- Tổng quan
- Nội dung
- Tiêu chuẩn liên quan
- Lược đồ
- Tải về
Tiêu chuẩn Quốc gia TCVN 13150-2:2020 Lớp vật liệu tái chế nguội tại chỗ dùng cho kết cấu áo đường ô tô - Thi công và nghiệm thu - Phần 2: Tái chế sâu sử dụng nhựa đường bọt và xi măng
| Số hiệu: | TCVN 13150-2:2020 | Loại văn bản: | Tiêu chuẩn Việt Nam |
| Cơ quan ban hành: | Bộ Khoa học và Công nghệ | Lĩnh vực: | Giao thông |
|
Ngày ban hành:
Ngày ban hành là ngày, tháng, năm văn bản được thông qua hoặc ký ban hành.
|
12/11/2020 |
Hiệu lực:
|
Đã biết
|
| Người ký: | Đang cập nhật |
Tình trạng hiệu lực:
Cho biết trạng thái hiệu lực của văn bản đang tra cứu: Chưa áp dụng, Còn hiệu lực, Hết hiệu lực, Hết hiệu lực 1 phần; Đã sửa đổi, Đính chính hay Không còn phù hợp,...
|
Đã biết
|
TÓM TẮT TIÊU CHUẨN VIỆT NAM TCVN 13150-2:2020
TCVN 13150-2:2020 - Quy định quan trọng cho việc thi công lớp vật liệu tái chế đường bộ
Tiêu chuẩn Quốc gia TCVN 13150-2:2020 được ban hành nhằm quy định những yêu cầu về thi công và nghiệm thu lớp vật liệu tái chế sâu sử dụng nhựa đường bọt và xi măng cho kết cấu áo đường ô tô. Tiêu chuẩn này, do Viện Khoa học và Công nghệ Giao thông vận tải biên soạn, có hiệu lực từ năm 2020 và ảnh hưởng trực tiếp đến các nhà thầu, kỹ sư và cơ quan chức năng trong quá trình xây dựng, sửa chữa và nâng cấp hệ thống đường bộ.
Đối tượng chịu tác động của tiêu chuẩn này chủ yếu là các nhà thầu thi công và các kỹ sư thiết kế kết cấu đường. Các quy định chính bao gồm:
Phạm vi áp dụng: Tiêu chuẩn này áp dụng cho việc sửa chữa, cải tạo và nâng cấp kết cấu áo đường mềm cũ, nhằm khắc phục các vấn đề như nứt, lún hay ổ gà, cũng như có thể tham khảo cho việc cải tạo kết cấu tại sân bay.
Yêu cầu kỹ thuật đối với hỗn hợp tái chế: Hỗn hợp tái chế phải đáp ứng các chỉ tiêu cơ lý cụ thể, như cường độ kéo và cường độ chịu nén, nhằm đảm bảo an toàn và chất lượng cho lớp mặt đường.
Yêu cầu về thiết bị thi công: Tiêu chuẩn quy định chi tiết các loại máy móc, thiết bị cần thiết cho quá trình thi công, chẳng hạn như máy tái chế, máy rải xi măng và xe bồn chứa nhựa đường. Điều này nhằm đảm bảo tính đồng bộ và hiệu quả trong quá trình thi công.
Quy trình thi công: Các công đoạn thi công cần tuân thủ các bước từ chuẩn bị mặt bằng, rải xi măng đến việc cào bóc vật liệu cũ, phun nhựa đường bọt và vận chuyển nước. Cần chú ý đến yếu tố thời tiết và điều kiện thi công để đảm bảo chất lượng lớp tái chế.
Ngày ban hành: Không cụ thể trong văn bản, nhưng văn bản này có hiệu lực theo thông tin từ Bộ Giao thông vận tải. Tiêu chuẩn này không thay thế văn bản nào trước đó nhưng là một phần của bộ tiêu chuẩn về vật liệu tái chế trong thi công kết cấu áo đường.
Tóm lại, tiêu chuẩn TCVN 13150-2:2020 đưa ra các yêu cầu và khuyến nghị quan trọng cho việc áp dụng công nghệ tái chế nguội tại chỗ. Điều này giúp cải thiện chất lượng đường bộ và tăng tuổi thọ của kết cấu hạ tầng giao thông, đảm bảo an toàn cho người và phương tiện tham gia giao thông.
Tải tiêu chuẩn Việt Nam TCVN 13150-2:2020
TIÊU CHUẨN QUỐC GIA
TCVN 13150-2:2020
LỚP VẬT LIỆU TÁI CHẾ NGUỘI TẠI CHỖ DÙNG CHO KẾT CẤU ÁO ĐƯỜNG Ô TÔ - THI CÔNG VÀ NGHIỆM THU - PHẦN 2: TÁI CHẾ SÂU SỬ DỤNG NHỰA ĐƯỜNG BỌT VÀ XI MĂNG
Cold in-place recycled material layer for road pavement - Construction and acceptance - Part 2: Full depth recycling with foamed bitumen and cement
Lời nói đầu
TCVN 13150:2020 do Viện Khoa học và Công nghệ Giao thông vận tải biên soạn, Bộ Giao thông vận tải đề nghị, Tổng cục Tiêu chuẩn Đo lường Chất lượng thẩm định, Bộ Khoa học và Công nghệ công bố.
Bộ tiêu chuẩn TCVN 13150:2020 Lớp vật liệu tái chế nguội tại chỗ dùng cho kết cấu áo đường ô tô - Thi công và nghiệm thu bao gồm 2 phần:
TCVN 13150-1:2020, Phần 1: Tái chế sâu sử dụng xi măng hoặc xi măng và nhũ tương nhựa đường
TCVN 13150-2:2020, Phần 2: Tái chế sâu sử dụng nhựa đường bọt và xi măng
LỚP VẬT LIỆU TÁI CHẾ NGUỘI TẠI CHỖ DÙNG CHO KẾT CẤU ÁO ĐƯỜNG Ô TÔ - THI CÔNG VÀ NGHIỆM THU - PHẦN 2: TÁI CHẾ SÂU SỬ DỤNG NHỰA ĐƯỜNG BỌT VÀ XI MĂNG
Cold in-place recycled material layer for road pavement - Construction and acceptance - Part 2: Full depth recycling with foamed bitumen and cement
1 Phạm vi áp dụng
1.1 Tiêu chuẩn này quy định những yêu cầu về thi công và nghiệm thu lớp vật liệu tái chế sâu theo phương pháp nguội tại chỗ sử dụng chất gia cố là nhựa đường bọt và xi măng dùng cho kết cấu áo đường ô tô.
1.2 Công nghệ tái chế nguội tại chỗ được dùng để sửa chữa, cải tạo và nâng cấp kết cấu áo đường mềm cũ có sử dụng lớp móng cấp phối đá dăm, cấp phối thiên nhiên sau một thời gian khai thác bị xuống cấp hoặc hư hỏng, phát sinh các biến dạng như nứt, lún, lún vệt bánh xe, ổ gà,... ảnh hưởng tới chất lượng khai thác và an toàn giao thông.
CHÚ THÍCH:
1) Tiêu chuẩn này cũng có thể được tham khảo áp dụng cho công tác cải tạo và nâng cấp kết cấu áo đường trong sân bay, bến bãi.
2) Kết cấu áo đường có sử dụng lớp vật liệu tái chế nguội tại chỗ sử dụng chất gia cố là nhựa đường bọt và xi măng xem Phụ lục E.
2 Tài liệu viện dẫn
Các tài liệu viện dẫn sau rất cần thiết cho việc áp dụng tiêu chuẩn này. Đối với các tài liệu viện dẫn ghi năm công bố thì áp dụng bản được nêu. Đối với các tài liệu viện dẫn không ghi năm công bố thì áp dụng phiên bản mới nhất, bao gồm các sửa đổi bổ sung (nếu có).
TCVN 2682, Tiêu chuẩn xi măng poóc lăng - Yêu cầu kỹ thuật
TCVN 4197 Đất xây dựng - Phương pháp xác định giới hạn chảy và giới hạn dẻo trong phòng thí nghiệm.
TCVN 4506, Nước trộn bê tổng và vữa - Yêu cầu kỹ thuật.
TCVN 6017, Xi măng - Xác định thời gian đông kết và tính ổn định thể tích
TCVN 6260, Xi măng poóc lăng hỗn hợp - Yêu cầu kỹ thuật
TCVN 7495, Bitum - Phương pháp xác định độ kim lún.
TCVN 7496, Bitum - Phương pháp xác định độ kéo dài.
TCVN 7497, Bitum - Phương pháp xác định điểm hóa mềm (dụng cụ vòng-và-bi).
TCVN 7498, Bitum - Phương pháp xác định điểm chớp nháy và điểm cháy bằng thiết bị thử cốc hở Cleveland.
TCVN 7500, Bitum - Phương pháp xác định độ hòa tan trong tricloetylen.
TCVN 7501, Bitum - Phương pháp xác định khối lượng riêng (phương pháp Pycnometer).
TCVN 7503, Bitum - Xác định hàm lượng paraphin bằng phương pháp chưng cất...
TCVN 7504, Bitum - Phương pháp xác định độ bám dính với đá.
TCVN 7572-2, Cốt liệu bê tông và vữa - Phương pháp thử - Phần 2: Xác định thành phần hạt
TCVN 8817-1, Nhũ tương nhựa đường a xít - Phần 1: Yêu cầu kỹ thuật
TCVN 8818-1, Nhựa đường lỏng - Phần 1: Yêu cầu kỹ thuật.
TCVN 8818-5, Nhựa đường lỏng - Phương pháp thử - Phần 5: Thử nghiệm xác định độ nhớt tuyệt đối (sử dụng nhớt kế mao dẫn chân không)
TCVN 8860-2, Bê tông nhựa - Phương pháp thử - Phần 2: Xác định hàm lượng nhựa bằng phương pháp chiết sử dụng máy quay li tâm
TCVN 8860-5, Bê tông nhựa - Phương pháp thử - Phần 5: Xác định tỷ trọng khối, khối lượng thể tích của bê tông nhựa đã đầm nén
TCVN 8862, Quy trình thí nghiệm xác định cường độ kéo khi ép chẻ của vật liệu hạt liên kết bằng các chất kết dính
TCVN 8863, Mặt đường láng nhựa nóng - Thi công và nghiệm thu
TCVN 8864, Mặt đường ô tô - Xác định độ bằng phẳng bằng thước dài 3,0 mét
TCVN 9505, Mặt đường láng nhũ tương nhựa đường axít - Thi công và nghiệm thu
TCVN 11711, Nhựa đường - Thử nghiệm xác định ảnh hưởng của nhiệt và không khí bằng phương pháp sấy màng mỏng
TCVN 12790, Đất, đá dăm dùng trong công trình giao thông - Đầm nén Proctor
TCVN 13150-1, Lớp vật liệu tái chế nguội tại chỗ dùng cho kết cấu đường ô tô - Thi công và nghiệm thu - Phần 1 : Tái chế sâu sử dụng xi măng hoặc xi măng và nhũ tương nhựa đường
AASHTO T191, standard Method of Test for Density of Soil In-Place by the Sand-Cone Method (Thí nghiệm xác định khối lượng thể tích của đất tại hiện trường bằng phương pháp phễu rót cát).
AASHTO 1993, Flexible Pavement structural Design (Thiết kế kết cấu áo đường mềm).
3 Thuật ngữ và định nghĩa
Tiêu chuẩn này sử dụng các thuật ngữ và định nghĩa trong TCVN 13150-1 và các thuật ngữ, định nghĩa sau đây:
3.1 Vật liệu gia cố (Stabilization agent)
Vật liệu được trộn thêm vào hỗn hợp vật liệu cũ để được hỗn hợp vật liệu tái chế; vật liệu tái chế là nhựa đường bọt hoặc dùng kết hợp cả nhựa đường bọt và xi măng.
3.2 Nhựa đường bọt (Foamed bitumen)
Nhựa đường đặc được gia nhiệt ở nhiệt độ (160 - 180) °C và được trộn với một lượng nước nguội (thông thường từ (2,5 ÷ 3,5) % theo khối lượng nhựa) trong buồng giãn nở chuyên dùng.
3.3 Tỷ lệ giãn nở (Expanding rate)
Thước đo độ nhớt của bọt, sử dụng để đánh giá mức độ bọt phân tán trong cấp phối hạt đó; là tỷ lệ giữa thể tích tối đa của bọt tương đối với thể tích ban đầu của bọt; ký hiệu là ER.
3.4 Chu kỳ bán hủy
Thước đo độ bền của bọt và cung cấp một chỉ thị về tốc độ xẹp của bọt trong quá trình trộn lẫn; được xác định bằng thời gian (tính bằng s) cần để bọt xẹp tới một nửa thể tích tối đa; ký hiệu là
.
4 Yêu cầu kỹ thuật đối với hỗn hợp tái chế
4.1 Yêu cầu về thành phần cấp phối
Thành phần cấp phối (xác định theo TCVN 7572-2) của hỗn hợp tái chế được quy định trong Bảng 1.
Bảng 1 - Thành phần cấp phối của hỗn hợp tái chế
| Kích cỡ lỗ sàng vuông, mm | Tỷ lệ lọt sàng, % theo khối lượng |
| 50 | 100 |
| 37,5 | 87 ÷ 100 |
| 25 | 75 ÷ 100 |
| 19 | 67 ÷ 94 |
| 12,5 | 55 ÷ 85 |
| 4,75 | 35 ÷ 67 |
| 0,6 | 14 ÷ 39 |
| 0,075 | 4 ÷ 20 |
4.2 Yêu cầu về các chỉ tiêu cơ lý
Hỗn hợp tái chế phải có các chỉ tiêu cơ lý thỏa mãn các quy định trong Bảng 2.
Bảng 2 - Yêu cầu về các chỉ tiêu cơ lý đối với hỗn hợp tái chế
| Tên chỉ tiêu | Mức | Phương pháp thử | |
| Thử nghiệm trên mẫu chế tạo theo phương pháp Marshall | Thử nghiệm trên mẫu chế tạo theo phương pháp Proctor cải tiến (1) | ||
| 1. Cường độ kéo khi ép chẻ ở 25 °C, trạng thái khô (Rkck), MPa |
|
| TCVN 8862 |
| + Tái chế lớp mặt bê tông nhựa và lớp móng cấp phối đá dăm | 0,25 ÷ 0,60 | 0,12 ÷ 0,25 | |
| + Tái chế lớp cấp phối đá dăm | 0,20 ÷ 0,50 | 0,12 ÷ 0,20 | |
| + Tái chế lớp cấp phối thiên nhiên | 0,15 ÷ 0,45 | 0,08 ÷ 0,15 | |
| 2. Hệ số cường độ kéo khi ép chẻ (TSR = Rkcư / Rkck) |
|
|
|
| + Tái chế lớp mặt bê tông nhựa và lớp móng cấp phối đá dăm | 0,8 ÷ 1,0 | - | TCVN 8862 |
| + Tái chế lớp cấp phối đá dăm | 0,6 ÷ 0,9 | - |
|
| + Tái chế lớp cấp phối thiên nhiên | 0,3 ÷ 0,75 | - |
|
| 3. Cường độ chịu nén (Rn), MPa | - | ≥ 0,7 | Phụ lục A |
| (1) Thử nghiệm trên mẫu chế tạo theo phương pháp Protor cải tiến được sử dụng khi lớp tái chế được áp dụng cho đường có ESAL thiết kế ≥ 5x106 (tương đương 2,1x106 trục tiêu chuẩn 10 tấn). Mẫu được chế tạo, bảo dưỡng, thử nghiệm theo hướng dẫn tại Phụ lục A. | |||
5 Yêu cầu đối với vật liệu dùng cho hỗn hợp tái chế
5.1 Nhựa đường bọt
5.1.1 Nhựa đường mác (cấp) 85/100, 120/150 thường được dùng để tạo nhựa đường bọt; tuy nhiên, cũng có thể sử dụng nhựa đường mác 60/70 để tạo nhựa đường bọt. Yêu cầu kỹ thuật đối với các mác nhựa được theo Phụ lục C.
5.1.2 Nhiệt độ nhựa đường trước khi tạo bọt từ (160 ÷ 180) °C.
5.1.3 Các đặc tính tạo bọt của nhựa đường: Nhựa đường dùng để tạo bọt phải được kiểm tra trong phòng thí nghiệm để xác định các đặc tính tạo bọt thông qua tỷ lệ giãn nở (ER) và chu kỳ bán hủy (
), các chỉ tiêu kiểm tra phải phù hợp với yêu cầu tối thiểu trong Bảng 3.
Bảng 3 - Giới hạn đặc tính tạo bọt của nhựa đường
| Nhiệt độ hỗn hợp tái chế (T) | 10 °C ≤ T ≤ 25 °C | T ≥ 25 °C | Phương pháp thử |
| Tỷ lệ giãn nở nhỏ nhất, ER (lần) | 10 | 8 | Phụ lục B |
| Chu kỳ bán hủy ngắn nhất, | 8 | 6 |
5.1.4 Hàm lượng nhựa đường bọt nên dùng cho hỗn hợp tái chế
5.1.4.1 Trường hợp mặt đường cũ tái chế có lớp vật liệu sử dụng chất kết dính là nhựa đường (bê tông nhựa, láng nhựa, thấm nhập nhựa): Theo khuyến nghị trong Bảng 4.
Bảng 4 - Hàm lượng nhựa đường bọt khuyến nghị sử dụng
| Lượng hạt lọt qua sàng, % | Hàm lượng nhựa đường bọt, % theo khối lượng cốt liệu khô | |
| 4,75 mm | 0,075 mm | |
| < 50 | 3,0 ÷ 5,0 | 2,0 ÷ 2,5 |
| 5,0 ÷ 7,5 | 2,0 ÷ 3,0 | |
| 7,5 ÷ 10,0 | 2,5 ÷ 3,5 | |
| > 10 | 3,0 ÷ 4,0 | |
| ≥ 50 | 3,0 ÷ 5,0 | 2,0 ÷ 3,0 |
| 5,0 ÷ 7,5 | 2,5 ÷ 3,5 | |
| 7,5 ÷ 10,0 | 3,0 ÷ 4,0 | |
| > 10 | 3,5 ÷ 4,5 | |
5.1.4.2 Trường hợp mặt đường cũ không có lớp vật liệu sử dụng chất kết dính là nhựa đường, theo khuyến nghị như sau:
- Mặt đường cấp phối đá dăm: (2,0 ÷ 3,0) %;
- Mặt đường cũ là cấp phối tự nhiên có Pl < 10, CBR > 45 %: (2,0 ÷ 3,5) %;
- Mặt đường cũ là cấp phối tự nhiên có Pl < 10, CBR > 25 %: (2,5 ÷ 4,0) %.
CHÚ THÍCH: Trị số CBR tương ứng với mẫu vật liệu ở độ chặt, độ ẩm thực tế của lớp mặt đường cũ và đem thử với điều kiện ngâm mẫu bão hòa 96 h.
5.1.5 Phụ gia tạo bọt
Trong trường hợp cần thiết, có thể cần phải sử dụng phụ gia tạo bọt để tác động đến các tính chất tạo bọt của nhựa đường. Trong trường hợp sử dụng, hầu hết các chất phụ gia tạo bọt được đưa vào nhựa đường trước khi nung nóng đến nhiệt độ quy định; sau khi cho phụ gia vào nhựa đường, nhựa đường bọt được sử dụng trong khoảng thời gian 2 h. Loại và tỷ lệ phụ gia sử dụng phải được quy định cụ thể trong hồ sơ thiết kế hỗn hợp.
5.2 Xi măng
5.2.1 Xi măng sử dụng là loại phù hợp với quy định tại TCVN 2682 hoặc TCVN 6260; ngoài ra, xi măng phải có thời gian bắt đầu đông kết tối thiểu là 120 min (xác định theo TCVN 6017).
5.2.2 Hàm lượng xi măng sử dụng được xác định khi thiết kế hỗn hợp tái chế sao cho hỗn hợp tái chế thỏa mãn các yêu cầu kỹ thuật quy định. Hàm lượng xi măng (tính theo % khối lượng khô của hỗn hợp cốt liệu tái chế) thường dùng là 1,0 % (xác định theo Phụ lục A), tối đa không quá 1,5 % khi hỗn hợp thiếu thành phần hạt nhỏ hơn 0,075 mm.
5.3 Cốt liệu bổ sung
Lượng và loại cốt liệu bổ sung (nếu có) phải được xác định khi thiết kế hỗn hợp sao cho hỗn hợp tái chế thỏa mãn các yêu cầu trong Bảng 1, Bảng 2.
5.4 Nước
Nước dùng để trộn ẩm hỗn hợp tái chế khi thiết kế, thi công hỗn hợp tái chế, dùng để tạo bọt cho nhựa đường phải phù hợp với quy định nêu tại TCVN 4506.
5.5 Vật liệu dùng cho lớp thấm bám
Vật liệu dùng cho lớp thấm bám trên bề mặt lớp tái chế, trước khi thi công lớp bê tông nhựa phía trên, có thể là một trong các loại sau:
- Nhũ tương nhựa đường a xít phân tích chậm CSS-1h (TCVN 8817-1) với tỷ lệ từ (0,3 ÷ 0,6) L/m2, có thể pha thêm nước vào nhũ tương (tỷ lệ 1/2 nước, 1/2 nhũ tương) và quấy đều trước khi tưới.
- Nhựa lỏng đông đặc nhanh RC70 (TCVN 8818-1) với tỷ lệ từ (0,3 ÷ 0,5) L/m2.
- Trường hợp thi công vào ban đêm hoặc thời tiết ẩm ướt, có thể dùng nhũ tương nhựa đường a xít phân tách nhanh CRS-1 (TCVN 8817-1) với tỷ lệ từ (0,3 ÷ 0,5) L/m2.
Thời gian từ lúc tưới dính bám đến khi rải lớp bê tông nhựa phía trên phải đủ để nhũ tương nhựa đường kịp phân tách hoặc để nhựa lỏng kịp đông đặc và do Tư vấn giám sát quyết định, thông thường sau ít nhất là 4 h.
6 Thiết kế thành phần hỗn hợp vật liệu tái chế
6.1 Mục đích của công tác thiết kế thành phần hỗn hợp vật liệu tái chế là tìm ra được tỷ lệ phối hợp của các thành phần vật liệu (vật liệu cũ, cốt liệu bổ sung, xi măng, nhựa đường bọt, nước,...) để tạo ra hỗn hợp vật liệu tái chế thỏa mãn các yêu cầu quy định trong Bảng 1 và Bảng 2.
6.2 Khảo sát, đánh giá mặt đường cũ phục vụ công tác thiết kế hỗn hợp tái chế và thiết kế kết cấu áo đường
6.2.1 Trước khi thiết kế thành phần hỗn hợp vật liệu tái chế và thiết kế kết cấu áo đường phải tiến hành khảo sát, đánh giá mặt đường cũ. Về nguyên tắc, thiết kế kết cấu áo đường theo tiêu chuẩn nào thì việc khảo sát, đánh giá mặt đường cũ phải tuân thủ theo các quy định tại tiêu chuẩn tương ứng.
6.2.2 Phân chia đường thành những đoạn tương đối đồng nhất
6.2.2.1 Chia đường thành những đoạn tương đối đồng nhất dựa trên: Tình trạng và mức độ hư hỏng mặt đường cũ; chiều dầy các lớp vật liệu cũ, đặc trưng của các lớp vật liệu cũ (loại cốt liệu, thành phần cấp phổi cốt liệu, hàm lượng nhựa, khối lượng thể tích,...) trong phạm vi chiều sâu có thể áp dụng công nghệ tái chế; điều kiện địa chất thủy văn, chế độ thủy nhiệt; lưu lượng xe; các thông số về cường độ (khả năng chịu tải) của nền, mặt đường cũ.
6.2.2.2 Để chia đường thành những đoạn đồng nhất, trước hết ưu tiên sử dụng các hồ sơ quản lý, khai thác đường. Trong trường hợp chưa đủ thông tin, tiến hành điều tra, khảo sát ngoài thực địa dọc theo tuyến đường. Để xác định chiều dầy và đặc trưng các lớp vật liệu, tiến hành khảo sát, thí nghiệm dọc tuyến với mật độ từ (100 ÷ 500) m /1 vị trí.
6.2.2.3 Trong quá trình điều tra, khảo sát, cần chú ý những đoạn cục bộ (kết cấu nền mặt đường quá yếu) và phải có biện pháp thiết kế, xử lý riêng cho từng đoạn cụ bộ đó.
6.2.3 Trên mỗi đoạn đồng nhất, cần khảo sát, thí nghiệm tại ít nhất 3 vị trí; chiều dầy và các đặc trưng của lớp vật liệu là số liệu trung bình của 3 vị trí. Nội dung thực hiện tại các vị trí kiểm tra bao gồm:
6.2.3.1 Các lớp bê tông nhựa: Khoan mẫu bê tông nhựa, đo chiều dày các lớp, mang mẫu về phòng thi nghiệm xác định khối lượng thể tích theo TCVN 8860-5; cũng tại vị trí đã khoan mẫu, cắt mẫu bê tông nhựa, mang mẫu về phòng thí nghiệm xác định hàm lượng nhựa theo TCVN 8860-2, chuẩn bị mẫu để thiết kế hỗn hợp tái chế theo Phụ lục A.
6.2.3.2 Các lớp móng: Đào hố, đo chiều dày; thí nghiệm xác định khối lượng thể tích tại hiện trường bằng phương pháp rót cát theo AASHTO T191; mang mẫu về phòng thí nghiệm và chuẩn bị mẫu để thiết kế hỗn hợp tái chế theo Phụ lục A
6.3 Thiết kế hỗn hợp tái chế được thực hiện theo 2 bước là thiết kế sơ bộ và thiết kế hoàn chỉnh như sau:
- Bước 1 - Thiết kế sơ bộ: Sử dụng mẫu vật liệu lấy tại hiện trường theo 6.2. Mẫu được làm tơi trong phòng thí nghiệm bằng máy nghiền chuyên dụng.
- Bước 2 - Thiết kế hoàn chỉnh: Sử dụng mẫu vật liệu đã được máy tái chế cào bóc, làm tơi khi thi công thử tại hiện trường.
6.4 Trình tự thiết kế hỗn hợp tái chế được trình bày chi tiết tại Phụ lục A.
6.5 Nếu có sự khác biệt lớn về thành phần hỗn hợp và các chỉ tiêu cường độ phục vụ thiết kế kết cấu áo đường của hỗn hợp tái chế khi thiết kế theo bước 2 so với bước 1, thì cần điều chỉnh chiều dày thiết kế kết cấu áo đường và thi công đại trà phải thực hiện theo kết quả thiết kế ở bước 2.
7 Yêu cầu về thiết bị thi công
7.1 Dây chuyền công nghệ thi công bao gồm các thiết bị thi công chủ yếu sau:
- Máy tái chế
- Máy rải xi măng
- Xe bồn chứa nhựa đường nóng
- Xe bồn chở nước
- Máy san tự hành
- Máy lu các loại
7.2 Máy tái chế
Máy chuyên dụng, tự hành, có công suất thích hợp đủ khả năng cào xới áo đường cũ đến một chiều sâu quy định, trộn đều vật liệu cũ với cốt liệu bổ sung (nếu có) và vật liệu gia cố để tạo thành hỗn hợp vật liệu tái chế đồng nhất. Máy tái chế phải đáp ứng được các yêu cầu cơ bản sau:
- Có công suất không nhỏ hơn 400 HP.
- Được thiết kế và sản xuất tại nhà máy, có đầy đủ hồ sơ kỹ thuật.
- Có khả năng tái chế tới độ sâu cần thiết theo thiết kế. Có hệ thống điều khiển cân bằng để duy trì độ sâu cào bóc trong giới hạn sai số ± 10 mm của chiều sâu theo yêu cầu trong suốt quá trình vận hành.
- Trống cào có chiều rộng cắt tối thiểu 2,0 m, phải xoay theo hướng cắt lên trên với tốc độ yêu cầu tối thiểu 112 r/min, có khả năng thay đổi tốc độ quay.
- Trống cào có thể dịch chuyển sang trái, phải với độ dịch chuyển sang mỗi bên tối thiểu là 50 cm.
- Máy phải có hệ thống tạo nhựa đường bọt, tất cả hệ thống phun nhựa đường bọt và nước gắn khít với máy cào bóc tái chế cần phải được kiểm soát bởi hệ thống điều khiển tốc độ dòng chảy tương ứng với tốc độ di chuyển của máy. Tất cả hệ thống phun cũng phải có khả năng cho phép thay đổi lưu lượng phun trong một biên độ rộng từ (0 ÷ 500) kg/min tương ứng với khả năng thay đổi hàm lượng nhựa đường bọt từ (0 ÷ 5) %.
- Máy phải có khả năng cung cấp nhựa đường bọt với tốc độ yêu cầu và đồng nhất trong suốt quá trình vận hành;
- Trên máy phải có thiết bị hiển thị nhằm theo dõi quá trình cung cấp nhựa đường bọt trong suốt quá trình vận hành; có thiết bị điều chỉnh nhiệt độ và van áp suất của đường cung cấp nhựa đường bọt cho mục đích kiểm tra chất lượng.
7.3 Máy rải xi măng: Là máy tự hành, có thiết bị rải xi măng, có khả năng định lượng được lượng xi măng để rải thành lớp mỏng với sai số cho phép ± 5 % so với định lượng yêu cầu thiết kế trên một đơn vị diện tích của mặt đường.
7.4 Xe bồn chứa nhựa đường nóng: Phải là xe chuyên dụng với ống nối đằng sau và khớp nối để có thể kéo dài từ phía trước và đẩy từ phía sau.
7.4.1 Dung tích của các xe phải phù hợp với khối lượng công việc. Nói chung, loại xe bồn đơn với dung tích trong khoảng từ 10 000 L đến 15 000 L thích hợp cho các dự án nhỏ. Các xe bồn cỡ lớn với dung tích trên 20 000 L thường dùng cho các dự án lớn.
7.4.2 Tất cả các xe bồn nối vào máy cào bóc tái chế không bị rò rỉ, kể cả bồn chứa và hệ thống ống nối với máy tái chế.
7.4.3 Mỗi bồn chứa nhựa đường bọt phải được trang bị:
- Thiết bị đo nhiệt độ của nhựa đường bọt;
- Một van nạp phía sau, với đường kính trong tối thiểu 75 mm để xả nhựa đường thừa ra khỏi thùng chứa.
- Một hệ thống gia nhiệt có khả năng tăng nhiệt độ ít nhất 20 °C trong một giờ.
7.5 Xe bồn chở nước: Phải có khả năng điều chỉnh được lưu lượng nước phun.
7.6 Máy san: Máy san tự hành 3 cầu trục, điều khiển bằng thủy lực hoặc cơ khí, có thiết bị đo độ dốc ngang và công suất từ 60 HP trở lên.
7.7 Máy lu: Là loại tự hành, bao gồm tối thiểu các loại máy lu sau:
7.7.1 Lu rung chân cừu
Lu rung chân cừu là loại lu ban đầu và là lu chính, lu rung chân cừu được hoạt động trong hệ rung biên độ cao. Khối lượng tĩnh của lu phụ thuộc vào chiều dày sau khi lu lèn của lớp vật liệu tái sinh theo quy định trong Bảng 5, lực rung từ 25 T đến 35 T.
Bảng 5 - Khối lượng tĩnh của lu theo chiều dày lớp lu lèn
| Chiều dày của lớp tái chế sau lu lèn (H), cm | Khối lượng tĩnh nhỏ nhất của máy lu, T |
| H < 15 | 12 |
| 15 ≤ H < 20 | 15 |
| 20 ≤ H < 22 | 19 |
7.7.2 Lu rung 1 bánh thép
Lu rung 1 bánh thép là loại lu ngay sau lu rung chân cừu và là lu chinh, lu rung 1 bánh thép được hoạt động trong hệ rung biên độ cao. Khối lượng tĩnh của lu được sử dụng phụ thuộc vào chiều dày sau khi lu lèn của lớp vật liệu tái chế theo quy định tại Bảng 5.
7.7.3 Lu rung 2 bánh thép
Có trọng lượng từ 10 T đến 12 T, gồm 2 bánh thép và rộng không dưới 1,98 m và có hệ thống phun nước và thanh gạt để làm sạch vật liệu dính bám vào bánh lu.
7.7.4 Lu bánh lốp
Máy lu bánh lốp trọng lượng tĩnh tối thiểu 16 T, các lốp nhẵn đồng đều và có khả năng hoạt động với áp lực lu tối thiểu phải đạt 0,63 MPa. Mỗi lốp sẽ được bơm tới áp lực quy định và chênh lệch áp lực giữa hai lốp bất kỳ không được vượt quá 0,003 MPa có hệ thống phun nước và thanh gạt để làm sạch vật liệu dính bám vào bánh lu; cần có biện pháp để có thể điều chỉnh tải trọng của lu sao cho áp lực lên mỗi bánh lốp có thể thay đổi theo yêu cầu trong quá trình lu.
7.8 Máy cào bóc bê tông nhựa chuyên dụng (trong trường hợp phải cào bóc một phần hay toàn bộ lớp bê tông nhựa trước khi tiến hành cào bóc tái chế tại chỗ).
8 Thi công lớp vật liệu tái chế
8.1 Theo hồ sơ thiết kế, nếu phải cào bỏ một lớp bê tông nhựa cũ đến chiều sâu quy định thì phải dùng máy cào bóc chuyên dụng để cào bóc đến chiều sâu thiết kế, sau đó tiến hành thi công tái chế; nếu không phải cào bỏ lớp bê tông nhựa cũ, thi tiến hành thi công lớp tái chế ngay. Trình tự thi công lớp tái chế có thể thay đổi ít nhiều phụ thuộc vào loại máy tái chế sử dụng, nhưng tổng thể cần tuân thủ các quy định và trinh tự từ 8.2 đến 8.14.
8.2 Chỉ tiến hành thi công khi nhiệt độ không khí trên 5 °C, trời không mưa.
8.3 Không được rải xi măng trên mặt đường trước dây chuyền thiết bị thi công khi có gió lớn vì gió có thể thổi bay một phần xi măng.
8.4 Nhà thầu phải có kế hoạch phân luồng, đảm bảo an toàn giao thông trong suốt quá trình thi công.
8.5 Nên thi công và hoàn thiện lớp tái chế vào ban ngày. Trường hợp đặc biệt phải thi công vào ban đêm thi phải có đủ thiết bị chiếu sáng trong quá trình thi công và được Tư vấn giám sát chấp thuận.
8.6 Trước khi thi công đại trà, phải tiến hành thi công thử một vệt dài ít nhất 150 m để kiểm tra và xác định công nghệ thi công, làm cơ sở áp dụng cho thi công đại trà.
8.7 Chuẩn bị mặt bằng
8.7.1 Phải làm sạch bụi bẩn và các vật liệu không thích hợp rơi vãi trên bề mặt lớp mặt đường cũ sẽ tái chế bằng máy quét, máy thổi, hoặc vòi phun nước (nếu cần) và bắt buộc phải làm khô bề mặt. Mặt bằng chuẩn bị phải rộng hơn về mỗi bên ít nhất là 20 cm so với bề rộng sê tái chế. Tốt nhất là chuẩn bị trên toàn bộ chiều rộng đường, bao gồm cả các làn đường bên cạnh hoặc lề đường không được tái chế.
8.7.2 Định vị phạm vi mặt đường cần tái chế bằng cách vạch đường dẫn hướng dọc theo chiều dọc đường.
8.7.3 Loại bỏ chướng ngại vật: cần phải xử lý các hố ga nổi trên mặt đường và các kết cấu tương tự khi tái chế đối với đường trong khu vực đông dân cư. Cách tốt nhất là loại bỏ chúng trước khi tiến hành tái chế bằng cách lấy nắp đan, đà hầm ra và đập bỏ phần thành đến dưới 10 cm so với cao độ đáy lớp móng tái chế. Đặt tấm thép lên thành hố ga sau khi đập và tiến hành công tác tái chế. Sau khi hoàn tất, các hố ga có thể lắp đặt lại một cách chính xác và ngang với mức bề mặt mới bằng cách đào để lấy tấm thép chắn ra và xây lại thành hố ga theo yêu cầu.
8.7.4 Phải định vị trí và cao độ tái chế ở hai mép mặt đường đúng với thiết kế; kiểm tra cao độ bằng máy cao đạc.
8.8 Rải cốt liệu bổ sung: Trong trường hợp có yêu cầu bổ sung cốt liệu, thì cốt liệu bổ sung phải được cung cấp và rải trên bề mặt đường hiện hữu thành một lớp có chiều dày đồng đều.
8.9 Vận chuyển và rải xi măng
8.9.1 Dùng xe rải xi măng để vận chuyển và rải xi măng. Các xe này phải được trang bị thiết bị rải có thể định lượng chính xác lượng xi măng được rải trên một đơn vị diện tích; trong quá trình vận chuyển, thiết bị rải và nắp thùng đựng xi măng phải được niêm phong.
8.9.2 Mỗi chuyển xe vận chuyển và rải xi măng phải kèm theo phiếu xuất xưởng ghi rõ loại xi măng, khối lượng xi măng, thời điểm khởi hành, nơi đến, biển số xe, tên người lái xe.
8.9.3 Trước khi rải xi măng phải kiểm tra niêm phong trên thiết bị rải, nắp thùng, nếu mất niêm phong thì không được sử dụng.
8.9.4 Trong trường hợp diện tích thi công nhỏ hoặc trong trường hợp công địa thi công không cho phép xe rải xi măng hoạt động thuận lợi, có thể rải xi măng theo phương pháp thủ công. Xi măng được đổ ra khỏi các bao cách nhau một khoảng không đổi, sau đó rải đều liên tục trên toàn bộ khu vực tái chế, số lượng bao xi măng và khoảng cách các bao xi măng phải được tính toán trước sao cho đảm bảo lượng dùng theo đúng yêu cầu khi thiết kế hỗn hợp tái chế nguội tại chỗ.
8.9.5 Xi măng chỉ được rải trước khi thi công tái chế 1 h. Trong trường hợp mặt đường ẩm ướt, xi măng chỉ rải một đoạn khoảng (30 - 50) m trước trước dây chuyền thiết bị thi công.
8.10 Vận chuyển nhựa đường nóng
8.10.1 Dùng xe bồn chuyên dụng để vận chuyển từ nơi sản xuất (hoặc kho chứa) ra công trường. Trong quá trình vận chuyển, nắp, van xả của bồn chứa phải được niêm phong. Xe bồn phải được trang bị nhiệt kế và thiết bị đun nóng để đảm bảo nhựa đường được duy trì trong khoảng chênh lệch 5 °C so với nhiệt độ được chỉ định. Bất kỳ nhựa đường nào được đun nóng quá nhiệt độ tối đa cho phép đều không nên sử dụng và sẽ phải đưa ra khỏi hiện trường.
8.10.2 Mỗi chuyến xe vận chuyển nhựa đường phải kèm theo phiếu xuất xưởng ghi rõ nhiệt độ, khối lượng nhựa đường, thời điểm khởi hành, nơi đến, biển số xe, tên người lái xe.
8.10.3 Trước khi nối vào máy cào bóc tái chế phải kiểm tra nhiệt độ nhựa đường và niêm phong trên nắp và van xả. Nếu nhiệt độ không đạt yêu cầu hoặc mất niêm phong thì không được sử dụng.
8.10.4 Trong vòng 5 min trước khi bắt đầu tái chế và trước mỗi đợt kết nối với xe bồn, phải kiểm tra các đặc tính tạo bọt của nhựa đường trên mẫu được lấy từ đầu vòi thử nghiệm trên máy tái chế.
8.11 Vận chuyển và cung cấp nước: Xử dụng xe bồn chở nước có trang bị hệ thống ống nối với máy tái chế. Lượng nước thêm vào trong quá trình trộn sẽ thông qua hệ thống bơm và được kiểm soát bởi một hệ thống vi điện tử trang bị trên máy tái chế.
8.12 Cào bóc tái chế
8.12.1 Công việc cào bóc tái chế có thể tiến hành theo phương pháp một hành trình hoặc nhiều hành trình tùy theo điều kiện cụ thể của áo đường cũ và chiều dầy lớp tái chế.
8.12.1.1 Tái chế theo phương pháp một hành trình
Toàn bộ các thao tác cào bóc, xới trộn áo đường cũ với cốt liệu bổ sung (nếu có), xi măng, nhựa đường bọt, phun tưới thêm nước (nếu có) đều được thực hiện và hoàn tất sau một lượt đi của máy cào bóc tái chế, và hỗn hợp vật liệu tái chế đạt được các yêu cầu quy định.
8.12.1.2 Tái chế theo phương pháp hai hành trình
Sử dụng phương pháp hai hành trình khi không thể hoàn tất tất cả các thao tác chỉ sau một lượt đi. Trong lượt đi đầu tiên máy tái chế cào bóc, xới trộn áo đường cũ với cốt liệu bổ sung (nếu có), xi măng. Sau đó dùng máy san san phẳng và dùng máy lu bánh thép lu lèn lại để có thể kiểm soát tốt hơn độ sâu tái chế. Tiếp theo, máy cào bóc tái chế đi lượt thứ hai, phun tưới thêm nước (nếu có), phun tưới nhựa đường bọt và trộn đều vật liệu tái chế.
8.12.2 Máy tái chế phải đi đúng đường với chiều rộng chồng lấn theo yêu cầu. Để hỗ trợ người vận hành, cần vạch đường dẫn hướng chính xác từ cả hai biên vệt cào bóc.
8.12.3 Tốc độ tái chế tối ưu từ (3 ÷ 10) m/min; trong trường hợp công trình có kết cấu cứng bất thường (như đường hạ cát cánh của sân bay, các quốc lộ được sửa chữa gia cố nhiều lần,...) thì được phép thay đổi tốc độ chậm hơn, nhưng phải đảm bảo đạt yêu cầu theo thành phần hạt theo quy định. Không nên cào bóc tái chế với tốc độ ≥ 12 m/min.
8.12.4 Sau khi xới trộn áo đường cũ và trước khi phun tưới nhựa đường bọt, cần phải kiểm tra độ ầm của vật liệu. Độ ầm của vật liệu chỉ được sai khác trong phạm vi ± 1 % so với độ ẩm đã được quy định trong bước thiết kế hỗn hợp vật liệu tái chế. Nếu phát hiện độ ầm lớn hơn thì phải giảm lượng nước, nếu nhỏ hơn thì phải tưới thêm nước. Nên bố trí một cán bộ kỹ thuật đủ trình độ và kinh nghiệm đi ngay phía sau máy cào bóc tái chế để quan sát, đánh giá và điều chỉnh độ ẩm thích hợp.
8.12.5 Thường xuyên kiểm tra chiều sâu cào bóc ở cả hai phía của máy cào bóc tái chế. Chiều ngang đáy của vệt cào bóc tái chế cũng phải được kiểm tra thường xuyên tại các điểm quan trắc quy chiếu (các cọc kiểm tra độ cao được thiết lập ở cả hai phía phạm vi tái chế).
8.12.6 Các mối nối dọc giữa các vệt cào bóc tái tái chế liền kề phải chồng lấn lên nhau từ 10 cm đến 15 cm; vòi phun nhựa đường bọt lên phần chồng lấn này sẽ được khóa lại để đảm bảo nhựa đường bọt không được phun hai lần trên phần chồng lấn.
8.12.7 Các mối nối ngang là phần gián đoạn theo chiều rộng của vệt thi công, hình thành mỗi khi bắt đầu hoặc kết thúc công tác tái chế. Mỗi khi dừng lại sẽ tạo ra mối nối làm thay đổi tính đồng nhất của vật liệu tái chế. Do đó, cần giảm thiểu số lần phải dừng lại (chỉ nên dừng khi thay các xe bồn cung cấp hoặc khi thực sự cần thiết) và nếu bắt buộc phải dừng, cần bảo đảm tính liên tục qua mối nối bằng cách chạy lùi thiết bị một đoạn ít nhất bằng đường kính trống cào (khoảng 3,0 m) đè lên phần vật liệu đã tái chế trước đó; không được phun nhựa đường bọt khi chạy lùi thiết bị. Khi khởi động, người vận hành phải bảo đảm công suất toàn phần và tăng tốc ngay đến tốc độ vận hành thông dụng.
8.12.8 Phải xử lý nền, móng bên dưới lớp vật liệu cào bóc tái chế nếu phát hiện thấy có chỗ nền móng yếu cục bộ trong quá trình cào bóc tái chế theo trình tự sau:
8.12.8.1 Thu hồi vật liệu các lớp mặt đường nằm trên vật liệu không ổn định bên dưới bằng cách cào bóc hoặc xúc lên xe tải và vận chuyển đến kho dự trữ tạm thời.
8.12.8.2 Đào hết chiều sâu phần vật liệu không ổn định và loại bỏ hết phần bị hư hỏng.
8.12.8.3 Xử lý nền, móng bên dưới theo quy trình hiện hành.
8.12.8.4 Hoàn thiện lại mặt đường bằng cách sử dụng vật liệu dự trữ tạm thời và vật liệu bổ sung thêm cho tới khi đạt tới bề mặt đường hiện hữu, sau đó tiến hành cào bóc tái chế tiếp tục.
8.13 San định dạng và lu lèn lớp vật liệu tái chế
8.13.1 Nguyên tắc chung
8.13.1.1 Công tác lu lèn phải được thực hiện theo đúng sơ đồ lu đã được thiết lập khi thi công đoạn thí điểm và được Tư vấn giám sát chấp nhận: Loại máy lu, số lượng từng loại máy lu, tải trọng lu, tốc độ lu, sơ đồ lu (thứ tự đi của các máy lu).
8.13.1.2 Sau khi kết thúc các giai đoạn lu, bề mặt lớp vật liệu tái chế phải thỏa mãn các quy định về độ chặt đầm nén, độ bằng phẳng và các quy định về kích thước hình học. Để đảm bảo chắc chắn lớp vật liệu tái chế đã được lu lèn chặt, sau khi hoàn thành giai đoạn lu lèn chặt, có thể tiến hành lu kiểm chứng.
8.13.1.3 Yêu cầu lu phải đồng đều trên toàn bộ bề mặt lớp tái chế; trong quá trình lu, vệt lu sau phải chờm lên vệt lu trước ít nhất 20 cm
8.13.2 Lu lèn ban đầu (lu sơ bộ)
Dùng máy lu chân cừu đầm nén hỗn hợp vật liệu đồng thời giữ độ ẩm trong hỗn hợp tái chế, máy lu không được đi sau máy cào bóc tái chế quá 150 m, tốc độ không quá 3 km/h. Lu rung chân cừu đầm nén cho đến khi dấu chân cừu không còn rỗ trên mặt lớp vật liệu.
8.13.3 San định dạng mặt đường
Dùng máy san tự hành san gạt bề mặt lớp vật liệu đã được đầm lèn sơ bộ, lưỡi gạt máy san phải gạt bằng các dấu vệt bánh lốp, chân cừu; đồng thời tạo dốc ngang, dốc dọc và hình dạng mặt đường theo thiết kế.
8.13.4 Lu lèn chặt và hoàn thiện
Dùng lu rung 1 bánh thép, lu rung 2 bánh thép và lu bánh lốp để đầm lèn chặt và hoàn thiện lớp hỗn hợp vật liệu đã được san gạt. Lu lượt cuối cùng không được rung. Công việc lu lèn phải được tiến hành theo sơ đồ lu lèn đã lập được Tư vấn giám sát phê duyệt khi thi công đoạn thử.
8.13.5 Lu kiểm chứng (có thể thực hiện hoặc không): Dùng lu bánh thép nặng tối thiểu 10 T, không rung, để lu kiểm chứng trên bề mặt lớp tái chế. Lu sẽ chạy trên đoạn dài tối thiểu 5 m; nếu không thấy có bất cứ biến dạng nào, thì có thể kết thúc quá trình lu lèn; nếu phát hiện còn có biến dạng hằn lún nhẹ của vệt lu so với mặt bằng chung vừa thi công xong thi cần phải tiếp tục lu hoàn thiện.
8.13.6 Trong quá trình san gạt phẳng và xe lu bánh lốp làm việc thì lớp mặt tái chế phải được giữ ẩm bằng xe tưới nước phun sương.
8.14 Bảo dưỡng lớp vật liệu tái chế
8.14.1 Sau khi kết thúc quá trình lu lèn, tưới ẩm (tưới nhẹ nước) để bảo dưỡng trong thời gian tối thiểu từ (4 ÷ 5) h, sau đó có thể cho thông xe và sau tối thiểu 48 h mới được rải lớp mặt đường phía trên. Nếu điều kiện thời tiết xấu (nắng ít, mưa nhiều), phải bảo dưỡng bằng cách tưới nhũ tương với tỷ lệ từ (0,6 ÷ 0,8) kg/m2 và phủ thêm một lớp cát mỏng lên trên bề mặt và bảo dưỡng trong thời gian từ (2 ÷ 3) ngày.
8.14.2 Sau thời gian bảo dưỡng, cần rải ngay lớp kết cấu bên trên. Trường hợp không thể rải lớp kết cấu bên trên, nhà thầu phải có biện pháp điều chỉnh, phân luồng xe để tránh xe chạy phá hoại kết cấu. Yêu cầu phải thi công lớp kết cấu bên trên trong thời gian 10 ngày.
9 Kiểm tra, giám sát và nghiệm thu lớp tái chế
9.1 Công tác kiểm tra, giám sát được tiến hành thường xuyên trước, trong và sau khi thi công. Các quy định về công tác kiểm tra nêu dưới đây là quy định tối thiểu, căn cứ vào tình hình thực tể tại công trường mà Tư vấn giám sát có thể tăng tần suất và hạng mục kiểm tra cho phù hợp.
9.2 Kiểm tra hiện trường trước khi thi công, bao gồm các hạng mục sau:
- Tình trạng đoạn đường sẽ tiến hành tái chế, các công trình ngầm.
- Tình trạng các thiết bị, máy thi công.
- Tình trạng các thiết bị, dụng cụ thử nghiệm tại hiện trường và trong phòng thí nghiệm.
- Tình trạng thiết bị thông tin liên lạc, hệ thống đảm bảo an toàn giao thông, an toàn lao động và bảo vệ môi trường.
9.3 Kiểm tra chất lượng vật liệu
9.3.1 Kiểm tra chấp thuận vật liệu
Tất cả các loại vật liệu đều phải được thí nghiệm kiểm tra và chấp thuận trước khi sử dụng cho công trình.
- Nhựa đường dùng để tạo nhựa đường bọt: Kiểm tra cho mỗi đợt nhập vật liệu. Các chỉ tiêu kỹ thuật của nhựa đường bọt phải thỏa mãn các quy định tại 5.1.
- Xi măng: Kiểm tra cho mỗi đợt nhập vật liệu. Các chỉ tiêu kỹ thuật của xi măng phải thỏa mãn các quy định tại 5.2.
- Cốt liệu bổ sung: Kiểm tra cho mỗi đợt nhập vật liệu, cốt liệu bổ sung phải đúng loại, kích cỡ, nguồn và số lượng, phù hợp với công thức thiết kế hỗn hợp.
- Nước: Kiểm tra chất lượng nước theo 5.4 đối với nguồn nước sử dụng.
- Vật liệu dùng cho lớp dính bám: Kiểm tra cho mỗi đợt nhập vật liệu. Các chỉ tiêu kỹ thuật của vật liệu dính bám phải thỏa mãn các quy định tại 5.5.
9.3.2. Kiểm tra vật liệu trước khi thi công
Các vật liệu cần kiểm tra và yêu cầu về chất lượng được quy định trong Bảng 6.
Bảng 6 - Kiểm tra vật liệu trước khi thi công
| Loại vật liệu | Các chỉ tiêu cần kiểm tra | Tần suất kiểm tra | Vị trí lấy mẫu | Yêu cầu về chất lượng |
| 1. Nhựa đường dùng để tạo nhựa đường bọt | Độ kim lún. Điểm hóa mềm. Chỉ số độ kim lún. | 1 ngày một lần, nhưng không quá 30 tấn/ 1 lần | Thùng chứa trên xe bồn. | Thỏa mãn các quy định tại 5.1. |
| 2. Xi măng | Các chỉ tiêu theo quy định tại 5.2. | 2 ngày một lần, nhưng không quá 2500 tấn hỗn hợp vật liệu tái chế /1 lần | Lấy tại hiện trường | Thỏa mãn các quy định tại 5.2. |
| 3. Cốt liệu bổ sung | Nguồn Loại Kích cỡ Số lượng | 2 ngày một lần, nhưng không quá 2500 tấn hỗn hợp vật liệu tái chế /1 lần | Đoạn rải vật liệu bổ sung ở trước máy tái chế | Phù hợp với yêu cầu của thiết kế hỗn hợp |
9.3.3 Kiểm tra vật liệu trong quá trình thi công
Các hạng mục kiểm tra trong quá trình thi công và yêu cầu kỹ thuật được quy định trong Bảng 7.
Bảng 7 - Kiểm tra các hạng mục trong quá trình thi công
| Hạng mục | Phương pháp kiểm tra | Tần suất kiểm tra | Vị trí kiểm tra | Yêu cầu kỹ thuật |
| 1. Chuẩn bị mặt bằng | Kiểm tra bằng mắt | Thường xuyên | Mặt đường đoạn thi công | Thỏa mãn các quy định tại 8.7. |
| 2. Phạm vi cào bóc tái chế | Kiểm tra bằng mắt | Thường xuyên | Đoạn đường cào bóc tái chế | Xe cào bóc tái chế đi đúng đường và duy trì đúng chiều rộng chồng lấn. |
| 3. Lớp cốt liệu bổ sung | Lượng cốt liệu đã bổ sung và mức độ đồng đều. | 100 m / lần | Đoạn đường ở trước máy tái chế | Sai lệch không quá 5 % lượng cốt liệu bổ sung đã tính toán trong thiết kế hỗn hợp. Rải đều khắp trên toàn bộ diện tích mặt đường thuộc phạm vi tái chế. |
| 4. Xi măng | Lượng xi măng sử dụng và mức độ đồng đều | Thông số hiện trên máy rải xi măng và phiếu vận chuyển xi măng đến công trường. Trong trường hợp rải xi măng bằng thủ công thì xác định khối lượng xi măng sử dụng thông qua đếm các vỏ bao xi măng đã dung trên diện tích rải, từ đó tính ra lượng sử dụng. | Đoạn đường ở trước máy tái chế | Dung sai cho phép ± 0,3 % so với hàm lượng xi măng theo thiết kế hỗn hợp. Rải đều khắp trên toàn bộ diện tích mặt đường thuộc phạm vi tái chế. |
| 5. Độ ẩm của cấp phối hỗn hợp trước khi phun nhựa đường bọt. | Lấy mẫu cấp phối cốt liệu, sàng qua sàng 19 mm, xác định độ ẩm bằng tủ sấy (khối lượng vật liệu tối thiểu là 700 g, lấy ở đáy lớp vật liệu cào bóc tái chế). | Ngay sau khi máy thì đoạn đầu của vệt đầu tiên và tiếp đó 3 lần / ngày đầu thi công, 1 lần / ngày tiếp theo. Sau khi mưa phải kiểm tra lại độ ẩm | Đoạn đường được tái chế trước khi phun nhựa đường bọt. | Độ ẩm trung bình không vượt quá ± 1 % so với độ ầm đã quy định khi thiết kế hỗn hợp. |
| 6. Cấp phối của hỗn hợp vật liệu trước khi đầm lèn | Đào lấy mẫu (đến hết chiều sâu lớp vật liệu) hỗn hợp vật liệu để thí nghiệm thành phần cấp phối. | 1 lần / 1 ngày (nhưng không quá 1250 tấn hỗn hợp tái chế / 1 lần) | Đoạn đường được tái chế trước khi lu lèn | Phải thỏa mãn hồ sơ thiết kế hỗn hợp. |
| 7. Các chỉ tiêu cơ lý của mẫu chế tạo từ hỗn hợp vật liệu tái chế: Các chỉ tiêu theo Bảng 2. | Đào lấy mẫu (đến hết chiều sâu lớp vật liệu) hỗn hợp vật liệu, chế tạo mẫu và thí nghiệm các chỉ tiêu cơ lý của mẫu. | 1 lần / 1 ngày (nhưng không quá 1250 tấn hỗn hợp tái chế / 1 lần) | Đoạn đường được tái chế trước khi lu lèn | Phải thỏa mãn các quy định trong Bảng 2. |
| 8. Nhiệt độ nhựa đường | Kiểm tra tại đồng hồ đo nhiệt độ gắn trên bồn chứa nhựa đường. | 5 phút trước khi thi công, sau đó 1 lần/ 1 giờ, sau mỗi lần kết nối. | Bồn chứa nhựa đường | Nhiệt độ từ (160 + 180)°C. |
| 9. Lượng nhựa đường sử dụng | Các chỉ số hiện trên dụng cụ đo tự động của máy cào bóc tái chế. | 1 lần /1 ngày (nhưng không quá 1250 tấn hỗn hợp tái chế /1 lần) | Ca-bin của máy tái chế. | Dung sai cho phép - so với hồ sơ thiết kế hỗn hợp là ± 0,2 %. Nếu vượt quá sai số trên, phải điều chỉnh hệ thống phun nhựa đường của máy tái chế. |
| 10. Chiều sâu tái chế | Dùng thuốn thép | 200 m / vị trí / vệt rải | Lớp hỗn hợp vật liệu tái chế; cả hai bên vệt rải của máy khi máy di chuyền | Sai số về chiều sâu xới trộn là ±5%. Nếu không đảm bảo thì phải điều chỉnh ngay chiều sâu xới trộn |
| 11. Công tác lu lèn | Kiểm tra sơ đồ lu, tốc độ lu, số lượt lu, tải trọng lu của mỗi giai đoạn lu lèn theo đúng kết quả đã có ở giai đoạn thi công thử. | Thường xuyên | Mặt lớp hỗn hợp vật liệu tái chế | Phù hợp với kết quả đã thu được khi thi công đoạn thử. |
| 12. Độ bằng phẳng sau khi lu lèn | Dùng thước dài 3 m | 25 m / mặt cắt / vệt rải. | Mặt đường đã tái chế | 50 % số khe hở không quá 5 mm, còn lại không quá 7 mm. |
9.4 Nghiệm thu lớp tái chế
9.4.1 Kích thước hình học: Theo quy định trong Bảng 8.
Bảng 8 - Sai số cho phép của các đặc trưng hình học
| Hạng mục | Phương pháp | Mật độ đo | Sai số cho phép |
| 1. Bề rộng | Thước thép | 50 m / mặt cắt | ± 5 cm Tổng số chỗ hẹp không quá 5 % chiều dài đoạn đường tái chế |
| 2. Độ dốc ngang | Máy thủy bình | 50 m / mặt cắt | ± 0,5 % |
| 3. Cao độ | Máy thủy bình | 50 m / điểm | ± 10 mm |
| 4. Chiều dày | Đào hố hoặc khoan mẫu kiểm tra | 2500 m2 / 1vị trí (hoặc 330 m dài đường 2 làn xe) / 1 vị trí | ± 5 % chiều dày thiết kế |
9.4.2 Độ bằng phẳng của bề mặt: Theo quy định trong Bảng 9.
Bảng 9 - Tiêu chuẩn nghiệm thu độ bằng phẳng
| Hạng mục | Phương pháp | Mật độ kiểm tra | Yêu cầu |
| Độ bằng phẳng đo bằng thước dài 3 m | TCVN 8864 | 50 m / mặt cắt | 50 % số khe hở không quá 5 mm, phần còn lại không quá 7mm |
9.4.3 Độ chặt lu lèn:
9.4.3.1 Hệ số độ chặt lu lèn (K) của lớp vật liệu tái chế sau khi thi công phải lớn hơn (198, được xác định theo công thức:
K = gtn / go
Trong đó:
gtn là khối lượng thể tích khô của lớp vật liệu tái chế ở hiện trường (g/cm3) xác định bằng phương pháp rót cát (theo AASHTO T191) hoặc xác định trên mẫu khoan.
go là khối lượng thể tích khô của mẫu chế tạo trong phòng từ hỗn hợp vật liệu lấy tại hiện trường trong quá trình thi công (theo mục 6 của Bảng 7), mẫu được chế tạo trong phòng bằng cách đầm nén trong cối Proctor cải tiến theo phương pháp ll-D của TCVN12790.
9.4.3.2 Mật độ kiểm tra: 2500 m2 mặt đường hoặc 330 m dài mặt đường 2 làn xe kiểm tra 1 vị trí.
9.5 Hồ sơ nghiệm thu bao gồm những nội dung sau:
- Kết quả kiểm tra chấp thuận vật liệu khi đưa vào công trình.
- Hồ sơ thiết kế hỗn hợp tái chế nguội tại chỗ đã được phê duyệt.
- Hồ sơ công tác thi công đoạn thử, trong đó có sơ đồ lu lèn.
- Nhật ký của mỗi chuyến xe chuyên chở nhũ tương nhựa đường, nhựa đường, xi măng.
- Nhật ký thi công.
- Hồ sơ kết quả kiểm tra theo quy định tại 9.3.2, 9.3.3, 9.4.
10 An toàn lao động và bảo vệ môi trường: Theo Điều 10 của TCVN 13150-1.
Phụ lục A
(Quy định)
Hướng dẫn thiết kế hỗn hợp tái chế sử dụng chất gia cố là nhựa đường bọt và xi măng
A.1 Quy định chung
A.1.1 Mục đích của việc thiết kế hỗn hợp tái chế nguội nhằm xác định thành phần cấp phối, hàm lượng nhựa đường bọt, hàm lượng xi măng sử dụng thích hợp để hỗn hợp tái chế thỏa mãn các yêu cầu kỹ thuật về thành phần hạt quy định trong Bảng 1 và các yêu cầu kỹ thuật trong Bảng 2.
A.1.2 Tùy theo tình hình thực tế của áo đường cũ, có thể cần tiến hành một số thiết kế hỗn hợp khác nhau tương ứng với sự thay đổi về kết cấu và tình trạng của áo đường thuộc dự án.
A.2 Lấy mẫu
A.2.1 Lấy mẫu vật liệu kết cấu áo đường cũ theo quy định tại 6.2. Tổng khối lượng vật liệu cần lấy tại hiện trường phải đủ để chế bị các mẫu trong các thí nghiệm sau này (tối thiểu 300 kg vật liệu cho mỗi thiết kế hỗn hợp).
A.2.2 Xác định chiều dày trung bình của lớp bê tông nhựa cũ (hoặc lớp đá - nhựa), ký hiệu là H1, tính bằng cm.
A.2.3 Xác định chiều dày trung bình của phần lớp móng đến độ sâu cần tái chế, ký hiệu là H2, tính bằng cm.
A.3 Chuẩn bị mẫu vật liệu để thiết kế hỗn hợp tái chế
A.3.1 Làm khô hỗn hợp bê tông nhựa cũ (hỗn hợp đá-nhựa) bằng cách hong khô ngoài không khí hoặc sấy ở nhiệt độ dưới 50 °C trong lò sấy.
Sử dụng máy nghiền chuyên dụng để làm vỡ hỗn hợp bê tổng nhựa cũ (hỗn hợp đá-nhựa) hoặc phương pháp khác phù hợp để hỗn hợp vật liệu dùng để thiết kế gần giống với hỗn hợp vật liệu được máy cào bóc tái chế làm tơi ngoài hiện trường; sau đó phân tích thành phần hạt theo TCVN 7572-2.
A.3.2 Làm khô hỗn hợp vật liệu lớp móng bằng cách hong khô ngoài không khí hoặc sấy; sau đó phân tích thành phần hạt theo TCVN 7572-2.
A.3.3 Lặp lại A.3.2 đối với cốt liệu bổ sung nếu có sử dụng.
A.3.4 Thí nghiệm xác định chỉ số dẻo theo TCVN 4197 của vật liệu được lấy mẫu từ mỗi lớp riêng biệt.
A.3.5 Tính tỷ lệ phối trộn vật liệu
A.3.5.1 Tính tỷ lệ phần vật liệu bê tông nhựa cũ (phần đá - nhựa) (d, %) trong hỗn hợp vật liệu tái chế (vật liệu lớp móng cũ được cào xới và vật liệu đá - nhựa của lớp mặt đường nhựa cũ), theo công thức (A.1):
|
| (A.1) |
Trong đó:
d Tỷ lệ phần đá - nhựa cũ, %
H1 Chiều dày lớp đá - nhựa cũ, cm
H2 Chiều dày phần lớp móng cấp phối đá sẽ tái chế, cm (H2 = Chiều sâu tái chế của áo đường - H1)
a Khối lượng thể tích của bê tông nhựa (đá - nhựa) cũ, g/cm3 (xác định từ lõi khoan theo TCVN 8860-5).
b Khối lượng thể tích của cấp phối đá lớp móng, g/cm3 (xác định theo AASHTO T191).
A.3.5.2 Tổ hợp kết quả tỷ lệ thành phần hạt của cấp phối đá lớp móng với tỷ lệ thành phần hạt biểu kiến của vật liệu bê tông nhựa cũ (đá - nhựa) của lớp mặt đường nhựa cũ và biết phần trăm tỷ lệ phần bê tông nhựa cũ (đá - nhựa), d, sẽ tính ra tỷ lệ các thành phần hạt của cốt liệu hỗn hợp tái chế.
A.3.5.3 So sánh thành phần hạt của cốt liệu hỗn hợp tái chế đã có ở A.3.5.2 với thành phần hạt của cốt liệu hỗn hợp tái chế theo quy định trong Bảng 1. Nếu nằm trong phạm vi khuyến nghị thi chấp nhận là thành phần các cỡ hạt của cốt liệu hỗn hợp tái chế theo thiết kế hỗn hợp cho đoạn đường sẽ tái chế. Nếu ra ngoài phạm vi quá nhiều thì cần tính toán khối lượng và kích cỡ cốt liệu bổ sung để rải lên mặt đường cũ trước khi xới trộn tái chế. Chiều dày (đã đầm lèn) của lớp vật liệu đá bổ sung h được tính theo công thức (A.2):
|
| (A.2) |
Trong đó:
h Chiều dày (đã lu lèn chặt) của lớp vật liệu đá bổ sung, cm
ĐBS Khối lượng đá bổ sung cho 1 m2 mặt đường cần tái chế, kg
b Khối lượng thể tích của cấp phối đá, lấy bằng 2,1 g/cm3
Trong trường hợp này tỷ lệ phần vật liệu bê tông nhựa cũ (đá - nhựa cũ) (d*) trong hỗn hợp vật liệu tái chế sẽ xác định theo công thức A.3:
|
| (A.3) |
A.3.6 Xác định thành phần hạt đại diện của hỗn hợp tái chế
Sàng hỗn hợp vật liệu tái chế để phân thành 4 phần như sau:
- Phần giữ lại trên sàng 19,0 mm;
- Phần lọt qua sàng 19,0 mm, giữ lại trên sàng 12,5 mm;
- Phần lọt qua sàng 12,5 mm, giữ lại trên sàng 4,75 mm;
- Phần lọt qua sàng 4,75 mm.
Từ đó xác định được hàm lượng hạt giữ lại trên sàng 19,0 mm. Thay thế lượng hạt giữ lại trên sàng 19,0 mm bằng lượng hạt lọt qua sàng 19,0 mm, nhưng giữ lại trên sàng 12,5 mm bằng cách hoặc thêm đá dăm mới hoặc nghiền nhẹ các hạt vật liệu cũ lớn hơn 19 mm. Việc xác định lượng hạt thay thế tham khảo ví dụ trong Bảng A.1.
Bảng A.1 - Ví dụ về xác định lượng hạt thay thế
| Phân tích sàng | Lượng vật liệu thay thế ứng với khối lượng mẫu 10 kg | |||
| Kích cỡ sàng vuông (mm) | Lượng lọt qua sàng (%) | Lọt qua sàng 4,75 mm | Lọt qua sàng 12,5 mm, giữ lại trên sàng 4,75 mm | Lọt qua sàng 19,0 mm, giữ lại trên sàng 12,5 mm |
| 19,0 | 90,5 | (53,6/100 x 10000)= 5360 g | [(72,3-53,6)/100]x10000 = 1870 g | [(90,5-72,3)/100]x10000 = 1820 g |
| 12,5 | 72,3 | |||
| 4,75 | 53,6 | |||
| Khối lượng hạt lọt qua sàng 19,0 mm, giữ lại trên sàng 12,5 mm cần bổ sung là: [(100-90,5)/100] x 10000 = 950 g Tổng khối lượng hạt lọt qua sàng 19,0 mm, giữ lại trên sàng 12,5 mm là: 950 g + 1820 g = 2770 g | ||||
A.3.7 Khối lượng vật liệu hạt phối trộn cần thiết
Khối lượng tối thiểu mẫu vật liệu hạt cần cho các thử nghiệm tham khảo ví dụ trong Bảng A.2.
Bảng A.2 - Khối lượng vật liệu hạt cần cho mỗi loại thử nghiệm
| Chỉ tiêu thí nghiệm | Khối lượng mẫu tối thiểu yêu cầu |
| 1. Độ ẩm | 1 kg |
| 2. Đầm chặt tiêu chuẩn xác định độ ẩm tối ưu, khối lượng thể tích lớn nhất của mẫu chưa tái sinh (TCVN 12790, phương pháp ll-D, cối Proctor cải tiến, Φ152 mm). | 7 kg x 5 cối |
| 3. Thí nghiệm Rkck, Rkcư (mẫu Marshall) phục vụ thiết kế lựa chọn hàm lượng nhựa đường bọt tối ưu. | 10 kg X 4 hàm lượng nhựa đường bọt |
| 4. Với đường có ESAL thiết kế ≥ 5x106: |
|
| - Thí nghiệm Rkck (Φ152 mm) | 20 kg |
| - Thí nghiệm Rn (Φ152 mm) | 20 kg |
A.4 Thiết kế hỗn hợp tái chế
A.4.1 Xác định độ ẩm tối ưu (Wo) và khối lượng thể tích khô lớn nhất (gkmax) của mẫu tái chế chưa xử lý
Tiến hành thí nghiệm đầm nén tiêu chuẩn theo TCVN 12790, phương pháp ll-D. Sử dụng 5 mẫu, với 5 độ ẩm khác nhau để đầm nén (mẫu được đầm nén 5 lớp, đầm 56 chày với mỗi lớp, sử dụng búa 4,54 kg với chiều cao rơi 457 mm). Thông qua đồ thị quan hệ giữa khối lượng thể tích khô và độ ẩm sẽ xác định độ ầm tối ưu (WOMC) và khối lượng thể tích khô lớn nhất (gkmax) của mẫu vật liệu tái chế chưa xử lý.
Độ ẩm tối ưu của vật liệu tái chế đã qua xử lý bằng nhựa đường bọt (WOFC) được giả định bằng với độ ẩm tối ưu (WOMC) của mẫu tái chế chưa xử lý được xác định ở trên.
A.4.2. Tính toán xác định lượng nhựa đường, xi măng và nước
Trên cơ sở độ ẩm tối ưu (WOMC) và khối lượng thể tích khỏ lớn nhất (gkmax) của mẫu tái chế chưa xử lý, tiến hành tính toán xác định hàm lượng nhựa đường, xi măng và nước thêm vào để độ ẩm mẫu sau khi trộn có độ ẩm bằng độ ẩm tối ưu (WOMC).
Chuẩn bị 05 tổ mẫu, mỗi tổ mẫu 10 kg với 5 hàm lượng nhựa đường khác nhau để xác định hàm lượng nhựa đường tối ưu.
A.4.2.1 Xác định khối lượng mẫu khô theo công thức (A.4).
| Mmẫu khô = Mo /[1 + (Wo/100)] | (A.4) |
Trong đó:
Mmẫu khô Khối lượng khô của mẫu vật liệu (g)
Mo Khối lượng mẫu hong khô trong không khí (g)
Wo Độ ẩm của mẫu sau khi hong khô trong không khí (%)
A.4.2.2 Xác định khối lượng xi măng cần thêm vào theo công thức (A.5).
| Mxi măng = (C / 100) x Mmẫu khô | (A.5) |
Trong đó:
Mxi măng Khối lượng xi măng thêm vào (g)
C Phần trăm xi măng yêu cầu (%)
Mmẫu khô Khối lượng khô của mẫu vật liệu (g)
A.4.2.3 Xác định phần trăm nước thêm vào để đạt được độ ẩm tối ưu khi trộn được xác định theo công thức (A.6; lượng nước thêm vào mẫu được xác định theo công thức (A.7).
| Wa= 1+ (0,5 x WOMC- Wo) | (A.6) |
| Mnước (Wa / 100) x (Mmẫu khô + Mxi măng) | (A.7) |
Trong đó:
Wa Tỷ lệ nước cần thêm vào mẫu (%)
WOMC Độ ẩm tối ưu (%)
Mnước Khối lượng nước thêm vào (g)
A.4.2.4 Trộn vật liệu tái chế, xi măng và nước trong thùng trộn tới khi đồng nhất.
A.4.2.5 Xác định lượng nhựa đường bọt thêm vào theo công thức (A.8).
| Mnhựa = (B / 100) x (Mmẫu khô + Mxi măng) | (A.8) |
Trong đó:
Mnhựa Khối lượng nhựa đường bọt thêm vào (g)
B Hàm lượng nhựa đường bọt yêu cầu (%)
A.4.2.6 Xác định thời gian thiết lập trên máy tạo nhựa đường bọt chuyên dùng theo công thức (A.9):
| T = f x (Mnhựa + Qnhựa) | (A.9) |
Trong đó:
T Thời gian cài đặt trên đồng hồ máy tạo bọt nhựa đường chuyên dụng (s)
Mnhựa Khối lượng nhựa đường thêm vào (g)
Qnhựa Tốc độ chảy của nhựa đường trong máy (g/s)
f Hệ số bù cho lượng nhựa đường mất mát trong thiết bị trộn. Kinh nghiệm cho thấy hệ số khoảng 1,1 là phù hợp khi sử dụng máy trộn kiểu Hobart và 1,0 khi sử dụng máy trộn kiểu guồng xoắn.
A.4.2.7 Đặt máy trộn chuyên dụng cạnh máy tạo bọt chuyên dụng sao cho nhựa đường bọt có thể được xả trực tiếp vào thùng trộn.
A.4.2.8 Trộn mẫu ít nhất 10 s trước khi xả một khối lượng yêu cầu nhựa đường bọt vào trong thùng trộn. Tiếp tục trộn thêm 30 s sau khi nhựa đường bọt xả vào trong máy trộn.
A.4.2.9 Xác định lượng nước cần thêm vào để đưa mẫu tới độ ẩm tối ưu (WOMC) sử dụng công thức (A.10).
| Mnước thêm = [(WOMC - Wmẫu) / 100)] x (Mmẫu khô + Mxi măng) | (A. 10) |
Wmẫu là độ ẩm của mẫu đã được chuẩn bị trước khi thêm lượng nước Mnước thêm (%)
A.4.2.10 Thêm nước và trộn cho tới khi được hỗn hợp vật liệu đồng nhất.
A.4.2.11 Chuyển vật liệu xử lý với nhựa đường bọt vào trong một bình chứa và ngay lập tức bịt kín để duy trì độ ẩm. Để giảm thiểu tối đa sự mất độ ẩm của mẫu chế bị, cần đúc mẫu sớm nhất có thể theo các cách tương ứng với các chỉ dẫn ở mục A.4.3 hoặc A.4.6.
A.4.2.12 Thực hiện các bước trên ít nhất với 5 hàm lượng nhựa đường bọt khác nhau để xác định hàm lượng nhựa đường tối ưu.
A.4.3 Chế tạo mẫu
Mẫu đúc để thiết kế hỗn hợp tái chế được chế bị bằng phương pháp Marshall, đúc ít nhất 3 viên mẫu cho 1 trạng thái thí nghiệm.
A.4.3.1 Trình tự đúc mẫu
A.4.3.1.1 Chuẩn bị khuôn Marshall và chày đầm bằng cách rửa sạch khuôn, đai, đế và bề mặt của chày.
CHÚ THÍCH: Khuôn Marshall không được sấy nóng mà chỉ giữ ở nhiệt độ trong phòng.
A.4.3.1.2 Cân một lượng hỗn hợp vật liệu vừa đủ để đạt được chiều cao mẫu 63,5 mm ± 1,5 mm (khoảng 1150 g/mẫu). Sử dụng bay loại nhỏ xọc đều 15 lần xung quanh khuôn và 10 lần trên bề mặt, đảm bảo hỗn hợp dàn phẳng trong khuôn.
A.4.3.1.3 Đầm nén hỗn hợp 75 lần bằng chày đầm, cần đảm bảo chày tự do liên tục.
A.4.3.1.4 Rút khuôn và đai ra khỏi đế, lật ngược mẫu. Đặt và nhấn mạnh xuống để đảm bảo mẫu nằm vững vàng trên đế, tiếp tục đầm 75 lần trên bề mặt.
A.4.3.1.5 Sau khi đầm, rút khuôn khỏi đế và đẩy mẫu ra ngoài.
A.4.3.2 Bảo dưỡng mẫu
Đặt các mẫu trên một khay phẳng nhẵn và bảo dưỡng trong tủ sấy khoảng 72 h tại 40 °C. Lấy ra khỏi tủ sau 72 h và để nguội tới nhiệt độ trong phòng.
A.4.3.3 Xác định khối lượng thể tích tự nhiên
Sau khi để nguội tới nhiệt độ trong phòng, với mỗi mẫu tiến hành:
- Xác định khối lượng mẫu.
- Đo chiều cao của 4 điểm chia đều xung quanh chu vi và tính chiều cao trung bình.
- Đo đường kính mẫu
- Tính khối lượng thể tích tự nhiên theo công thức (A. 11):
|
| (A.11) |
Trong đó:
Khối lượng thể tích mẫu (kg/m3)
Mmẫu đúc Khối lượng mẫu đúc (g)
h Chiều cao trung bình của mẫu (cm)
d Đường kính của mẫu (cm)
Kiểm tra loại trừ các mẫu có khối lượng thể tích khác với giá trị khối lượng thể tích trung bình của mỗi mẻ trộn quá 50 kg/m3.
CHÚ THÍCH: Khối lượng thể tích mẫu được xác định bằng cách sử dụng phương pháp cán trong không khí và cân trong nước.
A.4.4 Thí nghiệm xác định cường độ chịu kéo khi ép chẻ và hệ số cường độ kéo khi ép chẻ
Tiến hành thí nghiệm xác định cường độ chịu kéo khi ép chẻ ở trạng thái khô (Rkck) và ở trạng thái ướt (Rkcư) theo TCVN 8862; mẫu thí nghiêm Rkcư được ngâm trong nước tại 25 °C ± 1 °C trong thời gian 24 h.
Hệ số cường độ kéo khi ép chẻ (TSR, %) được xác định bằng công thức (A. 12):
| TSR = (Rkcư/ Rkck) x 100 | (A.12) |
A.4.5 Xác định hàm lượng nhựa đường tối ưu
Trên cơ sở kết quả kết quả thí nghiệm Rkck, Rkcư và TSR ở 5 hàm lượng nhựa khác nhau, thiết lập đồ thị quan hệ giữa Rkck , Rkcư và hàm lượng nhựa đường bọt. Xác định hàm lượng nhựa đường bọt tối ưu theo nguyên tắc sau:
- Các chỉ tiêu thí nghiệm thỏa mãn yêu cầu trong Bảng 2.
- Hàm lượng nhựa đường bọt tối ưu ứng với giá trị cao nhất của Rkck, Rkcư được sử dụng làm hàm lượng nhựa đường tối ưu cho hỗn hợp tái chế.
A.4.6 Chế tạo mẫu thí nghiệm xác định các chỉ tiêu cường độ theo phương pháp Proctor cải tiến
Trong trường hợp này, chỉ chế bị mẫu ở hàm lượng nhựa đường bọt tối ưu; thông thường đúc ít nhất 6 mẫu Proctor cải tiến: 3 mẫu sẽ để kiểm tra Rkck và 3 để kiểm tra Rn.
A.4.6.1 Trình tự chế bị mẫu
A.4.6.1.1 Chuẩn bị 24 kg mẫu cào bóc tái chế với hàm lượng nhựa đường tối ưu.
A.4.6.1.2 Đầm nén (đúc) ít nhất 6 mẫu sử dụng khuôn Proctor cải tiến, áp dụng phương pháp đầm nén theo TCVN 12790, phương pháp ll-D (5 lớp, đầm 56 chày với mỗi lớp, sử dụng búa 4,54 kg với chiều cao rơi 457 mm).
A.4.6.1.3 Cẩn thận gạt bỏ vật liệu dư từ các mẫu.
A.4.6.1.4 Cẩn thận lấy mẫu ra khỏi khuôn và đặt lên khay phẳng nhẵn để yên ở nhiệt độ phòng khoảng 24 h.
CHÚ THÍCH: Với các vật liệu kém kết dính, có thể cần thiết phải để mẫu trong khuôn 24 h, để đạt được đủ cường độ trước khi được lấy ra.
A.4.6.2 Bảo dưỡng mẫu
- Đặt mỗi mẫu vào trong túi nhựa kín (ít nhất có thể tích gấp đôi mẫu) và đặt vào trong tủ sấy tại 40 °C thêm 48 h.
- Lấy các mẫu ra khỏi tủ sấy sau 48 h và tháo các túi nhựa ra, đảm bảo không có nguồn ẩm nào trong túi tiếp xúc với mẫu, để nguội tới nhiệt độ phòng. Sau khi để nguội tới nhiệt độ trong phòng, xác định khối lượng của mỗi mẫu.
- Tính khối lượng thể tích mẫu theo công thức (A.13)
|
| (A.13) |
Trong đó:
Khối lượng thể tích mẫu (kg/m3)
M Khối lượng mẫu (g)
V Thể tích khuôn (mẫu) (cm3)
Các mẫu chế bị được đem thử nghiệm ngay để tránh mất độ ẩm.
A.4.6.3 Thí nghiệm Rkck theo A.4.4.
A.4.6.4 Thí nghiệm cường độ chịu nén không hạn chế nở hông (Rn)
Thí nghiệm Rn được sử dụng để kiểm tra các mẫu tại độ ẩm đúc mẫu với giả định rằng độ ẩm này đại diện cho độ ẩm ngoài hiện trường trong kết cấu mặt đường. Rn được xác định bằng cách đo tài trọng cuối cùng làm phá hoại mẫu Proctor cải tiến có chiều cao 127 mm và chịu tốc độ gia tài không đổi 140 kPa/s (153 kN/min).
A.4.6.4.1 Đặt mẫu lên máy nén, lưu ý bề mặt mẫu phải bằng phẳng.
A.4.6.4.2 Gia tải lên mẫu với tốc độ tăng dần 140 kPa/s tới khi đạt tới tải trọng tối đa (phá hủy). Ghi lại tải trọng tối đa P (kN), chính xác tới 0,1 kN.
A.4.6.4.3 Ngay sau khi kiểm tra 1 mẫu, đập vỡ và lấy mẫu xấp xỉ 1000 g để xác định độ ẩm (W). Độ ẩm này được sử dụng trong công thức (A.15) để xác định khối lượng thể tích khô của mẫu.
A.4.6.4.4 Tính Rn cho mỗi mẫu theo công thức (A.14).
|
| (A.14) |
Trong đó:
Rn Cường độ chịu nén không hạn chế nở hông (kPa)
P Tải trọng tối đa (kN)
d Đường kính của mẫu (cm)
Sử dụng độ ẩm xác định tại A.4.6.4.3 để tính khối lượng thể tích khô theo công thức (A.15)
|
| (A.15) |
Trong đó:
Khối lượng thể tích khô (kg/m3)
M Khối lượng mẫu đem bảo dưỡng (g)
V Thể tích mẫu (cm3)
w Độ ẩm mẫu (%)
A.4.6.5 Đánh giá kết quả thí nghiệm
Các mẫu đúc theo phương pháp Proctor cải tiến được thí nghiệm xác định Rkck và Rn. Các giá trị Rkck và Rn thu được sẽ được dùng để đánh giá chất lượng hỗn hợp tái chế trong trường hợp lớp vật liệu tái chế được sử dụng cho đường có ESAL thiết kế ≥ 5x106 (tương đương 2,1x106 trục tiêu chuẩn 10 T).
A.5 Báo cáo thiết kế hỗn hợp vật liệu tái chế
Báo cáo thiết kế hỗn hợp vật liệu tái chế bao gồm tối thiểu các thông tin sau:
- Tên dự án
- Tình trạng kết cấu áo đường hiện tại, mức độ hư hỏng.
- Vị trí lấy mẫu vật liệu các lớp kết cấu áo đường cũ
- Chiều dày các lớp kết cấu áo đường cũ
- Miêu tả tổng quát các vật liệu tại các vị trí khoan, đào lấy mẫu
- Các kết quả thí nghiệm trên các mẫu vật liệu lấy về từ các lớp kết cấu áo đường cũ
- Các kết quả thí nghiệm trên các mẫu vật liệu sử dụng để thiết kế hỗn hợp tái chế
- Kết quả tính toán, thiết kế thành phần cấp phối hỗn hợp tái chể
- Tỷ lệ phối trộn các loại vật liệu
- Kết quả thí nghiệm các chỉ tiêu kỹ thuật của hỗn hợp vật liệu tái chế.
Phụ lục B
(Quy định)
Hướng dẫn thử nghiệm xác định các đặc tính tạo bọt của nhựa đường
B.1 Quy định chung
Các đặc tính tạo bọt của nhựa đường được xác định thông qua tỷ lệ giãn nở (ER) và chu kỳ bán hủy (
) ở trạng thái giãn nở của nhựa đường bọt. Trạng thái giãn nở của nhựa đường bọt đạt được khi một tỷ lệ nhỏ của nước (tính theo % theo khối lượng của nhựa đường) được đưa vào nhựa đường nóng. Mục tiêu của thí nghiệm tạo bọt là nhằm xác định tỷ lệ phần trăm của nước yêu cầu tạo ra bọt nhựa đường với tỷ lệ giãn nở lớn nhất và chu kỳ bán hủy lâu nhất có thể.
B.2 Thiết bị, dụng cụ thí nghiệm
B.2.1 Máy thí nghiệm tạo bọt nhựa đường chuyên dùng có khả năng sản xuất bọt nhựa đường với tốc độ (50 200) g mỗi giây. Các quy trình sản xuất bọt nhựa đường trong máy được mô phỏng đúng như quy mô sản xuất bọt nhựa đường trên máy tái chế. Máy gồm một bình đun ổn định nhiệt có khả năng giữ một khối lượng 10 kg nhựa đường với nhiệt độ không đổi từ (160 + 180) °C với sai số ± 5 °C. Máy được trang bị một buồng giãn nở tương tự như trên máy tái chế để nước lạnh bơm vào nhựa đường nóng tạo bọt. Một thiết bị phun nước có thể điều chỉnh thay đổi từ 0 % đến 5 % (theo khối lượng của nhựa đường) với độ chính xác là 0,25 %. Máy có khả năng định trước chính xác khối lượng của bọt nhựa đường phun trực tiếp vào thùng trộn của một máy trộn chuyên dụng điều khiển bằng điện với sức chứa tối thiểu là 10 kg.
B.2.2 Thùng chứa hình trụ bằng kim loại, đường kính 275 mm và dung tích ít nhất 25 L.
B.2.3 Thanh nhúng đã định cỡ, định cỡ cho các thùng chứa với 500 g của nhựa đường là 1 đơn vị đo lường. Vạch được chia thành 5 hoặc 6 đơn vị trên thanh nhúng.
B.2.4 Một đồng hồ bấm giây.
B.2.5 Găng tay chống nhiệt.
B.2.6 Một cân điện tử cân nặng đến 10 kg, chính xác đến 1 g.
B.3 Chuẩn bị
B.3.1 Máy thử nghiệm tạo bọt nhựa đường chuyên dùng phải được kiểm tra tỷ lệ xả theo quy định chi tiết của nhà sản xuất. Nếu sử dụng lần đầu tiên thì tỷ lệ bơm và lưu lượng nước cần phải được hiệu chỉnh theo nhà sản xuất. Kiểm tra với 500 g nhựa đường được xả ra với các thiết lập được xác định trước.
B.3.2 Đảm bảo rằng các thùng chứa và thanh nhúng phải sạch. Xả bọt nhựa đường, ít nhất 2 lần, vào thùng chứa trước khi thử nghiệm để làm nóng thùng chứa trước. Gạn nhựa đường dư thừa từ thùng chứa để đổ vào thùng rác.
B.4 Trình tự xác định các đặc tính tạo bọt
B.4.1 Đun nóng nhựa đường trong bình đun của máy thử nghiệm tạo bọt nhựa đường chuyên dùng cho đến nhiệt độ cần thiết (thường bắt đầu với 160 °C). Duy trì nhiệt độ cần thiết ít nhất 5 phút trước khi bắt đầu thử nghiệm.
B.4.2 Thiết lập đồng hồ đo lượng nước để đạt được tốc độ phun nước theo yêu cầu (thường bắt đầu với 2 % theo khối lượng của nhựa đường).
B.4.3 Phun nhựa đường vào thùng chửa đã làm nóng trước để tính thời gian phun 500 g nhựa đường. Ngay sau khi việc phun nhựa đường dừng lại, bắt đầu bấm giờ. Sử dụng thanh nhúng xác định chiều cao tối đa của bọt nhựa đường vừa tạo được trong thùng chứa. Thể tích tối đa được ghi nhận đó là sự giãn nở.
B.4.4 Tiếp tục bấm thời gian cho đến khi để bọt xẹp đi một nửa so với thể tích tối đa để xác định được chu kỳ bán hủy của bọt nhựa đường.
B.4.5 Lặp lại các thao tác trên 3 lần hoặc cho đến khi các kết quả đạt được tương tự nhau.
B.4.6 Tỷ lệ giãn nở và chu kỳ bán hủy được xác định theo các tỷ lệ nước khác nhau. Thông thường là 2 %, 3 % và 4 % theo khối lượng của nhựa đường được sử dụng.
B.4.7 Vẽ biểu đồ tỷ lệ giãn nở so với chu kỳ bán hủy ở các mức phun nước khác nhau trên cùng một hệ trục. Lượng nước tối ưu được chọn là giá trị trung bình của hai lượng nước yêu cầu để đạt được tỷ lệ giãn nở tối thiểu chấp nhận và chu kỳ bán hủy tối thiểu chấp nhận (xem Hình B.1).
B.4.8. Nếu các đặc tính của nhựa đường không được đáp ứng ở 160 °C thì tiếp tục thử nghiệm thêm với nhựa đường ở nhiệt độ cao hơn (thường là 170 °C và 180 °C) (minh họa tại Hình B.2).
B.5 Báo cáo
Báo cáo kết quả thử nghiệm bao gồm các thông tin sau:
- Hàm lượng nước tối ưu (%): Tỷ lệ phần trăm theo khối lượng của nhựa đường;
- Tỷ lệ giãn nở (lần): Tỷ lệ giãn nở tối đa so với thể tích ban đầu của nhựa đường;
- Chu kỳ bán hủy (s): Thời gian tối đa để bọt xẹp đi một nửa so với thể tích tối đa.

Hình B.1 - Biểu đồ xác định hàm lượng nước thêm vào tối ưu

Hình B.2 - Ví dụ về sự giãn nở và chu kỳ bán hủy ở 3 nhiệt độ với hàm lượng nước từ 1 % đến 5 %
PHỤ LỤC C
(Quy định)
Quy định kỹ thuật đối với nhựa đường
Quy định kỹ thuật đối với nhựa đường trong Bảng C.1.
Bảng C.1 - Quy định kỹ thuật đối với nhựa đường
| Tên chỉ tiêu | Mác nhựa đường theo độ kim lún | Phương pháp thử | |||||
| 20-30 | 40-50 | 60-70 | 85-100 | 120-150 | 200-300 | ||
| 1. Độ kim lún ở 25°C, 0,1 mm | 20 - 30 | 40 - 50 | 60-70 | 85 - 100 | 120 - 150 | 200 - 300 | TCVN 7495 |
| 2. Chỉ số độ kim lún (Pl) | Từ (-1,5) đến 1,0 | - | Phụ lục D | ||||
| 3. Điểm hóa mềm, °C, không nhỏ hơn | 55 | 49 | 46 | 45 | 40 | 35 | TCVN 7497 |
| 4. Độ nhớt động lực ở 60 °C, Pa.s, không nhỏ hơn | 260 | 200 | 180 | 160 | 60 |
| TCVN 8818-5 |
| 5. Độ kéo dài ở 25 °C, 5 cm/min, cm, không nhỏ hơn | 40 | 100 | 100 | 100 | 100 | 100 | TCVN 7496 |
| 6. Hàm lượng paraphin, %, không lớn hơn | 2,2 | TCVN 7503 | |||||
| 7. Điểm chớp cháy, °C, không nhỏ hơn | 240 | 232 | 232 | 232 | 230 | 220 | TCVN 7498 |
| 8. Độ hòa tan trong dung môi, có thẻ sử dụng 1 trong 2 dung môi sau: |
|
|
|
|
|
|
|
| - Sử dụng Tricloetylen, %, không nhỏ hơn |
|
| 99,0 |
|
|
| TCVN 7500 |
| - Sử dụng N-Propyl Bromide, %, không nhỏ hơn |
|
| 99,0 |
|
|
| ASTM D7553 |
| 9. Khối lượng riêng ở 25 °C, g/cm3 |
|
| 1,00 | 1,05 |
|
| TCVN 7501 |
| 10. Các chỉ tiêu thí nghiệm trên mẫu nhựa sau khi thí nghiêm TFOT | - | TCVN 11711 | |||||
| 10.1. Tổn thất khối lượng, %, không lớn hơn | 0,8 | 0,8 | 0,8 | 1,0 | 1,3 | 1,5 | TCVN 11711 |
| 10.2. Tỷ lệ độ kim lún còn lại so với độ kim lún ban đầu ở 25 °C, %, không nhỏ hơn | 58 | 58 | 54 | 50 | 46 | 40 | TCVN 7495 |
| 10.3. Độ kéo dài ở 25 °C, 5 cm/min, cm, không nhỏ hơn | - | - | 50 | 75 | 100 | 100 | TCVN 7496 |
| 11. Độ dính bám với đá, không nhỏ hơn | Cấp 3 | TCVN 7504 | |||||
Phụ lục D
(Quy định)
Phương pháp xác định chỉ số độ kim lún (Pl) của nhựa đường
D.1 Chỉ số độ kim lún (Pl)
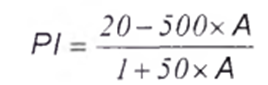
Chỉ số độ kim lún (PI, Penetration Index) của nhựa đường là chỉ số đánh giá độ nhạy cảm của nhựa đường với nhiệt độ, được xác định theo công thức (D.1).
|
| (D.1) |
Trong đó:
Pl Chỉ số độ kim lún;
A Hệ số nhạy cảm với nhiệt độ, được xác định từ phương trình (D.2)
| Log(P) = AxT + K | (D.2) |
Trong đó:
T Nhiệt độ thí nghiệm độ kim lún;
P Độ kim lún tại nhiệt độ thí nghiệm T;
K Hằng số.
D.2 Xác định Pl
D.2.1 Thí nghiệm xác định độ kim lún của nhựa đường ở các nhiệt độ khác nhau
Tùy thuộc vào mác nhựa đường để xác định các giá trị nhiệt độ thí nghiệm độ kim lún. Ít nhất phải thí nghiệm độ kim lún ở 02 nhiệt độ khác nhau trong các nhiệt độ quy định trong Bảng D.1.
Bảng D.1 - Nhiệt độ thử nghiệm độ kim lún để xác định Pl
| Mác nhựa đường | Nhiệt độ thí nghiệm (°C) | Phương pháp thử |
| 20 - 30 | 45, 40, 35, 30, 25 | TCVN 7495 |
| 40 - 50 | 40, 35, 30, 25, 20 | |
| 60 - 70 | 35, 30, 25, 20, 15 | |
| 85 - 100 | 30, 25, 20, 15, 10 | |
| 120 - 150 | 25, 20, 15, 10, 5 |
D.2.2 Xác định phương trinh hồi quy tuyến tính giữa log(P) và T
Trên cơ sở kết quả thí nghiệm độ kim lún của nhựa đường ở các nhiệt độ khác nhau, vẽ biểu đồ quan hệ giữa logarit của độ kim lún P với các nhiệt độ thí nghiệm T tương ứng.
Xác định phương trình hồi quy tuyến tính bậc nhất log(P) = AxT + K.
D.2.3 Tính toán Pl
Trên cơ sở phương trình hồi quy tuyến tính bậc nhất log(P) = AxT + K đã xác lập, lấy giá trị hệ số A của phương trình đưa vào công thức (D.1) để tính Pl.
Phụ lục E
(Tham khảo)
Kết cấu áo đường có sử dụng lớp vật liệu tái chế
E.1 Lớp vật liệu tái chế nguội tại chỗ sử dụng chất gia cố là nhựa đường bọt và xi măng được sử dụng để làm lớp móng đường cấp cao chủ yếu A1 hoặc mặt đường cấp cao thứ yếu A2 trong kết cấu áo đường ô tô.
E.2 Chiều dầy lớp tái chế sau khi lu lèn có thể từ (10 + 30) cm, thường dùng không quá 22 cm; chiều dầy lớp tái chế phải thỏa mãn điều kiện lớn hơn 3 lần đường kính hạt cốt liệu lớn nhất có trong hỗn hợp tái chế. Trong mọi trường hợp, lớp tái chế sau khi thi công xong đều phải thỏa mãn các yêu cầu quy định, chất lượng đồng đều trên toàn chiều sâu. Trước khi thi công đại trà, phải tiến hành thi công thử một vệt dài ít nhất 150 m để kiểm tra và xác định công nghệ thi công, làm cơ sở để quyết định chiều dầy phù hợp.
E.3 Trong trường hợp sửa chữa cục bộ các hư hỏng mặt đường thì chiều rộng phần tái chế tối thiểu là 2,0 m (bằng bề rộng của trống công tác của máy tái chế). Để giảm thiểu các mối nối dọc và mối nổi ngang thì nên mở rộng diện tích phần tái chế theo chiều ngang cho bằng chiều rộng làn đường xe chạy, nối các đoạn tuyến hư hỏng cục bộ gần nhau thành đoạn liên tục; cụ thể từng trường hợp do Tư vấn thiết kế đề xuất, Chủ đầu tư chấp thuận.
E.4 Kết cấu áo đường có sử dụng lớp vật liệu tái chế được tính toán, thiết kế theo các tiêu chuẩn hiện hành.
CHÚ THÍCH: Nếu tính toán, thiết kế kết cấu áo đường theo AASHTO 1993 thì hệ số lớp kết cấu ai của lớp vật liệu tái chế được xác định bằng cách tra Bảng E.1 dựa trên kết quả thí nghiệm cường độ kéo khi ép chẻ ở trạng thái khô (Rkck) ở 25 °C (xem Phụ lục A).
Bảng E.1 - Hệ số lớp ai của lớp vật liệu tái chế theo Rkck
| Cường độ kéo khi ép chẻ ở trạng thái khô (Rkck), MPa | 0,10 | 0,15 | 0,20 | 0,30 | 0,40 | 0,50 | 0,60 |
| Hệ số lớp kết cấu ai của lớp vật liệu tái chế | 0,13 | 0,16 | 0,21 | 0,26 | 0,30 | 0,33 | 0,35 |
E.5 Khi sử dụng các lớp tái chế làm lớp móng trên cho kết cấu áo đường ô tô cấp cao chủ yếu A1 thì tổng chiều dày nhỏ nhất của các lớp bê tông nhựa rải trên nó phải thỏa mãn tiêu chuẩn thiết kế sử dụng.
E.6 Khi sử dụng lớp tái chế làm lớp mặt cho kết cấu áo đường cấp cao A2 thì trên nó phải bố trí lớp vật liệu có chất kết dính hữu cơ, tối thiểu phải làm một lớp láng nhựa theo TCVN 8863 hoặc theo TCVN 9505.
E.7 Trong trường hợp có công trình ngầm chôn nông dưới kết cấu áo đường, cần phải xác định chính xác chiều dầy các lớp vật liệu tính từ bề mặt đường đến đỉnh công trình ngầm để quyết định chiều sâu tái chế cho phù hợp. Trong trường hợp khảo sát phát hiện lớp nền, móng yếu cục bộ, cần tiến hành xử lý nền móng trước khi thực hiện công nghệ tái chế.
Mục lục
1 Phạm vi áp dụng
2 Tài liệu viện dẫn
3 Thuật ngữ và định nghĩa
4 Yêu cầu kỹ thuật đối với hỗn hợp tái chế
5 Yêu cầu đối với vật liệu dùng cho hỗn hợp tái chế
6 Thiết kế thành phần hỗn hợp vật liệu tái chế
7 Yêu cầu về thiết bị thi công
8 Thi công lớp vật liệu tái chế
9 Kiểm tra, giám sát và nghiệm thu lớp tái chế
10 An toàn lao động và bảo vệ môi trường
Phụ lục A (Quy định): Hướng dẫn thiết kế hỗn hợp tái chế sử dụng chất gia cố là nhựa đường bọt và xi măng
Phụ lục B (Quy định): Hướng dẫn thử nghiệm xác định các đặc tính tạo bọt của nhựa đường
Phụ lục C (Quy định): Quy định kỹ thuật đối với nhựa đường
Phụ lục D (Quy định): Phương pháp xác định chỉ số độ kim lún (Pl) của nhựa đường
Phụ lục E (Tham khảo): Kết cấu áo đường có sử dụng lớp vật liệu tái chế
Bạn chưa Đăng nhập thành viên.
Đây là tiện ích dành cho tài khoản thành viên. Vui lòng Đăng nhập để xem chi tiết. Nếu chưa có tài khoản, vui lòng Đăng ký tại đây!
(s)






