- Tổng quan
- Nội dung
- Tiêu chuẩn liên quan
- Lược đồ
- Tải về
Tiêu chuẩn quốc gia TCVN 7161-13:2024 Hệ thống chữa cháy bằng khí - Tính chất vật lý và thiết kế hệ thống - Phần 13: Khí chữa cháy IG-100
| Số hiệu: | TCVN 7161-13:2024 | Loại văn bản: | Tiêu chuẩn Việt Nam |
| Cơ quan ban hành: | Bộ Khoa học và Công nghệ | Lĩnh vực: | Khoa học-Công nghệ |
| Trích yếu: | ISO 14520-13:2015 Hệ thống chữa cháy bằng khí - Tính chất vật lý và thiết kế hệ thống - Phần 13: Khí chữa cháy IG-100 | ||
|
Ngày ban hành:
Ngày ban hành là ngày, tháng, năm văn bản được thông qua hoặc ký ban hành.
|
16/12/2024 |
Hiệu lực:
|
Đã biết
|
| Người ký: | Đang cập nhật |
Tình trạng hiệu lực:
Cho biết trạng thái hiệu lực của văn bản đang tra cứu: Chưa áp dụng, Còn hiệu lực, Hết hiệu lực, Hết hiệu lực 1 phần; Đã sửa đổi, Đính chính hay Không còn phù hợp,...
|
Đã biết
|
TÓM TẮT TIÊU CHUẨN VIỆT NAM TCVN 7161-13:2024
TCVN 7161-13:2024 ISO 14520-13:2015: Quy định về khí chữa cháy IG-100 ảnh hưởng đến an toàn cháy nổ
Tiêu chuẩn quốc gia TCVN 7161-13:2024, do Cục cảnh sát phòng cháy, chữa cháy và cứu nạn, cứu hộ biên soạn, đã thay thế phiên bản năm 2009 và hoàn toàn tương đương với ISO 14520-13:2015. Tiêu chuẩn này có hiệu lực từ ngày công bố và đề cập đến các yêu cầu riêng cho khí chữa cháy IG-100 được sử dụng trong hệ thống chữa cháy bằng khí. Nội dung tiêu chuẩn bao gồm các tiêu chí về tính chất vật lý, đặc điểm kỹ thuật, sử dụng an toàn và áp dụng cho các hệ thống hoạt động ở áp suất danh nghĩa 200 bar và 300 bar tại 15°C.
Một trong những điểm nổi bật của tiêu chuẩn là quy định rõ ràng về tính chất kỹ thuật của IG-100, bao gồm độ tinh khiết tối thiểu 99,6% và không có tạp chất độc hại lớn. Khí này không màu, không mùi và không dẫn điện, làm giảm nồng độ oxy trong không khí để dập tắt ngọn lửa. Điều này cho phép IG-100 ứng dụng hiệu quả trong việc dập tắt nhiều loại chất cháy khác nhau. Các yêu cầu về nồng độ IG-100 cần thiết trong không gian bảo vệ cũng được nêu cụ thể theo các bảng.
Tiêu chuẩn TCVN 7161-13:2024 cũng nêu rõ các yêu cầu an toàn cho người, khẳng định rằng quá trình xả IG-100 có thể gây ra nguy hiểm do giảm nồng độ oxy trong không khí. Do đó, cần có các biện pháp bảo vệ để tránh các tác động tiêu cực đối với sức khỏe con người.
Bên cạnh đó, tiêu chuẩn còn quy định về thiết kế hệ thống chữa cháy bằng khí, trong đó áp suất nạp và lượng khí cần thiết phải đạt đủ để đạt được nồng độ thiết kế là yêu cầu tối thiểu nhằm đảm bảo hiệu quả của hệ thống chữa cháy này. Hơn nữa, IG-100 được xác định là khí trơ với không có mối liên hệ đến GWP và ODP, góp phần bảo vệ môi trường.
Do đó, TCVN 7161-13:2024 đóng vai trò quan trọng trong việc đảm bảo an toàn phòng cháy chữa cháy tại các khu vực có nguy cơ cháy nổ cao, bảo vệ tài sản và tính mạng con người thông qua các quy định cụ thể nhằm khuyến khích việc áp dụng hiệu quả khí chữa cháy IG-100 trong các hệ thống chữa cháy hiện đại.
Tải tiêu chuẩn Việt Nam TCVN 7161-13:2024
TIÊU CHUẨN QUỐC GIA
TCVN 7161-13 : 2024
ISO 14520-13 : 2015
HỆ THỐNG CHỮA CHÁY BẰNG KHÍ - TÍNH CHẤT VẬT LÝ VÀ THIẾT KẾ HỆ THỐNG - PHẦN 13: KHÍ CHỮA CHÁY IG-100
Gaseous fire-extinguishing systems - Physical properties and system design - Part 13: IG-100 extinguishant
Lời nói đầu
TCVN 7161-13:2024 thay thế TCVN 7161-13:2009.
TCVN 7161-13:2024 hoàn toàn tương đương với ISO 14520-13:2015.
TCVN 7161-13:2024 do Cục cảnh sát phòng cháy, chữa cháy và cứu nạn, cứu hộ biên soạn, Bộ Công an đề nghị, Ủy ban Tiêu chuẩn Đo lường Chất lượng Quốc gia thẩm định, Bộ Khoa học và Công nghệ công bố.
TCVN 7161 (ISO 14520) Hệ thống chữa cháy bằng khí - Tính chất vật lý và thiết kế hệ thống bao gồm các phần sau:
TCVN 7161-1:2022 (ISO 14520-1:2015) - Phần 1: Yêu cầu chung.
TCVN 7161-5:2021 (ISO 14520-5:2020) - Phần 5: Khí chữa cháy FK-5-1-12.
TCVN 7161-9:2024 (ISO 14520-9:2019) - Phần 9: Khí chữa cháy HFC 227 ea.
TCVN 7161-13:2024 (ISO 14520-13:2015) - Phần 13: Khí chữa cháy IG-100.
TCVN 7161-14:2024 (ISO 14520-14:2015) - Phần 14: Khí chữa cháy IG-55.
TCVN 7161-15:2024 (ISO 14520-15:2015) - Phần 15: Khí chữa cháy IG-541.
ISO 14520 Gaseous fire-extinguishing systems - Physical properties and system design còn có các phần sau:
- Part 8: HFC 125 extinguishant;
- Part 10: HFC 23 extinguishant;
- Part 11: HFC 235fa extinguishant;
- Part 12: IG-01 extinguishant;
HỆ THỐNG CHỮA CHÁY BẰNG KHÍ - TÍNH CHẤT VẬT LÝ VÀ THIẾT KẾ HỆ THỐNG - PHẦN 13: KHÍ CHỮA CHÁY IG-100
Gaseous fire-extinguishing systems - Physical properties and system design - Part 13: IG-100 extinguishant
1 Phạm vi áp dụng
Tiêu chuẩn này quy định các yêu cầu riêng cho khí chữa cháy IG-100 dùng trong các hệ thống chữa cháy bằng khí. Tiêu chuẩn này bao gồm các nội dung chi tiết về tính chất vật lý, đặc tính kỹ thuật, sử dụng an toàn và áp dụng cho các hệ thống làm việc tại các áp suất danh nghĩa 200 bar và 300 bar ở 15°C. Tiêu chuẩn này cũng có thể áp dụng cho các hệ thống tại các điều kiện áp suất khác.
2 Tài liệu viện dẫn
Tài liệu viện dẫn sau đây là cần thiết cho việc áp dụng tiêu chuẩn này. Đối với tài liệu viện dẫn ghi năm công bố thì áp dụng bản được nêu. Đối với tài liệu viện dẫn không ghi năm công bố thì áp dụng phiên bản mới nhất, bao gồm cả các bản sửa đổi (nếu có).
TCVN 7161-1:2022 (ISO 14520-1:2015), Hệ thống chữa cháy bằng khí - Tính chất vật lý và thiết kế hệ thống - Phần 1: Yêu cầu chung.
3 Thuật ngữ và định nghĩa
Tiêu chuẩn này áp dụng các thuật ngữ và định nghĩa nêu trong TCVN 7161-1 (ISO 14520-1).
4 Đặc tính và sử dụng
4.1 Quy định chung
Khí chữa cháy IG-100 phải đáp ứng yêu cầu về đặc tính kỹ thuật nêu trong Bảng 1.
Khí chữa cháy IG-100 là khí không màu, không có mùi và không dẫn điện với mật độ gần bằng mật độ không khí. Các tính chất vật lý được nêu trong Bảng 2.
IG-100 dập tắt các đám cháy chủ yếu bằng cách giảm nồng độ oxy trong môi trường của khu vực được bảo vệ.
Bảng 1 - Đặc tính kỹ thuật của IG-100
| Tính chất | Yêu cầu |
| Độ tinh khiết | Không nhỏ hơn 99,6% theo thể tích |
| Hàm lượng nước | Không lớn hơn 50 x 10-6 theo khối lượng |
| Oxy | Không lớn hơn 0,1 % theo khối lượng |
| CHÚ THÍCH: Chỉ đưa ra các tạp chất chính. Các tạp chất khác có thể bao gồm các hydro cabon CO, NO, NO2, CO2 v.v... Hầu hết đều có hàm lượng < 20 x 10-6 | |
Bảng 2 - Tính chất vật lý của IG-100
| Tính chất | Đơn vị | Giá trị |
| Khối lượng phân tử | - | 28,02 |
| Điểm sôi ở 1,013 bar (tuyệt đối)a) | °C | -195,8 |
| Điểm đông đặc | °C | -210,0 |
| Nhiệt độ tới hạn | °C | - |
| Áp suất tới hạn | bar tuyệt đối a) | - |
| Thể tích tới hạn | cm3/mol | - |
| Khối lượng riêng tới hạn | kg/m3 | - |
| Áp suất hơi ở 20 °C | bar tuyệt đối a) |
|
| Khối lượng riêng chất lỏng ở 20°C | kg/m3 |
|
| Khối lượng riêng bay hơi bão hòa ở 20°C | kg/m3 |
|
| Thể tích riêng của hơi quá nhiệt ở 1,013 bar và 20°C | m3/kg | 0,858 |
| Công thức hóa học | N2 |
|
| Tên hóa học | Nitơ |
|
| a) 1 bar = 0,1 MPa = 105 Pa; 1 MPa = 1 N/mm2 | ||
4.2 Sử dụng các hệ thống IG-100
Các hệ thống chữa cháy theo thể tích bằng khí IG-100 có thể sử dụng để dập tắt các đám cháy thuộc tất cả các loại chất cháy trong phạm vi quy định tại Điều 4, TCVN 7161-1.
Các yêu cầu về khối lượng chất chữa cháy trên một đơn vị thể tích của không gian được bảo vệ nêu tại Bảng 3 đối với các nồng độ thiết kế khác nhau. Các yêu cầu này dựa trên các phương pháp được trình bày trong tại Điều 7.6,TCVN 7161-1.
Các nồng độ dập tắt và nồng độ thiết kế đối với heptan và các mối nguy hiểm bề mặt loại A được nêu trong Bảng 4.
Bảng 3 - Tổng lượng khí chữa cháy IG-100
| Nhiệt độ T | Thể tích riêng của hơi S | Yêu cầu về thể tích IG-100 trên một đơn vị thể tích của không gian được bảo vệ. V/V (m3/m3) | |||||||
| Thông tin này chỉ liên quan đến IG-100 và không dùng cho các sản phẩm khác có thành phần là nitơ | |||||||||
|
|
| Nồng độ thiết kế (theo thể tích) | |||||||
| °C | m3/kg | 34% | 38% | 42% | 46% | 50% | 54% | 58% | 62% |
| -40 | 0,6825 | 0,522 | 0,601 | 0,685 | 0,775 | 0,872 | 0,976 | 1,091 | 1,217 |
| -35 | 0,6971 | 0,511 | 0,588 | 0,671 | 0,758 | 0,853 | 0,956 | 1,068 | 1,191 |
| -30 | 0,7118 | 0,501 | 0,576 | 0,657 | 0,743 | 0,836 | 0,936 | 1,046 | 1,167 |
| -25 | 0,7264 | 0,491 | 0,565 | 0,644 | 0,728 | 0,819 | 0,917 | 1,025 | 1,143 |
| -20 | 0,7411 | 0,481 | 0,554 | 0,631 | 0,714 | 0,803 | 0,899 | 1,005 | 1,120 |
| -15 | 0,7557 | 0,472 | 0,543 | 0,619 | 0,700 | 0,787 | 0,882 | 0,985 | 1,099 |
| -10 | 0,7704 | 0,463 | 0,533 | 0,607 | 0,686 | 0,772 | 0,865 | 0,966 | 1,078 |
| -5 | 0,7850 | 0,454 | 0,523 | 0,596 | 0,674 | 0,758 | 0,849 | 0,948 | 1,058 |
| 0 | 0,7997 | 0,446 | 0,513 | 0,585 | 0,661 | 0,744 | 0,833 | 0,931 | 1,038 |
| 5 | 0,8143 | 0,438 | 0,504 | 0,574 | 0,649 | 0,731 | 0,818 | 0,914 | 1,020 |
| 10 | 0,8290 | 0,430 | 0,495 | 0,564 | 0,638 | 0,718 | 0,804 | 0,898 | 1,002 |
| 15 | 0,8436 | 0,423 | 0,486 | 0,554 | 0,627 | 0,705 | 0,790 | 0,883 | 0,984 |
| 20 | 0,8583 | 0,416 | 0,478 | 0,545 | 0,616 | 0,693 | 0,777 | 0,868 | 0,968 |
| 25 | 0,8729 | 0,409 | 0,470 | 0,536 | 0,606 | 0,682 | 0,764 | 0,853 | 0,951 |
| 30 | 0,8876 | 0,402 | 0,462 | 0,527 | 0,596 | 0,670 | 0,751 | 0,839 | 0,936 |
| 35 | 0,9022 | 0,395 | 0,455 | 0,518 | 0,586 | 0,659 | 0,739 | 0,825 | 0,920 |
| 40 | 0,9169 | 0,389 | 0,448 | 0,510 | 0,577 | 0,649 | 0,727 | 0,812 | 0,906 |
| 45 | 0,9315 | 0,383 | 0,440 | 0,502 | 0,568 | 0,639 | 0,716 | 0,799 | 0,892 |
| 50 | 0,9462 | 0,377 | 0,434 | 0,494 | 0,559 | 0,629 | 0,704 | 0,787 | 0,878 |
| 55 | 0,9608 | 0,371 | 0,427 | 0,487 | 0,550 | 0,619 | 0,694 | 0,775 | 0,864 |
| 60 | 0,9755 | 0,366 | 0,421 | 0,479 | 0,542 | 0,610 | 0,683 | 0,763 | 0,851 |
| 65 | 0,9901 | 0,360 | 0,414 | 0,472 | 0,534 | 0,601 | 0,673 | 0,752 | 0,839 |
| 70 | 1,0048 | 0,355 | 0,408 | 0,465 | 0,526 | 0,592 | 0,663 | 0,741 | 0,827 |
| 75 | 1,0194 | 0,350 | 0,403 | 0,459 | 0,519 | 0,584 | 0,654 | 0,730 | 0,815 |
| 80 | 1,0341 | 0,345 | 0,397 | 0,452 | 0,511 | 0,575 | 0,645 | 0,720 | 0,803 |
| 85 | 1,0487 | 0,340 | 0,391 | 0,446 | 0,504 | 0,567 | 0,636 | 0,710 | 0,792 |
| 90 | 1,0634 | 0,335 | 0,386 | 0,440 | 0,497 | 0,56 | 0,627 | 0,700 | 0,781 |
| 95 | 1,0780 | 0,331 | 0,381 | 0,434 | 0,491 | 0,552 | 0,618 | 0,691 | 0,770 |
| 100 | 1,0927 | 0,326 | 0,376 | 0,428 | 0,484 | 0,545 | 0,610 | 0,682 | 0,760 |
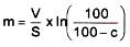
| CHÚ THÍCH: V/V là yêu cầu về thể tích của khí chữa cháy (m3/m3): là lượng QR (m3) của khí được yêu cầu ở nhiệt độ chuẩn 20°C và áp suất 1,013 bar trên mét khối của thể tích được bảo vệ để tạo ra nồng độ đã cho ở nhiệt độ quy định: QR = m. SR trong đó SR là thể tích riêng chuẩn (m3/kg): là thể tích riêng của hơi ở nhiệt độ nạp chuẩn đối với hơi quá nhiệt IG-100 ở áp suất 1,013 bar có thể được xác định gần đúng theo công thức: SR = k1 + k2 TR trong đó k1 = 0,7997; k2 = 0,00293; TR là nhiệt độ chuẩn (°C); là nhiệt độ nạp (20°C trong bảng)
V là thể tích của khu vực nguy hiểm (m3); là thể tích được bao che trừ đi các cấu trúc hoặc công trình cố định không thấm khí chữa cháy. T là nhiệt độ (°C): là nhiệt độ thiết kế trong khu vực nguy hiểm; S là thể tích riêng (m3/kg); thể tích riêng của hơi quá nhiệt IG-100 ở áp suất 1,013 bar có thể được xác định gần đúng theo công thức S = k1 + k2T c là nồng độ (%): là nồng độ theo thể tích của IG-100 trong không khí ở nhiệt độ xác định và áp suất tuyệt đối 1,013 bar. | |||||||||
Bảng 4 - Nồng độ dập tắt và nồng độ thiết kế chuẩn của IG-100
| Chất cháy | Nồng độ dập tắt | Nồng độ thiết kế nhỏ nhất |
|
| % theo thể tích | % theo thể tích |
| Loại B |
|
|
| Heptan (chén nung) | 32,3 | 43,7 |
| Heptan (thử trong phòng) | 33,6 |
|
| Bề mặt loại A |
|
|
| Củi gỗ | 30,0 |
|
| polymethyl methacrylate (PMMA) | 28,8 | 40,3 |
| polypropylen (PP) | 30,0 |
|
| arcylonitrile - butadiene - styrene | 31,0 |
|
| (ABS) |
|
|
| Khu vực nguy hiểm cao hơn loại A | Chú thích 4 | 41,5 |
| CHÚ THÍCH 1. Các giá trị nồng độ dập tắt đối với các chất cháy loại B và bề mặt loại A được xác định bằng thử nghiệm theo Phụ lục B và Phụ lục C, TCVN 7161-1 (ISO 14520-1). CHÚ THÍCH 2. Nồng độ thiết kế nhỏ nhất đối với chất cháy loại B là giá trị cao hơn của nồng độ dập tắt chất cháy heptan theo phép thử chén nung hoặc nồng độ dập tắt chất cháy heptan theo phép thử trong phòng nhân với hệ số 1,3. CHÚ THÍCH 3. Nồng độ thiết kế nhỏ nhất đối với chất cháy bề mặt loại A là giá trị cao nhất của các nồng độ dập tắt theo các phép thử trên cũi gỗ, PMMA, PP hoặc ABS và nhân với hệ số 1,3. Trong trường hợp không có bất cứ giá trị nào trong bốn giá trị nồng độ dập tắt nêu trên thì nồng độ thiết kế nhỏ nhất phải là giá trị đối với chất cháy cho khu vực nguy hiểm cao hơn chất cháy loại A. CHÚ THÍCH 4. Nồng độ thiết kế nhỏ nhất cho các chất cháy khu vực nguy hiểm cao hơn loại A phải là nồng độ cao hơn của nồng độ thiết kế nhỏ nhất của chất cháy bề mặt loại A hoặc 95% nồng độ thiết kế nhỏ nhất của chất cháy loại B. CHÚ THÍCH 5. Tham khảo Điều 7.5.1.3, TCVN 7161-1 đối với các hướng dẫn về các chất cháy loại A. CHÚ THÍCH 6: Nồng độ chữa cháy và nồng độ thiết kế đối với các đám cháy thử trong phòng chỉ là các nồng độ tham khảo. Các nồng độ chữa cháy thấp hơn và cao hơn các nồng độ đối với các đám cháy thử trong phòng có thể đạt được và được phép sử dụng khi được xác nhận các báo cáo thử nghiệm từ các phòng thí nghiệm đã được công nhận. | ||
5 An toàn cho người
Trong thiết kế hệ thống chữa cháy bằng khí IG-100 cần phải lưu ý đến mọi yếu tố nguy hiểm đối với con người do quá trình xả IG-100 tạo ra.
Các yếu tố nguy hiểm có thể phát sinh do các nguyên nhân sau:
a) Bản thân khí chữa cháy, bởi sự giảm oxy;
b) Các sản phẩm cháy của đám cháy.
Đối với các yêu cầu an toàn tối thiểu, xem Điều 5, TCVN 7161-1.
Thông tin về tính chất độc hại đối với IG-541 được nêu trong Bảng 5.
Bảng 5 - Thông tin về sinh lý học đối với IG-100
| Tính chất | Giá trị % thể tích |
| Mức ảnh hưởng có hại không quan sát được (NOAEL) | 43 |
| Mức ảnh hưởng có hại thấp nhất quan sát được (LOAEL) | 52 |
| Các giá trị này được dựa trên các ảnh hưởng về mặt sinh lý của con người trong môi trường thiếu oxy. Các giá trị này là các đương lượng của các giá trị NOAEL và LOAEL và tương đương với nồng độ oxy nhỏ nhất 12% đối với mức không ảnh hưởng và nồng độ oxy nhỏ nhất 10% đối với mức ảnh hưởng thấp. | |
6 Thiết kế hệ thống
6.1 Áp suất nạp
Áp suất nạp của bình chứa không được vượt quá các giá trị cho trong Bảng 6 và Bảng 7 đối với các hệ thống làm việc ở 200 bar tại 15°C và 300 bar tại 15°C tương ứng.
Có thể sử dụng các áp suất khác và áp suất thiết kế nhỏ nhất được quy định một cách phù hợp.
Quan hệ giữa áp suất và nhiệt độ được giới thiệu trên Hình 1.
Bảng 6 - Đặc tính của bình chứa bảo quản đối với IG-100 - 200 bar
| Tính chất | Đơn vị | Giá trị |
| Áp suất nạp ở 15°C | bar | 200 |
| Áp suất làm việc lớn nhất của bình chứa ở 50°C | bar | 240 |
| CHÚ THÍCH: Tham khảo Hình 1 để có thêm dữ liệu về quan hệ áp suất/nhiệt độ | ||
Bảng 7 - Đặc tính của bình chứa bảo quản đối với IG-100 - 300 bar
| Tính chất | Đơn vị | Giá trị |
| Áp suất nạp ở 15°C | bar | 300 |
| Áp suất làm việc lớn nhất của bình chứa ở 50°C | bar | 360 |
| CHÚ THÍCH: Tham khảo Hình 1 để có thêm dữ liệu về quan hệ áp suất/nhiệt độ | ||
6.2 Sự tăng áp
Các bình chứa IG-100 không được tăng áp.
6.3 Lượng khí chữa cháy
Yêu cầu lượng khí chữa cháy nhỏ nhất phải đạt được nồng độ thiết kế cho khu vực nguy hiểm ở nhiệt độ thấp nhất, được xác định như trong Bảng 3 và theo phương pháp nêu tại Điều 7.6, TCVN 7161-1.
Nồng độ thiết kế được quy định cho các khu vực nguy hiểm có liên quan nêu trong Bảng 4, bao gồm hệ số an toàn tối thiểu bằng 1,3 lần nồng độ dập tắt.
Nên lưu ý tăng hệ số này cho các khu vực nguy hiểm cụ thể, đồng thời tham ván ý kiến của các cơ quan chức năng liên quan.

CHÚ DẪN:
X nhiệt độ, °C
Y áp suất, bar
Hình 1 - Đồ thị nhiệt độ/áp suất đối với IG-100 được tăng áp đến 200 bar và 300 bar ở 15°C
7 Đặc tính môi trường
Bình chữa cháy IG-100 là khí trơ và không có GWP và ODP bằng không
MỤC LỤC
Lời nói đầu
1 Phạm vi áp dụng
2 Tài liệu viện dẫn
3 Thuật ngữ và định nghĩa
4 Đặc tính và sử dụng
5 An toàn cho người
6 Thiết kế hệ thống
7 Đặc tính môi trường
Bạn chưa Đăng nhập thành viên.
Đây là tiện ích dành cho tài khoản thành viên. Vui lòng Đăng nhập để xem chi tiết. Nếu chưa có tài khoản, vui lòng Đăng ký tại đây!