- Tổng quan
- Nội dung
- Tiêu chuẩn liên quan
- Lược đồ
- Tải về
Tiêu chuẩn quốc gia TCVN 13470-1:2022 Hiệu quả năng lượng của tòa nhà-Phần 1: Các khía cạnh chung
| Số hiệu: | TCVN 13470-1:2022 | Loại văn bản: | Tiêu chuẩn Việt Nam |
| Cơ quan ban hành: | Bộ Khoa học và Công nghệ | Lĩnh vực: | Khoa học-Công nghệ |
|
Ngày ban hành:
Ngày ban hành là ngày, tháng, năm văn bản được thông qua hoặc ký ban hành.
|
24/05/2022 |
Hiệu lực:
|
Đã biết
|
| Người ký: | Đang cập nhật |
Tình trạng hiệu lực:
Cho biết trạng thái hiệu lực của văn bản đang tra cứu: Chưa áp dụng, Còn hiệu lực, Hết hiệu lực, Hết hiệu lực 1 phần; Đã sửa đổi, Đính chính hay Không còn phù hợp,...
|
Đã biết
|
TÓM TẮT TIÊU CHUẨN VIỆT NAM TCVN 13470-1:2022
Tiêu chuẩn TCVN 13470-1:2022 ISO 52003-1:2017: Những quy định nổi bật ảnh hưởng đến quản lý và thiết kế tòa nhà
Tiêu chuẩn quốc gia TCVN 13470-1:2022 ISO 52003-1:2017 về Hiệu quả năng lượng của tòa nhà đã được ban hành ngày 30 tháng 12 năm 2022. Tiêu chuẩn này có hiệu lực từ ngày 01 tháng 01 năm 2023 và được ban hành nhằm thay thế các quy định trước đó, đồng thời đồng bộ với tiêu chuẩn quốc tế ISO 52003-1:2017.
TCVN 13470-1:2022 tổ chức các nội dung thành hai phần chính, trong đó phần đầu tiên đề cập đến các khía cạnh chung và áp dụng đối với hiệu quả năng lượng tổng thể của tòa nhà. Quốc gia và các cơ quan liên quan đang căn cứ vào tiêu chuẩn này để đánh giá và quản lý hiệu quả năng lượng trong thiết kế, xây dựng và vận hành các tòa nhà.
Đối tượng sử dụng và ứng dụng của tiêu chuẩn rõ ràng và đa dạng:
Nhà thiết kế và kiến trúc sư: Theo tiêu chuẩn, những đối tượng này cần nắm vững các chỉ số và yêu cầu hiệu suất để thiết kế các tòa nhà tiết kiệm năng lượng và thân thiện với môi trường.
Bên quản lý công và nhà đầu tư: Tiêu chuẩn cung cấp thông tin chi tiết giúp các bên này đưa ra quyết định trong việc đánh giá hiệu suất năng lượng, từ đó tạo điều kiện cho việc phát triển bền vững.
Ủy ban quản lý: Tiêu chuẩn này hỗ trợ các cơ quan quản lý trong việc áp dụng các yêu cầu về hiệu suất năng lượng, hành động cần thực hiện trong bối cảnh hiện đại.
Tiêu chuẩn này phác thảo rõ ràng các yêu cầu và tiêu chuẩn đánh giá hiệu suất năng lượng của tòa nhà, làm nền tảng cho việc gian lận và kiểm tra giấy chứng nhận hiệu quả năng lượng. Bên cạnh đó, các chỉ số hiệu suất không chỉ giúp phân loại tòa nhà mà còn đóng vai trò quan trọng trong việc truyền thông thông tin đến người sử dụng và người tiêu dùng về hiệu quả năng lượng.
Đặc biệt, các chỉ số hiệu suất năng lượng và thành phần của tòa nhà được định nghĩa và phân loại rõ ràng, bao gồm:
Chỉ số hiệu suất năng lượng tổng thể: Là tổng hợp của năng lượng cần thiết để phục vụ cho các yêu cầu sử dụng tòa nhà.
Yêu cầu tối thiểu về hiệu suất năng lượng: Mức tối thiểu cần đạt được để đảm bảo tòa nhà hoạt động hiệu quả, góp phần vào việc bảo vệ môi trường.
Tiêu chuẩn cũng đưa ra hướng dẫn cụ thể cho các nhà thầu trong quy trình thiết kế và xây dựng. Việc áp dụng tiêu chuẩn sẽ tạo cơ sở cho việc đánh giá, xếp hạng và cấp giấy chứng nhận hiệu suất năng lượng cho tòa nhà, tạo động lực cho việc nâng cao chất lượng công trình và giảm thiểu tiêu thụ năng lượng.
Nói chung, TCVN 13470-1:2022 không chỉ là một tiêu chuẩn kỹ thuật, mà còn là một công cụ thiết yếu cho các nhà thiết kế, người quản lý và các bên liên quan trong việc chuyển đổi sang một môi trường làm việc và sinh hoạt bền vững hơn, thích ứng với các thách thức về khí hậu và năng lượng hiện nay.
Tải tiêu chuẩn Việt Nam TCVN 13470-1:2022
TIÊU CHUẨN QUỐC GIA
TCVN 13470-1:2022
ISO 52003-1:2017
HIỆU QUẢ NĂNG LƯỢNG CỦA TÒA NHÀ - CÁC CHỈ SỐ, YÊU CẦU, XẾP HẠNG VÀ GIẤY CHỨNG NHẬN - PHẦN 1: CÁC KHÍA CẠNH CHUNG VÀ ÁP DỤNG ĐỐI VỚI HIỆU QUẢ NĂNG LƯỢNG TỔNG THỂ
Energy performance of buildings - Indicators, requirements, ratings, and certificates - Part 1: General aspects and application to overall energy performance
Lời nói đầu
TCVN 13470-1:2022 hoàn toàn tương đương với ISO 52003-1:2017.
TCVN 13470-1:2022 do Viện Khoa học Công nghệ Xây dựng biên soạn, Bộ Xây dựng đề nghị, Tổng cục Tiêu chuẩn Đo lường Chất lượng thẩm định, Bộ Khoa học và Công nghệ công bố.
Bộ tiêu chuẩn TCVN 13470 (ISO 52003) Hiệu quả năng lượng của tòa nhà - Các chỉ số, yêu cầu, xếp hạng và giấy chứng nhận gồm hai phần:
- TCVN 13470-1:2022 (ISO 52003-1:2017), Phần 1: Các khía cạnh chung và áp dụng đối với hiệu quả năng lượng tổng thể
- TCVN 13470-2:2022 (ISO/TR 52003-2:2017), Phần 2: Giải thích và minh chứng cho TCVN 13470-1 (ISO 52003-1)
Lời giới thiệu
Tiêu chuẩn này là một phần trong các tiêu chuẩn nhằm mục đích hài hòa quốc tế phương pháp luận đánh giá hiệu quả năng lượng của các tòa nhà. Các tiêu chuẩn này được gọi là bộ tiêu chuẩn hiệu quả năng lượng của tòa nhà.
Tất cả các tiêu chuẩn hiệu quả năng lượng của tòa nhà (EPB) tuân theo các quy tắc cụ thể để đảm bảo tính nhất quán tổng thể, rõ ràng và minh bạch.
Tất cả các tiêu chuẩn EPB có tính linh hoạt đối với các phương pháp, dữ liệu đầu vào yêu cầu và tham chiếu đến các tiêu chuẩn EPB khác bằng việc đưa ra một bản mẫu quy định trong Phụ lục A và Phụ lục B với các lựa chọn tham khảo mặc định.
Phụ lục A đưa ra một bản mẫu quy định các lựa chọn để sử dụng đúng tiêu chuẩn này. Phụ lục B đưa ra các lựa chọn tham khảo mặc định.
CHÚ THÍCH 1: Vì vậy trong trường hợp này:
- Cơ quan quản lý sẽ quy định các lựa chọn;
- Người sử dụng sẽ áp dụng tiêu chuẩn để đánh giá hiệu quả năng lượng của tòa nhà, và do đó sử dụng các lựa chọn quy định bởi cơ quan quản lý.
Các đối tượng chính sử dụng tiêu chuẩn này gồm các kiến trúc sư, các kỹ sư và các nhà quản lý.
Các đối tượng tiếp theo sử dụng tiêu chuẩn này là các bên muốn thúc đẩy việc phân loại xếp hạng tòa nhà theo hiệu quả năng lượng trên cơ sở kho dữ liệu về tiêu thụ năng lượng của tòa nhà.
Các thông tin bổ sung được đưa ra trong báo cáo kỹ thuật TCVN 13470-2 (ISO/TR 52003-2) đi kèm tiêu chuẩn này.
Các chỉ số hiệu quả năng lượng tổng thể và thành phần của tòa nhà, nghĩa là đầu ra định lượng của việc đánh giá hiệu quả năng lượng của tòa nhà có thể sử dụng cho các mục đích khác nhau:
1. Các yêu cầu: Đặt ra các yêu cầu chung hoặc riêng về hiệu quả năng lượng của các tòa nhà.
2. Các quyết định: Tạo điều kiện để đưa ra các quyết định hoặc hành động trong lĩnh vực công hoặc tư.
3. Thông tin và truyền thông: Dành cho các nhà thiết kế tòa nhà, chủ đầu tư, người vận hành, người sử dụng và các nhà hoạch định chính sách và người dân (với tư cách là người bán hoặc người cho thuê, với tư cách là người mua hoặc người thuê tiềm năng)
Tiêu chuẩn này và TCVN 13470-2 (ISO/TR 52003-2) đề cập đến một số cách sử dụng đó được mô tả một cách tổng quát như là quá trình hậu xử lý các đầu ra của các phương pháp đánh giá EPB (xem 5.1).
Điểm chính của tiêu chuẩn hiện thời (mang tính quy định), tức là tiêu chuẩn này, là đề cập đến các khái niệm cơ bản và mối quan hệ và về các hành động cần được thực hiện. Báo cáo kỹ thuật (cung cấp thông tin) kèm theo, tức là TCVN 13470-2 (ISO/TR 52003-2) cung cấp thông tin bổ sung để hỗ trợ các bên trong việc thực hiện một cách hợp lý. Vì vậy, để hiểu rõ nhất, tốt nhất nên đọc cả hai tài liệu cùng nhau theo từng điều một.
Bảng 1 cho biết vị trí của tiêu chuẩn này trong bộ tiêu chuẩn hiệu quả năng lượng của tòa nhà (EPB) được cấu trúc theo từng mô đun quy định trong TCVN 13469-1:2022 (ISO 52000-1:2017).
CHÚ THÍCH 2: Trong TCVN 13469-2 (ISO/TR 52000-2)[6] đối với mỗi mô-đun, có thể thấy cùng một bảng với mã số của các tiêu chuẩn EPB và các báo cáo kỹ thuật kèm theo đã được xuất bản hoặc đang trong quá trình biên soạn.
Các mô-đun đại diện cho các tiêu chuẩn EPB, mặc dù một tiêu chuẩn EPB có thể bao gồm nhiều mô-đun và một mô-đun có thể được bao chùm bởi nhiều hơn một tiêu chuẩn EPB, ví dụ, một phương pháp đơn giản và một phương pháp chi tiết tương ứng. Xem thêm Điều 2, Bảng A.1 và Bảng B.1.
Bảng 1 - Vị trí của tiêu chuẩn này (trong trường hợp M1-4), cấu trúc theo từng mô đun của bộ tiêu chuẩn hiệu quả năng lượng của tòa nhà
|
| Tổng thể | Tòa nhà (tương tự) | Các hệ thống kỹ thuật của tòa nhà | |||||||||||
| Mô đun phụ | Mô tả |
| Mô tả |
| Mô tả | Sưởi ấm | Làm mát | Thông gió | Gia ẩm | Khử ẩm | Cấp nước nóng sinh hoạt | Chiếu sáng | Kiểm soát và tự động hóa tòa nhà | Quang điện, gió... |
| Mô đun phụ 1 |
| M1 |
| M2 |
| M3 | M4 | M5 | M6 | M7 | M8 | M9 | M10 | M11 |
| 1 | Tổng quát |
| Tổng quát |
| Tổng quát |
|
|
|
|
|
|
|
|
|
| 2 | Thuật ngữ và định nghĩa chung; ký hiệu, đơn vị và chỉ số |
| Nhu cầu năng lượng tòa nhà |
| Nhu cầu |
|
|
|
|
|
|
|
|
|
| 3 | Các ứng dụng |
| (Tự nguyện) Các điều kiện trong nhà không có hệ thống |
| Tải và công suất tối đa |
|
|
|
|
|
|
|
|
|
| 4 | Cách thể hiện hiệu quả năng lượng | TCVN 13470-1 (ISO 52003-1) | Cách thể hiện hiệu quả năng lượng |
| Cách thể hiện hiệu quả năng lượng |
|
|
|
|
|
|
|
|
|
| 5 | Hạng tòa nhà và ranh giới tòa nhà |
| Truyền nhiệt bằng dẫn nhiệt |
| Phát thải và kiểm soát |
|
|
|
|
|
|
|
|
|
| 6 | Mức sử dụng tòa nhà và các điều kiện vận hành |
| Truyền nhiệt bằng rò lọt khí và thông gió |
| Phân bổ và kiểm soát |
|
|
|
|
|
|
|
|
|
| 7 | Tập hợp các dịch vụ năng lượng và vật mang năng lượng |
| Thu nhận nhiệt bên trong |
| lưu giữ và kiểm soát |
|
|
|
|
|
|
|
|
|
| 8 | Các vùng của tòa nhà |
| Thu nhận nhiệt mặt trời |
| Phát năng lượng và kiểm soát |
|
|
|
|
|
|
|
|
|
| 9 | Hiệu quả năng lượng tính toán |
| Động học tòa nhà (nhiệt khối) |
| Điều độ tải và các điều kiện vận hành |
|
|
|
|
|
|
|
|
|
| 10 | Hiệu quả năng lượng đo lường |
| Hiệu quả năng lượng đo lường |
| Hiệu quả năng lượng đo lường |
|
|
|
|
|
|
|
|
|
| 11 | Kiểm tra |
| Kiểm tra |
| Kiểm tra |
|
|
|
|
|
|
|
|
|
| 12 | Cách thể hiện tiện nghi trong nhà |
|
|
| BMS |
|
|
|
|
|
|
|
|
|
| 13 | Các điều kiện môi trường bên ngoài |
|
|
|
|
|
|
|
|
|
|
|
|
|
| 14 | Tính toán kinh tế |
|
|
|
|
|
|
|
|
|
|
|
|
|
| a không áp dụng các mô đun trong ô bôi đậm | ||||||||||||||
HIỆU QUẢ NĂNG LƯỢNG CỦA TÒA NHÀ - CÁC CHỈ SỐ, YÊU CẦU, XẾP HẠNG VÀ GIẤY CHỨNG NHẬN - PHẦN 1: CÁC KHÍA CẠNH CHUNG VÀ ÁP DỤNG ĐỐI VỚI HIỆU QUẢ NĂNG LƯỢNG TỔNG THỂ
Energy performance of buildings - Indicators, requirements, ratings, and certificates - Part 1: General aspects and application to overall energy performance
1 Phạm vi áp dụng
Bộ tiêu chuẩn đánh giá hiệu quả năng lượng của tòa nhà đưa ra một số lượng lớn các chỉ số tổng thể và chỉ số thành phần làm kết quả đầu ra. Tiêu chuẩn này cung cấp cho nhà quản lý công và bên tư nhân (và tất cả các bên liên quan trong quá trình quản lý) những thông tin chi tiết về cách sử dụng tốt các kết quả đầu ra này cho các mục đích khác nhau (hậu xử lý).
Tiêu chuẩn này mô tả mối quan hệ giữa các chỉ số hiệu quả năng lượng của tòa nhà và các yêu cầu hiệu quả năng lượng của tòa nhà và xếp hạng hiệu quả năng lượng của tòa nhà và thảo luận tầm quan trọng của các giá trị được điều chỉnh phù hợp với dự án cụ thể được dùng làm yêu cầu hoặc tham chiếu cho các chỉ số hiệu quả năng lượng xác định của tòa nhà. Tiêu chuẩn này cũng bao gồm cả một số nhãn hiệu quả năng lượng có thể có của tòa nhà và liệt kê các bước khác nhau cần thực hiện khi lập một kế hoạch chứng nhận hiệu quả năng lượng của tòa nhà.
Tiêu chuẩn này cung cấp các bảng được tiêu chuẩn hóa về cấu trúc và cách thức dễ hiểu để báo cáo các lựa chọn được thực hiện đối với các yêu cầu hiệu quả năng lượng tổng thể của tòa nhà. Các bảng được trình bày ở dạng mở do đó cho phép điều chỉnh hoàn toàn linh hoạt. Tiêu chuẩn này không đưa ra các bảng tương tự như thế cho các yêu cầu về hiệu quả năng lượng thành phần của tòa nhà (liên quan đến kết cấu xây dựng hoặc các hệ thống kỹ thuật của tòa nhà), vì điều này được đề cập trong các tiêu chuẩn khác.
CHÚ THÍCH: Bảng 1 trong phần Lời giới thiệu cho biết vị trí của tiêu chuẩn này trong bộ tiêu chuẩn hiệu quả năng lượng của tòa nhà (EPB) được cấu trúc theo từng mô đun quy định trong TCVN 13469-1 (ISO 52000-1).
2 Tài liệu viện dẫn
Các tài liệu viện dẫn sau rất cần thiết cho việc áp dụng tiêu chuẩn này. Đối với các tài liệu viện dẫn ghi năm công bố thì áp dụng phiên bản được nêu. Đối với các tài liệu viện dẫn không ghi năm công bố thì áp dụng phiên bản mới nhất, bao gồm các sửa đổi bổ sung nếu có.
TCVN 9313 (ISO 7345), Cách nhiệt - Các đại lượng vật lý và định nghĩa
TCVN 13469-1:2022 (ISO 52000-1:2017), Hiệu quả năng lượng của tòa nhà - Đánh giá hiệu quả năng lượng tổng thể của tòa nhà - Phần 1: Khung tổng quát và các quy trình
CHÚ THÍCH: Các tài liệu tham chiếu mặc định đối với các tiêu chuẩn hiệu quả năng lượng của tòa nhà (EPB) khác với TCVN 13469-1 (ISO 52000-1) được nhận diện theo mã số mô đun và được nêu trong Phụ lục A (Bản mẫu quy định trong Bảng A.1) và Phụ lục B (lựa chọn mặc định tham khảo nêu trong Bảng B.1).
VÍ DỤ: Mã số mô đun EPB: M5-5 hoặc M5-5.1 (nếu mô đun M5-5 được chia thành các tiểu mô đun), hoặc M5-5/1 (nếu tham chiếu theo một điều cụ thể của tiêu chuẩn bao gồm cả M5-5).
3 Thuật ngữ và định nghĩa
Tiêu chuẩn này sử dụng các thuật ngữ và định nghĩa quy định trong TCVN 9313 (ISO 7345), TCVN 13469-1 (ISO 52000-1) và các thuật ngữ và định nghĩa sau.
3.1
Tòa nhà (building)
3.1.1
Đối tượng được đánh giá (assessed object)
Tòa nhà, phần của một tòa nhà hoặc hồ sơ dữ liệu của tòa nhà là đối tượng được đánh giá hiệu quả năng lượng.
CHÚ THÍCH 1: Đối tượng được đánh giá bao gồm tất cả các không gian và hệ thống kỹ thuật có thể góp phần hoặc tác động đến việc đánh giá hiệu quả năng lượng.
CHÚ THÍCH 2: Đối tượng được đánh giá có thể bao gồm một hoặc một vài bộ phận đan nguyên tòa nhà, nếu chúng không phải là đối tượng riêng lẻ của việc đánh giá hiệu quả năng lượng.
CHÚ THÍCH 3: Cần phân biệt giữa tòa nhà thiết kế, tòa nhà mới sau thi công xây dựng và tòa nhà hiện hữu đang sử dụng và tòa nhà hiện hữu sau khi cải tạo sửa chữa lớn.
[Nguồn: TCVN 13469-1:2022 (ISO 52000-1:2017), 3.1.1],
3.1.2
Tòa nhà (building)
Tổng thể công trình xây dựng bao gồm kết cấu xây dựng và tất cả các hệ thống kỹ thuật trong đó năng lượng có thể được sử dụng để điều hòa môi trường bên trong tòa nhà và cung cấp nước nóng, chiếu sáng và các dịch vụ khác liên quan đến việc sử dụng tòa nhà.
CHÚ THÍCH 1: Khái niệm đề cập đến tòa nhà hữu hình như một tổng thể hoặc đến tất cả các phần của tòa nhà bao gồm các không gian và các hệ thống kỹ thuật của tòa nhà có liên quan đến việc đánh giá hiệu quả năng lượng.
CHÚ THÍCH 2: Các phần của một tòa nhà có thể nằm tách biệt nhưng đều nằm trên cùng một mặt bằng xây dựng của tòa nhà.
VÍ DỤ: Căn tin hoặc nhà bảo vệ hoặc một hoặc nhiều phòng học của một ngôi trường trong một phần tách biệt của một tòa nhà; hoặc một không gian thiết yếu trong một ngôi nhà ở riêng lẻ (ví dụ: Phòng ngủ).
[Nguồn: TCVN 13469-1:2022 (ISO 52000-1:2017), 3.1.2].
3.1.3
Loại tòa nhà (building category)
Loại bộ phận đơn nguyên (unit category)
Phân loại tòa nhà và hoặc bộ phận đơn nguyên tòa nhà liên quan đến công năng sử dụng chính hoặc tình trạng đặc biệt của chúng nhằm mục đích phân biệt các quy trình đánh giá hiệu quả năng lượng và/ hoặc các yêu cầu hiệu quả năng lượng.
VÍ DỤ 1: Các tòa nhà được bảo tồn như là một bộ phận của một môi trường được ấn định vì các giá trị kiến trúc hoặc lịch sử đặc biệt của chúng, tòa nhà từng được sử dụng làm nơi thờ phụng và thực hiện các nghi lễ tôn giáo, các tòa nhà ở riêng lẻ, (a) nhà ở riêng lẻ với các loại khác nhau; (b) Khối nhà chung cư; (c) Tòa nhà văn phòng công sở; (d) Tòa nhà giáo dục; (e) Bệnh viện và nhà hàng; (g) Cơ sở thể thao; (h) tòa nhà dịch vụ thương mại bán buôn và bán lẻ; (i) Trung tâm lưu trữ dữ liệu; (j) Các loại tòa nhà khác.
CHÚ THÍCH 1: Các quy chuẩn xây dựng thường đưa ra các quy định phân biệt giữa các loại tòa nhà.
CHÚ THÍCH 2: Loại tòa nhà, ví dụ có thể cho biết việc đánh giá hiệu quả năng lượng có phải là bắt buộc hay không (ví dụ: Không bắt buộc đối với các tòa nhà tôn giáo hoặc lịch sử) cũng như các yêu cầu quy định tối thiểu về hiệu quả năng lượng (ví dụ: Đối với các tòa nhà mới); tại một số nước, hiệu quả năng lượng đo lường của một tòa nhà được quy định cho các loại tòa nhà cụ thể (ví dụ: Tòa nhà chung cư, tòa nhà công cộng quy mô lớn), v.v...Một cách phân loại khác là phân biệt giữa tòa nhà mới và hiện hữu và tòa nhà được cải tạo.
CHÚ THÍCH 3: Nhiều tòa nhà hoặc bộ phận đơn nguyên tòa nhà của một loại (công năng sử dụng) xác định có nhiều không gian thuộc các loại (công năng sử dụng) khác nhau; chẳng hạn một tòa nhà công sở có thể có cả nhà hàng; xem 3.1.14. Định nghĩa phân loại không gian
CHÚ THÍCH 4: Việc phân cấp một loại tòa nhà cũng có thể có tác động mạnh đến các phần khác của các quy chuẩn xây dựng, ví dụ: Quy định về an toàn (ví dụ: Lối thoát hiểm, cường độ chịu lực của sàn) hoặc chất lượng môi trường bên trong tòa nhà (ví dụ: Bội số trao đổi không khí tối thiểu).
[Nguồn: TCVN 13469-1:2022 (ISO 52000-1:2017), 3.1.3].
3.1.4
Bộ phận tòa nhà (building element)
Bộ phận không thể tách rời của các hệ thống kỹ thuật hoặc của kết cấu xây dựng của tòa nhà.
[Nguồn: TCVN 13469-1:2022 (ISO 52000-1:2017), 3.1.4].
3.1.5
Kết cấu xây dựng tòa nhà (building fabric)
Tất cả các cấu kiện hữu hình của một tòa nhà không bao gồm các hệ thống kỹ thuật.
VÍ DỤ 1: Mái, tường, sàn, cửa đi, cổng và các vách ngăn bên trong.
VÍ DỤ 2: Nó gồm cả các cấu kiện ở bên trong và bên ngoài vỏ bao che nhiệt, cũng như bản thân vỏ bao che nhiệt.
CHÚ THÍCH 1: Kết cấu xây dựng cho biết sự truyền nhiệt, độ kín khi của vỏ bao che nhiệt và (gần như toàn bộ) nhiệt khối của toà nhà (ngoài nhiệt khối của các đồ đạc và các hệ thống kỹ thuật ra). Kết cấu xây dựng cũng có tác dụng chắn gió và chống thấm cho tòa nhà. Đôi khi kết cấu xây dựng của tòa nhà cũng được mô tả là tòa nhà không có bất kỳ hệ thống kỹ thuật nào.
[Nguồn: TCVN 13469-1:2022 (ISO 52000-1:2017),3.1.5].
3.1.6
Hồ sơ dữ liệu tòa nhà (building portfolio)
Tập hợp thông tin về các tòa nhà và các hệ thống kỹ thuật chung có hiệu quả năng lượng được xác định có tính đến sự tác động tương hỗ lẫn nhau giữa chúng.
CHÚ THÍCH 1: Một ví dụ về một thiết bị chung phục vụ cho tập hợp tòa nhà là hệ thống phát năng lượng (tấm pin năng lượng mặt trời, tua-bin gió, bộ đồng phát, nồi hơi, v.v...).
[Nguồn: TCVN 13469-1:2022 (ISO 52000-1:2017),3.1.6].
3.1.7
Vùng nhiệt của tòa nhà (building thermal zone)
Vùng nhiệt (thermal zone)
Môi trường bên trong với các điều kiện được giả định đủ đồng nhất về nhiệt cho phép tính toán cân bằng nhiệt theo các quy trình quy định trong tiêu chuẩn hiệu quả năng lượng của tòa nhà thuộc mô đun 2-2.
CHÚ THÍCH 1: Tiêu chuẩn hiệu quả năng lượng của tòa nhà thuộc mô đun M2-2 là ISO 52016-1.
[Nguồn: TCVN 13469-1:2022 (ISO 52000-1:2017), 3.1.7].
3.1.8
Bộ phận đơn nguyên tòa nhà (building unit)
Bộ phận, sàn hoặc căn hộ bên trong một tòa nhà được thiết kế hoặc được cải tạo để sử dụng riêng biệt so với phần còn lại của tòa nhà.
VÍ DỤ: Một cửa hàng bên trong khu thương mại, một căn hộ trong một tòa nhà chung cư hoặc không gian văn phòng cho thuê trong một tòa nhà công sở.
CHÚ THÍCH 1: Một bộ phận đơn nguyên tòa nhà có thể là đối tượng được đánh giá
[Nguồn: TCVN 13469-1:2022 (ISO 52000-1:2017), 3.1.8],
3.1.9
Diện tích sàn tham chiếu (reference floor area)
Diện tích sàn được sử dụng làm kích thước tham chiếu.
CHÚ THÍCH 1: Xem định nghĩa kích thước tham chiếu.
[Nguồn: TCVN 13469-1:2022 (ISO 52000-1:2017), 3.1.12].
3.1.10
Kích thước tham chiếu (reference size)
Chuẩn đo thích hợp để chuẩn hóa hiệu quả năng lượng tổng thể hoặc thành phần và các yêu cầu hiệu quả năng lượng theo kích thước của tòa nhà hoặc phần của một tòa nhà và so sánh với định mức.
[Nguồn: TCVN 13469-1:2022 (ISO 52000-1:2017), 3.1.13].
3.1.11
Phân loại không gian (space category)
Sự phân loại không gian tòa nhà liên quan đến tập hợp các điều kiện sử dụng cụ thể.
VÍ DỤ: Không gian văn phòng, không gian nhà hàng, lối vào hội trường, khu vệ sinh, không gian ở, phòng họp, cửa hàng, phòng ngủ, ga ra ô tô trong nhà, khu cầu thang trong nhà có sưởi, khu cầu thang không có sưởi.v.v...
CHÚ THÍCH 1: Phân loại không gian thích hợp cho việc tính toán đánh giá hiệu quả năng lượng và xác định kích thước tham chiếu.
[Nguồn: TCVN 13469-1:2022 (ISO 52000-1:2017), 3.1.14].
3.1.12
Diện tích vỏ bao che nhiệt (thermal envelope area)
Tổng diện tích của tất cả các bộ phận của một tòa nhà bao quanh các không gian được điều hòa nhiệt thông qua đó nhiệt truyền qua trực tiếp hoặc gián tiếp, truyền ra ngoài hoặc truyền vào từ môi trường bên ngoài.
CHÚ THÍCH 1: Diện tích vỏ bao che phụ thuộc vào việc sử dụng kích thước bên trong, tổng kích thước bên trong hoặc kích thước bên ngoài.
CHÚ THÍCH 2: Diện tích vỏ bao che không bao gồm diện tích các tòa nhà liền kề, xem TCVN 13105 (ISO 13789).
CHÚ THÍCH 3: Diện tích vỏ bao che có thể đóng vai trò trong các cách thể hiện hiệu quả năng lượng tổng thể và thành phần và so sánh với định mức.
[Nguồn: TCVN 13105:2020 (ISO 13789:2017), 3.9 - Sửa đổi bổ sung chú thích 2 và 3)].
3.1.13
Diện tích sàn hữu ích (useful floor area)
(Đối với việc đánh giá hiệu quả năng lượng của tòa nhà) Diện tích sàn của một tòa nhà cần thiết được dùng làm thông số để định lượng các điều kiện sử dụng cụ thể được thể hiện bằng một đơn vị diện tích sàn và thông số để áp dụng các phép đơn giản hóa và quy tắc phân vùng và phân bổ (lại).
[Nguồn: TCVN 13469-1:2022 (ISO 52000-1:2017), 3.1.18].
3.2
Điều kiện trong nhà và ngoài nhà (indoor and outdoor condition)
3.2.1
Điều kiện sử dụng (condition of use)
Yêu cầu và/ hoặc hạn chế đối với việc sử dụng một loại không gian tòa nhà liên quan đến các dịch vụ đánh giá hiệu quả năng lượng và/ hoặc các điều kiện ranh giới.
VÍ DỤ: Điểm nhiệt độ cài đặt cho làm mát, Điểm nhiệt độ cài đặt cho sưởi, lượng thông gió tối thiểu liên quan đến chết lượng không khí, nhu cầu về cung cấp nước nóng (ví dụ: Trên một mét vuông sàn hoặc trên đầu người), mức chiếu sáng, thu nhận nhiệt bên trong, v.v..., gồm cả phân bố theo thời gian (vận hành). Nếu thích hợp, các con số dựa trên số người cư ngụ trên mỗi mét vuông hoặc theo mỗi loại không gian tòa nhà.
[Nguồn: TCVN 13469-1:2022 (ISO 52000-1:2017), 3.2.1].
3.3
Hiệu quả năng lượng (energy performance)
3.3.1
Năng lượng đo lường thực tế (actual measured energy)
Năng lượng đo được mà không có bất kỳ điều chỉnh nào theo điều kiện khí hậu và sử dụng tiêu chuẩn.
[Nguồn: TCVN 13469-1:2022 (ISO 52000-1:2017), 3.5.1].
3.3.2
Hiệu quả năng lượng theo hoàn công (as built energy performance)
Hiệu quả năng lượng được tính toán với các dữ liệu cho tòa nhà sau khi hoàn thành công việc xây dựng (trước khi hoặc trong quá trình vận hành tòa nhà) và tập hợp dữ liệu sử dụng tiêu chuẩn.
CHÚ THÍCH 1: Thuật ngữ này biểu thị mức sử dụng năng lượng thực hàng năm tính toán cho một tòa nhà được thực hiện trong các điều kiện tiêu chuẩn hóa. Nó đặc biệt phù hợp cho việc cấp giấy chứng nhận hiệu quả năng lượng và các quy định (thẩm tra việc tuân thủ các yêu cầu).
[Nguồn: TCVN 13469-1:2022 (ISO 52000-1:2017), 3.5.2].
3.3.3
Hiệu quả năng lượng tính toán (calculated energy performance)
Hiệu quả năng lượng dựa trên các tính toán năng lượng cấp đến thực tế theo trọng số cho các dịch vụ hiệu quả năng lượng của tòa nhà.
[Nguồn: TCVN 13469-1:2022 (ISO 52000-1:2017), 3.5.3].
3.3.4
Hiệu quả năng lượng thiết kế (design energy performance)
Hiệu quả năng lượng với các dữ liệu thiết kế cho tòa nhà và điều kiện sử dụng và tập hợp dữ liệu khí hậu tiêu chuẩn.
CHÚ THÍCH 1: Thuật ngữ này biểu thị mức sử dụng năng lượng thực tế hàng năm tính toán cho một tòa nhà được thiết kế ở các điều kiện tiêu chuẩn. Nó đặc biệt phù hợp cho việc thực hiện các thủ tục xin cấp giấy phép xây dựng tòa nhà ở giai đoạn thiết kế.
[Nguồn: TCVN 13469-1:2022 (ISO 52000-1:2017), 3.5.5].
3.3.5
Đặc tính năng lượng (energy feature)
Đặc tính hiệu quả năng lượng (EPB feature)
Cấu kiện, bộ phận hoặc đặc tính bất kỳ của một tòa nhà, đơn lẻ hoặc tổ hợp có thể có ảnh hưởng đến hiệu quả năng lượng của đối tượng được đánh giá.
CHÚ THÍCH 1: Đặc tính hiệu quả năng lượng của tòa nhà có thể liên quan đến một đặc tính riêng biệt của tòa nhà (ví dụ: Cách nhiệt của một bức tường) hoặc một tổ hợp bất kỳ của các đặc tính của tòa nhà (ví dụ: Nhu cầu sưởi ấm, hiệu suất của hệ thống sưởi ấm, hiệu quả năng lượng tổng thể), cho đến toàn bộ tòa nhà.
CHÚ THÍCH 2: Mỗi đặc tính hiệu quả năng lượng của tòa nhà có thể được đặc trưng bởi một vài chỉ số hiệu quả năng lượng của tòa nhà. Ví dụ: Cách nhiệt của một bức tường có thể được định lượng bằng hệ số truyền nhiệt, tổng nhiệt trở, chỉ số nhiệt độ, v.v... Để biết thêm ví dụ, xem ISO 52018-1 [9].
[Nguồn: TCVN 13469-1:2022 (ISO 52000-1:2017), 3.5.6].
3.3.6
Hiệu quả năng lượng (energy performance)
Hiệu quả năng lượng tổng thể (overall energy performance)
(của một đối tượng được đánh giá) lượng năng lượng (có trọng số) cần thiết được tính toán hoặc đo lường để đáp ứng nhu cầu năng lượng liên quan đến việc sử dụng điển hình của một đối tượng được đánh giá bao gồm năng lượng được sử dụng cho các dịch vụ cụ thể (dịch vụ hiệu quả năng lượng của tòa nhà).
CHÚ THÍCH 1: Xem định nghĩa dịch vụ EPB và định nghĩa đối tượng được đánh giá
CHÚ THÍCH 2: Cũng được gọi là hiệu quả năng lượng tổng thể để phân biệt với hiệu quả năng lượng thành phần
[Nguồn: TCVN 13469-1:2022 (ISO 52000-1:2017), 3.5.7].
3.3.7
Giấy chứng nhận hiệu quả năng lượng (energy performance certificate)
(của một đối tượng được đánh giá) Giấy chứng nhận, ví dụ được công nhận bởi một quốc gia hoặc một pháp nhân được chỉ định theo thẩm quyền, cho biết hiệu quả năng lượng của đối tượng được đánh giá, được tính toán hoặc đo lường tuân theo một hoặc nhiều phương pháp quy định.
CHÚ THÍCH 1: Ý nghĩa của thuật ngữ “giấy chứng nhận” và “chứng nhận” trong tiêu chuẩn này khác với các thuật ngữ trong ISO/IEC 17000[9].
[Nguồn: TCVN 13469-1:2022 (ISO 52000-1:2017), 3.5.8].
3.3.8
Chứng nhận hiệu quả năng lượng (energy performance certification)
Quá trình xem xét và cấp giấy chứng nhận hiệu quả năng lượng.
[Nguồn: TCVN 13469-1:2022 (ISO 52000-1:2017), 3.5.9].
3.3.9
Chỉ số hiệu quả năng lượng (energy performance indicator)
Chỉ số EPB (EPB indicator)
Đại lượng bằng số được tính toán hoặc đo lường đặc trưng cho đặc tính năng lượng của đối tượng được đánh giá.
CHÚ THÍCH 1: Các chỉ số EPB được sử dụng để đánh giá xếp hạng, đưa ra các yêu cầu hiệu quả năng lượng và/ hoặc cấp giấy chứng nhận. Một chỉ số EPB có thể, ví dụ, được biểu thị bằng hiệu quả năng lượng trên một đơn vị diện tích sàn hoặc hiệu quả năng lượng chia cho định mức cụ thể hoặc một giá trị tham chiếu khác.
CHÚ THÍCH 2: Thuật ngữ này bao hàm cả hiệu quả năng lượng tổng thể và thành phần.
[Nguồn: TCVN 13469-1:2022 (ISO 52000-1:2017), 3.5.10].
3.3.10
Yêu cầu hiệu quả năng lượng (energy performance requirement)
Mức tối thiểu của hiệu quả năng lượng (thành phần hoặc tổng thể) cần đạt để được cho phép hoặc lợi thế, ví dụ: Được phép xây dựng tòa nhà, lãi suất thấp hơn, nhãn chất lượng.
[Nguồn: TCVN 13469-1:2022 (ISO 52000-1:2017), 3.5.11].
3.3.11
Xếp hạng năng lượng (energy rating)
Xếp hạng hiệu quả năng lượng (EPB rating)
Việc đánh giá giá trị của một chỉ số hiệu quả năng lượng bằng cách so sánh với một hoặc nhiều giá trị tham chiếu, có thể bao gồm việc so sánh trực quan vị trí trên thang đo liên tục hoặc rời rạc.
CHÚ THÍCH 1: Thuật ngữ này có thể liên quan đến hiệu quả năng lượng tổng thể hoặc thành phần.
[Nguồn: TCVN 13469-1:2022 (ISO 52000-1:2017), 3.5.12].
3.3.12
Dịch vụ hiệu quả năng lượng của tòa nhà (EPB service)
Dịch vụ tòa nhà bao gồm trong việc đánh giá hiệu quả năng lượng.
CHÚ THÍCH 1: Xem định nghĩa dịch vụ tòa nhà. Các dịch vụ nào bao gồm trong lựa chọn của quốc gia hoặc theo vùng được quy định trong Phụ lục A/ Phụ lục B.
VÍ DỤ: Năng lượng được sử dụng để sưởi ấm, làm mát, thông gió, gia ẩm, khử ẩm, cấp nước nóng và chiếu sáng.
[Nguồn: TCVN 13469-1:2022 (ISO 52000-1:2017), 3.5.13].
3.3.13
Tiêu chuẩn hiệu quả năng lượng của tòa nhà (EPB Standard)
Tiêu chuẩn tuân thủ các yêu cầu quy định trong TCVN 13469-1 (ISO 52000-1) (tiêu chuẩn này), CEN/TS 16628[7] và CEN/TS 16629[8]
CHÚ THÍCH 1: Ba tiêu chuẩn cơ bản EPB này đã được nghiên cứu xây dựng theo yêu cầu của Ủy ban châu Âu và Hiệp hội mậu dịch tự do châu Âu (Yêu cầu M/480) đối với Ủy ban châu Âu về tiêu chuẩn hóa (CEN) và hỗ trợ các yêu cầu cần thiết của Chỉ thị châu Âu 2010/31/EU về hiệu quả năng lượng của tòa nhà. Một số tiêu chuẩn EPB và các tài liệu liên quan được nghiên cứu xây dựng hoặc soát xét cũng theo yêu cầu nói trên
[Nguồn: TCVN 13469-1:2022 (ISO 52000-1:2017), 3.5.14].
3.3.14
Chỉ số năng lượng đo lường (measured energy indicator)
Chỉ số hiệu quả năng lượng dựa trên hiệu quả năng lượng đo lường.
[Nguồn: TCVN 13469-1:2022 (ISO 52000-1:2017), 3.5.15].
3.3.15
Hiệu quả năng lượng đo lường (measured energy performance)
Hiệu quả năng lượng dựa trên lượng năng lượng đo lường cấp đến và xuất đi.
CHÚ THÍCH 1: Hiệu quả năng lượng đo lường là tổng theo trọng số của tất cả các chất mang năng lượng được sử dụng bởi tòa nhà được đo bằng thiết bị đo hoặc được suy ra từ năng lượng đo lường bởi các phương thức khác. Nó là thước đo hiệu quả sử dụng của tòa nhà sau khi hiệu chỉnh hoặc ngoại suy. Thuật ngữ này đặc biệt phù hợp cho việc chứng nhận hiệu quả năng lượng thực tế.
CHÚ THÍCH 2: Còn được gọi là “hiệu quả năng lượng vận hành”
[Nguồn: TCVN 13469-1:2022 (ISO 52000-1:2017), 3.5.16].
3.3.16
Chỉ số sử dụng năng lượng sơ cấp (numerical indicator of primary energy use)
Mức sử dụng năng lượng sơ cấp trên một đơn vị diện tích sàn tham chiếu.
CHÚ THÍCH 1: Vì mức sử dụng năng lượng sơ cấp có thể biểu thị bằng tổng năng lượng sơ cấp, năng lượng sơ cấp không tái tạo có thể được quy định bằng chỉ số bằng số (ví dụ: Mức sử dụng năng lượng sơ cấp không tái tạo).
[Nguồn: TCVN 13469-1:2022 (ISO 52000-1:2017), 3.5.18].
3.3.17
Hiệu quả năng lượng thành phần (partial energy performance)
(của một đối tượng được đánh giá) Hiệu quả năng lượng của một hoặc tổ hợp các cấu kiện tòa nhà hoặc các bộ phận hoặc các đặc tính năng lượng khác của đối tượng được đánh giá.
CHÚ THÍCH 1: Các đặc tính năng lượng khác chẳng hạn như các nhu cầu năng lượng cho sưởi ấm, làm mát và độ kín khí.
[Nguồn: TCVN 13469-1:2022 (ISO 52000-1:2017), 3.5.19].
3.3.18
Giá trị tham chiếu (reference value)
Giá trị pháp lý theo tiêu chuẩn hoặc được tính toán so với chỉ số năng lượng cần so sánh.
CHÚ THÍCH 1: Đây có thể là một giá trị cố định cho các loại tòa nhà cụ thể hoặc cho các đặc tính năng lượng cụ thể, hoặc là giá trị biển số (theo công thức hoặc tòa nhà tham chiếu được công nhận) có tính đến một hoặc nhiều dữ liệu của tòa nhà thực tế.
[Nguồn: TCVN 13469-1:2022 (ISO 52000-1:2017), 3.5.20].
3.3.19
Chỉ số năng lượng tiêu chuẩn (standard energy indicator)
Chỉ số hiệu quả năng lượng dựa trên hiệu quả năng lượng ở các điều kiện kiện tiêu chuẩn.
CHÚ THÍCH 1: Được đánh giá ở các điều kiện tiêu chuẩn (nếu tính toán) hoặc được hiệu chỉnh đối với các điều kiện sai lệch (nếu đo lường)
[Nguồn: TCVN 13469-1:2022 (ISO 52000-1:2017), 3.5.22].
3.3.20
Hiệu quả năng lượng tiêu chuẩn (standard energy performance)
Hiệu quả năng lượng sử dụng dữ liệu thực tế đối với một tòa nhà ở điều kiện sử dụng và tập hợp dữ liệu khí hậu tiêu chuẩn.
CHÚ THÍCH 1: Nó biểu thị mức sử dụng năng lượng thực tế hàng năm của một đối tượng được đánh giá ở điều kiện được tiêu chuẩn hóa. Nó đặc biệt phù hợp cho việc chứng nhận về hiệu quả năng lượng tiêu chuẩn.
CHÚ THÍCH 2: Trong trường hợp hiệu quả năng lượng tính toán nó cũng có thể được gọi là “hiệu quả năng lượng theo đặc tính”.
[Nguồn: TCVN 13469-1:2022 (ISO 52000-1:2017), 3.5.23]
3.3.21
Hiệu quả năng lượng điều chỉnh để phù hợp (tailored Energy performance)
Hiệu quả năng lượng tính toán bằng cách sử dụng dữ liệu thực tế của một tòa nhà ở điều kiện khí hậu và mức độ sử dụng thực tế.
[Nguồn: TCVN 13469-1:2022 (ISO 52000-1:2017), 3.5.24].
4 Ký hiệu và các chỉ số dưới
4.1 Ký hiệu
Trong tiêu chuẩn này sử dụng các ký hiệu nêu trong TCVN 13469-1:2022 (ISO 52000-1:2017), Điều 4 và Phụ lục C và các ký hiệu sau:
| Ký hiệu | Đại lượng | Đơn vị |
| I | Chỉ số (ký hiệu chung) | - |
| n | Số | - |
| R | Tham chiếu | Tương tự như chỉ số hiệu quả năng lượng của tòa nhà đang xem xét |
| X | Đại lượng vật lý bất kỳ | Bất kỳ (ký hiệu U lấy theo từ “đơn vị” trong tiếng Anh (Unit) |
| ε | Chỉ số chi tiêu | - |
| η | Hiệu suất | - |
4.2 Chỉ số dưới
Trong tiêu chuẩn này sử dụng các chỉ số dưới nêu trong Điều 4 và Phụ lục C của TCVN 13469-1:2022 (ISO 52000-1:2017), và các chỉ số dưới sau:
| R | Quy định |
| reƒ | Tham chiếu |
| s | Kho dữ liệu |
5 Mô tả tiêu chuẩn
5.1 Tổng quan tóm tắt tiêu chuẩn
Các phương pháp đánh giá hiệu quả năng lượng của tòa nhà cung cấp một số lượng lớn các kết quả định lượng trung gian và cuối cùng, được gọi là các chỉ số hiệu quả năng lượng của tòa nhà (chỉ số EPB). Tiêu chuẩn này hỗ trợ người dùng sử dụng hiệu quả các chỉ số này (đôi khi sau một số phép khai triển toán học của các kết quả tính toán sơ cấp). Người sử dụng tiêu chuẩn có thể là các cơ quan có thẩm quyền hoặc các chủ thể tư nhân.
Các cơ quan có thẩm quyền có trách nhiệm thực hiện tất cả các quyết định khác nhau liên quan đến các yêu cầu về hiệu quả năng lượng, xếp hạng, giấy chứng nhận.v.v...
Tiêu chuẩn này trước tiên giải thích các khái niệm khác nhau và mối quan hệ tương hỗ của chúng (Điều 6 và Điều 7). Sau đó tiêu chuẩn này thảo luận hai ứng dụng chính dựa vào các giá trị số này, đó là:
- Thiết lập yêu cầu về hiệu quả năng lượng của tòa nhà (Điều 9);
- Đánh giá xếp hạng hiệu quả năng lượng của tòa nhà (Điều 10).
Đối với cả hai ứng dụng, các giá trị giới hạn linh hoạt hoặc các giá trị tham chiếu là điều cần thiết. Thông thường điều có thể tốt nhất là khi các giá trị này là các biến số được điều chỉnh để phù hợp với các đặc tính liên quan của từng dự án riêng lẻ. Các phương pháp thiết lập các giá trị biến số đó được thảo luận trong Điều 8. Cuối cùng, kết quả bất kỳ hoặc thông tin thêm có thể lập thành văn bản trong giấy chứng nhận hiệu quả năng lượng, có thể được bổ sung bằng một báo cáo được nêu trong Điều 11.
Điều 12 và Điều 13 liên quan đến kiểm soát chất lượng áp dụng các quy trình được cung cấp trong tiêu chuẩn này.
CHÚ THÍCH: Do đó tiêu chuẩn này giải quyết cái gọi là “hậu xử lý” đầu ra của các phương pháp đánh giá hiệu quả năng lượng.
5.2 Tiêu chí lựa chọn giữa các lựa chọn có thể
Tóm lại các Điều 8 đến Điều 11 bao gồm các xem xét liên quan đến các lựa chọn giữa các tùy chọn thay thế hoặc tổ hợp các tùy chọn.
CHÚ THÍCH: Các xem xét rộng hơn, chẳng hạn như: Lý do căn bản của các tùy chọn và ưu nhược điểm của các tùy chọn khác nhau được đưa ra trong các Điều tương ứng của TCVN 13470-2:2022 (ISO/TR 52003-2:2017)[4].
5.3 Dữ liệu đầu vào và đầu ra của các phương pháp tính toán mới
5.3.1 Tổng quát
Trong số các điều khác, tiêu chuẩn này cung cấp định hướng và hiểu biết về việc đặt ra các yêu cầu (xem 8.2) và thiết lập xếp hạng (xem Điều 10). Hai mục tiêu này có thể đòi hỏi việc thiết lập các sơ đồ tính toán bổ sung (cho các yêu cầu được điều chỉnh để phù hợp và tham chiếu, xem Điều 8.) Tuy nhiên, không giống như các tiêu chuẩn hiệu quả năng lượng của tòa nhà khác, tiêu chuẩn này không cung cấp bộ các phương pháp và các phương trình có thể áp dụng luôn, bởi vì các cơ quan có thẩm quyền hoặc các chủ thể tư nhân phải có trách nhiệm đưa ra các quyết định liên quan khác nhau theo mục tiêu chức năng và bối cảnh cụ thể của họ. Khi các phương pháp cụ thể được xây dựng chi tiết đầy đủ và thực tế, các chuyên gia phải báo cáo một cách hệ thống tất cả các dữ liệu đầu vào và đầu ra của các tính toán (ví dụ: Theo công thức hoặc tòa nhà tham chiếu được công nhận)
5.3.2 Dữ liệu đầu vào
Dữ liệu đầu vào phải được báo cáo theo cùng một cách thức trong tất cả các tiêu chuẩn hiệu quả năng lượng của tòa nhà (xem nguyên tắc 6.3 của từng tiêu chuẩn này).
Tối thiểu là các dữ liệu đầu vào sau đây là cần thiết:
- Dữ liệu tổng quát về đối tượng được đánh giá và ứng dụng [xem TCVN 13469-1:2022 (ISO 52000- 1:2017), 6.3.2] được dùng làm thông tin cơ bản về phạm vi của dự án (trường hợp) cụ thể, như:
- Loại đối tượng (ví dụ: Toàn bộ tòa nhà, hồ sơ dữ liệu tòa nhà, bộ phận đơn nguyên của tòa nhà, phần của một tòa nhà, hoặc một cấu kiện/ bộ phận của tòa nhà; kết cấu tòa nhà hoặc hệ thống kỹ thuật tòa nhà; tòa nhà mới hoặc hiện hữu, vừa được xây dựng hoàn công hoặc đang trong quá trình sử dụng; cải tạo tòa nhà, mở rộng tòa nhà hiện hữu);
- Loại tòa nhà (ví dụ: Nhà ở, công sở văn phòng);
- Loại hình ứng dụng (ví dụ: Để kiểm tra sự tuân thủ các yêu cầu hiệu quả năng lượng, chứng nhận năng lượng, để được cấp giấy phép xây dựng tòa nhà, để được cấp phép sử dụng, kiểm toán năng lượng (điều chỉnh để phù hợp), thanh tra kiểm soát hiệu quả năng lượng);
- Loại hình đánh giá (ví dụ: Thiết kế tính toán; tính toán theo hoàn công; đo lường thực tế, đo lường tiêu chuẩn (điều chỉnh theo điều kiện khí hậu và cách sử dụng khai thác);
- Các chi tiết đánh giá hiệu quả năng lượng điều chỉnh để phù hợp với các đặc trưng riêng của dự án:
- Các đặc trưng của đối tượng được đánh giá: Kích thước tham chiếu, diện tích vỏ bao che nhiệt, hướng cửa sổ, v.v...;
- Lưu lượng thông gió, chiếu sáng cho từng không gian, v.v...;
- Hiệu quả năng lượng tổng thể.
5.3.3 Dữ liệu đầu ra
Dữ liệu đầu ra cũng phải được báo cáo theo cùng một cách thức quy định trong tất cả các tiêu chuẩn hiệu quả năng lượng của tòa nhà (xem nguyên tắc 6.1 của mỗi tiêu chuẩn này). Các ví dụ có thể có của các đầu ra mới này là: tỷ lệ mới (xem 7.4), hoặc kết quả (với ký hiệu riêng của mình) theo công thức hoặc phương pháp tòa nhà tham chiếu được công nhận.
CHÚ THÍCH: Thông tin thêm về cách báo cáo dữ liệu đầu vào và đầu ra có thể tìm trong CEN/TS 16628 [7] và CEN/TS 16692[8] là cơ sở lập bản mẫu cho tất cả các tiêu chuẩn hiệu quả năng lượng của tòa nhà.
6 Mối quan hệ giữa các đặc tính hiệu quả năng lượng của tòa nhà, các chỉ số, các yêu cầu, xếp hạng và giấy chứng nhận
Có sự khác biệt giữa đặc tính của tòa nhà được đánh giá về hiệu quả năng lượng và chỉ số bằng số được sử dụng cho nó. Điều này là do có thể có nhiều hơn một chỉ số để định lượng một đặc tính nhất định.
VÍ DỤ: Khả năng cách nhiệt của một cấu kiện vỏ bao che có thể được đặc trưng bởi chỉ số nhiệt độ, hệ số truyền nhiệt, nhiệt trở, v.v...
Cũng có sự khác biệt giữa một chỉ số hiệu quả năng lượng và đánh giá xếp hạng hiệu quả năng lượng. Điều này là do một quan niệm sai lầm cho rằng bản thân một chỉ số ngay cả khi nó đã được chuẩn hóa (như năng lượng sử dụng tính bằng kWh/m2) thì thường là một chỉ số thích hợp cho việc xếp hạng hiệu quả năng lượng (xem phần thảo luận về việc điều chỉnh để phù hợp trong Điều 8).
Hiệu quả năng lượng có thể được xem xét cho mọi khía cạnh của một tòa nhà, từ toàn bộ tòa nhà (bao gồm tất cả các hệ thống kỹ thuật trong tòa nhà) cho đến bất kỳ hệ thống kỹ thuật (con) của mình, cho đến các kết cấu xây dựng (toàn bộ hoặc theo từng phần), cho đến các cấu kiện riêng lẻ. Khi xem xét toàn bộ tòa nhà thì được gọi là hiệu quả năng lượng tổng thể. Khi xem xét một khía cạnh con bất kỳ thì được gọi là hiệu quả năng lượng thành phần (xem 3.3.9 và 3.3.17).
Hiệu quả năng lượng của mỗi khía cạnh (ví dụ: Mỗi đặc tính hiệu quả năng lượng của tòa nhà) có thể được định lượng bởi một hoặc nhiều chỉ số có thể được tính toán và/ hoặc đo lường. Các chỉ số hiệu quả năng lượng đó có thể được sử dụng cho các mục đích khác nhau. Tùy thuộc vào mục tiêu, một chỉ số thích hợp (và khi thích hợp, yêu cầu và/ hoặc xếp hạng tương ứng) nên được lựa chọn cẩn thận. Vì vậy điều đầu tiên rất quan trọng là xác định chính xác và rõ ràng các mục tiêu theo đuổi.
Các chỉ số có thể được sử dụng cho các mục tiêu trong trường hợp ra quyết sách đối với chính sách công hoặc tư. Các mục tiêu bao gồm có thể là:
- Đối với các cơ quan có thẩm quyền:
- Đặt ra các yêu cầu hiệu quả năng lượng trong trường hợp quy chuẩn xây dựng tòa nhà;
- Cung cấp thông tin và minh bạch bằng cách xếp hạng (và bằng cách này, thúc đẩy các chủ thể tư nhân thực hiện các biện pháp hiệu suất năng lượng);
- Các mục tiêu khác, như làm cơ sở cho các chương trình hỗ trợ tài chính, phân tích thống kê, thiết lập các chính sách hành động, theo dõi sự tiến triển của chính sách, v.v...;
- Đối với các chủ thể tư nhân:
- Xây dựng các quy định kỹ thuật;
- Thiết kế tối ưu;
- Vận hành tối ưu;
- Cải tạo năng lượng của các tòa nhà hiện hữu;
- Các mục tiêu khác như quản lý tài sản (bởi các tập đoàn nhà ở, bởi các công ty (quốc tế) quản lý, đầu tư, hoạt động bất động sản phi nhà ở, bởi các chuỗi bán lẻ (quốc tế), v.v...).
Tiêu chuẩn này được soạn thảo phục vụ chủ yếu việc áp dụng của các cơ quan có thẩm quyền. Tuy nhiên các chủ thể tư nhân có thể áp dụng ngay nhiều nội dung cho các mục đích cụ thể của riêng mình.
Ngoài các nguyên tắc chung của quá trình hậu xử lý, tiêu chuẩn này cũng đề cập đến hiệu quả năng lượng tổng thể theo cách thức chi tiết hơn ở mức độ thực tế (xem 7.3.1). Bao gồm các bản mẫu báo cáo được tiêu chuẩn hóa cho tập hợp các yêu cầu hiệu quả năng lượng tổng thể đã chọn và các chỉ số được sử dụng cho từng yêu cầu (xem 9.5 và Phụ lục A và Phụ lục B).
CHÚ THÍCH 1: Hiệu quả năng lượng thành phần của rất nhiều hệ thống và bộ phận được bàn thảo theo cách thức thực tế hơn trong các tiêu chuẩn khác thuộc chủ đề hiệu quả năng lượng của tòa nhà thuộc các mô đun M2-4, M3-4, M4-4, M5-4, M6-4, M7-4, M8-4, M9-4 và M10-4.
Giữa các đặc tính hiệu quả năng lượng, các chỉ số, các yêu cầu, xếp hạng và giấy chứng nhận cũng có các tương tác phức hợp qua lại lẫn nhau. Các vấn đề này được bản thảo thêm trong các Điều sau đây.
CHÚ THÍCH 2: Các sơ đồ thể hiện các mối quan hệ có thể có giữa các phương pháp đánh giá hiệu quả năng lượng, các tiêu chuẩn sản phẩm, các đặc tính hiệu quả năng lượng, các chỉ số, các yêu cầu, các xếp hạng và giấy chứng nhận và các sử dụng khác được nêu trong ISO/TR 52003-2 [4].
7 Đặc tính hiệu quả năng lượng và các chỉ số
7.1 Tổng quát
Chỉ số hiệu quả năng lượng là một đại lượng bằng số biểu thị theo cách này hay cách khác hiệu suất năng lượng của “đặc tính tòa nhà” đang xem xét. Khi xem xét toàn bộ tòa nhà gồm tất cả các trang thiết bị kỹ thuật được lắp đặt, thì nó được gọi là chỉ hiệu quả năng lượng tổng thể (xem 7.3.1). Khi chỉ liên quan đến một phần của tòa nhà (ví dụ: Hệ thống kỹ thuật con cụ thể, kết cấu xây dựng hoặc các cấu kiện/bộ phận riêng rẽ) thì được gọi là chỉ số hiệu quả năng lượng thành phần (xem 7.3.2)
CHÚ THÍCH: Bản thân các chỉ số hiệu quả năng lượng tổng thể không cho biết thông tin về tất cả các khía cạnh của hiệu quả năng lượng của một tòa nhà. Vì vậy để cung cấp một cách minh bạch đầy đủ, các chỉ số hiệu quả năng lượng thành phần là một sự bổ sung hữu ích. Điều này cũng hoàn toàn đúng đối với các yêu cầu hiệu quả năng lượng của tòa nhà.
Chỉ số có thể là một đại lượng được đo lường hoặc tính toán hoặc tổ hợp của cả hai, ví dụ: Độ kín khí đo lường của vỏ bao che được sử dụng làm đầu vào để tính toán hiệu quả năng lượng tổng thể.
7.2 Chuẩn hóa theo kích thước tòa nhà
Quy trình để chuẩn hóa hiệu quả năng lượng tổng thể theo kích thước của tòa nhà tham chiếu, ví dụ: Diện tích sàn tham chiếu được nêu trong 9.4 của TCVN 13469-1:2022 (ISO 52000-1:2017).
Sự chuẩn hóa như thế một mình thường không đưa ra được một cơ sở thích hợp để đánh giá chất lượng năng lượng của một tòa nhà hoặc một đặc tính hiệu quả năng lượng cụ thể. Để đạt được các yêu cầu hợp lý hoặc việc xếp hạng có ý nghĩa thì về cơ bản cần có một phương pháp tiếp cận tinh vi hơn (xem Điều 9 và Điều 10).
7.3 Hiệu quả năng lượng và các chỉ số
7.3.1 Hiệu quản năng lượng tổng thể
Hiệu quả năng lượng tổng thể của một tòa nhà được biểu thị bằng một hoặc nhiều chỉ số tổng thể, Ewe, là năng lượng cấp đến theo trọng số trừ đi năng lượng xuất đi theo trọng số, được xác định theo 9.6 của TCVN 13469-1:2022 (ISO 52000-1:2017).
VÍ DỤ: Tổng mức sử dụng năng lượng sơ cấp không tái tạo và/ hoặc tái tạo; tỷ lệ năng lượng tái tạo, phát thải khí nhà kính, chi phí năng lượng hàng năm; xem TCVN 13469-1:2022 (ISO 52000-1:2017), 9.6.
Điều 9.6 của TCVN 13469-1:2022 (ISO 52000-1:2017) xác định từng biến số này theo một cách thức định lượng, chính xác và cung cấp các lựa chọn và các chi tiết liên quan đến các chỉ số hiệu quả năng lượng tổng thể, như các ranh giới đánh giá, loại trọng số và các chỉ số trọng số.
Các chỉ số này có thể được chuẩn hóa theo mô tả trong 7.2.
Những dịch vụ năng lượng nào mà được tính trong hiệu quả năng lượng tổng thể thì được xác định trong 6.2 của TCVN 13469-1:2022 (ISO 52000-1:2017) (mã định danh: EPB_LISTSERVICE_TYPE), với các chi tiết nêu trong 9.2 của TCVN 13469-1:2022 (ISO 52000-1:2017).
Trong Điều 9.2 của TCVN 13469-1:2022 (ISO 52000-1:2017) còn đưa ra xem xét đối với các tòa nhà không có đầy đủ tất cả các dịch vụ phải đánh giá (ví dụ: Tòa nhà không có hệ thống làm mát trong khi làm mát là một phần của tính toán hiệu quả năng lượng). Trong TCVN 13469-1:2022 (ISO 52000-1:2017) có hai lựa chọn cụ thể là:
- Nguyên tắc “hệ thống giả định” yêu cầu quy định kỹ thuật của một hệ thống kỹ thuật mặc định “giả tưởng” cho mỗi dịch vụ còn thiếu, và
- Nguyên tắc “sự có mặt của hệ thống” yêu cầu hệ thống tiêu chuẩn hiệu quả năng lượng liên quan của tòa nhà để đưa ra các quy trình cho phép quyết định xem một hệ thống có thể được coi là có mặt hay không.
CHÚ THÍCH 1: Điều này không phải lúc nào cũng rõ ràng. Ví dụ: Trong trường hợp sưởi ấm, thông gió hoặc làm mát được giả định là được cung cấp thông qua một nhà cung cấp địa phương trong một căn phòng khác, hoặc trong trường hợp của lò sưởi dùng điện, hoặc nếu dịch vụ sưởi ấm, thông gió và làm mát rõ ràng không có đủ công suất.
Trong trường hợp của nguyên tắc “sự có mặt của hệ thống”, một hiệu quả năng lượng có thể tốt hơn được chấp nhận cho các tòa nhà bị thiếu một vài dịch vụ. Điều này có thể dẫn đến việc vi phạm quy định về phạm vi đánh giá cùng cấp khi so sánh hiệu quả năng lượng với các tòa nhà khác. Điều này có thể được bù trừ bằng các chỉ số bổ sung cụ thể.
CHÚ THÍCH 2: Một chỉ số dựa trên các nhu cầu năng lượng cơ bản được tính toán (không tính đến các tính chất cụ thể của hệ thống) có thể cho thấy sự không thống nhất giữa các nhu cầu tính toán và mức sử dụng năng lượng theo tính toán (hoặc đo lường) (không có khi không có mặt hệ thống).
7.3.2 Hiệu quả năng lượng thành phần
Các đặc tính hiệu quả năng lượng thành phần thường được sử dụng nhiều nhất là:
a) Mức năng lượng sử dụng cho một mục đích cụ thể (ví dụ: Sưởi ấm, làm mát, cấp nước nóng, chiết sáng, thông gió, gia ẩm, khử ẩm),
b) Nhu cầu năng lượng cho làm mát và sưởi ấm các không gian,
c) Các đặc tính của kết cấu xây dựng hoặc của các hệ thống kỹ thuật, mỗi đặc tính được xem xét là một tổng thể (ví dụ: Hệ số truyền nhiệt của vỏ bao che nhiệt, hiệu suất của hệ thống sưởi, các hệ thống làm mát, cung cấp nước nóng, hiệu suất của hệ thống chiếu sáng) và
d) Các đặc tính của các cấu kiện của kết cấu tòa nhà hoặc của các hệ thống kỹ thuật tòa nhà (ví dụ: Hệ số truyền nhiệt của tường, hiệu suất của nồi hơi, cách nhiệt cho đường ống cấp nước nóng và hệ thống sưởi, làm mát, công suất cụ thể của quạt).
7.4 Tỷ số của các đại lượng giống hệt nhau / tương tự được sử dụng làm các chỉ số hiệu quả năng lượng
Thay vì một đại lượng vật lý (không phân biệt liệu đại lượng đó đã được chuẩn hóa lần đầu tiên theo kích thước tòa nhà hay không), một tỷ số có thể được dùng để biểu thị hiệu quả năng lượng. Có hai loại tỷ số có thể được phân biệt:
1) Đại lượng chia cho một giá trị tham chiếu của cùng một đại lượng cho một kết quả giá trị không thứ nguyên. Khi giá trị tham chiếu phụ thuộc vào các lựa chọn quản lý thì không thể xác định đầy đủ tỷ số cụ thể đó trong các tiêu chuẩn kỹ thuật.
2) Đối với các hệ thống (con) kỹ thuật tòa nhà: Đầu ra chia cho đầu vào (hoặc ngược lại), có thể không có thứ nguyên hoặc có thứ nguyên. Vì đây thường là các định nghĩa kỹ thuật thuần túy nên chúng thường được định nghĩa đầy đủ trong các tiêu chuẩn kỹ thuật
Hai điểm này bây giờ được bàn thảo một cách chi tiết hơn.
1) Tỷ lệ của các đại lượng giống nhau
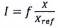
Chỉ số (l) về cơ bản theo toán học có thể được xác định như sau:
|
| (1) |
trong đó:
ƒ là một chỉ số tỷ lệ không đổi tùy chọn không thứ nguyên, với một giá trị, ví dụ: 10 hoặc 100;
X là đại lượng vật lý đang xem xét, tính bằng đơn vị [U];
Xreƒ là giá trị tham chiếu cho cùng một đại lượng vật lý, tính bằng đơn vị [U].
I là ký hiệu tổng quát biểu thị một cách ngắn gọn cho một chỉ số không thứ nguyên bất kỳ có thể có. [U] là viết tắt của đơn vị tính cho một đại lượng vật lý. Nó có thể là một đơn vị bất kỳ. Để có được một đại lượng không thứ nguyên thì giá trị tham chiếu phải có cùng một đơn vị tính [U].
Việc xác định một tỷ lệ như thế là đặc biệt hữu ích khi giá trị tham chiếu thay đổi từ tòa nhà này sang tòa nhà khác, vì đó thường là trường hợp với các đại lượng phức hợp, chẳng hạn như hiệu quả năng lượng tổng thể, nhu cầu năng lượng cho làm mát hoặc sưởi ấm hoặc hệ số truyền nhiệt trung bình.
CHÚ THÍCH 1: Đối với các ví dụ này, các tỷ lệ không thứ nguyên đã được áp dụng thành công trong thực tế.
CHÚ THÍCH 2: Theo cách thức này, việc truyền đạt dễ dàng chỉ số cuối cùng có thể được thực hiện bằng cách lấy một giá trị đơn lẻ bằng phân tích ngược đôi lúc có thể là rất phức tạp và khó giải nghĩa cho công chúng. Chỉ số tóm lược đơn lẻ thường là dễ hiểu đối với tất cả các bên.
Giá trị tham chiếu thường thu được bằng một công thức toán học hoặc một tòa nhà tham chiếu được còng nhận (xem Điều 8). Bằng cách xác định một cách thận trọng (giá trị biến số) giá trị tham chiếu, có thể thu được một chỉ số công nghệ và kinh tế hợp lý. Các khía cạnh này sẽ được quy định thêm trong 9.3.
CHÚ THÍCH 3: Những ưu điểm và nhược điểm chính của việc sử dụng các tỷ lệ được bản thảo bổ sung thêm trong ISO/TR 52003-2[4]. Tài liệu này cũng đưa ra một số các xem xét thực tế bổ sung, ví dụ: Liên quan đến yếu tố về thang đo.
2) Tỷ lệ giữa hai đại lượng khác nhau
Trường hợp thứ hai này liên quan đến tỷ lệ đầu ra/ đầu vào (hoặc ngược lại) của các hệ thống (con) kỹ thuật tòa nhà. Sẽ có hai khả năng:
a) Tỷ lệ đầu vào/đầu ra không thứ nguyên
Đối với các hệ thống (con) kỹ thuật tòa nhà, tỷ lệ đầu ra/ đầu vào (“tỷ lệ lợi ích/chi phí”), khi được thể hiện bằng cùng một đơn vị, thường được gọi là hiệu suất η (không thứ nguyên), số nghịch đảo của hiệu suất, nghĩa là tỷ lệ đầu vào/ đầu ra (“tỷ lệ chi phí/lợi ích”), thường được gọi là chỉ số chi tiêu ε (không thứ nguyên).
Hiệu suất thường được sử dụng rộng rãi và cho phép dễ dàng hiểu được dấu hiệu của các tổn thất và hiệu quả năng lượng của một hệ thống (con) kỹ thuật. Nên thận trọng trong tính toán hiệu suất khi có cả hai dòng năng lượng nhiệt và điện: Trong trường hợp đó đặc biệt là năng lượng điện cần phải nhân với một chỉ số năng lượng sơ cấp, có thể tìm trong các tài liệu hệ thống kỹ thuật các định nghĩa thực tế về các hiệu suất, ví dụ: Đối với các hệ thống sưởi được nêu trong Điều 7 của EN 15316-1:2017[9].
b) Tỷ lệ đầu vào/ đầu ra của các loại đại lượng khác nhau
Đôi khi, đầu ra có bản chất rất khác so với đầu vào (ví dụ: không phải thực sự là một dòng năng lượng nữa). Trong trường hợp này, tỷ lệ không phải là không thứ nguyên).
VÍ DỤ: Công suất chiếu sáng được lặp đặt cho chiếu sáng một mặt bằng làm việc, ví dụ: W/m2 cho 100 lux hoặc công suất quạt cụ thể (SPF), nghĩa là tỷ lệ của công suất điện đầu vào của quạt trên lưu lượng không khí cung cấp trong các phòng là W trên m3/h. Đại lượng thứ hai không chỉ phụ thuộc vào các đặc tính của quạt mà còn phụ thuộc vào đặc tính kỹ thuật của toán bộ hệ thống thông gió, đặc biệt là mức sụt áp tổng thể.
8 Điều chỉnh để phù hợp đối với các yêu cầu và đánh giá xếp hạng
8.1 Hai phương pháp tiếp cận
Yêu cầu đối với chỉ số hiệu quả năng lượng của tòa nhà hoặc một xếp hạng tham chiếu có thể là một giá trị cố định hoặc giá trị biến số.
Giá trị tham chiếu biến số có thể là cần thiết đối với các yêu cầu hướng đến hiệu quả chi phí tối ưu hoặc để phản ánh đúng mức kho dữ liệu năng lượng trung bình của tòa nhà đối với việc xếp hạng. Một tham chiếu biến số, ví dụ, có thể lấy kích thước thực của tòa nhà và/ hoặc hình dạng thực và/hoặc yếu tố bất kỳ khác cần thiết làm cơ sở để đưa ra các yêu cầu hoặc các tham chiếu xếp hạng.
Có hai cách để áp dụng nguyên tắc này trong thực tiễn:
1) Phương pháp tiếp cận theo công thức: Giá trị biến số được xác định theo một công thức, ví dụ: Hàm số của địa điểm (khí hậu), kích thước tòa nhà, hình dạng và loại tòa nhà. Công thức được thiết lập dựa trên một tập hợp giả thiết tham chiếu.
2) Phương pháp tiếp cận theo tòa nhà tham chiếu được công nhận: Giá trị biến số là giá trị của hiệu quả được tính toán cho một tòa nhà có cùng địa điểm (khí hậu), kích thước tòa nhà, hình dạng và loại tòa nhà, v.v... nhưng với một tập hợp giả thiết tham chiếu.
CHÚ THÍCH: Mặc dù cách thức tiến hành trong thực tế cho một dự án xác định là rõ ràng khác nhau, hai phương pháp thực sự dẫn đến các kết quả số rất giống nhau, nếu cùng một tập hợp của các giả thiết tham chiếu được lấy làm điểm bắt đầu. Điều này được bản thảo và minh họa thêm trong TCVN 13470-2:2022 (ISO/TR 52003-2:2017)[4], cũng liệt kê một số ưu điểm và nhược điểm của cả hai phương pháp tiếp cận.
Việc điều chỉnh để phù hợp có thể thích hợp cho cả hiệu quả năng lượng tổng thể và hiệu quả năng lượng thành phần.
Lý do căn bản của việc lựa chọn một tập hợp giả thiết tham chiếu thích hợp cho các yêu cầu được mô tả trong 8.2.
8.2 Đặc tính của dự án cần điều chỉnh để phù hợp
Trong cả hai phương pháp tiếp cận theo công thức và tiếp cận theo tòa nhà tham chiếu, một vài đặc tính của dự án riêng rẽ được sử dụng để điều chỉnh cho phù hợp. Một vài đặc tính của dự án thường hay được sử dụng nhất để điều chỉnh các hiệu quả năng lượng tổng thể cho phù hợp được nêu trong Bảng 2. Một vài trong số đó có liên quan đến các lựa chọn thiết kế của dự án riêng rẽ (kích thước, lưu lượng thông gió, mức chiếu sáng, v.v...), một vài trong số đó chỉ có thể dễ dàng áp dụng cho trường hợp các tòa nhà xây mới bởi vì không thể dễ dàng xác định được chúng trong trường hợp các tòa nhà hiện hữu.
Bảng 2 - Các ví dụ về các đặc tính kỹ thuật của dự án được sử dụng để thiết lập các giá trị được điều chỉnh phù hợp đối với hiệu quả năng lượng
| Các đặc tính | Chú giải |
| Loại tòa nhà | Trong các phương pháp đánh giá hiệu quả năng lượng của tòa nhà được tiêu chuẩn hóa, loại này thường xác định một vài điều kiện ranh giới và các giả thiết chẳng hạn như phần thu nhận nhiệt bên trong, số giờ sử dụng tòa nhà, mật độ sử dụng trung bình giả định, v.v... những yếu tố này có tác động chính đến hiệu quả năng lượng tính toán và do đó cũng có tác động đến yêu cầu. |
| Kích thước của tòa nhà và diện tích vỏ bao che nhiệt | Kích thước thường được đặc trưng bởi diện tích sàn hữu ích, đôi khi được đặc trưng bởi thể tích. Nếu cần thiết, diện tích vỏ bao che nhiệt có thể được phân chia thành các diện tích trên mỗi loại cấu kiện/bộ phận (ví dụ: Mái không xuyên sáng, tường không xuyên sáng, cửa sổ, sàn mặt đất và sàn trên mặt đất, v.v...) |
| Địa điểm | Trong phạm vi quy định, khía cạnh này thường xác định một cách tự động (toàn bộ hoặc một phần) các điều kiện môi trường bên ngoài được xem xét để đánh giá hiệu quả năng lượng của tòa nhà. |
| Các điều kiện môi trường bên ngoài | Chủ yếu liên quan đến nhiệt độ ngoài nhà, bức xạ mặt trời, bóng râm có thể có do các vật thể trong môi trường tạo ra, v.v... Trong phạm vi quy định, khía cạnh này thường được xác định một cách tự động (toàn bộ hoặc một phần) bởi địa điểm của tòa nhà. |
| Môi trường bên trong và các dịch vụ |
|
| - Đặc tính nhiệt độ cài đặt cho sưởi ấm | Trong phạm vi quy định, khía cạnh này thường xác định tự động bởi loại tòa nhà hoặc loại không gian. |
| - Đặc tính nhiệt độ cài đặt cho làm mát | Trong phạm vi của quy định, khía cạnh này thường xác định tự động bởi loại tòa nhà hoặc loại không gian tòa nhà. |
| - Bội số trao đổi không khí | Mật độ sử dụng thiết kế và mức chất lượng không khí trong nhà thiết kế xác định bội số trao đổi không khí thiết kế. Khi các yếu tố này được lấy làm đầu vào cho việc đánh giá hiệu quả năng lượng của tòa nhà, việc sử dụng chúng làm đầu vào tham chiếu nhất quán cũng là hợp lý. |
| - Mức chiếu sáng | Việc đánh giá hiệu quả năng lượng của tòa nhà thường dựa trên công suất chiếu sáng được lắp đặt, phụ thuộc rất nhiều vào mức chiếu sáng cần đạt được. Do đó việc sử dụng mức chiếu sáng làm đầu vào tham chiếu là hợp lý. |
| - Nhu cầu nước nóng | Trong phạm vi quy định, khía cạnh này thường xác định tự động bởi loại tòa nhà hoặc loại không gian và kích thước của tòa nhà |
| Chất mang năng lượng | Ví dụ để tính đến sự sẵn có của các nguồn năng lượng cụ thể tại các địa điểm cụ thể. |
9 Yêu cầu hiệu quả năng lượng
9.1 Tổng quát
Việc đặt ra các yêu cầu hiệu quả năng lượng hữu hiệu là một vấn đề đầy thách thức, theo đó một số khía cạnh cần được tính đến để đạt được các mục tiêu.
Trong trường hợp đầu tiên, điều quan trọng là các cơ quan có thẩm quyền phải xác định rõ ràng và chính xác các mục tiêu đang theo đuổi. Các mục tiêu này có thể là tổ hợp của một vài các mục tiêu độc lập:
- Môi trường bên trong tiện nghi và có lợi cho sức khỏe;
- Hiệu suất năng lượng;
- Bảo trì các kết cấu tòa nhà và thiết bị (ví dụ: tránh xuống cấp do độ ẩm);
- Các mục tiêu khác.
Một yêu cầu đơn lẻ thường có thể đóng góp ở mức độ lớn hơn hoặc nhỏ hơn cho nhiều mục tiêu (ví dụ: việc cách nhiệt có thể làm tăng cả tiện nghi nhiệt và hiệu suất năng lượng).
Việc xác định các mục tiêu khác nhau có thể là một quá trình lặp đi lặp lại đến một mức độ nào đó: Trong quá trình thảo luận thực tế về các đặc tính hiệu quả năng lượng của tòa nhà và các chỉ số để đặt ra các yêu cầu, các động lực phụ chưa được liệt kê từ ban đầu có thể được xác định. Tất nhiên danh sách ban đầu sau đó nên được cập nhật để duy trì sự rõ ràng.
Tiếp theo, các cơ quan có thẩm quyền cần đưa ra ba lựa chọn:
- Sự kết hợp của các đặc tính hiệu quả năng lượng của tòa nhà và các chỉ số hiệu quả năng lượng của tòa nhà tương ứng để đưa ra các yêu cầu (xem 9.2);
- Đối với mỗi chỉ số để đưa ra yêu cầu: Yêu cầu có giá trị là hằng số hay giá trị biến số được điều chỉnh để phù hợp (xem 9.3);
- Mức độ nghiêm ngặt thực tế của từng yêu cầu (xem 9.4).
CHÚ THÍCH 1: Liên quan đến hiệu suất năng lượng, việc xem xét lặp lại trong suốt quá trình ra quyết định có thể đem lại hiệu quả về chi phí: Nó thường được xem xét với mong muốn là các quy định về hiệu quả năng lượng của tòa nhà đảm bảo rằng một khoản đầu tư bất kỳ về hiệu quả năng lượng được chi trả cho bản thân nó trong suốt vòng đời (theo một kịch bản về giá năng lượng dự kiến trong tương lai nhất định) được thực hiện trong từng dự án riêng lẻ (nghĩa là công trình tòa nhà bất kỳ được thực hiện). Tất nhiên, cách thể hiện yêu cầu theo định hướng về hiệu quả cho phép tính đến các gói giải pháp bất kỳ miễn là tối thiểu phải đạt hiệu quả tốt. Việc xem xét hiệu quả chi phí này có thể ảnh hưởng mạnh đến từng lựa chọn của ba lựa chọn trên. Các vấn đề này sẽ được bàn thảo chi tiết hơn trong TCVN 13470-2 (ISO/TR 52003-2[4]. Các phương pháp luận về đánh giá kinh tế đề cập trong các tiêu chuẩn liên quan thuộc mô đun hiệu quả năng lượng của tòa nhà M1-14.
Một điểm chú ý khác cho các cơ quan có thẩm quyền là việc đặt ra các ngoại lệ đối với các yêu cầu. có thể có hai loại điều khoản để phân biệt:
- Điều khoản chung trong quy định về hiệu quả năng lượng của tòa nhà theo cách thức chung thường có khả năng là đặt ra các yêu cầu không chặt chẽ (hoặc từ bỏ hoàn toàn một số trong số chúng) đối với một dự án riêng lẻ trong các trường hợp rất đặc biệt, chủ yếu là khi yêu cầu rất khó khăn (hoặc thậm chí là không thể về mặt vật lý hoặc toán học) để đạt được trong thực tế hoặc khi nó quá đắt đỏ. Điều này thường được gọi là Điều khoản “khó khăn”. Các cơ quan có thẩm quyền sau đó cần đưa ra phê duyệt rõ ràng, sơ bộ về một dự án dựa vào các điểm cơ bản của dự án.
- Các ngoại lệ cụ thể được xác định trước một cách rõ ràng ngay trong các quy định.
Trong trường hợp đầu tiên (điều khoản khó khăn chung), cần hết sức lưu ý rằng nó vẫn là một ngoại lệ và không trở thành thông lệ chung (hoặc trở thành cửa sau cho sự lạm dụng). Việc sử dụng rộng rãi giải pháp như vậy cũng sẽ tạo ra gánh nặng hành chính đối với các cơ quan có thẩm quyền, đòi hỏi các chuyên môn kỹ thuật và kinh tế tiên tiến, Vì vậy, họ nên nghiên cứu và đánh giá cẩn thận từng yêu cầu riêng lẻ một. Điều quan trọng là các quy tắc rõ ràng được cung cấp cho những cái được coi là khó khăn quá mức (ví dụ: những cái được coi là chi phí quá mức). Ngoài ra thì các thủ tục hành chính và cơ quan ban hành các ngoại lệ (ví dụ: ở cấp địa phương hoặc cấp trung ương) cần phải được thiết lập một cách rõ ràng.
Trong trường hợp thứ hai (các ngoại lệ được xác định trước), điều quan trọng để xác định một cách chính xác và rõ ràng khi áp dụng một ngoại lệ sao cho sự nghi ngờ và tranh luận phát sinh càng ít càng tốt, mặc dù nó thường liên quan đến các tình huống phức tạp, ví dụ trong trường hợp cải tạo. Các ví dụ về việc xác định trước các ngoại lệ trong các tòa nhà từ các tòa nhà có tính lịch sử và tôn giáo cho đến việc lắp kính đơn cho cửa sổ của các cửa hàng hoặc lắp toàn bộ kính cho cửa ngoài của các tòa nhà.
9.2 Lựa chọn kết hợp các yêu cầu
Có hai lựa chọn phải được thực hiện:
- Các đặc tính hiệu quả năng lượng của tòa nhà để đưa ra các yêu cầu;
- Chỉ số được sử dụng để thể hiện yêu cầu định lượng cho mỗi đặc tính hiệu quả năng lượng của tòa nhà.
Vì các lý do thực tiễn và kinh tế rõ ràng, sự kết hợp của các đặc tính hiệu quả năng lượng để đưa ra các yêu cầu thường thay đổi rất nhiều tùy theo loại công việc đang được thực hiện.
Trong 6.2 của TCVN 13469-1:2022 (ISO 52000-1:2017) các lựa chọn khác nhau liên quan đến loại đối tượng được quy định và đối với một dự án cụ thể, loại hoặc các loại đối tượng liên quan được xác định.
Trong mỗi trường hợp, sự kết hợp các yêu cầu (và cách thức thể hiện từng yêu cầu và mức độ nghiêm ngặt thực tế; xem 9.3 và 9.4) có thể khác nhau phụ thuộc vào loại tòa nhà (ví dụ: nhà ở riêng lẻ, tòa nhà công sở văn phòng, v.v...).
CHÚ THÍCH: Các vấn đề này được thảo luận thêm trong TCVN 13470-2 (ISO/TR 52003-2)[4], phân biệt giữa các tòa nhà mới và hiện hữu.
9.3 Yêu cầu về giá trị hằng số và giá trị biến số
Để quyết định đặt ra yêu cầu đối với đặc tính hiệu quả năng lượng của tòa nhà và chỉ số tương ứng xác định (xem 9.2) thì nên quyết định xem liệu yêu cầu là một giá trị số cố định hay một giá trị biến số được điều chỉnh để phù hợp với đặc tính cụ thể của từng dự án riêng lẻ (xem Bảng 2 về một số ví dụ phổ biến của các đặc tính ảnh hưởng). Sự lựa chọn quan trọng này, cũng như các giả thiết khởi đầu được lựa chọn trong trường hợp của một giá trị biến số, cần phải được chú ý rất cẩn thận vì chúng có thể có tác động to lớn đến các quy định về hiệu quả năng lượng của tòa nhà, đặc biệt là liệu tất cả các dự án xây dựng tòa nhà có được đệ trình với nhiều hay ít các yêu cầu có thể so sánh về mặt công nghệ và kinh tế (mức độ nghiêm ngặt thực tế tổng thể/ trung bình được thảo luận trong 9.4). Điều 8 thảo luận chủ đề về điều chỉnh để phù hợp.
CHÚ THÍCH: Vấn đề về các yêu cầu của giá trị biến số được thảo luận chi tiết hơn trong TCVN 13470-2:2022 (ISO/TR 52003- 2:2017).
9.4 Mức độ nghiêm ngặt thực tế
Như đã nêu trong 9.1, các xem xét về tài chính có thể có tầm quan trọng lớn khi quyết định mức độ nghiêm ngặt thực tế của các yêu cầu hiệu quả năng lượng.
Một trong các câu hỏi quan trọng nhất để trả lời khi thực hiện các phân tích kinh tế là kịch bản giá năng lượng trong tương lai. Sự lựa chọn của một kịch bản chủ yếu là điều kiện chính trị xã hội. Một số biến thể của kịch bản giá năng lượng có thể được xem xét từ chi phí dự kiến của chủ thể tư nhân gồm cả các chi phí bên ngoài cho đến chi phí thay thế (ví dụ: chi phí của dạng năng lượng tái tạo quy mô lớn).
CHÚ THÍCH: Vấn đề các kịch bản chi phí năng lượng khác nhau được đề cập thêm trong 9.1 của TCVN 13470-2:2022 (ISO/TR 52003-2:2017)[4].
9.5 Bản mẫu báo cáo hiệu quả năng lượng tổng thể
Trong ứng dụng của 9.2, Bảng A.2 cung cấp một bản mẫu thống nhất để các cơ quan có thẩm quyền báo cáo việc kết hợp lựa chọn của họ về các yêu cầu hiệu quả năng lượng tổng thể (xem cả 7.3.1); với các lựa chọn mặc định trong Bảng B.2. Ngoài các bảng mẫu hoàn chỉnh, các mục tiêu đang theo đuổi (xem 9.1) phải được đề cập rõ ràng và phải được giải thích về cách thức việc kết hợp của các đặc tính hiệu quả năng lượng đã chọn đạt được các mục tiêu này.
Bảng A.3, A.4 và A.5 cung cấp một bản mẫu thống nhất để báo cáo chỉ số được chọn cho mức sử dụng năng lượng sơ cấp tổng thể, không tái tạo và tái tạo (nếu thích hợp) với các lựa chọn mặc định trong Bảng B.3, B.4 và B.5.
CHÚ THÍCH: Các yêu cầu về đặc tính hiệu quả năng lượng thành phần được đề cập trong các tiêu chuẩn khác, ví dụ: ISO 52018-1 cho các đặc tính liên quan đến cân bằng nhiệt và kết cấu xây dựng.
10 Xếp hạng hiệu quả năng lượng của tòa nhà
10.1 Tổng quát
Một chỉ số bằng số về một đặc tính hiệu quả năng lượng của tòa nhà (được xác lập bởi các phương pháp đánh giá hiệu quả năng lượng của tòa nhà) không tự động cho biết chất lượng của tòa nhà về mặt năng lượng đối với đặc tính hiệu quả năng lượng đó của tòa nhà. Chỉ số hiệu quả năng lượng của tòa nhà cần phải so sánh với các giá trị tham chiếu để đánh giá xếp hạng hiệu quả tốt hay hiệu quả kém của đặc tính hiệu quả năng lượng của tòa nhà đang xem xét.
CHÚ THÍCH: Xem Hình 2 của TCVN 13470-2:2022 (ISO/TR 52003-2:2017)[4].
Thường thường thì chỉ số này có thể được chuyển đổi thành giá trị đại diện cho các tòa nhà mới có liên quan đến kho dữ liệu năng lượng trung bình.
Một trong những mục tiêu của việc xếp hạng là cung cấp thông tin và truyền tải về hiệu quả năng lượng. Điều này áp dụng cho cả hiệu quả năng lượng tổng thể của tòa nhà và hiệu quả năng lượng của một đặc tính năng lượng cụ thể bất kỳ (hiệu quả năng lượng thành phần bất kỳ).
10.2 Quy trình xếp hạng hiệu quả năng lượng của tòa nhà
Cách thức khác nhau để biểu thị xếp hạng năng lượng tổng thể hoặc thành phần của một tòa nhà hoặc một đặc tính của tòa nhà có thể được xác định trên cơ sở giá trị của chỉ số hiệu quả năng lượng so với các giá trị tham chiếu.
CHÚ THÍCH 1: Nếu một trong các giá trị tham chiếu là, ví dụ, bằng không thì sau đó chỉ cần một giá trị tham chiếu khác. Các ví dụ được nêu trong TCVN 13470-2 (ISO/TR 52003-2)[4].
Các phương pháp xếp hạng năng lượng mặc định sau đây đã được biên soạn một cách chi tiết.
CHÚ THÍCH 2: Phương pháp thứ nhất là phương pháp đã được giới thiệu (nguyên bản hoặc với các điều chỉnh thích ứng cụ thể) tại nhiều nước và phương pháp thứ hai là một phiên bản được phát triển thêm có tính đến nhiều tiến triển mới.
Bảng A.6 cung cấp bản mẫu để lựa chọn giữa ba phương pháp này với một lựa chọn mặc định tham khảo trong Bảng B.6.
1) Phương pháp xếp hạng năng lượng mặc định với hai điểm tham chiếu:
- Thang đo hiệu quả phải có dải từ A (các tòa nhà có hiệu quả năng lượng tốt nhất) đến G (các tòa nhà có hiệu quả năng lượng kém nhất).
- Giá trị hiệu quả năng lượng tham chiếu quy định, Rr, phải được đặt vào vị trí ranh giới giữa hai loại, ví dụ loại B và C.
- Giá trị tham chiếu của kho dữ liệu về năng lượng của tòa nhà, Rs, phải được đặt vào vị trí ranh giới giữa hai loại, ví dụ loại D và E.
- Một tòa nhà có năng lượng được cấp đến bằng 0 phải được đặt tại vị trí của loại trên cùng, ví dụ: loại A.
- Các loại con có thể được xác định để mở rộng cho mỗi loại chính, ví dụ như: loại A có thể bổ sung thêm với A+, A++, A+++.
Các lựa chọn về các ranh giới được nêu ra trong Bảng A.6 (bản mẫu quy định) với các lựa chọn mặc định tham khảo nêu trong Bảng B.6.
Quy trình cấp giấy chứng nhận năng lượng tòa nhà phải mô tả các giới hạn của từng loại.
CHÚ THÍCH 3: TCVN 13470-2:2022 (ISO/TR 52003-2:2017)[4] cung cấp các đề xuất phục vụ lập báo cáo các quy định kỹ thuật và ISO/TR 52003-2, Phụ lục D cung cấp đề xuất thực tiễn để xác định các ranh giới của các loại khác.
CHÚ THÍCH 4: TCVN 13470-2:2022 (ISO/TR 52003-2:2017), Phụ lục E đưa ra ví dụ mô tả các mẫu nhãn năng lượng Xem Điều 9 để biết thêm chi tiết về lựa chọn đúng các giá trị Rr và Rs.
2) Phương pháp xếp hạng năng lượng mặc định với một điểm tham chiếu riêng lẻ (xem ví dụ trong Bảng 3):
- Thang đo hiệu quả phải có dải từ loại A đến loại G.
- Các loại con có thể được xác định để mở rộng cho mỗi loại chính, ví dụ như: loại A có thể bổ sung thêm với A+, A++, A+++.
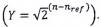
- Các ranh giới của các loại dựa trên cơ sở thang phi tuyến ![]()
- Giá trị hiệu quả năng lượng tham chiếu quy định, Rr , phải được đặt vào vị trí ranh giới giữa hai loại, ví dụ loại 4 và 5 (nref = 4). Giá trị nref trong công thức
xác định vị trí của giá trị tham chiếu quy định, Rr , trên thang giá trị. Việc lựa chọn ranh giới, nref, được nêu ra trong Bảng A.6 (bản mẫu quy định) với các lựa chọn mặc định tham khảo nêu trong Bảng B.6. Xem Điều 9 để biết thêm chi tiết về việc lựa chọn đúng các giá trị Rr.
CHÚ THÍCH 5: Xem TCVN 13470-2:2022 (ISO/TR 52003-2:2017) để biết thông tin cơ bản về phương pháp này.
Bảng 3 - Ví dụ về các loại của phương pháp xếp hạng năng lượng mặc định với một điểm tham chiếu riêng lẻ
| Loại | Ví dụ về loại đối với nref = 4 |
|
| EP < 0 |
| Loại 1 (A) | 0 Ref < EP ≤ 0,35 Ref |
| Loại 2 (B) | 0,35 Ref < EP ≤ 0,50 Ref |
| Loại 3 (C) | 0,50 Ref < EP ≤ 0,71 Ref |
| Loại 4 (D) | 0,71 Ref < EP ≤ 1,00 Ref |
| Loại 5 (E) | 1,00 Ref < EP ≤ 1,41 Ref |
| Loại 6 (F) | 1,41 Ref < EP ≤ 2,00 Ref |
| Loại 7 (G) | 2,00 Ref < EP |
3) Phương pháp xếp hạng năng lượng khác:
Một phương pháp khác bất kỳ được sử dụng để xếp hạng năng lượng.
CHÚ THÍCH 6: Lựa chọn thứ ba này có thể cũng được sử dụng để mở ra một vài chi tiết của phương pháp xếp hạng năng lượng mặc định thứ nhất và thứ hai đối với lựa chọn tầm quốc gia bằng cách quy định phương pháp xếp hạng năng lượng khác giống với phương pháp thứ nhất hoặc thứ hai nhưng khác một vài chi tiết không lường trước được trong các lựa chọn mặc định nêu trong Bảng A.6 và B.6.
10.3 Giá trị tham chiếu
10.3.1 Tổng quát
Như đã nêu trong Điều 8, các tham chiếu để xếp hạng hiệu quả năng lượng (tổng thể hoặc thành phần) có thể có giá trị cố định hoặc giá trị biến số (các hàm số). Một tham chiếu giá trị biến số (một hàm số) có thể là cần thiết vì lý do hiệu quả chi phí tối ưu.
10.3.2 Yêu cầu được lấy làm giá trị tham chiếu chính
Yêu cầu đối với công trình xây dựng mới (hoặc cải tạo) được lấy làm giá trị tham chiếu chính để đánh giá hiệu quả của một đặc tính hiệu quả năng lượng của tòa nhà. Nó được gán thêm ký hiệu Rr. Các khía cạnh khác nhau để thiết lập các yêu cầu (bao gồm câu hỏi liệu các giá trị cố định hay giá trị biến số là phù hợp nhất) được xử lý trong Điều 9.
10.3.3 Kho dữ liệu năng lượng của tòa nhà được lấy làm giá trị tham chiếu
Tham chiếu chính thứ hai liên quan đến giá trị trung bình đối với kho dữ liệu năng lượng của tòa nhà. Nó tương ứng với mức hiệu quả năng lượng đạt được bởi một tỷ lệ phần trăm nhất định, ví dụ: xấp xỉ giá trị trung vị (50 %) của kho dữ liệu năng lượng tòa nhà ở cấp quốc gia hoặc khu vực tùy thuộc vào lựa chọn trong Bảng A.6 (bản mẫu) với lựa chọn tham khảo trong Bảng B.6. Nó được gán thêm với ký hiệu Rs. Giá trị tham chiếu này cũng có thể được điều chỉnh phù hợp với các đặc tính riêng lẻ của tòa nhà theo cùng một cách thức tương tự như yêu cầu đối với các công trình xây dựng mới bằng phương pháp tiếp cận theo công thức hoặc phương pháp tiếp cận theo tòa nhà tham chiếu được công nhận, đã mô tả trong Điều 8.
Việc thay đổi các giá trị tham chiếu được khuyến nghị với thời gian tối thiểu là 5 năm.
CHÚ THÍCH: Chính sách quốc gia có thể quyết định có giữ nguyên giá trị Rr hay không ngay cả khi thay đổi các quy định.
Các giá trị tham chiếu phải được xác định cho các loại tòa nhà thuộc các hạng loại khác nhau, ví dụ: Nhà ở gia đình riêng lẻ, nhà chung cư, văn phòng công sở, cơ sở giáo dục, bệnh viện, khách sạn, quán ăn, các công trình thể thao, các tòa nhà dịch vụ thương mại bán buôn bán lẻ, và các loại khác.
Khi một tòa nhà xác định thuộc vào các hạng loại khác nhau (ví dụ: giáo dục + thể thao), nó phải:
- Xác định tham chiếu cho từng loại công trình tòa nhà riêng biệt, hoặc
- Xác định giá trị tham chiếu dưới dạng trung bình trọng số theo diện tích của các giá trị tham chiếu cho từng loại công trình.
11 Giấy chứng nhận hiệu quả năng lượng
11.1 Tổng quát
Điều này bao gồm các mục sau:
a) Nội dung của quy trình cấp giấy chứng nhận năng lượng tòa nhà;
b) Nội dung của giấy chứng nhận năng lượng;
c) Mô tả các khuyến nghị cần bao gồm trong giấy chứng năng lượng.
CHÚ THÍCH: Ngoài điều này, Phụ lục D và E của TCVN 13470-2:2022 (ISO/TR 52003-2:2017)[4] cung cấp cách thức mô tả một quy trình cấp giấy chứng nhận năng lượng tòa nhà, quy trình tham khảo phân loại tòa nhà, các ví dụ về mẫu định dạng giấy chứng nhận năng lượng.
11.2 Nội dung của quy trình cấp giấy chứng nhận năng lượng
Khi xây dựng quy trình cấp giấy chứng nhận năng lượng tòa nhà theo tiêu chuẩn này, thông tin về các lựa chọn đã thực hiện phải được lập thành văn bản.
CHÚ THÍCH 1: Chi tiết hơn được nêu trong 11.2 của TCVN 13470-2:2022 (ISO/TR 52003-2:2017)[4]
Một quy trình cấp giấy chứng nhận năng lượng tòa nhà bao gồm các mục sau:
a) Đánh giá hiệu quả năng lượng: Đánh giá hiệu quả năng lượng theo TCVN 13469-1 (ISO 52000-1);
b) Ứng dụng: Quy định kỹ thuật của các trường hợp khi áp dụng quy trình cấp giấy chứng nhận năng lượng tòa nhà cho:
- Trường hợp để bán, cho thuê, thiết kế tòa nhà mới hoặc sau khi xây dựng, phải được niêm yết rõ ràng tại tòa nhà hành chính công có thẩm quyền, v.v...;
- Trường hợp kiểm tra sự tuân thủ các yêu cầu hiệu quả năng lượng.
c) Loại hình đánh giá hiệu quả năng lượng: Quy định kỹ thuật của loại hình đánh giá hiệu quả năng lượng được sử dụng theo quy định trong TCVN 13469-1 (ISO 52000-1) được tính toán (theo thiết kế, theo hoàn công; theo tiêu chuẩn, hoặc được điều chỉnh để phù hợp thực tế) và/hoặc được đo lường (theo tiêu chuẩn hoặc theo thực tế)], cho từng ứng dụng (xem điểm b) ở trên) và áp dụng cho loại tòa nhà nào. Trong trường hợp xếp hạng theo thiết kế, điều này bao gồm ở điều kiện nào thì xếp hạng theo thiết kế có thể được coi là hoặc được chuyển đổi thành xếp hạng năng lượng tính toán cho tòa nhà triển khai thực tế. Trong trường hợp xếp hạng năng lượng theo đo lường, điều này bao gồm quy định kỹ thuật về các điều kiện thực tế trong tòa nhà cần được lập hồ sơ (nếu có) và liệu có phải thực hiện hay không thực hiện các chỉnh sửa để điều chỉnh các sai lệch về các kỳ thời gian, thời tiết, và/ hoặc các điều kiện trong nhà;
d) Chỉ số tổng thể dạng số: Quy định kỹ thuật của chỉ số tổng thể dạng số theo quy định trong 7.3, và cụ thể bao gồm dịch vụ năng lượng nào và năng lượng tái tạo được sản xuất tại chỗ là một phần của năng lượng được cấp đến hay không và có tính đến năng lượng được xuất đi hay không;
e) Sự chuẩn hóa: Có hay không quy định kỹ thuật và (nếu có) cách thức để chuẩn hóa chỉ số tổng thể dạng số đối với kích thước của tòa nhà theo quy định trong 7.3;
f) Yêu cầu hiệu quả năng lượng: Nếu có kết hợp với giấy chứng nhận thì quy định kỹ thuật của
- Các yêu cầu hiệu quả năng lượng nào được áp dụng, như quy định trong 9.2 (phân biệt giữa các loại tòa nhà và giữa các tòa nhà xây mới và cải tạo, mở rộng của các tòa nhà hiện hữu), và
- Cách thức thể hiện từng yêu cầu, như quy định trong 9.3 gồm cả cách xác định các yêu cầu đối với các tòa nhà thuộc các loại hạng khác nhau và mức độ nghiêm ngặt thực tế như được quy định trong 9.4.
CHÚ THÍCH 2: Và các quy định kỹ thuật trong trường hợp áp dụng phương pháp tiếp cận theo tòa nhà tham chiếu được công nhận như mô tả trong Điều 8 của TCVN 13470-2:2022 (ISO/TR 52003-2:2017)[4].
g) Các giá trị tham chiếu: Quy định kỹ thuật của các giá trị tham chiếu và quy trình xác định các giá trị được quy định trong 10.3 bao gồm cách sửa đổi tác động của các thông số nhất định, như quy định trong Điều 8;
h) Thông tin khác về các bộ phận của tòa nhà: Quy định kỹ thuật của các thông tin khác về hiệu quả năng lượng của tòa nhà chính và các bộ phận của hệ thống cần thiết trong giấy chứng nhận (nếu có);
i) Các chỉ số bổ sung: Quy định kỹ thuật và các quy trình đánh giá các chỉ số bổ sung cần thiết trong giấy chứng nhận (nếu có, xem 7.1);
j) Khuyến nghị: Quy trình đánh giá các khuyến nghị cho các cải tiến hiệu quả chi phí được xác định trong 11.4 và cho các ứng dụng nào thì cần có các khuyến nghị này trong giấy chứng nhận;
k) Xếp hạng hiệu quả năng lượng: Việc thiết lập và quy trình để đánh giá xếp hạng hiệu quả năng lượng được trình bày trên thang đo hoặc theo loại (sẽ được quy định) trong Điều 10;
l) Nội dung bổ sung: Nội dung bổ sung cụ thể trong giấy chứng nhận để nhận diện các đặc tính của tòa nhà;
VÍ DỤ: Diện tích sàn tham chiếu, diện tích sàn hữu ích, số tầng được điều hòa về tiện nghi nhiệt, năm hoặc thời gian xây dựng, và năm hoặc thời gian của lần sửa chữa lớn gần nhất.
m) Thông tin bổ sung: Quy định kỹ thuật của thông tin bổ sung bất kỳ cần thiết trong giấy chứng nhận (nếu có);
n) Hoàn thành giấy chứng nhận: Các quy trình chung để hoàn chỉnh dữ liệu hành chính và kỹ thuật cần thiết trong giấy chứng nhận như quy định trong 11.3;
o) Mẫu giấy chứng nhận: Mẫu giấy chứng nhận được quy định trong 11.3 và nội dung nào là cần thiết phải nêu trong giấy chứng nhận và nội dung nào sẽ có trong báo cáo đi kèm;
p) Cơ sở dữ liệu trung tâm: Nếu đây là một phần của các quy trình chứng nhận, mục đích của quy trình này là đảm bảo dữ liệu thu được từ các giấy chứng nhận năng lượng mô tả kho dữ liệu năng lượng tòa nhà được lưu trữ theo một cách có tổ chức và tại một trung tâm lưu trữ (một cơ sở dữ liệu).
11.3 Nội dung của giấy chứng nhận hiệu quả năng lượng
11.3.1 Tổng quát
Giấy chứng nhận hiệu quả năng lượng phải có báo cáo ngắn gọn về đầu vào, phương pháp và đầu ra của việc chứng nhận năng lượng.
CHÚ THÍCH 1: Bao gồm cách thức trình bày các khuyến nghị cải tiến (xem 11.4) cũng như cách thức trình bày các bằng chứng hỗ trợ của giấy chứng nhận năng lượng (xem 11.2).
CHÚ THÍCH 2: Trong 11.3 của TCVN 13470-2:2022 (ISO/TR 52003-2:2017)[4] đưa ra các đề xuất về nội dung của giấy chứng nhận.
Một trong những thành phần chính của giấy chứng nhận là nhãn năng lượng. Có nhiều giải pháp cho nhãn năng lượng, xếp hạng năng lượng trên nhãn được mô tả trong Điều 10. Cốt lõi của nhãn là việc trình bày bằng đồ họa xếp hạng năng lượng.
Một mô hình trình bày đồ họa về xếp hạng năng lượng được xây dựng làm mô hình mặc định. Bởi vì nó là một trong các mô hình đã được đưa vào sử dụng (đúng y như bản được giới thiệu hoặc với các điều chỉnh cụ thể) tại nhiều quốc gia.
Mô hình 1. Mô hình đồ họa mặc định:
Xem 11.3.2.
Mô hình 2: Mô hình đồ họa khác.
Mô hình đồ họa khác bất kỳ.
CHÚ THÍCH 3: Trong 11.3 của TCVN 13470-2:2022 (ISO/TR 52003-2:2017)[4] đưa ra các đề xuất về nội dung và các mô hình đồ họa thay thế.
Bảng A.7 cung cấp bản mẫu về việc lựa chọn giữa hai mô hình này với lựa chọn mặc định tham khảo trong Bảng B.7.
CHÚ THÍCH 4: Một số chi tiết của mô hình đồ họa mặc định cũng được để mở cho việc lựa chọn theo quốc gia bằng cách quy định một mô hình dán nhãn khác giống với mô hình mặc định nhưng khác ở một số chi tiết.
11.3.2 Mô hình đồ họa mặc định
Mô hình mặc định này được đặc trưng bởi một chỉ số và sử dụng các loại xếp hạng năng lượng theo loại 2 (phương pháp xếp hạng năng lượng mặc định với một điểm tham chiếu riêng lẻ) trong 10.2.

Hình 1 - Mô hình đồ họa mặc định trình bày xếp hạng năng lượng
11.4 Khuyến nghị
Các quy trình cấp giấy chứng nhận năng lượng tòa nhà phải quy định các thủ tục đánh giá các khuyến nghị về cải tiến hiệu quả chi phí và cho các ứng dụng nào thì cần có các khuyến nghị này trong giấy chứng nhận, như là phần của 11.2 điểm j).
Giấy chứng nhận năng lượng phải có, nếu thích hợp, các khuyến nghị đề cập đến:
a) Các giải pháp hiện đại hóa (kết cấu xây dựng tòa nhà và các hệ thống kỹ thuật);
b) Các giải pháp quản lý theo đặc tính của tòa nhà (cải tiến vận hành và kiểm soát tòa nhà và các hệ thống kỹ thuật).
Việc đánh giá tác động của các giải pháp có thể được thực hiện theo TCVN 13469-1 (ISO 52000-1). Các khuyến nghị có thể bao gồm cả tính toán tiết kiệm năng lượng sau khi thực hiện các giải pháp đề xuất và thời gian hoàn vốn đầu tư.
12 Kiểm soát chất lượng
Việc báo cáo và lập văn bản tài liệu về các lựa chọn đã thực hiện để quy định các chỉ số dạng số, các yêu cầu, xếp hạng và giấy chứng nhận đóng vai trò kiểm soát chất lượng chủ đạo. Việc báo cáo và lập văn bản tài liệu cần thiết cho tiêu chuẩn này được giới hạn cho hiệu quả năng lượng tổng thể, vì các lụa chọn được thực hiện về các hiệu quả năng lượng thành phần được thực hiện trong các tiêu chuẩn khác (theo chủ đề) về hiệu quả năng lượng của tòa nhà.
13 Kiểm tra sự phù hợp
Trong tiêu chuẩn này, phần lớn các đầu vào được thu thập thông qua các tiêu chuẩn khác về hiệu quả năng lượng của tòa nhà. Các quy trình liên quan để kiểm tra sự phù hợp được cung cấp trong các tiêu chuẩn đó.
Phụ lục A
(Quy định)
Bảng dữ liệu dầu vào và lựa chọn phương pháp - Bản mẫu
A.1 Tổng quát
Bản mẫu trong Phụ lục A của tiêu chuẩn này được sử dụng để quy định lựa chọn các phương pháp, dữ liệu đầu vào cần thiết và tham chiếu đến các tài liệu khác.
CHÚ THÍCH 1: Việc tuân theo bản mẫu này là chưa đủ để bảo đảm tính nhất quán của dữ liệu.
CHÚ THÍCH 2: Các lựa chọn mặc định tham khảo ở trong Phụ lục B. Các giá trị và lựa chọn thay thế có thể tuân thủ theo các quy định quốc gia/ vùng. Nếu không chấp nhận các lựa chọn và giá trị mặc định trong Phụ lục B do bởi các quy định quốc gia / vùng, các chính sách hoặc truyền thống quốc gia thì có thể kỳ vọng rằng:
- Các cơ quan quốc gia hoặc vùng có thẩm quyền soạn thảo các bảng dữ liệu với các lựa chọn và giá trị quốc gia hoặc vùng phù hợp với bản mẫu trong Phụ lục A hoặc
- Theo mặc định, cơ quan tiêu chuẩn quốc gia sẽ bổ sung hoặc gộp phụ lục quốc gia (Phụ lục NA) vào tiêu chuẩn này phù hợp với bản mẫu trong Phụ lục A để đưa ra các lựa chọn và giá trị quốc gia hoặc vùng phù hợp với các văn bản quy phạm pháp luật.
CHÚ THÍCH 3: Bản mẫu trong Phụ lục A có thể áp dụng cho các ứng dụng khác nhau (ví dụ: Thiết kế tòa nhà mới, chứng nhận tòa nhà mới, cải tạo một tòa nhà hiện hữu, và chứng nhận một tòa nhà hiện hữu) và cho các loại tòa nhà khác nhau (ví dụ: Tòa nhà nhỏ hoặc đơn giản và tòa nhà lớn hoặc tòa nhà tổ hợp). Có thể phân biệt các giá trị và các lựa chọn cho các ứng dụng khác nhau hoặc các loại tòa bằng cách:
- Bổ sung thêm cột hoặc hàng (một cột hoặc háng đối với mỗi một ứng dụng), nếu bản mẫu cho phép;
- Gộp nhiều phiên bản của một bảng (một phiên bản đối với mỗi một ứng dụng), đánh số liên tiếp theo a, b, c,... Ví dụ: Bảng NA. 3a, Bảng NA. 3b;
- Xây dựng các bảng dữ liệu quốc gia/ vùng khác nhau cho cùng một tiêu chuẩn. Trong trường hợp tiêu chuẩn có phụ lục quốc gia thì sẽ được đánh số liên tiếp (Phụ lục NA, Phụ lục NB, Phụ lục NC,...).
CHÚ THÍCH 4: Trong phần giới thiệu của bảng dữ liệu quốc gia/vùng có thể bổ sung thông tin, ví dụ về các quy định quốc gia/ vùng được áp dụng.
CHÚ THÍCH 5: Để đảm bảo người dùng có được các giá trị đầu vào nhất định, bảng dữ liệu tuân theo bản mẫu trong Phụ lục A có thể tham chiếu đến các quy trình quốc gia đánh giá dữ liệu đầu vào cần thiết. Ví dụ: Tham chiếu văn bản báo cáo đánh giá quốc gia bao gồm sơ đồ cây ra quyết định, các bảng và các tính toán trước.
Những ô bôi đậm trong bảng là phần của bản mẫu và do đó không nhập dữ liệu vào phần này.
Thông tin cụ thể liên quan đến Phụ lục A và Phụ lục B của tiêu chuẩn này:
Các bảng báo cáo cho phép hoàn toàn tự do về việc lựa chọn ở tầm quốc gia hoặc khu vực.
Thông thường, các lựa chọn khác nhau sẽ được thực hiện theo loại hình còng việc, nhất là đối với các công trình xây dựng mới (hoặc tương đương) hoặc các công việc về các tòa nhà hiện hữu. Hơn nữa có thể có sự khác nhau theo các tiêu chí khác, chẳng hạn như giữa các tòa nhà ở và tòa nhà không phải nhà ở. Mỗi lĩnh vực áp dụng khác nhau sẽ có một tập hợp riêng các bảng nếu các lựa chọn khác nhau được thực hiện. Phạm vi ứng dụng của từng tập hợp phải được quy định rõ ràng.
A.2 Bản tham chiếu
Bản tham chiếu được định danh bằng các mã số mô đun được đưa ra trong một bảng kèm theo định dạng nêu trong Bảng A.1 (bản mẫu).
Bảng A.1 - Bản tham chiếu
| Bản tham chiếu | Tiêu chuẩn tham chiếua | |
|
| Số | Tên |
| M1-6b |
|
|
| M1-14b |
|
|
| M2-4b |
|
|
| M3-4b |
|
|
| M4-4b |
|
|
| M5-4b |
|
|
| M6-4b |
|
|
| M7-4b |
|
|
| M8-4b |
|
|
| M9-4b |
|
|
| M10-4b | ... | ... |
| a Nếu một bản tham chiếu gồm nhiều tài liệu, có thể phân biệt các tài liệu tham chiếu với nhau b tham khảo | ||
A.3 Yêu cầu hiệu quả năng lượng
Tập hợp các yêu cầu hiệu quả năng lượng tổng thể nêu trong Bảng A.2 nên được điền đầy đủ như sau:
- Cột thứ nhất liệt kê các đặc tính hiệu quả năng lượng tổng thể có thể được xem xét để đưa ra các yêu cầu. Động lực thúc đẩy đối với tập hợp được chọn phải được lập báo cáo. Nếu cần thiết, các đặc tính hiệu quả năng lượng khác có thể được thêm vào cuối bảng. Bằng việc đánh số thứ tự các tham chiếu, việc mô tả chính xác từng đặc tính hiệu quả năng lượng tổng thể bổ sung của tòa nhà phải được đưa ra và động lực thúc đẩy phải được mô tả theo cách thức rõ ràng.
- Trong cột thứ hai, đánh dấu X cho từng đặc tính được lựa chọn để đặt ra yêu cầu.
- Trong cột thứ ba, tiến hành giải thích đầy đủ, chi tiết và rõ ràng cho từng ngoại lệ, gồm cả động lực thúc đẩy đối với ngoại lệ.
Nên xem xét Bảng A.2 cùng với tất cả các yêu cầu hiệu quả năng lượng thành phần của tòa nhà (yêu cầu nào nằm ngoài phạm vi của tiêu chuẩn này, ví dụ: Liên quan đến các hệ thống kỹ thuật). Các yêu cầu hiệu quả năng lượng thành phần của tòa nhà liên quan đến kết cấu được thảo luận trong ISO 52018. Tiêu chuẩn này cũng cung cấp các bản mẫu báo cáo về các đặc tính hiệu quả tương ứng của tòa nhà.
Bảng A.2 - Lựa chọn mặc định đối với các yêu cầu hiệu quả năng lượng tổng thể của tòa nhà (xem 9.5)
| Ứng dụng:... | ||
| Đặc tính hiệu quả năng lượng tổng thể | Yêu cầu? | Ngoại lệ8? |
| Tổng mức sử dụng năng lượng sơ cấp |
|
|
| Tổng mức sử dụng năng lượng sơ cấp không tái tạo |
|
|
| Tổng mức sử dụng năng lượng sơ cấp tái tạo |
|
|
| Tỷ lệ năng lượng tái tạo |
|
|
| Phát thải khí nhà kinh |
|
|
| Yếu tố chính sách năng lượng (xác định*) |
|
|
| Các cột hoặc ô được đánh dấu hoa thị * (nghĩa là bất kỳ ô nào liên quan đến yếu tố quốc gia/ vùng) sẽ được đánh dấu bởi một tham chiếu được đánh số. Lời giải thích rõ ràng và động cơ thúc đẩy phải được nêu rõ cho từng yếu tố đó. Hoàn thành: Lời giải thích theo từng tham chiếu được đánh số: (1) ... (văn bản tự soạn) (2) ... Động cơ thúc đẩy đối với tập hợp yêu cầu:...(văn bản tự soạn) | ||
Như đã giải thích trong Điều 9, giá trị dạng số của yêu cầu về tổng mức sử dụng năng lượng sơ cấp (cần chú ý xem là biến số hay hằng số) nên được thiết lập thật cẩn thận.
Bảng A.3 - Chỉ số dạng số được sử dụng đối với yêu cầu về tổng mức sử dụng năng lượng sơ cấp (xem 9.5)
| Chỉ số dạng số | Lựa chọn |
| Tổng mức sử dụng năng lượng sơ cấp trên diện tích sàn hữu ích (kWh/m2) |
|
| Tổng mức sử dụng năng lượng sơ cấp EPtot (kWh) |
|
| Tỷ lệ (xác định) |
|
| (văn bản tự soạn) (khác: xác định*) |
|
| ... |
|
| Nếu sử dụng chỉ số khác, nó phải được mô tả nó rõ ràng và phải được tham chiếu chính xác theo phương pháp xác định (1) ... (văn bản tự soạn) (2) ... | |
Như đã giải thích trong Điều 9, giá trị dạng số của yêu cầu về tổng mức sử dụng năng lượng sơ cấp không tái tạo (cần chú ý xem là biến số hay hằng số) nên được thiết lập thật cẩn thận.
Bảng A.4 - Chỉ số dạng số được sử dụng đối với yêu cầu về tổng mức sử dụng năng lượng sơ cấp không tái tạo (xem 9.5)
| Chỉ số dạng số | Lựa chọn |
| Tổng mức sử dụng năng lượng sơ cấp không tái tạo trên diện tích sàn hữu ích (kWh/m2) |
|
| Tổng mức sử dụng năng lượng sơ cấp không tái tạo EPnren (kWh) |
|
| Tỷ lệ (xác định) |
|
| (văn bản tự soạn) (khác: xác định*) |
|
| ... |
|
| Nếu sử dụng chỉ số khác, nó phải được mô tả nó rõ ràng và phải được tham chiếu chính xác theo phương pháp xác định: (1) ... (văn bản tự soạn) (2) ... | |
Như đã giải thích trong Điều 9, giá trị dạng số của yêu cầu về tổng mức sử dụng năng lượng sơ cấp tái tạo (cần chú ý xem là biến số hay hằng số) nên được thiết lập thật cẩn thận.
Bảng A.5 - Chỉ số dạng số được sử dụng đối với yêu cầu về tổng mức sử dụng năng lượng sơ cấp tái tạo (xem 9.5)
| Chỉ số dạng số | Lựa chọn |
| Tổng mức sử dụng năng lượng sơ cấp không tái tạo trên diện tích sàn hữu ích (kWh/m2) |
|
| Tổng mức sử dụng năng lượng sơ cấp không tái tạo EPnren (kWh) |
|
| Tỷ lệ (xác định) |
|
| (văn bản tự soạn) (khác: xác định*) |
|
| ... |
|
| Nếu sử dụng chỉ số khác, nó phải được mô tả nó rõ ràng và phải được tham chiếu chính xác theo phương pháp xác định: (1) ... (văn bản tự soạn) (2) ... | |
A.4 Xếp hạng
Bảng A.6 - Các phương pháp xếp hạng năng lượng (xem 10.2 và 10.3)
| Phương pháp | Lựa chọn a |
| 1) Phương pháp xếp hạng năng lượng mặc định với hai điểm tham chiếu (xem 10.2) | Có hay không |
| 2) Phương pháp xếp hạng năng lượng mặc định với một điểm tham chiếu riêng lẻ (xem 10.2) | Có hay không |
| 3) Phương pháp xếp hạng năng lượng khác (xem 10.2) | Có hay không |
| Trong trường hợp phương pháp 1: | Các thông số |
| Các loại con để mở rộng các loại chính | ... |
| Vị trí của tham chiếu hiệu quả năng lượng quy định, Rr | Giữa loại ... và loại... |
| Vị trí của tham chiếu hiệu quả năng lượng theo kho dữ liệu năng lượng tham chiếu của tòa nhà, Rs | Giữa loại... và loại... |
| Đo lường cho kho dữ liệu năng lượng tham chiếu của tòa nhà | Trung vị (50%) |
| Vị trí của EP = 0 | Loại đầu bảng |
| Trong trường hợp phương pháp 2: | Các thông số |
| Các loại con để mở rộng các loại chính | … |
| Ranh giới đối với vị trí tham chiếu, nref | Từ 0 đến 6 |
| Trong trường hợp phương pháp 3: | Tham chiếu |
| Tham chiếu theo quy trình: | (tham chiếu) |
| a chỉ có thể là “có” | |
A.5 Mô hình dán nhãn
Bảng A.7 - Trình bày xếp hạng bằng đồ họa (xem 11.3)
| Phương pháp | Lựa chọn a |
| 1. Mô hình mặc định trình bày xếp hạng bằng đồ họa (xem 11.3) | Có hay không |
| 2. Mô hình khác trình bày xếp hạng bằng đồ họa (xem 11.3) | Có hay không |
| Trong trường hợp phương pháp 2: | |
| Tham chiếu theo quy trình: | văn bản tự soạn |
| a chỉ có thể là “có” | |
Phụ lục B
(Tham khảo)
Bảng dữ liệu đầu vào và lựa chọn phương pháp - Lựa chọn mặc định
B.1 Tổng quát
Bản mẫu trong Phụ lục A của tiêu chuẩn này được sử dụng để quy định lựa chọn các phương pháp, dữ liệu đầu vào cần thiết và tham chiếu đến các tài liệu khác.
CHÚ THÍCH 1: Việc tuân theo bản mẫu này là chưa đủ để bảo đảm tính nhất quán của dữ liệu.
CHÚ THÍCH 2: Các lựa chọn mặc định tham khảo ở trong Phụ lục B. Các giá trị và lựa chọn thay thế có thể tuân thủ theo các quy định quốc gia/ vùng. Nếu không chấp nhận các lựa chọn và giá trị mặc định trong Phụ lục B do bởi các quy định quốc gia / vùng, các chính sách hoặc truyền thống quốc gia thì có thể kỳ vọng rằng:
- Các cơ quan quốc gia hoặc vùng có thẩm quyền soạn thảo các bảng dữ liệu với các lựa chọn và giá trị quốc gia hoặc vùng phù hợp với bản mẫu trong Phụ lục A hoặc
- Theo mặc định, cơ quan tiêu chuẩn quốc gia sẽ bổ sung hoặc gộp phụ lục quốc gia (Phụ lục NA) vào tiêu chuẩn này phù hợp với bản mẫu trong Phụ lục A để đưa ra các lựa chọn và giá trị quốc gia hoặc vùng phù hợp với các văn bản quy phạm pháp luật.
CHÚ THÍCH 3: Bản mẫu trong Phụ lục A có thể áp dụng cho các ứng dụng khác nhau (ví dụ: Thiết kế tòa nhà mới, chứng nhận tòa nhà mới, cải tạo một tòa nhà hiện hữu, và chứng nhận một tòa nhà hiện hữu) và cho các loại tòa nhà khác nhau (ví dụ: Tòa nhà nhỏ hoặc đơn giản và tòa nhà lớn hoặc tòa nhà tổ hợp). Có thể phân biệt các giá trị và các lựa chọn cho các ứng dụng khác nhau hoặc các loại tòa bằng cách:
- Bổ sung thêm cột hoặc hàng (một cột hoặc hàng đối với mỗi một ứng dụng), nếu bản mẫu cho phép;
- Gộp nhiều phiên bản của một bảng (một phiên bản đối với mỗi một ứng dụng), đánh số liên tiếp theo a, b, c, ... Ví dụ: Bảng NA. 3a, Bảng NA. 3b;
- Xây dựng các bảng dữ liệu quốc gia/ vùng khác nhau cho cùng một tiêu chuẩn. Trong trường hợp tiêu chuẩn có phụ lục quốc gia thì sẽ được đánh số liên tiếp (Phụ lục NA, Phụ lục NB, Phụ lục NC, ...).
CHÚ THÍCH 4: Trong phần giới thiệu của bảng dữ liệu quốc gia/vùng có thể bổ sung thông tin, ví dụ về các quy định quốc gia/ vùng được áp dụng.
CHÚ THÍCH 5: Để đảm bảo người dùng có được các giá trị đầu vào nhất định, bảng dữ liệu tuân theo bản mẫu trong Phụ lục A có thể tham chiếu các quy trình quốc gia đánh giá dữ liệu đầu vào cần thiết. Ví dụ: Tham chiếu văn bản báo cáo đánh giá quốc gia bao gồm sơ đồ cây ra quyết định, các bảng và các tính toán trước.
Những ô bôi đậm trong bảng là phần của bản mẫu và do đó không nhập dữ liệu vào phần này.
Thông tin cụ thể liên quan đến Phụ lục A và Phụ lục B của tiêu chuẩn này:
Các bảng báo cáo cho phép hoàn toàn tự do về việc lựa chọn ở tầm quốc gia hoặc khu vực.
Thông thường, các lựa chọn khác nhau sẽ được thực hiện theo loại hình công việc, nhất là đối với các công trình xây dựng mới (hoặc tương đương) hoặc các công việc về các tòa nhà hiện hữu. Hơn nữa có thể có sự khác nhau theo các tiêu chí khác, chẳng hạn như giữa các tòa nhà ở và tòa nhà không phải nhà ở. Mỗi lĩnh vực áp dụng khác nhau sẽ có một tập hợp riêng các bảng nếu các lựa chọn khác nhau được thực hiện. Phạm vi ứng dụng của từng tập hợp phải được quy định rõ ràng
B.2 Bản tham chiếu
Bản tham chiếu được định danh bằng các mã số mô đun được đưa ra trong một bảng kèm theo định dạng nêu trong Bảng A.1 (bản mẫu).
Bảng B.1 - Bản tham chiếu
| Bản tham chiếu | Tiêu chuẩn tham chiếua | |
|
| Số | Tên |
| M1-6b | ISO 17772-1 | Energy performance of buildings- Indoor environmental Quality - Part 1: Indoor environmental input parameters for the design and assessment of energy performance of buildings (Hiệu quả năng lượng của tòa nhà - Chất lượng không khí trong nhà - Phần 1: Thông số đầu vào môi trường trong nhà cho thiết kế và đánh giá hiệu quả năng lượng của tòa nhà) |
| EN 16798-1C | Energy performance of buildings - Ventilation of buildings - Part 1: Indoor environmental input parameters for design and assessment of energy performance of buildings addressing indoor air quality, thermal environment, lighting and acoustics (Module M1-6) (Hiệu quả năng lượng của tòa nhà - Thông gió tòa nhà - Phần 1: Thông số đầu vào môi trường trong nhà cho thiết kế và đánh giá hiệu quả năng lượng của tòa nhà đề cập đến chất lượng không khí trong nhà, môi trường nhiệt, chiếu sáng và âm thanh (mô đun M1-6) | |
| M1-14b | EN 15459-1 | Energy performance of buildings - Economic evaluation procedure for energy systems in buildings - Part 1: Calculation procedures, Module M1-14 (Hiệu quả năng lượng của tòa nhà - Quy trình đánh giá kinh tế cho hệ thống năng lượng trong tòa nhà - Phần 1: Quy trình tính toán Mô đun M1-14) |
| M2-4b | ISO 52018-1 | Energy performance of buildings - Indicators for partial EPB requirements related to thermal energy balance and fabric fea- tures - Part 1: Overview of options (Hiệu quả năng lượng của tòa nhà - Các chỉ số đối với yêu cầu EPB thành phần liên quan đến cân bằng năng lượng nhiệt và đặc điểm kết cấu xây dựng - Phần 1: Tổng quan các lựa chọn) |
| M3-4b | EN 15316-1 | Energy performance of buildings - Method for calculation of system energy requirements and system efficiencies - Part 1: General and Energy performance expression, Module M3-1, M3-4, M3-9, M8-1, M8-4 (Hiệu quả năng lượng của tòa nhà - Phương pháp tính toán yêu cầu năng lượng và hiệu suất của hệ thống - Phần 1: Thể hiện hiệu quả chung và năng lượng, mô đun M3-1, M3-4, M3-9, M8-1, M8-4) |
| M4-4b | EN 16798-9 | Energy performance of buildings - Ventilation for buildings - Part 9: Calculation methods for energy requirements of cooling systems (Module M4-1, M4-4 M4-9) - General (Hiệu quả năng lượng của tòa nhà - Thông gió tòa nhà - Phần 9: Phương pháp tính toán yêu cầu năng lượng cho hệ thống làm mát (Mô đun M4-1, M4-4 M4-9) |
| M5-4b | EN 16798-3 | Energy performance of buildings - Ventilation for buildings - Part 3: For non-residential buildings - Performance requirements for ventilation and room-conditioning systems (Modules M5-1, M5-4) (Hiệu quả năng lượng của tòa nhà - Thông gió tòa nhà - Phần 3: Đối với tòa nhà không phải nhà ở - Yêu cầu hiệu quả đối với hệ thống thông gió và điều hòa phòng (Mô đun M5-1, M5-4) |
| M6-4b | EN 16798-3 | Xem M5-4 |
| M7-4b | EN 16798-3 | Xem M5-4 |
| M8-4b | EN 15316-1 | Xem M3-4 |
| M9-4b | EN 15193-1 | Energy performance of buildings - Energy requirements for lighting - Part 1: Specifications, Module M9 (Hiệu quả năng lượng của tòa nhà - Yêu cầu năng lượng cho chiếu sáng - Phần 1: Quy định kỹ thuật, mô đun M9) |
| M10-4b | EN 15232-1 | Energy performance of buildings - Part 1: Impact of Building Automation, Controls and Building Management - Modules M10- 4,5,6,7,8,9,10 (Hiệu quả năng lượng của tòa nhà - Tác động của tự động hóa, kiểm soát và quản lý tòa nhà - Mô đun M10-4,5,6,7,8,9,10) |
| a Nếu một bản tham chiếu gồm nhiều tài liệu, có thể phân biệt các tái liệu tham chiếu với nhau b tham khảo c đang biên soạn | ||
B.3 Các yêu cầu hiệu quả năng lượng
Tập hợp các yêu cầu hiệu quả năng lượng tổng thể nêu trong các bảng sau nên được điền đầy đủ như sau:
- Cột thứ nhất liệt kê các đặc tính hiệu quả năng lượng tổng thể có thể được xem xét để đưa ra các yêu cầu. Động lực thúc đẩy đối với tập hợp được chọn nên được lập báo cáo. Nếu cần thiết, các đặc tính hiệu quả năng lượng khác có thể được thêm vào cuối bảng. Bằng việc đánh số thứ tự các tham chiếu, việc mô tả chính xác từng đặc tính hiệu quả năng lượng tổng thể bổ sung của tòa nhà phải được đưa ra và động lực thúc đẩy phải được mô tả theo cách thức rõ ràng.
- Trong cột thứ hai, đánh dấu X cho từng đặc tính được lựa chọn để đặt ra yêu cầu.
- Trong cột thứ ba, tiến hành giải thích đầy đủ, chi tiết và rõ ràng cho từng ngoại lệ, gồm cả động lực thúc đẩy đối với ngoại lệ.
Nên xem xét bảng cùng với tất cả các yêu cầu hiệu quả năng lượng thành phần của tòa nhà (yêu cầu nào nằm ngoài phạm vi của tiêu chuẩn này, ví dụ: Liên quan đến các hệ thống kỹ thuật). Các yêu cầu hiệu quả năng lượng thành phần của tòa nhà liên quan đến kết cấu được thảo luận trong ISO 52018. Tiêu chuẩn này cũng cung cấp các bản mẫu báo cáo về các đặc tính hiệu quả tương ứng của tòa nhà. Các tòa nhà mới: Tập hợp mặc định của các yêu cầu hiệu quả năng lượng tổng thể:
Bảng B.2a - Lựa chọn mặc định đối với các yêu cầu hiệu quả năng lượng tổng thể của tòa nhà (xem 9.5)
| Ứng dụng: Các tòa nhà mới | ||
| Đặc tính hiệu quả năng lượng tổng thể | Yêu cầu? | Ngoại lệ8? |
| Tổng mức sử dụng năng lượng sơ cấp | X | 1) |
| Tổng mức sử dụng năng lượng sơ cấp không tái tạo | X | 1) |
| Tổng mức sử dụng năng lượng sơ cấp tái tạo |
|
|
| Tỷ lệ năng lượng tái tạo |
|
|
| Phát thải khí nhà kính |
|
|
| Yếu tố chính sách năng lượng (xác định*) |
|
|
| Các cột hoặc ô được đánh dấu hoa thị *(nghĩa là bất kỳ ô nào liên quan đến yếu tố quốc gia/ vùng) sẽ được đánh dấu bởi một tham chiếu được đánh số. Lời giải thích rõ ràng và lý do thúc đẩy sẽ được nêu ra cho từng yếu tố đó. Hoàn thành: Lời giải thích theo từng tham chiếu được đánh số: (1) ... (văn bản tự soạn) (2) ... Động lực thúc đẩy đối với tập hợp yêu cầu:...(văn bản tự soạn) Lời giải thích và động lực thúc đẩy theo từng tham chiếu được đánh số: Ngoại lệ: Các tòa nhà tôn giáo mới có thể áp dụng (dựa trên hồ sơ với lý do hợp lý) trong từng trường hợp để bỏ đi một hoặc cả hai yêu cầu, hoặc cho các yêu cầu định lượng không chặt chẽ. Lý do: Vẻ bề ngoài truyền thống của các tòa nhà như vậy không thể luôn luôn kết hợp được với các kỹ thuật hiệu quả năng lượng. Động lực thúc đẩy đối với tập hợp các yêu cầu: - Yêu cầu thứ nhất về tổng mức sử dụng năng lượng sơ cấp đảm bảo rằng trong trường hợp đầu tiên các kỹ thuật tiết kiệm năng lượng được áp dụng ở một mức độ vừa đủ. - Yêu cầu bổ sung thứ hai đảm bảo rằng năng lượng tái tạo được áp dụng ở mức độ được bảo đảm. Vì tiềm năng kinh tế và kỹ thuật đối với năng lượng tái tạo có thể thay đổi mạnh mẽ từ dự án này sang dự án khác. Tuy nhiên có thể rất khó để đưa ra một yêu cầu hợp lý được điều chỉnh để phù hợp. | ||
Bảng B.2b - Các lựa chọn mặc định đối với các yêu cầu hiệu quả năng lượng tổng thể của tòa nhà (xem 9.5)
| Ứng dụng: Các tòa nhà hiện hữu | ||
| Đặc tính hiệu quả năng lượng tổng thể | Yêu cầu? | Ngoại lệ8? |
| Tổng mức sử dụng năng lượng sơ cấp |
|
|
| Tổng mức sử dụng năng lượng sơ cấp không tái tạo |
|
|
| Tổng mức sử dụng năng lượng sơ cấp tái tạo |
|
|
| Tỷ lệ năng lượng tái tạo |
|
|
| Phát thải khí nhà kinh |
|
|
| Yếu tố chính sách năng lượng (xác định*) |
|
|
| Các cột hoặc ô được đánh dấu hoa thị * (nghĩa là bất kỳ ô nào liên quan đến yếu tổ quốc gia/ vùng) sẽ được đánh dấu bởi một tham chiếu được đánh số. Lời giải thích rõ ràng và lý do thúc đẩy sẽ được nêu ra cho từng yếu tố đó. Hoàn thành: Lời giải thích theo từng tham chiếu được đánh số: (1) ... (văn bản tự soạn) (2) ... Động lực thúc đẩy đối với tập hợp yêu cầu: ...(văn bản tự soạn) Không có lựa chọn mặc định cho các tòa nhà hiện hữu trong Phụ lục này. | ||
Như đã giải thích trong Điều 9, giá trị dạng số của yêu cầu về tổng mức sử dụng năng lượng sơ cấp (cần chú ý xem là biến số hay hằng số) nên được thiết lập thật cẩn thận.
Bảng B.3 - Chỉ số dạng số được sử dụng đối với yêu cầu về tổng mức sử dụng năng lượng sơ cấp (xem 9.5)
| Chỉ số dạng số | Lựa chọn |
| Tổng mức sử dụng năng lượng sơ cấp trên diện tích sàn hữu ích (kWh/m2) | Không có lựa chọn mặc định trong Phụ lục này |
| Tổng mức sử dụng năng lượng sơ cấp EPtot (kWh) | Không có lựa chọn mặc định trong Phụ lục này |
| Tỷ lệ (xác định) | Không có lựa chọn mặc định trong Phụ lục này |
| Văn bản tự soạn (khác: xác định*) | Không có lựa chọn mặc định trong Phụ lục này |
| ... | Không có lựa chọn mặc định trong Phụ lục này |
| Nếu sử dụng chỉ số khác, nó phải được mô tả rõ ràng và phải được tham chiếu chính xác theo phương pháp xác định: (1) ... (văn bản tự soạn) (2) ... | |
Như đã giải thích trong Điều 9, giá trị dạng số của yêu cầu về tổng mức sử dụng năng lượng sơ cấp không tái tạo (cần chú ý xem là biến số hay hằng số) nên được thiết lập thật cẩn thận.
Bảng B.4 - Chỉ số dạng số được sử dụng đối với yêu cầu về tổng mức sử dụng năng lượng sơ cấp không tái tạo (xem 9.5)
| Chỉ số dạng số | Lựa chọn |
| Không có lựa chọn mặc định trong Phụ lục này |
|
|
|
|
|
|
|
|
|
|
|
|
|
| Nếu sử dụng chỉ số khác, nó phải được mô tả rõ ràng và phải được tham chiếu chính xác theo phương pháp xác định: (1) ... (văn bản tự soạn) (2) ... | |
Như đã giải thích trong Điều 9, giá trị dạng số của yêu cầu về tổng mức sử dụng năng lượng sơ cấp tái tạo (cần chú ý xem là biến số hay hằng số) nên được thiết lập thật cẩn thận.
Bảng B.5 - Chỉ số dạng số được sử dụng đối với yêu cầu về tổng mức sử dụng năng lượng sơ cấp tái tạo (xem 9.5)
| Chỉ số dạng số | Lựa chọn |
| Không có lựa chọn mặc định trong Phụ lục này |
|
|
|
|
|
|
|
|
|
|
|
|
|
| Nếu sử dụng chỉ số khác, nó phải được mô tả rõ ràng và phải được tham chiếu chính xác theo phương pháp xác định: (1) ... (văn bản tự soạn) (2) ... |
|
B.4 Xếp hạng
Bảng B.6 - Các phương pháp xếp hạng năng lượng (xem 10.2 và 10.3)
| Phương pháp | Lựa chọn a |
| 1) Phương pháp xếp hạng năng lượng mặc định với hai điểm tham chiếu (xem 10.2) | Không |
| 2) Phương pháp xếp hạng năng lượng mặc định với một điểm tham chiếu riêng | Có |
| 3) Phương pháp xếp hạng năng lượng khác (xem 10.2) | Không |
| Trong trường hợp phương pháp 1: | Các thông số |
| Các loại con để mở rộng các loại chính | A+ |
| Vị trí của tham chiếu hiệu quả năng lượng quy định, Rr | Giữa loại B và loại C |
| Vị trí của tham chiếu hiệu quả năng lượng theo kho dữ liệu năng lượng tham chiếu của tòa nhà, Rs | Giữa loại D và loại E |
| Đo lường cho kho dữ liệu năng lượng tham chiếu của tòa nhà | Trung vị (50%) |
| Vị trí của EP = 0 | Loại đầu bảng A |
| Trong trường hợp phương pháp 2: | Các thông số |
| Đánh số các xếp hạng từ loại 1 đến 7 | Từ A đến G |
| Các loại con để mở rộng các loại chính | A+ (EP < 0) |
| Ranh giới đối với vị trí tham chiếu, nref | 4 (D) |
| Trong trường hợp phương pháp 3: | Tham chiếu |
| Tham chiếu theo quy trình: | Không áp dụng |
| a chỉ có thể là “có” | |
Bảng B.7 - Trình bày xếp hạng bằng đồ họa (xem 11.3)
| Phương pháp | Lựa chọn a |
| 1. Mô hình mặc định trình bày xếp hạng bằng đồ họa (xem 11.3) | Có |
| 2. Mô hình khác trình bày xếp hạng bằng đồ họa (xem 11.3) | Không |
| Trong trường hợp phương pháp 2: | |
| Tham chiếu theo quy trình: | Không áp dụng |
| a chỉ có thể là “có” | |
Thư mục tài liệu tham khảo
[1] TC VN 13105 (ISO 13789), Đặc trưng nhiệt của tòa nhà - Hệ số truyền dẫn nhiệt và truyền nhiệt thông gió - Phương pháp tính
[2] ISO 16343, Energy performance of buildings - Methods for expressing energy performance and for energy certification of buildings
[3] TCVN 13469-2 (ISO/TR 52000-2), Hiệu quả năng lượng của tòa nhà - Đánh giá hiệu quả năng lượng tổng thể của tòa nhà - Phần 2: Giải thích và minh chứng cho TCVN 13469-1 (ISO 52000-1)
[4] TCVN 13470-2 (ISO/TR 52003-2), Hiệu quả năng lượng của tòa nhà - Các chỉ số, yêu cầu, hạng và giấy chứng nhận - Phần 2: Giải thích và minh chứng cho TCVN 13470-ISO 52003-1)
[5] ISO/TR52018-2, Energy performance of buildings - Indicators for partial EPB requirements related to thermal energy balance and fabric features - Part 2: Explanation and justification of ISO 52018-1
[6] ISO/IEC17000, Conformity assessment - Vocabulary and general principles
[7] CEN/TS1 6628, Energy performance of buildings - Basic principles for the set of EPBstandards
[8] CEN/TS16629, Energy performance of buildings - Detailed technical rules for the set of EPB- standards
[9] EN15316-1:2017, Energy performance of buildings - Method for calculation of system energy requirements and system efficiencies - Part 1: General and Energy performance expression, Module M3-1, M3-4, M3-9, M8-1, M8-4
[10] IS017772-1, Energy performance of buildings - Indoor environmental quality - Part 1: Indoor environmental input parameters for the design and assessment of energy performance of buildings
[11] EN15459-1, Energy performance of buildings - Economic evaluation procedure for energy systems in buildings - Part 1: Calculation procedures, Module M1-14
[12] ISO5201 8-1, Energy performance of buildings - Indicators for partial EPS requirements related to thermal energy balance and fabric features - Part 1: Overview of options
[13] EN16798-9, Energy performance of buildings - Ventilation for buildings - Part 9: Calculation methods for energy requirements of cooling systems (Modules M4-1, M4-4, M4-9) - General
[14] EN1 6798-3, Energy performance of buildings - Ventilation for buildings - Part 3: For non- residential buildings - Performance requirements for ventilation and room-conditioning systems (Modules M5-1, M5-4)
[15] EN16798-11), Energy performance of buildings - Ventilation for buildings - Part 1: Indoor environmental input parameters for design and assessment of energy performance of buildings addressing indoor air quality, thermal environment, lighting and acoustics (Module M1-6)
[16] EN 15193-1, Energy performance of buildings - Energy requirements for lighting - Part 1: Specifications, Module M9
[17] EN15232-1, Energy performance of buildings - Part 1: Impact of Building Automation, Controls and Building Management - Modules M10-4,5,6,7,8,9,10
Mục lục
Lời nói đầu
Lời giới thiệu
1 Phạm vi áp dụng
2 Tài liệu viện dẫn
3 Thuật ngữ và định nghĩa
4 Ký hiệu và các chỉ số dưới
4.1 Ký hiệu
4.2 Chỉ số dưới
5 Mô tả tiêu chuẩn
5.1 Tổng quan tóm tắt tiêu chuẩn
5.2 Tiêu chí lựa chọn giữa các lựa chọn có thể
5.3 Dữ liệu đầu vào và đầu ra của các phương pháp tính toán mới
5.3.1 Tổng quát
5.3.2 Dữ liệu đầu vào
5.3.3 Dữ liệu đầu ra
6 Mối quan hệ giữa các đặc tính hiệu quả năng lượng của tòa nhà, các chỉ số, các yêu cầu, xếp hạng và giấy chứng nhận
7 Đặc tính hiệu quả năng lượng và các chỉ số
7.1 Tổng quát
7.2 Chuẩn hóa theo kích thước tòa nhà
7.3 Hiệu quả năng lượng và các chỉ số
7.3.1 Hiệu quả năng lượng tổng thể
7.3.2 Hiệu quả năng lượng thành phần
7.4 Tỷ số của các đại lượng giống hệt nhau / tương tự được sử dụng làm các chỉ số hiệu quả năng lượng
8 Điều chỉnh để phù hợp đối với các yêu cầu và đánh giá xếp hạng
8.1 Hai phương pháp tiếp cận
8.2 Đặc tính của dự án cần điều chỉnh để phù hợp
9 Yêu cầu hiệu quả năng lượng
9.1 Tổng quát
9.2 Lựa chọn kết hợp các yêu cầu
9.3 Yêu cầu về giá trị hằng số và giá trị biến số
9.4 Mức độ nghiêm ngặt thực tế
9.5 Bản mẫu báo cáo hiệu quả năng lượng tổng thể
10 Xếp hạng hiệu quả năng lượng của tòa nhà
10.1 Tổng quát
10.2 Quy trình xếp hạng hiệu quả năng lượng của tòa nhà
10.3 Giá trị tham chiếu
10.3.1 Tổng quát
10.3.2 Yêu cầu được lấy làm giá trị tham chiếu chính
10.3.3 Kho dữ liệu năng lượng của tòa nhà được lấy làm giá trị tham chiếu
11 Giấy chứng nhận hiệu quả năng lượng
11.1 Tổng quát
11.2 Nội dung của quy trình cấp giấy chứng nhận năng lượng
11.3 Nội dung của giấy chứng nhận hiệu quả năng lượng
11.3.1 Tổng quát
11.3.2 Mô hình đồ họa mặc định
11.4 Khuyến nghị
12 Kiểm soát chất lượng
13 Kiểm tra sự phù hợp
Phụ lục A (Quy định) Bảng dữ liệu đầu vào và lựa chọn phương pháp - Bản mẫu
Phụ lục B (Tham khảo) Bảng dữ liệu đầu vào và lựa chọn phương pháp - Lựa chọn mặc định
Thư mục tài liệu tham khảo
Bạn chưa Đăng nhập thành viên.
Đây là tiện ích dành cho tài khoản thành viên. Vui lòng Đăng nhập để xem chi tiết. Nếu chưa có tài khoản, vui lòng Đăng ký tại đây!