- Tổng quan
- Nội dung
- Tiêu chuẩn liên quan
- Lược đồ
- Tải về
Tiêu chuẩn quốc gia TCVN 7161-15:2024 Hệ thống chữa cháy bằng khí - Tính chất vật lý - Phần 15: Khí chữa cháy IG-541
| Số hiệu: | TCVN 7161-15:2024 | Loại văn bản: | Tiêu chuẩn Việt Nam |
| Cơ quan ban hành: | Bộ Khoa học và Công nghệ | Lĩnh vực: | Công nghiệp |
| Trích yếu: | ISO 14520-15:2015 Hệ thống chữa cháy bằng khí - Tính chất vật lý và thiết kế hệ thống - Phần 15: Khí chữa cháy IG-541 | ||
|
Ngày ban hành:
Ngày ban hành là ngày, tháng, năm văn bản được thông qua hoặc ký ban hành.
|
16/12/2024 |
Hiệu lực:
|
Đã biết
|
| Người ký: | Đang cập nhật |
Tình trạng hiệu lực:
Cho biết trạng thái hiệu lực của văn bản đang tra cứu: Chưa áp dụng, Còn hiệu lực, Hết hiệu lực, Hết hiệu lực 1 phần; Đã sửa đổi, Đính chính hay Không còn phù hợp,...
|
Đã biết
|
TÓM TẮT TIÊU CHUẨN VIỆT NAM TCVN 7161-15:2024
TCVN 7161-15:2024: Quy định về khí chữa cháy IG-541
Tiêu chuẩn quốc gia TCVN 7161-15:2024, ban hành ngày 29/12/2024, có hiệu lực từ ngày 01/01/2025, quy định về hệ thống chữa cháy bằng khí IG-541. TCVN 7161-15:2024 hoàn toàn tương đương với ISO 14520-15:2015 và được soạn thảo bởi Cục Cảnh sát Phòng cháy, chữa cháy và cứu nạn, cứu hộ thuộc Bộ Công an. Văn bản này nhằm cung cấp những yêu cầu đặc thù cho việc thiết kế và lắp đặt hệ thống chữa cháy khí IG-541.
Trong tiêu chuẩn này, khí IG-541 được mô tả là một hỗn hợp khí trơ bao gồm 52% nitơ, 40% argon, và 8% carbon dioxide. Đặc tính kỹ thuật của IG-541 như độ tinh khiết, các chỉ số áp suất tại các mức 150 bar, 200 bar, và 300 bar được nêu rõ. Cụ thể, áp suất nạp không được vượt quá 150 bar tại 15°C, cụ thể hóa mức độ an toàn cần thiết khi sử dụng khí chữa cháy trong các tình huống khẩn cấp.
Một trong những điểm đáng chú ý trong tiêu chuẩn này là quy định về nồng độ thiết kế cho việc dập tắt các loại đám cháy khác nhau. Ví dụ, nồng độ dập tắt cho các chất cháy loại B là từ 29,6% đến 43,9%, trong khi đó các chất nguy hiểm bề mặt loại A yêu cầu nồng độ dập tắt từ 28,2% đến 41,7%. Các bảng cụ thể trong tiêu chuẩn cũng chỉ ra các yêu cầu về thể tích khí chữa cháy tại những điều kiện nhiệt độ khác nhau, để đảm bảo sự an toàn tối ưu trong việc ứng phó với các sự cố cháy nổ.
Bên cạnh đó, tiêu chuẩn này còn đề cập đến an toàn cho con người, nhấn mạnh rằng trong quá trình sử dụng khí IG-541, cần đặc biệt chú ý đến việc giảm nồng độ oxy trong không khí, ảnh hưởng đến sức khỏe con người. Cụ thể, mức ảnh hưởng không quan sát được (NOAEL) là 43% và mức ảnh hưởng thấp nhất quan sát được (LOAEL) là 52%. Những thông tin này đặc biệt quan trọng đối với các cán bộ, công chức trong lĩnh vực phòng cháy chữa cháy và các doanh nghiệp sử dụng hệ thống chữa cháy khí IG-541.
TCVN 7161-15:2024 còn đưa ra nhiều quy định chi tiết khác liên quan đến thiết kế hệ thống, đảm bảo tất cả các yếu tố an toàn và hiệu quả trong việc dập tắt đám cháy. Tiêu chuẩn này mang đến một khung pháp lý rõ ràng, giúp các tổ chức và cơ sở thực hiện lắp đặt và bảo trì các hệ thống chữa cháy bằng khí một cách hiệu quả, đồng thời đảm bảo an toàn bảo vệ tài sản và môi trường sống của người dân.
Tải tiêu chuẩn Việt Nam TCVN 7161-15:2024
TIÊU CHUẨN QUỐC GIA
TCVN 7161-15 : 2024
ISO 14520-15 : 2015
HỆ THỐNG CHỮA CHÁY BẰNG KHÍ - TÍNH CHẤT VẬT LÝ VÀ THIẾT KẾ HỆ THỐNG - PHẦN 15: KHÍ CHỮA CHÁY IG-541
Gaseous fire-extinguishing systems - Physical properties and system design - Part 15: IG-541 extinguishant
Lời nói đầu
TCVN 7161-15:2024 hoàn toàn tương đương với ISO 14520-15:2015.
TCVN 7161-15:2024 do Cục Cảnh sát phòng cháy, chữa cháy và cứu nạn, cứu hộ biên soạn, Bộ Công an đề nghị, Ủy ban Tiêu chuẩn Đo lường Chất lượng Quốc gia thẩm định, Bộ Khoa học và Công nghệ công bố.
TCVN 7161 (ISO 14520) Hệ thống chữa cháy bằng khí - Tính chất vật lý và thiết kế hệ thống bao gồm các phần sau:
TCVN 7161-1:2022 (ISO 14520-1:2015) - Phần 1: Yêu cầu chung.
TCVN 7161-5:2021 (ISO 14520-5:2020) - Phần 5: Khí chữa cháy FK-5-1-12.
TCVN 7161-9:2024 (ISO 14520-9:2019) - Phần 9: Khí chữa cháy HFC 227 ea.
TCVN 7161-13:2024 (ISO 14520-13:2015) - Phần 13: Khí chữa cháy IG-100.
TCVN 7161-14:2024 (ISO 14520-14:2015) - Phần 14: Khí chữa cháy IG-55.
TCVN 7161-15:2024 (ISO 14520-15:2015) - Phần 15: Khí chữa cháy IG-541.
ISO 14520 Gaseous fire-extinguishing systems - Physical properties and system design còn có các phần sau:
- Part 8: HFC 125 extinguishant;
- Part 10: HFC 23 extinguishant;
- Part 11: HFC 235fa extinguishant;
- Part 12: IG-01 extinguishant.
HỆ THỐNG CHỮA CHÁY BẰNG KHÍ - TÍNH CHẤT VẬT LÝ VÀ THIẾT KẾ HỆ THỐNG - PHẦN 15: KHÍ CHỮA CHÁY IG-541
Gaseous fire-extinguishing systems - Physical properties and system design - Part 15: IG-541 extinguishant
1 Phạm vi áp dụng
Tiêu chuẩn này quy định các yêu cầu riêng cho khí chữa cháy IG-541 dùng trong các hệ thống chữa cháy bằng khí. Tiêu chuẩn này bao gồm các nội dung chi tiết về tính chất vật lý, đặc tính kỹ thuật, sử dụng an toàn và áp dụng cho các hệ thống làm việc tại các áp suất danh nghĩa 150 bar, 200 bar và 300 bar tại 15 °C. Tiêu chuẩn này cũng có thể áp dụng cho các hệ thống tại các điều kiện áp suất khác.
2 Tài liệu viện dẫn
Tài liệu viện dẫn sau đây là cần thiết cho việc áp dụng tiêu chuẩn này. Đối với tài liệu viện dẫn ghi năm công bố thì áp dụng bản được nêu. Đối với tài liệu viện dẫn không ghi năm công bố thì áp dụng phiên bản mới nhất, bao gồm cả các bản sửa đổi (nếu có).
TCVN 7161-1:2022 (ISO 14520-1:2015), Hệ thống chữa cháy bằng khí - Tính chất vật lý và thiết kế hệ thống - Phần 1: Yêu cầu chung.
3 Thuật ngữ và định nghĩa
Tiêu chuẩn này áp dụng các thuật ngữ và định nghĩa nêu trong TCVN 7161-1 (ISO 14520-1).
4 Đặc tính kỹ thuật và sử dụng
4.1 Quy định chung
IG-541 là khí không màu, không mùi, không dẫn điện, có tỷ trọng xấp xỉ bằng không khí.
IG-541 là một hỗn hợp khí trơ bao gồm 52% nitơ, 40% Argon và 8% Carbon dioxide. Đặc tính kỹ thuật hỗn hợp cho IG-541 (dựa trên 8% carbon dioxide với dung sai ± 5%) như sau:
- Carbon dioxide: Tỷ lệ phần trăm 7,6 % đến 8,4 %;
- Argon: Tỷ lệ phần trăm 37,2 % đến 42,8 %;
- Nitơ: Tỷ lệ phần trăm 48,8 % đến 55,2 %.
Đặc tính kỹ thuật của IG-541 nêu trong Bảng 1, tính chất vật lý được nêu trong Bảng 2.
IG-541 dập tắt đám cháy chủ yếu bằng cách giảm nồng độ oxy trong không khí của khu vực được bảo vệ
Bảng 1 - Đặc tính kỹ thuật của IG-541
| Tính chất | Argon | Nitơ | Carbon dioxide |
| Độ tinh khiết | không nhỏ hơn 99,997 % theo thể tích | không nhỏ hơn 99,99 % theo thể tích | không nhỏ hơn 99,5 % theo thể tích |
| Hàm lượng nước | không lớn hơn 4 x 10-6 theo khối lượng | không lớn hơn 5 x 10-6 theo khối lượng | không lớn hơn 10 x 10-6 theo khối lượng |
| Oxy | không lớn hơn 3 x 10-6 theo khối lượng | không lớn hơn 3 x 10-6 theo khối lượng | không lớn hơn 10 x 10-6 theo khối lượng |
| CHÚ THÍCH: Chỉ đưa ra các tạp chất chính. Các tạp chất khác có thể bao gồm hydrocarbons, CO, NO, NO2. Hầu hết <20 x 10-6. | |||
Bảng 2 - Tính chất vật lý của IG-541
| Tính chất | Đơn vị | Giá trị |
| Khối lượng phân tử | — | 34,0 |
| Điểm sôi tại 1,013 bar (tuyệt đối) | °C | -196 |
| Điểm đông đặc | °C | -78,5 |
| Nhiệt độ tới hạn | °C | — |
| Áp suất tới hạn | bar abs | — |
| Thể tích tới hạn | cm3/mol | — |
| Khối lượng riêng tới hạn | kg/m3 | — |
| Áp suất hóa hơi tại 20 °C | bar abs | 152 |
| Khối lượng riêng chất lỏng tại 20 °C | kg/m3 | — |
| Khối lượng riêng bay hơi bão hòa tại 20 °C | kg/m3 | — |
| Thể tích riêng của hơi quá nhiệt tại 1,013 bar và 20 °C | m3/kg | 0,706 |
| Thành phần | N2 52 % theo thể tích Ar 40 % theo thể tích CO2 8 % theo thể tích | |
| Tên hóa học | Nitơ/argon/carbon dioxide | |
4.2 Sử dụng các hệ thống IG-541
Các hệ thống chữa cháy theo thể tích bằng khí IG-541 có thể sử dụng để dập tắt các đám cháy thuộc tất cả các loại chất cháy trong phạm vi quy định tại Điều 4, TCVN 7161-1.
Các yêu cầu về thể tích chất chữa cháy trên một đơn vị thể tích của không gian được bảo vệ nêu tại Bảng 3 đối với các nồng độ thiết kế khác nhau. Các yêu cầu này dựa trên các phương pháp được trình bày tại Điều 7.6 TCVN 7161-1.
Các nồng độ dập tắt, nồng độ thiết kế đối với heptan và các mối nguy hiểm bề mặt loại A được nêu trong Bảng 4, đối với các nhiên liệu khác được nêu trong Bảng 5, nồng độ khí trơ được nêu trong Bảng 6.
Bảng 3 - Lượng chất chữa cháy IG-541
| Nhiệt độ T | Thể tích riêng của hơi S | Yêu cầu về thể tích IG-541 trên một đơn vị thể tích của không gian được bảo vệ, V/V (m3/m3) | |||||||
| Nồng độ thiết kế (theo thể tích) | |||||||||
| °C | m3/kg | 34% | 38% | 42% | 46% | 50% | 54% | 58% | 62% |
| -40 | 0,5624 | 0,521 | 0,600 | 0,684 | 0,773 | 0,870 | 0,975 | 1,089 | 1,214 |
| -35 | 0,5743 | 0,511 | 0,587 | 0,669 | 0,757 | 0,852 | 0,954 | 1,066 | 1,189 |
| -30 | 0,5863 | 0,500 | 0,575 | 0,656 | 0,742 | 0,834 | 0,935 | 1,044 | 1,165 |
| -25 | 0,5982 | 0,490 | 0,564 | 0,643 | 0,727 | 0,818 | 0,916 | 1,023 | 1,142 |
| -20 | 0,6102 | 0,481 | 0,553 | 0,630 | 0,713 | 0,802 | 0,898 | 1,003 | 1,119 |
| -15 | 0,6221 | 0,471 | 0,542 | 0,618 | 0,699 | 0,786 | 0,881 | 0,984 | 1,098 |
| -10 | 0,6341 | 0,463 | 0,532 | 0,606 | 0,686 | 0,772 | 0,864 | 0,966 | 1,077 |
| -5 | 0,6460 | 0,454 | 0,522 | 0,595 | 0,673 | 0,757 | 0,848 | 0,948 | 1,057 |
| 0 | 0,6580 | 0,446 | 0,513 | 0,584 | 0,661 | 0,744 | 0,833 | 0,931 | 1,038 |
| 5 | 0,6699 | 0,438 | 0,504 | 0,574 | 0,649 | 0,730 | 0,818 | 0,914 | 1,019 |
| 10 | 0,6819 | 0,430 | 0,495 | 0,564 | 0,638 | 0,717 | 0,804 | 0,898 | 1,001 |
| 15 | 0,6938 | 0,423 | 0,486 | 0,554 | 0,627 | 0,705 | 0,790 | 0,882 | 0,984 |
| 20 | 0,7058 | 0,416 | 0,478 | 0,545 | 0,616 | 0,693 | 0,777 | 0,868 | 0,968 |
| 25 | 0,7177 | 0,409 | 0,470 | 0,536 | 0,606 | 0,682 | 0,764 | 0,853 | 0,951 |
| 30 | 0,7297 | 0,402 | 0,462 | 0,527 | 0,596 | 0,670 | 0,751 | 0,839 | 0,936 |
| 35 | 0,7416 | 0,395 | 0,455 | 0,518 | 0,586 | 0,660 | 0,739 | 0,826 | 0,921 |
| 40 | 0,7536 | 0,389 | 0,448 | 0,510 | 0,577 | 0,649 | 0,727 | 0,812 | 0,906 |
| 45 | 0,7655 | 0,383 | 0,441 | 0,502 | 0,568 | 0,639 | 0,716 | 0,800 | 0,892 |
| 50 | 0,7775 | 0,377 | 0,434 | 0,494 | 0,559 | 0,629 | 0,705 | 0,787 | 0,878 |
| 55 | 0,7894 | 0,371 | 0,427 | 0,487 | 0,551 | 0,620 | 0,694 | 0,776 | 0,865 |
| 60 | 0,8014 | 0,366 | 0,421 | 0,480 | 0,543 | 0,610 | 0,684 | 0,764 | 0,852 |
| 65 | 0,8133 | 0,361 | 0,415 | 0,473 | 0,535 | 0,601 | 0,674 | 0,753 | 0,840 |
| 70 | 0,8253 | 0,355 | 0,409 | 0,466 | 0,527 | 0,593 | 0,664 | 0,742 | 0,827 |
| 75 | 0,8372 | 0,350 | 0,403 | 0,459 | 0,519 | 0,584 | 0,655 | 0,731 | 0,816 |
| 80 | 0,8492 | 0,345 | 0,397 | 0,453 | 0,512 | 0,576 | 0,645 | 0,721 | 0,804 |
| 85 | 0,8611 | 0,341 | 0,392 | 0,446 | 0,505 | 0,568 | 0,636 | 0,711 | 0,793 |
| 90 | 0,8731 | 0,336 | 0,386 | 0,440 | 0,498 | 0,560 | 0,628 | 0,701 | 0,782 |
| 95 | 0,8850 | 0,331 | 0,381 | 0,434 | 0,491 | 0,553 | 0,619 | 0,692 | 0,772 |
| 100 | 0,8970 | 0,327 | 0,376 | 0,429 | 0,485 | 0,545 | 0,611 | 0,683 | 0,761 |
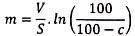
| CHÚ THÍCH: Thông tin này chỉ áp dụng cho khí IG-541 và không dùng cho bất kỳ chất khí khác bao gồm argon, nitơ hay carbon dioxide. Trong đó: V/V là yêu cầu về thể tích của khí chữa cháy (m3/m3); nghĩa là lượng QR (m3) của khí được yêu cầu tại nhiệt độ chuẩn 20 °C và áp suất 1,013 bar trên mét khối của thể tích được bảo vệ để tạo ra nồng độ yêu cầu tại nhiệt độ quy định: QR = m. SR Trong đó: SR là thể tích riêng chuẩn (m3/kg); nghĩa là thể tích riêng của hơi tại nhiệt độ nạp chuẩn, đối với hơi quá nhiệt IG-541 tại áp suất 1,013 bar có thể được xác định gần đúng theo công thức: SR = k1 + k2.TR Trong đó: k1 = 0,65799; k2 = 0,00239; TR là nhiệt độ chuẩn (°C); nghĩa là nhiệt độ nạp (20 °C trong bảng)
V là thể tích của khu vực nguy hiểm (m3); nghĩa là thể tích được bao che trừ đi thể tích các cấu kiện cố định không thấm khí chữa cháy. T là nhiệt độ (°C); nghĩa là nhiệt độ thiết kế trong khu vực được bảo vệ; S là thể tích riêng (m3/kg); thể tích riêng của hơi quá nhiệt IG-541 ở áp suất 1,013 bar có thể được xác định gần đúng theo công thức: S = k1 + k2.T Trong đó: c là nồng độ (%); nghĩa là nồng độ theo thể tích của IG-541 trong không khí tại nhiệt độ xác định và áp suất tuyệt đối 1,013 bar. | |||||||||
Bảng 4 - Nồng độ dập tắt và nồng độ thiết kế của IG-541
| Chất cháy | Nồng độ dập tắt | Nồng độ thiết kế nhỏ nhất |
|
| % theo thể tích | % theo thể tích |
| Loại B |
| 43,9 |
| Heptan (chén nung) | 33,8 | |
| Heptan (thử trong phòng) | 29,6 | |
| Bề mặt loại A |
| 39,9 |
| Cũi gỗ | 28,2 | |
| Polymethyl methacrylate (PMMA) | 30,7 | |
| Polypropylen (PP) | 30,6 | |
| Acrylonitrile Butadiene styrene (ABS) | 30,7 | |
| Khu vực nguy hiểm cao hơn loại A | Chú thích 4 | 41,7 |
| CHÚ THÍCH 1. Các giá trị nồng độ dập tắt đối với các chất cháy loại B và bề mặt loại A được xác định bằng thử nghiệm theo Phụ lục B và Phụ lục C, TCVN 7161-1 CHÚ THÍCH 2. Nồng độ thiết kế nhỏ nhất đối với chất cháy loại B là giá trị cao hơn của nồng độ dập tắt chất cháy heptan theo phép thử chén nung hoặc nồng độ dập tắt chất cháy heptan theo phép thử trong phòng nhân với hệ số 1,3. CHÚ THÍCH 3. Nồng độ thiết kế nhỏ nhất đối với chất cháy bề mặt loại A là giá trị cao nhất của các nồng độ dập tắt theo các phép thử trên cũi gỗ, PMMA, PP hoặc ABS và nhân với hệ số 1,3. Trong trường hợp không có bất cứ giá trị nào trong bốn giá trị nồng độ dập tắt nêu trên thì nồng độ thiết kế nhỏ nhất phải là giá trị đối với chất cháy cho khu vực nguy hiểm cao hơn chất cháy loại A. CHÚ THÍCH 4. Nồng độ thiết kế nhỏ nhất cho các chất cháy khu vực nguy hiểm cao hơn loại A phải là nồng độ cao hơn của nồng độ thiết kế nhỏ nhất của chất cháy bề mặt loại A hoặc 95% nồng độ thiết kế nhỏ nhất của chất cháy loại B. CHÚ THÍCH 5. Tham khảo Điều 7.5.1.3, TCVN 7161-1 đối với các hướng dẫn về các chất cháy loại A. CHÚ THÍCH 6: Nồng độ dập tắt và nồng độ thiết kế đối với các đám cháy thử trong phòng chỉ là các nồng độ tham khảo. Các nồng độ dập tắt thấp hơn và cao hơn các nồng độ đối với các đám cháy thử trong phòng có thể đạt được và được phép sử dụng khi được xác nhận các báo cáo thử nghiệm từ các phòng thí nghiệm đã được công nhận. | ||
Bảng 5 - Nồng độ dập tắt và nồng độ thiết kế của IG-541 cho các chất cháy khác
| Chất cháy | Nồng độ dập tắt % theo thể tích | Nồng độ thiết kế nhỏ nhất % theo thể tích |
| Acetone | 31,7 | 41,2 |
| Acetonitrile | 31,7 | 41,2 |
| Avgas 100 | 31,7 | 41,2 |
| Avtur (Jet A) | 36,2 | 47,1 |
| 1-Butanol | 37,2 | 48,4 |
| Cyclopentanone | 42,1 | 54,7 |
| Diesel No. 2 | 35,8 | 46,5 |
| Diethlyl ether | 34,9 | 45,4 |
| Ethane | 31,7 | 41,2 |
| Ethanol | 35,0 | 45,5 |
| Ethly acetate | 32,7 | 42,5 |
| Ethylene | 42,1 | 54,7 |
| Hexane | 31,7 | 41,2 |
| Isopropanol | 31,7 | 41,2 |
| Methanol | 44,2 | 57,5 |
| Methyl ethyl ketone | 35,8 | 46,5 |
| Methyl isobutyl ketone | 32,3 | 42,0 |
| Octane | 35,8 | 46,5 |
| Pentane | 37,2 | 48,4 |
| Petroleum ether | 35,0 | 45,5 |
| Propane | 32,3 | 42,0 |
| Regular gasoline | 35,8 | 46,5 |
| Toluene | 31,7 | 41,2 |
| Vinyl acetate | 34,4 | 44,7 |
| Vacuum pump oil | 32,0 | 41,6 |
| CHÚ THÍCH: Các nồng độ dập tắt đối với các chất cháy loại B được quy định trong Phụ lục B TCVN 7161-1. Các nồng độ thiết kế nhỏ nhất đã được tăng lên đến nồng độ thiết kế nhỏ nhất được xác lập cho heptan phù hợp với Điều 7.5.1 TCVN 7161-1 | ||
Bảng 6 - Nồng độ khí trơ và nồng độ thiết kế của IG-541
| Chất cháy | Nồng độ khí trơ % theo thể tích | Nồng độ thiết kế nhỏ nhất % theo thể tích |
| Methane | 43,0 | 47,3 |
| Propane | 49,0 | 53,9 |
| CHÚ THÍCH: Các nồng độ khí trơ được quy định theo Phụ lục D và Điều 7.5.2 TCVN 7161-1 | ||
5 An toàn cho người
Trong thiết kế hệ thống chữa cháy bằng khí IG-541 cần phải lưu ý đến mọi yếu tố nguy hiểm đối với con người do quá trình xả IG-541 tạo ra.
Các yếu tố nguy hiểm có thể phát sinh do các nguyên nhân sau:
a) Bản thân khí chữa cháy, bởi sự giảm oxy;
b) Các sản phẩm cháy của đám cháy.
Đối với các yêu cầu an toàn tối thiểu, tham khảo Điều 5, TCVN 7161-1 .Thông tin về tính chất độc hại đối với IG-541 được nêu trong Bảng 7.
Bảng 7 - Tính chất độc hại của khí IG-541
| Tính chất | Giá trị % theo thể tích |
| Mức ảnh hưởng có hại không quan sát được (NOAEL) | 43 |
| Mức ảnh hưởng có hại thấp nhất quan sát được (LOAEL) | 52 |
| Các giá trị này được dựa trên các ảnh hưởng về mặt sinh lý của con người trong môi trường thiếu oxy. Các giá trị này là các đương lượng của các giá trị NOAEL và LOAEL và tương đương với nồng độ oxy nhỏ nhất 12% đối với mức không ảnh hưởng và nồng độ oxy nhỏ nhất 10% đối với mức ảnh hưởng thấp. | |
6 Thiết kế hệ thống
6.1 Áp suất nạp
Áp suất nạp của bình chứa không được vượt quá các giá trị cho trong Bảng 8, Bảng 9 và Bảng 10 đối với các hệ thống làm việc ở 150 bar tại 15 °C, 200 bar tại 15 °C và 300 bar tại 15 °C tương ứng.
Có thể sử dụng các áp suất khác và áp suất thiết kế nhỏ nhất được quy định một cách phù hợp.
Quan hệ giữa áp suất và nhiệt độ được thể hiện trên Hình 1.
Bảng 8 - Đặc tính của bình chứa bảo quản đối với IG-541 tại 150 bar
| Tính chất | Đơn vị | Giá trị |
| Áp suất nạp tại 15 °C | bar | 150 |
| Áp suất làm việc lớn nhất của bình chứa tại 50 °C | bar | 175 |
| CHÚ THÍCH: Tham khảo Hình 1 để có thêm dữ liệu về quan hệ áp suất/nhiệt độ | ||
Bảng 9 - Đặc tính của bình chứa bảo quản đối với IG-541 tại 200 bar
| Tính chất | Đơn vị | Giá trị |
| Áp suất nạp tại 15 °C | bar | 200 |
| Áp suất làm việc lớn nhất của bình chứa tại 50 °C | bar | 235 |
| CHÚ THÍCH: Tham khảo Hình 1 để có thêm dữ liệu về quan hệ áp suất/nhiệt độ | ||
Bảng 10 - Đặc tính của bình chứa bảo quản đối với IG-541 tại 300 bar
| Tính chất | Đơn vị | Giá trị |
| Áp suất nạp tại 15 °C | bar | 300 |
| Áp suất làm việc lớn nhất của bình chứa tại 50 °C | bar | 360 |
| CHÚ THÍCH: Tham khảo Hình 1 để có thêm dữ liệu về quan hệ áp suất/nhiệt độ | ||
6.2 Sự tăng áp
Các bình chứa IG-541 không được tăng áp.
6.3 Lượng khí chữa cháy
Yêu cầu lượng khí chữa cháy nhỏ nhất phải đạt được nồng độ thiết kế cho khu vực nguy hiểm ở nhiệt độ thấp nhất, được xác định như trong Bảng 3 và theo phương pháp nêu tại Điều 7.6, TCVN 7161-1.
Nồng độ thiết kế được quy định cho các khu vực nguy hiểm có liên quan nêu trong Bảng 4 đến Bảng 6, bao gồm hệ số an toàn tối thiểu bằng 1,3 lần nồng độ dập tắt.
Nên lưu ý tăng hệ số này cho các khu vực nguy hiểm cụ thể, đồng thời tham vấn ý kiến của các cơ quan chức năng.

CHÚ THÍCH:
X nhiệt độ, °C
Y áp suất, bar
Hình 1 - Đồ thị áp suất nhiệt độ đối với IG-541 được tăng áp đến 150bar, 200 bar và 300 bar tại 15°C
7 Đặc tính môi trường
Bình chữa cháy IG-541 là khí trơ và không có GWP và ODP bằng không.
MỤC LỤC
Lời nói đầu
1 Phạm vi áp dụng
2 Tài liệu viên dẫn
3 Thuật ngữ và định nghĩa
4 Đặc tính và sử dụng
5 An toàn cho người
6 Thiết kế hệ thống
7 Đặc tính môi trường
Bạn chưa Đăng nhập thành viên.
Đây là tiện ích dành cho tài khoản thành viên. Vui lòng Đăng nhập để xem chi tiết. Nếu chưa có tài khoản, vui lòng Đăng ký tại đây!