- Tổng quan
- Nội dung
- Tiêu chuẩn liên quan
- Lược đồ
- Tải về
Tiêu chuẩn Quốc gia TCVN 12878:2020 ISO 28594:2017 Hệ thống lấy mẫu kết hợp có số chấp nhận bằng 0 và quy trình kiểm soát quá trình để chấp nhận sản phẩm
| Số hiệu: | TCVN 12878:2020 | Loại văn bản: | Tiêu chuẩn Việt Nam |
| Cơ quan ban hành: | Bộ Khoa học và Công nghệ | Lĩnh vực: | Khoa học-Công nghệ |
|
Ngày ban hành:
Ngày ban hành là ngày, tháng, năm văn bản được thông qua hoặc ký ban hành.
|
2020 |
Hiệu lực:
|
Đã biết
|
| Người ký: | Đang cập nhật |
Tình trạng hiệu lực:
Cho biết trạng thái hiệu lực của văn bản đang tra cứu: Chưa áp dụng, Còn hiệu lực, Hết hiệu lực, Hết hiệu lực 1 phần; Đã sửa đổi, Đính chính hay Không còn phù hợp,...
|
Đã biết
|
TÓM TẮT TIÊU CHUẨN VIỆT NAM TCVN 12878:2020
Nội dung tóm tắt đang được cập nhật, Quý khách vui lòng quay lại sau!
Tải tiêu chuẩn Việt Nam TCVN 12878:2020
TIÊU CHUẨN QUỐC GIA
TCVN 12878:2020
ISO 28594:2017
HỆ THỐNG LẤY MẪU KẾT HỢP CÓ SỐ CHẤP NHẬN BẰNG 0 VÀ QUY TRÌNH KIỂM SOÁT QUÁ TRÌNH ĐỂ CHẤP NHẬN SẢN PHẨM
Combined accept-zero sampling systems and process control procedures for product acceptance
Lời nói đầu
TCVN 12878:2020 thay thế cho TCVN 10856:2015.
TCVN 12878.2020 hoàn toàn tương đương với ISO 28594:2017.
TCVN 12878:2020 do Ban kỹ thuật tiêu chuẩn quốc gia TCVN/TC 69 Ứng dụng các phương pháp thống kê biên soạn, Tổng cục Tiêu chuẩn Đo lường Chất lượng đề nghị, Bộ Khoa học và Công nghệ công bố.
Lời giới thiệu
Thực tiễn quản lý chất lượng khuyến khích các ngành đổi mới và tạo tính linh hoạt nhằm đạt được những lợi ích của việc cải tiến liên tục. Có một triết lý về chất lượng sản phẩm công nghiệp thừa nhận nhu cầu thay đổi chính sách chất lượng sẽ tạo cho nhà cung ứng những cơ hội và động lực hướng tới cải tiến chất lượng sản phẩm và mối quan hệ hợp tác giữa nhà cung ứng và khách hàng.
Việc kiểm soát quá trình và các phương pháp kiểm soát thống kê được áp dụng đúng đắn là phương tiện hiệu quả ngăn ngừa sự không phù hợp, kiểm soát chất lượng và tạo lập thông tin để cải tiến hệ thống. Hệ thống kiểm soát quá trình hiệu quả cũng có thể dùng để cung cấp thông tin nhằm đánh giá chất lượng của các sản phẩm giao nộp để chấp nhận. Tiêu chuẩn này khuyến khích nhà cung ứng sử dụng các quy trình kiểm soát quá trình và kiểm soát thống kê cho việc kiểm soát nội bộ và đưa ra quy trình kiểm soát quá trình hiệu quả cho khách hàng phê duyệt, sao cho nhu cầu về quy trình lấy mẫu chấp nhận có thể được giảm thiểu hoặc thậm chí là loại bỏ.
Bản thân kiểm tra lấy mẫu có thể là một thực hành công nghiệp không hiệu quả đối với việc chứng tỏ sự phù hợp. Việc áp dụng các phương án lấy mẫu chấp nhận bao gồm cả rủi ro của người tiêu dùng và nhà sản xuất; tăng cường việc lấy mẫu là một cách giảm thiểu rủi ro này nhưng nó cũng làm tăng chi phí. Nhà cung ứng có thể giảm rủi ro bằng cách sử dụng các quá trình hiệu quả với việc kiểm soát quá trình thích hợp. Khi các thực hành này được sử dụng đúng đắn và hiệu quả, rủi ro được kiểm soát và, kết quả là, có thể giảm việc kiểm tra và thử nghiệm.
Tiêu chuẩn này hỗ trợ những người muốn xa rời chiến lược kiểm tra (phát hiện) dựa trên giới hạn chất lượng chấp nhận (AQL) để thực hiện một chiến lược dựa trên việc phòng ngừa hiệu quả bao gồm hệ thống quản lý chất lượng toàn diện, cải tiến liên tục và quan hệ đối tác. Chủ đề chính là sự hợp tác giữa khách hàng và nhà cung ứng, với năng lực cần thiết và lợi ích rõ ràng của cả hai bên từ những quá trình có khả năng đưa ra sản phẩm và dịch vụ chất lượng cao một cách nhất quán. Mục tiêu là tạo lập môi trường trong đó mọi sự không phù hợp là cơ hội cho hành động khắc phục và cải tiến chứ không phải lấy AQL là mục tiêu đủ đáp ứng hợp đồng.
Những điểm dưới đây cung cấp cơ sở cho tiêu chuẩn này:
a) nhà cung ứng cần giao nộp các sản phẩm phù hợp với yêu cầu và tạo lập, duy trì đủ bằng chứng về sự phù hợp;
b) nhà cung ứng chịu trách nhiệm thiết lập việc kiểm soát sản xuất và quá trình để đưa ra các kết quả phù hợp với yêu cầu;
c) nhà cung ứng được kỳ vọng sử dụng các thực hành phòng ngừa được thừa nhận như kiểm soát thống kê quá trình.
Mục tiêu của tiêu chuẩn này là để sản phẩm được chấp nhận như là kết quả của qui trình kiểm soát. Tuy nhiên, nó cũng đưa ra một tập hợp các hệ thống lấy mẫu có số chấp nhận bằng 0 (xem Phụ lục A) và quy trình hoạch định và tiến hành kiểm tra để đánh giá chất lượng và sự phù hợp theo yêu cầu quy định. Mục đích của việc đưa ra các điều khoản về lấy mẫu chấp nhận là như một xác nhận về hiệu quả của kiểm soát quá trình hoặc như một giải pháp tạm thời trong khi các kiểm soát này đang được xây dựng và thực hiện.
Khi lấy mẫu chấp nhận được tiến hành bằng cách sử dụng các bảng trong tiêu chuẩn này, nhà cung ứng có thể lựa chọn kiểm tra sử dụng một trong số ba loại lấy mẫu: lấy mẫu định tính một lần; lấy mẫu định lượng một lần; lấy mẫu định tính liên tục. Quy trình chuyển đổi cũng được đưa ra để cho phép chuyển giữa các mức kiểm tra thường, ngặt và giảm.
Một số tổ chức có chính sách không sử dụng các phương án lấy mẫu xác định theo AQL. Tiêu chuẩn này phù hợp với chính sách đó.
HỆ THỐNG LẤY MẪU KẾT HỢP CÓ SỐ CHẤP NHẬN BẰNG 0 VÀ QUY TRÌNH KIỂM SOÁT QUÁ TRÌNH ĐỂ CHẤP NHẬN SẢN PHẨM
Combined accept-zero sampling systems and process control procedures for product acceptance
1 Phạm vi áp dụng
Tiêu chuẩn này cung cấp tập hợp các hệ thống và quy trình lấy mẫu có số chấp nhận bằng 0 dùng cho việc hoạch định và thực hiện kiểm tra để đánh giá chất lượng và sự phù hợp theo yêu cầu quy định.
Ngoài ra, tiêu chuẩn này cung cấp các yêu cầu đối với phương án chấp nhận thay thế do nhà cung ứng đề xuất. Các phương pháp thay thế này sẽ dựa trên việc thiết lập và thực hiện hệ thống quản lý chất lượng trên cơ sở phòng ngừa nội bộ như một phương tiện đảm bảo rằng tất cả các sản phẩm phù hợp với yêu cầu quy định trong hợp đồng cũng như các quy định kỹ thuật và tiêu chuẩn liên quan.
Khi được trích dẫn trong hợp đồng, tiêu chuẩn này áp dụng cho nhà cung ứng và mở rộng cho các nhà thầu phụ hoặc người bán. Các phương án về chất lượng cần được áp dụng như quy định trong hợp đồng và các sản phẩm có thể được giao nộp để chấp nhận nếu đáp ứng các yêu cầu của tiêu chuẩn này.
Khi thích hợp, hệ thống và quy trình lấy mẫu trong tiêu chuẩn này được áp dụng để đánh giá sự phù hợp với các yêu cầu của:
a) cá thể cuối;
b) thành phần hoặc nguyên liệu cơ bản;
c) hoạt động hoặc dịch vụ;
d) vật liệu trong quá trình;
e) hàng dự trữ, lưu kho;
f) hoạt động bảo dưỡng;
g) dữ liệu hoặc hồ sơ;
h) các quy trình quản lý.
CHÚ THÍCH: Từ "sản phẩm" sử dụng trong tiêu chuẩn này cũng đề cập đến dịch vụ và các sản phẩm khác.
Hệ thống và quy trình lấy mẫu của tiêu chuẩn này không dự kiến áp dụng cho thử nghiệm phá hủy hoặc khi việc sàng lọc sản phẩm là không khả thi hoặc không mong muốn. Trong trường hợp như vậy, hệ thống lấy mẫu cần sử dụng sẽ được quy định trong hợp đồng hoặc quy định kỹ thuật của sản phẩm.
2 Tài liệu viện dẫn
Các tài liệu viện dẫn dưới đây rất cần thiết cho việc áp dụng tiêu chuẩn này. Đối với các tài liệu ghi năm công bố thì áp dụng bản được nêu. Đối với các tài liệu không ghi năm công bố thì áp dụng bản mới nhất, bao gồm cả các sửa đổi.
TCVN 8244-1:2010 (ISO 3534-1:2006), Thống kê học - Từ vựng và ký hiệu - Phần 1: Thuật ngữ chung về thống kê và thuật ngữ dùng trong xác suất
TCVN 8244-2:2010 (ISO 3534-2:2006), Thống kê học - Từ vựng và ký hiệu - Phần 2: Thống kê ứng dụng
TCVN ISO 9000:2015 (ISO 9000:2015), Hệ thống quản lý chất lượng - Cơ sở và từ vựng
3 Thuật ngữ, định nghĩa và ký hiệu
3.1 Thuật ngữ và định nghĩa
Tiêu chuẩn này sử dụng các thuật ngữ và định nghĩa nêu trong TCVN ISO 9000, TCVN 8244-1 (ISO 3534-1), TCVN 8244-2 (ISO 3534-2) và các thuật ngữ, định nghĩa dưới đây.
3.1.1
Chấp nhận (acceptance)
Hành động của đại diện được ủy quyền của khách hàng theo đó khách hàng, cho chính mình hoặc là đại diện của bên khác, nhận quyền sở hữu các sản phẩm xác định hiện có được trình hoặc phê duyệt các dịch vụ cụ thể được thực hiện như một phần hoặc toàn bộ hợp đồng.
3.1.2
Chất lượng đầu ra trung bình (average outgoing quality)
AOQ
Mức chất lượng trung bình mong muốn của sản phẩm đầu ra đối với một giá trị chất lượng sản phẩm đầu vào cho trước.
CHÚ THÍCH: Lấy từ TCVN 8244-2:2010 (ISO 3534-2:2006), định nghĩa 4.7.1.
3.1.3
Giới hạn chất lượng đầu ra trung bình (average outgoing quality limit)
AOQL
AOQ lớn nhất trên tất cả các giá trị của mức chất lượng sản phẩm đầu vào đối với một phương án lấy mẫu chấp nhận cho trước và tất cả các lô không được chấp nhận đều đã được xử lý nếu không có quy định nào khác.
[NGUỒN: TCVN 8244-2:2010 (ISO 3534-2:2006), định nghĩa 4.7.2]
3.1.4
Giới hạn chất lượng chấp nhận (acceptance quality limit)
AQL
Mức chất lượng là chất lượng trung bình kém nhất có thể chấp nhận của quá trình, khi một loạt lô liên tiếp được giao nộp để lẩy mẫu chấp nhận.
3.1.5
Yêu cầu chất lượng trong hợp đồng (contract quality requirements)
Yêu cầu kỹ thuật trong hợp đồng về chất lượng của sản phẩm hoặc dịch vụ và những điều khoản hợp đồng mô tả việc kiểm tra, và các quy trình kiểm soát chất lượng khác thuộc trách nhiệm của nhà cung ứng, để đảm bảo rằng sản phẩm hoặc dịch vụ tuân thủ các yêu cầu của hợp đồng.
3.1.6
Đặc trưng cốt yếu (critical characteristic)
Đặc trưng mà đánh giá và kinh nghiệm chỉ ra là phải được đáp ứng để tránh những điều kiện nguy hại hoặc không an toàn cho cá nhân sử dụng, bảo trì hoặc phụ thuộc vào sản phẩm; hoặc đặc trưng mà đánh giá và kinh nghiệm chỉ ra là phải được đáp ứng để đảm bảo hiệu năng của chức năng chiến lược của sản phẩm hoặc dịch vụ chính.
3.1.7
Cá thể không phù hợp cốt yếu (critical nonconforming item)
Cá thể sản phẩm không phù hợp với yêu cầu quy định về một hoặc nhiều đặc trưng cốt yếu.
3.1.8
Kiểm tra (inspection)
Đánh giá sự phù hợp bằng quan trắc và đánh giá bằng phép đo, thử hoặc đọ dưỡng khi thích hợp. [NGUỒN: TCVN 8244-2:2010 (ISO 3534-2:2006), định nghĩa 4.1.2]
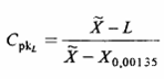
3.1.9
Chỉ số năng lực dưới của quá trình (lower process capability index)
CpkL
Chỉ số mô tả năng lực quá trình theo giới hạn quy định dưới.
CHÚ THÍCH 1: Chỉ số năng lực dưới của quá trình thường được ký hiệu là CpkL và biểu thị bằng hiệu giữa trung vị quá trình,
và giới hạn quy định dưới, L, chia cho độ dài khoảng quy chiếu dưới của quá trình trong trạng thái được kiểm soát thống kê, là:

trong đó X0,001 35 là phân vị dưới 0,001 35 của phân bố của đặc trưng chất lượng.
CHÚ THÍCH 2: Đối với phân bố chuẩn, trung vị quá trình,
đúng bằng trung bình quá trình, μ, và X0,001 35 = μ - 3σ, do đó:

CHÚ THÍCH 3: Lấy từ TCVN 8244-2:2010 (ISO 3534-2:2006), định nghĩa 2.7.3.
3.1.10
Khoảng quy chiếu dưới (lower reference interval)
Khoảng giới hạn bởi trung vị quá trình,
và phân vị 0,001 35, X0,001 35, biểu thị bằng hiệu
- X0,001 35
CHÚ THÍCH 1: Đối với phân bố chuẩn, khoảng quy chiếu dưới
- X0,001 35 = μ – (μ-3σ)= 3σ.
CHÚ THÍCH 2: Lấy từ TCVN 8244-2:2010 (ISO 3534-2:2006), định nghĩa 2.5.8.
3.1.11
Đặc trưng chính (major characteristic)
Đặc trưng, không phải là đặc trưng cốt yếu, phải được đáp ứng để tránh hỏng hoặc giảm khả năng sử dụng vật liệu của cá thể sản phẩm đối với mục đích dự kiến.
3.1.12
Cá thể không phù hợp nặng (major nonconforming item)
Cá thể sản phẩm không phù hợp với yêu cầu quy định về một hoặc nhiều đặc trưng chính, nhưng phù hợp với tất cả các đặc trưng cốt yếu.
3.1.13
Chỉ số năng lực tối thiểu của quá trình (minimum process capability index)
Cpk
Giá trị nhỏ hơn trong chỉ số năng lực trên của quá trình và chỉ số năng lực dưới của quá trình.
CHÚ THÍCH 1: Do đó, Cpk = min. ().
CHÚ THÍCH 2: Lấy từ TCVN 8244-2:2010 (ISO 3534-2:2006), định nghĩa 2.7.5.
3.1.14
Đặc trưng phụ (minor characteristic)
Đặc trưng, không phải là đặc trưng cốt yếu hay đặc trưng chính, mà sự sai lệch so với yêu cầu quy định của nó không làm giảm đáng kể khả năng sử dụng của cá thể sản phẩm đối với mục đích dự kiến hoặc sự sai lệch so với tiêu chuẩn thiết lập ít ảnh hưởng tới việc sử dụng hoặc vận hành hiệu quả của cá thể đó.
3.1.15
Cá thể không phù hợp nhẹ (minor nonconforming item)
Cá thể sản phẩm không phù hợp với yêu cầu quy định về một hoặc nhiều đặc trưng phụ, nhưng phù hợp với tất cả các đặc trưng cốt yếu và đặc trưng chính.
3.1.16
Sự không phù hợp (nonconformity)
Sự không đáp ứng một yêu cầu.
[NGUỒN: TCVN ISO 9000:2015 (ISO 9000:2015), định nghĩa 3.6.9]
3.1.17
Cá thể không phù hợp (nonconforming item)
Cá thể có một hoặc nhiều sự không phù hợp.
[NGUỒN: TCVN 8244-2:2010 (ISO 3534-2:2006), định nghĩa 1.2.12]
3.1.18
Năng lực quá trình (process capability)
Ước lượng thống kê kết quả của một đặc trưng từ quá trình đã được chứng tỏ ở trong trạng thái kiểm soát thống kê.
CHÚ THÍCH 1: Lấy từ TCVN 8244-2:2010 (ISO 3534-2:2006), định nghĩa 2.7.1.
3.1.19
Chỉ số năng lực quá trình (process capability index)
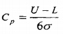
Cp
Chỉ số mô tả năng lực quá trình theo dung sai quy định.
CHÚ THÍCH 1: Chỉ số năng lực quá trình thường được ký hiệu là Cp và được biểu thị bằng giá trị của dung sai quy định chia cho số đo độ dài khoảng quy chiếu của quá trình trong trạng thái kiểm soát thống kê, là:

trong đó X0,001 35 và X0,998 65 tương ứng là phân vị 0,001 35 dưới và trên của phân bố của đặc trưng chất lượng.
CHÚ THÍCH 2: Đối với phân bố chuẩn, khoảng quy chiếu bằng 6σ và chỉ số năng lực quá trình được cho bởi công thức:

CHÚ THÍCH 3: Lấy từ TCVN 8244-2:2010 (ISO 3534-2:2006), định nghĩa 2.7.2.
3.1.20
Khoảng sản xuất (production interval)
Khoảng thời gian sản xuất trong lấy mẫu liên tục, giả định để có chất lượng về cơ bản là thuần nhất.
CHÚ THÍCH 1: Khoảng sản xuất thường là một ca đơn. Nó có thể là ngày nếu chắc chắn một cách hợp lý rằng thay đổi ca không ảnh hưởng tới chất lượng sản phẩm, nhưng không dài hơn một ngày.
3.1.21
Chất lượng (quality)
Mức độ của một tập hợp các đặc tính vốn có đáp ứng các yêu cầu
CHÚ THÍCH 1: Thuật ngữ "chất lượng" có thể được sử dụng với các tính từ như kém, tốt hoặc tuyệt hảo.
CHÚ THÍCH 2: Từ "vốn có”, đối lập với "được gán", có nghĩa là tồn tại trong một cái gì đó, đặc biệt như một đặc trưng lâu dài.
[NGUỒN: TCVN ISO 9000:2015 (ISO 9000:2015), định nghĩa 3.6.2]
3.1.22
Đảm bảo chất lượng (quality assurance)
Một phần của quản lý chất lượng tập trung vào việc mang lại lòng tin rằng các yêu cầu chất lượng sẽ được thực hiện.
[NGUỒN: TCVN ISO 9000:2015 (ISO 9000:2015), định nghĩa 3.3.6]
3.1.23
Đánh giá chất lượng (quality audit)
Xem xét có hệ thống các hành động và quyết định về chất lượng để xác nhận hoặc đánh giá một cách độc lập các yêu cầu vận hành của chương trình chất lượng hoặc quy định kỹ thuật hay yêu cầu hợp đồng của sản phẩm hoặc dịch vụ.
3.1.24
Chương trình chất lượng (quality program)
Chương trình được xây dựng, hoạch định và quản lý để thực hiện một cách hiệu lực về chi phí tất cả những nỗ lực nhằm tác động đến chất lượng nguyên vật liệu và dịch vụ từ ý tưởng đến xác nhận giá trị sử dụng, phát triển hoàn chỉnh, sản xuất, khai thác và thải loại.
3.1.25
Khoảng quy chiếu (reference interval)
Khoảng giới hạn bởi phân vị 0,998 65, X0,998 65, và phân vị 0,001 35, X0,001 35, được biểu thị bằng hiệu
X0,998 65 - X0,001 35.
CHÚ THÍCH 1: Đối với phân bố chuẩn, khoảng quy chiếu X0,998 65 - X0,001 35 = (μ + 3σ) - (μ – 3σ) = 6σ.
CHÚ THÍCH 2: Lấy từ TCVN 8244-2:2010 (ISO 3534-2:2006), định nghĩa 2.5.7.
3.1.26
Phương án lấy mẫu (sampling plan)
Sự kết hợp cỡ mẫu được sử dụng và chuẩn mực chấp nhận lô kèm theo.
CHÚ THÍCH 1: Phương án lấy mẫu không bao gồm quy tắc về cách thức lấy mẫu.
CHÚ THÍCH 2: Với mục đích của tiêu chuẩn này, cần có sự phân biệt giữa các thuật ngữ phương án lấy mẫu (3.1.26), chương trình lấy mẫu (3.1.27) và hệ thống lấy mẫu (3.1.28).
3.1.27
Chương trình lấy mẫu (sampling scheme)
Sự kết hợp các phương án lấy mẫu với quy tắc chuyển đổi từ phương án này đến phương án khác.
3.1.28
Hệ thống lấy mẫu (sampling system)
Tập hợp các phương án lấy mẫu, hoặc các chương trình lấy mẫu, mỗi phương án có các quy tắc riêng về chuyển đổi các phương án, cùng với quy trình lấy mẫu bao gồm các chuẩn mực để lựa chọn phương án hoặc chương trình phù hợp.
CHÚ THÍCH: Tiêu chuẩn này bao gồm một tập hợp các hệ thống lấy mẫu, mỗi hệ thống được xác định theo các bậc kiểm tra xác nhận và cỡ lô hoặc cỡ khoảng sản xuất.
3.1.29
Kiểm tra sàng lọc (screening inspection)
Kiểm tra 100 % và loại bỏ tất cả các cá thể hoặc phần không phù hợp tìm được.
CHÚ THÍCH: Kiểm tra sàng lọc có thể chỉ liên quan đến một loại sự không phù hợp cụ thể.
[NGUỒN: TCVN 8244-2:2010 (ISO 3534-2:2006), định nghĩa 4.1.7]
3.1.30
Khả năng truy xuất nguồn gốc (traceability)
Khả năng truy tìm về lịch sử, việc áp dụng hoặc vị trí của một đối tượng được xét.
CHÚ THÍCH 1: Khi xem xét sản phẩm, khả năng truy xuất nguồn gốc có thể liên quan đến:
- xuất xứ của vật liệu hay chi tiết, bộ phận,
- lịch sử quá trình chế tạo, và
- việc phân phối và vị trí của sản phẩm sau khi giao.
CHÚ THÍCH 2: Trong lĩnh vực đo lường, định nghĩa trong TCVN 6165 (ISO/IEC Guide 99) là định nghĩa được chấp nhận.
[NGUỒN: TCVN ISO 9000:2015 (ISO 9000:2015), định nghĩa 3.6.13]
3.1.31
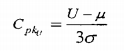
Chỉ số năng lực trên của quá trình (upper process capability index)
Chỉ số mô tả năng lực quá trình theo giới hạn quy định trên.
CHÚ THÍCH 1: Chỉ số năng lực trên của quá trình thường được ký hiệu là và biểu thị bằng hiệu giữa giới hạn quy định trên U và trung vị quá trình
, chia cho độ dài khoảng quy chiếu trên của quá trình trong trạng thái kiểm soát thống kê, là:

trong đó X0,998 65 là phân vị trên 0,001 35 của phân bố của đặc trưng chất lượng.
CHÚ THÍCH 2: Đối với phân bố chuẩn, trung vị quá trình,
đúng bằng trung bình quá trình μ và X0,998 65 = μ + 3σ, do đó:

CHÚ THÍCH 3: Lấy từ TCVN 8244-2:2010 (ISO 3534-2:2006), định nghĩa 2.7.4.
3.1.32
Khoảng quy chiếu trên (upper reference interval)
Khoảng giới hạn bởi phân vị 0,998 65, X0,998 65 và trung vị quá trình,
, biểu thị bằng hiệu X0,998 65 -
.
CHÚ THÍCH 1: Đối với phân bố chuẩn, khoảng quy chiếu trên X0,998 65 -
= (μ + 3σ) – μ = 3σ.
CHÚ THÍCH 2: Lấy từ TCVN 8244-2:2010 (ISO 3534-2:2006), định nghĩa 2.5.9.
3.1.33
Bậc kiểm tra xác nhận (verification level)
VL
Mức quan trọng hoặc tính hữu dụng của một đặc trưng đối với người sử dụng.
CHÚ THÍCH: Lượng nỗ lực nhằm đảm bảo sự phù hợp có thể được phân bổ trên cơ sở tầm quan trọng đối với người sử dụng. (Đặc trưng chính đòi hỏi nhiều nỗ lực kiểm tra xác nhận hơn so với đặc trưng phụ.) VL-7 đòi hỏi mức độ nỗ lực cao nhất và nỗ lực này sẽ giảm khi VL giảm đến bậc thấp nhất, VL-1. Bậc kiểm tra xác nhận T và R cũng được bao gồm để cho phép kiểm tra ngặt đối với VL-7 và kiểm tra giảm đối với VL-1.
3.2 Ký hiệu
| c | số cá thể không phù hợp trong mẫu |
| Cp | chỉ số năng lực quá trình (xem 3.1.19) |
| Cpk | chỉ số năng lực tối thiểu của quá trình (xem 3.1.13) |
| | chỉ số năng lực dưới của quá trình (xem 3.1.9) |
| | chỉ số năng lực trên của quá trình (xem 3.1.31) |
| F | hằng số chấp nhận đối với độ lệch chuẩn mẫu chuẩn hóa, |
|
| độ lệch chuẩn mẫu chuẩn hóa, nghĩa là |
| f | tần số lấy mẫu trong lấy mẫu liên tục (xem D.2.4) |
| fc | hệ số hiệu chính trong xác định Sc (xem D.2.2 và D.2.3) |
| i | số thông qua trong lấy mẫu liên tục (xem D.2.4) |
| k | hằng số chấp nhận đối với chỉ số chất lượng |
| L | giới hạn quy định dưới |
| na | cỡ mẫu đối với lấy mẫu định tính |
| na(N) | cỡ mẫu đối với lấy mẫu định tính trong kiểm tra thường |
| na(T) | cỡ mẫu đối với lấy mẫu định tính trong kiểm tra ngặt |
| nv | cỡ mẫu đối với lấy mẫu định lượng |
| Pa | xác suất chấp nhận |
| p | tỷ lệ không phù hợp của quá trình |
| Q | chỉ số chất lượng |
| QL | chỉ số chất lượng đối với giới hạn quy định dưới (xem D.2.2 và D.2.3) |
| QU | chỉ số chất lượng đối với giới hạn quy định trên (xem D.2.2 và D.2.3) |
| q | phần bù cho đơn vị 1 của tỷ lệ không phù hợp của quá trình (nghĩa là q = 1 - p) |
| Sc | tổng các bình phương đã hiệu chính (xem D.2.2 và D.2.3) |
| s | độ lệch chuẩn mẫu (xem D.2.2 và D.2.3) |
| s2 | phương sai mẫu (xem D.2.2 và D.2.3) |
| U | giới hạn quy định trên |
|
| trung bình mẫu (xem D.2.2 và D.2.3) |
|
| trung vị quá trình |
| X0,001 35 | phân vị 0,001 35 của quá trình |
| X0,998 65 | phân vị 0,998 65 của quá trình |
| μ | trung bình quá trình |
| σ | độ lệch chuẩn của quá trình |
4 Yêu cầu chung
4.1 Yêu cầu về sản phẩm
Nhà cung ứng được yêu cầu giao nộp sản phẩm đáp ứng tất cả các yêu cầu trong hợp đồng và quy định kỹ thuật. Việc áp dụng các hệ thống hoặc quy trình lấy mẫu của tiêu chuẩn này không làm giảm trách nhiệm của nhà cung ứng trong việc đáp ứng các yêu cầu hợp đồng về sản phẩm. Hệ thống quản lý chất lượng của nhà cung ứng, bao gồm các quá trình sản xuất và biện pháp kiểm soát chất lượng, phải được thiết lập và vận hành để tạo ra các sản phẩm đáp ứng tất cả các yêu cầu một cách nhất quán. Việc không có các yêu cầu về kiểm tra hoặc kiểm soát quá trình trong hợp đồng không giảm nhẹ trách nhiệm của nhà cung ứng đối với việc đảm bảo rằng tất cả các sản phẩm đều đáp ứng hoặc vượt yêu cầu của khách hàng.
4.2 Chấp nhận bằng bảng
4.2.1 Hệ thống lấy mẫu ưu tiên
Tiêu chuẩn này trình bày ba loại hệ thống lấy mẫu phù hợp dùng cho kiểm tra lấy mẫu sản phẩm được giao nộp cho khách hàng chấp nhận. Các hệ thống lấy mẫu này cung cấp cho việc kiểm tra mẫu lấy từ lô bằng phép đo định tính hoặc định lượng và cho việc lấy mẫu liên tục bằng phép đo định tính. Ba loại hệ thống lấy mẫu này được xác định bằng bảy bậc kiểm tra xác nhận (VL) quy định và năm chữ mã cỡ mẫu (CL). Mỗi loại trong số ba loại này cung cấp mức bảo vệ xấp xỉ bằng nhau, khi sử dụng cùng một chữ mã cỡ mẫu và mức kiểm tra xác nhận. Ở cùng một bậc kiểm tra xác nhận, nhà cung ứng có quyền lựa chọn sử dụng loại hệ thống lấy mẫu bổ trợ tốt nhất cho quá trình sản xuất.
4.2.2 Hình thành và nhận biết lô
Sản phẩm phải được tập hợp thành các lô hoặc lô con có thể nhận biết hoặc theo cách thức khác có thể được quy định. Trong chừng mực có thể, mỗi lô phải gồm các cá thể sản phẩm thuộc một loại, cấp, lớp, cỡ và thành phần, được sản xuất trong các điều kiện về cơ bản là giống nhau và ở cùng thời điểm. Các lô phải được nhà cung ứng nhận biết và phải được giữ nguyên vẹn trong khu vực lưu kho đầy đủ và phù hợp. Mặc dù cỡ lô không được dùng để lựa chọn phương án lấy mẫu liên tục nhưng việc hình thành lô có thể là nguyên nhân của tĩnh thuần nhất, thuận tiện trong vận chuyển và thuận lợi trong thanh toán.
4.2.3 Xác định phương án lấy mẫu
Phương án lấy mẫu phù hợp với tiêu chuẩn này được xác định theo các yếu tố sau đây:
a) bậc kiểm tra xác nhận (VL);
b) loại đặc trưng chất lượng (nghĩa là định tính hay định lượng);
c) loại lấy mẫu (nghĩa là lấy mẫu một lần hay lấy mẫu liên tục);
d) chữ mã cỡ mẫu (CL);
e) mức độ chặt chẽ của kiểm tra (thường, ngặt, giảm).
4.2.4 Lấy mẫu từ lô
4.2.4.1 Chọn các cá thể
Sử dụng lấy mẫu ngẫu nhiên đơn giản, các cá thể sản phẩm phải được lấy từ lô mà không xét đến chất lượng của chúng. Lấy mẫu ngẫu nhiên đơn giản đòi hỏi từng cá thể trong lô hoặc khoảng sản xuất phải có cùng xác suất được chọn vào mẫu. Khuyến nghị sử dụng các bảng số ngẫu nhiên, chương trình máy tính hoặc phương tiện phù hợp khác để có được tính ngẫu nhiên trong lấy mẫu hơn là chỉ đơn thuần dựa vào lựa chọn của con người.
4.2.4.2 Lấy mẫu ngẫu nhiên phân tầng theo tỷ lệ
Khi thích hợp, số cá thể trong mẫu phải được lựa chọn theo tỷ lệ với cỡ của lô con hoặc các phần của lô đó, xác định bởi một chuẩn mực hợp lý nhất định. Khi sử dụng lấy mẫu phân tầng, các cá thể từ từng lô con hoặc phần của lô phải được chọn bằng cách sử dụng lấy mẫu ngẫu nhiên đơn giản.
4.2.4.3 Quá trình lấy mẫu
Mẫu có thể được lấy sau khi tất cả các cá thể cấu thành lô đã được tập hợp, hoặc cá thể của mẫu có thể được lấy trong quá trình tập hợp lô, trong trường hợp này, cỡ lô phải được xác định trước khi lấy mẫu. Khi lô đáp ứng chuẩn mực chấp nhận của phương án lấy mẫu thì lô được chấp nhận và có thể giao nộp cho khách hàng.
4.2.4.4 Sản phẩm không phù hợp
Khi các cá thể của mẫu được lấy từ một lô hoặc trong quá trình tập hợp lô và cá thể không phù hợp được tìm thấy, nhà cung ứng phải từ chối chấp nhận lô đó hoặc phần của lô hoàn chỉnh cũng như tất cả việc sản xuất thêm xảy ra trước khi bắt đầu và kiểm tra xác nhận hành động khắc phục. Nhà cung ứng phải tiến hành các bước nhằm ngăn ngừa việc giao nộp sản phẩm không phù hợp đã biết bất kỳ cho khách hàng. Khách hàng có quyền từ chối chấp nhận bất kỳ cá thể không phù hợp được tìm thấy, cho dù cá thể đó có là bộ phận của mẫu hay không và cho dù toàn bộ lô đã được chấp nhận hay chưa.
4.2.4.5 Xử lý lô không phù hợp
Đối với lô bị từ chối chấp nhận, nhà cung ứng phải thực hiện tất cả các hành động dưới đây.
a) Sàng lọc lô và loại bỏ tất cả các cá thể không phù hợp.
b) Tiến hành các bước nhằm ngăn ngừa việc giao nộp bất kỳ cá thể không phù hợp đã biết cho khách hàng để chấp nhận.
c) Xác định nguyên nhân của sự không phù hợp và thực hiện việc thay đổi quá trình và hành động khắc phục thích hợp.
d) Tuân thủ các yêu cầu chuyển đổi của 5.1.1.6.
e) Làm lại hoặc sửa chữa các cá thể không phù hợp nếu điều khoản hợp đồng cho phép. Nhà cung ứng phải tham vấn đại diện khách hàng về các hành động được thực hiện, sản phẩm được sửa chữa phải được xử lý theo các điều khoản hợp đồng liên quan, lập thành văn bản và báo cáo cho khách hàng về sai lệch, từ chối hoặc nhân nhượng theo yêu cầu.
f) Kiểm tra sản phẩm được điều chỉnh theo phương án chất lượng của nhà cung cấp hoặc quy trình bằng văn bản trước khi giao cho khách hàng chấp nhận.
Khi lấy mẫu liên tục có hiệu lực, sự xuất hiện của cá thể không phù hợp trong khi ở giai đoạn lấy mẫu sẽ dẫn đến từ chối chấp nhận cá thể đó, quay về sàng lọc và bắt đầu hành động khắc phục. Nếu tìm thấy cá thể không phù hợp trong khi ở giai đoạn sàng lọc thì việc chấp nhận sẽ bị từ chối đối với cá thể đó và việc sàng lọc được tiếp tục cho đến khi đáp ứng các yêu cầu của 5.1.2.4.3.
4.3 Chấp nhận theo điều khoản do nhà cung ứng đề xuất
4.3.1 Quy định chung
Tiêu chuẩn này, khi được viện dẫn trong hợp đồng hoặc quy định kỹ thuật của sản phẩm, yêu cầu nhà cung ứng thực hiện kiểm tra lấy mẫu theo 4.2 và quy định kỹ thuật của sản phẩm. Tuy nhiên, thực tế là chỉ riêng kiểm tra lấy mẫu không kiểm soát hay cải tiến chất lượng. Chất lượng sản phẩm có được từ thiết kế sản phẩm, quá trình và các hoạt động kiểm soát quá trình. Khi những hoạt động này có hiệu lực, kiểm tra lấy mẫu là một nỗ lực thừa và là chi phí không cần thiết. Nhà cung ứng có hệ thống quản lý chất lượng được chấp nhận và chứng minh việc kiểm soát quá trình đối với những quá trình cụ thể được khuyến khích xem xét đệ trình các phương pháp chấp nhận thay thế đối với một hoặc nhiều đặc trưng quy định theo hợp đồng. Ngoài ra, nhà cung ứng có hệ thống quản lý chất lượng thành công và có lịch sử kiểm soát quá trình thành công đối với các sản phẩm/dịch vụ được mua sắm trong hợp đồng này, được khuyến khích đệ trình phương pháp chấp nhận thay thế hệ thống cho tất cả các yêu cầu kiểm tra lấy mẫu theo hợp đồng liên quan đến 4.2.
Những đệ trình này phải mô tả phương pháp chấp nhận thay thế, điều khoản kiểm tra lấy mẫu được thay thế, và đánh giá mức bảo vệ mà phương pháp thay thế mang lại khi so sánh với yêu cầu kiểm tra được thay thế. Phương pháp chấp nhận thay thế phải bao gồm bằng chứng về kiểm soát quá trình và năng lực trong quá trình sản xuất, cùng với chuẩn mực đầy đủ, quy trình đo và đánh giá để duy trì việc kiểm soát quá trình. Khả năng chấp nhận các phương pháp chấp nhận thay thế phụ thuộc vào sự tồn tại của hệ thống quản lý chất lượng, việc chứng tỏ sự hướng vào quá trình của hệ thống và sự sẵn có bằng chứng khách quan về tính hiệu lực (xem 5.2).
4.3.2 Yêu cầu và quy trình
Nhà cung ứng hiện đang vận hành hệ thống quản lý chất lượng, ví dụ TCVN ISO 9001 (ISO 9001), được coi là thỏa mãn đại diện khách hàng, có đủ điều kiện đề áp dụng các phương pháp chấp nhận thay thế nếu chứng tỏ sự hướng vào quá trình và có bằng chứng khách quan về tính hiệu lực.
Trong đề nghị phê duyệt phương pháp chấp nhận thay thế, nhà cung ứng phải đưa ra phương án đánh giá để định kỳ xác nhận độ ổn định, năng lực và các điều kiện khác của quá trình mà phương pháp chấp nhận thay thế được xây dựng trong các điều kiện đó. Giá trị năng lực tối thiểu của quá trình hiện được gợi ý tương đương với Cpk bằng 2,00 đối với các đặc trưng cốt yếu, 1,33 đối với các đặc trưng chính và 1,00 đối với các đặc trưng phụ. Đây là những mục tiêu động có tính lịch sử. Mức năng lực tối thiểu hoặc đích trong hợp đồng cần được xem xét kỹ và thống nhất giữa khách hàng và nhà cung ứng. Khi phê duyệt phương án đánh giá, kiểm tra lấy mẫu xác nhận theo các bảng của 5.1.2 có thể được giảm hoặc loại bỏ chừng nào chuẩn mực chấp nhận của phương án đánh giá được đáp ứng. Trong trường hợp đặc trưng cốt yếu, quá trình sàng lọc tự động hoặc phòng chống sai lỗi sẽ tiếp tục được thực hiện và chỉ có kiểm tra lấy mẫu VL-7 được giảm hoặc loại bỏ (xem 4.4).
4.3.3 Đệ trình và kết hợp các phương pháp chấp nhận thay thế
4.3.3.1 Đệ trình phương pháp chấp nhận thay thế
Có hai cách để đệ trình phương pháp chấp nhận thay thế:
a) đệ trình cho khách hàng hoặc đại diện khách hàng các phương pháp chấp nhận thay thế riêng lẻ cho một hoặc nhiều yêu cầu kiểm tra lấy mẫu quy định trong hợp đồng, như xác định trong hợp đồng, cho phê duyệt ở thời điểm bất kỳ trong thời gian thực hiện hợp đồng; hoặc
b) đệ trình cho khách hàng hoặc đại diện khách hàng phương pháp chấp nhận thay thế hệ thống, như xác định trong hợp đồng, trước hoặc sau khi trao hợp đồng. Phê duyệt trước khi giao hợp đồng cho phép nhà cung ứng áp dụng các phương pháp chấp nhận thay thế trong suốt thời hạn hợp đồng.
4.3.3.2 Kết hợp phương pháp chấp nhận thay thế
Tất cả các phương pháp chấp nhận thay thế được phê duyệt phải được kết hợp vào phương án sản xuất và chương trình chất lượng của nhà cung ứng hoặc phương tiện khác được cơ quan ký hợp đồng chấp nhận, khi thích hợp.
4.3.4 Thu hồi phê duyệt các phương pháp chấp nhận thay thế
Khách hàng có quyền thu hồi phê duyệt phương án chấp nhận thay thế mà thực tế phát hiện là đưa ra mức bảo vệ thấp hơn so với chương trình lấy mẫu kiểm tra của tiêu chuẩn này hoặc khi có biểu hiện mất khả năng duy trì độ ổn định và năng lực của quá trình theo thời gian.
4.4 Đặc trưng cốt yếu
Nếu không có quy định nào khác trong hợp đồng hoặc quy định kỹ thuật của sản phẩm, nhà cung ứng cần thực hiện các yêu cầu sau đối với từng đặc trưng cốt yếu:
a) thực hiện sàng lọc tự động hoặc áp dụng quá trình ngăn ngừa sự xuất hiện cá thể không phù hợp tới hạn (còn gọi là quá trình phòng chống sai lỗi); và
b) áp dụng VL-7 để kiểm tra xác nhận hiệu nàng của hoạt động sàng lọc hoặc quá trình phòng chống sai lỗi trên từng lô.
Việc phê duyệt phương pháp chấp nhận thay thế chỉ loại trừ hoặc giảm kiểm tra VL-7 chứ không loại trừ hay giảm sàng lọc 100 % hoặc quá trình phòng chống sai lỗi.
Trong trường hợp hợp đồng hoặc quy định kỹ thuật cho phép sàng lọc trực quan thì vẫn yêu cầu VL-7. Trên thực tế, nếu không có quy định nào khác trong hợp đồng hoặc quy định kỹ thuật, cho dù việc sàng lọc được thực hiện như thế nào thì VL-7 vẫn được yêu cầu cho kiểm tra xác nhận.
Sự xuất hiện một hoặc nhiều sự không phù hợp nặng yêu cầu hành động khắc phục và kiểm tra xác nhận tính hiệu lực của nó như quy định trong 4.5.
4.5 Dự phòng đặc biệt đối với sự không phù hợp nặng
Khi sự không phù hợp nặng được phát hiện ở giai đoạn sản xuất bất kỳ hoặc trong quá trình kiểm tra, cần thực hiện ngay tất cả các hành động sau:
a) ngăn ngừa việc giao cho khách hàng các cá thể không phù hợp nặng;
b) thông báo cho khách hàng;
c) nhận biết nguyên nhân;
d) thực hiện hành động khắc phục và kiểm tra xác nhận hiệu lực của nó;
e) sàng lọc tất cả các cá thể nghi ngờ sẵn có, nếu cá thể nghi ngờ có thể có cùng một sự không phù hợp nặng.
CHÚ THÍCH: "Tất cả các cá thể nghi ngờ sẵn có" cần bao gồm toàn bộ lô hoặc mẻ hoặc tất cả các cá thể được sản xuất trong khoảng sản xuất cuối cùng.
Hồ sơ về các hành động khắc phục và kết luận liên quan đến việc kiểm tra xác nhận hiệu lực của chúng phải được duy trì và có sẵn cho khách hàng.
5 Yêu cầu cụ thể
5.1 Chấp nhận theo bảng
5.1.1 Kiểm tra lấy mẫu
5.1.1.1 Quy định chung
Khi việc chấp nhận phải được thực hiện bằng cách sử dụng các bảng lấy mẫu được cung cấp trong tiêu chuẩn này thì áp dụng các xem xét dưới đây.
5.1.1.2 Xác định chữ mã
Tìm chữ mã bằng cách tra Bảng 1 với cỡ lô và bậc kiểm tra xác nhận. Sau đó, tìm phương án lấy mẫu bằng cách tra Bảng 2, Bảng 3 hoặc Bảng 4 với bậc kiểm tra xác nhận và chữ mã.
Bảng 1 - Chữ mã (CL) để nhập vào các bảng lấy mẫu
| Cỡ lô hoặc khoảng sản xuất | Bậc kiểm tra xác nhận (kiểm tra thường) | ||||||
| 7 | 6 | 5 | 4 | 3 | 2 | 1 | |
| 2 - 170 | A | A | A | A | A | A | A |
| 171 - 288 | A | A | A | A | A | A | B |
| 289 - 544 | A | A | A | A | A | B | C |
| 545 - 960 | A | A | A | A | B | C | D |
| 961 - 1 700 | A | A | A | B | C | D | E |
| 1 701 - 3 072 | A | A | B | C | D | E | E |
| 3 073 - 5 482 | A | B | C | D | E | E | E |
| 5 483 - 9 720 | B | C | D | E | E | E | E |
| 9 721 - 17 408 | C | D | E | E | E | E | E |
| 17 409 - 30 960 | D | E | E | E | E | E | E |
| 30 961 và lớn hơn | E | E | E | E | E | E | E |
Bảng 2 - Phương án lấy mẫu định tính
| Chữ mã | T | Bậc kiểm tra xác nhận | R | ||||||
| 7 | 6 | 5 | 4 | 3 | 2 | 1 | |||
| Cỡ mẫu (na) | |||||||||
| A | 3 250 | 1 290 | 512 | 200 | 80 | 32 | 12 | 5 | 3 |
| B | 4 096 | 1 625 | 645 | 256 | 100 | 40 | 16 | 6 | 3 |
| C | 5 160 | 2 048 | 810 | 320 | 128 | 50 | 20 | 8 | 3 |
| D | 6 500 | 2 580 | 1 024 | 400 | 160 | 64 | 25 | 10 | 4 |
| E | 8 192 | 3 250 | 1 290 | 512 | 200 | 80 | 32 | 12 | 5 |
| CHÚ THÍCH 1: Khi cỡ lô nhỏ hơn hoặc bằng cỡ mẫu, yêu cầu kiểm tra định tính 100 %. CHÚ THÍCH 2: Một bậc kiểm tra xác nhận (VL) phía trái/phải của VL thường quy định là phương án ngặt/giảm tương ứng. Kiểm tra ngặt của VL-7 là T, kiểm tra giảm của VL-1 là R. | |||||||||
Bảng 3 - Phương án lấy mẫu định lượng
| Chữ mã | T | Bậc kiểm tra xác nhận | R | |||||||
| 7 | 6 | 5 | 4 | 3 | 2 | 1 | ||||
| Cỡ mẫu (na) | ||||||||||
| A | 81 | 65 | 49 | 35 | 24 | 16 | 9 | 4 | 3 | |
| B | 86 | 68 | 53 | 39 | 27 | 18 | 11 | 5 | 3 | |
| C | 91 | 73 | 56 | 41 | 29 | 20 | 12 | 7 | 3 | |
| D | 100 | 79 | 59 | 44 | 32 | 22 | 14 | 8 | 3 | |
| E | 104 | 81 | 65 | 49 | 35 | 24 | 16 | 9 | 4 | |
|
| Giá trị k (một phía hoặc hai phía) | |||||||||
| A | 3,55 | 3,29 | 3,02 | 2,72 | 2,40 | 2,02 | 1,54 | 1,18 | 0 | |
| B | 3,61 | 3,36 | 3,09 | 2,80 | 2,48 | 2,12 | 1,69 | 1,22 | 0 | |
| C | 3,67 | 3,42 | 3,16 | 2,88 | 2,57 | 2,21 | 1,81 | 1,29 | 0 | |
| D | 3,72 | 3,48 | 3,23 | 2,95 | 2,65 | 2,31 | 1,91 | 1,44 | 1,14 | |
| E | 3,78 | 3,55 | 3,29 | 3,02 | 2,72 | 2,40 | 2,02 | 1,54 | 1,18 | |
|
| Giá trị F (hai phía) | |||||||||
| A | 0,136 | 0,145 | 0,157 | 0,174 | 0,193 | 0,222 | 0,271 | 0,370 | 0,707 | |
| B | 0,134 | 0,143 | 0,154 | 0,168 | 0,188 | 0,214 | 0,253 | 0,333 | 0,707 | |
| C | 0,132 | 0,140 | 0,152 | 0,165 | 0,182 | 0,208 | 0,242 | 0,301 | 0,707 | |
| D | 0,130 | 0,138 | 0,148 | 0,162 | 0,177 | 0,199 | 0,233 | 0,283 | 0,435 | |
| E | 0,128 | 0,136 | 0,145 | 0,157 | 0,174 | 0,193 | 0,222 | 0,271 | 0,370 | |
| CHÚ THÍCH 1: Khi cỡ lô nhỏ hơn hoặc bằng cỡ mẫu, yêu cầu kiểm tra 100 %. CHÚ THÍCH 2: Một bậc kiểm tra xác nhận (VL) phía trái/phải của VL thường quy định là phương án ngặt/giảm tương ứng. Kiểm tra ngặt của VL-7 là T, kiểm tra giảm của VL-1 là R. | ||||||||||
Bảng 4- Phương án lấy mẫu liên tục
| Chữ mã | T | Bậc kiểm tra xác nhận | R | ||||||
| 7 | 6 | 5 | 4 | 3 | 2 | 1 | |||
| Giai đoạn sàng lọc: số thông qua (i) | |||||||||
| A | 4 091 | 2 224 | 1 134 | 549 | 264 | 125 | 55 | 27 | N/A |
| B | 7 061 | 3 599 | 1 767 | 842 | 388 | 180 | 83 | 36 | N/A |
| C | 11 426 | 5 609 | 2 662 | 1 237 | 572 | 256 | 116 | 53 | N/A |
| D | 17 802 | 8 477 | 3 957 | 1 785 | 815 | 368 | 162 | 73 | N/A |
| E | 26 912 | 12 556 | 5 754 | 2 605 | 1 147 | 513 | 228 | 96 | N/A |
|
| Giai đoạn lấy mẫu: tần số (f) | ||||||||
| A | 1/3 | 4/17 | 1/6 | 2/17 | 1/12 | 1/17 | 1/24 | 1/34 | 1/48 |
| B | 4/17 | 1/6 | 2/17 | 1/12 | 1/17 | 1/24 | 1/34 | 1/48 | 1/68 |
| C | 1/6 | 2/17 | 1/12 | 1/17 | 1/24 | 1/34 | 1/48 | 1/68 | 1/96 |
| D | 2/17 | 1/12 | 1/17 | 1/24 | 1/34 | 1/48 | 1/68 | 1/96 | 1/136 |
| E | 1/12 | 1/17 | 1/24 | 1/34 | 1/48 | 1/68 | 1/96 | 1/136 | 1/192 |
| CHÚ THÍCH 1: Được phép sử dụng tổ hợp i và f khác với điều kiện là chúng được tính theo D.2.5. CHÚ THÍCH 2: Trong giai đoạn sàng lọc, một bậc kiểm tra xác nhận (VL) phía trái của VL thường quy định là phương án ngặt. Kiểm tra ngặt của VL-7 là T. Không có phương án giảm khi ở giai đoạn sàng lọc vì phần thưởng cho hiệu năng tốt trong quá trình sàng lọc là được chuyển sang lấy mẫu, và hình phạt phát sinh khi lấy mẫu giảm bị chuyển sang sàng lọc thường. Trong giai đoạn lấy mẫu, một bậc kiểm tra xác nhận (VL) phía trái/phải của VL thường quy định là phương án ngặt/giảm tương ứng. Kiểm tra ngặt của VL-7 là T, kiểm tra giảm của VL-1 là R. CHÚ THÍCH 3: Cá thể của mẫu được chọn với xác suất/sao cho từng cá thể sản phẩm có cơ hội được kiểm tra như nhau. Hệ quả của việc này là khoảng giữa các cá thể mẫu thay đổi đôi chút chứ không phải có cỡ không đổi. VÍ DỤ: Giả định f = 1/6. Trong 30 cá thể đầu tiên được sản xuất, nếu mỗi cá thể có cơ hội được chọn để kiểm tra là 1 trên 6, thì các cá thể sau đây có thể được chọn ngẫu nhiên: 2, 10, 19, 22 và 29. Chú ý là trong sáu cá thể đầu tiên được sản xuất, một cá thể được chọn ngẫu nhiên (nghĩa là cá thể 2) để kiểm tra. Trong tập hợp thứ hai của sáu cá thể, một cá thể được chọn ngẫu nhiên (nghĩa là cá thể 10). Trong tập hợp thứ ba của sáu cá thể (nghĩa là các cá thể từ 13 đến 18), không cá thể nào được chọn ngẫu nhiên. Trong tập hợp thứ tư của sáu cá thể, hai cá thể được chọn ngẫu nhiên (cá thể 19 và 22). Trong nhóm cuối cùng của sáu cá thể, một cá thể được chọn (cá thể 29) để kiểm tra. | |||||||||
5.1.1.3 Quy định bậc kiểm tra xác nhận
Bậc kiểm tra xác nhận (VL) được quy định trong hợp đồng hoặc quy định kỹ thuật của sản phẩm. VL có thể được quy định cho các đặc trưng riêng lẻ, cho một nhóm các đặc trưng hoặc nhóm con đặc trưng trong nhóm. VL và chữ mã (CL) từ Bảng 1 xác định phương án lấy mẫu yêu cầu để đánh giá sự phù hợp của sản phẩm với yêu cầu của hợp đồng và quy định kỹ thuật. Nhà cung ứng cần tạo ra và giao nộp sản phẩm phù hợp hoàn toàn với tất cả các yêu cầu. Lô hoặc khoảng sản xuất của sản phẩm đáp ứng hoặc vượt quá tất cả các yêu cầu một cách nhất quán sẽ được chấp nhận bởi phương án lấy mẫu của tiêu chuẩn này và sẽ dẫn đến đủ điều kiện cho các bậc lấy mẫu giảm.
5.1.1.4 Chọn bậc kiểm tra xác nhận
Đối với các đặc trưng cốt yếu, cần luôn sử dụng VL-7. Kiểm tra này là kiểm tra xác nhận quá trình sàng lọc tự động hoặc phòng chống sai lỗi được thực hiện theo 4.4. Đối với các đặc trưng chính, thường nên sử dụng các VL từ 3 đến 6. Đối với các đặc trưng phụ, thường nên sử dụng các VL từ 1 đến 3. Đặc trưng càng quan trọng thì VL càng cao. VL thấp hơn cũng có thể được xem xét khi cần cỡ mẫu tương đối nhỏ và rủi ro lấy mẫu lớn có thể hoặc phải được cho phép, ví dụ, khi chi phí kiểm tra cao. Nếu không quy định VL, thì cần sử dụng VL-4 cho các đặc trưng chính và VL-2 cho các đặc trưng phụ.
Các bảng trong Phụ lục E có thể hỗ trợ người tiêu dùng quyết định chọn VL nào. Mặc dù tiêu chuẩn này có mục tiêu là chấp nhận sản phẩm ở mức không thấp hơn phần triệu mức chất lượng, nhưng đôi khi trong việc lựa chọn VL người tiêu dùng được hướng dẫn bởi việc kiểm tra các rủi ro gắn với các phương án riêng lẻ. Ví dụ, giả định mong muốn sử dụng phương án định tính và dự kiến sử dụng chữ mã A. Giả định thêm rằng người tiêu dùng cố gắng quyết định giữa VL-3 và VL-4, chúng yêu cầu cỡ mẫu tương ứng là 32 và 80. Bảng E.4 b) của Phụ lục E cho thấy là phương án VL-3 có 10 % rủi ro chấp nhận lô nếu phần trăm không phù hợp thực tế là 6,94 % trong khi phương án VL-4 có 10 % rủi ro chấp nhận lô nếu phần trăm không phù hợp là 2,84 %. Người tiêu dùng có thể chọn phương án VL-4 nếu rủi ro chấp nhận sản phẩm ở tỷ lệ không phù hợp 6,94 % được coi là không thể chấp nhận.
5.1.1.5 Quy trình lấy mẫu
Việc lấy mẫu được thực hiện ở một trong ba mức chặt chẽ của kiểm tra là thường, ngặt và giảm. Nếu không có quy định nào khác, VL được nêu trong hợp đồng phải được coi là mức kiểm tra thường và phải được sử dụng khi bắt đầu kiểm tra. Sau đó, mức ngặt và giảm được xác định tương ứng là các VL ngay bên trái và bên phải của mức ban đầu ở Bảng 2, Bảng 3 hoặc Bảng 4. Mức chặt chẽ của kiểm tra lấy mẫu đang tiến hành phải được duy trì không đổi cho mỗi nhóm đặc trưng hoặc đặc trưng riêng lẻ ngoại trừ trường hợp quy trình chuyển đổi nêu trong 5.1.1.6 yêu cầu thay đổi. Quy trình chuyển đổi phải được áp dụng riêng cho từng đặc trưng riêng lẻ trừ khi các đặc trưng được xác định là thuộc về một nhóm với một VL đơn được áp dụng cho toàn bộ nhóm đó.
5.1.1.6 Quy tắc và quy trình chuyển đổi
5.1.1.6.1 Quy định chung
Quy trình chuyển đổi giữa kiểm tra thường, ngặt và giảm được nêu trong Chú thích 2 của Bảng 2, Bảng 3 và Bảng 4. Phụ lục C cung cấp thêm hướng dẫn về việc tuân thủ các quy trình chuyển đổi.
Quy trình chuyển đổi độc lập với kết quả của mọi hành động sửa chữa, ví dụ như sàng lọc, mẫu bổ sung, v.v..., do sự không phù hợp của mẫu và sự từ chối chấp nhận.
Một số chuẩn mực chuyển đổi của Bảng 4 phụ thuộc vào mục tương ứng của Bảng 2. Các mục này được ký hiệu là na(N) và na(T) trong các mô tả sau đó. na(N) thể hiện cỡ mẫu của Bảng 2 dùng cho lấy mẫu thường ở VL và CL hiện đang có hiệu lực. Tương tự, na(T) thể hiện cỡ mẫu trong kiểm tra ngặt.
5.1.1.6.2 Thường sang ngặt
Khi đang tiến hành kiểm tra thường, phải chuyển sang kiểm tra ngặt khi xảy ra một trong các điều kiện dưới đây, tùy thuộc vào loại lấy mẫu được sử dụng.
a) Trong trường hợp lấy mẫu theo lô (Bảng 2 và Bảng 3):
hai lô đã bị từ chối chấp nhận trong ít nhất 5 lô hoặc ít hơn.
b) Trong trường hợp lấy mẫu liên tục (Bảng 4):
trong khi ở sàng lọc thường hoặc lấy mẫu thường, phát hiện hai cá thể không phù hợp trong giai đoạn kiểm tra (bao gồm tất cả các cá thể được kiểm tra dù trong lấy mẫu hay sàng lọc) tổng cộng không quá 5 lần na(N). Trong trường hợp này, phải chuyển đổi từ sàng lọc thường hoặc lấy mẫu thường sang sàng lọc ngặt.
5.1.1.6.3 Ngặt sang thường
Khi đang tiến hành kiểm tra ngặt, phải chuyển sang kiểm tra thường khi đáp ứng hai điều kiện dưới đây.
a) Nguyên nhân việc tạo ra sự không phù hợp được khắc phục.
b) Trong trường hợp lấy mẫu theo lô (Bảng 2 và Bảng 3):
5 lô liên tiếp được chấp nhận;
hoặc, trong trường hợp lấy mẫu liên tục (Bảng 4):
trong khi ở lấy mẫu ngặt, không phát hiện thấy cá thể không phù hợp nào trong giai đoạn kiểm tra (bao gồm tất cả các cá thể được kiểm tra dù trong lấy mẫu hay sàng lọc) tổng cộng ít nhất 5 lần na(T) cá thể. Trong trường hợp này, phải chuyển đổi từ lấy mẫu ngặt sang lấy mẫu thường.
5.1.1.6.4 Thường sang giảm
Khi đang tiến hành kiểm tra thường, phải chuyển sang kiểm tra giảm nếu đáp ứng tất cả các điều kiện dưới đây.
a) Trong trường hợp lấy mẫu theo lô (Bảng 2 và Bảng 3):
10 lô liên tiếp được chấp nhận khi ở kiểm tra thường;
hoặc, trong trường hợp lấy mẫu liên tục (Bảng 4):
trong khi ở lấy mẫu thường, không phát hiện thấy cá thể không phù hợp nào trong giai đoạn kiểm tra (bao gồm tất cả các cá thể được kiểm tra dù trong lấy mẫu hay sàng lọc) tổng cộng ít nhất 10 lần na(N) cá thể. Trong trường hợp này, phải chuyển đổi từ lấy mẫu thường sang lấy mẫu giảm.
b) Sản xuất ở tốc độ ổn định.
c) Hệ thống quản lý chất lượng của nhà cung ứng được bộ phận có thẩm quyền cho là đáp ứng yêu cầu.
d) Bộ phận có thẩm quyền yêu cầu kiểm tra giảm.
5.1.1.6.5 Giảm sang thường
Khi đang tiến hành kiểm tra giảm, phải chuyển sang kiểm tra thường nếu xảy ra một hoặc nhiều điều kiện dưới đây.
a) Trong trường hợp lấy mẫu theo lô (Bảng 2 và Bảng 3):
lô không được chấp nhận;
hoặc, trong trường hợp lấy mẫu liên tục (Bảng 4):
phát hiện thấy cá thể không phù hợp trong kiểm tra lấy mẫu.
b) Sản xuất trở nên không thường xuyên hoặc chậm trễ.
c) Hệ thống quản lý chất lượng của nhà cung ứng không đáp ứng yêu cầu.
d) Các điều kiện khác dẫn đến phải áp dụng lại kiểm tra thường.
Nếu việc chuyển đổi được thực hiện trong khi tiến hành lấy mẫu liên tục giảm thì phải chuyển sang sàng lọc thường.
5.1.1.6.6 Ngừng kiểm tra
Nếu xảy ra điều kiện a) hoặc b) dưới đây, khách hàng có quyền ngừng việc kiểm tra sản phẩm cho đến khi nguyên nhân của sự không phù hợp được loại trừ hoặc những sửa chữa khác mà khách hàng chấp nhận được thực hiện. Khi bắt đầu lại kiểm tra lấy mẫu sau khi ngừng kiểm tra, phải bắt đầu ở mức kiểm tra ngặt.
a) Trong trường hợp lấy mẫu theo lô:
số lô không được chấp nhận trong loạt lô liên tiếp đạt dồn đến 5 trong kiểm tra ngặt lần đầu.
b) Trong trường hợp lấy mẫu liên tục:
trong quá trình sàng lọc ngặt, phát hiện cá thể không phù hợp trước khi tìm được i cá thể liên tiếp và số cá thể được sàng lọc bằng hoặc lớn hơn 10 lần na(T).
5.1.2 Bảng kiểm tra lấy mẫu ưu tiên
5.1.2.1 Quy định chung
Liên quan đến quy tắc chuyển đổi, xem Phụ lục D về các ví dụ tính toán trong việc xác định sự phù hợp với các yêu cầu bằng cách sử dụng các phương án lấy mẫu định tính, định lượng và liên tục tương ứng nêu trong Bảng 2, Bảng 3 và Bảng 4.
5.1.2.2 Phương án lấy mẫu định tính để kiểm tra lô
5.1.2.2.1 Phương án ưu tiên
Phương án lấy mẫu định tính ưu tiên đối với lô được mô tả trong Bảng 2 đối với kiểm tra thường, ngặt và giảm. Số đơn vị của mẫu được kiểm tra phải bằng cỡ mẫu nêu trong phương án ngay cả khi phát hiện cá thể không phù hợp trước khi kiểm tra hết tất cả các cá thể trong phương án lấy mẫu.
5.1.2.2.2 Chuẩn mực chấp nhận
Lô chỉ được coi là chấp nhận được nếu không phát hiện thấy cá thể không phù hợp nào khi kiểm tra mẫu ngẫu nhiên có cỡ liệt kê trong Bảng 2.
5.1.2.3 Phương án lấy mẫu định lượng để kiểm tra lô
5.1.2.3.1 Phương án ưu tiên
Phương án lấy mẫu định lượng ưu tiên đối với lô được mô tả trong Bảng 3 đối với kiểm tra thường ngặt và giảm. Số đơn vị của mẫu được kiểm tra phải bằng cỡ mẫu nêu trong phương án ngay cả khi phát hiện cá thể không phù hợp trước khi kiểm tra hết tất cả các cá thể trong phương án lấy mẫu.
5.1.2.3.2 Hạn chế sử dụng
Lấy mẫu định lượng không được sử dụng một cách tùy ý. Việc sử dụng phải phụ thuộc vào bằng chứng là các giả định về tính độc lập và tính chuẩn được đáp ứng, đưa ra bởi các phân tích đồ thị hoặc thống kê. Xem các ví dụ trong TCVN 9603 (ISO 5479)[1] về kiểm nghiệm sai lệch so với phân bố chuẩn. Lấy mẫu định tính phải được sử dụng khi không có bằng chứng đảm bảo cho việc sử dụng lấy mẫu định lượng.
5.1.2.3.3 Cá thể không phù hợp
Đối với mục đích lấy mẫu định lượng, cá thể sản phẩm phải được coi là không phù hợp nếu giá trị đo được của đặc trưng chất lượng của nó nằm ngoài dung sai quy định.
5.1.2.3.4 Chuẩn mực chấp nhận
Lô phải được coi là chấp nhận được nếu mẫu của lô đó không có cá thể không phù hợp và đáp ứng chuẩn mực k và F (xem Bảng 3) được áp dụng. Nếu mẫu có cá thể không phù hợp, hoặc nếu mẫu không đáp ứng chuẩn mực k, hoặc nếu mẫu không đáp ứng chuẩn mực F (khi áp dụng), thì lô không đáp ứng chuẩn mực chấp nhận.
a) chuẩn mực k, quy định một phía. Đối với quy định một phía, đại lượng (
- L) / s hoặc, trong trường hợp giới hạn trên, (U -
) / s, phải lớn hơn hoặc bằng hằng số chấp nhận k quy định trong Bảng 3 để đáp ứng chuẩn mực k.
b) chuẩn mực k, quy định hai phía. Đối với quy định hai phía, mỗi đại lượng (
- L) / s và (U -
) / s, phải lớn hơn hoặc bằng hằng số chấp nhận k quy định trong Bảng 3 để đáp ứng chuẩn mực k. Khi các VL không bằng nhau đối với cả hai giới hạn quy định thì phải sử dụng VL đánh số cao hơn, cùng với cỡ mẫu và hằng số chấp nhận của nó cho cả hai phía.
c) chuẩn mực F (chỉ áp dụng trong quy định hai phía). Đối với quy định hai phía, đại lượng
= s / (U - L) phải nhỏ hơn hoặc bằng hằng số chấp nhận F quy định trong Bảng 3 để đáp ứng chuẩn mực F.
5.1.2.4 Lấy mẫu liên tục bằng phương án kiểm tra định tính
5.1.2.4.1 Phương án ưu tiên
Phương án lấy mẫu liên tục ưu tiên để kiểm tra định tính được mô tả trong Bảng 4 đối với kiểm tra thường, ngặt và giảm.
5.1.2.4.2 Điều kiện đối với quy trình lấy mẫu liên tục
Phải có các điều kiện sau đây trước khi sử dụng quy trình lấy mẫu liên tục định tính theo điều này để kiểm tra:
a) dòng cá thể liên tục;
b) không gian rộng rãi, thiết bị và nhân lực tại hoặc gần trạm kiểm tra để cho phép kiểm tra 100 % khi yêu cầu;
c) quá trình tạo ra hoặc có khả năng tạo ra vật liệu có chất lượng ổn định.
5.1.2.4.3 Quy trình kiểm tra lấy mẫu liên tục
Khi bắt đầu sản xuất, tất cả các cá thể đều được kiểm tra. Kiểm tra lấy mẫu có thể bắt đầu ở tần số f khi đáp ứng hai điều kiện dưới đây.
a) Tất cả các cá thể sản phẩm có cùng cấu hình và được sản xuất trong các điều kiện ổn định.
b) Ít nhất i cá thể liên tiếp (xem số thông qua trong Bảng 4) được kiểm tra không có sự không phù hợp nào.
Kiểm tra lấy mẫu phải kết thúc và bắt đầu lại kiểm tra 100 % nếu xuất hiện một hoặc nhiều điều kiện dưới đây:
- quá trình sản xuất gián đoạn trong nhiều hơn ba ngày hoạt động;
- không còn đáp ứng được yêu cầu tất cả các cá thể sản phẩm có cùng cấu hình và được sản xuất trong các điều kiện ổn định;
- tìm thấy cá thể có sự không phù hợp trong quá trình lấy mẫu.
Có thể bắt đầu lại kiểm tra lấy mẫu khi đáp ứng điều kiện a) và b) đối với việc bắt đầu lấy mẫu.
5.1.2.4.4 Chuẩn mực chấp nhận
Trong lấy mẫu liên tục, các cá thể sản phẩm được xác định là chấp nhận được hay không chủ yếu là trên cơ sở cá thể riêng lẻ. Khi thực hiện kiểm tra 100 %, từng cá thể một được kiểm tra riêng lẻ và theo đó được phân loại thành cá thể phù hợp hoặc không phù hợp và được chấp nhận hay không được chấp nhận. Trong khi thực hiện kiểm tra trên cơ sở lấy mẫu, mỗi cá thể kiểm tra được phân loại là được chấp nhận hoặc không được chấp nhận tùy thuộc vào việc tìm thấy sự phù hợp hay không phù hợp và mỗi cá thể không kiểm tra được coi là phù hợp, do đó được chấp nhận. (Xem 5.1.2.4.5.)
5.1.2.4.5 Dự phòng đặc biệt cho cá thể không phù hợp nặng
Ngoài các quy định của 4.5, nếu cá thể không phù hợp nặng được tìm thấy trong quá trình kiểm tra lấy mẫu, phải kiểm tra tất cả các sản phẩm tính từ cá thể phù hợp cuối cùng được tìm thấy.
5.2 Chấp nhận theo quy định do nhà cung ứng đề xuất
5.2.1 Quy định chung
Để có thể xem xét một phương pháp chấp nhận thay thế, nhà cung ứng phải thiết lập và thực hiện hệ thống quản lý chất lượng nội bộ trên cơ sở phòng ngừa như một phương tiện đảm bảo rằng tất cả các sản phẩm phù hợp với yêu cầu quy định trong hợp đồng, các quy định kỹ thuật và tiêu chuẩn liên quan. Khả năng chấp nhận của hệ thống quản lý chất lượng như một phần yêu cầu đối với các phương pháp chấp nhận thay thế phụ thuộc vào sự phù hợp của hệ thống đó với mô hình hệ thống quản lý chất lượng được chấp nhận trong ngành, sự chứng tỏ hướng vào quá trình của nó và sự sẵn có bằng chứng khách quan về việc thực hiện và hiệu lực của hệ thống.
5.2.2 Hệ thống quản lý chất lượng
Hệ thống quản lý chất lượng phải được lập thành văn bản và phải chịu sự xem xét tại chỗ của khách hàng trong suốt hợp đồng. Ít nhất là hệ thống phải bao gồm mô tả về cơ cấu tổ chức, trách nhiệm, nguồn lực và phải viện dẫn các quá trình và quy trình thích hợp. Tài liệu này được gọi là sổ tay chất lượng. Nhà cung ứng phải duy trì, phân phối, cập nhật và cải tiến sổ tay chất lượng để đảm bảo việc sử dụng liên tục và độ chính xác của nó. Thiết kế và tài liệu của sổ tay chất lượng phải cho phép nhân sự trong nội bộ cũng như khách hàng dễ dàng sử dụng, soát xét và đánh giá.
5.2.3 Hệ thống quản lý chất lượng trên cơ sở phòng ngừa
Hệ thống quản lý chất lượng phải trên cơ sở phòng ngừa. Các mô hình hệ thống quản lý chất lượng phổ biến phản ánh triết lý này bao gồm cả những yêu cầu trong TCVN ISO 9001 (ISO 9001) và TCVN ISO 9004 (ISO 9004), cũng như các tiêu chuẩn và quy trình quản lý chất lượng cụ thể của ngành. Hệ thống quản lý chất lượng cũng phản ảnh các nhu cầu bổ sung phù hợp với các yêu cầu của tiêu chuẩn này. Cho dù lựa chọn mô hình nào, hệ thống quản lý chất lượng phải chứng tỏ quan điểm phòng ngừa thông qua việc đáp ứng các mục tiêu sau đây trong toàn bộ các khu vực hiệu lực của hợp đồng:
a) hệ thống quản lý chất lượng được thông hiểu và thực hiện bởi tất cả các nhân sự có ảnh hưởng tới chất lượng sản phẩm hoặc quá trình;
b) sản phẩm và dịch vụ đáp ứng hoặc cao hơn các yêu cầu của khách hàng;
c) chất lượng được kiểm soát một cách kỹ lưỡng và kinh tế;
d) nhấn mạnh vào việc phòng ngừa những sai lệch của quá trình và sự không phù hợp của sản phẩm;
e) sai lệch và không phù hợp xảy ra được phát hiện dễ dàng và hành động khắc phục nguyên nhân gốc rễ được thực hiện và kiểm tra xác nhận;
f) sử dụng phương pháp giải quyết vấn đề và thống kê hợp lý để liên tục giảm độ biến động của quá trình, từ đó cải tiến năng lực quá trình và chất lượng sản phẩm;
g) hồ sơ được lưu giữ để chỉ ra việc thực hiện hệ thống quản lý chất lượng và hiệu lực của các quy trình kiểm soát.
5.2.4 Sự hướng vào quá trình của hệ thống quản lý chất lượng
Để chứng minh sự hướng vào quá trình, nhà cung ứng phải chứng tỏ rằng quá trình sản xuất và các quá trình liên quan được nghiên cứu và được thông hiểu, kiểm soát, lập thành văn bản để chứng tỏ chúng
a) luôn tạo ra sản phẩm phù hợp,
b) được kiểm soát càng về phía đầu nguồn càng tốt,
c) vững chắc với sự biến động của thiết bị, nguyên liệu thô và các đầu vào khác của quá trình, và được thiết kế để có được sản phẩm có chất lượng,
d) được vận hành với mục đích luôn cố gắng giảm độ biến động quá trình/sản phẩm,
e) được thiết kế để sử dụng thiết bị sản xuất với mục tiêu biến động ít nhất quanh giá trị mục tiêu,
f) được quản lý để cải tiến liên tục, và
g) được thiết kế và kiểm soát bằng cách sử dụng kết hợp các thực hành sản xuất với phương pháp thống kê để đảm bảo phòng chống sai lỗi và cải tiến quá trình.
5.2.5 Bằng chứng khách quan về việc thực hiện và hiệu lực của hệ thống quản lý chất lượng
CHÚ THÍCH: Thông tin chi tiết cho nhiều hạng mục của điều này có thể tìm được trong các tiêu chuẩn liệt kê ở Thư mục tài liệu tham khảo hoặc ở sách giáo khoa.
5.2.5.1 Ví dụ về bằng chứng cho việc cải tiến quá trình
a) Lưu đồ dòng quá trình thể hiện các điểm kiểm soát quan trọng tại đó hành động phòng ngừa việc sản xuất sản phẩm không phù hợp được thực hiện.
b) Nhận biết kỹ thuật và công cụ cải tiến quá trình được sử dụng, ví dụ như chu trình PDCA (Kế hoạch-Thực hiện-Kiểm tra-Hành động), FMEA (phân tích ảnh hưởng và chế độ sai lỗi): phân tích Pareto, phân tích nguyên nhân-kết quả và hiệu năng 6 sigma.
c) Nhận biết các biện pháp sử dụng, ví dụ như phân tích xu hướng, chi phí cho chất lượng, giảm thời gian chu kỳ, tỷ lệ sai hỏng và các chỉ số năng lực quá trình.
d) Kết quả của các cải tiến từ việc sử dụng các công cụ cải tiến quá trình này.
e) Kết quả của các thực hiện được hoạch định đúng đắn dẫn đến giảm độ biến động của quá trình vì nguyên nhân thông thường và cải thiện năng suất.
5.2.5.2 Ví dụ về bằng chứng cho kiểm soát quá trình
a) Nhận biết phạm vi sử dụng các kỹ thuật kiểm soát quá trình, ví dụ như kiểm soát thống kê quá trình (SPC), tự động hóa, đọ dưỡng, kiểm tra xác nhận sự thiết lập, bảo dưỡng phòng ngừa và kiểm tra trực quan.
b) Phương án kiểm soát quá trình, bao gồm cả các mục tiêu cải tiến và tuyên bố về cam kết thực hiện SPC của lãnh đạo.
c) Cách tiếp cận và dữ liệu hỗ trợ được sử dụng để xác định việc nhà cung ứng có được kiểm soát thích đáng nhằm đảm bảo không sản xuất và phân phối sản phẩm không phù hợp hay không.
d) Mô tả việc đào tạo cần thiết về SPC và/hoặc cải tiến liên tục, nghĩa là số lượng các khóa đào tạo và nội dung của chúng, các khóa cần cho nhân sự ở từng cấp độ tổ chức và chức năng liên quan đến hệ thống quản lý chất lượng, trình độ của hướng dẫn viên hoặc giảng viên cho các lớp SPC, sự hỗ trợ tham gia các khóa học của lãnh đạo và thông tin chứng minh hiệu lực của việc đào tạo.
e) Nhận biết và xác định mối quan hệ tương tác của tất cả các bộ phận (ví dụ sản xuất, kỹ thuật, mua hàng, maketing, quản trị, ...) tham gia vào SPC và cải tiến chất lượng, trách nhiệm của họ và việc sử dụng các nhóm.
f) Khi sử dụng các biểu đồ kiểm soát, nêu lý do của việc thiết lập các nhóm con hợp lý và tần số lấy mẫu; các quy trình xác định và cập nhật giới hạn kiểm soát; và chuẩn mực xác định các điều kiện nằm ngoài tầm kiểm soát.
g) Nhận biết các tham số quan trọng của quá trình ảnh hưởng trực tiếp đến một hoặc nhiều đặc trưng sản phẩm quy định, kiểm tra xác nhận mối tương quan của các tham số đó với các đặc trưng và mô tả các giai đoạn của quá trình sản xuất có trách nhiệm đối với các tham số này.
h) Nhận biết nhân sự chịu trách nhiệm về hành động khắc phục liên quan đến quá trình.
i) Phân tích hệ thống đo đúng đắn cho thấy độ biến động của phép đo so với biến động toàn phần.
j) Khả năng truy tìm nguồn gốc của sản phẩm và khả năng truy tìm nguồn gốc của hành động khắc phục quá trình được thực hiện khi quá trình có sự không ổn định về thống kê, lập thành văn bản việc nhận biết và toại trừ nguyên nhân gốc rễ.
5.2.5.3 Ví dụ về bằng chứng cho sự phù hợp của sản phẩm
a) Biểu đồ kiểm soát thể hiện quá trình trong trạng thái kiểm soát thống kê phù hợp với chuẩn mực nêu trong 5 2.5.2 f).
b) Hồ sơ hành động khắc phục liên quan đến sản phẩm và quá trình được thực hiện khi xuất hiện sự không phù hợp.
c) Nghiên cứu về năng lực quá trình bao gồm việc tính toán đúng và giải thích các chỉ số, ví dụ Cp và Cpk.
d) Lịch sử kết quả kiểm tra sản phẩm được củng cố bằng các dữ liệu và phân tích thống kê.
e) Kết quả từ phương pháp kiểm soát trong quá trình, như lắp ráp tự động và/hoặc kiểm tra 100 %.
Phụ lục A
(tham khảo)
Vì sao số chấp nhận bằng 0?
Các phương án có số chấp nhận bằng 0 tiêu chuẩn này được hình thành với sự hiểu biết rõ ràng về những điểm sau đây:
a) việc tuân thủ số không phù hợp bằng 0 trong mẫu không có nghĩa là tổng thể không có sự không phù hợp nào;
b) kỳ vọng không có sự không phù hợp nào trong toàn bộ tổng thể sản phẩm có thể là không hợp lý;
c) phương án số chấp nhận bằng 0 có thể không phân biệt được như phương án có số chấp nhận lớn hơn 0.
Tuy nhiên, có thể mong muốn sử dụng phương án lấy mẫu chấp nhận sự không phù hợp bằng 0 vì những nguyên nhân nêu dưới đây.
- Khách hàng thường không thích có nhận thức rằng mức phần trăm nhỏ sản phẩm không phù hợp sẽ được chấp nhận hay thậm chí là được phép. Dù có chủ ý hay không, khi sử dụng phương án lấy mẫu có số chấp nhận bằng 1, ví dụ, n = 100, làm sao để nhà cung ứng không gây ấn tượng rằng khách hàng có thể hoàn toàn thỏa mãn, nếu không nói là vui vẻ, khi tiếp nhận sản phẩm có 1 % không phù hợp?
- Nếu người sử dụng thực sự kỳ vọng sản phẩm có mức chất lượng gần như hoàn hảo (ví dụ, từ 0 đến 20 phần triệu không phù hợp), khi đó việc cho phép có một đến hai sự không phù hợp trong mẫu cỡ n = 50 hoặc n = 100 sẽ có thể không nhất quán với mong đợi của người sử dụng. Nó sẽ mâu thuẫn với công bố là tổng thể có mức không phù hợp tính bằng phần triệu thấp.
- Sử dụng phương án có số chấp nhận lớn hơn 0 có xu hướng không khuyến khích mong muốn cải tiến liên tục của nhà cung ứng. Nếu nhà cung ứng biết rằng có thể chấp nhận một phần trăm không phù hợp nhất định thì sẽ có ít động lực để cải tiến liên tục.
Cần hiểu rằng nếu sử dụng phương án có số chấp nhận bằng 0 như một "hành động độc lập", ta có thể kỳ vọng rằng chỉ có thể có một con đường là đạt mức chất lượng cao hơn do sự lo sợ của nhà cung ứng nếu có nhiều lô bị bác bỏ. Kiểm soát quá trình là cần thiết để ổn định, theo dõi và cải tiến quá trình. Khi đó, kiểm soát quá trình đi kèm với các phương án có số chấp nhận bằng 0, nếu cần, để xác nhận hoặc "kiểm tra đột xuất" việc kiểm soát quá trình đang thực sự hiệu lực. Trong tiêu chuẩn này, các phương án có số chấp nhận bằng 0 cũng cần thiết khi kiểm soát quá trình chưa có hoặc chưa đạt đến mức độ chín muồi. Chủ đề của tiêu chuẩn này là kiểm soát quá trình có tầm quan trọng hàng đầu; phương án lấy mẫu chấp nhận là quan trọng thứ hai.
Phụ lục B
(tham khảo)
Xử lý lô khi khách hàng từ chối chấp nhận
B.1 Quyết định về việc cần phải làm gì với số lượng hàng hóa khi các kết quả kiểm tra hoặc bằng chứng khách quan không đáp ứng các chuẩn mực chấp nhận có thể là một quá trình phức tạp. Tuy nhiên, kết quả thường xuyên nhất lại đơn giản: khách hàng từ chối nhận hàng hóa và từ chối thanh toán còn nhà cung ứng sẽ thải loại hàng hóa hoặc cố gắng bán cho khách hàng khác, thường với giá thấp hơn.
Trong một số tình huống, kết quả này có thể không hợp lý với một trong hai bên. Ví dụ là:
a) khách hàng có thể hoàn toàn cần sản phẩm và không có nguồn nào khác có thể cung cấp hàng một cách kịp thời và kinh tế;
b) nhà cung ứng có thể không có khách hàng khác cho sản phẩm đó và tổn thất kinh tế của việc thải loại hàng là quá cao;
c) bằng chứng khách quan có thể cho thấy sự sai lệch với chuẩn mực chấp nhận đủ nhỏ để sản phẩm vẫn hữu ích cho khách hàng.
B.2 Trong tình huống này, có thể có sự thương lượng giữa khách hàng và nhà cung ứng nằm ngoài phạm vi ban đầu của hợp đồng, cũng như phạm vi của tiêu chuẩn này. Đoạn tiếp theo (B.3) liệt kê ví dụ về các loại sự kiện/xem xét có thể xảy ra trong các cuộc thương lượng. Chúng được đưa ra để tham khảo nhưng với chú ý đặc biệt: nghĩa vụ theo hợp đồng của khách hàng chấm dứt khi lô không đáp ứng chuẩn mực chấp nhận, và tất cả các hành động sau đó, nhất thiết, là những sửa đổi của hợp đồng.
B.3 (Chấp nhận/bác bỏ lô đã biết số không phù hợp.) Hành động xử lý có thể phụ thuộc vào tần số, tính chất và mức độ nghiêm trọng của sự không phù hợp, và mức độ phù hợp để sử dụng của cá thể không phù hợp. Khách hàng thường ủy thác quyền quyết định cho đại diện của mình đối với các đặc trưng phụ và chỉ theo dõi sự thích đáng của quá trình quyết định đó. Đối với các đặc trưng chính và đặc trưng cốt yếu, khách hàng hiếm khi cho phép đại diện của mình đưa ra quyết định xử lý. Khi đó, việc sửa đổi đề xuất cho hợp đồng có thể ở dạng yêu cầu khước từ, sẽ được nhà cung ứng giao nộp để khách hàng phê duyệt. Hành động xử lý có thể bao gồm nhưng không giới hạn ở việc:
a) bác bỏ hoàn toàn lô: nếu sự không phù hợp tồn tại trong toàn bộ lô và không có phương tiện khả thi nào để sàng lọc lô hoặc làm lại hoặc sửa chữa sự không phù hợp, toàn bộ lô có thể bị loại,
b) "chấp nhận sử dụng như hiện trạng": mức độ hoặc tần số không phù hợp cho thấy không ảnh hưởng đến việc sử dụng sản phẩm đến mức khách hàng không thể sử dụng được. Chú ý rằng khi quyết định này được đưa ra một cách thường xuyên, thì có thể yêu cầu quá chặt và cần được xem xét lại,
c) "sửa chữa/làm lại": hành động khắc phục các cá thể không phù hợp. Khách hàng thường muốn tham gia ý kiến vào quy trình làm lại hoặc sửa chữa để đảm bảo rằng chất lượng sản phẩm không bị suy giảm theo bất kỳ cách nào,
d) sàng lọc lô, toàn bộ, một phần hoặc không sàng lọc:
- Yêu cầu sàng lọc của tiêu chuẩn này cũng có thể là một vấn đề để thương lượng.
- Khách hàng có thể quyết định không cho phép sàng lọc của nhà cung ứng và giao lại lần nữa toàn bộ lô nếu khách hàng nghi ngờ quá trình sàng lọc của nhà cung ứng.
- Khách hàng có thể quyết định cho phép nhà cung ứng sàng lọc và giao lại lần nữa toàn bộ lô chỉ đối với (các) đặc trưng bị từ chối chấp nhận.
- Một cách khác, khách hàng có thể cho phép nhà cung ứng sàng lọc và giao lại lần nữa chỉ những tập con của lô đối với (các) đặc trưng bị từ chối chấp nhận. Các tập con này có thể là các lượng không phù hợp tách biệt xuất phát từ các nguồn có thể nhận biết. Phần còn lại của lô có thể được chấp nhận ngay hoặc có thể được chấp nhận dựa trên kết quả của việc lấy mẫu thêm.
- Khi việc sàng lọc tốn kém hoặc việc thử nghiệm gây tổn hại cho sản phẩm theo một cách thức nào đó, hoặc nếu bằng chứng khách quan hoặc xu hướng của quá trình cho thấy sự sai lệch nhỏ so với chuẩn mực, khách hàng có thể sẵn lòng xem xét khước từ yêu cầu này. Khi đó, việc sửa đổi hợp đồng có thể có dạng yêu cầu khước từ của nhà cung ứng, trước khi đưa ra quyết định về việc sàng lọc. Xử lý sản phẩm như vậy cần dựa trên việc xem xét của cơ quan thẩm quyền có năng lực, thường là người được ký hợp đồng. Tất nhiên, yêu cầu sàng lọc cũng có thể bị khước từ và sản phẩm được chấp nhận thông qua các điều khoản quy định/thỏa thuận hợp đồng;
e) cỡ mẫu, chuẩn mực chấp nhận lô và yêu cầu khác trong bảng lấy mẫu của tiêu chuẩn này cũng có thể bị từ chối hoặc sửa đổi theo sự sửa đổi hợp đồng khi cần phải đáp ứng nhu cầu của khách hàng. Dữ liệu thống kê, nếu có, cần được xem xét khi đưa ra quyết định liên quan đến việc sửa đổi các yêu cầu lấy mẫu.
B.4 Khách hàng thường sẽ yêu cầu xem xét từ nhà cung ứng đối với việc chấp nhận lô không đáp ứng chuẩn mực chấp nhận. Việc xem xét thường về tài chính; tuy nhiên, nó cũng có thể ở dạng khác của "giá trị". Tóm tại, tiêu chuẩn này bao trùm các bước của quá trình cho đến khi chấp nhận sản phẩm. Tiêu chuẩn sử dụng cụm từ ”từ chối chấp nhận" chứ không dùng từ "bác bỏ" vì điểm đó thường thể hiện việc bắt đầu một quá trình hoàn toàn riêng rẽ, qua đó khách hàng và nhà cung ứng thương lượng về những sửa đổi so với thỏa thuận hợp đồng nguyên tắc đã có, quá trình đó vốn đã được dùng để thanh toán tiền cho một lượng cá thể hoàn toàn phù hợp.
Phụ lục C
(tham khảo)
Trình bày bằng biểu đồ quy tắc chuyển đổi

Hình C.1 - Quy trình chuyển đổi đối với lấy mẫu từ lô


CHÚ DẪN
a Cá thể được kiểm tra từ lấy mẫu và/hoặc sàng lọc.
Hình C.2 - Quy trình chuyển đổi đối với lấy mẫu liên tục
Phụ lục D
(quy định)
Ví dụ về việc sử dụng hệ thống lấy mẫu
D.1 Giới thiệu
Phụ lục này minh họa cách thực hiện ba loại hệ thống lấy mẫu mô tả trong Điều 4 và Điều 5 của tiêu chuẩn này. Các ví dụ giải thích cách sử dụng các bảng từ Bảng 1 đến Bảng 4, cách áp dụng các quy tắc chuyển đổi và cách thực hiện một số tính toán cần thiết. Ngoài ra, phụ lục này giải thích cách thức nhà cung ứng có thể sửa đổi Bảng 4 với một số mở rộng bằng cách tính toán và sử dụng các giá trị khác của i và f.
D.2 Ví dụ
D.2.1 Lấy mẫu định tính
Ốc tai hồng được kiểm tra về lỗi ren. Bậc kiểm tra được quy định là bậc 4 (VL-4). Nhà sản xuất chọn sử dụng phương án lấy mẫu định tính từ Bảng 2. Cỡ lô có thể thay đổi vì các quyết định sản xuất. Một phần thông tin thực nghiệm của nhà sản xuất được trình bày trong Bảng D.1.
Bảng D.1 - Nhật ký kiểm tra lấy mẫu định tính
| Số lô | Cỡ lô | Chữ mã | Cỡ mẫu | Số không phù hợp | Xử lý lô | Mức chặt chẽ (T/N/R)[1] | Hành động |
| 1 | 5 000 | D | 160 | 2 | Từ chối chấp nhận | N | Bắt đầu với lấy mẫu thường, VL-4 |
| 2 | 900 | A | 80 | 0 | Chấp nhận | N |
|
| 3 | 3 000 | C | 128 | 1 | Từ chối chấp nhận | N | 2 trong số 5 lô hoặc ít hơn không đạt Chuyển sang VL-4 ngặt. Kiểm tra quá trình. |
| 4 | 1 000 | B | 256 | 0 | Chấp nhận | T |
|
| 5 | 1 000 | B | 256 | 0 | Chấp nhận | T |
|
| 6 | 900 | A | 200 | 0 | Chấp nhận | T |
|
| 7 | 2 000 | C | 320 | 0 | Chấp nhận | T |
|
| 8 | 2 500 | C | 320 | 0 | Chấp nhận | T | Điều chỉnh quá trình và 5 lô liên tiếp được chấp nhận. Chuyển sang VL-4 thường. |
| 9 | 3 000 | C | 128 | 0 | Chấp nhận | N |
|
| 10 | 5 000 | D | 160 | 0 | Chấp nhận | N |
|
D.2.2 Lấy mẫu định lượng (giới hạn quy định một phía)
Nhiệt độ vận hành cao nhất đối với thiết bị nhất định được quy định là 98 (đo bằng độ C). Bậc kiểm tra được quy định là bậc 1 (VL-1). Một lô gồm 40 cá thể được giao nộp để kiểm tra theo lấy mẫu định lượng. Bảng 3 yêu cầu cỡ mẫu nv = 4 đối với chữ mã A. Giả định các phép đo thu được như sau: 92, 87, 84 và 96. Cần xác định sự phù hợp với chuẩn mực chấp nhận. Các tính toán được trình bày trong Bảng D.2. Lô được chấp nhận vì nó đáp ứng tất cả các chuẩn mực chấp nhận áp dụng.
D.2.3 Lấy mẫu định lượng (giới hạn quy định hai phía)
Nhiệt độ vận hành thấp nhất đối với thiết bị nhất định được quy định là 82 (đo bằng độ C). Nhiệt độ cao nhất là 98. Bậc kiểm tra được quy định là bậc 1 (VL-1). Một lô gồm 40 cá thể được giao nộp để kiểm tra theo lấy mẫu định lượng. Bảng 3 yêu cầu cỡ mẫu nv = 4 đối với chữ mã A (CL-A). Giả định các phép đo thu được như sau: 92, 87, 84 và 96. Cần xác định sự phù hợp với chuẩn mực chấp nhận. Các tính toán được trình bày trong Bảng D.3. Lô được chấp nhận vì nó đáp ứng tất cả các chuẩn mực chấp nhận áp dụng.
D.2.4 Lấy mẫu liên tục
Tiến hành kiểm tra trực quan các bộ phận kim loại được gắn để xem mối hàn điểm ngay sau khi cá thể đi qua trạm hàn điểm. Bậc kiểm tra được quy định là bậc 2 (VL-2). Sản phẩm được giao nộp để kiểm tra lấy mẫu liên tục định tính. Cỡ khoảng sản xuất là một ca 8 h, ban đầu sẽ gồm từ 700 đến 800 bộ phận hàn. Với VL-2 và chữ mã C (CL-C) từ Bảng 1, các giá trị i và f (Bảng 4) tương ứng tìm được là 116 và 1/48. Phần thông tin thực nghiệm lấy mẫu được trình bày trong Bảng D.4.
D.2.5 Lấy mẫu liên tục - Phương án thiết kế riêng
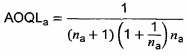
Nhà sản xuất có thể chọn sử dụng phương án lấy mẫu liên tục khác thay vì phương án nêu trong Bảng 4. Có những tình huống nhất định dẫn đến việc lựa chọn này. Đôi khi, việc chọn số thông qua hoặc tần số phụ thuộc vào ứng dụng, ví dụ, nếu i hoặc 1/f là bội số của cỡ pallet. Sự sẵn có và năng lực của đội kiểm tra sàng lọc và lấy mẫu cũng là vấn đề cần xem xét. Các giới hạn đối với việc thiết kế riêng phương án lấy mẫu như sau:
a) không được phép thay đổi phương án lấy mẫu trong khi đang trong quá trình sàng lọc;
b) AOQL của phương án mới không được lớn hơn AOQL của phương án định tính tương ứng trong Bảng 2; và
c) tần số lấy mẫu (f) của phương án mới không được nhỏ hơn tần số lấy mẫu của phương án trong Bảng 4.
Nhà sản xuất sẵn sàng lấy mẫu với tỷ lệ cao hơn f có thể giảm đáng kể i.
Bảng 0.2 - Ví dụ tính toán đối với giới hạn quy định một phía
| Dòng | Thông tin cần thiết | Ký hiệu | Công thức | Kết quả | Giải thích |
| 1 | Cỡ mẫu | nv |
| 4 | Xem Bảng 3 |
| 2 | Tổng số phép đo |
|
| 359 |
|
| 3 | Trung bình mẫu |
|
| 89,75 | 359 / 4 |
| 4 | Tổng bình phương các phép đo |
|
| 32 305 |
|
| 5 | Hệ số hiệu chính | fc |
| 32 220,25 | 3592 / 4 |
| 6 | Tổng các bình phương đã hiệu chính | Sc |
| 84,75 | 32 305 - 32 220,25
|
| 7 | Phương sai mẫu | s2 | Sc / (nv - 1) | 28,250 | 84,75 / 3 |
| 8 | Độ lệch chuẩn mẫu | s |
| 5,315 |
|
| 9 | Giới hạn quy định dưới | L |
| Không áp dụng |
|
|
| Giới hạn quy định trên | U |
| 98 | |
| 10 | Chỉ số chất lượng dưới | QL | ( | Không áp dụng | (98 - 89,75) / 5,315 |
|
| Chỉ số chất lượng trên | QU | (U - | 1,552 |
|
|
| Chỉ số chất lượng | Q | min(QL, QU) | 1,552 |
|
| 11 | Giá trị F của mẫu |
| s/(U - L) | Không áp dụng |
|
| 12 | Số cá thể không phù hợp | c |
| 0 |
|
|
| Hằng số chấp nhận k | k |
| 1,18 | Xem Bảng 3 |
|
| Hằng số chấp nhận F | F |
| Không áp dụng | Xem Bảng 3 |
| 13 | Chuẩn mực chấp nhận c |
| c = 0? | Có | 1,552 > 1,18 |
|
| Chuẩn mực chấp nhận k |
| Q ≥ k ? | Có | |
|
| Chuẩn mực chấp nhận F |
|
| Không áp dụng | |
| CHÚ THÍCH 1: Hằng số chấp nhận k là giá trị nhỏ nhất cho phép đối với chỉ số chất lượng Q. CHÚ THÍCH 2: Hằng số chấp nhận F là giá trị lớn nhất cho phép đối với giá trị F của mẫu, | |||||
Bảng D.3 - Ví dụ tính toán đối với giới hạn quy định hai phía
| Dòng | Thông tin cần thiết | Ký hiệu | Công thức | Kết quả | Giải thích |
| 1 | Cỡ mẫu | nv |
| 4 | Xem Bảng 3 |
| 2 | Tổng số phép đo |
|
| 359 |
|
| 3 | Trung bình mẫu |
|
| 89,75 | 359 / 4 |
| 4 | Tổng bình phương các phép đo |
|
| 32 305 |
|
| 5 | Hệ số hiệu chính | fc |
| 32 220,25 | 3592 / 4 |
| 6 | Tổng các bình phương đã hiệu chính | Sc |
| 84,75 | 32 305 - 32 220,25
|
| 7 | Phương sai mẫu | s2 | Sc / (nv - 1) | 28,250 | 84,75 / 3 |
| 8 | Độ lệch chuẩn mẫu | s |
| 5,315 |
|
| 9 | Giới hạn quy định dưới | L |
| 82 |
|
| Giới hạn quy định trên | U |
| 98 | ||
| 10 | Chỉ số chất lượng dưới | QL | ( | 1,458 | (89,75 – 82) / 5,315 |
| Chỉ số chất lượng trên | QU | (U - | 1,552 | (98 – 89,75) / 5,315 | |
| Chỉ số chất lượng | Q | min(QL, QU) | 1,458 |
| |
| 11 | Giá trị F của mẫu |
| s/(U - L) | 0,032 | 5,315 / (98 – 82) |
| 12 | Số cá thể không phù hợp | c |
| 0 |
|
| Hằng số chấp nhận k | k |
| 1,18 | Xem Bảng 3 | |
| Hằng số chấp nhận F | F |
| 0,370 | Xem Bảng 3 | |
| 13 | Chuẩn mực chấp nhận c |
| c = 0? | Có |
|
| Chuẩn mực chấp nhận k |
| Q ≥ k ? | Có | 1,458 > 1,18 | |
| Chuẩn mực chấp nhận F |
|
| Có | 0,332 < 0,370 | |
| CHÚ THÍCH 1: Hằng số chấp nhận k là giá trị nhỏ nhất cho phép đối với chỉ số chất lượng Q. CHÚ THÍCH 2: Hằng số chấp nhận F là giá trị lớn nhất cho phép đối với giá trị F của mẫu, | |||||
Bảng D.4 - Nhật ký kiểm tra đối với lấy mẫu liên tục
| Số cá thể sản phẩm | Chữ mã | Tần số hoặc 100 % | Mức chặt chẽ T/N/R 2 | Sự kiện/hành động |
| 1 | C | 100% | N | Bắt đầu sản xuất: Bắt đầu giai đoạn sàng lọc với i = 116. |
| 8 | C | 100% | N | Tìm thấy cá thể không phù hợp: đếm lại từ đầu. |
| 124 | C | 100% | N | Thấy i = 116 cá thể phù hợp liên tiếp: Bắt đầu giai đoạn lấy mẫu với f = 1/48. |
| 170 | C | 1/48 | N | Chọn cá thể lấy mẫu ngẫu nhiên đầu tiên: Thấy nó phù hợp. |
| 4 024 | C | 1/48 | N | Quan trắc được 200 cá thể kiểm tra phù hợp liên tiếp (116 từ sàng lọc + 84 từ lấy mẫu). Vì 200 bằng 10 lần cỡ mẫu của Bảng 2 đối với CL-C và VL-2, chuyển sang kiểm tra giảm với f = 1/68. |
| 4 096 | C | 1/68 | R | Chọn cá thể lấy mẫu ngẫu nhiên thứ hai với f = 1/68. |
| 8 309 | C | 1/68 | R | Cỡ khoảng sản xuất tầng gấp ba (2 100 đến 2 400 cá thể thay vì 700 đến 800 cá thể): Kết thúc giai đoạn lấy mẫu CL-C và bắt đầu CL-E, f = 1/136, vì đang ở VL-2 và kiểm tra lấy mẫu giảm. |
| 8 448 | E | 1/136 | R | Chọn cá thể lấy mẫu ngẫu nhiên đầu tiên với f = 1/136 mới: Thấy nó phù hợp. Tiếp tục lấy mẫu ngẫu nhiên. |
| 10 617 | E | 1/136 | R | Quan trắc thấy cá thể không phù hợp: Chuyển sang kiểm tra thường. Bắt đầu giai đoạn sàng lọc với i = 228 vì CL-E và VL-2 đang có hiệu lực. |
| 10 845 | E | 100% | N | Thấy i = 228 cá thể phù hợp liên tiếp: Bắt đầu giai đoạn lấy mẫu với f = 1/96. |
Giả định tồn tại tình huống tương tự như phần đầu của ví dụ lấy mẫu liên tục trước đó (chữ mã C, VL-2), nhưng nhà sản xuất mong muốn i nhỏ hơn (với chi phí cho f lớn hơn). Sử dụng một trong hai quy trình dưới đây, có thể xác định một phương án lấy mẫu liên tục tùy chỉnh với f lớn hơn, i nhỏ hơn và AOQL không lớn hơn AOQL của phương án định tính tương ứng trong Bảng 2.
a) Giả định nhà sản xuất muốn bắt đầu với phương án trong đó i = 50 thay cho 116 quy định trong ví dụ lấy mẫu liên tiếp trước đó được trình bày trong Bảng D.4. Lấy AOQLa là AOQL của phương án định tính tương ứng. Khi đó, ta có thể tính tần số/bằng cách sử dụng công thức
|
| (D.1) |
trong đó
|
| (D.2) |
q = 1 - p;
na là cỡ mẫu của phương án định tính tương ứng, và
p là tỷ lệ không phù hợp của quá trình, được chọn ở mức cực đại hóa/thông qua công thức sau đây:
|
| (D.3) |
AOQLa cần được tính đến ít nhất là 6 chữ số thập phân đối với kết quả chính xác. Chú ý là các AOQLa liệt kê trong các bảng của Phụ lục E là giá trị gần đúng.
Trong ví dụ trên, AOQLa là 1,79 %, vì vậy đối với i = 50, p sẽ là 0,037 và f bằng 0,139 (khoảng 1/7). Do đó, giá trị i bằng 50 sẽ được sử dụng thay cho 116 nếu f tăng từ 1/48 lên 1/7.
b) Nếu thay vào đó f được chọn trước, thì i được xác định bằng công thức
|
| (D.4) |
trong đó p thay đổi một cách hệ thống cho đến khi i đạt cực đại.
Phụ lục E
(tham khảo)
Bảng tổng hợp
Phụ lục này đưa ra một nhóm các bảng tổng hợp các phương án lấy mẫu trong tiêu chuẩn này. Ngoài việc liệt kê mô tả tóm tắt từng phương án (cỡ mẫu, giá trị k, giá trị f và i,…), các bảng tóm tắt này sẽ hỗ trợ người sử dụng trong việc thông hiểu về rủi ro lấy mẫu liên quan đến từng phương án vì nhiều điểm trên các đường đặc trưng hiệu quả được đưa ra. Giới hạn chất lượng đầu ra trung bình (AOQL) cũng được nêu; đây là các mức chất lượng kỳ vọng kém nhất nếu tất cả các lô không được chấp nhận được kiểm tra 100 % và tất cả các cá thể không phù hợp được thay bằng các cá thể phù hợp.
Xác suất giá trị chấp nhận lô của phụ lục này được tính với giả định rằng quá trình hoạt động ngẫu nhiên và sản xuất ra sản phẩm có chất lượng trung bình p. Với giả định này, tiêu chuẩn này áp dụng được ngay cả trong trường hợp lô đơn lẻ hoặc trong trường hợp tỉ số giữa cỡ mẫu và cỡ lô cao.
Phụ lục này bao gồm các giá trị phần trăm không phù hợp sao cho xác suất chấp nhận lô là 0,95; 0,50 và 0,10. Nguyên nhân của việc đưa ra các giá trị này là, mặc dù tiêu chuẩn này không dựa trên AQL và chỉ chấp nhận mức chất lượng tính bằng phần triệu, người sử dụng tiêu chuẩn này vẫn muốn biết rủi ro lấy mẫu là bao nhiêu khi ngẫu nhiên có mức chất lượng kém nhất.
Cột "p %" trong Bảng E.1, E.2 và E.3 đưa ra giá trị phần trăm không phù hợp đối với các giá trị AOQL tương ứng. Cột "AFI" trong các bảng này đề cập đến tỷ lệ kiểm tra trung bình (AFI) đối với mỗi phương án khi phần trăm không phù hợp bằng không.
Bảng E.1 - Tổng hợp các phương án lấy mẫu định tính
| VL | Chữ mã | na | Phần trăm không phù hợp (p) | AOQL | p | Cỡ lô | AFI ở | ||
|
| Pa = 0,95 | Pa = 0,50 | Pa = 0,10 | % | % |
| p = 0 | ||
| R | A | 3 | 1,70 | 20,63 | 53,58 | 10,55 | 25,00 | 144 | 0,020 83 |
| R | B | 3 | 1,70 | 20,63 | 53,58 | 10,55 | 25,00 | 204 | 0,014 71 |
| R | C | 3 | 1,70 | 20,63 | 53,58 | 10,55 | 25,00 | 288 | 0,01042 |
| R | D | 4 | 1,27 | 15,91 | 43,77 | 8,19 | 20,00 | 544 | 0,007 35 |
| R | E | 5 | 1,02 | 12,94 | 36,90 | 6,70 | 16,67 | 960 | 0,005 21 |
| 1 | A | 5 | 1,02 | 12,94 | 36,90 | 6,70 | 16,67 | 170 | 0,029 41 |
| 1 | B | 6 | 0,85 | 10,91 | 31,87 | 5,67 | 14,29 | 288 | 0,020 83 |
| 1 | C | 8 | 0,64 | 8,30 | 25,01 | 4,33 | 11,11 | 544 | 0,014 71 |
| 1 | D | 10 | 0,51 | 6,70 | 20,57 | 3,50 | 9,09 | 960 | 0,010 42 |
| 1 | E | 12 | 0,43 | 5,61 | 17,46 | 2,94 | 7,69 | 1700 | 0,007 06 |
| 2 | A | 12 | 0,43 | 5,61 | 17,46 | 2,94 | 7,69 | 288 | 0,041 67 |
| 2 | B | 16 | 0,32 | 4,24 | 13,40 | 2,23 | 5,88 | 544 | 0,029 41 |
| 2 | C | 20 | 0,26 | 3,41 | 10,87 | 1,79 | 4,76 | 960 | 0,020 83 |
| 2 | D | 25 | 0,21 | 2,74 | 8,80 | 1,44 | 3,85 | 1 700 | 0,014 71 |
| 2 | E | 32 | 0,16 | 2,14 | 6,94 | 1,13 | 3,03 | 3 072 | 0,010 42 |
| 3 | A | 32 | 0,16 | 2,14 | 6,94 | 1,13 | 3,03 | 544 | 0,058 82 |
| 3 | B | 40 | 0,13 | 1,72 | 5,59 | 0,91 | 2,44 | 960 | 0,041 67 |
| 3 | C | 50 | 0,10 | 1,38 | 4,50 | 0,73 | 1,96 | 1 700 | 0,029 41 |
| 3 | D | 64 | 0,08 | 1,08 | 3,53 | 0,57 | 1,54 | 3 072 | 0,020 83 |
| 3 | E | 80 | 0,06 | 0,86 | 2,84 | 0,46 | 1,23 | 5 432 | 0,014 59 |
| 4 | A | 80 | 0,06 | 0,86 | 2,84 | 0,46 | 1,23 | 960 | 0,083 33 |
| 4 | B | 100 | 0,05 | 0,69 | 2,28 | 0,37 | 0,99 | 1 700 | 0,058 82 |
| 4 | C | 128 | 0,04 | 0,54 | 1,78 | 0,29 | 0,78 | 3 072 | 0,041 67 |
| 4 | D | 160 | 0,03 | 0,43 | 1,43 | 0,23 | 0,62 | 5 482 | 0,029 19 |
| 4 | E | 200 | 0,03 | 0,35 | 1,15 | 0,18 | 0,50 | 9 720 | 0,020 58 |
| 5 | A | 200 | 0,03 | 0,35 | 1,15 | 0,18 | 0,50 | 1 700 | 0,117 65 |
| 5 | B | 256 | 0,02 | 0,27 | 0,90 | 0,14 | 0,39 | 3 072 | 0,083 33 |
| 5 | C | 320 | 0,02 | 0,22 | 0,72 | 0,11 | 0,31 | 5 482 | 0,058 37 |
| 5 | D | 400 | 0,01 | 0,17 | 0,57 | 0,09 | 0,25 | 9 720 | 0,041 15 |
| 5 | E | 512 | 0,01 | 0,14 | 0,45 | 0,07 | 0,19 | 17 408 | 0,029 41 |
| 6 | A | 512 | 0,01 | 0,14 | 0,45 | 0,07 | 0,19 | 3 072 | 0,166 67 |
| 6 | B | 645 | 0,01 | 0,11 | 0,36 | 0,06 | 0,15 | 5 482 | 0,117 65 |
| 6 | C | 810 | 0,01 | 0,09 | 0,28 | 0,05 | 0,12 | 9 720 | 0,083 33 |
| 6 | D | 1024 | 0,01 | 0,07 | 0,22 | 0,04 | 0,10 | 17 408 | 0,058 82 |
| 6 | E | 1 290 | 0,004 | 0,05 | 0,18 | 0,03 | 0,08 | 30 960 | 0,041 67 |
| 7 | A | 1290 | 0,004 | 0,05 | 0,18 | 0,03 | 0,08 | 5 482 | 0,235 31 |
| 7 | B | 1625 | 0,003 | 0,04 | 0,14 | 0,02 | 0,06 | 9 720 | 0,167 18 |
| 7 | C | 2 048 | 0,003 | 0,03 | 0,11 | 0,02 | 0,05 | 17 408 | 0,117 65 |
| 7 | D | 2 580 | 0,002 | 0,03 | 0,09 | 0,01 | 0,04 | 30 960 | 0,083 33 |
| 7 | E | 3 250 | 0,002 | 0,02 | 0,07 | 0,01 | 0,03 | 55 250 | 0,058 82 |
| T | A | 3 250 | 0,002 | 0,02 | 0,07 | 0,01 | 0,03 | 9 720 | 0,334 36 |
| T | B | 4 096 | 0,001 | 0,02 | 0,06 | 0,01 | 0,02 | 17408 | 0,235 29 |
| T | C | 5 160 | 0,001 | 0,01 | 0,05 | 0,01 | 0,02 | 30 960 | 0,166 67 |
| T | D | 6 500 | 0,001 | 0,01 | 0,04 | 0,01 | 0,02 | 55 250 | 0,117 65 |
| T | E | 8 192 | 0,001 | 0,01 | 0,03 | 0,004 | 0,01 | 98 304 | 0,083 33 |
VÍ DỤ: Ví dụ VL-5, chữ mã B. Phương án là lấy mẫu n = 256 cá thể ở chế độ lấy mẫu thường và chấp nhận lô nếu không có cá thể không phù hợp nào. Nếu phần trăm không phù hợp thực sự của lô là 0 02 % thì xác suất chấp nhận lô, Pa, sẽ bằng 0,95. Đối với tỷ lệ không phù hợp là 0,27 % và 0,90 %, xác suất chấp nhận lô tương ứng là 0,50 và 0,10. AOQL đối với phương án này là 0,14 % không phù hợp và nó xảy ra khi tỷ lệ không phù hợp của sản xuất là 0,39 %. Tỷ lệ kiểm tra trung bình khi phần trăm không phù hợp bằng "không" là 0,083 33 sử dụng cỡ lô bằng 3 072 làm cơ sở để tính toán.
Bảng E.2 - Tổng hợp các phương án lấy mẫu định lượng
| VL | Chữ mã | nv | k | Phần trăm không phù hợp (p) | AOQL | p | Cỡ lô | AFI ở | ||
|
|
| Pa = 0,95 | Pa = 0,50 | Pa = 0,10 | % | % |
| p = 0 | ||
| R | A | 3 | 0,00 | 1,70 | 20,63 | 53,58 | 10,55 | 25,00 | 144 | 0,020 83 |
| R | B | 3 | 0,00 | 1,70 | 20,63 | 53,58 | 10,55 | 25,00 | 204 | 0,014 71 |
| R | C | 3 | 0,00 | 1,70 | 20,63 | 53,58 | 10,55 | 25,00 | 288 | 0,010 42 |
| R | D | 3 | 1,14 | 0,97 | 16,26 | 48,92 | 8,62 | 22,44 | 544 | 0,005 51 |
| R | E | 4 | 1,18 | 0.97 | 13,00 | 39,53 | 6,85 | 17,66 | 960 | 0,004 17 |
| 1 | A | 4 | 1,18 | 0,97 | 13,00 | 39,53 | 5,85 | 17,66 | 170 | 0,023 53 |
| 1 | B | 5 | 1,22 | 0,89 | 10,90 | 33,22 | 5,70 | 15,14 | 288 | 0,017 36 |
| 1 | C | 7 | 1,29 | 0,71 | 8,26 | 25,14 | 4,30 | 11,15 | 544 | 0,012 87 |
| 1 | D | 8 | 1,44 | 0,59 | 6,68 | 20,99 | 3,49 | 9,13 | 960 | 0,008 33 |
| 1 | E | 9 | 1,54 | 0,51 | 5,62 | 17,95 | 2,94 | 7,88 | 1 700 | 0,005 29 |
| 2 | A | 9 | 1,54 | 0,51 | 5,62 | 17,95 | 2,94 | 7,88 | 288 | 0,031 25 |
| 2 | B | 11 | 1,69 | 0,39 | 4,20 | 13,72 | 2,20 | 5,82 | 544 | 0,020 22 |
| 2 | C | 12 | 1,81 | 0,32 | 3,39 | 11,45 | 1,79 | 4,87 | 960 | 0,012 50 |
| 2 | D | 14 | 1,91 | 0,27 | 2,71 | 9,18 | 1,43 | 3,92 | 1700 | 0,008 23 |
| 2 | E | 16 | 2,02 | 0,22 | 2,12 | 7,29 | 1,12 | 3,14 | 3 072 | 0,005 21 |
| 3 | A | 16 | 2,02 | 0,22 | 2,12 | 7,29 | 1,12 | 3,14 | 544 | 0,029 41 |
| 3 | B | 18 | 2,12 | 0,18 | 1,69 | 5,85 | 0,89 | 2,41 | 960 | 0,018 75 |
| 3 | C | 20 | 2,21 | 0,15 | 1,36 | 4,76 | 0,72 | 1,99 | 1 700 | 0,011 76 |
| 3 | D | 22 | 2,31 | 0,12 | 1,07 | 3,81 | 0,56 | 1,56 | 3 072 | 0,007 16 |
| 3 | E | 24 | 2,40 | 0,09 | 0,84 | 3,06 | 0,45 | 1,28 | 5 482 | 0,004 38 |
| 4 | A | 24 | 2,40 | 0,09 | 0,84 | 3,06 | 0,45 | 1,28 | 960 | 0,025 00 |
| 4 | B | 27 | 2,48 | 0,08 | 0,67 | 2,44 | 0,36 | 1,02 | 1700 | 0,015 88 |
| 4 | C | 29 | 2,57 | 0,06 | 0,53 | 1,96 | 0,28 | 0,80 | 3 072 | 0,009 44 |
| 4 | D | 32 | 2,65 | 0,05 | 0,42 | 1,56 | 0,22 | 0,64 | 5 482 | 0,005 84 |
| 4 | E | 35 | 2,72 | 0,04 | 0,34 | 1,26 | 0,18 | 0,51 | 9 720 | 0,003 60 |
| 5 | A | 35 | 2,72 | 0,04 | 0,34 | 1,26 | 0,18 | 0,51 | 1700 | 0,020 59 |
| 5 | B | 39 | 2,80 | 0,03 | 0,27 | 0,99 | 0,14 | 0,41 | 3 072 | 0,012 70 |
| 5 | C | 41 | 2,88 | 0,03 | 0,21 | 0,79 | 0,11 | 0,32 | 5 482 | 0,007 48 |
| 5 | D | 44 | 2,95 | 0,02 | 0,17 | 0,64 | 0,09 | 0,26 | 9 720 | 0,004 53 |
| 5 | E | 49 | 3,02 | 0,02 | 0,13 | 0,50 | 0,07 | 0,20 | 17 408 | 0,002 81 |
| 6 | A | 49 | 3,02 | 0,02 | 0,13 | 0,50 | 0,07 | 0,20 | 3 072 | 0,015 95 |
| 6 | B | 53 | 3,09 | 0,01 | 0,11 | 0,40 | 0,05 | 0,16 | 5 482 | 0,009 67 |
| 6 | C | 56 | 3,16 | 0,01 | 0,08 | 0,32 | 0,04 | 0,12 | 9 720 | 0,005 76 |
| 6 | D | 59 | 3,23 | 0,01 | 0,07 | 0,25 | 0,04 | 0,10 | 17 408 | 0,003 39 |
| 6 | E | 65 | 3,29 | 0,01 | 0,05 | 0,20 | 0,03 | 0,08 | 30 960 | 0,002 10 |
| 7 | A | 65 | 3,29 | 0,01 | 0,05 | 0,20 | 0,03 | 0,08 | 5 482 | 0,011 86 |
| 7 | B | 68 | 3,36 | 0,01 | 0,04 | 0,16 | 0,02 | 0,06 | 9 720 | 0,006 99 |
| 7 | C | 73 | 3,42 | 0,01 | 0,03 | 0,13 | 0,02 | 0,05 | 17 408 | 0,004 19 |
| 7 | D | 79 | 3,48 | 0,01 | 0,03 | 0,10 | 0,01 | 0,04 | 30 960 | 0,002 55 |
| 7 | E | 81 | 3,55 | 0,01 | 0,02 | 0,08 | 0,01 | 0,03 | 55 250 | 0,001 47 |
| T | A | 81 | 3,55 | 0,01 | 0,02 | 0,08 | 0,01 | 0,03 | 9 720 | 0,008 33 |
| T | B | 86 | 3,61 | 0,01 | 0,02 | 0,06 | 0,01 | 0,02 | 17 408 | 0,004 94 |
| T | C | 91 | 3,67 | 0,01 | 0,01 | 0,05 | 0,01 | 0,02 | 30 960 | 0,002 94 |
| T | D | 100 | 3,72 | 0,01 | 0,01 | 0,04 | 0,01 | 0,02 | 55 250 | 0,001 81 |
| T | E | 104 | 3,78 | 0,01 | 0,01 | 0,03 | 0,005 | 0,01 | 98 304 | 0,001 06 |
VÍ DỤ: Ví dụ VL-5, chữ mã B. Phương án là lấy mẫu n = 39 cá thể ở chế độ lấy mẫu thường và chấp nhận lô nếu không có cá thể không phù hợp nào và (
- L) / s lớn hơn hoặc bằng giá trị k là 2,80 [hoặc khi (U -
) / s lớn hơn hoặc bằng 2,80]. Nếu phần trăm không phù hợp thực sự của lô là 0,03 % thì xác suất chấp nhận lô, Pa, sẽ bằng 0,95. Đối với tỷ lệ không phù hợp là 0,27 % và 0,99 %, xác suất chấp nhận lô tương ứng là 0,50 và 0,10. AOQL đối với phương án này là 0,14 % không phù hợp và nó xảy ra khi tỉ lệ không phù hợp của sản xuất là 0,41 %. Tỷ lệ kiểm tra trung bình khi phần trăm không phù hợp bằng "không" là 0,012 70, sử dụng cỡ lô bằng 3 072 làm cơ sở để tính toán.
Bảng E.3 - Tổng hợp các phương án lấy mẫu liên tục
| VL | Chữ mã | i | f | AOQL % | p % | AFI ở p = 0 |
| R | A | N/A | 1/48 | N/A | N/A | 0,020 83 |
| R | B | N/A | 1/68 | N/A | N/A | 0,014 71 |
| R | C | N/A | 1/96 | N/A | N/A | 0,010 42 |
| R | D | N/A | 1/136 | N/A | N/A | 0,007 35 |
| R | E | N/A | 1/192 | N/A | N/A | 0,005 21 |
| 1 | A | 27 | 1/34 | 6,57 | 9,91 | 0,029 41 |
| 1 | B | 36 | 1/48 | 5,61 | 8,16 | 0,020 83 |
| 1 | C | 53 | 1/68 | 4,30 | 6,07 | 0,014 71 |
| 1 | D | 73 | 1/96 | 3,47 | 4,78 | 0,010 42 |
| 1 | E | 96 | 1/136 | 2,92 | 3,92 | 0,007 35 |
| 2 | A | 55 | 1/24 | 2,91 | 4,65 | 0,041 67 |
| 2 | B | 83 | 1/34 | 2,22 | 3,38 | 0,029 41 |
| 2 | C | 116 | 1/48 | 1,79 | 2,63 | 0,020 83 |
| 2 | D | 162 | 1/68 | 1,44 | 2,04 | 0,014 71 |
| 2 | E | 228 | 1/96 | 1,13 | 1,56 | 0,010 42 |
| 3 | A | 125 | 1/17 | 1,13 | 1,91 | 0,058 82 |
| 3 | B | 180 | 1/24 | 0,90 | 1,45 | 0,041 67 |
| 3 | C | 256 | 1/34 | 0,73 | 1,11 | 0,029 41 |
| 3 | D | 368 | 1/48 | 0,57 | 0,84 | 0,020 83 |
| 3 | E | 513 | 1/68 | 0,46 | 0,65 | 0,014 71 |
| 4 | A | 264 | 1/12 | 0,46 | 0,83 | 0,083 33 |
| 4 | B | 388 | 1/17 | 0,37 | 0,62 | 0,058 82 |
| 4 | C | 572 | 1/24 | 0,29 | 0,46 | 0,041 67 |
| 4 | D | 815 | 1/34 | 0,23 | 0,35 | 0,029 41 |
| 5 | A | 549 | 2/17 | 0,18 | 0,36 | 0,117 65 |
| 5 | B | 842 | 1/12 | 0,14 | 0,26 | 0,083 33 |
| 5 | C | 1 237 | 1/17 | 0,11 | 0,20 | 0,058 82 |
| 5 | D | 1 785 | 1/24 | 0,09 | 0,15 | 0,041 67 |
| 5 | E | 2 605 | 1/34 | 0,07 | 0,11 | 0,029 41 |
| 6 | A | 1 134 | 1/6 | 0,07 | 0,16 | 0,166 67 |
| 6 | B | 1 767 | 2/17 | 0,06 | 0,11 | 0,117 65 |
| 6 | C | 2 662 | 1/12 | 0,05 | 0,08 | 0,083 33 |
| 6 | D | 3 957 | 1/17 | 0,04 | 0,06 | 0,058 82 |
| 6 | E | 5 754 | 1/24 | 0,03 | 0,05 | 0,041 67 |
| 7 | A | 2 224 | 4/17 | 003 | 0,07 | 0,235 29 |
| 7 | B | 3 599 | 1/6 | 0,02 | 0,05 | 0,166 67 |
| 7 | C | 5 609 | 2/17 | 0,02 | 0,04 | 0,117 65 |
| 7 | D | 8 477 | 1/12 | 0,01 | 0,03 | 0,083 33 |
| 7 | E | 12 556 | 1/17 | 0,01 | 0,02 | 0,058 82 |
| T | A | 4 091 | 1/3 | 0,01 | 0,04 | 0,333 33 |
| T | B | 7 061 | 4/17 | 0,01 | 0,02 | 0,235 29 |
| T | C | 11 426 | 1/6 | 0,01 | 0,02 | 0,166 67 |
| T | D | 17 802 | 2/17 | 0,01 | 0,01 | 0,117 65 |
| T | E | 26 912 | 1/12 | 0,005 | 0,01 | 0,083 33 |
VÍ DỤ: Ví dụ VL-4, chữ mã B. Phương án là sàng lọc tất cả các cá thể được sản xuất (chế độ lấy mẫu thường) cho đến khi tìm được 388 cá thể liên tiếp được chấp nhận. Khi đạt đến điểm này, thay sàng lọc bằng lấy mẫu và thực hiện lấy mẫu với tỷ lệ cứ 17 cá thể được sản xuất thì lấy một cá thể để kiểm tra. AOQL đối với phương án này là 0,37 % không phù hợp và nó xảy ra khi tỷ lệ không phù hợp của sản xuất là 0,62 %. Tỷ lệ kiểm tra trung bình khi phần trăm không phù hợp bằng "không" là 0,058 82 và bỏ qua giai đoạn sàng lọc ban đầu.
Bảng E.4 - Đường hiệu quả của phương án lấy mẫu định tính
| a) Xác suất chấp nhận (%) ở mức chất lượng cho trước | b) Mức chất lượng tính bằng phần trăm không phù hợp ở xác suất chấp nhận cho trước | ||||||||||||
| n | Phần trăm không phù hợp của lô | n | Xác suất chấp nhận lô (%) | ||||||||||
| 0,01 | 0,05 | 0,1 | 0,25 | 0,5 | 1 | 3 | 5 | 10 | 95 | 50 | 10 | ||
| 3 | 99,97 | 99,85 | 99,70 | 99,25 | 98,51 | 97,03 | 91,27 | 85,74 | 72,90 | 3 | 1,70 | 20,63 | 53,58 |
| 4 | 99,96 | 99,80 | 99,60 | 99,00 | 98,01 | 96,06 | 88,53 | 81,45 | 65,51 | 4 | 1,27 | 15,91 | 43,77 |
| 5 | 99,95 | 99,75 | 99,50 | 98,76 | 97,52 | 95,10 | 85,87 | 77,38 | 59,05 | 5 | 1,02 | 12,94 | 36,90 |
| 6 | 99,94 | 99,70 | 99,40 | 98,51 | 57,04 | 94,15 | 83,30 | 73,51 | 53,14 | 6 | 0,85 | 10,91 | 31,87 |
| 8 | 99,92 | 99,60 | 99,20 | 98,02 | 96,07 | 92,27 | 78,37 | 66,34 | 43,05 | 8 | 0,54 | 8,30 | 25,01 |
| 10 | 99,90 | 99,50 | 99,00 | 97,53 | 55,11 | 90,44 | 73,74 | 59,87 | 34,37 | 10 | 0,51 | 6,70 | 20,57 |
| 12 | 99,88 | 99,40 | 98,81 | 97,04 | 94,16 | 88,64 | 65,38 | 54,04 | 28,24 | 12 | 0,43 | 5,61 | 17,46 |
| 16 | 99,84 | 99,20 | 98,41 | 96,07 | 92,29 | 85,15 | 61,43 | 44,01 | 18,53 | 16 | 0,32 | 4,24 | 13,40 |
| 20 | 99,80 | 99,00 | 98,02 | 95,12 | 90,46 | 81,79 | 54,38 | 35,85 | 12,16 | 20 | 0,26 | 3,41 | 10,87 |
| 25 | 99,75 | 98,76 | 97,53 | 93,93 | 88,22 | 77,78 | 46,70 | 27,74 | 7,18 | 25 | 0,20 | 2,73 | 8,80 |
| 32 | 99,68 | 98,41 | 96,85 | 92,30 | 85,18 | 72,50 | 37,73 | 19,37 | 3,43 | 32 | 0,16 | 2,14 | 6,94 |
| 40 | 99,60 | 98,02 | 96,08 | 90,47 | 81,83 | 66,90 | 29,57 | 12,85 | 1,48 | 40 | 0,13 | 1,72 | 5,59 |
| 50 | 99,50 | 97,53 | 95,12 | 88,24 | 77,83 | 60,50 | 21,81 | 7,69 | 0,52 | 50 | 0,10 | 1,38 | 4,50 |
| 64 | 99,36 | 96,85 | 93,80 | 85,20 | 72,56 | 52,56 | 14,24 | 3,75 | 0,12 | 64 | 0,08 | 1,08 | 3,53 |
| 80 | 99,20 | 96,08 | 92,31 | 81,85 | 66,96 | 44,75 | 8,74 | 1,65 | 0,02 | 80 | 0,06 | 0,86 | 2,84 |
| 100 | 99,00 | 95,12 | 90,48 | 77,86 | 60,58 | 36,60 | 4,76 | 0,59 | * | 100 | 0,05 | 0,69 | 2,28 |
| 128 | 98,73 | 93,80 | 87,98 | 72,59 | 52,64 | 27,63 | 2,03 | 0,14 | * | 128 | 0,04 | 0,54 | 1,78 |
| 160 | 98,41 | 92,31 | 85,21 | 67,00 | 44,84 | 20,03 | 076 | 0,03 | * | 160 | 0,03 | 0,43 | 1,43 |
| 200 | 98,02 | 90,48 | 81,86 | 60,62 | 36,70 | 13,40 | 0,23 | * | * | 200 | 0,03 | 0,35 | 1,14 |
| 256 | 97,47 | 87,98 | 77,40 | 52,69 | 27,71 | 7,63 | 0,04 | * | * | 256 | 0,02 | 0,27 | 0,90 |
| 320 | 96,85 | 85,21 | 72,60 | 44,89 | 20,11 | 4,01 | 0,01 | * | * | 320 | 0,02 | 0,22 | 0,72 |
| 400 | 96,08 | 81,87 | 67,02 | 36,74 | 13,47 | 1,80 | * | * | * | 400 | 0,01 | 0,17 | 0,57 |
| 512 | 95,01 | 77,41 | 59,91 | 27,76 | 7,68 | 0,58 | * | * | * | 512 | 0,01 | 0,14 | 0,45 |
| 645 | 93,75 | 72,43 | 52,45 | 19,90 | 3,94 | 0,15 | * | * | * | 645 | 0,01 | 0,11 | 0,36 |
| 810 | 92,22 | 66,69 | 44,47 | 13,17 | 1,72 | 0,03 | * | * | * | 810 | 0,01 | 0,09 | 0,28 |
| 1024 | 90,27 | 59,92 | 35,90 | 7,71 | 0,59 | * | * | * | * | 1024 | 0,01 | 0,07 | 0,22 |
| 1290 | 87,90 | 52,46 | 27,51 | 3,96 | 0,16 | * | * | * | * | 1290 | * | 0,05 | 0,18 |
| 1625 | 85,00 | 44,37 | 19,68 | 1,71 | 0,03 | * | * | * | * | 1625 | * | 0,04 | 0,14 |
| 2048 | 81,48 | 35,91 | 12,89 | 0,59 | * | * | * | * | * | 2048 | * | 0,03 | 0,11 |
| 2580 | 77,26 | 27,52 | 7,57 | 0,16 | * | * | * | * | * | 2580 | * | 0,03 | 0,09 |
| 3250 | 72,25 | 19,68 | 3,87 | 0,03 | * | * | * | * | * | 3250 | * | 0,02 | 0,07 |
| 4096 | 66,39 | 12,89 | 1,66 | * | * | * | * | * | * | 4096 | * | 0,02 | 0,06 |
| 5160 | 59,69 | 7,57 | 0,57 | * | * | * | * | * | * | 5160 | * | 0,01 | 0,04 |
| 6500 | 52,20 | 3,87 | 0,15 | * | * | * | * | * | * | 6500 | * | 0,01 | 0,04 |
| 8192 | 44,08 | 1,66 | 0,03 | * | * | * | * | * | * | 8192 | * | 0,01 | 0,03 |
| CHÚ THÍCH: Dấu sao ký hiệu cho giá trị nhỏ hơn 0,005 %. | |||||||||||||
Bảng E.5 - Đường hiệu quả của phương án lấy mẫu định lượng
| a) | Xác suất chấp nhận (%) ở mức chất lượng cho trước | b) Mức chất lượng tính bằng phần trăm không phù hợp ở xác suất chấp nhận cho trước | |||||||||||||
| n | k | Phần trăm không phù hợp của lô | n | k | Xác suất chấp nhận lô (%) | ||||||||||
| 0,01 | 0,05 | 0,1 | 0,25 | 0,5 | 1 | 3 | 5 | 10 | 95 | 50 | 10 | ||||
| 3 | 0,00 | 89,97 | 99,85 | 99,70 | 99,25 | 98,51 | 97,03 | 91,25 | 85,72 | 72,90 | 3 | 0,00 | 1,70 | 20,63 | 53,58 |
| 3 | 1,14 | 99,93 | 99,66 | 99,36 | 98,50 | 97,19 | 94,77 | 86,50 | 79,39 | 64,61 | 3 | 1,14 | 0,97 | 16,26 | 48,92 |
| 4 | 1,18 | 99,95 | 99,75 | 99,49 | 98,69 | 97,35 | 94,75 | 85,05 | 76,45 | 58,65 | 4 | 1,18 | 0,97 | 13,00 | 39,53 |
| 5 | 1,22 | 89,95 | 99,73 | 99,46 | 98,60 | 97,15 | 94,22 | 83,09 | 73,16 | 52,97 | 5 | 1,22 | 0,89 | 10,90 | 33,22 |
| 7 | 1,29 | 99,93 | 99,65 | 99,29 | 98,21 | 96,38 | 92,71 | 78,72 | 66,42 | 42,74 | 7 | 1,29 | 0,71 | 8,26 | 25,14 |
| 8 | 1,44 | 99,92 | 99,59 | 99,17 | 97,88 | 95,63 | 91,09 | 74,06 | 59,83 | 34,71 | 8 | 1,44 | 0,59 | 6,68 | 20,99 |
| 9 | 1,54 | 99,91 | 99,53 | 99,05 | 97,53 | 94,88 | 89,48 | 69,71 | 53,98 | 28,37 | 9 | 1,54 | 0,51 | 5,62 | 17,95 |
| 11 | 1,69 | 99,89 | 99,42 | 98,80 | 96,81 | 93,29 | 86,13 | 61,36 | 43,53 | 18,67 | 11 | 1,69 | 0,39 | 4,20 | 13,72 |
| 12 | 1,81 | 99,88 | 99,33 | 98,58 | 96,07 | 91,59 | 82,67 | 54,12 | 35,77 | 13,23 | 12 | 1,81 | 0,32 | 3,39 | 11,45 |
| 14 | 1,91 | 99,86 | 99,21 | 98,30 | 95,21 | 89,63 | 78,70 | 46,20 | 27,64 | 8,22 | 14 | 1,91 | 0,27 | 2,71 | 9,18 |
| 16 | 2,02 | 99,83 | 99,05 | 97,90 | 93,90 | 86,73 | 73,18 | 37,30 | 19,82 | 4,58 | 16 | 2,02 | 0,22 | 2,12 | 7,29 |
| 18 | 2,12 | 99,81 | 98,84 | 97,38 | 92,23 | 83,18 | 66,93 | 29,07 | 13,57 | 2,41 | 18 | 2,12 | 0,18 | 1,69 | 5,85 |
| 20 | 2,21 | 99,78 | 98,61 | 96,74 | 90,21 | 79,07 | 60,26 | 22,03 | 8,99 | 1,22 | 20 | 2,21 | 0,15 | 1,36 | 4,76 |
| 22 | 2,31 | 99,75 | 98,20 | 95,68 | 87,04 | 73,21 | 51,91 | 15,40 | 539 | 0,54 | 22 | 2,31 | 0,12 | 1,07 | 3,81 |
| 24 | 2,40 | 99,70 | 97,67 | 94,32 | 33,22 | 66,78 | 43,74 | 10,41 | 3,10 | 0,23 | 24 | 2,40 | 0,09 | 0,84 | 3,06 |
| 27 | 2,48 | 99,65 | 97,10 | 92,84 | 79,17 | 60,07 | 35,77 | 6,46 | 1,57 | 0,08 | 27 | 2,48 | 0,08 | 0,67 | 2,44 |
| 29 | 2,57 | 99,55 | 95,97 | 90,19 | 73,11 | 51,77 | 27,72 | 3,84 | 0,78 | 0,03 | 29 | 2,57 | 0,06 | 0,53 | 1,96 |
| 32 | 2,65 | 99,44 | 94,69 | 87,26 | 56,78 | 43,60 | 20,61 | 2,06 | 0,34 | 0,01 | 32 | 2,65 | 0,05 | 0,42 | 1,56 |
| 35 | 2,72 | 99,31 | 93,23 | 84,00 | 60,36 | 36,20 | 15,05 | 1,08 | 0,14 | * | 35 | 2,72 | 0,04 | 0,34 | 1,26 |
| 39 | 2,80 | 99,12 | 91,00 | 79,32 | 52,12 | 27,79 | 9,69 | 0,44 | 0,04 | * | 39 | 2.80 | 0,03 | 0,27 | 0,99 |
| 41 | 2,88 | 98,70 | 87,48 | 73,06 | 43,54 | 20,79 | 6,27 | 0,21 | 0,02 | * | 41 | 2,88 | 0,03 | 0,21 | 0,79 |
| 44 | 2,95 | 98,22 | 83,70 | 66,72 | 35,77 | 15,13 | 3,86 | 0,09 | 0,01 | * | 44 | 2,95 | 0,02 | 0,17 | 0,64 |
| 49 | 3,02 | 97,70 | 79,33 | 59,65 | 27,84 | 9,97 | 2,01 | 0,03 | * | * | 49 | 3,02 | 0,02 | 0,13 | 0,50 |
| 53 | 3,09 | 96,80 | 73,66 | 51,64 | 20,75 | 6,29 | 1,01 | 0,01 | * | * | 53 | 3,09 | 001 | 0,11 | 0,40 |
| 56 | 3,16 | 95,36 | 66,77 | 43,31 | 14,95 | 3,88 | 0,51 | * | * | * | 56 | 3,16 | 0,01 | 0,08 | 0,32 |
| 59 | 3,23 | 93,29 | 58,98 | 35,04 | 10,24 | 2,24 | 0,24 | * | * | * | 59 | 3,23 | 0,01 | 0,07 | 0,25 |
| 65 | 3,29 | 91,41 | 51,73 | 27,66 | 6,55 | 1,14 | 0,09 | * | * | * | 65 | 3,29 | 0,01 | 0,05 | 0,20 |
| 68 | 3,36 | 87,75 | 42,94 | 20,59 | 4,01 | 0,58 | 0,04 | * | * | * | 68 | 3,36 | 0,01 | 0,04 | 0,16 |
| 73 | 3,42 | 84,10 | 35,27 | 14,96 | 2,34 | 0,27 | 0,01 | * | * | * | 73 | 3,42 | * | 0,03 | 0,13 |
| 79 | 3,48 | 79,58 | 27,70 | 10,18 | 1,22 | 0,10 | * | * | * | * | 79 | 3,48 | * | 0,03 | 0,10 |
| 81 | 3,55 | 72,49 | 20,49 | 6,62 | 0,64 | 0,05 | * | * | * | * | 81 | 3,55 | * | 0,02 | 0,08 |
| 86 | 3,61 | 65,79 | 14,83 | 4,11 | 0,31 | 0,02 | * | * | * | * | 86 | 3,61 | * | 0,02 | 0,06 |
| 91 | 3,67 | 58,24 | 10,18 | 2,39 | 0,14 | 0,01 | * | * | * | * | 91 | 3,67 | * | 0,01 | 0,05 |
| 100 | 3,72 | 51,43 | 5,65 | 1,26 | 0,05 | * | * | * | * | * | 100 | 3,72 | * | 0,01 | 0,04 |
| 104 | 3,78 | 42,96 | 4,17 | 0,66 | 0,02 | * | * | * | * | * | 104 | 3,78 | * | 0,01 | 0,03 |
| CHÚ THÍCH: Dấu sao ký hiệu cho giá trị nhỏ hơn 0,005 %. | |||||||||||||||
Bảng E.6 - Đường hiệu quả của phương án lấy mẫu liên tục
| a) Phần trăm sản phẩm được chấp nhận trong lấy mẫu ở mức chất lượng cho trước | b) Mức chất lượng tính bằng phần trăm không phù hợp ở phần trăm sản phẩm được chấp nhận cho trước | |||||||||||||||
|
| i | f | Phần trăm không phù hợp của sản phẩm giao nộp | i | f | Phần trăm sản phẩm được chấp nhận trong lấy mẫu | ||||||||||
|
| 0,01 | 0,05 | 0,1 | 0,25 | 0,5 | 1 | 3 | 5 | 10 |
|
| 95 | 50 | 10 | ||
|
| 27 | 1/34 | 99,99 | 99,96 | 99,92 | 99,79 | 99,57 | 99,06 | 96,30 | 91,77 | 67,54 | 27 | 1/34 | 3,68 | 12,31 | 19,09 |
|
| 36 | 1/48 | 99,99 | 99,96 | 99,92 | 99,80 | 99,58 | 99,06 | 95,96 | 89,93 | 52,45 | 36 | 1/48 | 3,42 | 10,24 | 15,51 |
|
| 53 | 1/68 | 99,99 | 99,96 | 99,92 | 99,79 | 99,55 | 98,96 | 94,37 | 82,71 | 20,39 | 53 | 1/68 | 2,82 | 7,67 | 11,40 |
|
| 55 | 1/24 | 99,98 | 99,88 | 99,76 | 99,38 | 98,67 | 96,97 | 84,57 | 60,16 | 6,79 | 55 | 1/24 | 1,46 | 5,68 | 9,31 |
|
| 73 | 1/96 | 99,99 | 99,96 | 99,92 | 99,79 | 99,54 | 98,88 | 92,08 | 69,93 | 4,20 | 73 | 1/96 | 2,43 | 6,07 | 8,85 |
|
| 83 | 1/34 | 99,98 | 99,87 | 99,74 | 99,32 | 98,49 | 96,28 | 74,62 | 32,77 | 0,54 | 83 | 1/34 | 1,22 | 4,19 | 6,67 |
|
| 96 | 1/136 | 99,99 | 99,96 | 99,92 | 99,80 | 99,54 | 98,80 | 88,45 | 49,72 | 0,54 | 96 | 1/136 | 2,15 | 4,99 | 7,13 |
|
| 116 | 1/48 | 99,98 | 99,87 | 99,74 | 99,30 | 98,38 | 95,59 | 59,09 | 11,15 | 0,02 | 116 | 1/48 | 1,08 | 3,30 | 5,10 |
|
| 125 | 1/17 | 99,93 | 99,62 | 99,22 | 97,87 | 95,10 | 87,08 | 27,81 | 2,71 | * | 125 | 1/17 | 0,51 | 2,28 | 3,95 |
|
| 162 | 1/68 | 99,98 | 99,88 | 99,74 | 99,27 | 98,18 | 94,31 | 33,01 | 1,65 | * | 162 | 1/68 | 0,93 | 2,58 | 3,88 |
|
| 180 | 1/24 | 99,92 | 99,61 | 99,18 | 97,67 | 94,22 | 82,41 | 9,09 | 0,23 | * | 180 | 1/24 | 0,45 | 1,77 | 2,94 |
|
| 228 | 1/96 | 99,98 | 99,87 | 99,73 | 99,20 | 97,82, | 91,53 | 8,49 | 0,08 | * | 228 | 1/96 | 0,79 | 1,99 | 2,92 |
|
| 256 | 1/34 | 99,92 | 99,60 | 99,15 | 97,42 | 92,86 | 73,73 | 1,38 | 0,01 | * | 256 | 1/34 | 0,40 | 1,38 | 2,21 |
|
| 264 | 1/12 | 99,78 | 98,83 | 97,54 | 92,74 | 81,30 | 47,59 | 0,39 | * | * | 264 | 1/12 | 0,18 | 0,97 | 1,76 |
|
| 368 | 1/48 | 99,92 | 99,58 | 99,08 | 96,95 | 90,02 | 54,96 | 0,07 | * | * | 368 | 1/48 | 0,34 | 1,05 | 1,64 |
|
| 388 | 1/17 | 99,77 | 98,75 | 97,28 | 91,18 | 73,91 | 25,99 | 0,01 | * | * | 388 | 1/17 | 0,16 | 0,74 | 1,29 |
|
| 513 | 1/68 | 99,92 | 99,57 | 99,02 | 96,30 | 84,91 | 28,29 | * | * | * | 513 | 1/68 | 0,30 | 0,82 | 1,24 |
|
| 549 | 2/17 | 99,33 | 96,41 | 92,06 | 74,20 | 36,66 | 3,31 | * | * | * | 549 | 2/17 | 0,07 | 0,41 | 0,79 |
|
| 572 | 1/24 | 99,75 | 98,64 | 96,88 | 88,26 | 59,10 | 7,12 | * | * | * | 572 | 1/24 | 0,14 | 0,56 | 0,94 |
|
| 815 | 1/34 | 99,75 | 98,54 | 96,42 | 83,56 | 36,78 | 0,93 | * | * | * | 815 | 1/34 | 0,13 | 0,44 | 0,70 |
|
| 842 | 1/12 | 99,27 | 95,82 | 90,07 | 62,40 | 15,17 | 0,25 | * | * | * | 842 | 1/12 | 0,06 | 0,30 | 0,56 |
|
| 1134 | 1/6 | 98,04 | 88,71 | 73,97 | 27,15 | 2,00 | 0,01 | * | * | * | 1134 | 1/6 | 0,02 | 0,17 | 0,35 |
|
| 1147 | 1/48 | 99,75 | 98,41 | 95,72 | 74,27 | 13,31 | 0,05 | * | * | * | 1147 | 1/48 | 0,11 | 0,34 | 0,53 |
|
| 1237 | 1/17 | 99,23 | 95,20 | 87,41 | 44,60 | 3,34 | 0,01 | * | * | * | 1237 | 1/17 | 0,05 | 0,23 | 0,41 |
|
| 1767 | 2/17 | 97,78 | 85,68 | 63,62 | 9,35 | 0,12 | * | * | * | * | 1767 | 2/17 | 0,02 | 0,13 | 0,25 |
|
| 1785 | 1/24 | 99,19 | 9433 | 82,86 | 21,78 | 0,31 | * | * | * | * | 1785 | 1/24 | 0,05 | 0,18 | 0,30 |
|
| 2 224 | 4/17 | 94,46 | 67,55 | 33,98 | 1,60 | 0,01 | * | * | * | * | 2 224 | 4/17 | 0,01 | 0,07 | 0,16 |
|
| 2 605 | 1/34 | 99,13 | 92,70 | 73,05 | 4,78 | 0,01 | * | * | * | * | 2 605 | 1/34 | 0,04 | 0,14 | 0,22 |
|
| 2 662 | 1/12 | 97,52 | 81,15 | 47,34 | 1,51 | * | * | * | * | * | 2 662 | 1/12 | 0,02 | 0,10 | 0,18 |
|
| 3 599 | 1/6 | 93,26 | 5430 | 14,41 | 0,07 | * | * | * | * | * | 3 599 | 1/6 | 0,01 | 0,05 | 0,11 |
|
| 3 957 | 1/17 | 97,22 | 73,17 | 24,86 | 0,08 | * | * | * | * | * | 3 957 | 1/17 | 0,02 | 0,07 | 0,13 |
|
| 4 091 | 1/3 | 85,58 | 30,81 | 4,84 | 0,01 | * | * | * | * | * | 4 091 | 1/3 | * | 0,03 | 0,08 |
|
| 5 609 | 2/17 | 91,87 | 35,38 | 3,02 | * | * | * | * | * | * | 5 609 | 2/17 | 0,01 | 0,04 | 0,08 |
|
| 5 754 | 1/24 | 96,86 | 58,86 | 7,07 | * | * | * | * | * | * | 5 754 | 1/24 | 0,01 | 0,06 | 0,09 |
|
| 7 061 | 4/17 | 80,55 | 11,36 | 0,36 | * | * | * | * | * | * | 7 061 | 4/17 | * | 0,02 | 0,05 |
|
| 8 477 | 1/12 | 89,99 | 14,93 | 0,25 | * | * | * | * | * | * | 8 477 | 1/12 | 0,01 | 0,03 | 0,06 |
|
| 11 426 | 1/6 | 73,75 | 1,95 | 0,01 | * | * | * | * | * | * | 11 426 | 1/6 | * | 0,02 | 0,04 |
|
| 12 556 | 1/17 | 87,13 | 3,09 | 0,01 | * | * | * | * | * | * | 12 556 | 1/17 | 0,01 | 0,02 | 0,04 |
|
| 17 802 | 2/17 | 63,28 | 0,12 | * | * | * | * | * | * | * | 17 802 | 2/17 | * | 0,01 | 0,02 |
|
| 29 912 | 1/12 | 46,61 | * | * | * | * | * | * | * | * | 29 912 | 1/12 | * | 0,01 | 0,02 |
|
| CHÚ THÍCH: Dấu sao ký hiệu cho giá trị nhỏ hơn 0,005 %. | |||||||||||||||
Thư mục tài liệu tham khảo
[1] TCVN 9603:2013 (ISO 5479:1997), Giải thích dữ liệu thống kê - Kiểm nghiệm sai lệch so với phân bố chuẩn
[2] ISO 7873:19933, Control charts for arithmetic average with warning limits (Biểu đồ kiểm soát trung bình cộng có giới hạn cảnh báo)
[3] TCVN 9945-2:2013 (ISO 7870-2:2013), Biểu đồ kiểm soát - Phần 2: Biểu đồ kiểm soát Shewhart
[4] TCVN ISO 9001 (ISO 9001), Hệ thống quản lý chất lượng - Các yêu cầu
[5] TCVN ISO 9004:2011 (ISO 9004:2009), Quản lý tổ chức để thành công bền vững - Phương pháp tiếp cận quản lý chất lượng
[6] TCVN ISO 10012:2007 (ISO 10012:2003), Hệ thống quản lý đo lường - Yêu cầu về quá trình đo và thiết bị đo
[7] TCVN 10432-1:2014 (ISO 11462-1:2001), Hướng dẫn thực hiện kiểm soát thống kê quá trình (SPC) - Phần 1: Các thành phần của SPC
MỤC LỤC
Lời nói đầu
Lời giới thiệu
1 Phạm vi áp dụng
2 Tài liệu viện dẫn
3 Thuật ngữ, định nghĩa và ký hiệu
3.1 Thuật ngữ và định nghĩa
3.2 Ký hiệu
4 Yêu cầu chung
4.1 Yêu cầu về sản phẩm
4.2 Chấp nhận bằng bảng
4.3 Chấp nhận theo điều khoản do nhà cung ứng đề xuất
4.4 Đặc trưng cốt yếu
4.5 Dự phòng đặc biệt đối với sự không phù hợp nặng
5 Yêu cầu cụ thể
5.1 Chấp nhận theo bảng
5.2 Chấp nhận theo quy định do nhà cung ứng đề xuất
Phụ lục A (tham khảo) Vì sao số chấp nhận bằng 0?
Phụ lục B (tham khảo) xử lý lô khi khách hàng từ chối chấp nhận
Phụ lục C (tham khảo) Trình bày bằng biểu đồ quy tắc chuyển đổi
Phụ lục D (quy định) Ví dụ về việc sử dụng hệ thống lấy mẫu
Phụ lục E (tham khảo) Bảng tổng hợp
Thư mục tài liệu tham khảo
[1] T = ngặt; N = thường; R = giảm.
2 T = ngặt. N = thường; R = giảm.
3 Tiêu chuẩn này hiện đã bị hủy.
Bạn chưa Đăng nhập thành viên.
Đây là tiện ích dành cho tài khoản thành viên. Vui lòng Đăng nhập để xem chi tiết. Nếu chưa có tài khoản, vui lòng Đăng ký tại đây!

