- Tổng quan
- Nội dung
- Tiêu chuẩn liên quan
- Lược đồ
- Tải về
Tiêu chuẩn Quốc gia TCVN ISO 9000:2007 Hệ thống quản lý chất lượng - Cơ sở và từ vựng
| Số hiệu: | TCVN ISO 9000:2007 | Loại văn bản: | Tiêu chuẩn Việt Nam |
| Cơ quan ban hành: | Bộ Khoa học và Công nghệ | Lĩnh vực: | Khoa học-Công nghệ |
|
Ngày ban hành:
Ngày ban hành là ngày, tháng, năm văn bản được thông qua hoặc ký ban hành.
|
14/08/2007 |
Hiệu lực:
|
Đã biết
|
| Người ký: | Đang cập nhật |
Tình trạng hiệu lực:
Cho biết trạng thái hiệu lực của văn bản đang tra cứu: Chưa áp dụng, Còn hiệu lực, Hết hiệu lực, Hết hiệu lực 1 phần; Đã sửa đổi, Đính chính hay Không còn phù hợp,...
|
Đã biết
|
TÓM TẮT TIÊU CHUẨN VIỆT NAM TCVN ISO 9000:2007
Nội dung tóm tắt đang được cập nhật, Quý khách vui lòng quay lại sau!
Tải tiêu chuẩn Việt Nam TCVN ISO 9000:2007
TIÊU CHUẨN VIỆT NAM
TCVN ISO 9000 : 2007
ISO 9000 : 2005
Xuất bản lần 3
Third edition
HỆ THỐNG QUẢN LÝ CHẤT LƯỢNG -
CƠ SỞ VÀ TỪ VỰNG
Quality management systems - Fundamentals and vocabulary
MỤC LỤC
Lời nói đầu
Lời giới thiệu
1 Phạm vi áp dụng
2 Cơ sở của hệ thống quản lý chất lượng
2.1 Mục đích của hệ thống quản lý chất lượng
2.2 Các yêu cầu đối với hệ thống quản lý chất lượng và các yêu cầu đối với sản phẩm
2.3 Cách tiếp cận theo hệ thống quản lý chất lượng
2.4 Cách tiếp cận theo quá trình
2.5 Chính sách chất lượng và mục tiêu chất lượng
2.6 Vai trò của lãnh đạo cao nhất trrong hệ thống quản lý chất lượng
2.7 Hệ thống tài liệu
2.8 Xem xét đánh giá hệ thống quản lý chất lượng
2.9 Cải tiến liên tục
2.10 Vai trò của kỹ thuật thống kê
2.11 Trọng tâm của hệ thống quản lý chất lượng và các hệ thống quản lý khác
2.12 Mối quan hệ giữa hệ thống quản lý chất lượng và các mô hình tuyệt hảo
3 Thuật ngữ và định nghĩa
3.1 Các thuật ngữ có liên quan đến chất lượng
3.2 Thuật ngữ có liên quan đến quản lý
3.3 Thuật ngữ có liên quan đến tổ chức
3.4 Thuật ngữ có liên quan đến quá trình và sản phẩm
3.5 Thuật ngữ có liên quan đến các đặc tính
3.6 Thuật ngữ liên quan đến sự phù hợp
3.7 Thuật ngữ liên quan đến hệ thống tài liệu
3.8 Thuật ngữ liên quan đến xem xét
3.9 Thuật ngữ liên quan đến đánh giá
3.10 Thuật ngữ liên quan đến đảm bảo chất lượng các quá trình đo lường
Phụ lục A Phương pháp luận sử dụng khi xây dựng từ vựng
Thư mục tài liệu tham khảo
Bảng tra theo thứ tự chữ cái
CONTENTS
Foreword
Introduction
1 Scope
2 Fundamentals of quality management systems
2.1 Rationale for quality management systems
2.2 Requirements for quality management systems and requirements for products
2.3 Quality management systems approach
2.4 The process approach
2.5 Quality policy and quality objectives
2.6 Role of top management within the quality management system
2.7 Documentation
2.8 Evaluating quality management systems
2.9 Continual improvement
2.10 Role of statistical techniques
2.11 Quality management systems and other management system focuses
2.12 Relationship between quality management systems and excellence models
3 Terms and definitions
3.1 Terms relating to quality
3.2 Terms relating to management
3.3 Terms relating to organization
3.4 Terms relating to process and product
3.5 Terms relating to characteristics
3.6 Terms relating to conformity
3.7 Terms relating to documentation
3.8 Terms relating to examination
3.9 Terms relating to audit
3.10 Terms relating to quality assurance for measurement processes
Annex A: Methodology used in the development of the vocabulary
Bibliography
Alphabetical index
Lời nói đầu
TCVN ISO 9000 : 2007 thay thế TCVN ISO 9000 : 2000 (ISO 9000 : 2000); TCVN ISO 9000 : 2007 hoàn toàn tương đương với ISO 9000 : 2005;
TCVN ISO 9000 : 2007 do Ban kỹ thuật tiêu chuẩn TCVN/TC 176, Quản lý chất lượng và đảm bảo chất lượng biên soạn, Tổng cục Tiêu chuẩn Đo lường Chất lượng đề nghị, Bộ Khoa học và Công nghệ công bố.
| Lời giới thiệu 0.1 Khái quát Bộ tiêu chuẩn TCVN ISO 9000 liệt kê duới đây được xây dựng nhằm trợ giúp các tổ chức, thuộc mọi loại hình và qui mô, áp dụng và vận hành các hệ thống quản lý chất lượng có hiệu lực | Introduction 0.1 General The ISO 9000 family of standards listed below has been developed to assist organizations, of all types and sizes, to implement and operate effective quality management systems. |
| - TCVN ISO 9000 mô tả cơ sở của các hệ thống quản lý chất lượng và qui định các thuật ngữ cho các hệ thống quản lý chất lượng. | - ISO 9000 describes fundamentals of quality management systems and specifies the terminology for quality management systems. |
| - TCVN ISO 9001 qui định các yêu cầu đối với hệ thống quản lý chất lượng khi một tổ chức cần chứng tỏ năng lực của mình trong việc cung cấp sản phẩm đáp ứng các yêu cầu của khách hàng và các yêu cầu chế định tương ứng và nhằm nâng cao sự thoả mãn của khách hàng. | - ISO 9001 specifies requirements for a quality management system where an organization needs to demonstrate its ability to provide products that fulfil customer and applicable regulatory requirements and aims to enhance customer satisfaction |
| - TCVN ISO 9004 cung cấp các hướng dẫn xem xét cả tính hiệu lực và hiệu quả của hệ thống quản lý chất ượng. Mục đích của tiêu chuẩn này là cải tiến kết quả thực hiện của một tổ chức và thoả mãn khách hàng và các bên quan tâm. | - ISO 9004 provides guidelines that consider both the effectiveness and efficiency of the quality management system. The aim of this standard is improvement of the performance of the organization and satisfaction of customers and other interested parties. |
| - TCVN ISO 19011 cung cấp hướng dẫn về đánh giá các hệ thống quản lý chất lượng và môi trường. Tất cả các tiêu chuẩn này tạo thành một bộ tiêu chuẩn về hệ thống quản lý chất lượng tạo điều kiện thuận lợi cho việc thông hiểu lẫn nhau trong thương mại quốc gia và quốc tế. | - ISO 19011 provides guidance on auditing quality and environmental management systems. Together they form a coherent set of quality management system standards facilitating mutual understanding in national and international trade |
| 0.2 Các nguyên tắc của quản lý chất lượng Để lãnh đạo và điều hành thành công một tổ chức, cần định hướng và kiểm soát tổ chức một cách hệ thống và rõ ràng. Có thể đạt được thành công nhờ áp dụng và duy trì một hệ thống quản lý chất lượng được thiết kế để cải tiến liên tục kết quả thực hiện trong khi vẫn lưu ý đến các nhu cầu của các bên quan tâm. Việc quản lý một tổ chức bao gồm các qui tắc của quản lý chất lượng, trong số các lĩnh vực quản lý khác. | 0.2 Quality management principles To lead and operate an organization successfully, it is necessary to direct and control it in a systematic and transparent manner. Success can result fromimplementing and maintaining a management system that is designed to continually improve performance while addressing the needs of all interested parties. Managing an organization encompasses quality management amongst other management disciplines. |
| Tám nguyên tắc của quản lý chất lượng được nhận biết để lãnh đạo cao nhất có thể sử dụng nhằm dẫn dắt tổ chức đạt được kết quả cao hơn. | Eight quality management principles have been identified that can be used by top management in order to lead the organization towards improved performance |
| a) Hướng vào khách hàng Mọi tổ chức đều phụ thuộc vào khách hàng của mình và vì thế cần hiểu các nhu cầu hiện tại và tương lai của khách hàng, cần đáp ứng các yêu cầu của khách hàng và cố gắng vượt cao hơn sự mong đợi của họ. | a) Customer focus Organizations depend on their customers and therefore should understand current and future customer needs, should meet customer requirements and strive to exceed customer expectations. |
| b) Sự lãnh đạo Lãnh đạo thiết lập sự thống nhất giữa mục đích và phương hướng của tổ chức. Lãnh đạo cần tạo ra và duy trì môi trường nội bộ để có thể hoàn toàn lôi cuốn mọi người tham gia để đạt được các mục tiêu của tổ chức. | b) Leadership Leaders establish unity of purpose and direction of the organization. They should create and maintain the internal environment in which people can become fully involved in achieving the organization's objectives. |
| c) Sự tham gia của mọi người Mọi người ở tất cả các cấp là yếu tố của một tổ chức và việc huy động họ tham gia đầy đủ sẽ giúp cho việc sử dụng được năng lực của họ vì lợi ích của tổ chức. | c) Involvement of people People at all levels are the essence of an organization and their full involvement enables their abilities to be used for the organization's benefit. |
| d) Cách tiếp cận theo quá trình Kết quả mong muốn sẽ đạt được một cách hiệu quả khi các nguồn lực và các hoạt động có liên quan được quản lý như một quá trình. | d) Process approach A desired result is achieved more efficiently when activities and related resources are managed as a process. |
| e) Cách tiếp cận theo hệ thống đối với quản lý Việc xác định, hiểu và quản lý các quá trình có liên quan lẫn nhau như một hệ thống sẽ đem lại hiệu lực và hiệu quả của tổ chức nhằm đạt được các mục tiêu đề ra. | e) System approach to management Identifying, understanding and managing interrelated processes as a system contributes to the organization's effectiveness and efficiency in achieving its objectives. |
| f) Cải tiến liên tục Cải tiến liên tục các kết quả thực hiện phải là mục tiêu thường trực của tổ chức. | f) Continual Improvement Continual improvement of the organization's overall performance should be a permanent objective of the organization. |
| g) Quyết định dựa trên sự kiện Mọi quyết định có hiệu lực được dựa trên việc phân tích dữ liệu và thông tin. | g) Factual approach to decision making Effective decisions are based on the analysis of data and information. |
| h) Quan hệ hợp tác cùng có lợi với người cung ứng | h) Mutually beneficial supplier relationships |
| Tổ chức và người cung ứng phụ thuộc lẫn nhau và mối quan hệ cùng có lợi sẽ nâng cao năng lực của cả hai bên để tạo ra giá trị | An organization and its suppliers are interdependent and a mutually beneficial relationship enhances the ability of both to create value. |
| Tám nguyên tắc quản lý chất lượng này tạo thành cơ sở cho các tiêu chuẩn về hệ thống quản lý chất lượng trong bộ TCVN ISO 9000. | These eight quality management principles form the basis for the quality management system standards within the ISO 9000 family. |
TCVN ISO 9000:2007
HỆ THỐNG QUẢN LÝ CHẤT LƯỢNG - CƠ SỞ VÀ TỪ VỰNG
Quality management - Fundamentals and vocabulary
| 1 Phạm vi áp dụng Tiêu chuẩn này mô tả cơ sở của các hệ thống quản lý chất lượng, một đối tượng của bộ tiêu chuẩn TCVN ISO 9000, và xác định các thuật ngữ có liên quan. | 1 Scope This standard describes fundamentals of quality management systems, which form the subject of the ISO 9000 family, and defines related terms. |
| Tiêu chuẩn này được áp dụng cho những đối tượng sau: | This standard is applicable to the following: |
| a) các tổ chức muốn có những lợi ích thông qua việc áp dụng một hệ thống quản lý chất lượng; | a) organizations seeking advantage through the implementation of a quality management system; |
| b) các tổ chức muốn có sự tin tưởng đối với người cung ứng rằng các yêu cầu đối với sản phẩm của họ sẽ được đáp ứng; | b) organizations seeking confidence from their suppliers that their product requirements will be satisfied; |
| c) người sử dụng sản phẩm; | c) users of the products; |
| d) những người quan tâm đến sự thông hiểu lẫn nhau các thuật ngữ dùng trong việc quản lý chất lượng (ví dụ như: người cung ứng, khách hàng, cơ quan định chế) | d) those concerned with a mutual understanding of the terminology used in quality management (e.g. suppliers, customers, regulators); |
| e) những người thuộc nội bộ hay bên ngoài tổ chức có nhiệm vụ đánh giá hệ thống quản lý chất lượng hay đánh giá sự phù hợp của hệ thống đó theo các yêu cầu của TCVN ISO 9001 (ví dụ như: chuyên gia đánh giá, cơ quan định chế, các tổ chức chứng nhận/đăng ký); | e) those internal or external to the organization who assess the quality management system or audit it for conformity with the requirements of ISO 9001 (e.g. auditors, regulators, certification / registration bodies); |
| f) những người thuộc nội bộ hay bên ngoài tổ chức có nhiệm vụ tư vấn hoặc đào tạo về hệ thống quản lý chất lượng cho thích hợp với tổ chức đó; | f) those internal or external to the organization who give advice or training on -the quality management system appropriate to that organization |
| g) tổ chức xây dựng các tiêu chuẩn liên quan. | g) developers of related standards. |
| 2 Cơ sở của hệ thống quản lý chất lượng | 2 Fundamentals of quality management systems |
| 2.1 Mục đích của hệ thống quản lý chất lượng | 2.1 Rationale for quality management systems |
| Hệ thống quản lý chất lượng có thể giúp các tổ chức nâng cao sự thoả mãn của khách hàng. | Quality management systems can, assist organizations in enhancing customer satisfaction. |
| Khách hàng đòi hỏi sản phẩm có những đặc tính thoả mãn nhu cầu và mong đợi của họ. Nhu cầu và mong đợi này được thể hiện ở các qui định cho sản phẩm và được gọi chung là các yêu cầu của khách hàng. Yêu cầu của khách hàng có thể được qui định dưới dạng hợp đồng hoặc do chính tổ chức xác định. Trong mọi trường hợp, khách hàng đều là người quyết định cuối cùng về việc chấp nhận sản phẩm. Do nhu cầu và mong đợi của khách hàng thay đổi, do áp lực cạnh tranh và tiến bộ kỹ thuật nên các tổ chức cũng phải liên tục cải tiến sản phẩm và các quá trình của họ. | Customers rsequire products with characteristics that satisfy their needs and expectations. These need'; and expectations are expressed in product specifications and collectively referred to as customer requirements. Customer requirements may be specified contractually by the customer or may be determined by the organization itself. In either case, the customer ultimately determines the acceptability of the product. Because customer needs and-expectations are changing, organizations are driven to improve continually their products and processes. |
| Phương pháp hệ thống trong quản lý chất lượng khuyến khích các tổ chức phân tích các yêu cầu của khách hàng, xác định được các quá trình giúp cho sản phẩm trong tầm kiểm soát. Một hệ thống quản lý chất lượng có thể cung cấp cơ sở cho việc cải tiến không ngừng nhằm tăng khả năng thỏa mãn khách hàng và các bên có liên quan khác. Nó tạo ra sự tin tưởng cho tổ chức và khách hàng về khả năng cung cấp sản phẩm luôn đáp ứng các yêu cầu được khách hàng chấp nhận và giữ các quá trình này. | The quality management system approach encourages organizations to analyse customer requirements, define the processes that contribute to the achievement of a product which is acceptable to the customer, and to keep these processes under control. A quality management system can provide the framework for continual improvement to increase the probability of enhancing customer satisfaction and the satisfaction of other interested parties. It provides confidence to the organization and its customers that it is able to provide products that consistently fulfil requirements. |
| 2.2 Các yêu cầu của hệ thống quản lý chất lượng và các yêu cầu đối với sản phẩm | 2.2 Requirements for quality management systems and requirements for products |
| Bộ tiêu chuẩn TCVN ISO 9000 phân biệt các yêu cầu đối với hệ thống quản lý chất lượng với các yêu cầu đối với sản phẩm. | The ISO 9000 family distinguishes between requirements for quality management systems and requirements for products. |
| Yêu cầu đối với hệ thống quản lý chất lượng được qui định trong TCVN ISO 9001. Các yêu cầu đối với hệ thống quản lý chất lượng mang tính tổng quát và có thể áp dụng cho các tổ chức trong mọi ngành công nghiệp hay các khu vực kinh tế bất kể loại hình sản phẩm được cung cấp. Tiêu chuẩn TCVN ISO 9001 không qui định yêu cầu cho sản phẩm. | Requirements for quality management systems are specified in ISO 9001. Requirements for quality management systems are generic and applicable to organizations in any industry or economic sector regardless of the offered product category. ISO 9001 itself does not establish requirements for products. |
| Các yêu cầu cho sản phẩm có thể do khách hàng hay tổ chức qui định có tính đến các yêu cầu của khách hàng hay các chế định. Các yêu cầu đối với sản phẩm và, trong một số trường hợp, các quá trình kèm theo có thể nằm trong các tài liệu như qui định ký thuật, tiêu chuẩn cho sản phẩm, các tiêu chuẩn cho quá trình, các thoả thuận trong hợp đồng và các yêu cầu chế định. | Requirements for products can be specified by customers or by the organization in anticipation of customer requirements, or by regulation. The requirements for products and in some cases associated processes can be contained in, for example, technical specifications, product standards, process standards, contractual agreements and regulatory requirements. |
| 2.3 Cách tiếp cận theo hệ thống quản lý chất lượng | 2.3 Quality management systems approach |
| Phương pháp xây dựng và áp dụng một hệ thống quản lý chất lượng bao gồm một số bước, trong đó có các bước sau đây: | An approach to developing and implementing a quality management system consists of several steps including the following: |
| a) xác định nhu cầu và mong đợi của khách hàng và các bên quan tâm khác; | a) determining the needs and expectations of customers and other interested parties; |
| b) thiết lập chính sách chất lượng và mục tiêu chất lượng của tổ chức; | b) establishing the quality policy and quality objectives of the organization; |
| c) xác định các quá trình và trách nhiệm cần thiết để đạt được các mục tiêu chất lượng; | c) determining the processes and responsibilities necessary to attain the quality objectives; |
| d) xác định và cung cấp nguồn lực cần thiết để đạt được các mục tiêu chất lượng; | d) determining and providing the resources necessary to attain the quality objectives; |
| e) thiết lập các phương pháp đo hiệu lực và hiệu quả của mỗi quá trình; | e) establishing methods to measure the effectiveness and efficiency of each process: |
| f) áp dụng các phương pháp đo này để xác định hiệu lực và hiệu quả của mỗi quá trình; | f) applying these measures to determine the effectiveness and efficiency of each process; |
| g) xác định các biện pháp ngăn ngừa sự không phù hợp và loại bỏ các nguyên nhân gây ra chúng; | g) determining means of preventing nonconformities and eliminating their causes; |
| h) thiết lập và áp dụng một quá trình để cải tiến liên tục hệ thống quản lý chất lượng | h) establishing and applying a process for continual improvement of the quality management system. |
| Có thể áp dụng phương pháp như vậy để duy trì và cải tiến hệ thống chất lượng hiện tại. | Such an approach is also applicable to maintaining and improving an existing quality management system. |
| Bằng cách áp dụng cách tiếp cận như vậy, tổ chức tạo ra sự tin tưởng vào khả năng của các quá trình và chất lượng của sản phẩm, và cung cấp cơ sở cho cải tiến liên tục. Điều này có thể dẫn đến tăng sự thoả mãn của khách hàng và các bên quan tâm khác và thành công của cả tổ chức. | An organization that adopts the above approach creates confidence in the capability of its processes and the quality of its products, and provides a basis for continual improvement. This can lead to increased satisfaction of customers and other interested parties and to the success of the organization. |
| 2.4 Cách tiếp cận theo quá trình Mọi hoạt động, hay tập hợp các hoạt động sử dụng các nguồn lực để biến đầu vào thành đầu ra có thể xem như một quá trình. | 2.4 The process approach Any activity, or set of activities, that uses resources to transform inputs to outputs can be considered as a process. |
| Để các tổ chức hoạt động có hiệu quả, họ phải xác định và quản lý nhiều quá trình có liên quan và tương tác lẫn nhau. Thông thường, đầu ra của một quá trình sẽ trực tiếp tạo thành đầu vào quá trình tiếp theo. Việc xác định một cách hệ thống và quản lý các quá trình được triển khai trong tổ chức và đặc biệt quản lý sự tương tác giữa các quá trình đó được gọi là "cách tiếp cận theo quá trình". | For organizations to function effectively, they have to identify and manage numerous interrelated and interacting processes. Often, the output from one process will directly form the input into the next process. The systematic identification and management of the processes employed within an organization and particularly the interactions between such processes is referred to as the "process approach". |
| Tiêu chuẩn này khuyến khích áp dụng cách tiếp cận theo quá trình để quản lý một tổ chức. | The intent of this standard is to encourage the adoption of the process approach to manage an organization. |
| Hình 1 minh hoạ hệ thống quản lý chất lượng dựa trên quá trình được mô tả trong bộ tiêu chuẩn TCVN ISO 9000. Minh hoạ này chỉ rõ các bên quan tâm đóng vai trò có ý nghĩa trong việc cung cấp đầu vào cho tổ chức. Việc theo dõi sự thoả mãn của các bên quan tâm đòi hỏi việc xem xét đánh giá thông tin có liên quan đến sự cảm nhận của các bên có quan tâm về mức độ đáp ứng nhu cầu và mọng đợi của họ. Mô hình biểu thị trong Hình 1 không chỉ rõ các quá trình ở mức độ chi tiết. | Figure 1 illustrates the process-based quality management system described the ISO 9000 family of standards. This illustration shows that interested parties play a significant role in providing inputs to the organization. Monitoring the satisfaction of interested parties requires the evaluation of information relating to the perception of interested parties as to the extent to which their needs and expectations have been met. The model shown in Figure 1 does not show processes at a detailed level. |
| 2.5 Chính sách và mục tiêu chất lượng | 2.5 Quality policy and quality objectives |
| Chính sách chất lượng và mục tiêu chất lượng được thiết lập nhằm đưa ra trọng tâm để định hướng tổ chức. Cả hai đều nhằm xác định những kết quả cần đạt và giúp tổ chức sử dụng nguồn lực nhằm đạt được các kết quả này. Chính sách chất lượng cung cấp cơ sở thiết lập và xem xét các mục tiêu chất lượng. Mục tiêu chất lượng cần phải nhất quán với chính sách chất lượng và cam kết cải tiến liên tục, và các kết quả đạt được cần phải đo được. Việc đạt được mục tiêu chất lượng có thể có tác động tích cực đến chất lượng sản phẩm, hiệu lực tác nghiệp và các kết quả hoạt động tài chính và như vậy tác động đến sự thoả mãn và tin tưởng của các bên quan tâm. | Quality policy and quality objectives are established to provide a focus to direct the organization. Both determine the desired results and assist the organization to apply its resources to achieve these results. The quality policy provides a framework for establishing and reviewing quality objectives. The quality objectives need to be consistent with the quality policy and the commitment to continual improvement, and their achievement needs to be measurable. The achievement of quality objectives can have a positive impact on product quality, operational effectiveness and financial performance and thus on the satisfaction and confidence of interested parties. |

Hình 1. Mô hình của một hệ thống quản lý chất lượng dựa trên quá trình

Figure 1 - Model of a process - based quality management system
| 2.6 Vai trò của lãnh đạo cao nhất trong hệ thống quản lý chất lượng | 2.6 Role of top management within the quality management system |
| Thông qua sự lãnh đạo và các hành động, lãnh đạo cao nhất tạo ra môi trường để huy động mọi người tham gia và để hệ thống quản lý chất lượng hoạt động có hiệu lực. Lãnh đạo cấp cao nhất có thể sử dụng các nguyên tắc của quản lý chất lượng (xem 0.2) làm cơ sở cho vai trò của họ, đó là: | Through leadership and actions, top management can create an environment where people are fully involved and in which a quality management system can operate effectively. The quality management principles (see 0.2) can be used by top management as the basis of its role, which is as follows: |
| a) thiết lập và duy trì chính sách và mục tiêu chất lượng của tổ chức; | a) to establish and maintain the quality policy and quality objectives of the organization; |
| b) phổ biến chính sách chất lượng và mục tiêu chất lượng trong toàn bộ tổ chức để nâng cao nhận thức, động viên và huy động tham gia; | b) to promote the quality policy and quality objectives throughout the organization to increase awareness, motivation and involvement |
| c) đảm bảo toàn bộ tổ chức hướng vào các yêu cầu của khách hàng; | c) to ensure focus on customer requirements throughout the organization; |
| d) đảm bảo các quá trình thích hợp được thực hiện để tạo khả năng đáp ứng được yêu cầu của khách hàng và các bên quan tâm và đạt được mục tiêu chất lượng; | d) to ensure that appropriate processes are implemented to enable requirements of customers and other interested parties to be fulfilled and quality objectives to be achieved; |
| e) đảm bảo thiết lập, thực thi và duy trì một hệ thống quản lý chất lượng có hiệu lực và hiệu quả, để đạt được các mục tiêu chất lượng đó; | e) to ensure that an effective and efficient quality management system is established, implemented and maintained to achieve these quality objectives; |
| f) đảm bảo có sẵn các nguồn lực cần thiết; | f) to ensure the availability of necessary resources; |
| g) xem xét định kỳ hệ thống quản lý chất lượng; | g) to review the quality management system periodically; |
| h) quyết định các hành động đối với chính sách chất lượng và mục tiêu chất lượng; | h) to decide on actions regarding the quality policy and quality objectives; |
| j) quyết định các hành động cải tiến hệ thống quản lý chất lượng. | k) to decide on actions for improvement of the quality management system. |
| 2.7 Hệ thống tài liệu 2.7.1 Giá trị của hệ thống tài liệu Hệ thống tài liệu tạo khả năng thông báo các ý định và sự nhất quán các hành động. Việc sử hệ thống tài liệu giúp: | 2.7 Documentation 2.7.1 Value of documentation Documentation enables communication of intent and consistency of action. Its use contributes to: |
| a) đạt được sự phù hợp với các yêu cầu của khách hàng và cải tiến chất lượng; | a) achievement of conformity to customer requirements and quality improvement; |
| b) cung cấp việc đào tạo thích hợp; | b) provision of appropriate training. |
| c) lặp lại và xác định nguồn gốc; | c) repeatability and traceability; |
| d) cung cấp bằng chứng khách quan; và | d) provision of objective evidence, and |
| e) đánh giá tính hiệu lực và sự luôn thích hợp của hệ thống quản lý chất lượng. | e) evaluation of the effectiveness and continuing suitability of the quality management system. |
| Bản thân việc tạo thành hệ thống tài liệu không phải là mục đích mà cần phải là một hoạt động gia tăng giá trị | Generation of documentation should not be an end in itself but should be a value-adding activity |
| 2.7.2 Các loại tài liệu được sử dụng trong hệ thống quản lý chất lượng | 2.7.2 Types of document used in quality management systems |
| Các loại tài liệu sau được sử dụng trong hệ thống quản lý chất lượng: | The following types of document are used in quality management systems: |
| a) tài liệu cung cấp những thông tin nhất quán, cả cho nội bộ và bên ngoài, về hệ thống quản lý chất lượng của tổ chức; những tài liệu này được gọi là sổ tay chất lượng | a) documents that provide consistent information, both internally and externally, about the organization's quality management system; such documents are referred to as quality manuals; |
| b) tài liệu miêu tả cách thức áp dụng hệ thống quản lý chất lượng đối với một sản phẩm, dự án, hợp đồng cụ thể; những tài liệu này được gọi là kế hoạch chất lượng; | b) documents that describe how the quality management system is applied to a specific product, project or contract; such documents are referred to as quality plans; |
| c) tài liệu công bố các yêu cầu; những tài liệu này được gọi là các qui định; | c) documents stating requirements; such documents are referred to as specifications; |
| d) tài liệu cung cấp các khuyến nghị hay gợi ý; những tài liệu này gọi là hướng dẫn; | d) documents stating recommendations or sugge; such documents are referred to as guidelines; |
| e) tài liệu cung cấp các thông tin về cách thức tiến hành các hoạt động và quá trình một cách nhất quán; những tài liệu này có thể bao gồm các thủ tục, hướng dẫn công việc và bản vẽ; | e) documents that provide information about how to perform activities and processes consistently; such documents can include documented procedures, work instructions and drawings; |
| f) tài liệu cung cấp những bằng chứng khách quan về các hoạt động đã được thực hiện hay kết quả đạt được; những tài liệu này gọi là hồ sơ. | f) documents that provide objective evidence of activities performed or results achieved; such documents are referred to as records. |
| Mỗi tổ chức xác định mức độ của hệ thống tài liệu cần thiết và phương tiện thông tin được sử dụng. Điều này phụ thuộc vào các yếu tố như quy mô và loại hình tổ chức, sự phức tạp của sản phẩm, yêu cầu của khách hàng, các yêu cầu chế định tương ứng, năng lực của nhân viên đã được chứng minh, và mức độ cần thiết để chứng tỏ việc thực hiện các yêu cầu của hệ thống quản lý chất lượng. | Each organization determines the extent of documentation required and the media to be used. This depends on factors such as the type and size of the organization, the complexity and interaction of processes, the complexity of products, customer requirements, the applicable regulatory requirements, the demonstrated ability of personnel, and the extent to which it is necessary to demonstrate fulfillment of quality management system requirements. |
| 2.8 Xem xét đánh giá hệ thống quản lý chất lượng | 2.8 Evaluating quality management systems |
| 2.8.1 Xem xét đánh giá các quá trình trong hệ thống quản lý chất lượng | 2.8.1 Evaluating processes within the quality management system |
| Khi xem xét đánh giá hệ thống quản lý chất lượng, có bốn câu hỏi cơ bản cần đặt ra liên quan đến mọi quá trình được đánh giá: | When evaluating quality management systems, there are four basic questions that should be asked in relation to every process being evaluated. |
| a) các quá trình có được nhận biết và các xác định thoả đáng? | a) Is the process identified and appropriately defined? |
| b) có phân công trách nhiệm? | b) Are responsibilities assigned? |
| c) các thủ tục có được áp dụng và duy trì? | c) Are the procedures implemented and maintained? |
| d) quá trình này có hiệu lực để đạt được kết quả đặt ra? Tập hợp các cầu trả lời cho những cầu hỏi trên có thể xác định được kết quả của việc xem xét đánh giá. Xem xét đánh giá một hệ thống quản lý chất lượng có thể thay đổi tuỳ thuộc vào phạm vi và bao gồm nhiều dạng hoạt động, như đánh giá và xem xét hệ thống quản lý chất lượng và tự xem xét đánh giá. | d) Is the process effective in achieving the required results? The collective answers to the above questions can determine the result of the evaluation. Evaluation of a quality management system can vary in scope and encompass a range of activities, such as auditing and reviewing the quality management system, and self- assessments. |
| 2.8.2 Đánh giá hệ thống quản lý chất lượng | 2.8.2 Auditing the quality management system |
| Đánh giá được sử dụng để xem xét mức độ thực hiện các yêu cầu của hệ thống quản lý chất lượng. Các kết quả đánh giá được sử dụng để xác định hiệu lực của hệ thống quản lý chất lượng và các cơ hội cải tiến | Audits are used to determine the extent to which the quality management system requirements are fulfilled. Audit findings are used to assess the effectiveness of the quality management system and to identify opportunities for improvement. |
| Đánh giá của bên thứ nhất được chính tổ chức, hay người đại diện của tổ chức đó tiến hành, vì mục đích nội bộ và có thể dùng làm cơ sở cho việc tự công bố của tổ chức về sự phù hợp. | First-party audits are conducted by, or on behalf of, the organization itself for internal purposes and can form the basis for an organization's self - declaration of conformity |
| Đánh giá của bên thứ hai được thực hiện bởi khách hàng của tổ chức hay đại diện của khách hàng. | Second-party audits are conducted by customers of the organization or by other persons on behalf of the customer. |
| Đánh giá của bên thứ ba được thực hiện bởi các tổ chức độc lập bên ngoài. Những tổ chức như vậy, thường được công nhận, sẽ chứng nhận sự phù hợp với các yêu cầu ví dụ như yêu cầu của TCVN ISO 9001. | Third-party audits are conducted by external independent audit service organizations. Such organizations, usually accredited, provide certification or registration of conformity with equirements such as those of ISO 9001. |
| TCVN ISO 19011 cung cấp hướng dẫn cho việc đánh giá. | ISO 19011 provides guidance on auditing. |
| 2.8.3 Xem xét hệ thống quản lý chất lượng | 2.8.3 Reviewing the quality management system |
| Một vai trò của lãnh đạo cao nhất là xem xét đánh giá định kỳ hệ thống quản lý chất lượng về sự thích hợp, phù hợp, hiệu lực và hiệu quả của hệ thống quản lý chất lượng theo chính sách chất lượng và mục tiêu chất lượng. Việc xem xét này có thể bao gồm nghiên cứu nhu cầu thay đổi chính sách và mục tiêu chất lượng cho phù hợp với các nhu cầu và sự mong đợi luôn thay đổi của các bên quan tâm. Việc xem xét bao gồm cả xác định sự cần thiết phải có các hành động. | One role of top management is to carry out regular systematic evaluations of the suitability, adequacy, effectiveness and efficiency of the quality management system with respect to the quality policy and quality objectives. This review can include consideration of the need to adapt the quality policy and objectives in response to changing needs and expectations of interested parties. The review includes determination of the need for actions. |
| Trong số các nguồn thông tin khác, các báo cáo đánh giá được sử dụng để xem xét hệ thống quản lý chất lượng. | Amongst other sources of information, audit reports are used for review of the quality management system. |
| 2.8.4 Tự xem xét đánh giá | 2.8.4 Self-assessment |
| Việc tự xem xét đánh giá của một tổ chức là sự xem xét một cách toàn diện và hệ thống các hoạt động và kết quả của tổ chức so với hệ thống quản lý chất lượng hay mô hình tuyệt hảo. | An organization's self-assessment is a comprehensive and systematic review of the organization's activities and results referenced against the quality management system or a model of excellence. |
| Việc tự xem xét đánh giá có thể cung cấp một cách nhìn tổng quát về kết quả thực hiện của tổ chức và mức độ hoàn thiện hệ thống quản lý chất lượng. Nó cũng giúp để xác định lĩnh vực cần cải tiến trong tổ chức và xác định sự ưu tiên. | Self -assessment can provide an overall view of the performance of the organization and the degree of maturity of the quality management system. It can also help to identify areas requiring improvement in the organization and to determine priorities. |
| 2.9 Cải tiến liên tục | 2.9 Continual improvement |
| Mục đích cải tiến liên tục một hệ thống quản lý chất lượng là để tăng cường khả năng nâng cao sự thoả mãn của khách hàng và các bên quan tâm khác. Các hành động cải tiến bao gồm cả những hoạt động sau: | The aim of continual improvement of a quality management system is to increase the probability of enhancing the satisfaction of customers and other interested parties. Actions for improvement include the fo lowing: |
| a) phân tích và xem xét đánh giá tình trạng hiện tại để xác định lĩnh vực cải tiến; | a) analysing and evaluating the existing situation to identify areas for improvement'; |
| b) thiết lập mục tiêu cải tiến; | b) establishing the objectives for improvement; |
| c) tìm kiếm giải pháp có thể đạt các mục tiêu này; | c) searching for possible solutions to achieve the objectives; |
| d) xem xét đánh giá các giải pháp này và lựa chọn; | d) evaluating these solutions and making a selection; |
| e) thực hiện các giải pháp được lựa chọn; | e) implementing the selected solution; |
| f) đo lường, kiểm tra xác nhận, phân tích và xem xét đánh giá các kết quả thực hiện để xác định việc đạt các mục tiêu; | f) measuring, verifying, analysing and evaluating results of the implementation to determine that the objectives have been met; |
| g) chính thức hoá những thay đổi. | g) formalizing changes. |
| Khi cần thiết, các kết quả được xem xét để xác định cơ hội cải tiến tiếp theo. Theo cách thức này, cải tiến là một hoạt động không ngừng. Các phản hồi của khách hàng và các bên quan tâm khác, các cuộc đánh giá, xem xét hệ thống quản lý chất lượng cũng có thể được sử dụng để xác định cơ hội cải tiến. | Results are reviewed, as necessary, to determine further opportunities for improvement. In this way, improvement is a continual activity. Feedback from customers and other interested parties, audits and review of the quality management system can also be used to identify opportunities for improvement. |
| 2.10 Vai trò của kỹ thuật thống kê | 2.10 Role of statistical techniques |
| Việc sử dụng kỹ thuật thống kê giúp cho hiểu biết được sự biến động, bởi vậy sẽ giúp tổ chức giải quyết được các vấn đề xảy ra và nâng cao hiệu lực và hiệu quả. Kỹ thuật này cũng có thể tạo điều kiện sử dụng tốt hơn các dữ liệu sẵn có để trợ giúp việc đưa ra các quyết định. | The use of statistical techniques can help in understanding variability, and thereby can help organizations to solve problems and improve effectiveness and efficiency. These techniques also facilitate better use of available data to assist in decision making. |
| Sự biến động có thể được quan sát dựa trên cách thức và kết quả của nhiều hoạt động, thậm chí dưới điều kiện ổn định rõ ràng. Sự biến động đó có thể được quan sát dựa trên các đặc tính đo được của sản phẩm và quá trình, và có thể tồn tại ở các giai đoạn khác nhau xuyên suốt chu kỳ sống của sản phẩm từ nghiên cứu thị trường đến dịch vụ khách hàng và việc xử lý cuối cùng. | Variability can be observed in the behaviour and outcome of many activities, even under conditions of apparent stability. Such variability can be observed in measurable characteristics of products and processes. and may be seen to exist at various stages over the life cycle of products from market research to customer service and final disposal. |
| Kỹ thuật thống kê giúp cho việc đo lường, mô tả, phân tích, giải thích và lập mô hình những biến động như vậy, thậm chí với một khối lượng dữ liệu khá hạn chế. Phân tích thống kê đối với những dữ liệu như vậy có thể giúp hiểu tốt hơn bản chất, mức độ và nguyên nhân của sự biến động. Điều này giúp cho việc giải quyết, thậm chí ngăn ngừa những vấn đề có thể xảy ra từ sự biến động đó, và thúc đẩy cải tiến liên tục. | Statistical techniques can help to measure, describe, analyse, interpret and model such variability, even with a relatively limited amount of data. Statistical analysis of such data can help to provide a better understanding of the nature, extent and causes of variability, thus helping to solve and even prevent problems that may result from such variability, and to promote continual improvement. |
| Hướng dẫn về các kỹ thuật thống kê trong hệ thống quản lý chất lượng được trình bày trong báo cáo kỹ thuật ISO/TR 10017. | Guidance on statistical techniques in a quality management system is given in ISO/TR 10017. |
| 2.11 Trọng tâm của hệ thống quản lý chất lượng và các hệ thống khác | 2.11 Quality management systems and other management system focuses |
| Hệ thống quản lý chất lượng là một phần của hệ thống quản lý của tổ chức tập trung vào việc đạt được đầu ra (kết quả), có liên quan đến mục tiêu chất lượng, nhằm thoả mãn nhu cầu, mong đợi và yêu cầu của khách hàng và các bên quan tâm một cách thích hợp. Các mục tiêu chất lượng bổ sung cho các mục tiêu khác của tổ chức như những mục tiêu liên quan đến tăng trưởng, ngân quỹ, lợi nhuận, môi trường, sức khoẻ và an toàn nghề nghiệp. Các phần khác nhau của hệ thống quản lý của tổ chức có thể được hợp nhất hoá với hệ thống quản lý chất lượng thành một hệ thống quản lý duy nhất sử dụng các yếu tố chung. Điều này tạo thuận lợi cho việc hoạch định, phân bổ nguồn lực, xác định các mục tiêu bổ sung và xem xét đánh giá hiệu lực chung của tổ chức. Hệ thống quản lý của tổ chức có thể được đánh giá theo những yêu cầu về hệ thống quản lý của tổ chức đó. Hệ thống quản lý này cũng có thể được đánh giá theo những yêu cầu tiêu chuẩn như TCVN ISO 9001 và TCVN ISO 14001. Việc đánh giá hệ thống quản lý này có thể được thực hiện một cách riêng rẽ hoặc kết hợp . | The quality management system is that part of the organization's management system that focuses on the achievement of results, in relation to the quality objectives, to satisfy the needs, expectations and requirements of interested parties, as appropriate. The quality objectives complement other objectives of the organization such as those related to growth, funding, profitability, the environment and occupational health and safety. The various parts of an organization's management system might be integrated, together with the quality management system, into a single management system using common elements. This can facilitate planning, allocation of resources, definition of complementary objectives and evaluation of the overall effectiveness of the organization. The organization's management system can be assessed against the organization's management system requirements. The management system can also be audited against the requirements of International Standards such as ISO 9001 and ISO14001. These management system audits can be carried out separately or in combination. |
| 2.12 Mối quan hệ giữa các hệ thông quản lý chất lượng và các mô hình tuyệt hảo | 2.12 Relationship between quality management systems and excellence models |
| Các cách tiếp cận của hệ thống quản lý chất lượng trong bộ tiêu chuẩn TCVN ISO 9000 và trong các mô hình tuyệt hảo về tổ chức dựa trên những nguyên tắc chung. Cả hai đều: | The approaches of quality management systems given in the ISO 9000 family of standards and in organizational excellence models are based on common principles. Both approaches |
| a) tạo điều kiện cho tổ chức xác định các điểm mạnh và điểm yếu; | a) enable an organization to identify its strengths and weaknesses; |
| b) có các điều khoản để xem xét đánh giá theo các mô hình tổng quát; | b) contain provision for evaluation against generic models; |
| c) cung cấp cơ sở để cải tiến liên tục, và | c) provide a basis for continual improvement, and |
| d) có các điều khoản để được sự thừa nhận từ bên ngoài. | d) contain provision for external recognition. |
| Sự khác nhau giữa bộ tiêu chuẩn TCVN ISO 9000 và các mô hình tuyệt hảo là ở phạm vi áp dụng. Bộ TCVN ISO 9000 cung cấp các yêu cầu đối với hệ thống quản lý chất lượng và hướng dẫn để cải tiến kết quả thực hiện; việc xem xét đánh giá hệ thống quản lý chất lượng xác định mức độ thực hiện các yêu cầu đó. Các mô hình tuyệt hảo có các chuẩn mực giúp cho việc xem xét đánh giá mang tính so sánh kết quả thực hiện của tổ chức và có thể áp dụng cho mọi hoạt động và các bên có quan tâm của tổ chức. Các chuẩn mực đánh giá trong mô hình tuyệt hảo cung cấp cơ sở để một tổ chức so sánh kết quả thực hiện của tổ chức với hoạt động của các tổ chức khác. | The difference between the approaches of the quality management systems in the ISO 9000 family of the excellence models lies in their scope of application. The ISO 9000 family of standards provides requirements for quality management systems and guidance for performance improvement; evaluation of quality management systems determines fulfilment of those requirements. The excellence models contain criteria that enable comparative evaluation of organizational performance and this is applicable to all activities and a l interested parties of an organization. Assessment criteria in excellence models provide a basis for an organization to compare its performance with the performance of other organizations. |
| 3 Thuật ngữ và định nghĩa | 3 Terms and definitions |
| Một thuật ngữ trong một định nghĩa hay trong chú thích, được định nghĩa ở mục nào đó trong điều này sẽ được biểu thị bằng chữ đậm kèm theo là số mục trong dấu ngoặc. Một thuật ngữ dưới dạng chữ đậm như vậy có thể được thay thế trong định nghĩa bằng định nghĩa đầy đủ của nó. | A term in a definition or note which is defined elsewhere in this clause is indicated by boldface followed by its entry number in parentheses. Such a boldface term may be replaced in the definition by its complete definition. |
| Ví dụ: | For example: |
| sản phẩm (3.4.2) được định nghĩa là "kết quả của một quá trình (3.4.1)" | product (3.4.2) is defined as "result of a process (3.4.1)" |
| quá trình (3.4.1) được định nghĩa là "tập hợp các hoạt động có quan hệ lẫn nhau và tương tác để biến đầu vào thành đầu ra". | process (3.4.1) is defined as "set of interrelated or interacting activities which transforms inputs into outputs". |
| Nếu thuật ngữ "quá trình" được thay thế bởi định nghĩa này thì: | if the term "process" is replaced by its definition, as follows: |
| sản phẩm trở thành "kết quả của một tập hợp các hoạt động có quan hệ lẫn nhau và tương tác để biến đầu vào thành đầu ra" | product then becomes "result of a set of interrelated or interacting activities which transforms inputs into outputs". |
| Một khái niệm được giới hạn ở một nghĩa cụ thể trong một tình huống nhất định sẽ được chỉ ra bằng cách nêu lĩnh vực của đối tượng đó trong dấu < > trước định nghĩa này. | A concept limited to a special meaning in a particular context is indicated by designating the subject field in angle brackets, < >, before the definition. |
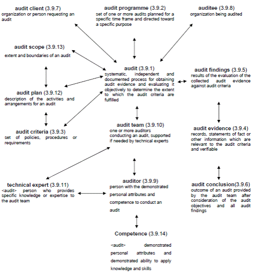
| Ví dụ: (3.9.11) chuyên gia kỹ thuật người <đánh giá> cung cấp kiến thức hay kinh nghiệm chuyên môn cụ thể cho đoàn đánh giá (3.9.10) | Example, technical expert <audit> (3.9.11). <audit> person who provides specific knowledge or expertise to the audit team (3.9.10) |
| 3.1 Thuật ngữ liên quan đến chất lượng 3.1.1 Chất lượng | 3.1 Terms relating to quality 3.1.1 Quality |
| Mức độ của một tập hợp các đặc tính (3.5.1) vốn có đáp ứng các yêu cầu (3.1.2) | Degree to which a set of inherent characteristics (3.5.1) fulfils requirements (3.1.2) |
| CHÚ THÍCH 1: Thuật ngữ "chất lượng" có thể được sử dụng với các tính từ như kém, tốt, tuyệt hảo. | NOTE 1 - The term "quality" can be used with adjectives such as poor, good or excellent. |
| CHÚ THÍCH 2: "Vốn có", trái với "được gán cho", nghĩa là tồn tại trong cái gì đó, đặc biệt như một đặc tính lâu bền hay vĩnh viễn. | NOTE 2 - "Inherent", as opposed to "assigned", means existing in something, especially as a permanent characteristic. |
| 3.1.2 Yêu cầu Nhu cầu hay mong đợi đã được công bố, ngầm hiểu chung hay bắt buộc | 3.1.2 Requirement Need or expectation that is stated, generally implied or obligatory |
| CHÚ THÍCH 1: "Ngầm hiểu chung" nghĩa là những gì thực hành mang tính thông lệ hay phổ biến đối với một tổ chức (3.3.1), khách hàng (3.3.5) của tổ chức và các bên quan tâm (3.3.7) khác, nghĩa là nhu cầu hay mong đợi được xem là ngầm hiểu. | NOTE 1 - "Generally implied" means that it is custom or common practice for the organization (3.3.1), its customers (3.3.5) and other interested parties (3.3.7), that the need or expectation under consideration is implied. |
| CHÚ THÍCH 2: Có thể sử dụng một định ngữ để chỉ rõ loại yêu cầu cụ thể, ví dụ: yêu cầu đối với sản phẩm, yêu cầu đối với hệ thống chất lượng, yêu cầu của khách hàng. | NOTE 2 - A qualifier can be used to denote a specific type of requirement, e.g. product requirement, quality management requirement, customer requirement. |
| CHÚ THÍCH 3: Yêu cầu được qui định là yêu cầu đã được công bố, ví dụ, trong một tài liệu (3.3.2). | NOTE 3 - A specified requirement is one which is stated, for example, in a document (3.7.2). |
| CHÚ THÍCH 4: Yêu cầu có thể được nảy sinh từ các bên quan tâm khác nhau (3.3.7). | NOTE 4 - Requirements can be generated by different interested parties. |
| CHÚ THÍCH 5: Định nghĩa này khác với định nghĩa nêu ở 3.12.1 của ISO/IEC Directives, Part 2:2004. | NOTE 5 - This definition differs from that provided in 3.12.1 of ISO/IEC Directives, Part 2:2004 |
| 3.1.3 Cấp Chủng loại hay thứ hạng của các yêu cầu (3.1.2) chất lượng khác nhau đối với sản phẩm (3.4.2), quá trình (3.4.1) hay hệ thống (3.2.1) có cùng chức năng sử dụng | 3.1.3 Grade Category or rank given to different quality requirements (3.1.2) for products (3.4.2), processes (3.4.1) or systems (3.2.1) having the same functional use |
| VÍ DỤ : Các hạng vé máy bay và hạng khách sạn trong bản hướng dẫn khách sạn. | EXAMPLE Class of airline ticket and category of hotel in a hotel guide. |
| Chú thích: Khi lập một yêu cầu chất lượng, nói chung cần qui định cấp. | NOTE - When establishing a quality requirement, the grade is generally specified. |
| 3.1.4 Sự thoả mãn của khách hàng Sự cảm nhận của khách hàng về mức độ đáp ứng yêu cầu (3.2.1) của khách hàng | 3.1.4 Customer satisfaction Customer's perception of the degree to which the customer's requirements (3.1.2) have been fulfilled |
| CHÚ THÍCH 1: Các khiếu nại của khách hàng là một chỉ số chung về sự thoả mãn thấp của khách hàng, nhưng việc không có khiếu nại không có nghĩa có sự thoả mãn cao của khách hàng | NOTE 1 - Customer complaints are a common indicator of low customer satisfaction but their absence does not necessarily imply high customer satisfaction. |
| CHÚ THÍCH 2: Thậm chí khi các yêu cầu của khách hàng đã được khách hàng thoả thuận và được thực hiện, điều này không đảm bảo có sự thoả mãn cao của khách hàng | NOTE 2 - Even when customer requirements have been agreed with the customer and fulfilled, this does not necessarily ensure high customer satisfaction. |
| 3.1.5 Khả năng | 3.1.5 Capability |
| Tiềm năng của một tổ chức (3.3.1), hệ thống (3.2.1) hay quá trình (3.4.1) để tạo ra sản phẩm (3.4.2) đáp ứng các yêu cầu (3.1.2) đối với sản phẩm đó. | Ability of an organization (3.3.1), system (3.2.1) or process (3.4.1) to realize a product (3.4.2) that will fulfil the requirements (3.1.2) for that product. |
| Chú thích: Thuật ngữ "khả năng" của quá trình trong lĩnh vực thống kê được định nghĩa trong ISO 3534-2. | NOTE - Process capability terms in the field of statistics are defined in ISO 3534-2. |
| 3.1.6 Năng lực Tiềm năng đã được chứng minh về ứng dụng kiến thức và kỹ năng | 3.1.6 Competence Demonstrated ability to apply knowledge and skills |
| CHÚ THÍCH: Khái niệm "năng lực" được định nghĩa một cách chung nhất trong tiêu chuẩn này. Thuật ngữ này có thể được sử dụng với ngữ nghĩa cụ thể hơn trong các tài liệu khác. | NOTE The concept of competence is defined in a generic sense in this International Standard. The word usage can be more specific in other ISO documents. |
| 3.2 Các thuật ngữ liên quan đến quản lý 3.2.1 Hệ thống | 3.2 Terms relating to management 3.2.1 System |
| Tập hợp các yếu tố có liên quan lẫn nhau hay tương tác. | Set of interrelated or interacting elements. |
| 3.2.2 Hệ thống quản lý | 3.2.2 Management system |
| Hệ thống (3.2.1) để thiết lập chính sách và mục tiêu và để đạt được các mục tiêu đó. | System (3.2.1) to establish policy and objectives and to achieve those objectives. |
| CHÚ THÍCH: Một hệ thống quản lý của một tổ chức (3.3.1) có thể bao gồm các hệ thống quản lý khác nhau, ví dụ như hệ thống quản lý chất lượng (3.2.3), hệ thống quản lý tài chính, hay hệ thống quản lý môi trường. | NOTE - A management system of an rganization (3.3.1) can include different management systems, such as a quality management system (3.2.3), a financial management system or an environmental management system. |
| 3.2.3 Hệ thống quản lý chất lượng Hệ thống quản lý (3.2.2) để định hướng và kiểm soát một tổ chức (3.3.1) về chất lượng (3.1.1) | 3.2.3 Quality management system Management system (3.2.2) to direct and control an organization (3.3.1) with regard to quality (3.1.1). |
| 3.2.4 Chính sách chất lượng Ý đồ và định hướng chung của một tổ chức (3.3.1) có liên quan đến chất lượng (3.1.1) được lãnh đạo cao nhất (3.2.7) công bố chính thức. | 3.2.4 Quality policy Overall intentions and direction of an organization (3.3.1) related to quality (3.1.1) as formally expressed by top management (3.2.7). |
| CHÚ THÍCH 1: Nói chung, chính sách chất lượng cần phải nhất quán với chính sách chung của tổ chức và cung cấp cơ sở để lập các mục tiêu chất lượng (3.2.5). | NOTE 1 - Generally the quality policy is consistent with the overall policy of the organization and provides a framework for the setting of quality objectives (3.2.5). |
| CHÚ THÍCH 2: Các nguyên tắc của quản lý chất lượng của tiêu chuẩn này có thể tạo thành cơ sở để thành lập chính sách chất lượng (xem 0.2). | NOTE 2 - Quality management principles presented in this International Standard can form a basis for the establishment of a quality policy (See 0.2.) |
| 3.2.5 Mục tiêu chất lượng Điều định tìm kiếm hay nhằm tới có liên quan đến chất lượng (3.1.1) | 3.2.5 Quality objective Something sought, or aimed for, related to quality (3.1.1) |
| CHÚ THÍCH 1: Các mục tiêu chất lượng nói chung cần dựa trên chính sách chất lượng (3.2.4) của tổ chức. | NOTE 1 - Quality objectives are generally based on the organization's quality policy (3.2.4). |
| CHÚ THÍCH 2: Các mục tiêu chất lượng nói chung được qui định cho các bộ phận và các cấp tương ứng trong tổ chức. | NOTE 2 - Quality objectives are generally specified for relevant functions and levels in the organization (3.3.1). |
| 3.2.6 Quản lý Các hoạt động có phối hợp để định hướng và kiểm soát một tổ chức (3.3.1) | 3.2.6 Management Coordinated activities to direct and control an organization (3.3.1) |
| CHÚ THÍCH: Trong tiếng Anh, thuật ngữ "management" đôi khi được dùng để chỉ "ban lãnh đạo", đó là một cá nhân hay một nhóm người có quyền hạn và trách nhiệm để điều hành và kiểm soát tổ chức. Khi từ "management " được sử dụng theo nghĩa này thường cần phải kèm theo một tính từ để tránh nhầm lẫn với nghĩa "quản lý" đã nêu ở trên. Ví dụ như "management shall.... là không được trong khi "top management (3.2.7) shall..." là chấp nhận. | NOTE - In English, the term "management" sometimes refers to people. i.e. a person or group of people with authority and responsibility for the conduct and control of an organization. When "management is used in this sense it should always be used with some form of qualifier to avoid confusion with the concept "Management" defined above. For example, "management shall..." is deprecated whereas"top management (3.2.7) shall..." is acceptable. |
| 3.2.7 Lãnh đạo cao nhất | 3.2.7 Top management |
| Cá nhân hay nhóm người định hướng và kiểm soát một tổ chức (3.3.1) ở cấp cao nhất. | Person or group of people who direct and control an organization (3.3.1) at the highest level. |
| 3.2.8 Quản lý chất lượng | 3.2.8 Quality management |
| Các hoạt động có phối hợp để định hướng và kiểm soát một tổ chức (3.3.1) về chất lượng (3.1.1). | Coordinated activities to direct and control an organization (3.3.1) with regard to quality (3.1.1). |
| CHÚ THÍCH: Việc định hướng và kiểm soát về chất lượng nói chung bao gồm lập chính sách chất lượng (3.2.4) và mục tiêu chất lượng (3.2.5), hoạch định chất lượng (3.2.9), kiểm soát chất lượng (3.2.10), đảm bảo chất lượng (3.2.11) và cải tiến chất lượng (3.2.12). | NOTE - Direction and control with regard to quality generally includes establishment of the quality policy (3.2.4) and quality objectives (3.2.5), quality planning (3.2.9), quality control (3.2.10), quality assurance (3.2.11) and quality improvement (3.2.12). |
| 3.2.9 Hoạch định chất lượng | 3.2.9 Quality planning |
| Một phần của quản lý chất lượng (3.2.8) tập trung vào việc lập mục tiêu chất lượng (3.2.5) và qui định các quá trình (3.4.1) tác nghiệp cần thiết và các nguồn lực có liên quan để thực hiện các mục tiêu chất lượng. | Part of quality management (3.2.8) focused on setting quality objectives (3.2.5) and specifying necessary operational processes (3.4.1) and related resources to fulfil the quality objectives. |
| CHÚ THÍCH: Lập các kế hoạch chất lượng (3.7.5) có thể là một phần của hoạch định chất lượng. | NOTE - Establishing quality plans (3.7.5) can be part of quality planning. |
| 3.2.10 Kiểm soát chất lượng | 3.2.10 Quality control |
| Một phần của quản lý chất lượng (3.7.8) tập trung vào thực hiện các yêu cầu chất lượng. | Part of quality management (3.2.8), focused on fulfilling quality requirements. |
| 3.2.11 Đảm bảo chất lượng | 3.2.11 Quality assurance |
| Một phần của quản lý chất lượng (3.2.8) tập trung vào cung cấp lòng tin rằng các yêu cầu chất lượng sẽ được thực hiện | Part of quality management (3.2.8), focused on providing confidence that quality requirements will be fulfilled. |
| 3.2.12 Cải tiến chất lượng | 3.2.12 Quality improvement |
| Một phần của quản lý chất lượng (3.2.8) tập trung vào nâng cao khả năng thực hiện các yêu cầu chất lượng. | Part of quality management (3.2.8), focused on increasing the ability to fulfil quality requirements. |
| CHÚ THÍCH: Các yêu cầu liên quan đến mọi khía cạnh như hiệu lực (3.2.14), hiệu quả (3.2.15) hay xác định nguồn gốc (3.5.4). | NOTE - The requirements can be related to any aspect such as effectiveness (3.2.14), efficiency (3.2.15) or traceability (3.5.4). |
| 3.2.13 Cải tiến liên tục | 3.2.13 Continual improvement |
| Hoạt động lặp lại để nâng cao khả năng thực hiện các yêu cầu (3.1.2). | Recurring activity to increase the ability to fulfil equirements (3.1.2). |
| CHÚ THÍCH: Quá trình (3.4.1) lập mục tiêu và tìm cơ hội để cải tiến là một quá trình không ngừng thông qua việc sử dụng các phát hiện khi đánh giá (3.9.5) và kết luận đánh giá (3.9.6), phân tích dữ liệu, xem xét (3.8.7) của lãnh đạo hay các biện pháp khác và nói chung dẫn tới các hành động khắc phục (3.6.5) hay hành động phòng ngừa (3.6.4). | NOTE - The process (3.4.1) of establishing objectives and finding opportunities for improvement is a continual process through the use of audit findings (3.9.5) and audit conclusions (3.9.6), analysis of data, management reviews (3.8.7) or other means and generally leads to corrective action (3.6.5) or preventive action (3.6.4). |
| 3.2.14 Hiệu lực | 3.2.14 Effectiveness |
| Mức độ thực hiện các hoạt động đã hoạch định và đạt được các kết quả đã hoạch định. | Extent to which planned activities are realized and planned results achieved. |
| 3.2.15 Hiệu quả | 3.2.15 Efficiency |
| Quan hệ giữa kết quả đạt được và nguồn lực được sử dụng. | Relationship between the result achieved and the resources used |
| 3.3 Các thuật ngữ liên quan đến tổ chức 3.3.1 Tổ chức | 3.3 Terms relating to organization 3.3.1 Organization |
| Nhóm người và phương tiện có sự sắp xếp bố trí trách nhiệm, quyền hạn và mối quan hệ. | Group of people and facilities with an arrangement of responsibilities, authorities and relationships. |
| VÍ DỤ: Công ty, tổng công ty, hãng, xí nghiệp, viện, người buôn bán riêng lẻ, hội hay các bộ phận hoặc tổ hợp các tổ chức trên. | EXAMPLE Company, corporation, firm, enterprise, institution, charity sole trader, association, or parts or combination thereof. |
| CHÚ THÍCH 1: Việc bố trí sắp xếp nói chung là có thứ bậc. | NOTE 1 - The arrangement is generally orderly. |
| CHÚ THÍCH 2: Một tổ chức có thể là công cộng hay tư nhân. | NOTE 2 - An organization can be public or private. |
| CHÚ THÍCH 3: Định nghĩa này có hiệu lực đối với các mục đích của các tiêu chuẩn về hệ thống quản lý chất lượng (3.2.3). Thuật ngữ "tổ chức" trong TCVN 6450 (ISO/IEC Guide 2) được định nghĩa khác. | NOTE 3 - This definition is valid for the purposes of quality management system (3.2.3) standards. The term "organization" is defined differently in ISO/IEC Guide 2. |
| 3.3.2 Cơ cấu tổ chức | 3.3.2 Organizational structure |
| Cách bố trí, sắp xếp trách nhiệm, quyền hạn và mối quan hệ giữa con người. | Arrangement of responsibilities, authorities and relationships between people |
| CHÚ THÍCH 1: Việc bố trí sắp xếp nói chung là có thứ bậc. | NOTE 1 - The arrangement is generally orderly. |
| CHÚ THÍCH 2: Cơ cấu tổ chức thường được thể hiện chính thức trong sổ tay chất lượng (3.7.4) hay kế hoạch chất lượng (3.7.5) cho một dự án (3.4.3). | NOTE 2 - A formal expression of the organizational structure is often provided in a quality manual (3.7.4) or a quality plan (3.7.5) for a project (3.4.3). |
| CHÚ THÍCH 3: Phạm vi cơ cấu tổ chức có thể bao gồm các mối tương giao thích hợp với các tổ chức (3.3.1) bên ngoài. | NOTE 3 - The scope of an organizational structure can Include relevant interfaces to external organizations (3.3.1). |
| 3.3.3 Cơ sở hạ tầng | 3.3.3 Infrastructure |
| Hệ thống (3.2.1) các phương tiện, thiết bị và dịch vụ cần thiết cho hoạt động tác nghiệp của một tổ chức (3.3.1). | (organization) system (3.2.1) of facilities, equipment and servic es needed for the operation of an organization (3.3.1). |
| 3.3.4 Môi trường làm việc | 3.3.4 Work environment |
| Tập hợp các điều kiện để thực hiện một công việc | Set of conditions under which work is performed. |
| CHÚ THÍCH: Điều kiện bao gồm cả các yếu tố vật chất, xã hội, tâm lý môi trường (ví dụ như nhiệt độ, phương thức thừa nhận, ec-gô-nô-mi và thành phần không khí). | NOTE - Conditions include physical.social, psychological and environmental factors (such as temperature. recognition schemes. ergonomics and atmospheric composition) |
| 3.3.5 Khách hàng | 3.3.5 Customer |
| Tổ chức (3.3.1) hay cá nhân nhận một sản phẩm (3.4.2). | Organization (3.3.1) or person that receives a product (3.4.2). |
| Ví dụ: Người tiêu dùng, người hưởng dịch vụ, người sử dụng cuối cùng, người bán lẻ, người được hưởng lợi và người mua. | EXAMPLE Consumer, client, end-user, retailer, beneficiary and purchaser. |
| CHÚ THÍCH: Khách hàng có thể là nội bộ hay bên ngoài tổ chức. | NOTE - A customer can be internal or external to the organization. |
| 3.3.6 Người cung ứng | 3.3.6 Supplier |
| Tổ chức (3.3.1) hay cá nhân cung cấp sản phẩm (3.4.2). | Organization (3.3.1) or person that provides a product |
| Ví dụ: Người sản xuất, phân phối, bán lẻ hay bán buôn sản phẩm, hay người cung cấp dịch vụ hay thông tin. | EXAMPLE Producer, distributor, retailer or vendor of a product, or provider of a service or information. |
| CHÚ THÍCH 1: Người cung ứng có thể là nội bộ hay bên ngoài tổ chức. | NOTE 1 - A supplier can be internal or external to the organization. |
| CHÚ THÍCH 2: Trong tình huống hợp đồng người cung ứng đôi khi gọi là "người thầu". | NOTE 2 - In a contractual situation a supplier is sometimes called "contractor". |
| 3.3.7 Bên quan tâm | 3.3.7 Interested party |
| Cá nhân hay nhóm có quan tâm đến sự thực hiện hay thành công của một tổ chức (3.3.1) | Person or group having an interest in the performance or success of an organization (3.3.1) |
| VÍ DỤ: Các khách hàng (3.3.5), chủ sở hữu, nhân viên trong tổ chức, người cung ứng (3.3.6), ngân hàng, các hiệp hội, đối tác xã hội. | EXAMPLE - Customers (3.3.5), owners, people in an organization, suppliers (3.3.6), bankers, unions, partners or society. |
| CHÚ THÍCH: Một nhóm có thể là một tổ chức, một bộ phận hay lớn hơn một tổ chức. | NOTE - A group can comprise an organization, a part there of, or more than one organization. |
| 3.3.8 Hợp đồng | 3.3.8 Contract |
| Thoả thuận ràng buộc | Binding agreement |
| CHÚ THÍCH: Khái niệm "hợp đồng" được định nghĩa một cách chung nhất trong tiêu chuẩn này. Thuật ngữ này có thể được sử dụng với ngữ nghĩa cụ thể hơn trong các tài liệu khác. | NOTE The concept of contract is defined in a generic sense in this International Standard. The word usage can be more specific in other ISO documents. |
| 3.4 Các thuật ngữ liên quan đến quá trình và sản phẩm | 3.4 Terms relating to process and product |
| 3.4.1 Quá trình Tập hợp các hoạt động có liên quan lẫn nhau hoặc tương tác để biến đổi đầu vào thành đầu ra | 3.4.1 Process Set of interrelated or interacting activities which transforms inputs into outputs. |
| CHÚ THÍCH 1: Đầu vào của một quá trình thường là đầu ra của các quá trình khác. | NOTE 1 - Inputs to a process are generally outputs of other processes. |
| CHÚ THÍCH 2: Các quá trình trong một tổ chức (3.3.1) thường được lập kế hoạch và được tiến hành trong điều kiện được kiểm soát để gia tăng giá trị. | NOTE 2 - Processes in an organization (3.3.1) are generally planned and carried out under controlled conditions to add value. |
| CHÚ THÍCH 3: Một quá trình trong đó sự phù hợp (3.6.1) của sản phẩm (3.4.2) làm ra không thể hay (3.4.2). không thể kiểm tra xác nhận được vì lý do kinh tế thường ược gọi là " quá trình đặc biệt". | NOTE 3 - A process where the conformity (3.6.1) of the resulting product (3.4.2) cannot be readily or economically verified is frequently referred to as a "special process". |
| 3.4.2 Sản phẩm | 3.4.2 Product |
| Kết quả của quá trình (3.4.1) | Result of a process (3.4.1) |
| CHÚ THÍCH 1: Có bốn chủng loại sản phẩm chung nhất như sau: | NOTE 1: There are four generic product categories, as follows: |
| - dịch vụ (ví dụ: vận chuyển); | - services (e.g. transport); |
| - mềm (ví dụ: chương trình máy tính, từ điển); | - software (e.g. computer program, dictionary); |
| - cứng (ví dụ: các thiết bị cơ khí); | - hardware (e.g. engine mechanical part), |
| - vật liệu được chế biến (ví dụ: dầu bôi trơn). | - processed materials (e.g. lubricant). |
| Nhiều sản phẩm bao gồm các thành phần thuộc các loại sản phẩm khác nhau. Khi đó một sản phẩm được goi là dịch vụ, cứng, mềm hay vật liệu chế biến sẽ tuỳ thuộc vào thành phẩn nổi trội. Ví dụ: sản phẩm chào hàng "xe hơi" gồm sản phẩm cứng (ví dụ săm lốp), vật liệu (ví dụ nhiên liệu), dung dịch làm mát, sản phẩm mềm (ví dụ như phần mền kiểm soát động cơ, sổ tay lái xe), và dịch vụ (ví dụ giải thích vận hành do người bán hàng thực hiện). | Many products comprise elements belonging to different generic product categories. Whether the product is then called service, software, hardware or processed material depends on the dominant element. For example the offered product "automobile" consists of hardware (e.g. lyres), processed materials (e.g. fuel, cooling liquid), software (e.g. engine control software, driver's manual), and service (e.g. operating explanations given by the salesman). |
| CHÚ THÍCH 2 : Dịch vụ là kết quả của ít nhất một hoạt động cần được tiến hành tại nơi tương giao giữa người cung ứng (3.3.6) và khách hàng (3.3.5) và thường không hữu hình. Ví dụ, việc cung cấp một dịch vụ có thể liên quan đến những điều sau: | NOTE 2: Service is the result of at least one activity necessarily performed at the interface between the supplier (3.3.6) and customer (3.3.5) and is generally intangible. Provision of a service can involve, for example, the following: |
| - một hoạt động thực hiện trên một sản phẩm hữu hình do khách hàng cung cấp (ví dụ: sửa xe hơi); | - an activity performed on a customer-supplied tangible product (e.g. automobile to be repaired); |
| - một hoạt động thực hiện trên một sản phẩm không cảm nhận bằng xúc giác do khách hàng cung cấp (ví du: khai thu nhập để hoàn thiện thuế); | - an activity performed on a customer-supplied intangible product (e.g. the income statement needed to prepare a tax return); |
| - giao một sản phẩm không hữu hình (ví dụ: cung cấp thông tin trong ngữ cảnh chuyển giao kiến thức); | - the delivery of an intangible product (e.g. the delivery of information in the context of knowledge transmission); |
| - tạo ra một bầu không khí cho khách hàng (ví dụ: trong khách sạn hay nhà hàng). | - the creation of ambience for the customer (e.g. in hotels and restaurants). |
| Sản phẩm mềm bao gồm thông tin và thường không hữu hình, và có thể dưới dạng phương pháp, cách chuyển giao hay thủ tục (3.4.5). | Software consists of information and is generally intangible and can be in the form of approaches, transactions or procedure (3.4.5). |
| Nói chung, sản phẩm cứng thường hữu hình và lượng của chúng là một đặc tính (3.5.1) đếm được. Vật liệu qua chế biến thường hữu hình và lượng của chúng là đặc tính liên tục. Sản phẩm cứng và vật liệu qua chế biến thường được gọi là hàng hoá. | Hardware is generally tangible and its amount is a countable characteristic (3.5.1). Processed materials are generally tangible and their amount is a continuous characteristic. Hardware and processed materials often are referred to as goods. |
| CHÚ THÍCH 3: Đảm bảo chất lượng (3.2.11) chủ yếu tập trung vào sản phẩm định nhằm tới. | NOTE 3 - Quality assurance (3.2.11) is mainly focused on intended product. |
| 3.4.3 Dự án | 3.4.3 Project |
| Một quá trình (3.4.1) đơn nhất, gồm một tập hợp các hoạt động có phối hợp và được kiểm soát, có thời hạn bắt đầu và kết thúc, được tiến hành để đạt được một mục tiêu phù hợp với các yêu cầu (3.1.2) qui định, bao gồm cả các ràng buộc về thời gian, chi phí và nguồn lực | Unique process (3.4.1), consisting of a set of coordinated and controlled activities with start and finish dates, undertaken to achieve an objective conforming to specific requirements (3.1.2), including the constraints of time, cost and resources |
| CHÚ THÍCH 1: Một dự án riêng lẻ có thể là một phần của một cơ cấu dự án lớn hơn. | NOTE 1 - An individual project can form part of a larger project structure. |
| CHÚ THÍCH 2: Trong một số dự án, các mục tiêu được chỉnh lý lại và các đặc tính (3.5.1) của sản phẩm được xác định dần dần khi tiến hành dự án. | NOTE 2 - In some projects the objectives are refined and the product characteristics (3.5.1) defined progressively as the project proceeds. |
| CHÚ THÍCH 3: Kết quả của một dự án có thể là một hay một số đơn vị sản phẩm (3.4.2). | NOTE 3 - The outcome of a project may be one or several units of product (3.4.2). |
| CHÚ THÍCH 4: Chủ yếu dựa vào ISO 10006 : 2003. | NOTE 4 - Adapted from ISO 10006:2003. |
| 3.4.4 Thiết kế và phát triển | 3.4.4 Design and development |
| Tập hợp các quá trình (3.4.1) chuyển yêu cầu (3.1.2) thành các đặc tính (3.5.1) qui định và thành các qui định kỹ thuật (3.7.3) của sản phẩm (3.4.2), quá trình (3.4.1) hay hệ thống (3.2.1) | Set of processes (3.4.1) that transforms requirement (3.1.2) into specified characteristics (3.5.1) or into the specification (3.7.3) of a product (3.4.2), process (3.4.1) or system (3.2.1). |
| CHÚ THÍCH 1: Thuật ngữ "thiết kế” và "phát triển" đôi khi được sử dụng đồng nghĩa và xác định các giai đoạn khác nhau của quá trình thiết kế và phát triển. | NOTE 1 - The terms "design" and "development' are sometimes used synonymously and sometimes used to define different stages of the overall design and development process. |
| CHÚ THÍCH 2: Có thể kèm theo một định ngữ để chỉ rõ bản chất của đối tượng được thiết kế và phát triển (ví dụ: thiết kế và phát triển sản phẩm hay thiết kế và phát triển quá trình). | NOTE 2 - A qualifier can be applied to indicate the nature of what is being designed and developed (e.g. product design and development or process design and development), |
| 3.4.5 Thủ tục/qui trình | 3.4.5 Procedure |
| Cách thức cụ thể để tiến hành một hoạt động hay quá trình (3.4.1) | Specified way to carry out an activity or a process (3.4.1). |
| CHÚ THÍCH 1:Thủ tục có thể dưới dạng tài liệu hay không. | NOTE 1 - Procedures can be documented or not. |
| CHÚ THÍCH 2: Khi một thủ tục được lập thành văn bản, thường sử dụng thuật ngữ "thủ tục thành văn" hay "thủ tục dạng tài liệu". Tài liệu (3.7.2) chứa một thủ tục có thể gọi là một "tài liệu về thủ tục". | NOTE 2 - When a procedure is documented, the term "written procedure" or "documented procedure" is frequently used. The document (3.7.2) that contains a procedure can be called a "procedure document". |
| 3.5 Các thuật ngữ liên quan đến đặc tính | 3.5 Terms relating to characteristics |
| 3.5.1 Đặc tính Đặc trưng để phân biệt | 3.5.1 Characteristic Distinguishing feature |
| CHÚ THÍCH 1: Một đặc tính có thể vốn có hay được gán thêm. | NOTE 1 - A characteristic can be inherent or assigned. |
| CHÚ THÍCH 2: Một đặc tính có thể định tính hay định lượng. Chú thích 3: Có nhiều loại đặc tính khác nhau, ví dụ như: | NOTE 2 - A characteristic can be qualitative or quantitative. NOTE 3 - There are various classes of characteristic, such as the following: |
| - vật lý (ví dụ: đặc tính cơ, điện, sinh, hoá); | - physical (e.g. mechanical, electrical, chemical or biological characteristics); |
| - cảm quan (ví dụ các đặc tính liên quan đến ngửi, sờ mó, nếm nhìn, nghe); | - sensory (e.g. related to smell, touch, taste, sight, hearing); |
| - hành vi (ví dụ: nhã nhặn, trung thực, chân thật); | - behavioral (e.g. courtesy, honesty, veracity); |
| - thời gian (ví dụ: đúng lúc, tin cậy, sẵn có); | - temporal (e.g. punctuality, reliability, availability); |
| - ergonomic (ví dụ: đặc trưng tâm lý, hay liên quan đến an toàn của con người); | - ergonomic (e.g. physiological characteristic, or related to human safety); |
| - chức năng (ví dụ: tốc độ tối đa của máy bay). | - functional (e.g. maximurn speed of an aircraft). |
| 3.5.2 Đặc tính chất lượng | 3.5.2 Quality characteristic |
| Đặc tính (3.5.1) vốn có của một sản phẩm (3.4.2), quá trình (3.4.1) hay hệ thống (3.2.1) có liên quan đến một yêu cầu (3.1.2) | Inherent characteristic (3.5.1) of a product (3.4.2), process (3.4.1) or system (3.2.1) related to a requirement (3.1.2). |
| Chú thích 1: Vốn có nghĩa là tồn tại dưới dạng nào đó, đặc biệt là đặc tính lâu bền. | NOTE 1 - Inherent means existing in something, especially as a permanent characteristic. |
| CHÚ THÍCH 2: Một đặc tính gán cho sản phẩm, quá trình hay hệ thống (ví dụ như giá cả của sản phẩm, chủ sở hữu của sản phẩm) không phải là đặc tính chất lượng của sản phẩm, quá trình hay hệ thống đó. | NOTE 2 - A characteristic assigned to a product, process or system (e.g. the price of a product, the owner of a product) is not a quality characteristic of that product, process or system. |
| 3.5.3 Tính đáng tin cậy | 3.5.3 Dependability |
| Thuật ngữ sử dụng để mô tả tính năng sẵn có và các yếu tổ ảnh hưởng: tính tin cậy, tính bảo trì, tính hỗ trợ bảo trì. | Colective term used to describe the availability performance and its influencing factors: reliability performance, maintainability performance, and maintenance support performance. |
| CHÚ THÍCH: Tính đáng tin cậy được sử dụng chỉ để mô tả chung bằng các thuật ngữ không định lượng. | NOTE - Dependability is used only for general descriptions in non-quantitative terms. |
| [IEC 60050-191:1990] | [IEC 60050-191:1990] |
| 3.5.4 Khả năng xác định nguồn gốc | 3.5.4 Traceability |
| Khả năng để truy tìm về lịch sử, sự áp dụng hay vị trí của đối tượng được xét | Ability to trace the history, application or location of that which is under consideration. |
| CHÚ THÍCH 1: Khi xem xét sản phẩm (3.4.2), khả năng xác định nguồn gốc có thể liên quan đến | NOTE 1 - When considering product (3.4.2), traceability can relate to |
| - nguồn gốc của vật liệu hay chi tiết, bộ phận; | - the origin of materials and parts, |
| - lịch sử quá trình chế tạo, và | - the processing history, and |
| - việc phân phối và vị trí của sản phẩm sau khi giao. | - the distribution and location of the product after delivery. |
| CHÚ THÍCH 2: Trong lĩnh vực đo lường, định nghĩa trong từ vựng đo lường quốc tế VIM: 1993, 6.10 là định nghĩa được chấp nhận. | NOTE 2 - In the field of metrology the definition in VIM:1993, 6.10, is the accepted definition. |
| 3.6 Các thuật ngữ có liên quan đến sự phù hợp | 3.6 Terms relating to conformity |
| 3.6.1 Sự phù hợp Sự đáp ứng một yêu cầu (3.2.1) | 3.6.1 Conformity Fulfilment of a requirement (3.1.2) |
| CHÚ THÍCH 1: Trong tiếng Anh, thuật ngữ "conformance" cũng được hiểu là sự phù hợp. | NOTE 1 - The term 'conformance" is synonymous but deprecated. |
| 3.6.2 Sự không phù hợp | 3.6.2 Nonconformity |
| Sự không đáp ứng một yêu cầu (3.1.2) | Non-tulfiiment of a requirement (3.1.2) |
| 3.6.3 Sai lỗi/khuyết tật | 3.6.3 Defect |
| Sự không thực hiện một yêu cầu (3.1.2) liên quan đến việc sử dụng định nhằm tới hay đã qui định | Non-fulfilment of a requirement (3.1.2) related to an intended or specified use |
| CHÚ THÍCH 1: Việc phân biệt khái niệm "sai lỗi/khuyết tật" với "sự không phù hợp" (3.6.2) là quan trọng vì hàm ý luật lệ, đặc biệt là những vấn đề gắn với trách nhiệm pháp lý của sản phẩm. bởi vậy, khi dùng đến thuật ngữ "sai lỗi" cần hết sức cẩn thận. | NOTE 1 - The distinction between the concepts defect and nonconformity (3.6.2) is important as it has legal connotations, particularly those associated with product liability issues. Consequently the term "defect" should be used with extreme caution. |
| CHÚ THÍCH 2: Việc sử dụng định nhằm tới như khách hàng (3.3.5) nhằm tới, có thể bị ảnh hưởng do bản chất của thông tin, ví dụ như các chỉ dẫn thao tác hay bảo trì do người cung ứng (3.3.6) thực hiện. | NOTE 2 - The intended use as intended by the customer (3.3.5) can be affected by the nature of the information, such as operating or maintenance instructions, provided by the supplier (3.3.6). |
| 3.6.4 Hành động phòng ngừa | 3.6.4 Preventive action |
| Hành động để loại bỏ nguyên nhân của sự không phù hợp (3.6.2) tiềm tàng hay các tình trạng không mong muốn tiềm tàng khác | Action to eliminate the cause of a potential nonconformity (3.6.2) or other potentially undesirable situation. |
| CHÚ THÍCH 1: Có thể có nhiều nguyên nhân đối với một sự không phù hợp tiềm tàng. | NOTE 1 - There can be more than one cause for a potential nonconformity. |
| CHÚ THÍCH 2: Hành động phòng ngừa được tiến hành để ngăn ngừa sự xảy ra, trong khi hành động khắc phục (3.6.5) được tiến hành để ngăn ngừa sự tài diễn. | NOTE 2 - Preventive action is taken to prevent occurrence whereas corrective action (3.6.5) is taken to prevent recurrence. |
| 3.6.5 Hành động khắc phục | 3.6.5 Corrective action |
| Hành động để loại bỏ nguyên nhân của sự không phù hợp (3.6.2) đã được phát hiện hay tình trạng không mong muốn khác | Action to eliminate the cause of a detected nonconformity (3.6.2) or other undesirable situation |
| CHÚ THÍCH 1: Có nhiều nguyên nhân đối với một sự không phù hợp. | NOTE 1 - There can be more than one cause for a nonconformity. |
| CHÚ THÍCH 2: Hành động khắc phục được tiến hành để ngăn ngừa sự tái diễn, trong khi hành động phòng ngừa (3.6.4) được tiến hành để ngăn ngừa sự xảy ra. | NOTE 2 - Corrective action is taken to prevent recurrence whereas preventive action (3.6.4) is taken to prevent occurrence. |
| CHÚ THÍCH 3: Giữa sự khắc phục (3.6.6) và hành động khắc phục có sự khác nhau. | NOTE 3 - There is a distinction between correction (3.6.6) and corrective action. |
| 3.6.6 Sự khắc phục | 3.6.6 Correction |
| Hành động để loại bỏ sự không phù hợp (3.6.2) đã được phát hiện | Action to eliminate a detected nonconformity (3.6.2) |
| CHÚ THÍCH 1: Một sự khắc phục có thể gắn với hành động khắc phục (3.6.5). | NOTE 1 - A correction can be made in conjunction with a corrective action (3.6.5). |
| CHÚ THÍCH 2: Một sự khắc phục ví dụ có thể là làm lại (3.6.11) hay hạ cấp (3.6.8). | NOTE 2 - A correction can be, for example, rework (3.6.11) or regrade (3.6.8). |
| 3.6.7 Làm lại | 3.6.7 Rework |
| Hành động đối với sản phẩm (3.4.2) không phù hợp để làm cho nó phù hợp với các yêu cầu (3.1.2) | Action on a nonconforming product (5.4.2) to make it conform to the requirements (3.1.2) |
| CHÚ THÍCH: Không như làm lại, sửa chữa (3.6.9) có thể tác động tới hay thay thế các bộ phận của sản phẩm không phù hợp. | NOTE - Unlike rework, repair (3.6.9) can affect or change parts of the nonconforming product. |
| 3.6.8 Hạ cấp | 3.6.8 Regrade |
| Thay đổi cấp (3.1.3) của sản phẩm (3.4.2) không phù hợp để làm cho nó phù hợp với các yêu cầu (3.1.2) khác với yêu cầu ban đầu | Alteration of the grade (3.1.3) of a nonconforming product (3.4.2) in order to make it conform to requirements (3.1.2) differing from the initial ones |
| 3.6.9 Sửa chữa | 3.6.9 Repair |
| Hành động đối với sản phẩm (3.4.2) không phù hợp để làm cho sản phẩm đó chấp nhận được với việc sử dụng đã định | Action on a nonconforming product (3.4.2) to make it acceptable for the intended use |
| CHÚ THÍCH 1: Sửa chữa bao gồm cả hành động chỉnh sửa sản phẩm không phù hợp trước đây để khôi phục nó cho sử dụng, ví dụ, một phần công việc bảo trì. | NOTE 1 - Repair includes remedial action taken on a previously conforming product to restore it for use, for example as part of maintenance. |
| CHÚ THÍCH 2: Không như làm lại (3.6.7), sửa chữa có thể tác động tới hay thay thế các bộ phận của sản phẩm không phù hợp. | NOTE 2 - Unlike rework (3.6.7). repair can affect or change parts of the nonconforming product. |
| 3.6.10 Loại bỏ Hành động đối với sản phẩm (3.4.2) không phù hợp để loại bỏ sản phẩm đó khỏi việc sử dụng đã định ban đầu | 3.6.10 Scrap Action on a nonconforming product (3.4.2) to preclude its originally intended use |
| Ví dụ: Tái chế, hay huỷ bỏ. | EXAMPLE: Recycling, destruction. |
| CHÚ THÍCH: Trong tình huống dịch vụ không phù hợp, việc sử dụng bị loại bỏ bằng cách chấm dứt dịch vụ . | NOTE - In a nonconforming service situation, use is precluded by discontinuing the service. |
| 3.6.11 Nhân nhượng | 3.6.11 Concession |
| Sự cho phép sử dụng hay thông qua một sản phẩm (3.4.2) không phù hợp với các yêu cầu (3.1.2) qui định | Permission to use or release a product (3.4.2) that does not conform to specified requirements (3.1.2) |
| CHÚ THÍCH: Nhân nhượng thường giới hạn ở giai đoạn giao sản phẩm có các đặc tính (3.5.1) không phù hợp nằm trong giới hạn qui định với một thời gian thoả thuận hoặc đối với một lượng sản phẩm đó. | NOTE - A concession is generally limited to the delivery of a product that has nonconforming characteristics (3.5.1) within specified limits for an agreed time or quantity of that product. |
| 3.6.12 Độ lệch cho phép | 3.6.12 Deviation permit |
| Sự cho phép lệch khỏi các yêu cầu (3.1.2) qui định ban đầu của một sản phẩm (3.4.2) trước khi thực hiện | Permission to depart from the originaly specified requirements (3.1.2) of a product (3.4.2) prior to realization |
| CHÚ THÍCH: Độ lệch cho phép thường áp dụng đối với một đối tượng giới hạn sản phẩm hay trong một khoảng thời gian, và đối với việc sử dụng cụ thể. | NOTE - A deviation permit is generally given for a limited quantity of product or period of time, and for a specific use. |
| 3.6.13 Thông qua | 3.6.13 Release |
| Sự cho phép chuyển sang giai đoạn sau của một quá trình (3.4.1) | Permission to proceed to the next stage of a process (3.4.1) |
| CHÚ THÍCH: Trong tiếng Anh, trong lĩnh vực phần mềm máy tính, thuật ngữ thông qua (release) thường được sử dụng để chỉ chính một phiên bản phần mềm. | NOTE - In English, in the context of computer software. the term "release" is frequently used to refer to a version of the software itself. |
| 3.7 Các thuật ngữ liên quan đến hệ thống tài liệu | 3.7 Terms relating to documentation |
| 3.7.1 Thông tin Dữ liệu có ý nghĩa | 3.7.1 Information Meaningful data |
| 3.7.2 Tài liệu Thông tin (3.7.1) và phương tiện hỗ trợ | 3.7.2 Document Information (3.7.1) and its supporting medium |
| Ví dụ: Hồ sơ (3.7.6), qui định (3.3.7), tài liệu về thủ tục, bản vẽ, báo cáo, tiêu chuẩn. | EXAMPLE Record (3.7.6), specification (3.7.3), procedure document, drawing, report, standard. |
| CHÚ THÍCH 1: Phương tiện có thể là giấy, đĩa từ, đĩa điện tử hoặc quang, ảnh hay mẫu gốc hoặc tổ hợp các dạng trên. | NOTE 1 - The medium can be paper, magnetic. electronic or optical computer disc, photograph or master sample, or a combination thereof. |
| CHÚ THÍCH 2: Một tập hợp các tàI liệu, ví dụ như các qui định và hồ sơ, thường được gọi là "hệ thống tài liệu". | NOTE 2 - A set of documents, for example specifications and records, is frequently called "documentation". |
| CHÚ THÍCH 3: Một số yêu cầu (3.1.2) (ví dụ như yêu cầu phải dễ đọc) liên quan đến mọi loại tài liệu, tuy nhiên có thể có những yêu cầu khác nhau cho các qui định (ví dụ yêu cầu kiểm soát việc sửa đổi) và hồ sơ (ví dụ yêu cầu cần được xử lý). | NOTE 3 - Some requirements (3.1.2) (e.g. the requirement to be readable) relate to ail types of documents, however there can be different requirements for specifications (e.g. the requirement to be revision controled) and records (e.g. the requirement to be retrievable). |
| 3.7.3 Qui định | 3.7.3 Specification |
| Tài liệu (3.7.2) ấn định các yêu cầu (3.1.2) | Document (3.7.2) stating requirements (3.1.2) |
| CHÚ THÍCH: Một qui định có thể có liên quan đến các hoạt động (ví dụ như tài liệu về thủ tục, qui định cho quá trình và qui định thử nghiệm), hay sản phẩm (3.4.2) (ví dụ như qui định cho sản phẩm, qui định về tính năng sử dụng và các bản vẽ). | NOTE - A specification can be related to activities (e.g. procedure document, process specification and test specification), or products (3.4.2) (e.g. product specification, performance specification and drawing). |
| 3.7.4 Sổ tay chất lượng | 3.7.4 Quality manual |
| Tài liệu (3.7.2) qui định hệ thống quản lý chất lượng (3.2.3) của một tổ chức (3.3.1) | Document (3.7.2) specifying the quality management system (3.2.3) of an organization (3.3.1) |
| CHÚ THÍCH: Sổ tay chất lượng có thể khác nhau về chi tiết và khuôn khổ (format) để thích hợp với qui mô và sự phức tạp của mỗi tổ chức. | NOTE - Quality manuals can vary in detail and format to suit the site and complexity of an individual organization. |
| 3.7.5 Kế hoạch chất lượng | 3.7.5 Quality plan |
| TàI liệu (3.7.2) qui định các thủ tục/qui trình (3.4.5) và nguồn lực kèm theo phải được người nào áp dụng và khi nào áp dụng đối với một dự án (3.4.3), sản phẩm (3.4.2), quá trình (3.4.1) hay hợp đồng cụ thể. | Document (3.7.2) specifying which procedures (3.4.5) and associated resources shall be applied by whom and when to a specific project (3.4.3), product (3.4.2), process (3.4.1) or contract. |
| CHÚ THÍCH 1: Các thủ tục/qui trình này thường bao gồm thủ tục đề cập đến các quá trình quản lý chất lượng và quá trình tạo sản phẩm. | NOTE 1 - These procedures generally include those referring to quality management processes and to product realization processes. |
| CHÚ THÍCH 2: Một kế hoạch chất lượng thường viện dẫn đến sổ tay chất lượng (3.7.4) hay tới các tài liệu thủ tục/qui trình. | NOTE 2 - A quality plan often makes reference to parts of the quality manual (3.7.4) or to procedure documents. |
| CHÚ THÍCH 3: Một kế hoạch chất lượng thường là một trong những kết quả của hoạch định chất lượng (3.2.9). | NOTE 3 - A quality plan is generally one of the results of quality planning (3.2.9). |
| 3.7.6 Hồ sơ Tài liệu (3.7.2) công bố các kết quả đạt được hay cung cấp bằng chứng về các hoạt động được thực hiện | 3.7.6 Record Document (3.7.2) stating results achieved or providing evidence of activities performed |
| CHÚ THICH 1: Hồ sơ chất lượng có thể được sử dụng để lập tài liệu về xác định nguồn gốc (3.5.4) và để cung cấp bằng chứng về kiểm tra xác nhận (3.8.4), về hành động phòng ngừa (3.6.4) và hành động khắc phục (3.6.5). | NOTE 1 - Records can be used to document traceability (3.5.4) and to provide evidence of verification (3.8.4), preventive action (3.6.4) and corrective action (3.6.5). |
| CHÚ THÍCH 2: Hồ sơ thường không thuộc diện kiểm soát việc sửa đổi. | NOTE 2 - Generally records need not be under revision control. |
| 3.8 Các thuật ngữ liên quan đến xem xét | 3.8 Terms relating to examination |
| 3.8.1 Bằng chứng khách quan Dữ liệu chứng minh sự tồn tại hay thực sự của một điều nào đó | 3.8.1 Objective evidence Data Supporting the existence or verity of something |
| CHÚ THÍCH: Bằng chứng khách quan có thể nhận thấy được thông qua quan trắc, đo lường, thử nghiệm (3.8.3), hay các phương tiện khác. | NOTE - Objective evidence may be obtained through observation, measurement, test (3.8.3), or other means. |
| 3.8.2 Kiểm tra Việc đánh giá sự phù hợp bằng cách quan trắc và xét đoán kèm theo bằng phép đo, thử nghiệm hay định cỡ thích hợp | 3.8.2 Inspection Conformity evaluation by observation and judgement accompanied as appropriate by measurement, testing or gauging |
| [TCVN 6450 (ISO/IEC Guide 2)] | [ISO/IEC Guide 2] |
| 3.8.3 Thử nghiệm Việc xác định một hay nhiều đặc tính (3.5.1) theo một thủ tục/qui trình (3.4.5) | 3.8.3 Test Determination of one or more characteristics (3.5.1) according to a procedure (3.4.5). |
| 3.8.4 Kiểm tra xác nhận Sự khẳng định, thông qua việc cung cấp bằng chứng khách quan (3.8.1) rằng các yêu cầu (3.1.2) qui định đã được thực hiện. | 3.8.4 Verification Confirmation, through the provision of objective evidence (3.8.1), that specified requirements (3.1.2) have been fulfilled. |
| CHÚ THÍCH 1: Thuật ngữ "được kiểm tra xác nhận" được sử dụng cho một tình trạng tương ứng. | NOTE 1 - The term 'verified" is used to designate the, corresponding status. |
| CHÚ THÍCH 2: Việc kiểm tra xác nhận có thể bao gồm các hoạt động như: | NOTE 2: Confirmation can comprise activities such as |
| - Tính toán theo phương pháp khác; | - performing alternative calculations; |
| - So sánh một qui định (3.7.3) thiết kế mới với một qui định thiết kế tương tự đã được xác minh; | - comparing a new design specification (3.7.3) with a similar proven design specification; |
| - Tiến hành thử nghiệm (3.8.3) và chứng minh; và | - undertaking tests (3.8.3) and demonstrations, and |
| - Xem xét các tài liệu trước khi ban hành. | - reviewing documents prior to issue |
| 3.8.5 Xác nhận giá trị sử dụng | 3.8.5 Validation |
| Sự khẳng định, thông qua việc cung cấp bằng chứng khách quan (3.8.1) rằng các yêu cầu (3.1.2) đối với việc sử dụng đã định được thực hiện | Confirmation, through the provision of objective evidence (3.8.1), that the requirements (3.1.2) for a specific intended use or application have been fulfilled |
| CHÚ THÍCH 1: Thuật ngữ "được xác nhận giá trị sử dụng" được sử dụng để chỉ một tình trạng tương ứng. | NOTE 1 - The term "validated" is used to designate the corresponding status. |
| CHÚ THÍCH 2: Điều kiện sử dụng để xác nhận giá trị sử dụng có thể thực tế hay mô phỏng. | NOTE 2 - The use conditions for validation can be real or simulated. |
| 3.8.6 Quá trình xác định trình độ/năng lực | 3.8.6 Qualification process |
| Quá trình (3.4.1) chứng minh khả năng đáp ứng các yêu cầu (3.1.2) qui định | Process (3.4.1) to demonstrate the ability to fulfil specified requirements (3.1.2) |
| CHÚ THÍCH 1: Thuật ngữ "có trình độ/năng lực" được sử dụng để chỉ mọt tình trạng tương ứng. | NOTE 1 - The term 'qualified' is used to designate the corresponding status. |
| CHÚ THÍCH 2: Trình độ/năng lực có thể liên quan đến con người, sản phẩm (3.4.2), quá trình hay hệ thống (3.2.1). | NOTE 2 - Qualification can concern persons products (3.4.2), processes or systems (3.2.1). |
| VÍ DỤ: Quá trình xác định trình độ của chuyên gia đánh giá, quá trình xác định năng lực của vật liệu. | EXAMPLE Auditor qualifications process, material qualification process. |
| 3.8.7 Kiểm tra xem xét | 3.8.7 Review |
| Hoạt động được tiến hành để xác định sự tích hợp, sự thoả đáng và hiệu lực (3.2.14) của một đối tượng để đạt được các mục tiêu đã lập. | Activity undertaken to determine the suitability, adequacy and effectiveness (3.2.14) of the subject matter to achieve established objectives |
| Chú thích: Việc kiểm tra xem xét cũng có thể bao gồm cả xác định hiệu quả (3.2.15). | NOTE - Review can also include the determination of efficiency (3.2.15). |
| VÍ DỤ: Việc kiểm tra xem xét của lãnh đạo, kiểm tra xem xét thiết kế và phát triển, kiểm tra xem xét các yêu cầu của khách hàng và xem xét sự không phù hợp. | EXAMPLE Management review, design and development review, review of customer requirements and nonconformity review. |
| 3.9 Các thuật ngữ liên quan đến đánh giá | 3.9 Terms relating to audit |
| 3.9.1 Đánh giá Quá trình (3.4.1) có hệ thống, độc lập và được lập thành văn bản để nhận được bằng chứng đánh giá (3.9.4) và xem xét đánh giá chúng một cách khách quan để xác định mức độ thực hiện các chuẩn mực đánh giá (3.9.3) | 3.9.1 Audit Systematic, independent and documented process (3.4.1) for obtaining audit evidence (3.9.4) and evaluating it objectively to determine the extent to which audit criteria (3.9.3) are fulfilled |
| CHÚ THÍCH 1: Đánh giá nội bộ, đôi khi gọi là đánh giá của bên thứ nhất, được tổ chức (3.3.1) hoặc mang danh tổ chức tự tiến hành đối với mục đích xem xét của lãnh đạo và các mục đích nội bộ khác và có thể làm cơ sở cho việc tự công bố sự phù hợp (3.6.1) của tổ chức. Trong nhiều trường hợp, đặc biệt ở các tổ chức quy mô nhỏ, tổ chức có thể được miễn trách nhiệm đối với hoạt động được đánh giá. | NOTE 1 - Internal audit, sometimes called first-party audits, are conducted by, or on behalf of the organization (3.3.1) itself for management review and other internal purposes, and may form the basis for an organizations declaration of conformity (3.6.1). In many cases, particularly in smaller organization, independence can be demonstrated by the freedom from reponsibility for the activity being audited |
| CHÚ THÍCH 2: Đánh giá bên ngoài bao gồm những đánh giá thường gọi là đánh giá của bên thứ hai và đánh giá của bên thứ ba. Đánh giá của bên thứ hai được các bên có quan tâm tiến hành, như khách hàng, hoặc đại diện của khách hàng. Đánh giá của bên thứ ba do các tổ chức đánh giá độc lập bên ngoài tiến hành, như các tổ chức thực hiện việc chứng nhận/đăng ký sự phù hợp với các yêu cầu của tiêu chuẩn TCVN ISO 9001 và TCVN ISO 14001. | NOTE 2 - External audits include what are generally termed "second-" or "third-party audits". Second-party audits are conducted by parties having an interest in the organization, such as customers, or by other persons on their behalf. Third-party audits are conducted by external independent organizations. Such organizations provide certification or registration of conformity with requirements such as those of ISO 9001 or ISO 14001. |
| CHÚ THÍCH 3: Khi hai hoặc nhiều hệ thống quản lý (3.2.2) được đánh giá cùng lúc, đánh giá được gọi là đánh giá kết hợp. | NOTE 3 - When quality and environmental management systems (3.2.2) are audited together, this is termed a combined audit. |
| CHÚ THÍCH 4: Khi hai hoặc nhiều tổ chức đánh giá phối hợp để cùng đánh giá riêng một bên được đánh giá (3.9.8), đánh giá được gọi là đánh giá hỗn hợp. | NOTE 4 - When two or more auditing organizations cooperate to audit a single auditee (3.9.8) jointly, this is termed joint audit. |
| 3.9.2 Chương trình đánh giá | 3.9.2 Audit programme |
| Tập hợp một hay nhiều cuộc đánh giá (3.9.1) được hoạch định cho một khoảng thời gian nhất định và nhằm một mục đích cụ thể | Set of one or more audits (3.9.1) planned for a specific time frame and directed towards a specific purpose |
| CHÚ THÍCH: Một chương trình đánh giá bao gồm tất cả các hoạt động cần thiết cho việc hoạch định, tổ chức và tiến hành các cuộc đánh giá. | NOTE An audit programme includes all activities necessary for planning, organizing and conducting audit |
| 3.9.3 Chuẩn mực đánh giá | 3.9.3 Audit criteria |
| Tập hợp các chính sách, thủ tục/qui trình (3.4.5) hay yêu cầu (3.1.2) | Set of policies, procedures (3.4.5) or requirements (3.1.2) |
| CHÚ THÍCH: Các chuẩn mực đánh giá được sử dụng làm căn cứ để so sánh bằng chứng đánh giá (3.9.4). | NOTE Audit criteria are use as a reference against which audit evidence (9.4.4) is compared |
| 3.9.4 Bằng chứng đánh giá | 3.9.4 Audit evidence |
| Hồ sơ (3.7.6), việc trình bày về sự kiện hay thông tin (3.7.1) khác liên quan tới các chuẩn mực đánh giá (3.9.3) và có thể kiểm tra xác nhận. | Records (3.7.6), statements of fact or other information (3.7.1) relevant to the audit criteria (3.9.3) and verifiable. |
| CHÚ THÍCH: Bằng chứng đánh giá có thể là bằng chứng định tính hoặc định lượng. | NOTE - Audit evidence ran be qualitative or quantitative. |
| 3.9.5 Phát hiện khi đánh giá | 3.9.5 Audit findings |
| Kết quả của việc xem xét đánh giá các bằng chứng đánh giá (3.9.4) thu thập được so với chuẩn mực đánh giá (3.9.3) | Result of the evaluation of the collected audit evidence (3.9.4) against audit criteria (3.9.3). |
| CHÚ THÍCH: Phát hiện khi đánh giá có thể chỉ ra sự phù hợp (3.6.1) hoặc sự không phù hợp (3.6.1) với chuẩn mực đánh giá, hoặc cơ hội cải tiến. | NOTE - Audit findings can indicate either conformity (3.6.1) or nonconformity (3.6.2) with audit criteria, or opportunities for improvement. |
| 3.9.6 Kết luận đánh giá Đầu ra của một cuộc đánh giá (3.9.1) do đoàn đánh giá (3.9.10) cung cấp sau khi xem xét các mục tiêu đánh giá và phát hiện khi đánh giá (3.9.5) | 3.9.6 Audit conclusions Outcome of an audit (3.9.1) provided by the audit team (3.9.10) after consideration of all the audit findings (3.9.5) |
| 3.9.7 Khách hàng đánh giá | 3.9.7 Audit client |
| Tổ chức (3.3.1) hay người yêu cầu đánh giá (3.9.1). | Organization (3.3.1) or person requesting an audit (3.9.1) |
| CHÚ THÍCH: Khách hàng đánh giá có thể là bên được đánh giá (3.9.8) hoặc bất kỳ tổ chức (3.3.1) khác có quyền yêu cầu đánh giá theo luật định hoặc theo hợp đồng. | NOTE The audit client may be the auditee (3.9.8) or any other organization (3.3.1) that has the regulatory or contractual right to request audit |
| 3.9.8 Bên được đánh giá | 3.9.8 Auditee |
| Tổ chức (3.3.1) được đánh giá. | Organization (3.3.1) being audited. |
| 3.9.9 Chuyên gia đánh giá | 3.9.9 Auditor |
| Người có khả năng phẩm chất và năng lực (3.1.6 và 3.9.14) cá nhân để tiến hành một cuộc đánh giá (3.9.1) | Person with the competence (3.9.12) to conduct an audit (3.9.1). |
| CHÚ THÍCH: Các phẩm chất cá nhân đối với chuyên gia đánh giá được mô tả ở TCVN ISO 19011. | NOTE The relevant personal attributes for an auditor are described in ISO 19011 |
| 3.9.10 Đoàn đánh giá | 3.9.10 Audit team |
| Một hay nhiều chuyên gia đánh giá (3.9.9) tiến hành cuộc đánh giá (3.9.1), với sự hỗ trợ của các chuyên gia kỹ thuật (3.9.11) khi cần thiết | One or more auditors (3.9.9) conducting an audit (3.9.1), supported if needed by technical experts (3.9.11) |
| CHÚ THÍCH 1: Một người của đoàn đánh giá được chỉ định làm trưởng đoàn đánh giá. | NOTE 1 - One auditor in the audit tearn is generally appointed as audit team leader. |
| CHÚ THÍCH 2: Đoàn đánh giá có thể bao gồm các chuyên gia đánh giá tập sự. | NOTE 2 - The audit team may include auditors- intraining |
| 3.9.11 Chuyên gia kỹ thuật | 3.9.11 Technical expert |
| Người <đánh giá> cung cấp các kiến thức hay kinh nghiệm chuyên môn cụ thể cho đoàn đánh giá (3.9.10) | (audit) person who provides specific knowledge or expertise to the audit team (3.9.0). |
| CHÚ THÍCH 1: Kiến thức và kinh nghiệm cụ thể liên quan đến tổ chức (3.3.1), quá trình (3.4.1), hoặc các hoạt động được đánh giá, ngôn ngữ hoặc văn hoá. | NOTE 1 Specific knowledge or expertise includes knowledge of or expertise on the organization (3.3.1), process (3.4.1) or activity to be audited, as well as languge or cultural guidance. |
| CHÚ THÍCH 2: Một chuyên gia kỹ thuật không hành động như một chuyên gia đánh giá (3.9.9) trong đoàn đánh giá. | NOTE 2 A technical expert does not act as an auditor (3.9.9) in the audit team |
| 3.9.12 Kế hoạch đánh giá | 3.9.12 Audit plan |
| Mô tả các hoạt động và sắp đặt cho một cuộc đánh giá (3.9.1) | Description of the activities and arrangements for an audit (3.9.9) |
| 3.9.13 Phạm vi đánh giá | 3.9.13 Audit scope |
| Mức độ và giới hạn của một cuộc đánh giá (3.9.1) | Extent and boundaries of an audit (3.9.1) |
| CHÚ THÍCH: Phạm vi đánh giá thường bao gồm mô tả về địa điểm, các đơn vị/bộ phận thuộc tổ chức, các hoạt động và quá trình (3.4.1) cũng như khoảng thời gian thực hiện cuộc đánh giá. | NOTE The audit scope generally includes a description of the physical location, organization units, activities and processes (3.4.1), as well as the time period covered |
| 3.9.14 Năng lực Phẩm chất và khả năng <đánh giá> cá nhân đã được chứng minh về ứng dụng kiến thức và kỹ năng | 3.9.14 Competence <audit> Demonstrated personal attributes and demonstrated ability to apply knowledge and skills. |
| 3.10 Các thuật ngữ liên quan đến đảm bảo chất lượng các quá trình đo lường | 3.10 Terms related to quality assurance for measurement processes |
| 3.10.1 Hệ thống quản lý đo lường | 3.10.1 Measurement control system |
| Tập hợp các yếu tố có liên quan lẫn nhau và tương tác cần thiết để đạt được sự xác nhận về đo lường (3.10.3) và kiểm soát liên tục các quá trình đo (3.10.2) | Set of interrelated or interacting elements necessary to achieve metrological confirmation (3.10.3) and continual control of measurement processes (3.10.2). |
| 3.10.2 Quá trình đo Tập hợp các thao tác để xác định giá trị của một đại lượng. | 3.10.2 Measurement process Set of operations to determine the value of a quantity. |
| 3.10.3 Xác nhận về đo lường | 3.10.3 Metrological confirmation |
| Tập hợp các thao tác cần thiết để đảm bảo rằng thiết bị đo (3.10.4) phù hợp với các yêu cầu (3.1.2) đối với mục đích sử dụng đã định. | Set of operations required to ensure that measuring equipment (3.10.4) conform to the requirements (3.1.2) for its intended use. |
| CHÚ THÍCH 1: Xác nhận về đo lường thường bao gồm hiệu chuẩn hay kiểm tra xác nhận (3.8.4), kiểm định việc hiệu chỉnh hay sửa chữa (3.6.9) cần thiết bất kỳ, và việc hiệu chuẩn lại sau đó, việc so sánh với các yêu cầu đo lường theo mục đích sử dụng đã định của thiết bị, cũng như việc gắn si và ghi nhãn cần thiết. | NOTE 1 - Metrological confirmation generally includes calibration or verification (3.8.4), any necessary adjustment or repair (3.6.9), and subsequent recalibration, comparison with the metrological requirements for the intended use of !he equipment, as well as any required sealing and labelling. |
| CHÚ THÍCH 2: Xác nhận về đo lường không đạt được nếu chưa chứng minh và lập tài liệu về sự thích hợp của thiết bị đo đối với việc sử dụng đã định. | NOTE 2 - Metrological confirmation is not achieved until and unless the fitness of the measuring equipment for the intended use has been demonstrated and documented. |
| CHÚ THÍCH 3: Các yêu cầu cho mục đích sử dụng đã định có thể bao gồm cả những vấn đề như xem xét phạm vi, độ phân giải, sai số cho phép lớn nhất. | NOTE 3 - The requirements for intended use include such considerations as range, resolution, maximum permissible errors. |
| CHÚ THÍCH 4: Các yêu cầu về đo lường thường khác với và không được qui định trong các yêu cầu đối với sản phẩm. | NOTE 4 - Metrological confirmation requirements are usually distinct from and are not specified in product requirements. |
| 3.10.4 Thiết bị đo Phương tiện đo, phần mềm, chuẩn đo lường, mẫu chuẩn hay các thiết bị phụ hay tổ hợp các yếu tố trên cần thiết để thực hiện một quá trình đo (3.10.2). | 3.10.4 Measuring equipment Measuring instrument, software, measurement standard, reference material or auxiliary apparatus or combination thereof necessary to realize a measurement process (3.10.2). |
| 3.10.5 Đặc tính đo lường Đặc trưng để phân biệt, có thể ảnh hưởng đến các kết quả đo. | 3.10.5 Metrological characteristic Distinguishing feature which can influence the results of measurement. |
| CHÚ THÍCH 1: Thiết bị đo (3.10.4) thường có một số đặc tính đo lường. | NOTE 1 - Measuring equipment (3.10.4) usually has several metrological characteristics. |
| CHÚ THÍCH 2: Các đặc tính đo lường có thể là đối tượng của hiệu chuẩn. | NOTE 2 - Metrological characteristics can be the subject of calibration. |
| 3.10.6 Chức năng đo lường Chức năng cùng với trách nhiệm về mặt tổ chức để xác định và áp dụng hệ thống quản lý đo lường (3.10.1) | 3.10.6 Metrological function Function with organizational responsibility for defining and implementing the measurement management system (3.10.1) |
| CHÚ THÍCH: Trong tiếng Anh, từ "defining" (xác định) cũng có nghĩa là "specifying" (quy định). Ngữ nghĩa này không được sử dụng trong cụm từ "defining a concept" (xác định một khái niệm) (trong một số ngôn ngữ, sự khác biệt này không rõ ràng trong ngữ cảnh riêng biệt). | NOTE - The word "defining" has the meaning of "specifying". It is not used in the terminological sense of "defining a concept" (in some languages, this distinction is not clear from the context alone) |
| PHỤ LỤC A (tham khảo) PHƯƠNG PHÁP LUẬN ĐƯỢC SỬ DỤNG ĐỂ XÂY DỰNG TỪ VỰNG | ANNEX A (informative) METHODOLOGY USED IN THE DEVELOPMENT OF THE VOCABULARY |
| A.1 Mở đầu Tính tổng quát cho việc áp dụng bộ tiêu chuẩn ISO 9000 đòi hỏi sử dụng: | A.1 Introduction The universality of application of the ISO 9000 family of standards requires the use of |
| - một bản mô tả kỹ thuật nhưng không sử dụng ngôn ngữ kỹ thuật, và | - a technical description but without the use of technical language. And |
| - một bản từ vựng nhất quán và hài hoà, dễ hiểu với mọi người sử dụng các tiêu chuẩn hệ thống quản lý chất lượng. | - a coherent and harmonized vocabulary that is easily understandable by all potential users of quality management systems standards. |
| Các khái niệm không độc lập với nhau, và sự phân tích mối quan hệ giữa các khái niệm trong lĩnh vực quản lý chất lượng và sắp xếp chúng thành hệ thống khái niệm là tiền đề của thuật ngữ nhất quán. Việc phân tích như vậy đã được sử dụng để xây dựng từ vựng qui định trong tiêu chuẩn này. Vì các sơ đồ khái niệm được sử dụng trong quá trình xây dựng có thể có ích lợi về phương diện thông tin, nên chúng được nêu lại trong A.4. | Concepts are not independent of one another, and an analysis of the relationships between concepts within the field of quality management systems and the arrangement of them into concept systems is a prerequisite of a coherent vocabulary. Such an analysis was used in the development of the vocabulary specified in this international Standard. Since the concept diagrams employed during the development process may be helpful in an informative sense, they are reproduced in A.4. |
| A.2 Nội dung các từ trong từ vựng và qui tắc thay thế | A.2 Content of a vocabulary entry and the substitution rule |
| Khái niệm tạo thành đơn vị chuyển đổi giữa các ngôn ngữ (bao gồm cả các biến thể trong một ngôn ngữ, ví dụ: Tiếng Anh kiểu Mỹ và kiểu Anh). Với mỗi ngôn ngữ, cần chọn thuật ngữ thích hợp nhất để cho khái niệm trình bày theo ngôn ngữ đó được rõ ràng, phổ biến, tức là không chuyển dịch theo đúng từng chữ. | The concept forms the unit of transfer between languages (including variants within one language, for example American English and British English). For each language, the most appropriate term for the universal transparency of the concept in that language, i.e. not a literal approach to translation, is chosen. |
| Một định nghhĩa được tạo ra bằng cách mô tả chỉ những đặc tính thực chất để phân biệt được khái niệm. Thông tin liên quan đến khái niệm dù quan trong nhưng không cốt yếu đối với việc mô tả khái niệm đó sẽ đặt ở phần chú thích của định nghĩa đó. | A definition is formed by describing only those characteristics that are essential to Identity the concept Information concerning the concept which is important but which is not essential to its description is put in, one or more, notes to the definition. |
| Khi một thuật ngữ được thay thế bởi định nghĩa của nó, nếu chịu những thay đổi nhỏ về cú pháp thì không được làm thay đổi ý nghĩa ở phần lời. Việc thay thế như vậy đem lại một phưng pháp đơn giản để kiểm tra sự chuẩn xác của định nghĩa. | When a term is substituted by its definition, subject to minor syntax changes, there should be no change in the meaning of the text. Such a. substitution provides a simple method for checking the accuracy of a definition. |
| Tuy nhiên, khi định nghĩa là phức tạp theo nghĩa nó chứa một số thuật ngữ, thì việc thay thế được tiến hành tốt nhất khi lấy một hay tối đa hai định nghĩa một lần. Việc thay thế hoàn toàn tất cả các thuật ngữ sẽ khó đạt được về cú pháp và không có lợi ích khi chuyển tải ý nghĩa. | However, where the definition is complex in the sense that it contains a number of terms, substitution is best carried out taking one or, at most, two definitions at a time. Complete substitution of the totality of the terms will become difficult to achieve syntactically and unhelpful in conveying meaning. |
| A.3 Các mối quan hệ về khái niệm và cách biểu diễn bằng đồ thị | A.3 Concept relationships and their graphical representation |
| A.3.1 Khái quát Trong việc lập thuật ngữ, các mối quan hệ giữa các khái niệm dựa trên sự hình thành cấp bậc của đặc tính của một chủng loại sao cho tạo được cách mô tả tiết kiệm nhất một khái niệm bằng cách đặt tên chủng loại và mô tả các đặc tính giúp phân biệt chúng với các khái niệm bố mẹ hay anh em. | A.3.1 General In terminology work the relationships between concepts are based on the hierarchical formation of the characteristics of a species so that the most economical description of a concept is formed by naming its species and describing the characteristics that distinguish it from its parent or sibling concepts. |
| Có ba dạng quan hệ khái niệm cơ bản được chỉ ra trong phu lục này: chung nhất (A.3.2), phân chia (A.3.3) và liên kết (A.3.3). | There are three primary forms of concept relationships indicated in this annex: generic (A.3.2), partitive (A.3.3) and associative (A.3.4). |
| A.3.2 Quan hệ chung nhất | A.3.2 Generic relation |
| Các khái niệm phụ thuộc trong hệ phân cấp thừa hưởng mọi đặc tính của khái niệm cấp trên và chứa các mô tả các đặc tính này để phân biệt chúng với các khái niệm cấp trên (bố mẹ) và phối hợp (anh em), ví dụ như quan hệ giữa xuân, hạ, thu, đông với mùa. | Subordinate concepts within the hierarchy inherit all the characteristics of the superordinate concept and contain descriptions of these characteristics which distinguish them from the superordinate (parent) and coordinate (sibling) concepts, e.g. the relation of spring, summer, autumn and winter to season. |
| Các quan hệ chung nhất được mô tả bằng sơ đồ nan quạt hay cây không có mũi tên (xem hình A.1) | Generic relations are depicted by a fan or tree diagram without arrows (see Figure A.1). |

Hình A.1 - Biểu diễn đồ thị quan hệ chung nhất season

Figure A.1 - Graphical representation of a generic relation
| A.3.3 Quan hệ phân chia | A.3.3 Partitive relation |
| Các khái niệm phụ thuộc trong quan hệ phận cấp tạo thành các phần cấu thành của khái niệm cấp trên, ví dụ như xuân, hạ, thu, đông có thể được xem như các phần khái niệm năm. Để so sánh, sẽ là không thích hợp nếu xác định trời nắng (một đặc tính có thể của mùa hè) là một phần của năm. | Subordinate concepts within the hierarchy form constituent parts of the superordinate concept, e.g. spring, summer, autumn and winter may be defined as parts of the concept year. In comparison, it is inappropriate to define sunny weather (one possible characteristic of summer) as part of a year. |
| Các mối quan hệ phân chia được mô tả bằng rằng cào không có mũi tên (xem hình A.2). Các phần đơn được mô tả bằng một đường. các phần bội được mô tả bằng đường kép. | Partitive relations are depicted by a rake without arrows (see Figure A.2). Singular parts are depicted by one line, multiple parts by double lines |

Hình A.2 - Biểu diễn đồ thị quan hệ phân chia year

Figure A.2 - Graphical representation of a partitive relation
| A.3.4 Quan hệ liên kết | A.3.4 Associative relation |
| Các mối quan hệ liên kết không thể đem lại sự tiết kiệm trong việc mô tả như đã có trong các mối quan hệ chung nhất và phân chia, nhưng có lợi ích khi phân biệt bản chất của mối quan hệ giữa khái niệm này với khái niệm kia trong một hệ thống khái niệm, ví dụ như nguyên nhân và kết quả, hoạt động và vị trí, hoạt động và kết quả, công cụ và chức năng, vật liệu và sản phẩm. | Associative relations cannot provide the economies in description that are present in generic and partitive relations but are helpful in identifying the nature of the relationship between one concept and another within a concept system, e.g. cause and effect, activity and location, activity and result, tool and function, material and product. |
| Các mối quan hệ liên kết được mô tả bằng một đường với mũi tên ở đầu (xem hình A.3) | Associative relations are depicted by a line with arrowheads at each end (see Figure A.3). |
![]()
Hình A.3 - Biểu diễn đồ thị quan hệ liên kết sunshine
![]()
Figure A.3 - Graphical representation of an associative relation
| A.4 Các sơ đồ khái niệm | A.4 Concept diagrams |
| Các hình A.4 tới A.13 biểu thị các sơ đồ khái niệm dựa trên các nhóm chủ đề của điều 3 của tiêu chuẩn này. | Figures A.4 to A.13 show the concept diagrams on which the thematic groupings of clause 3 of this International Standard are based. |
| Mặc dù các định nghĩa và thuật ngữ được lặp lại nhưng không có các chú thích có liên quan, nên cần xem điều 3 để tham khảo các chú thích này | Since the definitions of the terms are repeated any related notes, it is recommended to refer to clause 3 to consult any such notes. |

Figure A.4 - Concepts relating to quality (3.1)

Hình A.4 - Các khái niệm có liên quan đến chất lượng (3.1)

Figure A.5 - Concepts relating to management (3.2)

Hình A.5 - Các khái niệm liên quan đến quản lý (3.2)

Figure A.6 - Concepts relating to organization (3.3)

Hình A.6 - Các khái niệm liên quan đến tổ chức (3.3)

Figure A.7 - Concepts relating to process and product (3.4)

Hình A.7 - Khái niệm liên quan đến sản phẩm và quá trình

Figure A.8 - Concepts relating to characteristic (3.5)

Hình A.8 - Khái niệm liên quan đến các đặc tính (3.5)

Figure A.9 - Concepts relating to conformity (3.6)

Hình A.9 - Các khái niệm liên quan đến sự phù hợp (3.6)

Figure A.10 - Concepts relating to documentation (3.7)

Hình A.10 - Các khái niệm liên quan đến tài liệu (3.7)

Figure A.11 - Concepts relating to examination (3.8)

Hình A.11 - Các khái niệm có liên quan đến xem xét (3.8)

Figure A.12 - Concepts relating to audit (3.9)

Hình A.12 - Các yêu cầu liên quan đến đánh giá (3.9)

Figure A.13 - Concepts relating to quality management for measurement processes (3.10)

Hình A.13 - Các khái niệm có liên quan đến đảm bảo chất lượng các quá trình đo lường (3.10)
THƯ MỤC TÀI LIỆU THAM KHẢO
[1] TCVN 6450 (ISO/IEC Guide 2), Tiêu chuẩn hóa và các hoạt động có liên quan - Thuật ngữ chung và định nghĩa
[2] ISO 704, Terminology work - Principles and methods.
[3] ISO 1087-1, Terminology work - Vocabulary - Part 1 : Theory and application.
[4] ISO 3534-2, Statistics. Vocabulary and symbols. Part 2 : Statistical quality control.
[5] TCVN ISO 9001:2000 (ISO 9001:2000), Hệ thống quản lý chất lượng - Các yêu cầu
[6] TCVN ISO 9004:2000 (ISO 9004:2000), Hệ thống quản lý chất lượng - Hướng dẫn cải tiến
[7] ISO 10012, Measurement management systems - requirements for measurement processes and measuring equipment
[8] TCVN ISO/TR 10013 (ISO/TR 10013), Hướng dẫn về tài liệu của hệ thống quản lý chất lượng
[9] ISO/TR 10017, Guidelines on statistical techniques for ISO 9001:2000
[10] ISO 100191), Guidelines for the selection of quality management system consultants and use of their services
[11] ISO 10241, Internationnal terminology standards - Preparation and layout
[12] ISO/TR 13425, Guidelines for the selection of statistical methods in standardization and specification.
[13] ISO/IEC 170002), Comformity assessment - General vocabulary
[14] TCVN ISO 19011 (ISO 19011), Hướng dẫn đánh giá hệ thống quản lý chất lượng và/hoặc hệ thống quản lý môi trường
[15] IEC 60050-191, International Electrotechnical Vocabulary - Chapter 191 - Dependability and quality of service.
[16] IEC 60050-191/A2:2002, Amendment 2 International Electrotechnical Vocabulary - Chapter 191 - Dependability and quality of service.
[17] TCVN 6165 : 1996 (VIM :1993) Đo lường học - Thuật ngữ chung và cơ bản
[18] Quality Management Principles Brochure.3)
[19] ISO 9000 + ISO 14000 News (a bimonthly publication which provides comprehensive coverage of international development relating to ISO,s management system standards, including news of their implementation by diverse organizations around the world).4.)
[20] ISO/IEC directives, part 2, supplement
BẢNG TRA THEO THỨ TỰ CHỮ CÁI TIẾNG VIỆT
B
Bằng chứng đánh giá 3.9.4
Bằng chứng khách quan 3.8.1
Bên được đánh giá 3.9.8
Bên quan tâm 3.3.7
C
Cơ cấu tổ chức 3.3.2
Cơ sở hạ tầng 3.3.3
Cấp 3.1.3
Chất lượng 3.1.1
Chương trình đánh giá 3.9.2
Chức năng đo lường 3.10.6
Chuẩn mực đánh giá 3.9.3
Chuyên gia đánh giá 3.9.9
Chuyên gia kỹ thuật <đánh giá> 3.9.10
Chính sách chất lượng 3.2.4
Cải tiến chất lượng 3.2.12
Cải tiến liên tục 3.2.13
D
Dự án 3.4.3
Đ
Đánh giá 3.9.1
Đặc tính đo lường 3.10.5
Đặc tính 3.5.1
Đặc tính chất lượng 3.5.2
Độ lệch cho phép 3.6.12
Đảm bảo chất lượng 3.2.11
Đoàn đánh giá 3.9.10
H
Hành động khắc phục 3.6.5
Hành động phòng ngừa 3.6.4
Hạ cấp 3.6.8
Hồ sơ 3.7.6
Hiệu lực 3.2.14
Hiệu quả 3.2.15
Hợp đồng 3.3.8
Hệ thống 3.2.1
Hệ thống kiểm soát đo lường 3.10.1
Hệ thống quản lý 3.2.2
Hệ thống quản lý chất lượng 3.2.3
Hoạch định chất lượng 3.2.9
K
Khả năng 3.1.5
Khả năng xác định nguồn gốc 3.5.4
Khách hàng đánh giá 3.9.7
Khách hàng 3.3.5
Kiểm soát chất lượng 3.2.10
Kiểm tra 3.8.2
Kiểm tra xác nhận 3.8.4
Kế hoạch đánh giá 3.9.12
Kết hoạch chất lượng 3.7.5
Kết luận đánh giá 3.9.6
L
Làm lại 3.6.7
Lãnh đạo cao nhất 3.2.7
Loại bỏ 3.6.10
M
Môi trường làm việc 3.3.4
Mục tiêu chất lượng 3.2.5
N
Năng lực 3.1.6
Năng lực <đánh giá> 3.9.14
Người cung ứng 3.3.6
Nhân nhượng 3.6.11
P
Phát hiện khi đánh giá 3.9.5
Phạm vi đánh giá 3.9.13
Q
Quá trình đo 3.10.2
Quá trình 3.4.1
Quá trình xác định trình độ/năng lực 3.8.6
Qui định 3.7.3
Quản lý 3.2.6
Quản lý chất lượng 3.2.8
S
Sổ tay chất lượng 3.7.4
Sai lỗi/khuyết tật 3.6.3
Sản phẩm 3.4.2
Sửa chữa 3.6.9
Sự không phù hợp 3.6.2
Sự khắc phục 3.6.6
Sự phù hợp 3.6.1
Sự thoả mãn của khách hàng 3.1.4
T
Tài liệu 3.7.2
Tổ chức 3.3.1
Thông qua 3.6.13
Thông tin 3.7.1
Thiết bị đo 3.10.4
Thiết kế và phát triển 3.4.4
Thủ tục/qui trình 3.4.5
Thử nghiệm 3.8.3
Tính đáng tin cậy 3.5.3
X
Xác nhận giá trị sử dụng 3.8.5
Xác nhận về đo lường 3.10.3
Xem xét 3.8.7
Y
Yêu cầu 3.1.2
ALPHABETICAL INDEX
| A |
|
| audit | 3.9.1 |
| audit client | 3.9.7 |
| audit conclusion | 3.9.6 |
| audit criteria | 3.9.3 |
| audit evidence | 3.9.4 |
| audit findings | 3.9.5 |
| audit plan | 3.9.12 |
| audit programme | 3.9.2 |
| audit scope | 3.9.13 |
| audit team | 3.9.10 |
| auditee | 3.9.8 |
| auditor | 3.9.9 |
| C |
|
| capability | 3.1.5 |
| charateristic | 3.5.1 |
| competence | 3.1.6 |
| competence <audit> | 3.9.14 |
| concession | 3.6.11 |
| conformity | 3.6.1 |
| continual improvement | 3.2.13 |
| contract | 3.3.8 |
| correction | 3.6.6 |
| corrective action | 3.6.5 |
| customer | 3.3.5 |
| customer satisfaction | 3.1.4 |
| D |
|
| defect | 3.6.3 |
| dependability | 3.5.3 |
| design and development | 3.4.4 |
| deviation permit | 3.6.12 |
| document | 3.7.2 |
| E |
|
| effectiveness | 3.2.14 |
| effciency | 3.2.15 |
| G |
|
| grade | 3.1.3 |
| I |
|
| information | 3.7.1 |
| infrastructure | 3.3.3 |
| inspection | 3.8.2 |
| interested party | 3.3.7 |
| M |
|
| management | 3.2.6 |
| management system | 3.2.2 |
| measurement management system | 3.10.1 |
| measurement process | 3.10.2 |
| measuring equipment | 3.10.4 |
| metrological characteristic | 3.10.5 |
| metrological confirmation | 3.10.3 |
| metrological function | 3.10.6 |
| N |
|
| noncomformity | 3.6.2 |
| O |
|
| objective evidence | 3.8.1 |
| organization | 3.3.1 |
| organizational structure | 3.2.2 |
| P |
|
| preventive action | 3.6.4 |
| procedure | 3.4.5 |
| process | 3.4.1 |
| product | 3.4.2 |
| project | 3.4.3 |
| Q |
|
| qualification process | 3.8.6 |
| quality | 3.1.1 |
| quality assurance | 3.2.11 |
| quality characteristic | 3.5.2 |
| quality control | 3.2.10 |
| quality improvement | 3.2.12 |
| quality management | 3.2.8 |
| quality management system | 3.2.3 |
| quality manual | 3.7.4 |
| quality objective | 3.2.5 |
| quality plan | 3.7.5 |
| quality planning | 3.2.9 |
| quality policy | 3.2.4 |
| R |
|
| record | 3.7.6 |
| regrade | 3.6.8 |
| release | 3.6.13 |
| repair | 3.6.9 |
| requirement | 3.1.2 |
| review | 3.8.7 |
| rework | 3.6.7 |
| S |
|
| scrap | 3.6.10 |
| specification | 3.7.3 |
| supplier | 3.3.6 |
| system | 3.2.1 |
| T |
|
| technical expert <audit> | 3.9.11 |
| test | 3.8.3 |
| top management | 3.2.7 |
| traceability | 3.5.4 |
| V |
|
| validation | 3.8.5 |
| verification | 3.8.4 |
| W |
|
| work environment | 3.3.4 |
Bạn chưa Đăng nhập thành viên.
Đây là tiện ích dành cho tài khoản thành viên. Vui lòng Đăng nhập để xem chi tiết. Nếu chưa có tài khoản, vui lòng Đăng ký tại đây!