- Tổng quan
- Nội dung
- VB gốc
- Tiếng Anh
- Hiệu lực
- VB liên quan
- Lược đồ
-
Nội dung hợp nhất
Tính năng này chỉ có tại LuatVietnam.vn. Nội dung hợp nhất tổng hợp lại tất cả các quy định còn hiệu lực của văn bản gốc và các văn bản sửa đổi, bổ sung, đính chính... trên một trang. Việc hợp nhất văn bản gốc và những văn bản, Thông tư, Nghị định hướng dẫn khác không làm thay đổi thứ tự điều khoản, nội dung.
Khách hàng chỉ cần xem Nội dung hợp nhất là có thể nắm bắt toàn bộ quy định hiện hành đang áp dụng, cho dù văn bản gốc đã qua nhiều lần chỉnh sửa, bổ sung.
- Tải về
Thông tư 26/2009/TT-BTNMT của Bộ Tài nguyên và Môi trường quy định về Định mức kinh tế - kỹ thuật điều tra, đánh giá tài nguyên nước
| Cơ quan ban hành: | Bộ Tài nguyên và Môi trường |
Số công báo:
Số công báo là mã số ấn phẩm được đăng chính thức trên ấn phẩm thông tin của Nhà nước. Mã số này do Chính phủ thống nhất quản lý.
|
Đã biết
|
| Số hiệu: | 26/2009/TT-BTNMT | Ngày đăng công báo: |
Đã biết
|
| Loại văn bản: | Thông tư | Người ký: | Nguyễn Thái Lai |
|
Ngày ban hành:
Ngày ban hành là ngày, tháng, năm văn bản được thông qua hoặc ký ban hành.
|
30/11/2009 |
Ngày hết hiệu lực:
Ngày hết hiệu lực là ngày, tháng, năm văn bản chính thức không còn hiệu lực (áp dụng).
|
Đã biết
|
|
Áp dụng:
Ngày áp dụng là ngày, tháng, năm văn bản chính thức có hiệu lực (áp dụng).
|
Đã biết
|
Tình trạng hiệu lực:
Cho biết trạng thái hiệu lực của văn bản đang tra cứu: Chưa áp dụng, Còn hiệu lực, Hết hiệu lực, Hết hiệu lực 1 phần; Đã sửa đổi, Đính chính hay Không còn phù hợp,...
|
Đã biết
|
| Lĩnh vực: | Tài nguyên-Môi trường , Khoa học-Công nghệ |
TÓM TẮT THÔNG TƯ 26/2009/TT-BTNMT
Thông tư 26/2009/TT-BTNMT: Định mức kinh tế - kỹ thuật điều tra, đánh giá tài nguyên nước
Thông tư số 26/2009/TT-BTNMT được Bộ Tài nguyên và Môi trường ban hành ngày 30/11/2009 và có hiệu lực từ ngày 15/01/2010. Thông tư này quy định về định mức kinh tế - kỹ thuật cho việc điều tra, đánh giá tài nguyên nước, áp dụng thống nhất trên toàn quốc.
Định mức kinh tế - kỹ thuật này bao gồm các hao phí lao động, vật liệu, dụng cụ và máy móc cần thiết để thực hiện các công việc điều tra, đánh giá tài nguyên nước. Các định mức này được xây dựng dựa trên yêu cầu kỹ thuật và quy trình thực hiện hiện tại, đồng thời có tính đến việc áp dụng các tiến bộ kỹ thuật mới.
Thông tư quy định chi tiết các công việc điều tra, đánh giá tài nguyên nước mặt và nước dưới đất với các tỷ lệ bản đồ khác nhau như 1:200.000, 1:100.000, 1:50.000 và 1:25.000. Định mức này là cơ sở để xây dựng đơn giá và dự toán cho các dự án điều tra, đánh giá tài nguyên nước tại các lưu vực sông, vùng lãnh thổ hoặc đơn vị hành chính.
Các cơ quan, tổ chức và cá nhân có liên quan, bao gồm Bộ trưởng, Thủ trưởng cơ quan ngang Bộ, Chủ tịch Ủy ban nhân dân các tỉnh, thành phố trực thuộc Trung ương, và các đơn vị thuộc Bộ Tài nguyên và Môi trường, chịu trách nhiệm thi hành Thông tư này. Thông tư cũng quy định các hệ số điều chỉnh để áp dụng cho các điều kiện khác nhau trong quá trình điều tra, đánh giá tài nguyên nước.
Xem chi tiết Thông tư 26/2009/TT-BTNMT có hiệu lực kể từ ngày 15/01/2010
Tải Thông tư 26/2009/TT-BTNMT
THÔNG TƯ
CỦA BỘ TÀI NGUYÊN VÀ MÔI TRƯỜNG SỐ 26/2009/TT-BTNMT
NGÀY 30 THÁNG 11 NĂM 2009 QUY ĐỊNH VỀ ĐỊNH MỨC
KINH TẾ - KỸ THUẬT ĐIỀU TRA, ĐÁNH GIÁ TÀI NGUYÊN NƯỚC
BỘ TRƯỞNG BỘ TÀI NGUYÊN VÀ MÔI TRƯỜNG
Căn cứ Luật Tài nguyên nước ngày 20 tháng 5 năm 1998;
Căn cứ Nghị định số 25/2008/NĐ-CP ngày 04 tháng 3 năm 2008 của Chính phủ quy định chức năng, nhiệm vụ, quyền hạn và cơ cấu tổ chức của Bộ Tài nguyên và Môi trường;
Theo đề nghị của Cục trưởng Cục Quản lý tài nguyên nước, Vụ trưởng Vụ Kế hoạch và Vụ trưởng Vụ Pháp chế,
QUY ĐỊNH:
Điều 1. Ban hành kèm theo Thông tư này Định mức kinh tế - kỹ thuật điều tra, đánh giá tài nguyên nước.
Điều 2. Định mức kinh tế - kỹ thuật điều tra, đánh giá tài nguyên nước được áp dụng thống nhất trong cả nước và có hiệu lực thi hành kể từ ngày 15 tháng 01 năm 2010.
Điều 3. Bộ trưởng, Thủ trưởng cơ quan ngang Bộ, cơ quan thuộc Chính phủ, Chủ tịch Uỷ ban nhân dân các tỉnh, thành phố trực thuộc Trung ương, Cục trưởng Cục Quản lý tài nguyên nước, Thủ trưởng các đơn vị thuộc Bộ và các tổ chức, cá nhân có liên quan chịu trách nhiệm thi hành Thông tư này.
|
Nơi nhận: - Như Điều 3; |
KT. BỘ TRƯỞNG |
ĐỊNH MỨC KINH TẾ - KỸ THUẬT
ĐIỀU TRA, ĐÁNH GIÁ TÀI NGUYÊN NƯỚC
(Ban hành kèm theo Thông tư số 26/2009/TT-BTNMT ngày 30 tháng 11 năm 2009 của Bộ Tài nguyên và Môi trường)
Phần I
QUY ĐỊNH CHUNG
1. Định mức kinh tế - kỹ thuật điều tra, đánh giá tài nguyên nước là định mức về hao phí lao động, hao phí vật liệu và định mức sử dụng dụng cụ và máy móc, thiết bị để thực hiện một khối lượng công việc nhất định. Định mức kinh tế - kỹ thuật được xây dựng phù hợp với yêu cầu kỹ thuật, quy trình thực hiện trong điều kiện tổ chức và kỹ thuật hiện tại của lĩnh vực tài nguyên nước thuộc Bộ Tài nguyên và Môi trường, đồng thời có tính đến việc áp dụng những tiến bộ kỹ thuật mới.
2. Định mức kinh tế - kỹ thuật điều tra, đánh giá tài nguyên nước là căn cứ để xây dựng đơn giá và dự toán cho việc điều tra, đánh giá tài nguyên nước cho một lưu vực sông, vùng lãnh thổ hoặc một đơn vị hành chính (sau đây gọi tắt là vùng điều tra, đánh giá).
3. Định mức kinh tế - kỹ thuật điều tra, đánh giá tài nguyên nước áp dụng cho các công việc sau:
3.1. Điều tra, đánh giá tài nguyên nước mặt, gồm:
a) Điều tra, đánh giá tài nguyên nước mặt tương ứng với bản đồ tỷ lệ (sau đây gọi tắt là tỷ lệ) 1:200.000;
b) Điều tra, đánh giá tài nguyên nước mặt tỷ lệ 1:100.000;
c) Điều tra, đánh giá tài nguyên nước mặt tỷ lệ 1:50.000;
d) Điều tra, đánh giá tài nguyên nước mặt tỷ lệ 1:25.000.
3.2. Điều tra, đánh giá tài nguyên nước dưới đất, gồm:
a) Điều tra, đánh giá tài nguyên nước dưới đất tỷ lệ 1:200.000;
b) Điều tra, đánh giá tài nguyên nước dưới đất tỷ lệ 1:100.000;
c) Điều tra, đánh giá tài nguyên nước dưới đất tỷ lệ 1:50.000;
d) Điều tra, đánh giá tài nguyên nước dưới đất tỷ lệ 1:25.000.
4. Các định mức quy định tại Phần II của Thông tư này là toàn bộ hao phí cho việc thực hiện các bước công việc điều tra, đánh giá tài nguyên nước theo yêu cầu kỹ thuật, trình tự thực hiện các nội dung công việc cụ thể quy định tại Phần III của Thông tư này.
5. Định mức kinh tế - kỹ thuật bao gồm các thành phần sau:
5.1. Nội dung công việc: bao gồm các thao tác chính, thao tác phụ để thực hiện bước công việc.
5.2. Các công việc không tính trong định mức: là các công việc không được tính hao phí lao động, vật liệu, dụng cụ và máy móc thiết bị trong định mức này.
5.3. Điều kiện áp dụng và các hệ số điều chỉnh:
a) Điều kiện áp dụng: là tổ hợp các yếu tố chính gây ảnh hưởng đến việc thực hiện của bước công việc làm căn cứ để xây dựng tổ hợp điều kiện chuẩn. Các điều kiện của vùng chuẩn được quy định riêng cho từng công việc tại mục 3, Phần I của Thông tư này;
b) Hệ số điều chỉnh: là hệ số được xây dựng tương ứng với mỗi loại điều kiện chuẩn trong điều kiện áp dụng. Trong trường hợp điều tra, đánh giá tài nguyên nước với điều kiện áp dụng khác với điều kiện chuẩn thì định mức được điều chỉnh theo các hệ số điều chỉnh tương ứng.
5.4. Định biên lao động: bao gồm số lượng, cơ cấu thành phần, trình độ chuyên môn của một nhóm lao động được tổ chức để thực hiện từng bước công việc cụ thể căn cứ vào tính chất, mức độ phức tạp, yêu cầu về chuyên môn của từng nhóm công việc chính.
5.5. Định mức lao động công nghệ (sau đây gọi tắt là định mức lao động): quy định thời gian lao động trực tiếp sản xuất một đơn vị sản phẩm hoặc hoàn thành một bước công việc chính, đơn vị tính là công nhóm/đơn vị sản phẩm. Đối với những công việc bình thường, một công làm việc tính là 8 giờ.
5.6. Định mức sử dụng vật liệu, dụng cụ và máy móc, thiết bị:
a) Định mức sử dụng vật liệu: là số lượng vật liệu cần thiết để sản xuất ra một đơn vị sản phẩm (thực hiện một công việc); đơn vị tính theo đơn vị của từng loại vật liệu/đơn vị sản phẩm; định mức vật liệu phụ được tính bằng tỷ lệ (%) định mức vật liệu chính trong bảng định mức vật liệu;
b) Định mức sử dụng dụng cụ và máy móc, thiết bị: là thời gian sử dụng dụng cụ và máy móc, thiết bị cần thiết để sản xuất ra một đơn vị sản phẩm (thực hiện một công việc); đơn vị tính là ca/đơn vị sản phẩm; thời hạn sử dụng dụng cụ và máy móc, thiết bị tính là tháng; định mức dụng cụ phụ được tính bằng tỷ lệ (%) định mức dụng cụ chính trong bảng định mức dụng cụ;
c) Điện năng tiêu thụ của các dụng cụ, máy móc, thiết bị dùng điện được tính trên cơ sở công suất và định mức dụng cụ, thiết bị được tính theo công thức:
Định mức điện = (công suất thiết bị/giờ × 8 giờ làm việc × số ca sử dụng máy móc, thiết bị) + 5% hao hụt.
6. Cách tính định mức:
6.1. Điều tra, đánh giá tài nguyên nước mặt:
a) Điều kiện áp dụng:
Định mức được tính cho vùng chuẩn có điều kiện áp dụng như sau:
- Vùng điều tra, đánh giá có diện tích 100 km2;
- Vùng đồng bằng, điều kiện đi lại thuận lợi;
- Mật độ sông suối trung bình của toàn vùng từ 0,5-< 1,0 km/km2, sông suối có chiều dài 10km trở lên và có dòng chảy liên tục;
- Vùng có 1 LVS, không có mối quan hệ liên tỉnh (nếu vùng điều tra là liên tỉnh), liên quốc gia (nếu vùng điều tra bị ảnh hưởng bởi lưu vực sông liên quốc gia);
- Toàn bộ diện tích của vùng điều tra, đánh giá thuộc phạm vi của một đơn vị hành chính cấp tỉnh (nếu vùng điều tra là liên tỉnh) hoặc một đơn vị hành chính cấp huyện (nếu vùng điều tra là nội tỉnh);
- Vùng không bị ảnh hưởng triều.
b) Cách tính mức:
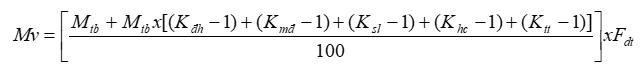
Khi vùng điều tra, đánh giá có các điều kiện khác với các quy định về điều kiện áp dụng được tính cho vùng chuẩn thì định mức cho vùng cụ thể sẽ được tính theo công thức sau:

Trong đó:
- MV là mức (lao động, vật liệu, dụng cụ và máy móc, thiết bị) điều tra, đánh giá của phạm vi vùng có các hệ số điều chỉnh;
- Mtb là mức (lao động, vật liệu, dụng cụ và máy móc, thiết bị) điều tra, đánh giá của vùng có điều kiện chuẩn;
- Kđh là hệ số điều chỉnh mức độ phức tạp của điều kiện địa hình;
- Kmđ là hệ số điều chỉnh mức độ phức tạp của mật độ sông suối;
- Ksl là hệ số điều chỉnh số lượng lưu vực sông;
- Khc là hệ số điều chỉnh số lượng đơn vị hành chính;
- Ktt là hệ số điều chỉnh theo mức ảnh hưởng triều;
- Fdt là diện tích vùng điều tra, đánh giá (km2).
c) Các hệ số điều chỉnh:
Bảng 1. Hệ số điều chỉnh mức độ phức tạp của điều kiện địa hình (Kđh)
|
TT |
Đặc điểm của vùng |
Kđh |
|
1 |
Vùng đồng bằng |
1,00 |
|
2 |
Vùng trung du |
1,20 |
|
3 |
Vùng miền núi, vùng sâu, vùng xa |
1,40 |
Bảng 2. Hệ số điều chỉnh mức độ phức tạp theo mật độ sông suối (Kmđ)
|
TT |
Mật độ sông suối |
Kmđ |
|
1 |
Vùng có mật độ sông suối < 0,5 km/km2 |
0,85 |
|
2 |
Vùng có mật độ sông suối từ 0,5 - < 1,0 km/km2 |
1,00 |
|
3 |
Vùng có mật độ sông suối từ 1,0 - < 1,2 km/km2 |
1,10 |
|
4 |
Vùng có mật độ sông suối từ 1,2 - < 1,5 km/km2 |
1,20 |
|
5 |
Vùng có mật độ sông suối từ 1,5 - < 2,0 km/km2 |
1,35 |
|
6 |
Vùng có mật độ sông suối ≥ 2,0 km/km2 |
1,50 |
Bảng 3. Hệ số điều chỉnh theo số lượng lưu vực sông (Ksl)
|
TT |
Số lượng lưu vực sông và mối quan hệ liên tỉnh, liên quốc gia |
Ksl |
|
1 |
Vùng có 1 LVS, không có mối quan hệ liên tỉnh, liên quốc gia |
1,00 |
|
2 |
Vùng có 2 LVS, không có mối quan hệ liên tỉnh, liên quốc gia |
1,10 |
|
3 |
Vùng có > 2 LVS, không có mối quan hệ liên tỉnh, liên quốc gia |
1,20 |
|
4 |
Vùng có LVS có mối quan hệ liên tỉnh, liên quốc gia |
1,30 |
Bảng 4. Hệ số điều chỉnh theo số đơn vị hành chính (Khc)
|
TT |
Số lượng đơn vị hành chính (cấp tỉnh hoặc cấp huyện) |
Khc |
|
1 |
Một đơn vị |
1,00 |
|
2 |
Từ 2 đến 5 |
1,05 |
|
3 |
Từ 6 đến 10 |
1,10 |
|
4 |
Từ 11 đến 15 |
1,20 |
|
5 |
Trên 15 |
1,30 |
Bảng 5. Hệ số điều chỉnh theo mức ảnh hưởng triều (Ktt)
|
TT |
Đặc điểm vùng sông |
Ktt |
|
1 |
Vùng không ảnh hưởng triều |
1,00 |
|
2 |
Vùng ảnh hưởng triều |
1,40 |
6.2. Điều tra, đánh giá tài nguyên nước dưới đất:
a) Điều kiện áp dụng:
Định mức được tính cho vùng chuẩn có điều kiện áp dụng như sau:
- Vùng điều tra, đánh giá có diện tích 100 km2;
- Vùng đồng bằng, điều kiện đi lại thuận lợi;
- Toàn bộ diện tích của vùng điều tra, đánh giá thuộc phạm vi của một đơn vị hành chính cấp tỉnh (nếu vùng điều tra là liên tỉnh) hoặc một đơn vị hành chính cấp huyện (nếu vùng điều tra là nội tỉnh);
- Vùng điều tra, đánh giá có mức độ phức tạp của cấu trúc địa chất, địa chất thủy văn thuộc loại trung bình.
b) Cách tính mức:
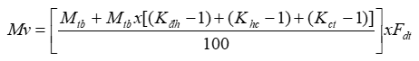
Khi vùng điều tra, đánh giá có các điều kiện khác với các quy định về điều kiện áp dụng được tính cho vùng chuẩn thì định mức cho vùng cụ thể sẽ được tính theo công thức sau:

Trong đó:
- MV là mức (lao động, vật liệu, dụng cụ và máy móc, thiết bị) điều tra, đánh giá của phạm vi vùng có các hệ số điều chỉnh;
- Mtb là mức (lao động, vật liệu, dụng cụ và máy móc, thiết bị) điều tra, đánh giá của vùng có điều kiện chuẩn;
- Kđh là hệ số điều chỉnh mức độ phức tạp của điều kiện địa hình;
- Khc là hệ số điều chỉnh số lượng đơn vị hành chính;
- Kct là hệ số điều chỉnh theo mức độ phức tạp của cấu trúc địa chất, địa chất thủy văn;
- Fdt là diện tích vùng điều tra, đánh giá (km2).
c) Các hệ số điều chỉnh:
Bảng 6. Hệ số điều chỉnh mức độ phức tạp của điều kiện địa hình (Kđh)
|
TT |
Đặc điểm của vùng |
Kđh |
|
1 |
Vùng đồng bằng |
1,00 |
|
2 |
Vùng trung du |
1,20 |
|
3 |
Vùng miền núi, vùng sâu, vùng xa |
1,40 |
Bảng 7. Hệ số điều chỉnh theo số đơn vị hành chính (Khc)
|
TT |
Số lượng đơn vị hành chính (cấp tỉnh hoặc cấp huyện) |
Khc |
|
1 |
Một đơn vị |
1,00 |
|
2 |
Từ 2 đến 5 |
1,05 |
|
3 |
Từ 6 đến 10 |
1,10 |
|
4 |
Từ 11 đến 15 |
1,20 |
|
5 |
Trên 15 |
1,30 |
Bảng 8. Hệ số điều chỉnh theo mức độ phức tạp của cấu trúc địa chất, địa chất thủy văn (Kct)
|
TT |
Cấu trúc địa chất thủy văn *[1] |
Kct |
|
1 |
Đơn giản |
0,75 |
|
2 |
Trung bình |
1,00 |
|
3 |
Phức tạp |
1,20 |
[1] Các mức độ phức tạp của cấu trúc địa chất, địa chất thuỷ văn được quy định tại Phần III, Phụ lục số 03 của Thông tư này
7. Cơ sở xây dựng định mức kinh tế - kỹ thuật:
- Luật Tài nguyên nước ngày 20 tháng 5 năm 1998;
- Nghị định số 149/2004/NĐ-CP ngày 27 tháng 7 năm 2004 của Chính phủ về việc cấp phép thăm dò, khai thác, sử dụng tài nguyên nước và xả nước thải vào nguồn nước;
- Nghị định số 120/2008/NĐ-CP ngày 01 tháng 12 năm 2008 của Chính phủ về quản lý lưu vực sông;
- Nghị định số 112/2008/NĐ-CP ngày 20 tháng 10 năm 2008 của Chính phủ về quản lý, bảo vệ, khai thác tổng hợp tài nguyên và môi trường các hồ chứa thủy điện, thủy lợi;
- Nghị định số 42/2009/NĐ-CP ngày 07 tháng 5 năm 2009 của Chính phủ về việc phân loại đô thị và cấp quản lý đô thị;
- Nghị định số 204/2004/NĐ-CP ngày 14 tháng 12 năm 2004 của Chính phủ về Chế độ tiền lương đối với cán bộ, công chức, viên chức và lực lượng vũ trang;
- Nghị định số 205/2004/NĐ-CP ngày 14 tháng 12 năm 2004 của Chính phủ Quy định hệ thống thang lương, bảng lương và chế độ phụ cấp lương trong các công ty nhà nước;
- Quyết định số 32/2008/QĐ-BTC ngày 29 tháng 5 năm 2008 của Bộ Tài chính quy định về việc ban hành Chế độ quản lý, tính hao mòn tài sản cố định trong các cơ quan Nhà nước, đơn vị sự nghiệp công lập và các tổ chức có sử dụng ngân sách nhà nước;
- Quyết định số 13/2007/QĐ-BTNMT ngày 04 tháng 9 năm 2007 của Bộ Tài nguyên và Môi trường Quy định về điều tra, đánh giá nước dưới đất;
- Quyết định số 15/2008/QĐ-BTNMT ngày 31 tháng 12 năm 2008 của Bộ Tài nguyên và Môi trường về bảo vệ tài nguyên nước dưới đất;
- Quyết định số 06/2008/QĐ-BTNMT ngày 10 tháng 9 năm 2008 của Bộ Tài nguyên và Môi trường về việc ban hành định mức kinh tế - kỹ thuật các công trình địa chất;
- Quyết định số 54/2000/QĐ-BCN ngày 14 tháng 09 năm 2000 của Bộ Công nghiệp về việc ban hành Quy chế lập bản đồ địa chất thủy văn tỷ lệ 1:50.000 (1:25.000);
- Hướng dẫn của Bộ Tài nguyên và Môi trường tại Văn bản số 1607/BTNMT- KHTC ngày 18 tháng 4 năm 2006 về việc xây dựng định mức kinh tế - kỹ thuật;
- Quy định hiện hành của Nhà nước về quản lý, sử dụng công cụ, dụng cụ, máy móc, thiết bị, bảo hộ lao động cho người sản xuất;
- Quy chế, quy định, quy trình kỹ thuật – công nghệ và hướng dẫn kỹ thuật thi công và an toàn lao động hiện hành;
- Trang bị kỹ thuật hiện đang sử dụng phổ biến trong ngành Tài nguyên Môi trường.
8. Quy định những chữ viết tắt trong định mức:
|
TT |
Nội dung viết tắt |
Viết tắt |
|
1 |
Bảo hộ lao động |
BHLĐ |
|
2 |
Địa chất thuỷ văn |
ĐCTV |
|
3 |
Điều tra, đánh giá tài nguyên nước dưới đất |
ĐTĐGTNNDĐ |
|
4 |
Điều tra, đánh giá tài nguyên nước mặt |
ĐTĐGTNNM |
|
5 |
Định mức lao động |
ĐMLĐ |
|
6 |
Đơn vị tính |
ĐVT |
|
7 |
Kinh tế - xã hội |
KT-XH |
|
8 |
Kỹ sư bậc 1 |
KS1 |
|
9 |
Kỹ sư bậc 2 |
KS2 |
|
10 |
Kỹ sư bậc 3 |
KS3 |
|
11 |
Kỹ sư bậc 5 |
KS5 |
|
12 |
Kỹ sư bậc 7 |
KS7 |
|
13 |
Kỹ sư chính bậc 1 |
KSC1 |
|
14 |
Lái xe bậc 5 |
LX5 |
|
15 |
Lưu vực sông |
LVS |
|
16 |
Nước dưới đất |
NDĐ |
|
17 |
Nước mặt |
NM |
|
18 |
Số thứ tự |
TT |
|
19 |
Tài nguyên nước |
TNN |
|
20 |
Tài nguyên nước dưới đất |
TNNDĐ |
|
21 |
Tài nguyên nước mặt |
TNNM |
|
22 |
Thời hạn sử dụng dụng cụ, máy móc, thiết bị |
Thời hạn (tháng) |
Phần II
ĐỊNH MỨC KINH TẾ - KỸ THUẬT ĐIỀU TRA, ĐÁNH GIÁ TÀI NGUYÊN NƯỚC
Chương I
ĐIỀU TRA, ĐÁNH GIÁ TÀI NGUYÊN NƯỚC MẶT
A. TỶ LỆ 1:200.000
I. NỘI DUNG CÔNG VIỆC:
1. Công tác ngoại nghiệp:
1.1. Chuẩn bị:
- Nhận nhiệm vụ điều tra thực địa;
- Xác định nội dung, đối tượng, phạm vi điều tra thực địa: các sông có chiều dài ≥ 40km; các hồ chứa có dung tích ≥ 1triệu m3;
- Xác định tuyến điều tra, đánh giá trên nền bản đồ địa hình tỷ lệ 1:200.000;
- Lập kế hoạch, phương án, lộ trình đi điều tra tại thực địa;
- Chuẩn bị biểu mẫu, vật liệu, dụng cụ và máy móc, thiết bị phục vụ điều tra;
- Liên hệ địa phương và các công tác chuẩn bị khác.
1.2. Tiến hành điều tra thực địa:
- Điều tra, thu thập, cập nhật thông tin, dữ liệu về đặc điểm, tình hình tài nguyên nước mặt tại các cơ quan ở địa phương vùng điều tra;
- Đi lộ trình điều tra tổng hợp theo các tuyến đã xác định dọc hai bên bờ sông, suối, bãi sông và tuyến vuông góc với sông, suối để quan sát, mô tả, chụp ảnh, sơ họa, khoanh vùng, thu thập thông tin, dữ liệu về đặc điểm, đặc trưng hình thái sông, đặc điểm hồ; các yếu tố ảnh hưởng đến tài nguyên nước mặt và xác định các đối tượng, khu vực trọng điểm cần điều tra, đánh giá chi tiết;
- Tiến hành điều tra chi tiết tại các vùng, khu vực, đối tượng trọng điểm;
- Lấy và bảo quản mẫu nước phân tích trong phòng thí nghiệm;
- Chỉnh lý số liệu điều tra thực địa, bảo dưỡng thiết bị máy móc hàng ngày.
1.3. Tổng hợp, chỉnh lý, hoàn thiện kết quả điều tra thực địa và giao nộp sản phẩm:
- Chỉnh lý, hoàn thiện các thông tin, dữ liệu điều tra thực địa;
- Nhập kết quả, thông tin, dữ liệu điều tra thực địa;
- Xử lý, chỉnh lý các kết quả điều tra;
- Tổng hợp kết quả điều tra thực địa, xây dựng sơ đồ, biểu bảng thống kê;
- Xây dựng báo cáo kết quả điều tra thực địa;
- Hoàn chỉnh hồ sơ, tài liệu kết quả điều tra thực địa và bàn giao sản phẩm:
+ Báo cáo kết quả điều tra thực địa;
+ Sơ đồ tài liệu thực tế của các tuyến và vị trí các điểm điều tra trên nền bản đồ địa hình, tỷ lệ 1:200.000;
+ Các bảng tổng hợp, thống kê kết quả điều tra tổng hợp theo từng lưu vực sông, đơn vị hành chính;
+ Các bảng tổng hợp, thống kê kết quả điều tra chi tiết ở từng đoạn sông, hồ và công trình khai thác, sử dụng đối với từng sông, hồ theo từng lưu vực sông, theo đơn vị hành chính;
+ Bảng thống kê danh mục các sông và các điểm, khu vực đã điều tra tổng hợp;
+ Bảng thống kê danh mục đoạn sông, hồ chứa, ao hồ tự nhiên và các công trình khai thác, sử dụng nước trên sông đã điều tra chi tiết;
+ Phiếu điều tra, sổ nhật ký điều tra thực địa và các tài liệu điều tra thực địa khác.
2. Công tác nội nghiệp:
2.1. Thu thập, rà soát thông tin, dữ liệu và triển khai công tác điều tra, đánh giá tài nguyên nước mặt:
- Nghiên cứu đề cương, hồ sơ dự án đã được phê duyệt;
- Thu thập các thông tin, dữ liệu liên quan đến vùng điều tra;
- Rà soát, thống kê, đánh giá tính đầy đủ, mức độ tin cậy của các thông tin, dữ liệu đã thu thập;
- Thống kê, lập danh mục các thông tin, dữ liệu đã thu thập;
- Rà soát, lập kế hoạch triển khai dự án;
- Giao nhiệm vụ cho các nhóm thực hiện.
2.2. Tổng hợp, chỉnh lý, xử lý thông tin, dữ liệu thu thập và kết quả điều tra thực địa theo các nội dung đánh giá:
- Rà soát, phân loại, các thông tin, dữ liệu thu thập, điều tra thực địa phục vụ cho việc đánh giá;
- Đánh giá độ tin cậy của các thông tin, dữ liệu đã thu thập, điều tra và lựa chọn, lập danh mục các thông tin, dữ liệu phục vụ cho việc đánh giá theo nội dung yêu cầu;
- Nhập số liệu vào máy tính, kiểm tra và đồng bộ hóa thông tin, dữ liệu;
- Xử lý, tổng hợp thông tin, dữ liệu và xây dựng các biểu, bảng, đồ thị;
- Lập các sơ đồ điều tra tài nguyên nước mặt.
2.3. Phân tích, đánh giá hiện trạng, diễn biến tài nguyên nước mặt:
- Phân tích, đánh giá các đặc trưng hình thái sông, lưu vực sông, đặc điểm hồ chứa, ao hồ tự nhiên thuộc đối tượng điều tra theo các nhóm thông tin sau:
+ Các thông tin chung về số lượng, phạm vi phân bố, hướng chảy, diện tích, chiều dài, độ rộng, độ dốc, mật độ lưới sông của lưu vực; mô đun dòng chảy;
+ Đặc trưng hình thái sông, lưu vực sông và các yếu tố liên quan, gồm: các thông số đặc trưng hình thái sông, lưu vực sông; các hiện tượng lũ, lũ quét; hiện trạng cạn kiệt, mất dòng, đổi dòng;
+ Đặc trưng của hồ chứa, ao hồ tự nhiên và các yếu tố liên quan, gồm: các thông số kỹ thuật của hồ chứa, các thông số đặc trưng của ao hồ tự nhiên; mục đích sử dụng, phạm vi cấp nước của hồ chứa, ao hồ tự nhiên; hiệu quả sử dụng của từng hồ chứa;
+ Đặc điểm các yếu tố tự nhiên và các ảnh hưởng đến chế độ dòng chảy như địa hình, thảm phủ thực vật, lớp phong hóa, hiện trạng sử dụng đất, các công trình khai thác, sử dụng nước mặt và các yếu tố khác.
- Phân tích, đánh giá đặc điểm, diễn biến của tài nguyên nước mưa theo lưu vực sông, đơn vị hành chính và vùng điều tra về lượng mưa tháng, mùa, năm; phân bố lượng mưa theo thời gian và không gian; ảnh hưởng của lượng mưa đến chế độ dòng chảy;
- Phân tích, đánh giá đặc điểm, diễn biến số lượng tài nguyên nước mặt theo lưu vực sông, đơn vị hành chính và vùng điều tra, gồm:
+ Đánh giá tổng lượng nước trung bình;
+ Xác định tổng lượng nước tương ứng với các mức bảo đảm khác nhau;
+ Đặc điểm, đặc trưng phân bố nguồn nước sông theo không gian;
+ Đặc điểm phân phối trong năm theo các tháng, mùa lũ, mùa kiệt;
+ Biến đổi tổng lượng nước trong thời kỳ nhiều năm;
+ Các đặc trưng dòng chảy trong mùa kiệt, tình hình hạn hán, thiếu nước trên các lưu vực sông;
+ Đặc điểm, đặc trưng dòng chảy lũ: lưu lượng lũ lớn nhất, mô đun dòng chảy đỉnh lũ;
+ Đặc điểm nguồn nước của các hồ chứa; hồ, ao tự nhiên.
- Phân tích, đánh giá chất lượng nước mặt theo lưu vực sông, đơn vị hành chính và vùng điều tra, gồm:
+ Đánh giá khái quát chất lượng nước theo các mục đích sử dụng khác nhau;
+ Đánh giá khái quát tính chất vật lý, độ tổng khoáng hóa, hàm lượng các thành phần hoá học cơ bản; sự biến đổi của các đặc trưng chất lượng nước qua các thời kỳ;
+ Đặc điểm vùng triều, vùng ô nhiễm làm ảnh hưởng đến chất lượng các công trình khai thác chính;
+ Khoanh vùng chất lượng nước đáp ứng cho các mục đích sử dụng.
- Đánh giá khả năng khai thác, sử dụng tài nguyên nước mặt phục vụ cho các mục đích, gồm: sinh hoạt, sản xuất công nghiệp, canh tác nông nghiệp, nuôi trồng thủy sản, thủy điện, giao thông thủy, dịch vụ du lịch và các mục đích khác;
- Phân tích, đánh giá tổng hợp hiện trạng tài nguyên nước mặt và tác động của điều kiện tự nhiên, đặc điểm phát triển KT - XH để xác định các vấn đề nổi cộm liên quan đến tài nguyên nước mặt.
2.4. Chuẩn bị nội dung thông tin và biên tập các bản đồ:
a) Chuẩn bị nội dung thông tin cho các bản đồ:
- Bản đồ tài liệu thực tế tài nguyên nước mặt, tỷ lệ 1:200.000;
- Bản đồ tài nguyên nước mặt, tỷ lệ 1:200.000;
- Bản đồ hiện trạng chất lượng nước mặt, tỷ lệ 1:200.000.
b) Biên tập các bản đồ.
2.5. Tổng hợp, xây dựng hồ sơ sản phẩm kết quả điều tra, đánh giá:
a) Báo cáo kết quả điều tra thực địa;
b) Báo cáo tổng hợp kết quả điều tra, đánh giá tài nguyên nước mặt;
c) Báo cáo tóm tắt;
d) Các báo cáo chuyên đề:
- Đặc điểm hệ thống sông, hồ;
- Đặc điểm tài nguyên nước mưa;
- Đặc điểm, diễn biến số lượng tài nguyên nước mặt;
- Đặc điểm, diễn biến chất lượng nước mặt;
- Khả năng khai thác, sử dụng tài nguyên nước mặt;
- Các vấn đề nổi cộm liên quan đến tài nguyên nước mặt.
đ) Các bản đồ:
- Bản đồ tài liệu thực tế tài nguyên nước mặt, tỷ lệ 1: 200.000;
- Bản đồ tài nguyên nước mặt, tỷ lệ 1: 200.000;
- Bản đồ hiện trạng chất lượng nước mặt, tỷ lệ 1: 200.000.
e) Phụ lục: các bảng tổng hợp, thống kê kết quả điều tra tổng hợp theo từng lưu vực sông, đơn vị hành chính; bảng thống kê danh mục các sông và các điểm, khu vực đã điều tra tổng hợp; danh mục đoạn sông, hồ, ao và công trình khai thác, sử dụng nước đã điều tra chi tiết và thông tin khác.
2.6. Hội thảo, kiểm tra, nghiệm thu:
- Hoàn thiện báo cáo tổng hợp, báo cáo tóm tắt, các báo cáo chuyên đề, các bản đồ;
- Lấy ý kiến chuyên gia, kiểm tra;
- Chuẩn bị tài liệu, báo cáo và các nội dung liên quan phục vụ hội thảo;
- Chỉnh sửa, hoàn thiện hồ sơ sản phẩm dự án.
2.7. In, nhân sao, lưu trữ và giao nộp sản phẩm:
- Ghi đĩa CD, nhãn đĩa sản phẩm, nhân bộ;
- In ấn sản phẩm báo cáo, bản đồ, nhân bộ;
- Vận chuyển, giao nộp sản phẩm.
(Chi tiết nội dung công việc của từng bước theo Phần III, Phụ lục số 01 của Thông tư này).
II. NHỮNG CÔNG VIỆC CHƯA TÍNH TRONG ĐỊNH MỨC:
- Khảo sát, đo đạc mực nước, lưu lượng, mặt cắt sông, suối;
- Thuê phương tiện lấy mẫu chất lượng nước; vận chuyển mẫu phân tích chất lượng nước từ hiện trường về phòng thí nghiệm;
- Lập mô hình dòng chảy nước mặt;
- Phân tích các chỉ tiêu chất lượng nước trong phòng thí nghiệm;
- Vận chuyển nhân công, vật liệu, dụng cụ và máy móc, thiết bị từ trụ sở đến hiện trường và ngược lại.
III. ĐIỀU KIỆN ÁP DỤNG VÀ CÁC HỆ SỐ HIỆU CHỈNH:
1. Điều kiện áp dụng:
Định mức điều tra, đánh giá tài nguyên nước mặt tỷ lệ 1:200.000 được tính cho vùng chuẩn có điều kiện áp dụng được quy định tại điểm a, mục 6.1, Phần I của Thông tư này.
2. Các hệ số điều chỉnh:
Khi vùng điều tra, đánh giá khác với các quy định về điều kiện áp dụng nêu trên, thì áp dụng các hệ số điều chỉnh cho định mức lao động, định mức sử dụng vật liệu, dụng cụ và máy móc, thiết bị được quy định và hướng dẫn áp dụng tại điểm c, mục 6.1, Phần I của Thông tư này. Các hệ số điều chỉnh được áp dụng cho điều tra, đánh giá tài nguyên nước mặt tỷ lệ 1:200.000, gồm:
- Hệ số điều chỉnh theo mức độ khó khăn: Kđh, Kmđ, Ksl, Khc và Ktt;
- Hệ số điều chỉnh theo quy mô diện tích vùng điều tra, đánh giá Fdt.
IV. ĐỊNH BIÊN LAO ĐỘNG:
Bảng 9. Định biên lao động công tác ĐTĐGTNNM tỷ lệ 1:200.000
ĐVT: người/100km2
|
TT |
Nội dung công việc |
Định biên lao động |
|||||||
|
KSC1 |
KS7 |
KS5 |
KS3 |
KS2 |
KS1 |
LX5 |
Nhóm |
||
|
A |
Công tác ngoại nghiệp |
|
|
|
|
|
|
|
|
|
1 |
Chuẩn bị |
- |
1 |
3 |
3 |
2 |
1 |
1 |
11 |
|
2 |
Tiến hành điều tra thực địa |
- |
1 |
3 |
3 |
2 |
1 |
1 |
11 |
|
3 |
Tổng hợp, chỉnh lý, hoàn thiện kết quả điều tra thực địa và giao nộp sản phẩm |
- |
1 |
3 |
3 |
2 |
1 |
1 |
11 |
|
B |
Công tác nội nghiệp |
|
|
|
|
|
|
|
|
|
1 |
Thu thập, rà soát thông tin, dữ liệu và triển khai công tác ĐTĐGTNNM |
1 |
3 |
2 |
2 |
1 |
1 |
- |
10 |
|
2 |
Tổng hợp, chỉnh lý, xử lý thông tin, dữ liệu thu thập và kết quả điều tra thực địa theo các nội dung đánh giá |
1 |
3 |
2 |
2 |
1 |
1 |
- |
10 |
|
3 |
Phân tích, đánh giá hiện trạng, diễn biến tài nguyên nước mặt |
1 |
3 |
2 |
2 |
1 |
1 |
- |
10 |
|
4 |
Chuẩn bị nội dung thông tin và biên tập các bản đồ |
1 |
3 |
2 |
2 |
1 |
1 |
- |
10 |
|
5 |
Tổng hợp, xây dựng hồ sơ, sản phẩm kết quả điều tra, đánh giá |
1 |
3 |
2 |
2 |
1 |
1 |
- |
10 |
|
6 |
Hội thảo, kiểm tra, nghiệm thu |
1 |
3 |
2 |
2 |
1 |
1 |
- |
10 |
|
7 |
In, nhân sao, lưu trữ và giao nộp sản phẩm |
1 |
3 |
2 |
2 |
1 |
1 |
- |
10 |
V. ĐỊNH MỨC LAO ĐỘNG:
Bảng 10. Định mức lao động trong công tác ĐTĐGTNNM tỷ lệ 1:200.000
ĐVT: công nhóm/100km2
|
TT |
Nội dung công việc |
Định mức |
|
A |
Công tác ngoại nghiệp |
|
|
1 |
Chuẩn bị |
0,30 |
|
2 |
Tiến hành điều tra thực địa |
3,65 |
|
3 |
Tổng hợp, chỉnh lý, hoàn thiện kết quả điều tra thực địa và giao nộp sản phẩm |
0,88 |
|
B |
Công tác nội nghiệp |
|
|
1 |
Thu thập, rà soát thông tin, dữ liệu và triển khai công tác ĐTĐGTNNM |
0,12 |
|
2 |
Tổng hợp, chỉnh lý, xử lý thông tin, dữ liệu thu thập và kết quả điều tra thực địa theo các nội dung đánh giá |
0,21 |
|
3 |
Phân tích, đánh giá hiện trạng, diễn biến tài nguyên nước mặt |
1,47 |
|
4 |
Chuẩn bị nội dung thông tin và biên tập các bản đồ |
0,23 |
|
5 |
Tổng hợp, xây dựng hồ sơ, sản phẩm kết quả điều tra, đánh giá |
0,54 |
|
6 |
Hội thảo, kiểm tra, nghiệm thu |
0,06 |
|
7 |
In, nhân sao, lưu trữ và giao nộp sản phẩm |
0,06 |
VI. ĐỊNH MỨC SỬ DỤNG VẬT LIỆU, DỤNG CỤ VÀ MÁY MÓC, THIẾT BỊ:
1. Vật liệu:
Bảng 11. Định mức sử dụng vật liệu trong công tác ĐTĐGTNNM tỷ lệ 1:200.000
ĐVT: mức sử dụng/100km2
|
TT |
Danh mục vật liệu |
ĐVT |
Định mức |
|
|
Nội nghiệp |
Ngoại nghiệp |
|||
|
1 |
Bản đồ địa hình |
Mảnh |
0,2 |
0,2 |
|
2 |
Bóng đèn điện tròn 100W |
Cái |
1,2 |
1,2 |
|
3 |
Dầu Diezel |
Lít |
- |
1,5 |
|
4 |
Đĩa CD |
Cái |
2 |
1,2 |
|
5 |
Gáy xoắn khổ A4 |
Hộp |
0,06 |
0,01 |
|
6 |
Giấy A4 |
Gram |
1 |
0,25 |
|
7 |
Hộp đựng bút |
Hộp |
0,6 |
0,3 |
|
8 |
KhNu trang |
Cái |
- |
1,8 |
|
9 |
Mực in A0 |
Hộp |
0,03 |
- |
|
10 |
Mực in A3 |
Hộp |
0,06 |
- |
|
11 |
Mực in A3 màu |
Hộp |
0,03 |
- |
|
12 |
Mực in A4 |
Hộp |
0,15 |
0,01 |
|
13 |
Mực photocopy |
Hộp |
0,02 |
- |
|
14 |
Xăng |
Lít |
- |
8 |
|
15 |
Điện năng |
KW |
163,54 |
62,61 |
|
17 |
Vật liệu khác |
% |
7,16 |
7,28 |
2. Dụng cụ:
Bảng 12. Định mức sử dụng dụng cụ trong công tác ĐTĐGTNNM tỷ lệ 1:200.000
ĐVT: ca/100km2
|
TT |
Danh mục dụng cụ |
ĐVT |
Thời hạn (tháng) |
Định mức |
|
|
Nội nghiệp |
Ngoại nghiệp |
||||
|
1 |
Ba lô |
Cái |
24 |
- |
39,57 |
|
2 |
Bàn làm việc |
Cái |
96 |
26,16 |
9,89 |
|
3 |
Bình đựng nước uống |
Cái |
6 |
- |
39,57 |
|
4 |
Bộ lưu điện UPS |
Cái |
96 |
26,16 |
- |
|
5 |
Camera kỹ thuật số |
Cái |
60 |
2,18 |
9,89 |
|
6 |
Giầy BHLĐ |
Đôi |
6 |
- |
39,57 |
|
7 |
Máy Fax |
Cái |
60 |
6,54 |
- |
|
8 |
Máy GPS cầm tay |
Cái |
60 |
- |
9,89 |
|
9 |
Máy in A4 0,5Kw |
Cái |
60 |
6,54 |
- |
|
10 |
Máy in đen trắng A3 0,5Kw |
Cái |
60 |
6,54 |
- |
|
11 |
Máy scan A4 0,02Kw |
Cái |
60 |
6,54 |
- |
|
12 |
Máy tính 0,6Kw |
Cái |
60 |
26,16 |
- |
|
13 |
Mũ BHLĐ |
Cái |
12 |
- |
39,57 |
|
14 |
Ổ ghi CD 0,04 Kw |
Cái |
60 |
26,16 |
- |
|
15 |
Phao cứu sinh |
Chiếc |
24 |
- |
39,57 |
|
16 |
Phao đo lưu lượng |
Chiếc |
24 |
- |
9,89 |
|
17 |
Quần áo BHLĐ |
Bộ |
12 |
- |
39,57 |
|
18 |
Quần áo mưa |
Bộ |
12 |
- |
39,57 |
|
19 |
Thiết bị đun nước |
Cái |
60 |
6,54 |
- |
|
20 |
Ủng BHLĐ |
Đôi |
6 |
- |
39,57 |
|
21 |
USB |
Cái |
12 |
26,16 |
9,89 |
|
22 |
Dụng cụ khác |
% |
|
19,86 |
7,66 |
3. Máy móc, thiết bị:
Bảng 13. Định mức sử dụng máy móc, thiết bị trong công tác ĐTĐGTNNM tỷ lệ 1:200.000
ĐVT: ca/100km2
|
TT |
Danh mục thiết bị |
ĐVT |
Thời hạn (tháng) |
Định mức |
|
|
Nội nghiệp |
Ngoại nghiệp |
||||
|
1 |
Điều hòa 2 chiều 12000 BTU |
Bộ |
96 |
4,89 |
- |
|
2 |
Máy chiếu |
Cái |
60 |
1,96 |
- |
|
3 |
Máy đo dòng chảy cầm tay |
Cái |
120 |
- |
7,40 |
|
4 |
Máy đo nhanh chất lượng nước |
Cái |
120 |
- |
7,40 |
|
5 |
Máy in màu A0 |
Cái |
60 |
1,96 |
- |
|
6 |
Máy phát điện |
Cái |
96 |
- |
2,47 |
|
7 |
Máy Photocopy |
Cái |
96 |
1,96 |
- |
|
8 |
Máy scan A0 |
Cái |
60 |
1,96 |
- |
|
9 |
Máy Scan A3 |
Cái |
60 |
1,96 |
- |
|
10 |
Máy tính xách tay |
Cái |
60 |
4,89 |
7,40 |
|
11 |
Ô tô 12 chỗ |
Cái |
120 |
- |
2,47 |
Ghi chú: Định mức sử dụng vật liệu, dụng cụ và máy móc, thiết bị nêu trên tính cho toàn bộ công tác nội nghiệp và ngoại nghiệp, mức cho từng bước được xác định theo bảng hệ số điều chỉnh sau:
Bảng 14. Hệ số điều chỉnh định mức sử dụng vật liệu, dụng cụ và máy móc, thiết bị cho từng bước công việc của công tác điều tra, đánh giá tỷ lệ 1:200.000
|
TT |
Nội dung công việc |
Hệ số |
|
A |
Công tác ngoại nghiệp |
1 |
|
1 |
Chuẩn bị |
0,07 |
|
2 |
Tiến hành điều tra thực địa |
0,73 |
|
3 |
Tổng hợp, chỉnh lý, hoàn thiện kết quả điều tra thực địa và giao nộp sản phẩm |
0,2 |
|
B |
Công tác nội nghiệp |
1 |
|
1 |
Thu thập, rà soát thông tin, dữ liệu và triển khai công tác ĐTĐGTNNM |
0,04 |
|
2 |
Tổng hợp, chỉnh lý, xử lý thông tin, dữ liệu thu thập và kết quả điều tra thực địa theo các nội dung đánh giá |
0,08 |
|
3 |
Phân tích, đánh giá hiện trạng, diễn biến tài nguyên nước mặt |
0,55 |
|
4 |
Chuẩn bị nội dung thông tin và biên tập các bản đồ |
0,09 |
|
5 |
Tổng hợp, xây dựng hồ sơ, sản phẩm kết quả điều tra, đánh giá |
0,20 |
|
6 |
Hội thảo, kiểm tra, nghiệm thu |
0,02 |
|
7 |
In, nhân sao, lưu trữ và giao nộp sản phẩm |
0,02 |
B. TỈ LỆ 1:100.000
I. NỘI DUNG CÔNG VIỆC:
1. Công tác ngoại nghiệp:
1.1. Chuẩn bị:
- Nhận nhiệm vụ điều tra thực địa;
- Xác định nội dung, đối tượng, phạm vi điều tra thực địa: các sông có chiều dài ≥ 30km; các hồ chứa có dung tích ≥ 0,5triệu m3;
- Xác định tuyến điều tra, đánh giá trên nền bản đồ địa hình tỷ lệ 1:100.000;
- Lập kế hoạch, phương án, lộ trình đi điều tra tại thực địa;
- Chuẩn bị biểu mẫu, vật liệu, dụng cụ và máy móc, thiết bị phục vụ điều tra;
- Liên hệ địa phương và các công tác chuẩn bị khác.
1.2. Tiến hành điều tra thực địa:
- Điều tra, thu thập, cập nhật thông tin, dữ liệu về đặc điểm, tình hình tài nguyên nước mặt tại các cơ quan ở địa phương vùng điều tra;
- Đi lộ trình điều tra tổng hợp theo các tuyến đã xác định dọc hai bên bờ sông, suối, bãi sông và tuyến vuông góc với sông, suối để quan sát, mô tả, chụp ảnh, sơ họa, khoanh vùng, thu thập thông tin, dữ liệu về đặc điểm, đặc trưng hình thái sông, đặc điểm hồ; các yếu tố ảnh hưởng đến tài nguyên nước mặt và xác định các đối tượng, khu vực trọng điểm cần điều tra, đánh giá chi tiết;
- Tiến hành điều tra chi tiết tại các vùng, khu vực, đối tượng trọng điểm;
- Lấy và bảo quản mẫu nước phân tích trong phòng thí nghiệm;
- Chỉnh lý số liệu điều tra thực địa, bảo dưỡng thiết bị máy móc hàng ngày.
1.3. Tổng hợp, chỉnh lý, hoàn thiện kết quả điều tra thực địa và giao nộp sản phẩm:
- Chỉnh lý, hoàn thiện các thông tin, dữ liệu điều tra thực địa;
- Nhập thông tin, dữ liệu điều tra thực địa;
- Xử lý, chỉnh lý các kết quả điều tra;
- Tổng hợp kết quả điều tra thực địa, xây dựng sơ đồ, biểu bảng thống kê;
- Xây dựng báo cáo kết quả điều tra thực địa;
- Hoàn chỉnh hồ sơ, tài liệu kết quả điều tra thực địa và bàn giao sản phẩm, gồm:
+ Báo cáo kết quả điều tra thực địa;
+ Sơ đồ tài liệu thực tế của các tuyến và vị trí các điểm điều tra trên nền bản đồ địa hình, tỷ lệ 1:100.000;
+ Các bảng tổng hợp, thống kê kết quả điều tra tổng hợp theo từng lưu vực sông, đơn vị hành chính;
+ Các bảng tổng hợp, thống kê kết quả điều tra chi tiết ở từng đoạn sông, hồ và công trình khai thác, sử dụng đối với từng sông, hồ theo từng lưu vực sông, theo đơn vị hành chính;
+ Bảng thống kê danh mục các sông và các điểm, khu vực đã điều tra tổng hợp;
+ Bảng thống kê danh mục đoạn sông, hồ chứa, ao hồ tự nhiên và các công trình khai thác, sử dụng nước trên sông đã điều tra chi tiết;
+ Phiếu điều tra, sổ nhật ký điều tra thực địa và các tài liệu điều tra thực địa khác.
2. Công tác nội nghiệp:
2.1. Thu thập, rà soát thông tin, dữ liệu và triển khai công tác điều tra, đánh giá tài nguyên nước mặt:
- Nghiên cứu đề cương, hồ sơ dự án đã được phê duyệt;
- Thu thập các thông tin, dữ liệu liên quan đến vùng điều tra;
- Rà soát, thống kê, đánh giá tính đầy đủ, mức độ tin cậy của các thông tin, dữ liệu đã thu thập;
- Thống kê, lập danh mục các thông tin, dữ liệu đã thu thập;
- Rà soát, lập kế hoạch triển khai dự án;
- Giao nhiệm vụ cho các nhóm thực hiện.
2.2. Tổng hợp, chỉnh lý, xử lý thông tin, dữ liệu thu thập và kết quả điều tra thực địa theo các nội dung đánh giá:
- Rà soát, phân loại các thông tin, dữ liệu thu thập và điều tra thực địa phục vụ cho việc đánh giá;
- Đánh giá độ tin cậy của các thông tin, dữ liệu đã thu thập, điều tra và lựa chọn, lập danh mục các thông tin, dữ liệu phục vụ cho việc đánh giá theo nội dung yêu cầu;
- Nhập số liệu vào máy tính, kiểm tra và đồng bộ hóa thông tin, dữ liệu;
- Xử lý, tổng hợp thông tin, dữ liệu, và xây dựng các biểu, bảng, đồ thị;
- Lập các sơ đồ điều tra tài nguyên nước mặt tỷ lệ 1: 100.000.
2.3. Phân tích, đánh giá hiện trạng, diễn biến tài nguyên nước mặt:
- Phân tích, đánh giá các đặc trưng hình thái sông, lưu vực sông, đặc điểm hồ chứa, ao hồ tự nhiên thuộc đối tượng điều tra theo các nhóm thông tin sau:
+ Các thông tin chung về số lượng, phạm vi phân bố, hướng chảy, diện tích, chiều dài, độ rộng, độ dốc, mật độ lưới sông của lưu vực; mô đun dòng chảy;
+ Đặc trưng hình thái sông, lưu vực sông và các yếu tố liên quan, gồm: các thông số đặc trưng hình thái sông, lưu vực sông; các hiện tượng lũ, lũ quét; hiện trạng cạn kiệt, mất dòng, đổi dòng...;
+ Đặc trưng của hồ chứa, ao hồ tự nhiên và các yếu tố liên quan, gồm: các thông số kỹ thuật của hồ chứa, các thông số đặc trưng của ao hồ tự nhiên; mục đích sử dụng, phạm vi cấp nước của hồ chứa, ao hồ tự nhiên; hiệu quả sử dụng của từng hồ chứa...;
+ Đặc điểm các yếu tố tự nhiên và các ảnh hưởng đến chế độ dòng chảy như địa hình, thảm phủ thực vật, lớp phong hóa, hiện trạng sử dụng đất, các công trình khai thác, sử dụng nước và các yếu tố khác.
- Phân tích, đánh giá đặc điểm, diễn biến của tài nguyên nước mưa theo lưu vực sông, đơn vị hành chính và vùng điều tra về lượng mưa tháng, mùa, năm; phân bố lượng mưa theo thời gian và không gian; ảnh hưởng của chế độ mưa đến chế độ dòng chảy;
- Phân tích, đánh giá đặc điểm, diễn biến số lượng tài nguyên nước mặt theo lưu vực sông, đơn vị hành chính và vùng điều tra, gồm:
+ Đánh giá tổng lượng nước trung bình;
+ Xác định tổng lượng nước tương ứng với các mức bảo đảm khác nhau;
+ Đặc điểm, đặc trưng phân bố nguồn nước sông theo không gian;
+ Đặc điểm phân phối trong năm theo các tháng, mùa lũ, mùa kiệt;
+ Biến đổi tổng lượng nước trong thời kỳ nhiều năm;
+ Các đặc trưng dòng chảy trong mùa kiệt, tình hình hạn hán, thiếu nước trên các lưu vực sông;
+ Đặc điểm, đặc trưng dòng chảy lũ: lưu lượng lũ lớn nhất, mô đun dòng chảy đỉnh lũ;
+ Đặc điểm nguồn nước của các hồ chứa; hồ, ao tự nhiên.
- Phân tích, đánh giá chất lượng nước mặt theo lưu vực sông, đơn vị hành chính và vùng điều tra, gồm:
+ Đánh giá khái quát chất lượng nước theo các mục đích sử dụng khác nhau;
+ Đánh giá khái quát tính chất vật lý, độ tổng khoáng hóa, hàm lượng các thành phần hoá học cơ bản; sự biến đổi của các đặc trưng chất lượng nước qua các thời kỳ;
+ Đặc điểm vùng triều, vùng ô nhiễm làm ảnh hưởng đến chất lượng các công trình khai thác chính;
+ Khoanh vùng chất lượng nước đáp ứng cho các mục đích sử dụng.
- Đánh giá khả năng khai thác, sử dụng tài nguyên nước mặt phục vụ cho các mục đích, gồm: sinh hoạt, sản xuất công nghiệp, canh tác nông nghiệp, nuôi trồng thủy sản, thủy điện, giao thông thủy, dịch vụ du lịch và các mục đích khác;
- Phân tích, đánh giá tổng hợp hiện trạng tài nguyên nước mặt và tác động của điều kiện tự nhiên, đặc điểm phát triển KT - XH để xác định các vấn đề nổi cộm liên quan đến tài nguyên nước mặt.
2.4. Chuẩn bị nội dung thông tin và biên tập các bản đồ:
a) Chuẩn bị nội dung thông tin cho các bản đồ:
- Bản đồ tài liệu thực tế tài nguyên nước mặt, tỷ lệ 1:100.000;
- Bản đồ tài nguyên nước mặt, tỷ lệ 1:100.000;
- Bản đồ hiện trạng chất lượng nước mặt, tỷ lệ 1:100.000.
b) Biên tập các bản đồ.
2.5. Tổng hợp, xây dựng hồ sơ sản phẩm kết quả điều tra, đánh giá:
a) Báo cáo kết quả điều tra thực địa;
b) Báo cáo tổng hợp kết quả điều tra, đánh giá tài nguyên nước mặt;
c) Báo cáo tóm tắt;
d) Các báo cáo chuyên đề:
- Đặc điểm hệ thống sông, hồ;
- Đặc điểm tài nguyên nước mưa;
- Đặc điểm, diễn biến số lượng tài nguyên nước mặt;
- Đặc điểm, diễn biến chất lượng nước mặt;
- Khả năng khai thác, sử dụng tài nguyên nước mặt;
- Các vấn đề nổi cộm liên quan đến tài nguyên nước mặt.
đ) Các bản đồ:
- Bản đồ tài liệu thực tế tài nguyên nước mặt, tỷ lệ 1: 100.000;
- Bản đồ tài nguyên nước mặt, tỷ lệ 1: 100.000;
- Bản đồ hiện trạng chất lượng nước mặt, tỷ lệ 1: 100.000.
e) Phụ lục: các bảng tổng hợp, thống kê kết quả điều tra tổng hợp theo từng lưu vực sông, đơn vị hành chính; bảng thống kê danh mục các sông và các điểm, khu vực đã điều tra tổng hợp; danh mục đoạn sông, hồ, ao và công trình khai thác, sử dụng nước đã điều tra chi tiết và thông tin khác.
2.6. Hội thảo, kiểm tra, nghiệm thu:
- Hoàn thiện báo cáo tổng hợp, báo cáo tóm tắt, các báo cáo chuyên đề, các bản đồ;
- Lấy ý kiến chuyên gia, kiểm tra;
- Chuẩn bị tài liệu, báo cáo và các nội dung liên quan phục vụ hội thảo;
- Chỉnh sửa, hoàn thiện hồ sơ sản phẩm dự án.
2.7. In, nhân sao, lưu trữ và giao nộp sản phẩm:
- Ghi đĩa CD, nhãn đĩa sản phẩm, nhân bộ;
- In ấn sản phẩm báo cáo, bản đồ, nhân bộ;
- Vận chuyển, giao nộp sản phẩm.
(Chi tiết nội dung công việc của từng bước theo Phần III, Phụ lục số 01 của Thông tư này).
II. NHỮNG CÔNG VIỆC CHƯA TÍNH TRONG ĐỊNH MỨC:
- Khảo sát, đo đạc mực nước, lưu lượng, mặt cắt sông, suối;
- Thuê phương tiện lấy mẫu chất lượng nước; vận chuyển mẫu phân tích chất lượng nước từ hiện trường về phòng thí nghiệm;
- Lập mô hình dòng chảy nước mặt;
- Phân tích các chỉ tiêu chất lượng nước trong phòng thí nghiệm;
- Vận chuyển nhân công, vật liệu, dụng cụ và máy móc, thiết bị từ trụ sở đến hiện trường và ngược lại.
III. ĐIỀU KIỆN ÁP DỤNG VÀ CÁC HỆ SỐ HIỆU CHỈNH:
1. Điều kiện áp dụng:
Định mức điều tra, đánh giá tài nguyên nước mặt tỷ lệ 1:100.000 được tính cho vùng chuẩn có điều kiện áp dụng được quy định tại điểm a, mục 6.1, Phần I của Thông tư này.
2. Các hệ số điều chỉnh:
Khi vùng điều tra, đánh giá khác với các quy định về điều kiện áp dụng nêu trên, thì áp dụng các hệ số điều chỉnh cho định mức lao động, định mức sử dụng vật liệu, dụng cụ và máy móc, thiết bị được quy định và hướng dẫn áp dụng tại điểm c, mục 6.1, Phần I của Thông tư này.
Các hệ số điều chỉnh được áp dụng cho điều tra, đánh giá tài nguyên nước mặt tỷ lệ 1:100.000, gồm:
- Hệ số điều chỉnh theo mức độ khó khăn: Kđh, Kmđ, Ksl, Khc và Ktt;
- Hệ số điều chỉnh theo quy mô diện tích vùng điều tra, đánh giá Fdt.
IV. ĐỊNH BIÊN LAO ĐỘNG:
Bảng 15. Định biên lao động công tác ĐTĐGTNNM tỷ lệ 1:100.000
ĐVT: người/100km2
|
TT |
Nội dung công việc |
Định biên lao động |
|||||||
|
KSC1 |
KS7 |
KS5 |
KS3 |
KS2 |
KS1 |
LX5 |
Nhóm |
||
|
A |
Công tác ngoại nghiệp |
|
|
|
|
|
|
|
|
|
1 |
Chuẩn bị |
- |
1 |
3 |
3 |
2 |
1 |
1 |
11 |
|
2 |
Tiến hành điều tra thực địa |
- |
1 |
3 |
3 |
2 |
1 |
1 |
11 |
|
3 |
Tổng hợp, chỉnh lý, hoàn thiện kết quả điều tra thực địa và giao nộp sản phẩm |
- |
1 |
3 |
3 |
2 |
1 |
1 |
11 |
|
B |
Công tác nội nghiệp |
|
|
|
|
|
|
|
|
|
1 |
Thu thập, rà soát thông tin, dữ liệu và triển khai công tác ĐTĐGTNNM |
1 |
3 |
2 |
2 |
1 |
1 |
- |
10 |
|
2 |
Tổng hợp, chỉnh lý, xử lý thông tin, dữ liệu thu thập và kết quả điều tra thực địa theo các nội dung đánh giá |
1 |
3 |
2 |
2 |
1 |
1 |
- |
10 |
|
3 |
Phân tích, đánh giá hiện trạng, diễn biến tài nguyên nước mặt |
1 |
3 |
2 |
2 |
1 |
1 |
- |
10 |
|
4 |
Chuẩn bị nội dung thông tin và biên tập các bản đồ |
1 |
3 |
2 |
2 |
1 |
1 |
- |
10 |
|
5 |
Tổng hợp, xây dựng hồ sơ, sản phẩm kết quả điều tra, đánh giá |
1 |
3 |
2 |
2 |
1 |
1 |
- |
10 |
|
6 |
Hội thảo, kiểm tra, nghiệm thu |
1 |
3 |
2 |
2 |
1 |
1 |
- |
10 |
|
7 |
In, nhân sao, lưu trữ và giao nộp sản phẩm |
1 |
3 |
2 |
2 |
1 |
1 |
- |
10 |
V. ĐỊNH MỨC LAO ĐỘNG:
Bảng 16. Định mức lao động trong công tác ĐTĐGTNNM tỷ lệ 1:100.000
ĐVT: công nhóm/100km2
|
TT |
Nội dung công việc |
Định mức |
|
A |
Công tác ngoại nghiệp |
|
|
1 |
Chuẩn bị |
0,75 |
|
2 |
Tiến hành điều tra thực địa |
9,13 |
|
3 |
Tổng hợp, chỉnh lý, hoàn thiện kết quả điều tra thực địa và giao nộp sản phẩm |
2,20 |
|
B |
Công tác nội nghiệp |
|
|
1 |
Thu thập, rà soát thông tin, dữ liệu và triển khai công tác ĐTĐGTNNM |
0,30 |
|
2 |
Tổng hợp, chỉnh lý, xử lý thông tin, dữ liệu thu thập và kết quả điều tra thực địa theo các nội dung đánh giá |
0,53 |
|
3 |
Phân tích, đánh giá hiện trạng, diễn biến tài nguyên nước mặt |
3,68 |
|
4 |
Chuẩn bị nội dung thông tin và biên tập các bản đồ |
0,58 |
|
5 |
Tổng hợp, xây dựng hồ sơ, sản phẩm kết quả điều tra, đánh giá |
1,35 |
|
6 |
Hội thảo, kiểm tra, nghiệm thu |
0,15 |
|
7 |
In, nhân sao, lưu trữ và giao nộp sản phẩm |
0,15 |
VI. ĐỊNH MỨC SỬ DỤNG VẬT LIỆU, DỤNG CỤ VÀ MÁY MÓC, THIẾT BỊ:
1. Vật liệu:
Bảng 17. Định mức sử dụng vật liệu trong công tác ĐTĐGTNNM tỷ lệ 1:100.000
ĐVT: mức sử dụng/100km2
|
TT |
Danh mục vật liệu |
ĐVT |
Định mức |
|
|
Nội nghiệp |
Ngoại nghiệp |
|||
|
1 |
Bản đồ địa hình |
Mảnh |
0,4 |
0,40 |
|
2 |
Bóng đèn điện tròn 100W |
Cái |
3,6 |
3,60 |
|
3 |
Dầu Diezel |
Lít |
- |
- |
|
4 |
Đĩa CD |
Cái |
6 |
3,60 |
|
5 |
Gáy xoắn khổ A4 |
Hộp |
0,18 |
0,03 |
|
6 |
Giấy A4 |
Gram |
3 |
0,75 |
|
7 |
Hộp đựng bút |
Hộp |
1,80 |
0,90 |
|
8 |
KhNu trang |
Cái |
- |
1,00 |
|
9 |
Mực in A0 |
Hộp |
0,09 |
- |
|
10 |
Mực in A3 |
Hộp |
0,18 |
- |
|
11 |
Mực in A3 màu |
Hộp |
0,09 |
- |
|
12 |
Mực in A4 |
Hộp |
0,45 |
0,03 |
|
13 |
Mực photocopy |
Hộp |
0,06 |
- |
|
14 |
Xăng |
Lít |
- |
8,00 |
|
15 |
Điện năng |
KW |
408,85 |
156,53 |
|
17 |
Vật liệu khác |
% |
7,16 |
7,28 |
2. Dụng cụ:
Bảng 18. Định mức sử dụng dụng cụ trong công tác ĐTĐGTNNM tỷ lệ 1:100.000
ĐVT: ca/100km2
|
TT |
Danh mục dụng cụ |
ĐVT |
Thời hạn (tháng) |
Định mức |
|
|
Nội nghiệp |
Ngoại nghiệp |
||||
|
1 |
Ba lô |
Cái |
24 |
- |
98,93 |
|
2 |
Bàn làm việc |
Cái |
96 |
65,40 |
24,73 |
|
3 |
Bình đựng nước uống |
Cái |
6 |
- |
98,93 |
|
4 |
Bộ lưu điện UPS |
Cái |
96 |
65,40 |
- |
|
5 |
Camera kỹ thuật số |
Cái |
60 |
5,45 |
24,73 |
|
6 |
Giầy BHLĐ |
Đôi |
6 |
- |
98,93 |
|
7 |
Máy Fax |
Cái |
60 |
16,35 |
- |
|
8 |
Máy GPS cầm tay |
Cái |
60 |
- |
24,73 |
|
9 |
Máy in A4 0,5Kw |
Cái |
60 |
16,35 |
- |
|
10 |
Máy in đen trắng A3 0,5Kw |
Cái |
60 |
16,35 |
- |
|
11 |
Máy scan A4 0,02Kw |
Cái |
60 |
16,35 |
- |
|
12 |
Máy tính 0,6Kw |
Cái |
60 |
65,40 |
- |
|
13 |
Mũ BHLĐ |
Cái |
12 |
- |
98,93 |
|
14 |
Ổ ghi CD 0,04 Kw |
Cái |
60 |
65,40 |
- |
|
15 |
Phao cứu sinh |
Chiếc |
24 |
- |
98,93 |
|
16 |
Phao đo lưu lượng |
Chiếc |
24 |
- |
24,73 |
|
17 |
Quần áo BHLĐ |
Bộ |
12 |
- |
98,93 |
|
18 |
Quần áo mưa |
Bộ |
12 |
- |
98,93 |
|
19 |
Thiết bị đun nước |
Cái |
60 |
16,35 |
- |
|
20 |
Ủng BHLĐ |
Đôi |
6 |
- |
98,93 |
|
21 |
USB |
Cái |
12 |
65,40 |
24,73 |
|
22 |
Dụng cụ khác |
% |
|
19,86 |
7,66 |
3. Máy móc, thiết bị:
Bảng 19. Định mức sử dụng máy móc, thiết bị trong công tác ĐTĐGTNNM tỷ lệ 1:100.000
ĐVT: ca/100km2
|
TT |
Danh mục thiết bị |
ĐVT |
Thời hạn (tháng) |
Định mức |
|
|
Nội nghiệp |
Ngoại nghiệp |
||||
|
1 |
Điều hòa 2 chiều 12000 BTU |
Bộ |
96 |
8,51 |
- |
|
2 |
Máy chiếu |
Cái |
60 |
3,41 |
- |
|
3 |
Máy đo dòng chảy cầm tay |
Cái |
120 |
- |
17,03 |
|
4 |
Máy đo nhanh chất lượng nước |
Cái |
120 |
- |
17,03 |
|
5 |
Máy in màu A0 |
Cái |
60 |
3,41 |
- |
|
6 |
Máy phát điện |
Cái |
96 |
- |
5,68 |
|
7 |
Máy photocopy |
Cái |
96 |
3,41 |
- |
|
8 |
Máy scan A0 |
Cái |
60 |
3,41 |
- |
|
9 |
Máy scan A3 |
Cái |
60 |
3,41 |
- |
|
10 |
Máy tính xách tay |
Cái |
60 |
8,51 |
17,03 |
|
11 |
Ô tô 12 chỗ |
Cái |
120 |
- |
5,68 |
Ghi chú: Định mức sử dụng vật liệu, dụng cụ và máy móc, thiết bị nêu trên tính cho toàn bộ công tác nội nghiệp và ngoại nghiệp, mức cho từng bước được xác định theo bảng hệ số điều chỉnh sau:
Bảng 20. Hệ số điều chỉnh định mức sử dụng vật liệu, dụng cụ và máy móc, thiết bị cho từng bước công việc của công tác điều tra, đánh giá tỷ lệ 1:100.000
|
TT |
Nội dung công việc |
Hệ số |
|
A |
Công tác ngoại nghiệp |
1 |
|
1 |
Chuẩn bị |
0,07 |
|
2 |
Tiến hành điều tra thực địa |
0,73 |
|
3 |
Tổng hợp, chỉnh lý, hoàn thiện kết quả điều tra thực địa và giao nộp sản phẩm |
0,20 |
|
B |
Công tác nội nghiệp |
1 |
|
1 |
Thu thập, rà soát thông tin, dữ liệu và triển khai công tác ĐTĐGTNNM |
0,04 |
|
2 |
Tổng hợp, chỉnh lý, xử lý thông tin, dữ liệu thu thập và kết quả điều tra thực địa theo các nội dung đánh giá |
0,08 |
|
3 |
Phân tích, đánh giá hiện trạng, diễn biến tài nguyên nước mặt |
0,54 |
|
4 |
Chuẩn bị nội dung thông tin và biên tập các bản đồ |
0,09 |
|
5 |
Tổng hợp, xây dựng hồ sơ, sản phẩm kết quả điều tra, đánh giá |
0,21 |
|
6 |
Hội thảo, kiểm tra, nghiệm thu |
0,02 |
|
7 |
In, nhân sao, lưu trữ và giao nộp sản phẩm |
0,02 |
C. TỈ LỆ 1:50.000
I. NỘI DUNG CÔNG VIỆC:
1. Công tác ngoại nghiệp:
1.1. Chuẩn bị:
- Nhận nhiệm vụ điều tra thực địa;
- Xác định nội dung, đối tượng, phạm vi điều tra thực địa: các sông có chiều dài ≥ 20km; các hồ chứa có dung tích ≥ 0,25triệu m3;
- Xác định tuyến điều tra, đánh giá trên nền bản đồ địa hình tỷ lệ 1:50.000;
- Lập kế hoạch, phương án, lộ trình đi điều tra tại thực địa;
- Chuẩn bị biểu mẫu, vật liệu, dụng cụ và máy móc, thiết bị phục vụ điều tra;
- Liên hệ địa phương và các công tác chuẩn bị khác.
1.2. Tiến hành điều tra thực địa:
- Điều tra, thu thập, cập nhật thông tin, dữ liệu về đặc điểm, tình hình tài nguyên nước mặt tại các cơ quan ở địa phương vùng điều tra;
- Đi lộ trình điều tra tổng hợp theo các tuyến đã xác định dọc hai bên bờ sông, suối, bãi sông và tuyến vuông góc với sông, suối để quan sát, mô tả, chụp ảnh, sơ họa, khoanh vùng, thu thập thông tin, dữ liệu về đặc điểm, đặc trưng hình thái sông, đặc điểm hồ; các yếu tố ảnh hưởng đến tài nguyên nước mặt và xác định các đối tượng, khu vực trọng điểm cần điều tra, đánh giá chi tiết;
- Tiến hành điều tra chi tiết tại các vùng, khu vực, đối tượng trọng điểm;
- Lấy và bảo quản mẫu nước phân tích trong phòng thí nghiệm;
- Chỉnh lý số liệu điều tra thực địa, bảo dưỡng thiết bị máy móc hàng ngày.
1.3. Tổng hợp, chỉnh lý, hoàn thiện kết quả điều tra thực địa và giao nộp sản phẩm:
- Chỉnh lý, hoàn thiện các thông tin, dữ liệu điều tra thực địa;
- Nhập thông tin, dữ liệu điều tra thực địa;
- Xử lý, chỉnh lý các kết quả điều tra;
- Tổng hợp kết quả điều tra thực địa, xây dựng sơ đồ, biểu bảng thống kê;
- Xây dựng báo cáo kết quả điều tra thực địa;
- Hoàn chỉnh hồ sơ, tài liệu kết quả điều tra thực địa và bàn giao sản phẩm, gồm:
+ Báo cáo kết quả điều tra thực địa;
+ Sơ đồ tài liệu thực tế của các tuyến và vị trí các điểm điều tra trên nền bản đồ địa hình, tỷ lệ 1:50.000;
+ Các bảng tổng hợp, thống kê kết quả điều tra tổng hợp theo từng lưu vực sông, đơn vị hành chính;
+ Các bảng tổng hợp, thống kê kết quả điều tra chi tiết ở từng đoạn sông, hồ và công trình khai thác, sử dụng đối với từng sông, hồ theo từng lưu vực sông, theo đơn vị hành chính;
+ Bảng thống kê danh mục các sông và các điểm, khu vực đã điều tra tổng hợp;
+ Bảng thống kê danh mục đoạn sông, hồ chứa, ao hồ tự nhiên và các công trình khai thác, sử dụng nước trên sông đã điều tra chi tiết;
+ Phiếu điều tra, sổ nhật ký điều tra thực địa và các tài liệu điều tra thực địa khác.
2. Công tác nội nghiệp:
2.1. Thu thập, rà soát thông tin, dữ liệu và triển khai công tác điều tra, đánh giá tài nguyên nước mặt:
- Nghiên cứu đề cương, hồ sơ dự án đã được phê duyệt;
- Thu thập các thông tin, dữ liệu liên quan đến vùng điều tra;
- Rà soát, thống kê, đánh giá tính đầy đủ, mức độ tin cậy của các thông tin, dữ liệu đã thu thập;
- Thống kê, lập danh mục các thông tin, dữ liệu, tài liệu đã thu thập;
- Rà soát, lập kế hoạch triển khai dự án;
- Giao nhiệm vụ cho các nhóm thực hiện.
2.2. Xử lý, tổng hợp thông tin, dữ liệu đã thu thập và điều tra thực địa theo các nội dung đánh giá:
- Rà soát, phân loại các thông tin, dữ liệu thu thập và điều tra thực địa phục vụ cho việc đánh giá;
- Đánh giá độ tin cậy của các thông tin, dữ liệu đã thu thập, điều tra và lựa chọn, lập danh mục các thông tin, dữ liệu phục vụ cho việc đánh giá theo nội dung yêu cầu;
- Nhập số liệu vào máy tính, kiểm tra và đồng bộ hóa thông tin, dữ liệu;
- Xử lý, tổng hợp thông tin, dữ liệu, và xây dựng các biểu, bảng, đồ thị;
- Lập các sơ đồ điều tra tài nguyên nước mặt tỷ lệ 1: 50.000.
2.3. Phân tích, đánh giá hiện trạng, diễn biến tài nguyên nước mặt:
- Phân tích, đánh giá các đặc trưng hình thái sông, lưu vực sông, đặc điểm hồ chứa, ao hồ tự nhiên thuộc đối tượng điều tra theo các nhóm thông tin sau:
+ Các thông tin chung về số lượng, phạm vi phân bố, hướng chảy, diện tích, chiều dài, độ rộng, độ dốc, mật độ lưới sông của lưu vực; mô đun dòng chảy;
+ Đặc trưng hình thái sông, lưu vực sông và các yếu tố liên quan, gồm: các thông số đặc trưng hình thái sông, lưu vực sông; các hiện tượng lũ, lũ quét; hiện trạng cạn kiệt, mất dòng, đổi dòng...;
+ Đặc trưng của hồ chứa, ao hồ tự nhiên và các yếu tố liên quan, gồm: các thông số kỹ thuật của hồ chứa, các thông số đặc trưng của ao hồ tự nhiên; mục đích sử dụng, phạm vi cấp nước của hồ chứa, ao hồ tự nhiên; hiệu quả sử dụng của từng hồ chứa...;
+ Đặc điểm các yếu tố tự nhiên và các ảnh hưởng đến chế độ dòng chảy như địa hình, thảm phủ thực vật, lớp phong hóa, hiện trạng sử dụng đất, các công trình khai thác, sử dụng nước và các yếu tố khác.
- Phân tích, đánh giá đặc điểm của tài nguyên nước mưa theo lưu vực sông, đơn vị hành chính và vùng điều tra về lượng mưa tháng, mùa, năm; phân bố lượng mưa theo thời gian và không gian; ảnh hưởng của chế độ mưa đến chế độ dòng chảy;
- Phân tích, đánh giá đặc điểm, diễn biến số lượng tài nguyên nước mặt theo lưu vực sông, đơn vị hành chính và vùng điều tra, gồm:
+ Đánh giá tổng lượng nước trung bình;
+ Xác định tổng lượng nước tương ứng với các mức bảo đảm khác nhau;
+ Đặc điểm, đặc trưng phân bố nguồn nước sông theo không gian;
+ Đặc điểm phân phối trong năm theo các tháng, mùa lũ, mùa kiệt;
+ Biến đổi tổng lượng nước trong thời kỳ nhiều năm;
+ Các đặc trưng dòng chảy trong mùa kiệt, tình hình hạn hán, thiếu nước trên các lưu vực sông;
+ Đặc điểm, đặc trưng dòng chảy lũ: lưu lượng lũ lớn nhất, mô đun dòng chảy đỉnh lũ;
+ Đặc điểm nguồn nước của các hồ chứa; hồ, ao tự nhiên.
- Phân tích, đánh giá chất lượng nước mặt theo lưu vực sông, đơn vị hành chính và vùng điều tra, gồm:
+ Đánh giá khái quát chất lượng nước theo các mục đích sử dụng khác nhau;
+ Đánh giá khái quát tính chất vật lý, độ tổng khoáng hóa, hàm lượng các thành phần hoá học cơ bản; sự biến đổi của các đặc trưng chất lượng nước qua các thời kỳ;
+ Đặc điểm vùng triều, vùng ô nhiễm làm ảnh hưởng đến chất lượng các công trình khai thác chính;
+ Khoanh vùng chất lượng nước đáp ứng cho các mục đích sử dụng.
- Đánh giá khả năng khai thác, sử dụng tài nguyên nước mặt phục vụ cho các mục đích, gồm: sinh hoạt, sản xuất công nghiệp, canh tác nông nghiệp, nuôi trồng thủy sản, thủy điện, giao thông thủy, dịch vụ du lịch và các mục đích khác;
- Phân tích, đánh giá tổng hợp hiện trạng tài nguyên nước mặt và tác động của điều kiện tự nhiên, đặc điểm phát triển KT - XH để xác định các vấn đề nổi cộm liên quan đến tài nguyên nước mặt.
2.4. Chuẩn bị nội dung thông tin và biên tập các bản đồ:
a) Chuẩn bị nội dung thông tin cho các bản đồ:
- Bản đồ tài liệu thực tế tài nguyên nước mặt, tỷ lệ 1:50.000;
- Bản đồ tài nguyên nước mặt, tỷ lệ 1:50.000;
- Bản đồ hiện trạng chất lượng nước mặt, tỷ lệ 1:50.000. b) Biên tập các bản đồ.
2.5. Tổng hợp, xây dựng hồ sơ sản phẩm kết quả điều tra, đánh giá:
a) Báo cáo kết quả điều tra thực địa;
b) Báo cáo tổng hợp kết quả điều tra, đánh giá tài nguyên nước mặt;
c) Báo cáo tóm tắt;
d) Các báo cáo chuyên đề:
- Đặc điểm hệ thống sông, hồ;
- Đặc điểm tài nguyên nước mưa;
- Đặc điểm, diễn biến số lượng tài nguyên nước mặt;
- Đặc điểm, diễn biến chất lượng nước mặt;
- Khả năng khai thác, sử dụng tài nguyên nước mặt;
- Các vấn đề nổi cộm liên quan đến tài nguyên nước mặt.
đ) Các bản đồ:
- Bản đồ tài liệu thực tế tài nguyên nước mặt, tỷ lệ 1: 50.000;
- Bản đồ tài nguyên nước mặt, tỷ lệ 1: 50.000;
- Bản đồ hiện trạng chất lượng nước mặt, tỷ lệ 1: 50.000.
e) Phụ lục: các bảng tổng hợp, thống kê kết quả điều tra tổng hợp theo từng lưu vực sông, đơn vị hành chính; bảng thống kê danh mục các sông và các điểm, khu vực đã điều tra tổng hợp; danh mục đoạn sông, hồ, ao và công trình khai thác, sử dụng nước đã điều tra chi tiết và thông tin khác.
2.6. Hội thảo, kiểm tra, nghiệm thu:
- Hoàn thiện báo cáo tổng hợp, báo cáo tóm tắt, các báo cáo chuyên đề, các bản đồ;
- Lấy ý kiến chuyên gia, kiểm tra;
- Chuẩn bị tài liệu, báo cáo và các nội dung liên quan phục vụ hội thảo;
- Chỉnh sửa, hoàn thiện hồ sơ sản phẩm dự án.
2.7. In, nhân sao, lưu trữ và giao nộp sản phẩm:
- Ghi đĩa CD, nhãn đĩa sản phẩm, nhân bộ;
- In ấn sản phẩm báo cáo, bản đồ, nhân bộ;
- Vận chuyển, giao nộp sản phẩm.
(Chi tiết nội dung công việc của từng bước theo Phần III, Phụ lục số 01 của Thông tư này).
II. NHỮNG CÔNG VIỆC CHƯA TÍNH TRONG ĐỊNH MỨC:
- Khảo sát, đo đạc mực nước, lưu lượng, mặt cắt sông, suối;
- Thuê phương tiện lấy mẫu chất lượng nước; vận chuyển mẫu phân tích chất lượng nước từ hiện trường về phòng thí nghiệm;
- Lập mô hình dòng chảy nước mặt;
- Phân tích các chỉ tiêu chất lượng nước trong phòng thí nghiệm;
- Vận chuyển nhân công, vật liệu, dụng cụ và máy móc, thiết bị từ trụ sở đến hiện trường và ngược lại.
III. ĐIỀU KIỆN ÁP DỤNG VÀ CÁC HỆ SỐ HIỆU CHỈNH:
1. Điều kiện áp dụng:
Định mức điều tra, đánh giá tài nguyên nước mặt tỷ lệ 1:50.000 được tính cho vùng chuẩn có điều kiện áp dụng được quy định tại điểm a, mục 6.1, Phần I của Thông tư này.
2. Các hệ số điều chỉnh:
Khi vùng điều tra, đánh giá khác với các quy định về điều kiện áp dụng nêu trên, thì áp dụng các hệ số điều chỉnh cho định mức lao động, định mức sử dụng vật liệu, dụng cụ và máy móc, thiết bị được quy định và hướng dẫn áp dụng tại điểm c, mục 6.1, Phần I của Thông tư này.
Các hệ số điều chỉnh được áp dụng cho điều tra, đánh giá tài nguyên nước mặt tỷ lệ 1:50.000, gồm:
- Hệ số điều chỉnh theo mức độ khó khăn: Kđh, Kmđ, Ksl, Khc và Ktt;
- Hệ số điều chỉnh theo quy mô diện tích vùng điều tra, đánh giá Fdt.
IV. ĐỊNH BIÊN LAO ĐỘNG:
Bảng 21. Định biên lao động công tác ĐTĐGTNNM tỷ lệ 1:50.000
ĐVT: người/100km2
|
TT |
Nội dung công việc |
Định biên lao động |
|||||||
|
KSC1 |
KS7 |
KS5 |
KS3 |
KS2 |
KS1 |
LX5 |
Nhóm |
||
|
A |
Công tác ngoại nghiệp |
|
|
|
|
|
|
|
|
|
1 |
Chuẩn bị |
- |
1 |
3 |
3 |
2 |
1 |
1 |
11 |
|
2 |
Tiến hành điều tra thực địa |
- |
1 |
3 |
3 |
2 |
1 |
1 |
11 |
|
3 |
Tổng hợp, chỉnh lý, hoàn thiện kết quả điều tra thực địa và giao nộp sản phẩm |
- |
1 |
3 |
3 |
2 |
1 |
1 |
11 |
|
B |
Công tác nội nghiệp |
|
|
|
|
|
|
|
|
|
1 |
Thu thập, rà soát thông tin, dữ liệu và triển khai công tác ĐTĐGTNNM |
1 |
3 |
2 |
2 |
1 |
1 |
- |
10 |
|
2 |
Tổng hợp, chỉnh lý, xử lý thông tin, dữ liệu thu thập và kết quả điều tra thực địa theo các nội dung đánh giá |
1 |
3 |
2 |
2 |
1 |
1 |
- |
10 |
|
3 |
Phân tích, đánh giá hiện trạng, diễn biến tài nguyên nước mặt |
1 |
3 |
2 |
2 |
1 |
1 |
- |
10 |
|
4 |
Chuẩn bị nội dung thông tin và biên tập các bản đồ |
1 |
3 |
2 |
2 |
1 |
1 |
- |
10 |
|
5 |
Tổng hợp, xây dựng hồ sơ, sản phẩm kết quả điều tra, đánh giá |
1 |
3 |
2 |
2 |
1 |
1 |
- |
10 |
|
6 |
Hội thảo, kiểm tra, nghiệm thu |
1 |
3 |
2 |
2 |
1 |
1 |
- |
10 |
|
7 |
In, nhân sao, lưu trữ và giao nộp sản phẩm |
1 |
3 |
2 |
2 |
1 |
1 |
- |
10 |
V. ĐỊNH MỨC LAO ĐỘNG:
Bảng 22. Định mức lao động trong công tác ĐTĐGTNNM tỷ lệ 1:50.000
ĐVT: công nhóm/100km2
|
TT |
Nội dung công việc |
Định mức |
|
A |
Công tác ngoại nghiệp |
|
|
1 |
Chuẩn bị |
1,35 |
|
2 |
Tiến hành điều tra thực địa |
16,43 |
|
3 |
Tổng hợp, chỉnh lý, hoàn thiện kết quả điều tra thực địa và giao nộp sản phẩm |
3,96 |
|
B |
Công tác nội nghiệp |
|
|
1 |
Thu thập, rà soát thông tin, dữ liệu và triển khai công tác ĐTĐGTNNM |
0,54 |
|
2 |
Tổng hợp, chỉnh lý, xử lý thông tin, dữ liệu thu thập và kết quả điều tra thực địa theo các nội dung đánh giá |
0,95 |
|
3 |
Phân tích, đánh giá hiện trạng, diễn biến tài nguyên nước mặt |
6,62 |
|
4 |
Chuẩn bị nội dung thông tin và biên tập các bản đồ |
1,04 |
|
5 |
Tổng hợp, xây dựng hồ sơ, sản phẩm kết quả điều tra, đánh giá |
2,43 |
|
6 |
Hội thảo, kiểm tra, nghiệm thu |
0,27 |
|
7 |
In, nhân sao, lưu trữ và giao nộp sản phẩm |
0,27 |
VI. ĐỊNH MỨC SỬ DỤNG VẬT LIỆU, DỤNG CỤ VÀ MÁY MÓC, THIẾT BỊ:
1. Vật liệu:
Bảng 23. Định mức sử dụng vật liệu trong công tác ĐTĐGTNNM tỷ lệ 1:50.000
ĐVT: mức sử dụng/100km2
|
TT |
Danh mục vật liệu |
ĐVT |
Định mức |
|
|
Nội nghiệp |
Ngoại nghiệp |
|||
|
1 |
Bản đồ địa hình |
Mảnh |
0,5 |
0,5 |
|
2 |
Bóng đèn điện tròn 100W |
Cái |
7,2 |
7,2 |
|
3 |
Dầu Diezel |
Lít |
- |
1,5 |
|
4 |
Đĩa CD |
Cái |
12 |
7,2 |
|
5 |
Gáy xoắn khổ A4 |
Hộp |
0,36 |
0,06 |
|
6 |
Giấy A4 |
Gram |
6 |
1,5 |
|
7 |
Hộp đựng bút |
Hộp |
3,6 |
1,8 |
|
8 |
KhNu trang |
Cái |
- |
2 |
|
9 |
Mực in A0 |
Hộp |
0,18 |
- |
|
10 |
Mực in A3 |
Hộp |
0,36 |
- |
|
11 |
Mực in A3 màu |
Hộp |
0,18 |
- |
|
12 |
Mực in A4 |
Hộp |
0,9 |
0,06 |
|
13 |
Mực photocopy |
Hộp |
0,12 |
- |
|
14 |
Xăng |
Lít |
- |
8 |
|
15 |
Điện năng |
KW |
735,92 |
281,75 |
|
16 |
Vật liệu khác |
% |
7,16 |
7,28 |
2. Dụng cụ:
Bảng 24. Định mức sử dụng dụng cụ trong công tác ĐTĐGTNNM tỷ lệ 1:50.000
ĐVT: ca/100km2
|
TT |
Danh mục dụng cụ |
ĐVT |
Thời hạn (tháng) |
Định mức |
|
|
Nội nghiệp |
Ngoại nghiệp |
||||
|
1 |
Ba lô |
Cái |
24 |
- |
178,08 |
|
2 |
Bàn làm việc |
Cái |
96 |
117,72 |
44,52 |
|
3 |
Bình đựng nước uống |
Cái |
6 |
- |
178,08 |
|
4 |
Bộ lưu điện UPS |
Cái |
96 |
117,72 |
- |
|
5 |
Camera kỹ thuật số |
Cái |
60 |
9,81 |
44,52 |
|
6 |
Giầy BHLĐ |
Đôi |
6 |
- |
178,08 |
|
7 |
Máy Fax |
Cái |
60 |
29,43 |
- |
|
8 |
Máy GPS cầm tay |
Cái |
60 |
- |
44,52 |
|
9 |
Máy in A4 0,5Kw |
Cái |
60 |
29,43 |
- |
|
10 |
Máy in đen trắng A3 0,5Kw |
Cái |
60 |
29,43 |
- |
|
11 |
Máy scan A4 0,02Kw |
Cái |
60 |
29,43 |
- |
|
12 |
Máy tính 0,6Kw |
Cái |
60 |
117,72 |
- |
|
13 |
Mũ BHLĐ |
Cái |
12 |
- |
178,08 |
|
14 |
Ổ ghi CD 0,04 Kw |
Cái |
60 |
117,72 |
- |
|
15 |
Phao cứu sinh |
Chiếc |
24 |
- |
178,08 |
|
16 |
Phao đo lưu lượng |
Chiếc |
24 |
- |
44,52 |
|
17 |
Quần áo BHLĐ |
Bộ |
12 |
- |
178,08 |
|
18 |
Quần áo mưa |
Bộ |
12 |
- |
178,08 |
|
19 |
Thiết bị đun nước |
Cái |
60 |
29,43 |
- |
|
20 |
Ủng BHLĐ |
Đôi |
6 |
- |
178,08 |
|
21 |
USB |
Cái |
12 |
117,72 |
44,52 |
|
22 |
Dụng cụ khác |
% |
|
19,86 |
7,66 |
3. Máy móc, thiết bị:
Bảng 25. Định mức sử dụng máy móc, thiết bị trong công tác ĐTĐGTNNM tỷ lệ 1:50.000
ĐVT: ca/100km2
|
TT |
Danh mục thiết bị |
ĐVT |
Thời hạn (tháng) |
Định mức |
|
|
Nội nghiệp |
Ngoại nghiệp |
||||
|
1 |
Điều hòa 2 chiều 12000 BTU |
Bộ |
96 |
19,15 |
- |
|
2 |
Máy chiếu |
Cái |
60 |
7,66 |
- |
|
3 |
Máy đo dòng chảy cầm tay |
Cái |
120 |
- |
38,32 |
|
4 |
Máy đo nhanh chất lượng nước |
Cái |
120 |
- |
38,32 |
|
5 |
Máy in màu A0 |
Cái |
60 |
7,66 |
- |
|
6 |
Máy phát điện |
Cái |
96 |
- |
12,77 |
|
7 |
Máy photocopy |
Cái |
96 |
7,66 |
- |
|
8 |
Máy scan A0 |
Cái |
60 |
7,66 |
- |
|
9 |
Máy scan A3 |
Cái |
60 |
7,66 |
- |
|
10 |
Máy tính xách tay |
Cái |
60 |
19,15 |
38,32 |
|
11 |
Ô tô 12 chỗ |
Cái |
120 |
- |
12,77 |
Ghi chú: Định mức sử dụng vật liệu, dụng cụ và máy móc, thiết bị nêu trên tính cho toàn bộ công tác nội nghiệp và ngoại nghiệp, mức cho từng bước được xác định theo bảng hệ số điều chỉnh sau:
Bảng 26. Hệ số điều chỉnh định mức sử dụng vật liệu, dụng cụ và máy móc, thiết bị cho từng bước công việc của công tác điều tra, đánh giá tỷ lệ 1:50.000
|
TT |
Nội dung công việc |
Hệ số |
|
A |
Công tác ngoại nghiệp |
1 |
|
1 |
Chuẩn bị |
0,07 |
|
2 |
Tiến hành điều tra thực địa |
0,73 |
|
3 |
Tổng hợp, chỉnh lý, hoàn thiện kết quả điều tra thực địa và giao nộp sản phẩm |
0,20 |
|
B |
Công tác nội nghiệp |
1 |
|
1 |
Thu thập, rà soát thông tin, dữ liệu và triển khai công tác ĐTĐGTNNM |
0,04 |
|
2 |
Tổng hợp, chỉnh lý, xử lý thông tin, dữ liệu thu thập và kết quả điều tra thực địa theo các nội dung đánh giá |
0,08 |
|
3 |
Phân tích, đánh giá hiện trạng, diễn biến tài nguyên nước mặt |
0,55 |
|
4 |
Chuẩn bị nội dung thông tin và biên tập các bản đồ |
0,09 |
|
5 |
Tổng hợp, xây dựng hồ sơ, sản phẩm kết quả điều tra, đánh giá |
0,20 |
|
6 |
Hội thảo, kiểm tra, nghiệm thu |
0,02 |
|
7 |
In, nhân sao, lưu trữ và giao nộp sản phẩm |
0,02 |
D. TỈ LỆ 1:25.000
I. NỘI DUNG CÔNG VIỆC:
1. Công tác ngoại nghiệp:
1.1. Chuẩn bị:
- Nhận nhiệm vụ điều tra thực địa;
- Xác định nội dung, đối tượng, phạm vi điều tra thực địa là tất cả các sông có chiều dài >10km, các hồ chứa có dung tích ≥ 0,1triệu m3;
- Xác định tuyến điều tra, đánh giá trên nền bản đồ địa hình tỷ lệ 1:25.000;
- Lập kế hoạch, phương án, lộ trình đi điều tra tại thực địa;
- Chuẩn bị biểu mẫu, vật liệu, dụng cụ và máy móc, thiết bị phục vụ điều tra;
- Liên hệ địa phương và các công tác chuẩn bị khác.
1.2. Tiến hành điều tra thực địa:
- Điều tra, thu thập, cập nhật thông tin, dữ liệu về đặc điểm, tình hình tài nguyên nước mặt tại các cơ quan ở địa phương vùng điều tra;
- Đi lộ trình điều tra tổng hợp theo các tuyến đã xác định dọc hai bên bờ sông, suối, bãi sông và tuyến vuông góc với sông, suối để quan sát, mô tả, chụp ảnh, sơ họa, khoanh vùng, thu thập thông tin, dữ liệu về đặc điểm, đặc trưng hình thái sông, đặc điểm hồ; các yếu tố ảnh hưởng đến tài nguyên nước mặt và xác định các đối tượng, khu vực trọng điểm cần điều tra, đánh giá chi tiết;
- Tiến hành điều tra chi tiết tại các vùng, khu vực, đối tượng trọng điểm;
- Lấy và bảo quản mẫu nước phân tích trong phòng thí nghiệm;
- Chỉnh lý số liệu điều tra thực địa, bảo dưỡng thiết bị máy móc hàng ngày.
1.3. Tổng hợp, chỉnh lý, hoàn thiện kết quả điều tra thực địa và giao nộp sản phẩm:
- Chỉnh lý, hoàn thiện các thông tin, dữ liệu điều tra thực địa;
- Nhập kết quả, thông tin, dữ liệu điều tra thực địa;
- Xử lý, chỉnh lý các kết quả điều tra;
- Tổng hợp kết quả điều tra thực địa, xây dựng sơ đồ, biểu bảng thống kê;
- Xây dựng báo cáo kết quả điều tra thực địa;
- Hoàn chỉnh hồ sơ, tài liệu kết quả điều tra thực địa và bàn giao sản phẩm, gồm:
+ Báo cáo kết quả điều tra thực địa;
+ Sơ đồ tài liệu thực tế của các tuyến và vị trí các điểm điều tra trên nền bản đồ địa hình, tỷ lệ 1:25.000;
+ Các bảng tổng hợp, thống kê kết quả điều tra tổng hợp theo từng lưu vực sông, đơn vị hành chính;
+ Các bảng tổng hợp, thống kê kết quả điều tra chi tiết ở từng đoạn sông, hồ và công trình khai thác, sử dụng đối với từng sông, hồ theo từng lưu vực sông, theo đơn vị hành chính;
+ Bảng thống kê danh mục các sông và các điểm, khu vực đã điều tra tổng hợp;
+ Bảng thống kê danh mục đoạn sông, hồ chứa, ao hồ tự nhiên và các công trình khai thác, sử dụng nước trên sông đã điều tra chi tiết;
+ Phiếu điều tra, sổ nhật ký điều tra thực địa và các tài liệu điều tra thực địa khác.
2. Công tác nội nghiệp:
2.1. Thu thập, rà soát thông tin, dữ liệu và chuẩn bị triển khai công tác điều tra, đánh giá tài nguyên nước mặt:
- Nghiên cứu đề cương, hồ sơ dự án đã được phê duyệt;
- Thu thập các thông tin, dữ liệu liên quan đến vùng điều tra;
- Rà soát, thống kê, đánh giá tính đầy đủ, mức độ tin cậy của các thông tin, dữ liệu đã thu thập;
- Thống kê, lập danh mục các thông tin, dữ liệu đã thu thập;
- Rà soát, lập kế hoạch triển khai dự án;
- Giao nhiệm vụ cho các nhóm thực hiện.
2.2. Tổng hợp, chỉnh lý, xử lý thông tin, dữ liệu thu thập và kết quả điều tra thực địa theo các nội dung đánh giá:
- Rà soát, phân loại các thông tin, dữ liệu thu thập và điều tra thực địa phục vụ cho việc đánh giá;
- Đánh giá độ tin cậy của các thông tin, dữ liệu đã thu thập, điều tra và lựa chọn, lập danh mục các thông tin, dữ liệu phục vụ cho việc đánh giá theo nội dung yêu cầu;
- Nhập số liệu vào máy tính, kiểm tra và đồng bộ hóa thông tin, dữ liệu;
- Xử lý, tổng hợp thông tin, dữ liệu và xây dựng các biểu, bảng, đồ thị;
- Lập các sơ đồ điều tra tài nguyên nước mặt tỷ lệ 1: 25.000.
2.3. Phân tích, đánh giá hiện trạng, diễn biến tài nguyên nước mặt:
- Phân tích, đánh giá các đặc trưng hình thái sông, lưu vực sông, đặc điểm hồ chứa, ao hồ tự nhiên thuộc đối tượng điều tra theo các nhóm thông tin sau:
+ Các thông tin chung về số lượng, phạm vi phân bố, hướng chảy, diện tích, chiều dài, độ rộng, độ dốc, mật độ lưới sông của lưu vực; mô đun dòng chảy;
+ Đặc trưng hình thái sông, lưu vực sông và các yếu tố liên quan, gồm: các thông số đặc trưng hình thái sông, lưu vực sông; các hiện tượng lũ, lũ quét; hiện trạng cạn kiệt, mất dòng, đổi dòng...;
+ Đặc trưng của hồ chứa, ao hồ tự nhiên và các yếu tố liên quan, gồm: các thông số kỹ thuật của hồ chứa, các thông số đặc trưng của ao hồ tự nhiên; mục đích sử dụng, phạm vi cấp nước của hồ chứa, ao hồ tự nhiên; hiệu quả sử dụng của từng hồ chứa...;
+ Đặc điểm các yếu tố tự nhiên và các ảnh hưởng đến chế độ dòng chảy như địa hình, thảm phủ thực vật, lớp phong hóa, hiện trạng sử dụng đất, các công trình khai thác, sử dụng nước và các yếu tố khác.
- Phân tích, đánh giá đặc điểm, diễn biến của tài nguyên nước mưa theo lưu vực sông, đơn vị hành chính và vùng điều tra về lượng mưa tháng, mùa, năm; phân bố lượng mưa theo thời gian và không gian; ảnh hưởng của chế độ mưa đến chế độ dòng chảy;
- Phân tích, đánh giá đặc điểm, diễn biến số lượng tài nguyên nước mặt theo lưu vực sông, đơn vị hành chính và vùng điều tra, gồm:
+ Đánh giá tổng lượng nước trung bình;
+ Xác định tổng lượng nước tương ứng với các mức bảo đảm khác nhau;
+ Đặc điểm, đặc trưng phân bố nguồn nước sông theo không gian;
+ Đặc điểm phân phối trong năm theo các tháng, mùa lũ, mùa kiệt;
+ Biến đổi tổng lượng nước trong thời kỳ nhiều năm;
+ Các đặc trưng dòng chảy trong mùa kiệt, tình hình hạn hán, thiếu nước trên các lưu vực sông;
+ Đặc điểm, đặc trưng dòng chảy lũ: lưu lượng lũ lớn nhất, mô đun dòng chảy đỉnh lũ;
+ Đặc điểm nguồn nước của các hồ chứa; hồ, ao tự nhiên;
- Phân tích, đánh giá chất lượng nước mặt theo lưu vực sông, đơn vị hành chính và vùng điều tra, gồm:
+ Đánh giá khái quát chất lượng nước theo các mục đích sử dụng khác nhau;
+ Đánh giá khái quát tính chất vật lý, độ tổng khoáng hóa, hàm lượng các thành phần hoá học cơ bản; sự biến đổi của các đặc trưng chất lượng nước qua các thời kỳ;
+ Đặc điểm vùng triều, vùng ô nhiễm làm ảnh hưởng đến chất lượng các công trình khai thác chính;
+ Khoanh vùng chất lượng nước đáp ứng cho các mục đích sử dụng.
- Đánh giá khả năng khai thác, sử dụng tài nguyên nước mặt phục vụ cho các mục đích, gồm: sinh hoạt, sản xuất công nghiệp, canh tác nông nghiệp, nuôi trồng thủy sản, thủy điện, giao thông thủy, dịch vụ du lịch và các mục đích khác;
- Phân tích, đánh giá tổng hợp hiện trạng tài nguyên nước mặt và tác động của điều kiện tự nhiên, đặc điểm phát triển KT - XH để xác định các vấn đề nổi cộm liên quan đến tài nguyên nước mặt.
2.4. Chuẩn bị nội dung thông tin và biên tập các bản đồ:
a) Chuẩn bị nội dung thông tin cho các bản đồ:
- Bản đồ tài liệu thực tế tài nguyên nước mặt, tỷ lệ 1:25.000;
- Bản đồ tài nguyên nước mặt, tỷ lệ 1:25.000;
- Bản đồ hiện trạng chất lượng nước mặt, tỷ lệ 1:25.000.
b) Biên tập các bản đồ.
2.5. Tổng hợp, xây dựng hồ sơ sản phẩm kết quả điều tra, đánh giá:
a) Báo cáo kết quả điều tra thực địa;
b) Báo cáo tổng hợp kết quả điều tra, đánh giá tài nguyên nước mặt;
c) Báo cáo tóm tắt;
d) Các báo cáo chuyên đề:
- Đặc điểm hệ thống sông, hồ;
- Đặc điểm tài nguyên nước mưa;
- Đặc điểm, diễn biến số lượng tài nguyên nước mặt;
- Đặc điểm, diễn biến chất lượng nước mặt;
- Khả năng khai thác, sử dụng tài nguyên nước mặt;
- Các vấn đề nổi cộm liên quan đến tài nguyên nước mặt.
đ) Các bản đồ:
- Bản đồ tài liệu thực tế tài nguyên nước mặt, tỷ lệ 1: 25.000;
- Bản đồ tài nguyên nước mặt, tỷ lệ 1: 25.000;
- Bản đồ hiện trạng chất lượng nước mặt, tỷ lệ 1: 25.000.
e) Phụ lục: các bảng tổng hợp, thống kê kết quả điều tra tổng hợp theo từng lưu vực sông, đơn vị hành chính; bảng thống kê danh mục các sông và các điểm, khu vực đã điều tra tổng hợp; danh mục đoạn sông, hồ, ao và công trình khai thác, sử dụng nước đã điều tra chi tiết và thông tin khác.
2.6. Hội thảo, kiểm tra, nghiệm thu:
- Hoàn thiện báo cáo tổng hợp, báo cáo tóm tắt, các báo cáo chuyên đề, các bản đồ;
- Lấy ý kiến chuyên gia, kiểm tra;
- Chuẩn bị tài liệu, báo cáo và các nội dung liên quan phục vụ hội thảo;
- Chỉnh sửa, hoàn thiện hồ sơ sản phẩm dự án.
2.7. In, nhân sao, lưu trữ và giao nộp sản phẩm:
- Ghi đĩa CD, nhãn đĩa sản phẩm, nhân bộ;
- In ấn sản phẩm báo cáo, bản đồ, nhân bộ;
- Vận chuyển, giao nộp sản phẩm.
(Chi tiết nội dung công việc của từng bước theo Phần III, Phụ lục số 01 của Thông tư này).
II. NHỮNG CÔNG VIỆC CHƯA TÍNH TRONG ĐỊNH MỨC:
- Khảo sát, đo đạc mực nước, lưu lượng, mặt cắt sông, suối;
- Thuê phương tiện lấy mẫu chất lượng nước; vận chuyển mẫu phân tích chất lượng nước từ hiện trường về phòng thí nghiệm;
- Lập mô hình dòng chảy nước mặt;
- Phân tích các chỉ tiêu chất lượng nước trong phòng thí nghiệm;
- Vận chuyển nhân công, vật liệu, dụng cụ và máy móc, thiết bị từ trụ sở đến hiện trường và ngược lại.
III. ĐIỀU KIỆN ÁP DỤNG VÀ CÁC HỆ SỐ HIỆU CHỈNH:
1. Điều kiện áp dụng:
Định mức điều tra, đánh giá tài nguyên nước mặt tỷ lệ 1:25.000 được tính cho vùng chuẩn có điều kiện áp dụng được quy định tại điểm a, mục 6.1, Phần I của Thông tư này.
2. Các hệ số điều chỉnh:
Khi vùng điều tra, đánh giá khác với các quy định về điều kiện áp dụng nêu trên, thì áp dụng các hệ số điều chỉnh cho định mức lao động, định mức sử dụng vật liệu, dụng cụ và máy móc, thiết bị được quy định và hướng dẫn áp dụng tại điểm c, mục 6.1, Phần I của Thông tư này.
Các hệ số điều chỉnh được áp dụng cho điều tra, đánh giá tài nguyên nước mặt tỷ lệ 1:25.000, gồm:
- Hệ số điều chỉnh theo mức độ khó khăn: Kđh, Kmđ, Ksl, Khc và Ktt;
- Hệ số điều chỉnh theo quy mô diện tích vùng điều tra, đánh giá Fdt.
IV. ĐỊNH BIÊN LAO ĐỘNG:
Bảng 27. Định biên lao động công tác ĐTĐGTNNM tỷ lệ 1:25.000
ĐVT: người/100km2
|
TT |
Nội dung công việc |
Định biên lao động |
|||||||
|
KSC1 |
KS7 |
KS5 |
KS3 |
KS2 |
KS1 |
LX5 |
Nhóm |
||
|
A |
Công tác ngoại nghiệp |
|
|
|
|
|
|
|
|
|
1 |
Chuẩn bị |
- |
1 |
3 |
3 |
2 |
1 |
1 |
11 |
|
2 |
Tiến hành điều tra thực địa |
- |
1 |
3 |
3 |
2 |
1 |
1 |
11 |
|
3 |
Tổng hợp, chỉnh lý, hoàn thiện kết quả điều tra thực địa và giao nộp sản phẩm |
- |
1 |
3 |
3 |
2 |
1 |
1 |
11 |
|
B |
Công tác nội nghiệp |
|
|
|
|
|
|
|
|
|
1 |
Thu thập, rà soát thông tin, dữ liệu và triển khai công tác ĐTĐGTNNM |
1 |
3 |
2 |
2 |
1 |
1 |
- |
10 |
|
2 |
Tổng hợp, chỉnh lý, xử lý thông tin, dữ liệu thu thập và kết quả điều tra thực địa theo các nội dung đánh giá |
1 |
3 |
2 |
2 |
1 |
1 |
- |
10 |
|
3 |
Phân tích, đánh giá hiện trạng, diễn biến tài nguyên nước mặt |
1 |
3 |
2 |
2 |
1 |
1 |
- |
10 |
|
4 |
Chuẩn bị nội dung thông tin và biên tập các bản đồ |
1 |
3 |
2 |
2 |
1 |
1 |
- |
10 |
|
5 |
Tổng hợp, xây dựng hồ sơ, sản phẩm kết quả điều tra, đánh giá |
1 |
3 |
2 |
2 |
1 |
1 |
- |
10 |
|
6 |
Hội thảo, kiểm tra, nghiệm thu |
1 |
3 |
2 |
2 |
1 |
1 |
- |
10 |
|
7 |
In, nhân sao, lưu trữ và giao nộp sản phẩm |
1 |
3 |
2 |
2 |
1 |
1 |
- |
10 |
V. ĐỊNH MỨC LAO ĐỘNG:
Bảng 28. Định mức lao động trong công tác ĐTĐGTNNM tỷ lệ 1:25.000
ĐVT: công nhóm/100km2
|
TT |
Nội dung công việc |
Định mức |
|
A |
Công tác ngoại nghiệp |
|
|
1 |
Chuẩn bị |
4,35 |
|
2 |
Tiến hành điều tra thực địa |
52,93 |
|
3 |
Tổng hợp, chỉnh lý, hoàn thiện kết quả điều tra thực địa và giao nộp sản phẩm |
12,76 |
|
B |
Công tác nội nghiệp |
|
|
1 |
Thu thập, rà soát thông tin, dữ liệu và triển khai công tác ĐTĐGTNNM |
1,74 |
|
2 |
Tổng hợp, chỉnh lý, xử lý thông tin, dữ liệu thu thập và kết quả điều tra thực địa theo các nội dung đánh giá |
3,05 |
|
3 |
Phân tích, đánh giá hiện trạng, diễn biến tài nguyên nước mặt |
21,32 |
|
4 |
Chuẩn bị nội dung thông tin và biên tập các bản đồ |
3,34 |
|
5 |
Tổng hợp, xây dựng hồ sơ, sản phẩm kết quả điều tra, đánh giá |
7,83 |
|
6 |
Hội thảo, kiểm tra, nghiệm thu |
0,87 |
|
7 |
In, nhân sao, lưu trữ và giao nộp sản phẩm |
0,87 |
VI. ĐỊNH MỨC SỬ DỤNG VẬT LIỆU, DỤNG CỤ VÀ MÁY MÓC, THIẾT BỊ:
1. Vật liệu:
Bảng 29. Định mức sử dụng vật liệu trong công tác ĐTĐGTNNM tỷ lệ 1:25.000
ĐVT: mức sử dụng/100km2
|
TT |
Danh mục vật liệu |
ĐVT |
Định mức |
|
|
Nội nghiệp |
Ngoại nghiệp |
|||
|
1 |
Bản đồ địa hình |
Mảnh |
0,8 |
0,8 |
|
2 |
Bóng đèn điện tròn 100W |
Cái |
21,6 |
21,6 |
|
3 |
Dầu Diezel |
Lít |
- |
1,5 |
|
4 |
Đĩa CD |
Cái |
18 |
21,6 |
|
5 |
Gáy xoắn khổ A4 |
Hộp |
1,08 |
0,18 |
|
6 |
Giấy A4 |
Gram |
18 |
4,5 |
|
7 |
Hộp đựng bút |
Hộp |
10,8 |
5,4 |
|
8 |
KhNu trang |
Cái |
- |
6 |
|
9 |
Mực in A0 |
Hộp |
0,54 |
- |
|
10 |
Mực in A3 |
Hộp |
1,08 |
- |
|
11 |
Mực in A3 màu |
Hộp |
0,54 |
- |
|
12 |
Mực in A4 |
Hộp |
2,7 |
0,18 |
|
13 |
Mực photocopy |
Hộp |
0,36 |
- |
|
14 |
Xăng |
Lít |
- |
8 |
|
15 |
Điện năng |
KW |
2.371,31 |
907,85 |
|
16 |
Vật liệu khác |
% |
7,16 |
7,28 |
2. Dụng cụ:
Bảng 30. Định mức sử dụng dụng cụ trong công tác ĐTĐGTNNM tỷ lệ 1:25.000
ĐVT: ca/100km2
|
TT |
Danh mục dụng cụ |
ĐVT |
Thời hạn (tháng) |
Định mức |
|
|
Nội nghiệp |
Ngoại nghiệp |
||||
|
1 |
Ba lô |
Cái |
24 |
- |
573,80 |
|
2 |
Bàn làm việc |
Cái |
96 |
379,33 |
143,45 |
|
3 |
Bình đựng nước uống |
Cái |
6 |
- |
573,80 |
|
4 |
Bộ lưu điện UPS |
Cái |
96 |
379,33 |
- |
|
5 |
Camera kỹ thuật số |
Cái |
60 |
31,61 |
143,45 |
|
6 |
Giầy BHLĐ |
Đôi |
6 |
- |
573,80 |
|
7 |
Máy Fax |
Cái |
60 |
94,83 |
- |
|
8 |
Máy GPS cầm tay |
Cái |
60 |
- |
143,45 |
|
9 |
Máy in A4 0,5KW |
Cái |
60 |
94,83 |
- |
|
10 |
Máy in đen trắng A3 0,5KW |
Cái |
60 |
94,83 |
- |
|
11 |
Máy scan A4 0,02KW |
Cái |
60 |
94,83 |
- |
|
12 |
Máy tính 0,6KW |
Cái |
60 |
379,33 |
- |
|
13 |
Mũ BHLĐ |
Cái |
12 |
- |
573,80 |
|
14 |
Ổ ghi CD 0,04 Kw |
Cái |
60 |
379,33 |
- |
|
15 |
Phao cứu sinh |
Chiếc |
24 |
- |
573,80 |
|
16 |
Phao đo lưu lượng |
Chiếc |
24 |
- |
143,45 |
|
17 |
Quần áo BHLĐ |
Bộ |
12 |
- |
573,80 |
|
18 |
Quần áo mưa |
Bộ |
12 |
- |
573,80 |
|
19 |
Thiết bị đun nước |
Cái |
60 |
94,83 |
- |
|
20 |
Ủng BHLĐ |
Đôi |
6 |
- |
573,80 |
|
21 |
USB |
Cái |
12 |
379,33 |
143,45 |
|
22 |
Dụng cụ khác |
% |
|
19,86 |
7,66 |
3. Máy móc, thiết bị:
Bảng 31. Định mức sử dụng máy móc, thiết bị trong công tác ĐTĐGTNNM tỷ lệ 1:25.000
ĐVT: ca/100km2
|
TT |
Danh mục thiết bị |
ĐVT |
Thời hạn (tháng) |
Định mức |
|
|
Nội nghiệp |
Ngoại nghiệp |
||||
|
1 |
Điều hòa 2 chiều 12000 BTU |
Bộ |
96 |
59,59 |
- |
|
2 |
Máy chiếu |
Cái |
60 |
23,84 |
- |
|
3 |
Máy đo dòng chảy cầm tay |
Cái |
120 |
- |
119,21 |
|
4 |
Máy đo nhanh chất lượng nước |
Cái |
120 |
- |
119,21 |
|
5 |
Máy in màu A0 |
Cái |
60 |
23,84 |
- |
|
6 |
Máy phát điện |
Cái |
96 |
- |
39,74 |
|
7 |
Máy photocopy |
Cái |
96 |
23,84 |
- |
|
8 |
Máy scan A0 |
Cái |
60 |
23,84 |
- |
|
9 |
Máy scan A3 |
Cái |
60 |
23,84 |
- |
|
10 |
Máy tính xách tay |
Cái |
60 |
59,59 |
119,21 |
|
11 |
Ô tô 12 chỗ |
Cái |
120 |
- |
39,74 |
Ghi chú: Định mức sử dụng vật liệu, dụng cụ và máy móc, thiết bị nêu trên toàn bộ công tác nội nghiệp và ngoại nghiệp, mức cho từng bước được xác định theo bảng hệ số điều chỉnh sau:
Bảng 32. Hệ số điều chỉnh định mức sử dụng vật liệu, dụng cụ và máy móc, thiết bị cho từng bước công việc của công tác điều tra, đánh giá tỷ lệ 1:25.000
|
TT |
Nội dung công việc |
Hệ số |
|
A |
Công tác ngoại nghiệp |
1 |
|
1 |
Chuẩn bị |
0,07 |
|
2 |
Tiến hành điều tra thực địa |
0,74 |
|
3 |
Tổng hợp, chỉnh lý, hoàn thiện kết quả điều tra thực địa và giao nộp sản phẩm |
0,20 |
|
B |
Công tác nội nghiệp |
1 |
|
1 |
Thu thập, rà soát thông tin, dữ liệu và triển khai công tác ĐTĐGTNNM |
0,04 |
|
2 |
Tổng hợp, chỉnh lý, xử lý thông tin, dữ liệu thu thập và kết quả điều tra thực địa theo các nội dung đánh giá |
0,08 |
|
3 |
Phân tích, đánh giá hiện trạng, diễn biến tài nguyên nước mặt |
0,55 |
|
4 |
Chuẩn bị nội dung thông tin và biên tập các bản đồ |
0,09 |
|
5 |
Tổng hợp, xây dựng hồ sơ, sản phẩm kết quả điều tra, đánh giá |
0,20 |
|
6 |
Hội thảo, kiểm tra, nghiệm thu |
0,02 |
|
7 |
In, nhân sao, lưu trữ và giao nộp sản phẩm |
0,02 |
Chương II
ĐIỀU TRA, ĐÁNH GIÁ TÀI NGUYÊN NƯỚC DƯỚI ĐẤT
A. TỶ LỆ 1:200.000
I. NỘI DUNG CÔNG VIỆC:
1. Công tác ngoại nghiệp:
1.1. Chuẩn bị:
- Nhận nhiệm vụ điều tra thực địa;
- Xác định nội dung, đối tượng, phạm vi điều tra thực địa với mật độ điểm điều tra là 0,75 điểm/km2 trong vùng điều tra, gồm:
+ Nghiên cứu nhiệm vụ điều tra thực địa và các tài liệu liên quan;
+ Xác định khối lượng công việc thực địa;
+ Xác định ranh giới giữa các thành tạo địa chất chủ yếu, các đứt gãy có trong khu vực trên bản đồ;
+ Xác định phạm vi phân bố trên bản đồ của các phức hệ chứa nước lớn, chứa nước yếu và cách nước có trong vùng điều tra.
- Lập kế hoạch, phương án, lộ trình đi điều tra thực địa;
- Chuẩn bị biểu mẫu, vật liệu, dụng cụ và máy móc, thiết bị phục vụ điều tra;
- Liên hệ địa phương và các công tác chuẩn bị khác.
1.2. Tiến hành điều tra thực địa:
- Điều tra, thu thập, cập nhật thông tin, dữ liệu về đặc điểm tài nguyên nước dưới đất tại các cơ quan liên quan trong vùng điều tra;
- Đi lộ trình điều tra tổng hợp theo tuyến dọc các ranh giới giữa các phức hệ chứa nước lớn, dọc các đứt gãy kiến tạo, vuông góc với những cấu trúc chứa nước lớn để quan sát, mô tả, chụp ảnh, sơ họa, khoanh vùng, thu thập thông tin, dữ liệu về đặc điểm, đặc trưng các hệ chứa nước, cách nước; các yếu tố ảnh hưởng đến nguồn nước dưới đất; tổng quan tình hình khai thác, sử dụng nước dưới đất và xác định các đối tượng, khu vực trọng điểm cần điều tra, đánh giá chi tiết, gồm:
+ Quan sát, mô tả, chụp ảnh, sơ họa, khoanh vùng, thu thập thông tin, dữ liệu về các đặc điểm khái quát, đặc trưng của các cấu trúc chứa nước, thành tạo đất đá chứa nước, phức hệ chứa nước lớn và của các thành tạo đất đá chứa nước yếu hoặc cách nước;
+ Quan sát, mô tả, chụp ảnh, sơ họa, khoanh vùng, thu thập thông tin, dữ liệu về phạm vi và diện tích phân bố của lớp phủ thực vật;
+ Quan sát, mô tả, chụp ảnh, sơ họa, khoanh vùng, thu thập thông tin, dữ liệu về một số yếu tố, hoạt động ảnh hưởng đến nguồn nước dưới đất;
+ Xác định vị trí cần tiến hành khoan địa chất thủy văn, bơm nước, múc nước, đổ nước thí nghiệm, lấy mẫu nước, đo địa vật lý, đo trắc địa, quan trắc nước dưới đất;
+ Xác định, khoanh vùng các đối tượng, khu vực trọng điểm cần điều tra, đánh giá chi tiết.
- Tiến hành điều tra chi tiết tại các vùng, khu vực, đối tượng trọng điểm, gồm:
+ Các phức hệ chứa nước, cách nước chủ yếu;
+ Vùng có nguy cơ ô nhiễm, xâm nhập mặn;
+ Vùng cấp, thoát nước tự nhiên;
+ Xác định tọa độ, vị trí hành chính, vị trí trên bản đồ; điều tra sơ bộ chất lượng nước về màu, mùi, nhiệt độ; xác định thành phần, mức độ nứt nẻ của đất đá; đặc điểm địa hình, địa mạo, chiều dày và đặc điểm của lớp vỏ phong hóa, lớp phủ thực vật; chiều sâu mực nước tĩnh; địa tầng khai thác nước; lưu lượng, hoặc chế độ khai thác, mực nước động tại các nguồn lộ.
- Lấy và bảo quản mẫu nước phân tích trong phòng thí nghiệm;
- Chỉnh lý số liệu điều tra thực địa, bảo dưỡng thiết bị máy móc hàng ngày.
1.3. Tổng hợp, chỉnh lý, hoàn thiện kết quả điều tra thực địa và giao nộp sản phẩm:
- Chỉnh lý, hoàn thiện các thông tin, dữ liệu điều tra thực địa;
- Nhập kết quả, thông tin, dữ liệu điều tra thực địa;
- Xử lý, chỉnh lý tổng hợp các tài liệu, số liệu, kết quả điều tra;
- Xây dựng báo cáo kết quả điều tra thực địa, sơ đồ, biểu bảng thống kê, tổng hợp kết quả điều tra thực địa;
- Hoàn chỉnh hồ sơ, tài liệu kết quả điều tra thực địa và bàn giao sản phẩm, gồm:
+ Báo cáo kết quả điều tra thực địa;
+ Sơ đồ tài liệu thực tế của các tuyến và vị trí các điểm điều tra trên nền bản đồ địa hình tỷ lệ 1:200.000;
+ Các bảng tổng hợp, thống kê kết quả điều tra tổng hợp và điều tra chi tiết và công trình khai thác, sử dụng nước chủ yếu theo đơn vị hành chính;
+ Bảng thống kê danh mục các khu vực đã điều tra tổng hợp;
+ Bảng thống kê danh mục các điểm đã điều tra chi tiết;
+ Phiếu điều tra, sổ nhật ký điều tra thực địa và các tài liệu điều tra thực địa khác.
2. Công tác nội nghiệp:
2.1. Thu thập, rà soát thông tin, dữ liệu và chuẩn bị triển khai công tác điều tra, đánh giá tài nguyên nước dưới đất:
- Nghiên cứu đề cương, hồ sơ dự án đã được phê duyệt;
- Thu thập các thông tin, dữ liệu liên quan đến vùng điều tra;
- Rà soát, thống kê, đánh giá mức độ đầy đủ, tin cậy của các thông tin, dữ liệu đã thu thập;
- Xác định các thông tin, dữ liệu còn thiếu cần thu thập bổ sung;
- Giao nhiệm vụ điều tra, đánh giá cho các nhóm thực hiện.
2.2. Tổng hợp, chỉnh lý, xử lý thông tin, dữ liệu thu thập và kết quả điều tra thực địa theo các nội dung đánh giá:
- Rà soát, phân loại các thông tin, dữ liệu thu thập và điều tra thực địa phục vụ cho việc đánh giá hiện trạng tài nguyên nước dưới đất;
- Đánh giá độ tin cậy của các thông tin, dữ liệu đã thu thập, điều tra và lựa chọn, lập danh mục các thông tin, dữ liệu phục vụ cho việc đánh giá theo nội dung yêu cầu;
- Nhập số liệu vào máy tính, kiểm tra, đồng bộ hóa thông tin, dữ liệu;
- Xử lý, tổng hợp thông tin, dữ liệu và xây dựng các biểu, bảng, đồ thị, gồm:
+ Lập danh mục các phức hệ chứa nước, cách nước;
+ Lập danh mục vùng có nguy cơ ô nhiễm, xâm nhập mặn;
+ Lập danh mục vùng cấp, miền thoát nước tự nhiên;
+ Lập danh mục giếng khoan, giếng đào khai thác nước dưới đất;
+ Lập danh mục nguồn lộ;
+ Lập danh mục hang động karst;
+ Lập các loại đồ thị diễn biến hiện trạng khai thác, sử dụng nước dưới đất theo thời gian; đồ thị biểu diễn thành phần hóa học, chất lượng nước; đồ thị dự báo nhu cầu sử dụng nước dưới đất của các khu vực trong tương lai.
- Lập các sơ đồ điều tra tài nguyên nước dưới đất, gồm:
+ Sơ đồ phân bố các cấu trúc chứa nước, thành tạo đất đá chứa nước và phức hệ chứa nước chủ yếu;
+ Sơ đồ phân bố các khu vực cung cấp, thoát nước tự nhiên;
+ Sơ đồ phân bố các khu vực có nguy cơ ô nhiễm, xâm nhập mặn nước dưới đất;
+ Sơ đồ phân bố các công trình khai thác, điểm lộ, hang động karst;
+ Sơ đồ diện phân bố và chiều dày của lớp vỏ phong hóa;
+ Sơ đồ diện phân bố lớp phủ thực vật.
2.3. Phân tích đánh giá hiện trạng, diễn biến tài nguyên nước dưới đất:
- Phân tích, đánh giá khái quát đặc điểm, đặc trưng chủ yếu của các cấu trúc chứa nước, thành tạo đất đá chứa nước lớn và các thành tạo đất đá chứa nước yếu hoặc cách nước thuộc phạm vi điều tra, đánh giá, gồm:
+ Diện tích phân bố, thành phần đất đá chủ yếu, chiều sâu thế nằm, chiều sâu phân bố trên mặt cắt, nguồn gốc đất đá; diện tích chủ yếu tại một số đơn vị hành chính;
+ Đặc tính nứt nẻ; sơ bộ khả năng chứa nước;
+ Đặc tính thủy lực chủ yếu;
+ Đặc điểm vùng cấp, thoát nước tự nhiên;
+ Đặc điểm các yếu tố chủ yếu ảnh hưởng đến đặc điểm thủy lực;
+ Đặc điểm các yếu tố ảnh hưởng đến số lượng, chất lượng nguồn nước.
- Phân tích, đánh giá và sơ bộ phân vùng mức độ chứa nước của các cấu trúc chứa nước, thành tạo đất đá chứa nước lớn và các thành tạo đất đá chứa nước yếu hoặc cách nước thuộc phạm vi điều tra, đánh giá, gồm:
+ Phân vùng miền cấp, miền thoát;
+ Phân vùng đẳng chiều sâu mực nước, độ cao cột áp lực;
+ Phân vùng đẳng bề dày, đẳng đặc tính thấm của lớp đất đá đới thông khí;
+ Phân vùng đẳng đặc tính thấm của các cấu trúc chứa nước lớn, thành tạo đất đá chứa nước, phức hệ chứa nước chủ yếu;
+ Phân vùng phân bố chủ yếu của lớp phủ thực vật.
- Phân tích, đánh giá khái quát và xác định những đặc trung cơ bản của trữ lượng động, tĩnh nước dưới đất theo cấu trúc chứa nước, vùng điều tra và đơn vị hành chính, gồm:
+ Tổng trữ lượng, trữ lượng động, tĩnh của nước dưới đất;
+ Diễn biến trữ lượng theo không gian, thời gian;
+ Đặc điểm các công trình, yếu tố chủ yếu ảnh hưởng đến trữ lượng nước dưới đất;
+ Đánh giá khái quát khả năng khai thác của nguồn nước dưới đất.
- Phân tích, đánh giá và phân vùng đẳng mô đun dòng ngầm, lượng cung cấp thấm trung bình năm, mùa kiệt, ba tháng kiệt và tháng kiệt nhất cho vùng điều tra;
- Phân tích, đánh giá chất lượng nước, phân vùng chất lượng nước, gồm:
+ Đánh giá khái quát chất lượng nước theo các mục đích sử dụng khác nhau;
+ Đánh giá khái quát tính chất vật lý, hàm lượng các thành phần hoá học cơ bản, độ tổng khoáng hóa; loại hình hóa học chủ yếu của nước dưới đất; sự biến đổi của các đặc trưng chất lượng nước qua các thời kỳ;
+ Đặc điểm vùng có nguy cơ ô nhiễm, xâm nhập mặn, công trình chính ảnh hưởng đến chất lượng;
+ Khoanh vùng chất lượng nước đáp ứng cho mục đích khác nhau.
- Đánh giá khái quát khả năng khai thác, sử dụng nguồn nước dưới đất phục vụ cấp nước sinh hoạt ở các vùng nông thôn, cấp nước cho các đô thị, các khu vực trọng điểm về KTXH; đánh giá khả năng khai thác, sử dụng nước dưới đất cho từng ngành, từng lĩnh vực theo đơn vị hành chính.
2.4. Chuẩn bị nội dung thông tin và biên tập các loại bản đồ:
a) Chuẩn bị nội dung thông tin cho các bản đồ, gồm:
- Bản đồ tài liệu thực tế tài nguyên nước dưới đất tỷ lệ 1:200.000;
- Bản đồ tài nguyên nước dưới đất tỷ lệ 1:200.000;
- Bản đồ chất lượng nước dưới đất tỷ lệ 1:200.000;
- Bản đồ mô đun dòng ngầm tỷ lệ 1:200.000.
b) Biên tập các bản đồ.
2.5. Tổng hợp, xây dựng hồ sơ sản phẩm kết quả điều tra, đánh giá:
a) Báo cáo kết quả điều tra thực địa;
b) Báo cáo tổng hợp kết quả điều tra, đánh giá tài nguyên nước dưới đất;
c) Báo cáo tóm tắt;
d) Các báo cáo chuyên đề:
- Đặc điểm tài nguyên nước dưới đất;
- Hiện trạng và diễn biến tài nguyên nước dưới đất;
- Đặc điểm chất lượng nước dưới đất.
đ) Các bản đồ:
- Bản đồ tài liệu thực tế tài nguyên nước dưới đất tỷ lệ 1:200.000;
- Bản đồ tài nguyên nước dưới đất tỷ lệ 1:200.000;
- Bản đồ chất lượng nước dưới đất tỷ lệ 1:200.000;
- Bản đồ mô đun dòng ngầm tỷ lệ 1:200.000;
- Các bản vẽ, mặt cắt khác.
e) Phụ lục: các bảng tổng hợp, thống kê kết quả điều tra tổng hợp, chi tiết theo cấu trúc chứa nước và đơn vị hành chính; bảng thống kê danh mục các điểm đã điều tra chi tiết và thông tin khác.
2.6. Hội thảo, kiểm tra, nghiệm thu:
- Hoàn thiện báo cáo tổng hợp, báo cáo tóm tắt, các báo cáo chuyên đề, các bản đồ;
- Lấy ý kiến chuyên gia, kiểm tra;
- Chuẩn bị tài liệu, báo cáo và các nội dung liên quan phục vụ hội thảo;
- Chỉnh sửa, hoàn thiện hồ sơ sản phẩm dự án.
2.7. In, nhân sao, lưu trữ và giao nộp sản phẩm:
- Ghi đĩa CD, nhãn đĩa sản phẩm, nhân bộ;
- In ấn sản phẩm báo cáo, bản đồ, nhân bộ;
- Vận chuyển, giao nộp sản phẩm.
(Chi tiết nội dung công việc của từng bước theo Phần III, Phụ lục số 02 của Thông tư này).
II. NHỮNG CÔNG VIỆC CHƯA TÍNH TRONG ĐỊNH MỨC:
- Khảo sát, đo đạc, khoan, bơm hút nước thí nghiệm;
- Lập mô hình dòng chảy nước dưới đất;
- Phân tích các chỉ tiêu chất lượng nước trong phòng thí nghiệm;
- Vận chuyển nhân công, vật liệu, dụng cụ và máy móc, thiết bị từ trụ sở đến hiện trường và ngược lại; vận chuyển mẫu phân tích chất lượng nước từ hiện trường về phòng thí nghiệm.
III. ĐIỀU KIỆN ÁP DỤNG VÀ CÁC HỆ SỐ HIỆU CHỈNH:
1. Điều kiện áp dụng:
Định mức điều tra, đánh giá tài nguyên nước dưới đất tỷ lệ 1:200.000 được tính cho vùng chuẩn có điều kiện áp dụng được quy định tại điểm a, mục 6.2, Phần I của Thông tư này.
2. Các hệ số điều chỉnh:
Khi vùng điều tra, đánh giá khác với các quy định về điều kiện áp dụng nêu trên, thì áp dụng các hệ số điều chỉnh cho định mức lao động, định mức sử dụng vật liệu, dụng cụ và máy móc, thiết bị được quy định và hướng dẫn áp dụng tại điểm c, mục 6.2, Phần I của Thông tư này.
Các hệ số điều chỉnh được áp dụng cho điều tra, đánh giá tài nguyên nước dưới đất tỷ lệ 1:200.000, gồm:
- Hệ số điều chỉnh theo mức độ khó khăn: Kđh, Khc và Kct;
- Hệ số điều chỉnh theo quy mô diện tích vùng điều tra, đánh giá Fdt.
IV. ĐỊNH BIÊN LAO ĐỘNG:
Bảng 33. Định biên lao động công tác ĐTĐGTNNDĐ tỷ lệ 1:200.000
ĐVT: người/100km2
|
TT |
Nội dung công việc |
Định biên lao động |
|||||||
|
KSC1 |
KS7 |
KS5 |
KS3 |
KS2 |
KS1 |
LX5 |
Nhóm |
||
|
A |
Công tác ngoại nghiệp |
|
|
|
|
|
|
|
|
|
1 |
Chuẩn bị |
- |
1 |
3 |
3 |
2 |
1 |
1 |
11 |
|
2 |
Tiến hành điều tra thực địa |
- |
1 |
3 |
3 |
2 |
1 |
1 |
11 |
|
3 |
Tổng hợp, chỉnh lý, hoàn thiện kết quả điều tra thực địa và giao nộp sản phẩm |
- |
1 |
3 |
3 |
2 |
1 |
1 |
11 |
|
B |
Công tác nội nghiệp |
|
|
|
|
|
|
|
|
|
1 |
Thu thập, rà soát thông tin, dữ liệu và triển khai công tác ĐTĐGTNNDĐ |
1 |
3 |
2 |
2 |
1 |
1 |
- |
10 |
|
2 |
Tổng hợp, chỉnh lý, xử lý thông tin, dữ liệu thu thập và kết quả điều tra thực địa theo các nội dung đánh giá |
1 |
3 |
2 |
2 |
1 |
1 |
- |
10 |
|
3 |
Phân tích, đánh giá hiện trạng, diễn biến tài nguyên nước dưới đất |
1 |
3 |
2 |
2 |
1 |
1 |
- |
10 |
|
4 |
Chuẩn bị nội dung thông tin và biên tập các bản đồ |
1 |
3 |
2 |
2 |
1 |
1 |
- |
10 |
|
5 |
Tổng hợp, xây dựng hồ sơ, sản phẩm kết quả điều tra, đánh giá |
1 |
3 |
2 |
2 |
1 |
1 |
- |
10 |
|
6 |
Hội thảo, kiểm tra, nghiệm thu |
1 |
3 |
2 |
2 |
1 |
1 |
- |
10 |
|
7 |
In, nhân sao, lưu trữ và giao nộp sản phẩm |
1 |
3 |
2 |
2 |
1 |
1 |
- |
10 |
V. ĐỊNH MỨC LAO ĐỘNG:
Bảng 34. Định mức lao động trong công tác ĐTĐGTNNDĐ tỷ lệ 1:200.000
ĐVT: công nhóm/100km2
|
TT |
Nội dung công việc |
Định mức |
|
A |
Công tác ngoại nghiệp |
|
|
1 |
Chuẩn bị |
0,33 |
|
2 |
Tiến hành điều tra thực địa |
3,70 |
|
3 |
Tổng hợp, chỉnh lý, hoàn thiện kết quả điều tra thực địa và giao nộp sản phẩm |
0,27 |
|
B |
Công tác nội nghiệp |
|
|
1 |
Thu thập, rà soát thông tin, dữ liệu và triển khai công tác ĐTĐGTNNDĐ |
0,17 |
|
2 |
Tổng hợp, chỉnh lý, xử lý thông tin, dữ liệu thu thập và kết quả điều tra thực địa theo các nội dung đánh giá |
0,32 |
|
3 |
Phân tích, đánh giá hiện trạng, diễn biến tài nguyên nước dưới đất |
0,85 |
|
4 |
Chuẩn bị nội dung thông tin và biên tập các bản đồ |
0,17 |
|
5 |
Tổng hợp, xây dựng hồ sơ, sản phẩm kết quả điều tra, đánh giá |
0,75 |
|
6 |
Hội thảo, kiểm tra, nghiệm thu |
0,09 |
|
7 |
In, nhân sao, lưu trữ và giao nộp sản phẩm |
0,08 |
VI. ĐỊNH MỨC SỬ DỤNG VẬT LIỆU, DỤNG CỤ VÀ MÁY MÓC, THIẾT BỊ:
1. Vật liệu:
Bảng 35. Định mức sử dụng vật liệu trong công tác ĐTĐGTNNDĐ tỷ lệ 1:200.000
ĐVT: mức sử dụng/100km2
|
TT |
Danh mục vật liệu |
ĐVT |
Định mức |
|
|
Nội nghiệp |
Ngoại nghiệp |
|||
|
1 |
Bản đồ địa hình |
Mảnh |
0,20 |
0,20 |
|
2 |
Bìa mầu A4 |
Gram |
0,36 |
0,18 |
|
3 |
Bút bi |
Cái |
0,90 |
0,45 |
|
4 |
Bút kim |
Cái |
0,90 |
0,45 |
|
5 |
Bút nhớ dòng (highlight) |
Cái |
0,90 |
0,45 |
|
6 |
Bút xoá |
Cái |
1,00 |
0,50 |
|
7 |
Dầu Diezel |
Lít |
0,30 |
1,50 |
|
8 |
Giấy A4 |
Gram |
1,00 |
0,25 |
|
9 |
Mực in A0 |
Hộp |
0,01 |
- |
|
10 |
Mực in A3 |
Hộp |
0,01 |
- |
|
11 |
Mực in A3 màu |
Hộp |
0,01 |
- |
|
12 |
Mực in A4 |
Hộp |
0,06 |
- |
|
13 |
Mực in phun màu |
Hộp |
0,01 |
- |
|
14 |
Mực photocopy |
Hộp |
0,01 |
- |
|
15 |
Sổ ghi chép |
Quyển |
0,50 |
0,20 |
|
16 |
Xăng |
Lít |
- |
8,00 |
|
17 |
Điện năng |
KW |
140,70 |
57,23 |
|
18 |
Vật liệu khác |
% |
11 |
19 |
2. Dụng cụ:
Bảng 36. Định mức sử dụng dụng cụ trong công tác ĐTĐGTNNDĐ tỷ lệ 1:200.000
ĐVT: ca/100km2
|
TT |
Danh mục dụng cụ |
ĐVT |
Thời hạn (tháng) |
Định mức |
|
|
Nội nghiệp |
Ngoại nghiệp |
||||
|
1 |
Bình cứu hoả |
Bình |
24 |
14,37 |
- |
|
2 |
Ba lô |
Cái |
24 |
- |
88,51 |
|
3 |
Bàn làm việc |
Cái |
96 |
57,47 |
22,13 |
|
4 |
Bình đựng nước uống |
Bình |
6 |
- |
88,51 |
|
5 |
Bộ đo mực nước giếng khoan |
Bộ |
96 |
- |
22,13 |
|
6 |
Bộ dụng cụ đo mực nước di chuyển bằng điện |
Cái |
24 |
- |
22,13 |
|
7 |
Bộ lưu điện UPS |
Cái |
96 |
57,47 |
- |
|
8 |
Camera kỹ thuật số |
Cái |
60 |
4,79 |
22,13 |
|
9 |
Đèn neon sạc điện |
Cái |
12 |
- |
22,13 |
|
10 |
Êke |
Bộ |
24 |
14,37 |
7,38 |
|
11 |
Ghế văn phòng |
Cái |
96 |
57,47 |
22,13 |
|
12 |
Giầy BHLĐ |
Đôi |
6 |
- |
88,51 |
|
13 |
Máy Fax |
Cái |
60 |
14,37 |
- |
|
14 |
Máy GPS cầm tay |
Cái |
60 |
- |
22,13 |
|
15 |
Máy in A4 0,5Kw |
Cái |
60 |
14,37 |
- |
|
16 |
Máy in đen trắng A3 0,5KW |
Cái |
60 |
4,79 |
- |
|
17 |
Máy scan A4 0,02KW |
Cái |
60 |
14,37 |
7,38 |
|
18 |
Máy tính 0,6KW |
Cái |
60 |
57,47 |
- |
|
19 |
Máy tính bỏ túi |
Cái |
60 |
57,47 |
22,13 |
|
20 |
Mũ BHLĐ |
Cái |
12 |
- |
88,51 |
|
21 |
Ổ ghi CD 0,04 KW |
Cái |
60 |
57,47 |
- |
|
22 |
Ổn áp 10A |
Cái |
96 |
14,37 |
- |
|
23 |
Quần áo BHLĐ |
Bộ |
12 |
- |
88,51 |
|
24 |
Quần áo mưa |
Bộ |
12 |
- |
88,51 |
|
25 |
Thiết bị đun nước |
Cái |
60 |
14,37 |
- |
|
26 |
Ủng BHLĐ |
Đôi |
6 |
- |
88,51 |
|
27 |
USB |
Cái |
12 |
57,47 |
22,13 |
|
28 |
Dụng cụ khác |
% |
|
15,8 |
11,25 |
3. Máy móc, thiết bị:
Bảng 37. Định mức sử dụng máy móc, thiết bị trong công tác ĐTĐGTNNDĐ tỷ lệ 1:200.000
ĐVT: ca/100km2
|
TT |
Danh mục thiết bị |
ĐVT |
Thời hạn (tháng) |
Định mức |
|
|
Nội nghiệp |
Ngoại nghiệp |
||||
|
1 |
Điều hòa 2 chiều 12000 BTU - 2,2 Kw |
Bộ |
96 |
3,60 |
- |
|
2 |
Máy chiếu 0,5KW |
Cái |
60 |
1,44 |
- |
|
4 |
Máy đo nhanh chất lượng nước |
Cái |
60 |
- |
7,66 |
|
5 |
Máy in màu A0 - 0,8KW |
Cái |
60 |
1,44 |
- |
|
6 |
Máy phát điện 5KW |
Cái |
96 |
- |
2,55 |
|
7 |
Máy Photocopy - 1KW |
Cái |
96 |
1,44 |
- |
|
8 |
Máy scan A0 - 2KW |
Cái |
60 |
1,44 |
- |
|
9 |
Máy Scan A3 - 0,5KW |
Cái |
60 |
1,44 |
- |
|
10 |
Máy tính xách tay - 0,04KW |
Cái |
60 |
3,60 |
7,66 |
|
11 |
Ô tô 12 chỗ |
Cái |
120 |
- |
2,55 |
Ghi chú: Định mức sử dụng vật liệu, dụng cụ và máy móc, thiết bị nêu trên tính cho toàn bộ công tác nội nghiệp và ngoại nghiệp, mức cho từng bước được xác định theo bảng hệ số điều chỉnh sau:
Bảng 38. Hệ số điều chỉnh định mức sử dụng vật liệu, dụng cụ và máy móc, thiết bị cho từng bước công việc của công tác điều tra, đánh giá tỷ lệ 1:200.000
|
TT |
Nội dung công việc |
Hệ số |
|
A |
Công tác ngoại nghiệp |
1 |
|
1 |
Chuẩn bị |
0,08 |
|
2 |
Tiến hành điều tra thực địa |
0,86 |
|
3 |
Tổng hợp, chỉnh lý, hoàn thiện kết quả điều tra thực địa và giao nộp sản phẩm |
0,06 |
|
B |
Công tác nội nghiệp |
1 |
|
1 |
Thu thập, rà soát thông tin, dữ liệu và triển khai công tác ĐTĐGTNNDĐ |
0,07 |
|
2 |
Tổng hợp, chỉnh lý, xử lý thông tin, dữ liệu thu thập và kết quả điều tra thực địa theo các nội dung đánh giá |
0,13 |
|
3 |
Phân tích, đánh giá hiện trạng, diễn biến tài nguyên nước dưới đất |
0,35 |
|
4 |
Chuẩn bị nội dung thông tin và biên tập các bản đồ |
0,07 |
|
5 |
Tổng hợp, xây dựng hồ sơ, sản phẩm kết quả điều tra, đánh giá |
0,31 |
|
6 |
Hội thảo, kiểm tra, nghiệm thu |
0,04 |
|
7 |
In, nhân sao, lưu trữ và giao nộp sản phẩm |
0,03 |
B. TỶ LỆ 1:100.000
I. NỘI DUNG CÔNG VIỆC:
1. Công tác ngoại nghiệp:
1.1. Chuẩn bị:
- Nhận nhiệm vụ điều tra thực địa;
- Xác định nội dung, đối tượng, phạm vi điều tra thực địa với mật độ điểm điều tra là 1,5 điểm/km2 trong vùng điều tra, gồm:
+ Nghiên cứu nhiệm vụ điều tra thực địa và các tài liệu liên quan;
+ Xác định khối lượng công việc thực địa;
+ Xác định ranh giới giữa các thành tạo địa chất chủ yếu, các đứt gãy có trong khu vực trên bản đồ;
+ Xác định phạm vi phân bố trên bản đồ của các phức hệ chứa nước lớn, chứa nước yếu và cách nước có trong vùng điều tra.
- Lập kế hoạch, phương án, lộ trình đi điều tra thực địa;
- Chuẩn bị biểu mẫu, vật liệu, dụng cụ và máy móc, thiết bị phục vụ điều tra;
- Liên hệ địa phương và các công tác chuẩn bị khác.
1.2. Tiến hành điều tra thực địa:
- Điều tra, thu thập, cập nhật thông tin, dữ liệu về đặc điểm tài nguyên nước dưới đất tại các cơ quan liên quan trong vùng điều tra;
- Đi lộ trình điều tra tổng hợp đi theo tuyến dọc các ranh giới giữa các phức hệ chứa nước lớn, dọc các đứt gãy kiến tạo, vuông góc với những cấu trúc chứa nước lớn để quan sát, mô tả, chụp ảnh, sơ họa, khoanh vùng, thu thập thông tin, dữ liệu về đặc điểm, đặc trưng các hệ chứa nước, cách nước; các yếu tố ảnh hưởng đến tài nguyên nước dưới đất; tổng quan tình hình khai thác, sử dụng nước dưới đất và xác định các đối tượng, khu vực trọng điểm cần điều tra, đánh giá chi tiết, gồm:
+ Quan sát, mô tả, chụp ảnh, sơ họa, khoanh vùng, thu thập thông tin, dữ liệu về các đặc điểm khái quát, đặc trưng của các cấu trúc chứa nước, thành tạo đất đá chứa nước lớn và các thành tạo đất đá chứa nước yếu hoặc cách nước;
+ Quan sát, mô tả, chụp ảnh, sơ họa, khoanh vùng, thu thập thông tin, dữ liệu về các phạm vi và diện tích phân bố của lớp phủ thực vật;
+ Quan sát, mô tả, chụp ảnh, sơ họa, khoanh vùng, thu thập thông tin, dữ liệu về một số yếu tố, hoạt động ảnh hưởng đến tài nguyên nước dưới đất;
+ Xác định vị trí cần tiến hành khoan địa chất thủy văn, bơm nước, múc nước, đổ nước thí nghiệm, lấy mẫu nước, đo địa vật lý, đo trắc địa, quan trắc nước dưới đất;
+ Xác định, khoanh vùng các đối tượng, khu vực trọng điểm cần điều tra, đánh giá chi tiết.
- Tiến hành điều tra chi tiết tại các vùng, khu vực, đối tượng trọng điểm, gồm:
+ Các phức hệ chứa, cách nước chủ yếu;
+ Vùng có nguy cơ ô nhiễm, xâm nhập mặn;
+ Vùng cấp, thoát nước tự nhiên;
+ Xác định tọa độ, vị trí hành chính, xác định vị trí trên bản đồ; điều tra sơ bộ chất lượng nước về màu, mùi, nhiệt độ; xác định thành phần, mức độ nứt nẻ của đất đá; đặc điểm địa hình, địa mạo, chiều dày và đặc điểm của lớp vỏ phong hóa, lớp phủ thực vật; chiều sâu mực nước tĩnh; địa tầng khai thác nước; lưu lượng, hoặc chế độ khai thác, mực nước động tại các nguồn lộ.
- Lấy và bảo quản mẫu nước phân tích trong phòng thí nghiệm;
- Chỉnh lý số liệu điều tra thực địa, bảo dưỡng thiết bị máy móc hàng ngày.
1.3. Tổng hợp, chỉnh lý, hoàn thiện kết quả điều tra thực địa và giao nộp sản phẩm:
- Chỉnh lý, hoàn thiện các thông tin, dữ liệu điều tra thực địa;
- Nhập kết quả, thông tin, dữ liệu điều tra thực địa;
- Xử lý, chỉnh lý tổng hợp các tài liệu, số liệu, kết quả điều tra;
- Xây dựng báo cáo kết quả điều tra thực địa, sơ đồ, biểu bảng thống kê, tổng hợp kết quả điều tra thực địa;
- Hoàn chỉnh hồ sơ, tài liệu kết quả điều tra thực địa và bàn giao sản phẩm, gồm:
+ Báo cáo kết quả điều tra thực địa;
+ Sơ đồ tài liệu thực tế của các tuyến và vị trí các điểm điều tra trên nền bản đồ địa hình tỷ lệ 1:100.000;
+ Các bảng tổng hợp, thống kê kết quả điều tra tổng hợp và điều tra chi tiết và công trình khai thác, sử dụng nước chủ yếu theo đơn vị hành chính;
+ Bảng thống kê danh mục các khu vực đã điều tra tổng hợp;
+ Bảng thống kê danh mục các điểm đã điều tra chi tiết;
+ Phiếu điều tra, sổ nhật ký điều tra thực địa và các tài liệu điều tra thực địa khác.
2. Công tác nội nghiệp:
2.1. Thu thập, rà soát thông tin, dữ liệu và chuẩn bị triển khai công tác điều tra, đánh giá tài nguyên nước dưới đất:
- Nghiên cứu đề cương, hồ sơ dự án đã được phê duyệt;
- Thu thập các thông tin, dữ liệu liên quan đến vùng điều tra;
- Rà soát, thống kê, đánh giá mức độ đầy đủ, tin cậy của các tài liệu đã thu thập;
- Xác định các thông tin, dữ liệu, tài liệu còn thiếu cần thu thập bổ sung;
- Giao nhiệm vụ điều tra, đánh giá cho các nhóm thực địa.
2.2. Tổng hợp, chỉnh lý, xử lý thông tin, dữ liệu thu thập và kết quả điều tra thực địa theo các nội dung đánh giá:
- Rà soát, phân loại, các thông tin, dữ liệu thu thập và điều tra thực địa phục vụ cho việc đánh giá hiện trạng tài nguyên nước dưới đất;
- Đánh giá độ tin cậy của các thông tin, dữ liệu đã thu thập, điều tra và lựa chọn, lập danh mục các thông tin, dữ liệu phục vụ cho việc đánh giá theo nội dung yêu cầu;
- Nhập số liệu vào máy tính, kiểm tra, đồng bộ hóa thông tin, dữ liệu;
- Xử lý, tổng hợp thông tin, dữ liệu và xây dựng các biểu, bảng, đồ thị, gồm:
+ Lập danh mục các phức hệ chứa nước, cách nước;
+ Lập mục vùng có nguy cơ ô nhiễm, xâm nhập mặn;
+ Lập danh mục vùng cấp, thoát nước tự nhiên;
+ Lập danh mục giếng khoan, giếng đào khai thác nước dưới đất;
+ Lập danh mục nguồn lộ;
+ Lập danh mục hang động karst;
+ Lập các loại đồ thị diễn biến hiện trạng khai thác, sử dụng nước dưới đất theo thời gian; đồ thị biểu diễn thành phần hóa học, chất lượng nước; đồ thị dự báo nhu cầu
sử dụng nước dưới đất của các khu vực trong tương lai.
- Lập các sơ đồ điều tra tài nguyên nước dưới đất, gồm:
+ Sơ đồ phân bố các cấu trúc chứa nước, thành tạo đất đá chứa nước và phức hệ chứa nước chủ yếu;
+ Sơ đồ phân bố các khu vực cung cấp, thoát nước tự nhiên;
+ Sơ đồ phân bố các khu vực có nguy cơ ô nhiễm, xâm nhập mặn nước dưới đất;
+ Sơ đồ phân bố các công trình khai thác, điểm lộ, hang karst;
+ Sơ đồ diện phân bố và chiều dày của lớp vỏ phong hóa;
+ Sơ đồ diện phân bố lớp phủ thực vật.
2.3. Phân tích đánh giá hiện trạng, diễn biến tài nguyên nước dưới đất:
- Phân tích, đánh giá khái quát các đặc điểm, đặc trưng chủ yếu của cấu trúc chứa nước, thành tạo đất đá chứa nước lớn và các thành tạo đất đá chứa nước yếu hoặc cách nước thuộc phạm vi điều tra, đánh giá, gồm:
+ Diện tích phân bố, thành phần đất đá chủ yếu, chiều sâu thế nằm, chiều sâu phân bố trên mặt cắt, nguồn gốc đất đá; diện tích chủ yếu tại một số đơn vị hành chính;
+ Đặc tính nứt nẻ; sơ bộ khả năng chứa nước;
+ Đặc tính thủy lực chủ yếu;
+ Đặc điểm vùng cấp, thoát nước tự nhiên;
+ Đặc điểm các yếu tố chủ yếu ảnh hưởng đến đặc điểm thủy lực;
+ Đặc điểm các yếu tố ảnh hưởng đến số lượng, chất lượng nguồn nước.
- Phân tích, xác định và phân vùng mức độ chứa nước của các cấu trúc chứa nước lớn, thành tạo đất đá chứa nước, phức hệ chứa nước chủ yếu thuộc phạm vi điều tra, đánh giá, gồm:
+ Phân vùng miền cấp, miền thoát;
+ Phân vùng đẳng chiều sâu mực nước, độ cao cột áp lực;
+ Phân vùng đẳng bề dày, đẳng đặc tính thấm của lớp đất đá đới thông khí;
+ Phân vùng đẳng đặc tính thấm của các cấu trúc chứa nước lớn, thành tạo đất đá chứa nước, phức hệ chứa nước chủ yếu;
+ Phân vùng phân bố chủ yếu của lớp phủ thực vật.
- Phân tích, đánh giá khái quát và xác định những đặc trung cơ bản của trữ lượng động, tĩnh nước dưới đất theo cấu trúc chứa nước, vùng điều tra và đơn vị hành chính, gồm:
+ Tổng trữ lượng, trữ lượng động, tĩnh của nước dưới đất;
+ Diễn biến trữ lượng theo không gian, thời gian;
+ Đặc điểm các công trình, yếu tố chủ yếu ảnh hưởng đến trữ lượng nước dưới đất;
+ Đánh giá khái quát khả năng khai thác của nguồn nước dưới đất.
- Phân tích, đánh giá và sơ bộ phân vùng đẳng mô đun dòng ngầm, lượng cung cấp thấm trung bình năm, mùa kiệt, ba tháng kiệt và tháng kiệt nhất cho vùng điều tra;
- Phân tích, đánh giá chất lượng nước, phân vùng chất lượng nước, gồm:
+ Đánh giá khái quát chất lượng nước theo các mục đích sử dụng khác nhau;
+ Đánh giá khái quát tính chất vật lý, hàm lượng các thành phần hoá học cơ bản, độ tổng khoáng hóa; loại hình hóa học chủ yếu của nước dưới đất; sự biến đổi của các đặc trưng chất lượng nước qua các thời kỳ;
+ Đặc điểm vùng có nguy cơ ô nhiễm, xâm nhập mặn, công trình chính ảnh hưởng đến chất lượng;
+ Khoanh vùng chất lượng nước đáp ứng cho mục đích khác nhau.
- Đánh giá khái quát khả năng khai thác, sử dụng nguồn nước dưới đất phục vụ cấp nước sinh hoạt ở các vùng nông thôn, cấp nước cho các đô thị, các khu vực trọng điểm về KTXH; đánh giá khả năng khai thác, sử dụng nước dưới đất cho từng ngành, từng lĩnh vực theo đơn vị hành chính.
2.4. Chuẩn bị nội dung thông tin và biên tập các loại bản đồ:
a) Chuẩn bị nội dung thông tin cho các bản đồ, gồm:
- Bản đồ tài liệu thực tế tài nguyên nước dưới đất tỷ lệ 1:100.000;
- Bản đồ tài nguyên nước dưới đất tỷ lệ 1:100.000;
- Bản đồ chất lượng nước dưới đất tỷ lệ 1:100.000;
- Bản đồ mô đun dòng ngầm tỷ lệ 1:100.000.
b) Biên tập các bản đồ.
2.5. Tổng hợp, xây dựng hồ sơ sản phẩm kết quả điều tra, đánh giá:
a) Báo cáo kết quả điều tra thực địa;
b) Báo cáo tổng hợp kết quả điều tra, đánh giá tài nguyên nước dưới đất;
c) Báo cáo tóm tắt;
d) Các báo cáo chuyên đề:
- Đặc điểm tài nguyên nước dưới đất;
- Hiện trạng và diễn biến tài nguyên nước dưới đất;
- Đặc điểm chất lượng nước dưới đất.
đ) Các bản đồ:
- Bản đồ tài liệu thực tế tài nguyên nước dưới đất tỷ lệ 1:100.000;
- Bản đồ tài nguyên nước dưới đất tỷ lệ 1:100.000;
- Bản đồ chất lượng nước dưới đất tỷ lệ 1:100.000;
- Bản đồ mô đun dòng ngầm tỷ lệ 1:100.000;
- Các bản vẽ, mặt cắt khác.
e) Phụ lục: các bảng tổng hợp, thống kê kết quả điều tra tổng hợp, chi tiết theo cấu trúc chứa nước và đơn vị hành chính; bảng thống kê danh mục các điểm đã điều tra chi tiết và thông tin khác.
2.6. Hội thảo, kiểm tra, nghiệm thu:
- Hoàn thiện các báo cáo tổng hợp, báo cáo tóm tắt, báo cáo chuyên đề và các bản đồ;
- Lấy ý kiến chuyên gia, kiểm tra;
- Chuẩn bị tài liệu, báo cáo và các nội dung liên quan phục vụ hội thảo;
- Chỉnh sửa, hoàn thiện hồ sơ dự án.
2.7. In, nhân sao, lưu trữ và giao nộp sản phẩm.
- Ghi đĩa CD, nhãn đĩa sản phẩm, nhân bộ;
- In ấn sản phẩm báo cáo, bản đồ, nhân bộ;
- Vận chuyển, giao nộp sản phẩm.
(Chi tiết nội dung công việc của từng bước theo Phần III, Phụ lục số 02 của Thông tư này).
II. NHỮNG CÔNG VIỆC CHƯA TÍNH TRONG ĐỊNH MỨC:
- Khảo sát, đo đạc, khoan, bơm hút nước thí nghiệm;
- Lập mô hình dòng chảy nước dưới đất;
- Phân tích các chỉ tiêu chất lượng nước trong phòng thí nghiệm;
- Vận chuyển nhân công, vật liệu, dụng cụ và máy móc, thiết bị từ trụ sở đến hiện trường và ngược lại; vận chuyển mẫu phân tích chất lượng nước từ hiện trường về phòng thí nghiệm.
III. ĐIỀU KIỆN ÁP DỤNG VÀ CÁC HỆ SỐ HIỆU CHỈNH:
1. Điều kiện áp dụng:
Định mức điều tra, đánh giá tài nguyên nước dưới đất tỷ lệ 1:100.000 được tính cho vùng chuẩn có điều kiện áp dụng được quy định tại điểm a, mục 6.2, Phần I của Thông tư này.
2. Các hệ số điều chỉnh:
Khi vùng điều tra, đánh giá khác với các quy định về điều kiện áp dụng nêu trên, thì áp dụng các hệ số điều chỉnh cho định mức lao động, định mức sử dụng vật liệu, dụng cụ và máy móc, thiết bị được quy định và hướng dẫn áp dụng tại điểm c, mục 6.2, Phần I của Thông tư này.
Các hệ số điều chỉnh được áp dụng cho điều tra, đánh giá tài nguyên nước dưới đất tỷ lệ 1:100.000, gồm:
- Hệ số điều chỉnh theo mức độ khó khăn: Kđh, Khc và Kct;
- Hệ số điều chỉnh theo quy mô diện tích vùng điều tra, đánh giá Fdt.
IV. ĐỊNH BIÊN LAO ĐỘNG:
Bảng 39. Định biên lao động công tác ĐTĐGTNNDĐ tỷ lệ 1:100.000
ĐVT: người/100km2
|
TT |
Nội dung công việc |
Định biên lao động |
|||||||
|
KSC1 |
KS7 |
KS5 |
KS3 |
KS2 |
KS1 |
LX5 |
Nhóm |
||
|
A |
Công tác ngoại nghiệp |
|
|
|
|
|
|
|
|
|
1 |
Chuẩn bị |
- |
1 |
3 |
3 |
2 |
1 |
1 |
11 |
|
2 |
Tiến hành điều tra thực địa |
- |
1 |
3 |
3 |
2 |
1 |
1 |
11 |
|
3 |
Tổng hợp, chỉnh lý, hoàn thiện kết quả điều tra thực địa và giao nộp sản phẩm |
- |
1 |
3 |
3 |
2 |
1 |
1 |
11 |
|
B |
Công tác nội nghiệp |
|
|
|
|
|
|
|
|
|
1 |
Thu thập, rà soát thông tin, dữ liệu và triển khai công tác ĐTĐGTNNDĐ |
1 |
3 |
2 |
2 |
1 |
1 |
- |
10 |
|
2 |
Tổng hợp, chỉnh lý, xử lý thông tin, dữ liệu thu thập và kết quả điều tra thực địa theo các nội dung đánh giá |
1 |
3 |
2 |
2 |
1 |
1 |
- |
10 |
|
3 |
Phân tích, đánh giá hiện trạng, diễn biến tài nguyên nước dưới đất |
1 |
3 |
2 |
2 |
1 |
1 |
- |
10 |
|
4 |
Chuẩn bị nội dung thông tin và biên tập các bản đồ |
1 |
3 |
2 |
2 |
1 |
1 |
- |
10 |
|
5 |
Tổng hợp, xây dựng hồ sơ, sản phẩm kết quả điều tra, đánh giá |
1 |
3 |
2 |
2 |
1 |
1 |
- |
10 |
|
6 |
Hội thảo, kiểm tra, nghiệm thu |
1 |
3 |
2 |
2 |
1 |
1 |
- |
10 |
|
7 |
In, nhân sao, lưu trữ và giao nộp sản phẩm |
1 |
3 |
2 |
2 |
1 |
1 |
- |
10 |
V. ĐỊNH MỨC LAO ĐỘNG:
Bảng 40. Định mức lao động trong công tác ĐTĐGTNNDĐ tỷ lệ 1:100.000
ĐVT: công nhóm/100km2
|
TT |
Nội dung công việc |
Định mức |
|
A |
Công tác ngoại nghiệp |
|
|
1 |
Chuẩn bị |
0,55 |
|
2 |
Tiến hành điều tra thực địa |
6,17 |
|
3 |
Tổng hợp, chỉnh lý, hoàn thiện kết quả điều tra thực địa và giao nộp sản phẩm |
0,46 |
|
B |
Công tác nội nghiệp |
|
|
1 |
Thu thập, rà soát thông tin, dữ liệu và triển khai công tác ĐTĐGTNNDĐ |
0,40 |
|
2 |
Tổng hợp, chỉnh lý, xử lý thông tin, dữ liệu thu thập và kết quả điều tra thực địa theo các nội dung đánh giá |
0,73 |
|
3 |
Phân tích, đánh giá hiện trạng, diễn biến tài nguyên nước dưới đất |
1,95 |
|
4 |
Chuẩn bị nội dung thông tin và biên tập các bản đồ |
0,38 |
|
5 |
Tổng hợp, xây dựng hồ sơ, sản phẩm kết quả điều tra, đánh giá |
1,73 |
|
6 |
Hội thảo, kiểm tra, nghiệm thu |
0,22 |
|
7 |
In, nhân sao, lưu trữ và giao nộp sản phẩm |
0,18 |
VI. ĐỊNH MỨC SỬ DỤNG VẬT LIỆU, DỤNG CỤ VÀ MÁY MÓC, THIẾT BỊ:
1. Vật liệu:
Bảng 41. Định mức sử dụng vật liệu trong công tác ĐTĐGTNNDĐ tỷ lệ 1:100.000
ĐVT: mức sử dụng/100km2
|
TT |
Danh mục vật liệu |
ĐVT |
Định mức |
|
|
Nội nghiệp |
Ngoại nghiệp |
|||
|
1 |
Bản đồ địa hình |
Mảnh |
0,4 |
0,4 |
|
2 |
Bìa mầu A4 |
Gram |
0,90 |
0,45 |
|
3 |
Bút bi |
Cái |
2,25 |
1,13 |
|
4 |
Bút kim |
Cái |
2,25 |
1,13 |
|
5 |
Bút nhớ dòng (highlight) |
Cái |
2,25 |
1,13 |
|
6 |
Bút xoá |
Cái |
2,50 |
1,25 |
|
7 |
Dầu Diezel |
Lít |
0,75 |
3,75 |
|
8 |
Giấy A4 |
Gram |
2,50 |
0,63 |
|
9 |
Mực in A0 |
Hộp |
0,03 |
- |
|
10 |
Mực in A3 |
Hộp |
0,03 |
- |
|
11 |
Mực in A3 màu |
Hộp |
0,03 |
- |
|
12 |
Mực in A4 |
Hộp |
0,50 |
0,10 |
|
13 |
Mực in phun màu |
Hộp |
0,03 |
- |
|
14 |
Mực photocopy |
Hộp |
0,03 |
- |
|
15 |
Sổ ghi chép |
Quyển |
1,25 |
0,50 |
|
16 |
Xăng |
Lít |
- |
20,00 |
|
17 |
Điện năng |
KW |
351,74 |
143,08 |
|
18 |
Vật liệu khác |
% |
11 |
19 |
2. Dụng cụ:
Bảng 42. Định mức sử dụng dụng cụ trong công tác ĐTĐGTNNDĐ tỷ lệ 1:100.000
ĐVT: ca/100km2
|
TT |
Danh mục dụng cụ |
ĐVT |
Thời hạn (tháng) |
Định mức |
|
|
Nội nghiệp |
Ngoại nghiệp |
||||
|
1 |
Bình cứu hoả |
Bình |
24 |
28,74 |
- |
|
2 |
Ba lô |
Cái |
24 |
- |
177,02 |
|
3 |
Bàn làm việc |
Cái |
96 |
114,94 |
44,25 |
|
4 |
Bình đựng nước uống |
Bình |
6 |
- |
177,02 |
|
5 |
Bộ đo mực nước giếng khoan |
Bộ |
96 |
- |
44,25 |
|
6 |
Bộ dụng cụ đo mực nước di chuyển bằng điện |
Cái |
24 |
- |
44,25 |
|
7 |
Bộ lưu điện UPS |
Cái |
96 |
114,94 |
- |
|
8 |
Camera kỹ thuật số |
Cái |
60 |
9,58 |
44,25 |
|
9 |
Đèn neon sạc điện |
Cái |
12 |
- |
44,25 |
|
10 |
Êke |
Bộ |
24 |
28,74 |
14,75 |
|
11 |
Ghế văn phòng |
Cái |
96 |
114,94 |
44,25 |
|
12 |
Giầy BHLĐ |
Đôi |
6 |
- |
177,02 |
|
13 |
Máy Fax |
Cái |
60 |
28,74 |
- |
|
14 |
Máy GPS cầm tay |
Cái |
60 |
- |
44,25 |
|
15 |
Máy in A4 0,5KW |
Cái |
60 |
28,74 |
- |
|
16 |
Máy in đen trắng A3 0,5KW |
Cái |
60 |
9,58 |
- |
|
17 |
Máy scan A4 0,02KW |
Cái |
60 |
28,74 |
14,75 |
|
18 |
Máy tính 0,6KW |
Cái |
60 |
114,94 |
- |
|
19 |
Máy tính bỏ túi |
Cái |
60 |
114,94 |
44,25 |
|
20 |
Mũ BHLĐ |
Cái |
12 |
- |
177,02 |
|
21 |
Ổ ghi CD 0,04 KW |
Cái |
60 |
114,94 |
- |
|
22 |
Ổn áp 10A |
Cái |
96 |
28,74 |
- |
|
23 |
Quần áo BHLĐ |
Bộ |
12 |
- |
177,02 |
|
24 |
Quần áo mưa |
Bộ |
12 |
- |
177,02 |
|
25 |
Thiết bị đun nước |
Cái |
60 |
28,74 |
- |
|
26 |
Ủng BHLĐ |
Đôi |
6 |
- |
177,02 |
|
27 |
USB |
Cái |
12 |
114,94 |
44,25 |
|
28 |
Dụng cụ khác |
% |
|
5,91 |
6,54 |
3. Máy móc, thiết bị:
Bảng 43. Định mức sử dụng máy móc, thiết bị trong công tác ĐTĐGTNNDĐ tỷ lệ 1:100.000
ĐVT: ca/100km2
|
TT |
Danh mục thiết bị |
ĐVT |
Thời hạn (tháng) |
Định mức |
|
|
Nội nghiệp |
Ngoại nghiệp |
||||
|
1 |
Điều hòa 2 chiều 12000 BTU - 2,2 Kw |
Bộ |
96 |
7,21 |
- |
|
2 |
Máy chiếu 0,5KW |
Cái |
60 |
2,88 |
- |
|
4 |
Máy đo nhanh chất lượng nước |
Cái |
60 |
- |
15,32 |
|
5 |
Máy in màu A0 - 0,8KW |
Cái |
60 |
2,88 |
- |
|
6 |
Máy phát điện 5KW |
Cái |
96 |
- |
5,11 |
|
7 |
Máy photocopy - 1KW |
Cái |
96 |
2,88 |
- |
|
8 |
Máy scan A0 - 2KW |
Cái |
60 |
2,88 |
- |
|
9 |
Máy scan A3 - 0,5KW |
Cái |
60 |
2,88 |
- |
|
10 |
Máy tính xách tay - 0,04KW |
Cái |
60 |
7,21 |
15,32 |
|
11 |
Ô tô 12 chỗ |
Cái |
120 |
- |
5,11 |
Ghi chú: Định mức sử dụng vật liệu, dụng cụ và máy móc, thiết bị nêu trên tính cho công tác nội nghiệp và ngoại nghiệp, mức cho từng bước được xác định theo bảng hệ số điều chỉnh sau:
Bảng 44. Hệ số điều chỉnh định mức sử dụng vật liệu, dụng cụ và máy móc, thiết bị cho từng bước công việc của công tác điều tra, đánh giá tỷ lệ 1:100.000
|
TT |
Nội dung công việc |
Hệ số |
|
A |
Công tác ngoại nghiệp |
1 |
|
1 |
Chuẩn bị |
0,08 |
|
2 |
Tiến hành điều tra thực địa |
0,86 |
|
3 |
Tổng hợp, chỉnh lý, hoàn thiện kết quả điều tra thực địa và giao nộp sản phẩm |
0,06 |
|
B |
Công tác nội nghiệp |
1 |
|
1 |
Thu thập, rà soát thông tin, dữ liệu và triển khai công tác ĐTĐGTNNDĐ |
0,07 |
|
2 |
Tổng hợp, chỉnh lý, xử lý thông tin, dữ liệu thu thập và kết quả điều tra thực địa theo các nội dung đánh giá |
0,13 |
|
3 |
Phân tích, đánh giá hiện trạng, diễn biến tài nguyên nước dưới đất |
0,35 |
|
4 |
Chuẩn bị nội dung thông tin và biên tập các bản đồ |
0,07 |
|
5 |
Tổng hợp, xây dựng hồ sơ, sản phẩm kết quả điều tra, đánh giá |
0,31 |
|
6 |
Hội thảo, kiểm tra, nghiệm thu |
0,04 |
|
7 |
In, nhân sao, lưu trữ và giao nộp sản phẩm |
0,03 |
C. TỶ LỆ 1:50.000
I. NỘI DUNG CÔNG VIỆC:
1. Công tác ngoại nghiệp:
1.1. Chuẩn bị:
- Nhận nhiệm vụ điều tra thực địa;
- Xác định nội dung, đối tượng, phạm vi điều tra thực địa với mật độ điểm điều tra là 3 điểm/km2 trong vùng điều tra, gồm:
+ Nghiên cứu nhiệm vụ điều tra thực địa và các tài liệu liên quan;
+ Xác định khối lượng công việc sẽ thực hiện;
+ Xác định ranh giới giữa các thành tạo địa chất chủ yếu, các đứt gãy có trong khu vực trên bản đồ;
+ Xác định phạm vi phân bố trên bản đồ của các phức hệ, tầng chứa nước, chứa nước yếu và cách nước có trong vùng điều tra.
- Lập kế hoạch, phương án, lộ trình đi điều tra thực địa;
- Chuẩn bị biểu mẫu, vật liệu, dụng cụ và máy móc, thiết bị phục vụ điều tra;
- Liên hệ địa phương và các công tác chuẩn bị khác.
1.2. Tiến hành điều tra thực địa:
- Điều tra, thu thập, cập nhật thông tin, dữ liệu về đặc điểm tài nguyên nước dưới đất tại các cơ quan liên quan trong vùng điều tra;
- Đi lộ trình điều tra tổng hợp đi theo tuyến dọc các ranh giới giữa các phức hệ chứa nước lớn, dọc các đứt gãy kiến tạo, vuông góc với những cấu trúc chứa nước lớn để quan sát, mô tả, chụp ảnh, sơ họa, khoanh vùng, thu thập thông tin, dữ liệu về đặc điểm, đặc trưng các hệ chứa nước, cách nước; các yếu tố ảnh hưởng đến tài nguyên nước dưới đất; tổng quan tình hình khai thác, sử dụng nước dưới đất và xác định các đối tượng, khu vực trọng điểm cần điều tra, đánh giá chi tiết, gồm:
+ Quan sát, mô tả, chụp ảnh, sơ họa, khoanh vùng, thu thập thông tin, dữ liệu về các đặc điểm khái quát, đặc trưng của cấu trúc chứa nước, thành tạo đất đá chứa nước lớn và các thành tạo đất đá chứa nước yếu hoặc cách nước;
+ Quan sát, mô tả, chụp ảnh, sơ họa, khoanh vùng, thu thập thông tin, dữ liệu về các phạm vi và diện tích phân bố của lớp phủ thực vật;
+ Quan sát, mô tả, chụp ảnh, sơ họa, khoanh vùng, thu thập thông tin, dữ liệu về một số yếu tố, hoạt động ảnh hưởng đến tài nguyên nước dưới đất;
+ Xác định vị trí cần tiến hành khoan địa chất thủy văn, bơm nước, múc nước, đổ nước thí nghiệm, lấy mẫu nước, đo địa vật lý, đo trắc địa, điểm quan trắc nước dưới đất;
+ Xác định, khoanh vùng các đối tượng, khu vực trọng điểm cần điều tra, đánh giá chi tiết.
- Tiến hành điều tra chi tiết tại các vùng, khu vực, đối tượng trọng điểm, gồm:
+ Các phức hệ chứa nước, cách nước chủ yếu;
+ Vùng có nguy cơ ô nhiễm, xâm nhập mặn;
+ Vùng cấp, thoát nước tự nhiên;
+ Xác định tọa độ vị trí hành chính, vị trí trên bản đồ; điều tra sơ bộ chất lượng nước về màu, mùi, nhiệt độ; xác định thành phần, mức độ nứt nẻ của đất đá; đặc điểm địa hình, địa mạo, chiều dày và đặc điểm của lớp vỏ phong hóa, lớp phủ thực vật; chiều sâu mực nước tĩnh; địa tầng khai thác nước; lưu lượng, hoặc chế độ khai thác, mực nước động tại các nguồn lộ;
- Lấy và bảo quản mẫu nước phân tích trong phòng thí nghiệm;
- Chỉnh lý số liệu điều tra thực địa, bảo dưỡng thiết bị máy móc hàng ngày.
1.3. Tổng hợp, chỉnh lý, hoàn thiện kết quả điều tra thực địa và giao nộp sản phẩm:
- Chỉnh lý, hoàn thiện các thông tin, dữ liệu điều tra thực địa;
- Nhập kết quả, thông tin, dữ liệu điều tra thực địa;
- Xử lý, chỉnh lý tổng hợp các tài liệu, số liệu, kết quả điều tra;
- Xây dựng báo cáo kết quả điều tra thực địa, sơ đồ, biểu bảng thống kê, tổng hợp kết quả điều tra thực địa;
- Hoàn chỉnh hồ sơ, tài liệu kết quả điều tra thực địa và bàn giao sản phẩm, gồm:
+ Báo cáo kết quả điều tra thực địa;
+ Sơ đồ tài liệu thực tế của các tuyến và vị trí các điểm điều tra trên nền bản đồ địa hình tỷ lệ 1:50.000;
+ Các bảng tổng hợp, thống kê kết quả điều tra tổng hợp và điều tra chi tiết và công trình khai thác, sử dụng nước chủ yếu theo đơn vị hành chính;
+ Bảng thống kê danh mục các khu vực đã điều tra tổng hợp;
+ Bảng thống kê danh mục các điểm đã điều tra chi tiết;
+ Phiếu điều tra, sổ nhật ký điều tra thực địa và các tài liệu điều tra thực địa khác.
2. Công tác nội nghiệp:
2.1. Thu thập, rà soát thông tin, dữ liệu và chuẩn bị triển khai công tác điều tra, đánh giá tài nguyên nước dưới đất:
- Nghiên cứu đề cương, hồ sơ dự án đã được phê duyệt;
- Thu thập các thông tin, dữ liệu liên quan đến vùng điều tra;
- Rà soát, thống kê; đánh giá mức độ đầy đủ, tin cậy của các thông tin, dữ liệu đã thu thập;
- Xác định các thông tin, dữ liệu, tài liệu còn thiếu cần thu thập bổ sung;
- Giao nhiệm vụ điều tra, đánh giá cho các nhóm thực hiện.
2.2. Tổng hợp, chỉnh lý, xử lý thông tin, dữ liệu thu thập và kết quả điều tra thực địa theo các nội dung đánh giá:
- Rà soát, phân loại, các thông tin, dữ liệu thu thập và điều tra thực địa phục vụ cho việc đánh giá hiện trạng tài nguyên nước dưới đất;
- Đánh giá độ tin cậy của các thông tin, dữ liệu đã thu thập, điều tra và lựa chọn, lập danh mục các thông tin, dữ liệu phục vụ cho việc đánh giá theo nội dung yêu cầu;
- Nhập số liệu vào máy tính, kiểm tra, đồng bộ hóa thông tin, dữ liệu;
- Xử lý, tổng hợp thông tin, dữ liệu và xây dựng các biểu, bảng, đồ thị, gồm:
+ Lập danh mục các phức hệ chứa nước, cách nước;
+ Lập mục vùng có nguy cơ ô nhiễm, xâm nhập mặn;
+ Lập danh mục vùng cấp, thoát nước tự nhiên;
+ Lập danh mục giếng khoan, giếng đào khai thác nước dưới đất;
+ Lập danh mục nguồn lộ;
+ Lập danh mục hang động karst;
+ Lập các loại đồ thị diễn biến hiện trạng khai thác, sử dụng nước dưới đất theo thời gian; đồ thị biểu diễn thành phần hóa học, chất lượng nước; đồ thị dự báo nhu cầu sử dụng nước dưới đất của các khu vực trong tương lai.
- Lập các sơ đồ điều tra tài nguyên nước dưới đất, gồm:
+ Sơ đồ phân bố các cấu trúc chứa nước, thành tạo đất đá chứa nước và phức hệ chứa nước chủ yếu;
+ Sơ đồ phân bố các khu vực cung cấp, thoát nước tự nhiên;
+ Sơ đồ phân bố các khu vực có nguy cơ ô nhiễm, xâm nhập mặn nước dưới đất;
+ Sơ đồ phân bố các công trình khai thác, điểm lộ, hang động karst;
+ Sơ đồ diện phân bố và chiều dày của lớp vỏ phong hóa;
+ Sơ đồ diện phân bố lớp phủ thực vật.
2.3. Phân tích đánh giá hiện trạng, diễn biến tài nguyên nước dưới đất:
- Phân tích, đánh giá khái quát đặc điểm, đặc trưng chủ yếu của các cấu trúc chứa nước, thành tạo đất đá chứa nước lớn và các thành tạo đất đá chứa nước yếu hoặc cách nước thuộc phạm vi điều tra, đánh giá, gồm:
+ Diện tích phân bố, thành phần đất đá chủ yếu, chiều sâu thế nằm, chiều sâu phân bố trên mặt cắt, nguồn gốc đất đá; diện tích chủ yếu tại một số đơn vị hành chính;
+ Đặc tính nứt nẻ; sơ bộ khả năng chứa nước;
+ Đặc tính thủy lực chủ yếu;
+ Đặc điểm vùng cấp, thoát nước tự nhiên;
+ Đặc điểm các yếu tố chủ yếu ảnh hưởng đến đặc điểm thủy lực;
+ Đặc điểm các yếu tố ảnh hưởng đến số lượng, chất lượng nguồn nước.
- Phân tích, đánh giá và sơ bộ phân vùng mức độ chứa nước của các cấu trúc chứa nước, thành tạo đất đá chứa nước lớn và các thành tạo đất đá chứa nước yếu hoặc cách nước thuộc phạm vi điều tra, đánh giá, gồm:
+ Phân vùng miền cấp, miền thoát;
+ Phân vùng đẳng chiều sâu mực nước, độ cao cột áp lực;
+ Phân vùng đẳng bề dày, đẳng đặc tính thấm của lớp đất đá đới thông khí;
+ Phân vùng đẳng đặc tính thấm của các cấu trúc chứa nước lớn, thành tạo đất đá chứa nước, phức hệ chứa nước chủ yếu;
+ Phân vùng phân bố chủ yếu của lớp phủ thực vật.
- Phân tích, đánh giá khái quát và xác định những đặc trung cơ bản của trữ lượng động, tĩnh nước dưới đất theo cấu trúc chứa nước, vùng điều tra và đơn vị hành chính, gồm:
+ Tổng trữ lượng, trữ lượng động, tĩnh của nước dưới đất;
+ Diễn biến trữ lượng theo không gian, thời gian;
+ Đặc điểm các công trình, yếu tố chủ yếu ảnh hưởng đến trữ lượng nước dưới đất;
+ Đánh giá khái quát khả năng khai thác của nguồn nước dưới đất.
- Phân tích, đánh giá và phân vùng đẳng mô đun dòng ngầm, lượng cung cấp thấm trung bình năm, mùa kiệt, ba tháng kiệt và tháng kiệt nhất cho vùng điều tra;
- Phân tích, đánh giá chất lượng nước, phân vùng chất lượng nước, gồm:
+ Đánh giá khái quát chất lượng nước theo các mục đích sử dụng khác nhau;
+ Đánh giá khái quát tính chất vật lý, hàm lượng các thành phần hoá học cơ bản, độ tổng khoáng hóa; loại hình hóa học chủ yếu của nước dưới đất; sự biến đổi của các đặc trưng chất lượng nước qua các thời kỳ;
+ Đặc điểm vùng có nguy cơ ô nhiễm, xâm nhập mặn, công trình chính ảnh hưởng đến chất lượng;
+ Khoanh vùng chất lượng nước đáp ứng cho mục đích khác nhau.
- Đánh giá khái quát khả năng khai thác, sử dụng nguồn nước dưới đất phục vụ cấp nước sinh hoạt ở các vùng nông thôn, cấp nước cho các đô thị, các khu vực trọng điểm về KTXH; đánh giá khả năng khai thác, sử dụng nước dưới đất cho từng ngành, từng lĩnh vực theo đơn vị hành chính.
2.4. Chuẩn bị nội dung thông tin và biên tập các loại bản đồ:
a) Chuẩn bị nội dung thông tin cho các bản đồ, gồm:
- Bản đồ tài liệu thực tế tài nguyên nước dưới đất tỷ lệ 1:50.000;
- Bản đồ tài nguyên nước dưới đất tỷ lệ 1:50.000;
- Bản đồ chất lượng nước dưới đất tỷ lệ 1:50.000;
- Bản đồ mô đun dòng ngầm tỷ lệ 1:50.000.
b) Biên tập các bản đồ.
2.5. Tổng hợp, xây dựng hồ sơ sản phẩm kết quả điều tra, đánh giá:
a) Báo cáo kết quả điều tra thực địa;
b) Báo cáo tổng hợp kết quả điều tra, đánh giá tài nguyên nước dưới đất;
c) Báo cáo tóm tắt;
d) Các báo cáo chuyên đề:
- Đặc điểm tài nguyên nước dưới đất;
- Hiện trạng và diễn biến tài nguyên nước dưới đất;
- Đặc điểm chất lượng nước dưới đất.
đ) Các bản đồ:
- Bản đồ tài liệu thực tế tài nguyên nước dưới đất tỷ lệ 1:50.000;
- Bản đồ tài nguyên nước dưới đất tỷ lệ 1:50.000;
- Bản đồ chất lượng nước dưới đất tỷ lệ 1:50.000;
- Bản đồ mô đun dòng ngầm tỷ lệ 1:50.000;
- Các bản vẽ, mặt cắt khác.
e) Phụ lục: các bảng tổng hợp, thống kê kết quả điều tra tổng hợp, chi tiết theo cấu trúc chứa nước và đơn vị hành chính; bảng thống kê danh mục các điểm đã điều tra chi tiết và thông tin khác.
2.6. Hội thảo, kiểm tra, nghiệm thu:
- Hoàn thiện báo cáo tổng hợp, báo cáo tóm tắt, các báo cáo chuyên đề, các bản đồ;
- Lấy ý kiến chuyên gia, kiểm tra;
- Chuẩn bị tài liệu, báo cáo và các nội dung liên quan phục vụ hội thảo;
- Chỉnh sửa, hoàn thiện hồ sơ sản phẩm dự án.
2.7. In, nhân sao, lưu trữ và giao nộp sản phẩm:
- Ghi đĩa CD, nhãn đĩa sản phẩm, nhân bộ;
- In ấn sản phẩm báo cáo, bản đồ, nhân bộ;
- Vận chuyển, giao nộp sản phẩm.
(Chi tiết nội dung công việc của từng bước theo Phần III, Phụ lục số 02 của Thông tư này).
II. NHỮNG CÔNG VIỆC CHƯA TÍNH TRONG ĐỊNH MỨC:
- Khảo sát, đo đạc, khoan, bơm hút nước thí nghiệm;
- Lập mô hình dòng chảy nước dưới đất;
- Phân tích các chỉ tiêu chất lượng nước trong phòng thí nghiệm;
- Vận chuyển nhân công, vật liệu, dụng cụ và máy móc, thiết bị từ trụ sở đến hiện trường và ngược lại; vận chuyển mẫu phân tích chất lượng nước từ hiện trường về phòng thí nghiệm.
III. ĐIỀU KIỆN ÁP DỤNG VÀ CÁC HỆ SỐ HIỆU CHỈNH:
1. Điều kiện áp dụng:
Định mức điều tra, đánh giá tài nguyên nước dưới đất tỷ lệ 1:50.000 được tính cho vùng chuẩn có điều kiện áp dụng được quy định tại điểm a, mục 6.2, Phần I của Thông tư này.
2. Các hệ số điều chỉnh:
Khi vùng điều tra, đánh giá khác với các quy định về điều kiện áp dụng nêu trên, thì áp dụng các hệ số điều chỉnh cho định mức lao động, định mức sử dụng vật liệu, dụng cụ và máy móc, thiết bị được quy định và hướng dẫn áp dụng tại điểm c, mục 6.2, Phần I của Thông tư này.
Các hệ số điều chỉnh được áp dụng cho điều tra, đánh giá tài nguyên nước dưới đất tỷ lệ 1:50.000, gồm:
- Hệ số điều chỉnh theo mức độ khó khăn: Kđh, Khc và Kct;
- Hệ số điều chỉnh theo quy mô diện tích vùng điều tra, đánh giá Fdt.
IV. ĐỊNH BIÊN LAO ĐỘNG:
Bảng 45. Định biên lao động công tác ĐTĐGTNNDĐ tỷ lệ 1:50.000
ĐVT: người/100km2
|
TT |
Nội dung công việc |
Định biên lao động |
|||||||
|
KSC1 |
KS7 |
KS5 |
KS3 |
KS2 |
KS1 |
LX5 |
Nhóm |
||
|
A |
Công tác ngoại nghiệp |
|
|
|
|
|
|
|
|
|
1 |
Chuẩn bị |
- |
1 |
3 |
3 |
2 |
1 |
1 |
11 |
|
2 |
Tiến hành điều tra thực địa |
- |
1 |
3 |
3 |
2 |
1 |
1 |
11 |
|
3 |
Tổng hợp, chỉnh lý, hoàn thiện kết quả điều tra thực địa và giao nộp sản phẩm |
- |
1 |
3 |
3 |
2 |
1 |
1 |
11 |
|
B |
Công tác nội nghiệp |
|
|
|
|
|
|
|
|
|
1 |
Thu thập, rà soát thông tin, dữ liệu và triển khai công tác ĐTĐGTNNDĐ |
1 |
3 |
2 |
2 |
1 |
1 |
- |
10 |
|
2 |
Tổng hợp, chỉnh lý, xử lý thông tin, dữ liệu thu thập và kết quả điều tra thực địa theo các nội dung đánh giá |
1 |
3 |
2 |
2 |
1 |
1 |
- |
10 |
|
3 |
Phân tích, đánh giá hiện trạng, diễn biến tài nguyên nước dưới đất |
1 |
3 |
2 |
2 |
1 |
1 |
- |
10 |
|
4 |
Chuẩn bị nội dung thông tin và biên tập các bản đồ |
1 |
3 |
2 |
2 |
1 |
1 |
- |
10 |
|
5 |
Tổng hợp, xây dựng hồ sơ, sản phẩm kết quả điều tra, đánh giá |
1 |
3 |
2 |
2 |
1 |
1 |
- |
10 |
|
6 |
Hội thảo, kiểm tra, nghiệm thu |
1 |
3 |
2 |
2 |
1 |
1 |
- |
10 |
|
7 |
In, nhân sao, lưu trữ và giao nộp sản phẩm |
1 |
3 |
2 |
2 |
1 |
1 |
- |
10 |
V. ĐỊNH MỨC LAO ĐỘNG:
Bảng 46. Định mức lao động trong công tác ĐTĐGTNNDĐ tỷ lệ 1:50.000
ĐVT: công nhóm/100km2
|
TT |
Nội dung công việc |
Định mức |
|
A |
Công tác ngoại nghiệp |
|
|
1 |
Chuẩn bị |
1,23 |
|
2 |
Tiến hành điều tra thực địa |
13,88 |
|
3 |
Tổng hợp, chỉnh lý, hoàn thiện kết quả điều tra thực địa và giao nộp sản phẩm |
1,02 |
|
B |
Công tác nội nghiệp |
|
|
1 |
Thu thập, rà soát thông tin, dữ liệu và chuẩn bị triển khai công tác ĐTĐGTNNDĐ |
0,90 |
|
2 |
Xử lý, tổng hợp thông tin, dữ liệu thu thập và điều tra thực địa theo nội dung đánh giá |
1,64 |
|
3 |
Phân tích đánh giá hiện trạng, diễn biến tài nguyên nước dưới đất |
4,38 |
|
4 |
Chuẩn bị nội dung thông tin và biên tập các bản đồ |
0,86 |
|
5 |
Tổng hợp, xây dựng hồ sơ sản phẩm kết quả điều tra, đánh giá |
3,89 |
|
6 |
Kiểm tra, nghiệm thu |
0,49 |
|
7 |
In, nhân sao, lưu trữ và giao nộp sản phẩm |
0,41 |
VI. ĐỊNH MỨC SỬ DỤNG VẬT LIỆU, DỤNG CỤ VÀ MÁY MÓC, THIẾT BỊ:
1. Vật liệu:
Bảng 47. Định mức sử dụng vật liệu trong công tác ĐTĐGTNNDĐ tỷ lệ 1:50.000
ĐVT: mức sử dụng/100km2
|
TT |
Danh mục vật liệu |
ĐVT |
Định mức |
|
|
Nội nghiệp |
Ngoại nghiệp |
|||
|
1 |
Bản đồ địa hình |
Mảnh |
0,60 |
0,60 |
|
2 |
Bìa mầu A4 |
Gram |
1,62 |
0,81 |
|
3 |
Bút bi |
Cái |
4,05 |
2,03 |
|
4 |
Bút kim |
Cái |
4,05 |
2,03 |
|
5 |
Bút nhớ dòng (highlight) |
Cái |
4,05 |
2,03 |
|
6 |
Bút xoá |
Cái |
4,50 |
2,25 |
|
7 |
Dầu Diezel |
Lít |
1,35 |
6,75 |
|
8 |
Giấy A4 |
Gram |
4,50 |
1,13 |
|
9 |
Mực in A0 |
Hộp |
0,05 |
- |
|
10 |
Mực in A3 |
Hộp |
0,05 |
- |
|
11 |
Mực in A3 màu |
Hộp |
0,05 |
- |
|
12 |
Mực in A4 |
Hộp |
1,80 |
- |
|
13 |
Mực in phun màu |
Hộp |
0,05 |
- |
|
14 |
Mực photocopy |
Hộp |
0,05 |
- |
|
15 |
Sổ ghi chép |
Quyển |
2,25 |
0,90 |
|
16 |
Xăng |
Lít |
- |
36,00 |
|
17 |
Điện năng |
KW |
633,14 |
257,55 |
|
18 |
Vật liệu khác |
% |
11 |
19 |
2. Dụng cụ:
Bảng 48. Định mức sử dụng dụng cụ trong công tác ĐTĐGTNNDĐ tỷ lệ 1:50.000
ĐVT: ca/100km2
|
TT |
Danh mục dụng cụ |
ĐVT |
Thời hạn (tháng) |
Định mức |
|
|
Nội nghiệp |
Ngoại nghiệp |
||||
|
1 |
Bình cứu hoả |
Bình |
24 |
64,65 |
- |
|
2 |
Ba lô |
Cái |
24 |
- |
398,29 |
|
3 |
Bàn làm việc |
Cái |
96 |
258,62 |
99,57 |
|
4 |
Bình đựng nước uống |
Bình |
6 |
- |
398,29 |
|
5 |
Bộ đo mực nước giếng khoan |
Bộ |
96 |
- |
99,57 |
|
6 |
Bộ dụng cụ đo mực nước di chuyển bằng điện |
Cái |
24 |
- |
99,57 |
|
7 |
Bộ lưu điện UPS |
Cái |
96 |
258,62 |
- |
|
8 |
Camera kỹ thuật số |
Cái |
60 |
21,55 |
99,57 |
|
9 |
Đèn neon sạc điện |
Cái |
12 |
- |
99,57 |
|
10 |
Êke |
Bộ |
24 |
64,65 |
33,19 |
|
11 |
Ghế văn phòng |
Cái |
96 |
258,62 |
99,57 |
|
12 |
Giầy BHLĐ |
Đôi |
6 |
- |
398,29 |
|
13 |
Máy Fax |
Cái |
60 |
64,65 |
- |
|
14 |
Máy GPS cầm tay |
Cái |
60 |
- |
99,57 |
|
15 |
Máy in A4 0,5Kw |
Cái |
60 |
64,65 |
- |
|
16 |
Máy in đen trắng A3 0,5Kw |
Cái |
60 |
21,55 |
- |
|
17 |
Máy scan A4 0,02Kw |
Cái |
60 |
64,65 |
33,19 |
|
18 |
Máy tính 0,6Kw |
Cái |
60 |
258,62 |
- |
|
19 |
Máy tính bỏ túi |
Cái |
60 |
258,62 |
99,57 |
|
20 |
Mũ BHLĐ |
Cái |
12 |
- |
398,29 |
|
21 |
Ổ ghi CD 0,04 Kw |
Cái |
60 |
258,62 |
- |
|
22 |
Ổn áp 10A |
Cái |
96 |
64,65 |
- |
|
23 |
Quần áo BHLĐ |
Bộ |
12 |
- |
398,29 |
|
24 |
Quần áo mưa |
Bộ |
12 |
- |
398,29 |
|
25 |
Thiết bị đun nước |
Cái |
60 |
64,65 |
- |
|
26 |
Ủng BHLĐ |
Đôi |
6 |
- |
398,29 |
|
27 |
USB |
Cái |
12 |
258,62 |
99,57 |
|
28 |
Dụng cụ khác |
% |
|
5,91 |
6,54 |
3. Máy móc, thiết bị:
Bảng 49. Định mức sử dụng máy móc, thiết bị trong công tác ĐTĐGTNNDĐ tỷ lệ 1:50.000
ĐVT: ca/100km2
|
TT |
Danh mục thiết bị |
ĐVT |
Thời hạn (tháng) |
Định mức |
|
|
Nội nghiệp |
Ngoại nghiệp |
||||
|
1 |
Điều hòa 2 chiều 12000 BTU - 2,2 Kw |
Bộ |
96 |
16,22 |
- |
|
2 |
Máy chiếu 0,5KW |
Cái |
60 |
6,49 |
- |
|
4 |
Máy đo nhanh chất lượng nước |
Cái |
60 |
- |
34,47 |
|
5 |
Máy in màu A0 - 0,8KW |
Cái |
60 |
6,49 |
- |
|
6 |
Máy phát điện 5KW |
Cái |
96 |
- |
11,49 |
|
7 |
Máy photocopy - 1KW |
Cái |
96 |
6,49 |
- |
|
8 |
Máy scan A0 - 2KW |
Cái |
60 |
6,49 |
- |
|
9 |
Máy scan A3 - 0,5KW |
Cái |
60 |
6,49 |
- |
|
10 |
Máy tính xách tay - 0,04KW |
Cái |
60 |
16,22 |
34,47 |
|
11 |
Ô tô 12 chỗ |
Cái |
120 |
- |
11,49 |
Ghi chú: Định mức sử dụng vật liệu, dụng cụ và máy móc, thiết bị nêu trên tính cho toàn bộ công tác nội nghiệp và ngoại nghiệp, mức cho từng bước được xác định theo bảng hệ số điều chỉnh sau:
Bảng 50. Hệ số điều chỉnh mức cho từng bước công việc
|
TT |
Nội dung công việc |
Hệ số |
|
A |
Công tác ngoại nghiệp |
1 |
|
1 |
Chuẩn bị |
0,08 |
|
2 |
Tiến hành điều tra thực địa |
0,86 |
|
3 |
Tổng hợp, chỉnh lý, hoàn thiện kết quả điều tra thực địa và giao nộp sản phẩm |
0,06 |
|
B |
Công tác nội nghiệp |
1 |
|
1 |
Thu thập, rà soát thông tin, dữ liệu và triển khai công tác ĐTĐGTNNDĐ |
0,07 |
|
2 |
Tổng hợp, chỉnh lý, xử lý thông tin, dữ liệu thu thập và kết quả điều tra thực địa theo các nội dung đánh giá |
0,13 |
|
3 |
Phân tích, đánh giá hiện trạng, diễn biến tài nguyên nước dưới đất |
0,35 |
|
4 |
Chuẩn bị nội dung thông tin và biên tập các bản đồ |
0,07 |
|
5 |
Tổng hợp, xây dựng hồ sơ, sản phẩm kết quả điều tra, đánh giá |
0,31 |
|
6 |
Hội thảo, kiểm tra, nghiệm thu |
0,04 |
|
7 |
In, nhân sao, lưu trữ và giao nộp sản phẩm |
0,03 |
D. TỶ LỆ 1:25.000
I. NỘI DUNG CÔNG VIỆC:
1. Công tác ngoại nghiệp:
1.1. Chuẩn bị:
- Nhận nhiệm vụ điều tra thực địa;
- Xác định nội dung, đối tượng, phạm vi điều tra thực địa với mật độ điểm điều tra là 6 điểm/km2 trong vùng điều tra, gồm:
+ Nghiên cứu nhiệm vụ điều tra thực địa và các tài liệu liên quan;
+ Xác định khối lượng công việc sẽ thực hiện;
+ Xác định ranh giới giữa các thành tạo địa chất chủ yếu, các đứt gãy có trong khu vực trên bản đồ;
+ Xác định phạm vi phân bố trên bản đồ của các phức hệ, tầng chứa nước, chứa nước yếu và cách nước có trong vùng điều tra.
- Lập kế hoạch, phương án, lộ trình đi điều tra thực địa;
- Chuẩn bị biểu mẫu, vật liệu, dụng cụ và máy móc, thiết bị phục vụ điều tra;
- Liên hệ địa phương và các công tác chuẩn bị khác.
1.2. Tiến hành điều tra thực địa:
- Điều tra, thu thập, cập nhật thông tin, dữ liệu về đặc điểm tài nguyên nước dưới đất tại các cơ quan liên quan trong vùng điều tra;
- Lộ trình điều tra tổng hợp đi theo tuyến dọc các ranh giới giữa các phức hệ chứa nước lớn, dọc các đứt gãy kiến tạo, vuông góc với những cấu trúc chứa nước lớn để quan sát, mô tả, chụp ảnh, sơ họa, khoanh vùng, thu thập thông tin, dữ liệu về đặc điểm, đặc trưng các hệ chứa nước, cách nước; các yếu tố ảnh hưởng đến nguồn nước dưới đất; tổng quan tình hình khai thác, sử dụng nước dưới đất và xác định các đối tượng, khu vực trọng điểm cần điều tra, đánh giá chi tiết, gồm:
+ Quan sát, mô tả, chụp ảnh, sơ họa, khoanh vùng, thu thập thông tin, dữ liệu về các đặc điểm khái quát, đặc trưng của các cấu trúc chứa nước, thành tạo đất đá chứa nước, hệ chứa nước và của các thành tạo đất đá chứa nước yếu hoặc cách nước;
+ Quan sát, mô tả, chụp ảnh, sơ họa, khoanh vùng, thu thập thông tin, dữ liệu về phạm vi và diện tích phân bố của lớp phủ thực vật;
+ Quan sát, mô tả, chụp ảnh, sơ họa, khoanh vùng, thu thập thông tin, dữ liệu về một số yếu tố, hoạt động ảnh hưởng đến nguồn nước dưới đất;
+ Xác định vị trí khoan địa chất thủy văn, bơm nước, múc nước, đổ nước thí nghiệm, lấy mẫu nước, đo địa vật lý, đo trắc địa, điểm quan trắc nước dưới đất;
+ Xác định, khoanh vùng các đối tượng, khu vực trọng điểm cần điều tra, đánh giá chi tiết.
- Tiến hành điều tra chi tiết tại các vùng, khu vực, đối tượng trọng điểm, gồm:
+ Các phức hệ chứa nước, cách nước chủ yếu;
+ Vùng có nguy cơ ô nhiễm, xâm nhập mặn;
+ Vùng cấp, thoát nước tự nhiên;
+ Xác định tọa độ; vị trí hành chính; vị trí trên bản đồ; đánh giá sơ bộ chất lượng nước về màu, mùi, nhiệt độ; xác định thành phần, mức độ nứt nẻ của đất đá; đặc điểm địa hình, địa mạo, chiều dày và đặc điểm của lớp vỏ phong hóa, lớp phủ thực vật; chiều sâu mực nước tĩnh; địa tầng khai thác nước; lưu lượng, hoặc chế độ khai thác, mực nước động tại các nguồn lộ.
- Lấy và bảo quản mẫu nước phân tích trong phòng thí nghiệm;
- Chỉnh lý số liệu điều tra thực địa, bảo dưỡng thiết bị máy móc hàng ngày.
1.3. Tổng hợp, chỉnh lý, hoàn thiện kết quả điều tra thực địa và giao nộp sản phẩm:
- Chỉnh lý, hoàn thiện các thông tin, dữ liệu điều tra thực địa;
- Nhập kết quả, thông tin, dữ liệu điều tra thực hiện;
- Xử lý, chỉnh lý tổng hợp các tài liệu, số liệu, kết quả điều tra;
- Xây dựng báo cáo kết quả điều tra thực địa, sơ đồ, biểu bảng thống kê, tổng hợp kết quả điều tra thực địa;
- Hoàn chỉnh hồ sơ, tài liệu kết quả điều tra thực địa và bàn giao sản phẩm, gồm:
+ Báo cáo kết quả điều tra thực địa;
+ Sơ đồ tài liệu thực tế: các tuyến và vị trí các điểm điều tra trên nền bản đồ địa hình tỷ lệ 1:25.000;
+ Các bảng tổng hợp, thống kê kết quả điều tra tổng hợp và điều tra chi tiết và công trình khai thác, sử dụng nước chủ yếu theo từng phúc hệ chứa nước và đơn vị hành chính;
+ Bảng thống kê danh mục các khu vực đã điều tra tổng hợp;
+ Bảng thống kê danh mục các điểm đã điều tra chi tiết;
+ Phiếu điều tra, sổ nhật ký điều tra thực địa và các tài liệu điều tra thực địa khác.
2. Công tác nội nghiệp:
2.1. Thu thập, rà soát thông tin, dữ liệu và chuẩn bị triển khai công tác điều tra, đánh giá tài nguyên nước dưới đất:
- Nghiên cứu đề cương, hồ sơ dự án đã được phê duyệt;
- Thu thập các thông tin, dữ liệu liên quan đến vùng điều tra;
- Rà soát, thống kê, đánh giá mức độ đầy đủ, tin cậy của các thông tin, dữ liệu đã thu thập;
- Xác định các thông tin, dữ liệu, tài liệu còn thiếu cần thu thập bổ sung;
- Giao nhiệm vụ điều tra, đánh giá cho các nhóm thực địa.
2.2. Xử lý, tổng hợp thông tin, dữ liệu thu thập và điều tra thực địa theo các nội dung đánh giá:
- Rà soát, phân loại, các thông tin, dữ liệu đã thu thập và điều tra thực địa phục vụ cho việc đánh giá hiện trạng tài nguyên nước dưới đất;
- Đánh giá độ tin cậy của các thông tin, dữ liệu đã thu thập, điều tra và lựa chọn, lập danh mục các thông tin, dữ liệu phục vụ cho việc đánh giá theo nội dung yêu cầu;
- Nhập số liệu vào máy tính, kiểm tra, đồng bộ hóa thông tin, dữ liệu;
- Xử lý, tổng hợp thông tin, dữ liệu và xây dựng các biểu, bảng, đồ thị, gồm:
+ Lập danh mục các phức hệ chứa nước, cách nước;
+ Lập mục vùng có nguy cơ ô nhiễm, xâm nhập mặn;
+ Lập danh mục vùng cấp, thoát nước tự nhiên;
+ Lập danh mục giếng khoan, giếng đào khai thác nước dưới đất;
+ Lập danh mục nguồn lộ;
+ Lập danh mục hang động karst;
+ Lập các loại đồ thị diễn biến hiện trạng khai thác, sử dụng nước dưới đất theo thời gian; đồ thị biểu diễn thành phần hóa học, chất lượng nước; đồ thị dự báo nhu cầu sử dụng nước dưới đất của các khu vực trong tương lai.
- Lập các sơ đồ điều tra tài nguyên nước dưới đất, gồm:
+ Sơ đồ phân bố các cấu trúc chứa nước, thành tạo đất đá chứa nước và phức hệ chứa nước chủ yếu;
+ Sơ đồ phân bố các khu vực cung cấp, thoát nước tự nhiên;
+ Sơ đồ phân bố các khu vực có nguy cơ ô nhiễm, xâm nhập mặn nước dưới đất;
+ Sơ đồ phân bố các công trình khai thác, điểm lộ, hang động karst;
+ Sơ đồ diện phân bố và chiều dày của lớp vỏ phong hóa;
+ Sơ đồ diện phân bố lớp phủ thực vật.
2.3. Phân tích đánh giá hiện trạng, diễn biến tài nguyên nước dưới đất:
- Phân tích, đánh giá khái quát đặc điểm, đặc trưng chủ yếu của các cấu trúc chứa nước, thành tạo đất đá chứa nước, phức hệ chứa nước lớn và của các thành tạo đất đá chứa nước yếu hoặc cách nước thuộc phạm vi điều tra, đánh giá, gồm:
+ Diện tích phân bố, thành phần đất đá chủ yếu, chiều sâu thế nằm, chiều sâu phân bố trên mặt cắt, nguồn gốc đất đá; diện tích chủ yếu tại một số đơn vị hành chính;
+ Đặc tính nứt nẻ; sơ bộ khả năng chứa nước;
+ Đặc tính thủy lực chủ yếu;
+ Đặc điểm vùng cấp, thoát nước tự nhiên;
+ Đặc điểm các yếu tố chủ yếu ảnh hưởng đến đặc điểm thủy lực;
+ Đặc điểm các yếu tố ảnh hưởng đến số lượng, chất lượng nguồn nước.
- Phân tích, đánh giá và sơ bộ phân vùng mức độ chứa nước của cấu trúc chứa nước, thành tạo đất đá chứa nước, phức hệ chứa nước lớn và của các thành tạo đất đá chứa nước yếu hoặc cách nước thuộc phạm vi điều tra, đánh giá, gồm:
+ Phân vùng miền cấp, miền thoát;
+ Phân vùng đẳng chiều sâu mực nước, độ cao cột áp lực;
+ Phân vùng đẳng bề dày, đẳng đặc tính thấm của lớp đất đá đới thông khí;
+ Phân vùng đẳng đặc tính thấm của các cấu trúc chứa nước lớn, thành tạo đất đá chứa nước, phức hệ chứa nước chủ yếu;
+ Phân vùng phân bố chủ yếu của lớp phủ thực vật.
- Phân tích, đánh giá khái quát và xác định những đặc trung cơ bản của trữ lượng động, tĩnh nước dưới đất theo cấu trúc chứa nước, vùng điều tra và đơn vị hành chính, gồm:
+ Tổng trữ lượng, trữ lượng động, tĩnh của nước dưới đất;
+ Diễn biến trữ lượng theo không gian, thời gian;
+ Đặc điểm các công trình, yếu tố chủ yếu ảnh hưởng đến trữ lượng nước dưới đất;
+ Đánh giá khái quát khả năng khai thác của nguồn nước dưới đất.
- Phân tích, xác định và phân vùng đẳng mô đun dòng ngầm, lượng cung cấp thấm trung bình năm, mùa kiệt, ba tháng kiệt và tháng kiệt nhất cho vùng điều tra;
- Phân tích, đánh giá chất lượng nước, phân vùng chất lượng nước, gồm:
+ Đánh giá khái quát chất lượng nước theo các mục đích sử dụng khác nhau;
+ Đánh giá khái quát tính chất vật lý, hàm lượng các thành phần hoá học cơ bản, độ tổng khoáng hóa; loại hình hóa học chủ yếu của nước dưới đất; sự biến đổi các đặc trưng chất lượng nước qua các thời kỳ;
+ Đặc điểm vùng có nguy cơ ô nhiễm, xâm nhập mặn, công trình chính ảnh hưởng đến chất lượng;
+ Khoanh vùng chất lượng nước đáp ứng cho các mục đích sử dụng.
- Đánh giá khái quát khả năng khai thác, sử dụng nguồn nước dưới đất phục vụ cấp nước sinh hoạt ở các vùng nông thôn, cấp nước cho các đô thị, các khu vực trọng điểm về KTXH; đánh giá khả năng khai thác, sử dụng nước dưới đất cho từng ngành, từng lĩnh vực theo đơn vị hành chính.
2.4. Chuẩn bị nội dung thông tin và biên tập các loại bản đồ:
a) Chuẩn bị nội dung thông tin cho các bản đồ, gồm:
- Bản đồ tài liệu thực tế tài nguyên nước dưới đất tỷ lệ 1:25.000;
- Bản đồ tài nguyên nước dưới đất tỷ lệ 1:25.000;
- Bản đồ chất lượng nước dưới đất tỷ lệ 1:25.000;
- Bản đồ mô đun dòng ngầm tỷ lệ 1:25.000.
b) Biên tập các bản đồ.
2.5. Tổng hợp, xây dựng hồ sơ sản phẩm kết quả điều tra, đánh giá:
a) Báo cáo kết quả điều tra thực địa;
b) Báo cáo tổng hợp kết quả điều tra, đánh giá tài nguyên nước dưới đất;
c) Báo cáo tóm tắt;
d) Các báo cáo chuyên đề:
- Đặc điểm tài nguyên nước dưới đất;
- Hiện trạng và diễn biến tài nguyên nước dưới đất;
- Đặc điểm chất lượng nước dưới đất.
đ) Các bản đồ:
- Bản đồ tài liệu thực tế tài nguyên nước dưới đất tỷ lệ 1:25.000;
- Bản đồ tài nguyên nước dưới đất tỷ lệ 1:25.000;
- Bản đồ chất lượng nước dưới đất tỷ lệ 1:25.000;
- Bản đồ mô đun dòng ngầm tỷ lệ 1:25.000;
- Các bản vẽ, mặt cắt khác.
e) Phụ lục: các bảng tổng hợp, thống kê kết quả điều tra tổng hợp, chi tiết theo cấu trúc chứa nước và đơn vị hành chính; bảng thống kê danh mục các điểm đã điều tra chi tiết và thông tin khác.
2.6. Hội thảo, kiểm tra, nghiệm thu:
- Hoàn thiện báo cáo tổng hợp, báo cáo tóm tắt, các báo cáo chuyên đề, các bản đồ;
- Lấy ý kiến chuyên gia, kiểm tra;
- Chuẩn bị tài liệu, báo cáo và các nội dung liên quan phục vụ hội thảo;
- Chỉnh sửa, hoàn thiện hồ sơ sản phẩm dự án.
2.7. In, nhân sao, lưu trữ và giao nộp sản phẩm:
- Ghi đĩa CD, nhãn đĩa sản phẩm, nhân bộ;
- In ấn sản phẩm báo cáo, bản đồ, nhân bộ;
- Vận chuyển, giao nộp sản phẩm.
(Chi tiết nội dung công việc của từng bước theo Phần III, Phụ lục số 02 của Thông tư này).
II. NHỮNG CÔNG VIỆC CHƯA TÍNH TRONG ĐỊNH MỨC:
- Khảo sát, đo đạc, khoan, bơm hút nước thí nghiệm;
- Lập mô hình dòng chảy nước dưới đất;
- Phân tích các chỉ tiêu chất lượng nước trong phòng thí nghiệm;
- Vận chuyển nhân công, vật liệu, dụng cụ và máy móc, thiết bị từ trụ sở đến hiện trường và ngược lại; vận chuyển mẫu phân tích chất lượng nước từ hiện trường về phòng thí nghiệm.
III. ĐIỀU KIỆN ÁP DỤNG VÀ CÁC HỆ SỐ HIỆU CHỈNH:
1. Điều kiện áp dụng:
Định mức điều tra, đánh giá tài nguyên nước dưới đất tỷ lệ 1:25.000 được tính cho vùng chuẩn có điều kiện áp dụng được quy định tại điểm a, mục 6.2, Phần I của Thông tư này.
2. Các hệ số điều chỉnh:
Khi vùng điều tra, đánh giá khác với các quy định về điều kiện áp dụng nêu trên, thì áp dụng các hệ số điều chỉnh cho định mức lao động, định mức sử dụng vật liệu, dụng cụ và máy móc, thiết bị được quy định và hướng dẫn áp dụng tại điểm c, mục 6.2, Phần I của Thông tư này.
Các hệ số điều chỉnh được áp dụng cho điều tra, đánh giá tài nguyên nước dưới đất tỷ lệ 1:25.000, gồm:
- Hệ số điều chỉnh theo mức độ khó khăn: Kđh, Khc và Kct;
- Hệ số điều chỉnh theo quy mô diện tích vùng điều tra, đánh giá Fdt.
IV. ĐỊNH BIÊN LAO ĐỘNG:
Bảng 51. Định biên lao động công tác ĐTĐGTNNDĐ tỷ lệ 1:25.000
ĐVT: người/100km2
|
TT |
Nội dung công việc |
Định biên lao động |
|||||||
|
KSC1 |
KS7 |
KS5 |
KS3 |
KS2 |
KS1 |
LX5 |
Nhóm |
||
|
A |
Công tác ngoại nghiệp |
|
|
|
|
|
|
|
|
|
1 |
Chuẩn bị |
- |
1 |
3 |
3 |
2 |
1 |
1 |
11 |
|
2 |
Tiến hành điều tra thực địa |
- |
1 |
3 |
3 |
2 |
1 |
1 |
11 |
|
3 |
Tổng hợp, chỉnh lý, hoàn thiện kết quả điều tra thực địa và giao nộp sản phẩm |
- |
1 |
3 |
3 |
2 |
1 |
1 |
11 |
|
B |
Công tác nội nghiệp |
|
|
|
|
|
|
|
|
|
1 |
Thu thập, rà soát thông tin, dữ liệu và triển khai công tác ĐTĐGTNNDĐ |
1 |
3 |
2 |
2 |
1 |
1 |
- |
10 |
|
2 |
Tổng hợp, chỉnh lý, xử lý thông tin, dữ liệu thu thập và kết quả điều tra thực địa theo các nội dung đánh giá |
1 |
3 |
2 |
2 |
1 |
1 |
- |
10 |
|
3 |
Phân tích, đánh giá hiện trạng, diễn biến tài nguyên nước dưới đất |
1 |
3 |
2 |
2 |
1 |
1 |
- |
10 |
|
4 |
Chuẩn bị nội dung thông tin và biên tập các bản đồ |
1 |
3 |
2 |
2 |
1 |
1 |
- |
10 |
|
5 |
Tổng hợp, xây dựng hồ sơ, sản phẩm kết quả điều tra, đánh giá |
1 |
3 |
2 |
2 |
1 |
1 |
- |
10 |
|
6 |
Hội thảo, kiểm tra, nghiệm thu |
1 |
3 |
2 |
2 |
1 |
1 |
- |
10 |
|
7 |
In, nhân sao, lưu trữ và giao nộp sản phẩm |
1 |
3 |
2 |
2 |
1 |
1 |
- |
10 |
V. ĐỊNH MỨC LAO ĐỘNG:
Bảng 52. Định mức lao động trong công tác ĐTĐGTNNDĐ tỷ lệ 1:25.000
ĐVT: công nhóm/100km2
|
TT |
Nội dung công việc |
Định mức |
|
A |
Công tác ngoại nghiệp |
|
|
1 |
Chuẩn bị |
3,81 |
|
2 |
Tiến hành điều tra thực địa |
43,03 |
|
3 |
Tổng hợp, chỉnh lý, hoàn thiện kết quả điều tra thực địa và giao nộp sản phẩm |
3,17 |
|
B |
Công tác nội nghiệp |
|
|
1 |
Thu thập, rà soát thông tin, dữ liệu và triển khai công tác ĐTĐGTNNDĐ |
2,79 |
|
2 |
Tổng hợp, chỉnh lý, xử lý thông tin, dữ liệu thu thập và kết quả điều tra thực địa theo các nội dung đánh giá |
5,08 |
|
3 |
Phân tích, đánh giá hiện trạng, diễn biến tài nguyên nước dưới đất |
13,58 |
|
4 |
Chuẩn bị nội dung thông tin và biên tập các bản đồ |
2,67 |
|
5 |
Tổng hợp, xây dựng hồ sơ, sản phẩm kết quả điều tra, đánh giá |
12,06 |
|
6 |
Hội thảo, kiểm tra, nghiệm thu |
1,52 |
|
7 |
In, nhân sao, lưu trữ và giao nộp sản phẩm |
1,27 |
VI. ĐỊNH MỨC SỬ DỤNG VẬT LIỆU, DỤNG CỤ VÀ MÁY MÓC, THIẾT BỊ:
1. Vật liệu:
Bảng 53. Định mức sử dụng vật liệu trong công tác ĐTĐGTNNDĐ tỷ lệ 1:25.000
ĐVT: mức sử dụng/100km2
|
TT |
Danh mục vật liệu |
ĐVT |
Định mức |
|
|
Nội nghiệp |
Ngoại nghiệp |
|||
|
1 |
Bản đồ địa hình |
Mảnh |
0,80 |
0,80 |
|
2 |
Bìa mầu A4 |
Gram |
5,22 |
2,61 |
|
3 |
Bút bi |
Cái |
13,05 |
6,53 |
|
4 |
Bút kim |
Cái |
13,05 |
6,53 |
|
5 |
Bút nhớ dòng (highlight) |
Cái |
13,05 |
6,53 |
|
6 |
Bút xoá |
Cái |
14,50 |
7,25 |
|
7 |
Dầu Diezel |
Lít |
4,35 |
21,75 |
|
8 |
Giấy A4 |
Gram |
14,50 |
3,63 |
|
9 |
Mực in A0 |
Hộp |
0,15 |
- |
|
10 |
Mực in A3 |
Hộp |
0,15 |
- |
|
11 |
Mực in A3 màu |
Hộp |
0,15 |
- |
|
12 |
Mực in A4 |
Hộp |
3,20 |
1,20 |
|
13 |
Mực in phun màu |
Hộp |
0,15 |
- |
|
14 |
Mực photocopy |
Hộp |
0,15 |
- |
|
15 |
Sổ ghi chép |
Quyển |
7,25 |
2,90 |
|
16 |
Xăng |
Lít |
- |
116,00 |
|
17 |
Điện năng |
KW |
2.040,11 |
829,88 |
|
18 |
Vật liệu khác |
% |
11 |
19 |
2. Dụng cụ:
Bảng 54. Định mức sử dụng dụng cụ trong công tác ĐTĐGTNNDĐ tỷ lệ 1:25.000
ĐVT: ca/100km2
|
TT |
Danh mục dụng cụ |
ĐVT |
Thời hạn (tháng) |
Định mức |
|
|
Nội nghiệp |
Ngoại nghiệp |
||||
|
1 |
Bình cứu hoả |
Bình |
24 |
201,15 |
- |
|
2 |
Ba lô |
Cái |
24 |
- |
1.239,11 |
|
3 |
Bàn làm việc |
Cái |
96 |
804,59 |
309,78 |
|
4 |
Bình đựng nước uống |
Bình |
6 |
- |
1.239,11 |
|
5 |
Bộ đo mực nước giếng khoan |
Bộ |
96 |
- |
309,78 |
|
6 |
Bộ dụng cụ đo mực nước di chuyển bằng điện |
Cái |
24 |
- |
309,78 |
|
7 |
Bộ lưu điện UPS |
Cái |
96 |
804,59 |
- |
|
8 |
Camera kỹ thuật số |
Cái |
60 |
67,05 |
309,78 |
|
9 |
Đèn neon sạc điện |
Cái |
12 |
- |
309,78 |
|
10 |
Êke |
Bộ |
24 |
201,15 |
103,26 |
|
11 |
Ghế văn phòng |
Cái |
96 |
804,59 |
309,78 |
|
12 |
Giầy BHLĐ |
Đôi |
6 |
- |
1.239,11 |
|
13 |
Máy Fax |
Cái |
60 |
201,15 |
- |
|
14 |
Máy GPS cầm tay |
Cái |
60 |
- |
309,78 |
|
15 |
Máy in A4 0,5Kw |
Cái |
60 |
201,15 |
- |
|
16 |
Máy in đen trắng A3 0,5Kw |
Cái |
60 |
67,05 |
- |
|
17 |
Máy scan A4 0,02Kw |
Cái |
60 |
201,15 |
103,26 |
|
18 |
Máy tính 0,6Kw |
Cái |
60 |
804,59 |
- |
|
19 |
Máy tính bỏ túi |
Cái |
60 |
804,59 |
309,78 |
|
20 |
Mũ BHLĐ |
Cái |
12 |
- |
1.239,11 |
|
21 |
Ổ ghi CD 0,04 Kw |
Cái |
60 |
804,59 |
- |
|
22 |
Ổn áp 10A |
Cái |
96 |
201,15 |
- |
|
23 |
Quần áo BHLĐ |
Bộ |
12 |
- |
1.239,11 |
|
24 |
Quần áo mưa |
Bộ |
12 |
- |
1.239,11 |
|
25 |
Thiết bị đun nước |
Cái |
60 |
201,15 |
- |
|
26 |
Ủng BHLĐ |
Đôi |
6 |
- |
1.239,11 |
|
27 |
USB |
Cái |
12 |
804,59 |
309,78 |
|
28 |
Dụng cụ khác |
% |
|
5,91 |
6,54 |
3. Máy móc, thiết bị:
Bảng 55. Định mức sử dụng máy móc, thiết bị trong công tác ĐTĐGTNNDĐ tỷ lệ 1:25.000
ĐVT: ca/100km2
|
TT |
Danh mục thiết bị |
ĐVT |
Thời hạn (tháng) |
Định mức |
|
|
Nội nghiệp |
Ngoại nghiệp |
||||
|
1 |
Điều hòa 2 chiều 12000 BTU - 2,2 KW |
Bộ |
96 |
50,45 |
- |
|
2 |
Máy chiếu 0,5KW |
Cái |
60 |
20,18 |
- |
|
4 |
Máy đo nhanh chất lượng nước |
Cái |
60 |
- |
107,23 |
|
5 |
Máy in màu A0 - 0,8KW |
Cái |
60 |
20,18 |
- |
|
6 |
Máy phát điện 5KW |
Cái |
96 |
- |
35,74 |
|
7 |
Máy photocopy - 1KW |
Cái |
96 |
20,18 |
- |
|
8 |
Máy scan A0 - 2KW |
Cái |
60 |
20,18 |
- |
|
9 |
Máy scan A3 - 0,5KW |
Cái |
60 |
20,18 |
- |
|
10 |
Máy tính xách tay - 0,04KW |
Cái |
60 |
50,45 |
107,23 |
|
11 |
Ô tô 12 chỗ |
Cái |
120 |
- |
35,74 |
Ghi chú: Định mức sử dụng vật liệu, dụng cụ và máy móc, thiết bị nêu trên tính cho toàn bộ công tác nội nghiệp và ngoại nghiệp, mức cho từng bước được xác định theo bảng hệ số điều chỉnh sau:
Bảng 56. Hệ số điều chỉnh định mức sử dụng vật liệu, dụng cụ và máy móc, thiết bị cho từng bước công việc của công tác điều tra, đánh giá tỷ lệ 1:25.000
|
TT |
Nội dung công việc |
Hệ số |
|
A |
Công tác ngoại nghiệp |
1 |
|
1 |
Chuẩn bị |
0,08 |
|
2 |
Tiến hành điều tra thực địa |
0,86 |
|
3 |
Tổng hợp, chỉnh lý, hoàn thiện kết quả điều tra thực địa và giao nộp sản phẩm |
0,06 |
|
B |
Công tác nội nghiệp |
1 |
|
1 |
Thu thập, rà soát thông tin, dữ liệu và triển khai công tác ĐTĐGTNNDĐ |
0,07 |
|
2 |
Tổng hợp, chỉnh lý, xử lý thông tin, dữ liệu thu thập và kết quả điều tra thực địa theo các nội dung đánh giá |
0,13 |
|
3 |
Phân tích, đánh giá hiện trạng, diễn biến tài nguyên nước dưới đất |
0,35 |
|
4 |
Chuẩn bị nội dung thông tin và biên tập các bản đồ |
0,07 |
|
5 |
Tổng hợp, xây dựng hồ sơ, sản phẩm kết quả điều tra, đánh giá |
0,31 |
|
6 |
Hội thảo, kiểm tra, nghiệm thu |
0,04 |
|
7 |
In, nhân sao, lưu trữ và giao nộp sản phẩm |
0,03 |
Phần III.
PHỤ LỤC
Phụ lục số 01
YÊU CẦU KỸ THUẬT, QUY TRÌNH THỰC HIỆN ĐIỀU TRA, ĐÁNH GIÁ TÀI NGUYÊN NƯỚC MẶT
I. CÔNG TÁC NGOẠI NGHIỆP:
1. Chuẩn bị:
1.1. Nhận nhiệm vụ điều tra thực địa.
1.2. Xác định nội dung, đối tượng, phạm vi điều tra thực địa:
- Nghiên cứu nhiệm vụ điều tra thực địa và các tài liệu liên quan;
- Nghiên cứu các loại bản đồ: địa hình, hành chính, lưu vực sông;
- Xác định các đối tượng cần điều tra và khoanh vùng phạm vi cần tập trung điều tra trên bản đồ:
+ Tỷ lệ 1/200.000: các sông có có chiều dài ≥ 40km; các hồ chứa có dung tích ≥ 1triệu m3;
+ Tỷ lệ 1/100.000: các sông có chiều dài ≥ 30km; các hồ chứa có dung tích ≥ 0,5triệu m3;
+ Tỷ lệ 1/50.000: các sông có chiều dài ≥ 20km; các hồ chứa có dung tích ≥ 0,25triệu m3;
+ Tỷ lệ 1/25.000: tất cả các sông có chiều dài ≥ 10km; các hồ chứa có dung tích ≥ 0,1triệu m3.
1.3. Lập kế hoạch, phương án, lộ trình đi thực địa điều tra tài nguyên nước mặt:
- Xác định các tuyến lộ trình đi dọc theo hai bờ sông, suối và các tuyến lộ trình vuông góc các sông, suối;
- Xây dựng phương án, kế hoạch cụ thể thực hiện công tác điều tra thực địa.
1.4. Chuẩn bị biểu mẫu, vật liệu, dụng cụ và máy móc, thiết bị phục vụ điều tra:
- Chuẩn bị trang thiết bị phục vụ công tác điều tra;
- Lắp đặt, kiểm tra, kiểm chuẩn, kiểm định và thử nghiệm hoạt động của máy móc trước khi đi điều tra thực địa;
- Chuẩn bị tài liệu, giấy tờ cần thiết và phiếu điều tra;
- Chuẩn bị các trang thiết bị, đồ bảo hộ lao động;
- Đóng gói thiết bị, tài liệu, dụng cụ, vật tư để phục vụ cho công tác vận chuyển tới nơi tập kết tại hiện trường.
1.5. Liên hệ địa phương và các công tác chuẩn bị khác.
2. Tiến hành điều tra thực địa:
2.1. Điều tra, thu thập, cập nhật thông tin, dữ liệu về đặc điểm, tình hình tài nguyên nước mặt tại các cơ quan ở địa phương vùng điều tra.
2.2. Đi lộ trình điều tra tổng hợp theo các tuyến đã xác định:
Lộ trình dọc hai bên bờ sông, suối, bãi sông và theo phương vuông góc với sông, suối để quan sát, mô tả, chụp ảnh, sơ họa, khoanh vùng; thu thập thông tin, dữ liệu về đặc điểm, đặc trưng hình thái sông, đặc điểm của các hồ, ao; các yếu tố ảnh hưởng đến tài nguyên nước mặt và xác định các đối tượng, khu vực trọng điểm cần điều tra, đánh giá chi tiết:
a) Quan sát, mô tả, chụp ảnh, sơ họa, khoanh vùng, thu thập thông tin, số liệu:
- Các đặc điểm, đặc trưng hình thái sông, gồm: lòng sông, bờ sông, bãi sông, vùng đất ven sông;
- Đặc điểm của các hồ, ao;
- Những đặc điểm chung về nguồn nước ở thời điểm điều tra và diễn biến nguồn nước theo thời gian trong năm, theo mùa cạn, mùa lũ;
- Tình hình diễn biến dòng chảy, mực nước, chất lượng nước, gồm: màu sắc, mùi vị... và tình hình khô hạn, thiếu nước, lũ lụt, cạn kiệt, ô nhiễm nguồn nước và các thông tin, dữ liệu khác liên quan đến sông, hồ và nguồn nước;
b) Quan sát, mô tả, chụp ảnh, sơ họa, khoanh vùng, thu thập thông tin, dữ liệu về các yếu tố ảnh hưởng đến tài nguyên nước mặt:
- Công trình khai thác, sử dụng nước: vị trí công trình, tên nguồn nước đang khai thác, mục đích sử dụng nước, đối tượng, phạm vi cấp nước;
- Thảm phủ thực vật trên lưu vực sông, gồm: loại cây ngắn ngày, dài ngày, rừng rậm, rừng thưa...;
- Các khu công nghiệp, khu đô thị tập trung, các cơ sở sản xuất kinh doanh;
- Các thông tin, số liệu hiện trạng sử dụng đất, gồm: đất nông nghiệp, đất ở, đất khu công nghiệp, đất đô thị... và thông tin khác có liên quan.
c) Xác định tại thực địa các vị trí, tọa độ các điểm, tuyến hoặc khu vực cần tiến hành các công tác khảo sát, đo đạc đã được bố trí cùng với nhiệm vụ điều tra, đánh giá, gồm: khảo sát, đo đạc mặt cắt dọc, mặt cắt ngang, đo đạc mực nước, lưu lượng, chất lượng nước và các công việc khảo sát khác;
d) Xác định trên thực địa, khoanh vùng các đối tượng, khu vực trọng điểm cần điều tra, đánh giá chi tiết:
- Các sông chính, đoạn sông quan trọng trong lưu vực và từng tiểu lưu vực;
- Các đoạn sông cạn kiệt, mất dòng;
- Các đoạn sông đã xảy ra lũ lụt (kể cả lũ quét, lũ bùn đá);
- Các đoạn sông bồi xói, sạt lở;
- Các đoạn sông có phân lưu, nhập lưu, thay đổi mạnh về hướng dòng chảy;
- Các đoạn sông có hiện tượng ô nhiễm, suy thoái chất lượng nước;
- Các đoạn sông có hồ chứa, đập dâng;
- Các đoạn sông nằm trên ranh giới hành chính, ranh giới vùng điều tra hoặc cắt ngang ranh giới hành chính, ranh giới vùng;
- Các đoạn sông chịu ảnh hưởng triều và xâm nhập mặn;
- Các ao, hồ tự nhiên;
- Các công trình khai thác nước quy mô lớn, quan trọng và những khu vực khác có liên quan, ảnh hưởng trực tiếp tới số lượng, chất lượng nguồn nước sông, suối, ao, hồ.
2.3. Tiến hành điều tra chi tiết tại các vùng, khu vực, đối tượng trọng điểm:
a) Các sông chính, đoạn sông quan trọng trong lưu vực và từng tiểu lưu vực:
- Xác định tên, phạm vi hành chính, vị trí tọa độ điểm đầu, điểm cuối đoạn sông;
- Quan sát, mô tả, chụp ảnh, sơ họa, thu thập thông tin, dữ liệu về: đặc điểm lòng sông, bãi sông, bờ sông; các công trình, các hoạt động khai thác, sử dụng nước mặt trên đoạn sông; đặc điểm hệ sinh thái thủy sinh;
- Điều tra, đánh giá chất lượng nước về màu, mùi, vị, pH, độ dẫn điện, độ mặn, DO, nhiệt độ và các thông tin khác có liên quan.
b) Đối với đoạn sông cạn kiệt, mất dòng:
- Xác định tên sông, phạm vi hành chính, vị trí tọa độ điểm đầu, điểm cuối đoạn sông, độ dài đoạn sông, độ rộng lòng sông, bãi sông;
- Ước lượng vận tốc dòng chảy, độ sâu mực nước tại thời điểm điều tra;
- Quan sát, mô tả, chụp ảnh, sơ họa, thu thập thông tin, dữ liệu về đặc điểm lòng sông, bãi sông, bờ sông, các hồ chứa, đập dâng, các công trình khai thác nước, đặc điểm và diễn biến dòng chảy, độ sâu mực nước, thời gian xảy ra cạn kiệt, mất nước;
- Điều tra, đánh giá chất lượng nước về màu, mùi, vị, pH, độ dẫn điện, độ mặn, DO, nhiệt độ và các thông tin khác có liên quan.
c) Các đoạn sông đã xảy ra lũ lụt (kể cả lũ quét, lũ bùn đá):
- Xác định tên đoạn sông, phạm vi hành chính, vị trí tọa độ;
- Quan sát, mô tả, chụp ảnh, sơ họa; thu thập thông tin, dữ liệu về đặc điểm lòng sông, bờ sông, bãi sông; vị trí thường xảy ra hoặc đã xảy ra lũ lụt nghiêm trọng.
d) Đối với đoạn sông bị bồi xói, sạt lở:
- Xác định tên sông, phạm vi hành chính; xác định vị trí bờ trái, bờ phải, hướng dòng chảy; độ dài đoạn bồi xói, sạt lở;
- Xác định vị trí, độ dài đoạn sông thường xảy ra hoặc xảy ra bồi xói, sạt lở nghiêm trọng; thu thập thông tin về diễn biến, nguyên nhân và mức độ thiệt hại;
- Ước lượng vận tốc dòng chảy, độ sâu mực nước tại thời điểm điều tra;
- Quan sát, mô tả, chụp ảnh, sơ họa, thu thập thông tin, dữ liệu về đặc điểm hình thái, địa hình, lớp phủ thực vật, cấu tạo địa chất lòng sông, bãi sông, bờ sông, đặc điểm dòng chảy mặt, dòng chảy ngầm, quan hệ giữa dòng mặt và dòng ngầm trong khu vực đoạn sông, dao động mực nước và tình hình diễn biến dao động mực nước theo thời gian;
- Điều tra, đánh giá chất lượng nước về màu, mùi, vị, pH, độ dẫn điện, độ mặn, DO, nhiệt độ và các thông tin khác có liên quan.
đ) Đối với đoạn sông có nhập lưu, phân lưu, thay đổi mạnh về hướng dòng chảy:
- Xác định tên sông, phạm vi hành chính, tọa độ các vị trí phân lưu, nhập lưu, hướng dòng chảy;
- Ước lượng độ rộng, vận tốc dòng chảy của dòng chính và các nhánh sông nhập lưu, phân lưu;
- Quan sát, mô tả, chụp ảnh, sơ họa, thu thập thông tin, dữ liệu về đặc điểm lòng sông, bãi sông, bờ sông của các nhánh sông, độ sâu dòng chảy, lưu lượng, mực nước trung bình, lớn nhất, nhỏ nhất đã từng xảy ra trên từng nhánh;
- Điều tra, đánh giá chất lượng nước về màu, mùi, vị, pH, độ dẫn điện, độ mặn, DO, nhiệt độ và các thông tin khác có liên quan.
e) Đối với đoạn sông có hiện tượng ô nhiễm, suy thoái chất lượng nước:
- Xác định tên sông, phạm vi hành chính, vị trí tọa độ điểm đầu, điểm cuối đoạn sông, độ dài đoạn sông, hướng dòng chảy;
- Điều tra, đánh giá chất lượng nước về màu, mùi, vị, pH, độ dẫn điện, độ mặn, DO, nhiệt độ;
- Quan sát, sơ bộ xác định các vị trí, lưu lượng, loại hình nước thải chủ yếu xả vào nguồn nước và các nguyên nhân chính gây ô nhiễm, suy thoái tài nguyên nước mặt;
- Sơ bộ xác định mức độ ảnh hưởng, phạm vi bị ảnh hưởng bởi đoạn sông đó.
g) Đối với đoạn sông có hồ chứa, đập dâng:
- Tại các hồ chứa, đập dâng, gồm:
+ Xác định tên, phạm vi hành chính, vị trí tọa độ hồ chứa, đập dâng;
+ Quan sát, chụp ảnh, sơ họa, mô tả đặc điểm hình thái của hồ về hình dạng, địa hình bờ hồ, thảm phủ thực vật ven hồ;
+ Các thông số chủ yếu của hồ chứa đập dâng, gồm: mục đích sử dụng nước, tổng dung tích, dung tích hữu ích, dung tích chết, mực nước dâng bình thường, mực nước chết, mực nước gia cường, diện tích mặt nước ứng với mực nước dâng bình thường, lưu lượng xả, chế độ vận hành, diễn biến lưu lượng dòng chảy đến hồ, lưu lượng hạ lưu hồ chứa, đập dâng.
- Điều tra, đánh giá chất lượng nước về màu, mùi, vị, pH, độ dẫn điện, độ mặn, DO, nhiệt độ và các thông tin khác có liên quan;
- Tại các đoạn sông sau hồ chứa, đập dâng, gồm:
+ Quan sát, chụp ảnh, sơ họa, mô tả đặc điểm hình thái đoạn sông sau hồ chứa, đập dâng về hình dạng, địa hình, cấu tạo địa chất lòng sông, bờ sông...;
+ Đặc điểm nguồn nước hạ lưu hồ, đập, gồm: dòng chảy, mực nước, mục đích sử dụng.
- Điều tra, đánh giá chất lượng nước về màu, mùi, vị, pH, độ dẫn điện, độ mặn, DO, nhiệt độ, vị trí, chiều dài đoạn sông mất nước và các thông tin khác có liên quan.
h) Đối với đoạn sông nằm trên ranh giới hành chính, ranh giới vùng điều tra hoặc cắt ngang ranh giới hành chính (kể cả sông liên quốc gia), ranh giới vùng:
- Xác định tên sông, phạm vi hành chính, vị trí tọa độ điểm đầu, điểm cuối đoạn sông;
- Ước lượng độ dài đoạn sông, hướng dòng chảy; ước lượng độ rộng bờ sông, bãi sông, lòng sông; ước lượng độ sâu, vận tốc dòng chảy;
- Xác định các vị trí, tọa độ, loại hình, phương thức xả nước thải; ước lượng lưu lượng của nguồn xả nước thải vào nguồn nước;
- Quan sát, chụp ảnh, sơ họa, mô tả đặc điểm đoạn sông về hình dạng, địa hình, cấu tạo địa chất lòng sông, bãi sông, bờ sông; đặc điểm thảm phủ thực vật, hiện trạng sử dụng đất vùng ven sông, đặc điểm nguồn nước về dòng chảy, mực nước; tình hình khai thác, sử dụng nước; điều tra, đánh giá chất lượng nước về màu, mùi, vị, pH, độ dẫn điện, độ mặn, DO, nhiệt độ và các thông tin khác có liên quan;
- Sơ bộ nhận định mối quan hệ của nguồn nước nằm giữa phần lưu vực sông thuộc các đơn vị hành chính khác nhau, giữa phần lưu vực thuộc vùng điều tra và phần lưu vực nằm ngoài vùng điều tra.
i) Đối với các đoạn sông chịu ảnh hưởng triều và xâm nhập mặn:
- Xác định tên sông, phạm vi hành chính, vị trí tọa độ;
- Ước lượng vận tốc dòng chảy, độ sâu mực nước, mực nước triều, chế độ triều;
- Quan sát, mô tả đặc điểm lòng sông (độ rộng, độ sâu), bờ sông, bãi sông;
- Quan sát, mô tả, thu thập thông tin diễn biến chất lượng nước sông, diễn biến độ mặn, ranh giới xâm nhập mặn, vùng ảnh hưởng triều; mục đích sử dụng nước của đoạn sông; vị trí khu vực thường bị ảnh hưởng hoặc bị ảnh hưởng nghiêm trọng bởi thủy triều và xâm nhập mặn; phạm vi ảnh hưởng, mức độ ảnh hưởng, mức độ thiệt hại.
k) Đối với hồ, ao tự nhiên:
- Xác định tên, phạm vi hành chính, vị trí tọa độ của hồ, ao;
- Ước lượng độ rộng, độ sâu hồ, ao;
- Quan sát, chụp ảnh, sơ họa, mô tả đặc điểm hồ, ao; đặc điểm nguồn nước hồ, ao (mực nước hồ, ao tại thời điểm điều tra, màu sắc, mùi vị nước hồ, diễn biến mực nước, diễn biến chất lượng nước, đặc điểm nguồn nước cấp);
- Điều tra, đánh giá chất lượng nước về màu, mùi, vị, pH, độ dẫn điện, độ mặn, DO, nhiệt độ và các thông tin khác có liên quan.
l) Đối với các công trình khai thác nước quy mô lớn, quan trọng và những khu vực khác có liên quan, ảnh hưởng trực tiếp tới số lượng, chất lượng nguồn nước sông, suối, ao, hồ:
- Xác định phạm vi hành chính, vị trí tọa độ công trình;
- Xác định tên nguồn nước khai thác, quy mô và loại hình công trình;
- Quan sát, mô tả, thu thập thông tin, số liệu về mục đích khai thác, sử dụng nước chính, các mục đích sử dụng khác, lượng nước khai thác, chế độ khai thác, quy trình vận hành và các thông số khác của công trình; xác định phạm vi, đối tượng cấp nước của công trình.
2.4. Lấy và bảo quản mẫu nước phân tích trong phòng thí nghiệm.
2.5. Chỉnh lý số liệu điều tra thực địa, bảo dưỡng thiết bị máy móc hàng ngày:
- Kiểm tra, chỉnh lý tài liệu, sổ nhật ký điều tra thực địa;
- Kiểm tra, chỉnh lý các tài liệu, kết quả điều tra từ các vị trí điều tra;
- Bảo dưỡng máy móc, thiết bị;
- Sơ bộ nhận định khối lượng các thông tin đã điều tra để điều chỉnh kế hoạch/phương án lộ trình.
3. Tổng hợp, chỉnh lý, hoàn thiện kết quả điều tra thực địa và giao nộp sản phẩm:
3.1. Chỉnh lý, hoàn thiện các thông tin, dữ liệu điều tra thực địa, gồm: phiếu điều tra, sổ nhật ký điều tra, sơ đồ, bản đồ và các tài liệu điều tra khác;
3.2. Nhập kết quả, thông tin, dữ liệu điều tra thực địa;
3.3. Xử lý, chỉnh lý các kết quả điều tra;
3.4. Tổng hợp kết quả điều tra thực địa, xây dựng sơ đồ, biểu bảng thống kê;
3.5. Xây dựng báo cáo kết quả điều tra thực địa;
3.6. Hoàn chỉnh hồ sơ, tài liệu kết quả điều tra thực địa và bàn giao sản phẩm:
- Báo cáo kết quả điều tra thực địa;
- Sơ đồ tài liệu thực tế: tuyến và vị trí các điểm điều tra trên nền bản đồ địa hình cùng tỷ lệ điều tra;
- Các bảng tổng hợp, thống kê kết quả điều tra tổng hợp theo từng lưu vực sông, đơn vị hành chính;
- Các bảng tổng hợp, thống kê kết quả điều tra chi tiết ở từng đoạn sông cạn kiệt, mất dòng, lũ lụt, bồi xói, sạt lở, ở các ao hồ và công trình khai thác, sử dụng nước quan trọng đối với từng sông, hồ theo từng lưu vực sông, đơn vị hành chính;
- Bảng thống kê danh mục các sông và các điểm, khu vực đã điều tra tổng hợp;
- Bảng thống kê danh mục đoạn sông, hồ, ao và công trình khai thác, sử dụng nước đã điều tra chi tiết;
- Phiếu điều tra, sổ nhật ký điều tra thực địa và các tài liệu điều tra thực địa khác.
II. CÔNG TÁC NỘI NGHIỆP:
1. Thu thập, rà soát, thông tin, dữ liệu và triển khai công tác điều tra, đánh giá tài nguyên nước mặt:
a) Nghiên cứu đề cương, hồ sơ dự án đã được phê duyệt;
b) Thu thập các thông tin, dữ liệu về tài nguyên nước mặt và các thông tin, dữ liệu liên quan đến vùng điều tra:
- Điều kiện tự nhiên, KT - XH;
- Giới hạn các lưu vực sông, các tiểu lưu vực;
- Các hệ thống sông quan trọng (bao gồm cả sông liên quốc gia) trong lưu vực và từng tiểu lưu vực;
- Đặc trưng hình thái lưu vực sông và đặc trưng hình thái các sông chính, sông quan trọng, gồm: tên, phạm vi hành chính, vị trí địa lý, diện tích lưu vực, mật độ lưới sông, độ dốc, độ sâu, độ rộng, hệ số uốn khúc, tính liên tục của sông...(đối với sông liên quốc gia có thêm thông tin về lượng nước chảy vào, chảy ra khỏi đoạn sông, chiều dài đoạn sông và lưu lượng nước phần trong nước và ở nước ngoài);
- Các vùng cửa sông quan trọng và đặc trưng vùng cửa sông (độ sâu, độ rộng);
- Tổng lượng nước mặt hiện có, lượng nước bình quân tính theo đầu người;
- Dòng chảy trung bình năm, từng tháng trong năm, dòng chảy mùa mưa và mùa khô, dòng chảy 3 tháng kiệt nhất;
- Danh mục các công trình có tác dụng đáng kể trong điều tiết dòng chảy và các thông số liên quan; tác động của các công trình này đến biến động dòng chảy;
- Tình hình chuyển nước giữa các lưu vực, tiểu lưu vực (lượng nước, chế độ chuyển nước);
- Mức độ đáp ứng của tài nguyên nước mặt cho sinh hoạt, sản xuất và ảnh hưởng của phát triển KT - XH đến tài nguyên nước mặt.
c) Rà soát, thống kê, đánh giá mức độ đầy đủ, tin cậy của các tài liệu đã thu thập;
d) Thống kê, lập danh mục các thông tin, dữ liệu, tài liệu đã thu thập được:
- Lập danh mục các thông tin, dữ liệu có đủ độ tin cậy phục vụ cho công tác điều tra, đánh giá tài nguyên nước mặt;
- Xác định các thông tin, dữ liệu, tài liệu còn thiếu cần thu thập bổ sung.
đ) Rà soát, lập kế hoạch triển khai dự án;
e) Giao nhiệm vụ cho các nhóm thực hiện.
2. Tổng hợp, chỉnh lý, xử lý thông tin, dữ liệu thu thập và kết quả điều tra thực địa theo các nội dung đánh giá:
2.1. Rà soát, phân loại, các thông tin, dữ liệu thu thập, điều tra theo các nội dung đánh giá.
2.2. Đánh giá độ tin cậy của các thông tin, dữ liệu thu thập, điều tra; tiến hành lựa chọn và lập danh mục các thông tin, dữ liệu phục vụ cho việc đánh giá theo nội dung yêu cầu.
2.3. Nhập số liệu vào máy tính, kiểm tra, đồng bộ hóa thông tin, dữ liệu.
2.4. Xử lý, tổng hợp thông tin, dữ liệu và xây dựng các biểu, bảng, đồ thị:
a) Lập danh mục các sông đã điều tra;
b) Lập danh mục các sông, đoạn sông, hồ chứa, hồ ao tự nhiên trong danh mục được điều tra chi tiết;
c) Lập danh mục các hồ chứa, ao, hồ tự nhiên của vùng đã được điều tra; phân loại theo quy mô, mục đích sử dụng nước;
d) Lập bảng thống kê, tổng hợp diện tích các loại đất theo mục đích sử dụng và thảm phủ thực vật trên từng lưu vực sông;
đ) Lập các bảng biểu, đồ thị về đặc trưng mưa:
- Danh sách các vị trí có số liệu quan trắc, đo đạc lượng mưa và các thông tin về yếu tố đo, thời gian đo;
- Các bảng đặc trưng lượng mưa tháng, năm, thời kỳ, ngày tại từng vị trí quan trắc theo từng lưu vực và đơn vị hành chính;
- Các đồ thị biểu diễn đường quá trình mưa tháng, năm, thời kỳ tại các vị trí quan trắc.
e) Lập các bảng biểu, đồ thị về lượng nước sông, hồ:
- Danh sách các vị trí có số liệu quan trắc, đo đạc, khảo sát lưu lượng, mực nước trên sông và các thông tin về yếu tố đo, thời gian đo;
- Các bảng đặc trưng lưu lượng, mực nước theo ngày, tháng, 3 tháng kiệt, mùa, năm, thời kỳ tại từng vị trí quan trắc theo từng lưu vực và đơn vị hành chính;
- Các đồ thị biểu diễn đường quá trình lưu lượng, mực nước theo tháng, 3 tháng kiệt, mùa, năm, thời kỳ tại các vị trí quan trắc;
- Bảng lưu lượng lũ, mô đun dòng chảy lũ lớn nhất đã quan trắc tại các vị trí khác nhau trên các sông.
g) Lập các bảng về hiện trạng chất lượng nước sông, hồ.
2.5. Lập các sơ đồ điều tra tài nguyên nước mặt theo tỷ lệ tương ứng với tỷ lệ điều tra:
- Sơ đồ vị trí các lưu vực sông, hồ chứa, đập dâng thuộc đối tượng điều tra, đánh giá;
- Sơ đồ vị trí các điểm điều tra;
- Sơ đồ phân bố các loại thảm phủ thực vật, sử dụng đất;
- Sơ đồ phân bố vùng mục đích sử dụng nước tại thời điểm điều tra;
- Sơ đồ sơ bộ khoanh vùng các sông, đoạn sông cần điều tra chi tiết, gồm: các sông chính, đoạn sông quan trọng trong lưu vực và từng tiểu lưu vực; các đoạn sông cạn kiệt, mất dòng; các đoạn sông đã xảy ra lũ lụt (kể cả lũ quét, lũ bùn đá); các đoạn sông bồi xói, sạt lở; các đoạn sông có phân lưu, nhập lưu, thay đổi mạnh về hướng dòng chảy; các đoạn sông có hiện tượng ô nhiễm, suy thoái chất lượng nước; các đoạn sông có hồ chứa, đập dâng; các đoạn sông nằm trên ranh giới hành chính, ranh giới vùng điều tra hoặc cắt ngang ranh giới hành chính, ranh giới vùng; các đoạn sông chịu ảnh hưởng triều và xâm nhập mặn; các ao, hồ tự nhiên; các công trình khai thác nước quy mô lớn, quan trọng và những khu vực khác có liên quan, ảnh hưởng trực tiếp tới số lượng, chất lượng nguồn nước sông, suối, ao, hồ...;
- Sơ đồ phân bố các đặc trưng lượng mưa theo lưu vực sông, đơn vị hành chính và vùng điều tra;
- Sơ đồ phân bố các đặc trưng lưu lượng, mực nước theo lưu vực sông, đơn vị hành chính và vùng điều tra.
3. Phân tích, đánh giá hiện trạng, diễn biến tài nguyên nước mặt:
3.1. Phân tích, đánh giá đặc điểm, đặc trưng hình thái sông, lưu vực sông, đặc điểm của hồ chứa, ao hồ tự nhiên thuộc đối tượng điều tra:
a) Các thông tin chung của các sông, lưu vực sông, hồ chứa, ao hồ tự nhiên:
- Số lượng sông, lưu vực sông, hồ chứa, ao hồ tự nhiên;
- Phạm vi phân bố (tên, vị trí tọa độ, phạm vi hành chính);
- Hướng dòng chảy, tổng chiều dài sông, độ rộng, độ dốc, mật độ lưới sông của lưu vực, mô đun dòng chảy;
- Diện tích lưu vực sông, diện tích của hồ chứa, ao hồ tự nhiên;
- Hiện trạng chất lượng nước và mức độ đáp ứng cho các mục đích sử dụng;
- Các mục đích sử dụng, hiệu quả sử dụng.
b) Đặc trưng hình thái sông, lưu vực sông và các yếu tố liên quan:
- Mật độ lưới sông; tổng chiều dài sông, độ rộng sông; độ dốc, độ uốn khúc...;
- Các hiện tượng lũ lụt, lũ quét;
- Hiện trạng dòng chảy, lòng dẫn, gồm:
+ Cạn kiệt, mất dòng chảy, đổi dòng đoạn sông mất nước;
+ Bồi xói, lở bờ sông, bãi sông.
- Các công trình, hoạt động khai thác, sử dụng nước mặt trên sông.
c) Đặc trưng của hồ chứa, ao hồ tự nhiên và các yếu tố liên quan:
- Dung tích, dung tích hữu ích, độ rộng, độ sâu, độ dốc lòng hồ, biến động mực nước của các hồ chứa, ao hồ tự nhiên theo các thời kỳ trong năm;
- Lưu lượng nước chảy vào, chảy ra của từng hồ chứa;
- Mục đích sử dụng, phạm vi cấp nước, hiệu quả sử dụng của từng hồ chứa.
d) Đặc điểm các yếu tố tự nhiên và các ảnh hưởng đến chế độ dòng chảy: địa hình, thảm phủ thực vật, lớp phong hóa, hiện trạng sử dụng đất trên lưu vực, công trình khai thác, sử dụng nước và các yếu tố khác.
3.2. Phân tích, đánh giá đặc điểm của tài nguyên nước mưa theo lưu vực sông, đơn vị hành chính và vùng điều tra:
a) Xác định lượng mưa tháng, mùa, năm:
- Xác định lượng mưa năm, mùa, tháng trung bình nhiều năm của từng lưu vực sông;
- Xác định lượng mưa năm, mùa, tháng của năm tiến hành điều tra của từng lưu vực sông;
- Xác định lượng mưa năm của toàn vùng trong năm tiến hành điều tra và trung bình nhiều năm.
b) Phân tích, đánh giá đặc điểm phân bố lượng mưa theo không gian;
c) Phân tích, đánh giá đặc điểm phân bố lượng mưa theo các tháng trong năm;
d) Phân tích, đánh giá đặc điểm phân bố lượng mưa theo thời gian trong năm và trong thời kỳ nhiều năm;
đ) Nhận định, đánh giá về đặc điểm tài nguyên nước mưa trong năm điều tra; đánh giá so với thời kỳ nhiều năm;
e) Phân tích, đánh giá ảnh hưởng của chế độ mưa đến chế độ dòng chảy trong vùng điều tra.
3.3. Phân tích, đánh giá đặc điểm, diễn biến số lượng tài nguyên nước mặt theo lưu vực sông, đơn vị hành chính và vùng điều tra:
a) Đánh giá tổng lượng nước trung bình:
- Xác định tổng lượng nước năm, tháng, trung bình nhiều năm của từng sông;
- Xác định tổng lượng nước năm, tháng từng sông trong năm tiến hành điều tra;
- Tính toán, xác định tổng lượng nước mặt năm của cả vùng trung bình thời kỳ nhiều năm và trong năm điều tra bao gồm tổng lượng nước từ ngoài chảy vào và lượng nước sinh ra trong phạm vi của vùng.
b) Xác định tổng lượng nước tương ứng với các mức bảo đảm khác nhau:
- Xác định tổng lượng nước mặt năm, tháng tương ứng với các mức bảo đảm tại các vị trí có số liệu đo đạc, quan trắc của từng sông;
- Đánh giá tổng lượng nước mặt năm tương ứng với các mức bảo đảm của cả vùng.
c) Đặc điểm, đặc trưng phân bố nguồn nước sông theo không gian;
d) Đặc điểm phân phối trong năm theo các tháng, mùa lũ, mùa kiệt của nguồn nước các sông;
đ) Biến đổi tổng lượng nước trong thời kỳ nhiều năm;
e) Các đặc trưng dòng chảy mùa kiệt, tình hình hạn hán, thiếu nước trên các lưu vực sông;
g) Đặc điểm, đặc trưng dòng chảy lũ: lưu lượng lũ lớn nhất, mô đun dòng chảy đỉnh lũ;
h) Đặc điểm nguồn nước của các hồ chứa, hồ, ao tự nhiên.
3.4. Phân tích, đánh giá chất lượng nước mặt theo lưu vực sông, đơn vị hành chính và vùng điều tra:
a) Đánh giá khái quát chất lượng nước theo các mục đích sử dụng khác nhau;
b) Đánh giá khái quát tính chất vật lý, độ tổng khoáng hóa, hàm lượng các thành phần hoá học cơ bản; sự biến đổi các đặc trưng chất lượng nước qua các thời kỳ;
c) Xác định đặc điểm vùng ô nhiễm, suy thoái chất lượng nước, ảnh hưởng triều, công trình chính ảnh hưởng đến chất lượng nước:
- Các loại hình ô nhiễm chủ yếu;
- Phạm vi phân bố; vị trí hành chính và trên bản đồ;
- Các yếu tố ảnh hưởng đến nguy cơ ô nhiễm, xâm nhập mặn, gồm: đặc điểm địa hình; lớp phủ thực vật; lớp phong hóa; các công trình chính ảnh hưởng đến chất lượng nước và một số yếu tố liên quan; sự phân bố độ mặn, ranh giới xâm nhập mặn, chế độ triều, biên độ triều trên các sông.
d) Khoanh vùng chất lượng nước đáp ứng cho các mục đích sử dụng.
3.5. Đánh giá khả năng khai thác, sử dụng tài nguyên nước mặt phục vụ cho các mục đích:
a) Các mục đích sử dụng nước:
- Cấp nước sinh hoạt ở các vùng nông thôn, cấp nước cho các đô thị;
- Sản xuất công nghiệp;
- Canh tác nông nghiệp;
- Nuôi trông thủy sản;
- Thủy điện;
- Giao thông thủy; dịch vụ du lịch và các mục đích khác.
b) Phân tích, đánh giá khả năng khai thác tài nguyên nước mặt và mức độ đáp ứng của tài nguyên nước mặt cho các mục đích sử dụng, cho từng mục đích sử dụng xét theo từng giai đoạn (5 năm hoặc 10 năm) trên toàn vùng điều tra/ theo từng lưu vực sông/ theo từng tiểu lưu vực sông/theo đơn vị hành chính.
3.6. Phân tích, đánh giá tổng hợp hiện trạng tài nguyên nước mặt và tác động của điều kiện tự nhiên, đặc điểm phát triển KT - XH để xác định các vấn đề nổi cộm liên quan đến tài nguyên nước mặt.
4. Chuẩn bị nội dung thông tin và biên tập các loại bản đồ về tài nguyên nước mặt:
4.1. Chuẩn bị nội dung thông tin thể hiện của các bản đồ:
- Bản đồ tài liệu thực tế tài nguyên nước mặt, gồm các thông tin về:
+ Hiện trạng hệ thống sông, suối, hồ chứa, hồ ao tự nhiên, các công trình khai thác, sử dụng nước mặt trên sông;
+ Hiện trạng hệ thống sông, hồ: mạng lưới sông; sự phân bố các hồ chứa, đập dâng, ao, hồ tự nhiên;
+ Các đoạn sông bồi xói, sạt lở; các đoạn sông bị cạn kiệt, mất dòng; các đoạn sông có hiện tượng lũ lụt; các đoạn sông có hiện tượng ô nhiễm, suy thoái chất lượng nước;
+ Hiện trạng sử dụng đất, thảm phủ thực vật trên lưu vực sông.
- Bản đồ tài nguyên nước mặt, gồm các thông tin về:
+ Mạng lưới sông, suối, hồ chứa, đập dâng, hồ, ao tự nhiên;
+ Lượng mưa năm trung bình của các lưu vực sông;
+ Tổng lượng nước năm trung bình của các lưu vực sông;
+ Mô đun dòng chảy năm trung bình của các lưu vực sông;
+ Tổng lượng nước mùa kiệt trung bình của các lưu vực sông;
+ Tổng lượng nước 3 tháng kiệt nhất;
+ Tổng lượng nước tháng kiệt nhất;
+ Mô đun dòng chảy tháng kiệt nhất;
+ Lưu lượng nước nhỏ nhất;
+ Mô đun dòng chảy ngày nhỏ nhất;
+ Lưu lượng nước lớn nhất;
+ Mô đun đỉnh lũ lớn nhất.
- Bản đồ hiện trạng chất lượng nước mặt, gồm các thông tin về:
+ Các thông số đo nhanh chất lượng nước sông hồ;
+ Các thông số theo kết quả đo đạc, phân tích chất lượng nước.
4.2. Biên tập bản đồ (tương ứng theo các tỷ lệ điều tra):
- Bản đồ tài liệu thực tế tài nguyên nước mặt;
- Bản đồ tài nguyên nước mặt;
- Bản đồ hiện trạng chất lượng nước mặt.
5. Tổng hợp, xây dựng hồ sơ sản phẩm kết quả điều tra, đánh giá:
a) Báo cáo kết quả điều tra thực địa;
b) Báo cáo tổng hợp kết quả điều tra, đánh giá tài nguyên nước mặt;
c) Báo cáo tóm tắt;
d) Các báo cáo chuyên đề:
- Đặc điểm hệ thống sông, hồ;
- Đặc điểm tài nguyên nước mưa;
- Đặc điểm, diễn biến số lượng tài nguyên nước mặt;
- Đặc điểm, diễn biến chất lượng nước mặt;
- Khả năng khai thác, sử dụng tài nguyên nước mặt;
- Các vấn đề nổi cộm liên quan đến tài nguyên nước mặt.
đ) Các bản đồ (tương ứng theo các tỷ lệ điều tra):
- Bản đồ tài liệu thực tế tài nguyên nước mặt;
- Bản đồ tài nguyên nước mặt;
- Bản đồ hiện trạng chất lượng nước mặt.
e) Phụ lục: các bảng tổng hợp, thống kê kết quả điều tra tổng hợp theo từng lưu vực sông, đơn vị hành chính; bảng thống kê danh mục các sông và các điểm, khu vực đã điều tra tổng hợp; danh mục đoạn sông, hồ, ao và công trình khai thác, sử dụng nước đã điều tra chi tiết và thông tin khác.
6. Hội thảo, kiểm tra, nghiệm thu:
- Hoàn thiện báo cáo tổng hợp, báo cáo tóm tắt, các báo cáo chuyên đề, các bản đồ;
- Lấy ý kiến chuyên gia, kiểm tra;
- Chuẩn bị tài liệu, báo cáo và các nội dung liên quan phục vụ hội thảo;
- Chỉnh sửa, hoàn thiện hồ sơ sản phẩm dự án.
7. In, nhân sao, lưu trữ và giao nộp sản phẩm:
- Ghi đĩa CD, nhãn đĩa sản phẩm, nhân bộ;
- In ấn sản phẩm báo cáo, bản đồ, nhân bộ;
- Vận chuyển, giao nộp sản phẩm.
Phụ lục số 02
YÊU CẦU KỸ THUẬT, QUY TRÌNH THỰC HIỆN ĐIỀU TRA, ĐÁNH GIÁ TÀI NGUYÊN NƯỚC DƯỚI ĐẤT
I. CÔNG TÁC NGOẠI NGHIỆP:
1. Chuẩn bị:
1.1. Nhận nhiệm vụ điều tra thực địa;
1.2. Xác định nội dung, đối tượng, phạm vi điều tra thực địa:
Mật độ điểm điều tra là 0,75 điểm/km2 đối với điều tra, đánh giá tương ứng với tỷ lệ bản đồ 1/200.000; 1,5 điểm/km2 tương ứng với tỷ lệ 1/100.000; 3 điểm/km2 tương ứng với tỷ lệ 1/50.000 và 6 điểm/km2 tương ứng với tỷ lệ 1/25.000 trong vùng điều tra, gồm:
- Nghiên cứu nhiệm vụ điều tra thực địa và các tài liệu liên quan;
- Xác định khối lượng công việc sẽ thực hiện;
- Xác định ranh giới giữa các thành tạo địa chất chủ yếu, các đứt gãy có trong khu vực trên bản đồ;
- Xác định phạm vi phân bố trên bản đồ của các phức hệ chứa nước lớn, chứa nước yếu và cách nước có trong vùng điều tra (tỷ lệ 1/100.000 và tỷ lệ 1/200.000);
- Xác định phạm vi phân bố trên bản đồ của các phức hệ, tầng chứa nước, chứa nước yếu và cách nước có trong vùng điều tra (tỷ lệ 1/25.000 và tỷ lệ 1/50.000).
1.3. Lập kế hoạch, phương án, lộ trình đi điều tra thực địa:
- Xác định vị trí các tuyến đi lộ trình điều tra thực địa trên nền bản đồ địa hình tỷ lệ điều tra;
- Xây dựng phương án, kế hoạch cụ thể về thời gian thực hiện công tác điều tra thực địa.
1.4. Chuẩn bị biểu mẫu, vật liệu, dụng cụ và máy móc, thiết bị phục vụ điều tra:
- Chuẩn bị trang thiết bị phục vụ công tác điều tra;
- Lắp đặt, kiểm tra, kiểm chuẩn, kiểm định và thử nghiệm hoạt động của máy móc trước khi đi điều tra thực địa;
- Chuẩn bị tài liệu, giấy tờ cần thiết và phiếu điều tra;
- Chuẩn bị các trang thiết bị, đồ bảo hộ lao động;
- Đóng gói thiết bị, tài liệu, dụng cụ, vật tư để phục vụ cho công tác vận chuyển tới nơi tập kết tại hiện trường.
1.5. Liên hệ địa phương và các công tác chuẩn bị khác.
2. Tiến hành điều tra thực địa:
2.1. Điều tra, thu thập, cập nhật thông tin, dữ liệu về đặc điểm, tình hình nguồn nước dưới đất tại các cơ quan ở địa phương nơi điều tra.
2.2. Đi lộ trình điều tra tổng hợp:
Theo tuyến dọc các ranh giới giữa các phức hệ chứa nước, tầng chứa nước, dọc các đứt gãy kiến tạo, vuông góc với những cấu trúc chứa nước để quan sát, mô tả, chụp ảnh, sơ họa, khoanh vùng, thu thập thông tin, dữ liệu về đặc điểm, đặc trưng của phức hệ, tầng chứa nước, cách nước; các yếu tố ảnh hưởng đến nguồn nước dưới đất; tổng quan tình hình khai thác, sử dụng và xác định các đối tượng, khu vực trọng điểm cần điều tra, đánh giá chi tiết, bao gồm:
a) Quan sát, mô tả, chụp ảnh, sơ họa, khoanh vùng, thu thập thông tin, dữ liệu về:
- Các đặc điểm, đặc trưng khái quát của các hệ chứa nước, tầng chứa nước, gồm:
+ Phạm vi phân bố miền cấp, miền thoát, hướng vận động của nước dưới đất;
+ Hiện trạng và diễn biến nguồn nước, gồm: mực nước, thời gian xuất lộ, lưu lượng xuất lộ, màu sắc, mùi vị theo thời gian trong năm, mùa cạn, mùa lũ và nhiều năm.
- Tình hình khô hạn, thiếu nước, tình hình lũ lụt, cạn kiệt, ô nhiễm nguồn nước và các thông tin, dữ liệu khác liên quan đến nguồn nước dưới đất.
b) Quan sát, mô tả, chụp ảnh, sơ họa, khoanh vùng, thu thập thông tin, dữ liệu về một số yếu tố, hoạt động ảnh hưởng đến nguồn nước dưới đất:
- Hồ chứa, đập dâng trên sông và các công trình khai thác, sử dụng nước dưới đất;
- Đặc trưng khái quát của lớp phủ thực vật, mục đích sử dụng nước dưới đất;
- Nguồn nước đang sử dụng chủ yếu trong vùng điều tra như sông, hồ, nước dưới đất, công trình cấp nước và các thông tin, số liệu có liên quan.
c) Xác định chính xác, cụ thể các vị trí, tọa độ các vị trí cần tiến hành khoan địa chất thủy văn, bơm nước thí nghiệm, múc nước thí nghiệm, đổ nước thí nghiệm, lấy mẫu nước, đo địa vật lý, đo trắc địa, điểm quan trắc nước dưới đất… để tiến hành các công tác khảo sát, đo đạc đã được bố trí cùng với nhiệm vụ điều tra, đánh giá;
d) Xác định, khoanh vùng các đối tượng, khu vực trọng điểm cần điều tra, đánh giá chi tiết:
- Các phức hệ, tầng chứa nước, cách nước chủ yếu;
- Các vùng có nguy cơ gây ô nhiễm, xâm nhập mặn và các công trình ảnh hưởng đến chất lượng nước dưới đất;
- Vùng cấp, thoát tự nhiên và các công trình ảnh hưởng đến số lượng; các công trình khai thác và các đặc điểm nguồn nước.
2.3. Tiến hành điều tra chi tiết tại các vùng, khu vực, đối tượng trọng điểm:
Điều tra chi tiết cần quan sát, mô tả, chụp ảnh, sơ họa, thu thập thông tin, dữ liệu của các loại điểm điều tra, gồm:
a) Đối với các phức hệ, tầng chứa nước, cách nước chủ yếu:
- Phạm vi phân bố;
- Vị trí hành chính và trên bản đồ; thành phần đất đá chủ yếu;
- Đặc điểm địa hình; lớp phủ; lớp phong hóa; mức độ nứt nẻ;
- Vị trí, tọa độ ranh giới giữa các phức hệ, tầng chứa nước;
- Đặc điểm lớp phủ; hướng vận động của nước dưới đất và một số yếu tố liên quan.
b) Vùng có nguy cơ ô nhiễm, xâm nhập mặn:
- Các loại hình chủ yếu là nguyên nhân ô nhiễm;
- Phạm vi phân bố; vị trí hành chính và trên bản đồ;
- Các yếu tố ảnh hưởng đến nguy cơ ô nhiễm, xâm nhập và một số yếu tố liên quan.
c) Vùng cấp, thoát nước tự nhiên:
- Phạm vi phân bố; thuộc phức hệ, tầng chứa nước;
- Vị trí hành chính và trên bản đồ;
- Đặc điểm địa hình; lớp phủ thực vật; lớp phong hóa; mức độ nứt nẻ;
- Sơ bộ vị trí, tọa độ ranh giới vùng cấp, thoát chủ yếu; nơi thoát nước tự nhiên chủ yếu đặc điểm lớp phủ và một số yếu tố liên quan.
d) Đối với giếng khoan, giếng đào khai thác nước dưới đất:
- Tọa độ; vị trí hành chính; xác định vị trí trên bản đồ;
- Sơ bộ chất lượng nước về màu, mùi, vị, pH, độ dẫn điện, độ mặn, DO, nhiệt độ;
- Thành phần, mức độ nứt nẻ của đất đá; đặc điểm địa hình, địa mạo, chiều dày và đặc điểm của lớp vỏ phong hóa, lớp phủ thực vật;
- Chiều sâu, đường kính giếng khoan; mực nước tĩnh; địa tầng khai thác nước; lưu lượng hoặc chế độ khai thác, lượng nước khai thác trong ngày; mực nước động hoặc vị trí đặt máy bơm khai thác, ống hút nước; biên độ dao động mực nước; mục đích sử dụng khác nhau; thời gian khai thác nước và các thông tin khác có liên quan.
đ) Đối với nguồn lộ:
- Tọa độ; vị trí hành chính; xác định vị trí trên bản đồ;
- Vị trí xuất lộ so với địa hình xung quanh; xác định vị trí trên bản đồ;
- Sơ bộ chất lượng nước về màu, mùi, vị, pH, độ dẫn điện, độ mặn, DO, nhiệt độ;
- Thành phần, mức độ nứt nẻ của đất đá; đặc điểm địa hình, địa mạo, chiều dày và đặc điểm của lớp phong hóa; lớp phủ thực vật; đặc điểm xuất lộ; lưu lượng nguồn lộ;
- Hiện trạng sử dụng và các thông tin khác có liên quan. e) Đối với hang động karst:
- Tọa độ; vị trí hành chính; xác định vị trí trên bản đồ;
- Sơ bộ chất lượng nước về màu, mùi, vị, pH, độ dẫn điện, độ mặn, DO, nhiệt độ;
- Thành phần, mức độ nứt nẻ của đất đá;
- Đặc điểm địa hình, địa mạo, chiều dày và đặc điểm của lớp phong hóa; lớp phủ thực vật; độ cao tương đối của hang so với địa hình xung quanh;
- Tình trạng hiện tại về kích thước hang; mối liên hệ của hang với nước dưới đất và các thông tin khác có liên quan.
2.4. Lấy và bảo quản mẫu nước phân tích trong phòng thí nghiệm.
2.5. Chỉnh lý số liệu điều tra thực địa, bảo dưỡng thiết bị máy móc hàng ngày:
- Kiểm tra, chỉnh lý tài liệu, sổ nhật ký điều tra thực địa;
- Bảo dưỡng máy móc, thiết bị;
- Sơ bộ nhận định khối lượng, các thông tin đã điều tra để điều chỉnh kế hoạch/phương án lộ trình.
3. Tổng hợp, chỉnh lý, hoàn thiện kết quả điều tra thực địa và giao nộp sản phẩm:
a) Chỉnh lý, hoàn thiện các thông tin, dữ liệu điều tra thực địa: phiếu điều tra, sổ nhật ký, bản đồ và các các tài liệu khác;
b) Nhập kết quả, thông tin, dữ liệu điều tra thực địa;
c) Xử lý, chỉnh lý tổng hợp các thông tin, dữ liệu, kết quả điều tra;
d) Xây dựng báo cáo kết quả điều tra thực địa, sơ đồ, biểu bảng thống kê; tổng hợp kết quả điều tra thực địa;
đ) Hoàn chỉnh hồ sơ, tài liệu kết quả điều tra thực địa và bàn giao sản phẩm:
- Báo cáo kết quả điều tra thực địa;
- Sơ đồ tài liệu thực tế: các tuyến và vị trí các điểm điều tra trên nền bản đồ địa hình tương ứng với tỷ lệ điều tra;
- Các bảng tổng hợp, thống kê kết quả điều tra tổng hợp và điều tra chi tiết và công trình khai thác, sử dụng nước chủ yếu theo cấu trúc chứa nước, vùng điều tra và đơn vị hành chính;
- Bảng thống kê danh mục các khu vực đã điều tra tổng hợp;
- Bảng thống kê danh mục các điểm đã điều tra chi tiết;
- Phiếu điều tra, sổ nhật ký điều tra thực địa và các tài liệu điều tra thực địa khác.
II. CÔNG TÁC NỘI NGHIỆP:
1. Thu thập, rà soát thông tin, dữ liệu và chuẩn bị triển khai công tác điều tra, đánh giá tài nguyên nước dưới đất:
a) Nghiên cứu đề cương, hồ sơ dự án đã được phê duyệt;
b) Thu thập các thông tin, dữ liệu liên quan đến vùng điều tra;
c) Rà soát, thống kê, đánh giá tính đầy đủ, mức độ tin cậy của các tài liệu đã thu thập;
d) Thống kê, lập danh mục các thông tin, dữ liệu, tài liệu đã thu thập được:
- Lập danh mục các thông tin, dữ liệu có đủ độ tin cậy phục vụ cho công tác điều tra, đánh giá nguồn nước dưới đất;
- Xác định các thông tin, dữ liệu, tài liệu còn thiếu, cần thu thập bổ sung.
đ) Rà soát, lập kế hoạch triển khai dự án;
e) Giao nhiệm vụ cho các nhóm thực hiện.
2. Tổng hợp, chỉnh lý, xử lý thông tin, dữ liệu thu thập và kết quả điều tra thực địa theo các nội dung đánh giá:
a) Rà soát, phân loại các thông tin, dữ liệu đã thu thập và điều tra thực địa phục vụ cho việc đánh giá hiện trạng tài nguyên nước dưới đất;
b) Đánh giá độ tin cậy của các thông tin, dữ liệu thu thập, điều tra và lựa chọn, lập danh mục các thông tin, dữ liệu phục vụ cho việc đánh giá theo nội dung yêu cầu;
c) Nhập số liệu vào máy tính, kiểm tra, đồng bộ hóa thông tin, dữ liệu;
d) Xử lý, tổng hợp thông tin, dữ liệu và xây dựng các biểu, bảng, đồ thị:
- Lập danh mục các phức hệ, tầng chứa nước, cách nước;
- Lập danh mục vùng có nguy cơ ô nhiễm, xâm nhập mặn;
- Lập danh mục vùng cấp, thoát nước tự nhiên;
- Lập danh mục nguồn lộ; hang động karst; giếng khoan, giếng đào khai thác nước dưới đất;
- Lập các loại đồ thị diễn biến hiện trạng khai thác, sử dụng nước dưới đất theo thời gian; đồ thị biểu diễn thành phần hóa học, chất lượng nước; đồ thị dự báo nhu cầu sử dụng nước dưới đất của các khu vực trong tương lai.
đ) Lập các sơ đồ điều tra tài nguyên nước dưới đất:
- Sơ đồ phân bố các phức hệ chứa nước chủ yếu;
- Sơ đồ phân bố các khu vực cấp, thoát nước tự nhiên;
- Sơ đồ phân bố các khu vực có nguy cơ ô nhiễm, xâm nhập mặn nước dưới đất;
- Sơ đồ phân bố các công trình khai thác, điểm lộ, hang động karst;
- Sơ đồ diện phân bố và chiều dày của lớp phong hóa;
- Sơ đồ diện phân bố lớp phủ thực vật.
3. Phân tích đánh giá hiện trạng, diễn biến tài nguyên nước dưới đất:
a) Phân tích, đánh giá khái quát các đặc điểm, đặc trưng chủ yếu của các cấu trúc chứa nước, thành tạo đất đá chứa nước, phức hệ chứa nước lớn và của các thành tạo đất đá chứa nước yếu hoặc cách nước thuộc phạm vi điều tra, đánh giá:
- Diện tích phân bố, thành phần đất đá chủ yếu, chiều sâu thế nằm, chiều sâu phân bố trên mặt cắt, nguồn gốc đất đá; diện tích chủ yếu tại một số đơn vị hành chính;
- Đặc tính nứt nẻ; sơ bộ khả năng chứa nước;
- Đặc tính thủy lực chủ yếu, gồm: chiều sâu mực nước tĩnh, độ cao cột áp lực, động thái nước dưới đất tại các điểm lộ, lỗ khoan, giếng khoan đặc trưng; hướng vận động chủ yếu của nước dưới đất;
- Đặc điểm vùng cấp, thoát nước tự nhiên, gồm: phạm vi phân bố; vị trí hành chính; các ảnh hưởng đến sự cấp, thoát của nguồn nước dưới đất;
- Đặc điểm các yếu tố chủ yếu ảnh hưởng đến đặc điểm thủy lực, gồm: lớp phủ thực vật; lớp phong hóa; đới thông khí và một số yếu tố khác liên quan;
- Đặc điểm các yếu tố ảnh hưởng đến số lượng chất lượng nguồn nước, gồm:
+ Các công trình, loại hình chủ yếu có ảnh hưởng đến số lượng, chất lượng nguồn nước;
+ Phạm vi phân bố; vị trí hành chính và trên bản đồ;
+ Bảng tổng hợp thông số đặc trưng của cấu trúc chứa nước, thành tạo đất đá chứa nước, phức hệ chứa nước lớn và các thành tạo đất đá chứa nước yếu hoặc cách nước với các thông tin chính sau: phạm vi phân bố; vị trí hành chính và trên bản đồ; đặc điểm địa hình; lớp phủ thực vật; lớp phong hóa; mức độ nứt nẻ; vị trí, tọa độ ranh giới giữa các phức hệ; đặc điểm lớp phủ thực vật; hướng vận động của nước dưới đất và một số yếu tố liên quan.
b) Phân tích, xác định và phân vùng mức độ chứa nước của các cấu trúc chứa nước, tầng chứa nước, cách nước thuộc phạm vi điều tra, đánh giá:
- Phân vùng miền cấp, miền thoát;
- Phân vùng đẳng chiều sâu mực nước, độ cao cột áp lực;
- Phân vùng đẳng bề dày, đẳng đặc tính thấm của lớp đất đá đới thông khí;
- Phân vùng đẳng tính thấm của các cấu trúc chứa nước lớn, thành tạo đất đá chứa nước, phức hệ chứa nước chủ yếu;
- Phân vùng phân bố chủ yếu của lớp phủ thực vật.
c) Phân tích, đánh giá khái quát và xác định những đặc trưng cơ bản của trữ lượng động, tĩnh nước dưới đất theo cấu trúc chứa nước, vùng điều tra và đơn vị hành chính:
đất;
- Tổng trữ lượng, trữ lượng động, tĩnh của nước dưới đất;
- Diễn biến trữ lượng theo không gian, thời gian;
- Đặc điểm các công trình, yếu tố chủ yếu ảnh hưởng đến trữ lượng nước dưới
- Đánh giá khái quát khả năng khai thác của nguồn nước dưới đất tại các công trình khai thác được điều tra, gồm:
+ Các giếng khoan, giếng đào;
+ Các nguồn lộ, hang động karst;
+ Khoanh vùng có triển vọng khai thác;
+ Sơ bộ trữ lượng có thể khai thác.
d) Phân tích, xác định và phân vùng đẳng mô đun dòng ngầm, lượng cung cấp thấm trung bình năm, mùa kiệt, ba tháng kiệt và tháng kiệt nhất cho vùng điều tra;
đ) Phân tích, đánh giá chất lượng nước, phân vùng chất lượng nước:
- Đánh giá khái quát chất lượng nước theo các mục đích sử dụng khác nhau;
- Đánh giá khái quát tính chất vật lý, hàm lượng các thành phần hoá học cơ bản, độ tổng khoáng hóa; loại hình hóa học chủ yếu của nước dưới đất; sự biến đổi của các đặc trưng chất lượng nước qua các thời kỳ;
- Đặc điểm vùng có nguy cơ ô nhiễm, xâm nhập mặn, công trình chính ảnh hưởng đến chất lượng: các loại hình chủ yếu là nguyên nhân ô nhiễm; Phạm vi phân bố; vị trí hành chính và trên bản đồ; các yếu tố ảnh hưởng đến nguy cơ ô nhiễm, xâm nhập mặn, gồm: đặc điểm địa hình; lớp phủ thực vật; lớp phong hóa; các công trình chính ảnh hưởng đến chất lượng nước và một số yếu tố liên quan;
- Khoanh vùng chất lượng nước đáp ứng cho mục đích khác nhau.
e) Đánh giá khái quát khả năng khai thác, sử dụng nguồn nước dưới đất phục vụ cấp nước sinh hoạt ở các vùng nông thôn, cấp nước cho các đô thị, các khu vực trọng điểm về KTXH; đánh giá khả năng khai thác, sử dụng nước dưới đất cho từng ngành, lĩnh vực theo đơn vị hành chính.
4. Chuẩn bị nội dung thông tin và biên tập các loại bản đồ:
4.1. Chuẩn bị nội dung thông tin thể hiện của các bản đồ:
- Bản đồ tài liệu thực tế tài nguyên nước dưới đất, gồm các thông tin về:
+ Phân bố các cấu trúc chứa nước, phức hệ chứa, cách nước lớn; hệ thống sông hồ trên bình diện;
+ Hiện trạng sử dụng đất, thảm phủ thực vật trên lưu vực;
+ Mực nước, độ sâu mực nước, lưu lượng tại các điểm điều tra;
+ Các điểm lấy mẫu, phân tích chất lượng nước;
+ Các vị trí điều tra thực địa;
+ Các vùng cấp, thoát nước dưới đất;
+ Hướng vận động chủ yếu của nước dưới đất;
+ Vùng có nguy cơ ô nhiễm;
+ Các tuyến điều tra, đánh giá và các thông tin khác liên quan trong điều tra, đánh giá thực địa.
- Bản đồ chất lượng nước dưới đất, gồm các thông tin về:
+ Lớp thông tin thành phần hóa học của nước tại các vị trí có kết quả phân tích;
+ Lớp thông tin thành phần các nguyên tố vi lượng;
+ Lớp thông tin thành phần các chất ô nhiễm nhóm hữu cơ;
+ Lớp thông tin kết quả mẫu phân tích vi sinh tại từng điểm lấy mẫu;
+ Lớp thông tin vùng ô nhiễm, xâm nhập mặn;
+ Lớp thông tin về chất lượng nước cho các mục tiêu sử dụng và thông tin khác.
- Bản đồ tài nguyên nước dưới đất, gồm các thông tin về:
+ Phân bố các cấu trúc chứa nước, phức hệ, tầng chứa, cách nước; hệ thống sông hồ trên bình diện;
+ Mực nước, độ sâu mực nước, lưu lượng tại các điểm điều tra và một số thông tin khác;
+ Vùng có triển vọng khai thác, trữ lượng có thể khai thác;
+ Các lớp thông tin về phân bố các phức hệ, tầng chứa nước, đặc trưng nguồn nước; khả năng khai thác và các thông tin khác liên quan đến tài nguyên nước dưới đất.
- Bản đồ mô đun dòng ngầm, gồm các thông tin về:
+ Vùng đẳng mô đun dòng ngầm, giá trị mô đun dòng ngầm;
+ Các điểm giá trị mô đun dòng ngầm và các thông tin khác.
4.2. Biên tập bản đồ (tương ứng theo các tỷ lệ điều tra):
- Bản đồ tài liệu thực tế tài nguyên nước dưới đất;
- Bản đồ tài nguyên nước dưới đất;
- Bản đồ chất lượng nước dưới đất;
- Bản đồ mô đun dòng ngầm.
5. Tổng hợp, xây dựng hồ sơ sản phẩm kết quả điều tra, đánh giá:
a) Báo cáo kết quả điều tra thực địa;
b) Báo cáo tổng hợp kết quả điều tra, đánh giá tài nguyên nước dưới đất;
c) Báo cáo tóm tắt;
d) Các báo cáo chuyên đề:
- Đặc điểm tài nguyên nước dưới đất;
- Hiện trạng và diễn biến tài nguyên nước dưới đất;
- Đặc điểm chất lượng nước dưới đất.
đ) Các bản đồ (tương ứng theo các tỷ lệ điều tra):
- Bản đồ tài liệu thực tế tài nguyên nước dưới đất;
- Bản đồ tài nguyên nước dưới đất;
- Bản đồ chất lượng nước dưới đất;
- Bản đồ mô đun dòng ngầm.
e) Phụ lục: các bảng tổng hợp, thống kê kết quả điều tra tổng hợp, chi tiết theo cấu trúc chứa nước và đơn vị hành chính; bảng thống kê danh mục các điểm đã điều tra chi tiết và thông tin khác. Các bản vẽ mặt cắt, hình vẽ khác
6. Hội thảo, kiểm tra, nghiệm thu:
- Hoàn thiện báo cáo tổng hợp, báo cáo tóm tắt, các báo cáo chuyên đề, các bản đồ; Lấy ý kiến chuyên gia, kiểm tra;
- Chuẩn bị tài liệu, báo cáo và các nội dung liên quan phục vụ hội thảo;
- Chỉnh sửa, hoàn thiện hồ sơ dự án.
7. In, nhân sao, lưu trữ và giao nộp sản phẩm:
- Ghi đĩa CD, nhãn đĩa sản phẩm, nhân bộ;
- In ấn sản phẩm báo cáo, bản đồ, nhân bộ;
- Vận chuyển, giao nộp sản phẩm.
Phụ lục số 03
PHÂN CẤP THEO MỨC ĐỘ PHỨC TẠP CỦA CẤU TRÚC ĐỊA CHẤT, ĐỊA CHẤT THỦY VĂN
|
TT |
Mức độ phức tạp của cấu trúc địa chất, địa chất thủy văn |
Đặc điểm |
|
1 |
Đơn giản |
Chủ yếu là các tầng chứa nước loại vỉa ít thay đổi theo đường phương và bề dày, nước dưới đất nằm trùng với các vỉa đất đá trước Đệ tứ có thành phần thạch học, trầm tích tương đối đồng nhất, các trầm tích aluvi, cát sét và các trầm tích tương tự. Thành phần hóa học của nước dưới đất tương đối đồng nhất. |
|
2 |
Trung bình |
Chủ yếu là các trầm tích chứa nước loại vỉa, bị thay đổi cả theo đường phương, góc dốc và bề dày. Nước dưới đất nằm trùng vào đá kết tinh dạng khối, các hệ tầng đất đá trước đệ tứ có hướng thay đổi. Thành phần hóa học của nước dưới đất không đồng nhất. |
|
3 |
Phức tạp |
Có nhiều loại nước dưới đất khác nhau. Có mối quan hệ qua lại phức tạp, thành phần hóa học của nước thay đổi, các loại nước khe nứt castơ, các hệ tầng trầm tích Đệ tứ dày có tướng thay đổi, nước bị nhiễm mặn. |
MỤC LỤC
PHẦN I. QUY ĐỊNH CHUNG
PHẦN II. ĐỊNH MỨC KINH TẾ - KỸ THUẬT ĐIỀU TRA, ĐÁNH GIÁ TÀI NGUYÊN NƯỚC
CHƯƠNG I. ĐIỀU TRA, ĐÁNH GIÁ TÀI NGUYÊN NƯỚC MẶT
A. TỶ LỆ 1:200.000
I. Nội dung công việc:
II. Những công việc chưa tính trong định mức:
III. Điều kiện áp dụng và các hệ số hiệu chỉnh:
IV. Định biên lao động:
V. Định mức lao động:
VI. Định mức sử dụng vật liệu, dụng cụ và máy móc, thiết bị:
B. TỈ LỆ 1:100.000
I. Nội dung công việc:
II. Những công việc chưa tính trong định mức:
III. Điều kiện áp dụng và các hệ số hiệu chỉnh:
IV. Định biên lao động:
V. Định mức lao động:
VI. Định mức sử dụng vật liệu, dụng cụ và máy móc, thiết bị:
C. TỈ LỆ 1:50.000
I. Nội dung công việc:
II. Những công việc chưa tính trong định mức:
III. Điều kiện áp dụng và các hệ số hiệu chỉnh:
IV. Định biên lao động:
V. Định mức lao động:
VI. Định mức sử dụng vật liệu, dụng cụ và máy móc, thiết bị:
D. TỈ LỆ 1:25.000
I. Nội dung công việc:
II. Những công việc chưa tính trong định mức:
III. Điều kiện áp dụng và các hệ số hiệu chỉnh:
IV. Định biên lao động:
V. Định mức lao động:
VI. Định mức sử dụng vật liệu, dụng cụ và máy móc, thiết bị:
CHƯƠNG II. ĐIỀU TRA, ĐÁNH GIÁ TÀI NGUYÊN NƯỚC DƯỚI ĐẤT
A. TỶ LỆ 1:200.000
I. Nội dung công việc:
II. Những công việc chưa tính trong định mức:
III. Điều kiện áp dụng và các hệ số hiệu chỉnh:
IV. Định biên lao động:
V. Định mức lao động:
VI. Định mức sử dụng vật liệu, dụng cụ và máy móc, thiết bị:
B. TỶ LỆ 1:100.000
I. Nội dung công việc:
II. Những công việc chưa tính trong định mức:
III. Điều kiện áp dụng và các hệ số hiệu chỉnh:
IV. Định biên lao động:
V. Định mức lao động:
VI. Định mức sử dụng vật liệu, dụng cụ và máy móc, thiết bị:
C. TỶ LỆ 1:50.000
I. Nội dung công việc:
II. Những công việc chưa tính trong định mức:
III. Điều kiện áp dụng và các hệ số hiệu chỉnh:
IV. Định biên lao động:
V. Định mức lao động:
VI. Định mức sử dụng vật liệu, dụng cụ và máy móc, thiết bị:
D. TỶ LỆ 1:25.000
I. Nội dung công việc:
II. Những công việc chưa tính trong định mức:
III. Điều kiện áp dụng và các hệ số hiệu chỉnh:
IV. Định biên lao động:
V. Định mức lao động:
VI. Định mức sử dụng vật liệu, dụng cụ và máy móc, thiết bị:
PHẦN III. PHỤ LỤC
Phụ lục số 01. Yêu cầu kỹ thuật, quy trình thực hiện điều tra, đánh giá tài nguyên nước mặt
I. Công tác ngoại nghiệp:
II. Công tác nội nghiệp:
Phụ lục số 02. Yêu cầu kỹ thuật, quy trình thực hiện điều tra, đánh giá tài nguyên nước dưới đất
I. Công tác ngoại nghiệp:
II. Công tác nội nghiệp:
Phụ lục số 03. Phân cấp theo mức độ phức tạp của cấu trúc địa chất, địa chất thủy văn.
Bạn chưa Đăng nhập thành viên.
Đây là tiện ích dành cho tài khoản thành viên. Vui lòng Đăng nhập để xem chi tiết. Nếu chưa có tài khoản, vui lòng Đăng ký tại đây!
Bạn chưa Đăng nhập thành viên.
Đây là tiện ích dành cho tài khoản thành viên. Vui lòng Đăng nhập để xem chi tiết. Nếu chưa có tài khoản, vui lòng Đăng ký tại đây!