- Tổng quan
- Nội dung
- Tiêu chuẩn liên quan
- Lược đồ
- Tải về
Tiêu chuẩn TCVN 12171:2017 An toàn máy mài tĩnh tại
| Số hiệu: | TCVN 12171:2017 | Loại văn bản: | Tiêu chuẩn Việt Nam |
| Cơ quan ban hành: | Bộ Khoa học và Công nghệ | Lĩnh vực: | Công nghiệp |
|
Ngày ban hành:
Ngày ban hành là ngày, tháng, năm văn bản được thông qua hoặc ký ban hành.
|
2017 |
Hiệu lực:
|
Đã biết
|
| Người ký: | Đang cập nhật |
Tình trạng hiệu lực:
Cho biết trạng thái hiệu lực của văn bản đang tra cứu: Chưa áp dụng, Còn hiệu lực, Hết hiệu lực, Hết hiệu lực 1 phần; Đã sửa đổi, Đính chính hay Không còn phù hợp,...
|
Đã biết
|
TÓM TẮT TIÊU CHUẨN VIỆT NAM TCVN 12171:2017
Nội dung tóm tắt đang được cập nhật, Quý khách vui lòng quay lại sau!
Tải tiêu chuẩn Việt Nam TCVN 12171:2017
TIÊU CHUẨN QUỐC GIA
TCVN 12171:2017
ISO 16089:2015
MÁY CÔNG CỤ - AN TOÀN - MÁY MÀI TĨNH TẠI
Machine tools - Safety - Stationary grinding machines
Lời nói đầu
TCVN 12171:2017 hoàn toàn tương đương với ISO 16089:2015.
TCVN 12171:2017 do Ban kỹ thuật tiêu chuẩn quốc gia TCVN/TC 39 Máy công cụ biên soạn, Tổng cục Tiêu chuẩn Đo lường Chất lượng đề nghị, Bộ Khoa học và Công nghệ công bố.
MÁY CÔNG CỤ - AN TOÀN - MÁY MÀI TĨNH TẠI
Machine tools - Safety - Stationary grinding machines
1 Phạm vi áp dụng
Tiêu chuẩn này quy định các yêu cầu và/hoặc các biện pháp để loại bỏ các mối nguy hiểm hoặc giảm thiểu các rủi ro đối với các nhóm máy mài tĩnh tại dưới đây, chúng được thiết kế chủ yếu để tạo hình kim loại bằng phương pháp mài:
- Nhóm 1: Các máy mài điều khiển bằng tay không có các trục được vận hành bằng năng lượng và không có điều khiển số.
- Nhóm 2: Các máy mài điều khiển bằng tay với các trục được vận hành bằng năng lượng và khả năng điều khiển số hạn chế, nếu thích hợp.
- Nhóm 3: Các máy mài điều khiển số.
CHÚ THÍCH 1: Thông tin chi tiết về các nhóm máy mài, xem các định nghĩa ở 3.1 và 3.4.
CHÚ THÍCH 2: Nói chung, các yêu cầu trong tiêu chuẩn này áp dụng được cho tất cả các nhóm máy mài. Nếu các yêu cầu chỉ áp dụng được cho một số nhóm đặc biệt thì (các) nhóm máy mài đặc biệt này cần được quy định.
Tiêu chuẩn này bao gồm các mối nguy hiểm nghiêm trọng được liệt kê trong Điều 4 và áp dụng cho các thiết bị đi kèm của máy (ví dụ như chi tiết gia công, thiết bị kẹp dụng cụ cắt và chi tiết gia công, dụng cụ vận chuyển), chúng làm thành bộ phận của máy.
Tiêu chuẩn này cũng áp dụng cho các máy được tích hợp trong dây chuyền sản xuất tự động hoặc máy mài riêng lẻ do các rủi ro và mối nối nguy hiểm phát sinh có thể so sánh được với các rủi ro và mối nguy hiểm của các máy làm việc riêng biệt.
Tiêu chuẩn này cũng bao gồm trong Điều 7 một danh sách tối thiểu các thông tin liên quan đến an toàn mà nhà sản xuất phải cung cấp cho người sử dụng. Cũng xem ISO 12100:2010, Hình 2, trong đó minh họa mối tương tác giữa trách nhiệm của nhà sản xuất và của người sử dụng về an toàn trong vận hành.
Trách nhiệm của người sử dụng là nhận biết các mối nguy hiểm cụ thể (ví dụ: cháy và nổ) và giảm bớt những rủi ro liên đới có thể là tới hạn (ví dụ: liệu hệ thống hút trung tâm có hoạt động đúng hay không).
Nếu có thêm một số nguyên công gia công kim loại (như nguyên công phay, tiện, cắt laze), tiêu chuẩn này có thể được lấy làm cơ sở cho các yêu cầu về an toàn. Đối với thông tin cụ thể về các mối nguy hiểm phát sinh từ các nguyên công gia công kim loại khác, chúng được quy định bởi các tiêu chuẩn khác, xem trong thư mục tài liệu tham khảo.
Tiêu chuẩn này không áp dụng cho các máy mài khôn tĩnh, máy đánh bóng và máy mài dùng dây đai và không áp dụng cho dụng cụ điện cầm tay vận hành bằng động cơ phù hợp với IEC 61029-2-4 và IEC 61029-2-10.
2 Tài liệu viện dẫn
Các tài liệu viện dẫn sau là cần thiết cho việc áp dụng tiêu chuẩn này. Đối với các tài liệu viện dẫn ghi năm công bố thì áp dụng bản được nêu. Đối với các tài liệu viện dẫn không ghi năm công bố thì áp dụng phiên bản mới nhất, bao gồm cả các sửa đổi (nếu có).
TCVN 6700-1 (ISO 9606-1), Kiểm tra chấp nhận thợ hàn - Hàn nóng chảy - Phần 1: Thép;
TCVN 6700-2 (ISO 9606-2), Kiểm tra chấp nhận thợ hàn - Hàn nóng chảy - Phần 2: Nhôm và hợp kim nhôm;
TCVN 6719 (ISO 13850), An toàn máy - Dừng khẩn cấp - Nguyên tắc thiết kế;
TCVN 7300 (ISO 14118), An toàn máy - Ngăn chặn khởi động bất ngờ;
TCVN 7384-1:2010 (ISO 13849-1:2006), An toàn máy - Bộ phận liên quan đến an toàn của các hệ thống điều khiển - Phần 1: Nguyên lý chung về thiết kế;
TCVN 7387-1 (ISO 14122-1), An toàn máy - Phương tiện thông dụng để tiếp cận máy - Phần 1: Lựa chọn phương tiện cố định để tiếp cận giữa hai mức;
TCVN 7387-2 (ISO 14122-2), An toàn máy - Phương tiện thông dụng để tiếp cận máy - Phần 2: Sàn thao tác và lối đi;
TCVN 7472 (ISO 5817), Hàn - Các liên kết hàn nóng chảy ở thép, niken, titan và các hợp kim của chúng (trừ hàn chùm tia) - Mức chất lượng đối với khuyết tật;
TCVN 7506-1 (ISO 3834-1), Yêu cầu chất lượng đối với mối hàn nóng chảy kim loại - Phần 1: Tiêu chí lựa chọn mức yêu cầu chất lượng thích hợp;
TCVN 8985 (ISO 15607), Đặc tính kỹ thuật và sự chấp nhận các quy trình hàn kim loại - Quy tắc chung;
TCVN 11697-1 (ISO 9355-1), Yêu cầu ecgônômi đối với việc thiết kế màn hình và bộ truyền động điều khiển - Phần 1: Tương tác người và màn hình và bộ truyền động điều khiển;
TCVN 11697-2 (ISO 9355-2), Yêu cầu ecgônômi đối với việc thiết kế màn hình và bộ truyền động điều khiển - Phần 2: Màn hình hiển thị;
TCVN 11697-3 (ISO 9355-3), Yêu cầu ecgônômi đối với việc thiết kế màn hình và bộ truyền động điều khiển - Phần 3: Bộ truyền động điều khiển;
ISO 447:1984, Machine tools - Direction of operation of controls (Máy công cụ - Chiều tác động của điều khiển);
ISO 2553, Welding and allied processes - Symbolic representation on drawings - Welded joints (Hàn và các quá trình liên quan - Biểu diễn ký tự trên bản vẽ - Liên kết hàn);
ISO 4413:2010, Hydraulic fluid power - General rules and safety equipments for systems and their components (Hệ thống truyền dẫn thủy lực - Nguyên tắc chung và các trang bị an toàn cho các hệ thống và các bộ phận của chúng);
ISO 4414:2010, Pneumatic fluid power - General rules and safety equipments for systems and their components (Hệ thống truyền dẫn khí nén - Nguyên tắc chung và các trang bị an toàn cho các hệ thống và các bộ phận của chúng);
ISO 4871:1996, Acoustics - Declaration and verification of noise emission values of machinery and equipment (Âm học - Công bố và kiểm tra xác nhận các giá trị phát xạ ồn của máy móc và dụng cụ);
ISO 10218-1:2006, Robots for industrial environments - Safety requirements - Part 1: Robots (Rô bốt cho môi trường công nghiệp - Yêu cầu an toàn - Phần 1: Rô bốt);
ISO 11161, Safety of machinery - Integrated manufacturing systems - Basic requirements (An toàn máy - Hệ thống gia công tích hợp - Yêu cầu cơ bản);
ISO 12100:20101), Safety of machinery - General principles for design - Risk assessment and risk reduction (An toàn máy - Các nguyên lý chung cho thiết kế - Đánh giá rủi ro và sự giảm thiểu rủi ro);
ISO 13856-2, Safety of machinery - Pressure-sensitive protective devices - Part 2: General principles for the design and testing of pressure-sensitive edges and pressure-sensitive bars (An toàn máy - Thiết bị bảo vệ nhạy với áp suất - Phần 2: Nguyên lý chung cho thiết kế và thử nghiệm các cạnh nhạy với áp suất và các thanh nhạy với áp suất);
ISO 13857:2008, Safety of machinery - Safety distances to prevent hazard zones being reached by upper and lower limbs (An toàn máy - Các khoảng cách an toàn để ngăn ngừa các vùng nguy hiểm bị với bởi các rìa cao nhất và thấp nhất);
ISO 14119:1998, Safety of machinery - Interlocking devices associated with guards - Principles for design and selection (An toàn máy - Thiết bị khóa liên động kết hợp với bộ phận bảo vệ - Nguyên lý cho thiết kế và lựa chọn);
ISO 14120:2002, Safety of machinery - Guards - General requirements for the design and construction of fixed and movable guards (An toàn máy - Bộ phận bảo vệ - Yêu cầu chung cho thiết kế và chế tạo các bộ phận bảo vệ cố định và di động được);
ISO 14122-3:2001, Safety of machinery - Permanent means of access to machinery - Part 3: Stairs, stepladders and guard-rails (An toàn máy - Các cách thức cố định truy cập máy - Phần 3: Cầu thang, thang và lan can);
ISO 14122-4:2004, Safety of machinery - Permanent means of access to machinery - Part 4: Fixed ladders (An toàn máy - Các cách thức cố định truy cập máy - Phần 4: Thang cố định);
ISO 19719, Machine tools - Work holding chucks - Vocabulary (Máy công cụ - Mâm cặp gia công - Từ vựng);
IEC 60204-1:2009, Safety of machinery - Electrical equipment of machines - Part 1: General requirements (An toàn máy - Thiết bị điện của máy - Phần 1: Yêu cầu chung);
IEC 60825-1:2007, Safety of laser products - Part 1: Equipment classification and requirements (An toàn của các sản phẩm laze - Phần 1: Phân loại thiết bị và các yêu cầu);
IEC 61000-6-2, Electromagnetic compatibility (EMC) - Part 6-2: Generic standards - Immunity for industrial environments (Tương thích điện từ (EMC) - Phần 6-2: Các chuẩn chung - Miễn nhiễm đối với môi trường công nghiệp);
IEC 61000-6-4, Electromagnetic compatibility (EMC) - Part 6-4: Generic standards - Emission standard for industrial environments (Tương thích điện từ (EMC) - Phần 6-4: Các chuẩn chung - Chuẩn phát xạ đối với môi trường công nghiệp);
IEC 61800-5-2, Adjustable speed electrical power drive systems - Pad 5-2: Safety requirements - Functional (Hệ thống dẫn động năng lượng điện tốc độ điều chỉnh được - Phần 5-2: Yêu cầu an toàn - Chức năng);
IEC 62061, Safety of machinery - Functional safety of safety-related electrical, electronic and programmable electronic control systems (An toàn máy - An toàn chức năng của điện, điện tử và các hệ thống điều khiển điện tử lập trình được có liên quan đến an toàn);
EN 1127-1, Explosive atmospheres - Explosion prevention and protection - Part 1: Basic concepts and methodology (Môi trường cháy nổ - Phòng ngừa và bảo vệ cháy nổ - Phần 1: Khái niệm cơ bản và phương pháp luận).
3 Thuật ngữ và định nghĩa
Tiêu chuẩn này áp dụng các thuật ngữ và định nghĩa trong ISO 12100:2010, TCVN 7384-1 (ISO 13849-1) và các thuật ngữ, định nghĩa sau.
3.1 Thuật ngữ chung
3.1.1
Máy mài (grinding machine)
Máy công cụ dùng để gia công các chi tiết gia công bằng các dụng cụ mài quay tròn.
CHÚ THÍCH: Máy có thể kết hợp các loại phương pháp mài khác nhau, ví dụ như mài trụ ngoài và mài trụ trong.
3.1.1.1
Máy mài tĩnh tại (stationary grinding machine)
Máy mài (3.1.1) được cố định tại vị trí trong quá trình vận hành.
CHÚ THÍCH 1: Đối với các loại và các nhóm của các loại máy mài tĩnh tại, xem 3.4.
CHÚ THÍCH 2: Trong nội dung phía dưới của tiêu chuẩn này, thuật ngữ "máy mài" sẽ đại diện cho "máy mài tĩnh tại".
3.1.2
Điều khiển bằng tay (manual control)
Điều khiển ở đó từng chuyển động của máy được khởi động và điều khiển riêng lẻ bởi người vận hành.
3.1.3
Máy mài điều khiển bằng tay (manually controlled grinding machine)
Máy mài (3.1.1) trong đó tất cả các bước thực hiện quá trình gia công được người vận hành điều khiển hoặc khởi động mà không có sự hỗ trợ của chương trình gia công NC.
3.1.4
Điều khiển số, NC (numerical control, NC)
Điều khiển tự động một quá trình được thực hiện bởi một thiết bị sử dụng các dữ liệu dưới dạng số được đưa vào trong khi quá trình vận hành vẫn đang diễn ra.
(Nguồn: ISO 2806:1994,2.1.1]
3.1.5
Điều khiển số có sự trợ giúp của máy tính, CNC (computerized numerical control, CNC)
Sự thực hiện của NC (3.1.4) sử dụng một máy tính điện tử để điều khiển các chức năng của máy. [Nguồn: ISO 2806:1994,2.1.2]
3.1.6
Máy mài điều khiển số (numerically controlled grinding machine)
Máy mài NC
Máy mài vận hành trong điều kiện điều khiển số (3.1.4) hoặc điều khiển số có sự trợ giúp của máy tính (3.1.5).
3.1.7
Trục được vận hành bằng năng lượng (power operated axis)
Trục được vận hành bằng lực khác với lực cơ bắp hoặc trọng lực.
3.1.8
Sản phẩm vật liệu mài (abrasive product)
Dụng cụ mài (grinding tool)
Dụng cụ cắt quay tròn có các hình dạng khác nhau với các lưỡi cắt không xác định về mặt hình học được làm từ các hạt mài và chất kết dính.
CHÚ THÍCH: Có sự khác biệt giữa các sản phẩm vật liệu mài kết dính và các sản phẩm vật liệu mài đặc biệt (xem EN 12413 và EN 13236).
3.1.9
Dụng cụ sửa (dressing tool)
Dụng cụ cố định hoặc quay tròn dùng để tạo ra hoặc mài lại (sự mài sắc) và/hoặc hình học (sự nắn sửa) của các sản phẩm vật liệu mài.
3.1.10
Khu vực gia công (work zone)
Không gian diễn ra hoạt động cắt gọt.
3.1.11
Tiếp cận vào khu vực nguy hiểm (access to the hazard zone)
Sự đưa vào hoặc chạm tới vùng nguy hiểm của các bộ phận riêng lẻ hoặc toàn bộ cơ thể (tiếp cận toàn thân).
3.1.12
Dừng vận hành (operational stop)
Dừng các chuyển động của máy trong quá trình sản xuất.
CHÚ THÍCH: Các chức năng điều khiển giữa hệ thống điều khiển và các bộ truyền động máy được duy trì (mô men, tốc độ quay, vị trí)
3.1.13
Dừng vận hành an toàn (safe operational stop)
Dừng vận hành với các biện pháp hệ thống điều khiển bổ sung ngăn ngừa các chuyển động máy nguy hiểm do sai lỗi hệ thống điều khiển.
3.1.14
Dừng an toàn (safe stop)
Dừng bằng cách ngắt nguồn năng lượng của các bộ khởi động máy, ngăn ngừa các chuyển động máy nguy hiểm do sai lỗi hệ thống điều khiển.
3.1.15
Mức đặc tính, PL (performance level, PL)
Mức độ riêng biệt sử dụng để quy định khả năng của các bộ phận liên quan an toàn của hệ thống điều khiển để thực hiện một chức năng an toàn trong các điều kiện có khả năng dự báo trước.
[NGUỒN: TCVN 7384-1:2010 (ISO 13849-1:2006), 3.1.23, đã chỉnh sửa]
3.1.16
Mức đặc tính yêu cầu, PLr (required performance level, PLr)
Mức đặc tính (PL) áp dụng để đạt được sự giảm rủi ro yêu cầu đối với từng chức năng an toàn.
[NGUỒN: TCVN 7384-1:2010 (ISO 13849-1:2006), 3.1.24, đã chỉnh sửa]
3.2 Các bộ phận của máy mài
3.2.1
Cửa quan sát (vision panel)
Cửa sổ trên một bộ phận bảo vệ mà qua đó người vận hành có thể quan sát khu vực gia công (3.1.10) hoặc các khu vực khác của máy.
3.2.2
Tấm che trong suốt (transparent screen)
Tấm che sử dụng trên máy để bảo vệ mặt và mắt của người vận hành khỏi các mảnh vỡ nhỏ và các tia lửa điện do mài.
3.2.3
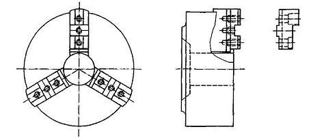
Mâm cặp (chuck)
Thiết bị kẹp trong đó các chi tiết gia công được kẹp bằng lực của tay hoặc có sự hỗ trợ của năng lượng khí nén, thủy lực, điện, hoặc năng lượng dự trữ cơ học (như lò xo chịu tải trước).
CHÚ THÍCH 1: Xem Hình 1.

Hình 1 - Mâm cặp
CHÚ THÍCH 2: Mâm cặp 3 chấu chỉ là một ví dụ; một mâm cặp có thể có 2, 3, 4, 6 chấu, v.v.
[NGUỒN: ISO 16156, 3.1, 3.2 và 3.3, đã chỉnh sửa]
3.2.4
Ống kẹp (collet)
Mâm cặp với nhiều chấu kẹp chặt (chuck with multiple clamping)
Phần tử dùng để kẹp bên trong hoặc bên ngoài chi tiết gia công.
[NGUỒN: ISO 19719,1.5]
3.2.5
Núm xoay điện tử (electronic handwheel)
Cơ cấu điều khiển vận hành bằng tay có chức năng khởi động và duy trì chuyển động của trục bằng việc phát xung đưa vào điều khiển số (3.1.4) trong khi xoay nó.
3.2.6
Bộ phận che chắn sản phẩm vật liệu mài (abrasive product guard)
Bộ phận che chắn bao che sản phẩm vật liệu mài chỉ để hở ra phần cần thiết dùng để mài và nó được thiết kế và kết cấu sao cho nó giữ lại các mảnh vỡ trong khu vực được che chắn khi có sự cố vỡ sản phẩm vật liệu mài.
3.2.7
Vỏ bao khu vực gia công (work zone enclosure)
Bộ phận che chắn cho máy mài, được thiết kế sao cho bất kỳ vật nào bị bắn ra (như các mảnh vỡ sản phẩm vật liệu mài, bộ phận của máy, vật liệu, chất lỏng làm việc) được giữ lại trong khu vực gia công (bao kín) và sao cho ngăn ngừa tiếp cận vào chuyển động nguy hiểm.
3.2.8
Cơ cấu giữ dụng cụ (tool holding device)
Cơ cấu dùng để siết chặt và định vị trí sản phẩm vật liệu mài trên trục chính bánh mài.
3.3 Các chế độ vận hành an toàn (MSO)
3.3.1
MSO 0
Chế độ bằng tay (manual mode)
Chế độ không có vận hành máy tự động, ở đó người vận hành điều khiển quá trình gia công mà không sử dụng các vận hành đã được lập trình trước.
CHÚ THÍCH: Chế độ này có thể được điều khiển bằng sử dụng các nút bấm, các núm xoay cơ khí hoặc điện tử, hoặc các cần lái.
3.3.2
MSO 1
Chế độ tự động (automatic mode)
Chế độ dùng cho vận hành tự động, đã lập trình, liên tiếp của máy với trang bị dùng để lắp/tháo bằng tay hoặc tự động chi tiết gia công và dụng cụ, cho tới khi được dừng lại theo chương trình hoặc bởi người vận hành.
3.3.3
MSO 2
Chế độ cài đặt (Mode 2: setting mode)
Chế độ vận hành trong đó sự điều chỉnh cho quá trình gia công tiếp theo được thực hiện bởi người vận hành.
CHÚ THÍCH: Kiểm tra vị trí của dụng cụ mài hoặc chi tiết gia công (ví dụ: dùng một đầu dò hoặc dụng cụ mài chạm vào chi tiết gia công) là các quá trình của chế độ cài đặt. Điều chỉnh bao gồm các vận hành cài đặt máy.
3.3.4
MSO 3
Chế độ tùy chọn đặc biệt dùng cho sự can thiệp bằng tay dưới chế độ các điều kiện vận hành bị hạn chế (optional special mode for manual intervention under restricted operating conditions mode)
Chế độ vận hành trong đó khả năng có thể dùng cho sự can thiệp bằng tay vào quá trình gia công, cũng như cho một chế độ tự động bị hạn chế được khởi động bởi người vận hành, được cho trước.
VÍ DỤ: Các chuyển động đã lập trình có thể tiếp tục một cách tự động, như bằng một chương trình hoặc người vận hành với các bộ phận che chắn di chuyển được mở ra để tiếp cận khu vực gia công.
3.3.5
Chế độ bảo dưỡng (MSO service)
Chế độ dùng cho các nhiệm vụ bảo dưỡng và bảo trì.
CHÚ THÍCH: Trong chế độ bảo dưỡng không được phép thực hiện gia công chi tiết gia công.
VÍ DỤ : Hiệu chuẩn trục bằng laze, kiểm bằng phương pháp bi cầu (ballbar), và/hoặc phân tích sai số của trục chính.
3.4 Các kiểu và các nhóm máy mài được định nghĩa trong tiêu chuẩn này
3.4.1 Quy định chung
Các máy mài được phân chia thành các nhóm khác nhau liên quan đến các mối nguy hiểm liên quan và phân thành các kiểu khác nhau liên quan đến quá trình mài. Ví dụ cho các kiểu máy mài khác nhau, xem Bảng 1.
Bảng 1 - Các kiểu máy mài
| Số | Kiểu máy (bản thiết kế) | Tên gọi | Phương pháp mài |
| 1.1 |
| Máy mài kiểu băng hoặc kiểu bệ đỡ | Mài chu vi Mài tại chu vi của sản phẩm vật liệu mài. Chi tiết gia công được dẫn hướng bằng tay. |
| 1.2 |
| Máy mài kiểu bệ đỡ | Mài mặt bên Mài tại mặt bên của sản phẩm vật liệu mài. Chi tiết gia công được dẫn hướng bằng tay. |
| 1.3 |
| Máy mài cắt đứt | Cắt đứt Mài để sinh ra cắt đứt. Chi tiết gia công được cố định, bánh mài cắt đứt được dẫn hướng cơ khí (dẫn tiến bằng tay). |
| 1.4 |
| Máy mài khung xoay | Mài chu vi, cắt đứt Mài áp lực cao tại chu vi của các sản phẩm vật liệu mài. Chi tiết gia công được gắn hoặc được ổn định một cách vững chắc bằng chính trọng lượng của nó. Máy mài được treo lên và dẫn hướng bằng tay. |
| 1.5 |
| Máy mài cắt đứt | Cắt đứt Mài để sinh ra các rãnh hoặc các cắt đứt. Chi tiết gia công được dẫn hướng bằng tay. Bánh mài cắt dứt được dẫn hướng bằng cơ khí. |
| 1.6 |
| Máy mài dụng cụ | Mài chu vi và mặt bên Mài để sinh ra hoặc mài lại mặt cắt. Chi tiết gia công và sản phẩm vật liệu mài được dẫn động cơ khí. |
| 1.7 |
| Máy mài trụ ngoài | Mài trụ ngoài Mài để sinh ra các bề mặt ngoài của một chi tiết gia công quay tròn. Chi tiết gia công và sản phẩm vật liệu mài được dẫn động cơ khí. |
| 1.8 |
| Máy mài trụ ngoài không tâm | Mài trụ ngoài không tâm Mài để sinh ra các mặt ngoài của một chi tiết gia công quay tròn. Chi tiết gia công được dẫn động cơ khí ở đúng vị trí của nó so với sản phẩm vật liệu mài bởi một bánh điều khiển và dừng lại trên một ray dẫn hướng nằm giữa hai bánh mài. |
| 1.9 |
| Máy mài trụ trong | Mài trụ trong Mài để sinh ra các mặt trong của một chi tiết gia công quay tròn. Chi tiết gia công và sản phẩm vật liệu mài được dẫn động cơ khí. |
| 1.10 |
| Máy mài phẳng, bàn máy tịnh tiến qua lại hoặc quay, trục chính nằm ngang | Mài phẳng - mài chu vi Mài để sinh ra các bề mặt phẳng, ở đó chi tiết gia công được kẹp vào một bàn máy. Chi tiết gia công và sản phẩm vật liệu mài được dẫn động cơ khí. |
| 1.11 |
| Máy mài phẳng, bàn máy tịnh tiến qua lại hoặc quay, trục chính thẳng đứng | Mài phẳng - mài mặt bên Mài để sinh ra các bề mặt phẳng, ở đó chi tiết gia công được kẹp vào một bàn máy. Chi tiết gia công và sản phẩm vật liệu mài được dẫn động cơ khí. |
| 1.12 |
| Máy mài phẳng, trục chính kép, nằm ngang hoặc thẳng đứng | Mài phẳng - mài mặt bên Mài các mặt phẳng song song đối nhau. Chi tiết gia công và sản phẩm vật liệu mài được dẫn động cơ khí. |
| 1.13 |
| Máy mái cắt đứt | Cắt đứt Mài để sinh ra các rãnh hoặc các cắt đứt. Chi tiết gia công và sản phẩm vật liệu mài được dẫn hướng bằng cơ khí. |
| 1.14 |
| Máy mài áp lực cao | Mài phẳng Mài áp lực cao để sinh ra các bề mặt phẳng ở đó chi tiết gia công được kẹp vào một bàn máy. Chi tiết gia công và sản phẩm vật liệu mài được dẫn động cơ khí. |
3.4.2 Nhóm 1: Các máy mài điều khiển bằng tay không có các trục được vận hành bằng năng lượng và không có điều khiển số
Máy mài không có các trục được vận hành bằng năng lượng ngoại trừ trục chính bánh mài và các trục riêng lẻ dùng để định vị thô. Tất cả các chuyển động được khởi động và điều khiển kế tiếp nhau bởi người vận hành.
Nhóm máy mài này có thể được trang bị những tính năng sau:
- Trang bị cơ khí cho dẫn tiến cơ khí;
- Dẫn hướng chi tiết gia công hoặc dụng cụ bằng tay cho gia công;
- Trang bị điện tử dùng cho vận tốc bề mặt không thay đổi (CSS);
- Đồ gá chép hình (như đá mài bán kính, mẫu);
- Dụng cụ đo đường bao chi tiết gia công (như kính hiển vi);
- Dụng cụ phân độ (dụng cụ riêng phần);
- Sự định vị thô có điều khiển bằng năng lượng của các trục riêng lẻ.
Các máy mài của nhóm này không có hệ thống điều khiển số hạn chế cũng như đầy đủ (NC).

Hình 2 - Ví dụ máy mài nhóm 1
3.4.3 Nhóm 2: Máy mài điều khiển bằng tay với các trục được vận hành bằng năng lượng và nếu thích hợp, với khả năng điều khiển số hạn chế
Máy mài với các trục được vận hành bằng năng lượng đó có thể được vận hành bằng sử dụng các núm xoay điện tử hoặc như một máy với điều khiển NC có giới hạn bằng vận hành các điều khiển trên bảng NC.
Chuyển động chạy dao giữa dụng cụ mài và chi tiết gia công được thực hiện thủ công bằng lực cơ bắp hoặc dẫn động bằng năng lượng.
Nhóm máy mài này có thể được trang bị các tính năng sau:
a) tất cả các tính năng của nhóm 1;
b) một hệ thống điều khiển số hạn chế (NC) với điều kiện là:
1) loại trừ MSO 0;
2) nội suy trục (tức là sao chép/sự chép hình xác định trước).
Tuy nhiên, các tính năng sau không được cung cấp:
- Khởi động chương trình tự động;
- Hệ thống thay dụng cụ kích hoạt một cách tự động;
- Hệ thống thay chi tiết gia công tự động.

Hình 3 - Ví dụ máy mài nhóm 2
3.4.4 Nhóm 3: Máy mài điều khiển số
Máy mài có điều khiển số (NC) cung cấp chức năng tự động.
Nhóm máy mài này có thể được trang bị các tính năng sau:
a) Một hệ thống điều khiển số với các chế độ vận hành an toàn khác nhau;
b) Các hệ thống thay chi tiết gia công tự động;
c) Ổ chứa dụng cụ tự động, hệ thống chuyển dụng cụ tự động và các hệ thống thay dụng cụ tự động;
d) Tiến hoặc lùi nòng ụ động tự động;
e) Các thiết bị sửa đá mài tự động;
f) Các quá trình gia công thứ cấp (ví dụ phay, tiện, khoan);
g) Các thiết bị tay lái phụ bổ sung.

Hình 4 - Ví dụ 1, máy mài nhóm 3

Hình 5 - Ví dụ 2, máy mài nhóm 3
3.5 Các tốc độ và tốc độ các trục
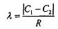
3.5.1
Tốc độ vận hành tối đa (maximum operating speed)
Tốc độ cho phép tối đa được quy định bởi nhà sản xuất sản phẩm vật liệu mài.
3.5.2
Tốc độ cho phép tối đa (maximum permissible speed)
Tốc độ cho phép tối đa thiết lập như một thông số máy bởi nhà sản xuất máy.
3.5.3
Tốc độ có thể có tối đa (maximum possible speed)
Tốc độ có thể có lớn nhất xuất hiện trong trường hợp sai lỗi.
3.5.4
Tốc độ giảm bớt (reduced speed)
Tốc độ bị giới hạn cho các mục đích liên quan đến an toàn bởi nhà sản xuất máy đến một giá trị cho phép tối đa.
3.5.5
Tốc độ quay (rotational speed)
Tốc độ của sản phẩm vật liệu mài được tính bằng công thức
![]()
Trong đó
n là tốc độ quay tính bằng vòng trên phút;
v là vận tốc dài tính bằng mét trên giây;
D là đường kính ngoài của sản phẩm vật liệu mài tính bằng milimét.
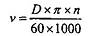
3.5.6
Vận tốc dài (peripheral speed)
Tốc độ của sản phẩm vật liệu mài được tính bằng công thức
![]()
Trong đó
n là tốc độ quay tính bằng vòng trên phút;
v là vận tốc dài tính bằng mét trên giây;
D là đường kính ngoài của sản phẩm vật liệu mài tính bằng milimét.
4 Danh mục các mối nguy hiểm nghiêm trọng
4.1 Tổng quan
Nhà sản xuất máy mài phải tiến hành đánh giá rủi ro theo ISO 12100:2010. Danh sách các mối nguy hiểm và các tình huống nguy hiểm ở Bảng 2 là kết quả của trách nhiệm và nhận biết mối nguy hiểm xác định bằng đánh giá rủi ro thực hiện theo ISO 12100:2010, Điều 4 và 5.4 đối với các máy mài được đề cập đến trong phạm vi của tiêu chuẩn này. Các yêu cầu về an toàn và/hoặc các biện pháp bảo vệ trong các Điều 5 và 6 là dựa trên việc đánh giá rủi ro và giải quyết các mối nguy hiểm đã xác định bằng cách loại trừ chúng hoặc giảm bớt những rủi ro phát sinh.
Đánh giá rủi ro giả định việc tiếp cận đến từ tất cả các hướng có thể nhìn thấy trước được, cũng như sự khởi động không như mong muốn. Rủi ro cho cả người vận hành lẫn những người khác có khả năng tiếp cận vùng nguy hiểm được nhận diện, tính đến các mối nguy hiểm có thể xảy ra trong các điều kiện khác nhau (như vận hành thử máy, cài đặt, sản xuất, bảo dưỡng, sửa chữa và tháo dời máy) trong suốt tuổi thọ của máy. Hoạt động đánh giá bao gồm phân tích ảnh hưởng của những hỏng hóc trong hệ thống điều khiển.
Ngoài ra, người sử dụng tiêu chuẩn này (ví dụ: người thiết kế, nhà sản xuất và nhà cung cấp) qua việc đánh giá rủi ro phải xác nhận rằng hoạt động đánh giá rủi ro của máy là hoàn toàn đầy đủ dưới sự nghiên cứu xem xét với chú ý đặc biệt đến:
a) Việc sử dụng máy theo dự định bao gồm bảo dưỡng, cài đặt và vệ sinh và việc sử dụng sai mục đích có thể thấy trước được một cách hợp lý của máy (xem ISO 12100:2010, 3.23 và 3.24), và
b) Nhận biết các mối nguy hiểm nghiêm trọng có liên quan đến máy.
4.2 Vùng nguy hiểm chính
Những vùng nguy hiểm chính là:
a) Khu vực gia công có (các) trục chuyển động và (các) trục bánh mài bao gồm (các) trục chỉnh sửa, dụng cụ kẹp chi tiết gia công, (các) trục chính kẹp gia công, (các) giá đỡ, ụ sau, (các) chi tiết gia công;
b) Thiết bị vận chuyển dùng để lắp/tháo chi tiết gia công;
c) Các ổ chứa dụng cụ bên trong và bên ngoài và các cơ cấu thay dụng cụ;
d) Hộp số;
e) Cơ cấu cam.
4.3 Các mối nguy hiểm nghiêm trọng và các tình huống nguy hiểm được đề cập trong tiêu chuẩn này
Những mối nguy hiểm nghiêm trọng được đề cập trong tiêu chuẩn này được liệt kê trong Bảng 2. Cách đánh số điều trong bảng này tham chiếu theo cách đánh số trong ISO 12100:2010, Bảng B.1.
Bảng 2 - Danh mục các mối nguy hiểm nghiêm trọng và các tình huống nguy hiểm
| STTa | Nguyên nhân cho các mối nguy hiểm và các tình huống nguy hiểm | Ví dụ về các tình huống nguy hiểm và các vùng nguy hiểm ở máy mài | Hậu quả có thể xảy ra | Điều khoản tương ứng trong tiêu chuẩn này |
| 1 | Mối nguy hiểm cơ khí | |||
| 1.1 | Sự gần đúng của một bộ phận chuyển động đến một bộ phận cố định | Các hoạt động bằng tay trong vùng nằm giữa sản phẩm vật liệu mài và các bộ phận của máy mài, đặc biệt là giá đỡ gia công hoặc nằm giữa sản phẩm vật liệu mài và chi tiết gia công | Nghiền Xé Lôi vào Mắc kẹt | 5.1.2 5.2 5.12 |
| Chuyển động chạy dao của sản phẩm vật liệu mài đến chi tiết gia công | Nghiền Xé Các bộ phận bị văng ra |
5.1.2 5.2 | ||
| Hoạt động bằng tay trong vùng lân cận của sản phẩm vật liệu mài hoặc trục chính | Vướng mắc | 5.1.2 5.2 | ||
| Kẹp dụng cụ và chi tiết gia công | Nghiền Xé |
| ||
| 1.2 | Các bộ phận chuyển động | Hoạt động trong vùng của các trục di chuyển, các bộ phận máy chuyển động, và trong vùng của các thiết bị chất tải tự động trong khi gia công, cài đặt, bảo dưỡng và sửa chữa. Chuyển động tịnh tiến qua lại của bàn máy chi tiết gia công. Các hoạt động trong vùng của các bệ làm việc | Va đập Vướng mắc Lôi vào Mắc kẹt | 5.1.2 5.2 5.9 5.12 |
| 1.3 | Các bộ phận quay | Tiếp xúc không theo dự định với sản phẩm vật liệu mài quay trong khi lắp và tháo và/hoặc khi đo | Mài xát Trầy da Lôi vào Mắc kẹt | 5.1.2 5.2 5.9 5.10 5.12 |
| 1.4 | Các bộ phận nhọn và cắt Các cạnh sắc | Tiếp xúc không theo dự định với các cạnh sắc của chi tiết gia công trong khi lắp và tháo và/hoặc khi đo | Cắt Đâm thủng Mài xát Trầy da | 5.1.2 5.2 |
| 1.5 | Các vật bị rơi hoặc văng ra | Sự văng ra hoặc rơi xuống của vật liệu, các bộ phận và các mảnh trong khi khởi động, cài đặt, vận hành mài, thay sản phẩm vật liệu mài, bảo dưỡng hoặc tháo máy. Chi tiết gia công rơi xuống. Vỡ sản phẩm vật liệu mài. Các bộ phận máy bị văng ra sau khi vỡ hoặc trong vùng lân cận của máy. |
Nghiền Xé Va đập Găm vào Đâm thủng | 5.1.2 5.2 5.9 5.10 5.12 5.13 7.2.2 7.2.3 7.2.5 |
| 1.6 | Trọng lực | Rơi các chi tiết máy di động được trong khi cài đặt, như trong khi thay sản phẩm vật liệu mài hoặc chi tiết gia công do trọng lực. Các hoạt động trong vùng của các bệ làm việc hoặc tại các kho | Nghiền Xé Va đập | 5.1.2 5.2 5.12 |
| 1.7 | Áp lực cao | Tại các bộ phận thủy lực khi ở tại hoặc ở trong vùng lân cận của máy, đặc biệt là trong khi lắp đặt và tháo dỡ máy | Sự thâm nhập hoặc va đập của môi trường dưới áp lực vào trong da/mắt | 5.1.2 5.2 |
| 1.8 | Độ ổn định | Rơi hoặc lật của một máy không được cố định hoặc của các bộ phận máy khi ở tại hoặc ở trong vùng lân cận của máy | Va đập Nghiền | 5.14 7.2.10 |
| 1.9 | Bề mặt gồ ghề, trơn | Các hoạt động trong sàn nhà và vùng bước qua tại và xung quanh máy và đưa vào một độ cao do - sự văng ra hoặc sự đổ ra của chất lỏng gia công kim loại, các chất bôi trơn hoặc chất lỏng thủy lực; - các chất còn lại chứa trong các chất lỏng bị văng ra; - rào chắn không đủ hoặc các thiết bị chứa khác, đặc biệt tại các vị trí mà ở đó có rủi ro của rơi. |
Trượt Lật nghiêng Ngã | 5.1.2 5.2 5.15 |
| 2 | Mối nguy hiểm về điện | |||
| 2.1 | Các bộ phận có điện | Tiếp xúc với các bộ phận có điện | Sốc điện | 5.3 |
| 2.2 | Các bộ phận trở thành dẫn điện trong các điều kiện lỗi hỏng | Tiếp xúc với các bộ phận trở thành dẫn điện trong các điều kiện lỗi hỏng | Tiếp xúc điện | 5.3 |
| 3 | Mối nguy hiểm do nhiệt | |||
|
| Các vật hoặc các vật liệu có nhiệt độ cao | Sự bắn tóe của các tia lửa mài nóng trong khi mài khi ở tại hoặc ở trong vùng lân cận của máy | Bỏng | 5.1.2 5.2 |
| 4 | Mối nguy hiểm do tiếng ồn | |||
|
| Quá trình gia công và các bộ phận chuyển động | Tiếng ồn khí động do - sản phẩm vật liệu mài quay; - rung động của sản phẩm vật liệu mài và/hoặc chi tiết gia công trong khi mài; - các phần tử dẫn động và truyền động; - thổi khí để làm sạch; khi ở tại hoặc ở trong vùng lân cận của máy | Suy giảm thính giác lâu dài Các mối nguy hiểm khác (như cơ khí, điện) như là một hậu quả của sự giao tiếp giọng nói bị nhiễu loạn hoặc sự nhiễu của các tín hiệu âm | 5.4 7.2.6 Phụ lục F Phụ lục G |
| 5 | Mối nguy hiểm do rung động | |||
|
| Các bộ phận rung động | Sự truyền các rung động từ quá trình mài trên người vận hành tại máy đối với mài được dẫn hướng bằng tay | Khó chịu Các bệnh về hệ thần kinh Các tổn thương khớp | 5.5 7.2.7 |
| 6 | Mối nguy hiểm về bức xạ | |||
| 6.1 | Bức xạ điện từ tần số thấp và cao | Trong quá trình các hoạt động tại thiết bị điện, đặc biệt là trong khi cài đặt hoặc bảo dưỡng | Tác động lên các mô cấy hoạt tính, như máy điều hòa nhịp tim, máy khử rung tim | 5.6 |
| 6.2 | Bức xạ quang học (tia hồng ngoại, ánh sáng nhìn thấy và tia cực tím), bao gồm cả bức xạ laze | Trong quá trình các hoạt động tại các thiết bị đo và các bộ phát laze đo, đặc biệt là trong khi cài đặt hoặc bảo dưỡng | Bỏng Tổn thương mắt | 5.6 |
| 7 | Mối nguy hiểm do vật liệu/các chất | |||
| 7.1 | Tác nhân sinh vật và vi sinh vật (vi rút hoặc vi khuẩn) | Tiếp xúc với các chất lỏng gia công kim loại bị nhiễm bẩn có vi khuẩn khi ở tại hoặc ở trong vùng lân cận của máy | Nhiễm trùng | 5.7.1 |
| 7.2 | Chất lỏng | Da tiếp xúc với chất lỏng gia công kim loại khi ở tại hoặc ở trong vùng lân cận của máy | Tổn thương da | 5.7.1 5.7.2 |
| 7.3 | Hơi | Sự hít vào và lấy vào các chất được sử dụng hoặc sinh ra trong khi gia công, như bởi các chất lỏng gia công kim loại khi ở tại hoặc ở trong vùng lân cận của máy | Khó thở Nhiễm độc | 5.7.1 5.7.2 |
| 7.4 | Vật liệu nguy cơ cháy | Các mối nguy hiểm cháy và nổ a) trong khi gia công vật liệu dễ cháy, như nhôm, magie b) khi sử dụng vật liệu dễ cháy, như dầu chứa trong chất lỏng gia công kim loại | Bỏng do cháy và nổ | 5.7 5.7.3 Phụ lục H Phụ lục I Phụ lục J |
| 8 | Mối nguy hiểm ecgônômi | |||
| 8.1 | Thiết kế hoặc vị trí của các bộ chỉ thị và các bộ hiển thị quang học | Sự đánh giá sai thông tin đã chỉ thị tại vị trí của người vận hành | Các mối nguy hiểm khác (như cơ khí, điện) là hậu quả của lỗi do con người | 5.8 |
| 8.2 | Thiết kế, vị trí hoặc nhận biết các thiết bị điều khiển | Sự vận hành hỏng của máy tại vị trí của người vận hành | 5.8 | |
| 8.3 | Sự gắng sức | Tại các thiết bị điều khiển và trong khi vận chuyển Xem xét không thỏa đáng của giải phẫu về bàn tay/cánh tay hoặc bàn chân/chân trong khi thay chi tiết gia công hoặc dụng cụ | Mệt mỏi | 5.8 |
| 8.4 | Tư thế cơ thể | Sự rối loạn của hệ thống cơ xương | 5.8 | |
| 8.5 | Các hoạt động lặp lại | Mệt mỏi | 5.8 | |
| 8.6 | Tầm nhìn, ánh sáng cục bộ | Ảnh hưởng của độ chính xác và khả năng phán đoán của/cho các hoạt động bằng tay trong khi vận chuyển và cân chỉnh chi tiết gia công và sản phẩm vật liệu mài trong khi lắp/tháo, cài đặt, thay đổi sản phẩm vật liệu mài và bảo dưỡng tại các vị trí lắp/tháo và thay các sản phẩm vật liệu mài | Mệt mỏi Các mối nguy hiểm khác (như cơ khí, điện) là hậu quả của lỗi do con người | 5.8 |
| 9 | Mối nguy hiểm liên quan đến môi trường trong đó máy được sử dụng | |||
|
| Lỗi do con người | Sử dụng sai mục đích có thể thấy trước một cách hợp lý, Vận hành không đúng máy (thao tác bằng tay) Vận chuyển và chỉnh đặt không thích hợp chi tiết gia công và sản phẩm vật liệu mài Thiết kế không đủ không gian làm việc và/hoặc quá trình gia công Xem xét không thỏa đáng của giải phẫu về bàn tay/cánh tay hoặc bàn chân/chân Lắp đặt không đúng | Tất cả các mối nguy hiểm liệt kê ở trên | 5.2.6 7.2.4 7.2.11 |
| 10 | Kết hợp của các mối nguy hiểm | |||
| 10.1 | Lỗi nguồn điện | Rơi hoặc văng ra của các bộ phận máy đang chuyển động hoặc chi tiết gia công hoặc dụng cụ đã gá lắp hoặc các mảnh vỡ của chúng Lỗi của điều khiển dừng đối với các bộ phận đang chuyển động |
Nghiền Xé Va đập Cắt Cắt đứt Lôi vào Mắc kẹt Găm vào Đâm thủng Mài xát Trầy da | 5.9 5.11 |
| 10.2 | Sự phục hồi của nguồn năng lượng sau một gián đoạn | Các chuyển động không được điều khiển (gồm cả thay đổi về tốc độ) Khởi động không theo dự định/không mong muốn | 5.9 5.10 | |
| 10.3 | Lỗi hệ thống điều khiển | Rơi hoặc văng ra của các bộ phận máy đang chuyển động hoặc chi tiết gia công hoặc dụng cụ đã gá lắp Lỗi của điều khiển dừng đối với các bộ phận đang chuyển động Các chuyển động không được điều khiển (gồm cả thay đổi về tốc độ) Khởi động không theo dự định/không mong muốn Các sự cố nguy hiểm khác do thiết kế lỗi hoặc thiết kế kém hệ thống điều khiển Biến đổi của tốc độ dụng cụ (trong khi cài đặt) | 5.9 5.10 5.12 | |
| a Bảng 2 đề cập các mối nguy hiểm cụ thể cho các máy mài từ Bảng B.1 trong ISO 12100:2010, Phụ lục B. Số thứ tự các điều trong cột này cũng tham chiếu theo bảng đó. | ||||
5 Yêu cầu và/hoặc các biện pháp an toàn
5.1 Yêu cầu chung
5.1.1 Tổng quan
Máy mài phải tuân theo các yêu cầu và/hoặc các biện pháp an toàn của Điều 5 này. Đối với các mối nguy hiểm không được đề cập trong tiêu chuẩn này, máy mài phải được thiết kế phù hợp với các nguyên tắc của ISO 12100:2010, Điều 4 và 6.1.
Đối với hướng dẫn có liên quan tới việc giảm rủi ro thông qua thiết kế, xem ISO 12100:2010, 6.2; đối với các biện pháp bảo vệ an toàn, xem ISO 12100:2010, 6.3.
Người thiết kế phải xét đến các mối nguy hiểm có thể xảy ra trong suốt tuổi thọ của máy đối với người vận hành và những người khác phải tiếp cận vào vùng nguy hiểm trong các trường hợp chủ định sử dụng, bao gồm cả việc sử dụng sai mục đích có thể thấy trước một cách hợp lý (xem ISO 12100:2010, 3.23 và 3.24). Phải xem xét các mối nguy hiểm đối với cả hoạt động gia công và/hoặc các hoạt động đòi hỏi sự can thiệp của người vận hành và/hoặc những người khác (ví dụ như cài đặt, làm sạch, bảo dưỡng và sửa chữa). Phép phân tích hỏng hóc của các bộ phận máy, bao gồm hỏng hóc trong hệ thống điều khiển, là một phần của việc đánh giá rủi ro và hướng dẫn về vấn đề này được đưa ra trong TCVN 7384-1 (ISO 13849-1). Vì vậy, các yêu cầu độ tin cậy đối với các chức năng an toàn được định nghĩa là mức đặc tính (PL), phù hợp với TCVN 7384-1 (ISO 13849-1) (xem 5.12 b).
Tất cả các yêu cầu và/hoặc các biện pháp bảo vệ đưa ra trong Điều 5 này để áp dụng cho tất cả các nhóm máy mài, trừ trường hợp có viện dẫn cụ thể.
5.1.2 Các yêu cầu đối với các bộ phận bảo vệ cho tất cả các nhóm máy mài
5.1.2.1 Tổng quan
Các bộ phận bảo vệ phải phù hợp với ISO 14120. Các hệ thống cố định của các bộ phận bảo vệ cố định phải vẫn được gắn với các bộ phận bảo vệ hoặc với máy khi gỡ bỏ các bộ phận bảo vệ. Yêu cầu này không nhất thiết áp dụng cho các bộ phận bảo vệ cố định, ví dụ như bộ phận bảo vệ chỉ phải gỡ bỏ khi máy được thay mới hoàn toàn, khi các sửa chữa mở rộng nhiều hơn là cần thiết hoặc khi máy được tháo ra để chuyển sang vị trí khác.
5.1.2.2 Vị trí và an toàn
Theo các yêu cầu sau:
a) Chiều cao và vị trí: nếu các bộ phận bảo vệ được lắp trên sàn (ví dụ hàng rào bao quanh) thì chúng phải được cố định một cách vững chắc và có chiều cao tối thiểu là 1,4 m. Khoảng cách đến vùng nguy hiểm phải phù hợp với ISO 13857:2008, Bảng 2. Bất kỳ khe hở giữa đáy bộ phận bảo vệ và sàn không được vượt quá 180 mm.
b) Để bảo vệ các bộ truyền động, tiếp cận đến các bộ truyền động công suất cơ khí (ví dụ xích và đĩa xích, các bánh răng, trục vít me, vít me dẫn tiến và vít me đai ốc-bi, ...) phải được ngăn chặn, như bằng sử dụng các bộ phận bảo vệ cố định hoặc bằng thiết kế, sao cho khu vực nguy hiểm là không thể tiếp cận được.
Nếu đòi hỏi phải tiếp cận đến các bộ phận này trong quá trình vận hành bình thường máy, thì phải có các bộ phận bảo vệ di động được khóa liên động (xem c)).
CHÚ THÍCH: Các bộ phận bảo vệ di động được khóa liên động không phải lúc nào cũng cần thiết đối với các máy nhóm 1 và 2.
c) Khóa liên động của các bộ phận bảo vệ
1) Các bộ phận bảo vệ di động được phải được khóa liên động với chốt bảo vệ hoặc không cần tới chốt bảo vệ phù hợp với ISO 14119 nhằm ngăn chặn việc tiếp cận đến các chuyển động nguy hiểm của máy. Việc lựa chọn các thiết bị khóa liên động phải phù hợp với ISO 14119:1998, Điều 7;
2) Khi xuất hiện lỗi của thiết bị khóa liên động, như chức năng và/hoặc các bố trí, phải dẫn đến kết quả dừng loại 1 của máy phù hợp với IEC 60204-1:2009, 9.2.2;
3) Đối với các yêu cầu có liên quan tới chức năng an toàn của các thiết bị khóa liên động gắn trên các bộ phận bảo vệ di động được, xem 5.12 b) 1).
5.2 Các yêu cầu riêng xuất phát từ các mối nguy hiểm cơ khí được nhận biết trong Bảng 2, số thứ tự 1.1 - 1.4, 1.6 và 1.7
5.2.1 Nhóm máy 1, các máy mài điều khiển bằng tay không có các trục được vận hành bằng năng lượng và không có điều khiển số
Theo các yêu cầu sau:
a) Các máy phải được trang bị biện pháp ngăn ngừa tiếp xúc không theo dự định với sản phẩm vật liệu mài. Toàn bộ sản phẩm vật liệu mài phải được che chắn bảo vệ trừ phần cần thiết để hở ra để làm việc.
Yêu cầu này thường được đáp ứng bởi bộ phận bảo vệ sản phẩm vật liệu mài phù hợp với 5.13.2.1.
b) Trong trường hợp việc định vị thô có điều khiển bằng công suất, tốc độ của các trục lớn nhất phải là 2 m/min. Điều khiển các chuyển động phải được tác động bằng một thiết bị giữ-để chạy (xem 5.12 b) 2)) hoặc bằng một núm xoay điện tử (xem 5.12 b) 3)).
c) Đối với lắp và tháo hoặc đo lường, phải có dụng cụ bổ sung hoặc thực hiện các biện pháp phòng ngừa để ngăn chặn tiếp xúc với sản phẩm vật liệu mài đang quay, trừ đối với các máy mà chi tiết gia công được dẫn hướng bằng tay. Việc này có thể bao gồm một hoặc nhiều biện pháp sau:
1) Dừng chuyển động quay của sản phẩm vật liệu mài;
2) Trang bị các bộ phận bảo vệ an toàn;
3) Định vị trí sản phẩm vật liệu mài sao cho nó không thể bị chạm tới bởi người vận hành (về các khoảng cách an toàn, khoảng cách giữa sản phẩm vật liệu mài và chi tiết gia công ít nhất là 200 mm).
CHÚ THÍCH: Sai lệch so với ISO 13857 do khu vực gia công nhỏ.
d) Các máy mài cắt đứt đối với cắt đứt dẫn hướng cơ khí phù hợp với Bảng 1, số thứ tự 1.3 phải có các biện pháp để đảm bảo rằng bánh mài cắt đứt tự động chuyển động quay lại vị trí ban đầu của nó sau khi sử dụng. Nó phải ở nguyên vị trí đó và được che chắn bảo vệ một cách tự động chống lại sự tiếp xúc cho đến khi bánh mài cắt đứt đã dừng hẳn.
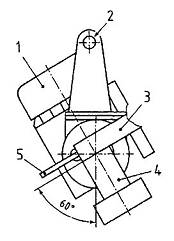
e) Các máy mài khung xoay và các máy mài cắt đứt khung xoay phù hợp với Bảng 1, số thứ tự 1.4 phải được trang bị một đối trọng cân bằng điều chỉnh được sao cho ụ mài chuyển động ra xa khỏi chi tiết gia công sau khi nhả cần điều khiển.
f) Ở các máy mài khung xoay dùng để mài dẫn hướng bằng tay, ụ mài chỉ có thể xoay được góc đến 45° kể từ trục thẳng đứng về hai phía (xem Hình 6).
g) Ở các máy mài cắt đứt khung xoay dùng để cắt đứt dẫn hướng bằng tay, ụ mài chỉ có thể xoay được góc đến 60° kể từ trục thẳng đứng về hai phía (xem Hình 7).

CHÚ THÍCH
1 động cơ
2 cơ cấu treo
3 bộ phận bảo vệ
4 trục xoay
5 bánh mài
Hình 6 - Máy mài khung xoay

CHÚ THÍCH
1 động cơ
2 cơ cấu treo
3 bộ phận bảo vệ
4 trục xoay
5 bánh mài cắt đứt
Hình 7 - Máy mài cắt đứt khung xoay
h) Các máy mài kiểu băng hoặc kiểu bệ đỡ phù hợp với Bảng 1, số thứ tự 1.1 và 1.2 phải có một tấm che trong suốt dùng cho việc bảo vệ mặt và đặc biệt là các mắt của người vận hành chống lại các hạt mái nhỏ và các tia lửa mài.
Các tấm che này phải có độ bền đủ chịu va đập và mài xước sao cho chúng không bị vỡ hoặc bị nứt trong trường hợp bị tải va đập, như trong khi vận chuyển các chi tiết gia công, và sao cho sự mài xước bề mặt gây ra bởi hạt đá mài bị bắn ra và các tia lửa mài được giảm thiểu. Ví dụ về loại vật liệu làm tấm che thích hợp là polycarbonate.
Tấm che phải điều chỉnh được và có kích thước đủ để sao cho người vận hành ở trong các vị trí làm việc bình thường chỉ có thể quan sát nguyên công mài thông qua tấm che này. Tấm che không được gây cản trở việc dẫn hướng và kẹp các chi tiết gia công.
Các kích thước tối thiểu của tấm che được cho trong A.3.4.
i) Ở nhóm máy mài 1, việc khởi động không theo dự định của trục chính bánh mài và, nếu có, của trục dùng để định vị thô phải được ngăn ngừa phù hợp với TCVN 7300:2003 (ISO 14118:2000), Điều 6.
j) Trục chính bánh mài có thể được vận hành nếu một bộ phận bảo vệ sản phẩm vật liệu mài phù hợp với 5.13.2.1 được trang bị và tốc độ chu vi của sản phẩm vật liệu mài bị giới hạn đến các giá trị v ≤ 50 m/s. Đối với việc giám sát tốc độ trục chính được làm giảm của trục chính bánh mài, xem 5.12 b) 5). Chuyển động quay của trục chính chỉ được kích hoạt bằng tay bởi một thiết bị điều khiển (như một nút khởi động) cung cấp cho mục đích đó (xem 5.12 b) 14)).
5.2.2 Nhóm máy 2, các máy mài điều khiển bằng tay với các trục được vận hành bằng năng lượng và, nếu thích hợp, với khả năng điều khiển số hạn chế
Theo các yêu cầu sau:
a) Bảo vệ chống lại tiếp xúc với các sản phẩm vật liệu mài
Các máy phải được trang bị biện pháp ngăn ngừa tiếp xúc không theo dự định với sản phẩm vật liệu mài. Toàn bộ sản phẩm vật liệu mài phải được che chắn bảo vệ trừ phần cần thiết để hở ra để làm việc.
Yêu cầu này thường được đáp ứng bởi bộ phận bảo vệ sản phẩm vật liệu mài phù hợp với 5.13.2.1.
b) Tiếp cận vào khu vực gia công
Máy mài nhóm 2 - trừ đối với các máy công cụ với các kích thước chi tiết gia công ≤ 300 mm - phải được trang bị các bộ phận bảo vệ cố định và/hoặc di động được ở phía sau và các bên của khu vực gia công ngăn ngừa tiếp cận vào các khu vực nguy hiểm, bao gồm cả điểm gia công, và sự văng ra của chất lỏng gia công kim loại từ khu vực gia công. Phải tuân theo các khoảng cách tối thiểu quy định trong ISO 13857.
c) Việc chạm tới các điểm mắc kẹt và vướng mắc tại các bộ phận đang quay trong khu vực gia công, như tại các mâm cặp, chi tiết gia công, phải được ngăn ngừa bằng các bộ phận bảo vệ cố định và/hoặc di động được.
d) Các điểm xé và nghiền bên ngoài khu vực gia công, như ở giữa bàn máy chuyển động tịnh tiến qua lại và các bộ phận máy tĩnh tại (gồm cả các tủ điện) và tại các công tắc chuyển động qua lại (như trên các máy mài phẳng) phải được ngăn ngừa bằng thiết kế hoặc được che chắn bảo vệ an toàn.
e) Đối với các can thiệp bằng tay, như tháo và lắp hoặc đo lường, dụng cụ bổ sung hoặc các biện pháp phòng ngừa phải được cung cấp hoặc thực hiện để ngăn ngừa sự tiếp xúc với sản phẩm vật liệu mài đang quay. Việc này có thể bao gồm một hoặc nhiều nội dung sau:
1) Dừng chuyển động quay của sản phẩm vật liệu mài;
2) Trang bị các bộ phận bảo vệ an toàn tự động;
3) Định vị trí sản phẩm vật liệu mài sao cho nó không thể bị chạm tới bởi người vận hành (về các khoảng cách an toàn, khoảng cách giữa sản phẩm vật liệu mài và chi tiết gia công ít nhất là 200 mm).
CHÚ THÍCH: Sai lệch so với ISO 13857 do khu vực gia công nhỏ.
f) Chế độ vận hành an toàn
Chỉ cho phép chế độ MSO 0 phù hợp với 5.2.7.2. Sai khác so với 5.2.7.2 c), tốc độ trục được làm giảm của chuyển động tịnh tiến qua lại dọc theo bàn máy có thể tối đa bằng 25 m/min ở các máy mài phẳng, nếu chỉ tồn tại duy nhất một mối nguy hiểm đánh lửa.
g) Mối nguy hiểm của việc bị bẫy vào, mắc kẹt và va đập do chuyển động quay của các tay quay bởi nguồn công suất phải được ngăn ngừa, ví dụ bằng sự thoát ra tự động hoặc bằng sử dụng các tay quay đặc trơn (không có các nan hoa) với các chốt hoặc lò xo để chốt vị trí an toàn.
5.2.3 Nhóm máy 3, các máy mài điều khiển số
5.2.3.1 Tiếp cận vào khu vực gia công
Phải trang bị các bộ phận bảo vệ để giảm nhẹ các rủi ro được liệt kê ở Bảng 2 (vướng mắc, nghiền, xé, v.v) bằng việc ngăn ngừa tiếp cận vào các bộ phận nguy hiểm của máy. Hướng dẫn chung để chọn lựa các bộ phận bảo vệ an toàn, ở đó các mối nguy hiểm từ các bộ phận đang chuyển động không thể tránh được bằng thiết kế được cho trong ISO 12100:2010, 6.3.2, 6.3.3. Đối với các tính chất của các bộ phận bảo vệ để giảm thiểu mối nguy hiểm của việc văng ra, xem 5.13.
5.2.3.2 Yêu cầu riêng đối với các bộ phận bảo vệ
Các yêu cầu riêng đối với các bộ phận bảo vệ cho các máy nhóm 3 như sau:
a) Khóa liên động của các bộ phận bảo vệ
1) Tất cả các bộ phận bảo vệ mà qua nó tiếp cận thường xuyên vào chuyển động nguy hiểm được yêu cầu trong khi vận hành phải được thiết kế là các bộ phận bảo vệ di động được khóa liên động (cũng xem 5.1.2.2 c)). Việc mở một bộ phận bảo vệ di động được hoặc sự kích hoạt một thiết bị bảo vệ phải gây ra các chuyển động nguy hiểm để dừng lại và chuyển động thêm nữa sẽ được ngăn chặn (xem TCVN 7300 (ISO 14118)). Nếu các bộ phận bảo vệ di động được đưa ra tiếp cận vào khu vực gia công và các mối nguy hiểm bởi các chuyển động đi kèm theo phát sinh, chúng phải được trang bị bổ sung khóa liên động. Phải tính đến các biện pháp để giảm thiểu sự thất bại có thể xảy ra của thiết bị khóa liên động (xem ISO 14119:1998, các Điều 5 và Điều 7).
2) Khi người có thể tiếp cận toàn bộ cơ thể hoặc có thể vẫn ở trong khu vực nguy hiểm mà người vận hành không nhìn thấy, phải trang bị biện pháp để ngăn chặn khởi động lại, như dụng cụ bảo vệ cảm biến sự có mặt hoặc sự ngăn chặn đóng kín cửa bằng các chìa khóa liên kết.
CHÚ THÍCH: Chìa khóa liên kết là một thiết bị khóa liên động cho phép mở cửa sau khi kích hoạt chức năng dừng đối với các chuyển động nguy hiểm bằng chìa khóa của nó.
b) Các bộ phận bảo vệ được vận hành bằng năng lượng
1) Phải áp dụng các yêu cầu của 5.2.3.2 a).
2) Nếu các bộ phận bảo vệ vận hành bằng công suất cho người vận hành tiếp cận được trang bị, thì chúng phải phù hợp với ISO 12100:2010, 6.3.3.2.6 và phải được trang bị một thiết bị bảo vệ để tránh các mối nguy hiểm xé và nghiền ở cạnh phía trước. Nếu các cạnh cảm biến áp suất được trang bị, chúng phải được lắp trên chiều dài tổng của cạnh phía trước hoặc đến một độ cao 2,50 m so với sàn hoặc bệ, nếu chiều cao của bộ phận bảo vệ lớn hơn 2,50 m. Cạnh cảm biến áp suất phải phù hợp với ISO 13856-2. Chức năng an toàn của bộ phận bảo vệ phải tuân theo 5.12 b) 9).
3) Lực để ngăn cản cửa đóng lại không được vượt quá 75 N và động năng của bộ phận bảo vệ không được vượt quá 4 J. Khi bộ phận bảo vệ được lắp cùng với một thiết bị bảo vệ mà nó tự động kích hoạt việc mở lại của bộ phận bảo vệ, lực này tối đa có thể bằng 150 N và động năng tối đa bằng 10 J (xem ISO 14120:2002, 5.2.5.2). Các yêu cầu này chỉ áp dụng với giả thiết rằng các cạnh phía trước có một bề rộng tối thiểu bằng 8 mm và rằng không xảy ra chuyển động xé. Tại cạnh bên nằm giữa bộ phận bảo vệ di động được và vỏ máy, bề rộng khe hở không được vượt quá 4 mm.
4) Nếu các yêu cầu của b) 2 và b) 3) không thể đáp ứng thì phải có thiết bị bảo vệ vị trí cố định khác, ví dụ như một thiết bị điều khiển bằng hai tay.
5) Không thể khởi động được chuyển động của máy cho đến khi bộ phận bảo vệ được đóng hoàn toàn. Việc đóng bộ phận bảo vệ có thể được sử dụng làm một lệnh khởi động cho máy, khi hệ thống bộ phận bảo vệ đáp ứng các yêu cầu của ISO 12100:2010, 6.3.3.2.5.
6) Các yêu cầu này chỉ phải áp dụng cho các bộ phận bảo vệ như đã định nghĩa trong ISO 12100:2010, 3.27.
5.2.3.3 Yêu cầu riêng bổ sung
Các yêu cầu riêng bổ sung cho các máy nhóm 3 như sau:
a) Tiếp cận vào khu vực gia công là được phép theo các yêu cầu ở 5.2.7 đối với các chế độ vận hành máy.
b) Các bộ phận bảo vệ cũng phải được thiết kế để chứa và/hoặc ngăn chặn sự phơi ra trước các mảnh vỡ mài, các chất lỏng và các bộ phận có thể bị văng ra (cũng xem 5.13 và 5.15 b)).
c) Bảo vệ tiếp xúc
Đối với các can thiệp bằng tay trong chế độ MSO 1 như tháo và lắp hoặc đo lường, dụng cụ bổ sung hoặc các biện pháp phòng ngừa phải được cung cấp hoặc thực hiện để ngăn ngừa sự tiếp xúc với sản phẩm vật liệu mài đang quay. Việc này có thể bao gồm nội dung sau:
1) Dừng chuyển động quay của sản phẩm vật liệu mài;
2) Trang bị một bộ phận bảo vệ an toàn tự động;
3) Định vị trí sản phẩm vật liệu mài sao cho nó không thể bị chạm tới bởi người vận hành (về các khoảng cách an toàn xem trong ISO 13857).
d) Chế độ vận hành an toàn
MSO 1 và MSO 2 là bắt buộc đối với nhóm máy này. MSO 0, MSO 3 và MSO bảo dưỡng là tùy chọn.
e) Đối với chế độ MSO 0, phải áp dụng các yêu cầu cho các máy nhóm 2 (xem 5.2.2).
5.2.4 Thiết bị kẹp dụng cụ
Các thiết bị kẹp dụng cụ phải được thiết kế sao cho không tự nới lỏng lực kẹp chặt trong khi gia công bao gồm cả tăng tốc và giảm tốc.
Đối với các phương pháp kẹp chặt các sản phẩm vật liệu mài và các yêu cầu an toàn cho các thiết bị kẹp dụng cụ, xem Phụ lục D và Phụ lục E.
5.2.5 Kẹp chi tiết gia công
5.2.5.1 Quy định chung
Các máy mài phải được trang bị các thiết bị kẹp chặt, giữ hoặc dẫn hướng các chi tiết gia công để ngăn ngừa chúng không chuyển động ngược lại. Việc mở và đóng các thiết bị kẹp chi tiết gia công dùng để thay chi tiết gia công bằng tay có thể thực hiện ở tất cả các chế độ vận hành an toàn.
5.2.5.2 Giá đỡ chi tiết gia công
a) Các máy mài không có thiết bị kẹp chi tiết gia công (so sánh Bảng 1, số thứ tự 1.1 và 1.2) phải được trang bị các giá đỡ chi tiết gia công có khả năng điều tiết một cách an toàn các lực sinh ra.
b) Các giá đỡ chi tiết gia công phải điều chỉnh được đối với sự mài mòn của sản phẩm vật liệu mài sao cho khoảng cách giữa sản phẩm vật liệu mài và giá đỡ chi tiết gia công sẽ không vượt quá 2 mm. Nó ít nhất phải có cùng bề rộng với sản phẩm vật liệu mài mà theo đó để thiết kế máy mài và nó phải là kết cấu chắc chắn và được gắn một cách vững chắc vào máy mài.
5.2.5.3 Thiết bị kẹp chi tiết gia công vận hành bằng năng lượng
a) Các máy mài có các thiết bị kẹp vận hành bằng năng lượng phải được trang bị sao cho trong trường hợp các tổn thất năng lượng kẹp hoặc nếu lực khởi động của thiết bị kẹp giảm xuống dưới một giá trị tối thiểu cài đặt trước, thì quá trình gia công được ngăn chặn hoặc dừng máy loại 1 phù hợp với IEC 60204-1 phải được kích hoạt. Đối với các thiết bị kẹp chi tiết gia công đang quay, sự quay của trục chính kẹp gia công vận hành bằng năng lượng không có hoặc có lực khởi động giảm được cho phép để định vị chi tiết gia công trong các trường hợp ngoại lệ, nếu không có mối nguy hiểm gây ra bởi sự văng ra của chi tiết gia công. Tốc độ trục chính giảm bớt của trục chính kẹp gia công đối với chế độ vận hành liên quan không được vượt quá.
b) Hiệu quả của chức năng khởi động phải được giám sát, ví dụ như giám sát áp lực kẹp và/hoặc hành trình kẹp (xem 5.12 b) 7)).
c) Ở các thiết bị kẹp chi tiết gia công đang quay, việc mở thiết bị kẹp không thể thực hiện được với trục chính kẹp gia công đang quay (xem 5.12 b) 7)).
d) Đối với việc lắp bằng tay, phải tránh tổn thương của các ngón tay trong quá trình vận hành thiết bị kẹp [cài đặt trước hành trình mỏ kẹp tối đa < 4 mm (xem ISO 13857)].
e) Các thiết bị kẹp chi tiết gia công đang quay phải được ghi nhãn rõ ràng với tốc độ cho phép tối đa của chúng.
f) Tình trạng của thiết bị kẹp phải được báo hiệu cho người vận hành.
Trong trường hợp có lỗi hỏng hoặc gián đoạn của năng lượng kẹp, chức năng kẹp phải giữ được hoặc thiết kế của máy mài hoặc bộ phận bảo vệ phải đảm bảo rằng không bộ phận nào có thể bị văng ra.
5.2.6 Các trục thẳng đứng hoặc nghiêng dưới tác dụng của trọng lực
Phải đưa ra các biện pháp để ngăn ngừa chuyển động nguy hiểm của các trục thẳng đứng hoặc nghiêng dưới tác dụng của trọng lực (ví dụ hệ thống phanh). Đối với các yêu cầu liên quan đến kiểm soát chức năng an toàn cho việc phòng ngừa sự rơi xuống không mong muốn của các trục thẳng đứng hoặc nghiêng, xem 5.12 b) 13).
5.2.7 Các chế độ vận hành máy
5.2.7.1 Lựa chọn chế độ
a) Các chế độ vận hành an toàn là bắt buộc hoặc tùy chọn đối với máy mài cụ thể được cho trong 5.2.2 f) và 5.2.3.3 d).
b) Để lựa chọn một chế độ
1) Việc chọn một chế độ vận hành an toàn phải là bằng công tắc nút bấm, mã truy cập hoặc bằng phương tiện bảo đảm tương tự khác và chỉ được cho phép từ phía ngoài khu vực gia công. Chế độ đã chọn phải nhìn thấy được một cách dễ dàng (như bằng sự hiển thị hoặc bằng vị trí của công tắc lựa chọn). Việc chọn một chế độ không được kích hoạt một tình huống nguy hiểm. Nếu sử dụng một công tắc lựa chọn chế độ có thể khóa được thì nó phải phù hợp với ISO 12100:2010, 6.2.11.10 và IEC 60204-1:2009, 9.2.3.
2) Cơ cấu lựa chọn chế độ và các sắp xếp hệ thống điều khiển liên quan phải đảm bảo rằng chỉ một chế độ được chọn và được thực hiện chức năng ở bất kỳ một thời điểm nào. Đối với các yêu cầu về chức năng an toàn cho lựa chọn chế độ, xem 5.12 b) 10).
3) Đối với việc lựa chọn chế độ MSO 3 (xem 5.2.7.5), một cơ cấu tách riêng là cần thiết, nó phải đáp ứng các yêu cầu ở 1) và 2).
5.2.7.2 MSO 0: Chế độ bằng tay
Khi chế độ MSO 0 được chọn và các bộ phận bảo vệ di động được được mở ra hoặc khi máy không yêu cầu các bộ phận bảo vệ chống lại các mối nguy hiểm cơ khí như quy định trong 5.2, thì áp dụng các yêu cầu sau:
a) Trục chính bánh mài có thể được vận hành nếu một bộ phận bảo vệ sản phẩm vật liệu mài phù hợp với 5.13.2.1 được cung cấp và vận tốc dài của sản phẩm vật liệu mài được giới hạn đến giá trị v ≤ 50 m/s. Đối với giám sát tốc độ giảm bớt của trục chính bánh mài, xem 5.12 b) 5). Chuyển động quay của trục chính chỉ được kích hoạt bằng tay bằng một cơ cấu điều khiển (như một nút bấm khởi động) dùng cho mục đích đó (xem 5.12 b) 14));
b) Chuyển động chạy dao giữa sản phẩm vật liệu mài và chi tiết gia công phải tác động bằng tay. Tối đa 2 chuyển động trục cũng có thể được điều khiển số, có thể được kích hoạt đồng thời bằng một nút bấm khởi động (xem 5.12 b) 14)) trong khi trục chính bánh mài đang quay. Các chuyển động vào dao của tất cả các trục khác có thể được tác động bằng tay bằng các tay quay, vận hành bằng năng lượng bằng các núm xoay điện tử (xem 5.12 b) 3)) hoặc bằng các thiết bị giữ-để-chạy (xem 5.12 b) 2));
c) Các trục phải chuyển động ở tốc độ giảm bớt như sau (xem 5.12 b) 6)):
1) Tối đa 2 m/min,
2) Tối đa 5 m/min đối với hành trình lớn hơn 1 m cho đến 5 m, và
3) Tối đa 10 m/min đối với hành trình lớn hơn 5 m kết hợp với một thiết bị bảo vệ (ví dụ như một thiết bị điều khiển hai tay hoặc một tấm đệm nhạy áp) đảm bảo người vận hành đang đứng ở vị trí an toàn;
d) Vận tốc dài của trục chính kẹp gia công phải được giới hạn đến giá trị tối đa là 0,7 m/s đối với các thiết bị kẹp hoặc các chi tiết gia công có đường kính lên đến 500 mm. Đối với các đường kính lớn hơn, việc giới hạn vận tốc dài đến giá trị tối đa là 1,3 m/s phải được áp dụng, nhưng không lớn hơn 50 min-1 ở tốc độ giảm bớt. Đối với việc giám sát tốc độ giảm bớt của trục chính kẹp gia công, xem 5.12 b) 5).
CHÚ THÍCH: Các giá trị đối với tốc độ giảm bớt của lượng chạy dao, quay và dài cho trong a), c) và d) là các giá trị tối đa. Trong khuôn khổ của việc đánh giá rủi ro, chúng được giảm bớt phù hợp với tình trạng nguy hiểm cụ thể của máy, nếu thích hợp.
5.2.7.3 MSO 1: Chế độ tự động
Khi chế độ MSO 1 được chọn và các bộ phận bảo vệ di động được được mở ra, thì áp dụng các yêu cầu sau:
a) Không có chuyển động của các chi tiết máy phải có thể thực hiện được, và tất cả các trục và các trục chính phải dừng an toàn (xem 5.12 b) 12)) hoặc dừng vận hành an toàn (xem 5.12 b) 11)). Ngoại trừ các chuyển động sau:
1) Để kẹp chi tiết gia công bằng tay, xem 5.2.5.
2) Chuyển động quay của (các) trục chính mang phôi phải được điều khiển bằng điều khiển giữ-để-chạy [xem 5.12 b) 2)] và không được vượt quá 5 min-1 và vận tốc dài không được vượt quá 5 m/min đối với thiết bị kẹp gia công tiêu chuẩn lớn nhất đã mô tả trong hướng dẫn sử dụng. Tốc độ giảm bớt phải được giám sát [xem 5.12 b) 5)].
3) Trục chính bánh mài có thể được vận hành, với điều kiện là
- Vận tốc dài của các sản phẩm vật liệu mài phải được giới hạn đến giá trị v ≤ 50 m/s, ở đó các yêu cầu của 5.2.3.3 c) (bảo vệ tiếp xúc) và 5.13.2.1 (bộ phận bảo vệ sản phẩm vật liệu mài) được đáp ứng, hoặc
- Vận tốc dài của các sản phẩm vật liệu mài phải được giới hạn đến giá trị v ≤ 16 m/s, ở đó bộ phận bảo vệ sản phẩm vật liệu mài theo 5.13.2.1 không được trang bị và các yêu cầu của 5.2.3.3 c) không đáp ứng.
Đối với việc giám sát tốc độ giảm bớt của trục chính bánh mài, xem 5.12 b) 5).
CHÚ THÍCH: Đối với việc làm sạch bằng tay các chỗ mảnh vỡ của sản phẩm vật liệu mài bằng đá sửa, yêu cầu đối với bảo vệ tiếp xúc có thể được đáp ứng bằng cách sử dụng trang bị bảo vệ cá nhân là đối tượng cho kết quả của đánh giá rủi ro, nếu thích hợp (xem Điều 7).
Khi chế độ MSO 1 được chọn và các bộ phận bảo vệ di động được đóng lại, tất cả các chuyển động đã lập trình của các chi tiết máy là có thể thực hiện được và máy chỉ được khởi động hoặc khởi động lại bằng sự kích hoạt của thiết bị khởi động. Sự giám sát tốc độ cho phép tối đa của trục chính bánh mài phải là chủ động (xem 5.12 b) 5)); (ngoại trừ: môtơ không đồng bộ vận hành bằng điện lưới).
5.2.7.4 MSO 2: Chế độ cài đặt
Chế độ vận hành này không dự định dùng cho gia công.
Khi chế độ MSO 2 được chọn và các bộ phận bảo vệ di động được được mở ra, thì áp dụng các yêu cầu sau:
a) Trục chính bánh mài có thể được vận hành bằng sử dụng một thiết bị khởi động, với điều kiện là
- Vận tốc dài của các sản phẩm vật liệu mài phải được giới hạn đến giá trị v ≤ 50 m/s, ở đó các yêu cầu của 5.2.3.3 c) (bảo vệ tiếp xúc) và 5.13.2.1 (bộ phận bảo vệ sản phẩm vật liệu mài) được đáp ứng, hoặc
- Vận tốc dài của các sản phẩm vật liệu mài phải được giới hạn đến giá trị v ≤ 16 m/s, ở đó bộ phận bảo vệ sản phẩm vật liệu mài theo 5.13.2.1 không được trang bị và các yêu cầu của 5.2.3.3 c) không đáp ứng.
Đối với việc giám sát tốc độ giảm bớt của trục chính bánh mài, xem 5.12 b) 5).
b) Các trục phải chuyển động ở một tốc độ giảm bớt như sau (xem 5.12 b) 6)):
1) Tối đa 2m/min;
2) Tối đa 5 m/min đối với hành trình lớn hơn 1 m cho đến 5 m;
3) Tối đa 10 m/min đối với hành trình lớn hơn 5 m kết hợp với một thiết bị bảo vệ (ví dụ như một thiết bị điều khiển hai tay hoặc một tấm đệm nhạy áp) đảm bảo người vận hành đang đứng ở vị trí an toàn.
Việc điều khiển các chuyển động phải được tác động bằng một thiết bị giữ-để-chạy (xem 5.12 b 2)) hoặc bằng một núm xoay điện tử (xem 5.12 b) 3)).
Đối với thiết bị giữ-để-chạy hoặc núm xoay điện tử, PLr thấp hơn so với đã quy định trong 5.12 b) là đủ, nếu có một cơ hội hiện thực tránh được mối nguy hiểm. Việc này có thể được giả thiết, nếu tốc độ giảm bớt của các trục bị giới hạn đến một giá trị thấp hơn 0,5 m/min (xem 5.12 b) 6)).
c) Việc giới hạn tốc độ của trục chính kẹp gia công vận hành bằng năng lượng đến giá trị n ≤ 50 min-1 nhưng không lớn hơn 1,3 m/s, được đo tại đường kính của thiết bị kẹp hoặc, nếu đường kính chi tiết gia công lớn hơn, thì đo tại đường kính chi tiết gia công lớn nhất. Đối với việc giám sát tốc độ giảm bớt của trục chính kẹp gia công, xem 5.12 b) 5). Việc điều khiển chuyển động phải được tác động bằng một thiết bị giữ-để-chạy (xem 5.12 b) 2)) hoặc bằng một núm xoay điện tử (xem 5.12 b) 3)) hoặc bằng một nút bấm khởi động kết hợp với một cơ cấu cho phép kích hoạt (xem 5.12 b) 4)).
Thiết bị giữ-để-chạy cũng có thể được thiết kế là một công tắc dùng chân hai nấc với các lý do về ecgônômi (xem 5.12 b) 2)).
Đối với thiết bị giữ-để-chạy hoặc núm xoay điện tử, PLr thấp hơn so với đã quy định trong 5.12 b) là đủ, nếu có một cơ hội hiện thực là tính khốc liệt của tổn thương mong muốn là thấp. Việc này có thể được giả thiết, nếu không tồn tại các mối nguy hiểm do mắc kẹt, vướng mắc, lôi vào, v.v.
CHÚ THÍCH: Các giá trị đối với tốc độ giảm bớt của lượng chạy dao, quay và dài cho trong a) đến c) là các giá trị tối đa. Trong khuôn khổ của việc đánh giá rủi ro, chúng được rút gọn phù hợp với tình trạng nguy hiểm cụ thể của máy, nếu thích hợp.
d) Khi tiếp cận được cho vào một vùng nguy hiểm từ nhiều hơn một vị trí thông qua (các) bộ phận bảo vệ di động được và một phần của vùng nguy hiểm không quan sát thấy được từ vị trí của người vận hành, phải không cho phép có chuyển động trừ khi các bộ phận bảo vệ còn lại ở các vùng nguy hiểm này đóng lại.
e) Nếu máy được trang bị các thiết bị vận chuyển dùng để tháo/lắp chi tiết gia công và dụng cụ cắt:
1) Để cài đặt thiết bị vận chuyển, áp dụng các yêu cầu quy định ở b) hoặc các yêu cầu trong ISO 10218-1:2006, 5.7.3 và 5.7.4, dù là thiết bị vận chuyển chỉ có thể lập trình được trong ít hơn ba trục;
2) Nếu tốc độ các trục không thể vượt quá các giới hạn (ví dụ trên các trục khí nén), không yêu cầu việc giám sát tốc độ giảm bớt theo 5.12 b) 6) cùng với bộ phận bảo vệ mở. Chuyển động vận hành bằng năng lượng chỉ được kích hoạt dưới sự điều khiển của một cơ cấu cho phép kích hoạt đi kèm với một thiết bị giữ-để-chạy để cho phép sự chuyển động theo từng bước một. Khi yêu cầu chuyển động liên tục, cơ cấu cho phép kích hoạt và thiết bị giữ-để-chạy phải ở một khoảng cách an toàn so với vị trí nguy hiểm để giữ cả hai tay nằm ngoài vùng nguy hiểm (xem ISO 13855). Đối với các yêu cầu liên quan đến các chức năng an toàn, ví dụ điều khiển giữ-để-chạy và cơ cấu cho phép kích hoạt, xem 5.12 b) 2) và 4). Không được phát sinh chuyển động nguy hiểm từ việc khởi động bất kỳ cảm biến hoặc thiết bị phản hồi nào;
3) Nếu sử dụng rôbốt để tháo/lắp chi tiết gia công thì phải áp dụng các yêu cầu của ISO 10218-1.
Khi chế độ MSO 2 được chọn và các bộ phận bảo vệ di động được đóng lại, có thể thực hiện tất cả các chuyển động của các chi tiết máy. Sự giám sát tốc độ cho phép tối đa của trục chính bánh mài phải là chủ động (xem 5.12 b) 5)); (ngoại trừ: môtơ không đồng bộ vận hành bằng điện lưới).
5.2.7.5 MSO 3: Chế độ tùy chọn đặc biệt dùng cho sự can thiệp bằng tay dưới chế độ các điều kiện vận hành bị hạn chế
Chế độ vận hành này chỉ là dự phòng, khi tiếp cận cho người vận hành vào vùng nguy hiểm là tuyệt đối cần thiết, và với điều kiện là tất cả các biện pháp an toàn thích hợp áp dụng dưới các khía cạnh về công nghệ và có tính khả thi phù hợp với tình trạng của kỹ thuật được thực hiện. Tiếp cận cho người vận hành có thể là tuyệt đối cần thiết trong trường hợp sản xuất các hạng mục đơn lẻ và loạt sản xuất nhỏ với độ chính xác và tính phức tạp cao. Hơn nữa, chạy chương trình tự động với các bộ phận bảo vệ đã mở là được yêu cầu đối với thử nghiệm chương trình đầu tiên với chi tiết gia công phức tạp và các bố trí dụng cụ cắt.
Nếu chế độ MSO 3 được chọn và các bộ phận bảo vệ được mở ra, các yêu cầu theo 5.2.7.4 (MSO 2: chế độ cài đặt) áp dụng cho vận hành bằng tay, và các yêu cầu sau áp dụng để thực hiện các chu trình được lập trình:
a) Trục chính bánh mài có thể được vận hành, với điều kiện là
- Vận tốc dài của các sản phẩm vật liệu mài phải được giới hạn đến giá trị v ≤ 50 m/s, ở đó các yêu cầu của 5.2.3.3 c) (bảo vệ tiếp xúc) và 5.13.2.1 (bộ phận bảo vệ sản phẩm vật liệu mài) được đáp ứng, hoặc
- Vận tốc dài của các sản phẩm vật liệu mài phải được giới hạn đến giá trị v ≤ 16 m/s, ở đó bộ phận bảo vệ sản phẩm vật liệu mài theo 5.13.2.1 không được trang bị và các yêu cầu của 5.2.3.3 c) không đáp ứng.
Đối với việc giám sát tốc độ giảm bớt của trục chính bánh mài, xem 5.12 b) 5).
b) Các trục phải chuyển động ở một tốc độ giảm bớt như sau (xem 5.12 b) 6)):
1) Tối đa 2 m/min;
2) Tối đa 5 m/min đối với hành trình lớn hơn 1 m.
c) Vận tốc dài của trục chính kẹp gia công phải được giới hạn đến giá trị tối đa là 0,7 m/s đối với các thiết bị kẹp hoặc các chi tiết gia công có đường kính lên đến 500 mm. Đối với các đường kính lớn hơn, việc giới hạn vận tốc dài đến giá trị tối đa là 1,3 m/s phải được áp dụng, nhưng không lớn hơn 50 min-1 ở tốc độ giảm bớt. Đối với việc giám sát tốc độ giảm bớt của trục chính kẹp gia công, xem 5.12 b) 5).
CHÚ THÍCH: Các giá trị đối với tốc độ giảm bớt của lượng chạy dao, quay và dài cho trong a) đến c) là các giá trị tối đa. Trong khuôn khổ của việc đánh giá rủi ro, chúng được rút gọn phù hợp với tình trạng nguy hiểm cụ thể của máy, nếu thích hợp.
d) Việc điều khiển các chuyển động đã lập trình ở b) và c) có thể được tác động bằng một thiết bị giữ-để-chạy (xem 5.12 b 2)) hoặc bằng một núm xoay điện tử (xem 5.12 b) 3)) hoặc với nút bấm khởi động, mỗi thiết bị đó kết hợp với một cơ cấu cho phép kích hoạt.
e) Tiếp cận vào vùng nguy hiểm được sinh ra bởi các thiết bị kẹp đang chuyển động, ví dụ như các chấu cặp nhô ra đang quay trên mâm cập, phải được ngăn ngừa bằng các bộ phận bảo vệ.
f) Một chu trình chương trình đã khởi động phải được hiển thị trong suốt chu trình toàn bộ. Bước tiếp theo trước khi thực thi cũng phải được hiển thị.
Phải đáp ứng thêm các yêu cầu của 5.3 đến 5.15. Ví dụ về áp dụng trong đó có yêu cầu MSO 3 được cho trong Phụ lục K.
Khi chế độ MSO 3 được chọn và các bộ phận bảo vệ di động được đóng lại, có thể thực hiện được tất cả các chuyển động của các chi tiết máy mà không có cơ cấu cho phép kích hoạt. Việc giám sát tốc độ giảm bớt của trục chính bánh mài phải là chủ động (xem 5.12 b) 5)).
5.2.7.6 Chế độ bảo dưỡng
Chế độ bảo dưỡng chỉ được nhà sản xuất máy cung cấp cho nhân viên bảo dưỡng, được đào tạo và có thẩm quyền, và cho nhân viên đã được đánh giá trình độ chuyên môn bởi khách hàng phù hợp với các hướng dẫn của nhà sản xuất (cũng xem 7.2.9).
a) Tổng quan
1) Đối với việc lựa chọn chế độ bảo dưỡng, một công tắc có thể khóa được được lắp trên một dây cáp đã kết nối, phải trang bị thiết bị bảo dưỡng có thể tháo ra được. Sự kết nối của thiết bị bảo dưỡng phải có khả năng truy cập được tại máy, ví dụ như tại phía ngoài của vỏ bao điện. Các tính hiệu cảnh báo ở thiết bị bảo dưỡng phải báo rằng việc sử dụng thiết bị bảo dưỡng bị hạn chế cho nhân viên bảo dưỡng, đã được đào tạo và có thẩm quyền bởi nhà sản xuất máy. Miễn là thiết bị bảo dưỡng được kết nối với máy, không chế độ vận hành an toàn khác phải có thể chọn được. Các hướng dẫn sử dụng phải yêu cầu tháo thiết bị ra sau khi hoàn thành các hoạt động bảo dưỡng.
Thiết bị bảo dưỡng có thể được thay thế bằng các thiết bị chọn khác giới hạn áp dụng của chế độ bảo dưỡng đối với những người được đề cập ở trên.
2) Phải thực hiện được vận hành bằng tay dưới các điều kiện ở 5.2.7.4.
3) Theo đánh giá rủi ro, các biện pháp an toàn bổ sung có thể là cần thiết, như các bộ phận bảo vệ, các rào chắn hoặc các tấm che phủ, đề cập đến các tín hiệu cảnh báo.
b) Chế độ này sẽ cho phép hạn chế chức năng tự động của máy với các bộ phận bảo vệ di động được mở ra. Các hạn chế này là:
1) Không thực hiện được gia công ở chế độ bảo dưỡng;
2) Tốc độ các trục phải được giảm và được giám sát (xem 5.12 b) 6)) ngoại trừ các trường hợp theo 5.2.7.6 b) 5). Các tốc độ trục giảm này không được vượt quá 2 m/min hoặc 5 m/min đối với các trục có hành trình ngang lớn hơn 1 m;
3) Các chu trình chuyển động liên tục có thể thực hiện được (ví dụ như kiểm khả năng lặp lại);
4) Chuyển động quay của bánh mài và các trục chính kẹp gia công phải có thể thực hiện được dưới các điều kiện ở 5.2.7.5 a) và c);
5) Việc điều khiển các chuyển động đã lập trình có thể được tác động bằng một thiết bị giữ-để-chạy (xem 5.12 b 2)) hoặc bằng một núm xoay điện tử (xem 5.12 b) 3)) hoặc bằng nút bấm khởi động, mỗi thiết bị đó kết hợp với một cơ cấu cho phép kích hoạt. Cơ cấu cho phép kích hoạt này phải được đặt ngoài vùng nguy hiểm, nếu tốc độ giảm bớt vượt quá giá trị theo 5.2.7.6 b) 2).
5.2.8 Trang bị tùy chọn hoặc bổ sung cho máy mài
5.2.8.1 Thiết bị vận chuyển dùng để tháo/lắp chi tiết gia công
Nếu máy được trang bị các thiết bị vận chuyển dùng để tháo/lắp chi tiết gia công thì phải thỏa mãn các yêu cầu sau.
a) Các vị trí lắp/tháo cho người vận hành tại các thiết bị di chuyển chi tiết gia công phải ở bên ngoài khu vực gia công và cách xa cơ cấu nguy hiểm khác (ví dụ như cơ cấu thay dụng cụ).
b) Tiếp cận vào các chuyển động nguy hiểm của các thiết bị vận chuyển phải được ngăn ngừa bằng các bộ phận bảo vệ cố định và/hoặc di động được được khóa liên động (xem 5.12 b) 1) iv)) hoặc chuyển động nguy hiểm phải được dừng lại hoặc được kích hoạt bằng sự khởi động của các thiết bị bảo vệ (ví dụ như bộ phận bảo vệ được khóa liên động hoặc tấm che ánh sáng).
c) Đối với các yêu cầu về chế độ cài đặt của thiết bị vận chuyển dùng để lắp/tháo chi tiết gia công, xem 5.2.7.4 e).
d) Sự khởi động của thiết bị dừng khẩn cấp của máy (xem 5.12 c)) cũng phải kích hoạt chức năng dừng khẩn cấp của thiết bị vận chuyển và ngược lại, nếu thiết bị chất tải nằm trong vùng gia công. Nếu máy và thiết bị chất tải tạo thành một hệ thống gia công tích hợp thì phải áp dụng ISO 11161.
e) Nếu việc tiếp cận vào vùng nguy hiểm thiết bị vận chuyển có khả năng xảy ra, thì tiếp cận từ khu vực đó vào vùng gia công của máy
- không thể xảy ra, hoặc
- máy phải ở trạng thái đã dừng và sự khởi động không mong muốn phải được ngăn ngừa.
f) Nếu việc tiếp cận vào vùng gia công của máy có khả năng xảy ra, thì tiếp cận vào thiết bị vận chuyển
- không thể xảy ra, hoặc
- thiết bị vận chuyển phải ở trạng thái đã dừng và sự khởi động không mong muốn phải được ngăn ngừa (đối với sự ngăn ngừa khởi động không mong muốn, xem TCVN 7300 (ISO 14118)).
5.2.8.2 Máy được trang bị ụ sau và/hoặc nòng ụ sau
Nếu máy được trang bị một ụ sau và/hoặc nòng ụ sau, phải có các biện pháp để ngăn ngừa ụ sau bị lùi quá khỏi đầu của băng máy trong khi điều chỉnh bằng tay vị trí của nó (ví dụ như dừng cơ khí). Đối với các máy có ụ sau và/hoặc nòng ụ sau vận hành bằng năng lượng:
a) Các chuyển động được vận hành bằng năng lượng của nòng ụ sau khi bộ phận bảo vệ được mở ra, ngoại trừ các nòng ụ sau được kích hoạt bằng lò xo, không được vượt quá 1,2 m/min khi hành trình > 10 mm và chỉ có thể thực hiện được bằng sử dụng một trong các thiết bị sau:
1) Một thiết bị điều khiển đòi hỏi cả hai tay nằm ngoài khu vực gia công (ví dụ như bằng điều khiển hai tay phù hợp với ISO 13851; xem 5.12 b) 2)),
2) Một điều khiển giữ-để-chạy, (xem 5.12 b) 2)), hoặc
3) Một công tắc dùng chân 2 vị trí hoặc 3 vị trí; xem 5.12 b) 2).
b) Khuyến nghị có các biện pháp điều chỉnh lực kẹp. Nếu hệ thống kẹp không được khởi động hoặc không đóng lại, khởi động quá trình/gia công phải được ngăn chặn. Quá trình gia công phải được dừng lại (ví dụ như dừng có điều khiển) nếu hệ thống kẹp mở không theo dự định (ví dụ như sự kích hoạt của cơ cấu mở hoặc mức độ lực kẹp tối thiểu đã xác định trước bởi người vận hành không đạt được) (xem 5.12 b) 7)).
c) Sự mở hoặc đóng nòng ụ sau để thay chi tiết gia công bằng tay có thể thực hiện được trong tất cả các chế độ vận hành an toàn.
d) Sự kích hoạt bằng tay của ụ sau vận hành bằng năng lượng và của các chuyển động của nòng ụ sau vận hành bằng năng lượng không được phép xảy ra khi trục chính kẹp gia công đang quay (xem 5.12 b) 7)), nếu lực kẹp của mâm cặp hoặc của giá đỡ phôi là không đủ.
e) Giới hạn lực kẹp phải được
1) Chỉ thị trên nòng ụ sau và vị trí kết thúc của nòng ụ sau phải được chỉ thị bền lâu (ví dụ như bằng một vòng có màu sắc), hoặc
2) Được giám sát bằng một công tắc giới hạn được khóa liên động với chuyển động quay của trục chính (xem 5.12 b) 7)).
f) Chuyển động được vận hành bằng năng lượng của thân ụ sau hướng đến chi tiết gia công khi bộ phận bảo vệ mở ra trong tất cả các chế độ vận hành an toàn chỉ có thể thực hiện được bằng sử dụng điều khiển giữ-để-chạy (xem 5.12 b) 2)). Thân ụ sau có thể thụt vào vị trí đã định bằng một thao tác vận hành có xem xét đến ISO 13854 đối với các khe hở cần thiết để tránh sự nghiền vỡ. Tốc độ dịch chuyển ngang tối đa của thân ụ sau không được vượt quá 2 m/min.
5.2.8.3 Ổ chứa dụng cụ, cơ cấu chuyển dụng cụ và cơ cấu thay dụng cụ có thể tiếp cận được bên ngoài
Nếu máy được trang bị ổ chứa dụng cụ, cơ cấu chuyển dụng cụ hoặc cơ cấu thay dụng cụ tiếp cận được bên ngoài thì phải áp dụng các yêu cầu sau.
a) Tiếp cận vào ổ chứa dụng cụ tiếp cận được bên ngoài và cơ cấu chuyển dụng cụ và cơ cấu thay dụng cụ phải được che chắn an toàn bằng sự kết hợp của các bộ phận bảo vệ cố định và di động được (xem 5.2.3.2 a)) phù hợp với ISO 14119:1998, 7.1. Đối với các yêu cầu về các chức năng an toàn cho các thiết bị khóa liên động liên đới với cơ cấu thay dụng cụ, ổ chứa dụng cụ, xem 5.12 b) 1) iii).
b) Khi bộ phận bảo vệ di động được dùng để tiếp cận vào ổ chứa dụng cụ mở, bộ dẫn động ổ chứa dụng cụ phải dừng ở vị trí dừng an toàn hoặc dừng vận hành an toàn theo 5.12 b) 11) và 5.12 b) 12). Trong các chế độ MSO 2, MSO 3 và chế độ bảo dưỡng với bộ phận bảo vệ di động được mở, chuyển động được vận hành bằng năng lượng của ổ chứa dụng cụ (ví dụ như cho mục đích bổ sung thêm dụng cụ, bảo trì hoặc điều chỉnh) chỉ có khả năng thực hiện được bằng điều khiển giữ-để-chạy cho phép một chuyển động phân độ trạm dụng cụ đơn hoặc bằng thiết bị điều khiển hai tay (xem ISO 13851) đối với chuyển động liên tục. Chuyển động này phải ở một tốc độ giảm bớt bằng 2 m/min hoặc được kích hoạt từ các thiết bị điều khiển được đặt bên ngoài tầm với của các chuyển động nguy hiểm phù hợp với ISO 13857.
c) Để ngăn ngừa dụng cụ rơi hoặc văng ra, chúng phải được giữ nằm trong giá kẹp dụng cụ của ổ chứa. Dữ liệu thiết kế cho việc giữ dụng cụ (ví dụ như các giới hạn đối với khối lượng tối đa, các mômen quán tính và các vỏ bao không gian của các dụng cụ) phải được cung cấp cho người sử dụng (xem 7.2.2).
d) Các bộ phận bảo vệ cố định hoặc di động được phải ngăn ngừa tiếp cận vào các bộ phận di động được của cơ cấu thay dụng cụ. Khi các bộ phận bảo vệ di động được cho phép tiếp cận đến cơ cấu thay dụng cụ từ bất kỳ khu vực nguy hiểm nào mở ra, chuyển động của cơ cấu thay dụng cụ phải được ngăn chặn. Không được có các chuyển động máy nguy hiểm phát sinh từ việc khởi động bất kỳ cảm biến hoặc thiết bị phản hồi nào. Để ngăn ngừa dụng cụ bị rơi hoặc văng ra, chúng phải được giữ trong cơ cấu thay dụng cụ dưới tất cả các điều kiện vận hành bao gồm cả mất năng lượng/nguồn.
5.3 Các yêu cầu riêng xuất phát từ các mối nguy hiểm về điện
a) Tiếp xúc trực tiếp với thiết bị điện
1) Thiết bị điện phải phù hợp với IEC 60204-1, trừ khi được quy định khác trong tiêu chuẩn này.
2) Xem IEC 60204-1:2009, Điều 6 đối với sự phòng ngừa sốc điện và IEC 60204-1:2009, Điều 7 đối với bảo vệ chống lại sự ngắn mạch và bảo vệ chống lại sự quá tải. Đặc biệt phải thỏa mãn các yêu cầu sau trong các điều liên quan của IEC 60204-1:2009:
i) Điều 7 đối với bảo vệ thiết bị;
ii) Điều 8 đối với sự đấu nối đẳng thế;
iii) Điều 12 đối với dây dẫn và cáp;
iv) Điều 13 đối với các kỹ thuật đi dây;
v) Điều 14 đối với động cơ điện và thiết bị đi kèm.
3) Vỏ cách điện không bị các rủi ro hư hỏng do việc văng dụng cụ và/hoặc chi tiết gia công. Không thể tiếp cận được các bộ phận dẫn điện (xem IEC 60204-1:2009, 6.2.2). Rủi ro cháy nổ do hỏng thiết bị điện không được coi là đáng kể đối với máy khi các mạch công suất được bảo vệ chống lại hiện tượng quá dòng (xem IEC 60204-1:2009, 7.2.2).
b) Đối với tiếp xúc gián tiếp với các thiết bị điện, các yêu cầu của IEC 60204-1:2009, 6.3 phải được thỏa mãn.
CHÚ THÍCH: Xem IEC 60204-1:2009, 3.27, về định nghĩa “tiếp xúc gián tiếp”.
c) Để bảo vệ thiết bị điều khiển, vỏ của thiết bị điều khiển phải cho một mức độ bảo vệ tối thiểu là IP2X, phù hợp với IEC 60204-1:2009, 6.2.2, ngoại trừ vỏ của thiết bị bảo vệ bên nằm trong khu vực gia công phải có mức độ bảo vệ đến IP55.
5.4 Các yêu cầu riêng xuất phát từ các mối nguy hiểm do tiếng ồn
Khi thiết kế máy, những thông tin có sẵn và các giải pháp kỹ thuật để kiểm soát ồn ngay tại nguồn ồn phải được tính đến (ví dụ xem ISO/TR 11688-1).
CHÚ THÍCH: Các nguồn phát ra ồn chính ở máy mài phụ thuộc vào phương pháp mài và các bộ phận và thiết bị được sử dụng trên máy mài. Các nguồn ồn trong không khí bao gồm:
- Các sản phẩm vật liệu mài và chi tiết gia công;
- Các trục chính bánh mài;
- Các trục chính kẹp gia công;
- Các bộ dẫn động trục;
- Vít me bi;
- Thiết bị sửa và điều chỉnh đá mài;
- Các hoạt động lắp, tháo, văng và di chuyển;
- Các hệ thống thủy lực;
- Các hệ thống hút xả;
- Các hệ thống khí nén;
- Các hệ thống chất lỏng cắt kim loại.
Nếu các cách để giảm ồn tại nguồn là không đủ thì các biện pháp giảm ồn thứ cấp phải được tính đến ở bất cứ chỗ nào có thể thực hiện được. Đối với các biện pháp để giảm ồn, xem Phụ lục E.
Đối với xác định phát xạ ồn, xem Phụ lục F.
Việc công bố các giá trị phát xạ ồn phải phù hợp với 7.2.6.
5.5 Các yêu cầu riêng xuất phát từ các mối nguy hiểm do rung
Trên các máy mài có chạy dao dẫn hướng bằng tay sử dụng một cơ cấu vận chuyển, ví dụ xem Bảng 1, số 1.3 và 1.4, khi đó người vận hành có thể chịu các rung lớn hơn 2,5 m/s2, thì phải tính đến các biện pháp để phòng ngừa rung. Các biện pháp để giảm rung có thể đạt được bằng kết cấu và thiết kế, giảm chấn và/hoặc cách ly (xem CR 1030-1). Đối với đo rung cơ học, xem ISO 20643.
5.6 Các yêu cầu riêng xuất phát từ các mối nguy hiểm do bức xạ
a) Đối với bức xạ tần số thấp, bức xạ tần số radio, tất cả các sóng cực ngắn, xem 5.9 k). Để biết thêm chi tiết cũng xem EN 12198-1, EN 12198-2 và EN 12198-3.
b) Các hệ thống phản hồi laze được lắp sẵn phải được thiết kế để ngăn ngừa sự tiếp xúc với đường đi chùm tia hoặc sự phản xạ theo IEC 60825-1.
5.7 Các yêu cầu riêng xuất phát từ các mối nguy hiểm do vật liệu hoặc các chất
5.7.1 Tổng quan
Vật liệu hoặc các chất được sử dụng cho kết cấu và vận hành các máy mài phải được chọn sao cho không gây ảnh hưởng nguy hiểm đến sức khỏe trong toàn bộ tuổi thọ của máy, ví dụ như không được sử dụng amiăng làm phanh và lớp lót li hợp.
Ở nơi vật liệu được gia công gây nguy hiểm cho sức khỏe hoặc sử dụng hoặc ở nơi mà bụi, khói và mù sương rất có thể được sinh ra, thì các bộ phận bảo vệ phải được thiết kế để giảm thiểu phơi nhiễm cho người vận hành máy. Phải trang bị một hệ thống hút trọn bộ và/hoặc biện pháp lắp khớp hệ thống hút.
Máy mài có hệ thống hút trọn bộ phải được thiết kế sao cho việc hút được kích hoạt ngay khi các chức năng sinh ra bụi, khói và mù sương được bật. Sau khi tắt các chức năng này, hệ thống hút phải tiếp tục chạy cho đến khi các mối nguy hiểm do bụi, khói và mù sương không còn tồn tại nữa. Đối với các máy được bao kín hoàn hoàn, khoảng thời gian vận hành sau đó phụ thuộc vào thể tích của buồng làm việc và phụ thuộc vào dung lượng hút, ví dụ như nó chỉ có thể mở các bộ phận bảo vệ sau khi không khí trong buồng làm việc đã được trao đổi ít nhất hai lần. Hệ thống hút trọn bộ phải được thiết kế sao cho không chịu các chất nguy hiểm trên một mức độ nguy hiểm là có thể thực hiện được, khi các bộ phận bảo vệ sẽ được mở ra.
Phải trang bị các biện pháp để phòng ngừa sự thoát ra của mù sương có hại, như xuất phát từ việc sử dụng khí nén.
Do các yêu cầu thực tế đối với hệ thống hút sẽ phụ thuộc vào sự thay đổi của các thông số khác nhau, như bản chất của các vật liệu đang sử dụng, không thể đưa ra các yêu cầu kỹ thuật chi tiết hơn trong tiêu chuẩn này.
5.7.2 Thiết bị dùng cho việc sử dụng các chất lỏng gia công kim loại
5.7.2.1 Tổng quan
Khi các chất lỏng gia công kim loại để làm mát và bôi trơn được sử dụng trong khi mài mà chúng có thể gây ra các mối nguy hiểm đối với sức khỏe, máy mài phải được trang bị các thiết bị để ngăn ngừa hoặc giảm thiểu các mối nguy hiểm này.
5.1.2.2 Các biện pháp bảo vệ chống lại sự tiếp xúc hoặc sự hít vào
a) Hệ thống phải được thiết kế để ngăn ngừa sự bắn tóe, sự chảy tràn và sự rò rỉ của chất lỏng gia công kim loại.
b) Bình chứa chất lỏng và các bộ phận của hệ thống khác phải được làm bằng các vật liệu đảm bảo tính toàn vẹn liên tục của hệ thống.
c) Các vòi cung cấp phải được thiết kế sao cho việc phun không mong muốn được giảm thiểu.
d) Khi thấy trước được việc sinh ra mù sương và hơi trong khu vực gia công, phải trang bị các bộ phận bảo vệ hoặc hệ thống hút hoặc các phương tiện đi kèm của hệ thống đó (xem 5.7.1).
e) Chất lỏng gia công kim loại phải có khả năng dùng cho chức năng hiệu chỉnh của máy mài để tránh tăng nhiệt quá mức và sự bay hơi sau đó của chất lỏng. Cách khác, phải trang bị hệ thống dung dịch trơn nguội.
f) Ở chỗ mà cần thiết phải thấy trước đối với người vận hành để đặt tay của họ vào trong khu vực gia công (ví dụ như trong khi thao tác lắp/tháo, cài đặt, ...), dòng chất lỏng gia công kim loại đi vào khu vực gia công phải được dừng lại một cách tự động (xem 5.12 b) 19)), khi các bộ phận bảo vệ được mở ra. Có thể thực hiện điều chỉnh dòng chất lỏng gia công kim loại để làm mát các bộ phận hoặc để dội rửa băng máy, ví dụ như đối với điều chỉnh vòi phun. Tất cả các máy khác không có điều khiển chất lỏng tự động phải được trang bị các thiết bị dùng để điều khiển bằng tay hoặc dẫn dòng của nguồn cung cấp chất lỏng gia công kim loại.
g) Các bình chứa chất lỏng phải được lắp các bộ chỉ thị mức chất lỏng đọc được một cách rõ ràng có đánh dấu các mức nạp nhỏ nhất/lớn nhất.
h) Hệ thống chất lỏng gia công kim loại phải có khả năng cung cấp chất lỏng gia công kim loại với lượng lớn để ngăn ngừa sự sinh ra của các hơi hoặc son khi nguy hiểm trong tất cả các điều kiện vận hành/mài có thể thấy trước được.
i) Hệ thống chất lỏng gia công kim loại phải được thiết kế thuận tiện cho việc bảo trì bao gồm cả lấy mẫu và để giảm tới chừng mực có thể sự phơi nhiễm của cơ thể người đối với chất lỏng gia công kim loại trong khi bảo trì.
j) Máy mài phải được thiết kế sao cho các phoi mài có thể được loại bỏ mà không cần phải tháo nước của toàn bộ hệ thống.
5.7.2.3 Các mối nguy hiểm sinh vật và vi sinh vật (vi rút và vi khuẩn)
a) Thành phần tổng của các hệ thống chất lỏng gia công kim loại phải được lưu thông/tuần hoàn trong sử dụng bình thường sao cho không tồn tại vùng thể tích tĩnh tại trong bình chứa/tank ngoại trừ ở chỗ mà thiết kế yêu cầu có sự lắng đọng.
b) Để tránh các vùng ứ đọng vẫn còn lại trong máy, chất lỏng gia công kim loại phải tháo khỏi máy hướng về bình chứa dưới tác dụng của trọng lực.
c) Đường ống xả phải có đường kính đủ lớn và đủ độ dốc để giảm thiểu sự lắng đọng cặn dầu.
d) Hệ thống chất lỏng gia công kim loại phải được trang bị lọc.
e) Khi xuất hiện sự tích tụ cặn lắng, phải tính đến việc làm sạch (ví dụ các góc được vê tròn trong các bể chứa/container). Việc làm sạch không yêu cầu phải tháo rửa toàn bộ hệ thống (xem ISO 14159).
f) Phía trong của các bình chứa không được góp phần làm gia tăng vi khuẩn (ví dụ bằng các bề mặt trơn nhẵn).
g) Các bể chứa chất lỏng gia công kim loại phải có các vỏ bao được thiết kế để ngăn ngừa sự thâm nhập của các ngoại vật.
h) Sự nhiễm bẩn của chất lỏng gia công kim loại bởi dầu hoặc mở từ nguồn bên ngoài như bôi trơn máy bị tổn thất phải được phòng tránh hoặc phải có biện pháp cho việc loại bỏ có hệ thống của chúng. Cần có khả năng thực hiện bổ sung vào một hệ thống tách hoặc hệ thống loại bỏ dầu hoặc mỡ, nếu cần thiết.
i) Khi máy mài được trang bị các bộ phận bảo vệ bao kín sử dụng cùng với chất lỏng gia công kim loại, vỏ máy phải được thiết kế để cung cấp mặt tiếp giáp giữa vỏ bao bộ phận bảo vệ và hệ thống hút. Vị trí của mặt tiếp giáp này cần được tính toán xem xét dòng khí bên trong sinh ra bởi máy khi vận hành bình thường để cho phép vận hành hệ thống hút hiệu quả.
5.7.3 Các biện pháp chống lại mối nguy hiểm do cháy và nổ
5.7.3.1 Chất lỏng gia công kim loại dễ cháy
5.7.3.1.1 Các yêu cầu đối với hệ thống chất lỏng gia công kim loại
Máy mài được thiết kế để sử dụng các chất lỏng gia công kim loại dễ cháy phải được trang bị các thiết bị dưới đây để giảm thiểu rủi ro của việc sinh ra các hỗn hợp dễ cháy và nguồn đánh lửa.
a) Mạch chất lỏng gia công kim loại phải được thiết kế sao cho (tiết diện ngang ống, bể chứa, bơm, các kiểu đầu phun các lựa chọn vị trí, ...) bảo đảm đủ lượng chất lỏng gia công kim loại tại điểm gia công ở bất kỳ thời điểm nào và cho bất kỳ dụng cụ nào.
b) Nếu nguồn cấp chất lỏng gia công kim loại không thực hiện chức năng thì phải ngăn chặn sự khởi động máy. Để giám sát nguồn cấp chất lỏng gia công kim loại, xem 5.12 b) 18).
c) Trong trường hợp nguồn cấp chất lỏng gia công kim loại bị trục trặc, quá trình gia công phải được dừng lại một cách tự động bằng cách thức thích hợp, ví dụ như tách rời dụng cụ và chi tiết gia công và ngắt kết nối giữa trục chính bánh mài và hệ thống hút.
d) Phải trang bị hệ thống hút phù hợp.
5.7.3.1.2 Các yêu cầu đối với hệ thống hút
Hiệu quả hút ít nhất phải bảo đảm duy trì áp suất âm trong buồng làm việc để ngăn ngừa một cách an toàn sự thoát ra của hơi chất lỏng gia công kim loại và son khí từ máy.
Nếu hệ thống hút không thực hiện đúng chức năng, thì việc khởi động chu trình của máy phải được ngăn ngừa (xem 5.12 b) 18)) hoặc một quá trình gia công trong trạng thái này phải được dừng một cách tự động bằng cách thức thích hợp, ví dụ như tách rời dụng cụ và chi tiết gia công và ngắt kết nối giữa trục chính bánh mài và bộ truyền động dụng cụ.
Tất cả các vật kim loại trong buồng làm việc, bao gồm cả đường ống hệ thống hút, phải được kết nối liên tục với hệ thống dẫn bảo vệ.
Nếu không thể ngăn ngừa các mối nguy hiểm do cháy và nổ bằng các cách này thì phải thực hiện các biện pháp bổ sung để hạn chế ảnh hưởng của các sự cố cháy và nổ.
Các biện pháp đó bao gồm:
1) Vỏ buồng làm việc chịu áp gồm có các ô cửa quan sát và bộ phận xả áp, nếu yêu cầu, theo hướng không gây ra mối nguy hiểm cho người. Vỏ buồng làm việc chịu áp này cũng phải thỏa mãn các yêu cầu đối với bộ phận bảo vệ quy định trong 5.1.2 và, nếu thích hợp, trong 5.2.3.2. Thông tin về kích thước của các bề mặt bộ phận xả áp, xem Phụ lục H.
2) Việc ngăn ngừa sự thoát ra của khói và khí nóng đi vào khu vực vận hành và môi trường máy, ví dụ như bằng các đệm bít kín gấp khúc ngăn khói tại các bộ phận di động được của các bộ phận bảo vệ (theo chu vi). Ví dụ xem Phụ lục H.
3) Các thiết bị chữa cháy (đối với các yêu cầu điều khiển kỹ thuật cho báo cháy và hệ thống chữa cháy tự động, xem 5.12 b) 16) và 17)).
4) Máy, bao gồm cả hệ thống điều khiển phải được thiết kế sao cho việc kết nối với các thiết bị để phát hiện cháy, các hệ thống chữa cháy, báo cháy, thiết bị xả áp, ... theo khuyến nghị của nhà sản xuất đến mức có thể.
Đối với các máy dự định để kết nối với hệ thống hút trung tâm, phải có các biện pháp hoặc hệ thống để ngăn ngừa trong trường hợp cháy,
- lan truyền cháy vào hệ thống hút trung tâm,
- nguồn cấp không khí thêm vào buồng gia công, và
- hút các môi chất dập cháy.
CHÚ THÍCH 1: Ví dụ sử dụng các bộ khống chế ngọn lửa (ví dụ xem Phụ lục H), các van ngắt không khí xả.
Các hệ thống hút trọn bộ phải tự động ngắt trong trường hợp có cháy hoặc nổ.
Đối với các ví dụ về sự tích hợp của các hệ thống hút và chữa cháy khi sử dụng các chất lỏng gia công kim loại dễ cháy, xem Phụ lục I.
CHÚ THÍCH 2: Các biện pháp bổ sung để giảm rủi ro phụ thuộc vào các điều kiện sử dụng máy thực tế và phải được xem xét cho trường hợp riêng lẻ.
5.7.3.2 Bụi dễ cháy và nổ
Khi các máy mài được thiết kế để gia công các vật liệu có thể sinh ra các bụi dễ cháy và nổ (như nhôm, magiê và các hợp kim của chúng), phải trang bị các thiết bị dùng để loại bỏ an toàn các bụi này và bất kỳ khí dễ cháy nào (như hydro) nhằm ngăn ngừa các mối nguy hiểm gây ra do cháy hoặc nổ. Phải thực hiện các biện pháp bảo vệ chống nổ theo EN 1127-1, khi thích hợp.
Để ngăn ngừa nổ bụi, máy mài phải được trang bị các hệ thống như
a) Mài ướt,
b) Mài khô có phun mưa ướt bằng sự làm ẩm tức thì, hoặc
c) Mài khô có phun mưa ướt bằng bình cyclon kiểu ướt.
Đối với các yêu cầu, xem Phụ lục G.
5.8 Các yêu cầu riêng xuất phát từ các mối nguy hiểm do không chú ý đến các nguyên tắc ecgônômi
a) Máy phải được thiết kế phù hợp với các nguyên tắc ecgônômi trong ISO 12100:2010, 6.2.6, 6.2.8, và 6.3.5.6;
ISO 6385;
TCVN 7302-1 (ISO 15534-1);
TCVN 7302-2 (ISO 15534-2).
b) Yêu cầu đối với vị trí của bảng điều khiển chính như sau:
1) Bảng điều khiển chính dùng để khởi động, dừng vận hành, lựa chọn chế độ và điều khiển giữ-để-chạy (nếu áp dụng được) cho máy, phải được đặt ở (các) vị trí của người vận hành. Màn hình điều khiển và/hoặc các bộ khởi động phải được bảo vệ chống lại phôi và mảnh vỡ mài và phù hợp với TCVN 11697-1 (ISO 9355-1), TCVN 11697-2 (ISO 9355-2), TCVN 11697-3 (ISO 9355-3) và IEC 60204-1:2009, Điều 10, và phải được bảo vệ chống lại các vận hành không dự định trước, ví dụ như bằng một nút ấn có vành gờ.
2) Không trang bị công tắc lựa chọn chế độ hoặc bộ điều khiển khởi động để kích hoạt chế độ MSO 1 tại bất kỳ vị trí nào trên máy ngoài bảng điều khiển chính. Có thể trang bị một công tắc khởi động tách biệt tại một vị trí xa bảng điều khiển chính, nếu người vận hành có quan sát tốt hơn về vùng nguy hiểm. Nếu trang bị nhiều hơn một công tắc khởi động, thì hệ thống điều khiển phải được thiết kế theo cách mà việc sử dụng một trong số các công tắc này sẽ ngăn cản việc sử dụng các công tắc còn lại.
3) Các điều khiển sử dụng để vận hành máy ở chế độ MSO 2 có thể được trang bị từ xa từ bảng điều khiển vận hành chính, ví dụ như trên giá treo. Cách khác, chúng có thể được trang bị tại các bảng điều khiển riêng biệt bên ngoài khu vực nguy hiểm;
4) Khi có nhiều điều khiển được cung cấp cho các chuyển động của máy ở chế độ MSO 2, thì chỉ một trong số chúng hoạt động tại một thời điểm bất kỳ.
c) Các yêu cầu đối với tư thế làm việc không có lợi cho sức khỏe hoặc việc phải gắng sức quá mức (sự căng thẳng lặp đi lặp lại) bao gồm việc thiết kế máy phù hợp với các nguyên tắc ecgônômi để tránh việc gắng sức quá mức, tư thế làm việc không có lợi cho sức khỏe hoặc tình trạng mệt mỏi trong suốt quá trình sử dụng, cụ thể như sau:
1) Các chi tiết gia công, dụng cụ và phụ tùng phải được di chuyển dễ dàng. Thiết bị nâng hạ có thể được yêu đối trang bị cho các bộ phận có khối lượng lớn hơn 10 kg (xem EN 1005-1, EN 1005-2, EN 1005-3 và EN 1005-4).
2) Nơi yêu cầu cần có thiết bị vận chuyển, máy nâng hoặc các thiết bị nâng hạ, thì phải thực hiện các quy định đối với việc lắp đặt và vận hành chúng (ví dụ bằng cách tạo sự tiếp cận khu vực gia công thông qua phần đỉnh của máy khi các bộ phận bảo vệ mở).
3) Khi các bộ phận được gá lắp bằng tay, thì đồ gá của chúng, như các giá kẹp dụng cụ phải được định vị để ngăn ngừa việc tiếp cận quá gần với máy (xem EN 1005-1, EN 1005-2, EN 1005-3 và EN 1005-4).
4) Các thiết bị điều khiển để vận hành các thiết bị kẹp hoặc cặp (ví dụ móc kéo, mâm cặp) phải được xác định vị trí để tránh việc tiếp cận quá gần khi nâng đỡ khối lượng của dụng cụ hoặc chi tiết gia công (ví dụ, sử dụng điều khiển bằng chân). Xem EN 894-3:2000, Điều 4.
5) Các bộ phận bảo vệ di động được phải được vận hành bằng năng lượng ở nơi mà việc sử dụng chúng sẽ dẫn đến tình trạng gắng sức quá mức lặp lại (cũng xem ISO 12100:2010, 6.2.2.2).
d) Đối với xem xét của cơ thể học về cánh tay và cẳng chân, sự định vị trí của các thiết bị điều khiển và vị trí để quan sát hoặc làm việc, như vị trí để nạp hoặc xả bình chứa phải được chọn lựa để thỏa mãn các nguyên tắc ecgônômi (xem EN 614-1, EN 614-2, EN 894-1, EN 894-2, EN 894-3, EN 894-4, EN 1005-1, EN 1005-2, EN 1005-3, EN 1005-4; TCVN 7386 (ISO 13855)).
e) Khi thiết kế máy móc, cường độ ánh sáng, chiều, độ chói, ...phải được tính đến. Nếu cần thiết phải cung cấp ánh sáng tích hợp. Đặc biệt là phải tính đến các hạng mục sau:
1) Cường độ ánh sáng yêu cầu phụ thuộc vào nguyên công mài sẽ thực hiện. Nó ít nhất phải bằng 300 Ix trong khu vực sẽ được quan sát và vùng lân cận sát của nó;
2) Độ chói, phản xạ và bóng, ví dụ từ chi tiết gia công hoặc các bộ phận của máy, phải được tránh xa đến mức có thể;
3) Nguồn sáng phải được đặt ở vị trí để giảm thiểu nhiễm bẩn của nó trong khi gia công.
f) Thiết kế, vị trí và nhận biết các điều khiển bằng tay và các thiết bị đầu vào (như bàn phím, tấm kê bàn phím, nút bấm) phải phù hợp với TCVN 11697-1 (ISO 9355-1), TCVN 11697-2 (ISO 9355-2) và TCVN 11697-3 (ISO 9355-3).
g) Đối với thiết kế hoặc vị trí của các đơn vị hiển thị nhìn bằng mắt, màn hình hiển thị thông tin phải sạch và không mờ. Phản xạ và độ chói phải được giảm đến mức tối thiểu (xem EN 894-1, EN 894-2, EN 894-4 và ISO 9241 (tất cả các phần)).
5.9 Các yêu cầu riêng xuất phát từ các mối nguy hiểm do khởi động không mong muốn, chạy quá hoặc vượt quá tốc độ
a) Với mục đích của tiêu chuẩn này, điều kiện trong IEC 60204-1:2009, 9.2.5.2, đạt được bằng các sự bố trí khóa liên động đã yêu cầu trong 5.2.3.2 a).
b) Các yêu cầu đối với lỗi/sự mất trình tự của hệ thống điều khiển như sau:
1) Các hệ thống điều khiển phải được thiết kế phù hợp với IEC 60204-1, ISO 4413 và ISO 4414 và IEC 62061, hoặc TCVN 7384-1 (ISO 13849-1). Các chuyển động không mong muốn của máy (như chuyển động quay tròn của trục chính bánh mài và trục chính kẹp gia công, chuyển động của các trục, dụng cụ mài tuột khỏi trục chính) phải được phòng ngừa (xem TCVN 7300 (ISO 14118)).
2) Khi có thể truy cập vào các chức năng có thể lập trình để sửa đổi, nó phải là khóa được đề để ngăn ngừa sự truy cập không được phép vào dữ liệu chương trình hoặc các chức năng có thể lập trình. Điều này có thể đạt được bằng sử dụng một mật khẩu hoặc một công tắc phím bấm.
3) Phần mềm liên quan tới an toàn phải được bảo vệ chống lại sự cấu hình lại không cho phép. Trong trường hợp đặc biệt, nó có thể không cho phép người sử dụng tạm ngưng hoạt động của chức năng an toàn (bao gồm cả bộ phận bảo vệ được khóa liên động) bằng cách chèn vào theo trình tự hoặc gọi ra bằng một chương trình con.
c) Các yêu cầu đối với quá trình khởi động như sau:
1) Với các yêu cầu liên quan đến các chức năng an toàn cho chức năng khởi động và khởi động lại, xem 5.12 b) 14) và 19).
2) Tại các vị trí có nhiều thiết bị điều khiển kiểu giữ-để-chạy (như trạm điều khiển chính, giá treo cầm tay), chỉ sử dụng được một thiết bị ở một thời điểm nhất định.
3) Sự đóng kín của các bộ phận bảo vệ khóa liên động di động được không được dẫn đến việc khởi động lại các bộ phận máy đang chuyển động. Nếu có các bộ phận bảo vệ được vận hành bằng năng lượng, xem 5.2.3.2 b).
4) Việc khởi động không mong muốn của các chuyển động nguy hiểm, ví dụ như trục chính bánh mài và trục chính kẹp gia công, các trục, hoặc các đồ gá kẹp gia công phải được phòng ngừa phù hợp với TCVN 7300:2003 (ISO 14118:2000), Điều 6, khi bộ phận bảo vệ di động được mở hoặc đang ở chế độ MSO 0.
5) Bất kỳ thiết bị điều khiển nào dùng để khởi động trục chính bằng tay phải được thiết kế để phòng ngừa sự vận hành không dự định trước, như thiết bị tác động kép kiểu cơ khí, nút bấm bằng phẳng hoặc nút bấm có vỏ che.
d) Các yêu cầu dưới đây đối với việc giám sát tốc độ giảm bớt cho trục chính và các trục phải áp dụng cho tất cả các chế độ vận hành an toàn.
1) Tốc độ trục chính và trục giảm phụ thuộc vào chế độ vận hành an toàn và phải được giám sát phù hợp theo. Điều này cũng bao gồm các tốc độ của các thiết bị kẹp gia công và các trục chính bánh mài.
2) Nếu một trong các tốc độ trục chính hoặc trục giảm bị vượt quá, dừng loại 1 phù hợp với IEC 60204-1:2009, 9.2.2, phải được kích hoạt một cách tự động.
Trục chính bánh mài không được dừng theo cách mà có thể gây ra trượt, lỏng hoặc vỡ sản phẩm vật liệu mài trong thiết bị kẹp dụng cụ.
3) Đối với các yêu cầu liên quan đến chức năng an toàn để giám sát tốc độ giảm bớt của chi tiết gia công và trục chính dụng cụ và các trục, xem 5.12 b) 5) và 6).
e) Các yêu cầu đối với các chuyển động các trục là như sau:
1) Các chuyển động của trục có thể đạt được bằng khởi động bằng tay hoặc bằng dẫn động bằng năng lượng:
i) Chiều của chuyển động của trục phải nhất quán với chiều của thiết bị điều khiển theo các yêu cầu trong ISO 447;
ii) Khởi động không mong muốn của chuyển động trục vận hành bằng năng lượng phải được ngăn ngừa (xem TCVN 7300:2003 (ISO 14118:2000), Điều 6);
iii) Chuyển động nguy hiểm không mong muốn của các trục thẳng đứng hoặc nghiêng dưới tác dụng của trọng lực phải được ngăn ngừa (ví dụ bằng đối trọng cân bằng hoặc hệ thống phanh dư).
2) Đối với các yêu cầu liên quan tới các chức năng an toàn cho khởi động các trục chuyển động hoặc quá trình chuyển động xuống không theo dự định trước của các trục thẳng đứng hoặc nghiêng, xem 5.12 b) 15) và 13).
f) Các yêu cầu đối với dừng là như sau:
1) Các chuyển động của máy phải được dừng bằng chức năng dừng phù hợp với IEC 60204-1:2009, 9.2.2.
2) Khi người bị phơi nhiễm trước các mối nguy hiểm do khởi động không mong muốn của các chuyển động của máy, chỉ được sử dụng chức năng dừng “dừng an toàn” hoặc “dừng vận hành an toàn”. Trong trường hợp “dừng vận hành”, không thực hiện được mở các bộ phận bảo vệ di động được.
3) Đối với các yêu cầu về các chức năng an toàn, xem 5.12 b) 11) và 12).
g) Đối với việc khôi phục nguồn điện sau khi ngắt, việc thiết kế hệ thống điều khiển phải đảm bảo rằng quá trình khởi động lại tự động được ngăn ngừa và sự vận hành lại của điều khiển khởi động luôn luôn được yêu cầu để kích hoạt chuyển động được vận hành bằng năng lượng (xem TCVN 7300 (ISO 14118)).
h) Đối với trường hợp cách li và tiêu hao năng lượng:
1) Xem ISO 12100:2010, 6.2.10 và 6.3.5.4 và TCVN 7300:2003 (ISO 14118:2000), Điều 5.
2) Phải cung cấp các biện pháp cho việc cách li nguồn năng lượng cung cấp (xem ISO 4413:2010, 5.1.5, ISO 4414:2010, 5.1.6 và IEC 60204-1:2009, 5.3). Đối với sự tiêu hao năng lượng tích trữ, xem TCVN 7300:2003 (ISO 14118:2000), 5.3.
3) Thiết bị dùng để ngắt kết nối nguồn điện cung cấp phải theo IEC 60204-1:2009, 5.3.
4) Nếu máy gia công có bơm thủy lực và/hoặc máy nén khí của riêng nó, sự cách li điện cho máy cũng phải cắt cả điện năng cấp cho động cơ của bơm và/hoặc máy nén. Khi năng lượng thủy lực hoặc khí nén được cung cấp từ bên ngoài máy, máy phải có thiết bị ngắt sự cung cấp có khả năng khóa được và có thể vận hành tin cậy bằng tay (van ngắt) đáp ứng các yêu cầu của TCVN 7300 (ISO 14118), Điều 5. Khi sự tiêu hao năng lượng là không thể xảy ra một cách tự động do kết quả của sự cách li (xem TCVN 7300:2003 (ISO 14118:2000)), 5.3.1.3), các biện pháp để giảm áp suất dư phải được cung cấp. Các biện pháp này có thể bao gồm một van nhưng không có sự ngắt kết nối các ống.
i) Các hệ thống khí nén phải phù hợp với ISO 4414.
j) Các hệ thống thủy lực phải phù hợp với ISO 4413.
k) Các yêu cầu về việc ảnh hưởng từ bên ngoài đến thiết bị điện/điện tử (tương thích điện từ) như sau:
1) Tính miễn nhiễm - các hệ thống điều khiển điện tử phải được thiết kế và lắp đặt sao cho chúng được bảo vệ khỏi nhiễu điện từ trường và ổn định khi chịu tác động của vận hành hệ thống điện hoặc sai lỗi phù hợp với IEC 61000-6-2.
2) Sự phát xạ - thiết kế điện/điện tử phải áp dụng thông tin kỹ thuật và các giải pháp vật lý để hạn chế sự phát xạ điện từ trường phù hợp với IEC 61000-6-4.
CHÚ THÍCH: Cũng có thể áp dụng EN 50370-1 và EN 50370-2.
5.10 Các yêu cầu riêng xuất phát từ các nguy hiểm do việc thay đổi tốc độ quay của trục chính mang dụng cụ
Đối với các máy mài có các thiết bị dùng để thay đổi tốc độ của trục chính bánh mài, các biện pháp/thiết bị sau để giảm thiểu rủi ro của việc vượt quá tốc độ vận hành lớn nhất của sản phẩm vật liệu mài đã kẹp chặt phải được trang bị thay cho việc phụ thuộc vào chế độ dẫn động của trục chính bánh mài:
a) Thiết bị khởi động sẽ khởi động trục chính bánh mài chỉ với tốc độ điều chỉnh được thấp nhất.
b) Đối với các dẫn động thay đổi cực, yêu cầu một công tắc khóa liên động, để phòng ngừa khởi động trực tiếp của giai đoạn tốc độ cao hơn.
c) Trên các máy mài mà tốc độ quay được tính toán từ tốc độ cắt đã lập trình và đường kính thực tế của sản phẩm vật liệu mài, hoặc sự điều khiển phải công nhận thay sản phẩm vật liệu mài hoặc phải có cảnh báo nhìn thấy được một cách rõ ràng của đầu vào dữ liệu cần thiết trong trường hợp thay sản phẩm vật liệu mài. Đầu vào dữ liệu phải được xác nhận bởi người vận hành.
d) Trên các máy mài mà các sản phẩm vật liệu mài có các đường kính ngoài khác nhau có thể được vận hành, phải có cảnh báo nhìn thấy được một cách rõ ràng về tốc độ quay lớn nhất cho các đường kính khác nhau đó. Tốc độ đã chọn phải nhìn được một cách rõ ràng (như núm điều khiển có thang chia tốc độ).
e) Sự chỉ thị của tốc độ quay hoặc vận tốc dài đã chọn; các giá trị đã chỉ thị phải giống hệt với các giá trị đã chọn.
Đối với các yêu cầu về giám sát chức năng an toàn của tốc độ trục chính bánh mài và trục chính kẹp gia công giảm, xem 5.12 b) 5).
5.11 Các yêu cầu riêng xuất phát từ các mối nguy hiểm do lỗi nguồn cung cấp
Các yêu cầu đối với lỗi của nguồn cung cấp như sau:
a) Áp suất hoặc điện áp không thích hợp phải được phát hiện và máy phải được dừng lại;
b) Sự ngắt hoặc lỗi nguồn cung cấp không được gây ra hiện tượng nguy hiểm như mất lực kẹp của thiết bị gá kẹp chi tiết gia công hoặc gá kẹp dụng cụ (bằng các thiết bị dưới điện thế và/hoặc dưới áp suất);
c) Việc khôi phục nguồn cung cấp không được làm máy khởi động lại tự động (xem TCVN 7300 (ISO 14118) và ISO 12100:2010, 6.2.11.4);
d) Sự ngắt hoặc lỗi nguồn cung cấp không được gây ra các chuyển động nguy hiểm của trục thẳng đứng và trục nghiêng dưới tác động của trọng lực (như hệ thống phanh dư). Đối với các yêu cầu về chức năng điều khiển an toàn để ngăn ngừa quá trình chuyển động xuống phía dưới không dự định trước của trục thẳng đứng hoặc nghiêng, xem 5.12 b) 13);
e) Các hệ thống phải được thiết kế sao cho nếu có hiện tượng đứt ở trong bất cứ mạch nào (như đứt dây, đường ống hoặc ống mềm) thì chức năng an toàn sẽ không bị mất (xem IEC 60204-1, ISO 4413 và ISO 4414);
f) Phải có biện pháp để cách li nguồn năng lượng (xem ISO 4413:2010, 5.3.2.2 và 5.4.7.2.1 và IEC 60204-1:2009, 5.3). Đối với sự tiêu hao năng lượng dự trữ, xem TCVN 7300:2003 (ISO 14118:2000), 5.3.
5.12 Các yêu cầu riêng xuất phát từ các mối nguy hiểm do lỗi mạch điều khiển
a) Về phần cứng và phần mềm liên quan đến an toàn, với mục đích của tiêu chuẩn này, các bộ phận liên quan đến an toàn của hệ thống điều khiển bao gồm hệ thống nguyên vẹn từ bộ tác động ban đầu (thiết bị điều khiển) hoặc từ bộ phát hiện vị trí đến điểm đầu vào của bộ tác động hoặc phần tử cuối cùng, như động cơ. Các chức năng an toàn của các hệ thống điều khiển phải được thực thi bằng sử dụng các bộ phận liên quan đến an toàn được thiết kế, chế tạo và áp dụng phù hợp với TCVN 7384-1 (ISO 13849-1). Nói chung khi được tác động, thiết bị đầu vào cho chức năng an toàn phải kích hoạt dừng loại 0 hoặc 1 của các chuyển động nguy hiểm, phù hợp với IEC 60204-1:2009, 9.2.2, và phải ngăn ngừa sự khởi động không mong muốn.
b) Các chức năng an toàn phải đáp ứng các yêu cầu đối với mức đặc tính của TCVN 7384-1 (ISO 13849-1) như cho dưới đây. Phụ lục J làm ví dụ chỉ ra các khả năng cho việc thực hiện mức đặc tính yêu cầu để giám sát tốc độ trục chính giảm bớt của trục chính bánh mài.
CHÚ THÍCH 1 : Sự giảm rủi ro có thể đạt được bằng áp dụng các biện pháp bảo vệ khác nhau, tức là các bộ phận liên quan đến an toàn của hệ thống điều khiển và các biện pháp bảo vệ khác, ví dụ như biện pháp cơ khí; xem TCVN 7384-1:2010 (ISO 13849-1:2006), Hình 2.
CHÚ THÍCH 2: Đối với sự giảm rủi ro bằng các biện pháp kỹ thuật khác độc lập với hệ thống điều khiển, ví dụ như các bộ phận bảo vệ cơ khí, điểm bắt đầu trong sơ đồ rủi ro để xác định PLr cho chức năng an toàn dự định có thể được định vị trí tại điểm sau khi thực hiện biện pháp này; xem TCVN 7384-1:2010 (ISO 13849-1:2006), A.1.
Bảng 3 - Mối tương quan giữa chức năng an toàn và mức đặc tính
| Chức năng an toàn | Mức đặc tính yêu cầu, PLr |
| 1) Thiết bị khóa liên động kết hợp với một bộ phận bảo vệ di động được trong các khu vực sau đây, thiết bị bảo vệ nhạy điện tử (ESPE), hoặc thiết bị an toàn khác áp dụng cho |
|
| i) khu vực gia công; | d loại 3 |
| khu vực chỉ để bảo trì; | c |
| ii) cơ cấu truyền động, dẫn động |
|
| với tiếp cận nhiều hơn một lần mỗi giờ | d |
| với tiếp cận ít hơn hoặc bằng một lần mỗi giờ | c |
| iii) cơ cấu thay dụng cụ, ổ chứa dụng cụ; | d |
| iv) thiết bị vận chuyển để gá lắp/tháo chi tiết gia công |
|
| với tiếp cận nhiều hơn một lần mỗi giờ | d |
| với tiếp cận ít hơn hoặc bằng một lần mỗi giờ | c |
| v) cơ cấu thay palet |
|
| với tiếp cận nhiều hơn một lần mỗi giờ | d |
| với tiếp cận ít hơn hoặc bằng một lần mỗi giờ | c |
| vi) tiếp cận vào các hốc, các cửa trong rào chắn xung quanh chu vi |
|
| với tiếp cận nhiều hơn một lần mỗi giờ | d |
| với tiếp cận ít hơn hoặc bằng một lần mỗi giờ | c |
| 2) Điều khiển giữ-để-chạy |
|
| là sự kết hợp của điều khiển giữ-để-chạy và cơ cấu cho phép kích hoạt | d |
| để giám sát tốc độ giảm bớt của trục khi nó không thực hiện phù hợp với 5.12 b) 6), | d |
| để giám sát tốc độ giảm bớt của trục khi nó thực hiện phù hợp với 5.12 b) 6), | c |
| 3) Hệ thống điều khiển với núm xoay điện tử |
|
| là kết hợp của hệ thống điều khiển với núm xoay điện tử và cơ cấu cho phép kích hoạt | d |
| để giám sát tốc độ giảm bớt của trục khi nó không thực hiện phù hợp với 5.12 b) 6), | d |
| để giám sát tốc độ giảm bớt của trục khi nó thực hiện phù hợp với 5.12 b) 6), | c |
| 4) Cơ cấu cho phép kích hoạt | d |
| 5) Giám sát tốc độ giảm bớt của các trục chính | d loại 3 |
| 6) Giám sát tốc độ giảm bớt của trục cho các trục nếu điều khiển chạy dao của chuyển động trục bị tác động bởi thiết bị giữ-để-chạy với PL = d của 5.12 b) 2) hoặc | d |
| bằng núm xoay điện tử với PL = d của 5.12 b) 3) |
|
| 7) Hệ thống điều khiển của cơ cấu kẹp dụng cụ và kẹp phôi vận hành bằng năng lượng dùng cho các máy không yêu cầu các bộ phận bảo vệ di động được | c |
| đối với máy có các bộ phận bảo vệ di động được khi việc gia công bị ảnh hưởng bởi các bộ phận bảo vệ di động được mở, ví dụ máy với chế độ MSO 3 | c |
| đối với các chế độ vận hành an toàn với các bộ phận di động được đã đóng | b |
| 8) Dừng khẩn cấp | c |
| 9) Ngăn ngừa mối nguy hiểm do nghiền ở các bộ phận bảo vệ/các cửa được vận hành bằng năng lượng với sự bảo vệ cạnh, ví dụ bằng các thiết bị bảo vệ nhạy áp (PSPD) | d |
| 10) Chức năng lựa chọn chế độ vận hành | c |
| 11) Dừng vận hành an toàn (dừng loại 2 phù hợp với IEC 61800-5-2:2007) | d |
| 12) Dừng an toàn (dừng loại 1 phù hợp với IEC 61800-5-2:2007) | d |
| Dừng an toàn (dừng loại 0 phù hợp với IEC 61800-5-2:2007) | c |
| 13) Chức năng điều khiển để ngăn ngừa sự chuyển động xuống không dự định trước của trục thẳng đứng hoặc nghiêng |
|
| nếu sự phòng tránh mối nguy hiểm là khó khăn | d |
| nếu tồn tại chuyển động xuống nguy hiểm của trục thẳng đứng hoặc nghiêng, nếu có cơ hội hiện hữu của việc phòng tránh tai nạn hoặc giảm đáng kể ảnh hưởng của nó | c |
| 14) Chức năng khởi động và khởi động lại (xem 5.9 c) |
|
| cho các hệ thống điều khiển điện tử | d |
| cho các hệ thống điều khiển cơ điện tử | c |
| CHÚ THÍCH: Các chức năng khởi động và khởi động lại là không liên quan đến an toàn nếu chúng được phòng tránh bằng các biện pháp khác, như khóa liên động cửa, cơ cấu cho phép kích hoạt. |
|
| 15) Khởi động chuyển động trục (xem 5.9 e)) |
|
| cho các hệ thống điều khiển điện tử | d |
| cho các hệ thống điều khiển cơ điện tử | c |
| CHÚ THÍCH: Các chức năng khởi động và khởi động lại là không liên quan đến an toàn nếu chúng được phòng tránh bằng các biện pháp khác, như khóa liên động cửa, cơ cấu cho phép kích hoạt. |
|
| 16) Ngăn ngừa sự kích hoạt không dự định trước của hệ thống chữa cháy CO2 |
|
| - đối với máy có thể tiếp cận được | c |
| - đối với máy không thể tiếp cận được | b |
| 17) Liên kết kỹ thuật giữa hệ thống báo cháy hoặc hệ thống chữa cháy tự động với hệ thống điều khiển của máy | b |
| 18) Giám sát nguồn cấp chất lỏng gia công kim loại và sự hút sương mù dầu khi sử dụng chất lỏng gia công kim loại dễ cháy | b |
| 19) Ngăn ngừa việc khởi động không mong muốn của nguồn cấp chất lỏng gia công kim loại lớn hơn hoặc bằng 5 bar | c |
| Ngăn ngừa việc khởi động không mong muốn của nguồn cấp chất lỏng gia công kim loại sử dụng hệ thống chất lỏng gia công kim loại áp suất thấp, tức là nhỏ hơn 5 bar | b |
c) Dừng khẩn cấp
1) Các chức năng dừng khẩn cấp phải là loại 1 hoặc 0 (xác định bằng đánh giá rủi ro) phù hợp với IEC 60204-1:2009, 9.2.5.4.2. Ngoài ra chúng nên tuân theo ISO 12100:2010, 6.3.5.2 và TCVN 6719 (ISO 13850);
2) Các chức năng dừng khẩn cấp phải được kích hoạt bằng thiết bị dừng khẩn cấp, thiết bị này phải phù hợp với IEC 60204-1:2009, 10.7 và TCVN 6719 (ISO 13850). Thiết bị dừng khẩn cấp phải được trang bị tại từng vị trí của người vận hành bao gồm dưới đây:
i) từng vị trí, ở đó các chuyển động nguy hiểm có thể được kích hoạt;
ii) tại bảng điều khiển chính;
iii) tại bất kỳ bảng điều khiển cầm tay nào (nếu có);
iv) tại ổ chứa dụng cụ;
v) tại các trạm gá lắp và tháo chi tiết gia công.
5.13 Các yêu cầu riêng xuất phát từ các mối nguy hiểm do chất lỏng hoặc vật bị văng ra
5.13.1 Các yêu cầu chung
Máy mài, khi bên cạnh các mối nguy hiểm gây ra do các mảnh vỡ sản phẩm vật liệu mài (xem 5.13.2), các mối nguy hiểm gây ra bởi sự văng ra của chi tiết gia công, các bộ phận của chi tiết gia công, các bộ phận máy, bụi, hoặc các chất lỏng gia công kim loại là gần như xảy ra thì phải được trang bị các bộ phận bảo vệ cố định và/hoặc di động được để giữ lại các bộ phận và các chất này trong khu vực gia công. Các bộ phận bảo vệ phải được thiết kế, kết cấu và định vị trí tính đến xem xét về ứng suất mong muốn. Chúng phải tuân theo các yêu cầu chung của ISO 14120.
Các bộ phận bảo vệ để ngăn ngừa sự văng ra của các bộ phận cũng có thể phục vụ để chứa các mảnh vỡ sản phẩm vật liệu mài phù hợp với 5.13.2 và/hoặc để ngăn ngừa tiếp cận vào khu vực gia công khi chúng được thiết kế, kết cấu và định vị trí phù hợp.
5.13.2 Các bộ phận bảo vệ để ngăn ngừa sự văng ra trong sự cố gãy vỡ sản phẩm vật liệu mài
5.13.2.1 Các bộ phận bảo vệ sản phẩm vật liệu mài
Máy mài phải được trang bị các bộ phận bảo vệ sản phẩm vật liệu mài có khả năng chứa các mảnh vỡ một cách hiệu quả trong sự cố gãy vỡ sản phẩm vật liệu mài. Chiều dày thành của các bộ phận bảo vệ này phải được quy định liên quan đến loại vật liệu sử dụng để làm bộ phận bảo vệ và vận tốc dài tối đa và khối lượng của sản phẩm vật liệu mài.
Bộ phận bảo vệ phải bao kín sản phẩm vật liệu mài đến mức lớn nhất có thể thực hiện được.
Khi các bộ phận của bộ phận bảo vệ sản phẩm vật liệu mài được liên kết với từng bộ phận khác bằng hàn hoặc bằng phương pháp khác, mối liên kết này phải đủ khỏe để đảm bảo các bộ phận sẽ không tách ra khi chịu va đập của các mảnh vỡ.
Đối với các yêu cầu cho bộ phận bảo vệ sản phẩm vật liệu mài, xem A.3.1 đến A.3.3.
Các bộ phận bảo vệ sản phẩm vật liệu mài phải được gắn vào máy mài sao cho chúng sẽ không bị lỏng hoặc di chuyển theo cách không điều khiển được trong trường hợp gãy vỡ sản phẩm vật liệu mài.
Đối với các yêu cầu cho việc gắn lắp bộ phận bảo vệ sản phẩm vật liệu mài, xem A.4.
Các bộ phận bảo vệ sản phẩm vật liệu mài và các thành phần gá lắp của chúng phải được đánh giá đối với sản phẩm vật liệu mài với các kích thước lớn nhất có thể áp dụng trên máy theo dự định sử dụng và tốc độ quay lớn nhất của trục chính bánh mài. Tốc độ lớn nhất có thể trong trường hợp có sai hỏng của bộ dẫn động trục chính bánh mài phải được xem là tốc độ tối đa.
Không yêu cầu bộ phận bảo vệ sản phẩm vật liệu mài trên máy mài khi sử dụng các sản phẩm vật liệu mài có D ≤ 1000 mm và vận tốc dài v ≤ 16 m/s.
Trong các tình huống/trường hợp khi không thể trang bị bộ phận bảo vệ sản phẩm vật liệu mài, thì phải trang bị bộ phận bảo vệ che kín khu vực gia công hoặc các biện pháp khác dẫn đến bảo vệ theo yêu cầu. Bộ phận bảo vệ che kín khu vực gia công phải tuân theo các yêu cầu của A.3.5.2.2 về chiều dày thành và vật liệu.
Khi các dụng cụ sửa bánh mài đang quay sinh ra các mối nguy hiểm tương tự như các sản phẩm vật liệu mài đang quay, thì cũng phải trang bị các biện pháp bảo vệ tương ứng cho các dụng cụ này.
5.13.2.2 Vỏ che khu vực gia công
Máy mài trên đó sử dụng các sản phẩm vật liệu mài với hệ số an toàn Sbr ≤ 1,75 (xem EN 12413) [xem công thức (1)] hoặc với vận tốc dài v > 50 m/s thì phải được trang bị vỏ che khu vực gia công để giữ lại các mảnh vỡ bao gồm các mảnh vỡ bị văng ra khỏi khe hở của bộ phận bảo vệ sản phẩm vật liệu mài trong khu vực gia công (khu vực gia công được bao kín hoàn toàn).
(1)
Trong đó
Sbr là hệ số an toàn chống lại sự tách vỡ do lực li tâm;
vbr là tốc độ tách vỡ, vận tốc dài tại đó sản phẩm vật liệu mài gãy vỡ do lực li tâm;
vs là tốc độ vận hành tối đa, vận tốc dài cho phép tối đa của sản phẩm vật liệu mài đang quay.
Quy định vỏ che khu vực gia công có thể bao gồm:
a) Các bộ phận bảo vệ cố định và di động được phù hợp với A.3.5;
b) Bộ phận bảo vệ sản phẩm vật liệu mài, được trang bị bổ sung cùng với bộ phận bảo vệ bên trong chúng che kín khe hở của bộ phận bảo vệ sản phẩm vật liệu mài trong trường hợp gãy vỡ sản phẩm vật liệu mài (xem A.3.1.4).
Vỏ che khu vực gia công không yêu cầu:
c) Đối với các máy mài khung xoay dẫn hướng bằng tay và các máy mài cắt đứt khung xoay có vận tốc dài của sản phẩm vật liệu mài v ≤ 80 m/s, xem Bảng 1, số 1.4.
d) Đối với các máy mài cắt đứt dẫn hướng bằng tay và cơ khí có vận tốc dài của sản phẩm vật liệu mài v < 100 m/s và đường kính của bánh mài cắt đứt D ≤ 406 mm, xem Bảng 1, số 1.3 và 1.5.
Các bộ phận bảo vệ sản phẩm vật liệu mài và các vỏ che khu vực gia công phải được xác định đối với sản phẩm vật liệu mài với các kích thước lớn nhất có thể áp dụng trên máy theo dự định sử dụng và tốc độ quay lớn nhất của trục chính bánh mài. Tốc độ lớn nhất có thể trong trường hợp có lỗi của bộ dẫn động trục chính bánh mài phải được xem là tốc độ tối đa.
CHÚ THÍCH: Bằng việc giám sát tốc độ liên quan đến các vùng đã xác định khác nhau của đường kính dụng cụ mài, việc giảm chiều dày thành của các bộ phận bảo vệ (bộ phận bảo vệ sản phẩm vật liệu mài và vỏ che khu vực gia công) có thể đạt được, theo Phụ lục A.
5.13.3 Các thiết bị bảo vệ chống lại sự văng ra của chi tiết gia công và các bộ phận của nó
5.13.3.1 Tổng quan
Máy mài phải được thiết kế sao cho ngăn ngừa sự văng ra của chi tiết gia công và/hoặc các bộ phận của nó. Nếu việc này không thể thực hiện được, thì phải trang bị các bộ phận bảo vệ phù hợp có khả năng giữ lại và chúng phải có kích thước theo năng lượng của các bộ phận văng ra này.
5.13.3.2 Máy mài phẳng
Máy mài phẳng (xem Bảng 1, các số 1.10 và 1.11) phải được trang bị thêm bộ phận bảo vệ chứa các chi tiết gia công bị văng ra được đặt ở biên của khu vực gia công theo chiều quay của sản phẩm vật liệu mài. Năng lượng dịch chuyển của các chi tiết gia công bị văng ra phải được xác định từ khối lượng của chi tiết gia công và vận tốc dài tối đa của sản phẩm vật liệu mài. Các kích thước yêu cầu của bộ phận bảo vệ chứa có thể được xác định bằng các công thức tính trong A.4.3 cho các vật liệu khác nhau của thiết bị bảo vệ. Etrans trong các công thức tương ứng với năng lượng đã xác định của chi tiết gia công bị văng ra.
CHÚ THÍCH: Đối với máy mài phẳng, khối lượng chi tiết gia công lớn nhất bị văng ra có thể được giả thiết m = 0,5 kg.
5.14 Các yêu cầu riêng xuất phát từ các mối nguy hiểm do mất ổn định
Máy và trang thiết bị liên quan phải được thiết kế sao cho chúng ổn định dưới các điều kiện sử dụng quy định. Phải đáp ứng các yêu cầu trong ISO 12100:2010, 6.2.6 và 6.3.2.6.
5.15 Các yêu cầu riêng xuất phát từ các mối nguy hiểm do người bị trượt, vấp và ngã
Máy và trang thiết bị liên quan phải được thiết kế sao cho chúng ổn định dưới các điều kiện sử dụng quy định. Phải đáp ứng các yêu cầu trong ISO 12100:2010, 6.2.6 và 6.3.2.6.
a) Chỗ làm việc và các biện pháp tiếp cận với máy (như cầu thang, các thang tích hợp, các bục vận hành và lối đi bộ) phải được thiết kế để giảm thiểu khả năng trượt, vấp và ngã bằng việc sử dụng các chỗ dựa tay, chỗ dựa chân, và bề mặt chống trượt nếu cần thiết. Các yêu cầu của TCVN 7387-1 (ISO 14122-1), TCVN 7387-2 (ISO 14122-2), ISO 14122-3 và ISO 14122-4 phải được đáp ứng.
b) Để tránh bẩn sàn, khi có hệ thống cung cấp chất lỏng gia công kim loại, nó phải được thiết kế để ngăn ngừa bắn tóe, phun và phun mù ra ngoài vỏ che máy. Thông tin sử dụng phải lưu ý về tầm quan trọng của việc ngăn ngừa chất lỏng bị đổ ra vào khu vực xung quanh và do đó gây ra các mối nguy hiểm trượt.
6 Kiểm tra xác nhận các yêu cầu an toàn và/hoặc các biện pháp bảo vệ
Bảng 4 chỉ ra các phương pháp theo đó các yêu cầu và/hoặc các biện pháp an toàn đã mô tả trong Điều 5 phải được kiểm tra xác nhận, cùng với tham chiếu đến điều tương ứng trong tiêu chuẩn này.
Bảng 4 - Các phương pháp kiểm tra xác nhận
| Điều | Yêu cầu an toàn và/hoặc các biện pháp bảo vệ | Phương pháp kiểm tra xác nhận | ||||
| Kiểm tra bằng mắt | Thử chức năng | Đo | Tính toán | Lập tài liệu | ||
| 5.1 | Yêu cầu chung |
| ||||
| 5.1.2 | Các yêu cầu đối với các bộ phận bảo vệ cho tất cả các nhóm máy mài | X | X | X |
| X |
| 5.2 | Các yêu cầu riêng xuất phát từ các mối nguy hiểm cơ khí | |||||
| 5.2.1 | Nhóm máy 1, các máy mài điều khiển bằng tay không có các trục được vận hành bằng năng lượng và không có điều khiển số | X | X | X |
| X |
| 5.2.2 | Nhóm máy 2, các máy mài điều khiển bằng tay với các trục được vận hành bằng năng lượng và, nếu thích hợp, với khả năng điều khiển số hạn chế | X | X | X |
| X |
| 5.2.3 | Nhóm máy 3, các máy mài điều khiển số | |||||
| 5.2.3.1 | Tiếp cận vào khu vực gia công | X | X |
|
| X |
| 5.2.3.2 | Yêu cầu riêng đối với các bộ phận bảo vệ | X | X | X |
| X |
| 5.2.3.3 | Các yêu cầu riêng khác | X | X | X | X | X |
| 5.2.4 | Thiết bị kẹp dụng cụ | X | X | X | X | X |
| 5.2.5 | Kẹp chi tiết gia công | |||||
| 5.2.5.2 | Giá đỡ chi tiết gia công | X |
| X |
| X |
| 5.2.5.3 | Thiết bị kẹp chi tiết gia công vận hành bằng năng lượng | X | X | X |
| X |
| 5.2.6 | Các trục thẳng đứng hoặc nghiêng dưới tác dụng của trọng lực | X | X |
|
| X |
| 5.2.7 | Các chế độ vận hành máy | |||||
| 5.2.7.1 | Lựa chọn chế độ | X | X |
|
| X |
| 5.2.7.2 | MSO 0: Chế độ bằng tay | X | X | X |
| X |
| 5.2.7.3 | MSO 1: Chế độ tự động | X | X |
|
| X |
| 5.2.7.4 | MSO 2: Chế độ cài đặt | X | X | X |
| X |
| 5.2.7.5 | MSO 3: Chế độ tùy chọn đặc biệt dùng cho sự can thiệp bằng tay dưới chế độ các điều kiện vận hành bị hạn chế | X | X | X |
| X |
| 5.2.7.6 | Chế độ bảo dưỡng | X | X | X |
| X |
| 5.2.8 | Trang bị tùy chọn hoặc bổ sung cho máy mài | |||||
| 5.2.8.1 | Thiết bị vận chuyển dùng để tháo/lắp chi tiết gia công | X | X |
|
| X |
| 5.2.8.2 | Máy được trang bị ụ sau và/hoặc nòng ụ sau | X | X | X |
| X |
| 5.2.8.3 | Ổ chứa dụng cụ, cơ cấu chuyển dụng cụ và cơ cấu thay dụng cụ có thể tiếp cận được bên ngoài | X | X | X |
| X |
| 5.3 | Các yêu cầu riêng xuất phát từ các mối nguy hiểm về điện | X | X | X |
| X |
| 5.4 | Các yêu cầu riêng xuất phát từ các mối nguy hiểm do tiếng ồn | X | X | X |
| X |
| 5.5 | Các yêu cầu riêng xuất phát từ các mối nguy hiểm do rung | X | X | X |
| X |
| 5.6 | Các yêu cầu riêng xuất phát từ các mối nguy hiểm do bức xạ | X | X | X |
| X |
| 5.7 | Các yêu cầu riêng xuất phát từ các mối nguy hiểm do vật liệu hoặc các chất | |||||
| 5.7.1 | Tổng quan | X | X | X |
| X |
| 5.7.2 | Thiết bị dùng cho việc sử dụng các chất lỏng gia công kim loại | |||||
| 5.7.2.1 | Tổng quan | X | X | X |
| X |
| 5.7.2.2 | Các biện pháp bảo vệ chống lại sự tiếp xúc hoặc sự hít vào | X | X | X |
| X |
| 5.7.2.3 | Các mối nguy hiểm sinh vật và vi sinh vật (vi rút và vi khuẩn) | X | X |
|
| X |
| 5.7.3 | Các biện pháp chống lại mối nguy hiểm do cháy và nổ | |||||
| 5.7.3.1 | Chất lỏng gia công kim loại dễ cháy | X | X | X |
| X |
| 5.7.3.2 | Bụi dễ cháy và nổ | X | X |
|
| X |
| 5.8 | Các yêu cầu riêng xuất phát từ các mối nguy hiểm do không chú ý đến các nguyên tắc ecgônômi | X | X | X |
| X |
| 5.9 | Các yêu cầu riêng xuất phát từ các mối nguy hiểm do khởi động không mong muốn, chạy quá hoặc vượt quá tốc độ | X | X |
|
| X |
| 5.10 | Các yêu cầu riêng xuất phát từ các nguy hiểm do việc thay đổi tốc độ quay của trục chính mang dụng cụ | X | X |
|
| X |
| 5.11 | Các yêu cầu riêng xuất phát từ các mối nguy hiểm do lỗi nguồn cung cấp | X | X |
|
| X |
| 5.12 | Các yêu cầu riêng xuất phát từ các mối nguy hiểm do lỗi mạch điều khiển | X | X |
| X | X |
| 5.13 | Các yêu cầu riêng xuất phát từ các mối nguy hiểm do chất lỏng hoặc vật bị văng ra | |||||
| 5.13.1 | Các yêu cầu chung | X | X |
|
| X |
| 5.13.2 | Các bộ phận bảo vệ để ngăn ngừa sự văng ra trong sự cố gãy vỡ sản phẩm vật liệu mài | |||||
| 5.13.2.1 | Các bộ phận bảo vệ sản phẩm vật liệu mài | X | X | X | X | X |
| 5.13.2.2 | Vỏ che khu vực gia công | X | X | X | X | X |
| 5.13.3 | Các thiết bị bảo vệ chống lại sự văng ra của chi tiết gia công và các bộ phận của nó | X | X | X | X | X |
| 5.14 | Các yêu cầu riêng xuất phát từ các mối nguy hiểm do mất ổn định | X | X |
|
| X |
| 5.15 | Các yêu cầu riêng xuất phát từ các mối nguy hiểm do người bị trượt, vấp và ngã | X | X |
|
| X |
| 7 | Thông tin cho sử dụng | |||||
| 7.1 | Ghi nhãn | X |
|
|
| X |
| 7.2 | Hướng dẫn sử dụng | X |
|
|
| X |
7 Thông tin cho sử dụng
CHÚ THÍCH: Xem ISO 12100:2010, 6.4.
7.1 Ghi nhãn
Máy mài phải có nhãn phù hợp với ISO 12100:2010, 6.4.4. Nhãn tối thiểu phải cung cấp:
a) Để nhận biết máy rõ ràng:
1) Tên và địa chỉ của nhà sản xuất, nếu có, đại diện được ủy quyền;
2) Ký hiệu máy, loạt hoặc kiểu máy;
3) Số sê ri, nếu có;
4) Năm sản xuất, là năm hoàn thiện việc chế tạo máy.
b) Để chỉ ra máy tuân theo các yêu cầu bắt buộc (ví dụ nhãn CE);
c) Để sử dụng máy an toàn
1) Chiều quay của trục chính bánh mài;
2) Tốc độ cho phép lớn nhất hoặc dải tốc độ cửa trục chính bánh mài tính bằng vòng trên phút hoặc vận tốc dài tính bằng mét trên giây;
3) Các kích thước cho phép lớn nhất của sản phẩm bánh mài;
4) Khối lượng máy;
5) Dữ liệu nguồn cấp đối với các hệ thống điện, thủy lực và khí nén;
6) Tốc độ trục chính kẹp gia công cho phép lớn nhất tính bằng vòng trên phút;
7) Các bộ phận bảo vệ, các thiết bị bảo vệ và các bộ phận khác của máy, chúng không được gắn một cách cố định, phải được ghi nhãn với các dữ liệu nhận biết;
8) Máy có rủi ro cháy và nổ phải được cung cấp nhãn phù hợp, nếu
i) chất dập cháy đi kèm máy có gây ra mối nguy hiểm, và
ii) máy được dự định dành riêng cho gia công các vật liệu đặc biệt (như các kim loại nhẹ) và cho gia công các vật liệu khác (như tạo thành tia lửa) có thể sinh ra các mối nguy hiểm.
7.2 Hướng dẫn sử dụng
7.2.1 Tổng quan
Một số tay hướng dẫn sử dụng phù hợp với ISO 12100:2010, 6.4.5 với thông tin riêng cho máy mài cụ thể phải được cung cấp kèm theo máy.
Các hướng dẫn sử dụng phải cung cấp toàn bộ thông tin cần thiết liên quan đến vận chuyển, lắp ráp/tháo rời, vận hành, cài đặt, bảo trì, vệ sinh máy, ... để đào tạo hoặc tuyển chọn người vận hành đủ trình độ sử dụng an toàn máy.
Sổ tay hướng dẫn sử dụng phải quy định rằng thiết yếu người vận hành được đào tạo thích hợp về sử dụng an toàn, điều chỉnh và vận hành máy. Tối thiểu những thông tin sau phải được cung cấp:
a) Các quy định kỹ thuật về các quá trình gia công và các chế độ vận hành an toàn thích hợp cho máy mài. Nếu máy có chế độ MSO 2 và/hoặc MSO 3 và/hoặc chế độ bảo dưỡng, chi tiết của việc dự định sử dụng các chế độ này phải được xác định.
1) Thông tin về việc sử dụng sai có thể thấy trước phải được đưa ra.
2) Thông tin về các rủi ro còn lại có thể xảy ra, ví dụ như về
i) bất kỳ chế độ vận hành an toàn đã cung cấp nào (như MSO 0, MSO 1, MSO 2, MSO 3 hoặc chế độ bảo dưỡng),
ii) ồn (xem 7.2.6),
iii) rung động trên các máy dẫn hướng bằng tay (xem 7.2.7), và
iv) chạm vào sản phẩm vật liệu mài khi dụng cụ được dẫn hướng bằng tay.
3) Thông tin về trình độ chuyên môn cần thiết của người vận hành, đặc biệt là nếu máy cho phép các chế độ MSO 0, MSO 2, MSO 3, và/hoặc chế độ bảo dưỡng, ví dụ có thể bao gồm các kinh nghiệm trong
i) điều chỉnh và gá kẹp các chi tiết gia công và thiết bị,
ii) cài đặt, vận hành và giám sát máy mài,
iii) lựa chọn và sử dụng các sản phẩm vật liệu mài,
iv) gá lắp và sửa sản phẩm vật liệu mài,
v) đầu vào dữ liệu dùng cho gia công các chi tiết gia công và tối ưu hóa quá trình gia công,
vi) các mối nguy hiểm đặc biệt và các yêu cầu an toàn, và
vii) sử dụng trang bị bảo vệ cá nhân.
CHÚ THÍCH: Trong các chế độ MSO 3 và chế độ bảo dưỡng, có thể cần thiết các kỹ năng bổ sung (xem 7.2.9).
Bổ sung cho thông tin chung được yêu cầu theo ISO 12100:2010, các thông tin sau phải được đưa ra trong hướng dẫn sử dụng:
b) Yêu cầu mà các bộ phận bảo vệ an toàn phải lắp đúng vị trí và chức năng trước khi khởi động máy cho từng chế độ vận hành an toàn;
c) Bất kỳ thông tin cần thiết nào cho lắp đặt an toàn (như các điều kiện sàn nhà, dịch vụ, khử rung);
Việc này bao gồm thông tin về vị trí cho các máy để sử dụng với các chất lỏng gia công kim loại dễ cháy, chúng được trang bị các thiết bị xả áp, và thông tin về vị trí của bộ lọc ẩm cho các máy để gia công các vật liệu mà sinh ra bụi dễ cháy và nổ;
d) Yêu cầu đối với bảo trì, bao gồm một danh sách các thiết bị bảo trì phải được kiểm tra hoặc thử nghiệm, gồm cả tần suất và phương pháp thử;
e) Tần suất của việc kiểm tra bằng mắt là cần thiết để bảo đảm chức năng bảo vệ của các cửa sổ quan sát và các tấm che trong suốt
1) Phương pháp kiểm tra và bản mô tả các vết hỏng mà làm cho tấm che trong suốt không phù hợp để tiếp tục sử dụng hoặc chỉ ra rằng cần phải thay thế. Thông tin này có thể bao gồm các mô tả của trạng thái tấm che trong suốt không được chấp nhận, như biến dạng dẻo (các chỗ phình ra, các vết lõm) do các sự cố va đập, các nứt trước đó, hư hỏng do sự bít kín mép, sự thẩm thấu chất làm mát (ảnh hưởng của già hóa) vào composite, bằng chứng của sự suy thoái như mờ/bạc màu, hư hỏng khác đến các lớp bảo vệ. Các tấm che trong suốt bằng polycarbonate là nguy hiểm ngay khi chúng bị mờ hoặc bạc màu và do đó chúng phải được thay thế bằng các tấm che trong suốt mới trước khi hư hỏng đó xảy ra.
2) Các khuyến nghị của nhà sản xuất đối với việc thay thế các tấm che trong suốt phải được xem xét về tính chất vật liệu của tấm che trong suốt tương ứng. Với trường hợp đặc biệt của polycarbonate, xem A.3.6.
3) Các phương pháp được khuyến nghị để làm sạch các tấm che trong suốt không gây ra hư hỏng và khi thích hợp, lựa chọn và sử dụng chất làm sạch phù hợp.
4) Yêu cầu mà khi thay các tấm che trong suốt là phải tuân theo hướng dẫn lắp ráp của nhà sản xuất.
f) Các khuyến nghị về việc vận chuyển và nâng hạ các chi tiết/các dụng cụ hoặc các chi tiết gia công nặng bao gồm cả vị trí của các điểm nâng hạ các bộ phận có thể thay thế, ví dụ như dụng cụ, các chi tiết, các thiết bị kẹp;
g) Các khuyến nghị về việc sử dụng laze hiệu chuẩn (nếu áp dụng, xem IEC 60825-1);
h) Các khuyến nghị về lựa chọn, chuẩn bị, áp dụng và bảo trì các chất bôi trơn cho các hệ thống phanh và truyền động;
i) Các khuyến nghị về lựa chọn, chuẩn bị, áp dụng và bảo trì các chất lỏng gia công kim loại và các biện pháp phòng ngừa chống lại sự suy thoái của chúng và thông tin tuân theo các khuyến nghị của nhà sản xuất chất lỏng gia công kim loại;
j) Các khuyến nghị về các biện pháp ngăn ngừa sự bắn tóe, phun mù hoặc sự văng ra của chất lỏng gia công kim loại, ví dụ như sự sạch sẽ của các máng thu gom, và về sự phòng tránh các chất lỏng bị đổ ra vào môi trường của máy;
k) Các khuyến nghị về việc giảm rủi ro cháy nổ cho lựa chọn các chất lỏng gia công kim loại dễ cháy. Việc này bao gồm ví dụ như thông tin về độ nhớt và điểm chớp cháy và về việc giảm sự hình thành son khí và hơi thông qua việc lựa chọn các chất lỏng gia công kim loại phát xạ thấp (xem Phụ lục I);
l) Các khuyến nghị để sử dụng các biện pháp phòng ngừa bổ sung khi làm việc với các chất lỏng gia công kim loại dễ cháy
Việc này bao gồm các thông tin về
1) Sự thoát ra của khí nóng tại các khe hở của cửa và các lỗ mở của máy,
2) Các bề mặt và các chi tiết nóng có thể vẫn đang tồn tại sau khi có cháy,
3) Các mối nguy hiểm cháy ngược lại trong khi mở/khởi động lại máy một cách trực tiếp sau khi cháy, và
4) Ngăn ngừa sự thâm nhập của các ngoại vật như
i) các sản phẩm làm sạch và thuần hóa máy,
ii) các sản phẩm và các dung môi làm sạch chi tiết gia công, và
iii) dầu từ bên ngoài, …
để duy trì các tính chất liên quan đến an toàn của chất lỏng gia công kim loại liên quan đến các mối nguy hiểm cháy và nổ trong suốt tuổi thọ của nó.
m) Các khuyến nghị về các biện pháp phòng ngừa bổ sung, nếu bụi dễ cháy hoặc dễ nổ được hình thành trong khi gia công (cũng xem 7.2.9, đoạn thứ hai);
n) Các hướng dẫn cho phép người bị mắc kẹt thoát ra;
o) Các hướng dẫn về việc sử dụng trang bị bảo vệ cá nhân (như bảo vệ tay, tai và mắt);
p) Các hướng dẫn để kết nối hệ thống hút khi quá trình gia công sinh ra các chất gây nguy hiểm (như bụi và mù sương);
q) Cảnh báo về các mối nguy hiểm và các biện pháp phòng ngừa tại nơi làm việc và các nơi tiếp cận vào máy (như cầu thang, bệ gia công, lối đi) có mặt các mối nguy hiểm trượt, vấp hoặc ngã.
7.2.2 Dụng cụ
a) Thông tin về việc lựa chọn và vận chuyển các sản phẩm vật liệu mài và các bích kẹp, về cách gá lắp và kẹp chặt thích hợp các sản phẩm vật liệu mài, về thử vòng và thử tốc độ, về sử dụng các lớp và các khoảng trống trung gian, về sự bắt đầu của sản phẩm vật liệu mài mới, về sửa đá mài, xem Phụ lục D. Thông tin về việc lựa chọn các sản phẩm vật liệu mài nên bao gồm lời khuyên về việc kiểm tra khả năng có thể áp dụng được của các sản phẩm vật liệu mài có ồn thấp, nếu thích hợp áp dụng.
b) Thông tin về khối lượng cho phép lớn nhất và vỏ bao không gian của sản phẩm vật liệu mài trên các máy mài được trang bị các cơ cấu lắp tự động.
c) Thông tin về việc lựa chọn các bộ phận bảo vệ sản phẩm vật liệu mài cho các loại và các kích thước khác nhau của các sản phẩm vật liệu mài.
d) Thông tin về các bộ phận bảo vệ an toàn và các biện pháp bảo vệ, như trang bị bảo vệ cá nhân, chúng có thể cần thiết trong khi làm sạch bằng tay các chỗ sứt mẻ của sản phẩm vật liệu mài.
7.2.3 Kẹp chi tiết gia công
Thông tin sau về việc kẹp chi tiết gia công và các thiết bị kẹp chi tiết gia công phải được cung cấp.
a) Đối với các thiết bị kẹp chi tiết gia công được cung cấp cùng với máy: Thông tin về việc phải sử dụng và bảo trì thiết bị kẹp chi tiết gia công như thế nào (như lịch trình bảo trì và bôi trơn).
b) Đối với các thiết bị kẹp chi tiết gia công có thể được sử dụng: Các khuyến nghị về việc kẹp chặt chi tiết gia công, bao gồm cả thông tin về các ống kẹp hoặc các mâm cặp có thể được sử dụng theo máy cùng với khuyến nghị cho sử dụng/bảo trì của nhà sản xuất thiết bị kẹp chi tiết gia công.
c) Đối với việc thay thế/thay thiết bị kẹp chi tiết gia công: Thông tin để cho phép các thiết bị kẹp chi tiết gia công (như các mâm cặp, tấm gá bề mặt hoặc các ống kẹp) sẽ được chọn, lắp, và/hoặc thay, ví dụ như dữ liệu liên quan đến bộ phận đó của thiết bị kẹp/giao diện máy thuộc về máy hoặc các yêu cầu mất cân bằng đối với mâm cặp và tấm gá bề mặt.
d) Đối với các chỉnh sửa thiết bị kẹp chi tiết gia công:
1) Thông tin phải được đưa ra mà việc chỉnh sửa các thiết bị kẹp chi tiết gia công được cung cấp cùng hoặc được lắp với máy có thể giảm hoặc thay đổi tốc độ trục chính cho phép lớn nhất hoặc hiệu quả của các thiết bị này.
2) Thông tin phải được đưa ra mà các thiết bị kẹp chi tiết gia công chỉ được chỉnh sửa trong các giới hạn đã cho bởi nhà sản xuất máy mài và phù hợp với các khuyến nghị của nhà sản xuất thiết bị kẹp.
3) Thông tin phải được đưa ra về dụng cụ bổ sung thêm hoặc thay thế cho các thiết bị kẹp chi tiết gia công (như các chấu cặp) chúng có thể làm giảm tốc độ cho phép lớn nhất của các thiết bị này. Dụng cụ đó phải được ghi nhãn rõ ràng về tốc độ cho phép lớn nhất giảm tính bằng vòng trên phút.
7.2.4 Các chức năng máy có thể truy cập được từ bảng điều khiển NC
Hướng dẫn sử dụng phải mô tả lựa chọn đúng và sử dụng các chức năng máy có thể truy cập được từ bảng điều khiển NC, như các hiệu chỉnh dụng cụ, truy cập chế độ, và các thay đổi chế độ.
7.2.5 Khởi động lại
Thông tin phải được cung cấp về quy trình khởi động lại. Đặc biệt, sau khi thay sản phẩm vật liệu mài, người cài đặt máy phải nhập vào tốc độ lớn nhất của sản phẩm vật liệu mài. Sau mỗi lần thay đổi chương trình, người vận hành phải nhập vào và/hoặc xác nhận giá trị tốc độ vận hành lớn nhất và cả hai tốc độ phải được xác nhận giá trị bởi người vận hành.
Người vận hành phải nhập vào và/hoặc xác nhận giá trị tốc độ vận hành lớn nhất cho chi tiết gia công cụ thể và tốc độ lớn nhất của chi tiết gia công.
7.2.6 Ồn
Phải cung cấp các thông tin sau về phát xạ ồn trong không khí của máy:
a) Mức áp suất âm phát xạ theo trọng số A tại các trạm làm việc, khi mức này vượt quá 70 dB (A); khi mức này không vượt quá 70 dB (A), thực tế này phải được biểu thị;
b) Mức áp suất âm phát xạ tức thời theo trọng số C đỉnh tại các trạm làm việc, khi mức này vượt quá 63 Pa (130 dB liên quan đến 20 µPa);
c) Mức công suất âm theo trọng số A phát ra bởi máy, khi mức áp suất âm phát xạ theo trọng số A tại các trạm làm việc vượt quá 80 dB (A).
Các giá trị này phải là các giá trị đo được thực tế đối với máy đang được nói đến hoặc là các giá trị được thiết lập trên cơ sở các phép đo thực hiện cho máy móc có thể so sánh được về mặt kỹ thuật mà nó đại diện cho máy sẽ được chế tạo.
Trong trường hợp máy rất lớn, thay vì mức công suất âm theo trọng số A, có thể biểu thị các mức áp suất âm phát xạ theo trọng số A tại các vị trí quy định xung quanh máy.
Bất kể khi nào các giá trị phát xạ âm được biểu thị, độ không đảm bảo quanh các giá trị này phải được quy định. Các điều kiện vận hành máy trong khi đo và các phương pháp đo đã sử dụng phải được mô tả.
Vị trí và giá trị của áp suất âm lớn nhất phải được biểu thị.
Việc khai báo phải được kèm thêm bằng một bản nêu phương pháp đo đã sử dụng và các điều kiện vận hành áp dụng trong khi thử và các giá trị độ không đảm bảo K, sử dụng một mẫu dạng số kép của khai báo được định nghĩa phù hợp với ISO 4871:
- K = 4 dB khi sử dụng ISO 3746 hoặc ISO 11202 (cấp 3);
- K = 2.5 dB khi sử dụng ISO 3744 hoặc ISO 11204 (cấp 2).
Ví dụ: Đối với mức công suất âm LWA = 83 dB(A) (giá trị đo được), độ không đảm bảo K = 4 dB(A) đối với các phép đo thực hiện theo ISO 3746.
CHÚ THÍCH: Một ví dụ khác có thể xem trong TCVN 7011-5:2007 (ISO 230-5:2000), Phụ lục E.
Nếu độ chính xác của các giá trị độ ồn phát ra đã khai báo cần được xác minh, các phép đo phải được thực hiện bằng sử dụng cùng một phương pháp và cùng điều kiện vận hành giống như cho các phép đo đã khai báo.
Khai báo độ ồn phải được đưa ra cùng với tuyên bố sau:
“Các số liệu trích dẫn là các mức phát xạ và không phải là các mức làm việc an toàn cần thiết. Trong khi có sự tương quan giữa các mức phơi nhiễm và mức phát xạ, điều này không thể chắc chắn sử dụng để xác định có hay không có thêm các phòng ngừa an toàn được yêu cầu. Những yếu tố ảnh hưởng đến mức phơi nhiễm thực tế của lực lượng lao động bao gồm cả đặc điểm của nhà xưởng và các nguồn gây ồn khác, nghĩa là số lượng máy và các quá trình liền kề khác và thời gian mà người vận hành bị phơi nhiễm với tiếng ồn. Hơn nữa, mức phơi nhiễm cho phép có thể khác nhau giữa các quốc gia. Tuy nhiên, thông tin này sẽ cho phép người sử dụng máy thực hiện đánh giá tốt hơn về các mối nguy hiểm và rủi ro”.
7.2.7 Rung
Trong trường hợp các bộ phận phía trên của thân chịu các rung động, như các máy mài dẫn hướng bằng tay, sổ tay hướng dẫn phải bao gồm các thông tin sau liên quan đến các rung động được truyền bởi máy.
- Giá trị rung tổng mà các bộ phận phía trên của thân chịu tác động nếu giá trị xác định được lớn hơn 2,5 m/s2.
- Nếu giá trị rung tổng mà các bộ phận phía trên của thân chịu tác động không vượt quá 2,5 m/s2, giá trị này phải được biểu thị.
- Độ không đảm bảo đo phải được thông báo.
Sổ tay hướng dẫn cũng phải cung cấp thông tin sau:
a) Thông tin về các biện pháp kỹ thuật để giảm rung;
b) Thông tin về trang bị bảo vệ cá nhân, nếu thích hợp;
c) Các điều kiện vận hành máy trong khi đo rung;
d) Các vị trí của bộ chuyển đổi trong khi đo;
e) Các phương pháp đo rung được sử dụng;
f) Tiêu chí theo đó sự khai báo rung được thực hiện (như EN 12096).
7.2.8 Thiết bị vận chuyển phụ trợ
Nếu các thiết bị vận chuyển phụ trợ được tích hợp trên máy, nhà sản xuất/nhà cung cấp thiết bị vận chuyển phụ trợ phải cung cấp thông tin cần thiết để cho phép nhà sản xuất/nhà cung cấp máy lắp đặt các thiết bị này cho sử dụng.
7.2.9 Rủi ro còn lại mà người sử dụng máy cần xác định
Thông tin phải được đưa ra để cảnh báo rằng các bộ phận bảo vệ đã cho hoặc đã cung cấp với máy phù hợp với Phụ lục A nhằm giảm thiểu rủi ro của sự văng ra và không loại bỏ chúng hoàn toàn. Cũng như vậy, khoảng cách tối thiểu từ người vận hành đến các cửa sổ quan sát phải được đưa ra.
Phải đưa ra khuyến cáo rằng các chất gia công như nhôm hoặc magiê có thể gây ra các mối nguy hiểm bổ sung, ví dụ như cháy, nổ hay các bụi có hại.
Phải đưa ra các hướng dẫn về các kiểm tra cần thiết sau khi thay thế các chi tiết, tháo thiết bị hoặc thay đổi phần mềm mà có thể ảnh hưởng đến các chức năng an toàn.
Phải đưa ra các thông tin để chỉ ra rằng việc gia công các chi tiết gia công mất cân bằng có thể gây ra mối nguy hiểm do văng ra và cách để giảm thiểu rủi ro bằng cách lắp đối trọng cân bằng hoặc giảm tốc độ khi gia công.
Phải đưa ra thông tin về quá trình gia công và các chế độ vận hành an toàn phù hợp với máy mài.
Thông tin về những rủi ro còn lại có thể có, ví dụ thông qua các mối nguy hiểm cơ khí ở chế độ cài đặt và chế độ gia công bằng tay, phải được đưa ra.
Nếu máy cung cấp chế độ MSO 3 theo 5.2.7.5,
- Chi tiết của việc dự định sử dụng và các biện pháp an toàn phải được nhà sản xuất/nhà cung cấp lập thành tài liệu, và
- Nhà sản xuất/nhà cung cấp máy phải quy định mức kỹ năng yêu cầu đối với người vận hành để vận hành chế độ MSO 3.
Nếu máy cung cấp chế độ bảo dưỡng phù hợp với 5.2.7.6, thì nhà sản xuất máy phải quy định
- Chi tiết về việc áp dụng chế độ bảo dưỡng,
- Các kỹ năng yêu cầu và mức kỹ năng đối với người vận hành để vận hành chế độ bảo dưỡng, và
- Tất cả các dụng cụ và các thiết bị kẹp gia công (nếu áp dụng được) sẽ được tháo ra.
Thông tin phải được đưa ra về các thông số chính mà người sử dụng phải xem xét để giảm mức phát xạ ồn, như
a) Lựa chọn dụng cụ,
b) Kẹp chi tiết gia công/dụng cụ, và
c) Bảo trì.
7.2.10 Hướng dẫn lắp đặt máy mài
Thông tin về móng máy yêu cầu và cách lắp đặt và đỡ máy phải được cung cấp. Trên tất cả, việc vận chuyển an toàn các bộ phận nặng của máy cỡ lớn phải được mô tả.
7.2.11 Hướng dẫn làm sạch máy
Thông tin về các quy trình làm sạch nhìn thấy trước phải được cung cấp. Tất cả các trang bị tiện ích (ví dụ: chỗ dựa tay, chỗ để chân và/hoặc các bề mặt chống trơn trượt) phải được mô tả và cách thức tiếp cận đến tất cả các phía/các bộ phận của máy phải được giải thích.
Phụ lục A
(Quy định)
Bộ phận bảo vệ sản phẩm vật liệu mài, vỏ che khu vực gia công và các kết hợp của chúng
A.1 Tổng quan
Các yêu cầu dưới đây áp dụng cho các bộ phận bảo vệ sản phẩm vật liệu mài, vỏ che khu vực gia công và các kết hợp của chúng dùng cho sử dụng các sản phẩm vật liệu mài gắn kết và các sản phẩm vật liệu mài siêu cứng.
A.2 Các thuật ngữ viết tắt và các ký hiệu
| As | Mặt cắt ngang trượt của chi tiết cố định | [mm2] |
| AT | Mặt cắt ngang quy đổi trục của bulông quy đổi | [mm2] |
| D | Đường kính của diện tích chịu cắt | [mm] |
| E | Tổng năng lượng quay của sản phẩm vật liệu mài | [J] |
| Etrans | Năng lượng tịnh tiến của mảnh vỡ | [J] |
| E'trans | Năng lượng tịnh tiến của một mảnh vỡ để tính toán các chi tiết cố định của bộ phận bảo vệ sản phẩm vật liệu mài | [J] |
| Erol | Năng lượng quay của một mảnh vỡ | [J] |
| ∆E | Tổn thất năng lượng trong quá trình va đập | [J] |
| F | Lực va đập | [N] |
| Fm | Lực cắt trung bình | [N] |
| Fmax | Lực cắt lớn nhất | [N] |
| k | Hệ số va đập | [-] |
| ls | Chiều dài trục quy đổi của bulông quy đổi | [mm] |
| m | Khối lượng của sản phẩm vật liệu mài | [kg] |
| mBr | Khối lượng của một mảnh vỡ | [kg] |
| mSH | Khối lượng của bộ phận bảo vệ sản phẩm vật liệu mài | [kg] |
| n | Số lượng các chi tiết kẹp chặt | [-] |
| Q | Tỉ số của đường kính lỗ và đường kính ngoài của sản phẩm vật liệu mài | [-] |
| ReH | Giới hạn chảy trên | [N/mm2] |
| Rm | Độ bền kéo | [N/mm2] |
| Rp0,2 | Giới hạn chảy quy ước 0,2 % | [N/mm2] |
| s | Lượng dịch chuyển | [mm] |
| Sw | Khoảng cách cắt | [mm] |
| v | Vận tốc dài của một sản phẩm vật liệu mài | [m/s] |
| vmax | Vận tốc dài lớn nhất có thể có của một sản phẩm vật liệu mài trong trường hợp lỗi hỏng dẫn động trục chính bánh mài | [m/s] |
| vs | Vận tốc vận hành lớn nhất của một sản phẩm vật liệu mài | [m/s] |
| WD | Khả năng hấp thụ năng lượng của bulông giảm khi va đập kéo | [J] |
| Wi | Khả năng hấp thụ năng lượng của chi tiết kẹp chặt thứ i | [J] |
| Ws | Khả năng hấp thụ năng lượng của phần tử cắt khi va đập cắt | [J] |
| z | Số lượng các mảnh vỡ sản phẩm vật liệu mài | [-] |
| α | Một nửa góc của các mảnh vỡ | [°] |
|
| Một nửa góc của các mảnh vỡ (đo bằng radian) | [-] |
| εB | Độ dãn dài giới hạn | [%] |
| εR | Độ dãn tỉ đối khi đứt | [%] |
| E | Mô đun đàn hồi | [N/mm2] |
| αm | Trung bình đại số của giới hạn chảy trên ReH hoặc giới hạn chảy quy ước 0,2 % Rp0,2 và độ bền kéo Rm | [N/mm2] |
| ρ | Khối lượng riêng | [g/cm3] |
| τs | Độ bền cắt | [N/mm2] |
A.3 Các yêu cầu đối với các bộ phận bảo vệ sản phẩm vật liệu mài và các vỏ che khu vực gia công
A.3.1 Hình dạng của các bộ phận bảo vệ sản phẩm vật liệu mài và các góc mở
A.3.1.1 Tổng quan
Các bộ phận bảo vệ sản phẩm vật liệu mài phải giữ lại các mảnh vỡ một cách an toàn trong trường hợp sản phẩm vật liệu mài bị gãy vỡ. Thông thường, sản phẩm vật liệu mài được che kín hoàn toàn bởi bộ phận bảo vệ sản phẩm vật liệu mài. Góc mở là khác nhau đối với các loại máy mài khác nhau và phải cung cấp tiếp cận duy nhất đến bộ phận của sản phẩm vật liệu mài mà cần thiết cho quá trình gia công.
A.3.1.2 Bộ phận bảo vệ sản phẩm vật liệu mài đối với mài chu vi
Các bộ phận bảo vệ sản phẩm vật liệu mài trên các máy mài dùng để mài chu vi, cắt đứt, mài biên dạng, phù hợp với Bảng 1, các số 1.3, 1.5, 1.10, 1.13, 1.14 phải che kín sản phẩm vật liệu mài với một góc mở lớn nhất là 150° (xem các Hình A.1 và A.2).

Hình A.1

Hình A.2
A.3.1.3 Bộ phận bảo vệ sản phẩm vật liệu mài đối với mài chu vi với vận tốc dài v ≤ 50 m/s trên các máy mài kiểu băng hoặc kiểu bệ đỡ (xem Bảng 1, số 1.1)
Góc mở của bộ phận bảo vệ sản phẩm vật liệu mài không được vượt quá 90°, góc trên trục x không được vượt quá 65° đối với sản phẩm vật liệu mài có đường kính ngoài D ≤ 250 mm, và không được vượt quá 50° đối với sản phẩm vật liệu mài có đường kính ngoài D > 250 mm (xem Hình A.3).
|
|
|
| a) đường kính ngoài D ≤ 250 mm | b) đường kính ngoài D > 250 mm |
CHÚ DẪN:
1 trục x
Hình A.3
Bộ phận bảo vệ sản phẩm vật liệu mài đối với các sản phẩm vật liệu mài có đường kính ngoài D ≥ 125 mm phải được thiết kế sao cho lượng mòn chu vi bề rộng của khe hở giữa sản phẩm vật liệu mài và bộ phận bảo vệ sản phẩm vật liệu mài có thể được điều chỉnh đến giá trị ≤ 5 mm. Ví dụ xem các Hình A.4 đến Hình A.9.

Hình A.4

Hình A.5

Hình A.6

Hình A. 7

Hình A.8

Hình A.9
Khoảng cách phía bên giữa sản phẩm vật liệu mài và bộ phận bảo vệ sản phẩm vật liệu mài không được vượt quá 10 mm (xem Hình A.10).

Hình A.10
A.3.1.4 Bộ phận bảo vệ sản phẩm vật liệu mài đối với mài chu vi với vận tốc dài v > 50 m/s trên các máy mài kiểu băng hoặc kiểu bệ đỡ (xem Bảng 1, số 1.1)
Các máy mài kiểu băng hoặc kiểu bệ đỡ đối với các sản phẩm vật liệu mài có vs > 50 m/s phải được trang bị bộ phận bảo vệ sản phẩm vật liệu mài và bộ phận bảo vệ bên trong. Bộ phận bảo vệ bên trong bao che cho góc mở của bộ phận bảo vệ sản phẩm vật liệu mài trong trường hợp sản phẩm vật liệu mài đang mài bị gãy vỡ (xem Hình A.11 và A.12).

CHÚ DẪN:
1 bộ phận bảo vệ sản phẩm vật liệu mài
2 bộ phận bảo vệ bên trong
3 chốt mang
4 vít kẹp
5 sản phẩm vật liệu mài
Hình A.11

CHÚ DẪN:
1 bộ phận bảo vệ sản phẩm vật liệu mài
2 bộ phận bảo vệ bên trong
Hình A.12
Các yêu cầu và thiết kế của bộ phận bảo vệ bên trong:
Biên dạng hình chữ U tương thích với công tua bên trong của bộ phận bảo vệ dạng tròn. Góc định tâm phải bằng 140°. Như một chức năng của đường kính ngoài của sản phẩm vật liệu mài, các bề rộng của bánh mài dưới đây (T) phải được giám sát:
CHÚ THÍCH: Các kinh nghiệm đã chỉ ra rằng một vận hành an toàn chỉ được đảm bảo nếu các tỉ số đường kính/bề rộng dưới đây được tuân theo:
D ≥ 500 mm T ≥ 60 mm
D ≥ 600 mm T ≥ 50 mm
D ≥ 762 mm T ≥ 40 mm
Về phía bên trong của phần đang quay của biên dạng hình chữ U, phải có các chốt mang.
Bộ phận bảo vệ bên trong phải được gắn với các phần cạnh bên của bộ phận bảo vệ bằng các chi tiết kẹp chặt. Các chi tiết kẹp chặt phải có độ giãn dài khi đứt thấp, như M5 10.9.
Chiều dài thành của bộ phận bảo vệ bên trong ít nhất phải bằng 3 mm, nhưng tối đa là 5 mm, vật liệu là loại 1 đến 3 theo Bảng A.7.
Bộ phận bảo vệ bên trong phải được bố trí sao cho khoảng cách giữa cạnh phía trong của bộ phận bảo vệ và cạnh phía ngoài của bộ phận bảo vệ bên trong tối thiểu bằng 8 mm (xem Hình A.11).
A.3.1.5 Bộ phận bảo vệ sản phẩm vật liệu mài đối với mài mặt bên trên các máy mài kiểu băng hoặc kiểu bệ đỡ (xem Bảng 1, số 1.2)
Bộ phận bảo vệ sản phẩm vật liệu mài đối với các sản phẩm vật liệu mài mài mặt bên có hoặc không có rãnh phải được thiết kế sao cho độ mở
- phía trên trục x không vượt quá 0,4 D, và
- phía dưới trục x không vượt quá 0,2 D.
Xem các Hình A.13 và A.14.

CHÚ DẪN:
1 trục x
Hình A.13

CHÚ DẪN:
1 trục x
Hình A.14
Đối với các bộ phận bảo vệ sản phẩm vật liệu mài cho các sản phẩm vật liệu mài có đường kính ngoài D ≤ 200 mm, vỏ che phía trước nằm bên trên trục x là không cần thiết nếu phần theo chu vi mở rộng qua phía ngoài mặt bao quanh của sản phẩm vật liệu mài một khoảng ít nhất bằng 5 mm (xem các Hình A.15 và A.16).

Hình A.15

Hình A.16
A.3.1.6 Bộ phận bảo vệ sản phẩm vật liệu mài đối với máy mài trụ trong (xem Bảng 1, số 1.9)
Đối với các ví dụ về các thiết bị hoạt động một cách tự động để bảo vệ chống lại sự tiếp xúc với sản phẩm vật liệu mài, như trong khi tháo bỏ chi tiết gia công, xem các Hình A.17 đến Hình A.20.

Hình A.17

Hình A.18

Hình A.19

Hình A.20
Trong quá trình gia công, sự văng ra của các mảnh vỡ sản phẩm vật liệu mài phải được ngăn ngừa bằng vỏ che khu vực gia công phù hợp với 5.13.2.2.
A.3.1.7 Bộ phận bảo vệ sản phẩm vật liệu mài đối với máy mài trụ ngoài (xem Bảng 1, số 1.7 và 1.8)
Góc mở tổng của bộ phận bảo vệ sản phẩm vật liệu mài không được vượt quá 180°, độ mở phía trên trục x không được vượt quá 60° (xem Hình A.21).

CHÚ DẪN:
1 trục x
Hình A.21
Bộ phận bảo vệ sản phẩm vật liệu mài đối với các sản phẩm vật liệu mài có đường kính ngoài D ≥ 250 mm phải được thiết kế sao cho lượng mòn theo chu vi của khe hở giữa sản phẩm vật liệu mài và bộ phận bảo vệ sản phẩm vật liệu mài có thể được điều chỉnh đến giá trị ≤ 5 mm (xem các Hình A.5 đến Hình A.7).
A.3.1.8 Bộ phận bảo vệ sản phẩm vật liệu mài đối với mài mặt bên trên máy mài phẳng (xem Bảng 1, số 1.11)
Đối với các bộ phận bảo vệ sản phẩm vật liệu mài điều chỉnh được chuyển động (cũng có băng bảo vệ điều chỉnh được) ở đó chuyển động dọc trục của giá mang sản phẩm vật liệu mài được truyền động, khe hở giữa mặt chu vi của sản phẩm vật liệu mài và phía trong của bộ phận bảo vệ sản phẩm vật liệu mài tối đa phải bằng 12,5 mm và bề rộng hở (không được bảo vệ) của sản phẩm vật liệu mài To, nhô ra so với bộ phận bảo vệ sản phẩm vật liệu mài điều chỉnh được chuyển động (băng bảo vệ điều chỉnh được) phải là
To ≤ 0,3 T đối với T ≤ 50 mm
To ≥ 0,2 T đối với T > 50 mm
Xem Hình A.22.

CHÚ DẪN:
1 băng bộ phận bảo vệ điều chỉnh được
2 đĩa thép lắp lẫn được
3 sản phẩm vật liệu mài
Hình A.22
A.3.1.9 Bộ phận bảo vệ sản phẩm vật liệu mài đối với mài mặt bên trên máy mài trục chính kép (xem Bảng 1, số 1.12)
Các bộ phận bảo vệ sản phẩm vật liệu mài cho các máy mài trục chính kép phải che kín hoàn toàn khu vực gia công ngoại trừ các chỗ hở để gá lắp và tháo chi tiết gia công (xem các Hình A.23 và A.24).

Hình A.23

Hình A.24
A.3.1.10 Bộ phận bảo vệ sản phẩm vật liệu mài đối với máy mài dụng cụ (xem Bảng 1, số 1.6)
Kiểu bộ phận bảo vệ sản phẩm vật liệu mài được sử dụng phải tùy thuộc vào hình dạng và vị trí của sản phẩm vật liệu mài và thao tác gia công được thực hiện.
Góc mở của bộ phận bảo vệ sản phẩm vật liệu mài không được vượt quá 180°. Bộ phận bảo vệ sản phẩm vật liệu mài phải bao phủ toàn bộ bề rộng của sản phẩm vật liệu mài (xem các Hình A.25 và A.26).

Hình A.25

Hình A.26
A.3.1.11 Bộ phận bảo vệ sản phẩm vật liệu mài đối với máy mài khung xoay và máy mài cắt đứt khung xoay (xem Bảng 1, số 1.4)
Góc mở của bộ phận bảo vệ sản phẩm vật liệu mài không được vượt quá 160° (xem Hình A.27).

Hình A.27
A.3.2 Chiều dày thành và vật liệu
A.3.2.1 Tổng quan
Các bộ phận bảo vệ sản phẩm vật liệu mài phải có kích thước như cho trong các Bảng A.1 đến A.6 phụ thuộc vào vật liệu sử dụng (xem Bảng A.7). Chiều dày thành quy định cho các kích thước sản phẩm vật liệu mài và các vận tốc dài cho trong các bảng phải được xem là các giá trị nhỏ nhất.
Nếu máy mài được dự định để sử dụng các kiểu sản phẩm vật liệu mài khác nhau hoặc đối với các vận tốc dài khác nhau, các kích thước của bộ phận bảo vệ sản phẩm vật liệu mài phải luôn luôn dựa trên trường hợp mà năng lượng của các mảnh vỡ cao nhất được mong đợi (về tính toán, xem A.4.2).
Đối với các bánh mài được gá lắp theo bộ, việc xác định kích thước chiều dày thành của bộ phận bảo vệ phải xem xét sản phẩm vật liệu mài với năng lượng của các mảnh vỡ cao nhất (về tính toán, xem A.4.2). Việc xác định kích thước của bộ phận bảo vệ phải dựa trên 150 % giá trị năng lượng này cho các sản phẩm vật liệu mài gắn kết, hoặc 100 % cho các sản phẩm vật liệu mài siêu cứng.
Các nguyên tắc để xác định chiều dày thành được mô tả trong A.4. Đối với các kích thước sản phẩm vật liệu mài và các vận tốc dài không được liệt kê trong các bảng, thì chiều dày thành có thể được xác định bằng quy trình đã mô tả. Chiều dày thành ít nhất phải bằng 1,5 mm.
Đối với các kích thước sản phẩm vật liệu mài và/hoặc các vận tốc dài mà năng lượng mảnh vỡ cao hơn mong đợi so với các giá trị được lấy làm cơ sở cho các giá trị trong các bảng, người thiết kế phải quy định các kích thước một cách riêng lẻ. Trong trường hợp này, thiết kế phải cung cấp cho việc sử dụng hoặc các chi tiết hấp thụ năng lượng bổ sung trong bộ phận bảo vệ sản phẩm vật liệu mài hoặc các bộ phận bảo vệ sản phẩm vật liệu mài dày hơn.
A.3.2.2 Chiều dày thành
Xem các Bảng A.1 đến Bảng A.6.
Bảng A.1 - Chiều dày thành cho bộ phận bảo vệ sản phẩm vật liệu mài bằng thép đối với các sản phẩm vật liệu mài kết dính, trừ các bánh mài cắt đứt
Kích thước tính bằng milimét
| Vật liệua | Vận tốc dàid vmax m/s | Bề rộng của sản phẩm vật liệu mài T | Đường kính ngoài của sản phẩm vật liệu mài D | |||||||||||||||||||
| 125 | 200 | 315 | 406 | 508 | 610 | 762 | 914 | 1067 | 1250 | |||||||||||||
| Chiều dày thành nhỏ nhất b,c | ||||||||||||||||||||||
| tp | ts | tp | ts | tp | ts | tp | ts | tp | ts | tp | ts | tp | ts | tp | ts | tp | ts | tp | ts | |||
|
| 32 | 25 | 1,5 | 1,5 | 2,5 | 2 | 3 | 2,5 | 4 | 3 | 4,5 | 3,5 | 5 | 4 | 6 | 4,5 | 7 | 5 | 8 | 6 | 8,5 | 6,5 |
|
| 50 | 2 | 1,5 | 3 | 2 | 4 | 3 | 5 | 3,5 | 6 | 4,5 | 6,5 | 5 | 8 | 6 | 9 | 6,5 | 10 | 7,5 | 11 | 8,5 | |
|
| 100 | 2,5 | 2 | 4 | 3 | 5 | 4 | 6,5 | 5 | 7,5 | 5,5 | 8,5 | 6,5 | 10 | 7,5 | 11,5 | 8,5 | 13 | 10 | 14,5 | 11 | |
|
| 160 | 3 | 2,5 | 4,5 | 3,5 | 6 | 4,5 | 7,5 | 5,5 | 9 | 6,5 | 10 | 7,5 | 12 | 9 | 13,5 | 10,5 | 15 | 11,5 | 17 | 13 | |
| 1 | 200 | 3,5 | 2,5 | 5 | 3,5 | 7 | 5 | 8 | 6 | 9,5 | 7 | 11 | 8 | 13 | 10 | 15 | 11 | 16,5 | 12,5 | 18,5 | 14 | |
| 2 | 250 | 4 | 3 | 5,5 | 4 | 7,5 | 5,5 | 9 | 6,5 | 10,5 | 8 | 12 | 9 | 14 | 10,5 | 16 | 12 | 18 | 13,5 |
|
| |
| 3 | 315 |
|
|
|
| 8 | 6 | 10 | 7 | 11,5 | 8,5 | 13 | 10 | 15,5 | 11,5 | 17,5 | 13 |
|
|
|
| |
| 8 | 400 |
|
|
|
|
|
| 10,5 | 8 | 12,5 | 9,5 | 14 | 10,5 | 17 | 12,5 | 19 | 14,5 |
|
|
|
| |
|
| 500 |
|
|
|
|
|
|
|
| 13,5 | 10 | 15,5 | 11,5 | 18 | 13,5 |
|
|
|
|
|
| |
|
| 600 |
|
|
|
|
|
|
|
| 15,5 | 12 | 16,5 | 12,5 | 19,5 | 14,5 |
|
|
|
|
|
| |
|
| 40 | 25 | 2,0 | 1,5 | 2,5 | 2 | 3,5 | 3 | 4,5 | 3,5 | 5,5 | 4 | 6 | 4,5 | 7 | 5,5 | 8 | 6 | 9 | 7 | 10,5 | 7,5 |
|
| 50 | 2,5 | 2 | 3,5 | 2,5 | 5 | 3,5 | 6 | 4,5 | 7 | 5 | 8 | 6 | 9 | 7 | 10,5 | 8 | 12 | 9 | 13 | 10 | |
|
| 100 | 3 | 2,5 | 4,5 | 3,5 | 6 | 4,5 | 7,5 | 5,5 | 9 | 6,5 | 10 | 7,5 | 12 | 9 | 13,5 | 10 | 15 | 11,5 | 17 | 13 | |
|
| 160 | 3,5 | 3 | 5 | 4 | 7 | 5,5 | 9 | 6,5 | 10,5 | 8 | 12 | 9 | 14 | 10,5 | 16 | 12 | 18 | 13,5 | 20,5 | 15 | |
| 1 | 200 | 4 | 3 | 5,5 | 4,5 | 8 | 6 | 9,5 | 7 | 11,5 | 8,5 | 13 | 10 | 15,5 | 11,5 | 17,5 | 13 | 19,5 | 14,5 | 22 | 16,5 | |
| 2 | 250 | 4,5 | 3,5 | 6 | 5 | 8,5 | 6,5 | 10,5 | 8 | 12,5 | 9 | 14 | 10,5 | 16,5 | 12,5 | 19 | 14,5 | 21,5 | 16 |
|
| |
| 3 | 315 |
|
|
|
| 9,5 | 7 | 11,5 | 8,5 | 13,5 | 10 | 15,5 | 11,5 | 18 | 13,5 | 20,5 | 15,5 |
|
|
|
| |
| 8 | 400 |
|
|
|
|
|
| 12,5 | 9,5 | 14,5 | 11 | 17 | 12,5 | 20 | 15 | 22,5 | 17 |
|
|
|
| |
|
| 500 |
|
|
|
|
|
|
|
|
| 16 | 12 | 18 | 13,5 | 21,5 | 16 |
|
|
|
|
| |
|
| 600 |
|
|
|
|
|
|
|
|
| 17 | 12,5 | 19,5 | 14,5 | 23 | 17 |
|
|
|
|
| |
|
| 50 | 25 | 2,5 | 1,5 | 3 | 2,5 | 4,5 | 3,0 | 5 | 3,5 | 6 | 4,5 | 7 | 5,5 | 8,5 | 6,5 | 9,5 | 7 | 11 | 8 | 12 | 9 |
|
| 50 | 3 | 2 | 4 | 3 | 5,5 | 4,5 | 7 | 5 | 8 | 6 | 9 | 7 | 11 | 8 | 12,5 | 9,5 | 14 | 10,5 | 15,5 | 11,5 | |
|
| 100 | 3,5 | 2,5 | 5 | 4 | 7,5 | 5,5 | 9 | 6,5 | 10,5 | 8 | 12 | 9 | 14 | 10,5 | 16 | 12 | 18 | 13,5 | 20 | 15 | |
|
| 160 | 4,5 | 3 | 6 | 4,5 | 8,5 | 6,5 | 10,5 | 8 | 12,5 | 9 | 14 | 10,5 | 16,5 | 12,5 | 19 | 14 | 21,5 | 16 | 24 | 18 | |
| 1 | 200 | 5 | 3,5 | 6,5 | 5 | 9,5 | 7 | 11,5 | 8,5 | 13,5 | 10 | 15,5 | 11,5 | 18 | 13,5 | 20,5 | 15,5 | 23 | 17,5 | 26 | 19,5 | |
| 2 | 250 | 5 | 4 | 7 | 5,5 | 10 | 7,5 | 12 | 9 | 14,5 | 11 | 16,5 | 12,5 | 19,5 | 14,5 | 22,5 | 17 | 25 | 19 |
|
| |
| 3 | 315 |
|
|
|
| 11 | 8,5 | 13,5 | 10 | 15,5 | 12 | 18 | 13,5 | 21,5 | 16 | 24,5 | 18,5 |
|
|
|
| |
| 8 | 400 |
|
|
|
|
|
| 14,5 | 11 | 17 | 13 | 20 | 15 | 23,5 | 17,5 | 26,5 | 20 |
|
|
|
| |
|
| 500 |
|
|
|
|
|
|
|
| 18,5 | 14 | 21,5 | 16 | 25,5 | 19 |
|
|
|
|
|
| |
|
| 600 |
|
|
|
|
|
|
|
| 20 | 15 | 23 | 17 | 27 | 20 |
|
|
|
|
|
| |
|
| 63 | 25 | 2,5 | 2 | 3,5 | 3 | 5 | 4 | 6 | 4,5 | 7,5 | 5,5 | 8,5 | 6,5 | 10 | 7,5 | 11,5 | 8,5 | 12,5 | 9,5 | 14,5 | 11 |
|
| 50 | 3,5 | 2,5 | 5 | 3,5 | 6,5 | 5 | 8 | 6 | 9,5 | 7 | 11 | 8 | 13 | 9,5 | 14,5 | 11 | 16,5 | 12,5 | 18,5 | 14 | |
|
| 100 | 4,5 | 3,5 | 6 | 4,5 | 8,5 | 6,5 | 10,5 | 8 | 12 | 9 | 14 | 10,5 | 16,5 | 12,5 | 19 | 14 | 21 | 16 | 24 | 18 | |
|
| 160 | 5 | 4 | 7 | 5,5 | 10 | 7,5 | 12,5 | 9 | 14,5 | 11 | 16,5 | 12,5 | 19,5 | 15 | 22,5 | 17 | 25 | 19 | 28,5 | 21,5 | |
| 1 | 200 | 5,5 | 4,5 | 8 | 6 | 11 | 8,5 | 13,5 | 10 | 16 | 12 | 18 | 13,5 | 21,5 | 16 | 24,5 | 18,5 | 27,5 | 20,5 |
|
| |
| 2 | 250 | 6 | 4,5 | 8,5 | 6,5 | 12 | 9 | 14,5 | 11 | 17 | 13 | 20 | 15 | 23 | 17,5 | 26,5 | 20 |
|
|
|
| |
| 3 | 315 |
|
|
|
| 13 | 10 | 16 | 12 | 18,5 | 14 | 21,5 | 16 | 25,5 | 19 |
|
|
|
|
|
| |
| 8 | 400 |
|
|
|
|
| 17,5 | 13 | 20,5 | 15 | 23,5 | 17,5 | 27,5 | 20,5 |
|
|
|
|
|
|
| |
|
| 500 |
|
|
|
|
|
|
| 22 | 16,5 | 25,5 | 19 |
|
|
|
|
|
|
|
|
| |
|
| 600 |
|
|
|
|
|
|
|
| 23,5 | 17,5 | 27 | 20 |
|
|
|
|
|
|
|
| |
|
| 80 | 25 | 3 | 2,5 | 4,5 | 3,5 | 6 | 4,5 | 7,5 | 5,5 | 9 | 6,5 | 10 | 7,5 | 12 | 9 | 13,5 | 10 | 15 | 11,5 | 17 | 13 |
|
| 50 | 4 | 3 | 5,5 | 4 | 8 | 6 | 9,5 | 7 | 11,5 | 8,5 | 13 | 10 | 15,5 | 11,5 | 17,5 | 13 | 19,5 | 14,5 | 22 | 16,5 | |
| 1 | 100 | 5 | 4 | 7,5 | 5,5 | 10,5 | 7,5 | 12,5 | 9 | 14,5 | 11 | 17 | 12,5 | 20 | 15 | 22,5 | 17 | 25,5 | 19 | 28,5 | 21,5 | |
| 2 | 160 | 6 | 4,5 | 8,5 | 6,5 | 12 | 9 | 14,5 | 11 | 17,5 | 13 | 20 | 15,5 | 23,5 | 17,5 | 27 | 20 |
|
|
|
| |
| 3 | 200 | 6,5 | 5 | 9,5 | 7 | 13 | 10 | 16 | 12 | 19 | 14 | 21,5 | 16,5 | 25,5 | 18 |
|
|
|
|
|
| |
| 8 | 250 | 7,5 | 5,5 | 10,5 | 7,5 | 14,5 | 11 | 17,5 | 13 | 20,5 | 15 | 23,5 | 17,5 | 28 | 21 |
|
|
|
|
|
| |
|
| 315 |
|
|
|
| 15,5 | 11,5 | 19 | 14 | 22 | 16,5 | 25,5 | 19 |
|
|
|
|
|
|
|
| |
|
| 400 |
|
|
|
|
|
| 20,5 | 15,5 | 24,5 | 18 | 28 | 21 |
|
|
|
|
|
|
|
| |
|
| 100 | 25 | 3,5 | 3 | 5 | 4 | 7,5 | 5,5 | 9 | 6,5 | 10,5 | 7,5 | 12 | 9 | 14 | 10,5 | 16 | 12 | 18 | 13,5 | 20 | 15 |
| 1 | 50 | 4,5 | 3,5 | 6,5 | 5 | 9,5 | 7 | 11,5 | 8,5 | 13,5 | 10 | 15,5 | 11,5 | 18 | 13,5 | 20,5 | 15,5 | 23 | 17,5 | 26 | 19,5 | |
| 2 | 100 | 6 | 4,5 | 8,5 | 6,5 | 12 | 9 | 14,5 | 11 | 17 | 13 | 20 | 15 | 23,5 | 17,5 | 26,5 | 20 |
|
|
|
| |
| 3 | 160 | 7,5 | 5,5 | 10,5 | 7,5 | 14,5 | 11 | 17,5 | 13 | 20,5 | 15 | 23,5 | 17,5 | 27,5 | 21 |
|
|
|
|
|
| |
| 8 | 200 | 8 | 6 | 11 | 8,5 | 15,5 | 11,5 | 19 | 14 | 22 | 16,5 | 25,5 | 19 |
|
|
|
|
|
|
|
| |
| 1 | 125 | 25 | 4,5 | 3 | 6 | 4,5 | 8,5 | 6,5 | 10,5 | 7,5 | 12 | 9 | 14 | 10,5 | 16,5 | 12,5 | 19 | 14 |
|
|
|
|
| 2 | 50 | 5,5 | 4 | 8 | 6 | 11 | 8 | 13,5 | 10 | 15,5 | 12 | 18 | 13,5 | 21,5 | 16 | 24,5 | 18,5 |
|
|
|
| |
| 3 | 100 | 7 | 5,5 | 10 | 7,5 | 14 | 10,5 | 17 | 13 | 20 | 15 | 23,5 | 17,5 | 27,5 | 21 |
|
|
|
|
|
| |
| 8 | 160 | 8,5 | 6,5 | 12 | 9 | 17 | 12,5 | 20,5 | 15 | 24 | 18 | 27,5 | 21 |
|
|
|
|
|
|
|
| |
| a Ký hiệu vật liệu (xem bảng A.7). b tp Chiều dày thành của phần chu vi. ts Chiều dày thành của phần cạnh bên. c Xác định chiều dày thành (xem A.4.3). d Vận tốc dài có thể có lớn nhất của sản phẩm vật liệu mài tính đến sai lỗi của truyền động trục chính bánh mài (vận tốc được giám sát). | ||||||||||||||||||||||
Bảng A.2 - Chiều dày thành cho bộ phận bảo vệ sản phẩm vật liệu mài bằng thép đúc đối với các sản phẩm vật liệu mài kết dính, trừ các bánh mài cắt đứt
| Vật liệua | Vận tốc dàid vmax m/s | Bề rộng của sản phẩm vật liệu mài T | Đường kính ngoài của sản phẩm vật liệu mài D | |||||||||||||||||||
| 125 | 200 | 315 | 406 | 508 | 610 | 762 | 914 | 1067 | 1250 | |||||||||||||
| Chiều dày thành nhỏ nhất b,c | ||||||||||||||||||||||
| tp | ts | tp | ts | tp | ts | tp | ts | tp | ts | tp | ts | tp | ts | tp | ts | tp | ts | tp | ts | |||
| 4 | 32 | 25 | 2,5 | 2 | 3 | 2,5 | 4,5 | 3,5 | 5,5 | 4 | 6,5 | 5 | 7,5 | 5,5 | 8,5 | 6,5 | 10 | 7,5 | 11 | 8,5 | 12,5 | 9,5 |
| 50 | 3 | 2,5 | 4 | 3 | 6 | 4,5 | 7 | 5 | 8 | 6 | 9,5 | 7 | 11 | 8,5 | 12,5 | 9,5 | 14 | 10,5 | 16 | 12 | ||
| 100 | 4 | 3 | 5,5 | 4 | 7,5 | 5,5 | 9 | 6,5 | 10,5 | 8 | 12 | 9 | 14,5 | 11 | 16,5 | 12 | 18,5 | 14 | 20,5 | 15,5 | ||
| 160 | 4,5 | 3,5 | 6,5 | 4,5 | 9 | 6,5 | 10,5 | 8 | 12,5 | 9,5 | 14,5 | 11 | 17 | 13 | 19,5 | 14,5 | 22 | 16,5 | 24,5 | 18,5 | ||
| 200 | 5 | 3,5 | 7 | 5 | 9,5 | 7 | 11,5 | 8,5 | 13,5 | 10 | 15,5 | 12 | 18,5 | 14 | 21 | 16 | 23,5 | 18 | 26,5 | 20 | ||
| 250 | 5,5 | 4 | 7,5 | 6 | 10,5 | 8 | 12,5 | 9,5 | 15 | 11 | 17 | 13 | 20 | 15 | 23 | 17 | 25,5 | 19,5 |
|
| ||
| 315 |
|
|
|
| 11,5 | 8,5 | 13,5 | 10,5 | 16 | 12 | 18,5 | 14 | 22 | 16,5 | 25 |
|
|
|
|
| ||
| 400 |
|
|
|
|
| 15 | 11 | 17,5 | 13 | 20 | 15 | 24 | 18 | 27 | 20,5 |
|
|
|
|
| ||
| 500 |
|
|
|
|
|
|
|
| 19 | 14 | 22 | 16,5 | 26 | 19,5 |
|
|
|
|
|
| ||
| 600 |
|
|
|
|
|
|
|
| 20,5 | 15,5 | 23,5 | 17,5 | 27,5 | 21 |
|
|
|
|
|
| ||
| 4 | 40 | 25 | 3 | 2 | 4 | 3 | 5,5 | 4 | 6,5 | 5 | 7,5 | 5,5 | 8,5 | 6,5 | 10 | 7,5 | 11,5 | 8,5 | 13 | 10 | 14,5 | 11 |
| 50 | 3,5 | 2,5 | 5 | 3,5 | 7 | 5 | 8 | 6 | 9,5 | 7 | 11 | 8,5 | 13 | 10 | 15 | 11 | 16,5 | 12,5 | 19 | 14 | ||
| 100 | 4,5 | 3,5 | 6,5 | 4,5 | 9 | 6,5 | 10,5 | 8 | 12,5 | 9,5 | 14,5 | 11 | 17 | 12,5 | 19 | 14,5 | 21,5 | 16 | 24,5 | 18 | ||
| 160 | 5 | 4 | 7,5 | 5,5 | 10,5 | 8 | 12,5 | 9,5 | 15 | 11 | 17 | 13 | 20 | 15 | 23 | 17 | 25,5 | 19,5 | 29 | 21,5 | ||
| 200 | 5,5 | 4,5 | 8 | 6 | 11 | 8,5 | 13,5 | 10 | 16 | 12 | 18,5 | 14 | 22 | 16,5 | 25 | 18,5 | 28 | 21 | 31,5 | 23,5 | ||
| 250 | 6 | 4,5 | 9 | 6,5 | 12 | 9 | 14,5 | 11 | 17,5 | 13 | 20 | 15 | 23,5 | 17,5 | 27 | 20 | 30,5 | 22,5 |
|
| ||
| 315 |
|
|
|
| 13 | 10 | 16 | 12 | 19 | 14 | 22 | 16,5 | 25,5 | 19,5 | 29,5 | 22 |
|
|
|
| ||
| 400 |
|
|
|
|
|
| 17,5 | 13 | 20,5 | 15,5 | 24 | 18 | 28 | 21 | 32 | 24 |
|
|
|
| ||
| 500 |
|
|
|
|
|
|
| 22,5 | 17 | 26 | 19,5 | 30,5 | 23 |
|
|
|
|
|
|
| ||
| 600 |
|
|
|
|
|
|
|
| 24 | 18 | 27,5 | 21 | 32,5 | 24,5 |
|
|
|
|
|
| ||
| 4 | 50 | 25 | 3 | 2,5 | 4,5 | 3,5 | 6 | 4,5 | 7,5 | 5,5 | 9 | 6,5 | 10 | 7,5 | 12 | 9 | 13,5 | 10,5 | 15,5 | 11,5 | 17 | 13 |
| 50 | 4 | 3 | 6 | 4 | 8 | 6 | 9,5 | 7,5 | 11,5 | 8,5 | 13 | 10 | 15,5 | 11,5 | 17,5 | 13 | 20 | 15 | 22 | 16,5 | ||
| 100 | 5 | 4 | 7,5 | 5,5 | 10,5 | 8 | 12,5 | 9,5 | 14,5 | 11 | 17 | 12,5 | 20 | 15 | 22,5 | 17 | 25,5 | 19 | 28,5 | 21,5 | ||
| 160 | 6 | 4,5 | 9 | 6,5 | 12,5 | 9 | 15 | 11 | 17,5 | 13 | 20 | 15 | 23,5 | 18 | 27 | 20 | 30 | 22,5 | 34 | 25,5 | ||
| 200 | 6,5 | 5 | 9,5 | 7 | 13,5 | 10 | 16 | 12 | 19 | 14 | 22 | 16,5 | 25,5 | 19 | 29 | 22 | 33 | 24,5 | 37 | 27,5 | ||
| 250 | 7,5 | 5,5 | 10,5 | 8 | 14,5 | 11 | 17,5 | 13 | 20,5 | 15,5 | 23,5 | 18 | 28 | 21 | 32 | 24 | 36 | 27 |
|
| ||
| 315 |
|
|
|
| 15,5 | 12 | 19 | 14 | 22,5 | 17 | 25,5 | 19 | 30 | 22,5 | 34,5 | 26 |
|
|
|
| ||
| 400 |
|
|
|
|
|
| 20,5 | 15,5 | 24,5 | 18,5 | 28 | 21 | 33 | 25 | 38 | 25,5 |
|
|
|
| ||
| 500 |
|
|
|
|
|
|
|
| 26,5 | 20 | 30,5 | 23 | 36 | 27 |
|
|
|
|
|
| ||
| 600 |
|
|
|
|
|
|
|
| 28 | 21 | 32,5 | 24,5 | 38,5 | 29 |
|
|
|
|
|
| ||
| 4 | 63 | 25 | 4 | 3 | 5 | 4 | 7,5 | 5,5 | 9 | 6,5 | 10,5 | 8 | 12 | 9 | 14 | 10,5 | 16 | 12 | 18 | 13,5 | 20,5 | 15,5 |
| 50 | 5 | 4 | 7 | 5 | 9,5 | 7 | 11,5 | 8,5 | 13,5 | 10 | 15,5 | 11,5 | 18 | 13,5 | 21 | 15,5 | 23,5 | 17,5 | 26,5 | 20 | ||
| 100 | 6 | 4,5 | 9 | 6,5 | 12 | 9 | 14,5 | 11 | 17,5 | 13 | 20 | 15 | 23,5 | 17,5 | 27 | 20 | 30 | 22,5 | 34 | 25,5 | ||
| 160 | 7,5 | 5,5 | 10,5 | 8 | 14,5 | 11 | 17,5 | 13 | 20,5 | 15,5 | 24 | 18 | 28 | 21 | 32 | 24 | 36 | 27 |
|
| ||
| 200 | 8 | 6 | 11,5 | 8,5 | 16 | 12 | 19 | 14,5 | 22,5 | 17 | 26 | 19,5 | 30,5 | 23 | 35 | 26 | 39 | 29 |
|
| ||
| 250 |
|
| 12,5 | 9 | 17 | 13 | 20,5 | 15,5 | 24,5 | 18,5 | 28 | 21 | 33 | 25 | 38 | 28,5 |
|
|
|
| ||
| 315 |
|
|
|
| 18,5 | 14 | 22,5 | 17 | 26,5 | 20 | 30,5 | 23 | 36 | 27 |
|
|
|
|
|
| ||
| 400 |
|
|
|
|
|
| 24,5 | 18,5 | 29 | 21,5 | 33,5 | 25 | 39,5 | 29,5 |
|
|
|
|
|
| ||
| 500 |
|
|
|
|
|
|
|
| 31,5 | 23,5 | 36 | 27 |
|
|
|
|
|
|
|
| ||
| 600 |
|
|
|
|
|
|
|
| 33,5 | 25 | 39 | 29 |
|
|
|
|
|
|
|
| ||
| a Ký hiệu vật liệu (xem bảng A.7). b tp Chiều dày thành của phần chu vi. ts Chiều dày thành của phần cạnh bên. c Xác định chiều dày thành (xem A.4.3). d Vận tốc dài có thể có lớn nhất của sản phẩm vật liệu mài tính đến sai lỗi của truyền động trục chính bánh mài (vận tốc được giám sát). | ||||||||||||||||||||||
Bảng A.3 - Chiều dày thành cho bộ phận bảo vệ sản phẩm vật liệu mài bằng gang cầu graphite đối với các sản phẩm vật liệu mài kết dính, trừ các bánh mài cắt đứt
Kích thước tính bằng milimét
| Vật liệua | Vận tốc dàid vmax m/s | Bề rộng của sản phẩm vật liệu mài T | Đường kính ngoài của sản phẩm vật liệu mài D | |||||||||||
| 125 | 200 | 315 | 406 | 508 | 610 | |||||||||
| Chiều dày thành nhỏ nhất b,c | ||||||||||||||
| tp | ts | tp | ts | tp | ts | tp | ts | tp | ts | tp | ts | |||
| 5 | 32 | 25 | 3,5 | 3 | 5 | 4 | 7 | 5,5 | 8,5 | 6,5 | 10 | 7,5 | 12 | 9 |
| 50 | 4,5 | 3,5 | 6,5 | 5 | 9 | 7 | 11 | 8,5 | 13 | 10 | 15 | 11,5 | ||
| 100 | 6 | 4,5 | 8,5 | 6,5 | 12 | 9 | 14,5 | 11 | 17 | 13 | 19,5 | 14,5 | ||
| 160 | 7 | 5,5 | 10 | 7,5 | 14 | 10,5 | 17 | 13 | 20 | 15 | 23 | 17,5 | ||
| a Ký hiệu vật liệu (xem bảng A.7). b tp Chiều dày thành của phần chu vi. ts Chiều dày thành của phần cạnh bên. c Xác định chiều dày thành (xem A.4.3). d Vận tốc dài có thể có lớn nhất của sản phẩm vật liệu mài tính đến sai lỗi của truyền động trục chính bánh mài (vận tốc được giám sát). | ||||||||||||||
Bảng A.4 - Chiều dày thành cho bộ phận bảo vệ sản phẩm vật liệu mài bằng gang cầu graphite đối với các sản phẩm vật liệu mài kết dính, trừ các bánh mài cắt đứt
Kích thước tính bằng milimét
| Vật liệua | Vận tốc dàid vmax m/s | Bề rộng của sản phẩm vật liệu mài T | Đường kính ngoài của sản phẩm vật liệu mài D | |||||||||
| 125 | 200 | 315 | 406 | 508 | ||||||||
| Chiều dày thành nhỏ nhất b,c | ||||||||||||
| tp | ts | tp | ts | tp | ts | tp | ts | tp | ts | |||
| 6 | 40 | 10 | 2,5 | 2 | 3 | 2,5 | 4,5 | 3,5 | 5,5 | 4 | 6,5 | 5 |
| 20 | 3 | 2,5 | 4 | 3 | 6 | 4,5 | 7 | 5,5 | 8,5 | 6,5 | ||
| 32 | 3,5 | 2,5 | 5 | 3,5 | 7 | 5,5 | 8,5 | 6 5 | 10 | 7,5 | ||
| 50 | 10 | 3 | 2 | 4 | 3 | 5,5 | 4 | 6,5 | 5 | 7,5 | 6 | |
| 20 | 3,5 | 2,5 | 5 | 3,5 | 7 | 5,5 | 8,5 | 6,5 | 10 | 7,5 | ||
| 32 | 4 | 6 | 6 | 4,5 | 8,5 | 6,5 | 10 | 7,5 | 12 | 9 | ||
| 63 | 10 | 3 | 2,5 | 4,5 | 3,5 | 6,5 | 5 | 7,5 | 6 | 9 | 7 | |
| 20 | 4 | 3 | 6 | 4,5 | 8,5 | 6,5 | 10 | 7,5 | 12 | 9 | ||
| 32 | 5 | 3,5 | 7 | 5,5 | 10 | 7,5 | 12 | 9 | 14 | 10,5 | ||
| 7 | 32 | 10 | 5 | 4 | 7 | 5,5 | 10 | 7,5 | 12 | 9 | 14 | 11 |
| 20 | 6,5 | 5 | 9 | 7 | 13 | 10 | 15,5 | 11,5 | 18,5 | 14 | ||
| 32 | 8 | 6 | 11 | 8 | 15,5 | 11,5 | 18,5 | 14 | 22 | 16,5 | ||
| 40 | 10 | 6 | 4,5 | 8,5 | 6,5 | 12 | 9 | 14 | 11 | 17 | 12,5 | |
| 20 | 7,5 | 6 | 11 | 8 | 15 | 11 | 18,5 | 14 | 21,5 | 16 | ||
| 32 | 9 | 7 | 13 | 9,5 | 18 | 13,5 | 22 | 16 | 26 | 19 | ||
| a Ký hiệu vật liệu (xem bảng A.7) b tp Chiều dày thành của phần chu vi. ts Chiều dày thành của phần cạnh bên. c Xác định chiều dày thành (xem A.4.3). d Vận tốc dài có thể có lớn nhất của sản phẩm vật liệu mài tính đến sai lỗi của truyền động trục chính bánh mài (vận tốc được giám sát). | ||||||||||||
Bảng A.5 - Chiều dày thành cho bộ phận bảo vệ sản phẩm vật liệu mài bằng thép hoặc thép đúc đối với các bánh mài cắt đứt kết dính
Kích thước tính bằng milimét
| Vật liệua | Kích thước của bánh mài cắt đứt | ||||||||||||||||||||
| Đường kính ngoài, D | 150 | 250 | 350 | 500 | 600 | 800 | 1 000 | 1 250 | 1 500 | 1 800 | |||||||||||
| Đường kính lỗ H | 16 | 32 | 32 | 40 | 60 | 60 | 100 | 100 | 127 | 203,2 | |||||||||||
| Bề rộng, T | 3,2 | 4 | 4 | 6 | 8 | 10 | 13 | 16 | 16 | 20 | |||||||||||
| Vận tốc dàid vmax m/s | Chiều dày thành nhỏ nhất b,c | ||||||||||||||||||||
| tp | ts | tp | ts | tp | ts | tp | ts | tp | ts | tp | ts | tp | ts | tp | ts | tp | ts | tp | ts | ||
| 1 | 63 | 1,5 | 1,5 | 2 | 1,5 | 3 | 2 | 4 | 3 | 5,5 | 4 | 7 | 5,5 | 9,5 | 7 | 12 | 9 | 13,5 | 10 | 17 | 13 |
| 2 | 80 | 1,5 | 1,5 | 2,5 | 2 | 3,5 | 2,5 | 5 | 4 | 6,5 | 5 | 8,5 | 6,5 | 11 | 8,5 | 14 | 10,5 | 16 | 12 | 20 | 15 |
| 3 | 100 | 2 | 1,5 | 3 | 2,5 | 4 | 3 | 6 | 4,5 | 7,5 | 5,5 | 10 | 7,5 | 13,5 | 10 | 16,5 | 12,5 | 19 | 14,5 | 24 | 18 |
| 8 |
|
|
|
|
|
|
|
|
|
|
|
|
|
|
|
|
|
|
|
|
|
| 4 | 63 | 2 | 1,5 | 3 | 2,5 | 4 | 3 | 6 | 4,5 | 8 | 5,5 | 10,5 | 8 | 13,5 | 10 | 17 | 13 | 19,5 | 15 | 24,5 | 18 |
| 80 | 2,5 | 2 | 4 | 3 | 5 | 3,5 | 7 | 5,5 | 9 | 7 | 12,5 | 9,5 | 16 | 12 | 20 | 15 | 23 | 17,5 | 29 | 22 | |
| 100 | 3 | 2 | 4,5 | 3,5 | 5,5 | 4 | 8,5 | 6,5 | 10,5 | 8 | 14,5 | 11 | 19 | 14 | 24 | 18 | 27,5 | 20,5 | 34 | 25,5 | |
| a Ký hiệu vật liệu (xem bảng A.7). b tp Chiều dày thành của phần chu vi. ts Chiều dày thành của phần cạnh bên. c Xác định chiều dày thành (xem A.4.3). d Vận tốc dài có thể có lớn nhất của sản phẩm vật liệu mài tính đến sai lỗi của truyền động trục chính bánh mài (vận tốc được giám sát). | |||||||||||||||||||||
Bảng A.6 - Chiều dày thành cho bộ phận bảo vệ sản phẩm vật liệu mài bằng thép đối với các bột mài đặc biệt lõi thép hoặc nhôm
Kích thước tính bằng milimét
| Vật liệua | Vận tốc dàid vmax m/s | Bề rộng của sản phẩm vật liệu mài T | Đường kính ngoài của sản phẩm vật liệu mài D | |||||||||||||
| 150 | 200 | 300 | 400 | 500 | 600 | 750 | ||||||||||
| Chiều dày thành nhỏ nhất b,c | ||||||||||||||||
| tp | ts | tp | ts | tp | ts | tp | ts | tp | ts | tp | ts | tp | ts | |||
| 1 | 50 | 20 | 1,5 | 1,5 | 2 | 1,5 | 2 | 1,5 | 2,5 | 2 | 2,5 | 2 | 3 | 2 | 3 | 2,5 |
| 2 | ||||||||||||||||
| 3 | 40 | 2 | 1,5 | 2,5 | 2 | 3 | 2 | 3 | 2,5 | 3,5 | 2,5 | 3,5 | 3 | 4 | 3 | |
| 8 | ||||||||||||||||
| 1 | 63 | 20 | 2 | 1,5 | 2,5 | 1,5 | 2,5 | 2 | 3 | 2 | 3 | 2,5 | 3,5 | 3 | 3,5 | 3 |
| 2 | ||||||||||||||||
| 3 | 40 | 2,5 | 2 | 3 | 2 | 3,5 | 2,5 | 4 | 3 | 4 | 3 | 4,5 | 3,5 | 5 | 3,5 | |
| 8 | ||||||||||||||||
| 1 | 80 | 20 | 2,5 | 2 | 2,5 | 2 | 3 | 3,5 | 3,5 | 2,5 | 4 | 3 | 4 | 3 | 4,5 | 3,5 |
| 2 | ||||||||||||||||
| 3 | 40 | 3 | 2,5 | 3,5 | 2,5 | 4 | 3 | 4,5 | 3,5 | 5 | 3,5 | 5 | 4 | 5,5 | 4,5 | |
| 8 | ||||||||||||||||
| 1 | 100 | 20 | 3 | 2 | 3 | 2,5 | 3,5 | 3 | 4 | 3 | 4,5 | 3,5 | 5 | 3,5 | 5 | 4 |
| 2 | ||||||||||||||||
| 3 | 40 | 3,5 | 2,5 | 4 | 3 | 4,5 | 3,5 | 5,5 | 4 | 5,5 | 4,5 | 6 | 4,5 | 6,5 | 5 | |
| 8 | ||||||||||||||||
| 1 | 125 | 20 | 3 | 2,5 | 3,5 | 2 | 4 | 3 | 4,5 | 3,5 | 5 | 4 | 5,5 | 4 | 6 | 4,5 |
| 2 | ||||||||||||||||
| 3 | 40 | 4 | 3 | 4,5 | 3,5 | 5,5 | 4 | 6 | 4,5 | 6,5 | 5 | 7 | 5,5 | 7,5 | 5,5 | |
| 8 | ||||||||||||||||
| 1 | 140 | 20 | 3,5 | 2,5 | 4 | 3 | 4,5 | 3,5 | 5 | 4 | 5,5 | 4,5 | 6 | 4,5 | 6,5 | 5 |
| 2 | ||||||||||||||||
| 3 | 40 | 4,5 | 3,5 | 5 | 4 | 6 | 4,5 | 6,5 | 5 | 7 | 5,5 | 8 | 6 | 8,5 | 6,5 | |
| 8 | ||||||||||||||||
| 1 | 160 | 20 | 4 | 3 | 4,5 | 3,5 | 5 | 4 | 5,5 | 4,5 | 6 | 4,5 | 6,5 | 5 | 7 | 5,5 |
| 2 | ||||||||||||||||
| 3 | 40 | 5 | 4 | 5,5 | 4,5 | 6,5 | 5 | 7,5 | 5,5 | 8 | 6 | 8,5 | 6,5 | 9,5 | 7 | |
| 8 | ||||||||||||||||
| 1 | 180 | 20 | 4,5 | 3 | 5 | 3,5 | 5,5 | 4 | 6 | 4,5 | 7 | 5 | 7,5 | 5,5 | 8 | 6 |
| 2 | ||||||||||||||||
| 3 | 40 | 5,5 | 4 | 6 | 4,5 | 7 | 5,5 | 8 | 6 | 9 | 6,5 | 9,5 | 7 | 10,5 | 7,5 | |
| 8 | ||||||||||||||||
| 1 | 200 | 20 | 4,5 | 3,5 | 5 | 4 | 6 | 4,5 | 7 | 5 | 7,5 | 5,5 | 8 | 6 | 8,5 | 6,5 |
| 2 | ||||||||||||||||
| 3 | 40 | 6 | 4,5 | 6,5 | 5 | 8 | 6 | 8,5 | 6,5 | 9,5 | 7 | 10 | 7,5 | 11 | 8,5 | |
| 8 | ||||||||||||||||
| a Ký hiệu vật liệu (xem bảng A.7). b tp Chiều dày thành của phần chu vi. ts Chiều dày thành của phần cạnh bên. c Xác định chiều dày thành (xem A.4.3). d Vận tốc dài có thể có lớn nhất của sản phẩm vật liệu mài tính đến sai lỗi của truyền động trục chính bánh mài (vận tốc được giám sát). | ||||||||||||||||
Bảng A.7- Chọn vật liệu
|
| Ký hiệu vật liệu | Đặc tính độ bền cơ học | |||
|
| Phù hợp với | Rm N/mm2 | ReH N/mm2 | εB % | |
| 1 | Thép tấm cacbon cán nguội chất lượng thương mại và kéo | ISO 3574 | 270 | 140 | 28 |
| 2 | Thép tấm cán nguội chất lượng kết cấu | ISO 4997 ISO 6316 | 300 | 220 | 18 |
| 3 | Thép dùng cho mục đích kỹ thuật chung | ISO 1052 | 340 | 215 | 17 |
| 4 | Thép cacbon đúc dùng cho mục đích kỹ thuật chung | ISO 3755 | 450 | 230 | 22 |
| 5 | Gang cầu graphite | ISO 1083 | 400 | 250 | 15 |
| 6 | Hợp kim nhôm rèn | ISO 6361-2 | 310 | 260 | 10 |
| 7 | Hợp kim nhôm đúc | ISO 3522 | 200 | - | 3 |
| 8 | Thép tấm không gỉ cán nóng | ISO 9444 | 520 | 205 | - |
| 9 | Polycarbonate | - | 60 | E = 2400 N/mm2 | εR > 80 |
A.3.3 Các bộ phận bảo vệ sản phẩm vật liệu mài lắp ghép
A.3.3.1 Quy định chung
Nếu các bộ phận bảo vệ sản phẩm vật liệu mài được liên kết từ các bộ phận riêng lẻ. như bằng hàn, bắt vít, đinh tán thì các thành phần cấu thành phải được liên kết sao cho trong trường hợp sản phẩm vật liệu mài bị gãy vỡ, các mối nối sẽ không tách ra do năng lượng va đập gây ra.
A.3.3.2 Các bộ phận bảo vệ sản phẩm vật liệu mài được hàn
A.3.3.2.1 Bản vẽ
Biểu diễn các đường hàn trong bản vẽ thiết kế phải phù hợp với ISO 2553.
A.3.3.2.2 Chuẩn bị
Chuẩn bị các bộ phận để hàn phải phù hợp với các bản vẽ đã cung cấp. Điều đặc biệt quan trọng là khi có các mối hàn thấu hoàn toàn thì thực hiện các quy trình hiệu chỉnh.
A.3.3.2.3 Nhân sự
Thợ hàn phải đạt được sự công nhận trong các điều kiện quy định trong các tiêu chuẩn liên quan.
- Đối với các bộ phận bảo vệ sản phẩm vật liệu mài bằng thép, yêu cầu chứng chỉ thử nghiệm theo TCVN 6700-1 (ISO 9606-1).
- Đối với các bộ phận bảo vệ sản phẩm vật liệu mài bằng hợp kim nhôm, yêu cầu chứng chỉ thử nghiệm theo TCVN 6700-2 (ISO 9606-2).
A.3.3.2.4 Quá trình hàn
Quá trình hàn và kim loại hàn phải được chọn tính đến sự xem xét vật liệu cơ bản. Quy trình hàn phải phù hợp với các yêu cầu của TCVN 8985 (ISO 15607) và TCVN 7506-1 (ISO 3834-1).
A.3.3.2.5 Kiểm tra và thử nghiệm
Chất lượng của mối hàn phải phải là mức chuẩn quy định trong TCVN 7472 (ISO 5817), Bảng 1 mức chất lượng C (trung bình).
Sau khi hàn và xử lý nhiệt sau hàn, phải kiểm tra các bộ phận bằng mắt. Đối với các bộ phận bảo vệ sản phẩm vật liệu mài có chiều dày thành > 20 mm, phải thực hiện thử không phá hủy các mối hàn.
CHÚ THÍCH: Không cho phép bỏ qua 25 mm chiều dài đầu tiên và cuối cùng của mối nối giáp mép hoặc mối hàn điền đầy do mong đợi là một số mối nối sẽ tương đối ngắn và tiêu chuẩn yêu cầu phải được duy trì cho mối nối hoàn thiện.
A.3.4 Các tấm che cho các máy mài kiểu băng hoặc kiểu bệ đỡ
Các kích thước tối thiểu của bộ phận trong suốt của các tấm che hình chữ nhật, hình thang hoặc hình tròn của các máy mài kiểu băng hoặc kiểu bệ đỡ trang bị các sản phẩm vật liệu mài tính được cho trong Bảng A.8 và Hình A.28.
Các kích thước này được cho là hàm số của đường kính danh nghĩa sản phẩm vật liệu mài D và cho bề rộng sản phẩm vật liệu mài T bị giới hạn đến 0,15 D.
Khi T lớn hơn 0,15 D, b1 min phải được nâng lên tỷ lệ với giá trị thực của T. Cạnh nhỏ hơn b2 của các tấm che hình thang phải bằng ít nhất là 1,5 lần bề rộng sản phẩm vật liệu mài T, với giá trị nhỏ nhất là 75 mm.
Các kích thước tối thiểu của bộ phận trong suốt của các tấm che của các máy mài kiểu băng hoặc kiểu bệ đỡ trang bị các bánh mài mặt hoặc dạng cốc là giống hệt các kích thước tối thiểu cho các tấm che của các loại máy mài này trang bị các bánh mài tinh; tuy nhiên, bề rộng T của bánh mài tinh nên được thay thế bằng bề rộng W của phần làm việc của bánh mài mặt.

Hình A.28
Bảng A.8 - Kích thước của tấm che
Kích thước tính bằng milimét
| Đường kính ngoài của sản phẩm vật liệu mài D | b1 min | h | b2 | d |
| 100/200 | 75 | 60 | 75 | 75 |
| 200 | 80 | 70 | 80 | 85 |
| 230/250 | 100 | 80 | 80 | 95 |
| 300 | 125 | 100 | 80 | 115 |
| 356 | 140 | 110 | 100 | 130 |
| 406/457 | 150 | 115 | 100 | 135 |
| 508 | 200 | 150 | 100 | 170 |
| 610 | 200 | 175 | 100 | 182 |
| 762 | 200 | 175 | 100 | 182 |
A.3.5 Các vỏ che khu vực gia công
A.3.5.1 Vùng trải rộng
Vùng trải rộng là vùng của một máy mài ở đó các mảnh vỡ bị phân tán từ sản phẩm vật liệu mài (dụng cụ) bị vỡ ra có thể thấy trước được.

CHÚ DẪN:
1 vùng trải rộng
Hình A.29

CHÚ DẪN:
1 vùng trải rộng
2 vỏ che khu vực gia công
3 khoảng cách hành trình di chuyển
Hình A.30
Vùng trải rộng tương ứng gần bằng với bề rộng lớn nhất của sản phẩm vật liệu mài được chỉ định cho máy mài cộng với một vùng phát sinh về hai phía từ góc nhỏ nhất 20° đến các mặt bên tự do của sản phẩm vật liệu mài (xem Hình A.30). Các mặt bên tự do là các mặt mà không bị che bởi bộ phận bảo vệ hoặc bởi các bích lắp.
Các chuyển động ngang và chuyển động quay của ụ trục chính bánh mài phải được tính đến khi quy định vùng trải rộng (xem Hình A.30).
A.3.5.2 Chiều dày thành và vật liệu
A.3.5.2.1 Chiều dày thành và vật liệu của vỏ che khu vực gia công trên máy mài có bộ phận bảo vệ sản phẩm vật liệu mài
Tấm thép
Trong vùng trải rộng, chiều dày thành bằng 0,2 lần tp phù hợp với các Bảng A.1, A.5 hoặc A.6, nhưng ít nhất phải bằng 1,5 mm. Vật liệu 1, 2, 3 hoặc 8 của Bảng A.7.
Polycarbonate
Trong vùng trải rộng, chiều dày thành bằng 0,5 lần tp phù hợp với Bảng A.1, nhưng ít nhất phải bằng 3 mm. Vật liệu 9 của Bảng A.7.
A.3.5.2.2 Chiều dày thành và vật liệu của vỏ che khu vực gia công trên máy mài không có bộ phận bảo vệ sản phẩm vật liệu mài
Tấm thép
Trong vùng trải rộng, chiều dày thành phù hợp với các Bảng A.1, A.5 hoặc A.6, tuy nhiên chiều dày thành bên ngoài vùng trải rộng có thể bằng 0,2 lần tp phù hợp với các Bảng A.1, A.5 hoặc A.6 nhưng không được nhỏ hơn 1,5 mm. Vật liệu 1, 2, 3 hoặc 8 của Bảng A.7.
Polycarbonate
Trong vùng trải rộng, chiều dày thành bằng 2,5 lần tp phù hợp với các Bảng A.1, A.5 hoặc A.6 nhưng không nhỏ hơn 3 mm. Bên ngoài vùng trải rộng chiều dày ít nhất là 3 mm. Vật liệu 9 của Bảng A.7.
CHÚ THÍCH: Các khảo sát mở rộng về thép tấm và polycarbonate đã tiết lộ rằng với mối quan hệ chiều dày thành tpc = 2,5 tthép, gần bằng các giá trị gây ra đối với khả năng chịu va đập (tpc = chiều dày polycarbonate, tthép = chiều dày tấm thép).
A.3.6 Sự gắn chặt các ô cửa quan sát trên các vỏ che khu vực gia công
Các ô cửa quan sát trên các vỏ che khu vực gia công phải được gắn với phần ở bên trong của vỏ che bằng kẹp chặt hoặc bằng gắn keo.
Để bảo đảm tác dụng bảo vệ của ô cửa quan sát, yêu cầu có sự che phủ đủ của ô cửa qua sát với kết cấu tấm thép bao quanh. Các giá trị tối thiểu sau phải được quan sát:
a) Máy mài có bộ phận bảo vệ sản phẩm vật liệu mài và vỏ che khu vực gia công, vị trí của ô cửa quan sát ở bên ngoài vùng mở rộng (xem các Hình A.29 và A.30) - che phủ tối thiểu là 10 mm (xem Hình A.31);
b) Máy mài có bộ phận bảo vệ sản phẩm vật liệu mài và vỏ che khu vực gia công, vị trí của ô cửa quan sát nằm trong vùng mở rộng (xem các Hình A.29 và A.30) - che phủ tối thiểu là 15 mm, kể từ cỡ kích thước ô cửa quan sát bằng 500 mm thì che phủ tối thiểu phải là 35 mm (xem Hình A.31);
c) Máy mài không có bộ phận bảo vệ sản phẩm vật liệu mài nhưng có vỏ che khu vực gia công, vị trí của ô cửa quan sát ở bên ngoài vùng mở rộng (xem các Hình A.29 và A.30) - che phủ tối thiểu là 15 mm (xem Hình A.31);
d) Máy mài không có bộ phận bảo vệ sản phẩm vật liệu mài nhưng có vỏ che khu vực gia công, vị trí của ô cửa quan sát nằm trong vùng mở rộng (xem các Hình A.29 và A.30) - nhà sản xuất phải cung cấp bằng chứng của sự thích hợp của việc gắn ô cửa qua sát để chứa các mảnh vỡ sản phẩm vật liệu mài. Đối với các phương pháp kiểm tra xác nhận, xem các Phụ lục B và C.

CHÚ DẪN:
1 che phủ
2 ô cửa quan sát
3 khung
4 tấm thép
5 profile khung
Hình A.31
Các tấm che bằng polycarbonate cần được bảo vệ chống lại các ảnh hưởng già hóa, như bằng bổ sung một tấm che an toàn bằng kính hướng về phía gia công và một tấm che bằng nhựa hướng về phía tiếp cận. Các cạnh của các tấm che phải được bít kín. Thời gian phục vụ giới hạn của các tấm che bằng polycarbonate phải được chỉ ra trong sổ tay hướng dẫn.
CHÚ THÍCH: Các ô cửa quan sát bằng polycarbonate được bảo vệ tất cả xung quanh chỉ thể hiện mất mát khả năng chịu va đập ở viền, trong khi đường cong đồ thị thể hiện rằng khả năng chịu va đập của polycarbonate không được bảo vệ bị giảm đáng kể (xem Hình A.32).

CHÚ DẪN:
Y khả năng chịu va đập tính bằng %
t tuổi thọ tính bằng năm
Hình A.32 - Đường cong già hóa của polycarbonate không được bảo vệ (các điểm thử nghiệm lấy trung bình) (Nguồn: IFA, St. Augustin, Đức [01])
A.3.7 Kiểm tra xác nhận độ bền, thử nghiệm
A.3.7.1 Bộ phận bảo vệ sản phẩm vật liệu mài
Các bộ phận bảo vệ sản phẩm vật liệu mài không tuân theo các quy định kỹ thuật thiết lập ở A.3.2 phải được thử để kiểm tra xác nhận độ bền của chúng. Phép thử phải được tiến hành phù hợp với các phương pháp sau:
a) Gá lắp bộ phận bảo vệ;
b) Bộ phận bảo vệ phải được gá lắp cho phép thử sao cho vị trí của nó và các chi tiết lắp ghép tương ứng với mục đích sử dụng của nó trên máy mài;
c) Phải sử dụng sản phẩm vật liệu mài tương ứng về kiểu thiết kế và các kích thước của nó với mục đích sử dụng của nó trên máy mài;
d) Sự gãy vỡ sản phẩm vật liệu mài phải được khởi đầu tại tốc độ vận hành lớn nhất dự định hoặc tốc độ quay cho phép bằng bắn đạn vào sản phẩm vật liệu mài hoặc bằng quy trình thích hợp khác. Đạn phải đập vào sản phẩm vật liệu mài gần với thiết bị kẹp (bích);
e) Phép thử phải được thực hiện với ba sản phẩm vật liệu mài kế tiếp nhau sử dụng cùng một bộ phận bảo vệ.
Đủ độ bền được xác nhận nếu bộ phận bảo vệ và các chi tiết kẹp chặt của nó vẫn còn thực hiện chức năng hoạt động mà không thể hiện bất kỳ vết nứt nhìn thấy nào khi được kiểm tra bằng một phương pháp phát hiện vết nứt đã được công nhận, như bằng thẩm thấu thuốc nhuộm hoặc phát hiện vết nứt bằng hạt từ. Các biến dạng và hư hỏng bề mặt nhỏ có thể được chấp nhận. Các thiết bị để cố định, như thiết bị kẹp, bu lông phải vẫn còn thực hiện chức năng làm việc mà không có hư hỏng có thể phát hiện.
A.3.7.2 Vỏ che khu vực gia công
Các vỏ che khu vực gia công không tuân theo các yêu cầu của A.3.5.2 phải được thử để kiểm tra xác nhận độ bền của chúng hoặc khả năng chịu va đập của chúng đối với các mảnh vỡ sản phẩm vật liệu mài. Đối với các phương pháp thử, xem các Phụ lục B và C. Đối với việc tính toán các chiều dày thành như cung cấp trong A.3.5.2, các giá trị xác định được trong việc kiểm tra xác nhận riêng lẻ có thể được sử dụng.
A.4 Tiêu chí để thiết kế bộ phận bảo vệ sản phẩm vật liệu mài và phương tiện gắn chặt của chúng
A.4.1 Tổng quan
Năng lượng của các mảnh vỡ gây ra do bánh mài gãy vỡ là tiêu chí cơ bản để thiết kế bộ phận bảo vệ sản phẩm vật liệu mài và phương tiện gắn chặt, do năng lượng của các mảnh vỡ được truyền:
- trực tiếp hoặc gián tiếp (bởi sự văng ra của các mảnh vỡ va chạm) vào bộ phận bảo vệ sản phẩm vật liệu mài,
- truyền qua bộ phận bảo vệ sản phẩm vật liệu mài đến phương tiện gắn chặt của nó và đến khung máy, và
- truyền qua dụng cụ chỉnh sửa bánh mài, nó có thể phóng vào bộ phận bảo vệ sản phẩm vật liệu mài, gián tiếp vào ụ trục chính và khung máy.
Các phương pháp để tính toán năng lượng của các mảnh vỡ sản phẩm vật liệu mài và để xác định các chiều dày thành của bộ phận bảo vệ sản phẩm vật liệu mài và thiết kế phương tiện gắn chặt cho bộ phận bảo vệ sản phẩm vật liệu mài được mô tả trong các điều dưới đây.
A.4.2 Năng lượng của các mảnh vỡ sản phẩm vật liệu mài
Việc tính toán năng lượng va đập được truyền trong trường hợp gãy vỡ sản phẩm vật liệu mài từ các mảnh vỡ bắn vào bộ phận bảo vệ sản phẩm mài chỉ có thể thực hiện bằng phép tính gần đúng. Các giá trị của nó phụ thuộc vào các mảnh vỡ khác về cách gãy vỡ của sản phẩm vật liệu mài.
Năng lượng của sản phẩm vật liệu mài quay là
(A.1)
và được chứa trong các mảnh vỡ làm năng lượng tịnh tiến và năng lượng quay. Giả thiết là các mảnh vỡ sinh ra bằng nhau về kích cỡ, áp dụng công thức sau:
E = z x (Etrans + Erot) (A.2)
Năng lượng tịnh tiến của một mảnh vỡ là
|
| (A.3) |
Đối với một nửa góc của các mảnh vỡ α = 67°, năng lượng tịnh tiến đạt được giá trị cực đại của nó:
|
| (A.4) |
Năng lượng quay của một mảnh vỡ được tính bằng:
(A.5)
CHÚ THÍCH: Xem A.2 đối với các ký hiệu.
A.4.3 Xác định chiều dày thành của các bộ phận bảo vệ sản phẩm vật liệu mài
Mô hình để tính toán chiều dày thành của bộ phận bảo vệ sản phẩm vật liệu mài là không có sẵn. Do đó, việc xác định các giá trị chiều dày thành trong các Bảng A.1 đến A.6 một phần là dựa trên kinh nghiệm và một phần dựa trên các kết quả thử thực nghiệm sẵn có. Quy trình như mô tả dưới đây.
Tiêu chí cơ bản để xác định kích thước chiều dày thành của bộ phận bảo vệ sản phẩm vật liệu mài là năng lượng mảnh vỡ tịnh tiến theo công thức (A.4), sử dụng khối lượng và kích thước của sản phẩm vật liệu mài mới và vận tốc dài lớn nhất có thể có của sản phẩm vật liệu mài trong trường hợp lỗi hỏng bộ truyền động trục chính bánh mài.
Chiều dày thành và năng lượng mảnh vỡ yêu cầu liên quan đến cơ sở của các bảng chiều dày thành trong các quy định quốc gia của Đức, Anh và Pháp khi tiêu chuẩn EN 13218:2002 được xây dựng. Năng lượng mảnh vỡ đoán trước cho các sản phẩm vật liệu mài được liệt kê trong các bảng chiều dày thành này đã được tính toán bằng sử dụng các công thức đã nêu ở trên. Giá trị tương ứng từ các bảng đối với chiều dày thành của bộ phận bảo vệ sản phẩm vật liệu mài đã được chỉ định cho giá trị năng lượng đã tính này. Chiều dày thành được trình bày trong sơ đồ là một hàm số của năng lượng mảnh vỡ với vật liệu bộ phận bảo vệ sản phẩm vật liệu mài là thông số.
Sơ đồ đã thể hiện sự tương ứng xem xét được giữa các yêu cầu. Tuy nhiên, nó giải thích là trong tất cả các Bảng đã xem xét, các giá trị năng lượng đã chỉ định cho các giá trị chiều dày thành thể hiện sự phân tán rộng.
Để chỉ định chiều dày thành một cách rõ ràng đối với năng lượng mảnh vỡ, các biến đổi hiện ra được tính gần đúng bằng các hàm bù, bổ sung bằng sử dụng các nghiên cứu thực nghiệm và các kinh nghiệm với các chiều dày thành vẫn được sử dụng theo thói quen.
Quy trình thực nghiệm này dẫn đến các mối quan hệ dưới đây giữa chiều dày thành tp của phần theo chu vi của bộ phận bảo vệ sản phẩm vật liệu mài và năng lượng mảnh vỡ Etrans của sản phẩm vật liệu mài đối với các vật liệu bộ phận bảo vệ khác nhau phù hợp với Bảng A.7:
Tấm thép:
Tấm đúc:
Gang:
Hợp kim nhôm rèn:
Hợp kim nhôm đúc:
Trong các công thức này, giá trị năng lượng Etrans phải tính bằng Nm, khi đó giá trị chiều dày thành tp sẽ tính bằng mm.
Các giá trị năng lượng cho trong ngoặc đơn là các giá trị giới hạn; không có kinh nghiệm về khả năng áp dụng của các công thức trên đối với các giá trị cao hơn.
Các chiều dày thành cho trong các Bảng A.1 đến A.6 đã được xác định bằng các hàm tính gần đúng này. Các giả thiết sau được lấy làm cơ sở để tính toán năng lượng mảnh vỡ phù hợp với công thức (A.4):
Các Bảng A.1 Sản phẩm vật liệu mài loại 1 hoặc 41 phù hợp với ISO 525 đến A.4:
Q = 0,2 đối với D ≤ 508 mm
Q = 0,4 đối với D ≥ 610 mm
Q = tỉ số của đường kính lỗ H và đường kính ngoài D của sản phẩm vật liệu mài
Một nửa góc của mảnh vỡ α = 67°
Khối lượng riêng của sản phẩm vật liệu mài ρ = 2,4 g/cm3
Bảng A.6: Bột mài đặc biệt loại 1A1 phù hợp với ISO 6104
Chiều sâu của tiết diện bột mài đặc biệt X = 6 mm
Q = tỉ số của đường kính lõi (D-2X) và đường kính ngoài D của sản phẩm vật liệu mài
Một nửa góc của mảnh vỡ α = 15°
Khối lượng riêng của tiết diện sản phẩm vật liệu mài ρ = 8,6 g/cm3 (chất kết dính kim loại)
Sự loại trừ các sai số đối với lõi
Sự loại trừ các sai số đối với lõi của sản phẩm vật liệu mài đặc biệt chỉ được phép nếu sản phẩm vật liệu mài tương ứng với các yêu cầu của EN 13236 hoặc tương ứng với các yêu cầu có thể so sánh được.
Dựa trên các dữ liệu cho trong các bảng của tiêu chuẩn quốc gia và kinh nghiệm có trước, tỉ số ts/tp = 0,75 được giả thiết làm cơ sở để tính toán các chiều dày thành ts của các phần mặt bên của bộ phận bảo vệ sản phẩm vật liệu mài. Các giá trị chiều dày thành được xác định bằng tính toán được làm tròn đến các giá trị milimét trọn vẹn hoặc một nửa trong các Bảng.
Quy trình này cũng áp dụng được cho việc xác định kích thước của các bộ phận bảo vệ sản phẩm vật liệu mài đối với các kích thước sản phẩm vật liệu mài và các vận tốc dài không được liệt kê trong các Bảng A.1 đến A.6 và đối với các sản phẩm vật liệu mài có khối lượng riêng khác so với các giá trị cho ở trên. Các giới hạn của các mối quan hệ công thức-biến số phụ thuộc phải được giám sát.
A.4.4 Thiết kế phương tiện gắn chặt các bộ phận bảo vệ sản phẩm vật liệu mài
Để đơn giản hóa các vấn đề, chỉ có năng lượng tịnh tiến của mảnh vỡ được đưa vào tính toán đối với việc thiết kế phương tiện gắn chặt. Tuy nhiên, vì các lý do an toàn, việc tính toán được thực hiện với vận tốc dài vượt quá vận tốc dài vận hành lớn nhất 30 %. Do đó, công thức (A.4) được điều chỉnh cho tính toán này như sau:
| | (A.6) |
Tuy nhiên, có thể được được đưa vào tính toán đó là trong trường hợp ứng suất xung của khối lượng tĩnh, tổn thất năng lượng có thể xảy ra do biến dạng dẻo:
| | (A.7) |
Hệ số va đập k thay đổi giữa k = 0 (va đập dẻo) và k = 1 (va đập đàn hồi). Hệ số va đập k có thể giảm xuống trong các giới hạn nhất định bởi các vật liệu và các phần tử có khả năng biến dạng dẻo ví dụ như nhựa polyuretan giãn nở cứng hoặc các ống tròn thành mỏng, chúng được tích hợp vào bộ phận bảo vệ sản phẩm vật liệu mài làm lớp lót. Các thử nghiệm thực tế đã chỉ ra, ví dụ như hệ số va đập k = 0,75. Chiều dày của các phần tử biến dạng ít nhất phải bằng chiều dày của sản phẩm vật liệu mài. Tỉ số của chiều dày lớp lót và chiều dày thành của bộ phận bảo vệ sản phẩm vật liệu mài (các Bảng A.1 đến A.5) nên bằng khoảng 4:1 đối với độ bền của polyuretan giãn nở bằng 180 N/cm2. Tuy nhiên nên tránh các vật cản cứng trong bộ phận bảo vệ sản phẩm vật liệu mài, như các vách thành tạo sự ổn định được hàn.
Các thiết bị an toàn để chứa đựng cũng được kết nối với máy mài sao cho các bộ phận này vẫn còn kết nối trong trường hợp sản phẩm vật liệu mài bị gãy vỡ. Phải đảm bảo rằng khả năng hấp thu năng lượng của tổng số n các phần tử kẹp cố định lớn hơn giá trị năng lượng được xác định bằng phương pháp tính toán, tức là điều kiện
| | (A.8) |
Phải được thỏa mãn.
Ứng suất va đập kéo
Trong trường hợp ứng suất va đập kéo, thì sử dụng các bu lông quy đổi dạng trục. Khả năng hấp thu năng lượng của một bu lông quy đổi dạng trục hình trụ, tức là một vít có độ đàn hồi cao (chất lượng vật liệu 8.8, 10.9 hoặc tương đương), được tính gần đúng bằng công thức (A.9):
(A.9)
Với công thức (A.10):
| | (A.10) |
Ví dụ như ReH bằng Rp0,2
Ứng suất va đập cắt
Nếu có thể được, các vít kẹp cố định không được chịu ứng suất cắt gây ra bởi năng lượng mảnh vỡ, do khả năng hấp thu năng lượng là rất nhỏ trong các điều kiện này. Nếu tích hợp phương tiện gắn chặt đặc biệt, phải bảo đảm rằng diện tích cắt đã đưa ra là đủ lớn. Khả năng hấp thu năng lượng của một phần tử chịu cắt gần bằng
Ws = Fm x sW (A.11)
đối với các phần tử chịu cắt có tiết diện tròn, lực cắt trung bình là
(A.12)
với lực cắt lớn nhất
(A.13)
khoảng cách cắt là
sw = 0,3 x d (A.14)
Phụ lục B
(Tham khảo)
Thử va đập cho bộ phận bảo vệ - Thử gãy vỡ
B.1 Tổng quan
Phụ lục này quy định các thử nghiệm cho bộ phận bảo vệ sử dụng trên máy mài để giảm thiểu các rủi ro của việc các bộ phận hoặc chi tiết gia công bị văng ra khỏi khu vực gia công.
Phụ lục này áp dụng cho các vật liệu của bộ phận bảo vệ cũng như áp dụng cho bộ phận bảo vệ hoàn chỉnh.
B.2 Phương pháp thử
B.2.1 Nguyên lý
Phương pháp thử này áp dụng cho các máy hoạt động có sản phẩm vật liệu mài nhưng không có bộ phận bảo vệ sản phẩm vật liệu mài và mô phỏng lại mối nguy hiểm của việc văng ra của các mảnh vỡ sản phẩm vật liệu mài. Phép thử thể hiện khả năng chịu/độ bền của các bộ phận bảo vệ và/hoặc các vật liệu bộ phận bảo vệ chống lại sự xuyên thấu và sự đánh bật ra khỏi vị trí.
Trong phương pháp thử này, sự cố nguy hiểm được mô phỏng lại bằng sự nổ vỡ được kích hoạt theo dự định sản phẩm vật liệu mài sử dụng trên máy.
B.2.2 Điều kiện thử
a) Trong phép thử này, sự gãy vỡ một sản phẩm vật liệu mài được kích hoạt tại tốc độ ít nhất bằng 1,2 lần tốc độ trục chính lớn nhất có thể có của máy mài liên quan. Nếu giới hạn an toàn của tốc độ lớn nhất cho đường kính sản phẩm vật liệu mài liên quan theo 5.12 b) 5) được bảo đảm, phép thử có thể được thực hiện với tốc độ lớn nhất giới hạn ở trên nhân với 1,2.
CHÚ THÍCH: Vận tốc dài của sản phẩm vật liệu mài được giả thiết cao hơn 20 % tốc độ trục chính lớn nhất có thể có hoặc vận tốc dài do tốc độ trục chính lớn nhất bị giới hạn một cách an toàn. “Hệ số an toàn” này bao phủ nội dung sau:
- Các phân tán tính chất về vật liệu của vật liệu làm mẫu hoặc bộ phận bảo vệ;
- Tính không an toàn do vận tốc dài tăng khi các bộ truyền động trục chính đang tắt bởi các trễ do các khoảng thời gian được yêu cầu bởi quá trình xử lý tín hiệu trong hệ thống điều khiển;
- “Va đập ở tâm” không là trường hợp tới hạn nhất của ứng suất;
- Số lượng nhỏ các thử nghiệm va đập yêu cầu đối với việc xác định khả năng chịu va đập;
- Tính không an toàn trong việc xác định tốc độ trục chính của thiết bị thử.
b) Một sản phẩm vật liệu mài phải được sử dụng, loại (hình dạng, độ cứng, độ xốp) và khối lượng của nó tương ứng với các sản phẩm vật liệu mài dự định cho sử dụng trên máy mài. Phải sử dụng sản phẩm vật liệu mài có tiềm tàng nguy hiểm cao nhất.
c) Mẫu thử phải được bố trí hướng kính theo chiều bay xung quanh sản phẩm vật liệu mài.
d) Do năng lượng tịnh tiến của mảnh vỡ là lớn nhất, nếu khối lượng của mảnh vỡ gần bằng một phần ba khối lượng của sản phẩm vật liệu mài, các mảnh vỡ gần bằng một phần ba tổng khối lượng của sản phẩm vật liệu mài cần được tạo ra. Điều này có thể đạt được bằng việc chuẩn bị sản phẩm vật liệu mài với các gia công cắt thô đã định.
e) Khoảng cách từ các mẫu thử đến trục chính bánh mài nên xấp xỉ tương ứng với khoảng cách giữa sản phẩm vật liệu mài và bộ phận bảo vệ trên máy mài thực.
f) Số lượng các thử nghiệm: Cũng như các chiều bay và do vậy các vị trí va đập của các mảnh vỡ sản phẩm vật liệu mài là trùng nhau, nó phải được thử (ví dụ bằng chụp ảnh tốc độ cao), nếu một mẫu thử bị đập bởi ít nhất 1/3 mảnh vỡ trên bề mặt. Nếu không có va đập như vậy được thực hiện, phép thử phải được lặp lại. Để tăng xác suất của các va đập, vài mẫu thử cho mỗi phép thử cần được bố trí theo chiều bay.
B.2.3 Thiết bị thử
Thiết bị thử (xem Hình B.1) chủ yếu bao gồm một trục chính vận hành bằng năng lượng có thiết bị kẹp sản phẩm vật liệu mài, nó tăng tốc sản phẩm vật liệu mài đến tốc độ hoặc vận tốc dài tương ứng.
Tốc độ phải được điều khiển bằng đo lường.
Ngoài ra, trang bị thử gồm có một thiết bị, nó kích hoạt sự nổ vỡ của sản phẩm vật liệu mài, ví dụ như một vật nặng rơi. Thiết bị thử cũng bao gồm một khung để gá đặt các mẫu thử.

CHÚ DẪN:
1 khung
2 trục chính
3 sản phẩm vật liệu mài
4 thiết bị tạo gãy vỡ
5 mẫu thử
Hình B.1 - Ví dụ thiết bị thử để thử va đập
B.2.4 Mẫu thử
Cả mẫu vật liệu và bộ phận bảo vệ sẵn sàng cho sử dụng đều có thể làm các mẫu thử.
Các mẫu thử chịu va đập phải tương ứng với vật liệu và kết cấu của bộ phận bảo vệ của máy mài tại vùng yếu nhất của nó.
Nếu giao diện giữa hai chi tiết của bộ phận bảo vệ được thử, các mẫu thử phải biểu lộ các giao diện liên quan, chúng phải được bố trí trên trang thiết bị thử theo cách sao cho các mảnh vỡ sản phẩm vật liệu mài đập một cách trực tiếp vào bên cạnh giao diện.
Với các ô cửa quan sát, không chỉ khả năng chịu va đập thuần túy phải được thử. Hệ số quyết định khác là sự gắn chặt của ô cửa quan sát vào kết cấu thành xung quanh.
Do đó, các ô cửa quan sát sẽ thử phải được gá lắp trên một khung tương ứng với kết cấu của bộ phận bảo vệ của máy mài tương tự theo cách mà chúng được gá lắp trên máy thực tế (đặc biệt về sự phủ chồng vật liệu và các chi tiết kẹp cố định).
Do các ô cửa quan sát lớn hơn phình ra nhiều hơn so với các ô cửa quan sát nhỏ hơn trong khi va đập và do đó đòi hỏi sự phủ chồng nhỏ nhất khác, các phép thử phải được thực hiện với các ô cửa quan sát, mà các kích thước bên ngoài của chúng xấp xỉ tương ứng với các kích thước bên ngoài của các ô cửa quan sát được sử dụng trên máy mài thực tế. Sai lệch ± 15 % là chấp nhận được.
B.3 Kết quả
Sau khi va đập, các hư hỏng được nhận biết trên mẫu thử phải được đánh giá như sau:
B.3.1 Các hư hỏng có thể là:
a) Oằn/phình ra (biến dạng vĩnh cửu không có vết nứt);
b) Vết rạn li ti (chỉ nhìn thấy trên một bề mặt);
c) Vết nứt xuyên (nứt nhìn thấy được từ bề mặt này sang bề mặt khác);
d) Xuyên thủng (đạn thử xuyên thủng vật thử);
e) Cửa sổ của bộ phận bảo vệ tuột khỏi gá kẹp của nó;
f) Bộ phận bảo vệ tuột khỏi giá đỡ nó.
B.3.2 Đánh giá
Phép thử là đạt nếu không có vết nứt xuyên hoặc xuyên thủng trên vật thử và không có hư hỏng loại e) và f) theo B.3.1.
B.4 Báo cáo thử
Báo cáo thử phải quy định tối thiểu các thông tin sau:
a) Thời gian, địa điểm thử, và tên của đơn vị thử;
b) Khối lượng, kích thước và độ bền của sản phẩm vật liệu mài và các vận tốc tạo gãy vỡ và vận tốc dài;
c) Thiết kế, vật liệu và kích thước của vật thử;
d) Sự kẹp chặt hoặc gá đặt vật thử vào phương tiện thử;
e) Kết quả thử cùng với sự chỉ thị của các hình ảnh hư hỏng.
Phụ lục C
(Tham khảo)
Thử va đập cho bộ phận bảo vệ - Va đập bằng đạn
C.1 Tổng quan
Phụ lục này quy định các thử nghiệm cho bộ phận bảo vệ sử dụng trên máy mài để giảm thiểu các rủi ro của việc các bộ phận hoặc chi tiết gia công bị văng ra khỏi khu vực gia công.
Phụ lục này áp dụng cho các vật liệu của bộ phận bảo vệ cũng như áp dụng cho bộ phận bảo vệ hoàn chỉnh.
C.2 Phương pháp thử
C.2.1 Nguyên lý
Phương pháp thử này áp dụng cho các máy hoạt động có sản phẩm vật liệu mài nhưng không có bộ phận bảo vệ sản phẩm vật liệu mài và mô phỏng lại mối nguy hiểm của việc văng ra của các mảnh vỡ sản phẩm vật liệu mài. Phép thử thể hiện khả năng chịu/độ bền của các bộ phận bảo vệ và/hoặc các vật liệu bộ phận bảo vệ chống lại sự xuyên thủng và sự đánh bật ra khỏi vị trí.
Trong phương pháp thử này, sự cố nguy hiểm được mô phỏng lại bằng sự va đập của đạn thử trên bộ phận bảo vệ, năng lượng va đập của nó tương ứng với năng lượng tịnh tiến của một mảnh vỡ sản phẩm vật liệu mài góc 134°.
C.2.2 Điều kiện thử
a) Để xác định năng lượng của đạn, sản phẩm vật liệu mài dự định để sử dụng trên máy sẽ biểu lộ tiềm năng nguy hiểm cao nhất phải được lấy làm cơ sở.
b) Năng lượng va đập yêu cầu tương ứng với năng lượng tịnh tiến của mảnh vỡ 134° của sản phẩm vật liệu mài này, được xác định bằng công thức (A.4), giả thiết vận tốc dài của sản phẩm vật liệu mài bằng 1,2 lần tốc độ trục chính lớn nhất có thể có của máy mài tương ứng. Nếu giới hạn an toàn của vận tốc lớn nhất đối với đường kính sản phẩm vật liệu mài liên quan theo 5.12 b) 5) được đảm bảo, phép thử có thể được thực hiện với tốc độ lớn nhất giới hạn ở trên nhân với 1,2.
CHÚ THÍCH: Đối với việc tính toán năng lượng va đập yêu cầu của đạn, vận tốc dài của sản phẩm vật liệu mài được giả thiết cao hơn 20 % tốc độ trục chính lớn nhất có thể có hoặc vận tốc dài do tốc độ trục chính lớn nhất bị giới hạn một cách an toàn. “Hệ số an toàn” này bao phủ:
- Các phân tán tính chất về vật liệu của vật liệu làm mẫu hoặc bộ phận bảo vệ;
- Tính không an toàn do vận tốc dài tăng khi các bộ truyền động trục chính đang tắt bởi các trễ do các khoảng thời gian được yêu cầu bởi quá trình xử lý tín hiệu trong hệ thống điều khiển;
- “Va đập ở tâm” không là trường hợp tới hạn nhất của ứng suất;
- Số lượng nhỏ các thử nghiệm va đập yêu cầu đối với việc xác định khả năng chịu va đập.
c) Khối lượng của đạn phải gần bằng khối lượng của mảnh vỡ 134° của sản phẩm vật liệu mài được quy định dưới a). Đường kính của đạn cần xấp xỉ tương ứng với bề rộng của sản phẩm vật liệu mài liên quan.
d) Vận tốc yêu cầu của đạn được tính toán từ năng lượng tịnh tiến xác định dưới b) và khối lượng theo c) bằng công thức ![]()
với
v = vận tốc của đạn = vận tốc va đập
E = năng lượng va đập được tính phù hợp với b)
m = khối lượng của đạn phù hợp với c).
C.2.3 Trang thiết bị thử
Trang thiết bị thử gồm có một súng, đạn và giá đỡ bộ phận bảo vệ sẽ được thử.
C.2.3.1 Súng
Súng có thể bao gồm một bình khí nén với một nòng súng có bích (xem Hình C.1). Khí nén có thể được xả ra bằng một van để tăng tốc cho đạn hướng vào vật thử. Khí súng được cấp bởi một máy nén khí. Vận tốc của đạn có thể có thể được điều khiển bằng áp lực của khí. Cụm dẫn động hoặc tạo lực đẩy phải cho phép gia tốc của đạn đạt đến vận tốc va đập đã cho với sai số ± 5 %.
Vận tốc của đạn được đo ở gần miệng súng bằng một vận tốc kế phù hợp, như bằng cảm biến độ gần hoặc tế bào quang điện.

CHÚ DẪN:
1 vận tốc kế
2 nòng súng
3 đạn
4 bằng điều khiển
5 bình khí nén
6 vật thử
Hình C.1 - Trang thiết bị để thử va đập
C.2.3.2 Đạn
Hình dạng, khối lượng và kích thước của đạn tiêu chuẩn được cho trong Hình C.2 và Bảng C.1.
Đặc tính kỹ thuật của vật liệu, khối lượng và hình dạng đạn được thực hiện dựa trên cơ sở sau:
- vật liệu đạn tương ứng với vật liệu sản phẩm vật liệu mài quy định trong C.2.2 a);
- khối lượng và đường kính đạn như quy định trong C.2.2 c);
- mặt đầu đạn như quy định trong Hình C.2 và Bảng C.1.
Nếu các thông số của đạn đã xác định tương ứng với các đạn tiêu chuẩn từ Bảng C.1, thì có thể sử dụng các đạn tiêu chuẩn. Nếu không thì các hình học của đạn mà được làm giảm đi hoặc tăng lên một cách phù hợp phải được quy định.

CHÚ THÍCH: Đạn thử được làm cứng đạt HRC trên chiều sâu tối thiểu 0,5 mm.
Hình C.2 - Đạn thử
Bảng C.1- Khối lượng và kích thước của đạn
| Khối lượng m kg | Đường kính đạn D mm | Mặt đầu của đạn a x a mm x mm |
|
| 30 | 19 x 19 |
|
| 30 | 19 x 19 |
|
| 40 | 25 x 25 |
| 0,625 | 50 | 30 x 30 |
| 1,25 | 30 | 19 x 19 |
| 2.5 | 50 | 30 x 30 |
|
| 60 | 38 x 38 |
|
| 70 | 45 x 45 |
C.2.3.3 Các phép đo vận tốc
Vận tốc của đạn phải được đo tại một điểm mà ở đó đối tượng không còn được tăng tốc nữa (nghĩa là sau khi thoát khỏi nòng súng hoặc trong nòng súng bên ngoài giảm áp phù hợp). Vận tốc cần được đo trên một khoảng cách cố định sử dụng các cảm biến độ gần, các tế bào quang điện hoặc thiết bị tương đương khác.
C.2.3.4 Gá đỡ bộ phận bảo vệ khi thử
Phép thử được tiến hành với bộ phận bảo vệ và/hoặc mẫu vật liệu bộ phận bảo vệ. Giá đỡ bộ phận bảo vệ phải tương đương với bộ phận bảo vệ đang gá lắp trên máy. Để thử các vật liệu bộ phận bảo vệ, có thể sử dụng các mẫu, được cố định trên một khung với một lỗ mở bên trong kích thước 450 mm x 450 mm. Khung phải đủ cứng vững. Việc gá lắp mẫu phải là bằng kẹp chặt bị động.
C.2.4 Quy trình thử
Để đánh giá cấp độ khả năng chịu của bộ phận bảo vệ, đạn thử phải được bắn trực tiếp vào mẫu vật liệu và sự va đập phải xảy ra tại tâm của mẫu thử, theo phương vuông góc với bề mặt đến mức có thể. Đối với phép thử các bộ phận bảo vệ máy thực, thì sự va đập phải tại vùng yếu nhất của bộ phận bảo vệ.
C.3 Kết quả
Sau khi va đập, các hư hỏng tìm thấy trên bộ phận bảo vệ hoặc vật liệu phải được đánh giá như sau:
C.3.1 Các hư hỏng có thể là:
a) Oằn/phình ra (biến dạng vĩnh cửu không có vết nứt);
b) Vết rạn li ti (chỉ nhìn thấy trên một bề mặt);
c) Vết nứt xuyên (nứt nhìn thấy được từ bề mặt này sang bề mặt khác);
d) Xuyên thủng (đạn thử xuyên thủng vật thử);
e) Cửa sổ của bộ phận bảo vệ tuột khỏi gá kẹp của nó;
f) Bộ phận bảo vệ tuột khỏi giá đỡ nó.
C.3.2 Đánh giá
Phép thử là đạt nếu không có vết nứt xuyên hoặc xuyên thủng trên vật thử và không có hư hỏng loại e) và f) theo C.3.1.
C.4 Báo cáo thử
Báo cáo thử phải quy định tối thiểu các thông tin sau:
a) Thời gian, địa điểm thử, và tên của đơn vị thử;
b) Khối lượng, kích thước và vận tốc của đạn;
c) Nhà sản xuất máy, kiểu, đường kính lớn nhất, tốc độ trục chính lớn nhất, khối lượng và kích thước của sản phẩm vật liệu mài, sai lỗi được mô phỏng lại bởi va đập;
d) Thiết kế, vật liệu và kích thước của vật thử;
e) Chiều của chấn động, điểm va đập của đạn;
f) Kết quả thử.
Phụ lục D
(Quy định)
Phương pháp kẹp sản phẩm vật liệu mài và các yêu cầu an toàn đối với thiết bị kẹp dụng cụ
D.1 Tổng quan
Các nội dung dưới đây bao gồm các yêu cầu an toàn cho các thiết bị để gá lắp sản phẩm vật liệu mài trên máy mài.
D.2 Phương pháp kẹp
Các ví dụ phương pháp kẹp là:
- Bằng bích. Xem các Hình D.7 đến D.15;
- Bằng đai ốc chèn vào. Xem các Hình D.13 đến D.15;
- Bằng vòng kẹp hoặc chấu kẹp dụng cụ tại mặt ngoài của sản phẩm vật liệu mài. Xem Hình D.16;
- Bằng trám xi măng vào tấm mặt sau. Xem các Hình D.17 và D.18;
- Bằng các mảnh gá lắp trên đồ gá kẹp. Xem các Hình D.19 và D.20.
D.3 Yêu cầu chung
Các thiết bị kẹp phải truyền mô men vận hành yêu cầu lớn nhất tại áp lực kẹp nhỏ nhất. Phải thỏa mãn các yêu cầu chung sau:
- Thiết kế của các bích phải đảm bảo rằng các vùng tiếp xúc là vuông góc với trục quay khi được kẹp (ngoài trừ các bánh mài côn loại 4);
- Lực kẹp phải được phân bố đều trên toàn bộ vùng kẹp. Các vùng tiếp xúc phải phẳng và không có ba via. Độ đồng tâm so với trục quay nên ≤ 0,02 mm;
- Phải luôn có một đường cắt chân ở đường kính bên trong của vùng kẹp. Đường cắt chân này tối thiểu phải bằng 1 mm, đối với các sản phẩm vật liệu mài có H > 0,2 D thì tối thiểu bằng 4 mm;
- Thiết bị kẹp phải được ghi nhãn phù hợp với D.4.4.
D.4 Thiết kế bích
D.4.1 Lực kẹp và mô men siết
Thiết kế của các kích thước có thể được thực hiện một cách thành công bằng phương pháp mô hình phần tử hữu hạn (FEM) hoặc các phương pháp tương đương. Như một lựa chọn khác cho thiết kế, D.4.2 đưa ra một số hướng dẫn có thể được sử dụng.
D.4.2 Đường kính kẹp ngoài, bề rộng hướng kính và độ bao phủ
Quy định kỹ thuật của đường kính ngoài DF của các bích phải được thực hiện theo các Bảng D.1 đến D.3 là một hàm số của sản phẩm vật liệu mài, kiểu máy và tốc độ vận hành lớn nhất. Ngoài ra, phải đảm bảo là ít nhất 1/6 bề dày hướng kính M của sản phẩm vật liệu mài (Hình D.1) được bao phủ bởi bích kẹp (R ≥ 0,17 M). Đối với các bích có rãnh thẳng, vùng tiếp xúc góc phải ít nhất có bề rộng R bằng 1/6 đường kính bích (R ≥ 0,17 DF), (Hình D.2).
Đối với thiết kế các bích moay ơ (Hình D.1), cũng xem TCVN 12170 (ISO 666).
Bảng D.1 - Các đường kính bích cho các sản phẩm vật liệu mài kết dính và cho các sản phẩm vật liệu mài đặc biệt với lõi thủy tinh (trừ các bánh mài cắt đứt)
| Kiểu máy | Sản phẩm vật liệu mài | Vận tốc vận hành lớn nhất vs m/s | Đường kính ngoài của bích DF mm | ||
| Tên gọi | Kích thước tính bằng mm | Chất kết dính | |||
| Máy mài tĩnh tại | Bánh mài phẳng, bánh mài đĩa và đĩa nhỏ, bánh mài hình cốc | H ≤ 0,2 D | Tất cả | Tất cả | ≥ 0,33 D |
| H > 0,2 D | ≥ H + 2(0,17 M)a | ||||
| D = đường kính ngoài của sản phẩm vật liệu mài H = lỗ của sản phẩm vật liệu mài M = bề rộng hướng kính của sản phẩm vật liệu mài | |||||
| a Xem TCVN 12170 (ISO 666). | |||||
Bảng D.2 - Các đường kính bích cho các sản phẩm vật liệu mài kết dính và cho các sản phẩm vật liệu mài đặc biệt với lõi thủy tinh (trừ các bánh mài cắt đứt)
| Kiểu máy | Sản phẩm vật liệu mài | Vận tốc vận hành lớn nhất vs m/s | Đường kính ngoài của bích DF mm | ||
|
| Tên gọi | Kích thước tính bằng mm | Chất kết dính | ||
| Máy mài cắt đứt tĩnh | Bánh mài cắt đứt phẳng | D ≤ 800 | B, BF | ≤ 63 | ≥ 0,2D |
|
|
| 80, 100 | ≥ 0,25 D | ||
|
|
| 125 | ≥ 0,33 D | ||
| D > 800 | BF | ≤ 63 | ≥ 0,2D | ||
|
|
| 80, 100, 125 | ≥ 0,33 D | ||
| Bánh mài cắt đứt hạ tâm | Tất cả D | BF | ≤ 100 | ≥ 0,25 D Ít nhất H + 2(0,17 M) | |
| Máy mài cắt đứt kiểu khung xoay | Bánh mài phẳng và cắt đứt hạ tâm | D ≤ 600 | BF | ≤ 80 | |
Bảng D.3 - Các đường kính bích cho các bánh mài cắt đứt bột mài đặc biệt với lõi kim loại
| Kiểu máy | Sản phẩm vật liệu mài | Vận tốc vận hành lớn nhất vs m/s | Đường kính ngoài của bích DF mm | ||
| Tên gọi | Kích thước tính bằng mm | Chất kết dính | |||
| Máy mài cắt đứt tĩnh | Bánh mài cắt đứt thẳng | D ≤ 600 | G, M | ≤ 200 | ≥ 0,18 D, |
|
| B | ≤ 140 | ít nhất 41 | ||
| 600 < D ≤ 1500 | M | ≤ 125 | ≥ 0,18 D | ||
| D > 1500 |
|
| ≥ 0,10 D, | ||
|
|
|
| ít nhất 270 | ||

CHÚ DẪN:
1 bàn đệm mềm
2 đường cắt chân
Hình D.1 - Bích kẹp để gá lắp các sản phẩm vật liệu mài có lỗ lớn (H > 0,2D)

Hình D.2 - Bích kẹp để gá lắp các sản phẩm vật liệu mài có lỗ nhỏ (H ≤ 0,2D)
D.4.3 Độ cứng vững
D.4.3.1 Tổng quan
Các bích phải có đủ độ cứng vững để bảo đảm sự phân bố đồng đều của lực trên toàn bộ vùng tiếp xúc khi được kẹp. Một bích được xem là đủ cứng vững nếu vùng kẹp của nó song song với bề mặt nằm dưới khi lực thử Fc tác dụng vào (λ ≤ 0,005). Quy trình thử được mô tả trong D.4.3.2. Các bích tuân theo TCVN 12170 (ISO 666) được xem là có đủ độ cứng vững, do đó không yêu cầu phép đo độ cứng vững trong trường hợp này.
D.4.3.2 Phương pháp đo độ cứng vững
Lực thử đặt vào phải có giá trị Fc tương ứng với lực kẹp FE do nhà sản xuất tính toán và xem là tính chất của sản phẩm vật liệu mài.
Thực hiện phép đo:
a) Đặt bích lên bàn đo (sai lệch độ phẳng cho phép 0,01/100), vùng tiếp xúc đang tiếp xúc với bàn đo.
b) Đặt hai đồng hồ so, một vuông góc với đường kính rãnh/recess diameter, một cách đường kính ngoài 1 mm đối với DF ≤ 200 hoặc cách 2 mm đối với DF > 200 mm.
c) Sử dụng một vòng đệm nhẵn cung cấp cho một vùng tiếp xúc tương tự với vùng tiếp xúc của đai ốc hoặc hệ thống nhiều vít để kẹp bích (xem các chú thích),
- Tác dụng lực thử Fc
- Giảm lực đến giá trị tải đặt trước tương ứng với 1/10 lực thử và thiết lập đồng hồ so về 0.
Đối với các bích moay ơ được kẹp chặt bằng hệ thống nhiều vít, tải phải được truyền đến bích bằng các chốt đặt vuông góc với các vít.
d) Ghi lại giá trị đại số của dịch chuyển C1 và C2 được chỉ thị bởi các đồng hồ so, với Fc là lực thử (Hình D.3).

Hình D.3 - Bố trí phép thử
e) Thôi tác dụng lực thử trong khi vẫn duy trì tải đặt trước. Các kim đo đồng hồ so cần quay trở về vị trí ban đầu của chúng.
f) Tiến hành ba lần đo, mỗi lần cách nhau 120°.
g) Tính toán tỉ số
![]()
(C1, C2 và R tính bằng milimét).
D.4.4 Ghi nhãn các bích
Đối với các sản phẩm vật liệu mài có đường kính ngoài D > 200 mm, các bích phải mang các chỉ thị thông tin dưới đây, chúng vẫn phải nhìn thấy được sau khi gá lắp sản phẩm vật liệu mài:
- Đường kính ngoài lớn nhất của sản phẩm vật liệu mài D;
- Bề rộng lớn nhất và nhỏ nhất của sản phẩm vật liệu mài T;
- Đường kính của lỗ sản phẩm vật liệu mài H.
D.5 Thiết bị để gá lắp các sản phẩm vật liệu mài bằng chi tiết kẹp chặt lồng ghép
D.5.1 Chi tiết lồng ghép có ren trung tâm
Các bích đỡ dùng để gá lắp các sản phẩm vật liệu mài với các chi tiết lồng ghép có ren trung tâm phải có các vùng tiếp xúc phẳng với các sản phẩm vật liệu mài. Dung sai độ đảo so với trục quay nên ≤ 0,02 mm.
Đường kính ngoài DF của các bích đỡ phải ít nhất bằng 0,33 D của đường kính ngoài lớn nhất của sản phẩm vật liệu mài dùng để gá lắp các bánh mài phẳng và hình cốc côn (Hình D.4).

Hình D.4 - Bánh mài hình cốc
Các ống kẹp dùng để gá lắp sản phẩm vật liệu mài với trục chính bằng thép được chèn vào phải mang các chỉ thị trên đường kính kẹp và chiều dài của trục chính nằm trong bộ phận kẹp. Chúng phải đảm bảo đủ độ đồng tâm của trục chính được kẹp. Yêu cầu này được xem là thỏa mãn nếu dung sai độ đảo cho phép theo Bảng D.4 không bị vượt quá khi sử dụng quy trình thử được mô tả trong D.5.2.
D.5.2 Phương pháp xác định dung sai độ đảo cho các ống kẹp
Sau khi gá lắp ống kẹp vào trong một trục chính thử, một trục thử có dung sai h5 được gá lắp vào ống kẹp này (Hình D.5).
Dung sai độ đảo của trục thử được xác định tại khoảng cách l (chiều dài thử) so với vị trí kẹp, như bằng một đồng hồ so, và được so sánh với giá trị thử tương ứng.

Hình D.5 - Trục thử
Bảng D.4 - Dung sai độ đảo cho phép đối với các ống kẹp
| Đường kính kẹp | Chiều dài thử | Dung sai độ đảo cho phép |
| mm | mm | mm |
| Lớn hơn 1,6 đến bằng 3 | 10 | 0,02 |
| Lớn hơn 3 đến bằng 6 | 16 | 0,02 |
| Lớn hơn 6 đến bằng 10 | 25 | 0,02 |
| Lớn hơn 10 đến bằng 18 | 40 | 0,03 |
D.5.3 Chi tiết lồng ghép cho các sản phẩm vật liệu mài loại 2, 35, 36, 37 (xem EN 12413) và các sản phẩm vật liệu mài so sánh được
Đai ốc chèn của sản phẩm vật liệu mài phải có đủ diện tích để chạm vào thép của tấm mặt sau, và sự dẫn hướng của bu lông phải sao cho không xảy ra uốn cong hoặc gãy vỡ của các đai ốc chèn. Đầu mút bu lông phải không được chạm tới đáy của đai ốc chèn cũng như thân bột mài. Phải luôn luôn có khe hở giữa bu lông và đáy của đai ốc/thân bột mài. Xem Hình D.6.

CHÚ DẪN:
1 đầu mút của bu lông không được chạm tới đáy của đai ốc
Hình D.6 - Sự bố trí đai ốc và bu lông đúng
Các Hình D.7 đến D.9 thể hiện các ví dụ đối với việc kẹp giữ các sản phẩm vật liệu mài.

Hình D.7

Hình D.8

Hình D.9

Hình D.10

Hình D.11
|
|
|
| CHÚ DẪN: 1 các lớp trung gian 2 đường cắt chân | CHÚ DẪN: 1 các lớp trung gian
|
| Hình D.12 | Hình D.13 |
|
|
|
|
| CHÚ DẪN: 1 đầu mút của bu lông không được chạm tới đáy của sản phẩm vật liệu mài |
| Hình D.14 | Hình D.15 |

CHÚ DẪN:
1 tấm mặt sau
Hình D.16

Hình D.17

CHÚ DẪN:
1 tấm mặt sau
2 keo dính
Hình D.18

CHÚ DẪN:
1 keo dính
Hình D.19
Các Hình D.20 và D.21 là các ví dụ về sản phẩm vật liệu mài ghép mảnh.

Hình D.20

Hình D.21
Phụ lục E
(Tham khảo)
Giảm độ ồn
Danh mục dưới đây bao gồm các ví dụ về các biện pháp để giảm phát xạ ồn ở giai đoạn thiết kế. Nó không có nghĩa là đề cập hết mọi khía cạnh. Nhà sản xuất có thể sử dụng các biện pháp lựa chọn khác để kiểm soát ồn với cùng hiệu quả hoặc hiệu quả lớn hơn.
Phát xạ ồn có thể được giảm đi bằng:
- Ngăn ngừa rung động
Sử dụng các dụng cụ được cân bằng và đủ giá đỡ dụng cụ, như bằng các bích có độ cứng vững cao và đường kính ngoài lớn.
- Ngăn ngừa sự truyền rung động
Nếu không thể tránh được rung động bằng các biện pháp về kết cấu, thì sự truyền của chúng vào môi trường phải được giảm đi bằng sự cách ly phần tử rung sử dụng các bộ cách rung.
- Giảm dòng lưu thông tiếng ồn
Bằng các bộ hấp thụ âm đối với các chất khí tại cửa ra hoặc các xử lý thích thoát (như sử dụng không khí nén cho điều khiển khí nén).
Sử dụng các vòi nhiều lỗ cho không khí nén, như cho sự thổi khí của các thiết bị kẹp dụng cụ và chi tiết gia công.
- Ngăn ngừa sự nhiễu động (chảy rối)
Thiết kế khí động học của các bộ phận quay nhanh, như các bề mặt khép kín, nếu có thể được, ngăn ngừa sự sinh ra của các nhiễu động và sự tạo thành các tiếng đanh rít của hầu hết các tần số cao.
- Giảm sự lan truyền âm
Các vỏ che cách âm/làm suy giảm âm sẽ làm giảm sự lan truyền của ồn trong không khí từ nguồn ồn ra môi trường. Chúng có thể che kín toàn bộ máy công cụ hoặc che nguồn ồn riêng lẻ (như cụm thủy lực, khu vực gia công, động cơ dẫn động).
Hiệu quả của các vỏ che sẽ bị giảm một cách đáng kể bởi các lỗ hở, như các lỗ không khí vào và ra, các lỗ hở để tháo lắp.
Sự lan truyền âm cũng có thể được giảm đi bằng các vỏ che không gian. Các vật liệu hấp thụ ồn được sử dụng cho các bề mặt bên trong của các vỏ che máy xung quanh nguồn ồn, như tại các bề mặt bên trong của máy bao xung quanh trục chính ổ bi.
Phụ lục F
(Tham khảo)
Xác định phát xạ ồn
F.1 Phương pháp
Thông tin chung và các quy trình đo cơ bản để xác định mức áp suất âm và mức công suất âm trên máy công cụ được nêu trong TCVN 7011-5 (ISO 230-5).
Do hệ số hiệu chỉnh theo môi trường K2, mức công suất âm sẽ được xác định bằng phương pháp mặt phẳng phản xạ phù hợp với ISO 3744 hoặc ISO 3746. Mức áp suất âm tại các trạm gia công sẽ được xác định phù hợp với ISO 11201, ISO 11202 hoặc ISO 11204. Việc xác định mức áp suất âm sẽ bị ảnh hưởng tại vị trí mà nằm trong vùng lân cận trực tiếp của máy, nó đã được nêu trong sổ tay hướng dẫn là vị trí để sử dụng của người vận hành.
F.2 Điều kiện vận hành
Các điều kiện vận hành cho các phép đo ồn vẫn chưa được quy định cho các máy mài được đề cập trong tiêu chuẩn này. Các điều kiện này sẽ được nêu sau trong một phụ lục đặc biệt cho tiêu chuẩn này. Cho đến khi các quy định kỹ thuật này có sẵn, nhà sản xuất sẽ mô tả chi tiết các điều kiện vận hành và các sản phẩm vật liệu mài và các chi tiết gia công được sử dụng khi công bố các giá trị phát xạ ồn.
Có thể hữu ích khi thực hiện phép đo phát xạ ồn dưới vài điều kiện vận hành điển hình. Cho đến khi có sẵn các quy định kỹ thuật thích hợp trong các tiêu chuẩn, các phép đo ít nhất là nên được thực hiện trong chế độ vận hành “không tải”, dưới các điều kiện sau:
- Tốc độ vận hành của sản phẩm vật liệu mài lớn nhất;
- Tốc độ của các trục cao nhất có thể có;
- Áp suất hoặc dòng dung dịch trơn nguội lớn nhất;
- Công suất hút lớn nhất.
Ngoài ra
- Tất cả các thiết bị phụ (như băng tải phoi, hệ thống dung dịch trơn nguội, hệ thống thủy lực và bôi trơn) nên được đưa vào hoạt động trong khi đo, và
- Tất cả các thiết bị bảo vệ, đặc biệt là các thiết bị được thiết kế để giảm phát xạ ồn và được cung cấp kèm theo máy, phải được lắp đặt trong khi thực hiện phép đo và phải ở trong vị trí “bảo vệ”.
Đối với bất kỳ sự xác định mức áp suất âm nào tại các trạm gia công và sự xác định mức công suất âm, sẽ sử dụng các điều kiện gá lắp và vận hành giống nhau.
CHÚ THÍCH: Các giá trị phát xạ âm có thể đạt được cho các máy mài quy định bởi tiêu chuẩn này hiện tại có thể chưa được công bố, cho đến bây giờ, chưa có biên bản ghi chép, tập hợp và đánh giá một cách có hệ thống các khai báo độ ồn phù hợp với ISO 11689 được thực hiện.
Phụ lục G
(Quy định)
Yêu cầu đối với máy mài dùng để mài các vật liệu sinh ra bụi dễ cháy và nổ
G.1 Thiết bị cho mài ướt
Máy phải được trang bị các thiết bị dùng để cung cấp nước hoặc các chất lỏng gia công kim loại phù hợp khác trực tiếp vào điểm gia công. Kích thước của mạch chất lỏng gia công kim loại phải đảm bảo rằng có đủ chất lỏng gia công kim loại tại điểm gia công ở thời điểm bất kỳ.
Sự khởi động của trục chính bánh mài phải được ngăn chặn nếu sự cung cấp chất lỏng gia công kim loại không thực hiện đúng chức năng.
Trong chế độ MSO 1, quá trình gia công phải được dừng lại theo cách thích hợp nếu sự cung cấp chất lỏng gia công kim loại không đủ.

CHÚ DẪN:
1 chất lỏng gia công kim loại
2 chi tiết gia công
3 chậu thu gom
Hình G.1 - Quá trình mài ướt
G.2 Thiết bị cho mài khô có sự rơi lắng ướt bằng sự làm ẩm tức thời
Máy phải được trang bị các thiết bị dùng để làm ẩm bụi sinh ra bằng nước hoặc các chất lỏng gia công kim loại phù hợp khác trực tiếp vào sau điểm mài sao cho bụi được tụ lại, rơi xuống và thu gom ở đó. Kích thước của mạch chất lỏng gia công kim loại phải đảm bảo rằng có đủ lượng chất lỏng tại thời điểm bất kỳ để phun ướt.
Sự khởi động của trục chính bánh mài phải được ngăn chặn nếu sự cung cấp chất lỏng gia công kim loại không thực hiện đúng chức năng.

CHÚ DẪN:
1 chất lỏng gia công kim loại
2 chi tiết gia công
3 chậu thu gom
Hình G.2 - Mài khô có sự rơi lắng ướt bằng sự làm ẩm tức thời
G.3 Trang thiết bị cho mài khô có sự rơi lắng bằng hệ thống thu gom kiểu ướt
Máy phải được trang bị các thiết bị dùng để hút bụi mài khô sinh ra trực tiếp tại điểm gia công và hệ thống phù hợp dùng cho việc rơi lắng ẩm bụi đã được hút.
Vùng gia công của máy phải được thiết kế và kết cấu sao cho ngăn ngừa các tích tụ bụi.
Hệ thống thu gom kiểu ướt phải đảm bảo đủ làm ẩm bụi bằng nước rửa. Phải ngăn ngừa sự đông lại và sự tích tụ bụi bên trong hệ thống thu gom. Sự tích tụ của hỗn hợp hydro/không khí gây nguy hiểm phải được ngăn ngừa ngay cả khi hệ thống thu gom ngừng hoạt động.
Sự khởi động của trục chính bánh mài phải được ngăn chặn nếu sự hút hoặc sự rơi lắng ướt không thực hiện đúng chức năng.
Quá trình gia công phải được dừng lại theo cách thích hợp nếu sự hút hoặc sự rơi lắng là không đủ.
Trong khi dựng lắp các thiết bị hút, vận tốc không khí bằng 20 m/s phải được lấy làm cơ sở cho việc chụp bắt và vận chuyển an toàn bụi mài.
Các quạt hút phải được đặt ở phía không khí sạch và phải tiếp tục làm việc sau khi dùng máy mài miễn là cần thiết để tránh trầm tích của bụi mài trong đường ống.

CHÚ DẪN:
1 hút
2 chi tiết gia công
3 hệ thống thu gom kiểu lưới
Hình G.3 - Mài khô với sự rơi lắng ướt của bụi mài
Phụ lục H
(Tham khảo)
Các biện pháp sử dụng các chất lỏng gia công kim loại dễ cháy
H.1 Lựa chọn các chất lỏng gia công kim loại phát xạ thấp
Các chất lỏng gia công kim loại chứa nhiều hơn 15 % dầu có thể dẫn đến các mối nguy hiểm cháy hoặc cháy bùng.
Thông qua việc lựa chọn các chất lỏng gia công kim loại phát xạ thấp không hòa tan được trong nước, sự hình thành các son khí và hơi ở bên trong máy có thể được giảm xuống. Các chất lỏng gia công kim loại phát xạ thấp được đặc tính hóa bởi các tính chất dưới đây:
- Sự chuẩn bị trên cơ sở các dầu khoáng hóa hơi thấp hoặc các este tổng hợp và/hoặc các chất lỏng đặc biệt;
- Sự bổ sung của các chất phụ gia chống mù sương.
Trong Bảng H.1, các đặc tính khuyến nghị để lựa chọn các chất lỏng gia công kim loại phát xạ thấp là một hàm số của các cấp độ nhớt và quá trình gia công đã cho.
Bảng H.1 - Đặc tính của các chất lỏng gia công kim loại không hòa tan được trong nước
| Xu hướng | Cấp độ nhớt theo ISO 3448:1992 | Độ nhớt ở 40 °C mm2/s | Điểm chớp cháy theo ISO 2592 (phương pháp cốc hở Cleveland) °C | Tổn thất do sự hóa hơi ở 25 °C (phương pháp Noack) % | Quá trình gia công (ví dụ) |
| Giảm các mối nguy hiểm cháy và nổi ↓ | ISO VG 5 | 4,14 - 5,06 | > 120 | < 85 | Mài khôn, mài mòn |
| ISO VG 7 | 6,12 - 7,48 | > 145 | < 80 | Mài | |
| ISO VG 10 | 9 - 11 | > 155 | < 60 | Khoan sâu | |
| ISO VG 15 | 13,5 - 16,5 | > 190 | < 25 | Tiện, phay | |
| ISO VG 22 | 19,8 - 24,2 | > 200 | < 15 | Khoan | |
| ISO VG 32 | 28,8 - 35,2 | > 210 | < 13 | Tạo ren | |
| ISO VG 46 | 41,4 - 50,6 | > 220 | < 11 | Cán ren Chuốt |
Về nguyên tắc, khuyến nghị lựa chọn chất lỏng gia công kim loại có tổn thất hóa hơi thấp nhất và điểm chớp cháy cao nhất tại vận tốc theo yêu cầu của quá trình gia công, nó nên là cao nhất có thể được.
H.2 Đệm bít kín khuất khúc chịu được ngọn lửa
Sự phun ra của ngọn lửa vào vùng vận hành hầu hết có thể được ngăn chặn một cách hoàn toàn bằng sử dụng các đệm bít kín khuất khúc phù hợp tại các cửa của máy công cụ. Các đệm bít kín khuất khúc với nhiều thay đổi hướng của đường đi ngọn lửa và các bề rộng khe hở lớn nhất ≤ 2 mm cung cấp cho các kết quả tốt.
Nguyên tắc kết cấu của các đệm bít kín khuất khúc chịu được ngọn lửa:
- Các khe hở thu hẹp lại trong trường hợp tăng áp suất đột ngột trong không gian bên trong máy;
- Bề rộng khe hở tại các điểm thu hẹp tối đa là 2 mm;
- Thay đổi chiều dòng chảy ít nhất là 2 x 180°;
- Khả năng điều chỉnh của các khe hở;
- Không sử dụng các vật liệu dễ cháy;
- Chiều của đầu ra không hướng trực tiếp vào người vận hành;
- Bảo vệ các điểm chịu cắt và nghiền bằng cách thích hợp (như bảo vệ cạnh).
Đệm bít kín khuất khúc thể hiện trên Hình H.1 thực hiện theo nguyên lý thay đổi đa chiều được kết nối theo chuỗi và sự mở rộng của các ngọn lửa đi vào.

Hình H.1 - Sơ đồ nguyên lý của đệm bít kín khuất khúc chịu được lửa
H.3 Ngăn chặn các ngọn lửa đi vào hệ thống hút
Sử dụng một tấm ngăn ở phía trước của lỗ mở hút kết hợp với một bộ bắt giữ ngọn lửa phù hợp trong đường hút có thể ngăn chặn sự lan truyền ngọn lửa vào trong hệ thống hút (trung tâm).
Bộ bắt giữ ngọn lửa thể hiện trên Hình H.2 thực hiện theo nguyên lý thay đổi đa chiều và sự mở rộng của các ngọn lửa đi vào.

CHÚ DẪN:
a không khí cung cấp
b các thay đổi chiều
c sự mở rộng
d các thay đổi chiều
e không khí thải
Hình H.2 - Sơ đồ nguyên lý của bộ bắt giữ ngọn lửa trong đường hút
H.4 Định kích thước của các bề mặt giảm áp
Tùy thuộc vào khả năng chịu áp của vỏ che khu vực gia công, việc tích hợp một thiết bị giảm áp có thể là cần thiết để hạn chế áp suất nổ vào phạm vi không nguy hiểm và vào các ngọn lửa thoát ra trực tiếp đi vào chiều không nguy hiểm (như một thiết bị giảm áp trên đỉnh trên của máy).
Sự cần thiết của thiết bị giảm áp và kích thước của bề mặt giảm áp có thể được xác định bằng Hình H.3. Với mục đích này, thể tích của vỏ che khu vực gia công được đưa vào phần bên phải. Từ giao điểm với đường biểu diễn áp suất nổ giảm bớt lớn nhất pred trong vỏ che khu vực gia công, đường nằm ngang đi theo giao điểm với đường biểu diễn áp suất phản hồi tĩnh pstat của thiết bị giảm áp đã chọn. Khi đó bề mặt giảm áp được yêu cầu có thể nhìn thấy trên trục x. Các lỗ hở trên vỏ tự nhiên, như các lỗ hở không khí cung cấp, có thể được tính đến với giả thiết áp suất phản hồi tĩnh bằng 0 mbar.

CHÚ DẪN:
pstat áp suất phản hồi tĩnh, tính bằng mbar
pred áp suất nổ giảm bớt lớn nhất, tính bằng mbar
X1 bề mặt giảm áp, tính bằng m2
X2 thể tích của vỏ che khu vực gia công, tính bằng m3
CHÚ THÍCH: Hình H.3 có hiệu lực đối với mức nạp bằng 5 %.
Hình H.3 - Giảm áp suất nổ - Toán đồ để ước lượng bề mặt yêu cầu
Phụ lục I
(Tham khảo)
Các ví dụ đối với sự tích hợp các hệ thống hút và chữa cháy khi sử dụng các chất lỏng gia công kim loại dễ cháy
Việc giám sát hệ thống cung cấp chất lỏng gia công kim loại và hệ thống hút là thiết yếu để thực hiện chức năng an toàn của máy.
Các biện pháp an toàn sau khi phát hiện cháy phụ thuộc vào loại hệ thống hút (trung tâm hoặc cục bộ):
a) Đối với hệ thống hút tự động trung tâm
1) Dừng tức thời các quá trình gia công (có hoặc không có việc thu dụng cụ được điều khiển);
2) Sự triệt tiêu ngọn lửa đi vào hệ thống hút bằng một nắp kín hoặc bằng thiết bị cửa sập van (van không khí xả thải); sự thâm nhập của các hạt đánh lửa vào trong các đường ống của hệ thống hút không thể ngăn chặn được;
3) Kích hoạt tức thời quá trình chữa cháy;
4) Dừng sự cung cấp chất lỏng gia công kim loại;
5) Khả năng có thể có của vận hành liên tục hệ thống hút trung tâm.
b) Đối với hệ thống hút cục bộ (thường sử dụng trên đỉnh của máy)
1) Dừng tức thời các quá trình gia công (có hoặc không có việc thu dụng cụ được điều khiển);
2) Dừng hệ thống hút cục bộ;
3) Kích hoạt tức thời quá trình chữa cháy;
4) Dừng sự cung cấp chất lỏng gia công kim loại.
Để thực hiện các chức năng an toàn trên, các bộ điều khiển của máy mài, hệ thống hút và hệ thống chữa cháy cần có các giao diện thích hợp (xem Hình I.1).
CHÚ THÍCH 1: Nếu yêu cầu một hệ thống chữa cháy tự động ở máy mài, Hình I.1 chỉ ra một ví dụ về sự tương tác của các hệ thống điều khiển của máy mài và hệ thống chữa cháy.
CHÚ THÍCH 2: Các biện pháp an toàn này để ngăn ngừa cháy và bảo vệ là không đủ đối với gia công các vật liệu dễ cháy như magie và titan. Đối với loại vật liệu này phải áp dụng các biện pháp đặc biệt.

Hình I.1 - Ví dụ về sự tương tác giữa điều khiển máy mài và điều khiển hệ thống chữa cháy
Phụ lục J
(Tham khảo)
An toàn chức năng - Ví dụ đối với việc giám sát giới hạn tốc độ quay của trục chính bánh mài
J.1 Tổng quan
Trong 5.12 b) 5), các yêu cầu PLr = d và loại 3 được quy định. Với sự xem xét kỹ lưỡng hơn, nó trở nên rõ ràng rằng ba chức năng an toàn riêng rẽ phải được định nghĩa để xác nhận tuân theo các yêu cầu trên. Điều này sẽ dẫn đến ba sự định chất lượng riêng rẽ.

Hình J.1 - Ví dụ về sơ đồ đi dây điện cơ bản
J.2 Chức năng an toàn
PLC (K1a) và FC Tn an toàn là một cụm kỹ thuật kết hợp. Trạng thái hai kênh đạt được bằng sự kết hợp của PLC (K1a) an toàn với một FC Tn kế tiếp nhau. Nằm trong số các chức năng khác, các chức năng an toàn STO, các cam an toàn SLS được tích hợp, đối với mỗi loại trong số chúng nhà sản xuất hệ thống điều khiển chỉ thị PL, loại và PFH.

CHÚ DẪN:
SF1 giới hạn tốc độ quay của trục chính bánh mài
SF2 giới hạn vận tốc dài của sản phẩm vật liệu mài (SUG) đối với sự giảm đường kính sản phẩm vật liệu màia
SF1 giới hạn của SUGb lớn nhất là một hàm số của dụng cụ đã chọn
a Dụng cụ chỉnh sửa ở vị trí chỉnh sửa được giám sát bởi cam an toàn.
b SUG: Vận tốc dài của sản phẩm vật liệu mài.
Hình J.2 - Ví dụ các sơ đồ khối liên quan đến an toàn
J.3 Tính toán xác suất sai hỏng
a) Đối với tất cả các chức năng an toàn: đủ các biện pháp dựa trên các sai hỏng do nguyên nhân thông thường (CCF) ít nhất là 65 điểm: Sự chia tách (15), bảo vệ chống lại quá áp, v.v (15) và các điều kiện môi trường (25 + 10).
b) Sự khởi động của công tắc chọn trước dụng cụ S2 không được kích hoạt chuyển động. Công tắc chọn trước có mã hóa gấp bốn lần và nó được đọc vào PLC an toàn thông qua hai kênh.
c) Giá trị B10d cho công tắc chọn trước bằng 106 chu kỳ đóng ngắt2). Đối với một chu kỳ vận hành mỗi 4 h trong 240 ngày trên 16 h, nop = 960 chu kỳ/năm và MTTFd = 10 416 năm kết quả cho một tiếp xúc điện từ trường (ví dụ như S2a). Với DC = 99 % bằng kiểm tra tính hợp lý, PFH đối với hệ thống con của công tắc chọn trước dụng cụ là 2,47 x 10-9/h.
d) Đối với các trục cơ khí (gồm cả ổ trục) G1mech và G5mech giữa mô tơ và bộ mã hóa, giả thiết loại trừ lỗi hỏng. Nhà sản xuất phải cung cấp sự kiểm tra xác nhận độ bền mỏi (cũng xem IEC 61800-5-2:2007-07, Bảng D.19).
e) Đối với các bộ mã hóa trục quay G1 và G5, PFH = 2,6 x 10-9 và loại 31) được công bố bởi nhà sản xuất.
f) Các hệ thống đo tuyến tính F2 - F4 có giá trị FIT bằng 1500 h1) tương ứng với giá trị MTTFd khoảng 152 năm. Giả thiết DC bằng 90 %, như hệ thống đo tuyến tính được tích hợp vào mạch điều khiển và sự phát hiện lỗi hỏng trung bình được cho bởi PLC K1a an toàn.
g) Điều khiển an toàn K1a và các mô đun an toàn I/O được thử nghiệm các bộ phận an toàn của loại 3. Xác suất của sai hỏng dẫn đến kết quả PFH bằng 2,89 x 10-7/h1).
h) Các bộ chuyển đổi tần số T1 - T5 được điều khiển các mô đun với PFH bằng 4,8 x 10-9/h1) mỗi cái. Các bộ chuyển đổi tần số sắp đặt các chức năng an toàn đã tích hợp được sử dụng để điều khiển chuyển động của các trục và các trục chính (ví dụ SOS, SLS, SS1).
i) Đối với tính toán hệ thống con K1a/T1 (xem SF1 và SF3), phương pháp được cho bởi nhà sản xuất đã được sử dụng. Nó đã dẫn đến kết quả tổng PFH cho các hệ thống con bằng 3,34 x 10-7/h.
j) Đối với tính toán hệ thống con K1a/T1/T2/T3/T4/T5 (xem SF2), phương pháp được cho bởi nhà sản xuất đã được sử dụng. Nó đã dẫn đến kết quả tổng PFH cho các hệ thống con bằng 5,14 x 10-7/h.
k) Đối với SF1, đã tính PL = d và PFH = 3,84 x 10-7/h.
I) Đối với SF2, đã tính PL = d và PFH = 9,32 x 10-7/h.
m) Đối với SF3, đã tính PL = d và PFH = 3,84 x 10-7/h.
Phụ lục K
(Tham khảo)
MSO 3 (Chế độ tùy chọn đặc biệt dùng cho sự can thiệp bằng tay dưới các điều kiện vận hành bị hạn chế) - Các ví dụ
K.1 Tổng quan
5.2.7.5 mô tả các yêu cầu an toàn cơ bản để cho phép thực thi chạy chương trình tự động trong khi các bộ phận bảo vệ mở. Do các ứng dụng là rất khác nhau, các biện pháp bảo vệ hoàn toàn chỉ có thể được mô tả bằng ví dụ. Khi sử dụng chế độ MSO 3 cho các ứng dụng khác, mức an toàn cho trong ví dụ ít nhất cần đạt được.
K.2 Ví dụ 1: Điều khiển chạy chương trình NC mới trong khi vận hành cài đặt
K.2.1 Tình huống
Một máy mài dụng cụ điều khiển CNC dùng để gia công tự động dao phay đang được cài đặt. Bổ sung vào trục chính mài, trên đó có thể gá lắp ba dụng cụ mài, có một cảm biến đo trong không gian gia công. Hơn nữa, thiết bị phụ để đỡ chi tiết gia công có thể được sử dụng. Để chứng tỏ một chương trình viết mới sẽ được bắt đầu cho lần đầu tiên ở chi tiết gia công. Một lượng dịch xấp xỉ 5 mm được cài đặt giữa chi tiết gia công và dụng cụ. Trong khi chạy chương trình lần đầu, người cài đặt điều khiển các chuyển động của dụng cụ mài và đảm bảo rằng các trục đang chuyển động không va vào nhau. Do hình học của chi tiết gia công phức tạp, người cài đặt cần có năng lực đánh giá chạy chương trình tổng thể từ các viễn cảnh khác nhau. Vì các viễn cảnh khác nhau này, nên việc sử hệ thống camera sẽ không có khả năng thực hiện (xem Hình K.1).

CHÚ DẪN:
1 chi tiết gia công (phay ngón)
2 mâm cặp
3 bộ bánh mài
4 giá đỡ sau
5 cảm biến đo
6 giá đỡ hình máng
Hình K.1 - Máy mài dụng cụ
Trong khi chạy chương trình, người cài đặt có thể giảm các tốc độ của các trục bằng bộ dẫn động cho đến khi dừng lại. Dung dịch trơn nguội được khóa lại trong quá trình vận hành cài đặt. Sản phẩm vật liệu mài được quay ở 500 min-1 (< 16 m/s) để đảm bảo độ đảo đồng trục của trục chính. Không cần thiết gia công chi tiết gia công.
K.2.2 Sự thực hiện các yêu cầu an toàn
Để cài đặt máy với các chuyển động tự động trong khi các bộ phận bảo vệ mở, chế độ MSO 3 được chọn bằng bộ lựa chọn chế độ tách riêng (công tắc phím bấm).
Sản phẩm vật liệu mài được quay ở 500 min-1 (< 16 m/s) để đảm bảo độ đảo đồng trục của trục chính. Do vậy, rủi ro bởi sự tiếp xúc với sản phẩm vật liệu mài được giảm đến mức rủi ro cho phép được.
Để ngăn ngừa các mối nguy hiểm do các chuyển động của trục, các trục lúc ban đầu ở trạng thái dừng an toàn hoặc dừng vận hành an toàn khi MSO 3 được chọn và các bộ phận bảo vệ mở. Chỉ khi cơ cấu cho phép kích hoạt được khởi động, các trục được chuyển mạch từ dừng an toàn/dừng vận hành an toàn sang một trạng thái mà chuyển động được cho phép với vận tốc giảm (< 2 m/min).
Các chuyển động tự động của các trục, cũng như chuyển động quay của trục chính mang chi tiết gia công (< 50 min-1) được bắt đầu bằng việc khởi động nút bấm khởi động cùng với cơ cấu cho phép kích hoạt. Trong khi một tay đặt trên nút bấm cho phép kích hoạt, tay còn lại quay bộ dẫn động để điều khiển bằng tay. Do đó cả hai tay bị ràng buộc và nằm ngoài khu vực gia công.
Bằng việc điều khiển bằng tay, tốc độ của trục có thể được cài đạt liên tục từ 0 m/min (dừng) cho đến 2 m/min.
Để ngăn ngừa rơi vào máy, đường biên thấp nhất của cửa mở cho người vận hành lớn hơn 1100 mm, theo ISO 13857.
Các mối nguy hiểm do các chất nguy hiểm hoặc các mối nguy hiểm cháy do mù sương dung dịch trơn nguội là không hiện hữu do không cần thiết cung cấp dung dịch trơn nguội và do vậy được đóng lại.
Mức ồn là dưới 75 dB (A) do không thực hiện gia công. Liên quan đến các mối nguy hiểm về điện, sinh vật học, nhiệt, và ecgônômi, cũng như các mối nguy hiểm do rung, lỗi nguồn cấp năng lượng, bức xạ, vượt quá tốc độ hoặc lỗi điều khiển, áp dụng các yêu cầu cho trong Điều 5.
K.3 Ví dụ 2: Định vị trí của một thanh ray profin trên bàn mang chi tiết gia công di động được và chỉnh sửa bánh mài đã tạo profin
K.3.1 Tình huống
Một máy mài phẳng CNC khép kín yêu cầu chế độ MSO 3. Máy mài phẳng này sẽ được sử dụng để thực hiện mài tự động các thanh ray profin (xem Hình K.2 và K.3).

Hình K.2 - Mài profin

Hình K.3 - Mài profin
Trước khi bắt đầu tự quá trình mài, bộ phận, tức là thanh ray profin đã được gia công thô, sẽ được căn chỉnh một cách chính xác trên bàn mang chi tiết gia công di động được. Loại thao tác này cũng được gọi là “tạo ren”. Với mục đích này, bàn máy mang chi tiết gia công phải thực hiện một dao động tự động để di chuyển dọc theo toàn bộ chiều dài của thanh ray và để cho phép kiểm tra sự định vị trí chính xác của chi tiết gia công. Không có khả năng quan sát cạnh công tua giữa thanh ray profin và bánh mài qua ô cửa quan sát của bộ phận bảo vệ đóng kín do không có khả năng nhìn thấy từ vị trí của người vận hành. Đây là lý do tại sao người vận hành phải nghe khi anh ta đang mài profin trong khi dao động dù bánh mài có ăn vào một cách đồng đều trên tất cả các phía không. Quá trình này là rất khó khăn và đòi hỏi nhiều sự tập luyện, đặc biệt khi thanh ray profin có một lớp phủ bằng nhựa, chúng chỉ tạo ra âm thanh hiếm khi có thể nghe rõ được trong khi vận hành mài. Khi người vận hành nghe được rằng không có sự ăn vào đồng đều trên toàn bộ chiều dài của thanh ray profin được thực hiện, sự dao động tự động của trục được dừng lại với sự điều khiển/override và vị trí của thanh ray profin được điều chỉnh chính xác bởi người vận hành.
Khi có quá trình gia công khác trên máy mà các chuyển động tự động của trục với các bộ phận bảo vệ mở yêu cầu chế độ MSO 3. Quá trình này là sự chỉnh sửa chính xác công tua bánh mài đã tạo profin (xem Hình K.4 và K.5).

Hình K.4 - Dụng cụ chỉnh sửa xoay được

Hình K.5 - Dụng cụ chỉnh sửa xoay được
Sự chỉnh sửa được thực hiện bằng các chuyển động tự động được lập trình của dụng cụ chỉnh sửa tay xoay. Trong quá trình các chuyển động, người vận hành sẽ kiểm tra xem công tua mục tiêu đã lập trình có tương ứng với công tua thực của bánh mài hay không. Người vận hành thực hiện việc này bằng cách lắng nghe các thay đổi trong các hình ảnh âm thanh trong khi vận hành chỉnh sửa.
K.3.2 Sự thực hiện các yêu cầu an toàn
Để cho phép các chuyển động tự động theo yêu cầu của dụng cụ chỉnh sửa tay xoay và của bàn máy mang chi tiết gia công với các bộ phận bảo vệ mở, chế độ MSO 3 được chọn thông qua một công tắc chọn chế độ vận hành tách riêng (công tắc nút bấm). Khi chế độ MSO 3 dưới điều kiện bộ phận bảo vệ mở được chọn, thì các trục ở trạng thái dừng an toàn hoặc dừng vận hành an toàn. Chỉ sau khi ấn vào nút khởi động, các chuyển động hành trình tự động được khởi động khi bộ phận bảo vệ đã đóng. Bộ phận bảo vệ được giữ ở vị trí đã đóng trong suốt chu kỳ đã lập trình. Khi cơ cấu cho phép kích hoạt được khởi động và các tốc độ được giảm đến tốc độ giới hạn an toàn, thì có thể thực hiện mở bộ phận bảo vệ. Do vậy, các mối nguy hiểm gây ra bởi các chuyển động của trục được giảm xuống một cách thích đáng.
Bánh mài có thể quay với vận tốc dài lớn nhất bằng 16 m/s. Tốc độ quay của bánh chỉnh sửa bằng kim cương được mạ điện có giá trị lớn nhất là 2400 min-1. Với đường kính bằng 125 mm, điều này tương ứng với vận tốc dài gần bằng 16 m/s. Như vậy sẽ giảm được rủi ro gây bởi sự tiếp xúc với bánh mài hoặc bởi các bộ phận gây vỡ trong trường hợp bánh mài bị vỡ.
Khi bộ phận bảo vệ mở, các trục được giữ bằng việc khởi động cơ cấu cho phép kích hoạt từ trạng thái dừng an toàn/dừng vận hành an toàn trong một chuyển động có vận tốc giảm an toàn < 2 m/min đối với dụng cụ chỉnh sửa tay xoay, và < 5 m/min đối với trục dao động của bàn máy mang chi tiết gia công (khoảng cách dịch chuyển > 1 m). Khi cơ cấu cho phép kích hoạt không được khởi động hoặc khi nút bấm bị nhả ra hoặc bị ấn xuyên qua, thì sẽ thực hiện theo dừng an toàn/dừng vận hành an toàn tức thời.
Trong khi một tay đặt trên nút bấm cho phép kích hoạt, tay còn lại khởi động điều khiển để điều khiển/khống chế bằng tay hoặc cũng để điều khiển núm xoay điện tử. Do đó cả hai tay bị ràng buộc và không thể tiếp cận vào khu vực nguy hiểm.
Tốc độ dao động của bàn máy mang chi tiết gia công hoặc tốc độ trục của dụng cụ chỉnh sửa tay xoay có thể thay đổi một cách gần như liên tục với sự khống chế bằng tay, tuy nhiên không lớn hơn tốc độ giảm bớt an toàn.
Một trục đơn lẻ có thể được dịch chuyển (điều chỉnh tinh), tốt hơn quá trình gia công, bằng núm xoay điện tử.
Các mối nguy hiểm gây ra bởi dung dịch trơn nguội được giảm đi nhiều nhất đến mức có thể bằng việc giới hạn sự cung cấp các dung dịch trơn nguội đến một lượng tối thiểu theo yêu cầu một cách tuyệt đối. Một lượng nhỏ dung dịch trơn nguội là cần thiết để tránh xảy ra sự đốt cháy, khi dịch chuyển bởi tai nạn đi vào vật liệu trong khi cài đặt. Khi dung dịch trơn nguội mà nó không thể tránh được bắn tóe vào vùng kín phía bên trái của máy, việc hút cũng diễn ra. Sự tiếp xúc của người vận hành với dung dịch trơn nguội hoặc với mù sương dung dịch trơn nguội là không chắc xảy ra nhiều hơn.
Do tốc độ được giảm và sự loại bỏ vật liệu nhỏ, mức âm là nhỏ hơn 70 dB (A). Liên quan đến các mối nguy hiểm về điện, sinh vật học, nhiệt, và ecgônômi, cũng như các mối nguy hiểm do rung, lỗi nguồn cấp năng lượng, bức xạ, vượt quá tốc độ hoặc lỗi điều khiển, áp dụng các yêu cầu quy định trong Điều 5.
Thư mục tài liệu tham khảo
[1] Mewes D.,& Trapp R.-P. Impact Resistance of Materials for Guards on Cutting Machine Tools - Requirements in Future European Safety Standards; International Journal of Occupational Safety and Ergonomics (JOSE) 6 (2000) Nr. 4, S. 507-520, 8 Lit.
[2] TCVN 7011-5:2007 (ISO 230-5:2000), Quy tắc kiểm máy công cụ - Phần 5: Xác định tiếng ồn do máy phát ra
[3] ISO 525, Bonded abrasive products - Generaf requirements
[4] TCVN 12170 (ISO 666), Máy công cụ - Lắp bánh mài bằng bích có mayơ
[5] ISO 2592, Determination of flash and fire points - Cleveland open cup method
[6] ISO 3448:1992, Industrial liquid lubricants - ISO viscosity classification
[7] ISO 6103, Bonded abrasive products - Permissible unbalances of grinding wheels as delivered - Static testing
[8] ISO 6104, Superabrasive products - Rotating grinding tools with diamond or cubic boron nitride - General survey, designation and multilingual nomenclature
[9] ISO 11201, Acoustics - Noise emitted by machinery and equipment - Determination of emission sound pressure levels at a work station and at other specified positions in an essentially free field over a reflecting plane with negligible environmental corrections
[10] ISO/TR 11688-1, Acoustics - Recommended practice for the design of low-noise machinery ana equipment - Part 1: Planning
[11] ISO 11689, Acoustics - Procedure for the comparison of noise-emission data for machinery and equipment
[12] ISO 16156:2004, Machine-tools safety - Safety requirements for the design and construction of work holding chucks
[13] ISO 20643, Mechanical vibration - Hand-held and hand-guided machinery - Principles for evaluation of vibration emission
[14] IEC 61029-2-4, Safety of transportable motor-operated electric tools - Part 2-4: particular requirements for bench grinders
[15] IEC 61029-2-10, Safety of transportable motor-operated electric tools - Part 2-10: Particular requirements for cutting-off grinders
[16] EN 12096, Mechanical vibration - Declaration and verification of vibration emission values
[17] EN 12198-1, Safety of machinery - Assessment and reduction of risks arising from radiation emitted by machinery. Part 1: General principles
[18] EN 12198-2, Safety of machinery - Assessment and reduction of risks arising from radiation emitted by machinery - Part 2: Radiation emission measurement procedure
[19] EN 12198-3, Safety of machinery - Assessment and reduction of risks arising from radiation emitted by machinery - Part 3: Reduction of radiation by attenuation or screening
[20] EN 12413, Safety requirements for bonded abrasive products
[21] EN 13218:2002, Machine tools - Safety - Stationary grinding machines
[22] EN 13236, Safety requirements for superabrasive products
[23] ISO 1052, Steels for general engineering purposes
[24] ISO 1083, Spheroidal graphite cast irons - Classification
[25] ISO 3522, Aluminium and aluminium alloys - Castings - Chemical composition and mechanical properties
[26] ISO 3574, Cold-reduced carbon steel sheet of commercial and drawing qualities
[27] ISO 3755, Cast carbon steels for general engineering purposes
[28] ISO 4997, Cold-reduced carbon steel sheet of structural quality
[29] ISO 6316, Hot-rolled steel strip of structural quality
[30] ISO 6361-2, Wrought aluminium and aluminium alloys - Sheets, strips and plates - Part 2: Mechanical properties
[31] TCVN 7437 (ISO 6385), Nguyên lý ecgônômi trong thiết kế hệ thống làm việc
[32] ISO 13851:2002, Safety of machinery - Two-hand control devices - Functional aspects and design principles
[33] ISO 15534-1, Ergonomic design for the safety of machinery - Part 1: Principles for determining the dimensions required for openings for whole-body access into machinery
[34] ISO 15534-2, Ergonomic design for the safety of machinery - Part 2: Principles for determining the dimensions required for access openings
[35] ISO 3744, Acoustics - Determination of sound power levels and sound energy levels of noise sources using sound pressure - Engineering methods for an essentially free field over a reflecting plane
[36] ISO 3746, Acoustics - Determination of sound power levels and sound energy levels of noise sources using sound pressure - Survey method using an enveloping measurement surface over a reflecting plane
[37] ISO 9241 (all parts), Ergonomics of human-system interaction
[38] ISO 11202, Acoustics - Noise emitted by machinery and equipment - Determination of emission sound pressure levels at a work station and at other specified positions applying approximate environmental corrections
[39] ISO 11204, Acoustics - Noise emitted by machinery and equipment - Determination of emission sound pressure levels at a work station and at other specified positions applying accurate environmental corrections
[40] ISO 13854, Safety of machinery - Minimum gaps to avoid crushing of parts of the human body
[41] ISO 13855, Safety of machinery - Positioning of safeguards with respect to the approach speeds of parts of the human body
[42] ISO 14159, Safety of machinery - Hygiene requirements for the design of machinery
[43] EN 614-1, Safety of machinery - Ergonomic design principles - Part 1: Terminology and general principles
[44] EN 614-2, Safety of machinery - Ergonomic design principles - Part 2: Interactions between the design of machinery and work tasks
[45] EN 894-1, Safety of machinery - Ergonomics requirements for the design of displays and control actuators - Part 1: General principles for human interactions with displays and control actuators
[46] EN 894-2, Safety of machinery - Ergonomics requirements for the design of displays and control actuators - Part 2: Displays
[47] EN 894-3, Safety of machinery - Ergonomics requirements for the design of displays and control actuators - Part 3: Control actuators
[48] EN 894-4, Safety of machinery - Ergonomics requirements, for the design of displays and control actuators - Part 4: Location and arrangement of displays and control actuators
[49] EN 1005-1, Safety of machinery - Human physical performance - Part 1: Terms and definitions
[50] EN 1005-2, Safety of machinery - Human physical performance - Part 2: Manual handling ol machinery and component parts of machinery
[51] EN 1005-3, Safety of machinery - Human physical performance - Part 3: Recommended force limits for machinery operation
[52] EN 1005-4, Safety of machinery - Human physical performance - Part 4: Evaluation of working postures and movements in relation to machinery
[53] CR 1030-1, Hand-arm vibration - Guidelines for vibration hazards reduction - Part 1: Engineering methods by design of machinery
1) Hiện có TCVN 7383-1:2004 (ISO 12100-1:2003) An toàn máy - Khái niệm cơ bản, nguyên tắc chung cho thiết kế - Phần 1: Thuật ngữ, phương pháp luận cơ bản; TCVN 7383-2:2004 (ISO 12100-2:2003) An toàn máy - Khái niệm cơ bản, nguyên tắc chung cho thiết kế - Phần 1: Nguyên tắc kỹ thuật.
2) Các giá trị B10d hoặc MTTFd dựa trên dữ liệu của nhà sản xuất.
Bạn chưa Đăng nhập thành viên.
Đây là tiện ích dành cho tài khoản thành viên. Vui lòng Đăng nhập để xem chi tiết. Nếu chưa có tài khoản, vui lòng Đăng ký tại đây!




















