- Tổng quan
- Nội dung
- Tiêu chuẩn liên quan
- Lược đồ
- Tải về
Tiêu chuẩn Quốc gia TCVN 12876:2020 ISO 28592:2017 Phương án lấy mẫu định tính hai lần có cỡ mẫu nhỏ nhất, được xác định theo chất lượng ứng với rủi ro của nhà sản xuất (PRQ) và chất lượng ứng với rủi ro của người tiêu dùng (CRQ)
| Số hiệu: | TCVN 12876:2020 | Loại văn bản: | Tiêu chuẩn Việt Nam |
| Cơ quan ban hành: | Bộ Khoa học và Công nghệ | Lĩnh vực: | Khoa học-Công nghệ |
|
Ngày ban hành:
Ngày ban hành là ngày, tháng, năm văn bản được thông qua hoặc ký ban hành.
|
2020 |
Hiệu lực:
|
Đã biết
|
| Người ký: | Đang cập nhật |
Tình trạng hiệu lực:
Cho biết trạng thái hiệu lực của văn bản đang tra cứu: Chưa áp dụng, Còn hiệu lực, Hết hiệu lực, Hết hiệu lực 1 phần; Đã sửa đổi, Đính chính hay Không còn phù hợp,...
|
Đã biết
|
TÓM TẮT TIÊU CHUẨN VIỆT NAM TCVN 12876:2020
Nội dung tóm tắt đang được cập nhật, Quý khách vui lòng quay lại sau!
Tải tiêu chuẩn Việt Nam TCVN 12876:2020
TIÊU CHUẨN QUỐC GIA
TCVN 12876:2020
ISO 28592:2017
PHƯƠNG ÁN LẤY MẪU ĐỊNH TÍNH HAI LẦN CÓ CỠ MẪU NHỎ NHẤT, ĐƯỢC XÁC ĐỊNH THEO CHẤT LƯỢNG ỨNG VỚI RỦI RO CỦA NHÀ SẢN XUẤT (PRQ) VÀ CHẤT LƯỢNG ỨNG VỚI RỦI RO CỦA NGƯỜI TIÊU DÙNG (CRQ)
Double sampling plans by attributes with minimal sample sizes, indexed by producer’s risk quality (PRQ) and consumer’s risk quality (CRQ)
Lời nói đầu
TCVN 12876:2020 hoàn toàn tương đương với ISO 28592:2017.
TCVN 12876:2020 do Ban kỹ thuật tiêu chuẩn quốc gia TCVN/TC 69 Ứng dụng các phương pháp thống kê biên soạn, Tổng cục Tiêu chuẩn Đo lường Chất lượng đề nghị, Bộ Khoa học và Công nghệ công bố.
Lời giới thiệu
TCVN 7790-1 (ISO 2859-1) đưa ra phương án lấy mẫu hai lần đối với lấy mẫu định tính. Các phương án được xác định theo giới hạn chất lượng chấp nhận (AQL) và do đó được thiết kế cho loạt các lô liên tục. Đối với mỗi phạm vi ưu tiên của cỡ lô, nghĩa là, đối với mỗi chữ mã cỡ mẫu, cỡ mẫu đầu tiên và thứ hai của phương án lấy mẫu hai lần trong TCVN 7790-1 (ISO 2859-1) là không đổi và bằng nhau với các AQL, trong khi số chấp nhận tăng một lượng bằng AQL.
Vì các quá trình sản xuất và các mức chất lượng đã được cải tiến trong nửa sau của thế kỷ hai mươi, nên mối quan tâm đã thay đổi sang các phương án lấy mẫu với số chấp nhận và số bác bỏ nhỏ hơn hầu hết các phương án trong TCVN 7790-1 (ISO 2859-1).
Ngoài ra, trong một số ngành công nghiệp, với nỗ lực tập trung vào các yêu cầu cụ thể hơn của khách hàng, cũng có xu hướng chuyển sang các loạt sản xuất ngắn hơn. Đôi khi các loạt sản xuất này quá ngắn để áp dụng hiệu quả các quy tắc chuyển đổi của các phương án xác định theo AQL [như các quy tắc chuyển đổi của TCVN 7790-1 (ISO 2859-1)].
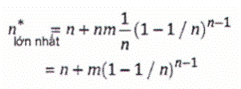
Nhằm hướng đến nhu cầu thị trường đang phát triển, tiêu chuẩn này được xây dựng để cung cấp phương án lấy mẫu định tính hai lần được xác định theo chất lượng ứng với rủi ro của nhà sản xuất (PRQ) và chất lượng ứng với rủi ro của người tiêu dùng (CRQ), có số chấp nhận và số bác bỏ nhỏ nhất có thể. Không có sự ràng buộc nào đối với cỡ tương đối của cỡ mẫu đầu tiên và cỡ mẫu thứ hai; thay vào đó cỡ mẫu đầu tiên và cỡ mẫu thứ hai được lấy để giảm thiểu không bị vượt quá tổng lượng lấy mẫu dự kiến chịu rủi ro danh nghĩa của nhà sản xuất, α, và rủi ro của người tiêu dùng, β. Các kết hợp (α, β) của rủi ro danh nghĩa đưa ra trong tiêu chuẩn này là (5 %, 5 %), (5 %, 10 %) và (10 %, 10 %).
Do đó, phương án lấy mẫu hai lần cung cấp trong tiêu chuẩn này thuộc loại dưới đây. Trong trường hợp lấy mẫu đối với cá thể không phù hợp, lô được chấp nhận nếu không có cá thể không phù hợp nào được tìm thấy trong mẫu ngẫu nhiên đầu tiên, và không được chấp nhận nếu mẫu có hai hay nhiều cá thể không phù hợp. Nếu mẫu ngẫu nhiên đầu tiên gồm chính xác một cá thể không phù hợp thì lấy mẫu ngẫu nhiên thứ hai, nhỏ hơn; nếu không có cá thể không phù hợp nào được tìm thấy trong mẫu thứ hai, thì lô được chấp nhận, ngược lại thì, lô không được chấp nhận. Đối với mỗi cặp rủi ro của nhà sản xuất và người tiêu dùng danh nghĩa, có tới 17 giá trị danh nghĩa ưu tiên của CRQ và có tới 17 giá trị danh nghĩa ưu tiên của PRQ được cung cấp.
Các phương án tương tự được cung cấp cho sự không phù hợp.
Cỡ mẫu lấy mẫu hai lần là nhỏ nhất trong số các phương án lấy mẫu đối với kiểm tra chấp nhận các lô riêng biệt hoặc đối với loạt các lô ngắn. Tuy nhiên, vì các phương án trong tiêu chuẩn này không dựa vào việc bảo vệ các quy tắc chuyển đổi, nên cỡ mẫu cần lớn hơn cỡ mẫu được sử dụng cho kiểm tra từng lô, như nêu trong TCVN 7790-1 (ISO 2859-1), với các mức chất lượng của nhà sản xuất và người tiêu dùng tương tự, nếu có. Điều này được minh họa bằng hai ví dụ dưới đây, cả đối với cá thể không phù hợp với rủi ro của nhà sản xuất và rủi ro của người tiêu dùng danh nghĩa lớn nhất hoặc 5 % và 10%, tương ứng.
VÍ DỤ 1
| Nguồn | Rủi ro thực của nhà sản xuất | Rủi ro thực của người tiêu dùng | Chất lượng ứng với rủi ro của nhà sản xuất (PRQ) | Chất lượng ứng với rủi ro của người tiêu dùng (CRQ) | Cỡ mẫu |
| TCVN 7790-1 (ISO 2859-1), chữ mã E, AQL = 1 % | 5% | 10% | 0,394 % | 20,6 % | 8,8 |
| TCVN 12876 (ISO 28592), Bảng 2 và Bảng 14 | 0,266 % | 9,639 % | 0,4% | 20% | 12,9 |
VÍ DỤ 2
| Nguồn | Rủi ro thực của nhà sản xuất | Rủi ro thực của người tiêu dùng | Chất lượng ứng với rủi ro của nhà sản xuất (PRQ) | Chất lượng ứng với rủi ro của người tiêu dùng (CRQ) | Cỡ mẫu |
| TCVN 7790-1 (ISO 2859-1), chữ mã F, AQL = 0,65 % | 5% | 10 % | 0,256 % | 10,9% | 13,13 |
| TCVN 12876 (ISO 28592), Bảng 2 và Bảng 14 | 0,435 % | 9,920 % | 0,25 % | 10% | 26,16 |
Đặc tính bù của các phương án trong tiêu chuẩn này là nhiều rủi ro thực của nhà sản xuất nhỏ hơn nhiều so với các giá trị danh nghĩa của chúng.
PHƯƠNG ÁN LẤY MẪU ĐỊNH TÍNH HAI LẦN CÓ CỠ MẪU NHỎ NHẤT, ĐƯỢC XÁC ĐỊNH THEO CHẤT LƯỢNG ỨNG VỚI RỦI RO CỦA NHÀ SẢN XUẤT (PRQ) VÀ CHẤT LƯỢNG ỨNG VỚI RỦI RO CỦA NGƯỜI TIÊU DÙNG (CRQ)
Double sampling plans by attributes with minimal sample sizes, indexed by producer’s risk quality (PRQ) and consumer’s risk quality (CRQ)
1 Phạm vi áp dụng
Tiêu chuẩn này đưa ra các phương án lấy mẫu định tính hai lần để kiểm tra chấp nhận các lô cá thể dạng đơn chiếc. Phương án được xác định theo chất lượng ứng với rủi ro của nhà sản xuất (PRQ) và chất lượng ứng với rủi ro của người tiêu dùng (CRQ) trong đó rủi ro của nhà sản xuất và người tiêu dùng danh nghĩa tương ứng là (5 %, 5 %), (5%, 10 %) hoặc (10 %, 10 %). Các phương án được đưa ra cho kiểm tra phần trăm không phù hợp và kiểm tra số không phù hợp trên 100 cá thể. Lô được chấp nhận nếu không có cá thể không phù hợp (sự không phù hợp) nào trong mẫu ngẫu nhiên đầu tiên, và bị bác bỏ nếu có từ hai cá thể không phù hợp (sự không phù hợp) trở lên. Nếu chính xác một cá thể không phù hợp được tìm thấy trong mẫu đầu tiên thì lấy mẫu ngẫu nhiên thứ hai; khi đó lô được chấp nhận nếu mẫu thứ hai không có cá thể không phù hợp (sự không phù hợp), nếu ngược lại thì lô bị bác bỏ.
Mục đích của tiêu chuẩn này là cung cấp quy trình cho phép việc sắp xếp lô được xác định nhanh chóng và kinh tế nếu chất lượng đặc biệt tốt hoặc kém. Đối với chất lượng trung bình, mẫu thứ hai được lấy để có thể phân biệt chắc chắn hơn giữa lô được chấp nhận và lô không được chấp nhận. Hai cỡ mẫu được chọn để giảm thiểu không bị vượt quá cỡ mẫu lớn nhất dự kiến liên quan đến chất lượng đầu vào chịu rủi ro danh nghĩa.
Tương tự, các phương án có thể được sử dụng để kiểm nghiệm giả thuyết là mức chất lượng lô hoặc quá trình bằng với PRQ (nghĩa là được chấp nhận) với đối giả thuyết là mức chất lượng bằng CRQ (nghĩa là không được chấp nhận).
Các phương án được ưu tiên hơn với phương án lấy mẫu một lần trong đó chi phí kiểm tra cao, có độ trễ và độ không đảm bảo do yêu cầu có thể có đối với mẫu thứ hai gây ra là không quan trọng và tỉ số chất lượng ứng với rủi ro của người tiêu dùng với chất lượng ứng với rủi ro của nhà sản xuất có thể cho phép là tương đối lớn.
Các phương án phù hợp cho các lô riêng lẻ hoặc loạt các lô ngắn, trong đó tổng của hai cỡ mẫu không lớn hơn khoảng 10 % cỡ lô. Các phương án cũng phù hợp với loạt các lô liên tục khi các lô không thỏa mãn chuẩn mực chấp nhận được kiểm tra 100 % và tất cả các cá thể không phù hợp được thay thế bằng các cá thể phù hợp; tuy nhiên, đối với loạt các lô liên tục, cũng cần xem xét sử dụng phương án lấy mẫu hai lần nêu trong TCVN 7790-1 (ISO 2859-1).
Lý thuyết thống kê làm nền tảng cho các phương án, bảng và hình vẽ được cung cấp trong Phụ lục A.
2 Tài liệu viện dẫn
Tiêu chuẩn này không có tài liệu viện dẫn.
3 Thuật ngữ, định nghĩa, chữ viết tắt và ký hiệu
3.1 Thuật ngữ, định nghĩa và chữ viết tắt
Các từ “chấp nhận”, “được chấp nhận”, “chấp nhận được”, v.v... chỉ đề cập đến việc sử dụng các phương án lấy mẫu nêu trong tiêu chuẩn này và không hàm ý một thỏa thuận chấp nhận bất kỳ sản phẩm nào. Việc xác định khả năng chấp nhận của khách hàng phải như mô tả trong các tài liệu hợp đồng.
3.1.1
Rủi ro của người tiêu dùng (consumer’s risk)
CR
<lấy mẫu chấp nhận> xác suất chấp nhận khi mức chất lượng (3.1.5) của quá trình có giá trị nêu trong phương án lấy mẫu chấp nhận là không đáp ứng.
[NGUỒN: TCVN 8244-2:2010 (ISO 3534-2:2006), 4.6.2]
3.1.2
Chất lượng ứng với rủi ro của người tiêu dùng (consumer’s risk quality)
CRQ
<lấy mẫu chấp nhận> mức chất lượng (3.1.5) của lô hoặc quá trình, trong phương án lấy mẫu chấp nhận, ứng với rủi ro của người tiêu dùng (3.1.1) quy định.
[NGUỒN: TCVN 8244-2:2010 (ISO 3534-2:2006), 4.6.9]
3.1.3
Rủi ro của nhà sản xuất (producer's risk)
PR
<lấy mẫu chấp nhận> xác suất không chấp nhận khi mức chất lượng (3.1.5) của quá trình có giá trị nêu trong phương án lấy mẫu chấp nhận là được chấp nhận.
[NGUỒN: TCVN 8244-2:2010 (ISO 3534-2:2006), 4.6.4]
3.1.4
Chất lượng ứng với rủi ro của nhà sản xuất (producer’s risk quality)
PRQ
<lấy mẫu chấp nhận> mức chất lượng (3.1.5) của lô hoặc quá trình, trong phương án lấy mẫu chấp nhận (4.3.3), ứng với rủi ro của nhà sản xuất (3.1.3) quy định.
[NGUỒN: TCVN 8244-2:2010 (ISO 3534-2:2006), 4.6.10]
3.1.5
Mức chất lượng (quality level)
<lấy mẫu chấp nhận> chất lượng biểu thị bằng tỷ lệ đơn vị không phù hợp hoặc tỷ lệ của số sự không phù hợp (3.1.9).
[NGUỒN: TCVN 8244-2:2010 (ISO 3534-2:2006), 4.6.16]
CHÚ THÍCH: Tỷ lệ có thể được biểu thị theo đơn vị 1 hoặc theo phần trăm. Tỷ lệ đơn vị không phù hợp có thể được đọc là giá trị số hoặc phần trăm đơn vị không phù hợp. Tỷ lệ số không phù hợp có thể được đọc là số không phù hợp trên đơn vị hoặc trên 100 đơn vị.
3.1.6
Cỡ mẫu trung bình (average sample size)
ASSI
<lấy mẫu chấp nhận> số đơn vị trung bình trong mẫu được kiểm tra trong một lô để đưa đến quyết định chấp nhận hay không chấp nhận khi sử dụng phương án lấy mẫu chấp nhận cho trước.
CHÚ THÍCH: ASSI phụ thuộc vào mức chất lượng (3.1.5) thực tế của các lô được giao nộp.
[NGUỒN: TCVN 8244-2:2010 (ISO 3534-2:2006), 4.7.3]
3.1.7
Chất lượng đầu ra trung bình (average outgoing quality)
AOQ
<lấy mẫu chấp nhận> mức chất lượng (3.1.5) trung bình mong muốn của sản phẩm đầu ra đối với một giá trị chất lượng sản phẩm đầu vào cho trước.
[NGUỒN: TCVN 8244-2:2010 (ISO 3534-2:2006), 4.7.1]
3.1.8
Giới hạn chất lượng đầu ra trung bình (average outgoing quality limit)
AOQL
<lấy mẫu chấp nhận> AOQ (3.1.7) lớn nhất trong số tất cả các giá trị của mức chất lượng (3.1.5) sản phẩm đầu vào đối với phương án lấy mẫu chấp nhận cho trước và tất cả các lô không được chấp nhận đều đã được xử lý nếu không có quy định nào khác.
[NGUỒN: TCVN 8244-2:2010 (ISO 3534-2:2006), 4.7.2]
3.1.9
Sự không phù hợp (nonconformity)
Sự không đáp ứng một yêu cầu.
[NGUỒN: TCVN ISO 9000:2015 (ISO 9000:2015), 3.6.9; TCVN 8244-2:2010 (ISO 3534-2:2006), 3.1.11]
3.1.10
Cá thể không phù hợp (nonconforming item)
Cá thể có một hoặc nhiều sự không phù hợp (3.1.9).
[NGUỒN: TCVN 8244-2:2010 (ISO 3534-2:2006), 1.2.12]
3.1.11
Khuyết tật (defect)
Sự không đáp ứng yêu cầu liên quan đến việc sử dụng dự kiến hoặc quy định.
[NGUỒN: TCVN 8244-2:2010 (ISO 3534-2:2006), 3.1.12]
CHÚ THÍCH 1: Việc phân biệt giữa hai khái niệm khuyết tật và không phù hợp (3.1.9) là điều quan trọng vì nó có ý nghĩa pháp lý, đặc biệt khi liên quan đến các vấn đề về nghĩa vụ pháp lý của sản phẩm. Do đó, cần đặc biệt thận trọng khi sử dụng thuật ngữ “khuyết tật”.
CHÚ THÍCH 2: Mục đích sử dụng dự kiến do khách hàng yêu cầu có thể bị ảnh hưởng bởi tính chất của thông tin, như hướng dẫn vận hành hoặc bảo trì mà khách hàng đưa ra.
3.2 Ký hiệu
α rủi ro của nhà sản xuất
β rủi ro của người tiêu dùng
m cỡ mẫu thứ hai trong phương án lấy mẫu hai lần
n cỡ mẫu đầu tiên trong phương án lấy mẫu hai lần
4 Chọn và triển khai phương án lấy mẫu
4.1 Chọn phương án
Phải lựa chọn bảng thích hợp trong Bảng 1 đến Bảng 6 phù hợp với việc kiểm tra là đối với cá thể không phù hợp hay sự không phù hợp và giá trị rủi ro của nhà sản xuất và người tiêu dùng danh nghĩa. Nhập PRQ và CRQ vào bảng được chọn để thu được cỡ mẫu n và m của phương án lấy mẫu hai lần.
Những ô đánh dấu sao trong bảng nghĩa là không có phương án lấy mẫu hai lần nào với số chấp nhận và số bác bỏ quy định có sẵn với các tính chất yêu cầu, cần đưa ra xem xét để giảm PRQ hoặc tăng CRQ, hoặc cả hai.
4.2 Triển khai phương án đối với cá thể không phù hợp
4.2.1 Lấy mẫu chấp nhận
Mẫu ngẫu nhiên có cỡ n phải được lấy và kiểm tra, trong đó n là cỡ mẫu đầu tiên được cho theo phương án. Nếu không có cá thể không phù hợp nào được tìm thấy trong mẫu đầu tiên này, thì lô được chấp nhận. Nếu số cá thể không phù hợp được tìm thấy trong mẫu đầu tiên này lớn hơn hoặc bằng hai thì lô không được chấp nhận.
Nếu một cá thể không phù hợp được tìm thấy trong mẫu ngẫu nhiên đầu tiên, thì mẫu ngẫu nhiên thứ hai có cỡ m phải được lấy và kiểm tra, trong đó m là cỡ mẫu thứ hai được cho theo phương án. Nếu không có cá thể không phù hợp nào khác được tìm thấy trong mẫu thứ hai này, thì lô được chấp nhận. Nếu một hoặc nhiều cá thể không phù hợp được tìm thấy trong mẫu thứ hai này thì lô không được chấp nhận.
4.2.2 Kiểm nghiệm giả thuyết
Phương án lấy mẫu hai lần có thể được sử dụng thay thế cho kiểm nghiệm giả thuyết khi cần kiểm nghiệm giả thuyết không có mức chất lượng thấp hơn hoặc bằng PRQ với đối giả thuyết có mức chất lượng lớn hơn hoặc bằng CRQ. Mẫu ngẫu nhiên đầu tiên có cỡ n phải được lấy và kiểm tra, trong đó n là cỡ mẫu đầu tiên được cho theo phương án. Nếu không có cá thể không phù hợp nào được tìm thấy trong mẫu đầu tiên này, thì giả thuyết không được chấp nhận. Nếu số cá thể không phù hợp tìm thấy trong cỡ mẫu đầu tiên này lớn hơn hoặc bằng 2 thì đối giả thuyết phải được chấp nhận.
Nếu một cá thể không phù hợp được tìm thấy trong mẫu ngẫu nhiên đầu tiên thì mẫu ngẫu nhiên thứ hai có cỡ m phải được lấy và kiểm tra, trong đó m là cỡ mẫu thứ hai được đưa ra theo phương án. Nếu không có cá thể không phù hợp nào khác được tìm thấy trong mẫu thứ hai này, thì giả thuyết không được chấp nhận. Nếu một hoặc nhiều cá thể không phù hợp được tìm thấy trong mẫu thứ hai này, thì đối giả thuyết được chấp nhận.
4.3 Triển khai phương án đối với sự không phù hợp
4.3.1 Lấy mẫu chấp nhận
Để xác định khả năng chấp nhận lô trong kiểm tra số không phù hợp trên một trăm cá thể, quy trình quy định trong 4.2.1 đối với kiểm tra sự không phù hợp phải được sử dụng, ngoại trừ thuật ngữ “cá thể không phù hợp” phải được thay thế bằng “sự không phù hợp”.
4.3.2 Kiểm nghiệm giả thuyết
Để tiến hành kiểm nghiệm giả thuyết trong kiểm tra số không phù hợp trên một trăm cá thể, quy trình quy định trong 4.2.2 đối với kiểm tra sự không phù hợp phải được sử dụng, ngoại trừ thuật ngữ “cá thể không phù hợp” phải được thay thế bằng “sự không phù hợp”.
4.4 Ký hiệu
Ký hiệu sử dụng để mô tả các phương án là (n, 0, 2; m, 1, 2). Điều này chỉ ra số chấp nhận và số bác bỏ đối với mẫu đầu tiên có cỡ n là 0 và 2 còn số chấp nhận và số bác bỏ đối với mẫu đầu tiên và mẫu thứ hai kết hợp là 1 và 2, trong đó mẫu thứ hai có cỡ m.
5 Đường đặc trưng hiệu quả
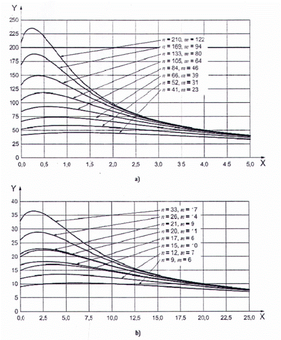
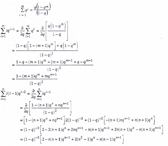
Đường đặc trưng hiệu quả, được thể hiện trên các hình từ Hình 1 đến Hình 6, chỉ ra xác suất lô sẽ được chấp nhận theo các phương án lấy mẫu khác nhau đối với dải của các mức chất lượng.
Đường đặc trưng hiệu quả được dựa trên giả định là tổng của hai cỡ mẫu không quá khoảng 10 % cỡ lô. Nếu tổng của hai cỡ mẫu vượt quá 10 % cỡ lô, thì xác suất chấp nhận lô sẽ cao hơn xác suất chấp nhận lô được thể hiện bằng đường đặc trưng hiệu quả ở tất cả các mức chất lượng, vì vậy rủi ro của nhà sản xuất giảm đi và rủi ro của người tiêu dùng tăng lên.
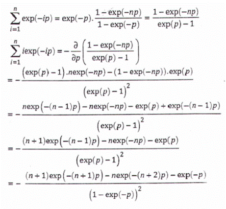
CHÚ THÍCH: Công thức cho đường đặc trưng hiệu quả được đưa ra trong A.1.3 đối với cá thể không phù hợp và trong A.2.3 đối với sự không phù hợp.
6 Cỡ mẫu trung bình
6.1 Kiểm tra rút ngắn
Trong kiểm tra rút ngắn, việc kiểm tra được dừng lại ngay sau khi kết quả kiểm tra đủ để thiết lập xem lô có được chấp nhận hay không hoặc trong trường hợp kiểm nghiệm giả thuyết ngay khi biết rõ giả thuyết nào sẽ được chấp nhận. Trong trường hợp phương án lấy mẫu hai lần trong tiêu chuẩn này, kiểm tra sẽ ngừng ngay khi tìm thấy hai cá thể không phù hợp (sự không phù hợp) trong mẫu đầu tiên hoặc ngay khi tìm thấy một cá thể không phù hợp (sự không phù hợp) trong mẫu thứ hai. Đường đặc trưng hiệu quả không bị ảnh hưởng bởi sự rút ngắn, nhưng cỡ mẫu trung bình sẽ bị giảm. Sự giảm sẽ nhỏ ở mức chất lượng tốt nhưng lại đáng kể ở mức chất lượng rất kém. Nhược điểm của sự rút ngắn là dẫn đến ước lượng mức chất lượng lô hoặc quá trình kém chính xác hơn; vấn đề này gặp nhiều hơn trong trường hợp loạt các lô liên tục.
6.2 Cỡ mẫu trung bình (ASSI) đối với kiểm tra không rút ngắn
Đường cỡ mẫu trung bình đối với kiểm tra không rút ngắn cho phương án lấy mẫu hai lần trong tiêu chuẩn này được thể hiện trên các hình từ Hình 7 đến Hình 12. Các đường này cho thấy cỡ mẫu trung bình có thể được dự kiến xảy ra trong các phương án lấy mẫu khác nhau đối với độ rộng của mức chất lượng quá trình. Đối với tất cả các phương án, ASSI
- bắt đầu bằng giá trị n đối với chất lượng hoàn hảo (bởi vì chỉ có toàn bộ mẫu đầu tiên được kiểm tra),
- tăng đến mức lớn nhất trong đó mức chất lượng quá trình p bằng 1/n, nghĩa là 100/n % không phù hợp hoặc 100/n số không phù hợp trên 100 cá thể,
- giảm dần về giá trị n khi mức chất lượng quá trình p kém hơn quá 1/n (lặp lại vì cuối cùng chỉ có toàn bộ mẫu đầu tiên được kiểm tra).
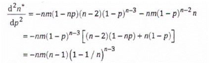
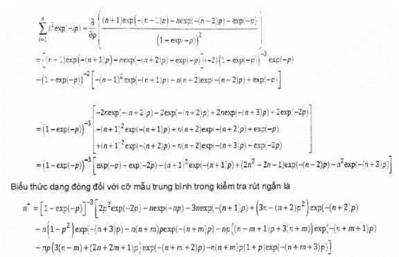
CHÚ THÍCH: Công thức cho cỡ mẫu trung bình đối với kiểm tra không rút ngắn được cung cấp trong A.1.4.1 đối với các thể không phù hợp và trong A.2.4.1 đối với sự không phù hợp. Công thức cho ASSI lớn nhất tương ứng được cho trong A1.5 và A2.5.
Cỡ mẫu trung bình của phương án lấy mẫu hai lần ở PRQ và CRQ đối với kiểm tra không rút ngắn được cho trong các bảng từ Bảng 7 đến Bảng 12. Cỡ mẫu trung bình lớn nhất cũng được đưa ra.
VÍ DỤ: Giả sử cần thực hiện một kiểm nghiệm xem mức chất lượng trong lô lớn có không quá 0,25 % sự không phù hợp hay không. Thống nhất là xác suất chấp nhận cần ít nhất là 95 % nếu lô có mức chất lượng là 0,25 % sự không phù hợp, nhưng không lớn hơn 5 % nếu chất lượng kém là 5 % sự không phù hợp.
Do đó, PRQ là 0,25 % và CRQ là 5 %, với rủi ro của nhà sản xuất và rủi ro của người tiêu dùng đều bằng 5 %. Bảng 1 cho thấy rằng phương án thích hợp có mẫu ban đầu có cỡ n = 66 và cỡ mẫu thứ hai, nếu yêu cầu, là m = 39. Bảng 7 cho thấy đối với phương án lẫy mẫu này, ASSI là 71,5 ở PRQ và 70,6 ở CRQ, với giá trị lớn nhất là 80,5.
6.3 Cỡ mẫu trung bình (ASSI) đối với kiểm tra rút ngắn
Đường cỡ mẫu trung bình cho kiểm tra rút ngắn đối với phương án lấy mẫu hai lần trong tiêu chuẩn này được thể hiện trên các hình từ Hình 19 đến Hình 24. Như trong trường hợp kiểm tra không rút ngắn, đối với tất cả các phương án ASSI bắt đầu ở giá trị n đối với chất lượng hoàn hảo và tăng đến mức lớn nhất. Đối với các phương án cho cá thể không phù hợp thì ASSI giảm xuống giá trị 2 khi chất lượng kém đi, vì ít nhất hai cá thể không phù hợp được yêu cầu để không chấp nhận; đối với phương án cho số không phù hợp ASSI, giảm xuống giá trị 1 khi chất lượng kém đi, vì, ở mức chất lượng có số không phù hợp vô hạn trên 100 cá thể, cá thể đầu tiên chắc chắn sẽ có nhiều hơn một sự không phù hợp.
CHÚ THÍCH: Công thức cho cỡ mẫu trung bình trong kiểm tra rút ngắn được đưa ra trong A.1.4.2 đối với cá thể không phù hợp và trong A.2.4.2 đối với số không phù hợp.
Cỡ mẫu trung bình của phương án lấy mẫu hai lần ở PRQ và CRQ đối với kiểm tra rút ngắn được cho trong các bảng từ Bảng 25 đến 30. Cỡ mẫu trung bình lớn nhất cũng được đưa ra.
VÍ DỤ: Xem xét lại phương án đối với ví dụ trong 6.2, nhưng giả sử rằng lúc này nó được sử dụng rút ngắn. Khi đó, các ASSI liên quan được cho trong Bảng 25. Có thể thấy rằng ảnh hưởng của sự rút ngắn là để giảm ASSI ở PRQ từ 71,5 xuống 69,1, ở CRQ từ 70,6 xuống 38,2 và ở mức lớn nhất từ 80,5 xuống 73,7.
Điển hình của sự rút ngắn là thường dẫn đến làm tăng các mức giảm ASSI khi mức chất lượng kém đi.
7 Rủi ro của nhà sản xuất và người tiêu dùng thực tế
Vì cỡ mẫu m và n nhất thiết phải là số nguyên, nên nói chung rủi ro của nhà sản xuất và người tiêu dùng thực tế sẽ nhỏ hơn giá trị danh nghĩa của chúng. Các rủi ro thực tế này được trình bày trong các bảng từ Bảng 13 đến Bảng 18. Lưu ý rằng, trong khi rủi ro của người tiêu dùng thường gần với giá trị danh nghĩa, thì rủi ro của nhà sản xuất trong một số trường hợp lại nhỏ hơn nhiều.
VÍ DỤ: Đối với dữ liệu trong ví dụ của 6.2, Bảng 13 cho thấy rằng rủi ro của nhà sản xuất thực tế là 2,510 % (nghĩa là khoảng một nửa giá trị danh nghĩa) và rủi ro của người tiêu dùng thực tế là 4,978 % (nghĩa là chỉ dưới giá trị danh nghĩa một chút).
8 Chất lượng đầu ra trung bình (AOQ)
Đối với loạt các lô liên tục đã được xử lý tất cả các lô không đáp ứng chuẩn mực chấp nhận, mối quan tâm là để biết AOQ dài hạn ở các mức chất lượng đầu vào khác nhau. Bảng 19 đến Bảng 24 thể hiện giá trị của AOQ ở PRQ và ở CRQ, cùng với mức lớn nhất đối với tất cả các mức chất lượng đầu vào. Mức lớn nhất này được gọi là giới hạn chất lượng đầu ra trung bình (AOQL). Đường AOQ đối với các phương án của tiêu chuẩn này được trình bày trên các hình từ Hình 13 đến 18.
CHÚ THÍCH: Chỉ bằng biện pháp mức kiểm tra trung bình cao (và thường không kinh tế) mới đạt được mức chất lượng đầu ra trung bình tốt ở mức chất lượng đầu vào kém.
VÍ DỤ: Đối với dữ liệu trong ví dụ của 6.2, Bảng 19 cho thấy chất lượng đầu ra trung bình là 0,244 % ở PRQ và 0,249 % ở CRQ với mức lớn nhất là 0,869 %. Đường AOQ cho ví dụ này được thể hiện trên Hình 13.
9 Ví dụ
9.1 Ví dụ phương án lấy mẫu đối với cá thể không phù hợp
Nhà bán lẻ dự định mua một lô sản xuất gồm mười nghìn bóng đèn năng lượng thấp từ nhà cung ứng được công nhận. Nhà cung ứng chứng minh bằng các hồ sơ nội bộ rằng chỉ có một trong 1000 bóng sẽ hỏng trong lần sử dụng đầu tiên. Thông thường nhà bán lẻ đánh giá các nguồn cung như vậy bằng các phương tiện là phương án lấy mẫu sản phẩm đã thỏa thuận với nhà cung ứng trên cơ sở
a) chi phí lấy mẫu được tính trong giá hợp đồng, và
b) nếu lô không được chấp nhận, nhà cung ứng phải trả chi phí cho kiểm nghiệm 100 % và chi phí liên quan để thay thế các bóng đèn không phù hợp.
Phương án lấy mẫu thỏa thuận là phương án lấy mẫu hai lần với rủi ro của nhà sản xuất và người tiêu dùng danh nghĩa là 5 %, PRQ là 0,1 % và CRQ là 2,5 %. Nhập các tham số này vào Bảng 1 có được cỡ mẫu n = 133 và m = 80. Mẫu ngẫu nhiên gồm 133 bóng đèn được lấy từ lô và được kiểm nghiệm. Một bóng đèn trong mẫu lập tức hỏng, vì vậy mẫu ngẫu nhiên thứ hai gồm 80 bóng được lấy từ lô và được kiểm nghiệm. Không có bóng đèn nào trong số các bóng đèn này hỏng, do vậy lô được chấp nhận.
9.2 Ví dụ phương án lấy mẫu đối với sự không phù hợp
2000 m ván tấm rộng 17 cm được cung cấp cho thợ xây để dùng cho việc cải tạo nhà kho lớn. Người chủ của ngôi nhà có yêu cầu cụ thể là ván tấm không có mấu. Từ kinh nghiệm trước đó, người thợ xây quyết định là trên cơ sở độ dài cần thiết, có thể tuân thủ điều này nếu ván tấm được cung cấp có mấu với tỷ lệ trung bình không quá 4 mấu trên 100 m chiều dài trung bình. Nhà cung ứng tuyên bố là ván tấm cao cấp của họ hầu như không có mấu và vì vậy người thợ xây được chuẩn bị sử dụng PRQ là 1 mấu trên 500 m. Cả nhà cung ứng và người thợ xây đều quyết định giới hạn rủi ro của họ là 5 %.
Do đó, Bảng 4 được sử dụng và được nhập với PRQ là 0,2 % và CRQ là 4 %, có được phương án lấy mẫu hai lần với cỡ mẫu đầu tiên n bằng 84 và cỡ mẫu thứ hai m bằng 51. 84 tấm dài một mét được lựa chọn ngẫu nhiên từ chuyến hàng và kiểm tra mấu. Hai mấu được tìm thấy, vì vậy chuyến hàng bị bác bỏ mà không cần mẫu thứ hai, và nhà cung ứng đồng ý thực hiện kiểm tra 100 % tại chỗ, thay thế bất kỳ đoạn tấm nào tìm thấy mấu.
10 Bảng và hình
Sơ đồ đánh số và vị trí của bảng và hình trong tiêu chuẩn này được đưa ra dưới đây:
| Nội dung | Cá thể không phù hợp | Sự không phù hợp | ||||
| α ≤ 5 % β ≤ 5 % | α ≤ 5 % β ≤ 10% | α ≤ 10 % β ≤ 10% | α ≤ 5 % β ≤ 5 % | α ≤ 5 % β ≤ 10% | α ≤ 10 % β ≤ 10% | |
| Cỡ mẫu của phương án | Bảng 1 | Bảng 2 | Bảng 3 | Bảng 4 | Bảng 5 | Bảng 6 |
| Cỡ mẫu trung bình ở PRQ, lớn nhất và CRQ, kiểm tra không rút ngắn | Bảng 7 | Bảng 8 | Bảng 9 | Bảng 10 | Bảng 11 | Bảng 12 |
| Rủi ro thực tế | Bảng 13 | Bảng 14 | Bảng 15 | Bảng 16 | Bảng 17 | Bảng 18 |
| Chất lượng đầu ra trung bình | Bảng 19 | Bảng 20 | Bảng 21 | Bảng 22 | Bảng 23 | Bảng 24 |
| Cỡ mẫu trung bình ở PRQ, lớn nhất và CRQ, kiểm tra rút ngắn | Bảng 25 | Bảng 26 | Bảng 27 | Bảng 28 | Bảng 29 | Bảng 30 |
| Đường đặc trưng hiệu quả | Hình 1 | Hình 2 | Hình 3 | Hình 4 | Hình 5 | Hình 6 |
| Đường cỡ mẫu trung bình đối với kiểm tra không rút ngắn | Hình 7 | Hình 8 | Hình 9 | Hình 10 | Hình 11 | Hình 12 |
| Đường chất lượng đầu ra trung bình | Hình 13 | Hình 14 | Hình 15 | Hình 16 | Hình 17 | Hình 18 |
| Đường cỡ mẫu trung bình đối với kiểm tra rút ngắn | Hình 19 | Hình 20 | Hình 21 | Hình 22 | Hình 23 | Hình 24 |
Bảng 1 - Cỡ mẫu n và m đối với phương án lấy mẫu hai lần có dạng (n, 0, 2; m, 1,2) cho cá thể không phù hợp: α < 5 % và β < 5 %
| PRQ (%) | Cỡ mẫu | Chất lượng ứng với rủi ro của người tiêu dùng (%) | |||||||||||||
| 1,6 | 2,0 | 2,5 | 3,15 | 4,0 | 5,0 | 6,3 | 8,0 | 10,0 | 12,5 | 16,0 | 20,0 | 25,0 | 31,5 | ||
| 0,1 | n | 210 | 169 | 133 | 105 | 84 | 66 | 52 | 41 | 33 | 26 | 20 | 15 | 12 | 9 |
| m | 122 | 94 | 80 | 64 | 46 | 39 | 31 | 23 | 17 | 14 | 11 | 10 | 7 | 6 | |
| 0,125 | n | * | 169 | 133 | 105 | 84 | 66 | 52 | 41 | 33 | 26 | 20 | 15 | 12 | 9 |
| m | * | 94 | 80 | 64 | 46 | 39 | 31 | 23 | 17 | 14 | 11 | 10 | 7 | 6 | |
| 0,16 | n | * | * | 133 | 105 | 84 | 66 | 52 | 41 | 33 | 26 | 20 | 15 | 12 | 9 |
| m | * | * | 80 | 64 | 46 | 39 | 31 | 23 | 17 | 14 | 11 | 10 | 7 | 6 | |
| 0,2 | n | * | * | * | 105 | 84 | 66 | 52 | 41 | 33 | 26 | 20 | 15 | 12 | 9 |
| m | * | * | * | 64 | 46 | 39 | 31 | 23 | 17 | 14 | 11 | 10 | 7 | 6 | |
| 0,25 | n | * | * | * | * | 84 | 66 | 52 | 41 | 33 | 26 | 20 | 15 | 12 | 9 |
| m | * | * | * | * | 46 | 39 | 31 | 23 | 17 | 14 | 11 | 10 | 7 | 6 | |
| 0,315 | n | * | * | * | * | * | 66 | 52 | 41 | 33 | 26 | 20 | 15 | 12 | 9 |
| m | * | * | * | * | * | 39 | 31 | 23 | 17 | 14 | 11 | 10 | 7 | 6 | |
| 0,4 | n | * | * | * | * | * | * | 52 | 41 | 33 | 26 | 20 | 15 | 12 | 9 |
| m | * | * | * | * | * | * | 31 | 23 | 17 | 14 | 11 | 10 | 7 | 6 | |
| 0,5 | n | * | * | * | * | * | * | * | 41 | 33 | 26 | 20 | 15 | 12 | 9 |
| m | * | * | * | * | * | * | * | 23 | 17 | 14 | 11 | 10 | 7 | 6 | |
| 0,63 | n | * | * | * | * | * | * | * | * | 33 | 26 | 20 | 15 | 12 | 9 |
| m | * | * | * | * | * | * | * | * | 17 | 14 | 11 | 10 | 7 | 6 | |
| 0,8 | n | * | * | * | * | * | * | * | * | * | 26 | 20 | 15 | 12 | 9 |
| m | * | * | * | * | * | * | * | * | * | 14 | 11 | 10 | 7 | 6 | |
| 1,0 | n | * | * | * | * | * | * | * | * | * | * | 20 | 15 | 12 | 9 |
| m | * | * | * | * | * | * | * | * | * | * | 11 | 10 | 7 | 6 | |
| 1,25 | n | * | * | * | * | * | * | * | * | * | * | 21 | 15 | 12 | 9 |
| m | * | * | * | * | * | * | * | * | * | * | 9 | 10 | 7 | 6 | |
| 1,6 | n | * | * | * | * | * | * | * | * | * | * | * | 17 | 12 | 9 |
| m | * | * | * | * | * | * | * | * | * | * | * | 6 | 7 | 6 | |
| 2,0 | n | * | * | * | * | * | * | * | * | * | * | * | * | 12 | 9 |
| m | * | * | * | * | * | * | * | * | * | * | * | * | 7 | 6 | |
| 2,5 | n | * | * | * | * | * | * | * | * | * | * | * | * | * | 9 |
| m | * | * | * | * | * | * | * | * | * | * | * | * | * | 6 | |
| CHÚ THÍCH: Ô có dấu sao chỉ ra là không có phương án lấy mẫu hai lần có dạng (n, 0, 2; m, 1, 2) cho cá thể không phù hợp với α ≤ 5 % và β ≤ 5 % đối với sự kết hợp của chất lượng ứng với rủi ro của nhà sản xuất và chất lượng ứng với rủi ro của người tiêu dùng; xem xét giảm PRQ hoặc tăng CRQ, hoặc cả hai. | |||||||||||||||
Bảng 2 - Cỡ mẫu n và m đối với phương án lấy mẫu hai lần có dạng (n, 0, 2; m, 1, 2) cho cá thể không phù hợp: α ≤ 5 % và β ≤ 10 %
| PRQ (%) | Cỡ mẫu | Chất lượng ứng với rủi ro của người tiêu dùng (%) | ||||||||||||||||
| 0,8 | 1,0 | 1,25 | 1,6 | 2,0 | 2,5 | 3,15 | 4,0 | 5,0 | 6,3 | 8,0 | 10,0 | 12,5 | 16,0 | 20,0 | 25,0 | 31,5 | ||
| 0,1 | n | 336 | 269 | 216 | 168 | 133 | 106 | 84 | 66 | 53 | 42 | 33 | 26 | 20 | 15 | 12 | 9 | 7 |
| m | 214 | 170 | 133 | 105 | 87 | 70 | 55 | 43 | 33 | 26 | 20 | 16 | 14 | 12 | 9 | 8 | 6 | |
| 0,125 | n | * | 269 | 216 | 168 | 133 | 106 | 84 | 66 | 53 | 42 | 33 | 26 | 20 | 15 | 12 | 9 | 7 |
| m | * | 170 | 133 | 105 | 87 | 70 | 55 | 43 | 33 | 26 | 20 | 16 | 14 | 12 | 9 | 8 | 6 | |
| 0,160 | n | * | * | 216 | 168 | 133 | 106 | 84 | 66 | 53 | 42 | 33 | 26 | 20 | 15 | 12 | 9 | 7 |
| m | * | * | 133 | 105 | 87 | 70 | 55 | 43 | 33 | 26 | 20 | 16 | 14 | 12 | 9 | 8 | 6 | |
| 0,2 | n | * | * | * | 168 | 133 | 106 | 84 | 66 | 53 | 42 | 33 | 26 | 20 | 15 | 12 | 9 | 7 |
| m | * | * | * | 105 | 87 | 70 | 55 | 43 | 33 | 26 | 20 | 16 | 14 | 12 | 9 | 8 | 6 | |
| 0,25 | n | * | * | * | * | 133 | 106 | 84 | 66 | 53 | 42 | 33 | 26 | 20 | 15 | 12 | 9 | 7 |
| m | * | * | * | * | 87 | 70 | 55 | 43 | 33 | 26 | 20 | 16 | 14 | 12 | 9 | 8 | 6 | |
| 0,315 | n | * | * | * | * | * | 106 | 84 | 66 | 53 | 42 | 33 | 26 | 20 | 15 | 12 | 9 | 7 |
| m | * | * | * | * | * | 70 | 55 | 43 | 33 | 26 | 20 | 16 | 14 | 12 | 9 | 8 | 6 | |
| 0,4 | n | * | * | * | * | * | * | 84 | 66 | 53 | 42 | 33 | 26 | 20 | 15 | 12 | 9 | 7 |
| m | * | * | * | * | * | * | 55 | 43 | 33 | 26 | 20 | 16 | 14 | 12 | 9 | 8 | 6 | |
| 0,5 | n | * | * | * | * | * | * | * | 66 | 53 | 42 | 33 | 26 | 20 | 15 | 12 | 9 | 7 |
| m | • | * | * | * | * | * | * | 43 | 33 | 26 | 20 | 16 | 14 | 12 | 9 | 8 | 6 | |
| 0,63 | n | * | * | * | * | * | * | * | * | 53 | 42 | 33 | 26 | 20 | 15 | 12 | 9 | 7 |
| m | * | * | * | * | * | * | * | * | 33 | 26 | 20 | 16 | 14 | 12 | 9 | 8 | 6 | |
| 0,8 | n | * | * | * | * | * | * | * | * | * | 42 | 33 | 26 | 20 | 15 | 12 | 9 | 7 |
| m | * | * | * | * | * | * | * | * | * | 26 | 20 | 16 | 14 | 12 | 9 | 8 | 6 | |
| 1,0 | n | * | * | * | * | * | * | * | * | * | * | 33 | 26 | 20 | 15 | 12 | 9 | 7 |
| m | * | * | * | * | * | * | * | * | * | * | 20 | 16 | 14 | 12 | 9 | 8 | 6 | |
| 1,25 | n | * | * | * | * | * | * | * | * | * | * | * | 26 | 20 | 15 | 12 | 9 | 7 |
| m | * | * | * | * | * | * | * | * | * | * | * | 16 | 14 | 12 | 9 | 8 | 6 | |
| 1,6 | n | * | * | * | * | * | * | * | * | * | * | * | * | 20 | 15 | 12 | 9 | 7 |
| m | * | * | * | * | * | * | * | * | * | * | * | * | 14 | 12 | 9 | 8 | 6 | |
| 2,0 | n | * | * | * | * |
| * | * | * | * | * | * | * | * | 15 | 12 | 9 | 7 |
| m | * | * | * | * | * | * | * | * | * | * | * | * | * | 12 | 9 | 8 | 6 | |
| 2,5 | n | * | * | * | * | * | * | * | * | * | * | * | * | * | * | 12 | 9 | 7 |
| m | * | * | * | * | * | * | * | * | * | * | * | * | * | * | 9 | 8 | 6 | |
| 3,15 | n | * | * | * | * |
| * | * | * | * | * | * | * | * | * | * | 9 | 7 |
| m | * | * | * | * | * | * | * | * |
| * | * | * | * | * | * | 8 | 6 | |
| CHÚ THÍCH: Ô có dấu sao chỉ ra là không có phương án lấy mẫu hai lần có dạng (n, 0, 2; m, 1, 2) cho cá thể không phù hợp với α ≤ 5 % và β ≤ 10 % đối với sự kết hợp của chất lượng ứng với rủi ro của nhà sản xuất và chất lượng ứng với rủi ro của người tiêu dùng; xem xét giảm PRQ hoặc tăng CRQ, hoặc cả hai. | ||||||||||||||||||
Bảng 3 - Cỡ mẫu n và m đối với phương án lấy mẫu hai lần có dạng (n, 0, 2; m, 1, 2) cho cá thể không phù hợp: α ≤ 10 % và β ≤ 10 %
| PRQ (%) | Cỡ mẫu | Chất lượng ứng với rủi ro của người tiêu dùng (%) | ||||||||||||||||
| 0,8 | 1,0 | 1,25 | 1,6 | 2,0 | 2,5 | 3,15 | 4,0 | 5,0 | 6,3 | 8,0 | 10,0 | 12,5 | 16,0 | 20,0 | 25,0 | 31,5 | ||
| 0,1 | n | 336 | 269 | 216 | 168 | 133 | 106 | 84 | 66 | 53 | 42 | 33 | 26 | 20 | 15 | 12 | 9 | 7 |
| m | 214 | 170 | 133 | 105 | 87 | 70 | 55 | 43 | 33 | 26 | 20 | 16 | 14 | 12 | 9 | 8 | 6 | |
| 0,125 | n | * | 269 | 216 | 168 | 133 | 106 | 84 | 66 | 53 | 42 | 33 | 26 | 20 | 15 | 12 | 9 | 7 |
| m | * | 170 | 133 | 105 | 87 | 70 | 55 | 43 | 33 | 26 | 20 | 16 | 14 | 12 | 9 | 8 | 6 | |
| 0,160 | n | * | * | 216 | 168 | 133 | 106 | 84 | 66 | 53 | 42 | 33 | 26 | 20 | 15 | 12 | 9 | 7 |
| m | * | * | 133 | 105 | 87 | 70 | 55 | 43 | 33 | 26 | 20 | 16 | 14 | 12 | 9 | 8 | 6 | |
| 0,2 | n | * | * | * | 168 | 133 | 106 | 84 | 66 | 53 | 42 | 33 | 26 | 20 | 15 | 12 | 9 | 7 |
| m | * | * | * | 105 | 87 | 70 | 55 | 43 | 33 | 26 | 20 | 16 | 14 | 12 | 9 | 8 | 6 | |
| 0,25 | n | * | * | * | * | 133 | 106 | 84 | 66 | 53 | 42 | 33 | 26 | 20 | 15 | 12 | 9 | 7 |
| m | * | * | * | * | 87 | 70 | 55 | 43 | 33 | 26 | 20 | 16 | 14 | 12 | 9 | 8 | 6 | |
| 0,315 | n | * | * | * | * | * | 106 | 84 | 66 | 53 | 42 | 33 | 26 | 20 | 15 | 12 | 9 | 7 |
| m | * | * | * | * | * | 70 | 55 | 43 | 33 | 26 | 20 | 16 | 14 | 12 | 9 | 8 | 6 | |
| 0,4 | n | * | * | * | * | * | * | 84 | 66 | 53 | 42 | 33 | 26 | 20 | 15 | 12 | 9 | 7 |
| m | * | * | * | * | * | * | 55 | 43 | 33 | 26 | 20 | 16 | 14 | 12 | 9 | 8 | 6 | |
| 0,5 | n | * | * | * | * | * | * | * | 66 | 53 | 42 | 33 | 26 | 20 | 15 | 12 | 9 | 7 |
| m | * | * | * | * | * | * | * | 43 | 33 | 26 | 20 | 16 | 14 | 12 | 9 | 8 | 6 | |
| 0,63 | n | * | * | * | * | * | * | * | * | 53 | 42 | 33 | 26 | 20 | 15 | 12 | 9 | 7 |
| m | * | * | * | * | * | * | * | * | 33 | 26 | 20 | 16 | 14 | 12 | 9 | 8 | 6 | |
| 0,8 | n | * | * | * | * | * | * | * | * | * | 42 | 33 | 26 | 20 | 15 | 12 | 9 | 7 |
| m | * | * | * | * | * | * | * | * | * | 26 | 20 | 16 | 14 | 12 | 9 | 8 | 6 | |
| 1,0 | n | * | * | * | * | * | * | * | * | * | * | 33 | 26 | 20 | 15 | 12 | 9 | 7 |
| m | * | * | * | * | * | * | * | * | * | * | 20 | 16 | 14 | 12 | 9 | 8 | 6 | |
| 1,25 | n | * | * | * | * | * | * | * | * | * | * | * | 26 | 20 | 15 | 12 | 9 | 7 |
| m | * | * | * | * | * | * | * | * | * | * | * | 16 | 14 | 12 | 9 | 8 | 6 | |
| 1,6 | n | * | * | * | * | * | * | * | * | * | * | * | * | 20 | 15 | 12 | 9 | 7 |
| m | * | * | * | * | * | * | * | * | * | * | * | * | 14 | 12 | 9 | 8 | 6 | |
| 2,0 | n | * | * | * | * | * | * | * | * | * | * | * | * | * | 15 | 12 | 9 | 7 |
| m | * | * | * | * | * | * | * | * | * | * | * | * | * | 12 | 9 | 8 | 6 | |
| 2,5 | n | * | * | * | * | * | * | * | * | * | * | * | * | * | * | 12 | 9 | 7 |
| m | * | * | * | * | * | * | * | * | * | * | * | * | * | * | 9 | 8 | 6 | |
| 3,15 | n | * | * | * | * | * | * | * | * | * | * | * | * | * | * | * | 9 | 7 |
| m | * | * | * | * | * | * | * | * | * | * | * | * | * | * | * | 8 | 6 | |
| CHÚ THÍCH: Ô có dấu sao chỉ ra là không có phương án lấy mẫu hai lần có dạng (n, 0, 2; m, 1, 2) cho cá thể không phù hợp với α ≤ 10 % và β ≤ 10 % đối với sự kết hợp của chất lượng ứng với rủi ro của nhà sản xuất và chất lượng ứng với rủi ro của người tiêu dùng; xem xét giảm PRQ hoặc tăng CRQ, hoặc cả hai. | ||||||||||||||||||
Bảng 4 - Cỡ mẫu n và m đối với phương án lấy mẫu hai lần có dạng (n, 0, 2; m, 1,2) cho sự không phù hợp: α ≤ 5 % và β ≤ 5 %
| PRQ (%) | Cỡ mẫu | Chất lượng ứng với rủi ro của người tiêu dùng (%) | |||||||||||||
| 1,6 | 2,0 | 2,5 | 3,15 | 4,0 | 5,0 | 6,3 | 8,0 | 10,0 | 12,5 | 16,0 | 20,0 | 25,0 | 31,5 | ||
| 0,1 | n | 213 | 169 | 136 | 108 | 84 | 69 | 55 | 43 | 35 | 27 | 21 | 17 | 14 | 11 |
| m | 119 | 99 | 77 | 61 | 51 | 36 | 28 | 23 | 17 | 16 | 13 | 10 | 7 | 6 | |
| 0,125 | n | * | 169 | 136 | 108 | 84 | 69 | 55 | 43 | 35 | 27 | 21 | 17 | 14 | 11 |
| m | * | 99 | 77 | 61 | 51 | 36 | 28 | 23 | 17 | 16 | 13 | 10 | 7 | 6 | |
| 0,160 | n | * | * | 136 | 108 | 84 | 69 | 55 | 43 | 35 | 27 | 21 | 17 | 14 | 11 |
| m | * | * | 77 | 61 | 51 | 36 | 28 | 23 | 17 | 16 | 13 | 10 | 7 | 6 | |
| 0,2 | n | * | * | * | 108 | 84 | 69 | 55 | 43 | 35 | 27 | 21 | 17 | 14 | 11 |
| m | * | * | * | 61 | 51 | 36 | 28 | 23 | 17 | 16 | 13 | 10 | 7 | 6 | |
| 0,25 | n | * | * | * | * | 84 | 69 | 55 | 43 | 35 | 27 | 21 | 17 | 14 | 11 |
| m | * | * | * | * | 51 | 36 | 28 | 23 | 17 | 16 | 13 | 10 | 7 | 6 | |
| 0,315 | n | * | * | * | * | * | 69 | 55 | 43 | 35 | 27 | 21 | 17 | 14 | 11 |
| m | * | * | * | * | * | 36 | 28 | 23 | 17 | 16 | 13 | 10 | 7 | 6 | |
| 0,4 | n | * | * | * | * | * | * | 55 | 43 | 35 | 27 | 21 | 17 | 14 | 11 |
| m | * | * | * | * | * | * | 28 | 23 | 17 | 16 | 13 | 10 | 7 | 6 | |
| 0,5 | n | * | * | * | * | * | * | * | 43 | 35 | 27 | 21 | 17 | 14 | 11 |
| m | * | * | * | * | * | * | * | 23 | 17 | 16 | 13 | 10 | 7 | 6 | |
| 0,63 | n | * | * | * | * | * | * | * | * | 35 | 27 | 21 | 17 | 14 | 11 |
| m | * | * | * | * | * | * | * | * | 17 | 16 | 13 | 10 | 7 | 6 | |
| 0,8 | n | * | * | * | * | * | * | * | * | * | 27 | 21 | 17 | 14 | 11 |
| m | * | * | * | * | * | * | * | * | * | 16 | 13 | 10 | 7 | 6 | |
| 1,0 | n | * | * | * | * | * | * | * | * | * | * | 21 | 17 | 14 | 11 |
| m | * | * | * | * | * | * | * | * | * | * | 13 | 10 | 7 | 6 | |
| 1,25 | n | * | * | * | * | * | * | * | * | * | * | * | 17 | 14 | 11 |
| m | * | * | * | * | * | * | * | * | * | * | * | 10 | 7 | 6 | |
| 1,6 | n | * | * | * | * | * | * | * | * | * | * | * | * | 14 | 11 |
| m | * | * | * | * | * | * | * | * | * | * | * | * | 7 | 6 | |
| 2,0 | n | * | * | * | * | * | * | * | * | * | * | * | * | * | 11 |
| m | * | * | * | * | * | * | * | * | * | * | * | * | * | 6 | |
| CHÚ THÍCH: Ô có dấu sao chỉ ra là không có phương án lấy mẫu hai lần có dạng (n, 0, 2; m, 1, 2) cho cá thể không phù hợp với α ≤ 5 % và β ≤ 5 % đối với sự kết hợp của chất lượng ứng với rủi ro của nhà sản xuất và chất lượng ứng với rủi ro của người tiêu dùng; xem xét giảm PRQ hoặc tăng CRQ, hoặc cả hai. | |||||||||||||||
Bảng 5 - Cỡ mẫu n và m đối với phương án lấy mẫu hai lần có dạng (n, 0, 2; m, 1, 2) cho sự không phù hợp: α ≤ 5 % và β ≤ 10 %
| PRQ (%) | Cỡ mẫu | Chất lượng ứng với rủi ro của người tiêu dùng (%) | |||||||||||||||
| 1,0 | 1,25 | 1,6 | 2,0 | 2,5 | 3,15 | 4,0 | 5,0 | 6,3 | 8,0 | 10,0 | 12,5 | 16,0 | 20,0 | 25,0 | 31,5 | ||
| 0,1 | n | 269 | 216 | 168 | 136 | 109 | 86 | 69 | 55 | 43 | 34 | 28 | 22 | 17 | 14 | 11 | 9 |
| m | 174 | 137 | 109 | 83 | 66 | 54 | 39 | 32 | 27 | 21 | 15 | 13 | 11 | 8 | 7 | 5 | |
| 0,125 | n | * | * | 168 | 136 | 109 | 86 | 69 | 55 | 43 | 34 | 28 | 22 | 17 | 14 | 11 | 9 |
| m | * | * | 109 | 83 | 66 | 54 | 39 | 32 | 27 | 21 | 15 | 13 | 11 | 8 | 7 | 5 | |
| 0,160 | n | * | * | * | 136 | 109 | 86 | 69 | 55 | 43 | 34 | 28 | 22 | 17 | 14 | 11 | 9 |
| m | * | * | * | 83 | 66 | 54 | 39 | 32 | 27 | 21 | 15 | 13 | 11 | 8 | 7 | 5 | |
| 0,2 | n | * | * | * | * | 109 | 86 | 69 | 55 | 43 | 34 | 28 | 22 | 17 | 14 | 11 | 9 |
| m | * | * | * | * | 66 | 54 | 39 | 32 | 27 | 21 | 15 | 13 | 11 | 8 | 7 | 5 | |
| 0,25 | n | * | * | * | * | * | 86 | 69 | 55 | 43 | 34 | 28 | 22 | 17 | 14 | 11 | 9 |
| m | * | * | * | * | * | 54 | 39 | 32 | 27 | 21 | 15 | 13 | 11 | 8 | 7 | 5 | |
| 0,315 | n | * | * | * | * | * | * | 69 | 55 | 43 | 34 | 28 | 22 | 17 | 14 | 11 | 9 |
| m | * | * | * | * | * | * | 39 | 32 | 27 | 21 | 15 | 13 | 11 | 8 | 7 | 5 | |
| 0,4 | n | * | * | * | * | * | * | * | 55 | 43 | 34 | 28 | 22 | 17 | 14 | 11 | 9 |
| m | * | * | * | * | * | * | * | 32 | 27 | 21 | 15 | 13 | 11 | 8 | 7 | 5 | |
| 0,5 | n | * | * | * | * | * | * | * | * | 43 | 34 | 28 | 22 | 17 | 14 | 11 | 9 |
| m | * | * | * | * | * | * | * | * | 27 | 21 | 15 | 13 | 11 | 8 | 7 | 5 | |
| 0,63 | n | * | * | * | * | * | * | * | * | * | 34 | 28 | 22 | 17 | 14 | 11 | 9 |
| m | * | * | * | * | * | * | * | * | * | 21 | 15 | 13 | 11 | 8 | 7 | 5 | |
| 0,8 | n | * | * | * | * | * | * | * | * | * | * | 28 | 22 | 17 | 14 | 11 | 9 |
| m | * | * | * | * | * | * | * | * | * | * | 15 | 13 | 11 | 8 | 7 | 5 | |
| 1,0 | n | * | * | * | * | * | * | * | * | * | * | * | 22 | 17 | 14 | 11 | 9 |
| m | * | * | * | * | * | * | * | * | * | * | * | 13 | 11 | 8 | 7 | 5 | |
| 1,25 | n | * | * | * | * | * | * | * | * | * | * | * | * | 17 | 14 | 11 | 9 |
| m | * | * | * | * | * | * | * | * | * | * | * | * | 11 | 8 | 7 | 5 | |
| 1,6 | n | * | * | * | * | * | * | * | * | * | * | * | * | * | 14 | 11 | 9 |
| m | * | * | * | * | * | * | * | * | * | * | * | * | * | 8 | 7 | 5 | |
| 2,0 | n | * | * | * | * | * | * | * | * | * | * | * | * | * | * | 11 | 9 |
| m | * | * | * | * | * | * | * | * | * | * | * | * | * | * | 7 | 5 | |
| CHÚ THÍCH: Ô có dấu sao chỉ ra là không có phương án lấy mẫu hai lần có dạng (n, 0, 2; m, 1, 2) cho cá thể không phù hợp với α ≤ 5 % và β ≤ 10 % đối với sự kết hợp của chất lượng ứng với rủi ro của nhà sản xuất và chất lượng ứng với rủi ro của người tiêu dùng; xem xét giảm PRQ hoặc tăng CRQ, hoặc cả hai. | |||||||||||||||||
Bảng 6 - Cỡ mẫu n và m đối với phương án lấy mẫu hai lần có dạng (n, 0, 2; m, 1,2) cho sự không phù hợp: α ≤ 10 % và β ≤ 10 %
| PRQ (%) | Cỡ mẫu | Chất lượng ứng với rủi ro của người tiêu dùng (%) | ||||||||||||||||
| 0,8 | 1,0 | 1,25 | 1,6 | 2,0 | 2,5 | 3,15 | 4,0 | 5,0 | 6,3 | 8,0 | 10,0 | 12,5 | 16,0 | 20,0 | 25,0 | 31,5 | ||
| 0,1 | n | 336 | 269 | 216 | 168 | 136 | 109 | 86 | 69 | 55 | 43 | 34 | 28 | 22 | 17 | 14 | 11 | 9 |
| m | 218 | 174 | 137 | 109 | 83 | 66 | 54 | 39 | 32 | 27 | 21 | 15 | 13 | 11 | 8 | 7 | 5 | |
| 0,125 | n | * | 269 | 216 | 168 | 136 | 109 | 86 | 69 | 55 | 43 | 34 | 28 | 22 | 17 | 14 | 11 | 9 |
| m | * | 174 | 137 | 109 | 83 | 66 | 54 | 39 | 32 | 27 | 21 | 15 | 13 | 11 | 8 | 7 | 5 | |
| 0,160 | n | * | * | 216 | 168 | 136 | 109 | 86 | 69 | 55 | 43 | 34 | 28 | 22 | 17 | 14 | 11 | 9 |
| m | * | * | 137 | 109 | 83 | 66 | 54 | 39 | 32 | 27 | 21 | 15 | 13 | 11 | 8 | 7 | 5 | |
| 0,2 | n | * | * | * | 168 | 136 | 109 | 86 | 69 | 55 | 43 | 34 | 28 | 22 | 17 | 14 | 11 | 9 |
| m | * | * | * | 109 | 83 | 66 | 54 | 39 | 32 | 27 | 21 | 15 | 13 | 11 | 8 | 7 | 5 | |
| 0,25 | n | * | * | * | * | 136 | 109 | 86 | 69 | 55 | 43 | 34 | 28 | 22 | 17 | 14 | 11 | 9 |
| m | * | * | * | * | 83 | 66 | 54 | 39 | 32 | 27 | 21 | 15 | 13 | 11 | 8 | 7 | 5 | |
| 0,315 | n | * | * | * | * | * | 109 | 86 | 69 | 55 | 43 | 34 | 28 | 22 | 17 | 14 | 11 | 9 |
| m | * | * | * | * | * | 66 | 54 | 39 | 32 | 27 | 21 | 15 | 13 | 11 | 8 | 7 | 5 | |
| 0,4 | n | * | * | * | * | * | * | 86 | 69 | 55 | 43 | 34 | 28 | 22 | 17 | 14 | 11 | 9 |
| m | * | * | * | * | * | * | 54 | 39 | 32 | 27 | 21 | 15 | 13 | 11 | 8 | 7 | 5 | |
| 0,5 | n | * | * | * | * | * | * | * | 69 | 55 | 43 | 34 | 28 | 22 | 17 | 14 | 11 | 9 |
| m | * | * | * | * | * | * | * | 39 | 32 | 27 | 21 | 15 | 13 | 11 | 8 | 7 | 5 | |
| 0,63 | n | * | * | * | * | * | * | * | * | 55 | 43 | 34 | 28 | 22 | 17 | 14 | 11 | 9 |
| m | * | * | * | * | * | * | * | * | 32 | 27 | 21 | 15 | 13 | 11 | 8 | 7 | 5 | |
| 0,8 | n | * | * | * | * | * | * | * | * | * | 43 | 34 | 28 | 22 | 17 | 14 | 11 | 9 |
| m | * | * | * | * | * | * | * | * | * | 27 | 21 | 15 | 13 | 11 | 8 | 7 | 5 | |
| 1,0 | n | * | * | * | * | * | * | * | * | * | * | 34 | 28 | 22 | 17 | 14 | 11 | 9 |
| m | * | * | * | * | * | * | * | * | * | * | 21 | 15 | 13 | 11 | 8 | 7 | 5 | |
| 1,25 | n | * | * | * | * | * | * | * | * | * | * | * | 28 | 22 | 17 | 14 | 11 | 9 |
| m | * | * | * | * | * | * | * | * | * | * | * | 15 | 13 | 11 | 8 | 7 | 5 | |
| 1,6 | n | * | * | * | * | * | * | * | * | * | * | * | * | 22 | 17 | 14 | 11 | 9 |
| m | * | * | * | * | * | * | * | * | * | * | * | * | 13 | 11 | 8 | 7 | 5 | |
| 2,0 | n | * | * | * | * | * | * | * | * | * | * | * | * | * | 17 | 14 | 11 | 9 |
| m | * | * | * | * | * | * | * | * | * | * | * | * | * | 11 | 8 | 7 | 5 | |
| 2,5 | n | * | * | * | * | * | * | * | * | * | * | * | * | * | * | 14 | 11 | 9 |
| m | * | * | * | * | * | * | * | * | * | * | * | * | * | * | 8 | 7 | 5 | |
| 3,15 | n | * | * | * | * | * | * | * | * | * | * | * | * | * | * | * | 11 | 9 |
| m | * | * | * | * | * | * | * | * | * | * | * | * | * | * | * | 7 | 5 | |
| 4,0 | n | * | * | * | * | * | * | * | * | * | * | * | * | * | * | * | * | 9 |
| m | * | * | * | * | * | * | * | * | * | * | * | * | * | * | * | * | 5 | |
| CHÚ THÍCH: Ô có dấu sao chỉ ra là không có phương án lấy mẫu hai lần có dạng (n, 0, 2; m, 1, 2) cho cá thể không phù hợp với α ≤ 10 % và β ≤ 10 % đối với sự kết hợp của chất lượng ứng với rủi ro của nhà sản xuất và chất lượng ứng với rủi ro của người tiêu dùng; xem xét giảm PRQ hoặc tăng CRQ, hoặc cả hai. | ||||||||||||||||||
Bảng 7 - Cỡ mẫu trung bình (ASSI) đối với các phương án dùng cho cá thể không phù hợp: kiểm tra không rút ngắn với α ≤ 5 % và β ≤ 5 %
| PRQ (%) | ASSI ở: | Chất lượng ứng với rủi ro của người tiêu dùng (%) | |||||||||||||
| 1,6 | 2,0 | 2,5 | 3,15 | 4,0 | 5,0 | 6,3 | 8,0 | 10,0 | 12,5 | 16,0 | 20,0 | 25,0 | 31,5 | ||
| 0,1 | PRQ lớn nhất CRQ | 231 | 182 | 142 | 111 | 87,6 | 68,4 | 53,5 | 41,9 | 33,5 | 26,4 | 20,2 | 15,1 | 121 | 9,1 |
| 255 | 204 | 163 | 129 | 101 | 80,5 | 63,5 | 49,6 | 39,4 | 31,3 | 24,2 | 18,8 | 14,7 | 11,3 | ||
| 224 | 180 | 142 | 113 | 89,2 | 70,6 | 55,7 | 43,7 | 34,9 | 27,6 | 21,3 | 16,3 | 12,9 | 9,8 | ||
| 0,125 | PRQ lớn nhất CRQ | * | 185 | 144 | 112 | 88,4 | 69,0 | 53,9 | 42,1 | 33,7 | 26,4 | 20,3 | 15,2 | 12,1 | 9,1 |
| * | 204 | 163 | 129 | 101 | 80,5 | 63,5 | 49,6 | 39,4 | 31,3 | 24,2 | 18,8 | 14,7 | 11,3 | ||
| * | 180 | 142 | 113 | 89,2 | 70,6 | 55,7 | 43,7 | 34,9 | 27,6 | 21,3 | 16,3 | 12,9 | 9,8 | ||
| 0,160 | PRQ lớn nhất CRQ | * | * | 147 | 114 | 89,4 | 69,7 | 54,4 | 42,4 | 33,9 | 26,6 | 20,3 | 15,2 | 12,1 | 9,1 |
| * | * | 163 | 129 | 101 | 80,5 | 63,5 | 49,6 | 39,4 | 31,3 | 24,2 | 18,8 | 14,7 | 11,3 | ||
| * | * | 142 | 113 | 89,2 | 70,6 | 55,7 | 43,7 | 34,9 | 27,6 | 21,3 | 16,3 | 12,9 | 9,8 | ||
| 0,2 | PRQ lớn nhất CRQ | * | * | * | 116 | 90,5 | 70,5 | 54,9 | 42,7 | 34,1 | 26,7 | 20,4 | 15,3 | 12,2 | 9,1 |
| * | * | * | 129 | 101 | 80,5 | 63,5 | 49,6 | 39,4 | 31,3 | 24,2 | 18,8 | 14,7 | 11,3 | ||
| * | * | * | 113 | 89,2 | 70,6 | 55,7 | 43,7 | 34,9 | 27,6 | 21,3 | 16,3 | 12,9 | 9,8 | ||
| 0,25 | PRQ lớn nhất CRQ | * | * | * | * | 91,8 | 71,5 | 55,5 | 43,1 | 34,3 | 26,9 | 20,5 | 15,4 | 12,2 | 9,1 |
| * | * | * | * | 101 | 80,5 | 63,5 | 49,6 | 39,4 | 31,3 | 24,2 | 18,8 | 14,7 | 11,3 | ||
| * | * | * | * | 89,2 | 70,6 | 55,7 | 43,7 | 34,9 | 27,6 | 21,3 | 16,3 | 12,9 | 9,8 | ||
| 0,315 | PRQ lớn nhất CRQ | * | * | * | * | * | 72,6 | 56,3 | 43,6 | 34,6 | 27,1 | 20,7 | 15,5 | 12,3 | 9,2 |
| * | * | * | * | * | 80,5 | 63,5 | 49,6 | 39,4 | 31,3 | 24,2 | 18,8 | 14,7 | 11,3 | ||
| * | * | * | * | * | 70,6 | 55,7 | 43,7 | 34,9 | 27,6 | 21,3 | 16,3 | 12,9 | 9,8 | ||
| 0,4 | PRQ lớn nhất CRQ | * | * | * | * | * | * | 57,3 | 44,2 | 35,0 | 27,3 | 20,8 | 15,6 | 12,3 | 9,2 |
| * | * | * | * | * | * | 63,5 | 49,6 | 39,4 | 31,3 | 24,2 | 18,8 | 14,7 | 11,3 | ||
| * | * | * | * | * | * | 55,7 | 43,7 | 34,9 | 27,6 | 21,3 | 16,3 | 12,9 | 9,8 | ||
| 0,5 | PRQ lớn nhất CRQ | * | * | * | * | * | * | * | 44,9 | 35,4 | 27,6 | 21,0 | 15,7 | 12,4 | 9,3 |
| * | * | * | * | * | * | * | 49,6 | 39,4 | 31,3 | 24,2 | 18,8 | 14,7 | 11,3 | ||
| * | * | * | * | * | * | * | 43,7 | 34,9 | 27,6 | 21,3 | 16,3 | 12,9 | 9,8 | ||
| 0,63 | PRQ lớn nhất CRQ | * | * | * | * | * | * | * | * | 35,9 | 28,0 | 21,2 | 15,9 | 12,5 | 9,3 |
| * | * | * | * | * | * | * | * | 39,4 | 31,3 | 24,2 | 18,8 | 14,7 | 11,3 | ||
| * | * | * | * | * | * | * | * | 34,9 | 27,6 | 21,3 | 16,3 | 12,9 | 9,8 | ||
| 0,8 | PRQ lớn nhất CRQ | * | * | * | * | * | * | * | * | * | 28,4 | 21,5 | 16,1 | 12,6 | 9,4 |
| * | * | * | * | * | * | * | * | * | 31,3 | 24,2 | 18,8 | 14,7 | 11,3 | ||
| * | * | * | * | * | * | * | * | * | 27,6 | 21,3 | 16,3 | 12,9 | 9,8 | ||
| 1,0 | PRQ lớn nhất CRQ | * | * | * | * | * | * | * | * | * | * | 21,8 | 16,3 | 12,75 | 9,5 |
| * | * | * | * | * | * | * | * | * | * | 24,2 | 18,8 | 14,7 | 11,3 | ||
| * | * | * | * | * | * | * | * | * | * | 21,3 | 16,3 | 12,9 | 9,8 | ||
| 1,25 | PRQ lớn nhất CRQ | * | * | * | * | * | * | * | * | * | * | 22,8 | 16,6 | 12,9 | 9,6 |
| * | * | * | * | * | * | * | * | * | * | 24,4 | 18,8 | 14,7 | 11,3 | ||
| * | * | * | * | * | * | * | * | * | * | 21,9 | 16,3 | 12,9 | 9,8 | ||
| 1,6 | PRQ lớn nhất | * | * | * | * | * | * | * | * | * | * | * | 18,3 | 13,1 | 9,8 |
| * | * | * | * | * | * | * | * | * | * | * | 19,3 | 14,7 | 11,3 | ||
| * | * | * | * | * | * | * | * | * | * | * | 17,6 | 12,9 | 9,8 | ||
| 2,0 | PRQ lớn nhất | * | * | * | * | * | * | * | * | * | * | * | * | 13,3 | 9,9 |
| * | * | * | * | * | * | * | * | * | * | * | * | 14,7 | 11,3 | ||
| * | * | * | * | * | * | * | * | * | * | * | * | 12,9 | 9,8 | ||
| 2,5 | PRQ lớn nhất | * | * | * | * | * | * | * | * | * | * | * | * | * | 10,1 |
| * | * | * | * | * | * | * | * | * | * | * | * | * | 11,3 | ||
| * | * | * | * | * | * | * | * | * | * | * | * | * | 9,8 | ||
| CHÚ THÍCH: Ô có dấu sao chỉ ra là không có phương án lấy mẫu hai lần có dạng (n, 0, 2; m, 1, 2) với α ≤ 5 % và β ≤ 5 % đối với sự kết hợp của chất lượng ứng với rủi ro của nhà sản xuất và chất lượng ứng với rủi ro của người tiêu dùng; xem xét giảm PRQ hoặc tăng CRQ, hoặc cả hai. | |||||||||||||||
Bảng 8 - Cỡ mẫu trung bình (ASSI) đối với các phương án dùng cho cá thể không phù hợp: kiểm tra không rút ngắn với α ≤ 5 % và β ≤ 10 %
| PRQ (%) | ASSI ở: | Chất lượng ứng với rủi ro của người tiêu dùng (%) | ||||||||||||||
| 1,25 | 1,6 | 2,0 | 2,5 | 3,15 | 4,0 | 5,0 | 6,3 | 8,0 | 10,0 | 12,5 | 16,0 | 20,0 | 25,0 | 31,5 | ||
| 0,1 | PRQ lớn nhất CRQ | 239 | 183 | 143 | 113 | 88,3 | 68,7 | 54,7 | 43,0 | 33,6 | 26,4 | 20,3 | 15,2 | 12,1 | 9,1 | 7,0 |
| 265 | 207 | 165 | 132 | 104 | 81,9 | 65,3 | 51,7 | 40,5 | 32,0 | 25,3 | 19,6 | 15,5 | 12,1 | 9,4 | ||
| 240 | 187 | 149 | 119 | 94,2 | 74,0 | 59,1 | 46,8 | 36,7 | 29,0 | 22,8 | 17,5 | 13,9 | 10,8 | 8,4 | ||
| 0,125 | PRQ lớn nhất CRQ | * | 186 | 145 | 114 | 89,2 | 69,3 | 55,0 | 43,3 | 33,8 | 26,5 | 20,3 | 15,2 | 12,1 | 9,1 | 7,1 |
| * | 207 | 165 | 132 | 104 | 81,9 | 65,3 | 51,7 | 40,5 | 32,0 | 25,3 | 19,6 | 15,5 | 12,1 | 9,4 | ||
| * | 187 | 149 | 119 | 94,2 | 74,0 | 59,1 | 46,8 | 36,7 | 29,0 | 22,8 | 17,5 | 13,9 | 10,8 | 8,4 | ||
| 0,160 | PRQ lớn nhất CRQ | * | * | 148 | 116 | 90,5 | 70,1 | 55,6 | 43,6 | 34,0 | 26,6 | 20,4 | 15,3 | 12,2 | 9,1 | 7,1 |
| * | * | 165 | 132 | 104 | 81,9 | 65,3 | 51,7 | 40,5 | 32,0 | 25,3 | 19,6 | 15,5 | 12,1 | 9,4 | ||
| * | * | 149 | 119 | 94,2 | 74,0 | 59,1 | 46,8 | 36,7 | 29,0 | 22,8 | 17,5 | 13,9 | 10,8 | 8,4 | ||
| 0,2 | PRQ lớn nhất CRQ | * | * | * | 118 | 91,8 | 71,0 | 56,2 | 44,0 | 342 | 26,8 | 20,5 | 15,4 | 12,2 | 9,1 | 7,1 |
| * | * | * | 132 | 104 | 81,9 | 65,3 | 51,7 | 40,5 | 32,0 | 25,3 | 19,6 | 15,5 | 12,1 | 9,4 | ||
| * | * | * | 119 | 94,2 | 74,0 | 59,1 | 46,8 | 36,7 | 29,0 | 22,8 | 17,5 | 13,9 | 10,8 | 8,4 | ||
| 0,25 | PRQ lớn nhất CRQ | * | * | * | * | 93,4 | 72,0 | 56,8 | 44,5 | 34,5 | 27,0 | 20,7 | 15,4 | 12,3 | 9,2 | 7,1 |
| * | * | * | * | 104 | 81,9 | 65,3 | 51,7 | 40,5 | 32,0 | 25,3 | 19,6 | 15,5 | 12,1 | 9,4 | ||
| * | * | * | * | 94,2 | 74,0 | 59,1 | 46,8 | 36,7 | 29,0 | 22,8 | 17,5 | 13,9 | 10,8 | 8,4 | ||
| 0,315 | PRQ lớn nhất CRQ | * | * | * | * | * | 73,3 | 57,7 | 45,0 | 34,9 | 27,2 | 20,8 | 15,5 | 12,3 | 9,2 | 7,1 |
| * | * | * | * | * | 81,9 | 65,3 | 51,7 | 40,5 | 32,0 | 25,3 | 19,6 | 15,5 | 12,1 | 9,4 | ||
| * | * | * | * | * | 74,0 | 59,1 | 46,8 | 36,7 | 29,0 | 22,8 | 17,5 | 13,9 | 10,8 | 8,4 | ||
| 0,4 | PRQ lớn nhất CRQ | * | * | * | * | * | * | 58,7 | 45,7 | 35,3 | 27,5 | 21,0 | 15,7 | 12,4 | 9,3 | 7,2 |
| * | * | * | * | * | * | 65,3 | 51,7 | 40,5 | 32,0 | 25,3 | 19,6 | 15,5 | 12,1 | 9,4 | ||
| * | * | * | * | * | * | 59,1 | 46,8 | 36,7 | 29,0 | 22,8 | 17,5 | 13,9 | 10,8 | 8,4 | ||
| 0,5 | PRQ lớn nhất CRQ | * | * | * | * | * | * | * | 46,4 | 35,8 | 27,8 | 21,3 | 15,8 | 12,5 | 9,3 | 7,2 |
| * | * | * | * | * | * | * | 51,7 | 40,5 | 32,0 | 25,3 | 19,6 | 15,5 | 12,1 | 9,4 | ||
| * | * | * | * | * | * | * | 46,8 | 36,7 | 29,0 | 22,8 | 17,5 | 13,9 | 10,8 | 8,4 | ||
| 0,63 | PRQ lớn nhất CRQ | * | * | * | * | * | * | * | * | 36,4 | 28,2 | 21,6 | 16,0 | 12,6 | 9,4 | 7,3 |
| * | * | * | * | * | * | * | * | 40,5 | 32,0 | 25,3 | 19,6 | 153 | 12,1 | 9,4 | ||
| * | * | * | * | * | * | * | * | 36,7 | 29,0 | 22,8 | 17,5 | 13,9 | 10,8 | 8,4 | ||
| 0,8 | PRQ lớn nhất CRQ | * | * | * | * | * | * | * | * | * | 28,7 | 21,9 | 16,3 | 12,8 | 9,5 | 7,3 |
| * | * | * | * | * | * | * | * | * | 32,0 | 25,3 | 19,6 | 15,5 | 12,1 | 9,4 | ||
| * | * | * | * | * | * | * | * | * | 29,0 | 22,8 | 17,5 | 13,9 | 10,8 | 8,4 | ||
| 1,0 | PRQ lớn nhất CRQ | * | * | * | * | * | * | * | * | * | * | 22,3 | 16,6 | 13,0 | 9,7 | 7,4 |
| * | * | * | * | * | * | * | * | * | * | 25,3 | 19,6 | 15,5 | 12,1 | 9,4 | ||
| * | * | * | * | * | * | * | * | * | * | 22,8 | 17,5 | 13,9 | 10,8 | 8,4 | ||
| 1,25 | PRQ lớn nhất CRQ | * | * | * | * | * | * | * | * | * | * | * | 16,9 | 13,2 | 9,8 | 7,5 |
| * | * | * | * | * | * | * | * | * | * | * | 19,6 | 15,5 | 12,1 | 9,4 | ||
| * | * | * | * | * | * | * | * | * | * | * | 17,5 | 13,9 | 10,8 | 8,4 | ||
| 1,6 | PRQ lớn nhất CRQ | * | * | * | * | * | * | * | * | * | * | * | * | 13,4 | 10,0 | 7,6 |
| * | * | * | * | * | * | * | * | * | * | * | * | 15,5 | 12,1 | 9,4 | ||
| * | * | * | * | * | * | * | * | * | * | * | * | 13,9 | 10,8 | 8,4 | ||
| 2,0 | PRQ lớn nhất CRQ | * | * | * | * | * | * | * | * | * | * | * | * | 17,2 | 10,2 | 7,7 |
| * | * | * | * | * | * | * | * | * | * | * | * | 17,4 | 12,1 | 9,4 | ||
| * | * | * | * | * | * | * | * | * | * | * | * | 17,1 | 10,8 | 8,4 | ||
| 2,5 | PRQ lớn nhất CRQ | * | * | * | * | * | * | * | * | * | * | * | * | * | * | 7,9 |
| * | * | * | * | * | * | * | * | * | * | * | * | * | * | 9,4 | ||
| * | * | * | * | * | * | * | * | * | * | * | * | * | * | 8,4 | ||
| 3,15 | PRQ lớn nhất CRQ | * | * | * | * | * | * | * | * | * | * | * | * | * | * | 8,8 |
| * | * | * | * | * | * | * | * | * | * | * | * | * | * | 9,6 | ||
| * | * | * | * | * | * | * | * | * | * | * | * | * | * | 8,7 | ||
| CHÚ THÍCH: Ô có dấu sao chỉ ra là không có phương án lấy mẫu hai lần có dạng (n, 0, 2; m, 1, 2) với α ≤ 5 % và β ≤ 10 % đối với sự kết hợp của chất lượng ứng với rủi ro của nhà sản xuất và chất lượng ứng với rủi ro của người tiêu dùng; xem xét giảm PRQ hoặc tăng CRQ, hoặc cả hai. | ||||||||||||||||
Bảng 9 - Cỡ mẫu trung bình (ASSI) đối với các phương án dùng cho cá thể không phù hợp: kiểm tra không rút ngắn với α ≤ 10 % và β ≤ 10 %
| PRQ (%) | ASSI ở: | Chất lượng ứng với rủi ro của người tiêu dùng (%) | ||||||||||||||||
| 0,8 | 1,0 | 1,25 | 1,6 | 2,0 | 2,5 | 3,15 | 4,0 | 5,0 | 6,3 | 8,0 | 10,0 | 12,5 | 16,0 | 20,0 | 25,0 | 31,5 | ||
| 0,1 | PRQ lớn nhất CRQ | 387 | 304 | 239 | 183 | 143 | 113 | 88,3 | 68,7 | 54,7 | 43,0 | 33,6 | 26,4 | 20,3 | 15,2 | 12,1 | 9,1 | 7,0 |
| 415 | 332 | 265 | 207 | 165 | 132 | 104 | 81,9 | 65,3 | 51,7 | 40,5 | 32,0 | 25,3 | 19,6 | 15,5 | 12,1 | 9,4 | ||
| 375 | 300 | 240 | 187 | 149 | 119 | 94,2 | 74,0 | 59,1 | 46,8 | 36,7 | 29,0 | 22,8 | 17,5 | 13,9 | 10,8 | 8,4 | ||
| 0,125 | PRQ lớn nhất CRQ | * | 310 | 243 | 186 | 145 | 114 | 89,2 | 69,3 | 55,0 | 43,3 | 33,8 | 26,5 | 20,3 | 15,2 | 12,1 | 9,1 | 7,1 |
| * | 332 | 265 | 207 | 165 | 132 | 104 | 81,9 | 65,3 | 51,7 | 40,5 | 32,0 | 25,3 | 19,6 | 15,5 | 12,1 | 9,4 | ||
| * | 300 | 240 | 187 | 149 | 119 | 94,2 | 74,0 | 59,1 | 46,8 | 36,7 | 29,0 | 22,8 | 17,5 | 13,9 | 10,8 | 8,4 | ||
| 0,16 | PRQ lớn nhất CRQ | * | * | 249 | 190 | 148 | 116 | 90,5 | 70,1 | 55,6 | 43,6 | 34,0 | 26,6 | 20,4 | 15,3 | 12,2 | 9,1 | 7,1 |
| * | * | 265 | 207 | 165 | 132 | 104 | 81,9 | 65,3 | 51,7 | 40,5 | 32,0 | 25,3 | 19,6 | 15,5 | 12,1 | 9,4 | ||
| * | * | 240 | 187 | 149 | 119 | 94,2 | 74,0 | 59,1 | 46,8 | 36,7 | 29,0 | 22,8 | 17,5 | 13,9 | 10,8 | 8,4 | ||
| 0,2 | PRQ lớn nhất CRQ | * | * | * | 193 | 151 | 118 | 91,8 | 71,0 | 56,2 | 44,0 | 34,2 | 26,8 | 20,5 | 15,4 | 12,2 | 9,1 | 7,1 |
| * | * | * | 207 | 165 | 132 | 104 | 81,9 | 65,3 | 51,7 | 40,5 | 32,0 | 25,3 | 19,6 | 15,5 | 12,1 | 9,4 | ||
| * | * | * | 187 | 149 | 119 | 94,2 | 74,0 | 59,1 | 46,8 | 36,7 | 29,0 | 22,8 | 17,5 | 13,9 | 10,8 | 8,4 | ||
| 0,25 | PRQ lớn nhất CRQ | * | * | * | * | 154 | 120 | 93,4 | 72,0 | 56,8 | 44,5 | 34,5 | 27,0 | 20,7 | 15,4 | 12,3 | 9,2 | 7,1 |
| * | * | * | * | 165 | 132 | 104 | 81,9 | 65,3 | 51,7 | 40,5 | 32,0 | 25,3 | 19,6 | 15,5 | 12,1 | 9,4 | ||
| * | * | * | * | 149 | 119 | 94,2 | 74,0 | 59,1 | 46,8 | 36,7 | 29,0 | 22,8 | 17,5 | 13,9 | 10,8 | 8,4 | ||
| 0,315 | PRQ lớn nhất CRQ | * | * | * | * | * | 123 | 95,2 | 73,3 | 57,7 | 45,0 | 34,9 | 27,2 | 20,8 | 15,5 | 12,3 | 9,2 | 7,1 |
| * | * | * | * | * | 132 | 104 | 81,9 | 65,3 | 51,7 | 40,5 | 32,0 | 25,3 | 19,6 | 15,5 | 12,1 | 9,4 | ||
| * | * | * | * | * | 119 | 94,2 | 74,0 | 59,1 | 46,8 | 36,7 | 29,0 | 22,8 | 17,5 | 13,9 | 10,8 | 8,4 | ||
| 0,4 | PRQ lớn nhất CRQ | * | * | * |
| * | * | 97,3 | 74,7 | 58,7 | 45,7 | 35,3 | 27,5 | 21,0 | 15,7 | 12,4 | 9,3 | 7,2 |
| * | * | * | * | * | * | 104 | 81,9 | 65,3 | 51,7 | 40,5 | 32,0 | 25,3 | 19,6 | 15,5 | 12,1 | 9,4 | ||
| * | * | * | * | * | * | 94,2 | 74,0 | 59,1 | 46,8 | 36,7 | 29,0 | 22,8 | 17,5 | 13,9 | 10,8 | 8,4 | ||
| 0,5 | PRQ lớn nhất CRQ | * | * | * | * | * | * | * | 76,2 | 59,7 | 46,4 | 35,8 | 27,8 | 21,3 | 15,8 | 12,5 | 9,35 | 7,2 |
| * | * | * | * | * | * | * | 81,9 | 65,3 | 51,7 | 40,5 | 32,0 | 25,3 | 19,6 | 15,5 | 12,1 | 9,4 | ||
| * | * | * | * | * | * | * | 74,0 | 59,1 | 46,8 | 36,7 | 29,0 | 22,8 | 17,5 | 13,9 | 10,8 | 8,4 | ||
| 0,63 | PRQ lớn nhất CRQ | * | * | * | * | * | * | * | * | 60,9 | 47,3 | 36,4 | 28,2 | 21,6 | 16,0 | 12,6 | 9,4 | 7,3 |
| * | * | * | * | * | * | * | * | 65,3 | 51,7 | 40,5 | 32,0 | 25,3 | 19,6 | 15,5 | 12,1 | 9,4 | ||
| * | * | * | * | * | * | * | * | 59,1 | 46,8 | 36,7 | 29,0 | 22,8 | 17,5 | 13,9 | 10,8 | 8,4 | ||
| 0,8 | PRQ lớn nhất CRQ | * | * | * | * | * | * | * | * | * | 48,3 | 37,1 | 287 | 21.9 | 16,3 | 12,8 | 9,5 | 7,3 |
| * | * | * | * | * | * | * | * | * | 51,7 | 40,5 | 32,0 | 25,3 | 19,6 | 15,5 | 12,1 | 9,4 | ||
| * | * | * | * | * | * | * | * | * | 46,8 | 36,7 | 29,0 | 22,8 | 17,5 | 13,9 | 10,8 | 8,4 | ||
| 1,0 | PRQ lớn nhất CRQ | * | * | * | * | * | * | * | * | * | * | 37,8 | 29,2 | 22,3 | 16,6 | 13,0 | 9,7 | 7,4 |
| * | * | * | * | * | * | * | * | * | * | 40,5 | 32,0 | 25,3 | 19,6 | 15,5 | 12,1 | 9,4 | ||
| * | * | * | * | * | * | * | * | * | * | 36,7 | 29,0 | 22,8 | 17,5 | 13,9 | 10,8 | 8,4 | ||
| 1,25 | PRQ lớn nhất CRQ | * | * | * | * | * | * | * | * | * | * | * | 29,8 | 22,8 | 16,9 | 13,2 | 9,8 | 7,5 |
| * | * | * | * | * | * | * | * | * | * | * | 32,0 | 25,3 | 19,6 | 15,5 | 12,1 | 9,4 | ||
| * | * | * | * | * | * | * | * | * | * | * | 29,0 | 22,8 | 17,5 | 13,9 | 10,8 | 8,4 | ||
| 1,6 | PRQ lớn nhất CRQ | * | * | * | * | * | * | * | * | * | * | * | * | 23,3 | 17,3 | 13,4 | 10,0 | 7,6 |
| * | * | * | * | * | * | * | * | * | * | * | * | 25,3 | 19,6 | 15,5 | 12,1 | 9,4 | ||
| * | * | * | * | * | * | * | * | * | * | * | * | 22,8 | 17,5 | 13,9 | 10,8 | 8,4 | ||
| 2,0 | PRQ lớn nhất CRQ | * | * | * | * | * | * | * | * | * | * | * | * | * | 17,7 | 13,7 | 10,2 | 7,7 |
| * | * | * | * | * | * | * | * | * | * | * | * | * | 19,6 | 15,5 | 12,1 | 9,4 | ||
| * | * | * | * | * | * | * | * | * | * | * | * | * | 17,5 | 13,9 | 10,8 | 8,4 | ||
| 2,5 | PRQ lớn nhất CRQ | * | * | * | * | * | * | * | * | * | * | * | * | * | * | 14,0 | 10,5 | 7,9 |
| * | * | * | * | * | * | * | * | * | * | * | * | * | * | 15,5 | 12,1 | 9,4 | ||
| * | * | * | * | * | * | * | * | * | * | * | * | * | * | 13,9 | 10,8 | 8,4 | ||
| 3,15 | PRQ lớn nhất CRQ | * | * | * | * | * | * | * | * | * | * | * | * | * | * | * | 10,8 | 8,1 |
| * | * | * | * | * | * | * | * | * | * | * | * | * | * | * | 12,1 | 9,4 | ||
| * | * | * | * | * | * | * | * | * | * | * | * | * | * | * | 10,8 | 8,4 | ||
| 4,0 | PRQ lớn nhất CRQ | * | * | * | * | * | * | * | * | * | * | * | * | * | * | * | * | 8,3 |
| * | * | * | * | * | * | * | * | * | * | * | * | * | * | * | * | 9,4 | ||
| * | * | * | * | * | * | * | * | * | * | * | * | * | * | * | * | 8,4 | ||
| CHÚ THÍCH: Ô có dấu sao chỉ ra là không có phương án lấy mẫu hai lần có dạng (n, 0, 2; m, 1, 2) với α ≤ 10 % và β ≤ 10 % đối với sự kết hợp của chất lượng ứng với rủi ro của nhà sản xuất và chất lượng ứng với rủi ro của người tiêu dùng; xem xét giảm PRQ hoặc tăng CRQ, hoặc cả hai. | ||||||||||||||||||
Bảng 10 - Cỡ mẫu trung bình (ASSI) đối với các phương án dùng cho sự không phù hợp: kiểm tra không rút ngắn với α ≤ 5 % và β ≤ 5 %
| PRQ (%) | ASSI ở: | Chất lượng ứng với rủi ro của người tiêu dùng (%) | |||||||||||||
| 1,6 | 2,0 | 2,5 | 3,15 | 4,0 | 5,0 | 6,3 | 8,0 | 10,0 | 12,5 | 16,0 | 20,0 | 25,0 | 31,5 | ||
| 0,1 | PRQ lớn nhất CRQ | 233 | 183 | 145 | 114 | 87,9 | 71,3 | 56,5 | 43,9 | 35,6 | 27,4 | 21,3 | 17,2 | 14,1 | 11,1 |
| 257 | 205 | 164 | 130 | 103 | 82,2 | 65,3 | 51,5 | 41,3 | 32,9 | 25,8 | 20,7 | 16,6 | 13,2 | ||
| 226 | 180 | 145 | 115 | 90,0 | 72,9 | 58,0 | 45,5 | 36,8 | 28,8 | 22,5 | 18,1 | 14,7 | 11,7 | ||
| 0,125 | PRQ lớn nhất CRQ | * | 186 | 147 | 115 | 88,8 | 71,8 | 56,8 | 44,2 | 35,7 | 27,5 | 21,3 | 17,2 | 14,1 | 11,1 |
| * | 205 | 164 | 130 | 103 | 82,2 | 65,3 | 51,5 | 41,3 | 32,9 | 25,8 | 20,7 | 16,6 | 13,2 | ||
| * | 180 | 145 | 115 | 90,0 | 72,9 | 58,0 | 45,5 | 36,8 | 28,8 | 22,5 | 18,1 | 14,7 | 11,7 | ||
| 0,160 | PRQ lớn nhất CRQ | * | * | 149 | 117 | 90,0 | 72,6 | 573 | 44,5 | 35,9 | 27,7 | 21,4 | 17,3 | 14,2 | 11,1 |
| * | * | 164 | 130 | 103 | 82,2 | 65,3 | 51,5 | 41,3 | 32,9 | 25,8 | 20,7 | 16,6 | 13,2 | ||
| * | * | 145 | 115 | 90,0 | 72,9 | 58,0 | 45,5 | 36,8 | 28,8 | 22,5 | 18,1 | 14,7 | 11,7 | ||
| 0,2 | PRQ lớn nhất CRQ | * | * | * | 119 | 91,2 | 73,3 | 57,8 | 44,8 | 36,1 | 27,8 | 21,5 | 17,3 | 14,2 | 11,1 |
| * | * | * | 130 | 103 | 82,2 | 65,3 | 51,5 | 41,3 | 32,9 | 25,8 | 20,7 | 16,6 | 13,2 | ||
| * | * | * | 115 | 90,0 | 72,9 | 58,0 | 45,5 | 36,8 | 28,8 | 22,5 | 18,1 | 14,7 | 11,7 | ||
| 0,25 | PRQ lớn nhất CRQ | * | * | * | * | 92,7 | 74,2 | 58,4 | 45,2 | 36,4 | 28,0 | 21,6 | 17,4 | 142 | 11,2 |
| * | * | * | * | 103 | 82,2 | 65,3 | 51,5 | 41,3 | 32,9 | 25,8 | 20,7 | 16,6 | 13,2 | ||
| * | * | * | * | 90,0 | 72,9 | 58,0 | 45,5 | 36,8 | 28,8 | 22,5 | 18,1 | 14,7 | 11,7 | ||
| 0,315 | PRQ lớn nhất CRQ | * | * | * | * | * | 75,3 | 59,1 | 45,7 | 36,7 | 28,2 | 21,8 | 17,5 | 14,3 | 11,2 |
| * | * | * | * | * | 82,2 | 65,3 | 51,5 | 41,3 | 32,9 | 25,8 | 20,7 | 16,6 | 13,2 | ||
| * | * | * | * | * | 72,9 | 58,0 | 45,5 | 36,8 | 28,8 | 22,5 | 18,1 | 14,7 | 11,7 | ||
| 0,4 | PRQ lớn nhất CRQ | * | * | * | * | * | * | 59,9 | 46,3 | 37,1 | 28,6 | 22,0 | 17,6 | 14,4 | 11,3 |
| * | * | * | * | * | * | 65,3 | 51,5 | 41,3 | 32,9 | 25,8 | 20,7 | 16,6 | 13,2 | ||
| * | * | * | * | * | * | 58,0 | 45,5 | 36,8 | 28,8 | 22,5 | 18,1 | 14,7 | 11,7 | ||
| 0,5 | PRQ lớn nhất CRQ | * | * | * | * | * | * | * | 47,0 | 37,5 | 28,9 | 22,2 | 17,8 | 145 | 11,3 |
| * | * | * | * | * | * | * | 51,5 | 41,3 | 32,9 | 25,8 | 20,7 | 16,6 | 13,2 | ||
| * | * | * | * | * | * | * | 45,5 | 36,8 | 28,8 | 22,5 | 18,1 | 14,7 | 11,7 | ||
| 0,63 | PRQ lớn nhất CRQ | * | * | * | * | * | * | * | * | 38,0 | 29,3 | 22,5 | 18,0 | 14,6 | 11,4 |
| * | * | * | * | * | * | * | * | 41,3 | 32,9 | 25,8 | 20,7 | 16,6 | 13,2 | ||
| * | * | * | * | * | * | * | * | 36,8 | 28,8 | 22,5 | 18,1 | 14,7 | 11,7 | ||
| 0,8 | PRQ lớn nhất CRQ | * | * | * | * | * | * | * | * | * | 29,8 | 22,8 | 18,2 | 14,7 | 11,5 |
| * | * | * | * | * | * | * | * | * | 32,9 | 25,8 | 20,7 | 16,6 | 13,2 | ||
| * | * | * | * | * | * | * | * | * | 28,8 | 22,5 | 18,1 | 14,7 | 11,7 | ||
| 1,0 | PRQ lớn nhất CRQ | * | * | * | * | * | * | * | * | * | * | 23,2 | 18,4 | 14,9 | 11,6 |
| * | * | * | * | * | * | * | * | * | * | 25,8 | 20,7 | 16,6 | 13,2 | ||
| * | * | * | * | * | * | * | * | * | * | 22,5 | 18,1 | 14,7 | 11,7 | ||
| 1,25 | PRQ lớn nhất CRQ | * | * | * | * | * | * | * | * | * | * | * | 18,7 | 150 | 11,7 |
| * | * | * | * | * | * | * | * | * | * | * | 20,7 | 16,6 | 13,2 | ||
| * | * | * | * | * | * | * | * | * | * | * | 18,1 | 14,7 | 11,7 | ||
| 1,6 | PRQ lớn nhất CRQ | * | * | * | * | * | * | * | * | * | * | * | * | 15,3 | 11,9 |
| * | * | * | * | * | * | * | * | * | * | * | * | 16,6 | 13,2 | ||
| * | * | * | * | * | * | * | * | * | * | * | * | 14,7 | 11,7 | ||
| 2,0 | PRQ lớn nhất CRQ | * | * | * | * | * | * | * | * | * | * | * | * | * | 121 |
| * | * | * | * | * | * | * | * | * | * | * | * | * | 13,2 | ||
| * | * | * | * | * | * | * | * | * | * | * | * | * | 11,7 | ||
| CHÚ THÍCH: Ô có dấu sao chỉ ra là không có phương án lấy mẫu hai lần có dạng (n, 0, 2; m, 1, 2) với α ≤ 5 % và β ≤ 5 % đối với sự kết hợp của chất lượng ứng với rủi ro của nhà sản xuất và chất lượng ứng với rủi ro của người tiêu dùng; xem xét giảm PRQ hoặc tăng CRQ, hoặc cả hai. | |||||||||||||||
Bảng 11 - Cỡ mẫu trung bình (ASSI) đối với các phương án dùng cho sự không phù hợp: kiểm tra không rút ngắn với α ≤ 5 % và β ≤ 10 %
| PRQ (%) | ASSI ở: | Chất lượng ứng với rủi ro của người tiêu dùng (%) | ||||||||||||||
| 1,25 | 1,6 | 2,0 | 2,5 | 3,15 | 4,0 | 5,0 | 6,3 | 8,0 | 10,0 | 12,5 | 16,0 | 20,0 | 25,0 | 31,5 | ||
| 0,1 | PRQ lớn nhất CRQ | 240 | 183 | 146 | 115 | 90,3 | 71,5 | 56,7 | 44,1 | 34,7 | 28,4 | 223 | 17,2 | 14,1 | 11,1 | 9,0 |
| 266 | 208 | 167 | 133 | 106 | 83,3 | 66,8 | 52,9 | 41,7 | 33,5 | 26,8 | 21,0 | 16,9 | 13,6 | 10,8 | ||
| 241 | 188 | 151 | 121 | 95,7 | 75,8 | 60,6 | 47,9 | 37,8 | 30,6 | 24,3 | 19,0 | 15,4 | 12,2 | 9,8 | ||
| 0,125 | PRQ lớn nhất CRQ | * | 187 | 148 | 117 | 91,2 | 72,1 | 57,1 | 44,4 | 34,9 | 28,5 | 22,3 | 17,2 | 14,1 | 11,1 | 9,1 |
| * | 208 | 167 | 133 | 106 | 83,3 | 66,8 | 52,9 | 41,7 | 33,5 | 26,8 | 21,0 | 16,9 | 13,6 | 10,8 | ||
| * | 188 | 151 | 121 | 95,7 | 75,8 | 60,6 | 47,9 | 37,8 | 30,6 | 24,3 | 19,0 | 15,4 | 12,2 | 9,8 | ||
| 0,160 | PRQ lớn nhất CRQ | * | * | 151 | 119 | 92,5 | 72,9 | 57,6 | 44,7 | 35,1 | 28,6 | 22,4 | 17,3 | 14,2 | 11,1 | 9,1 |
| * | * | 167 | 133 | 106 | 83,3 | 66,8 | 52,9 | 41,7 | 33,5 | 26,8 | 21,0 | 16,9 | 13,6 | 10,8 | ||
| * | * | 151 | 121 | 95,7 | 75,8 | 60,6 | 47,9 | 37,8 | 30,6 | 24,3 | 19,0 | 15,4 | 12,2 | 9,8 | ||
| 0,2 | PRQ lớn nhất CRQ |
| * | * | 121 | 93,8 | 73,7 | 582 | 45,1 | 35,3 | 28,8 | 22,5 | 17,4 | 14,2 | 11,2 | 9,1 |
|
| * | * | 133 | 106 | 83,3 | 66,8 | 52,9 | 41,7 | 33,5 | 26,8 | 21,0 | 16,9 | 13,6 | 10,8 | ||
|
| * | * | 121 | 95,7 | 75,8 | 60,6 | 47,9 | 37,8 | 30,6 | 24,3 | 19,0 | 15,4 | 12,2 | 9,8 | ||
| 0,25 | PRQ lớn nhất CRQ | * | * | * | * | 95,4 | 74,7 | 58,8 | 45,6 | 35,6 | 29,0 | 22,7 | 17,4 | 14,3 | 11,2 | 9,1 |
| * | * | * | * | 106 | 83,3 | 66,8 | 52,9 | 41,7 | 33,5 | 26,8 | 21,0 | 16,9 | 13,6 | 10,8 | ||
| * | * | * | * | 95,7 | 75,8 | 60,6 | 47,9 | 37,8 | 30,6 | 24,3 | 19,0 | 15,4 | 12,2 | 9,8 | ||
| 0,315 | PRQ lớn nhất CRQ | * | * | * | * | * | 75,8 | 59,7 | 46,2 | 36,0 | 29,2 | 22,8 | 17,6 | 14,3 | 11,2 | 9,1 |
| * | * | * | * | * | 83,3 | 66,8 | 52,9 | 41,7 | 33,5 | 26,8 | 21,0 | 16,9 | 13,6 | 10,8 | ||
| * | * | * | * | * | 75,8 | 60,6 | 47,9 | 37,8 | 30,6 | 24,3 | 19,0 | 15,4 | 12,2 | 9,8 | ||
| 0,4 | PRQ lớn nhất CRQ | * | * | * | * | * | * | 60,6 | 46,9 | 36,5 | 29,5 | 23,0 | 17,7 | 14,4 | 11,3 | 9,2 |
| * | * | * | * | * | * | 66,8 | 52,9 | 41,7 | 33,5 | 26,8 | 21,0 | 16,9 | 13,6 | 10,8 | ||
| * | * | * | * | * | * | 60,6 | 47,9 | 37,8 | 30,6 | 24,3 | 19,0 | 15,4 | 12,2 | 9,8 | ||
| 0,5 | PRQ lớn nhất CRQ | * | * | * | * | * | * | * | 47,7 | 37,0 | 29,8 | 23,3 | 17,9 | 14,5 | 11,4 | 9,2 |
| * | * | * | * | * | * | * | 52,9 | 41,7 | 33,5 | 26,8 | 21,0 | 16,9 | 13,6 | 10,8 | ||
| * | * | * | * | * | * | * | 47,9 | 37,8 | 30,6 | 24,3 | 19,0 | 15,4 | 12,2 | 9,8 | ||
| 0,63 | PRQ lớn nhất CRQ | * | * | * | * | * | * | * | * | 37,6 | 30,2 | 23,6 | 18,1 | 14,6 | 115 | 9,3 |
| * | * | * | * | * | * | * | * | 41,7 | 33,5 | 26,8 | 21,0 | 16,9 | 13,6 | 10,8 | ||
| * | * | * | * | * | * | * | * | 37,8 | 30,6 | 24,3 | 19,0 | 15,4 | 12,2 | 9,8 | ||
| 0,8 | PRQ lớn nhất CRQ | * | * | * | * | * | * | * | * | * | 30,7 | 23,9 | 18,3 | 14,8 | 11,6 | 9,3 |
| * | * | * | * | * | * | * | * | * | 33,5 | 26,8 | 21,0 | 16,9 | 13,6 | 10,8 | ||
| * | * | * | * | * | * | * | * | * | 30,6 | 24,3 | 19,0 | 15,4 | 12,2 | 9,8 | ||
| 1,0 | PRQ lớn nhất CRQ | * | * | * | * | * | * | * | * | * | * | 24,3 | 18,6 | 15,0 | 11,7 | 9,4 |
| * | * | * | * | * | * | * | * | * | * | 26,8 | 21,0 | 16,9 | 13,6 | 10,8 | ||
| * | * | * | * | * | * | * | * | * | * | 24,3 | 19,0 | 15,4 | 12,2 | 9,8 | ||
| 1,25 | PRQ lớn nhất CRQ | * | * | * | * | * | * |
| * | * | * | * | 18,9 | 15,2 | 11,8 | 9,5 |
| * | * | * | * | * | * | * | * | * | * | * | 21,0 | 16,9 | 13,6 | 10,8 | ||
| * | * | * | * | * | * |
| * | * | * | * | 19,0 | 15,4 | 12,2 | 9,8 | ||
| 1,6 | PRQ lớn nhất CRQ | * | * | * | * | * | * | * | * | * | * | * | * | 15,4 | 12,0 | 9,6 |
| * | * | * | * | * | * | * | * | * | * | * | * | 16,9 | 13,6 | 10,8 | ||
| * | * | * | * | * | * | * | * | * | * | * | * | 15,4 | 12,2 | 9,8 | ||
| 2,0 | PRQ lớn nhất CRQ | * | * | * | * | * | * | * | * | * | * | * | * | * | 12,2 | 9,8 |
| * | * | * | * | * | * | * | * | * | * | * | * | * | 13,6 | 10,8 | ||
| * | * | * | * | * | * | * | * | * | * | * | * | * | 12,2 | 9,8 | ||
| CHÚ THÍCH: Ô có dấu sao chỉ ra là không có phương án lấy mẫu hai lần có dạng (n, 0, 2; m, 1, 2) với α ≤ 5 % và β ≤ 10 % đối với sự kết hợp của chất lượng ứng với rủi ro của nhà sản xuất và chất lượng ứng với rủi ro của người tiêu dùng; xem xét giảm PRQ hoặc tăng CRQ, hoặc cả hai. | ||||||||||||||||
Bảng 12 - Cỡ mẫu trung bình (ASSI) đối với các phương án dùng cho sự không phù hợp: kiểm tra không rút ngắn với α ≤ 10 % và β ≤ 10 %
| PRQ (%) | ASSI ở: | Chất lượng ứng với rủi ro của người tiêu dùng (%) | ||||||||||||||||
| 0,8 | 1,0 | 1,25 | 1,6 | 2,0 | 2,5 | 3,15 | 4,0 | 5,0 | 6,3 | 8,0 | 10,0 | 12,5 | 16,0 | 20,0 | 25,0 | 31,5 | ||
| 0,1 | PRQ | 388 | 305 | 240 | 183 | 146 | 115 | 90,3 | 71,5 | 56,7 | 44,1 | 34,7 | 28,4 | 22,3 | 17,2 | 14,1 | 11,1 | 9,0 |
| lớn nhất | 416 | 333 | 266 | 208 | 167 | 133 | 106 | 83,3 | 66,8 | 52,9 | 41,7 | 33,5 | 26,8 | 21,0 | 16,9 | 13,6 | 10,8 | |
| CRQ | 376 | 301 | 241 | 188 | 151 | 121 | 95,7 | 75,8 | 60,6 | 47,9 | 37,8 | 30,6 | 24,3 | 19,0 | 15,4 | 12,2 | 9,8 | |
| 0,125 | PRQ | * | 311 | 244 | 187 | 148 | 117 | 91,2 | 72,1 | 57,1 | 44,4 | 34,9 | 28,5 | 22,3 | 17,2 | 14,1 | 11,1 | 9,1 |
| lớn nhất | * | 333 | 266 | 208 | 167 | 133 | 106 | 83,3 | 66,8 | 52,9 | 41,7 | 33,5 | 26,8 | 21,0 | 16,9 | 13,6 | 10,8 | |
| CRQ | * | 301 | 241 | 188 | 151 | 121 | 95,7 | 75,8 | 60,6 | 47,9 | 37,8 | 30,6 | 24,3 | 19,0 | 15,4 | 12,2 | 9,8 | |
| 0,160 | PRQ | * | * | 250 | 190 | 151 | 119 | 92,5 | 72,9 | 57,6 | 44,7 | 35,1 | 28,6 | 22,4 | 17,3 | 14,2 | 11,1 | 9,1 |
| lớn nhất | * | * | 266 | 208 | 167 | 133 | 106 | 83,3 | 66,8 | 52,9 | 41,7 | 33,5 | 26,8 | 21,0 | 16,9 | 13,6 | 10,8 | |
| CRQ | * | * | 241 | 188 | 151 | 121 | 95,7 | 75,8 | 60,6 | 47,9 | 37,8 | 30,6 | 24,3 | 19,0 | 15,4 | 12,2 | 9,8 | |
| 0,2 | PRQ | * | * | * | 194 | 153 | 121 | 93,8 | 73,7 | 58,2 | 45,1 | 35,3 | 28,8 | 22,5 | 17,4 | 14,2 | 11,2 | 9,1 |
| lớn nhất | * | * | * | 208 | 167 | 133 | 106 | 83,3 | 66,8 | 52,9 | 41,7 | 33,5 | 26,8 | 21,0 | 16,9 | 13,6 | 10,8 | |
| CRQ | * | * | * | 188 | 151 | 121 | 95,7 | 75,8 | 60,6 | 47,9 | 37,8 | 30,6 | 24,3 | 19,0 | 15,4 | 12,2 | 9,8 | |
| 0,25 | PRQ | * | * | * | * | 156 | 123 | 95,4 | 74,7 | 58,8 | 45,6 | 35,6 | 29,0 | 22,7 | 17,4 | 14,3 | 11,2 | 9,1 |
| lớn nhất | * | * | * | * | 167 | 133 | 106 | 83,3 | 66,8 | 52,9 | 41,7 | 33,5 | 26,8 | 21,0 | 16,9 | 13,6 | 10,8 | |
| CRQ | * | * | * | * | 151 | 121 | 95,7 | 75,8 | 60,6 | 47,9 | 37,8 | 30,6 | 24,3 | 19,0 | 15,4 | 12,2 | 9,8 | |
| 0,315 | PRQ | * | * | * | * | * | 125 | 97,2 | 75,8 | 59,7 | 46,2 | 36,0 | 29,2 | 22,8 | 17,6 | 14,3 | 11,2 | 9,1 |
| lớn nhất | * | * | * | * | * | 133 | 106 | 83,3 | 66,8 | 52,9 | 41,7 | 33,5 | 26,8 | 21,0 | 16,9 | 13,6 | 10,8 | |
| CRQ | * | * | * | * | * | 121 | 95,7 | 75,8 | 60,6 | 47,9 | 37,8 | 30,6 | 24,3 | 19,0 | 15,4 | 12,2 | 9,8 | |
| 0,4 | PRQ | * | * | * | * | * | * | 99,2 | 77,2 | 60,6 | 46,9 | 36,5 | 29,5 | 23,0 | 17,7 | 14,4 | 11,3 | 9,2 |
| lớn nhất | * | * | * | * | * | * | 106 | 83,3 | 66,8 | 52,9 | 41,7 | 33,5 | 26,8 | 21,0 | 16,9 | 13,6 | 10,8 | |
| CRQ | * | * | * | * | * | * | 95,7 | 75,8 | 60,6 | 47,9 | 37,8 | 30,6 | 24,3 | 19,0 | 15,4 | 12,2 | 9,8 | |
| 0,5 | PRQ | * | * | * | * | * | * | * | 78,5 | 61,7 | 47,7 | 37,0 | 29,8 | 23,3 | 17,9 | 14,5 | 11,4 | 9,2 |
| lớn nhất | * | * | * | * | * | * | * | 83,3 | 66,8 | 52,9 | 41,7 | 33,5 | 26,8 | 21,0 | 16,9 | 13,6 | 10,8 | |
| CRQ | * | * | * | * | * | * | * | 75,8 | 60,6 | 47,9 | 37,8 | 30,6 | 24,3 | 19,0 | 15,4 | 12,2 | 9,8 | |
| 0,63 | PRQ | * | * | * | * | * | * | * | * | 62,8 | 48,6 | 37,6 | 30,2 | 23,6 | 18,1 | 14,6 | 11,5 | 9,3 |
| lớn nhất | * | * | * | * | * | * | * | * | 66,8 | 52,9 | 41,7 | 33,5 | 26,8 | 21,0 | 16,9 | 13,6 | 10,8 | |
| CRQ | * | * | * | * | * | * | * | * | 60,6 | 47,9 | 37,8 | 30,6 | 24,3 | 19,0 | 15,4 | 12,2 | 9,8 | |
| 0,8 | PRQ | * | * | * | * | * | * | * | * | * | 49,6 | 38,4 | 30,7 | 23,9 | 18,3 | 14,8 | 11,6 | 9,3 |
| lớn nhất | * | * | * | * | * | * | * | * | * | 52,9 | 41,7 | 33,5 | 26,8 | 21,0 | 16,9 | 13,6 | 10,8 | |
| CRQ | * | * | * | * | * | * | * | * | * | 47,9 | 37,8 | 30,6 | 24,3 | 19,0 | 15,4 | 12,2 | 9,8 | |
| 1,0 | PRQ | * | * | * | * | * | * | * | * | * | * | 39,1 | 31,2 | 24,3 | 18,6 | 15,0 | 11,7 | 9,4 |
| lớn nhất | * | * | * | * | * | * | * | * | * | * | 41,7 | 33,5 | 26,8 | 21,0 | 16,9 | 13,6 | 10,8 | |
| CRQ | * | * | * | * | * | * | * | * | * | * | 37,8 | 30,6 | 24,3 | 19,0 | 15,4 | 12,2 | 9,8 | |
| 1,25 | PRQ | * | * | * | * | * | * | * | * | * | * | * | 31,7 | 24,7 | 18,9 | 15,2 | 11,8 | 9,5 |
| lớn nhất | * | * | * | * | * | * | * | * | * | * | * | 33,5 | 26,8 | 21,0 | 16,9 | 13,6 | 10,8 | |
| CRQ | * | * | * | * | * | * | * | * | * | * | * | 30,6 | 24,3 | 19,0 | 15,4 | 12,2 | 9,8 | |
| 1,6 | PRQ | * | * | * | * | * | * | * | * | * | * | * | * | 25,2 | 19,3 | 15,4 | 12,0 | 9,6 |
| lớn nhất | * | * | * | * | * | * | * | * | * | * | * | * | 26,8 | 21,0 | 16,9 | 13,6 | 10,8 | |
| CRQ | * | * | * | * | * | * | * | * | * | * | * | * | 24,3 | 19,0 | 15,4 | 12,2 | 9,8 | |
| 2,0 | PRQ | * | * | * | * | * | * | * | * | * | * | * | * | * | 19,7 | 15,7 | 12,2 | 9,75 |
| lớn nhất | * | * | * | * | * | * | * | * | * | * | * | * | * | 21,0 | 16,9 | 13,6 | 10,8 | |
| CRQ | * | * | * | * | * | * | * | * | * | * | * | * | * | 19,0 | 15,4 | 12,2 | 9,8 | |
| 2,5 | PRQ | * | * | * | * | * | * | * | * | * | * | * | * | * | * | 16,0 | 12,5 | 9,9 |
| lớn nhất | * | * | * | * | * | * | * | * | * | * | * | * | * | * | 16,9 | 13,6 | 10,8 | |
| CRQ | * | * | * | * | * | * | * | * | * | * | * | * | * | * | 15,4 | 12,2 | 9,8 | |
| 3,15 | PRQ | * | * | * | * | * | * | * | * | * | * | * | * | * | * | * | 12,7 | 10,1 |
| lớn nhất | * | * | * | * | * | * | * | * | * | * | * | * | * | * | * | 13,6 | 10,8 | |
| CRQ | * | * | * | * | * | * | * | * | * | * | * | * | * | * | * | 12,2 | 9,8 | |
| 4,0 | PRQ | * | * | * | * | * | * | * | * | * | * | * | * | * | * | * | * | 10,3 |
| lớn nhất | * | * | * | * | * | * | * | * | * | * | * | * | * | * | * | * | 10,8 | |
| CRQ | * | * | * | * | * | * | * | * | * | * | * | * | * | * | * | * | 9,8 | |
| CHÚ THÍCH: Ô có dấu sao chỉ ra là không có phương án lấy mẫu hai lần có dạng (n, 0, 2; m, 1, 2) với α ≤ 10 % và β ≤ 10 % đối với sự kết hợp của chất lượng ứng với rủi ro của nhà sản xuất và chất lượng ứng với rủi ro của người tiêu dùng; xem xét giảm PRQ hoặc tăng CRQ, hoặc cả hai. | ||||||||||||||||||
Bảng 13 - Rủi ro thực tế tính bằng phần trăm đối với các phương án dùng cho cá thể không phù hợp: α ≤ 5 % và β ≤ 5 %
| PRQ (%) | Rủi ro (%) | Chất lượng ứng với rủi ro của người tiêu dùng (%) | |||||||||||||
| 1,6 | 2,0 | 2,5 | 3,15 | 4,0 | 5,0 | 6,3 | 8,0 | 10,0 | 12,5 | 16,0 | 20,0 | 25,0 | 31,5 | ||
| 0,1 | α | 3,870 | 2,553 | 1,701 | 1,097 | 0,678 | 0,442 | 0,279 | 0,170 | 0,106 | 0,067 | 0,040 | 0,025 | 0,015 | 0,009 |
| β | 4,994 | 4,989 | 5,000 | 4,999 | 4,977 | 4,978 | 4,970 | 4,992 | 4,980 | 4,885 | 4,771 | 4,935 | 4,859 | 4,740 | |
| 0,125 | α | * | 3,831 | 2,573 | 1,670 | 1,038 | 0,680 | 0,431 | 0,262 | 0,164 | 0,104 | 0,063 | 0,039 | 0,023 | 0,014 |
| β | * | 4,989 | 5,000 | 4,999 | 4,977 | 4,978 | 4,970 | 4,992 | 4,980 | 4,885 | 4,771 | 4,935 | 4,859 | 4,740 | |
| 0,160 | α | * | * | 4,028 | 2,639 | 1,654 | 1,089 | 0,693 | 0,424 | 0,265 | 0,170 | 0,102 | 0,064 | 0,038 | 0,023 |
| β | * | * | 5,000 | 4,999 | 4,977 | 4,978 | 4,970 | 4,992 | 4,980 | 4,885 | 4,771 | 4,935 | 4,859 | 4,740 | |
| 0,2 | α | * | * | * | 3,957 | 2,503 | 1,659 | 1,061 | 0,652 | 0,410 | 0,263 | 0,158 | 0,099 | 0,059 | 0,035 |
| β | * | * | * | 4,999 | 4,977 | 4,978 | 4,970 | 4,992 | 4,980 | 4,885 | 4,771 | 4,935 | 4,859 | 4,740 | |
| 0,25 | α | * | * | * | * | 3,758 | 2,510 | 1,617 | 0,999 | 0,631 | 0,405 | 0,245 | 0,154 | 0,091 | 0,055 |
| β | * | * | * | * | 4,977 | 4,978 | 4,970 | 4,992 | 4,980 | 4,885 | 4,771 | 4,935 | 4,859 | 4,740 | |
| 0,315 | α | * | * | * | * | * | 3,823 | 2,485 | 1,547 | 0,982 | 0,634 | 0,384 | 0,242 | 0,144 | 0,087 |
| β | * | * | * | * | * | 4,978 | 4,970 | 4,992 | 4,980 | 4,885 | 4,771 | 4,935 | 4,859 | 4,740 | |
| 0,4 | α | * | * | * | * | * | * | 3,839 | 2,413 | 1,543 | 1,001 | 0,610 | 0,385 | 0,230 | 0,139 |
| β | * | * | * | * | * | * | 4,970 | 4,992 | 4,980 | 4,885 | 4,771 | 4,935 | 4,859 | 4,740 | |
| 0,5 | α | * | * | * | * | * | * | * | 3,628 | 2,339 | 1,527 | 0,935 | 0,593 | 0,355 | 0,216 |
| β | * | * | * | * | * | * | * | 4,992 | 4,980 | 4,885 | 4,771 | 4,935 | 4,859 | 4,740 | |
| 0,63 | α | * | * | * | * | * | * | * | * | 3,571 | 2,351 | 1,450 | 0,924 | 0,556 | 0,339 |
| β | * | * | * | * | * | * | * | * | 4,980 | 4,885 | 4,771 | 4,935 | 4,859 | 4,740 | |
| 0,8 | α | * | * | * | * | * | * | * | * | * | 3,641 | 2,267 | 1,455 | 0,881 | 0,540 |
| β | * | * | * | * | * | * | * | * | * | 4,885 | 4,771 | 4,935 | 4,859 | 4,740 | |
| 1,0 | α | * | * | * | * | * | * | * | * | * | * | 3,415 | 2,209 | 1,347 | 0,830 |
| β | * | * | * | * | * | * | * | * | * | * | 4,771 | 4,935 | 4,859 | 4,740 | |
| 1,25 | α | * | * | * | * | * | * | * | * | * | * | 4,988 | 3,331 | 2,050 | 1,270 |
| β | * | * | * | * | * | * | * | * | * | * | 4,710 | 4,935 | 4,859 | 4,740 | |
| 1,6 | α | * | * | * | * | * | * | * | * | * | * | * | 4,907 | 3,235 | 2,023 |
| β | * | * | * | * | * | * | * | * | * | * | * | 4,761 | 4,859 | 4,740 | |
| 2,0 | α | * | * | * | * | * | * | * | * | * | * | * | * | 4,845 | 3,060 |
| β | * | * | * | * | * | * | * | * | * | * | * | * | 4,859 | 4,740 | |
| 2,5 | α | * | * | * | * | * | * | * | * | * | * | * | * | * | 4,591 |
| β | * | * | * | * | * | * | * | * | * | * | * | * | * | 4,740 | |
| CHÚ THÍCH: Ô có dấu sao chỉ ra là không có phương án lấy mẫu hai lần nào có dạng (n, 0, 2; m, 1, 2) cho cá thể không phù hợp với α ≤ 5 % và β ≤ 5 % đối với sự kết hợp của chất lượng ứng với rủi ro của nhà sản xuất và chất lượng ứng với rủi ro của người tiêu dùng; xem xét giảm PRQ hoặc tăng CRQ, hoặc cả hai. | |||||||||||||||
Bảng 14 - Rủi ro thực tế tính bằng phần trăm đối với các phương án dùng cho cá thể không phù hợp: α ≤ 5 % và β ≤ 10 %
| PRQ (%) | Rủi ro (%) | Chất lượng ứng với rủi ro của người tiêu dùng (%) | ||||||||||||||
| 1,25 | 1,6 | 2,0 | 2,5 | 3,15 | 4,0 | 5,0 | 6,3 | 8,0 | 10,0 | 12,5 | 16,0 | 20,0 | 25,0 | 31,5 | ||
| 0,1 | α | 4,186 | 2,674 | 1,776 | 1,165 | 0,774 | 0,466 | 0,297 | 0,187 | 0,115 | 0,072 | 0,046 | 0,028 | 0,017 | 0,011 | 0,006 |
| β | 9,998 | 9,998 | 9,996 | 9,986 | 9,992 | 9,972 | 9,984 | 9,884 | 9,839 | 9,920 | 9,970 | 9,894 | 9,639 | 9,764 | 9,430 | |
| 0,125 | α | * | * | 2,684 | 1,772 | 1,138 | 0,716 | 0,457 | 0,290 | 0,178 | 0,112 | 0,072 | 0,044 | 0,027 | 0,017 | 0,010 |
| β | * | * | 9,996 | 9,986 | 9,992 | 9,972 | 9,984 | 9,884 | 9,839 | 9,920 | 9,970 | 9,894 | 9,639 | 9,764 | 9,430 | |
| 0,160 | α | * | * | 4,196 | 2,796 | 1,810 | 1,146 | 0,736 | 0,468 | 0,289 | 0,182 | 0,117 | 0,071 | 0,044 | 0,027 | 0,016 |
| β | * | * | 9,996 | 9,986 | 9,992 | 9,972 | 9,984 | 9,8841 | 9,839 | 9,920 | 9,970 | 9,894 | 9,639 | 9,764 | 9,430 | |
| 0,2 | α | * | * | * | 4,187 | 2,734 | 1,744 | 1,126 | 0,719 | 0,446 | 0,282 | 0,181 | 0,111 | 0,068 | 0,042 | 0,025 |
| β | * | * | * | 9,986 | 9,992 | 9,972 | 9,984 | 9,884 | 9,839 | 9,920 | 9,970 | 9,894 | 9,639 | 9,764 | 9,430 | |
| 0,25 | α | * | * | * | * | 4,097 | 2,637 | 1,714 | 1,101 | 0,685 | 0,435 | 0,279 | 0,171 | 0,106 | 0,066 | 0,039 |
| β | * | * | * | * | 9,992 | 9,972 | 9,984 | 9,884 | 9,839 | 9,920 | 9,970 | 9,894 | 9,639 | 9,764 | 9,430 | |
| 0,315 | α | * | * | * | * | * | 4,011 | 2,630 | 1,701 | 1,066 | 0,679 | 0,438 | 0,269 | 0,166 | 0,104 | 0,061 |
| β | * | * | * | * | * | 9,972 | 9,984 | 9,884 | 9,839 | 9,920 | 9,970 | 9,894 | 9,639 | 9,764 | 9,430 | |
| 0,4 | α | * | * | * | * | * | * | 4,059 | 2,650 | 1,672 | 1,072 | 0,694 | 0,429 | 0,266 | 0,167 | 0,098 |
| β | * | * | * | * | * | * | 9,984 | 9,884 | 9,839 | 9,920 | 9,970 | 9,894 | 9,639 | 9,764 | 9,430 | |
| 0,5 | α | * | * | * | * | * | * | * | 3,975 | 2,532 | 1,634 | 1,064 | 0,660 | 0,410 | 0 258 | 0,152 |
| β | * | * | * | * | * | * | * | 9,884 | 9,839 | 9,920 | 9,970 | 9,894 | 9,639 | 9,764 | 9,430 | |
| 0,63 | α | * | * | * | * | * | * | * | * | 3,858 | 2,512 | 1,646 | 1,026 | 0,641 | 0,405 | 0,240 |
| β | * | * | * | * | * | * | * | * | 9,839 | 9,920 | 9,970 | 9,894 | 9,639 | 9,764 | 9,430 | |
| 0,8 | α | * | * | * | * | * | * | * | * | * | 3,883 | 2,566 | 1,612 | 1,013 | 0,642 | 0,382 |
| β | * | * | * | * | * | * | * | * | * | 9,920 | 9,970 | 9,894 | 9,639 | 9,764 | 9,430 | |
| 1,0 | α | * | * | * | * | * | * | * | * | * | * | 3,855 | 2,444 | 1,547 | 0,985 | 0,589 |
| β | * | * | * | * | * | * | * | * | * | * | 9,970 | 9,894 | 9,639 | 9,764 | 9,430 | |
| 1,25 | α | * | * | * | * | * | * | * | * | * | * | * | 3,675 | 2,347 | 1,504 | 0,905 |
| β | * | * | * | * | * | * | * | * | * | * | * | 9,894 | 9,639 | 9,764 | 9,430 | |
| 1,6 | α | * | * | * | * | * | * | * | * | * | * | * | * | 3,691 | 2,387 | 1,447 |
| β | * | * | * | * | * | * | * | * | * | * | * | * | 9,639 | 9,764 | 9,430 | |
| 2,0 | α | * | * | * | * | * | * | * | * | * | * | * | * | 4,951 | 3,597 | 2,201 |
| β | * | * | * | * | * | * | * | * | * | * | * | * | 9,908 | 9,764 | 9,430 | |
| 2,5 | α | * | * | * | * | * | * | * | * | * | * | * | * | * | * | 3,326 |
| β | * | * | * | * | * | * | * | * | * | * | * | * | * | * | 9,430 | |
| 3,15 | α | * | * | * | * | * | * | * | * | * | * | * | * | * | * | 4,869 |
| β | * | * | * | * | * | * | * | * | * | * | * | * | * | * | 8,774 | |
| CHÚ THÍCH: Ô có dấu sao chỉ ra là không có phương án lấy mẫu hai lần nào có dạng (n, 0, 2; m, 1, 2) cho cá thể không phù hợp với α ≤ 5 % và β ≤ 10 % đối với sự kết hợp của chất lượng ứng với rủi ro của nhà sản xuất và chất lượng ứng với rủi ro của người tiêu dùng; xem xét giảm PRQ hoặc tăng CRQ, hoặc cả hai. | ||||||||||||||||
Bảng 15 - Rủi ro thực tế tính bằng phần trăm đối với các phương án dùng cho cá thể không phù hợp: α ≤ 10 % và β ≤ 10 %
| PRQ (%) | Rủi ro (%) | Chất lượng ứng với rủi ro của người tiêu dùng (%) | ||||||||||||||||
| 0,8 | 1,0 | 1,25 | 1,6 | 2,0 | 2,5 | 3,15 | 4,0 | 5,0 | 6,3 | 8,0 | 10,0 | 12,5 | 16,0 | 20,0 | 25,0 | 31,5 | ||
| 0,1 | α | 9,150 | 6,240 | 4,186 | 2,674 | 1,776 | 1,165 | 0,744 | 0,466 | 0,297 | 0,187 | 0,115 | 0,072 | 0,046 | 0,028 | 0,017 | 0,011 | 0,006 |
| β | 9,997 | 9,993 | 9,998 | 9,998 | 9,996 | 9,986 | 9,992 | 9,972 | 9,984 | 9,884 | 9,839 | 9,920 | 9,970 | 9,894 | 9,639 | 9,764 | 9,430 | |
| 0,125 | α | * | 9,129 | 6,204 | 4,008 | 2,684 | 1,772 | 1,138 | 0,716 | 0,457 | 0,290 | 0,178 | 0,112 | 0,072 | 0,044 | 0,027 | 0,017 | 0,010 |
| β | * | 9,993 | 9,998 | 9,998 | 9,996 | 9,986 | 9,992 | 9,972 | 9,984 | 9,884 | 9,839 | 9,920 | 9,970 | 9,894 | 9,639 | 9,764 | 9,430 | |
| 0,160 | α | * | * | 9,445 | 6,198 | 4,196 | 2,796 | 1,810 | 1,146 | 0,736 | 0,468 | 0,289 | 0,182 | 0,117 | 0,071 | 0,044 | 0,027 | 0,016 |
| β | * | * | 9,998 | 9,998 | 9,996 | 9,986 | 9,992 | 9,972 | 9,984 | 9,884 | 9,839 | 9,920 | 9,970 | 9,894 | 9,639 | 9,764 | 9,430 | |
| 0,2 | α | * | * | * | 9,070 | 6,218 | 4,187 | 2,734 | 1,744 | 1,126 | 0,719 | 0,446 | 0,282 | 0,181 | 0,111 | 0,068 | 0,042 | 0,025 |
| β | * | * | * | 9,998 | 9,996 | 9,986 | 9,992 | 9,972 | 9,984 | 9,884 | 9,839 | 9,920 | 9,970 | 9,894 | 9,639 | 9,764 | 9,430 | |
| 0,25 | α | * | * | * | * | 9,099 | 6,205 | 4,097 | 2,637 | 1,714 | 1,101 | 0,685 | 0,435 | 0,279 | 0,171 | 0,106 | 0,066 | 0,039 |
| β | * | * | * | * | 9,996 | 9,986 | 9,992 | 9,972 | 9,984 | 9,884 | 9,839 | 9,920 | 9,970 | 9,894 | 9,639 | 9,764 | 9,430 | |
| 0,315 | α | * | * | * | * | * | 9,202 | 6,161 | 4,011 | 2,630 | 1,701 | 1,066 | 0,679 | 0,438 | 0,269 | 0,166 | 0,104 | 0,061 |
| β | * | * | * | * | * | 9,986 | 9,992 | 9,972 | 9,984 | 9,884 | 9,839 | 9,920 | 9,970 | 9,894 | 9,639 | 9,764 | 9,430 | |
| 0,4 | α | * | * | * | * | * | * | 9,260 | 6,119 | 4,059 | 2,650 | 1,672 | 1,072 | 0,694 | 0,429 | 0,266 | 0,167 | 0,098 |
| β | * | * | * | * | * | * | 9,992 | 9,972 | 9,984 | 9,884 | 9,839 | 9,920 | 9,970 | 9,894 | 9,639 | 9,764 | 9,430 | |
| 0,5 | α | * | * | * | * | * | * | * | 8,962 | 6,024 | 3,975 | 2,532 | 1,634 | 1,064 | 0,660 | 0,410 | 0,258 | 0,152 |
| β | * | * | * | * | * | * | * | 9,972 | 9,984 | 9,884 | 9,839 | 9,920 | 9,970 | 9,894 | 9,639 | 9,764 | 9,430 | |
| 0,63 | α | * | * | * | * | * | * | * | * | 8,950 | 5,987 | 3,858 | 2,512 | 1,646 | 1,026 | 0,641 | 0,405 | 0,240 |
| β | * | * | * | * | * | * | * | * | 9,984 | 9,884 | 9,839 | 9,920 | 9,970 | 9,894 | 9,639 | 9,764 | 9,430 | |
| 0,8 | α | * | * | * | * | * | * | * | * | * | 9,018 | 5,898 | 3,883 | 2,566 | 1,612 | 1,013 | 0,642 | 0,382 |
| β | * | * | * | * | * | * | * | * | * | 9,884 | 9,839 | 9,920 | 9,970 | 9,894 | 9,639 | 9,764 | 9,430 | |
| 1,0 | α | * | * | * | * | * | * | * | * | * | * | 8,659 | 5,776 | 3,855 | 2,444 | 1,547 | 0,985 | 0,589 |
| β | * | * | * | * | * | * | * | * | * | * | 9,839 | 9,920 | 9,970 | 9,894 | 9,639 | 9,764 | 9,430 | |
| 1,25 | α | * | * | * | * | * | * | * | * | * | * | * | 8,491 | 5,736 | 3,675 | 2,347 | 1,504 | 0,905 |
| β | * | * | * | * | * | * | * | * | * | * | * | 9,920 | 9,970 | 9,894 | 9,639 | 9,764 | 9,430 | |
| 1,6 | α | * | * | * | * | * | * | * | * | * | * | * | * | 8,780 | 5,711 | 3,691 | 2,387 | 1,447 |
| β | * | * | * | * | * | * | * | * | * | * | * | * | 9,970 | 9,894 | 9,639 | 9,764 | 9,430 | |
| 2,0 | α | * | * | * | * | * | * | * | * | * | * | * | * | * | 8,401 | 5,506 | 3,597 | 2,201 |
| β | * | * | * | * | * | * | * | * | * | * | * | * | * | 9,894 | 9,639 | 9,764 | 9,430 | |
| 2,5 | α | * | * | * | * | * | * | * | * | * | * | * | * | * | * | 8,120 | 5,371 | 3,326 |
| β | * | * | * | * | * | * | * | * | * | * | * | * | * | * | 9,639 | 9,764 | 9,430 | |
| 3,15 | α | * | * | * | * | * | * | * | * | * | * | * | * | * | * | * | 8,040 | 5,055 |
| β | * | * | * | * | * | * | * | * | * | * | * | * | * | * | * | 9,764 | 9,430 | |
| 4,0 | α | * | * | * | * | * | * | * | * | * | * | * | * | * | * | * | * | 7,699 |
| β | * | * | * | * | * | * | * | * | * | * | * | * | * | * | * | * | 9,430 | |
| CHÚ THÍCH: Ô có dấu sao chỉ ra là không có phương án lấy mẫu hai lần nào có dạng (n, 0, 2; m, 1, 2) cho cá thể không phù hợp với α ≤ 10 % và β ≤ 10 % đối với sự kết hợp của chất lượng ứng với rủi ro của nhà sản xuất và chất lượng ứng với rủi ro của người tiêu dùng; xem xét giảm PRQ hoặc tăng CRQ, hoặc cả hai. | ||||||||||||||||||
Bảng 16 - Rủi ro thực tế tính bằng phần trăm đối với các phương án dùng cho sự không phù hợp: α ≤ 5 % và β ≤ 5 %
| PRQ (%) | Rủi ro (%) | Chất lượng ứng với rủi ro của người tiêu dùng (%) | |||||||||||||
| 1,6 | 2,0 | 2,5 | 3,15 | 4,0 | 5,0 | 6,3 | 8,0 | 10,0 | 12,5 | 16,0 | 20,0 | 25,0 | 31,5 | ||
| 0,1 | α | 3,902 | 2,622 | 1,725 | 1,117 | 0,718 | 0,455 | 0,290 | 0,183 | 0,117 | 0,078 | 0,048 | 0,031 | 0,019 | 0,013 |
| β | 4,992 | 4,994 | 4,993 | 4,989 | 4,991 | 4,985 | 4,984 | 4,958 | 4,951 | 4,985 | 4,932 | 4,873 | 4,856 | 4,764 | |
| 0,125 | α | * | 3,931 | 2,607 | 1,699 | 1,098 | 0,699 | 0,447 | 0,284 | 0,181 | 0,120 | 0,075 | 0,048 | 0,030 | 0,020 |
| β | * | 4,994 | 4,993 | 4,989 | 4,991 | 4,985 | 4,984 | 4,958 | 4,951 | 4,985 | 4,932 | 4,873 | 4,856 | 4,764 | |
| 0,160 | α | * | * | 4,080 | 2,683 | 1,747 | 1,120 | 0,718 | 0,458 | 0,293 | 0,195 | 0,122 | 0,078 | 0049 | 0,032 |
| β | * | * | 4,993 | 4,989 | 4,991 | 4,985 | 4,984 | 4,958 | 4,951 | 4,985 | 4,932 | 4,873 | 4,856 | 4,764 | |
| 0,2 | α | * | * | * | 4,021 | 2,640 | 1,704 | 1,099 | 0,704 | 0,452 | 0,302 | 0,189 | 0,122 | 0,076 | 0,050 |
| β | * | * | * | 4,989 | 4,991 | 4,985 | 4,984 | 4,958 | 4,951 | 4,985 | 4,932 | 4,873 | 4,856 | 4,764 | |
| 0,25 | α | * | * | * | * | 3,957 | 2,577 | 1,673 | 1,077 | 0,695 | 0,465 | 0,292 | 0,188 | 0,118 | 0,077 |
| β | * | * | * | * | 4,991 | 4,985 | 4,984 | 4,958 | 4,951 | 4,985 | 4,932 | 4,873 | 4,856 | 4,764 | |
| 0,315 | α | * | * | * | * | * | 3,921 | 2,568 | 1,565 | 1,080 | 0,726 | 0,458 | 0,296 | 0,186 | 0,121 |
| β | * | * | * | * | * | 4,985 | 4,984 | 4,958 | 4,951 | 4,985 | 4,932 | 4,873 | 4,856 | 4,764 | |
| 0,4 | α | * | * | * | * | * | * | 3,963 | 2,593 | 1,693 | 1,144 | 0,725 | 0,470 | 0,297 | 0,194 |
| β | * | * | * | * | * | * | 4,984 | 4,958 | 4,951 | 4,985 | 4,932 | 4,873 | 4,856 | 4,764 | |
| 0,5 | α | * | * | * | * | * | * | * | 3,889 | 2,561 | 1,740 | 1,109 | 0,722 | 0,458 | 0,300 |
| β | * | * | * | * | * | * | * | 4,958 | 4,951 | 4,985 | 4,932 | 4,873 | 4,856 | 4,764 | |
| 0,63 | α | * | * | * | * | * | * | * | * | 3,898 | 2,669 | 1,713 | 1,122 | 0,715 | 0,469 |
| β | * | * | * | * | * | * | * | * | 4,951 | 4,985 | 4,932 | 4,873 | 4,856 | 4,764 | |
| 0,8 | α | * | * | * | * | * | * | * | * | * | 4,114 | 2,665 | 1,758 | 1,128 | 0,743 |
| β | * | * | * | * | * | * | * | * | * | 4,985 | 4,932 | 4,873 | 4,856 | 4,764 | |
| 1,0 | α | * | * | * | * | * | * | * | * | * | * | 3,994 | 2,656 | 1,716 | 1,136 |
| β | * | * | * | * | * | * | * | * | * | * | 4,932 | 4,873 | 4,856 | 4,764 | |
| 1,25 | α | * | * | * | * | * | * | * | * | * | * | * | 3,981 | 2,595 | 1,729 |
| β | * | * | * | * | * | * | * | * | * | * | * | 4,873 | 4,856 | 4,764 | |
| 1,6 | α | * | * | * | * | * | * | * | * | * | * | * | * | 4,061 | 2,730 |
| β | * | * | * | * | * | * | * | * | * | * | * | * | 4,856 | 4,764 | |
| 2,0 | α | * | * | * | * | * | * | * | * | * | * | * | * | * | 4,089 |
| β | * | * | * | * | * | * | * | * | * | * | * | * | * | 4,764 | |
| CHÚ THÍCH: Ô có dấu sao chỉ ra là không có phương án lấy mẫu hai lần nào có dạng (n, 0, 2; m, 1, 2) cho sự không phù hợp với α ≤ 5 % và β ≤ 5 % đối với sự kết hợp của chất lượng ứng với rủi ro của nhà sản xuất và chất lượng ứng với rủi ro của người tiêu dùng; xem xét giảm PRQ hoặc tăng CRQ, hoặc cả hai. | |||||||||||||||
Bảng 17 - Rủi ro thực tế tính bằng phần trăm đối với các phương án dùng cho sự không phù hợp: α ≤ 5 % và β ≤ 10 %
| PRQ (%) | Rủi ro (%) | Chất lượng ứng với rủi ro của người tiêu dùng (%) | ||||||||||||||
| 1,25 | 1,6 | 2,0 | 2,5 | 3,15 | 4,0 | 5,0 | 6,3 | 8,0 | 10,0 | 12,5 | 16,0 | 20,0 | 25,0 | 31,5 | ||
| 0,1 | α | 4,251 | 2,729 | 1,791 | 1,177 | 0,764 | 0,474 | 0,310 | 0,200 | 0,125 | 0,079 | 0,052 | 0,033 | 0,021 | 0,014 | 0,008 |
| β | 9,994 | 9,998 | 9,994 | 9,985 | 9,953 | 10,00 | 9,942 | 9,953 | 9,927 | 9,880 | 9,855 | 9,670 | 9,519 | 9,448 | 9,318 | |
| 0,125 | α | * | 4,088 | 2,705 | 1,790 | 1,168 | 0,728 | 0,477 | 0,308 | 0,193 | 0,123 | 0,080 | 0,051 | 0,032 | 0,021 | 0,013 |
| β | * | 9,998 | 9,994 | 9,985 | 9,953 | 10,00 | 9,942 | 9,953 | 9,927 | 9,880 | 9,855 | 9,670 | 9,519 | 9,448 | 9,318 | |
| 0,160 | α | * | * | 4,277 | 2,823 | 1,857 | 1,164 | 0,767 | 0,498 | 0,313 | 0,199 | 0,130 | 0,083 | 0,053 | 0,035 | 0,022 |
| β | * | * | 9,994 | 9,985 | 9,953 | 10,00 | 9,942 | 9,953 | 9,927 | 9,880 | 9,855 | 9,670 | 9,519 | 9,448 | 9,318 | |
| 0,2 | α | * | * | * | 4,225 | 2,803 | 1,771 | 1,173 | 0,764 | 0,482 | 0,308 | 0,202 | 0,128 | 0,082 | 0,054 | 0,034 |
| β | * | * | * | 9,985 | 9,953 | 10,00 | 9,942 | 9,953 | 9,927 | 9,880 | 9,855 | 9,670 | 9,519 | 9,448 | 9,318 | |
| 0,25 | α | * | * | * | * | 4,195 | 2,676 | 1,784 | 1,168 | 0,741 | 0,474 | 0,312 | 0,198 | 0,127 | 0,084 | 0,052 |
| β | * | * | * | * | 9,953 | 10,00 | 9,942 | 9,953 | 9,927 | 9,880 | 9,855 | 9,670 | 9,519 | 9,448 | 9,318 | |
| 0,315 | α | * | * | * | * | * | 4,068 | 2,735 | 1,803 | 1,150 | 0,740 | 0,489 | 0,311 | 0,199 | 0,132 | 0,082 |
| β | * | * | * | * | * | 10,00 | 9,942 | 9,953 | 9,927 | 9,880 | 9,855 | 9,670 | 9,519 | 9,448 | 9,318 | |
| 0,4 | α | * | * | * | * | * | * | 4,214 | 2,803 | 1,801 | 1,165 | 0,774 | 0,494 | 0,318 | 0,210 | 0,132 |
| β | * | * | * | * | * | * | 9,942 | 9,953 | 9,927 | 9,880 | 9,855 | 9,670 | 9,519 | 9,448 | 9,318 | |
| 0,5 | α | * | * | * | * | * | * | * | 4,195 | 2,721 | 1,773 | 1,183 | 0,759 | 0,490 | 0,325 | 0,204 |
| β | * | * | * | * | * | * | * | 9,953 | 9,927 | 9,880 | 9,855 | 9,670 | 9,519 | 9,448 | 9,318 | |
| 0,63 | α | * | * | * | * | * | * | * | * | 4,134 | 2,718 | 1,825 | 1,178 | 0,764 | 0,508 | 0,321 |
| β | * | * | * | * | * | * | * | * | 9,927 | 9,880 | 9,855 | 9,670 | 9,519 | 9,448 | 9,318 | |
| 0,8 | α | * | * | * | * | * | * | * | * | * | 4,188 | 2,836 | 1,845 | 1,203 | 0,804 | 0,510 |
| β | * | * | * | * | * | * | * | * | * | 9,880 | 9,855 | 9,670 | 9,519 | 9,448 | 9,318 | |
| 1,0 | α | * | * | * | * | * | * | * | * | * | * | 4,245 | 2,785 | 1,829 | 1,229 | 0,783 |
| β | * | * | * | * | * | * | * | * | * | * | 9,855 | 9,670 | 9,519 | 9,448 | 9,318 | |
| 1,25 | α | * | * | * | * | * | * | * | * | * | * | * | 4,169 | 2,762 | 1,867 | 1,196 |
| β | * | * | * | * | * | * | * | * | * | * | * | 9,670 | 9,519 | 9,448 | 9,318 | |
| 1,6 | α | * | * | * | * | * | * | * | * | * | * | * | * | 4,315 | 2,942 | 1,901 |
| β | * | * | * | * | * | * | * | * | * | * | * | * | 9,519 | 9,448 | 9,318 | |
| 2,0 | α | * | * | * | * | * | * | * | * | * | * | * | * | * | 4,399 | 2,869 |
| β | * | * | * | * | * | * | * | * | * | * | * | * | * | 9,448 | 9,318 | |
| 2,5 | α | * | * | * | * | * | * | * | * | * | * | * | * | * | * | 4,293 |
| β | * | * | * | * | * | * | * | * | * | * | * | * | * | * | 9,318 | |
| CHÚ THÍCH: Ô có dấu sao chỉ ra là không có phương án lấy mẫu hai lần nào có dạng (n, 0, 2; m, 1, 2) cho sự không phù hợp với α ≤ 5 % và β ≤ 10 % đối với sự kết hợp của chất lượng ứng với rủi ro của nhà sản xuất và chất lượng ứng với rủi ro của người tiêu dùng; xem xét giảm PRQ hoặc tăng CRQ, hoặc cả hai. | ||||||||||||||||
Bảng 18 - Rủi ro thực tế tính bằng phần trăm đối với các phương án dùng cho sự không phù hợp: α ≤ 10 % và β ≤ 10 %
| PRQ (%) | Rủi Ro (%) | Chất lượng ứng với rủi ro của người tiêu dùng (%) | ||||||||||||||||
| 0,8 | 1,0 | 1,25 | 1,6 | 2,0 | 2,5 | 3,15 | 4,0 | 5,0 | 6,3 | 8,0 | 10,0 | 12,5 | 16,0 | 20,0 | 25,0 | 31,5 | ||
| 0,1 | α | 9,230 | 6,313 | 4,251 | 2,729 | 1,791 | 1,177 | 0,764 | 0,474 | 0,310 | 0,200 | 0,125 | 0,079 | 0,052 | 0,033 | 0,021 | 0,014 | 0,008 |
| β | 9,998 | 9,993 | 9,994 | 9,998 | 9,994 | 9,985 | 9,953 | 10,00 | 9,942 | 9,953 | 9,927 | 9,880 | 9,855 | 9,670 | 9,519 | 9,448 | 9,318 | |
| 0,125 | α | * | 9,228 | 6,295 | 4,088 | 2,705 | 1,790 | 1,168 | 0,728 | 0,477 | 0,308 | 0,193 | 0,123 | 0,080 | 0,051 | 0,032 | 0,021 | 0,013 |
| β | * | 9,993 | 9,994 | 9,998 | 9,994 | 9,985 | 9,953 | 10,00 | 9,942 | 9,953 | 9,927 | 9,880 | 9,855 | 9,670 | 9,519 | 9,448 | 9,318 | |
| 0,160 | α | * | * | 9,574 | 6,314 | 4,227 | 2,823 | 1,857 | 1,164 | 0,767 | 0,498 | 0,313 | 0,199 | 0,130 | 0,083 | 0,053 | 0,035 | 0,022 |
| β | * | * | 9,994 | 9,998 | 9,994 | 9,985 | 9,953 | 10,00 | 9,942 | 9,953 | 9,927 | 9,880 | 9,855 | 9,670 | 9,519 | 9,448 | 9,318 | |
| 0,2 | α | * | * | * | 9,230 | 6,262 | 4,225 | 2,803 | 1,771 | 1,173 | 0,764 | 0,482 | 0,308 | 0,202 | 0,128 | 0,082 | 0,054 | 0,034 |
| β | * | * | * | 9,998 | 9,994 | 9,985 | 9,953 | 10,00 | 9,942 | 9,953 | 9,927 | 9,880 | 9,855 | 9,670 | 9,519 | 9,448 | 9,318 | |
| 0,25 | α | * | * | * | * | 9,158 | 6,259 | 4,195 | 2,676 | 1,784 | 1,168 | 0,741 | 0,474 | 0,312 | 0,198 | 0,127 | 0,084 | 0,052 |
| β | * | * | * | * | 9,994 | 9,985 | 9,953 | 10,00 | 9,942 | 9,953 | 9,927 | 9,880 | 9,855 | 9,670 | 9,519 | 9,448 | 9,318 | |
| 0,315 | α | * | * | * | * | * | 9,276 | 6,301 | 4,068 | 2,735 | 1,803 | 1,150 | 0,740 | 0,489 | 0,311 | 0,199 | 0,132 | 0,082 |
| β | * | * | * | * | * | 9,985 | 9,953 | 10,00 | 9,942 | 9,953 | 9,927 | 9,880 | 9,855 | 9,670 | 9,519 | 9,448 | 9,318 | |
| 0,4 | α | * | * | * | * | * | * | 9,458 | 6,201 | 4,214 | 2,803 | 1,801 | 1,165 | 0,774 | 0,494 | 0,318 | 0,210 | 0,132 |
| β | * | * | * | * | * | * | 9,953 | 10,00 | 9,942 | 9,953 | 9,927 | 9,880 | 9,855 | 9,670 | 9,519 | 9,448 | 9,318 | |
| 0,5 | α | * | * | * | * | * | * | * | 9,073 | 6,243 | 4,195 | 2,721 | 1,773 | 1,183 | 0,759 | 0,490 | 0,325 | 0,204 |
| β | * | * | * | * | * | * | * | 10,00 | 9,942 | 9,953 | 9,927 | 9,880 | 9,855 | 9,670 | 9,519 | 9,448 | 9,318 | |
| 0,63 | α | * | * | * | * | * | * | * | * | 9,255 | 6,301 | 4,134 | 2,718 | 1,825 | 1,178 | 0,764 | 0,508 | 0,321 |
| β | * | * | * | * | * | * | * | * | 9,942 | 9,953 | 9,927 | 9,880 | 9,855 | 9,670 | 9,519 | 9,448 | 9,318 | |
| 0,8 | α | * | * | * | * | * | * | * | * | * | 9,458 | 6,297 | 4,188 | 2,836 | 1,845 | 1,203 | 0,804 | 0,510 |
| β | * | * | * | * | * | * | * | * | * | 9,953 | 9,927 | 9,880 | 9,855 | 9,670 | 9,519 | 9,448 | 9,318 | |
| 1,0 | α | * | * | * | * | * | * | * | * | * | * | 9,207 | 6,207 | 4,245 | 2,785 | 1,829 | 1,229 | 0,783 |
| β | * | * | * | * | * | * | * | * | * | * | 9,927 | 9,880 | 9,855 | 9,670 | 9,519 | 9,448 | 9,318 | |
| 1,25 | α | * | * | * | * | * | * | * | * | * | * | * | 9,084 | 6,287 | 4,169 | 2,762 | 1,867 | 1,196 |
| β | * | * | * | * | * | * | * | * | * | * | * | 9,880 | 9,855 | 9,670 | 9,519 | 9,448 | 9,318 | |
| 1,6 | α | * | * | * | * | * | * | * | * | * | * | * | * | 9,565 | 6,436 | 4,315 | 2,942 | 1,901 |
| β | * | * | * | * | * | * | * | * | * | * | * | * | 9,855 | 9,670 | 9,519 | 9,448 | 9,318 | |
| 2,0 | α | * | * | * | * | * | * | * | * | * | * | * | * | * | 9,402 | 6,389 | 4,399 | 2,869 |
| β | * | * | * | * | * | * | * | * | * | * | * | * | * | 9,670 | 9,519 | 9,448 | 9,318 | |
| 2,5 | α | * | * | * | * | * | * | * | * | * | * | * | * | * | * | 9,338 | 6,508 | 4,293 |
| β | * | * | * | * | * | * | * | * | * | * | * | * | * | * | 9,519 | 9,448 | 9,318 | |
| 3,15 | α | * | * | * | * | * | * | * | * | * | * | * | * | * | * | * | 9,630 | 6,446 |
| β | * | * | * | * | * | * | * | * | * | * | * | * | * | * | * | 9,448 | 9,318 | |
| 4,0 | α | * | * | * | * | * | * | * | * | * | * | * | * | * | * | * | * | 9,669 |
| β | * | * | * | * | * | * | * | * | * | * | * | * | * | * | * | * | 9,318 | |
| CHÚ THÍCH: Ô có dấu sao chỉ ra là không có phương án lấy mẫu hai lần nào có dạng (n, 0, 2; m, 1, 2) cho sự không phù hợp với α ≤ 10 % và β ≤ 10 % đối với sự kết hợp của chất lượng ứng với rủi ro của nhà sản xuất và chất lượng ứng với rủi ro của người tiêu dùng; xem xét giảm PRQ hoặc tăng CRQ, hoặc cả hai. | ||||||||||||||||||
Bảng 19 - Chất lượng đầu ra trung bình (AOQ) tính bằng phần trăm đối với các phương án dùng cho cá thể không phù hợp: α ≤ 5 % và β ≤ 5 %
| PRQ (%) | AOQ ở: | Chất lượng ứng với rủi ro của người tiêu dùng (%) | |||||||||||||
| 1,6 | 2,0 | 2,5 | 3,15 | 4,0 | 5,0 | 6,3 | 8,0 | 10,0 | 12,5 | 16,0 | 20,0 | 25,0 | 31,5 | ||
| 0,1 | PRQ | 0,096 | 0,097 | 0,098 | 0,099 | 0,099 | 0,100 | 0,100 | 0,100 | 0,100 | 0,100 | 0,100 | 0,100 | 0,100 | 0,100 |
| AOQL | 0,275 | 0,345 | 0,431 | 0,543 | 0,696 | 0,869 | 1,099 | 1,412 | 1,786 | 2,237 | 2,883 | 3,645 | 4,684 | 5,986 | |
| CRQ | 0,080 | 0,100 | 0,125 | 0,157 | 0,199 | 0,249 | 0,313 | 0,399 | 0,498 | 0,611 | 0,763 | 0,987 | 1,215 | 1,493 | |
| 0,125 | PRQ | * | 0,120 | 0,122 | 0,123 | 0,124 | 0,124 | 0,124 | 0,125 | 0,125 | 0,125 | 0,125 | 0125 | 0,125 | 0,125 |
| AOQL | * | 0,345 | 0,431 | 0,543 | 0,696 | 0,869 | 1,099 | 1,412 | 1,786 | 2,237 | 2,883 | 3,645 | 4,684 | 5,986 | |
| CRQ | * | 0,100 | 0,125 | 0,157 | 0,199 | 0,249 | 0,312 | 0,399 | 0,498 | 0,611 | 0,763 | 0,987 | 1,215 | 1,493 | |
| 0,160 | PRQ | * | * | 0,154 | 0,156 | 0,157 | 0,158 | 0,159 | 0,159 | 0,160 | 0,160 | 0,160 | 0,160 | 0,160 | 0,160 |
| AOQL | * | * | 0,431 | 0,543 | 0,696 | 0,869 | 1,099 | 1,412 | 1,786 | 2,237 | 2,883 | 3,645 | 4,684 | 5,986 | |
| CRQ | * | * | 0,125 | 0,157 | 0,199 | 0,249 | 0,313 | 0,399 | 0,498 | 0,611 | 0,763 | 0,987 | 1,215 | 1,493 | |
| 0,2 | PRQ | * | * | * | 0,192 | 0,195 | 0,197 | 0,198 | 0,199 | 0,199 | 0,199 | 0,200 | 0,200 | 0,200 | 0,200 |
| AOQL | * | * | * | 0,543 | 0,696 | 0,869 | 1,099 | 1,412 | 1,786 | 2,237 | 2,883 | 3,645 | 4,684 | 5,986 | |
| CRQ | * | * | * | 0,157 | 0,199 | 0,249 | 0,313 | 0,399 | 0,498 | 0,611 | 0,763 | 0,987 | 1,215 | 1,493 | |
| 0,25 | PRQ | * | * | * | * | 0,241 | 0,244 | 0,246 | 0,248 | 0,248 | 0,249 | 0,249 | 0,250 | 0,250 | 0,250 |
| AOQL | * | * | * | * | 0,696 | 0,869 | 1,099 | 1,412 | 1,786 | 2,237 | 2,883 | 3,645 | 4,684 | 5,986 | |
| CRQ | * | * | * | * | 0,199 | 0,249 | 0,313 | 0,399 | 0,498 | 0,611 | 0,763 | 0,987 | 1,215 | 1,493 | |
| 0,315 | PRQ | * | * | * | * | * | 0,303 | 0,307 | 0,310 | 0 312 | 0,313 | 0,314 | 0,314 | 0,315 | 0,315 |
| AOQL | * | * | * | * | * | 0,869 | 1,099 | 1,412 | 1,786 | 2,237 | 2,883 | 3,645 | 4,684 | 5,986 | |
| CRQ | * | * | * | * | * | 0,249 | 0,313 | 0,399 | 0,498 | 0,611 | 0,763 | 0,987 | 1,215 | 1,493 | |
| 0,4 | PRQ | * | * | * | * | * | * | 0,385 | 0,390 | 0,394 | 0,396 | 0,398 | 0,398 | 0,399 | 0,399 |
| AOQL | * | * | * | * | * | * | 1,099 | 1,412 | 1,786 | 2,237 | 2,883 | 3,645 | 4,684 | 5,986 | |
| CRQ | * | * | * | * | * | * | 0,313 | 0,399 | 0,498 | 0,611 | 0,763 | 0,987 | 1,215 | 1,493 | |
| 0,5 | PRQ | * | * | * | * | * | * | * | 0,482 | 0,488 | 0,492 | 0,495 | 0,497 | 0,498 | 0,499 |
| AOQL | * | * | * | * | * | * | * | 1,412 | 1,786 | 2,237 | 2,883 | 3,645 | 4,684 | 5,986 | |
| CRQ | * | * | * | * | * | * | * | 0,399 | 0,498 | 0,611 | 0,763 | 0,987 | 1,215 | 1,493 | |
| 0,63 | PRQ | * | * | * | * | * | * | * | * | 0,608 | 0,615 | 0,621 | 0,624 | 0,626 | 0,628 |
| AOQL | * | * | * | * | * | * | * | * | 1,786 | 2,237 | 2,883 | 3,645 | 4,684 | 5,986 | |
| CRQ | * | * | * | * | * | * | * | * | 0,498 | 0,611 | 0,763 | 0,987 | 1,215 | 1,493 | |
| 0,8 | PRQ | * | * | * | * | * | * | * | * | * | 0,771 | 0,782 | 0,788 | 0,793 | 0,796 |
| AOQL | * | * | * | * | * | * | * | * | * | 2,237 | 2,883 | 3,645 | 4,684 | 5,986 | |
| CRQ | * | * | * | * | * | * | * | * | * | 0,611 | 0,763 | 0,987 | 1,215 | 1,493 | |
| 1,0 | PRQ | * | * | * | * | * | * | * |
| * | * | 0,966 | 0,978 | 0,987 | 0,992 |
| AOQL | * | * | * | * | * | * | * | * | * | * | 2,883 | 3,645 | 4,684 | 5,986 | |
| CRQ | * | * | * | * | * | * | * | * | * | * | 0,763 | 0,987 | 1,215 | 1,493 | |
| 1,25 | PRQ | * | * | * | * | * | * | * | * | * | * | 1,188 | 1,208 | 1,224 | 1,234 |
| AOQL | * | * | * | * | * | * | * | * | * | * | 2,908 | 3,645 | 4,684 | 5,986 | |
| CRQ | * | * | * | * | * | * | * | * | * | * | 0,754 | 0,987 | 1,215 | 1,493 | |
| 1,6 | PRQ | * | * | * | * | * | * | * | * | * | * | * | 1,521 | 1,548 | 1,568 |
| AOQL | * | * | * | * | * | * | * | * | * | * | * | 3,726 | 4,684 | 5,986 | |
| CRQ | * | * | * | * | * | * | * | * | * | * | * | 0,952 | 1,215 | 1,493 | |
| 2,0 | PRQ | * | * | * | * | * | * | * | * | * | * | * | * | 1,903 | 1,939 |
| AOQL | * | * | * | * | * | * | * | * | * | * | * | * | 4,684 | 5,986 | |
| CRQ | * | * | * | * | * | * | * | * | * | * | * | * | 1,215 | 1,493 | |
| 2,5 | PRQ | * | * | * | * | * | * | * | * | * | * | * | * | * | 2,385 |
| AOQL | * | * | * | * | * | * | * | * | * | * | * | * | * | 5,986 | |
| CRQ | * | * | * | * | * | * | * | * | * | * | * | * | * | 1,493 | |
| CHÚ THÍCH: Ô có dấu sao chỉ ra là không có phương án lấy mẫu hai lần nào có dạng (n, 0, 2; m, 1, 2) với α ≤ 5 % và β ≤ 5 % đối với sự kết hợp của chất lượng ứng với rủi ro của nhà sản xuất và chất lượng ứng với rủi ro của người tiêu dùng; xem xét giảm PRQ hoặc tăng CRQ, hoặc cả hai. | |||||||||||||||
Bảng 20 - Chất lượng đầu ra trung bình (AOQ) tính bằng phần trăm đối với các phương án dùng cho cá thể không phù hợp: α ≤ 5 % và β ≤ 10 %
| PRQ (%) | AOQ ở: | Chất lượng ứng với rủi ro của người tiêu dùng (%) | ||||||||||||||
| 1,25 | 1,6 | 2,0 | 2,5 | 3,15 | 4,0 | 5,0 | 6,3 | 8,0 | 10,0 | 12,5 | 16,0 | 20,0 | 25,0 | 31,5 | ||
| 0,1 | PRQ | 0,096 | 0,097 | 0,098 | 0,099 | 0,099 | 0,100 | 0,100 | 0,100 | 0,100 | 0,100 | 0,100 | 0,100 | 0,100 | 0,100 | 0,100 |
| AOQL | 0,264 | 0,338 | 0,422 | 0,527 | 0,666 | 0,848 | 1,067 | 1,346 | 1,718 | 2,166 | 2,716 | 3,477 | 4,396 | 5,551 | 7,131 | |
| CRQ | 0,125 | 0,160 | 0,200 | 0,250 | 0,315 | 0,399 | 0,499 | 0,623 | 0,787 | 0,992 | 1,246 | 1,583 | 1,928 | 2,441 | 2,970 | |
| 0,125 | PRQ | * | 0,120 | 0,122 | 0,123 | 0,124 | 0,124 | 0,124 | 0,125 | 0,125 | 0,125 | 0,125 | 0,125 | 0,125 | 0,125 | 0,125 |
| AOQL | * | 0,338 | 0,422 | 0,527 | 0,666 | 0,848 | 1,067 | 1,346 | 1,718 | 2,166 | 2,716 | 3,477 | 4,396 | 5,551 | 7,131 | |
| CRQ | * | 0,160 | 0,200 | 0,250 | 0,315 | 0,399 | 0,499 | 0,623 | 0,787 | 0,992 | 1,246 | 1,583 | 1,928 | 2,441 | 2,970 | |
| 0,160 | PRQ | * | * | 0,153 | 0,156 | 0,157 | 0,158 | 0,159 | 0,159 | 0,160 | 0,160 | 0,160 | 0,160 | 0,160 | 0,160 | 0,160 |
| AOQL | * | * | 0,422 | 0,527 | 0,666 | 0,848 | 1,067 | 1,346 | 1,718 | 2,166 | 2,716 | 3,477 | 4,396 | 5,551 | 7,131 | |
| CRQ | * | * | 0,200 | 0,250 | 0,315 | 0,399 | 0,499 | 0,623 | 0,787 | 0,992 | 1,246 | 1,583 | 1,928 | 2,441 | 2,970 | |
| 0,2 | PRQ | * | * | * | 0,192 | 0,195 | 0,197 | 0,198 | 0,199 | 0,199 | 0,199 | 0,200 | 0,200 | 0200 | 0,200 | 0,200 |
| AOQL | * | * | * | 0,527 | 0,666 | 0,848 | 1,067 | 1,346 | 1,718 | 2,166 | 2,716 | 3,477 | 4,396 | 5,551 | 7,131 | |
| CRQ | * | * | * | 0.250 | 0,315 | 0,399 | 0,499 | 0,623 | 0,787 | 0,992 | 1,246 | 1,583 | 1,928 | 2,441 | 2,970 | |
| 0,25 | PRQ | * | * | * | * | 0,240 | 0,243 | 0,246 | 0,247 | 0,248 | 0,249 | 0,249 | 0,250 | 0,250 | 0,250 | 0,250 |
| AOQL | * | * | * | * | 0,666 | 0,848 | 1,067 | 1,346 | 1,718 | 2,166 | 2,716 | 3,477 | 4,396 | 5,551 | 7,131 | |
| CRQ | * | * | * | * | 0,315 | 0,399 | 0,499 | 0,623 | 0,787 | 0,992 | 1,246 | 1,583 | 1,928 | 2,441 | 2,970 | |
| 0,315 | PRQ | * | * | * | * | * | 0,302 | 0,307 | 0,310 | 0,312 | 0,313 | 0,314 | 0,314 | 0,314 | 0,315 | 0,315 |
| AOQL | * | * | * | * | * | 0,848 | 1,067 | 1,346 | 1,718 | 2,166 | 2,716 | 3,477 | 4,396 | 5,551 | 7,131 | |
| CRQ | * | * | * | * | * | 0,399 | 0,499 | 0,623 | 0,787 | 0,992 | 1,246 | 1,583 | 1,928 | 2,441 | 2,970 | |
| 0,4 | PRQ | * | * | * | * | * | * | 0,384 | 0,389 | 0,393 | 0,396 | 0,397 | 0,398 | 0,399 | 0,399 | 0,400 |
| AOQL | * | * | * | * | * | * | 1,067 | 1,346 | 1,718 | 2,166 | 2,716 | 3,477 | 4,396 | 5,551 | 7,131 | |
| CRQ | * | * | * | * | * | * | 0,499 | 0,623 | 0,787 | 0,992 | 1,246 | 1,583 | 1,928 | 2,441 | 2,970 | |
| 0,5 | PRQ | * | * | * | * | * | * | * | 0,480 | 0,487 | 0,492 | 0,495 | 0,497 | 0,498 | 0,499 | 0,499 |
| AOQL | * | * | * | * | * | * | * | 1,346 | 1,718 | 2,166 | 2,716 | 3,477 | 4,396 | 5,551 | 7,131 | |
| CRQ | * | * | * | * | * | * | * | 0,623 | 0,787 | 0,992 | 1,246 | 1,583 | 1,928 | 2,441 | 2,970 | |
| 0,63 | PRQ | * | * | * | * | * | * | * | * | 0,606 | 0,614 | 0,620 | 0,624 | 0,626 | 0,627 | 0,628 |
| AOQL | * | * | * | * | * | * | * | * | 1,718 | 2,166 | 2,716 | 3,477 | 4,396 | 5,551 | 7,131 | |
| CRQ | * | * | * | * | * | * | * | * | 0,787 | 0,992 | 1,246 | 1,583 | 1,928 | 2,441 | 2,970 | |
| 0,8 | PRQ | * | * | * | * | * | * | * | * | * | 0,769 | 0,779 | 0,787 | 0,792 | 0,795 | 0,797 |
| AOQL | * | * | * | * | * | * | * | * | * | 2,166 | 2,716 | 3,477 | 4,396 | 5,551 | 7,131 | |
| CRQ | * | * | * | * | * | * | * | * | * | 0,992 | 1,246 | 1,583 | 1,928 | 2,441 | 2,970 | |
| 1,0 | PRQ | * | * | * | * | * | * | * | * | * | * | 0,961 | 0,976 | 0,985 | 0,990 | 0,994 |
| AQQL | * | * | * | * | * | * | * | * | * | * | 2,716 | 3,477 | 4,396 | 5,551 | 7,131 | |
| CRQ | * | * | * | * | * | * | * | * | * | * | 1,246 | 1,583 | 1,928 | 2,441 | 2,970 | |
| 1,25 | PRQ | * | * | * | * | * | * | * | * | * | * | * | 1,204 | 1,221 | 1,231 | 1,239 |
| AOQL | * | * | * | * | * | * | * | * | * | * | * | 3,477 | 4,396 | 5,551 | 7,131 | |
| CRQ | * | * | * | * | * | * | * | * | * | * | * | 1,583 | 1,928 | 2,441 | 2,970 | |
| 1,6 | PRQ | * | * | * | * | * | * | * | * | * | * | * | * | 1,541 | 1,562 | 1,577 |
| AOQL | * | * | * | * | * | * | * | * | * | * | * | * | 4,396 | 5,551 | 7,131 | |
| CRQ | * | * | * | * | * | * | * | * | * | * | * | * | 1,928 | 2,441 | 2,970 | |
| 2,0 | PRQ | * | * | * | * | * | * | * | * | * | * | * | * | 1,901 | 1,928 | 1,956 |
| AOQL | * | * | * | * | * | * | * | * | * | * | * | * | 4,591 | 5,551 | 7,131 | |
| CRQ | * | * | * | * | * | * | * | * | * | * | * | * | 1,982 | 2,441 | 2,970 | |
| 2,5 | PRQ | * | * | * | * | * | * | * | * | * | * | * | * | * | * | 2,417 |
| AOQL | * | * | * | * | * | * | * | * | * | * | * | * | * | * | 7,131 | |
| CRQ | * | * | * | * | * | * | * | * | * | * | * | * | * | * | 2,970 | |
| 3,15 | PRQ | * | * | * | * | * | * | * | * | * | * | * | * | * | * | 2,997 |
| AOQL | * | * | * | * | * | * | * | * | * | * | * | * | * | * | 7,191 | |
| CRQ | * | * | * | * | * | * | * | * | * | * | * | * | * | * | 2,764 | |
| CHÚ THÍCH: Ô có dấu sao chỉ ra là không có phương án lấy mẫu hai lần có dạng (n, 0, 2; m, 1, 2) với α ≤ 5 % và β ≤ 10 % đối với sự kết hợp của chất lượng ứng với rủi ro của nhà sản xuất và chất lượng ứng với rủi ro của người tiêu dùng; xem xét giảm PRQ hoặc tăng CRQ, hoặc cả hai. | ||||||||||||||||
Bảng 21 - Chất lượng đầu ra trung bình (AOQ) tính bằng phần trăm đối với các phương án dùng cho cá thể không phù hợp: α ≤ 10 % và β ≤ 10 %
| PRQ (%) | AOQ ở: | Chất lượng ứng với rủi ro của người tiêu dùng (%) | ||||||||||||||||
| 0,8 | 1,0 | 1,25 | 1,6 | 2,0 | 2,5 | 3,15 | 4,0 | 5,0 | 6,3 | 8,0 | 10,0 | 12,5 | 16,0 | 20,0 | 25,0 | 31,5 | ||
| 0,1 | PRQ | 0,091 | 0,094 | 0,096 | 0,097 | 0,098 | 0,099 | 0,099 | 0,100 | 0,100 | 0,100 | 0,100 | 0,100 | 0,100 | 0,100 | 0,100 | 0,100 | 0,100 |
| AOQL | 0,168 | 0,211 | 0,264 | 0,338 | 0,422 | 0,527 | 0,666 | 0,848 | 1,067 | 1,346 | 1,718 | 2,166 | 2,716 | 3,477 | 4,396 | 5,551 | 7,131 | |
| CRQ | 0,080 | 0,100 | 0,125 | 0,160 | 0,200 | 0,250 | 0,315 | 0,399 | 0,499 | 0,623 | 0,787 | 0,992 | 1,246 | 1,583 | 1,928 | 2,441 | 2,970 | |
| 0,125 | PRQ | * | 0,114 | 0,117 | 0,120 | 0,122 | 0,123 | 0,124 | 0,124 | 0,124 | 0,125 | 0,125 | 0,125 | 0,125 | 0,125 | 0,125 | 0,125 | 0,125 |
| AOQL | * | 0,211 | 0,264 | 0,338 | 0,422 | 0,527 | 0,666 | 0,848 | 1,067 | 1,346 | 1,718 | 2,166 | 2,716 | 3,477 | 4,396 | 5,551 | 7,131 | |
| CRQ | * | 0,100 | 0,125 | 0,160 | 0,200 | 0,250 | 0,315 | 0,399 | 0,499 | 0,623 | 0,787 | 0,992 | 1,246 | 1,583 | 1,928 | 2,441 | 2,970 | |
| 0,16 | PRQ | * | * | 0,145 | 0,150 | 0,153 | 0,156 | 0,157 | 0,158 | 0,159 | 0,159 | 0,160 | 0,160 | 0,160 | 0,160 | 0,160 | 0,160 | 0,160 |
| AOQL | * | * | 0,264 | 0,338 | 0,422 | 0,527 | 0,666 | 0,848 | 1,067 | 1,346 | 1,718 | 2,166 | 2,716 | 3,477 | 4,396 | 5,551 | 7,131 | |
| CRQ | * | * | 0,125 | 0,160 | 0300 | 0,250 | 0,315 | 0,399 | 0,499 | 0,623 | 0,787 | 0,992 | 1,246 | 1,583 | 1,928 | 2,441 | 2,970 | |
| 0,2 | PRQ | * | * | * | 0,182 | 0,188 | 0,192 | 0,195 | 0,197 | 0,198 | 0,199 | 0,199 | 0,199 | 0,200 | 0,200 | 0,200 | 0,200 | 0,200 |
| AOQL | * | * | * | 0,338 | 0,422 | 0,527 | 0,666 | 0,848 | 1,067 | 1,346 | 1,718 | 2,166 | 2,716 | 3,477 | 4,396 | 5,551 | 7,131 | |
| CRQ | * | * | * | 0,160 | 0,200 | 0,250 | 0,315 | 0,399 | 0,499 | 0,623 | 0,787 | 0,992 | 1,246 | 1,583 | 1,928 | 2,441 | 2,970 | |
| 0,25 | PRQ | * | * | * | * | 0,227 | 0,234 | 0,240 | 0,243 | 0346 | 0,247 | 0,248 | 0,249 | 0,249 | 0,250 | 0,250 | 0,250 | 0,250 |
| AOQL | * | * | * | * | 0,422 | 0,527 | 0,666 | 0,848 | 1,067 | 1,346 | 1,718 | 2,166 | 2,716 | 3,477 | 4,396 | 5,551 | 7,131 | |
| CRQ | * | * | * | * | 0,200 | 0,250 | 0,315 | 0,399 | 0,499 | 0,623 | 0,787 | 0,992 | 1,246 | 1,583 | 1,928 | 2,441 | 2,970 | |
| 0,315 | PRQ | * | * | * | * | * | 0,286 | 0,296 | 0,302 | 0,307 | 0,310 | 0,312 | 0,313 | 0,314 | 0,314 | 0,314 | 0,315 | 0,315 |
| AOQL | * | * | * | * | * | 0,527 | 0,666 | 0,848 | 1,067 | 1,346 | 1,718 | 2,166 | 2,716 | 3,477 | 4,396 | 5,551 | 7,131 | |
| CRQ | * | * | * | * | * | 0,250 | 0,315 | 0,399 | 0,499 | 0,623 | 0,787 | 0,992 | 1,246 | 1,583 | 1,928 | 2,441 | 2,970 | |
| 0,4 | PRQ | * | * | * | * | * | * | 0,363 | 0,376 | 0,384 | 0,389 | 0,393 | 0,396 | 0,397 | 0,398 | 0,399 | 0,399 | 0,400 |
| AOQL | * | * | * | * | * | * | 0,666 | 0,848 | 1,067 | 1,346 | 1,718 | 2,166 | 2,716 | 3,477 | 4,396 | 5,551 | 7,131 | |
| CRQ | * | * | * | * | * | * | 0,315 | 0,399 | 0,499 | 0,623 | 0,787 | 0,992 | 1,246 | 1,583 | 1,928 | 2,441 | 2,970 | |
| 0,5 | PRQ | * | * | * | * | * | * | * | 0,455 | 0,470 | 0,480 | 0,487 | 0,492 | 0,495 | 0,497 | 0,498 | 0,499 | 0,499 |
| AOQL | * | * | * | * | * | * | * | 0,848 | 1,067 | 1,346 | 1,718 | 2,166 | 2,716 | 3,477 | 4,396 | 5,551 | 7,131 | |
| CRQ | * | * | * | * | * | * | * | 0,399 | 0,499 | 0,623 | 0,787 | 0,992 | 1,246 | 1,583 | 1,928 | 2,441 | 2,970 | |
| 0,63 | PRQ | * | * | * | * | * | * | * | * | 0,574 | 0,592 | 0,606 | 0,614 | 0,620 | 0,624 | 0,626 | 0,627 | 0,628 |
| AOQL | * | * | * | * | * | * | * | * | 1,067 | 1,346 | 1,718 | 2,166 | 2,716 | 3,477 | 4,396 | 5,551 | 7,131 | |
| CRQ | * | * | * | * | * | * | * | * | 0,499 | 0,623 | 0,787 | 0,992 | 1,246 | 1,583 | 1,928 | 2,441 | 2,970 | |
| 0,8 | PRQ | * | * | * | * | * | * | * | * | * | 0,728 | 0,753 | 0,769 | 0,779 | 0,787 | 0,792 | 0,795 | 0,797 |
| AOQL | * | * | * | * | * | * | * | * | * | 1,346 | 1,718 | 2,166 | 2,716 | 3,477 | 4,396 | 5,551 | 7,131 | |
| CRQ | * | * | * | * | * | * | * | * | * | 0,623 | 0,787 | 0,992 | 1,246 | 1,583 | 1,928 | 2,441 | 2,970 | |
| 1,0 | PRQ | * | * | * | * | * | * | * | * | * | * | 0,913 | 0,942 | 0,961 | 0,976 | 0,985 | 0,990 | 0,994 |
| AOQL | * | * | * | * | * | * | * | * | * | * | 1,718 | 2,166 | 2,716 | 3,477 | 4,396 | 5,551 | 7,131 | |
| CRQ | * | * | * | * | * | * | * | * | * | * | 0,787 | 0,992 | 1,246 | 1,583 | 1,928 | 2,441 | 2,970 | |
| 1,25 | PRQ | * | * | * | * | * | * | * | * | * | * | * | 1,144 | 1,178 | 1,204 | 1,221 | 1,231 | 1,239 |
| AOQL | * | * | * | * | * | * | * | * | * | * | * | 2,166 | 2,716 | 3,477 | 4,396 | 5,551 | 7,131 | |
| CRQ | * | * | * | * | * | * | * | * | * | * | * | 0,992 | 1,246 | 1,583 | 1,928 | 2,441 | 2,970 | |
| 1,6 | PRQ AOQL CRQ | * * * | * * * | * * * | * * * | * * * | * * * | * * * | * * * | * * * | * * * | * * * | * * * | 1,460 2,716 1,246 | 1,509 3,477 1,583 | 1,541 4,396 1,928 | 1,562 5,551 2,441 | 1,577 7,131 2,970 |
| 2,0 | PRQ AOQL CRQ | * * * | * * * | * * * | * * * | * * * | * * * | * * * | * * * | * * * | * * * | * * * | * * * | * * * | 1,832 3,477 1,583 | 1,890 4,396 1,928 | 1,928 5,551 2,441 | 1,956 7,131 2,970 |
| 2,5 | PRQ AOQL CRQ | * * * | * * * | * * * | * * * | * * * | * * * | * * * | * * * | * * * | * * * | * * * | * * * | * * * | * * * | 2,297 4,396 1,928 | 2,366 5,551 2,441 | 2,417 7,131 2,970 |
| 3,15 | PRQ AOQL CRQ | * * * | * * * | * * * | * * * | * * * | * * * | * * * | * * * | * * * | * * * | * * * | * * * | * * * | * * * | * * * | 2,897 5,551 2,441 | 2,991 7,131 2,970 |
| 4,0 | PRQ AOQL CRQ | * * * | * * * | * * * | * * * | * * * | * * * | * * * | * * * | * * * | * * * | * * * | * * * | * * * | * * * | * * * | * * * | 3,692 7,131 2,970 |
| CHÚ THÍCH: Ô có dấu sao chỉ ra là không có phương án lấy mẫu hai lần có dạng (n, 0, 2; m, 1, 2) với α ≤ 10 % và β ≤ 10 % đối với sự kết hợp của chất lượng ứng với rủi ro của nhà sản xuất và chất lượng ứng với rủi ro của người tiêu dùng; xem xét giảm PRQ hoặc tăng CRQ, hoặc cả hai. | ||||||||||||||||||
Bảng 22 - Chất lượng đầu ra trung bình (AOQ) tính bằng phần trăm đối với các phương án dùng cho sự không phù hợp: α ≤ 5% và β ≤ 5%
| PRQ (%) | AOQ ở: | Chất lượng ứng với rủi ro của người tiêu dùng (%) | |||||||||||||
| 1,6 | 2,0 | 2,5 | 3,15 | 4,0 | 5,0 | 6,3 | 8,0 | 10,0 | 12,5 | 16,0 | 20,0 | 25,0 | 31,5 | ||
| 0,1 | PRQ | 0,096 | 0,097 | 0,098 | 0,099 | 0,099 | 0,100 | 0,100 | 0,100 | 0,100 | 0,100 | 0,100 | 0,100 | 0,100 | 0,100 |
| AOQL | 0,274 | 0,342 | 0,428 | 0,540 | 0,682 | 0,861 | 1,086 | 1,373 | 1,725 | 2,134 | 2,715 | 3,395 | 4,285 | 5,343 | |
| CRQ | 0,080 | 0,100 | 0,125 | 0,157 | 0,200 | 0,249 | 0,314 | 0,397 | 0,495 | 0,623 | 0,789 | 0,975 | 1,214 | 1,501 | |
| 0,125 | PRQ | * | 0,120 | 0,122 | 0,123 | 0,124 | 0,124 | 0,124 | 0,125 | 0,125 | 0,125 | 0,125 | 0,125 | 0,125 | 0,125 |
| AOQL | * | 0,342 | 0,428 | 0,540 | 0,682 | 0,861 | 1,086 | 1,373 | 1,725 | 2,134 | 2,715 | 3,395 | 4,285 | 5,343 | |
| CRQ | * | 0,100 | 0,125 | 0,157 | 0,200 | 0,249 | 0,314 | 0,397 | 0,495 | 0,623 | 0,789 | 0,975 | 1,214 | 1,501 | |
| 0,160 | PRQ | * | * | 0,153 | 0,156 | 0,157 | 0,158 | 0,159 | 0,159 | 0,160 | 0,160 | 0,160 | 0,160 | 0,160 | 0,160 |
| AOQL | * | * | 0,428 | 0,540 | 0,682 | 0,861 | 1,086 | 1,373 | 1,725 | 2,134 | 2,715 | 3,395 | 4,285 | 5,343 | |
| CRQ | * | * | 0,125 | 0,157 | 0,200 | 0,249 | 0,314 | 0,397 | 0,495 | 0,623 | 0,789 | 0,975 | 1,214 | 1,501 | |
| 0,2 | PRQ | * | * | * | 0,192 | 0,195 | 0,197 | 0,198 | 0,199 | 0,199 | 0,199 | 0,200 | 0,200 | 0,200 | 0,200 |
| AOQL | * | * | * | 0,540 | 0,682 | 0,861 | 1,086 | 1,373 | 1,725 | 2,134 | 2,715 | 3,395 | 4,285 | 5,343 | |
| CRQ | * | * | * | 0,157 | 0,200 | 0,249 | 0,314 | 0,397 | 0,495 | 0,623 | 0,789 | 0,975 | 1,214 | 1,501 | |
| 0,25 | PRQ | * | * | * | * | 0,240 | 0,244 | 0,246 | 0,247 | 0,248 | 0,249 | 0,249 | 0,250 | 0,250 | 0,250 |
| AOQL | * | * | * | * | 0,682 | 0,861 | 1,086 | 1,373 | 1,725 | 2,134 | 2,715 | 3,395 | 4,285 | 5,343 | |
| CRQ | * | * | * | * | 0,200 | 0,249 | 0,314 | 0,397 | 0,495 | 0,623 | 0,789 | 0,975 | 1,214 | 1,501 | |
| 0,315 | PRQ | * | * | * | * | * | 0,303 | 0,307 | 0,310 | 0,312 | 0,313 | 0,314 | 0,314 | 0,314 | 0,315 |
| AOQL | * | * | * | * | * | 0,861 | 1,086 | 1,373 | 1,725 | 2,134 | 2,715 | 3,395 | 4,285 | 5,343 | |
| CRQ | * | * | * | * | * | 0,249 | 0,314 | 0,397 | 0,495 | 0,623 | 0,789 | 0,975 | 1,214 | 1,501 | |
| 0,4 | PRQ | * | * | * | * | * | * | 0,384 | 0,390 | 0,393 | 0,395 | 0,397 | 0,398 | 0,399 | 0,399 |
| AOQL | * | * | * | * | * | * | 1,086 | 1,373 | 1,725 | 2,134 | 2,715 | 3,395 | 4,285 | 5,343 | |
| CRQ | * | * | * | * | * | * | 0,314 | 0,397 | 0,495 | 0,623 | 0,789 | 0,975 | 1,214 | 1,501 | |
| 0,5 | PRQ | * | * | * | * | * | * | * | 0,481 | 0,487 | 0,491 | 0,494 | 0,496 | 0,498 | 0,499 |
| AOQL | * | * | * | * | * | * | * | 1,373 | 1,725 | 2,134 | 2,715 | 3,395 | 4,285 | 5,343 | |
| CRQ | * | * | * | * | * | * | * | 0,397 | 0,495 | 0,623 | 0,789 | 0,975 | 1,214 | 1,501 | |
| 0,63 | PRQ | * | * | * | * | * | * | * | * | 0,605 | 0,613 | 0,619 | 0,623 | 0,625 | 0,627 |
| AOQL | * | * | * | * | * | * | * | * | 1,725 | 2,134 | 2,715 | 3,395 | 4,285 | 5,343 | |
| CRQ | * | * | * | * | * | * | * | * | 0,495 | 0,623 | 0,789 | 0,975 | 1,214 | 1,501 | |
| 0,8 | PRQ | * | * | * | * | * | * | * | * | * | 0,767 | 0,779 | 0,786 | 0,791 | 0,794 |
| AOQL | * | * | * | * | * | * | * | * | * | 2,134 | 2,715 | 3,395 | 4,285 | 5,343 | |
| CRQ | * | * | * | * | * | * | * | * | * | 0,623 | 0,789 | 0,975 | 1,214 | 1,501 | |
| 1,0 | PRQ | * | * | * | * | * | * | * | * | * | * | 0,960 | 0,973 | 0,983 | 0,989 |
| AOQL | * | * | * | * | * | * | * | * | * | * | 2,715 | 3,395 | 4,285 | 5,343 | |
| CRQ | * | * | * | * | * | * | * | * | * | * | 0,789 | 0,975 | 1,214 | 1,501 | |
| 1,25 | PRQ | * | * | * | * | * | * | * | * | * | * | * | 1,200 | 1,218 | 1,228 |
| AOQL | * | * | * | * | * | * | * | * | * | * | * | 3,395 | 4,285 | 5,343 | |
| CRQ | * | * | * | * | * | * | * | * | * | * | * | 0,975 | 1,214 | 1,501 | |
| 1,6 | PRQ | * | * | * | * | * | * | * | * | * | * | * | * | 1,535 | 1,556 |
| AOQL | * | * | * | * | * | * | * | * | * | * | * | * | 4,285 | 5,343 | |
| CRQ | * | * | * | * | * | * | * | * | * | * | * | * | 1,214 | 1,501 | |
| 2,0 | PRQ | * | * | * | * | * | * | * | * | * | * | * | * | * | 1,918 |
| AOQL | * | * | * | * | * | * | * | * | * | * | * | * | * | 5,343 | |
| CRQ | * | * | * | * | * | * | * | * | * | * | * | * | * | 1,501 | |
| CHÚ THÍCH: Ô có dấu sao chỉ ra là không có phương án lấy mẫu hai lần có dạng (n, 0, 2; m, 1, 2) với α ≤ 5 % và β ≤ 5 % đối với sự kết hợp của chất lượng ứng với rủi ro của nhà sản xuất và chất lượng ứng với rủi ro của người tiêu dùng; xem xét giảm PRQ hoặc tăng CRQ, hoặc cả hai. | |||||||||||||||
Bảng 23 - Chất lượng đầu ra trung bình (AOQ) tính bằng phần trăm đối với các phương án dùng cho sự không phù hợp: α ≤ 5 % và β ≤ 10 %
| PRQ (%) | AOQ ở: | Chất lượng ứng với rủi ro của người tiêu dùng (%) | ||||||||||||||
| 1,25 | 1,6 | 2,0 | 2,5 | 3,15 | 4,0 | 5,0 | 6,3 | 8,0 | 10,0 | 12,5 | 16,0 | 20,0 | 25,0 | 31,5 | ||
| 0,1 | PRQ | 0,096 | 0,097 | 0,098 | 0,099 | 0,099 | 0,200 | 0,100 | 0,100 | 0,100 | 0,100 | 0,100 | 0,100 | 0,100 | 0,100 | 0,100 |
| AOQL | 0,262 | 0,335 | 0,421 | 0,526 | 0,661 | 0,845 | 1,052 | 1,321 | 1,678 | 2,108 | 2,621 | 3,317 | 4,152 | 5,147 | 6,502 | |
| CRQ | 0,125 | 0,160 | 0,200 | 0,250 | 0,314 | 0,400 | 0,497 | 0,627 | 0,794 | 0,988 | 1,232 | 1,547 | 1,904 | 2,362 | 2,935 | |
| 0,125 | PRQ | * | 0,120 | 0,122 | 0,123 | 0,124 | 0,124 | 0,124 | 0,125 | 0,125 | 0,125 | 0,125 | 0,125 | 0,125 | 0,125 | 0,125 |
| AOQL | * | 0,335 | 0,421 | 0,526 | 0,661 | 0,845 | 1,052 | 1,321 | 1,678 | 2,108 | 2,621 | 3,317 | 4,152 | 5,147 | 6,502 | |
| CRQ | * | 0,160 | 0,200 | 0,250 | 0,314 | 0,400 | 0,497 | 0,627 | 0,794 | 0,988 | 1,232 | 1,547 | 1,904 | 2,362 | 2,935 | |
| 0,160 | PRQ | * | * | 0,153 | 0,155 | 0,157 | 0,158 | 0,159 | 0,159 | 0,159 | 0,160 | 0,160 | 0,160 | 0,160 | 0,160 | 0,160 |
| AOQL | * | * | 0,421 | 0,526 | 0,661 | 0,845 | 1,052 | 1,321 | 1,678 | 2,108 | 2,621 | 3,317 | 4,152 | 5,147 | 6,502 | |
| CRQ | * | * | 0,200 | 0,250 | 0,314 | 0,400 | 0,497 | 0,627 | 0,794 | 0,988 | 1,232 | 1,547 | 1,904 | 2,362 | 2,935 | |
| 0,2 | PRQ | * | * | * | 0,192 | 0,194 | 0,196 | 0,198 | 0,198 | 0199 | 0,199 | 0,200 | 0,200 | 0,200 | 0,200 | 0,200 |
| AOQL | * | * | * | 0,526 | 0,661 | 0,845 | 1,052 | 1,321 | 1,678 | 2,108 | 2,621 | 3,317 | 4,152 | 5,147 | 6,502 | |
| CRQ | * | * | * | 0,250 | 0,314 | 0,400 | 0,497 | 0,627 | 0,794 | 0,988 | 1,232 | 1,547 | 1,904 | 2,362 | 2,935 | |
| 0,25 | PRQ | * | * | * | * | 0,240 | 0,243 | 0,246 | 0,247 | 0,248 | 0,249 | 0,249 | 0,250 | 0,250 | 0,250 | 0,250 |
| AOQL | * | * | * | * | 0,661 | 0,845 | 1,052 | 1,321 | 1,678 | 2,108 | 2,621 | 3,317 | 4,152 | 5,147 | 6,502 | |
| CRQ | * | * | * | * | 0,314 | 0,400 | 0,497 | 0,627 | 0,794 | 0,988 | 1,232 | 1,547 | 1,904 | 2,362 | 2,935 | |
| 0,315 | PRQ | * | * | * | * | * | 0,302 | 0,306 | 0,309 | 0,311 | 0,313 | 0,313 | 0,314 | 0,314 | 0,315 | 0,315 |
| AOQL | * | * | * | * | * | 0,845 | 1,052 | 1,321 | 1,678 | 2,108 | 2,621 | 3,317 | 4,152 | 5,147 | 6,502 | |
| CRQ | * | * | * | * | * | 0,400 | 0,497 | 0,627 | 0,794 | 0,988 | 1,232 | 1,547 | 1,904 | 2,362 | 2,935 | |
| 0,4 | PRQ | * | * | * | * | * | * | 0,383 | 0,389 | 0,393 | 0,395 | 0,397 | 0,398 | 0,399 | 0,399 | 0,399 |
| AOQL | * | * | * | * | * | * | 1,052 | 1,321 | 1,678 | 2,108 | 2,621 | 3,317 | 4,152 | 5,147 | 6,502 | |
| CRQ | * | * | * | * | * | * | 0,497 | 0,627 | 0,794 | 0,988 | 1,232 | 1,547 | 1,904 | 2,362 | 2,935 | |
| 0,5 | PRQ | * | * | * | * | * | * | * | 0,479 | 0,486 | 0,491 | 0,494 | 0,496 | 0,498 | 0,498 | 0,499 |
| AOQL | * | * | * | * | * | * | * | 1,321 | 1,678 | 2,108 | 2,621 | 3,317 | 4,152 | 5,147 | 6,502 | |
| CRQ | * | * | * | * | * | * | * | 0,627 | 0,794 | 0,988 | 1,232 | 1,547 | 1,904 | 2,362 | 2,935 | |
| 0,63 | PRQ | * | * | * | * | * | * | * | * | 0,604 | 0,613 | 0,619 | 0,623 | 0,625 | 0,627 | 0,628 |
| AOQL | * | * | * | * | * | * | * | * | 1,678 | 2,108 | 2,621 | 3,317 | 4,152 | 5,147 | 6,502 | |
| CRQ | * | * | * | * | * | * | * | * | 0,794 | 0,988 | 1,232 | 1,547 | 1,904 | 2,362 | 2,935 | |
| 0,8 | PRQ | * | * | * | * | * | * | * | * | * | 0,766 | 0,777 | 0,785 | 0,790 | 0,794 | 0,796 |
| AOQL | * | * | * | * | * | * | * | * | * | 2,108 | 2,621 | 3,317 | 4,152 | 5,147 | 6,502 | |
| CRQ | * | * | * | * | * | * | * | * | * | 0,988 | 1,232 | 1,547 | 1,904 | 2,362 | 2,935 | |
| 1,0 | PRQ | * | * | * | * | * | * | * | * | * | * | 0,958 | 0,972 | 0,982 | 0,988 | 0,992 |
| AOQL | * | * | * | * | * | * | * | * | * | * | 2,621 | 3,317 | 4,152 | 5,147 | 6,502 | |
| CRQ | * | * | * | * | * | * | * | * | * | * | 1,232 | 1,547 | 1,904 | 2,362 | 2,935 | |
| 1,25 | PRQ | * | * | * | * | * | * | * | * | * | * | * | 1,198 | 1,215 | 1227 | 1,235 |
| AOQL | * | * | * | * | * | * | * | * | * | * | * | 3,317 | 4,152 | 5,147 | 6,502 | |
| CRQ | * | * | * | * | * | * | * | * | * | * | * | 1,547 | 1,904 | 2,362 | 2,935 | |
| 1,6 | PRQ | * | * | * | * | * | * | * | * | * | * | * | * | 1,531 | 1,553 | 1,570 |
| AOQL | * | * | * | * | * | * | * | * | * | * | * | * | 4,152 | 5,147 | 6,502 | |
| CRQ | * | * | * | * | * | * | * | * | * | * | * | * | 1,904 | 2,362 | 2,935 | |
| 2,0 | PRQ | * | * | * | * | * | * | * | * | * | * | * | * | * | 1,912 | 1,943 |
| AOQL | * | * | * | * | * | * | * | * | * | * | * | * | * | 5,147 | 6,502 | |
| CRQ | * | * | * | * | * | * | * | * | * | * | * | * | * | 2,362 | 2,935 | |
| 2,5 | PRQ | * | * | * | * | * | * | * | * | * | * | * | * | * | * | 2,393 |
| AOQL | * | * | * | * | * | * | * | * | * | * | * | * | * | * | 6,502 | |
| CRQ | * | * | * | * | * | * | * | * | * | * | * | * | * | * | 2,935 | |
| CHÚ THÍCH: Ô có dấu sao chỉ ra là không có phương án lấy mẫu hai lần có dạng (n, 0, 2; m, 1, 2) với α ≤ 5 % và β ≤ 10 % đối với sự kết hợp của chất lượng ứng với rủi ro của nhà sản xuất và chất lượng ứng với rủi ro của người tiêu dùng; xem xét giảm PRQ hoặc tăng CRQ, hoặc cả hai. | ||||||||||||||||
Bảng 24 - Chất lượng đầu ra trung bình (AOQ) tính bằng phần trăm đối với các phương án dùng cho sự không phù hợp: α ≤ 10 % và β ≤ 10 %
| PRQ (%) | AOQ ở: | Chất lượng ứng với rủi ro của người tiêu dùng (%) | ||||||||||||||||
| 0,8 | 1,0 | 1,25 | 1,6 | 2,0 | 2,5 | 3,15 | 4,0 | 5,0 | 6,3 | 8,0 | 10,0 | 12,5 | 16,0 | 20,0 | 25,0 | 31,5 | ||
| 0,1 | PRQ | 0,091 | 0,094 | 0,096 | 0,097 | 0,098 | 0,099 | 0,099 | 0,100 | 0,100 | 0,100 | 0,100 | 0,100 | 0,100 | 0,100 | 0,100 | 0,100 | 0,100 |
| AOQL | 0,168 | 0,210 | 0,262 | 0,335 | 0,421 | 0,526 | 0,661 | 0,845 | 1,052 | 1,321 | 1,678 | 2,108 | 2,621 | 3,317 | 4,152 | 5,147 | 6,502 | |
| CRQ | 0,080 | 0,100 | 0,125 | 0,160 | 0,200 | 0,250 | 0,314 | 0,400 | 0,497 | 0,627 | 0,794 | 0,988 | 1,232 | 1,547 | 1,904 | 2362 | 2,935 | |
| 0,125 | PRQ | * | 0,113 | 0,117 | 0,120 | 0,122 | 0,123 | 0,124 | 0,124 | 0,124 | 0,125 | 0,125 | 0,125 | 0,125 | 0,125 | 0,125 | 0,125 | 0,125 |
| AOQL | * | 0,210 | 0,262 | 0,335 | 0,421 | 0,526 | 0,661 | 0,845 | 1,052 | 1,321 | 1,678 | 2,108 | 2,621 | 3,317 | 4,152 | 5,147 | 6,502 | |
| CRQ | * | 0,100 | 0,125 | 0,160 | 0,200 | 0,250 | 0,314 | 0,400 | 0,497 | 0,627 | 0,794 | 0,988 | 1,232 | 1,547 | 1,904 | 2,362 | 2,935 | |
| 0,160 | PRQ | * | * | 0,145 | 0,150 | 0,153 | 0,155 | 0,157 | 0,158 | 0,159 | 0,159 | 0,159 | 0,160 | 0,160 | 0,160 | 0,160 | 0,160 | 0,160 |
| AOQL | * | * | 0,262 | 0,335 | 0,421 | 0326 | 0,661 | 0,845 | 1,052 | 1,321 | 1,678 | 2,108 | 2,621 | 3,317 | 4,152 | 5,147 | 6,502 | |
| CRQ | * | * | 0,125 | 0,160 | 0,200 | 0,250 | 0,314 | 0,400 | 0,497 | 0,627 | 0,794 | 0,988 | 1,232 | 1,547 | 1,904 | 2,362 | 2,935 | |
| 0,2 | PRQ | * | * | * | 0,182 | 0,187 | 0,192 | 0,194 | 0,196 | 0,198 | 0,198 | 0,199 | 0,199 | 0,200 | 0,200 | 0,200 | 0,200 | 0,200 |
| AOQL | * | * | * | 0,335 | 0,421 | 0,526 | 0,661 | 0,845 | 1,052 | 1,321 | 1,678 | 2,108 | 2,621 | 3,317 | 4,152 | 5,147 | 6,502 | |
| CRQ | * | * | * | 0,160 | 0,200 | 0,250 | 0,314 | 0,400 | 0,497 | 0,627 | 0,794 | 0,988 | 1,232 | 1,547 | 1,904 | 2,362 | 2,935 | |
| 0,25 | PRQ | * | * | * | * | 0,227 | 0,234 | 0,240 | 0,243 | 0,246 | 0247 | 0,248 | 0,249 | 0,249 | 0,250 | 0,250 | 0,250 | 0,250 |
| AOQL | * | * | * | * | 0,421 | 0,526 | 0,661 | 0,845 | 1,052 | 1321 | 1,678 | 2,108 | 2,621 | 3,317 | 4,152 | 5,147 | 6,502 | |
| CRQ | * | * | * | * | 0200 | 0,250 | 0,314 | 0,400 | 0,497 | 0,627 | 0,794 | 0,988 | 1,232 | 1,547 | 1,904 | 2,362 | 2,935 | |
| 0,315 | PRQ | * | * | * | * | * | 0,286 | 0,295 | 0,302 | 0,306 | 0,309 | 0,311 | 0,313 | 0,313 | 0,314 | 0,314 | 0,315 | 0,315 |
| AOQL | * | * | * | * | * | 0,526 | 0,661 | 0,845 | 1,052 | 1,321 | 1,678 | 2,108 | 2,621 | 3,317 | 4,152 | 5,147 | 6,502 | |
| CRQ | * | * | * | * | * | 0,250 | 0,314 | 0,400 | 0,497 | 0,627 | 0,794 | 0,988 | 1,232 | 1,547 | 1,904 | 2,362 | 2,935 | |
| 0,4 | PRQ | * | * | * | * | * | * | 0,362 | 0,375 | 0,383 | 0,389 | 0,393 | 0,395 | 0,397 | 0,398 | 0,399 | 0,399 | 0,399 |
| AOQL | * | * | * | * | * | * | 0,661 | 0,845 | 1,052 | 1,321 | 1,678 | 2,108 | 2,621 | 3,317 | 4,152 | 5,147 | 6,502 | |
| CRQ | * | * | * | * | * | * | 0,314 | 0,400 | 0,497 | 0,627 | 0,794 | 0,988 | 1,232 | 1,547 | 1,904 | 2,362 | 2,935 | |
| 0,5 | PRQ | * | * | * | * | * | * | * | 0,455 | 0,469 | 0,479 | 0,486 | 0,491 | 0,494 | 0,496 | 0,498 | 0,498 | 0,499 |
| AOQL | * | * | * | * | * | * | * | 0,845 | 1,052 | 1,321 | 1,678 | 2,108 | 2,621 | 3,317 | 4,152 | 5,147 | 6,502 | |
| CRQ | * | * | * | * | * | * | * | 0,400 | 0,497 | 0,627 | 0,794 | 0,988 | 1,232 | 1,547 | 1,904 | 2,362 | 2,935 | |
| 0,63 | PRQ | * | * | * | * | * | * | * | * | 0,572 | 0,590 | 0,604 | 0,613 | 0,619 | 0,623 | 0,625 | 0,627 | 0,628 |
| AOQL | * | * | * | * | * | * | * | * | 1,052 | 1,321 | 1,678 | 2,108 | 2,621 | 3,317 | 4,152 | 5,147 | 6,502 | |
| CRQ | * | * | * | * | * | * | * | * | 0,497 | 0,627 | 0,794 | 0,988 | 1,232 | 1,547 | 1,904 | 2,362 | 2,935 | |
| 0,8 | PRQ | * | * | * | * | * | * | * | * | * | 0,724 | 0,750 | 0,766 | 0,777 | 0,785 | 0,790 | 0,794 | 0,796 |
| AOQL | * | * | * | * | * | * | * | * | * | 1,321 | 1,678 | 2,108 | 2,621 | 3,317 | 4,152 | 5,147 | 6,502 | |
| CRQ | * | * | * | * | * | * | * | * | * | 0,627 | 0,794 | 0,988 | 1,232 | 1,547 | 1,904 | 2,362 | 2,935 | |
| 1,0 | PRQ | * | * | * | * | * | * | * | * | * | * | 0,908 | 0,938 | 0,958 | 0,972 | 0,982 | 0,988 | 0,992 |
| AOQL | * | * | * | * | * | * | * | * | * | * | 1,678 | 2,108 | 2,621 | 3,317 | 4,152 | 5,147 | 6,502 | |
| CRQ | * | * | * | * | * | * | * | * | * | * | 0,794 | 0,988 | 1,232 | 1,547 | 1,904 | 2,362 | 2,935 | |
| 1,25 | PRQ | * | * | * | * | * | * | * | * | * | * | * | 1,136 | 1,171 | 1,198 | 1,215 | 1,227 | 1,235 |
| AOQL | * | * | * | * | * | * | * | * | * | * | * | 2,108 | 2,621 | 3,317 | 4,152 | 5,147 | 6,502 | |
| CRQ | * | * | * | * | * | * | * | * | * | * | * | 0,988 | 1,232 | 1,547 | 1,904 | 2,362 | 2,935 | |
| 1,6 | PRQ | * | * | * | * | * | * | * | * | * | * | * | * | 1,447 | 1,497 | 1,531 | 1,553 | 1,570 |
| AOQL | * | * | * | * | * | * | * | * | * | * | * | * | 2,621 | 3,317 | 4,152 | 5,147 | 6,502 | |
| CRQ | * | * | * | * | * | * | * | * | * | * | * | * | 1,232 | 1,547 | 1,904 | 2,362 | 2,935 | |
| 2,0 | PRQ | * | * | * | * | * | * | * | * | * | * | * | * | * | 1,812 | 1,872 | 1,912 | 1,943 |
| AOQL | * | * | * | * | * | * | * | * | * | * | * | * | * | 3,317 | 4,152 | 5,147 | 6,502 | |
| CRQ | * | * | * | * | * | * | * | * | * | * | * | * | * | 1,547 | 1,904 | 2,362 | 2,935 | |
| 2,5 | PRQ | * | * | * | * | * | * | * | * | * | * | * | * | * | * | 2,267 | 2,337 | 2,393 |
| AOQL | * | * | * | * | * | * | * | * | * | * | * | * | * | * | 4,152 | 5,147 | 6,502 | |
| CRQ | * | * | * | * | * | * | * | * | * | * | * | * | * | * | 1,904 | 2,362 | 2,935 | |
| 3,15 | PRQ | * | * | * | * | * | * | * | * | * | * | * | * | * | * | * | 2,847 | 2,947 |
| AOQL | * | * | * | * | * | * | * | * | * | * | * | * | * | * | * | 5,147 | 6,502 | |
| CRQ | * | * | * | * | * | * | * | * | * | * | * | * | * | * | * | 2,362 | 2,935 | |
| 4,0 | PRQ | * | * | * | * | * | * | * | * | * | * | * | * | * | * | * | * | 3,613 |
| AOQL | * | * | * | * | * | * | * | * | * | * | * | * | * | * | * | * | 6,502 | |
| CRQ | * | * | * | * | * | * | * | * | * | * | * | * | * | * | * | * | 2,935 | |
| CHÚ THÍCH: Ô có dấu sao chỉ ra là không có phương án lấy mẫu hai lần có dạng (n, 0, 2; m, 1, 2) với α ≤ 10 % và β ≤ 10 % đối với sự kết hợp của chất lượng ứng với rủi ro của nhà sản xuất và chất lượng ứng với rủi ro của người tiêu dùng; xem xét giảm PRQ hoặc tăng CRQ, hoặc cả hai. | ||||||||||||||||||
Bảng 25 - Cỡ mẫu trung bình (ASSI) đối với các phương án dùng cho cá thể không phù hợp: kiểm tra rút ngắn với α ≤ 5 % và β ≤ 5 %
| PRQ (%) | AOQ ở: | Chất lượng ứng với rủi ro của người tiêu dùng (%) | |||||||||||||
| 1,6 | 2,0 | 2,5 | 3,15 | 4,0 | 5,0 | 6,3 | 8,0 | 10,0 | 12,5 | 16,0 | 20,0 | 25,0 | 31,5 | ||
| 0,1 | PRQ | 223 | 175 | 137 | 106 | 83,4 | 65,9 | 51,8 | 40,1 | 31,7 | 24,5 | 18,3 | 15,1 | 11,1 | 9,1 |
| lớn nhất | 233 | 186 | 149 | 118 | 92,4 | 73,7 | 58,2 | 45,5 | 36,0 | 28,6 | 21,9 | 17,3 | 13,5 | 10,5 | |
| CRQ | 119 | 95,5 | 76,3 | 60,6 | 47,8 | 38,2 | 30,3 | 23,9 | 19,1 | 15,3 | 11,9 | 9,6 | 7,6 | 6,1 | |
| 0,125 | PRQ | * | 178 | 139 | 108 | 84,3 | 66,5 | 52,2 | 40,4 | 31,8 | 24,6 | 18,4 | 15,2 | 11,1 | 9,1 |
| lớn nhất | * | 186 | 149 | 118 | 92,4 | 73,7 | 58,2 | 45,5 | 36,0 | 28,6 | 21,9 | 17,3 | 13,5 | 10,5 | |
| CRQ | * | 95,5 | 76,3 | 60,6 | 47,8 | 38,2 | 30,3 | 23,9 | 19,1 | 15,3 | 11,9 | 9,6 | 7,6 | 6,1 | |
| 0,160 | PRQ | * | * | 141 | 110 | 85,5 | 67,3 | 52,7 | 40,7 | 32,1 | 24,8 | 18,5 | 15,2 | 11,2 | 9,1 |
| lớn nhất | * | * | 149 | 118 | 92,4 | 73,7 | 58,2 | 45,5 | 36,0 | 28,6 | 21,9 | 17,3 | 13,5 | 10,5 | |
| CRQ | * | * | 76,3 | 60,6 | 47,8 | 38,2 | 30,3 | 23,9 | 19,1 | 15,3 | 11,9 | 9,6 | 7,6 | 6,1 | |
| 0,2 | PRQ | * | * | * | 112 | 86,7 | 68,2 | 53,2 | 41,1 | 32,3 | 24,9 | 18,6 | 15,3 | 11,2 | 9,1 |
| lớn nhất | * | * | * | 118 | 92,4 | 73,7 | 58,2 | 45,5 | 36,0 | 28,6 | 21,9 | 17,3 | 13,5 | 10,5 | |
| CRQ | * | * | * | 60,6 | 47,8 | 38,2 | 30,3 | 23,9 | 19,1 | 15,3 | 11,9 | 9,6 | 7,6 | 6,1 | |
| 0,25 | PRQ | * | * | * | * | 88,0 | 69,1 | 53,9 | 41,5 | 32,6 | 25,1 | 18,8 | 15,4 | 11,3 | 9,1 |
| lớn nhất | * | * | * | * | 92,4 | 73,7 | 58,2 | 45,5 | 36,0 | 28,6 | 21,9 | 17,3 | 13,5 | 10,5 | |
| CRQ | * | * | * | * | 47,8 | 38,2 | 30,3 | 23,9 | 19,1 | 15,3 | 11,9 | 9,6 | 7,6 | 6,1 | |
| 0,315 | PRQ | * | * | * | * | * | 70,2 | 54,7 | 42,0 | 32,9 | 25,4 | 18,9 | 15,4 | 11,4 | 9,2 |
| lớn nhất | * | * | * | * | * | 73,7 | 58,2 | 45,5 | 36,0 | 28,6 | 21,9 | 17,3 | 13,5 | 10,5 | |
| CRQ | * | * | * | * | * | 38,2 | 30,03 | 23,9 | 19,1 | 15,3 | 11,9 | 9,6 | 7,6 | 6,1 | |
| 0,4 | PRQ | * | * | * | * | * | * | 55,5 | 42,7 | 33,4 | 25,7 | 19,2 | 15,6 | 11,5 | 9,2 |
| lớn nhất | * | * | * | * | * | * | 58,2 | 45,5 | 36,0 | 28,6 | 21,9 | 17,3 | 13,5 | 10,5 | |
| CRQ | * | * | * | * | * | * | 30,3 | 23,9 | 19,1 | 15,3 | 11,9 | 9,6 | 7,6 | 6,1 | |
| 0,5 | PRQ | * | * | * | * | * | * | * | 43,3 | 33,8 | 26,1 | 19,4 | 15,7 | 11,6 | 9,3 |
| lớn nhất | * | * | * | * | * | * | * | 45,5 | 36,0 | 28,6 | 21,9 | 17,3 | 13,5 | 10,5 | |
| CRQ | * | * | * | * | * | * | * | 23,9 | 19,1 | 15,3 | 11,9 | 9,6 | 7,6 | 6,1 | |
| 0,63 | PRQ | * | * | * | * | * | * | * | * | 34,3 | 26,5 | 19,7 | 15,8 | 11,7 | 9,3 |
| lớn nhất | * | * | * | * | * | * | * | * | 36,0 | 28,6 | 21,9 | 17,3 | 13,5 | 10,5 | |
| CRQ | * | * | * | * | * | * | * | * | 19,1 | 15,3 | 11,9 | 9,6 | 7,6 | 6,1 | |
| 0,8 | PRQ | * | * | * | * | * | * | * | * | * | 27,0 | 20,1 | 16,0 | 11,8 | 9,4 |
| lớn nhất | * | * | * | * | * | * | * | * | * | 28,6 | 21,9 | 17,3 | 13,5 | 10,5 | |
| CRQ | * | * | * | * | * | * | * | * | * | 15,3 | 11,9 | 9,6 | 7,6 | 6,1 | |
| 1,0 | PRQ | * | * | * | * | * | * | * | * | * | * | 20,4 | 16,2 | 12,0 | 9,5 |
| lớn nhất | * | * | * | * | * | * | * | * | * | * | 21,9 | 17,3 | 13,5 | 10,5 | |
| CRQ | * | * | * | * | * | * | * | * | * | * | 11,9 | 9,6 | 7,6 | 6,1 | |
| 1,25 | PRQ | * | * | * | * | * | * | * | * | * | * | 22,6 | 16,4 | 12,2 | 9,6 |
| lớn nhất | * | * | * | * | * | * | * | * | * | * | 22,9 | 17,3 | 13,5 | 10,5 | |
| CRQ | * | * | * | * | * | * | * | * | * | * | 12,0 | 9,6 | 7,6 | 6,1 | |
| 1,6 | PRQ | * | * | * | * | * | * | * | * | * | * | * | 18,1 | 12,5 | 9,7 |
| lớn nhất | * | * | * | * | * | * | * | * | * | * | * | 18,3 | 13,5 | 10,5 | |
| CRQ | * | * | * | * | * | * | * | * | * | * | * | 9,6 | 7,6 | 6,1 | |
| 2,0 | PRQ | * | * | * | * | * | * | * | * | * | * | * | * | 13,2 | 9,8 |
| lớn nhất | * | * | * | * | * | * | * | * | * | * | * | * | 13,6 | 10,5 | |
| CRQ | * | * | * | * | * | * | * | * | * | * | * | * | 7,7 | 6,1 | |
| 2,5 | PRQ | * | * | * | * | * | * | * | * | * | * | * | * | * | 10,0 |
| lớn nhất | * | * | * | * | * | * | * | * | * | * | * | * | * | 10,5 | |
| CRQ | * | * | * | * | * | * | * | * | * | * | * | * | * | 6,1 | |
| CHÚ THÍCH: Ô có dấu sao chỉ ra là không có phương án lấy mẫu hai lần có dạng (n, 0, 2; m, 1, 2) với α ≤ 5 % và β ≤ 5 % đối với sự kết hợp của chất lượng ứng với rủi ro của nhà sản xuất và chất lượng ứng với rủi ro của người tiêu dùng; xem xét giảm PRQ hoặc tăng CRQ, hoặc cả hai. | |||||||||||||||
Bảng 26 - Cỡ mẫu trung bình (ASSI) đối với các phương án dùng cho cá thể không phù hợp: kiểm tra rút ngắn với α ≤ 5 % và β ≤ 10 %
| PRQ (%) | AOQ ở: | Chất lượng ứng với rủi ro của người tiêu dùng (%) | ||||||||||||||
| 1,25 | 1,6 | 2,0 | 2,5 | 3,15 | 4,0 | 5,0 | 6,3 | 8,0 | 10,0 | 12,5 | 16,0 | 20,0 | 25,0 | 31,5 | ||
| 0,1 | PRQ | 226 | 172 | 136 | 106 | 82,6 | 64,4 | 51,1 | 39,5 | 30,9 | 24,5 | 19,3 | 14,2 | 11,1 | 9,1 | 7,0 |
| lớn nhất | 239 | 187 | 149 | 119 | 94,2 | 74,0 | 58,9 | 46,6 | 36,4 | 29,0 | 23,0 | 17,7 | 13,9 | 10,9 | 8,5 | |
| CRQ | 145 | 113 | 90,9 | 72,7 | 57,6 | 45,4 | 36,4 | 28,8 | 22,7 | 18,2 | 14,6 | 11,3 | 9,1 | 7,3 | 5,8 | |
| 0,125 | PRQ | * | 175 | 138 | 108 | 83,8 | 65,2 | 51,6 | 39,8 | 31,1 | 24,7 | 19,4 | 14,3 | 11,2 | 9,1 | 7,1 |
| lớn nhất | * | 187 | 149 | 119 | 94,2 | 74,0 | 58,9 | 46,6 | 36,4 | 29,0 | 23,0 | 17,7 | 13,9 | 10,9 | 8,5 | |
| CRQ | * | 113 | 90,9 | 72,7 | 57,6 | 45,4 | 36,4 | 28,8 | 22,7 | 18,2 | 14,6 | 11,3 | 9,1 | 7,3 | 5,8 | |
| 0,160 | PRQ | * | * | 141 | 110 | 85,3 | 66,1 | 52,2 | 40,3 | 31,3 | 24,8 | 19,5 | 14,4 | 11,2 | 9,1 | 7,1 |
| lớn nhất | * | * | 149 | 119 | 94,2 | 74,0 | 58,9 | 46,6 | 36,4 | 29,0 | 23,0 | 17,7 | 13,9 | 10,9 | 8,5 | |
| CRQ | * | * | 90,9 | 72,7 | 57,6 | 45,4 | 36,4 | 28,8 | 22,7 | 18,2 | 14,6 | 11,3 | 9,1 | 7,3 | 5,8 | |
| 0,2 | PRQ | * | * | * | 112 | 86,9 | 67,2 | 52,9 | 40,7 | 31,6 | 25,0 | 19,6 | 14,5 | 11,3 | 9,1 | 7,1 |
| lớn nhất | * | * | * | 119 | 94,2 | 74,0 | 58,9 | 46,6 | 36,4 | 29,0 | 23,0 | 17,7 | 13,9 | 10,9 | 8,5 | |
| CRQ | * | * | * | 72,7 | 57,6 | 45,4 | 36,4 | 28,8 | 22,7 | 18,2 | 14,6 | 11,3 | 9,1 | 7,3 | 5,8 | |
| 0,25 | PRQ | * | * | * | * | 88,5 | 68,3 | 53,7 | 41,3 | 32,0 | 25,3 | 19,8 | 14,6 | 11,3 | 9,2 | 7,1 |
| lớn nhất | * | * | * | * | 94,2 | 74,0 | 58,9 | 46,6 | 36,4 | 29,0 | 23,0 | 17,7 | 13,9 | 10,9 | 8,5 | |
| CRQ | * | * | * | * | 57,6 | 45,4 | 36,4 | 28,8 | 22,7 | 18,2 | 14,6 | 11,3 | 9,1 | 7,3 | 5,8 | |
| 0,315 | PRQ | * | * | * | * | * | 69,6 | 54,6 | 42,0 | 32,4 | 25,5 | 20,0 | 14,7 | 11,4 | 9,2 | 7,1 |
| lớn nhất | * | * | * | * | * | 74,0 | 58,9 | 46,6 | 36,4 | 29,0 | 23,0 | 17,7 | 13,9 | 10,9 | 8,5 | |
| CRQ | * | * | * | * | * | 45,4 | 36,4 | 28,8 | 22,7 | 18,2 | 14,6 | 11,3 | 9,1 | 7,3 | 5,8 | |
| 0,4 | PRQ | * | * | * | * | * | * | 55,7 | 42,8 | 330 | 25,9 | 20,2 | 14,9 | 11,5 | 9,3 | 7,2 |
| lớn nhất | * | * | * | * | * | * | 58,9 | 46,6 | 36,4 | 29,0 | 23,0 | 17,7 | 13,9 | 10,9 | 8,5 | |
| CRQ | * | * | * | * | * | * | 36,4 | 28,8 | 22,7 | 18,2 | 14,6 | 11,3 | 9,1 | 7,3 | 5,8 | |
| 0,5 | PRQ | * | * | * | * | * | * | * | 43,7 | 33,5 | 26,3 | 20,5 | 15,1 | 11,7 | 9,3 | 7,2 |
| lớn nhất | * | * | * | * | * | * | * | 46,6 | 36,4 | 29,0 | 23,0 | 17,7 | 13,9 | 10,9 | 8,5 | |
| CRQ | * | * | * | * | * | * | * | 28,8 | 22,7 | 18,2 | 14,6 | 11,3 | 9,1 | 7,3 | 5,8 | |
| 0,63 | PRQ | * | * | * | * | * | * | * | * | 34,2 | 26,7 | 20,8 | 15,3 | 11,8 | 9,4 | 7,2 |
| lớn nhất | * | * | * | * | * | * | * | * | 36,4 | 29,0 | 23,0 | 17,7 | 13,9 | 10,9 | 8,5 | |
| CRQ | * | * | * | * | * | * | * | * | 22,7 | 18,2 | 14,6 | 11,3 | 9,1 | 7,3 | 5,8 | |
| 0,8 | PRQ | * | * | * | * | * | * | * | * | * | 27,2 | 21,2 | 15,6 | 12,0 | 9,5 | 7,3 |
| lớn nhất | * | * | * | * | * | * | * | * | * | 29,0 | 23,0 | 17,7 | 13,9 | 10,9 | 8,5 | |
| CRQ | * | * | * | * | * | * | * | * | * | 18,2 | 14,6 | 11,3 | 9,1 | 7,3 | 5,8 | |
| 1,0 | PRQ | * | * | * | * | * | * | * | * | * | * | 21,5 | 15,9 | 12,2 | 9,6 | 7,4 |
| lớn nhất | * | * | * | * | * | * | * | * | * | * | 23,0 | 17,7 | 13,9 | 10,9 | 8,5 | |
| CRQ | * | * | * | * | * | * | * | * | * | * | 14,6 | 11,3 | 9,1 | 7,3 | 5,8 | |
| 1,25 | PRQ | * | * | * | * | * | * | * | * | * | * | * | 16,2 | 12,4 | 9,8 | 7,5 |
| lớn nhất | * | * | * | * | * | * | * | * | * | * | * | 17,7 | 13,9 | 10,9 | 8,5 | |
| CRQ | * | * | * | * | * | * | * | * | * | * | * | 11,3 | 9,1 | 7,3 | 5,8 | |
| 1,6 | PRQ | * | * | * | * | * | * | * | * | * | * | * | * | 12,7 | 9,9 | 7,6 |
| lớn nhất | * | * | * | * | * | * | * | * | * | * | * | * | 13,9 | 10,9 | 8,5 | |
| CRQ | * | * | * | * | * | * | * | * | * | * | * | * | 9,1 | 7,3 | 5,8 | |
| 2,0 | PRQ | * | * | * | * | * | * | * | * | * | * | * | * | 17,0 | 10,1 | 77 |
| lớn nhất | * | * | * | * | * | * | * | * | * | * | * | * | 17,0 | 10,9 | 8,5 | |
| CRQ | * | * | * | * | * | * | * | * | * | * | * | * | 9,4 | 7,3 | 5,8 | |
| 2,5 | PRQ | * | * | * | * | * | * | * | * | * | * | * | * | * | * | 7,8 |
| lớn nhất | * | * | * | * | * | * | * | * | * | * | * | * | * | * | 8,5 | |
| CRQ | * | * | * | * | * | * | * | * | * | * | * | * | * | * | 5,8 | |
| 3,15 | PRQ | * | * | * | * | * | * | * | * | * | * | * | * | * | * | 8,7 |
| lớn nhất | * | * | * | * | * | * | * | * | * | * | * | * | * | * | 9,0 | |
| CRQ | * | * | * | * | * | * | * | * | * | * | * | * | * | * | 5,9 | |
| CHÚ THÍCH: Ô có dấu sao chỉ ra là không có phương án lấy mẫu hai lần có dạng (n, 0, 2; m, 1, 2) với α ≤ 5 % và β ≤ 10 % đối với sự kết hợp của chất lượng ứng với rủi ro của nhà sản xuất và chất lượng ứng với rủi ro của người tiêu dùng; xem xét giảm PRQ hoặc tăng CRQ, hoặc cả hai. | ||||||||||||||||
Bảng 27 - Cỡ mẫu trung bình (ASSI) đối với các phương án dùng cho cá thể không phù hợp: kiểm tra rút ngắn với α ≤ 10 % và β ≤ 10 %
| PRQ (%) | AOQ ở: | Chất lượng ứng với rủi ro của người tiêu dùng (%) | ||||||||||||||||
| 0,8 | 1,0 | 1,25 | 1,6 | 2,0 | 2,5 | 3,15 | 4,0 | 5,0 | 6,3 | 8,0 | 10,0 | 12,5 | 16,0 | 20,0 | 25,0 | 31,5 | ||
| 0,1 | PRQ | 367 | 288 | 226 | 172 | 136 | 106 | 82,6 | 64,4 | 51,1 | 39,5 | 30,9 | 24,5 | 19,3 | 14,2 | 11,1 | 9,1 | 7,0 |
| lớn nhất | 374 | 299 | 239 | 187 | 149 | 119 | 94,2 | 74,0 | 58,9 | 46,6 | 36,4 | 29,0 | 23,0 | 17,7 | 13,9 | 10,9 | 8,5 | |
| CRQ | 227 | 182 | 145 | 113 | 90,9 | 72,71 | 57,6 | 45,4 | 36,4 | 28,8 | 22,7 | 18,2 | 14,6 | 11,3 | 9,1 | 7,3 | 5,8 | |
| 0,125 | PRQ | * | 293 | 230 | 175 | 138 | 108 | 83,8 | 65,2 | 51,6 | 39,8 | 31,1 | 24,7 | 19,4 | 14,3 | 11,2 | 9,1 | 7,1 |
| lớn nhất | * | 299 | 239 | 187 | 149 | 119 | 94,2 | 74,0 | 58,9 | 46,6 | 36,4 | 29,0 | 23,0 | 17,7 | 13,9 | 10,9 | 8,5 | |
| CRQ | * | 182 | 145 | 113 | 90,9 | 72,7 | 57,6 | 45,4 | 36,4 | 28,8 | 22,7 | 18,2 | 14,6 | 11,3 | 9,1 | 7,3 | 5,8 | |
| 0,16 | PRQ | * | * | 236 | 179 | 141 | 110 | 85,3 | 66,1 | 52,2 | 40,3 | 31,3 | 24,8 | 19,5 | 14,4 | 11,2 | 9,1 | 7,1 |
| lớn nhất | * | * | 240 | 187 | 149 | 119 | 94,2 | 74,0 | 58,9 | 46,6 | 36,4 | 29,0 | 23,0 | 17,7 | 13,9 | 10,9 | 8,5 | |
| CRQ | * | * | 146 | 113 | 90,9 | 72,7 | 57,6 | 45,4 | 36,4 | 28,8 | 22,7 | 18,2 | 14,6 | 11,3 | 9,1 | 7,3 | 5,8 | |
| 0,2 | PRQ | * | * | * | 183 | 144 | 112 | 86,9 | 67,2 | 52,9 | 40,7 | 31,6 | 25,0 | 19,6 | 14,5 | 11,3 | 9,1 | 7,1 |
| lớn nhất | * | * | * | 187 | 149 | 119 | 94,2 | 74,0 | 58,9 | 46,6 | 36,4 | 29,0 | 23,0 | 17,7 | 13,9 | 10,9 | 8,5 | |
| CRQ | * | * | * | 114 | 90,9 | 72,7 | 57,6 | 45,4 | 36,4 | 28,8 | 22,7 | 18,2 | 14,6 | 11,3 | 9,1 | 7,3 | 5,8 | |
| 0,25 | PRQ | * | * | * | * | 146 | 114 | 88,5 | 68,3 | 53,7 | 41,3 | 32,0 | 25,3 | 19,8 | 14,6 | 11,3 | 9,2 | 7,1 |
| lớn nhất | * | * | * | * | 149 | 119 | 94,2 | 74,0 | 58,9 | 46,6 | 36,4 | 29,0 | 23,0 | 17,7 | 13,9 | 10,9 | 8,5 | |
| CRQ | * | * | * | * | 90,9 | 72,7 | 57,6 | 45,4 | 36,4 | 28,8 | 22,7 | 18,2 | 14,6 | 11,3 | 9,1 | 7,3 | 5,8 | |
| 0,315 | PRQ | * | * | * | * | * | 117 | 90,3 | 69,6 | 54,6 | 42,0 | 32,4 | 25,5 | 20,0 | 14,7 | 11,4 | 9,2 | 7,1 |
| lớn nhất | * | * | * | * | * | 119 | 94,2 | 74,0 | 58,9 | 46,6 | 36,4 | 29,0 | 23,0 | 17,7 | 13,9 | 10,9 | 8,5 | |
| CRQ | * | * | * | * | * | 72,7 | 57,6 | 45,4 | 36,4 | 28,8 | 22,7 | 18,2 | 14,6 | 11,3 | 9,1 | 7,3 | 5,8 | |
| 0,4 | PRQ | * | * | * | * | * | * | 92,6 | 71,0 | 55,7 | 42,8 | 33,0 | 25,9 | 20,2 | 14,9 | 11,5 | 9,3 | 7,2 |
| lớn nhất | * | * | * | * | * | * | 94,4 | 74,0 | 58,9 | 46,6 | 36,4 | 29,0 | 23,0 | 17,7 | 13,9 | 10,9 | 8,5 | |
| CRQ | * | * | * | * | * | * | 57,8 | 45,4 | 36,4 | 28,8 | 22,7 | 18,2 | 14,6 | 11,3 | 9,1 | 7,3 | 5,8 | |
| 0,5 | PRQ | * | * | * | * | * | * | * | 72,3 | 56,7 | 43,7 | 33,5 | 26,3 | 20,5 | 15,1 | 11,7 | 9,3 | 7,2 |
| lớn nhất | * | * | * | * | * | * | * | 74,0 | 58,9 | 46,6 | 36,4 | 29,0 | 23,0 | 17,7 | 13,9 | 10,9 | 8,5 | |
| CRQ | * | * | * | * | * | * | * | 45,4 | 36,4 | 28,8 | 22,7 | 18,2 | 14,6 | 11,3 | 9,1 | 7,3 | 5,8 | |
| 0,63 | PRQ | * | * | * | * | * | * | * | * | 57,7 | 44,6 | 34,2 | 26,7 | 20,8 | 15,3 | 11,8 | 9,4 | 7,2 |
| lớn nhất | * | * | * | * | * | * | * | * | 58,9 | 46,6 | 36,4 | 29,0 | 23,0 | 17,7 | 13,9 | 10,9 | 8,5 | |
| CRQ | * | * | * | * | * | * | * | * | 36,4 | 28,8 | 22,7 | 18,2 | 14,6 | 11,3 | 9,1 | 7,3 | 5,8 | |
| 0,8 | PRQ | * | * | * | * | * | * | * | * | * | 45,7 | 34,9 | 27,2 | 21,2 | 15,6 | 12,0 | 9,5 | 7,3 |
| lớn nhất | * | * | * | * | * | * | * | * | * | 46,7 | 36,4 | 29,0 | 23,0 | 17,7 | 13,9 | 10,9 | 8,5 | |
| CRQ | * | * | * | * | * | * | * | * | * | 28,9 | 22,7 | 18,2 | 14,6 | 11,3 | 9,1 | 7,3 | 5,8 | |
| 1,0 | PRQ | * | * | * | * | * | * | * | * | * | * | 35,5 | 27,7 | 21,5 | 15,9 | 12,2 | 9,6 | 7,4 |
| lớn nhất | * | * | * | * | * | * | * | * | * | * | 36,4 | 29,0 | 23,0 | 17,7 | 13,9 | 10,9 | 8,5 | |
| CRQ | * | * | * | * | * | * | * | * | * | * | 22,7 | 18,2 | 14,6 | 11,3 | 9,1 | 7,3 | 5,8 | |
| 1,25 | PRQ | * | * | * | * | * | * | * | * | * | * | * | 28,2 | 21,9 | 16,2 | 12,4 | 9,8 | 7,5 |
| lớn nhất | * | * | * | * | * | * | * | * | * | * | * | 29,0 | 23,0 | 17,7 | 13,9 | 10,9 | 8,5 | |
| CRQ | * | * | * | * | * | * | * | * | * | * | * | 18,2 | 14,6 | 11,3 | 9,1 | 7,3 | 5,8 | |
| 1,6 | PRQ | * | * | * | * | * | * | * | * | * | * | * | * | 22,4 | 16,6 | 12,7 | 9,9 | 7,6 |
| lớn nhất | * | * | * | * | * | * | * | * | * | * | * | * | 23,0 | 17,7 | 13,9 | 10,9 | 8,5 | |
| CRQ | * | * | * | * | * | * | * | * | * | * | * | * | 14,6 | 11,3 | 9,1 | 7,3 | 5,8 | |
| 2,0 | PRQ | * | * | * | * | * | * | * | * | * | * | * | * | * | 17,0 | 13,0 | 10,1 | 7,7 |
| lớn nhất | * | * | * | * | * | * | * | * | * | * | * | * | * | 17,7 | 13,9 | 10,9 | 8,5 | |
| CRQ | * | * | * | * | * | * | * | * | * | * | * | * | * | 11,3 | 9,1 | 7,3 | 5,8 | |
| 2,5 | PRQ | * | * | * | * | * | * | * | * | * | * | * | * | * | * | 13,3 | 10,3 | 7,8 |
| lớn nhất | * | * | * | * | * | * | * | * | * | * | * | * | * | * | 13,9 | 10,9 | 8,5 | |
| CRQ | * | * | * | * | * | * | * | * | * | * | * | * | * | * | 9,1 | 7,3 | 5,8 | |
| 3,15 | PRQ | * | * | * | * | * | * | * | * | * | * | * | * | * | * | * | 10,5 | 8,0 |
| lớn nhất | * | * | * | * | * | * | * | * | * | * | * | * | * | * | * | 10,9 | 8,5 | |
| CRQ | * | * | * | * | * | * | * | * | * | * | * | * | * | * | * | 7,3 | 5,8 | |
| 4,0 | PRQ | * | * | * | * | * | * | * | * | * | * | * | * | * | * | * | * | 8,1 |
| lớn nhất | * | * | * | * | * | * | * | * | * | * | * | * | * | * | * | * | 8,5 | |
| CRQ | * | * | * | * | * | * | * | * | * | * | * | * | * | * | * | * | 5,8 | |
| CHÚ THÍCH: Ô có dấu sao chỉ ra là không có phương án lấy mẫu hai lần có dạng (n, 0, 2; m, 1, 2) với α ≤ 10 % và β ≤ 10 % đối với sự kết hợp của chất lượng ứng với rủi ro của nhà sản xuất và chất lượng ứng với rủi ro của người tiêu dùng; xem xét giảm PRQ hoặc tăng CRQ, hoặc cả hai. | ||||||||||||||||||
Bảng 28 - Cỡ mẫu trung bình (ASSl) đối với các phương án dùng cho sự không phù hợp: kiểm tra rút ngắn với α ≤ 5 % và β ≤ 5 %
| PRQ (%) | AOQ ở: | Chất lượng ứng với rủi ro của người tiêu dùng (%) | |||||||||||||
| 1,6 | 2,0 | 2,5 | 3,15 | 4,0 | 5,0 | 6,3 | 8,0 | 10,0 | 12,5 | 16,0 | 20,0 | 25,0 | 31,5 | ||
| 0,1 | PRQ | 231 | 182 | 144 | 114 | 87,7 | 71,2 | 56,4 | 43,9 | 35,6 | 27,4 | 21,3 | 17,2 | 14,1 | 11,1 |
| lớn nhất | 238 | 190 | 152 | 121 | 94,6 | 76,4 | 60,7 | 47,7 | 38,4 | 30,3 | 23,7 | 19,1 | 15,4 | 12,2 | |
| CRQ | 119 | 95,0 | 75,9 | 60,0 | 47,1 | 37,6 | 29,6 | 23,2 | 18,4 | 14,5 | 11,2 | 8,8 | 6,9 | 5,3 | |
| 0,125 | PRQ | * | 184 | 146 | 115 | 88,5 | 71,7 | 56,7 | 44,1 | 35,7 | 27,5 | 21,3 | 17,2 | 14,1 | 11,1 |
| lớn nhất | * | 190 | 152 | 121 | 94,6 | 76,4 | 607 | 47,7 | 38,4 | 30,3 | 23,7 | 19,1 | 15,4 | 12,2 | |
| CRQ | * | 95,0 | 75,9 | 60,0 | 47,1 | 37,6 | 29,6 | 23,2 | 18,4 | 14,5 | 11,2 | 8,8 | 6,9 | 5,3 | |
| 0,160 | PRQ | * | * | 148 | 116 | 89,5 | 72,3 | 57,1 | 44,4 | 35,9 | 27,6 | 21,4 | 17,3 | 14,2 | 11,1 |
| lớn nhất | * | * | 152 | 121 | 94,6 | 76,4 | 60,7 | 47,7 | 38,4 | 30,3 | 23,7 | 19,1 | 15,4 | 12,2 | |
| CRQ | * | * | 75,9 | 60,0 | 47,1 | 37,6 | 29,6 | 23,2 | 18,4 | 14,5 | 11,2 | 8,8 | 6,9 | 5,3 | |
| 0,2 | PRQ | * | * | * | 117 | 90,5 | 73,0 | 57,6 | 44,7 | 36,1 | 27,8 | 21,5 | 17,3 | 14,2 | 11,1 |
| lớn nhất | * | * | * | 121 | 94,6 | 76,4 | 60,7 | 47,7 | 38,4 | 30,3 | 23,7 | 19,1 | 15,4 | 12,2 | |
| CRQ | * | * | * | 60,0 | 47,1 | 37,6 | 29,6 | 23,2 | 18,4 | 14,5 | 11,2 | 8,8 | 6,9 | 5,3 | |
| 0,25 | PRQ | * | * | * | * | 91,6 | 73,7 | 58,1 | 45,1 | 36,3 | 28,0 | 21,6 | 17,4 | 14,2 | 11,2 |
| lớn nhất | * | * | * | * | 94,6 | 76,4 | 60,7 | 47,7 | 38,4 | 30,3 | 23,7 | 19,1 | 15,4 | 12,2 | |
| CRQ | * | * | * | * | 47,1 | 37,6 | 29,6 | 23,2 | 18,4 | 14,5 | 11,2 | 8,8 | 6,9 | 5,3 | |
| 0,315 | PRQ | * | * | * | * | * | 74,5 | 58,7 | 45,5 | 36,6 | 28,2 | 21,8 | 17,5 | 14,3 | 11,2 |
| lớn nhất | * | * | * | * | * | 76,4 | 60,7 | 47,7 | 38,4 | 30,3 | 23,7 | 19,1 | 15,4 | 12,2 | |
| CRQ | * | * | * | * | * | 37,6 | 29,6 | 23,2 | 18,4 | 14,5 | 11,2 | 8,8 | 6,9 | 5,3 | |
| 0,4 | PRQ | * | * | * | * | * | * | 59,3 | 46,0 | 36,9 | 28,5 | 22,0 | 17,6 | 14,4 | 11,2 |
| lớn nhất | * | * | * | * | * | * | 60,7 | 47,7 | 38,4 | 30,3 | 23,7 | 19,1 | 15,4 | 12,2 | |
| CRQ | * | * | * | * | * | * | 29,6 | 23,2 | 18,4 | 14,5 | 11,2 | 8,8 | 6,9 | 5,3 | |
| 0,5 | PRQ | * | * | * | * | * | * | * | 46,5 | 37,2 | 28,7 | 22,2 | 17,7 | 14,4 | 11,3 |
| lớn nhất | * | * | * | * | * | * | * | 47,7 | 38,4 | 30,3 | 23,7 | 19,1 | 15,4 | 12,2 | |
| CRQ | * | * | * | * | * | * | * | 23,2 | 18,4 | 14,5 | 11,2 | 8,8 | 6,9 | 5,3 | |
| 0,63 | PRQ | * | * | * | * | * | * | * | * | 37,6 | 29,1 | 22,4 | 17,9 | 14,5 | 11,4 |
| lớn nhất | * | * | * | * | * | * | * | * | 38,4 | 30,3 | 23,7 | 19,1 | 15,4 | 12,2 | |
| CRQ | * | * | * | * | * | * | * | * | 18,4 | 14,5 | 11,2 | 8,8 | 6,9 | 5,3 | |
| 0,8 | PRQ | * | * | * | * | * | * | * | * | * | 29,4 | 22,7 | 18,1 | 14,7 | 11,5 |
| lớn nhất | * | * | * | * | * | * | * | * | * | 30,3 | 23,7 | 19,1 | 15,4 | 12,2 | |
| CRQ | * | * | * | * | * | * | * | * | * | 14,5 | 11,2 | 8,8 | 6,9 | 5,3 | |
| 1,0 | PRQ | * | * | * | * | * | * | * | * | * | * | 22,9 | 18,3 | 14,8 | 11,6 |
| lớn nhất | * | * | * | * | * | * | * | * | * | * | 23,7 | 19,1 | 15,4 | 12,2 | |
| CRQ | * | * | * | * | * | * | * | * | * | * | 11,2 | 8,8 | 6,9 | 5,3 | |
| 1,25 | PRQ | * | * | * | * | * | * | * | * | * | * | * | 18,5 | 14,9 | 11,7 |
| lớn nhất | * | * | * | * | * | * | * | * | * | * | * | 19,1 | 15,4 | 12,2 | |
| CRQ | * | * | * | * | * | * | * | * | * | * | * | 8,8 | 6,9 | 5,3 | |
| 1,6 | PRQ | * | * | * | * | * | * | * | * | * | * | * | * | 15,1 | 11,8 |
| lớn nhất | * | * | * | * | * | * | * | * | * | * | * | * | 15,4 | 12,2 | |
| CRQ | * | * | * | * | * | * | * | * | * | * | * | * | 6,9 | 5,3 | |
| 2,0 | PRQ | * | * | * | * | * | * | * | * | * | * | * | * | * | 11,9 |
| lớn nhất | * | * | * | * | * | * | * | * | * | * | * | * | * | 12,2 | |
| CRQ | * | * | * | * | * | * | * | * | * | * | * | * | * | 5,3 | |
| CHÚ THÍCH: Ô có dấu sao chỉ ra là không có phương án lấy mẫu hai lần có dạng (n, 0, 2; m, 1, 2) với α ≤ 5 % và β ≤ 5 % đối với sự kết hợp của chất lượng ứng với rủi ro của nhà sản xuất và chất lượng ứng với rủi ro của người tiêu dùng; xem xét giảm PRQ hoặc tăng CRQ, hoặc cả hai. | |||||||||||||||
Bảng 29 - Cỡ mẫu trung bình (ASSI) đối với các phương án dùng cho sự không phù hợp: kiểm tra rút ngắn với α ≤ 5 % và β ≤ 10 %
| PRQ (%) | AOQ ở: | Chất lượng ứng với rủi ro của người tiêu dùng (%) | ||||||||||||||
| 1,25 | 1,6 | 2,0 | 2,5 | 3,15 | 4,0 | 5,0 | 6,3 | 8,0 | 10,0 | 12,5 | 16,0 | 20,0 | 25,0 | 31,5 | ||
| 0,1 | PRQ | 237 | 182 | 145 | 115 | 90,0 | 71,4 | 56,6 | 44,1 | 34,7 | 28,4 | 22,3 | 17,2 | 14,1 | 11,1 | 9,0 |
| lớn nhất | 245 | 191 | 153 | 123 | 97,2 | 77,1 | 61,6 | 48,6 | 38,4 | 31,1 | 24,7 | 19,3 | 15,6 | 12,5 | 10,0 | |
| CRQ | 146 | 114 | 91,0 | 72,7 | 57,5 | 45,2 | 36,0 | 28,4 | 22,2 | 17,7 | 14,0 | 10,8 | 8,5 | 6,7 | 5,2 | |
| 0,125 | PRQ |
| 184 | 147 | 116 | 90,9 | 71,9 | 57,0 | 44,3 | 34,8 | 28,5 | 22,3 | 17,2 | 14,1 | 11,1 | 9,1 |
| lớn nhất |
| 191 | 153 | 123 | 97,2 | 77,1 | 61,6 | 48,6 | 38,4 | 31,1 | 24,7 | 19,3 | 15,6 | 12,5 | 10,0 | |
| CRQ |
| 114 | 91,0 | 72,7 | 57,5 | 45,2 | 36,0 | 28,4 | 22,2 | 17,7 | 14,0 | 10,8 | 8,5 | 6,7 | 5,2 | |
| 0,160 | PRQ |
| * | 149 | 118 | 92,0 | 72,6 | 57,4 | 44,7 | 35,0 | 28,6 | 22,4 | 17,3 | 14,2 | 11,1 | 9,1 |
| lớn nhất |
| * | 153 | 123 | 97,2 | 77,1 | 61,6 | 48,6 | 38,4 | 31,1 | 24,7 | 19,3 | 15,6 | 12,5 | 10,0 | |
| CRQ |
| * | 91,0 | 72,7 | 57,5 | 45,2 | 36,0 | 28,4 | 22,2 | 17,7 | 14,0 | 10,8 | 8,5 | 6,7 | 5,2 | |
| 0,2 | PRQ |
| * | * | 119 | 93,0 | 73,3 | 58,0 | 45,0 | 35,3 | 28,8 | 22,5 | 17,4 | 14,2 | 11,1 | 9,1 |
| lớn nhất |
| * | * | 123 | 97,2 | 77,1 | 61,5 | 48,6 | 38,4 | 31,1 | 24,7 | 19,3 | 15,6 | 12,5 | 10,0 | |
| CRQ |
| * | * | 72,7 | 57,5 | 45,2 | 36,0 | 28,4 | 22,2 | 17,7 | 14,0 | 10,8 | 8,5 | 6,7 | 5,2 | |
| 0,25 | PRQ |
| * | * | * | 94,2 | 74,1 | 58,5 | 45,4 | 35,6 | 28,9 | 22,7 | 17,4 | 14,3 | 11,2 | 9,1 |
| lớn nhất |
| * | * | * | 97,2 | 77,1 | 61,6 | 48,6 | 38,4 | 31,1 | 24,7 | 19,3 | 15,6 | 12,5 | 10,0 | |
| CRQ |
| * | * | * | 57,5 | 45,2 | 36,0 | 28,4 | 22,2 | 17,7 | 14,0 | 10,8 | 8,5 | 6,7 | 5,2 | |
| 0,315 | PRQ |
| * | * | * | * | 74,9 | 59,2 | 45,9 | 35,9 | 29,1 | 22,8 | 17,5 | 14,3 | 11,2 | 9,1 |
| lớn nhất |
| * | * | * | * | 77,1 | 61,6 | 48,6 | 38,4 | 31,1 | 24,7 | 19,3 | 15,6 | 12,5 | 10,0 | |
| CRQ |
| * | * | * | * | 45,2 | 36,0 | 28,4 | 22,2 | 17,7 | 14,0 | 10,8 | 8,5 | 6,7 | 5,2 | |
| 0,4 | PRQ |
| * | * | * | * | * | 59,9 | 46,5 | 36,3 | 29,4 | 23,0 | 17,7 | 14,4 | 11,3 | 9,2 |
| lớn nhất |
| * | * | * | * | * | 61,6 | 48,6 | 38,4 | 31,1 | 24,7 | 19,3 | 15,6 | 12,5 | 10,0 | |
| CRQ |
| * | * | * | * | * | 36,0 | 28,4 | 22,2 | 17,7 | 14,0 | 10,8 | 8,5 | 6,7 | 5,2 | |
| 0,5 | PRQ |
| * | * | * | * | * | * | 47,1 | 36,7 | 29,7 | 23,2 | 17,8 | 14,5 | 11,4 | 9,2 |
| lớn nhất |
| * | * | * | * | * | * | 48,6 | 38,4 | 31,1 | 24,7 | 19,3 | 15,6 | 12,5 | 10,0 | |
| CRQ |
| * | * | * | * | * | * | 28,4 | 22,2 | 17,7 | 14,0 | 10,8 | 8,5 | 6,7 | 5,2 | |
| 0,63 | PRQ |
| * | * | * | * | * | * | * | 37,2 | 30,0 | 23,4 | 18,0 | 14,6 | 11,4 | 9,3 |
| lớn nhất |
| * | * | * | * | * | * | * | 38,4 | 31,1 | 24,7 | 19,3 | 15,6 | 12,5 | 10,0 | |
| CRQ |
| * | * | * | * | * | * | * | 22,2 | 17,7 | 14,0 | 10,8 | 8,5 | 6,7 | 5,2 | |
| 0,8 | PRQ |
| * | * | * | * | * | * | * | * | 30,3 | 23,7 | 18,2 | 14,8 | 11,5 | 9,3 |
| lớn nhất |
| * | * | * | * | * | * | * | * | 31,1 | 24,7 | 19,3 | 15,6 | 12,5 | 10,0 | |
| CRQ |
| * | * | * | * | * | * | * | * | 17,7 | 14,0 | 10,8 | 8,5 | 6,7 | 5,2 | |
| 1,0 | PRQ |
| * | * | * | * | * | * | * | * | * | 24,0 | 18,4 | 14,9 | 11,6 | 9,4 |
| lớn nhất |
| * | * | * | * | * | * | * | * | * | 24,7 | 19,3 | 15,6 | 12,5 | 10,0 | |
| CRQ |
| * | * | * | * | * | * | * | * | * | 14,0 | 10,8 | 8,5 | 6,7 | 5,2 | |
| 1,25 | PRQ |
| * | * | * | * | * | * | * | * | * | * | 18,7 | 15,1 | 11,8 | 9,5 |
| lớn nhất |
| * | * | * | * | * | * | * | * | * | * | 19,3 | 15,6 | 12,5 | 10,0 | |
| CRQ |
| * | * | * | * | * | * | * | * | * | * | 10,8 | 8,5 | 6,7 | 5,2 | |
| 1,6 | PRQ |
| * | * | * | * | * | * | * | * | * | * | * | 15,2 | 11,9 | 9,6 |
| lớn nhất |
| * | * | * | * | * | * | * | * | * | * | * | 15,6 | 12,5 | 10,0 | |
| CRQ |
| * | * | * | * | * | * | * | * | * | * | * | 8,5 | 6,7 | 5,2 | |
| 2,0 | PRQ |
| * | * | * | * | * | * | * | * | * | * | * | * | 12,1 | 9,7 |
| lớn nhất |
| * | * | * | * | * | * | * | * | * | * | * | * | 12,5 | 10,0 | |
| CRQ |
| * | * | * | * | * | * | * | * | * | * | * | * | 6,7 | 5,2 | |
| 2,5 | PRQ |
| * | * | * | * | * | * | * | * | * | * | * | * | * | 9,8 |
| lớn nhất |
| * | * | * | * | * | * | * | * | * | * | * | * | * | 10,0 | |
| CRQ |
| * | * | * | * | * | * | * | * | * | * | * | * | * | 5,2 | |
| CHÚ THÍCH: Ô có dấu sao chỉ ra là không có phương án lấy mẫu hai lần có dạng (n, 0, 2; m, 1, 2) với α ≤ 5 % và β ≤ 10 % không tồn tại đối với sự kết hợp của chất lượng ứng với rủi ro của nhà sản xuất và chất lượng ứng với rủi ro của người tiêu dùng; xem xét giảm PRQ hoặc tăng CRQ, hoặc cả hai. | ||||||||||||||||
Bảng 30 - Cỡ mẫu trung bình (ASSI) đối với các phương án dùng cho sự không phù hợp: kiểm tra rút ngắn với α ≤ 10 % và β ≤ 10 %
| PRQ (%) | AOQ ở: | Chất lượng ứng với rủi ro của người tiêu dùng (%) | ||||||||||||||||
| 0,8 | 1,0 | 1,25 | 1,6 | 2,0 | 2,5 | 3,15 | 4,0 | 5,0 | 6,3 | 8,0 | 10,0 | 12,5 | 16,0 | 20,0 | 25,0 | 31,5 | ||
| 0,1 | PRQ | 378 | 299 | 237 | 182 | 145 | 115 | 90,0 | 71,4 | 56,6 | 44,1 | 34,7 | 28,4 | 22,3 | 17,2 | 14,1 | 11,1 | 9,0 |
| lớn nhất | 381 | 305 | 245 | 191 | 153 | 123 | 97,2 | 77,1 | 61,6 | 48,6 | 38,4 | 31,1 | 24,7 | 19,3 | 15,6 | 12,5 | 10,0 | |
| CRQ | 228 | 183 | 146 | 114 | 91,0 | 72,7 | 57,5 | 45,2 | 36,0 | 28,4 | 22,2 | 17,7 | 14,0 | 10,8 | 8,5 | 6,7 | 5,2 | |
| 0,125 | PRQ | * | 302 | 240 | 184 | 147 | 116 | 90,9 | 71,9 | 57,0 | 44,3 | 34,8 | 28,5 | 22,3 | 17,2 | 14,1 | 11,1 | 9,1 |
| lớn nhất | * | 305 | 245 | 191 | 153 | 123 | 97,2 | 77,1 | 61,6 | 48,6 | 38,4 | 31,1 | 24,7 | 19,3 | 15,6 | 12,5 | 10,0 | |
| CRQ | * | 183 | 146 | 114 | 91,0 | 72,7 | 57,5 | 45,2 | 36,0 | 28,4 | 22,2 | 17,7 | 14,0 | 10,8 | 8,5 | 6,7 | 5,2 | |
| 0,160 | PRQ | * | * | 242 | 187 | 149 | 118 | 92,0 | 72,6 | 57,4 | 44,7 | 35,0 | 28,6 | 22,4 | 17,3 | 14,2 | 11,1 | 9,1 |
| lớn nhất | * | * | 245 | 191 | 153 | 123 | 97,2 | 77,1 | 61,6 | 48,6 | 38,4 | 31,1 | 24,7 | 19,3 | 15,6 | 12,5 | 10,0 | |
| CRQ | * | * | 146 | 114 | 91,0 | 72,7 | 57,5 | 45,2 | 36,0 | 28,4 | 22,2 | 17,7 | 14,0 | 10,8 | 8,5 | 6,7 | 5,2 | |
| 0,2 | PRQ | * | * | * | 189 | 150 | 119 | 93,0 | 73,3 | 58,0 | 45,0 | 35,3 | 28,8 | 22,5 | 17,4 | 14,2 | 11,1 | 9,1 |
| lớn nhất | * | * | * | 191 | 153 | 123 | 97,2 | 77,1 | 61,6 | 48,6 | 38,4 | 31,1 | 24,7 | 19,3 | 15,6 | 12,5 | 10,0 | |
| CRQ | * | * | * | 114 | 91,0 | 72,7 | 57,5 | 45,2 | 36,0 | 28,4 | 22,2 | 17,7 | 14,0 | 10,8 | 8,5 | 6,7 | 5,2 | |
| 0,25 | PRQ | * | * | * | * | 152 | 120 | 94,2 | 741 | 58,5 | 45,4 | 35,6 | 28,9 | 22,7 | 17,4 | 14,3 | 11,2 | 9,1 |
| lớn nhất | * | * | * | * | 153 | 123 | 97,2 | 77,1 | 61,6 | 48,6 | 38,4 | 31,1 | 24,7 | 19,3 | 15,6 | 12,5 | 10,0 | |
| CRQ | * | * | * | * | 91,0 | 72,7 | 57,5 | 45,2 | 36,0 | 28,4 | 22,2 | 17,7 | 14,0 | 10,8 | 8,5 | 6,7 | 5,2 | |
| 0,315 | PRQ | * | * | * | * | * | 122 | 95,3 | 74,9 | 59,2 | 45,9 | 35,9 | 29,1 | 22,8 | 17,5 | 14,3 | 11,2 | 9,1 |
| lớn nhất | * | * | * | * | * | 123 | 97,2 | 77,1 | 61,6 | 48,6 | 38,4 | 31,1 | 24,7 | 19,3 | 15,6 | 12,5 | 10,0 | |
| CRQ | * | * | * | * | * | 72,7 | 57,5 | 45,2 | 36,0 | 28,4 | 22,2 | 17,7 | 14,0 | 10,8 | 8,5 | 6,7 | 5,2 | |
| 0,4 | PRQ | * | * | * | * | * | * | 96,4 | 75,8 | 59,9 | 46,5 | 36,3 | 29,4 | 23,0 | 17,7 | 14,4 | 11,3 | 9,2 |
| lớn nhất | * | * | * | * | * | * | 97,2 | 77,1 | 61,6 | 48,6 | 38,4 | 31,1 | 24,7 | 19,3 | 15,6 | 12,5 | 10,0 | |
| CRQ | * | * | * | * | * | * | 57,5 | 45,2 | 36,0 | 28,4 | 22,2 | 17,7 | 14,0 | 10,8 | 8,5 | 6,7 | 5,2 | |
| 0,5 | PRQ | * | * | * | * | * | * | * | 76,5 | 60,6 | 47,1 | 36,7 | 29,7 | 23,2 | 17,8 | 14,5 | 11,4 | 9,2 |
| lớn nhất | * | * | * | * | * | * | * | 77,1 | 61,6 | 48,6 | 38,4 | 31,1 | 24,7 | 19,3 | 15,6 | 12,5 | 10,0 | |
| CRQ | * | * | * | * | * | * | * | 45,2 | 36,0 | 28,4 | 22,2 | 17,7 | 14,0 | 10,8 | 8,5 | 6,7 | 5,2 | |
| 0,63 | PRQ | * | * | * | * | * | * | * | * | 61,2 | 47,7 | 37,2 | 30,0 | 23,4 | 18,0 | 14,6 | 11,4 | 9,3 |
| lớn nhất | * | * | * | * | * | * | * | * | 61,6 | 48,6 | 38,4 | 31,1 | 24,7 | 19,3 | 15,6 | 12,5 | 10,0 | |
| CRQ | * | * | * | * | * | * | * | * | 36,0 | 28,4 | 22,2 | 17,7 | 14,0 | 10,8 | 8,5 | 6,7 | 5,2 | |
| 0,8 | PRQ | * | * | * | * | * | * | * | * | * | 48,2 | 37,6 | 30,3 | 23,7 | 18,2 | 14,8 | 11,5 | 9,3 |
| lớn nhất | * | * | * | * | * | * | * | * | * | 48,6 | 38,4 | 31,1 | 24,7 | 19,3 | 15,6 | 12,5 | 10,0 | |
| CRQ | * | * | * | * | * | * | * | * | * | 28,4 | 22,2 | 17,7 | 14,0 | 10,8 | 8,5 | 6,7 | 5,2 | |
| 1,0 | PRQ | * | * | * | * | * | * | * | * | * | * | 38,0 | 30,6 | 24,0 | 18,4 | 14,9 | 11,6 | 9,4 |
| lớn nhất | * | * | * | * | * | * | * | * | * | * | 38,4 | 31,1 | 24,7 | 19,3 | 15,6 | 12,5 | 10,0 | |
| CRQ | * | * | * | * | * | * | * | * | * | * | 22,2 | 17,7 | 14,0 | 10,8 | 8,5 | 6,7 | 5,2 | |
| 1,25 | PRQ | * | * | * | * | * | * | * | * | * | * | * | 30,9 | 24,3 | 18,7 | 15,1 | 11,8 | 9,5 |
| lớn nhất | * | * | * | * | * | * | * | * | * | * | * | 31,1 | 24,7 | 19,3 | 15,6 | 12,5 | 10,0 | |
| CRQ | * | * | * | * | * | * | * | * | * | * | * | 17,7 | 14,0 | 10,8 | 8,5 | 6,7 | 5,2 | |
| 1,6 | PRQ | * | * | * | * | * | * | * | * | * | * | * | * | 24,5 | 18,9 | 15,2 | 11,9 | 9,6 |
| lớn nhất | * | * | * | * | * | * | * | * | * | * | * | * | 24,7 | 19,3 | 15,6 | 12,5 | 10,0 | |
| CRQ | * | * | * | * | * | * | * | * | * | * | * | * | 14,0 | 10,8 | 8,5 | 6,7 | 5,2 | |
| 2,0 | PRQ | * | * | * | * | * | * | * | * | * | * | * | * | * | 19,1 | 15,4 | 12,1 | 9,7 |
| lớn nhất | * | * | * | * | * | * | * | * | * | * | * | * | * | 19,3 | 15,6 | 12,5 | 10,0 | |
| CRQ | * | * | * | * | * | * | * | * | * | * | * | * | * | 10,8 | 8,5 | 6,7 | 5,2 | |
| 2,5 | PRQ | * | * | * | * | * | * | * | * | * | * | * | * | * | * | 15,6 | 12,2 | 9,8 |
| lớn nhất | * | * | * | * | * | * | * | * | * | * | * | * | * | * | 15,6 | 12,5 | 10,0 | |
| CRQ | * | * | * | * | * | * | * | * | * | * | * | * | * | * | 8,5 | 6,7 | 5,2 | |
| 3,15 | PRQ | * | * | * | * | * | * | * | * | * | * | * | * | * | * | * | 12,4 | 9,9 |
| lớn nhất | * | * | * | * | * | * | * | * | * | * | * | * | * | * | * | 12,5 | 10,0 | |
| CRQ | * | * | * | * | * | * | * | * | * | * | * | * | * | * | * | 6,7 | 5,2 | |
| 4,0 | PRQ | * | * | * | * | * | * | * | * | * | * | * | * | * | * | * | * | 10,0 |
| lớn nhất | * | * | * | * | * | * | * | * | * | * | * | * | * | * | * | * | 10,0 | |
| CRQ | * | * | * | * | * | * | * | * | * | * | * | * | * | * | * | * | 5,2 | |
| CHÚ THÍCH: Ô có dấu sao chỉ ra là không có phương án lấy mẫu hai lần có dạng (n, 0, 2; m, 1, 2) với α ≤ 10 % và β ≤ 10 % đối với sự kết hợp của chất lượng ứng với rủi ro của nhà sản xuất và chất lượng ứng với rủi ro của người tiêu dùng; xem xét giảm PRQ hoặc tăng CRQ, hoặc cả hai. | ||||||||||||||||||

CHÚ DẪN:
X chất lượng đầu vào tính bằng phần trăm cá thể không phù hợp
Y xác suất chấp nhận
Hình 1 - Đường đặc trưng hiệu quả đối với các phương án dùng cho cá thể không phù hợp:
α ≤ 5 % và β ≤ 5 %

CHÚ DẪN:
X chất lượng đầu vào tính bằng phần trăm cá thể không phù hợp
Y xác suất chấp nhận
Hình 2 - Đường đặc trưng hiệu quả đối với các phương án dùng cho cá thể không phù hợp:
α ≤ 5 % và β ≤ 10 %

CHÚ DẪN:
X chất lượng đầu vào tính theo số không phù hợp trên 100 cá thể
Y xác suất chấp nhận
Hình 3 - Đường đặc trưng hiệu quả đối với các phương án dùng cho cá thể không phù hợp:
α ≤ 10 % và β ≤ 10 %

CHÚ DẪN:
X chất lượng đầu vào tính theo số không phù hợp trên 100 cá thể
Y xác suất chấp nhận
Hình 4 - Đường đặc trưng hiệu quả đối với các phương án dùng cho sự không phù hợp:
α ≤ 5 % và β ≤ 5 %

CHÚ DẪN:
X chất lượng đầu vào tính theo số không phù hợp trên 100 cá thể
Y xác suất chấp nhận
Hình 5-Đường đặc trưng hiệu quả đối với các phương án dùng cho sự không phù hợp:
α ≤ 5 % và β ≤ 10 %

CHÚ DẪN:
X chất lượng đầu vào tính theo số không phù hợp trên 100 cá thể
Y xác suất chấp nhận
Hình 6 - Đường đặc trưng hiệu quả đối với các phương án dùng cho sự không phù hợp:
α ≤ 10 % và β ≤ 10 %

CHÚ DẪN:
X chất lượng đầu vào tính theo phần trăm cá thể không phù hợp
Y cỡ mẫu trung bình
Hình 7 - Đường cỡ mẫu trung bình đối với các phương án dùng cho cá thể không phù hợp: kiểm tra không rút ngắn với α ≤ 5 % và β ≤ 5 %

CHÚ DẪN:
X chất lượng đầu vào tính theo phần trăm cá thể không phù hợp
Y cỡ mẫu trung bình
Hình 8 - Đường cỡ mẫu trung bình đối với các phương án dùng cho cá thể không phù hợp: kiểm tra không rút ngắn với α ≤ 5 % và β ≤ 10 %

CHÚ DẪN:
X chất lượng đầu vào tính theo phần trăm cá thể không phù hợp
Y cỡ mẫu trung bình
Hình 9 - Đường cỡ mẫu trung bình đối với các phương án dùng cho cá thể không phù hợp: kiểm tra không rút ngắn với α ≤ 10 % và β ≤ 10 %

CHÚ DẪN:
X chất lượng đầu vào tính theo số không phù hợp trên 100 cá thể
Y cỡ mẫu trung bình
Hình 10 - Đường cỡ mẫu trung bình đối với các phương án dùng cho sự không phù hợp: kiểm tra không rút ngắn với α ≤ 5 % và β ≤ 5 %

CHÚ DẪN:
X chất lượng đầu vào tính theo số không phù hợp trên 100 cá thể
Y cỡ mẫu trung bình
Hình 11 - Đường cỡ mẫu trung bình đối với các phương án dùng cho sự không phù hợp: kiểm tra không rút ngắn với α ≤ 5 % và β ≤ 10 %

CHÚ DẪN:
X chất lượng đầu vào tính theo số không phù hợp trên 100 cá thể
Y cỡ mẫu trung bình
Hình 12 - Đường cỡ mẫu trung bình đối với các phương án dùng cho sự không phù hợp: kiểm tra không rút ngắn với α ≤ 10 % và β ≤ 10 %

CHÚ DẪN:
X chất lượng đầu vào tính theo phần trăm cá thể không phù hợp
Y chất lượng đầu ra trung bình tính theo phần trăm cá thể không phù hợp
Hình 13 - Chất lượng đầu ra trung bình đối với các phương án dùng cho cá thể không phù hợp:
α, β ≤ 5 %

CHÚ DẪN:
X chất lượng đầu vào tính theo phần trăm cá thể không phù hợp
Y chất lượng đầu ra trung bình tính theo phần trăm cá thể không phù hợp
Hình 14 - Đường chất lượng đầu ra trung bình đối với các phương án dùng cho cá thể không phù hợp: α ≤ 5 % và β ≤ 10 %

CHÚ DẪN:
X chất lượng đầu vào tính theo phần trăm cá thể không phù hợp
Y chất lượng đầu ra trung bình tính theo phần trăm cá thể không phù hợp
Hình 15 - Đường chất lượng đầu ra trung bình đối với các phương án dùng cho cá thể không phù hợp: α ≤ 10 % và β ≤ 10 %

CHÚ DẪN:
X chất lượng đầu vào tính theo số không phù hợp trên 100 cá thể
Y chất lượng đầu ra trung bình tính theo số không phù hợp trên 100 cá thể
Hình 16 - Đường chất lượng đầu ra trung bình đối với các phương án dùng cho sự không phù hợp: α ≤ 5 % và β ≤ 5 %

CHÚ DẪN:
X chất lượng đầu vào tính theo số không phù hợp trên 100 cá thể
Y chất lượng đầu ra trung bình tính theo số không phù hợp trên 100 cá thể
Hình 17 - Đường chất lượng đầu ra trung bình đối với các phương án dùng cho số không phù hợp: α ≤ 5% và β ≤ 10%

CHÚ DẪN:
X chất lượng đầu vào tính theo số không phù hợp trên 100 cá thể
Y chất lượng đầu ra trung bình tính theo số không phù hợp trên 100 cá thể
Hình 18 - Đường chất lượng đầu ra trung bình đối với các phương án dùng cho số không phù hợp: α ≤ 10 % và β ≤ 10 %

CHÚ DẪN:
X chất lượng đầu vào tính theo phần trăm cá thể không phù hợp
Y cỡ mẫu trung bình
Hình 19 - Đường cỡ mẫu trung bình đối với các phương án dùng cho cá thể không phù hợp: kiểm tra rút ngắn với α ≤ 5 % và β ≤ 5 %

CHÚ DẪN:
X chất lượng đầu vào tính theo phần trăm cá thể không phù hợp
Y cỡ mẫu trung bình
Hình 20 - Đường cỡ mẫu trung bình đối với các phương án dùng cho cá thể không phù hợp: kiểm tra rút ngắn với α ≤ 5 % và β ≤ 10 %

CHÚ DẪN:
X chất lượng đầu vào tính theo phần trăm cá thể không phù hợp
Y cỡ mẫu trung bình
Hình 21 - Đường cỡ mẫu trung bình đối với các phương án dùng cho cá thể không phù hợp: kiểm tra rút ngắn với α ≤ 10 % và β ≤ 10 %

CHÚ DẪN:
X chất lượng đầu vào tính theo số không phù hợp trên 100 cá thể
Y cỡ mẫu trung bình
Hình 22 - Đường cỡ mẫu trung bình đối với các phương án dùng cho số không phù hợp: kiểm tra rút ngắn với α ≤ 5 % và β ≤ 5 %

CHÚ DẪN:
X chất lượng đầu vào tính theo số không phù hợp trên 100 cá thể
Y cỡ mẫu trung bình
Hình 23 - Đường cỡ mẫu trung bình đối với các phương án dùng cho số không phù hợp: kiểm tra rút ngắn với α ≤ 5 % và β ≤ 10 %

CHÚ DẪN:
X chất lượng đầu vào tính theo số không phù hợp trên 100 cá thể
Y cỡ mẫu trung bình
Hình 24 - Đường cỡ mẫu trung bình đối với các phương án dùng cho số không phù hợp: kiểm tra rút ngắn với α ≤ 10 % và β ≤ 10 %
Phụ lục A
(tham khảo)
Lý thuyết thống kê làm cơ sở cho các phương án, bảng và hình vẽ
A.1 Lấy mẫu đối với phần trăm cá thể không phù hợp
A.1.1 Ký hiệu
α rủi ro của nhà sản xuất, bằng 1 - Pa (n, m, p1)
α0 rủi ro của nhà sản xuất danh nghĩa
β rủi ro của người tiêu dùng, bằng Pa (n, m, p2)
β0 rủi ro của người tiêu dùng danh nghĩa
d số cá thể không phù hợp (sự không phù hợp) trong mẫu đầu tiên
n* cỡ mẫu trung bình
n* max cỡ mẫu trung bình lớn nhất đối với p
p mức chất lượng quá trình, là tỷ lệ cá thể không phù hợp trong quá trình mà từ đó lô được tạo ra
p1 chất lượng ứng với rủi ro của nhà sản xuất (PRQ)
p2 chất lượng ứng với rủi ro của người tiêu dùng (CRQ)
P(d, n, p) xác suất để có d cá thể không phù hợp trong mẫu có cỡ n khi tỷ lệ không phù hợp của quá trình là p
Pa (n, m, p) xác suất chấp nhận khi cỡ mẫu đầu tiên là n, cỡ mẫu thứ hai là m và tỷ lệ không phù hợp của quá trình là p
q tỷ lệ cá thể phù hợp trong quá trình từ đó lô được tạo ra, nghĩa là q = 1 - p
r số cá thể không phù hợp (sự không phù hợp) trong mẫu thứ hai
A.1.2 Triển khai phương án
Cỡ mẫu n và m được xác định từ Bảng 1, 2 hoặc 3, phụ thuộc vào việc rủi ro của nhà sản xuất và rủi ro của người tiêu dùng có được kiểm soát để không vượt quá 5 % và 5 %, 5 % và 10 % hoặc 10 % và 10 % tương ứng, hay không. Mẫu ngẫu nhiên có cỡ n được lấy từ lô và số cá thể không phù hợp d trong mẫu được xác định. Lô được chấp nhận nếu d = 0 và không được chấp nhận nếu d = 2 hoặc lớn hơn. Nếu d = 1, mẫu ngẫu nhiên thứ hai có cỡ m được lấy và số cá thể không phù hợp r trong mẫu được xác định. Nếu r = 0 thì lô được chấp nhận, nếu khác không thì lô không được chấp nhận.
A.1.3 Đặc trưng hiệu quả
Lô được chấp nhận nếu
- không có cá thể không phù hợp nào được tìm thấy trong mẫu đầu tiên, hoặc
- một cá thể không phù hợp được tìm thấy trong mẫu đầu tiên, nhưng không có trong mẫu thứ hai.
Do đó, xác suất lô được chấp nhận là
Pa (n, m, p) = P (0, n, p) + P (1, n, p) P (0, m, p)
= (1 -p)n + np(1 - p)n-1(1 - p)m
= (1 - p)n [1 + np(1 - p)m-1]
A.1.4 Cỡ mẫu trung bình
A.1.4.1 Kiểm tra không rút ngắn
Mẫu thứ hai chỉ được yêu cầu nếu một cá thể không phù hợp được tìm thấy trong mẫu đầu tiên. Ký hiệu cỡ mẫu trung bình là n*, nếu toàn bộ mẫu bất kỳ được kiểm tra, theo đó
n* = n + mP(1, n, p)
= n + nmp(1 - p)n - 1
Khi p tăng từ 0 lên 1, cỡ mẫu trung bình trong kiểm tra không rút ngắn lúc đầu tăng từ giá trị n và sau đó giảm trở lại giá trị n.
A.1.4.2 Kiểm tra rút ngắn
Nếu kiểm tra kết thúc ngay khi cá thể không phù hợp thứ hai được tìm thấy trong mẫu đầu tiên, hoặc ngay khi cá thể không phù hợp được tìm thấy trong mẫu thứ hai bất cứ khi nào tìm thấy chính xác một cá thể không phù hợp trong mẫu đầu tiên, thì cỡ mẫu trung bình ở tỷ lệ không phù hợp p là
(cá thể không phù hợp thứ hai được tìm thấy ở đơn vị thứ i) + n.P (không có cá thể không phù hợp nào được tìm thấy trong đơn vị n đầu tiên)
+ P (1 cá thể không phù hợp trong đơn vị n đầu tiên)
(cá thể không phù hợp đầu tiên trong mẫu thứ hai xuất hiện ở đơn vị thứ j) + (n + m)P (không có cá thể không phù hợp nào được tìm thấy trong mẫu thứ hai)

Điều này có thể được đơn giản hóa bằng cách sử dụng các kết quả dưới đây liên quan đến chuỗi hình học:

Do đó,

sau khi đơn giản hóa.
Khi p tăng từ 0 lên 1, nghĩa là khi q giảm từ một xuống không, cỡ mẫu trung bình trong kiểm tra rút ngắn lúc đầu tăng từ giá trị n và sau đó giảm trở lại giá trị 2.
A.1.5 Cỡ mẫu trung bình lớn nhất không rút ngắn kiểm tra
Lấy đạo hàm cỡ mẫu trung bình n* đối với p đưa ra

bằng không khi p =1/n. Đạo hàm n* lần hai,

khi p =1/n, nhỏ hơn không. Do đó n* đạt mức lớn nhất ở p = 1/n. Mức lớn nhất này là

Phương án đối với cá thể không phù hợp cung cấp trong tiêu chuẩn này tối thiểu hóa
đối với n và m chịu rủi ro của nhà sản xuất và rủi ro của người tiêu dùng α và β không vượt quá giá trị danh nghĩa (α0 và β0 tương ứng, nghĩa là chịu

A.1.6 Giới hạn chất lượng đầu ra trung bình (AOQL)
Nếu tất cả các lô không đạt chuẩn mực chấp nhận được kiểm tra 100 % với tất cả các cá thể không phù hợp được thay thế bằng cá thể phù hợp, thì chất lượng đầu ra trung bình (AOQ) là xấp xỉ
![]()
AOQL là mức lớn nhất của AOQ đối với p.
A.2 Lấy mẫu đối với số không phù hợp trên 100 cá thể
A.2.1 Ký hiệu sửa đổi
p chất lượng quá trình, là số không phù hợp trung bình trên cá thể trong quá trình mà từ đó lô được tạo ra
P(d,n,p) xác suất để có d cá thể không phù hợp trong mẫu cỡ n khi số không phù hợp trung bình trên cá thể của quá trình là p
Pa(n,m,p) xác suất chấp nhận khi cỡ mẫu đầu tiên là n, cỡ mẫu thứ hai là m và số không phù hợp trung bình trên cá thể của quá trình là p
A.2.2 Triển khai phương án
Cỡ mẫu n và m được xác định từ Bảng 4, 5 hoặc 6 tùy thuộc vào việc rủi ro của nhà sản xuất và rủi ro của người tiêu dùng có được kiểm soát để không vượt quá 5 % và 5 %, 5 % và 10 % hoặc 10 % và 10 % tương ứng hay không. Mẫu ngẫu nhiên có cỡ n được lấy từ lô và số không phù hợp d trong mẫu được xác định. Lô được chấp nhận nếu d = 0 và không được chấp nhận nếu d = 2 hoặc lớn hơn. Nếu d = 1, mẫu ngẫu nhiên thứ hai có cỡ m được lấy và số không phù hợp r trong mẫu này được xác định. Nếu r = 0 lô được chấp nhận, nếu khác không thì lô không được chấp nhận.
A.2.3 Đường đặc trưng hiệu quả
Lô được chấp nhận nếu
- không có sự không sự phù hợp nào được tìm thấy trong mẫu đầu tiên, hoặc
- một sự không phù hợp được tìm thấy trong mẫu đầu tiên, nhưng không có trong mẫu thứ hai.
Do đó, xác suất lô được chấp nhận là

A.2.4 Cỡ mẫu trung bình
A.2.4.1 Kiểm tra không rút ngắn
Mẫu thứ hai chỉ được yêu cầu nếu một sự không phù hợp được tìm thấy trong mẫu đầu tiên. Ký hiệu cỡ mẫu trung bình bằng n*, theo đó

Khi p tăng từ 0 đến ∞, cỡ mẫu trung bình trong kiểm tra không rút ngắn lúc đầu tăng từ giá trị n và sau đó giảm trở lại giá trị n.
A.2.4.2 Kiểm tra rút ngắn
Cỡ mẫu trung bình trong kiểm tra rút ngắn là
(sự không phù hợp thứ hai được tìm thấy ở đơn vị thứ i) + n.P (không có sự không phù hợp nào được tìm thấy trong đơn vị n đầu tiên)
+ P (một sự không phù hợp trong đơn vị n đầu tiên)
(sự không phù hợp đầu tiên trong mẫu thứ hai xuất hiện ở đơn vị thứ j)+ (n + m)P (không có sự không phù hợp nào được tìm thấy trong mẫu thứ hai]

Công thức này có thể được thể hiện dưới dạng đóng bằng cách sử dụng các kết quả dưới đây:


Khi p tăng từ 0 đến ∞, cỡ mẫu trung bình trong kiểm tra rút ngắn lúc đầu tăng từ giá trị n và sau đó giảm trở lại giá trị 1.
A.2.5 Cỡ mẫu trung bình lớn nhất không rút ngắn kiểm tra
Tính đạo hàm cỡ mẫu trung bình n* mà không rút ngắn đối với p,

bằng không khi p =1/n. Tính đạo hàm n* lần thứ hai,

khi p =1/n nhỏ hơn 0. Do đó, n* đạt mức lớn nhất tại p =1/n. Mức lớn nhất này là
![]()
Phương án đối với sự không phù hợp nêu trong tiêu chuẩn là các phương án giảm thiểu n* đối với n và m chịu rủi ro của nhà sản xuất và rủi ro của người tiêu dùng α và β không vượt quá giá trị danh nghĩa α0 và β0 tương ứng, nghĩa là chịu
α = 1 - Pa(n, m, p1) = 1 - exp(-np1) - np1 exp [-(n+m)p1] ≤ α0
và
β = Pa(n, m, p2) - exp(-np2) + np2 exp[-(n+m)p2] ≤ β0
A.2.6 Giới hạn chất lượng đầu ra trung bình (AOQL)
Nếu lô hoặc các lô không đạt chuẩn mực chấp nhận được kiểm tra 100 % và tất cả các cá thể không phù hợp được thay thế bằng cá thể phù hợp, chất lượng đầu ra trung bình (AOQ) là xấp xỉ
pPa (n, m, p) = pexp(-np) [1 + npexp(-mp)]
Đạo hàm của AOQ đối với p là
Do đạo hàm này dương khi p =1/n và âm khi p =1/(n + m) và do n vượt quá m đối với tất cả phương án được cho trong tiêu chuẩn này, nên theo đó AOQ lớn nhất xảy ra ở giá trị p trong khoảng [1/n, 2/(n + m)]. Do đó mức lớn nhất có thể được tìm thấy bằng cách tìm trong khoảng hẹp này.
Thư mục tài liệu tham khảo
[1] TCVN 7790-1:2007 (ISO 2859-1:1999), Qui trình lấy mẫu để kiểm tra định tính - Phần 1: Chương trình lấy mẫu được xác định theo giới hạn chất lượng chấp nhận (AQL) để kiểm tra từng lô
[2] TCVN 8244-2:2010 (ISO 3534-2:2006), Thống kê học - Từ vựng và ký hiệu - Phần 2: Thống kê ứng dụng
[3] TCVN ISO 9000:2015 (ISO 9000:2015), Hệ thống quản lý chất lượng - Cơ sở và từ vựng
MỤC LỤC
Lời nói đầu
Lời giới thiệu
1 Phạm vi áp dụng
2 Tài liệu viện dẫn
3 Thuật ngữ, định nghĩa, chữ viết tắt và ký hiệu
3.1 Thuật ngữ, định nghĩa và chữ viết tắt
3.2 Ký hiệu
4 Chọn và triển khai phương án lấy mẫu
4.1 Chọn phương án
4.2 Triển khai phương án đối với cá thể không phù hợp
4.3 Triển khai phương án đối với sự không phù hợp
4.4 Ký hiệu
5 Đường đặc trưng hiệu quả
6 Cỡ mẫu trung bình
6.1 Kiểm tra rút ngắn
6.2 Cỡ mẫu trung bình (ASSI) đối với kiểm tra không rút ngắn
6.3 Cỡ mẫu trung bình (ASSI) đối với kiểm tra rút ngắn
7 Rủi ro của nhà sản xuất và người tiêu dùng thực tế
8 Chất lượng đầu ra trung bình (AOQ)
9 Ví dụ
9.1 Ví dụ phương án lấy mẫu đối với cá thể không phù hợp
9.2 Ví dụ phương án lấy mẫu đối với sự không phù hợp
10 Bảng và hình
Phụ lục A (tham khảo) Lý thuyết thống kê làm cơ sở cho các phương án, bảng và hình vẽ
Thư mục tài liệu tham khảo
Bạn chưa Đăng nhập thành viên.
Đây là tiện ích dành cho tài khoản thành viên. Vui lòng Đăng nhập để xem chi tiết. Nếu chưa có tài khoản, vui lòng Đăng ký tại đây!