- Tổng quan
- Nội dung
- Tiêu chuẩn liên quan
- Lược đồ
- Tải về
Tiêu chuẩn Quốc gia TCVN 6750:2000 ISO 11632:1998 Sự phát thải của nguồn tĩnh - Xác định nồng độ khối lượng của lưu huỳnh dioxit - Phương pháp sắc ký ion
| Số hiệu: | TCVN 6750:2000 | Loại văn bản: | Tiêu chuẩn Việt Nam |
| Cơ quan ban hành: | Bộ Khoa học, Công nghệ và Môi trường | Lĩnh vực: | Khoa học-Công nghệ |
|
Ngày ban hành:
Ngày ban hành là ngày, tháng, năm văn bản được thông qua hoặc ký ban hành.
|
2000 |
Hiệu lực:
|
Đã biết
|
| Người ký: | Đang cập nhật |
Tình trạng hiệu lực:
Cho biết trạng thái hiệu lực của văn bản đang tra cứu: Chưa áp dụng, Còn hiệu lực, Hết hiệu lực, Hết hiệu lực 1 phần; Đã sửa đổi, Đính chính hay Không còn phù hợp,...
|
Đã biết
|
TÓM TẮT TIÊU CHUẨN VIỆT NAM TCVN 6750:2000
Nội dung tóm tắt đang được cập nhật, Quý khách vui lòng quay lại sau!
Tải tiêu chuẩn Việt Nam TCVN 6750:2000
TIÊU CHUẨN VIỆT NAM
TCVN 6750 : 2000
SỰ PHÁT THẢI NGUỒN TĨNH - XÁC ĐỊNH NỒNG ĐỘ KHỐI LƯỢNG CỦA LƯU HUỲNH DIOXIT - PHƯƠNG PHÁP SẮC KÝ ION
Stationary source emissions - Determination of mass concentration of sulfur dioxide - Ion chromatography method
Lời nói đầu
TCVN 6750 : 2000 hoàn toàn tương đương với ISO 11632 : 1998.
TCVN 6750 : 2000 do Ban kỹ thuật Tiêu chuẩn TCVN/TC 146
Chất lượng không khí biên soạn, Tổng cục Tiêu chuẩn Đo lường Chất lượng đề nghị, Bộ Khoa học, Công nghệ và Môi trường ban hành.
SỰ PHÁT THẢI CỦA NGUỒN TĨNH - XÁC ĐỊNH NỒNG ĐỘ KHỐI LƯỢNG CỦA LƯU HUỲNH DIOXIT - PHƯƠNG PHÁP SẮC KÝ ION
Stationary source emissions - Determination of mass concentration of sulfur dioxide - Ion chromatography method
1 Phạm vi áp dụng
Tiêu chuẩn này qui định phương pháp xác định nồng độ khối lượng của lưu huỳnh dioxit phát ra từ các thiết bị đốt và các quá trình kỹ thuật và định rõ đặc tính quan trọng nhất của phương pháp.
Phương pháp mô tả trong tiêu chuẩn này đã được thử nghiệm trong khoảng nồng độ lưu huỳnh từ 6 mg/m3 đến 333 mg/m3 với thời gian lấy mẫu là 30 min. Phương pháp này có thể áp dụng cho nồng độ khối lượng của lưu huỳnh dioxit vượt quá khoảng nồng độ trên bằng cách pha loãng thích hợp dung dịch mẫu thử trước khi phân tích / hoặc bằng cách dùng một thể tích lớn hơn dung dịch hấp thụ và có thể áp dụng cho nồng độ lưu huỳnh dioxit nhỏ hơn khoảng nồng độ trên bằng cách kéo dài thời gian lấy mẫu.
Tiêu chuẩn này có thể áp dụng để phân tích những mẫu có chứa các nồng độ không đáng kể của lưu huỳnh trioxit và các sunfat dễ bay hơi (< 5 % nồng độ lưu huỳnh dioxit dự tính) và amoniac (< 5 mg/m3).
Tất cả các nồng độ được qui về khí khô ở nhiệt độ 273,2 K và áp suất 101,3 kPa.
2 Tiêu chuẩn trích dẫn
TCVN 6502: 1999 (ISO 6879:1995) Chất lượng không khí - Đặc tính và các khái niệm có liên quan với các phương pháp đo chất lượng không khí.
TCVN 5975: 1995 (ISO 7934:1989) Sự phát thải của nguồn tĩnh - Xác định nồng độ khối lượng lưu huỳnh dioxit - Phương pháp hydro peroxit/bari perchorat/thorin.
TCVN 5976:1995 (ISO 7935:1992) Sự phát thải của nguồn tĩnh - Xác định nồng độ khối lượng của lưu huỳnh dioxit - Đặc tính của phương pháp đo tự động.
TCVN 6192: 2000 (ISO 10396:1993) Sự phát thải của nguồn tĩnh - Lấy mẫu để đo tự động các nồng độ khí.
TCVN 5958:1995(ISO Guide 25:1990) Yêu cầu chung về năng lực của phòng hiệu chuẩn và thử nghiệm.
3 Nguyên tắc
Hút mẫu khí thải đại diện qua đầu lấy mẫu khống chế được nhiệt độ rồi lọc và sục qua dung dịch hidro peroxit với tốc độ và thời gian qui định. Lưu huỳnh dioxit trong mẫu khí thải được hấp thụ vào dung dịch và tạo thành các anion sunfat. Nồng độ khối lượng của sunfat trong dung dịch hấp thụ sau đó được xác định bằng phương pháp sắc ký ion.
4 Thuốc thử
Các thuốc thử phải đạt độ tinh khiết phân tích. Nước sử dụng không được có sunfat và có độ dẫn điện < 0,01 mS/m và không được chứa hạt có kích thước > 0,45 àm. Thông thường, những qui tắc thực hành an toàn trong phòng thí nghiệm phải được tuân thủ trong quá trình điều chế thuốc thử.
4.1 Dung dịch hấp thụ, H2O2 3%
Hút 100 cm3 dung dịch hidro peroxit (H2O2) 27% - 30% (phân số mol) cho vào bình định mức một vạch 1000 cm3. Định mức bằng nước và lắc đều. Pha thuốc thử này trong ngày dùng.
4.2 Dung dịch rửa giải
Sự lựa chọn dung dịch rửa giải phụ thuộc vào cột tách và detector của các hãng sản xuất. Để pha chính xác thành phần của dung dịch rửa giải theo hướng dẫn của các hãng sản xuất.
Chú thích - Với các máy sắc ký ion có sử dụng kỹ thuật nén, chất rửa giải điển hình là dung dịch NaHCO3 1,7 x 10-3 mol/l và Na2CO3 1,8 x 10-3 mol/l.
4.3 Dung dịch gốc, sunfat chuẩn SO42- 10,4 x 10-3 mol/l
Hoà 1,8141 g kalisunfat (K2SO4) loại tinh khiết phân tích trong nước tinh khiết và pha loãng thành 1 lít trong bình định mức một vạch 1000 m3. 1 cm3 dung dịch gốc này tương ứng với 1 mg SO42 - .
Chú thích - Dung dịch gốc sunfat chuẩn bền vững ít nhất 28 ngày nếu bảo quản ở 277 K. Dung dịch chuẩn được điều chế bằng cách pha loãng dung dịch gốc chuẩn với dung dịch hấp thụ như qui định trong 7.4.2.
4.4 Dung dịch hoàn nguyên cột khử
Để dung dịch hoàn nguyên cột khử có thành phần chính xác, pha theo hướng dẫn của hãng sản xuất. Chú thích - Thí dụ dung dịch H2SO4 12,5 x 10-3 mol/l.
5 Thiết bị, dụng cụ
5.1 Thiết bị lấy mẫu
5.1.1 Yêu cầu chung
Có thể dùng các thiết bị lấy mẫu khác nhau đáp ứng được những đặc tính đã qui định đối với mỗi thành phần được dùng. Các đặc tính được trình bày trong điều 9, thí dụ ứng với thiết bị lấy mẫu được mô tả từ điều 5.1.1 đến 5.1.16. Điều quan trọng là toàn bộ các bộ phận của thiết bị lấy mẫu phía trước bình hấp thụ thứ nhất đều được đốt nóng và các thành phần này không phản ứng hoặc hấp thụ SO2.
Chú thích - Trong các trường hợp đặc biệt, ống nối lẫn khí không được đốt nóng có thể được sử dụng giữa bộ lọc được đốt nóng và bình hấp thụ thứ nhất nhưng bình hấp thụ này phải được tráng rửa kỹ bằng dung dịch hấp thụ sau khi lấy mẫu và nước rửa này được gộp vào mẫu thử.
5.1.2 Đầu lấy mẫu
Đầu lấy mẫu phải bằng thủy tinh bo-silicat hoặc ống silic nung chảy mà một đầu có khớp nối mài tròn.
Có thể dùng đầu lấy mẫu có chiều dài và đường kính trong khác nhau nhưng thời gian lưu trú mẫu khí trong đầu lấy mẫu phải là tối thiểu. Đầu lấy mẫu được bao bọc một lớp vỏ tạo nhiệt, được bảo vệ và đặt trong một ống kim loại. Dùng một vít giữ để điều chỉnh độ dài của đầu lấy mẫu để có thể tới được điểm đo đại diện trong mặt phẳng đo của ống dẫn khí thải.
Chú thích - Thí dụ về các kích thước đầu lấy mẫu thích hợp được minh họa ở hình 1.
Kích thước tính bằng milimet
----- chỉ ra các vùng được đốt nóng
chiều dài đầu lấy mẫu đến bộ lọc bụi (A) 500 mm
đường kính đầu lấy mẫu 10 mm
đường kính trong ống kim loại bảo vệ 80 mm đến 100 mm.
Hình 1 - Vị trí của đầu lấy mẫu, giá đỡ bộ lọc và ống bảo vệ
5.1.3 Giá đỡ bộ lọc
Giá đỡ bộ lọc phải bằng thuỷ tinh bo-silicat hoặc thuỷ tinh silic nóng chảy với hai đầu có khớp nối mài tròn. Gía đỡ bộ lọc được bao bọc bằng vỏ tạo nhiệt và được nối với đầu lấy mẫu và được đặt vào trong ống kim loại bảo vệ như đã minh hoạ ở hình 1. Nhiệt độ sau giá đỡ bộ lọc được kiểm tra bằng một chiếc cặp nhiệt điện.
Chú thích 1 - Trong các trường hợp đặc biệt, những nơi có nhiệt độ khí thải > 473 K, vỏ tạo nhiệt bao quanh đầu lấy mẫu, giá đỡ bộ lọc và ống nối có thể bỏ ra không cần dùng. Tuy nhiên nhiệt độ trên đường lấy mẫu phía trước bình hấp thụ thứ nhất không được tụt dưới nhiệt độ điểm sương axit của khí thải.
Chú thích 2 - Thí dụ về kích thước thích hợp của giá đỡ bộ lọc được minh hoạ ở hình 2.
5.1.4 Bộ lọc bụi
Có thể dùng bộ lọc bụi và giá đỡ bộ lọc có thiết kế khác nhau nhưng thời gian lưu trú của mẫu khí tại đây phải là tối thiểu. Vật liệu lọc (sợi thạch anh hoặc bông thạch anh được nhồi chặt) phải có hiệu suất lọc tốt hơn 99,9% đối với bụi có đường kính ≥ 0,6 àm đối với luồng khí đang lấy mẫu.
Chú thích 1 - Thí dụ về bộ lọc bụi bằng thạch anh thích hợp kiểu ″ống lót″ được minh họa ở hình 2. Bộ lọc được giữ ở bên trong giá đỡ bằng lưới thép không gỉ.
Chú thích 2 - Trong một số trường hợp, cần kiểm tra khả năng phản ứng giữa SO2 trong mẫu khí và các hạt bụi được giữ lại trong bộ lọc. Điều này có thể thực hiện được bằng cách so sánh các kết quả phân tích sunfat của các phần bụi thu được từ bộ lọc đã sử dụng khi lấy mẫu theo tiêu chuẩn này và bụi thu được ở nguồn khác tại thời điểm lấy mẫu, thí dụ ở cyclon.
Kích thước tính bằng milimét

1. Bộ lọc bụi sợi thạch anh (kiểu ống lót) 90 mm x 30 mm đường kính trong.
2. Cặp nhiệt độ.
Hình 2 - Thí dụ về bộ lọc bụi và giá đỡ bộ lọc
5.1.5 Bình hấp thụ
Hai bình hấp thụ có khớp nối thuỷ tinh mài tròn và bên trong bình có lồng một màng lọc thủy tinh xốp.
Có thể dùng bình hấp thụ có kích thước và hình dạng thay đổi miễn là hiệu suất hấp thụ đạt qui định 7.1.
Chú thích - Thí dụ hai bình hấp thụ cỡ 125 cm3 kiểu Drechsel có màng lọc thuỷ tinh xốp đưỡng kính cỡ lỗ từ 40 μm đến 90 μm được sử dụng (xem hình 3).
5.1.6 Vỏ tạo nhiệt
Vỏ tạo nhiệt hoặc băng tạo nhiệt có khả năng tạo nhiệt độ ít nhất là 473 K.
5.1.7 Bộ điều chỉnh nhiệt độ
Bộ điều chỉnh nhiệt độ thích hợp cho việc sử dụng vỏ hoặc băng tạo nhiệt.

Hình 3 - Thí dụ về bình hấp thụ
5.1.8 Bình bẫy
Bình hấp thụ được lắp trong nó một ống hấp thụ không có màng lọc. Bình này được đặt nối tiếp sau bình hấp thụ thứ hai để thu lại dung dịch hấp thụ bị bắn sang.
Chú thích - Việc sử dụng bình bẫy là tuỳ chọn.
5.1.9 ống làm khô
ống thuỷ tinh hoặc bình hấp thụ được nhồi tác nhân làm khô để sấy khô mẫu khí và để bảo vệ đồng hồ đo lưu lượng khí và bơm.
Chú thích - Thí dụ có thể dùng silicagel (cỡ hạt từ 1 mm đến 3 mm) đã được sấy khô trước ở 448oK ít nhất trong 2 h.
5.1.10 Bơm lấy mẫu
Dùng loại bơm màng kín có khả năng hút mẫu khí thải ở lưu lượng từ 0,02 m3/h đến 0,2 m3/h trong khoảng thời gian lấy mẫu với áp lực từ - 10 kPa đến - 30 kPa. Có thể dùng một bình đệm nhỏ ở giữa bơm và lưu lượng kế để hạn chế sự ảnh hưởng của các xung của bơm màng lên lưu lượng kế.
5.1.11 Tốc kế
Máy đo lưu lượng hoặc tốc kế có khả năng đo lưu lượng mẫu khí có giới hạn sai số < ± 2 % giới hạn trên của phép đo.
5.1.12 Van điều chỉnh
Van kim có khả năng điều chỉnh lưu lượng khí thải từ 0,02 m3/h đến 0,2 m3/h.
5.1.13 Dụng cụ đo khí
Đồng hồ đo khí khô có thể dùng ở lưu lượng khí từ 0,02 m3/h đến 0,2 m3/h, giới hạn sai số < ± 2% thể tích đo và có gắn một nhiệt kế (5.1.15).
5.1.14 ống nối
ống nối có dải chiều dài và đường kính trong khác nhau. Tất cả các bộ phận của hệ thống lấy mẫu phía trước bình hấp thụ đầu tiên phải làm bằng vật liệu không phản ứng hoặc không hấp thụ SO2. Đối với các bộ phận phía sau bình hấp thụ, các yêu cầu này không cần nghiêm ngặt bằng nhưng nên dùng các vật liệu không bị ăn mòn.
Chú thích - Các ví dụ về những vật liệu thích hợp là thuỷ tinh bo-silicat, thuỷ tinh silic nóng chảy và poly tetrafluoetylen (các bộ phận phía trước các bình hấp thụ) và polyetylen và cao su silicon (các bộ phận phía sau các bình hấp thụ).
5.1.15 Nhiệt kế
Nhiệt kế đo được trong khoảng 268 K đến 323 K, giới hạn sai số < ± 2% giới hạn trên của phép đo.
5.1.16 áp kế
áp kế có khả năng đo áp suất khí quyển (kPa) tại nơi lấy mẫu, sai số < ± 1% giới hạn trên của phép đo.
5.1.17 Đồng hồ bấm giây
5.2 Thiết bị phân tích
5.2.1 Cân phân tích
Cân phân tích có khả năng cân chính xác đến 0,0001 g.
5.2.2 Sắc ký ion
Hệ thống phân tích hoàn chỉnh bao gồm máy sắc ký ion và các dụng cụ cần thiết gồm bơm tiêm, cột phân tích, khí nén, detector và thiết bị ghi. Các yêu cầu tối thiểu thiết yếu đối với hệ thống sắc ký ion trong phạm vi của tiêu chuẩn này như sau (xem hình 4).
a) Hệ thống bơm mẫu: có thể dùng một hệ thống bơm mẫu tự động có thể tích nhất định.
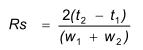
b) Cột tách anion: cột này tạo ra độ tách anion trong mẫu, có khả năng đo tốt diện tích và chiều cao pic của anion sunfat. Các anion khác có thể có mặt trong dung dịch mẫu bao gồm: F - , Cl– và NO3- . Khả năng phân giải của cột tách phải có đủ để cho độ phân giải pic (Rs) không nhỏ hơn 1,3 trong đó

trong đó
t1 là thời gian lưu của pic thứ nhất, tính bằng giây;
t2 là thời gian lưu của pic thứ hai, tính bằng giây;
W1 là chiều rộng của pic thứ nhất, tính bằng giây trên trục thời gian;
W2 là chiều rộng của pic thứ hai, tính bằng giây trên trục thời gian.
Nói chung, nên dùng một cột trước hoặc cột bảo vệ anion để bảo vệ cột tách anion. Nếu không dùng thì thời gian lưu sẽ ngắn hơn. Hai loại cột khác nhau có thể được sử dụng: các cột có chứa cùng chất nền như cột tách, và các cột được nhồi polyme xốp có lỗ lớn.
c) Detector: phương pháp phát hiện sẽ dựa vào việc đo độ dẫn điện có hoặc không có thiết bị nén và có khả năng cung cấp dữ liệu theo yêu cầu trong 7.5.
d) Thiết bị ghi: một hệ thống sử dụng máy ghi giản đồ và máy phân tích hoặc là một hệ thống ghi dữ liệu bằng máy vi tính đáp ứng các yêu cầu ở 7.5.

| 1. Các bình chứa dung dịch rửa giải 2. Bơm 3. Bộ phận bơm mẫu 4. Cột tách 5. Thiết bị nén 6. Hộp detector | 7. Máy ghi, máy phân tích, máy vi tính 8. Bộ phận cung cấp dung môi rửa giải hoặc dung dịch mẫu 9. Tách chất phân tích 10. Phát hiện chất phân tích 11. Đầu ra dữ liệu |
Hình 4 - Ví dụ về một máy sắc ký ion
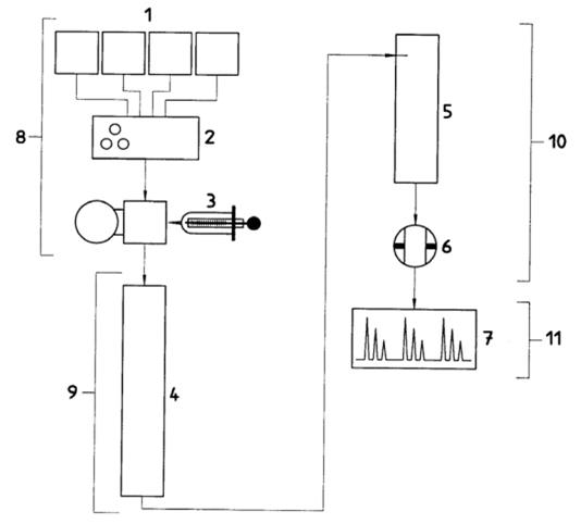
6 Lấy mẫu
6.1 Cần đảm bảo rằng các nồng độ khí đã đo là đại diện cho các điều kiện trung bình bên trong ống dẫn khí thải theo TCVN 6192: 2000 (ISO 10396). Vị trí lấy mẫu phải hoàn toàn không bị cản trở, gây ảnh hưởng lớn đến lưu lượng dòng khí trong ống dẫn. Thường thường nồng độ khí ô nhiễm trên mặt cắt ngang là đồng đều do sự trộn rối, khuyếch tán. Thêm vào đó, vị trí lấy mẫu phải được lựa chọn sao cho an toàn cho người vận hành, dễ tiếp cận và có nguồn điện.
6.2 Lắp thiết bị theo qui định ở 5.1 để thu được một loạt mẫu theo sơ đồ mô tả ở hình 5. Phải hạn chế thể tích trống hoặc thể tích chết ở đầu lấy mẫu đến mức tối thiểu, giá đỡ bộ lọc và ống dẫn tới bình hấp thụ đầu tiên phải là ngắn nhất. Sử dụng các đầu nối thuỷ tinh nhám hình cầu được bôi trơn và các kẹp giữ ở phía trước bình thứ hai. Đổ vào hai bình hấp thụ (5.15), mỗi bình 80 cm3 dung dịch hấp thụ (4.1).
6.3 Cắm đầu dò vào nơi lấy mẫu (5.1.2), bật máy bơm mẫu (5.1.10) và kiểm tra độ kín của hệ thống lấy mẫu theo kỹ thuật thông thường của phòng thí nghiệm. Thận trọng rút đầu lấy mẫu và tắt bơm lấy mẫu.
6.4 Bọc đầu lấy mẫu (5.1.2), giá đỡ bộ lọc bụi (5.1.3) và ống nối với bình hấp thụ dầu tiên bằng vỏ tạo nhiệt (5.1.6). Bật hệ thống tạo nhiệt và điều chỉnh bộ phận điều chỉnh nhiệt độ (5.1.7) sao cho trong suốt thời kỳ lấy mẫu; nhiệt độ ở vùng được đốt nóng phải đảm bảo yêu cầu cao hơn điểm sương axit của khí thải.
Chú thích - Nhiệt độ sau bộ lọc bụi được kiểm tra bằng cặp nhiêt điện. Kinh nghiệm cho thấy nhiệt độ 448 K thường là đủ.
6.5 Cắm đầu lấy mẫu vào lỗ trên thành ống dẫn khí thải và đặt đầu dò lấy mẫu vào điểm đo đại diện trong mặt phẳng đo của ống dẫn khí thải.
Vặn chặt kẹp giữ ống kim loại bảo vệ đầu lấy mẫu. Trát kín khe hở giữa đầu lấy mẫu và lỗ ở trên thành ống dẫn khí thải bằng một chất gắn thích hợp để ngăn không khí xung quanh không vào được điểm đo hoặc ngăn khí thải thoát ra. Trong thời kỳ đốt nóng (khoảng nửa giờ) phải chú ý cẩn thận để trong trường hợp có sự khác nhau lớn về áp suất giữa không khí xung quanh và khí thải, dung dịch hấp thụ sẽ không thoát ra khỏi bình hấp thụ.
6.6 Cuối giai đoạn tạo nhiệt, ghi lại thể tích khí đo được (V ) trên đồng hồ đo khí (5.1.13), bật bơm lấy mẫu (5.1.10) và đồng hồ bấm giây (5.1.17) và điều chỉnh van điều chỉnh (5.1.12) để có được lưu lượng khí như qui định 0,06 m3/h.
Chú thích - Có thể sử dụng tốc độ luồng khí cao hơn nếu như hiệu suất hấp thụ qui định ở 7.1 có thể kiểm định được.
6.7 Thời gian lấy mẫu thường là 30 min. Ghi lại nhiệt độ lấy mẫu đọc được (T1) trên nhiệt kế đo khí (5.1.15) và áp suất (P) trên áp kế (5.1.16). Lưu lượng mẫu khí lựa chọn càng ổn định càng tốt.
Chú thích - Những nơi có nồng độ khối lượng lưu huỳnh dioxit như dự kiến < 6 mg/m3, thời gian lấy mẫu phải kéo dài thêm đến mức đạt được nồng độ sunfat > 1 mg/l ở dung dịch mẫu cuối cùng của điều 6.7.
6.8 Kết thúc thời kỳ lấy mẫu, tắt bơm lấy mẫu, ghi lại thời gian đọc được trên đồng hồ bấm giây và đọc thể tích (V2) trên đồng hồ đo khí. Tháo các bình hấp thụ và chuyển toàn bộ thể tích dung dịch hấp thụ của cả hai bình vào chai đựng mẫu 250 cm3. Đựng mẫu bằng các chai sạch bằng thủy tinh hoặc polyetylen. Tráng các bình hấp thụ và cả các ống cắm vào bình hấp thụ và dùng quả bóp cao su để nén dung dịch qua màng lọc xốp. Nếu có dùng bình bẫy thì rửa cả bình bẫy và gộp nước rửa với các nước tráng. Dồn nước tráng vào các dung dịch mẫu đã hợp lại ở trên vào chai đựng mẫu.
Mẫu được bảo quản trong tủ lạnh càng sớm càng tốt trước khi phân tích. Thời gian lưu mẫu tối đa là 28 ngày đối với anion sunfat ở nhiệt độ 277 K.
Chú thích - Trong các trường hợp nồng độ lưu huỳnh dự kiến là thấp, khi dung dịch hấp thụ nghi là có nồng độ sunfat nền cao hoặc khi có một lượng lớn chất ngưng tụ trong bình hấp thụ thì dung dịch hấp thụ và nước rửa phải được giữ riêng trong ba chai đựng mẫu khác nhau và phân tích riêng rẽ.
6.9 Để lấy bổ xung mẫu khí thải, cho vào hai bình hấp thụ, mỗi bình 80 cm3 dung dịch hấp thụ, thay bình hấp thụ và tiến hành như qui định trên. Phải tính đến tổng thể tích khí thải cho tất cả các mẫu đã lấy, nồng độ bụi dự kiến trong khí thải và bất kỳ sự giảm lưu lượng khí trong quá trình lấy mẫu để người lấy mẫu có thể đánh giá xem có cần thay bộ lọc bụi hay không.
6.10 Chuẩn bị mẫu khí zero (mẫu " không") bằng cách thêm khoảng 100 cm3 dung dịch hấp thụ vào một chai đựng mẫu.
6.11 Nếu không có kinh nghiệm để kiểm tra hiệu suất hấp thụ của các bình hấp thụ đối với thiết bị và điều kiện lấy mẫu thì phải tuân thủ theo qui trình được qui định ở 7.1.
7 Qui trình phân tích
7.1 Kiểm tra hiệu suất hấp thụ
Hút dung dịch hấp thụ (4.1) cho vào hai bình hấp thụ, mỗi bình 80 cm3, bình hấp thụ thứ nhất được gọi là A và bình hấp thụ thứ hai được gọi là B (5.1.5). Lắp dụng cụ hấp thụ như qui định (5.1) để thu được dãy lấy mẫu / hệ thống lấy mẫu như mô tả trong hình 5.
Dựa trên việc xem xét nồng độ khối lượng dự kiến của lưu huỳnh dioxit, chọn thời gian lấy mẫu thích hợp để kết quả hấp thụ vào khoảng 0,45 mg lưu huỳnh dioxit ở bình hấp thụ thứ nhất A (tương đương với nồng độ sunfat ở A là 8,4 mg/l). Tiến hành lấy mẫu như qui định từ 6.1 đến 6.6. Kết thúc thời kỳ lấy mẫu, tắt bơm lấy mẫu, ghi thời gian lấy mẫu và đọc thể tích mẫu lấy (V2) trên đồng hồ đo khí.
Tháo các ống hấp thụ ra khỏi hệ thống lấy mẫu và chuyển dung dịch mẫu từ các bình hấp thụ A và B vào hai chai đựng mẫu riêng biệt. Nếu có dùng bình bẫy thì gộp dung dịch mẫu của bình vào bình mẫu B. Tráng riêng từng bình hấp thụ bằng dung dịch hấp thụ và trút các nước tráng vào các chai đựng mẫu. Chia hai dung dịch mẫu thành bốn phần xấp xỉ bằng nhau, ghi nhãn A1, A2, B1 và B2 bằng cách phải dùng thêm hai chai đựng mẫu nữa. Xác định thể tích của bốn dung dịch VA1, VA2, VB1 và VB2. Hợp các dung dịch A1 và B1, lắc đều và dán nhãn (A1+B1).
Phân tích các mẫu (A1+B1) và A2 như qui định trong 7.2 và xác định các nồng độ sunfat C(A1+B1) và CA2. Tính hiệu suất hấp thụ của bình hấp thụ A biểu thị bằng phân số của khối lượng sunfat đã hấp thụ trong bình hấp thụ A chia cho tổng khối lượng sunfat đã hấp thụ trong bình hấp thụ A và B như sau:
![]()
Lặp lại 7.1 và xác định hiệu suất hấp thụ của bình hấp thụ thứ hai bằng cách trao đổi vị trí của hai bình hấp thụ trong hệ thống lấy mẫu / dãy lấy mẫu.
Hiệu suất hấp thụ của hai bình hấp thụ tối thiểu phải đạt 0,95.
7.2 Phân tích
Khởi động máy sắc ký ion theo hướng dẫn của hãng sản xuất và kiểm tra xem máy đã sẵn sàng để vận hành chưa (thí dụ: đường nền ổn định). Kiểm tra chuẩn hoá hệ thống hàng ngày và nếu cần, hiệu chuẩn lại như mô tả trong 7.4.
.
| 1. Thành ống dẫn khí thải 2. Đầu lấy mẫu và bộ lọc bụi 3. Các bình hấp thụ chứa dung dịch H2O2 3% 4. Bình bẫy (tuỳ chọn) 5. ống sấy khô 6. Van điều chỉnh | 7. Bơm 8. Bình đệm (tuỳ chọn) 9. Lưu lượng kế 10. Nhiệt kế 11. Đồng hồ đo khí khô |
Hình 5 - Hệ thống lấy mẫu
Trước mỗi lần bơm mẫu, xác định tổng thể tích dung dịch mẫu (V3) bằng ống đong chia vạch (chính xác tới 1 cm3)
Nạp và bơm một lượng nhất định dung dịch mẫu đã được lọc và trộn đều (màng lọc cỡ lỗ 0,45 àm). Rửa vòng chứa mẫu thật kỹ sau mỗi lần chạy mẫu bằng dung dịch rửa giải. Dùng vòng chứa mẫu cùng cỡ để chạy mẫu chuẩn và mẫu thử. Ghi lại tín hiệu, thí dụ pic sunfat theo đơn vị diện tích hoặc chiều cao của pic.
Độ rộng của cửa sổ thời gian lưu dùng để nhận biết phải dựa vào kết quả đo thực tế và dao động thực tế của thời gian lưu trong khi chuẩn hoá trong quá trình / thời gian một ngày. Ba lần độ lệch chuẩn của thời gian lưu có thể được dùng để tính toán kích thước gợi ý của một cửa sổ. Tuy nhiên kinh nghiệm của các nhà phân tích sẽ rất có trọng lượng trong việc biện giải các sắc đồ.
Nếu tín hiệu đầu ra vượt quá khoảng nồng độ làm việc đã được chuẩn hoá của hệ thống thì phải pha loãng mẫu bằng một lượng dung dịch hấp thụ thích hợp và phân tích lại. Nếu sắc đồ thu được không đạt yêu cầu về độ phân giải hoặc việc xác định pic sunfat còn nghi ngờ thì bổ sung vào mẫu một lượng chất chuẩn thích hợp và phân tích lại.
Chú thích - Thời gian lưu là tỉ lệ nghịch đối với nồng độ và ion sunfat đặc biệt nhạy trong một số trường hợp, sự chuyển dịch pic có thể làm cho độ phân giải kém hoặc khó định tính.
Tính nồng độ sunfat bằng mg/l (CS) bằng cách so sánh tín hiệu ra với đường chuẩn sunfat có tính đến bất kỳ sự pha loãng nào.
Tương tự, xác định nồng độ sunfat của mẫu "không" (Cb).
7.3 Chất cản trở
7.3.1 Lưu huỳnh trioxit
Lưu huỳnh trioxit (SO3) (thường xuất hiện dưới dạng khói của axit sunfuric lỏng hoặc dạng khí ở nhiệt độ cao) được hấp thụ vào dung dịch hấp thụ tạo thành anion sunfat và được xác định bằng sắc ký ion. Tuy nhiên trong nhiều quá trình điều tra khí thải, lưu huỳnh trioxit chỉ có mặt với một lượng nhỏ và xem như có thể bỏ qua. Thí dụ: nồng độ khối lượng lưu huỳnh trioxit thường nhỏ hơn 0,05 lần nồng độ khối lượng lưu huỳnh dioxit. Trong trường hợp nồng độ khối lượng lưu huỳnh dioxit cần phải xác định riêng biệt khỏi nồng độ lưu huỳnh trioxit trong khí thải thì áp dụng phương pháp phân tích khác với phương pháp qui định trong tiêu chuẩn này.
7.3.2 Sunfat bay hơi
Các sunfat bay hơi, trong điều kiện lấy mẫu tạo ion sunfat trong dung dịch hấp thụ có thể gây ảnh hưởng đến kết quả.
7.3.3 Amoniac
Amoniac trong khí thải có thể dẫn đến việc tạo thành các hạt mịn amonisunfit và amoni sunfat có thể đi qua dung dịch hấp thụ gây nên sai số âm. Trong các trường hợp nồng độ amoniac quá cao, nghĩa là > 5 mg/m3, áp dụng phương pháp phân tích khác với phương pháp qui định trong tiêu chuẩn này.
7.3.4 Sự nhiễm bẩn
Sự cản trở có thể gây nên bởi các tạp chất có trong nước thử hoặc các dụng cụ lấy / xử lý mẫu dẫn đến kết quả giả làm cho đường nền trong sắc ký ion dâng cao.
7.4 Hiệu chuẩn
7.4.1 Xây dựng các thông số vận hành thiết bị sắc ký ion tương đương với các thông số như trong hướng dẫn của các hãng sản suất.
7.4.2 Pha các mẫu chuẩn hoá tối thiểu ở ba mức nồng độ và một mẫu zero (dung dịch hấp thụ) trong khoảng nồng độ làm việc đã lựa chọn. Nếu khoảng làm việc đã được chuẩn vượt quá khoảng tuyến tính của hệ thống, một lượng đủ lớn các mẫu hiệu chuẩn phải được phân tích để cho phép xây dựng một đường chuẩn chính xác. Một trong những đường chuẩn phải có nồng độ gần giới hạn phát hiện nhưng sẽ cao hơn nếu hệ thống được vận hành ở con số của khoảng có nồng độ thấp hơn. Các mẫu hiệu chuẩn khác phải tương ứng với khoảng nồng độ dự kiến của mẫu hoặc phải xác định khoảng làm việc của detector. Trừ khi sự thiết lập khoảng pha loãng được chứng minh nằm trong khoảng tuyến tính, thí dụ ± 2%, mỗi khoảng nồng độ phải được chuẩn hoá riêng.
Chú thích 1 - Mẫu hiệu chuẩn là một dung dịch sunfat đã điều chế trong phòng thí nghiệm từ dung dịch chuẩn gốc và được pha loãng chính xác theo yêu cầu bằng dung dịch hấp thụ để hiệu chuẩn tín hiệu ra có liên quan tới nồng độ sunfat.
Chú thích 2 - Thí dụ đối với nồng độ lưu huỳnh dioxit nằm trong khoảng từ 6 mg/m3 đến 333 mg/m3, khoảng làm việc cho các nồng độ sunfat từ 0,1 mg/l đến 9 mg/l là thích hợp (64 là phân tử lượng của lưu huỳnh dioxit và 96 là phân tử lượng của ion sunfua).
7.4.3 Bơm một lượng mẫu chuẩn đầu tiên tuỳ thuộc vào thể tích vòng chứa mẫu và lập bảng các tín hiệu ra phụ thuộc vào nồng độ. Tráng rửa nhanh vòng chứa mẫu bằng dung dịch rửa giải và lặp lại như trên các dung dịch chuẩn khác và mẫu "không". Kết quả được sử dụng để lập một đường chuẩn sunfat. Ghi thời gian lưu trong quá trình này.
7.4.4 Kiểm định đường chuẩn hàng ngày và mỗi khi thay đổi dung dịch rửa giải anion hoặc sau một đợt 20 mẫu. Nếu thời gian lưu thực tế thay đổi so với thời gian lưu dự kiến lớn hơn ± 10% thì lặp lại phép thử với các mẫu hiệu chuẩn mới. Nếu kết quả vẫn trên ± 10% xây dựng lại đường chuẩn sunfat mới.
7.4.5 Đáp ứng không tuyến tính trong khoảng làm việc của detector có thể xuất hiện khi dung lượng cột tách bị quá tải. Tín hiệu của mẫu thử khi pha loãng 1 thành 10 (10 lần) phải được so sánh với tín hiệu mẫu thử không pha loãng. Nếu nồng độ sunfat sau khi tính có cùng kết quả, không cần phải pha loãng mẫu thử.
7.5 Kiểm tra chất lượng
Phương pháp sắc ký ion này được các nhà phân tích có kinh nghiệm thực hiện hoặc dưới sự giám sát của họ và họ phải biện giải các kết quả trên sắc đồ. Mỗi phòng thí nghiệm phải cho các kết quả được chấp nhận bằng phương pháp này và phải có một chương trình kiểm tra chất lượng được công nhận chính thức về sự phù hợp với TCVN 5958: 1995. Thí dụ về một chương trình kiểm soát chất lượng phù hợp được trình bày trong phụ lục A.
8 Biểu thị kết quả
Nồng độ khối lượng lưu huỳnh dioxit (Cm) tính bằng mg/m3 có trong mẫu khí thải ở trạng thái xác định P = 101,3 kPa và T = 273,2 K, ứng với khí khô theo công thức sau:

trong đó
Cb là nồng độ sunfat mẫu "không", tính bằng miligam trên lít;
CS là nồng độ sunfat trong mẫu thử, tính bằng miligam trên lít;
T là nhiệt độ của thể tích khí thải qua đồng hồ đo khí ở điều kiện điều tra, tính theo độ Celcius (oC);
VS là thể tích dung dịch mẫu, tính bằng lít;
V’s là thể tích dung dịch hấp thụ trong dung dịch mẫu, tính bằng lít;
V1 là thể tích đọc được trên đồng hồ đo khí khô ở thời điểm bắt đầu lấy mẫu, tính bằng mét khối;
V2 là thể tích đọc được trên đồng hồ đo khí khô ở thời điểm kết thúc lấy mẫu, tính bằng mét khối;
P là áp suất khí quyển tại thời điểm lấy mẫu, tính bằng kPa.
Chú thích 1 - Trong các trường hợp thể tích khoảng trống lớn hoặc thể tích mẫu lấy nhỏ và thể tích khoảng trống có chứa không khí xung quanh thì phải ước lượng thể tích khoảng trống và trừ đi ở (V2-V1) trong công thức trên.
Chú thích 2 - Trong hầu hết các trường hợp, có thể giả thiết Vs' = Vs . Tuy vậy khi nồng độ lưu huỳnh dioxit dự kiến là thấp khi dung dịch hấp thụ nghĩa là có nồng độ sunfat nền cao, hoặc khi một lượng lớn chất ngưng tụ thu được trong các bình hấp thụ, tuy nhiên dung dịch của mỗi bình hấp thụ (A và B) và nước rửa bình phải được phân tích riêng (xem 6.7). Nếu nồng độ và thể tích của các dung dịch này được biểu thị bằng CsA, CsB, Cw, VsA, VsB và Vw một cách riêng rẽ thì trong cách tính trên: Ws = Vw + 0,16 và số hạng (Cs - Vs) được thay bằng [(CsA . VsA) + (CsB . VsB)].
9 Đặc tính kỹ thuật
9.1 Giới hạn phát hiện
Giới hạn phát hiện của phương pháp thử được đánh giá là 6 mg/m3 khi cho một thể tích 0,03 m3 khí thải cần nghiên cứu đi qua hệ thống lấy mẫu. Tuy nhiên điều này phụ thuộc vào giới hạn phát hiện nồng độ sunfat 1,0 mg/l bằng phân tích sắc ký ion:
Chú thích 1 - Giới hạn phát hiện này là giá trị mà tại đó 50 % giá trị đó được vượt quá giới hạn phát hiện (TCVN 6502: 1999 [ISO 6879]).
Chú thích 2 - Giới hạn phát hiện này có thể cải thiện được bằng những thay đổi trong quá trình lấy mẫu (thí dụ tăng thời gian lấy mẫu) và trong hệ thống sắc lý ion được dùng (thí dụ thay đổi khoảng nồng độ làm việc).
9.2 Độ lệch chuẩn trong điều kiện lặp lại
Các chuẩn cứ tính năng trình bày dưới đây đã thu được từ hai dẫy lấy mẫu và dùng phương pháp được mô tả trong tiêu chuẩn này. Dựa vào nồng độ khối lượng của lưu huỳnh dioxit tìm được trong các thể tích mẫu khí thải như nhau được lấy đồng thời tại cùng một điểm đo, độ lệch chuẩn trong các điều kiện thử độ lặp lại được trình bày trong bảng 1.
Bảng 1 - Độ lệch chuẩn trong các điều kiện lặp lại
| Trung bình nồng độ khối lượng lưu huỳnh dioxit mg/m3 | Số n của cặp giá trị | Độ lệch chuẩn của loạt đo dựa vào n cặp giá trị mg/m3 |
| 6 22 123 211 333 | 7 6 6 5 6 | 1,7 1,8 7,4 7,2 15,0 |
Trong một số trường hợp, có thể thay đổi dãy lấy mẫu như qui định trong 5.1 sao cho thích hợp, thí dụ dùng một đầu lấy mẫu dài hơn hoặc thay đổi sự sắp xếp bộ lọc bụi. Trong các trường hợp này, người vận hành phải thẩm định phương pháp đã được thay đổi sao cho tính năng không bị lệch khỏi các số liệu đã được chỉ ra ở trên.
Một phép thử liên phòng thí nghiệm trên 8 mẫu (nồng độ sunfat từ 2,7 mg/l đến 7,0 mg/l) được phân bổ cho 13 phòng thí nghiệm đã cho độ lệch chuẩn trung bình là 16% đối với phương pháp sắc ký ion.
10 Báo cáo kết quả
Báo cáo kết quả bao gồm các thông tin sau:
a) trích dẫn tiêu chuẩn này;
b) thông tin đầy đủ để nhận biết mẫu;
c) mô tả ngắn gọn về thiết bị và qui trình;
d) các điều kiện vận hành thiết bị;
e) địa điểm mặt bằng đo;
f) vị trí của điểm đo trong mặt bằng đo;
g) các thay đổi về vận hành thiết bị trong quá trình lấy mẫu, thí dụ những thay đổi đầu đốt;
h) bất kỳ thao tác nào không được qui định trong tiêu chuẩn này hoặc thao tác được xem như là tuỳ chọn;
i) kết quả thử nghiệm;
j) ngày và thời gian lấy mẫu;
k) nhận định của các thành viên tham gia thử nghiệm.
Phụ lục A
(tham khảo)
THÍ DỤ VỀ CHƯƠNG TRÌNH KIỂM SOÁT CHẤT LƯỢNG
Chú thích - Vì đây là một thí dụ nên phụ lục này là tham khảo. Tuy nhiên một chương trình kiểm tra chất lượng mang tính bắt buộc nên lời lẽ trong thí dụ này mang tính chuẩn mực phải tuân thủ.
A.1 Mỗi phòng thử nghiệm áp dụng phương pháp phân tích này phải có một chương trình kiểm soát chất lượng chính thức. Yêu cầu tối thiểu của chương trình này gồm có sự công nhận ban đầu về năng lực của phòng thử nghiệm (A.2) và việc phân tích những mẫu thêm chuẩn sẽ khẳng định năng lực hiện có của phòng. Phòng thử nghiệm phải lưu giữ hồ sơ để xác định khả năng và chứng minh bằng tài liệu về chất lượng của các dữ liệu do phòng đưa ra.
A.1.1 Do những tiến bộ nhanh chóng của sắc ký ion, nhà phân tích được phép thay đổi để nâng cao khả năng tách và giảm giá thành đo. Mỗi lần thay đổi như vậy người phân tích phải làm lại theo qui trình qui định ở A.2.
A.1.2 Phòng thử nghiệm phải thêm chuẩn và phân tích tối thiểu 10% số mẫu để giám sát liên tục năng lực của mình. Với các mẫu hiện trường cũng như các mẫu thử nghiệm cũng phải phân tích các mẫu lặp lại.
Chú thích 1 - Mẫu thêm chuẩn ở phòng thử nghiệm (LFM) là một phần của mẫu môi trường được bổ xung tại phòng thử nghiệm những lượng sunfat đã biết trước (trong khoảng từ 0,5 đến 2,5 lần giá trị thực) đã được ước lượng. LFM được phân tích chính xác như một mẫu và mục đích của nó để xác định xem thành phần nền của mẫu có làm sai lệch kết quả phân tích hay không. Nồng độ sunfat vốn có trong thành phần mẫu được xác định trong một phần riêng của mẫu và các gía trị đo được với mẫu LFM được dùng để hiệu chỉnh từ nồng độ sunfat có trong mẫu.
Chú thích 2 - Các mẫu lặp lại hai phần của cùng một mẫu đã được xử lý chính xác theo cùng qui trình phân tích của phòng thử nghiệm. Việc phân tích trong phòng thử nghiệm các mẫu lặp lại chỉ cho biết độ chính xác của các qui trình trong phòng thử nghiệm, không cho biết về qui trình lấy mẫu, bảo quản mẫu thu được và lưu giữ mẫu.
Chú thích 3 - Các mẫu lặp lại hiện trường (FD) là hai mẫu được lấy trong cùng một thời gian, địa điểm, điều kiện như nhau, được xử lý giống hệt nhau trong các qui trình tái hiện trường cũng như phòng thử nghiệm. Việc phân tích các mẫu lặp lại hiện trường cho biết độ chính xác liên quan đến các qui trình lấy mẫu, bảo quản, lưu giữ mẫu cũng như các qui trình trong phòng thử nghiệm.
A.2 Trước khi tiến hành bất kỳ phép phân tích nào, người phân tích phải chứng tỏ năng lực đảm bảo được tính đúng và tính chính xác của kết quả phân tích bằng phương pháp này qua sử dụng mẫu đánh giá tính năng của một phòng thử nghiệm (LPE).
Chú thích - Một mẫu LPE là một dung dịch sunfat do Phòng (Cục) nghiên cứu đảm bảo chất lượng (QARD) phân bổ cho một số phòng thử nghiệm để phân tích. Một thể tích dung dịch được bổ sung vào thể tích đã biết của nước tinh khiết và được phân tích theo qui trình phân tích được dùng cho mẫu. Các kết quả phân tích được QARD sử dụng để xác định tính đúng và tính chính xác theo phương pháp thống kê và có thể đạt được bởi các nhà phân tích có năng lực; Các giá trị nồng độ sunfat thực không được cho các cán bộ phân tích biết.
A.2.1 Lựa chọn các nồng độ kiểm tra đại diện (LPC). Dùng các dung dịch gốc chuẩn pha thêm nước tinh khiết để điều chế một dung dịch đậm đặc có nồng độ gấp 100 lần nồng độ kiểm tra đã lựa chọn.
Chú thích - Một mẫu LPC (mẫu kiểm tra năng lực phòng thử nghiệm) được điều chế trong phòng thử nghiệm bằng cách thêm những thể tích thích hợp các dung dịch gốc chuẩn vào nước tinh khiết và được dùng để đánh giá hệ thống trang thiết bị theo một số chuẩn cứ của phương pháp đã qui định.
A.2.2 Dùng pipét thêm 1,00 cm3 mẫu LPC (A.2.1) vào ít nhất bốn bình, mỗi bình chứa 100 cm3 nước tinh khiết. Phân tích phần dung dịch trên sau khi đã trộn đều theo qui trình ở 7.2.
A.2.3 Tính toán tỷ lệ phần trăm thu hồi trung bình (R) và độ lệch chuẩn của sự thu hồi trung bình (s), thí dụ, tính chính xác của người thao tác đối với kết quả. Nếu những giá trị này nằm bên ngoài các giá trị qui định thì cần xem xét lại các khu vực có vấn đề tiềm ẩn và làm lại phép thử.
A.3 Người phân tích phải tính toán các chuẩn cứ về năng lực và xác định năng lực của phòng thử nghiệm đối với mỗi nồng độ sunfat đã cho vào và đo. Giới hạn kiểm soát trên và dưới để thực hiện phương pháp được tính toán như sau:
Giới hạn kiểm soát trên (UCL) = R + 3s
Giới hạn kiểm soát dưới (LCL) = R - 3s
ULC và LCL có thể được sử dụng để xây dựng các đồ thị kiểm soát rất có ích để quan sát xu thế của các kết quả thí nghiệm.
A.4 Phòng thử nghiệm nên xây dựng và duy trì các qui định về mức độ đúng mà kết quả đo của phòng thử nghiệm có thể đạt được cho từng loại mẫu được phân tích bởi phòng thử nghiệm. Mức độ đúng đối với phương pháp được qui định là R±s. Việc xây dựng độ đúng bằng phép phân tích bốn phần mẫu lặp lại của nước và nước thải như đã mô tả trong A.2.2 và tiếp theo là cách tính toán của R và s.
A.5 Trước khi tiến hành bất kỳ mẫu nào, người phân tích phải phân tích một phần mẫu nước để biết được sự nhiễm bẩn do dụng cụ thuỷ tinh hoặc thuốc thử. Kết quả sẽ được ghi lại trong báo cáo thử nghiệm. Mỗi lần có sự thay đổi thuốc thử, một mẫu trắng thuốc thử trong phòng thử nghiệm phải được tiến hành như một biện pháp an toàn để chống lại sai số do sự nhiễm bẩn trong phòng thử nghiệm.
A.6 Phòng thử nghiệm nên chấp nhận thực hiện các qui tắc thực hành đảm bảo chất lượng bổ sung cho việc sử dụng phương pháp này. Các thực hành cụ thể tốt nhất phụ thuộc vào yêu cầu của phòng thử nghiệm và bản chất của của mẫu. Các mẫu lặp lại hiện trường (A.1.2) phải được phân tích để giám sát tính chính xác của kỹ thuật lấy mẫu. Khi có nghi ngờ về việc xác định định tính một pic trong sắc đồ phải dùng các kỹ thuật khẳng định như pha loãng mẫu và phương pháp thêm chuẩn. Khi có thể phòng thử nghiệm phải tiến hành các mẫu kiểm tra chất lượng và tham gia vào các nghiên cứu thích hợp trên các mẫu đánh giá năng lực.
Chú thích - Một mẫu kiểm tra chất lượng (QCS) là một dung dịch sunfat có nồng độ biết trước được điều chế bởi một phòng thử nghiệm khác với phòng thử nghiệm thực hiện công việc phân tích. Phòng thử nghiệm phân tích sử dụng dung dịch này để minh chứng rằng có thể thu được kết quả định tính và các phép đo bằng phương pháp này.
A.7 Để kiểm chứng rằng các chuẩn được chuẩn bị một cách chính xác, thực hiện một phép chuẩn kiểm tra đối chiếu dùng một chuẩn có nồng độ biết trước được điều chế bởi một nguồn độc lập.
A.8 Với mỗi lô chuẩn đã tiến hành phân tích một mẫu trắng đơn lẻ của phòng thử nghiệm (LFB) (A.1.2) có chứa sunfat ở nồng độ bằng hoặc gần bằng 0,02 mg/l. Nếu phân tích nhiều hơn 20 mẫu một. Nếu đánh giá tính đúng như trong A.2.3. nếu không thể thu được số liệu có thể chấp nhận được, xác định đúng vấn đề tồn tại để xử lý.
A.9 Phân tích ít nhất mỗi quí một lần các mẫu lặp lại LFBs để xác định tính chính xác của phép đo của phòng thử nghiệm. Bổ sung các kết quả này vào đồ thị kiểm tra đang thực hiện để tư liệu hoá chất lượng các dữ liệu.
Bạn chưa Đăng nhập thành viên.
Đây là tiện ích dành cho tài khoản thành viên. Vui lòng Đăng nhập để xem chi tiết. Nếu chưa có tài khoản, vui lòng Đăng ký tại đây!