- Tổng quan
- Nội dung
- Tiêu chuẩn liên quan
- Lược đồ
- Tải về
Tiêu chuẩn Quốc gia TCVN 4554:2009 Thống kê ứng dụng - Ước lượng và khoảng tin cậy đối với các tham số của phân bố Weibull
| Số hiệu: | TCVN 4554:2009 | Loại văn bản: | Tiêu chuẩn Việt Nam |
| Cơ quan ban hành: | Bộ Khoa học và Công nghệ | Lĩnh vực: | Khoa học-Công nghệ |
|
Ngày ban hành:
Ngày ban hành là ngày, tháng, năm văn bản được thông qua hoặc ký ban hành.
|
2009 |
Hiệu lực:
|
Đã biết
|
| Người ký: | Đang cập nhật |
Tình trạng hiệu lực:
Cho biết trạng thái hiệu lực của văn bản đang tra cứu: Chưa áp dụng, Còn hiệu lực, Hết hiệu lực, Hết hiệu lực 1 phần; Đã sửa đổi, Đính chính hay Không còn phù hợp,...
|
Đã biết
|
TÓM TẮT TIÊU CHUẨN VIỆT NAM TCVN 4554:2009
Nội dung tóm tắt đang được cập nhật, Quý khách vui lòng quay lại sau!
Tải tiêu chuẩn Việt Nam TCVN 4554:2009
TIÊU CHUẨN QUỐC GIA
TCVN 4554 : 2009
THỐNG KÊ ỨNG DỤNG – ƯỚC LƯỢNG VÀ KHOẢNG TIN CẬY ĐỐI VỚI CÁC THAM SỐ CỦA PHÂN BỐ WEIBULL
Applied statistics – Estimation and confidence intervals for parameters of Weibull distribution
Lời nói đầu
TCVN 4554 : 2009 thay thế cho TCVN 4554-1988;
TCVN 4554 : 2009 do Ban kỹ thuật tiêu chuẩn quốc gia TCVN/TC 69 Ứng dụng các phương pháp thống kê biên soạn, Tổng cục Tiêu chuẩn đo lường Chất lượng đề nghị, Bộ Khoa học và Công nghệ công bố.
THỐNG KÊ ỨNG DỤNG – ƯỚC LƯỢNG VÀ KHOẢNG TIN CẬY ĐỐI VỚI CÁC THAM SỐ CỦA PHÂN BỐ WEIBULL
Applied statistics – Estimation and confidence intervals for parameters of Weibull distribution
1. Phạm vi áp dụng
Tiêu chuẩn này quy định các quy tắc xác định các ước lượng và khoảng tin cậy cho các tham số của phân bố Weibull dựa vào mẫu ngẫu nhiên đơn giản rút ra từ tổng thể có phân bố Weibull.
2. Thuật ngữ và định nghĩa
Tiêu chuẩn này sử dụng các thuật ngữ và định nghĩa trong TCVN 8244-2 (ISO 3534-2), Thống kê học – Từ vựng và ký hiệu – Thống kê ứng dụng.
3. Các đặc trưng cơ bản
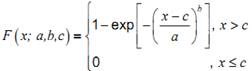
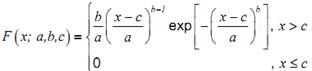
3.1. Đại lượng ngẫu nhiên X được gọi là có phân bố Weibull (ba tham số) nếu hàm phân bố của nó có dạng:
(1)
trong đó: a > 0 là tham số tỉ lệ;
b > 0 là tham số dạng;
c là tham số định vị.
Nếu c = 0 thì phân bố Weibull được gọi là phân bố Weibull hai tham số.
Khi b = 1, phân bố Weibull trở thành phân bố mũ.
Khi b = 2, phân bố Weibull trở thành phân bố Rayleigh.
3.2. Hàm mật độ của đại lượng ngẫu nhiên X có phân bố Weibull có dạng:
(2)
3.3. Kỳ vọng, phương sai, hệ số biến động, độ bất đối xứng của đại lượng ngẫu nhiên X có phân bố Weibull:
Kỳ vọng:
E(X) = aKb + c (3)
Phương sai:
D(X) = a2 +
(4)
Hệ số biến động:
(5)
Độ bất đối xứng
(6)
trong đó:
Kb = r
(7)
gb =
(8)
và ký hiệu r chỉ hàm số sau:
r(y) =
(9)
Các giá trị Kb, gb, rb, vb cho trong Bảng 2.
4. Các vấn đề chung
Có mẫu ngẫu nhiên đơn giản x1, ..., xn và x có phân bố Weibull với ba tham số a, b, c.
4.1. Các ước lượng điểm
a) Ước lượng a khi b và c đã biết;
b) Ước lượng a và b khi c đã biết;
c) Ước lượng a và c khi b đã biết;
d) Ước lượng cả ba tham số;
e) Ước lượng kỳ vọng, phương sai, hệ số biến phân.
4.2. Khoảng tin cậy
a) Khoảng tin cậy của tham số a khi b và c đã biết;
b) Khoảng tin cậy của tham số a khi b chưa biết và c đã biết;
c) Khoảng tin cậy của tham số b khi a chưa biết và c đã biết;
4.3. Tiêu chuẩn sử dụng hai phương pháp ước lượng: phương pháp mô men và phương pháp hợp lý cực đại. Phương pháp mô men đơn giản hơn, phương pháp hợp lý cực đại chính xác hơn nhưng tính toán phức tạp hơn, nó được dùng tốt nhất trong trường hợp sử dụng máy tính.
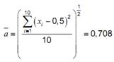
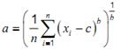
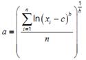
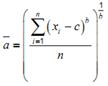
5. Ước lượng của tham số a khi b và c đã biết
Nếu b và c đã biết, ước lượng
của a có dạng:
(10)
6. Ước lượng của các tham số a, b khi c đã biết
6.1. Ước lượng đơn giản có thể nhận được bằng cách sau:
1) Tính
y =
(11)
(12)
2) Tính ước lượng
của tham số b dưới dạng
(13)
3) Tính ước lượng
của tham số a dưới dạng
=exp
(14)
trong đó hằng số Ơle g = 0,577 226 và
= 1, 282 55
Khi n bé, ước lượng
có độ chệch đáng kể. để có ước lượng không chệch
của tham số b cần hiệu chỉnh như sau:
= M (n) x
(15)
M(n) được gọi là hệ số không chệch và cho trong Bảng 1.
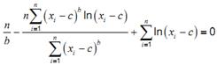
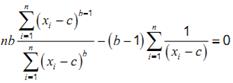
6.2. Các ước lượng
,
của các tham số a, b (khi c đã biết) theo phương pháp hợp lý cực đại nhận được bằng cách giải hệ phương trình (các ẩn số là a và b).
(16)
(17)
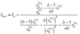
Phương trình (16) có thể giải bằng phương pháp xấp xỉ liên tiếp Newton Raphson theo công thức:
(18)
trong đó:
(19)
(20)
(21)
(22)
Và
là xấp xỉ thứ k của nghiệm
. Có thể dùng ước lượng
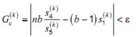
(theo 4.1) làm xấp xỉ thứ nhất. Quá trình xấp xỉ liên tiếp sẽ kết thúc khi điều kiện sau được thỏa mãn:
(23)
Ở đây e là số dương nhỏ cho trước, chẳng hạn e = 10-5.
Ước lượng
của a nhận được bằng cách thay b bằng
vào phương trình (17).
Với n < 120 ước lượng không chệch của tham số b có thể nhận được bởi
= B (n)
(24)
Hệ số hiệu chỉnh B(n) cho trong Bảng 1.
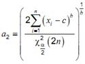
7. Ước lượng của các tham số a và c khi b đã biết
7.1. Nếu b đã biết thì việc xác định các ước lượng
và
của tham số a và c theo phương pháp mô men được tiến hành theo thứ tự sau (tuy nhiên khi b ≤ 1 nên ứng dụng trực tiếp phương pháp ở 7.3).
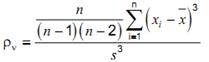
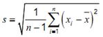
1) Tính các đặc trưng mẫu
(25)
(26)
2) Ứng với giá trị b cho trước, theo Bảng 2 tìm các giá trị gb và Kb.
3) Ước lượng
của a được tính theo công thức
=
(27)
4) Từ các giá trị mẫu x1, x2, ..., xn tìm xmin (giá trị nhỏ nhất) và tính
(28)
Ước lượng
của c là nhỏ nhất trong hai số c* và xmin.
7.2. Nếu b > 1, ước lượng hợp lý cực đại
và
của các tham số a và c được xác định bằng cách giải hệ phương trình (các ẩn số là a và c)
(29)
(30)
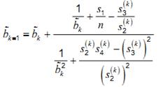
Phương trình (29) có thể giải bằng phương pháp xấp xỉ liên tiếp theo Newton Raphson theo công thức
(31)
trong đó
(32)
(33)
(34)
(35)
(36)
ở đây
là xấp xỉ thứ k của giá trị
.
Để làm xấp xỉ thứ nhất có thể lấy giá trị
theo 7.1. Nếu
= xmin thì lấy giá trị nhỏ hơn một chút, chẳng hạn
= xmin - 0, 001 (xmax – xmin), với xmax là giá trị lớn nhất trong mẫu. Tương tự, để có
, nếu
≥ xmin thì lấy giá trị trong khoảng
và xmin (ví dụ
= 0,5 (
+ xmin)).
Quá trình xấp xỉ liên tiếp sẽ kết thúc khi thỏa mãn điều kiện:
(37)
Với e là số dương nhỏ cho trước, ví dụ e = 10-5.
Ước lượng
của a nhận được bằng cách thay c bằng
vào phương trình (30).
7.3. Nếu b ≤ 1, ước lượng
của c được nhận như sau
= xmin
Ước lượng
của a nhận được bằng cách thay c bằng
vào công thức (10) ở điều 5.
8. Ước lượng của các tham số a, b, c
Trong trường hợp này, các ước lượng bằng phương pháp mô men thu được theo cách sau:
1) Tính các đặc trưng mẫu
và s theo các công thức (25), (26) và
(39)
2) Thay rb bằng rv và căn cứ vào giá trị này (có thể dùng nội suy tuyến tính) để tìm trong Bảng 2 các giá trị b, gb, Kb tương ứng.
3) Lấy giá trị b tìm được làm ước lượng
.
4) Các ước lượng
và
của a và c được tìm theo phương pháp ở 7.1 với điều kiện b =
.
9. Ước lượng của kỳ vọng, phương sai, hệ số biến động
Ước lượng của kỳ vọng, phương sai, hệ số biến động của đại lượng ngẫu nhiên x có phân bố Weibull (ba tham số) được xác định như sau:
1) Ước lượng các tham số chưa biết theo các phương pháp đã nêu từ điều 5 đến điều 8;
2) Ứng dụng công thức (3) để ước lượng kỳ vọng, nếu tham số nào trong đó chưa biết thì thay bằng ước lượng của nó, còn hệ số Kb tìm trong Bảng 2;
3) Ứng dụng công thức (3) để ước lượng phương sai, nếu tham số nào trong đó chưa biết thì thay bằng ước lượng của nó, còn hệ số gb tìm trong Bảng 2;
4) Dùng công thức (5) để ước lượng hệ số biến động, nếu tham số nào trong đó chưa biết thì thay bằng ước lượng của nó, còn hệ số Kb và gb tìm trong Bảng 2.
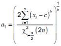
10. Khoảng tin cậy của tham số a khi các tham số b và c đã biết
Khoảng tin cậy hai phía (a1; a2) của tham số a khi giá trị của các tham số b và c đã biết với mức tin cậy 1 – a xác định bởi
(40)
(41)
trong đó
là giá trị q – phân vị của phân bố c2 với v bậc tự do, giá trị này cho trong Bảng 6.
Khoảng tin cậy một phía với mức tin cậy 1 – a xác định bởi a1 nếu khoảng là (a1; +¥) hoặc a2 nếu khoảng là (–¥; a2), nhưng trong công thức (40) và (41), thay a/2 bằng a
11. Khoảng tin cậy của các tham số a và b khi tham số c đã biết
11.1. Khoảng tin cậy hai phía (a1; a2) với mức tin cậy 1 – a của tham số a khi b chưa biết và c đã biết được xác định bởi công thức
a1 =
exp
(42)
a2 =
exp
(43)
trong đó
và
là các ước lượng của a và b theo phương pháp hợp lý cực đại nêu trong 6.2.
Phân vị zq tìm trong Bảng 3 khi 5 ≤ n ≤ 120. Nếu n > 120 có thể dùng công thức gần đúng
Zq = uq
(44)
trong đó uq là q – phân vị của phân bố chuẩn tra trong Bảng 5.
11.2. Khoảng tin cậy hai phía (b1; b2) với mức tin cậy 1 – a của tham số b khi a chưa biết và c đã biết được xác định bởi công thức
b1 =
(45)
b2 =
(46)
trong đó
là ước lượng hợp lý cực đại của tham số b theo 7.2. Phân vị ℓp tìm trong Bảng 4 nếu 5 ≤ n ≤ 120. Nếu n > 120 thì áp dụng công thức gần đúng
(47)
trong đó uq là q – phân vị của phân bố chuẩn chuẩn hóa tra trong Bảng 5.
11.3. Để xác định khoảng tin cậy một phía với mức tin cậy 1 – a của tham số b cần xác định b1 nếu khoảng tin cậy là (b1; +¥) hoặc b2 nếu khoảng tin cậy là (–¥; b2) và trong các giá trị của phân vị phải thay a/2 bằng a.
12. Các bảng số
Bảng 1 – Các hệ số không chệch M(n), B(n)
| n | M(n) | B(n) |
| n | M(n) | B(n) |
| 5 6 7 8 9 10 11 12 13 14 15 16 18 20 22 24 26 28 30 32 34 36 38 40 | 0,738 0,778 0,806 0,831 0,848 0,863 0,875 0,884 0,893 0,900 0,906 0,912 0,921 0,928 0,934 0,939 0,943 0,947 0,950 0,953 0,955 0,957 0,959 0,961 | 0,669 0,752 0,792 0,820 0,842 0,859 0,872 0,883 0,893 0,901 0,908 0,914 0,923 0,931 0,938 0,943 0,947 0,951 0,955 0,958 0,960 0,962 0,964 0,966 |
| 42 44 46 48 50 52 54 56 58 60 62 64 66 68 70 72 74 76 78 80 85 90 100 120 | 0,963 0,965 0,966 0,967 0,969 0,970 0,971 0,972 0,973 0,974 0,975 0,976 0,976 0,977 0,978 0,978 0,979 0,979 0,980 0,980 0,982 0,983 0,984 0,986 | 0,968 0,970 0,971 0,972 0,973 0,974 0,975 0,976 0,977 0,978 0,979 0,980 0,980 0,981 0,981 0,982 0,982 0,983 0,983 0,984 0,985 0,986 0,987 0,990 |
Bảng 2 – Các đặc trưng cơ bản của phân bố Weibull
| b | Kb | gb | vb | rb |
| 0,200 0,210 0,220 0,230 0,240 0,250 0,260 0,270 0,280 0,290 0,300 0,310 0,320 0,330 0,340 0,350 0,360 0,370 0,380 0,390 0,400 0,410 0,420 0,430 0,440 0,450 0,460 0,470 0,480 0,490 0,500 0,510 0,520 0,530 0,540 0,550 0,560 0,570 0,580 0,590 0,600 0,610 0,620 0,630 0,640 | 120,0 80,36 56,33 41,06 30,94 24,00 19,09 15,51 12,85 10,83 9,261 8,024 7,035 6,234 5,575 5,029 4,571 4,184 3,853 3,569 3,323 3,109 2,921 2,756 2,609 2,479 2,362 2,257 2,163 2,077 2,000 1,930 1,865 1,806 1,752 1,702 1,657 1,614 1,575 1,538 1,505 1,473 1,444 1,416 1,390 | 1901 1091 665,1 426,7 286,1 199,4 143,6 106,5 81,03 63,06 50,08 40,48 33,25 27,71 23,39 19,98 17,24 15,02 13,20 11,70 10,44 9,377 8,475 7,703 7,037 6,460 5,956 5,515 5,125 4,780 4,472 4,197 3,951 3,728 3,528 3,345 3,179 3,028 2,889 2,762 2,645 2,537 2,437 2,345 2,259 | 15,84 13,58 11,81 10,39 9,248 8,307 7,524 6,865 6,304 5,824 5,408 5,045 4,727 4,445 4,195 3,972 3,771 3,590 3,426 3,277 3,141 3,016 2,901 2,795 2,697 2,606 2,522 2,443 2,370 2,301 2,236 2,175 2,118 2,064 2,013 1,965 1,919 1,876 1,835 1,795 1,758 1,722 1,688 1,656 1,625 | 190,1 144,2 112,3 89,46 72,69 60,09 50,45 42,94 36,99 32,22 28,33 25,14 22,48 20,25 18,36 16,74 15,35 14,15 13,09 12,17 11,35 10,63 9,983 9,404 8,883 8,413 7,986 7,597 7,243 6,917 6,619 6,343 6,089 5,853 5,634 5,431 5,241 5,063 4,896 4,740 4,593 4,455 4,325 4,201 4,085 |
Bảng 2 (tiếp theo)
| b | Kb | gb | vb | rb |
| 0,650 0,660 0,670 0,680 0,690 0,700 0,710 0,720 0,730 0,740 0,750 0,760 0,770 0,780 0,790 0,800 0,810 0,820 0,830 0,840 0,850 0,860 0,870 0,880 0,890 0,900 0,910 0,920 0,930 0,940 0,950 0,960 0,970 0,980 0,990 1,000 1,02 1,04 1,06 1,08 1,10 1,12 1,14 1,16 1,18 1,20 1,22 | 1,366 1,344 1,322 1,302 1,284 1,266 1,249 1,233 1,218 1,204 1,191 1,178 1,166 1,154 1,143 1,133 1,123 1,114 1,105 1,096 1,088 1,080 1,073 1,066 1,059 1,052 1,046 1,040 1,034 1,029 1,023 1,018 1,013 1,009 1,004 1,000 0,991 9 0,984 3 0,977 4 0,970 9 0,964 9 0,959 3 0,954 2 0,949 3 0,944 8 0,940 7 0,936 8 | 2,179 2,104 2,035 1,970 1,908 1,851 1,797 1,747 1,699 1,653 1,611 1,570 1,532 1,496 1,461 1,428 1,397 1,367 1,339 1,311 1,285 1,261 1,237 1,214 1,192 1,171 1,151 1,132 1,113 1,095 1,078 1,061 1,045 1,029 1,014 1,000 0,972 5 0,946 7 0,922 5 0,899 7 0,878 3 0,858 0 0,838 9 0,820 8 0,803 6 0,787 2 0,771 7 | 1,595 1,566 1,539 1,512 1,487 1,462 1,439 1,416 1,394 1,373 1,353 1,333 1,314 1,296 1,278 1,261 1,244 1,227 1,212 1,196 1,182 1,167 1,153 1,139 1,126 1,113 1,100 1,088 1,076 1,064 1,053 1,042 1,431 1,020 1,010 1,000 0,980 4 0,961 7 0,943 8 0,926 7 0,910 2 0,894 4 0,879 2 0,864 6 0,850 5 0,836 9 0,823 8 | 3,974 3,869 3,770 3,675 3,585 3,498 3,416 3,338 3,262 3,190 3,121 3,005 2,991 2,930 2,871 2,815 2,760 2,707 2,657 2,608 2,560 2,514 2,470 2,427 2,385 2,345 2,306 2,268 2,231 2,195 2,160 2,127 2,094 2,062 2,030 2,000 1,942 1,886 1,833 1,782 1,734 1,688 1,643 1,601 1,560 1,521 1,483 |
Bảng 2 (tiếp theo)
| b | Kb | gb | vb | rb |
| 1,24 1,26 1,28 1,30 1,32 1,34 1,36 1,38 1,40 1,42 1,44 1,46 1,48 1,50 1,52 1,54 1,56 1,58 1,60 1,62 1,64 1,66 1,68 1,70 1,72 1,74 1,76 1,78 1,80 1,82 1,84 1,86 1,88 1,90 1,92 1,94 1,96 1,98 2,00 2,02 2,04 2,06 2,08 2,10 2,12 2,14 | 0,933 1 0,929 7 0,926 5 0,923 6 0,920 8 0,918 2 0,915 8 0,913 5 0,911 4 0,909 4 0,907 6 0,905 9 0,904 3 0,902 7 0,901 3 0,900 0 0,898 8 0,897 6 0,896 6 0,895 6 0,894 7 0,893 8 0,893 0 0,892 2 0,891 6 0,890 9 0,890 3 0,889 8 0,889 3 0,888 8 0,888 4 0,888 0 0,887 7 0,887 4 0,887 1 0,886 8 0,886 6 0,886 4 0,886 2 0,886 1 0,885 9 0,885 8 0,885 8 0,885 7 0,885 6 0,885 6 | 0,756 9 0,742 8 0,729 3 0,716 4 0,704 1 0,692 3 0,681 0 0,670 1 0,659 6 0,649 6 0,639 9 0,630 6 0,621 6 0,612 9 0,604 6 0,596 5 0,588 6 0,581 1 0,573 7 0,566 6 0,559 7 0,553 0 0,546 5 0,540 2 0,534 1 0,528 2 0,522 4 0,516 7 0,511 2 0,505 9 0,500 7 0,495 6 0,490 6 0,485 8 0,481 1 0,476 5 0,472 0 0,467 6 0,463 3 0,459 0 0,454 9 0,450 9 0,447 0 0,443 1 0,439 3 0,435 6 | 0,811 2 0,798 9 0,787 1 0,775 7 0,764 7 0,754 0 0,743 6 0,733 5 0,723 8 0,714 3 0,705 1 0,696 1 0,687 4 0,679 0 0,670 7 0,662 7 0,654 9 0,647 3 0,639 9 0,632 7 0,625 6 0,618 8 0,612 0 0,605 6 0,599 1 0,592 8 0,586 7 0,580 7 0,574 9 0,569 2 0,563 6 0,558 1 0,552 7 0,547 5 0,542 3 0,537 3 0,532 3 0,527 5 0,522 7 0,518 1 0,513 5 0,509 0 0,504 6 0,500 3 0,496 0 0,491 9 | 1,447 1,412 1,378 1,346 1,314 1,284 1,255 1,226 1,198 1,172 1,146 1,120 1,096 1,072 1,049 1,026 1,004 0,982 8 0,962 0 0,941 6 0,921 8 0,902 4 0,883 5 0,865 0 0,847 0 0,829 3 0,812 1 0,795 2 0,778 7 0,762 6 0,746 8 0,731 3 0,716 1 0,701 2 0,686 7 0,672 4 0,658 4 0,644 6 0,631 1 0,617 9 0,604 9 0,592 1 0,579 5 0,567 2 0,555 1 0,543 2 |
Bảng 2 (tiếp theo)
| b | Kb | gb | vb | rb |
| 2,16 2,18 2,20 2,22 2,24 2,26 2,28 2,30 2,32 2,34 2,36 2,38 2,40 2,42 2,44 2,46 2,48 2,50 2,52 2,54 2,56 2,58 2,60 2,62 2,64 2,66 2,68 2,70 2,72 2,74 2,76 2,78 2,80 2,82 2,84 2,86 2,88 2,90 2,92 2,94 2,96 2,98 3,00 3,02 3,04 3,06 | 0,885 6 0,885 6 0,885 6 0,885 7 0,885 7 0,885 8 0,885 8 0,885 9 0,886 0 0,886 1 0,886 2 0,886 3 0,886 5 0,886 6 0,886 8 0,886 9 0,887 1 0,887 3 0,887 4 0,887 6 0,887 8 0,888 0 0,888 2 0,888 4 0,888 6 0,888 8 0,889 1 0,889 3 0,889 5 0,889 7 0,890 0 0,890 2 0,890 5 0,890 7 0,890 9 0,891 2 0,891 4 0,891 7 0,891 9 0,892 2 0,892 5 0,892 7 0,893 0 0,893 2 0,893 5 0,893 8 | 0,432 0 0,428 4 0,424 9 0,421 5 0,418 2 0,414 9 0,411 7 0,408 5 0,405 4 0,402 3 0,399 3 0,396 4 0,393 5 0,390 6 0,387 8 0,385 0 0,382 3 0,379 7 0,377 0 0,374 5 0,371 9 0,369 4 0,367 0 0,364 5 0,362 1 0,359 8 0,357 5 0,355 2 0,352 9 0,350 7 0,348 5 0,346 4 0,344 3 0,342 2 0,340 1 0,338 1 0,336 1 0,334 1 0,332 1 0,330 2 0,328 3 0,326 4 0,324 6 0,322 7 0,320 9 0,319 1 | 0,487 8 0,483 8 0,479 8 0,476 0 0,472 1 0,468 4 0,464 7 0,461 1 0,457 5 0,454 0 0,450 6 0,447 2 0,443 8 0,440 6 0,447 3 0,434 1 0,4310 0,437 9 0,424 9 0,421 9 0,428 9 0,416 0 0,413 1 0,410 3 0,417 5 0,404 8 0,402 1 0,409 4 0,396 8 0,394 2 0,391 6 0,399 1 0,386 6 0,384 2 0,381 7 0,379 3 0,377 0 0,374 7 0,372 4 0,370 1 0,367 8 0,365 6 0,363 4 0,361 3 0,359 2 0,357 1 | 0,531 5 0,520 0 0,508 7 0,497 6 0,486 6 0,475 8 0,465 2 0,4548 0,444 5 0,434 4 0,424 4 0,414 6 0,404 9 0,395 4 0,386 0 0,376 8 0,367 6 0,358 6 0,349 8 0,341 0 0,332 4 0,323 9 0,315 5 0,307 2 0,299 0 0,290 9 0,283 0 0,275 1 0,267 3 0,259 7 0,252 1 0,244 6 0,237 3 0,230 0 0,222 8 0,215 6 0,208 6 0,201 7 0,194 8 0,188 0 0,181 3 0,174 7 0,138 1 0,161 6 0,155 2 0,148 9 |
Bảng 2 (tiếp theo)
| b | Kb | gb | vb | rb |
| 3,08 3,10 3,12 3,14 3,16 3,18 3,20 3,22 3,24 3,26 3,28 3,30 3,32 3,34 3,36 3,38 3,40 3,42 3,44 3,46 3,48 3,50 3,52 3,54 3,56 3,58 3,60 3,62 3,64 3,66 3,68 3,70 3,72 3,74 3,76 3,78 3,80 3,82 3,84 3,86 3,88 3,90 3,92 3,94 3,96 3,98 | 0,894 0 0,894 3 0,894 6 0,894 8 0,895 1 0,895 4 0,895 7 0,895 9 0,896 2 0,896 5 0,896 7 0,897 0 0,897 3 0,897 6 0,897 8 0,898 1 0,898 4 0,898 7 0,898 9 0,899 2 0,899 5 0,899 7 0,900 0 0,900 3 0,900 6 0,900 8 0,901 1 0,901 4 0,901 6 0,901 9 0,902 2 0,902 5 0,902 7 0,903 0 0,903 3 0,903 5 0,903 8 0,904 1 0,904 3 0,904 6 0,904 8 0,905 1 0,905 4 0,905 6 0,905 9 0,906 1 | 0,317 4 0,315 6 0,313 9 0,312 2 0,310 5 0,308 9 0,307 2 0,305 6 0,304 0 0,302 4 0,300 8 0,299 3 0,297 8 0,296 2 0,294 8 0,293 3 0,291 8 0,290 4 0,288 9 0,287 5 0,286 1 0,284 7 0,283 4 0,282 0 0,280 7 0,279 3 0,278 0 0,276 7 0,275 4 0,274 2 0,272 9 0,271 6 0,270 4 0,269 2 0,268 0 0,266 8 0,265 6 0,264 4 0,263 2 0,262 1 0,260 9 0,259 8 0,258 7 0,257 6 0,256 5 0,255 4 | 0,355 0 0,352 9 0,350 9 0,348 9 0,346 9 0,344 9 0,343 0 0,341 1 0,339 2 0,337 3 0,335 5 0,333 7 0,331 8 0,330 1 0,328 3 0,326 5 0,324 8 0,323 1 0,321 4 0,319 7 0,318 1 0,316 5 0,314 8 0,313 2 0,311 7 0,310 1 0,308 5 0,307 0 0,305 5 0,304 0 0,302 5 0,301 0 0,299 5 0,298 1 0,296 7 0,295 3 0,293 9 0,292 5 0,291 1 0,289 7 0,288 4 0,287 0 0,285 7 0,284 4 0,283 1 0,281 8 | 0,142 6 0,136 4 0,130 3 0,124 2 0,118 2 0,112 3 0,106 4 0,100 6 0,094 81 0,089 12 0,083 49 0,077 89 0,072 37 0,066 92 0,061 52 0,056 15 0,050 85 0,045 61 0,040 40 0,035 26 0,030 17 0,025 09 0,020 10 0,015 14 0,010 24 0,005 371 0,000 543 6 – 0,004 208 – 0,008 934 – 0,013 62 – 0,018 27 – 0,022 85 – 0,027 43 – 0,031 95 – 0,036 40 – 0,040 87 – 0,045 25 – 0,049 63 – 0,053 94 – 0,058 25 – 0,062 51 – 0,066 70 – 0,070 87 – 0,075 01 – 0,079 15 – 0,083 22 |
Bảng 2 (tiếp theo)
| b | Kb | gb | vb | rb |
| 4,00 4,02 4,04 4,06 4,08 4,10 4,12 4,14 4,16 4,18 4,20 4,22 4,24 4,26 4,28 4,30 4,32 4,34 4,36 4,38 4,40 4,42 4,44 4,46 4,48 4,50 4,52 4,54 4,56 4,58 4,60 4,62 4,64 4,66 4,68 4,70 4,72 4,74 4,76 4,78 4,80 4,82 4,84 4,86 4,88 4,90 4,92 | 0,906 4 0,906 7 0,906 9 0,907 2 0,907 4 0,907 7 0,907 9 0,908 2 0,908 4 0,908 7 0,908 9 0,909 2 0,909 4 0,909 7 0,909 9 0,910 2 0,910 4 0,910 7 0,910 9 0,911 1 0,911 4 0,911 6 0,911 9 0,912 1 0,912 3 0,912 6 0,912 8 0,913 0 0,913 3 0,913 5 0,913 7 0,914 0 0,914 2 0,914 4 0,914 7 0,914 9 0,915 1 0,915 3 0,915 6 0,915 8 0,916 0 0,916 2 0,916 4 0,916 7 0,916 9 0,917 1 0,917 3 | 0,254 3 0,253 2 0,252 2 0,251 1 0,250 1 0,249 0 0,248 0 0,247 0 0,246 0 0,245 0 0,244 0 0,243 0 0,242 0 0,241 1 0,240 1 0,239 2 0,238 2 0,237 3 0,236 4 0,235 4 0,234 5 0,233 6 0,232 7 0,231 8 0,231 0 0,230 1 0,229 2 0,228 4 0,227 5 0,226 7 0,225 8 0,225 0 0,224 2 0,223 3 0,222 5 0,221 7 0,220 9 0,220 1 0,219 3 0,218 6 0,217 8 0,217 0 0,216 2 0,215 5 0,214 7 0,214 0 0,213 2 | 0,280 5 0,279 3 0,278 0 0,276 8 0,275 6 0,274 3 0,273 1 0,271 9 0,270 8 0,269 6 0,268 4 0,267 3 0,266 1 0,265 0 0,263 9 0,262 8 0,261 7 0,260 6 0,259 5 0,258 4 0,257 3 0,256 3 0,255 2 0,254 2 0,253 2 0,252 1 0,251 1 0,250 1 0,249 1 0,248 1 0,247 1 0,246 2 0,245 2 0,244 2 0,243 3 0,242 4 0,241 4 0,240 5 0,239 6 0,238 7 0,237 7 0,236 8 0,236 0 0,235 1 0,234 2 0,233 3 0,232 5 | – 0,087 22 – 0,091 24 – 0,096 24 – 0,099 14 – 0,103 1 – 0,107 0 – 0,110 8 – 0,114 6 – 0,118 4 – 0,122 1 – 0,125 9 – 0,129 6 – 0,133 2 – 0,136 9 – 0,140 4 – 0,144 1 – 0,147 6 – 0,151 1 – 0,154 6 – 0,158 1 – 0,161 6 – 0,164 9 – 0,168 3 – 0,171 7 – 0,175 1 – 0,178 4 – 0,181 7 – 0,185 0 – 0,188 2 – 0,191 5 – 0,194 6 – 0,197 8 – 0,201 0 – 0,204 1 – 0,207 2 – 0,210 3 – 0,213 4 – 0,216 4 – 0,219 4 – 0,222 4 – 0,225 4 – 0,228 4 – 0,231 3 – 0,234 2 – 0,237 1 – 0,240 0 – 0,242 9 |
Bảng 2 (tiếp theo)
| b | Kb | gb | vb | rb |
| 4,94 4,96 4,98 5,00 5,05 5,10 5,15 5,20 5,25 5,30 5,35 5,40 5,45 5,50 5,55 5,60 5,65 5,70 5,75 5,80 5,85 5,90 5,95 6,00 6,05 6,10 6,15 6,20 6,25 6,30 6,35 6,40 6,45 6,50 6,55 6,60 6,65 6,70 6,75 6,80 6,85 6,90 6,95 7,00 7,05 7,10 7,15 | 0,917 5 0,917 7 0,918 0 0,918 2 0,918 7 0,919 2 0,919 7 0,920 2 0,920 8 0,921 3 0,921 7 0,922 2 0,922 7 0,923 2 0,923 7 0,924 1 0,924 6 0,925 1 0,925 5 0,926 0 0,926 4 0,926 9 0,927 3 0,927 7 0,928 1 0,928 6 0,929 0 0,939 4 0,939 8 0,930 2 0,930 6 0,931 0 0,931 4 0,931 8 0,932 2 0,932 5 0,932 9 0,933 3 0,933 7 0,934 0 0,934 4 0,934 7 0,935 1 0,935 4 0,935 8 0,936 1 0,936 5 | 0,212 5 0,211 8 0,211 0 0,210 3 0,208 5 0,206 8 0,205 1 0,203 4 0,201 7 0,200 1 0,198 5 0,196 9 0,195 3 0,193 8 0,192 3 0,190 8 0,189 4 0,187 9 0,186 5 0,185 1 0,183 7 0,182 4 0,181 1 0,179 8 0,178 5 0,177 2 0,176 0 0,174 7 0,173 5 0,172 3 0,171 1 0,170 0 0,168 8 0,167 7 0,166 6 0,165 5 0,164 4 0,163 3 0,162 3 0,161 2 0,160 2 0,159 2 0,158 2 0,157 2 0,156 2 0,155 2 0,154 3 | 0,231 6 0,230 7 0,229 9 0,229 1 0,227 0 0,224 9 0,222 9 0,221 0 0,219 1 0,217 2 0,215 3 0,213 5 0,211 7 0,209 9 0,208 2 0,206 5 0,204 8 0,203 1 0,201 5 0,199 9 0,198 3 0,196 8 0,195 3 0,193 8 0,192 3 0,190 8 0,189 4 0,188 0 0,186 6 0,185 2 0,183 9 0,182 6 0,181 3 0,180 0 0,178 7 0,177 4 0,176 2 0,175 0 0,173 8 0,172 6 0,171 4 0,170 3 0,169 1 0,168 0 0,166 9 0,165 8 0,164 7 | – 0,245 8 – 0,248 5 – 0,251 3 – 0,254 1 – 0,261 0 – 0,267 8 – 0,274 4 – 0,281 0 – 0,287 4 – 0,293 8 – 0,300 1 – 0,306 2 – 0,312 2 – 0,318 2 – 0,324 0 – 0,329 8 – 0,335 6 – 0,341 3 – 0,346 7 – 0,352 3 – 0,357 6 – 0,362 9 – 0,368 1 – 0,373 3 – 0,378 4 – 0,383 4 – 0,388 4 – 0,393 2 – 0,398 0 – 0,402 7 – 0,407 5 – 0,412 1 – 0,416 6 – 0,421 2 – 0,425 6 – 0,430 0 – 0,434 4 – 0,438 6 – 0,442 9 – 0,447 0 – 0,451 2 – 0,455 1 – 0,459 3 – 0,463 2 – 0,467 1 – 0,471 1 – 0,474 8 |
Bảng 2 (tiếp theo)
| b | Kb | gb | vb | rb |
| 7,20 7,25 7,30 7,35 7,40 7,45 7,50 7,55 7,60 7,65 7,70 7,75 7,80 7,85 7,90 7,95 8,00 8,10 8,20 8,30 8,40 8,50 8,60 8,70 8,80 8,90 9,00 9,10 9,20 9,30 9,40 9,50 9,60 9,70 9,80 9,90 10,0 10,5 11,0 11,5 12,0 12,5 13,0 13,5 14,0 14,5 15,0 | 0,936 8 0,937 1 0,937 5 0,937 8 0,938 1 0,938 4 0,938 7 0,939 1 0,939 4 0,939 7 0,940 0 0,940 3 0,940 6 0,940 9 0,941 2 0,941 5 0,941 7 0,942 3 0,942 9 0,943 4 0,943 9 0,944 5 0,945 0 0,945 5 0,946 0 0,946 5 0,947 0 0,947 4 0,947 9 0,948 4 0,948 8 0,949 3 0,949 7 0,950 1 0,950 5 0,950 9 0,951 4 0,953 3 0,955 1 0,956 7 0,958 3 0,959 7 0,961 1 0,962 3 0,963 5 0,964 6 0,965 7 | 0,153 3 0,152 4 0,151 5 0,150 6 0,149 7 0,148 8 0,147 9 0,147 1 0,146 2 0,145 4 0,144 5 0,143 7 0,142 9 0,142 1 0,141 3 0,140 5 0,139 7 0,138 2 0,136 7 0,135 2 0,133 8 0,132 4 0,131 0 0,129 7 0,128 4 0,127 1 0,125 8 0,124 6 0,123 4 0,122 2 0,121 0 0,119 9 0,118 7 0,117 6 0,116 6 0,115 5 0,114 5 0,109 5 0,105 0 0,100 8 0,096 99 0,093 44 0,090 13 0,087 06 0,084 18 0,081 49 0,078 97 | 0,163 7 0,162 6 0,161 6 0,160 6 0,159 6 0,158 6 0,157 6 0,156 6 0,155 6 0,154 7 0,153 8 0,152 8 0,151 9 0,151 0 0,150 1 0,149 2 0,148 4 0,146 7 0,145 0 0,143 3 0,141 7 0,140 2 0,138 7 0,137 2 0,135 7 0,134 3 0,132 9 0,131 5 0,130 1 0,128 8 0,127 5 0,126 3 0,125 0 0,123 8 0,122 6 0,121 5 0,120 3 0,114 9 0,109 9 0,105 4 0,101 2 0,097 36 0,093 78 0,090 46 0,087 37 0,084 48 0,081 78 | – 0,478 8 – 0,482 3 – 0,486 1 – 0,489 8 – 0,493 3 – 0,496 9 – 0,500 3 – 0,503 8 – 0,507 5 – 0,511 0 – 0,524 3 – 0,517 6 – 0,520 9 – 0,524 1 – 0,527 4 – 0,530 7 – 0,533 6 – 0,540 1 – 0,546 2 – 0,552 2 – 0,557 9 – 0,563 6 – 0,569 4 – 0,574 7 – 0,580 3 – 0,585 7 – 0,590 9 – 0,595 6 – 0,600 7 – 0,605 9 – 0,610 5 – 0,615 1 – 0,619 9 – 0,624 6 – 0,629 3 – 0,633 5 – 0,637 8 – 0,658 8 – 0,677 4 – 0,695 0 – 0,710 7 – 0,725 7 – 0,739 8 – 0,753 5 – 0,764 9 – 0,776 2 – 0,787 1 |
Bảng 3 – Phân vị Zq của đại lượng ngẫu nhiên ![]()
| n | q | |||||
| 0,02 | 0,05 | 0,10 | 0,90 | 0,95 | 0,98 | |
| 5 6 7 8 9 10 11 12 13 14 15 16 17 18 19 20 22 24 26 28 30 32 34 36 38 40 42 44 46 48 50 52 54 56 58 60 62 64 66 68 70 72 74 76 78 80 85 90 95 100 110 120 | – 1,631 – 1,396 – 1,196 – 1,056 – 0,954 – 0,876 – 0,813 – 0,762 – 0,719 – 0,683 – 0,651 – 0,624 – 0,599 – 0,578 – 0,558 – 0,540 – 0,509 – 0,483 – 0,460 – 0,441 – 0,423 – 0,408 – 0,394 – 0,382 – 0,370 – 0,360 – 0,350 – 0,341 – 0,333 – 0,325 – 0,318 – 0,312 – 0,305 – 0,299 – 0,294 – 0,289 – 0,284 – 0,279 – 0,274 – 0,270 – 0,266 – 0,262 – 0,259 – 0,255 – 0,252 – 0,248 – 0,241 – 0,234 – 0,227 – 0,221 – 0,211 – 0,202 | – 1,247 – 1,007 – 0,874 – 0,784 – 0,717 – 0,665 – 0,622 – 0,587 – 0,557 – 0,532 – 0,509 – 0,489 – 0,471 – 0,455 – 0,441 – 0,428 – 0,404 – 0,384 – 0,367 – 0,352 – 0,338 – 0,326 – 0,315 – 0,305 – 0,296 – 0,288 – 0,280 – 0,273 – 0,266 – 0,260 – 0,254 – 0,249 – 0,244 – 0,239 – 0,234 – 0,230 – 0,226 – 0,222 – 0,218 – 0,215 – 0,211 – 0,208 – 0,205 – 0,202 – 0,199 – 0,197 – 0,190 – 0,184 – 0,179 – 0,174 – 0,165 – 0,158 | – 0,888 – 0,740 – 0,652 – 0,591 – 0,544 – 0,507 – 0,477 – 0,451 – 0,429 – 0,410 – 0,393 – 0,379 – 0,365 – 0,353 – 0,342 – 0,332 – 0,314 – 0,299 – 0,286 – 0,274 – 0,264 – 0,254 – 0,246 – 0,238 – 0,231 – 0,224 – 0,218 – 0,213 – 0,208 – 0,203 – 0,198 – 0,194 – 0,190 – 0,186 – 0,183 – 0,179 – 0,176 – 0,173 – 0,170 – 0,167 – 0,165 – 0,162 – 0,160 – 0,158 – 0,155 – 0,153 – 0,148 – 0,144 – 0,139 – 0,136 – 0,129 – 0,123 | 0,772 0,666 0,598 0,547 0,507 0,475 0,448 0,425 0,406 0,389 0,374 0,360 0,348 0,338 0,328 0,318 0,302 0,288 0,276 0,265 0,256 0,247 0,239 0,232 0,226 0,220 0,214 0,209 0,204 0,199 0,195 0,191 0,187 0,184 0,181 0,177 0,174 0,171 0,169 0,166 0,164 0,161 0,159 0,157 0,155 0,153 0,148 0,143 0,139 0,136 0,129 0,123 | 1,107 0,939 0,829 0,751 0,691 0,644 0,605 0,572 0,544 0,520 0,499 0,480 0,463 0,447 0,433 0,421 0,398 0,379 0,362 0,347 0,334 0,323 0,312 0,302 0,293 0,285 0,278 0,271 0,264 0,258 0,253 0,247 0,243 0,238 0,233 0,229 0,225 0,221 0,218 0,214 0,211 0,208 0,205 0,202 0,199 0,197 0,190 0,185 0,179 0,175 0,166 0,159 | 1,582 1,291 1,120 0,003 0,917 0,851 0,797 0,752 0,714 0,681 0,653 0,627 0,605 0,584 0,566 0,549 0,519 0,494 0,472 0,453 0,435 0,420 0,406 0,393 0,382 0,371 0,361 0,352 0,344 0,336 0,328 0,321 0,315 0,309 0,303 0,297 0,292 0,287 0,282 0,278 0,274 0,269 0,266 0,262 0,258 0,255 0,246 0,239 0,232 0,226 0,215 0,205 |
Bảng 4 – Phân vị
của đại lượng ngẫu nhiên ![]()
| n | q | |||||
| 0,02 | 0,05 | 0,10 | 0,90 | 0,95 | 0,98 | |
| 5 6 7 8 9 10 11 12 13 14 15 16 17 18 19 20 22 24 26 28 30 32 34 36 38 40 42 44 46 48 50 52 54 56 58 60 62 64 66 68 70 72 74 76 78 80 85 90 95 100 110 120 | 0,604 0,623 0,639 0,653 0,665 0,676 0,686 0,695 0,703 0,710 0,716 0,723 0,728 0,734 0,739 0,743 0,752 0,759 0,766 0,772 0,778 0,783 0,788 0,793 0,797 0,801 0,804 0,808 0,811 0,814 0,817 0,820 0,822 0,825 0,827 0,830 0,832 0,834 0,836 0,838 0,840 0,841 0,843 0,845 0,846 0,848 0,852 0,855 0,858 0,861 0,866 0,871 | 0,683 0,697 0,709 0,720 0,729 0,738 0,745 0,752 0,759 0,764 0,770 0,775 0,779 0,784 0,788 0,791 0,798 0,805 0,810 0,815 0,820 0,824 0,828 0,832 0,835 0,839 0,842 0,845 0,847 0,850 0,852 0,854 0,857 0,859 0,861 0,863 0,864 0,866 0,868 0,869 0,871 0,872 0,874 0,875 0,876 0,878 0,881 0,883 0,886 0,888 0,893 0,897 | 0,766 0,778 0,785 0,792 0,797 0,802 0,807 0,811 0,815 0,819 0,823 0,826 0,829 0,832 0,835 0,838 0,843 0,848 0,852 0,856 0,860 0,863 0,866 0,869 0,872 0,875 0,877 0,880 0,882 0,884 0,886 0,888 0,890 0,891 0,893 0,894 0,896 0,897 0,899 0,900 0,901 0,903 0,904 0,905 0,906 0,907 0,910 0,912 0,914 0,916 0,920 0,923 | 2,277 2,030 1,861 1,747 1,665 1,602 1,553 1,513 1,480 1,452 1,427 1,406 1,388 1,371 1,356 1,343 1,320 1,301 1,284 1,269 1,257 1,246 1,236 1,227 1,219 1,211 1,204 1,108 1,192 1,187 1,182 1,177 1,173 1,169 1,165 1,162 1,158 1,155 1,152 1,149 1,146 1,144 1,141 1,139 1,136 1,134 1,129 1,124 1,120 1,116 1,110 1,104 | 2,779 2,436 2,183 2,015 1,896 1,807 1,738 1,682 1,636 1,597 1,564 1,535 1,510 1,487 1,467 1,449 1,418 1,392 1,370 1,351 1,334 1,319 1,306 1,294 1,283 1,273 1,265 1,256 1,249 1,242 1,235 1,229 1,224 1,218 1,213 1,208 1,204 1,200 1,196 1,192 1,188 1,185 1,182 1,179 1,176 1,173 1,166 1,160 1,155 1,150 1,141 1,133 | 3,518 3,067 2,640 2,377 2,199 2,070 1,972 1,894 1,830 1,777 1,732 1,693 1,660 1,630 1,603 1,579 1,538 1,504 1,475 1,450 1,429 1,409 1,392 1,377 1,363 1,351 1,339 1,329 1,319 1,310 1,301 1,294 1,286 1,280 1,273 1,267 1,262 1,256 1,251 1,246 1,242 1,237 1,233 1,229 1,225 1,222 1,213 1,206 1,199 1,192 1,181 1,171 |
Bảng 5 – Phân vị uq của phân bố chuẩn N (0, 1)
| q | uq | q | uq | q | uq |
| 0,001 0,005 0,010 0,020 0,025 | − 3,090 − 2,576 − 2,326 − 2,054 − 1,960 | 0,050 0,100 0,900 0,950 0,975 | − 1,645 − 1,282 1,282 1,645 1,960 | 0,980 0,990 0,995 0,999 | 2,054 2,326 2,576 3,090 |
Bảng 6 – Phân vị
của phân bố ![]()
| n | q | n | |||||
| 0,01 | 0,05 | 0,1 | 0,99 | 0,95 | 0,9 | ||
| 6 8 10 12 14 16 18 20 22 24 26 28 30 32 34 36 38 40 42 44 46 48 50 52 54 56 58 60 62 64 | 0,872 1,646 2,558 3,571 4,660 5,812 7,015 8,260 9,542 10,856 12,198 13,565 14,953 16,362 17,789 19,233 20,691 22,164 13,650 25,148 26,657 28,177 29,707 31,246 32,793 34,350 35,913 37,485 39,063 40,649 | 1,635 2,733 3,940 5,226 6,571 7,962 9,390 10,851 12,338 13,848 15,379 16,928 18,493 20,072 21,664 23,269 24,884 26,509 28,144 29,787 31,439 33,098 34,764 36,437 38,116 39,801 41,492 43,188 44,889 46,595 | 2,204 3,490 4,865 6,304 7,790 9,312 10,865 12,443 14,041 15,659 17,292 18,939 20,599 22,271 23,952 25,643 27,343 29,051 30,765 32,487 34,215 35,949 37,689 39,433 41,183 42,937 44,696 46,459 48,226 49,996 | 16,812 20,090 23,209 26,217 29,141 32,000 34,805 37,566 40,289 42,980 45,642 48,278 50,892 53,486 56,061 58,619 61,162 63,691 66,206 68,710 71,201 73,683 76,154 78,616 81,069 83,513 85,950 88,379 90,802 93,217 | 12,592 15,507 18,307 21,026 23,685 26,296 28,869 31,410 33,924 36,415 38,885 41,337 43,773 46,194 48,602 50,998 53,384 55,758 58,124 60,481 62,830 65,171 67,505 69,832 72,153 74,468 76,778 79,082 81,381 83,675 | 10,645 13,362 15,987 18,549 21,064 23,542 25,989 28,412 30,813 33,196 35,563 37,916 40,256 42,585 44,903 47,212 49,513 51,805 54,090 56,369 58,641 60,907 63,167 65,422 67,673 69,919 72,160 74,397 76,630 78,860 | 6 8 10 12 14 16 18 20 22 24 26 28 30 32 34 36 38 40 42 44 46 48 50 52 54 56 58 60 62 64 |
Bảng 6 (kết thúc)
| n | q | n | |||||
| 0,01 | 0,05 | 0,1 | 0,99 | 0,95 | 0,9 | ||
| 66 68 70 72 74 76 78 80 82 84 86 88 90 92 94 96 98 100 110 120 130 140 150 200 300 400 500 600 800 1 000 | 42,240 43,838 45,442 47,051 48,666 50,286 51,910 53,540 55,174 56,813 58,456 60,103 61,754 63,409 65,068 66,730 68,396 70,065 78,458 86,923 95,451 104,03 112,67 156,43 245,97 337,16 429,39 522,36 709,90 898,91 | 48,305 50,020 51,739 53,462 55,189 56,920 58,645 60,391 62,132 63,876 65,623 67,373 69,126 70,882 72,640 74,401 76,164 77,929 86,792 95,705 104,66 113,66 122,69 168,28 260,88 354,64 449,15 544,18 735,36 927,59 | 51,770 53,548 55,329 57,113 58,900 60,690 62,483 64,278 66,076 67,876 69,679 71,484 73,291 75,100 76,912 78,725 80,541 82,358 91,471 100,62 109,81 119,03 128,28 174,84 269,07 364,21 459,93 556,06 749,19 943,13 | 95,626 98,028 100,43 102,82 105,20 107,58 109,96 112,33 114,70 117,06 119,41 121,77 124,12 126,46 128,80 131,14 133,48 135,81 147,41 158,95 170,42 181,84 193,21 249,45 359,91 468,72 576,49 683,52 895,98 1107,0 | 85,965 88,250 90,531 92,808 95,081 97,351 99,617 101,88 104,14 106,40 108,65 110,90 113,15 115,39 117,63 119,87 122,11 124,34 135,48 146,57 157,61 168,61 179,58 233,99 341,40 447,63 553,13 658,09 866,91 1074,7 | 81,085 83,308 85,527 87,743 89,956 92,166 94,374 96,578 98,780 100,98 103,18 105,37 107,57 109,76 111,94 114,13 116,32 118,50 129,39 140,23 151,05 161,83 172,58 226,02 331,79 436,65 540,93 644,80 851,67 1057,7 | 66 68 70 72 74 76 78 80 82 84 86 88 90 92 94 96 98 100 110 120 130 140 150 200 300 400 500 600 800 1 000 |
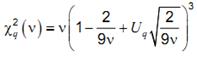
Đối với các giá trị 100 < v < 1 000 không có trong bảng thì có thể dùng nội suy tuyến tính để tìm ![]()
Đối với giá trị v > 1 000, dùng công thức gần đúng như sau:
(48)
Trong đó Uq là q – phân vị của phân bố chuẩn có trong Bảng 5.
Phụ lục A
(tham khảo)
Chỉ dẫn các ký hiệu
| Tên | Ký hiệu | Điều hay mục | |
| Đại lượng ngẫu nhiên có phân bố Weibull | X | 3.1 | |
| Đặc trưng của mẫu |
| 7.1 | |
| Độ bất đối xứng | rb | 3.3 | |
| Giá trị cực đại của x1, ..., xn | xmax | 7.2 | |
| Giá trị cực tiểu của x1, ..., xn | xmin | 7.1 | |
| Hàm Gamma | r | 3.3 | |
| Hàm phân bố đại lượng ngẫu nhiên có phân bố Weibull | F | 3.1 | |
| Hàm mật độ của đại lượng ngẫu nhiên có phân bố Weibull | ¦ | 3.2 | |
| Hằng số Ơle | g | 6.1 | |
| Hệ số biến động | vb | 3.3 | |
| Hệ số không chệch đối với ước lượng đơn giản | M(n) | 6.1 | |
| Hệ số không chệch đối với ước lượng hợp lý cực đại | B(n) | 6.2 | |
| Khoảng tin cậy |
|
| |
|
| hai phía đối với tham số a | (a1; a2) | 10; 11.1 |
|
| một phía đối với tham số a | (a1; +¥), (−¥ ;a2) | 10; 11.3 |
|
| hai phía đối với tham số b | (b1; b2) | 11.2 |
|
| một phía đối với tham số b | (b1; +¥), (−¥ ;b2) | 11.3 |
| Kỳ vọng | E(X) | 3.3 | |
| Mức tin cậy | 1 - a | 10 | |
| Phân bố Rayleigh |
| 3.1 | |
| Phân bố Weibull |
| 3.1 | |
| Phương pháp xấp xỉ liên tiếp Newton Raphson |
| 6.2 | |
| Phân vị | ℓq | 11.2 | |
|
| zq | 11.1 | |
| Phân vị của phân bố c2 |
| 10 | |
| Phân vị của phân bố chuẩn chuẩn hóa | Uq | 5.1 | |
| Phương sai | D(X) | 3.3 | |
| Tham số của phân bố Weibull | a, b, c | 3.1 | |
| Ước lượng của các tham số a, b, c |
| 5; 6.1; 7.1 | |
| Ước lượng của các tham số a, b theo phương pháp đơn giản |
| 6.1 | |
| Ước lượng của các tham số a, b,c theo phương pháp hợp lý cực đại |
| 6.2; 7.2 | |
| Ước lượng không chệch của tham số b |
| 6.1; 6.2 | |
| CHÚ THÍCH: Dấu “^” để chỉ ước lượng không chênh lệch, dấu “~” để chỉ ước lượng theo phương pháp hợp lý cực đại, dấu “–” để chỉ ước lượng trong các trường hợp khác. | |||
Phụ lục B
(tham khảo)
Các ví dụ
B.1. Ví dụ 1 (cho điều 5)
Trong Bảng B.1 có mười giá trị quan sát độc lập của đại lượng ngẫu nhiên có phân bố Weibull với tham số c = 0,5; b = 2. Hãy ước lượng a.
Bảng B.1
| 1,305 | 1,685 | 0,743 | 1,285 | 1,001 |
| 0,826 | 1,345 | 1,422 | 0,763 | 1,069 |
Ước lượng
của tham số a được tính theo công thức (10), điều 6.

B.2. Ví dụ 2 (cho 6.1)
Thí nghiệm về độ mỏi khi phải chịu ứng suất 250 MPa được tiến hành với 16 vật mẫu. Giả sử số vòng quay đến mức vật mẫu bị hỏng là đại lượng ngẫu nhiên có phân bố Weibull với tham số c = 0. Cần ước lượng các tham số a và b. Các kết quả của thí nghiệm (số triệu vòng quay) ghi trong Bảng B.2.
Bảng B.2
| 0,163 | 0,207 | 0,215 | 0,227 | 0,230 | 0,254 | 0,256 | 0,262 |
| 0,264 | 0,269 | 0,478 | 0,302 | 0,341 | 0,372 | 0,374 | 0,425 |
| 0,523 | 0,552 | 0,633 | 0,706 | 0,793 | 0,800 | 0,807 | 0,864 |
| 1,02 | 1,03 |
|
|
|
|
|
|
Theo các công thức (11), (12), (13), (14) của 6.1 có
= -0,914
= 0, 562
= 2, 280
= 0, 516
Vì n = 120 nên để có ước lượng không chệch
của b ta phải nhân
với (26). Theo Bảng 1, M (26) = 0,943, từ đó
= 0,943 x 2,280 = 2,150.
B.3. Ví dụ 3 (cho 6.2)
Theo các số liệu ở ví dụ 2, tìm các ước lượng hợp lý cực đại của a và b.
Ta lấy ngay
= 2, 280 và chọn e = 0,000 1. Tính
a1 =
= -23, 760
= 6, 866
![]()
![]()

Tương tự, tính
|
|
|
|
|
|
|
|
|
|
|
|
|
|
|
|
|
|
Vì điều kiện
= 0,000 015 < 0, 000 1 thỏa mãn nên ta lấy
= 1, 895 , ước lượng
tính theo công thức

Để có ước lượng không chệch
cần nhân
với hệ số không chệch B theo Bảng 1
= 0,947 x 1,895 = 1,795
B.4. Ví dụ 4 (cho 7.1)
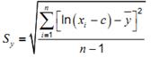
Trong Bảng B.3 cho dãy 20 số liệu quan sát độc lập một đại lượng ngẫu nhiên có phân bố Weibull với tham số b = ln 5. Hãy ước lượng các tham số a và c theo phương pháp mô men.
Bảng B.3
| 0,070 1 | 0,074 0 | 0,080 9 | 0,091 0 | 0,103 0 | 0,109 0 | 0,117 0 | 0,118 0 |
| 0,135 0 | 0,142 0 | 0,143 0 | 0,154 0 | 0,154 0 | 0,157 0 | 0,158 0 | 0,180 0 |
| 0,202 0 | 0,215 0 | 0,222 0 | 0,235 0 |
|
|
|
|
Tính
= 0,143
= 0,049 3
Theo Bảng 2, gb = 0, 612 9, Kb = 0,902 7, bởi vậy
=
= 0,080 4
c* = 0,143 – 0,080 4 x 0,902 7 = 0,070 4
Vì c* > xmin = 0,070 1 nên lấy
= 0,070 1.
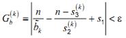
B.5. Ví dụ 5 (cho 7.2)
Theo điều kiện của ví dụ 4, ước lượng a và c theo phương pháp hợp lý cực đại.
Chọn ngay xấp xỉ thứ nhất của c là
= 0, 07 và chọn e = 0,000 1.
Bảng B.4
| K | ck |
|
|
|
|
|
|
| 1 2 3 4 5 6 7 8 9 10 | 0,070 00 0,069 90 0,069 70 0,069 32 0,068 81 0,067 48 0,066 20 0,066 43 0,065 28 0,065 27 | 106.102 5 616 3 111 1 848 1 202 867,4 703 642 632 632 | 100.106 252.106 641.104 170.104 498.103 181.103 919.102 685.102 650.102 649.102 | 190 161 140 124 113 104 98,4 96,0 95,5 95,5 | 4,970 4,983 4,997 5,023 5,064 5,125 5,190 5,227 5,235 5,235 | 0,461 0,462 0,463 0,466 0,471 0,480 0,490 0,496 0,497 0,497 | 4 983 2 484 1 232 600,5 278,5 113,3 33,8 4,91 0,135 0,000 06 |
Vì
= 0,000 06 < 0,000 1 nên quá trình xấp xỉ liên tiếp đã hoàn thành.
Như vậy,
= c10 = 0, 065 27 và

B.6. Ví dụ 6 (cho điều 8)
Nghiên cứu tuổi thọ của 100 sản phẩm, các kết quả được trình bày trong Bảng B.5.
Giả sử tuổi thọ của sản phẩm tuân theo phân bố Weibull, hãy ước lượng các tham số a, b, c.
Bảng B.5
| 319 | 345 | 339 | 306 | 302 | 301 | 365 | 318 | 366 | 314 |
| 342 | 343 | 315 | 329 | 393 | 318 | 339 | 360 | 377 | 393 |
| 354 | 373 | 307 | 350 | 320 | 318 | 422 | 311 | 367 | 364 |
| 334 | 330 | 352 | 317 | 416 | 309 | 376 | 374 | 313 | 302 |
| 316 | 365 | 317 | 352 | 322 | 310 | 345 | 403 | 368 | 335 |
| 313 | 339 | 341 | 334 | 318 | 319 | 406 | 354 | 320 | 365 |
| 383 | 435 | 311 | 198 | 392 | 360 | 307 | 337 | 315 | 334 |
| 465 | 312 | 417 | 304 | 330 | 331 | 309 | 431 | 368 | 329 |
| 354 | 312 | 341 | 394 | 366 | 320 | 345 | 417 | 309 | 344 |
| 343 | 348 | 339 | 315 | 353 | 349 | 421 | 311 | 368 | 395 |
Tính
= 347,53
= 35, 899

Bằng phép nội suy tuyến tính theo Bảng 2 với Gb = 0,945 2 tìm được
= 1,618; Kb= 0,895 7 và gb = 0,567 2.
Tương tự như ví dụ 4, tính được
= 63, 29
c* = 347,53 – 0,895 7 x 63,29 = 290,84
Vì xmin = 301 nên lấy
= 290,84.
B.7. Ví dụ 7 (cho điều 9)
Với các điều kiện của ví dụ 4, hãy ước lượng kỳ vọng, phương sai, hệ số biến động. đối với tham số chưa biết hãy ước lượng bằng phương pháp hợp lý cực đại.
Sẽ biết b = 1,5. Theo ví dụ 5, biết
= 0, 065 37 và a%
= 0, 085 2 . Theo Bảng 2, được Kb= 0,902 7 và Gb = 0,612 9. để ước lượng kỳ vọng, dùng công thức (3) trong đó lấy
và
thay cho a và c. Ta có ước lượng
E(X) = 0,085 2 x 0,902 7 + 0,065 3 = 0,142
Để ước lượng phương sai D(X) dùng công thức (4) trong đó lấy a% thay cho a.
D(X) = 0,085 22 x 0,612 92 = 0,002 73
Để ước lượng hệ số biến động dùng công thức (5) trong đó đó lấy
và
thay cho a và c.
= 0,368
B.8. Ví dụ 8 (cho điều 10)
Với các số liệu ở ví dụ 1, hãy xác định khoảng tin cậy hai phía của tham số a với mức tin cậy 1 – a = 0,9.
Trong ví dụ 1 đã biết
= 5,011
Theo Bảng 6
(20) = 31, 410 ;
(20) = 10, 851
Vậy
a1 =
= 0, 565
a2 =
= 0, 961
Vậy khoảng tin cậy với mức tin cậy 1 – a = 0,9 của tham số a là (0,565; 0,961).
B.9. Ví dụ 8 (cho điều 11)
Với các số liệu ở ví dụ 2, hãy tìm khoảng tin cậy hai phía của tham số b với mức tin cậy 1 – a = 0,9 và khoảng tin cậy một phía (a1; +¥) của tham số a với mức tin cậy 1 – a = 0,9.
Theo ví dụ 3,
= 0, 532;
= 1, 895 .
Với a = 0,1 và n = 26, theo Bảng 4 ℓ0,05 0, 810, ℓ 0,95 = 1, 370 và theo Bảng 3 z0,9 = 0,276.
Từ đó
b1 =
= 1,383
b2 =
= 2, 340
a1 = 0, 532 x exp
= 0, 460
Vậy khoảng tin cậy của tham số b cần tìm là (1, 383; 2, 340) và của tham số a là (0, 460; +¥).
MỤC LỤC
Lời nói đầu
1. Phạm vi áp dụng
2. Thuật ngữ và định nghĩa
3. Các đặc trưng cơ bản
4. Các vấn đề chung
5. Ước lượng của tham số a khi b và c đã biết
6. Ước lượng của các tham số a và b khi c đã biết
7. Ước lượng của các tham số a và c khi b đã biết
8. Ước lượng của các tham số a, b và c
9. Ước lượng của kỳ vọng, phương sai, hệ số biến động
10. Khoảng tin cậy của tham số a khi b và c đã biết
11. Khoảng tin cậy của các tham số a và b khi c đã biết
12. Các bảng số
Phụ lục A (tham khảo) Chỉ dẫn các ký hiệu
Phụ lục B (tham khảo) Các ví dụ
Bạn chưa Đăng nhập thành viên.
Đây là tiện ích dành cho tài khoản thành viên. Vui lòng Đăng nhập để xem chi tiết. Nếu chưa có tài khoản, vui lòng Đăng ký tại đây!