 30 x d |
|
| Tổng cộng |
|
| Xk,i |
Số lượng (a, b, c, d) căn cứ số liệu nhu cầu cần hỗ trợ thực tế của các địa phương, được tổng hợp trong Báo cáo nghiên cứu khả thi của Chương trình.
2. Phân bổ vốn sự nghiệp
a) Phân bổ vốn cho bộ, cơ quan trung ương: Không.
b) Phân bổ vốn cho các địa phương: Áp dụng phương pháp tính điểm theo các tiêu chí như sau:
| TT | Nội dung tiêu chí | Số điểm | Số lượng | Tổng số điểm |
| 1 | Cứ 1 hộ được hỗ trợ chuyển đổi nghề | 0,1 | a | 0,1 x a |
| 2 | Cứ 1 hộ được hỗ trợ nước sinh hoạt phân tán | 0,03 | b | 0,03 x b |
|
| Tổng cộng |
|
| Xk,i |
Số lượng (a, b) căn cứ số liệu nhu cầu cần hỗ trợ thực tế của các địa phương, được tổng hợp trong Báo cáo nghiên cứu khả thi của Chương trình.
PHỤ LỤC II
PHÂN BỔ VỐN NGÂN SÁCH TRUNG ƯƠNG THỰC HIỆN DỰ ÁN 2
QUY HOẠCH, SẮP XẾP, BỐ TRÍ, ỔN ĐỊNH DÂN CƯ Ở NHỮNG NƠI CẦN THIẾT
(Kèm theo Văn bản số:16/VBHN-BDTTG, ngày 27 tháng 10 năm 2025 của Bộ Dân tộc và Tôn giáo)
1. Phân bổ vốn đầu tư
a) Phân bổ vốn cho bộ, cơ quan trung ương: Không.
b) Phân bổ vốn cho các địa phương: Áp dụng phương pháp tính điểm theo các tiêu chí như sau:
| TT | Nội dung tiêu chí | Số điểm |
| 1 | Mỗi dự án có quy mô vốn đầu tư đến 01 tỷ đồng được tính 10 điểm | 10 |
| 2 | Dự án có quy mô trên 01 tỷ đồng, cứ tăng thêm vốn đầu tư 100 triệu đồng được tính thêm | 01 |
| 3 | Mỗi dự án tại xã biên giới được tính thêm | 5 |
|
| Tổng cộng điểm | Xk,i |
Nguồn số liệu căn cứ nhu cầu thực tế của từng địa phương, được tổng hợp trong Báo cáo nghiên cứu khả thi của Chương trình.
2. Phân bổ vốn sự nghiệp
a) Phân bổ vốn cho bộ, cơ quan trung ương: Không.
b) Phân bổ vốn cho các địa phương: Áp dụng phương pháp tính điểm theo các tiêu chí như sau:
| TT | Nội dung tiêu chí | Số điểm |
| 1 | Mỗi dự án có quy mô vốn sự nghiệp đến 10 triệu đồng được tính 0,1 điểm; phần còn lại cứ tăng thêm vốn sự nghiệp 10 triệu đồng được tính thêm | 0,1 |
|
| Tổng cộng điểm | Xk,i |
Nguồn số liệu căn cứ nhu cầu thực tế của từng địa phương, được tổng hợp trong Báo cáo nghiên cứu khả thi của Chương trình.
PHỤ LỤC III
PHÂN BỔ VỐN NGÂN SÁCH TRUNG ƯƠNG THỰC HIỆN DỰ ÁN 3
PHÁT TRIỂN SẢN XUẤT NÔNG, LÂM NGHIỆP BỀN VỮNG, PHÁT HUY TIỀM NĂNG, THẾ MẠNH CỦA CÁC VÙNG MIỀN ĐỂ SẢN XUẤT HÀNG HÓA THEO CHUỖI GIÁ TRỊ
(Kèm theo Văn bản số: 16/VBHN-BDTTG, ngày 27 tháng 10 năm 2025 của Bộ Dân tộc và Tôn giáo)
1. Tiểu dự án 1: Phát triển kinh tế nông, lâm nghiệp bền vững gắn với bảo vệ rừng và nâng cao thu nhập cho người dân
1.1. Phân bổ vốn đầu tư: Không.
1.2. Phân bổ vốn sự nghiệp:
a) Phân bổ vốn cho bộ, cơ quan trung ương: Không
b)1[19] Phân bổ vốn cho các địa phương: Áp dụng phương pháp tính điểm theo các tiêu chí như sau:
| TT | Nội dung tiêu chí | Số điểm | Số lượng (ha) | Tổng số điểm |
| 1 | Mỗi ha rừng được hỗ trợ khoán bảo vệ rừng đối với rừng đặc dụng, rừng phòng hộ. | 0,006 | a | 0,006 x a |
| 2 | Mỗi ha rừng được hỗ trợ bảo vệ rừng quy hoạch rừng phòng hộ và rừng sản xuất là rừng tự nhiên đã giao cho cộng đồng, hộ gia đình. | 0,006 | b | 0,006 x b |
| 3 | Mỗi ha rừng được hỗ trợ khoanh nuôi tái sinh có trồng rừng bổ sung. | 0,02 | c | 0,02 x c |
| 4 | Mỗi ha rừng được hỗ trợ trồng rừng sản xuất, khai thác kinh tế dưới tán rừng và phát triển lâm sản ngoài gỗ | 0,15 | d | 0,15 x d |
| 5 | Mỗi ha rừng được hỗ trợ trồng rừng phòng hộ. | 1,2 | đ | 1,2 x đ |
| 6 | Mỗi tấn gạo trợ cấp trồng rừng cho hộ nghèo tham gia trồng rừng sản xuất, phát triển lâm sản ngoài gỗ, rừng phòng hộ. | 0,12 | e | 0,12 x e |
| 7 | Lập hồ sơ thiết kế và kinh phí quản lý, kiểm tra, nghiệm thu theo Nghị định số 58/2024/NĐ-CP |
|
|
|
| a) | Lập hồ sơ thiết kế |
|
|
|
| - | Hồ sơ khoán bảo vệ rừng, bảo vệ rừng | 0,0005 | g1 | 0,0005 x g1 |
| - | Hồ sơ thiết kế, dự toán khoanh nuôi tái sinh có trồng bổ sung; trồng rừng sản xuất; trồng rừng phòng hộ |
| g2 | 3,6% x (0,15d+1,5đ) |
| b) | Quản lý, kiểm tra, nghiệm thu |
| h | 7% x (0,006a+0,006 b+0,02c + 0,15d + 1,5đ) |
|
| Tổng cộng điểm |
|
| Xk,i |
Số lượng (a, b, c, d, đ, e, g1, g2, h) căn cứ số liệu trong Báo cáo nghiên cứu khả thi và số liệu báo cáo tình hình thực tế của các địa phương do Bộ Nông nghiệp và Môi trường tổng hợp.
2. Tiểu dự án 2: Hỗ trợ phát triển sản xuất theo chuỗi giá trị, vùng trồng dược liệu quý, thúc đẩy khởi sự kinh doanh, khởi nghiệp và thu hút đầu tư vùng đồng bào đồng bào dân tộc thiểu số và miền núi
2.1. Phân bổ vốn đầu tư:
a)2[20] (được bãi bỏ).
b) Phân bổ cho các địa phương: Áp dụng phương pháp tính điểm theo các tiêu chí như sau:
| TT | Nội dung tiêu chí | Số điểm | Số lượng | Tổng số điểm |
| 1 | Mỗi tỉnh thực hiện dự án trồng dược liệu quý | 290 | a | 290 x a |
| 2 | Mỗi Trung tâm nhân giống, bảo tồn và phát triển dược liệu ứng dụng công nghệ cao | 300 | b | 300 x b |
|
| Tổng cộng điểm |
|
| Xk,i |
Số lượng (a, b) căn cứ số liệu nhu cầu thực tế của các địa phương, được tổng hợp trong Báo cáo nghiên cứu khả thi của Chương trình
2.2. Phân bổ vốn sự nghiệp
- Phân bổ vốn cho bộ, cơ quan trung ương: Không quá 09% tổng số vốn của tiểu dự án để xây dựng mô hình sản xuất theo chuỗi giá trị, thúc đẩy khởi sự kinh doanh, khởi nghiệp và thu hút đầu tư vùng đồng bào dân tộc thiểu số và miền núi (Bộ Dân tộc và Tôn giáo không quá 3,8%; Bộ Công Thương không quá 0,7%; Bộ Y tế không quá 03%; các cơ quan: Liên minh Hợp tác xã Việt Nam, Trung ương Đoàn Thanh niên Cộng sản Hồ Chí Minh, Trung ương Hội Nông dân Việt Nam, mỗi cơ quan không quá 0,5%)3[21].
- Phân bổ cho các địa phương: Áp dụng phương pháp tính điểm theo các tiêu chí như sau:
* Phân bổ vốn hỗ trợ phát triển vùng trồng dược liệu quý: Không quá 10% tổng vốn sự nghiệp của tiểu dự án.
| TT | Nội dung tiêu chí | Điểm | Số lượng | Tổng số điểm |
| 1 | Mỗi tỉnh thực hiện dự án trồng dược liệu quý | 310 | a | 310 x a |
| 2 | Mỗi tỉnh thực hiện xây dựng trung tâm giống cây dược liệu quý | 270 | b | 270 x b |
|
| Tổng cộng điểm |
|
| Xk,i |
Số lượng (a, b) căn cứ số liệu nhu cầu thực tế của các địa phương, được tổng hợp trong Báo cáo nghiên cứu khả thi của Chương trình.
* Phân bổ vốn phát triển sản xuất theo chuỗi giá trị, thúc đẩy khởi sự kinh doanh, khởi nghiệp và thu hút đầu tư.
+ Nhóm tiêu chí cơ bản: Xã đặc biệt khó khăn (ĐBKK), thôn ĐBKK
| TT | Nội dung tiêu chí | Điểm | Số lượng | Tổng số điểm |
| 1 | Mỗi xã ĐBKK (xã khu vực III) | 28 | a | 28 x a |
| 2 | Mỗi thôn ĐBKK không thuộc xã khu vực III (Số thôn ĐBKK được tính điểm phân bổ vốn không quá 04 thôn/xã) | 5 | b | 5 x b |
| Tổng cộng điểm |
|
| Ak,i | |
+ Nhóm tiêu chí ưu tiên đối với xã ĐBKK hơn:
. Tiêu chí xã ĐBKK đồng thời là xã ATK hoặc xã biên giới đất liền:
| TT | Nội dung tiêu chí | Điểm | Số lượng | Tổng số điểm |
| 1 | Xã ĐBKK đồng thời là xã ATK hoặc xã biên giới đất liền | 2 | a | 2 x a |
|
| Tổng cộng điểm |
|
| Bk,i |
. Tiêu chí tỷ lệ hộ nghèo của xã ĐBKK
| TT | Nội dung tiêu chí | Điểm | Số lượng | Tổng số điểm |
| 1 | Cứ 1% tỷ lệ hộ nghèo của xã ĐBKK | 0,15 | a | 0,15 x a |
|
| Tổng cộng điểm |
|
| Ck,i |
Xã ĐBKK được xác định theo Quyết định số 861/QĐ-TTg ngày 04 tháng 6 năm 2021 của Thủ tướng Chính phủ phê duyệt danh sách các xã khu vực III, khu vực II, khu vực I thuộc vùng đồng bào dân tộc thiểu số và miền núi giai đoạn 2021 - 2025 (sau đây gọi tắt là Quyết định số 861/QĐ-TTg) và các Quyết định sửa đổi, bổ sung (nếu có); xã ATK, xã biên giới được xác định theo Quyết định của cấp có thẩm quyền; thôn ĐBKK không thuộc xã khu vực III được xác định theo Quyết định số 612/QĐ-UBDT ngày 16 tháng 9 năm 2021 của Bộ trưởng, Chủ nhiệm Ủy ban Dân tộc phê duyệt danh sách các thôn ĐBKK vùng đồng bào dân tộc thiểu số và miền núi giai đoạn 2021 - 2025 (sau đây gọi tắt là Quyết định số 612/QĐ-UBDT) và các Quyết định sửa đổi, bổ sung (nếu có); tỷ lệ hộ nghèo của từng xã thuộc diện đầu tư của Chương trình được xác định theo số liệu để phân định xã khu vực III, khu vực II, khu vực I vùng DTTS&MN giai đoạn 2021 - 2025 theo Quyết định số 861/QĐ-TTg.
Tổng số điểm Xk,i của địa phương thứ k được xác định trên cơ sở cộng điểm theo các tiêu chí: Xk,i = Ak,i + Bk,i + Ck,i
3. Tiểu dự án 3: Phát triển kinh tế xã hội - mô hình bộ đội gắn với dân bản vùng đồng bào dân tộc thiểu số và miền núi
3.1. Phân bổ vốn đầu tư: Không.
3.2. Phân bổ vốn sự nghiệp:
a) Phân bổ cho Bộ Quốc phòng: 100% vốn sự nghiệp (Bộ Quốc phòng chịu trách nhiệm xây dựng phương án phân bổ chi tiết).
b) Phân bổ cho các địa phương: Không.
PHỤ LỤC IV
PHÂN BỔ VỐN NGÂN SÁCH TRUNG ƯƠNG THỰC HIỆN DỰ ÁN 4
ĐẦU TƯ CƠ SỞ HẠ TẦNG THIẾT YẾU, PHỤC VỤ SẢN XUẤT, ĐỜI SỐNG TRONG VÙNG ĐỒNG BÀO DÂN TỘC THIỂU SỐ VÀ MIỀN NÚI VÀ CÁC ĐƠN VỊ SỰ NGHIỆP CÔNG CỦA LĨNH VỰC DÂN TỘC
(Kèm theo Văn bản số: 16 /VBHN-BDTTG, ngày 27 tháng 10 năm 2025 của Bộ Dân tộc và Tôn giáo)
1. Tiểu Dự án 1: Đầu tư cơ sở hạ tầng thiết yếu, phục vụ sản xuất, đời sống trong vùng đồng bào dân tộc thiểu số và miền núi
1.1. Phân bổ vốn đầu tư:
a) Phân bổ vốn cho bộ, cơ quan trung ương: Không.
b) Phân bổ vốn cho các địa phương: Áp dụng phương pháp tính điểm theo các tiêu chí như sau:
- Nhóm tiêu chí cơ bản: Xã ĐBKK, thôn ĐBKK
| TT | Nội dung tiêu chí | Điểm | Số lượng | Tổng số điểm |
| 1 | Mỗi xã ĐBKK (xã khu vực III) | 100 | a | 100 x a |
| 2 | Xã ATK thuộc khu vực II, I (xã chưa được cấp có thẩm quyền công nhận đạt chuẩn NTM, hoàn thành mục tiêu Chương trình 135) | 90 | b | 90 x b |
| 3 | Mỗi thôn ĐBKK không thuộc xã khu vực III (Số thôn ĐBKK được tính điểm phân bổ vốn không quá 04 thôn/xã ngoài khu vực III) | 15 | c | 15 x c |
| 4 | Cứ 1 km cứng hóa đường đến trung tâm xã, đường liên xã chưa được cứng hóa | 16 | d | 16 x d |
| 5 | Cứ xây mới 1 trạm y tế xã | 40 | e | 40 x e |
| 6 | Cứ cải tạo sửa chữa 1 trạm y tế xã | 8 | f | 8 x f |
| 7 | Cứ xây mới 1 chợ vùng dân tộc thiểu số và miền núi | 44 | g | 44 x g |
| 8 | Cứ cải tạo, sửa chữa, nâng cấp 1 chợ vùng dân tộc thiểu số và miền núi | 8 | h | 8 x h |
| 9 | Mỗi công trình giao thông mở mới đường giao thông đến trung tâm xã (dành cho các xã chưa có đường tới trung tâm xã) | 3.430 | i | 3.430 x i |
| 10 | Cứ mỗi nhà hỏa táng1[22] | 225 | k | 225 x k |
| 11 | Mỗi công trình cầu giao thông kết nối các xã biên giới, xã khu vực III, thôn đặc biệt khó khăn | 500 | l | 500 x l |
| 12 | Mỗi công trình hạ tầng lưới điện cho các xã biên giới, xã khu vực III, thôn đặc biệt khó khăn | 1.000 | m | 1.000 x m |
|
| Tổng cộng điểm |
|
| Ak,i |
- Nhóm tiêu chí ưu tiên:
. Tiêu chí xã ĐBKK đồng thời là xã ATK hoặc xã biên giới đất liền:
| TT | Nội dung tiêu chí | Điểm | Số lượng | Tổng số điểm |
| 1 | Xã ĐBKK đồng thời là xã ATK hoặc xã biên giới đất liền | 10 | a | 10 x a |
|
| Tổng cộng điểm |
|
| Bk,i |
. Tiêu chí tỷ lệ hộ nghèo của xã ĐBKK
| TT | Nội dung tiêu chí | Điểm | Số lượng | Tổng số điểm |
| 1 | Cứ 1% tỷ lệ hộ nghèo của xã ĐBKK | 0,3 | a | 0,3 x a |
|
| Tổng cộng điểm |
|
| Ck,i |
Xã ĐBKK được xác định theo Quyết định số 861/QĐ-TTg và các Quyết định sửa đổi, bổ sung (nếu có); xã ATK, xã biên giới được xác định theo Quyết định của cấp có thẩm quyền; thôn ĐBKK không thuộc xã khu vực III được xác định theo Quyết định số 612/QĐ-UBDT và các Quyết định sửa đổi, bổ sung (nếu có); tỷ lệ hộ nghèo của từng xã thuộc diện đầu tư của Chương trình được xác định theo số liệu để phân định xã khu vực III, khu vực II, khu vực I vùng DTTS&MN giai đoạn 2021 - 2025 theo Quyết định số 861/QĐ-TTg. Số liệu chợ; trạm y tế căn cứ số liệu trong Báo cáo nghiên cứu khả thi và số liệu báo cáo tình hình thực tế của các địa phương.
Số km cứng hóa đường đến trung tâm xã, đường liên xã chưa được cứng hóa, nhà hỏa táng điện, công trình cầu giao thông kết nối, hạ tầng lưới điện cho các xã biên giới, xã khu vực III, thôn đặc biệt khó khăn căn cứ số liệu trong Báo cáo nghiên cứu khả thi và số liệu báo cáo tình hình thực tế của các địa phương.
Tổng số điểm Xk,i của địa phương thứ k được xác định trên cơ sở cộng điểm theo các tiêu chí: Xk,i = Ak,i + Bk,i + Ck,i
1.2. Phân bổ vốn sự nghiệp
a) Phân bổ vốn cho bộ, cơ quan trung ương: Không
b) Phân bổ vốn cho các địa phương:
- Áp dụng phương pháp tính điểm theo các tiêu chí như sau:
- Nhóm tiêu chí cơ bản: Xã ĐBKK, thôn ĐBKK
| TT | Nội dung tiêu chí | Điểm | Số lượng | Tổng số điểm |
| 1 | Mỗi xã ĐBKK (xã khu vực III) | 9 | a | 9 x a |
| 2 | Xã ATK thuộc khu vực II, I (xã chưa được cấp có thẩm quyền công nhận đạt chuẩn NTM, hoàn thành mục tiêu Chương trình 135) | 8 | b | 8 x b |
| 3 | Mỗi thôn ĐBKK không thuộc xã khu vực III (Số thôn ĐBKK được tính điểm phân bổ vốn không quá 04 thôn/xã ngoài khu vực III) | 1,8 | c | 1,8 x c |
| 4 | Hỗ trợ trang thiết bị cho mỗi trạm y tế xây mới và cải tạo | 2,5 | d | 2,5 x d |
| 5 | Cứ mỗi nhà hỏa táng2[23] | 225 | e | 225 x e |
|
| Tổng cộng điểm |
|
| Ak,i |
- Nhóm tiêu chí ưu tiên:
. Tiêu chí xã ĐBKK đồng thời là xã ATK hoặc xã biên giới đất liền:
| TT | Nội dung tiêu chí | Điểm | Số lượng | Tổng số điểm |
| 1 | Xã ĐBKK đồng thời là xã ATK hoặc xã biên giới đất liền | 1 | a | 1 x a |
|
| Tổng cộng điểm |
|
| Bk,i |
. Tiêu chí tỷ lệ hộ nghèo của xã ĐBKK
| TT | Nội dung tiêu chí | Điểm | Số lượng | Tổng số điểm |
| 1 | Cứ 1% tỷ lệ hộ nghèo của xã ĐBKK | 0,03 | a | 0,03 x a |
|
| Tổng cộng điểm |
|
| Ck,i |
Xã ĐBKK được xác định theo Quyết định số 861/QĐ-TTg và các Quyết định sửa đổi, bổ sung (nếu có); xã ATK, xã biên giới được xác định theo Quyết định của cấp có thẩm quyền; thôn ĐBKK không thuộc xã khu vực III được xác định theo Quyết định số 612/QĐ-UBDT và các Quyết định sửa đổi, bổ sung (nếu có); tỷ lệ hộ nghèo của từng xã thuộc diện đầu tư của Chương trình được xác định theo số liệu để phân định xã khu vực III, khu vực II, khu vực I vùng DTTS&MN giai đoạn 2021 - 2025 theo Quyết định số 861/QĐ-TTg. Hỗ trợ trang thiết bị cho trạm y tế xây mới và cải tạo, nhà hỏa táng căn cứ số liệu trong Báo cáo nghiên cứu khả thi và số liệu báo cáo tình hình thực tế của các địa phương.
Tổng số điểm Xk,i của địa phương thứ i được xác định trên cơ sở cộng điểm theo các tiêu chí: Xk,i = Ak,i + Bk,i + Ck,i
2. Tiểu Dự án 2: Đầu tư cơ sở vật chất các đơn vị sự nghiệp công lập của lĩnh vực công tác dân tộc
1.1.3[24] Phân bổ vốn đầu tư:
Bộ Dân tộc và Tôn giáo thực hiện đầu tư các Trường: Phổ thông Vùng cao Việt Bắc, Dự bị Đại học Dân tộc Trung ương, Dự bị Đại học Dân tộc Sầm Sơn, Dự bị Đại học Dân tộc Trung ương Nha Trang, Dự bị Đại học Thành phố Hồ Chí Minh: Kinh phí phân bổ không quá 43% tổng số vốn tiểu dự án4[25].
Bộ Giáo dục và Đào tạo thực hiện đầu tư các Trường Đại học Tây Bắc, Đại học Tây Nguyên, Hữu Nghị T78, Hữu Nghị 80: Kinh phí phân bổ không quá 49% tổng số vốn tiểu dự án.
Ủy ban nhân dân tỉnh Tuyên Quang thực hiện đầu tư Trường Đại học Tân Trào: Kinh phí phân bổ không quá 9% tổng số vốn tiểu dự án
1.2. Phân bổ vốn sự nghiệp: Không
PHỤ LỤC V
PHÂN BỔ VỐN NGÂN SÁCH TRUNG ƯƠNG THỰC HIỆN DỰ ÁN 5
PHÁT TRIỂN GIÁO DỤC ĐÀO TẠO NÂNG CAO CHẤT LƯỢNG NGUỒN NHÂN LỰC
(Kèm theo Văn bản số: 16/VBHN-BDTTG, ngày 27 tháng 10 năm 2025 của Bộ Dân tộc và Tôn giáo)
1. Tiểu dự án 1: Đổi mới hoạt động, củng cố phát triển các trường phổ thông dân tộc nội trú (PTDTNT), trường phổ thông dân tộc bán trú (PTDTBT), trường phổ thông có học sinh ở bán trú (HSBT) và xóa mù chữ cho người dân vùng đồng bào dân tộc thiểu số
1.1. Phân bổ vốn đầu tư:
a) Phân bổ vốn cho bộ, cơ quan trung ương: Không
b) Phân bổ cho các địa phương: Áp dụng phương pháp tính điểm theo các tiêu chí như sau:
| TT | Nội dung tiêu chí | Số điểm | Số lượng | Tổng số điểm |
| 1 | Mỗi phòng công vụ giáo viên bổ sung, nâng cấp | 1,446 | a | 1,446 x a |
| 2 | Mỗi phòng ở cho học sinh bán trú, nội trú bổ sung, nâng cấp | 1,446 | b | 1,446 x b |
| 3 | Mỗi phòng quản lý cho học sinh bán trú, nội trú bổ sung, nâng cấp | 1,446 | c | 1,446 x c |
| 4 | Mỗi nhà ăn + nhà bếp bổ sung, nâng cấp | 5,784 | d | 5,784 x d |
| 5 | Mỗi nhà kho chứa lương thực bổ sung, nâng cấp | 4,5 | đ | 4,5 x đ |
| 6 | Mỗi công trình vệ sinh, nước sạch bổ sung, nâng cấp | 4,5 | e | 4,5 x e |
| 7 | Mỗi nhà sinh hoạt, giáo dục văn hóa dân tộc bổ sung, nâng cấp | 4,5 | g | 4,5 x g |
| 8 | Mỗi phòng học thông thường và phòng học bộ môn bổ sung, nâng cấp | 3,759 | h | 3,759 x h |
| 9 | Mỗi công trình phụ trợ khác (sân chơi, bãi tập, vườn ươm cây...) bổ sung, nâng cấp | 2 | k | 2 x k |
| 10 | Mỗi trường dân tộc nội trú cho địa bàn có đông đồng bào dân tộc thiểu số sinh sống nhưng chưa có hoặc phải đi thuê địa điểm để hoạt động1[26] | 450 | l | 450 x l |
|
| Tổng cộng điểm |
|
| Xk,i |
Số lượng (a, b, c, d, đ, e, g, h, k, l) căn cứ số liệu nhu cầu thực tế của các địa phương, được tổng hợp trong Báo cáo nghiên cứu khả thi của Chương trình.
1.2. Phân bổ vốn sự nghiệp:
a) Phân bổ vốn cho Bộ Giáo dục và Đào tạo: Không quá 10 % vốn sự nghiệp tiểu dự án.
b) Phân bổ vốn cho các địa phương: Áp dụng phương pháp tính điểm theo các tiêu chí như sau:
| TT | Nội dung tiêu chí | Số điểm | Số lượng | Tổng số điểm |
| 1 | Mỗi người học xóa mù chữ | 0,5 | a | 0,5 x a |
| 2 | Mỗi lớp học xóa mù chữ | 10 | b | 10 x b |
| 3 | Mỗi bộ tài liệu, sách giáo khoa, văn phòng phân phát cho người học | 0,05 | c | 0,05 x c |
| 4 | Mỗi đơn vị mua sắm trang thiết bị | 500 | d | 500 x d |
|
| Tổng cộng điểm |
|
| Xk,i |
Số lượng (a, b, c, d) căn cứ số liệu nhu cầu thực tế của các địa phương, được tổng hợp trong Báo cáo nghiên cứu khả thi của Chương trình.
2. Tiểu dự án 2: Bồi dưỡng kiến thức dân tộc; đào tạo dự bị đại học, đại học và sau đại học đáp ứng nhu cầu nhân lực cho vùng đồng bào dân tộc thiểu số
2.1. Phân bổ vốn đầu tư: Không
2.2. Phân bổ vốn sự nghiệp:
a) Nội dung 1. Bồi dưỡng kiến thức dân tộc
- Phân bổ vốn cho các bộ, cơ quan trung ương: Không quá 42%, tổng số vốn nội dung 1 của tiểu dự án (Bộ Dân tộc và Tôn giáo không quá 16%, Bộ Công an không quá 9%, Bộ Quốc phòng không quá 9%, Học viện chính trị quốc gia Hồ Chí Minh không quá 8%)2[27].
- Phân bổ cho các địa phương: Áp dụng phương pháp tính điểm theo các tiêu chí như sau:
| TT | Nội dung tiêu chí | Số điểm | Số lượng | Tổng số điểm |
| 1 | Mỗi xã vùng đồng bào dân tộc thiểu số | 0,204 | a | 0,204 x a |
|
| Tổng cộng |
|
| Xk,i |
Xã vùng đồng bào dân tộc thiểu số được xác định theo Quyết định số 861/QĐ-TTg và các Quyết định sửa đổi, bổ sung (nếu có)
b) Nội dung 2. Đào tạo dự bị đại học, đại học, sau đại học
- Đào tạo Dự bị đại học (được bãi bỏ)3[28]
- Đào tạo đại học, sau đại học: Áp dụng phương pháp tính điểm theo các tiêu chí như sau:
| TT | Nội dung tiêu chí | Số điểm | Số lượng | Tổng số điểm |
| 1 | Mỗi xã đào tạo đại học | 1,6 | a | 1,6 x a |
| 2 | Mỗi tỉnh đào tạo thạc sĩ, tiến sĩ | 16,5 | b | 16,5 x b |
|
| Tổng cộng |
|
| Xk,i |
Xã thuộc vùng đồng bào dân tộc thiểu số được xác định theo Quyết định số 861/QĐ-TTg và các Quyết định sửa đổi, bổ sung (nếu có), tỉnh thuộc vùng đồng bào dân tộc thiểu số và miền núi chưa tự cân đối được ngân sách.
3. Tiểu dự án 3: Dự án phát triển giáo dục nghề nghiệp (GDNN) và giải quyết việc làm cho người lao động vùng dân tộc thiểu số và miền núi
3.1. Phân bổ vốn đầu tư: Không
3.2. Phân bổ vốn sự nghiệp:
a) Phân bổ cho các bộ, ngành trung ương: Không quá 2,5% tổng vốn tiểu dự án.
b) Phân bổ cho các địa phương: Áp dụng phương pháp tính điểm theo các tiêu chí như sau:
| TT | Nội dung tiêu chí | Số điểm | Số lượng | Tổng số điểm |
| 1 | Mỗi học viên được đào tạo nghề | 0,035 | a | 0,035 x a |
|
| Tổng cộng điểm |
|
| Xk,i |
Số lượng học viên được đào tạo nghề (a) được sử dụng làm căn cứ phân bổ vốn cho các địa phương.
Số lượng học viên và nội dung chi cụ thể theo thực tế đã được tổng hợp theo Báo cáo nghiên cứu khả thi của Chương trình.
4. Tiểu dự án 4: Đào tạo nâng cao năng lực cho cộng đồng và cán bộ triển khai Chương trình ở các cấp
4.1. Phân bổ vốn vốn đầu tư: Không
4.2 Phân bổ vốn sự nghiệp:
a) Phân bổ vốn cho Bộ Dân tộc và Tôn giáo: Không quá 20% tổng vốn phân bổ tiểu dự án4[29].
b) Phân bổ cho các địa phương: Áp dụng phương pháp tính điểm theo các tiêu chí như sau:
| TT | Nội dung tiêu chí | Điểm | Số lượng | Tổng số điểm |
| 1 | Mỗi xã ĐBKK (xã khu vực III), xã ATK thuộc khu vực II, I (xã chưa được cấp có thẩm quyền công nhận đạt chuẩn NTM, hoàn thành mục tiêu CT135) | 15 | a | 15 x a |
| 2 | Mỗi thôn ĐBKK không thuộc xã khu vực III (Số thôn ĐBKK được tính điểm phân bổ vốn không quá 04 thôn/xã ngoài khu vực III)5[30] | 1,5 | b | 1,5 x b |
|
| Tổng cộng điểm |
|
| Xk,i |
Xã ĐBKK được xác định theo Quyết định số 861/QĐ-TTg và các Quyết định sửa đổi, bổ sung (nếu có); xã ATK, xã biên giới được xác định theo Quyết định của cấp có thẩm quyền; thôn ĐBKK không thuộc xã khu vực III được xác định theo Quyết định số 612/QĐ-UBDT và các Quyết định sửa đổi, bổ sung (nếu có).
PHỤ LỤC VI
PHÂN BỔ VỐN NGÂN SÁCH TRUNG ƯƠNG THỰC HIỆN DỰ ÁN 6
BẢO TỒN, PHÁT HUY GIÁ TRỊ VĂN HÓA TRUYỀN THỐNG TỐT ĐẸP CỦA CÁC DÂN TỘC THIỂU SỐ GẮN VỚI PHÁT TRIỂN DU LỊCH
(Kèm theo Văn bản số: 16 /VBHN-BDTTG, ngày 27 tháng 10 năm 2025 của Bộ Dân tộc và Tôn giáo)
1. Phân bổ vốn đầu tư
a) Phân bổ cho Bộ Văn hóa - Thể thao và Du lịch: Không quá 5% vốn đầu tư dự án.
b) Phân bổ vốn cho các địa phương: Theo phương pháp tính điểm của các tiêu chí như sau:
| TT | Nội dung tiêu chí | Số điểm | Số lượng | Tổng số điểm |
| 1 | Hỗ trợ đầu tư xây dựng cho mỗi một điểm đến du lịch tiêu biểu. | 7 | a | 7 x a |
| 2 | Hỗ trợ đầu tư bảo tồn mỗi một làng, bản truyền thống tiêu biểu của các dân tộc thiểu số. | 60 | b | 60 x b |
| 3 | Hỗ trợ đầu tư xây dựng thiết chế văn hóa, thể thao tại các thôn vùng đồng bào dân tộc thiểu số và miền núi | 2 | c | 2 x c |
| 4 | Hỗ trợ xây dựng mỗi một mô hình bảo tàng sinh thái nhằm bảo tàng hóa di sản văn hóa phi vật thể trong cộng đồng các dân tộc thiểu số, hướng tới phát triển cộng đồng và phát triển du lịch. | 60 | d | 60 x d |
| 5 | Hỗ trợ tu bổ, tôn tạo cho mỗi di tích quốc gia đặc biệt, di tích quốc gia có giá trị tiêu biểu của các dân tộc thiểu số | 60 | e | 60 x e |
|
| Tổng cộng điểm |
|
| Xk,i |
Số lượng (a, b, c, d, e) căn cứ số liệu nhu cầu thực tế của các địa phương đã được Tổng hợp trong Báo cáo nghiên cứu khả thi của Chương trình.
2. Phân bổ vốn sự nghiệp
a) Phân bổ cho Bộ Văn hóa - Thể thao và Du lịch: Không quá 20% tổng vốn sự nghiệp của dự án.
b) Phân bổ vốn cho các địa phương: Theo phương pháp tính điểm của các tiêu chí như sau:
| TT | Nội dung tiêu chí | Số điểm | Số lượng | Tổng số điểm |
| 1 | Khôi phục, bảo tồn và phát triển bản sắc văn hóa truyền thống cho mỗi dân tộc có khó khăn đặc thù | 50 | a | 50 x a |
| 2 | Khảo sát, kiểm kê, sưu tầm, tư liệu hóa di sản văn hóa truyền thống của đồng bào dân tộc thiểu số cho mỗi tỉnh vùng đồng bào DTTS và miền núi | 10 | b | 5 x b |
| 3 | Tổ chức bảo tồn các loại hình văn hóa phi vật thể (mỗi lễ hội; mỗi mô hình văn hóa truyền thống; mỗi dự án nghiên cứu, phục dựng, bảo tồn; mỗi làng văn hóa truyền thống; mỗi chương trình tuyên truyền, quảng bá văn hóa truyền thống văn hóa các dân tộc thiểu số...) | 3,5 | c | 3,5 x c |
| 4 | Hỗ trợ mỗi nghệ nhân nhân dân, nghệ nhân ưu tú người dân tộc thiểu số trong việc lưu truyền, phổ biến hình thức sinh hoạt văn hóa truyền thống và đào tạo, bồi dưỡng những người kế cận | 0,6 | d | 0,6 x d |
| 5 | Tổ chức mỗi lớp tập huấn, truyền dạy, câu lạc bộ (mỗi lớp tập huấn; mỗi câu lạc bộ sinh hoạt văn hóa dân gian...) | 2 | e | 2 x e |
| 6 | Hỗ trợ hoạt động cho mỗi đội văn nghệ truyền thống | 0,5 | g | 0,5 x g |
| 7 | Xây dựng nội dung, xuất bản mỗi ấn phẩm xuất bản sách, đĩa, đĩa phim tư liệu về văn hóa truyền thống đồng bào dân tộc thiểu số | 20 | h | 20 x h |
| 8 | Tổ chức Ngày hội, Giao lưu, Liên hoan về các loại hình văn hóa, nghệ thuật truyền thống của đồng bào dân tộc thiểu số | 10 | i | 10 x i |
| 9 | Tổ chức mỗi hoạt động thi đấu thể thao truyền thống các dân tộc thiểu số | 3 | k | 3 x k |
| 10 | Hỗ trợ xây dựng tủ sách cộng đồng cho mỗi xã vùng đồng bào dân tộc thiểu số và miền núi | 0,3 | l | 0,3 x l |
| 11 | Hỗ trợ trang thiết bị cho mỗi nhà văn hóa tại các thôn vùng đồng bào dân tộc thiểu số | 0,3 | m | 0,3 x m |
| 12 | Hỗ trợ chống xuống cấp cho mỗi di tích quốc gia đặc biệt, di tích quốc gia có giá trị tiêu biểu của các dân tộc thiểu số | 5 | n | 5 x n |
|
| Tổng cộng điểm |
|
| Xk,i |
Số lượng (a, b, c, d, e...) căn cứ số liệu nhu cầu thực tế của các địa phương đã được tổng hợp trong Báo cáo nghiên cứu khả thi của Chương trình.
PHỤ LỤC VII
PHÂN BỔ VỐN NGÂN SÁCH TRUNG ƯƠNG THỰC HIỆN DỰ ÁN 7
CHĂM SÓC SỨC KHỎE NHÂN DÂN, NÂNG CAO THỂ TRẠNG, TẦM VÓC NGƯỜI DÂN TỘC THIỂU SỐ; PHÒNG CHỐNG SUY DINH DƯỠNG TRẺ EM
(Kèm theo Văn bản số: 16/VBHN-BDTTG, ngày 27 tháng 10 năm 2025 của Bộ Dân tộc và Tôn giáo)
1. Phân bổ vốn đầu tư
a) Phân bổ cho bộ, cơ quan trung ương: Không.
b) Phân bổ vốn cho các địa phương: Phân bổ vốn cho các địa phương theo phương pháp tính điểm của các tiêu chí sau:
| TT | Nội dung tiêu chí | Số điểm | Số lượng | Tổng số điểm |
| 1 | Mỗi trung tâm y tế được đầu tư xây dựng, sửa chữa, cải tạo1[31] | 300 | a | 300 x a |
|
| Tổng cộng điểm |
|
| Xk,i |
Số lượng (a) căn cứ số liệu báo cáo tình hình như cầu thực tế của các địa phương và Báo cáo nghiên cứu khả thi của Chương trình.
2. Phân bổ vốn sự nghiệp
a) Phân bổ cho Bộ Y tế: Không quá 10% tổng vốn sự nghiệp.
b) Phân bổ vốn cho các địa phương: Theo phương pháp tính điểm của các tiêu chí như sau:
| TT | Nội dung tiêu chí | Số điểm | Số lượng | Tổng số điểm |
| 1 | Mỗi xã khu vực III | 50 | a | 50 x a |
| 2 | Mỗi xã khu vực II | 30 | b | 30 x b |
| 3 | Mỗi xã khu vực I | 15 | c | 15 x c |
|
| Tổng cộng |
|
| Xk,i |
Xã khu vực I, II, III được xác định theo Quyết định số 861/QĐ-TTg và các Quyết định sửa đổi, bổ sung (nếu có).
PHỤ LỤC VIII
PHÂN BỔ VỐN NGÂN SÁCH TRUNG ƯƠNG THỰC HIỆN DỰ ÁN 8
THỰC HIỆN BÌNH ĐẲNG GIỚI VÀ GIẢI QUYẾT NHỮNG VẤN ĐỀ CẤP THIẾT ĐỐI VỚI PHỤ NỮ VÀ TRẺ EM
(Kèm theo Văn bản số: 16/VBHN-BDTTG, ngày 27 tháng 10 năm 2025 của Bộ Dân tộc và Tôn giáo)
1. Phân bổ vốn đầu tư: Không
2. Phân bổ vốn sự nghiệp
a) Phân bổ cho Hội Liên hiệp Phụ nữ Việt Nam: Không quá 12% tổng vốn sự nghiệp của dự án.
b) Phân bổ vốn cho các địa phương: Theo phương pháp tính điểm của các tiêu chí như sau:
| TT | Nội dung tiêu chí | Điểm | Số lượng | Tổng số điểm |
| 1 | Mỗi xã ĐBKK (xã khu vực III), xã ATK thuộc khu vực II, I (xã chưa được cấp có thẩm quyền công nhận đạt chuẩn NTM, hoàn thành mục tiêu Chương trình 135) | 10 | a | 10 x a |
| 2 | Mỗi thôn ĐBKK không thuộc xã khu vực III (Số thôn ĐBKK được tính điểm phân bổ vốn không quá 04 thôn/xã ngoài khu vực III) | 2 | b | 2 x b |
| 3 | Mỗi xã ĐBKK là xã biên giới được tính thêm | 1 | c | 1 x c |
|
| Tổng cộng điểm |
|
| Xk,i |
Xã ĐBKK được xác định theo Quyết định số 861/QĐ-TTg và các Quyết định sửa đổi, bổ sung (nếu có); xã ATK, xã biên giới được xác định theo Quyết định của cấp có thẩm quyền; thôn ĐBKK không thuộc xã khu vực III được xác định theo Quyết định số 612/QĐ-UBDT và các Quyết định sửa đổi, bổ sung (nếu có).
PHỤ LỤC IX
PHÂN BỔ VỐN NGÂN SÁCH TRUNG ƯƠNG THỰC HIỆN DỰ ÁN 9
ĐẦU TƯ PHÁT TRIỂN NHÓM DÂN TỘC THIỂU SỐ CÒN NHIỀU KHÓ KHĂN VÀ KHÓ KHĂN ĐẶC THÙ
(Kèm theo Văn bản số: 16/VBHN-BDTTG, ngày 27 tháng 10 năm 2025 của Bộ Dân tộc và Tôn giáo)
1. Tiểu Dự án 1: Đầu tư tạo sinh kế bền vững, phát triển kinh tế - xã hội nhóm dân tộc thiểu số còn nhiều khó khăn, có khó khăn đặc thù
1.1. Phân bổ vốn đầu tư
a) Phân bổ vốn cho bộ, cơ quan trung ương: Không
b) Phân bổ vốn cho các địa phương:
- Đầu tư phát triển bền vững người Đan Lai tại Vườn Quốc gia Pù Mát, xã Môn Sơn, tỉnh Nghệ An: Phân bổ không quá 4,5% tổng số vốn tiểu dự án1[32].
- Phân bổ vốn theo tiêu chí: Áp dụng phương pháp tính điểm theo các tiêu chí như sau:
| TT | Nội dung tiêu chí | Điểm | Số lượng | Tổng số điểm |
| 1 | Mỗi thôn ĐBKK có DTTS có khó khăn đặc thù sống thành cộng đồng thuộc diện đầu tư | 82 | a | 82 x a |
|
| Tổng cộng điểm |
|
| Xk,i |
Thôn ĐBKK có DTTS có khó khăn đặc thù sống thành cộng đồng được xã định theo Quyết định số 1227/QĐ-TTg ngày 14/7/2021 của Thủ tướng Chính phủ phê duyệt danh sách các dân tộc còn gặp nhiều khó khăn, có khó khăn đặc thù giai đoạn 2021 - 2025.
1.2. Phân bổ vốn sự nghiệp
a) Phân bổ cho Bộ Dân tộc và Tôn giáo: Không quá 1,0% tổng số vốn sự nghiệp2[33].
b) Phân bổ cho các địa phương:
- Phân bổ vốn hỗ trợ phát triển bền vững người Đan Lai sinh sống tại Vườn Quốc gia Pù Mát, xã Môn Sơn, tỉnh Nghệ An: Không quá 0,1%3[34].
- Vốn cho sửa chữa các công trình cơ sở hạ tầng không quá 10% vốn tiểu dự án phân bổ cho địa phương.
- Phân bổ vốn theo tiêu chí: Áp dụng phương pháp tính điểm theo các tiêu chí như sau:
| TT | Nội dung tiêu chí | Điểm | Số lượng | Tổng số điểm |
| 1 | Mỗi hộ DTTS còn gặp nhiều khó khăn và có khó khăn đặc thù thuộc địa bàn đầu tư | 0,15 | a | 0,15 x a |
| 2 | Mỗi thôn ĐBKK có DTTS có khó khăn đặc thù sống thành cộng đồng thuộc diện đầu tư | 19 | b | 19 x b |
|
| Tổng cộng điểm |
|
| Xk,i |
Số lượng hộ DTTS còn gặp nhiều khó khăn và có khó khăn đặc thù thuộc địa bàn đầu tư (a) căn cứ số liệu tổng hợp trình Thủ tướng Chính phủ ban hành Quyết định số 1227/QĐ-TTg ; thôn ĐBKK có DTTS có khó khăn đặc thù sống thành cộng đồng được xác định theo Quyết định số 1227/QĐ-TTg .
2. Tiểu Dự án 2: Giảm thiểu tình trạng tảo hôn và hôn nhân cận huyết thống trong vùng đồng bào dân tộc thiểu số và miền núi
2.1. Phân bổ vốn đầu tư: Không
2.2. Phân bổ vốn sự nghiệp
a) Phân bổ vốn cho Bộ Dân tộc và Tôn giáo: Không quá 16% vốn sự nghiệp tiểu dự án4[35].
b) Phân bổ vốn cho các địa phương: Áp dụng phương pháp tính điểm theo các tiêu chí như sau:
| TT | Nội dung tiêu chí | Điểm | Số lượng | Tổng số điểm |
| 1 | Mỗi tỷ lệ tảo hôn + Tỷ lệ hôn nhân cận huyết | 5 | a | 5 x a |
| 2 | Mỗi xã khu vực I | 1 | b | 1 x b |
| 3 | Mỗi xã khu vực II | 1,5 | c | 1,5 x c |
| 4 | Mỗi xã khu vực III | 3 | d | 3 x d |
| 5 | Mỗi mô hình được thực hiện | 2 | đ | 2 x đ |
|
| Tổng số |
|
| Xk,i |
Tỷ lệ tảo hôn, tỷ lệ hôn nhân cận huyết (a) của tỉnh/thành phố căn cứ số liệu điều tra thống kê thực trạng KT-XH 53 DTTS năm 2019.
Xã khu vực I, II, III (b, c, d) của tỉnh/thành phố được xác định theo Quyết định số 861/QĐ-TTg và các Quyết định sửa đổi, bổ sung (nếu có).
Số mô hình thực hiện (đ) là 20% của tổng số xã khu vực III, II của tỉnh/ thành phố được xác định theo Quyết định số 861/QĐ-TTg và các Quyết định sửa đổi, bổ sung (nếu có).
PHỤ LỤC X
PHÂN BỔ VỐN NGÂN SÁCH TRUNG ƯƠNG THỰC HIỆN DỰ ÁN 10
TRUYỀN THÔNG, TUYÊN TRUYỀN, VẬN ĐỘNG TRONG VÙNG ĐỒNG BÀO DÂN TỘC THIỂU SỐ VÀ MIỀN NÚI. KIỂM TRA, GIÁM SÁT ĐÁNH GIÁ VIỆC TỔ CHỨC THỰC HIỆN CHƯƠNG TRÌNH
(Kèm theo Văn bản số: 16/VBHN-BDTTG, ngày 27 tháng 10 năm 2025 của Bộ Dân tộc và Tôn giáo)
1. Tiểu dự án 1: Biểu dương, tôn vinh điển hình tiên tiến, phát huy vai trò của người có uy tín; phổ biến, giáo dục pháp luật, trợ giúp pháp lý và tuyên truyền, vận động đồng bào; truyền thông phục vụ tổ chức triển khai thực hiện Đề án tổng thể và Chương trình mục tiêu quốc gia phát triển kinh tế - xã hội vùng đồng bào dân tộc thiểu số và miền núi giai đoạn 2021 - 2030.
1.1. Phân bổ vốn đầu tư:
a) Phân bổ vốn cho bộ, cơ quan trung ương: Không.
b) Phân bổ cho các địa phương:
| TT | Nội dung tiêu chí | Số điểm | Số lượng | Tổng số điểm |
| 1 | Mỗi Đài Phát thanh - Truyền hình | 1.000 | a | 1.000 x a |
|
| Tổng cộng |
|
| Xk,i |
Số lượng (a) căn cứ số liệu nhu cầu thực tế của các địa phương, được tổng hợp trong Báo cáo nghiên cứu khả thi của Chương trình.
1.2. Phân bổ vốn sự nghiệp
a) Phân bổ vốn cho bộ, cơ quan trung ương: Không quá 67% tổng vốn sự nghiệp (Bộ Dân tộc và Tôn giáo không quá 61%, Bộ Quốc phòng không quá 02%, Bộ Tư pháp không quá 01%, Bộ Văn hóa, Thể thao và Du lịch không quá 01%, Bộ Khoa học và Công nghệ không quá 02%)1[36].
b) Phân bổ cho các địa phương: Áp dụng phương pháp tính điểm theo các tiêu chí như sau:
| TT | Nội dung tiêu chí | Số điểm | Số lượng | Tổng số điểm |
| 1 | Mỗi xã thuộc vùng đồng bào dân tộc thiểu số | 27 | a | 27 x a |
|
| Tổng cộng |
|
| Xk,i |
Xã thuộc vùng đồng bào dân tộc thiểu số của tỉnh/thành phố được xác định theo Quyết định số 861/QĐ-TTg và các Quyết định sửa đổi, bổ sung (nếu có).
2. Tiểu dự án 2: Ứng dụng công nghệ thông tin hỗ trợ phát triển kinh tế - xã hội và đảm bảo an ninh trật tự vùng đồng bào dân tộc thiểu số và miền núi
a) Phân bổ vốn đầu tư
- Phân bổ cho Liên minh Hợp tác xã Việt Nam không quá 0,5% tổng vốn đầu tư của tiểu dự án2[37].
- Phân bổ cho các địa phương: Áp dụng phương pháp tính điểm theo các tiêu chí như sau:
| TT | Nội dung tiêu chí | Điểm | Số lượng | Tổng số điểm |
| 1 | Mỗi xã ĐBKK thuộc vùng đồng bào dân tộc thiểu số | 30 | a | 30 x a |
| 2 | Mỗi thôn ĐBKK không thuộc xã khu vực III (số thôn ĐBKK được tính điểm phân bổ vốn không quá 4 thôn/xã) | 0,5 | b | 0,5 x b |
|
| Tổng cộng điểm |
|
| Xk,i |
Xã thuộc vùng đồng bào dân tộc thiểu số được xác định theo Quyết định số 861/QĐ-TTg và các Quyết định sửa đổi, bổ sung (nếu có).
b) Phân bổ vốn sự nghiệp
* Phân bổ vốn cho bộ, cơ quan trung ương: Không quá 67% tổng vốn sự nghiệp (Bộ Dân tộc và Tôn giáo không quá 50%, Liên minh Hợp tác xã Việt Nam không quá 15%, Bộ Khoa học và Công nghệ không quá 2%)3[38].
* Phân bổ cho các địa phương: Áp dụng phương pháp tính điểm theo các tiêu chí như sau:
| TT | Nội dung tiêu chí | Điểm | Số lượng | Tổng số điểm |
| 1 | Mỗi xã ĐBKK thuộc vùng đồng bào dân tộc thiểu số | 30 | a | 30 x a |
| 2 | Mỗi thôn ĐBKK không thuộc xã khu vực III (số thôn ĐBKK được tính điểm phân bổ vốn không quá 4 thôn/xã) | 0,5 | b | 0,5 x b |
|
| Tổng cộng điểm |
|
| Xk,i |
Xã thuộc vùng đồng bào dân tộc thiểu số được xác định theo Quyết định số 861/QĐ-TTg và các Quyết định sửa đổi, bổ sung (nếu có).
3. Tiểu dự án 3: Kiểm tra, giám sát, đánh giá, đào tạo, tập huấn tổ chức thực hiện Chương trình
a) Phân bổ vốn đầu tư: Không
b) Phân bổ vốn sự nghiệp
* Phân bổ vốn cho bộ, cơ quan trung ương: Không quá 55% tổng vốn sự nghiệp tiểu dự án (Bộ Dân tộc và Tôn giáo Dân tộc không quá 23,5%, Bộ Nông nghiệp và Môi trường không quá 2,5%, Bộ Giáo dục và Đào tạo không quá 02%, Bộ Quốc phòng không quá 01%, Bộ Văn hóa - Thể thao và Du lịch không quá 01%, Bộ Y tế không quá 01%, Hội Liên hiệp Phụ nữ Việt Nam không quá 01%, Trung ương Đoàn thanh niên Cộng sản Hồ Chí Minh không quá 01%, Ủy ban trung ương Mặt trận Tổ quốc Việt Nam không quá 10%, Bộ Giao thông vận tải không quá 01%, Bộ Công Thương không quá 01%, Ngân hàng Nhà nước Việt Nam không quá 01%, Ngân hàng Chính sách xã hội không quá 01%, Bộ Nội vụ không quá 01%, Bộ Công an không quá 01%, Ban Dân vận Trung ương không quá 01%, Bộ Tư pháp không quá 01%, Bộ Khoa học và Công nghệ không quá 01%, Liên minh Hợp tác xã Việt Nam không quá 01%, Trung ương Hội Nông dân Việt Nam không quá 01%)4[39].
* Phân bổ cho các địa phương: Áp dụng phương pháp tính điểm theo các tiêu chí như sau:
| TT | Nội dung tiêu chí | Số điểm | Số lượng | Tổng số điểm |
| 1 | Mỗi xã khu vực III | 5 | a | 5 x a |
| 2 | Mỗi xã khu vực II | 2 | b | 2 x b |
| 3 | Mỗi xã khu vực I | 1 | c | 1 x c |
|
| Tổng cộng |
|
| Xk,i |
Xã khu vực I, II, III (a, b, c) được xác định theo Quyết định số 861/QĐ-TTg và các Quyết định sửa đổi, bổ sung (nếu có).
[1] Quyết định số 18/2023/QĐ-Thủ tướng Chính phủ ngày 01 tháng 7 năm 2023 sửa đổi, bổ sung và bãi bỏ một số điều của Quyết định số 39/2021/QĐ-TTg ngày 30 tháng 12 năm 2021 của Thủ tướng Chính phủ quy định nguyên tắc, tiêu chí, định mức phân bổ vốn ngân sách trung ương và tỷ lệ vốn đối ứng của ngân sách địa phương thực hiện Chương trình mục tiêu quốc gia phát triển kinh tế - xã hội vùng đồng bào dân tộc thiểu số và miền núi giai đoạn 2021 - 2030, giai đoạn I: từ năm 2021 đến năm 2025, có căn cứ ban hành như sau:
Căn cứ Luật Tổ chức Chính phủ ngày 19 tháng 6 năm 2015; Luật sửa đổi, bổ sung một số điều của Luật Tổ chức Chính phủ và Luật Tổ chức chính quyền địa phương ngày 22 tháng 11 năm 2019;
Căn cứ Luật Đầu tư công ngày 13 tháng 6 năm 2019;
Căn cứ Luật Ngân sách nhà nước ngày 25 tháng 6 năm 2015;
Căn cứ Nghị quyết số 120/2020/QH14 ngày 19 tháng 6 năm 2020 của Quốc hội về việc phê duyệt chủ trương đầu tư Chương trình mục tiêu quốc gia phát triển kinh tế - xã hội vùng đồng bào dân tộc thiểu số và miền núi giai đoạn 2021 - 2030;
Căn cứ Nghị quyết số 973/2020/UBTVQH14 ngày 08 tháng 7 năm 2020 của Ủy ban Thường vụ Quốc hội quy định về các nguyên tắc, tiêu chí và định mức phân bổ vốn đầu tư công nguồn ngân sách nhà nước giai đoạn 2021 - 2025;
Theo đề nghị của Bộ trưởng, Chủ nhiệm Ủy ban Dân tộc;
Thủ tướng Chính phủ ban hành Quyết định sửa đổi, bổ sung và bãi bỏ một số điều của Quyết định số 39/2021/QĐ-TTg ngày 30 tháng 12 năm 2021 của Thủ tướng Chính phủ quy định nguyên tắc, tiêu chí, định mức phân bổ vốn ngân sách trung ương và tỷ lệ vốn đối ứng của ngân sách địa phương thực hiện Chương trình mục tiêu quốc gia phát triển kinh tế - xã hội vùng đồng bào dân tộc thiểu số và miền núi giai đoạn 2021 - 2030, giai đoạn I: từ năm 2021 đến năm 2025.
Quyết định số 35/2025/QĐ-TTg ngày 25 tháng 9 năm 2025 của Thủ tướng Chính phủ sửa đổi, bổ sung một số điều của Quyết định số 39/2021/QĐ-TTg ngày 30 tháng 12 năm 2021 của Thủ tướng Chính phủ quy định nguyên tắc, tiêu chí, định mức phân bổ vốn ngân sách trung ương và tỷ lệ vốn đối ứng của ngân sách địa phương thực hiện Chương trình mục tiêu quốc gia phát triển kinh tế - xã hội vùng đồng bào dân tộc thiểu số và miền núi giai đoạn 2021 - 2030, giai đoạn I: từ năm 2021 đến năm 2025, đã được sửa đổi, bổ sung và bãi bỏ một số điều tại Quyết định số 18/2023/QĐ-TTg ngày 01/7/2023 của Thủ tướng Chính phủ, có căn cứ ban hành như sau:
Căn cứ Luật Tổ chức Chính phủ số 63/2025/QH15;
Căn cứ Luật Đầu tư công số 58/2024/QH15 đã được sửa đổi, bổ sung một số điều theo Luật số 90/2025/QH15;
Căn cứ Luật Ngân sách nhà nước số 83/2015/QH13 đã được sửa đổi, bổ sung một số điều theo Luật số 56/2024/QH15;
Căn cứ Nghị quyết số 120/2020/QH14 của Quốc hội về việc phê duyệt chủ trương đầu tư Chương trình mục tiêu quốc gia phát triển kinh tế - xã hội vùng đồng bào dân tộc thiểu số và miền núi giai đoạn 2021 - 2030;
Căn cứ Nghị quyết số 973/2020/UBTVQH14 của Ủy ban Thường vụ Quốc hội quy định về các nguyên tắc, tiêu chí và định mức phân bổ vốn đầu tư công nguồn ngân sách nhà nước giai đoạn 2021 - 2025;
Theo đề nghị của Bộ trưởng Bộ Dân tộc và Tôn giáo;
Thủ tướng Chính phủ ban hành Quyết định sửa đổi, bổ sung một số điều của Quyết định số 39/2021/QĐ-TTg ngày 30 tháng 12 năm 2021 của Thủ tướng Chính phủ quy định nguyên tắc, tiêu chí, định mức phân bổ vốn ngân sách trung ương và tỷ lệ vốn đối ứng của ngân sách địa phương thực hiện Chương trình mục tiêu quốc gia phát triển kinh tế - xã hội vùng đồng bào dân tộc thiểu số và miền núi giai đoạn 2021 - 2030, giai đoạn I: từ năm 2021 đến năm 2025, đã được sửa đổi, bổ sung và bãi bỏ một số điều tại Quyết định số 18/2023/QĐ-TTg ngày 01 tháng 7 năm 2023 của Thủ tướng Chính phủ.
[2] Cụm từ “cấp huyện” được bãi bỏ theo quy định tại khoản 1 Điều 1 Quyết định số 35/2025/QĐ-TTg phủ sửa đổi, bổ sung một số điều của Quyết định số 39/2021/QĐ-TTg ngày 30 tháng 12 năm 2021 của Thủ tướng Chính phủ quy định nguyên tắc, tiêu chí, định mức phân bổ vốn ngân sách trung ương và tỷ lệ vốn đối ứng của ngân sách địa phương thực hiện Chương trình mục tiêu quốc gia phát triển kinh tế - xã hội vùng đồng bào dân tộc thiểu số và miền núi giai đoạn 2021 - 2030, giai đoạn I: từ năm 2021 đến năm 2025, đã được sửa đổi, bổ sung và bãi bỏ một số điều tại Quyết định số 18/2023/QĐ-TTg ngày 01/7/2023 của Thủ tướng Chính phủ, có hiệu lực kể từ ngày 25 tháng 9 năm 2025.
[3] Cụm từ “các huyện nghèo” được thay thế bởi cụm từ “địa bàn”, cụm từ “cho huyện” được thay thế bởi cụm từ “địa bàn” theo quy định tại khoản 2 Điều 1 Quyết định số 35/2025/QĐ-TTg sửa đổi, bổ sung một số điều của Quyết định số 39/2021/QĐ-TTg ngày 30 tháng 12 năm 2021 của Thủ tướng Chính phủ quy định nguyên tắc, tiêu chí, định mức phân bổ vốn ngân sách trung ương và tỷ lệ vốn đối ứng của ngân sách địa phương thực hiện Chương trình mục tiêu quốc gia phát triển kinh tế - xã hội vùng đồng bào dân tộc thiểu số và miền núi giai đoạn 2021 - 2030, giai đoạn I: từ năm 2021 đến năm 2025, đã được sửa đổi, bổ sung và bãi bỏ một số điều tại Quyết định số 18/2023/QĐ-TTg ngày 01/7/2023 của Thủ tướng Chính phủ, có hiệu lực kể từ ngày 25 tháng 9 năm 2025.
[4] Khoản này được bãi bỏ theo quy định tại khoản 3 Điều 1 Quyết định số 35/2025/QĐ-TTg sửa đổi, bổ sung một số điều của Quyết định số 39/2021/QĐ-TTg ngày 30 tháng 12 năm 2021 của Thủ tướng Chính phủ quy định nguyên tắc, tiêu chí, định mức phân bổ vốn ngân sách trung ương và tỷ lệ vốn đối ứng của ngân sách địa phương thực hiện Chương trình mục tiêu quốc gia phát triển kinh tế - xã hội vùng đồng bào dân tộc thiểu số và miền núi giai đoạn 2021 - 2030, giai đoạn I: từ năm 2021 đến năm 2025, đã được sửa đổi, bổ sung và bãi bỏ một số điều tại Quyết định số 18/2023/QĐ-TTg ngày 01/7/2023 của Thủ tướng Chính phủ, có hiệu lực kể từ ngày 25 tháng 9 năm 2025.
[5] Cụm từ “Quảng Nam” được thay thế bằng cụm từ “Đà Nẵng” theo quy định tại khoản 4 Điều 1 Quyết định số 35/2025/QĐ-TTg sửa đổi, bổ sung một số điều của Quyết định số 39/2021/QĐ-TTg ngày 30 tháng 12 năm 2021 của Thủ tướng Chính phủ quy định nguyên tắc, tiêu chí, định mức phân bổ vốn ngân sách trung ương và tỷ lệ vốn đối ứng của ngân sách địa phương thực hiện Chương trình mục tiêu quốc gia phát triển kinh tế - xã hội vùng đồng bào dân tộc thiểu số và miền núi giai đoạn 2021 - 2030, giai đoạn I: từ năm 2021 đến năm 2025, đã được sửa đổi, bổ sung và bãi bỏ một số điều tại Quyết định số 18/2023/QĐ-TTg ngày 01/7/2023 của Thủ tướng Chính phủ, có hiệu lực kể từ ngày 25 tháng 9 năm 2025.
[6] Khoản này được sửa đổi, bổ sung theo quy định tại khoản 6, khoản 7 Điều 1 Quyết định số 35/2025/QĐ-TTg sửa đổi, bổ sung một số điều của Quyết định số 39/2021/QĐ-TTg ngày 30 tháng 12 năm 2021 của Thủ tướng Chính phủ quy định nguyên tắc, tiêu chí, định mức phân bổ vốn ngân sách trung ương và tỷ lệ vốn đối ứng của ngân sách địa phương thực hiện Chương trình mục tiêu quốc gia phát triển kinh tế - xã hội vùng đồng bào dân tộc thiểu số và miền núi giai đoạn 2021 - 2030, giai đoạn I: từ năm 2021 đến năm 2025, đã được sửa đổi, bổ sung và bãi bỏ một số điều tại Quyết định số 18/2023/QĐ-TTg ngày 01/7/2023 của Thủ tướng Chính phủ, có hiệu lực kể từ ngày 25 tháng 9 năm 2025.
[7] Khoản này được sửa đổi, bổ sung theo quy định tại khoản 1 Điều 1 Quyết định số 18/2023/QĐ-TTg sửa đổi, bổ sung và bãi bỏ một số điều của Quyết định số 39/2021/QĐ-TTg ngày 30 tháng 12 năm 2021 của Thủ tướng Chính phủ quy định nguyên tắc, tiêu chí, định mức phân bổ vốn ngân sách trung ương và tỷ lệ vốn đối ứng của ngân sách địa phương thực hiện Chương trình mục tiêu quốc gia phát triển kinh tế - xã hội vùng đồng bào dân tộc thiểu số và miền núi giai đoạn 2021 - 2030, giai đoạn I: từ năm 2021 đến năm 2025, có hiệu lực kể từ ngày 01/7/2023.
[8] Cụm từ “Quảng Nam” được thay thế bằng cụm từ “Đà Nẵng” theo quy định tại khoản 5 Điều 1 Quyết định số 35/2025/QĐ-TTg sửa đổi, bổ sung một số điều của Quyết định số 39/2021/QĐ-TTg ngày 30 tháng 12 năm 2021 của Thủ tướng Chính phủ quy định nguyên tắc, tiêu chí, định mức phân bổ vốn ngân sách trung ương và tỷ lệ vốn đối ứng của ngân sách địa phương thực hiện Chương trình mục tiêu quốc gia phát triển kinh tế - xã hội vùng đồng bào dân tộc thiểu số và miền núi giai đoạn 2021 - 2030, giai đoạn I: từ năm 2021 đến năm 2025, đã được sửa đổi, bổ sung và bãi bỏ một số điều tại Quyết định số 18/2023/QĐ-TTg ngày 01/7/2023 của Thủ tướng Chính phủ, có hiệu lực kể từ ngày 25 tháng 9 năm 2025.
[9] Cụm từ “thành phố”; cụm từ “Quảng Nam” được thay thế bằng cụm từ “Đà Nẵng” theo quy định tại khoản 4 Điều 1 Quyết định số 35/2025/QĐ-TTg sửa đổi, bổ sung một số điều của Quyết định số 39/2021/QĐ-TTg ngày 30 tháng 12 năm 2021 của Thủ tướng Chính phủ quy định nguyên tắc, tiêu chí, định mức phân bổ vốn ngân sách trung ương và tỷ lệ vốn đối ứng của ngân sách địa phương thực hiện Chương trình mục tiêu quốc gia phát triển kinh tế - xã hội vùng đồng bào dân tộc thiểu số và miền núi giai đoạn 2021 - 2030, giai đoạn I: từ năm 2021 đến năm 2025, đã được sửa đổi, bổ sung và bãi bỏ một số điều tại Quyết định số 18/2023/QĐ-TTg ngày 01/7/2023 của Thủ tướng Chính phủ, có hiệu lực kể từ ngày 25 tháng 9 năm 2025.
[10] Cụm từ “Ủy ban Dân tộc” được thay thế bằng cụm từ “Bộ Dân tộc và Tôn giáo” theo quy định tại khoản 6 Điều 1 Quyết định số 35/2025/QĐ-TTg sửa đổi, bổ sung một số điều của Quyết định số 39/2021/QĐ-TTg ngày 30/12/2021 của Thủ tướng Chính phủ quy định nguyên tắc, tiêu chí, định mức phân bổ vốn ngân sách trung ương và tỷ lệ vốn đối ứng của ngân sách địa phương thực hiện Chương trình mục tiêu quốc gia phát triển kinh tế - xã hội vùng đồng bào dân tộc thiểu số và miền núi giai đoạn 2021 - 2030, giai đoạn I: từ năm 2021 đến năm 2025, đã được sửa đổi, bổ sung và bãi bỏ một số điều tại Quyết định số 18/2023/QĐ-TTg ngày 01/7/2023 của Thủ tướng Chính phủ, có hiệu lực kể từ ngày 25 tháng 9 năm 2025.
[11] Khoản này được sửa đổi, bổ sung theo quy định tại khoản 7 Điều 1 Quyết định số 35/2025/QĐ-TTg sửa đổi, bổ sung một số điều của Quyết định số 39/2021/QĐ-TTg ngày 30 tháng 12 năm 2021 của Thủ tướng Chính phủ quy định nguyên tắc, tiêu chí, định mức phân bổ vốn ngân sách trung ương và tỷ lệ vốn đối ứng của ngân sách địa phương thực hiện Chương trình mục tiêu quốc gia phát triển kinh tế - xã hội vùng đồng bào dân tộc thiểu số và miền núi giai đoạn 2021 - 2030, giai đoạn I: từ năm 2021 đến năm 2025, đã được sửa đổi, bổ sung và bãi bỏ một số điều tại Quyết định số 18/2023/QĐ-TTg ngày 01/7/2023 của Thủ tướng Chính phủ, có hiệu lực kể từ ngày 25 tháng 9 năm 2025.
[12] Cụm từ “Ủy ban Dân tộc” được thay thế bằng cụm từ “Bộ Dân tộc và Tôn giáo” theo quy định tại khoản 6 Điều 1 Quyết định số 35/2025/QĐ-TTg sửa đổi, bổ sung một số điều của Quyết định số 39/2021/QĐ-TTg ngày 30/12/2021 của Thủ tướng Chính phủ quy định nguyên tắc, tiêu chí, định mức phân bổ vốn ngân sách trung ương và tỷ lệ vốn đối ứng của ngân sách địa phương thực hiện Chương trình mục tiêu quốc gia phát triển kinh tế - xã hội vùng đồng bào dân tộc thiểu số và miền núi giai đoạn 2021 - 2030, giai đoạn I: từ năm 2021 đến năm 2025, đã được sửa đổi, bổ sung và bãi bỏ một số điều tại Quyết định số 18/2023/QĐ-TTg ngày 01/7/2023 của Thủ tướng Chính phủ, có hiệu lực kể từ ngày 25 tháng 9 năm 2025.
[13] Cụm từ “Ủy ban Dân tộc” được thay thế bằng cụm từ “Bộ Dân tộc và Tôn giáo” theo quy định tại khoản 6 Điều 1 Quyết định số 35/2025/QĐ-TTg sửa đổi, bổ sung một số điều của Quyết định số 39/2021/QĐ-TTg ngày 30/12/2021 của Thủ tướng Chính phủ quy định nguyên tắc, tiêu chí, định mức phân bổ vốn ngân sách trung ương và tỷ lệ vốn đối ứng của ngân sách địa phương thực hiện Chương trình mục tiêu quốc gia phát triển kinh tế - xã hội vùng đồng bào dân tộc thiểu số và miền núi giai đoạn 2021 - 2030, giai đoạn I: từ năm 2021 đến năm 2025, đã được sửa đổi, bổ sung và bãi bỏ một số điều tại Quyết định số 18/2023/QĐ-TTg ngày 01/7/2023 của Thủ tướng Chính phủ, có hiệu lực kể từ ngày 25 tháng 9 năm 2025.
[14] Khoản này được sửa đổi, bổ sung theo quy định tại khoản 8 Điều 1 Quyết định số 35/2025/QĐ-TTg sửa đổi, bổ sung một số điều của Quyết định số 39/2021/QĐ-TTg ngày 30 tháng 12 năm 2021 của Thủ tướng Chính phủ quy định nguyên tắc, tiêu chí, định mức phân bổ vốn ngân sách trung ương và tỷ lệ vốn đối ứng của ngân sách địa phương thực hiện Chương trình mục tiêu quốc gia phát triển kinh tế - xã hội vùng đồng bào dân tộc thiểu số và miền núi giai đoạn 2021 - 2030, giai đoạn I: từ năm 2021 đến năm 2025, đã được sửa đổi, bổ sung và bãi bỏ một số điều tại Quyết định số 18/2023/QĐ-TTg ngày 01/7/2023 của Thủ tướng Chính phủ, có hiệu lực kể từ ngày 25 tháng 9 năm 2025.
[15] Cụm từ “Ủy ban Dân tộc” được thay thế bằng cụm từ “Bộ Dân tộc và Tôn giáo” theo quy định tại khoản 6 Điều 1 Quyết định số 35/2025/QĐ-TTg sửa đổi, bổ sung một số điều của Quyết định số 39/2021/QĐ-TTg ngày 30/12/2021 của Thủ tướng Chính phủ quy định nguyên tắc, tiêu chí, định mức phân bổ vốn ngân sách trung ương và tỷ lệ vốn đối ứng của ngân sách địa phương thực hiện Chương trình mục tiêu quốc gia phát triển kinh tế - xã hội vùng đồng bào dân tộc thiểu số và miền núi giai đoạn 2021 - 2030, giai đoạn I: từ năm 2021 đến năm 2025, đã được sửa đổi, bổ sung và bãi bỏ một số điều tại Quyết định số 18/2023/QĐ-TTg ngày 01/7/2023 của Thủ tướng Chính phủ, có hiệu lực kể từ ngày 25 tháng 9 năm 2025.
[16] Cụm từ “Ủy ban Dân tộc” được thay thế bằng cụm từ “Bộ Dân tộc và Tôn giáo” theo quy định tại khoản 6 Điều 1 Quyết định số 35/2025/QĐ-TTg sửa đổi, bổ sung một số điều của Quyết định số 39/2021/QĐ-TTg ngày 30/12/2021 của Thủ tướng Chính phủ quy định nguyên tắc, tiêu chí, định mức phân bổ vốn ngân sách trung ương và tỷ lệ vốn đối ứng của ngân sách địa phương thực hiện Chương trình mục tiêu quốc gia phát triển kinh tế - xã hội vùng đồng bào dân tộc thiểu số và miền núi giai đoạn 2021 - 2030, giai đoạn I: từ năm 2021 đến năm 2025, đã được sửa đổi, bổ sung và bãi bỏ một số điều tại Quyết định số 18/2023/QĐ-TTg ngày 01/7/2023 của Thủ tướng Chính phủ, có hiệu lực kể từ ngày 25 tháng 9 năm 2025.
[17] Cụm từ “Ủy ban Dân tộc” được thay thế bằng cụm từ “Bộ Dân tộc và Tôn giáo” theo quy định tại khoản 6 Điều 1, cụm từ “Bộ Kế hoạch và Đầu tư” đã được bãi bỏ tại khoản 7 Điều 1 Quyết định số 35/2025/QĐ-TTg sửa đổi, bổ sung một số điều của Quyết định số 39/2021/QĐ-TTg ngày 30 tháng 12 năm 2021 của Thủ tướng Chính phủ quy định nguyên tắc, tiêu chí, định mức phân bổ vốn ngân sách trung ương và tỷ lệ vốn đối ứng của ngân sách địa phương thực hiện Chương trình mục tiêu quốc gia phát triển kinh tế - xã hội vùng đồng bào dân tộc thiểu số và miền núi giai đoạn 2021 - 2030, giai đoạn I: từ năm 2021 đến năm 2025, đã được sửa đổi, bổ sung và bãi bỏ một số điều tại Quyết định số 18/2023/QĐ-TTg ngày 01/7/2023 của Thủ tướng Chính phủ, có hiệu lực kể từ ngày 25 tháng 9 năm 2025.
[18] Khoản 1 Điều 8 Quyết định số 39/2021/QĐ-TTg ngày 30/12/2021 của Thủ tướng Chính phủ quy định nguyên tắc, tiêu chí, định mức phân bổ vốn ngân sách trung ương và tỷ lệ vốn đối ứng của ngân sách địa phương thực hiện Chương trình mục tiêu quốc gia phát triển kinh tế - xã hội vùng đồng bào dân tộc thiểu số và miền núi giai đoạn 2021 - 2030, giai đoạn I: từ năm 2021 đến năm 2025, có hiệu lực kể từ ngày 30 tháng 12 năm 2021, quy định: “Điều 8. Hiệu lực thi hành
1. Quyết định này có hiệu lực từ ngày ký ban hành.
2. Bộ trưởng, Thủ trưởng cơ quan ngang bộ, Thủ trưởng cơ quan thuộc Chính phủ, các cơ quan liên quan ở trung ương, Chủ tịch Ủy ban nhân dân tỉnh, thành phố trực thuộc trung ương, Thủ trưởng các cơ quan, đơn vị sử dụng vốn ngân sách nhà nước thực hiện Chương trình giai đoạn 2021 - 2025 chịu trách nhiệm thi hành Quyết định này”
Điều 2 Quyết định số Quyết định số 18/2023/QĐ-TTg ngày 01/7/2023 của Thủ tướng Chính phủ về sửa đổi, bổ sung và bãi bỏ một số điều của Quyết định số 39/2021/QĐ-TTg ngày 30 tháng 12 năm 2021 của Thủ tướng Chính phủ quy định nguyên tắc, tiêu chí, định mức phân bổ vốn ngân sách trung ương và tỷ lệ vốn đối ứng của ngân sách địa phương thực hiện Chương trình mục tiêu quốc gia phát triển kinh tế - xã hội vùng đồng bào dân tộc thiểu số và miền núi giai đoạn 2021 - 2030, giai đoạn I: từ năm 2021 đến năm 2025, có hiệu lực kể từ ngày 01/7/2023 quy định: “Điều 2. Quyết định này có hiệu lực thi hành kể từ ngày ký ban hành”.
Điều 4 Quyết định số 35/2025/QĐ-TTg sửa đổi, bổ sung một số điều của Quyết định số 39/2021/QĐ-TTg ngày 30 tháng 12 năm 2021 của Thủ tướng Chính phủ quy định nguyên tắc, tiêu chí, định mức phân bổ vốn ngân sách trung ương và tỷ lệ vốn đối ứng của ngân sách địa phương thực hiện Chương trình mục tiêu quốc gia phát triển kinh tế - xã hội vùng đồng bào dân tộc thiểu số và miền núi giai đoạn 2021 - 2030, giai đoạn I: từ năm 2021 đến năm 2025, đã được sửa đổi, bổ sung và bãi bỏ một số điều tại Quyết định số 18/2023/QĐ-TTg ngày 01/7/2023 của Thủ tướng Chính phủ quy định như sau:
“Điều 4. Quyết định này có hiệu lực thi hành kể từ ngày 25 tháng 9 năm 2025”.
1[19] Điểm này được sửa đổi, bổ sung theo quy định tại khoản 1 Điều 3 Quyết định số 35/2025/QĐ-TTg sửa đổi, bổ sung một số điều của Quyết định số 39/2021/QĐ-TTg ngày 30/12/2021 của Thủ tướng Chính phủ quy định nguyên tắc, tiêu chí, định mức phân bổ vốn ngân sách trung ương và tỷ lệ vốn đối ứng của ngân sách địa phương thực hiện Chương trình mục tiêu quốc gia phát triển kinh tế - xã hội vùng đồng bào dân tộc thiểu số và miền núi giai đoạn 2021 - 2030, giai đoạn I: từ năm 2021 đến năm 2025, đã được sửa đổi, bổ sung và bãi bỏ một số điều tại Quyết định số 18/2023/QĐ-TTg ngày 01/7/2023 của Thủ tướng Chính phủ, có hiệu lực kể từ ngày 25 tháng 9 năm 2025.
2[20] Khoản này được bãi bỏ theo quy định tại khoản 2 Điều 1 Quyết định số 18/2023/QĐ-TTg sửa đổi, bổ sung và bãi bỏ một số điều của Quyết định số 39/2021/QĐ-TTg ngày 30 tháng 12 năm 2021 của Thủ tướng Chính phủ quy định nguyên tắc, tiêu chí, định mức phân bổ vốn ngân sách trung ương và tỷ lệ vốn đối ứng của ngân sách địa phương thực hiện Chương trình mục tiêu quốc gia phát triển kinh tế - xã hội vùng đồng bào dân tộc thiểu số và miền núi giai đoạn 2021 - 2030, giai đoạn I: từ năm 2021 đến năm 2025, có hiệu lực kể từ ngày 01/7/2023.
3[21] Cụm từ “Ủy ban Dân tộc” được thay thế bằng cụm từ “Bộ Dân tộc và Tôn giáo” quy định tại khoản 6 Điều 3 Quyết định số 35/2025/QĐ-TTg sửa đổi, bổ sung một số điều của Quyết định số 39/2021/QĐ-TTg ngày 30/12/2021 của Thủ tướng Chính phủ quy định nguyên tắc, tiêu chí, định mức phân bổ vốn ngân sách trung ương và tỷ lệ vốn đối ứng của ngân sách địa phương thực hiện Chương trình mục tiêu quốc gia phát triển kinh tế - xã hội vùng đồng bào dân tộc thiểu số và miền núi giai đoạn 2021 - 2030, giai đoạn I: từ năm 2021 đến năm 2025, đã được sửa đổi, bổ sung và bãi bỏ một số điều tại Quyết định số 18/2023/QĐ-TTg ngày 01/7/2023 của Thủ tướng Chính phủ, có hiệu lực kể từ ngày 25 tháng 9 năm 2025.
1[22]Cụm từ “Cứ mỗi nhà hỏa táng điện” được thay thế bằng cụm từ “Cứ mỗi nhà hỏa táng” quy định tại khoản 2 Điều 3 Quyết định số 35/2025/QĐ-TTg sửa đổi, bổ sung một số điều của Quyết định số 39/2021/QĐ-TTg ngày 30/12/2021 của Thủ tướng Chính phủ quy định nguyên tắc, tiêu chí, định mức phân bổ vốn ngân sách trung ương và tỷ lệ vốn đối ứng của ngân sách địa phương thực hiện Chương trình mục tiêu quốc gia phát triển kinh tế - xã hội vùng đồng bào dân tộc thiểu số và miền núi giai đoạn 2021 - 2030, giai đoạn I: từ năm 2021 đến năm 2025, đã được sửa đổi, bổ sung và bãi bỏ một số điều tại Quyết định số 18/2023/QĐ-TTg ngày 01/7/2023 của Thủ tướng Chính phủ, có hiệu lực kể từ ngày 25 tháng 9 năm 2025.
2[23] Cụm từ “cứ mỗi nhà hỏa táng điện” được thay thế bằng cụm từ “Cứ mỗi nhà hỏa táng” quy định tại khoản 2 Điều 3 Quyết định số 35/2025/QĐ-TTg sửa đổi, bổ sung một số điều của Quyết định số 39/2021/QĐ-TTg ngày 30/12/2021 của Thủ tướng Chính phủ quy định nguyên tắc, tiêu chí, định mức phân bổ vốn ngân sách trung ương và tỷ lệ vốn đối ứng của ngân sách địa phương thực hiện Chương trình mục tiêu quốc gia phát triển kinh tế - xã hội vùng đồng bào dân tộc thiểu số và miền núi giai đoạn 2021 - 2030, giai đoạn I: từ năm 2021 đến năm 2025, đã được sửa đổi, bổ sung và bãi bỏ một số điều tại Quyết định số 18/2023/QĐ-TTg ngày 01/7/2023 của Thủ tướng Chính phủ, có hiệu lực kể từ ngày 25 tháng 9 năm 2025.
3[24] Điểm này được sửa đổi, bổ sung tại khoản 3 Điều 1 Quyết định số 18/2023/QĐ-TTg sửa đổi, bổ sung và bãi bỏ một số điều của Quyết định số 39/2021/QĐ-TTg ngày 30 tháng 12 năm 2021 của Thủ tướng Chính phủ quy định nguyên tắc, tiêu chí, định mức phân bổ vốn ngân sách trung ương và tỷ lệ vốn đối ứng của ngân sách địa phương thực hiện Chương trình mục tiêu quốc gia phát triển kinh tế - xã hội vùng đồng bào dân tộc thiểu số và miền núi giai đoạn 2021 - 2030, giai đoạn I: từ năm 2021 đến năm 2025, có hiệu lực kể từ ngày 01/7/2023.
4[25] Cụm từ “Ủy ban Dân tộc” được thay thế bằng cụm từ “Bộ Dân tộc và Tôn giáo” quy định tại khoản 6 Điều 1 Quyết định số 35/2025/QĐ-TTg sửa đổi, bổ sung một số điều của Quyết định số 39/2021/QĐ-TTg ngày 30/12/2021 của Thủ tướng Chính phủ quy định nguyên tắc, tiêu chí, định mức phân bổ vốn ngân sách trung ương và tỷ lệ vốn đối ứng của ngân sách địa phương thực hiện Chương trình mục tiêu quốc gia phát triển kinh tế - xã hội vùng đồng bào dân tộc thiểu số và miền núi giai đoạn 2021 - 2030, giai đoạn I: từ năm 2021 đến năm 2025, đã được sửa đổi, bổ sung và bãi bỏ một số điều tại Quyết định số 18/2023/QĐ-TTg ngày 01/7/2023 của Thủ tướng Chính phủ, có hiệu lực kể từ ngày 25 tháng 9 năm 2025.
1[26]Điểm này được sửa đổi, bổ sung theo quy định tại khoản 3 Điều 3 Quyết định số 35/2025/QĐ-TTg sửa đổi, bổ sung một số điều của Quyết định số 39/2021/QĐ-TTg ngày 30/12/2021 của Thủ tướng Chính phủ quy định nguyên tắc, tiêu chí, định mức phân bổ vốn ngân sách trung ương và tỷ lệ vốn đối ứng của ngân sách địa phương thực hiện Chương trình mục tiêu quốc gia phát triển kinh tế - xã hội vùng đồng bào dân tộc thiểu số và miền núi giai đoạn 2021 - 2030, giai đoạn I: từ năm 2021 đến năm 2025, đã được sửa đổi, bổ sung và bãi bỏ một số điều tại Quyết định số 18/2023/QĐ-TTg ngày 01/7/2023 của Thủ tướng Chính phủ, có hiệu lực kể từ ngày 25 tháng 9 năm 2025.
2[27]Cụm từ “Ủy ban Dân tộc” được thay thế bằng cụm từ “Bộ Dân tộc và Tôn giáo” quy định tại khoản 6 Điều 3 Quyết định số 35/2025/QĐ-TTg sửa đổi, bổ sung một số điều của Quyết định số 39/2021/QĐ-TTg ngày 30/12/2021 của Thủ tướng Chính phủ quy định nguyên tắc, tiêu chí, định mức phân bổ vốn ngân sách trung ương và tỷ lệ vốn đối ứng của ngân sách địa phương thực hiện Chương trình mục tiêu quốc gia phát triển kinh tế - xã hội vùng đồng bào dân tộc thiểu số và miền núi giai đoạn 2021 - 2030, giai đoạn I: từ năm 2021 đến năm 2025, đã được sửa đổi, bổ sung và bãi bỏ một số điều tại Quyết định số 18/2023/QĐ-TTg ngày 01/7/2023 của Thủ tướng Chính phủ, có hiệu lực kể từ ngày 25 tháng 9 năm 2025.
3[28]Điểm này được bãi bỏ theo quy định tại Điều 2 Quyết định số 35/2025/QĐ-TTg sửa đổi, bổ sung một số điều của Quyết định số 39/2021/QĐ-TTg ngày 30/12/2021 của Thủ tướng Chính phủ quy định nguyên tắc, tiêu chí, định mức phân bổ vốn ngân sách trung ương và tỷ lệ vốn đối ứng của ngân sách địa phương thực hiện Chương trình mục tiêu quốc gia phát triển kinh tế - xã hội vùng đồng bào dân tộc thiểu số và miền núi giai đoạn 2021 - 2030, giai đoạn I: từ năm 2021 đến năm 2025, đã được sửa đổi, bổ sung và bãi bỏ một số điều tại Quyết định số 18/2023/QĐ-TTg ngày 01/7/2023 của Thủ tướng Chính phủ, có hiệu lực kể từ ngày 25 tháng 9 năm 2025.
4[29]Cụm từ “Ủy ban Dân tộc” được thay thế bằng cụm từ “Bộ Dân tộc và Tôn giáo” quy định tại khoản 6 Điều 3 Quyết định số 35/2025/QĐ-TTg sửa đổi, bổ sung một số điều của Quyết định số 39/2021/QĐ-TTg ngày 30/12/2021 của Thủ tướng Chính phủ quy định nguyên tắc, tiêu chí, định mức phân bổ vốn ngân sách trung ương và tỷ lệ vốn đối ứng của ngân sách địa phương thực hiện Chương trình mục tiêu quốc gia phát triển kinh tế - xã hội vùng đồng bào dân tộc thiểu số và miền núi giai đoạn 2021 - 2030, giai đoạn I: từ năm 2021 đến năm 2025, đã được sửa đổi, bổ sung và bãi bỏ một số điều tại Quyết định số 18/2023/QĐ-TTg ngày 01/7/2023 của Thủ tướng Chính phủ, có hiệu lực kể từ ngày 25 tháng 9 năm 2025.
5[30]Điểm này được sửa đổi, bổ sung tại khoản 5 Điều 1 Quyết định số 18/2023/QĐ-TTg sửa đổi, bổ sung và bãi bỏ một số điều của Quyết định số 39/2021/QĐ-TTg ngày 30 tháng 12 năm 2021 của Thủ tướng Chính phủ quy định nguyên tắc, tiêu chí, định mức phân bổ vốn ngân sách trung ương và tỷ lệ vốn đối ứng của ngân sách địa phương thực hiện Chương trình mục tiêu quốc gia phát triển kinh tế - xã hội vùng đồng bào dân tộc thiểu số và miền núi giai đoạn 2021 - 2030, giai đoạn I: từ năm 2021 đến năm 2025, có hiệu lực kể từ ngày 01/7/2023.
1[31] Cụm từ “Trung tâm y tế huyện” được thay thế bằng cụm từ “Trung tâm y tế” theo quy định tại khoản 4 Điều 3 Quyết định số 35/2025/QĐ-TTg sửa đổi, bổ sung một số điều của Quyết định số 39/2021/QĐ-TTg ngày 30/12/2021 của Thủ tướng Chính phủ quy định nguyên tắc, tiêu chí, định mức phân bổ vốn ngân sách trung ương và tỷ lệ vốn đối ứng của ngân sách địa phương thực hiện Chương trình mục tiêu quốc gia phát triển kinh tế - xã hội vùng đồng bào dân tộc thiểu số và miền núi giai đoạn 2021 - 2030, giai đoạn I: từ năm 2021 đến năm 2025, đã được sửa đổi, bổ sung và bãi bỏ một số điều tại Quyết định số 18/2023/QĐ-TTg ngày 01/7/2023 của Thủ tướng Chính phủ, có hiệu lực kể từ ngày 25 tháng 9 năm 2025.
1[32]Cụm từ “huyện Con Cuông” được thay thế bằng cụm từ “xã Môn Sơn” theo quy định tại khoản 5 Điều 3 Quyết định số 35/2025/QĐ-TTg sửa đổi, bổ sung một số điều của Quyết định số 39/2021/QĐ-TTg ngày 30/12/2021 của Thủ tướng Chính phủ quy định nguyên tắc, tiêu chí, định mức phân bổ vốn ngân sách trung ương và tỷ lệ vốn đối ứng của ngân sách địa phương thực hiện Chương trình mục tiêu quốc gia phát triển kinh tế - xã hội vùng đồng bào dân tộc thiểu số và miền núi giai đoạn 2021 - 2030, giai đoạn I: từ năm 2021 đến năm 2025, đã được sửa đổi, bổ sung và bãi bỏ một số điều tại Quyết định số 18/2023/QĐ-TTg ngày 01/7/2023 của Thủ tướng Chính phủ, có hiệu lực kể từ ngày 25 tháng 9 năm 2025.
2[33]Cụm từ “Ủy ban Dân tộc” được thay thế bằng cụm từ “Bộ Dân tộc và Tôn giáo” quy định tại khoản 6 Điều 3 Quyết định số 35/2025/QĐ-TTg sửa đổi, bổ sung một số điều của Quyết định số 39/2021/QĐ-TTg ngày 30/12/2021 của Thủ tướng Chính phủ quy định nguyên tắc, tiêu chí, định mức phân bổ vốn ngân sách trung ương và tỷ lệ vốn đối ứng của ngân sách địa phương thực hiện Chương trình mục tiêu quốc gia phát triển kinh tế - xã hội vùng đồng bào dân tộc thiểu số và miền núi giai đoạn 2021 - 2030, giai đoạn I: từ năm 2021 đến năm 2025, đã được sửa đổi, bổ sung và bãi bỏ một số điều tại Quyết định số 18/2023/QĐ-TTg ngày 01/7/2023 của Thủ tướng Chính phủ, có hiệu lực kể từ ngày 25 tháng 9 năm 2025.
3[34]Cụm từ “huyện Con Cuông” được thay thế bằng cụm từ “xã Môn Sơn” theo quy định tại khoản 5 Điều 3 Quyết định số 35/2025/QĐ-TTg sửa đổi, bổ sung một số điều của Quyết định số 39/2021/QĐ-TTg ngày 30/12/2021 của Thủ tướng Chính phủ quy định nguyên tắc, tiêu chí, định mức phân bổ vốn ngân sách trung ương và tỷ lệ vốn đối ứng của ngân sách địa phương thực hiện Chương trình mục tiêu quốc gia phát triển kinh tế - xã hội vùng đồng bào dân tộc thiểu số và miền núi giai đoạn 2021 - 2030, giai đoạn I: từ năm 2021 đến năm 2025, đã được sửa đổi, bổ sung và bãi bỏ một số điều tại Quyết định số 18/2023/QĐ-TTg ngày 01/7/2023 của Thủ tướng Chính phủ, có hiệu lực kể từ ngày 25 tháng 9 năm 2025.
4[35]Cụm từ “Ủy ban Dân tộc” được thay thế bằng cụm từ “Bộ Dân tộc và Tôn giáo” quy định tại khoản 6 Điều 3 Quyết định số 35/2025/QĐ-TTg sửa đổi, bổ sung một số điều của Quyết định số 39/2021/QĐ-TTg ngày 30/12/2021 của Thủ tướng Chính phủ quy định nguyên tắc, tiêu chí, định mức phân bổ vốn ngân sách trung ương và tỷ lệ vốn đối ứng của ngân sách địa phương thực hiện Chương trình mục tiêu quốc gia phát triển kinh tế - xã hội vùng đồng bào dân tộc thiểu số và miền núi giai đoạn 2021 - 2030, giai đoạn I: từ năm 2021 đến năm 2025, đã được sửa đổi, bổ sung và bãi bỏ một số điều tại Quyết định số 18/2023/QĐ-TTg ngày 01/7/2023 của Thủ tướng Chính phủ, có hiệu lực kể từ ngày 25 tháng 9 năm 2025.
1[36] Cụm từ “Ủy ban Dân tộc” được thay thế bằng cụm từ “Bộ Dân tộc và Tôn giáo” quy định tại khoản 6 Điều 3, cụm từ “Bộ Thông tin và Truyền thông không quá 3%” được thay thế bằng cụm từ “Bộ Văn hóa, Thể thao và Du lịch không quá 01%, Bộ Khoa học và Công nghệ không quá 02%” quy định tại khoản 7 Điều 3 Quyết định số 35/2025/QĐ-TTg sửa đổi, bổ sung một số điều của Quyết định số 39/2021/QĐ-TTg ngày 30 tháng 12 năm 2021 của Thủ tướng Chính phủ quy định nguyên tắc, tiêu chí, định mức phân bổ vốn ngân sách trung ương và tỷ lệ vốn đối ứng của ngân sách địa phương thực hiện Chương trình mục tiêu quốc gia phát triển kinh tế - xã hội vùng đồng bào dân tộc thiểu số và miền núi giai đoạn 2021-2030, giai đoạn I: từ năm 2021 đến năm 2025, đã được sửa đổi, bổ sung và bãi bỏ một số điều tại Quyết định số 18/2023/QĐ-TTg ngày 01/7/2023 của Thủ tướng Chính phủ, có hiệu lực kể từ ngày 25 tháng 9 năm 2025.
2[37] Khoản này được sửa đổi, bổ sung theo quy định tại khoản 6 Điều 1 Quyết định số 18/2023/QĐ-TTg sửa đổi, bổ sung và bãi bỏ một số điều của Quyết định số 39/2021/QĐ-TTg ngày 30 tháng 12 năm 2021 của Thủ tướng Chính phủ quy định nguyên tắc, tiêu chí, định mức phân bổ vốn ngân sách trung ương và tỷ lệ vốn đối ứng của ngân sách địa phương thực hiện Chương trình mục tiêu quốc gia phát triển kinh tế - xã hội vùng đồng bào dân tộc thiểu số và miền núi giai đoạn 2021 - 2030, giai đoạn I: từ năm 2021 đến năm 2025, có hiệu lực kể từ ngày 01/7/2023.
3[38] Cụm từ “Ủy ban Dân tộc” được thay thế bằng cụm từ “Bộ Dân tộc và Tôn giáo” quy định tại khoản 6 Điều 3, cụm từ “Bộ Thông tin và Truyền thông” được thay thế bằng cụm từ “Bộ Khoa học và Công nghệ” quy định tại khoản 8 Điều 3 Quyết định số 35/2025/QĐ-TTg sửa đổi, bổ sung một số điều của Quyết định số 39/2021/QĐ-TTg ngày 30 tháng 12 năm 2021 của Thủ tướng Chính phủ quy định nguyên tắc, tiêu chí, định mức phân bổ vốn ngân sách trung ương và tỷ lệ vốn đối ứng của ngân sách địa phương thực hiện Chương trình mục tiêu quốc gia phát triển kinh tế - xã hội vùng đồng bào dân tộc thiểu số và miền núi giai đoạn 2021 - 2030, giai đoạn I: từ năm 2021 đến năm 2025, đã được sửa đổi, bổ sung và bãi bỏ một số điều tại Quyết định số 18/2023/QĐ-TTg ngày 01/7/2023 của Thủ tướng Chính phủ, có hiệu lực kể từ ngày 25 tháng 9 năm 2025.
43[39] Cụm từ “Ủy ban Dân tộc” được thay thế bằng cụm từ “Bộ Dân tộc và Tôn giáo” quy định tại khoản 6 Điều 3; cụm từ “Bộ Nông nghiệp và Phát triển nông thôn không quá 2,5%” được thay thế bằng cụm từ “Bộ Nông nghiệp và Môi trường không quá 2,5%”; Bãi bỏ cụm từ “Bộ Lao động - Thương binh và Xã hội không quá 01%”, sửa đổi “Bộ Giáo dục và Đào tạo không quá 2%”; Bãi bỏ cụm từ “Bộ Kế hoạch và Đầu tư không quá 01%”; cụm từ “Bộ Thông tin và Truyền thông không quá 01%” được thay thế bằng cụm từ “Bộ Khoa học và Công nghệ không quá 01%” quy định tại khoản 9 Điều 3 Quyết định số 35/2025/QĐ-TTg sửa đổi, bổ sung một số điều của Quyết định số 39/2021/QĐ-TTg ngày 30 tháng 12 năm 2021 của Thủ tướng Chính phủ quy định nguyên tắc, tiêu chí, định mức phân bổ vốn ngân sách trung ương và tỷ lệ vốn đối ứng của ngân sách địa phương thực hiện Chương trình mục tiêu quốc gia phát triển kinh tế - xã hội vùng đồng bào dân tộc thiểu số và miền núi giai đoạn 2021 - 2030, giai đoạn I: từ năm 2021 đến năm 2025, đã được sửa đổi, bổ sung và bãi bỏ một số điều tại Quyết định số 18/2023/QĐ-TTg ngày 01/7/2023 của Thủ tướng Chính phủ, có hiệu lực kể từ ngày 25 tháng 9 năm 2025.
Bạn chưa Đăng nhập thành viên.
Đây là tiện ích dành cho tài khoản thành viên. Vui lòng Đăng nhập để xem chi tiết. Nếu chưa có tài khoản, vui lòng Đăng ký tại đây!
Bạn chưa Đăng nhập thành viên.
Đây là tiện ích dành cho tài khoản thành viên. Vui lòng Đăng nhập để xem chi tiết. Nếu chưa có tài khoản, vui lòng Đăng ký tại đây!