- Tổng quan
- Nội dung
- Tiêu chuẩn liên quan
- Lược đồ
- Tải về
Tiêu chuẩn TCVN 11917-3:2017 Tiêu thụ năng lượng, dung tích thiết bị lạnh gia dụng
| Số hiệu: | TCVN 11917-3:2017 | Loại văn bản: | Tiêu chuẩn Việt Nam |
| Cơ quan ban hành: | Bộ Khoa học và Công nghệ | Lĩnh vực: | Công nghiệp |
|
Ngày ban hành:
Ngày ban hành là ngày, tháng, năm văn bản được thông qua hoặc ký ban hành.
|
2017 |
Hiệu lực:
|
Đã biết
|
| Người ký: | Đang cập nhật |
Tình trạng hiệu lực:
Cho biết trạng thái hiệu lực của văn bản đang tra cứu: Chưa áp dụng, Còn hiệu lực, Hết hiệu lực, Hết hiệu lực 1 phần; Đã sửa đổi, Đính chính hay Không còn phù hợp,...
|
Đã biết
|
TÓM TẮT TIÊU CHUẨN VIỆT NAM TCVN 11917-3:2017
Nội dung tóm tắt đang được cập nhật, Quý khách vui lòng quay lại sau!
Tải tiêu chuẩn Việt Nam TCVN 11917-3:2017
TIÊU CHUẨN QUỐC GIA
TCVN 11917-3:2017
IEC 62552-3:2015
THIẾT BỊ LẠNH GIA DỤNG - ĐẶC TÍNH VÀ PHƯƠNG PHÁP THỬ - PHẦN 3: TIÊU THỤ NĂNG LƯỢNG VÀ DUNG TÍCH
Household refrigerating appliances - Characteristics and test methods - Part 3: Energy consumption and volume
Mục lục
Lời nói đầu
1 Phạm vi áp dụng
2 Tài liệu viện dẫn
3 Thuật ngữ, định nghĩa và ký hiệu
4 Các bước thử nghiệm để xác định năng lượng và dung tích
5 Nhiệt độ mục tiêu để xác định năng lượng
6 Xác định năng lượng tiêu thụ
7 Thiết bị gây nhiễu
8 Độ không đảm bảo đo
9 Báo cáo thử nghiệm
Phụ lục A (quy định) - Bố trí thử nghiệm năng lượng
Phụ lục B (quy định) - Xác định công suất trạng thái ổn định và nhiệt độ
Phụ lục C (quy định) - Năng lượng xả băng và phục hồi và thay đổi nhiệt độ
Phụ lục D (quy định) - Khoảng thời gian xả băng
Phụ lục E (quy định) - Nội suy kết quả
Phụ lục F (quy định) - Năng lượng tiêu thụ của các bộ phận phụ trợ
Phụ lục G (quy định) - Xác định hiệu suất xử lý tải
Phụ lục H (quy định) - Xác định dung tích
Phụ lục I (tham khảo) - Ví dụ tính toán năng lượng tiêu thụ
Phụ lục J (tham khảo) - Xây dựng phương pháp thử nghiệm toàn cầu đối với thiết bị lạnh
Phụ lục K (quy định) - Phân tích thiết bị lạnh không có trạng thái ổn định giữa các lần xả băng
Phụ lục L (tham khảo) - Công thức hiệu chỉnh theo nhiệt độ môi trường
Lời nói đầu
TCVN 11917:2017 thay thế TCVN 7627:2007 (ISO 15502:2005);
TCVN 11917-3:2017 hoàn toàn tương đương với IEC 62552-3:2015;
TCVN 11917-3:2017 do Tiểu ban kỹ thuật tiêu chuẩn quốc gia TCVN/TC/E1SC5 Hiệu suất năng lượng của thiết bị lạnh biên soạn, Tổng cục Tiêu chuẩn Đo Chất lượng đề nghị, Bộ Khoa học và Công nghệ công bố.
Bộ tiêu chuẩn TCVN 11917 (IEC 62552) Thiết bị lạnh gia dụng - Đặc tính và phương pháp thử, gồm có các tiêu chuẩn sau:
- TCVN 11917-1:2017 (IEC 62552-1:2015), Phần 1: Yêu cầu chung;
- TCVN 11917-2:2017 (IEC 62552-2:2015), Phần 2: Yêu cầu về tính năng;
- TCVN 11917-3:2017 (IEC 62552-3:2015), Phần 3: Tiêu thụ năng lượng và dung tích.
THIẾT BỊ LẠNH GIA DỤNG - ĐẶC TÍNH VÀ PHƯƠNG PHÁP THỬ - PHẦN 3: TIÊU THỤ NĂNG LƯỢNG VÀ DUNG TÍCH
Household refrigerating appliances - Characteristics and test methods - Part 3: Energy consumption and volume
1 Phạm vi áp dụng
Tiêu chuẩn này quy định các đặc tính cơ bản của thiết bị lạnh gia dụng, làm lạnh bằng đối lưu tự nhiên hoặc cưỡng bức và xây dựng các phương pháp thử nghiệm để kiểm tra các đặc tính này.
Tiêu chuẩn này mô tả các phương pháp xác định đặc tính tiêu thụ năng lượng và định nghĩa bằng cách nào các phương pháp này có thể được tập hợp để đánh giá năng lượng tiêu thụ dưới các điều kiện sử dụng và khí hậu khác nhau. Tiêu chuẩn này cũng làm rõ cách xác định dung
2 Tài liệu viện dẫn
Các tài liệu viện dẫn dưới đây là cần thiết để áp dụng tiêu chuẩn này. Đối với các tài liệu ghi năm công bố thì áp dụng các bản được nêu. Đối với các tài liệu không ghi năm công bố thì áp dụng phiên bản mới nhất (kể cả các sửa đổi).
TCVN 11917-1:2017 (IEC 62552-1:2015), Thiết bị lạnh gia dụng - Đặc tính và phương pháp thử - Phần 1: Yêu cầu chung
TCVN 11917-2:2017 (IEC 62552-2:2015), Thiết bị lạnh gia dụng - Đặc tính và phương pháp thử - Phần 2: Yêu cầu về tính năng
3 Thuật ngữ, định nghĩa và ký hiệu
3.1 Thuật ngữ và định nghĩa
Trong tiêu chuẩn này áp dụng các thuật ngữ và định nghĩa trong TCVN 11917-1 (IEC 62552-1) và các thuật ngữ và định nghĩa dưới đây.
3.1.1
Bộ phận phụ trợ quy định (specified auxiliries)
Các chức năng hoặc đặc trưng ảnh hưởng đến năng lượng tiêu thụ của thiết bị lạnh và ở đó năng lượng tiêu thụ thực tế của chúng phụ thuộc vào điều kiện sử dụng hoặc vận hành.
CHÚ THÍCH 1: Tiêu chuẩn này đưa ra điều khoản tùy chọn cho việc xác định các tác động đến năng lượng tiêu thụ của các chức năng và đặc trưng này theo các yêu cầu vùng miền.
CHÚ THÍCH 2: Các yêu cầu thử nghiệm đối với các bộ phận phụ trợ, nếu áp dụng được, được nêu trong Phụ lục F và ứng dụng của chúng được quy định trong 6.8.4. Các bộ phận phụ trợ được quy định trong tiêu chuẩn này là các bộ sưởi chống ngưng tụ được điều chỉnh bởi môi trường và bộ phận làm đá tự động dạng hộp.
3.1.2
Khoảng thời gian xả băng (defrost interval)
Thời gian đo được hay ước tính của một chu kỳ điều khiển xả băng, bắt đầu từ điểm bắt đầu một chu kỳ điều khiển xả băng tới điểm bắt đầu chu kỳ điều khiển xả băng kế tiếp, được thể hiện bằng giờ.
3.2 Ký hiệu
Trong tiêu chuẩn này sử dụng các ký hiệu sau.
E Năng lượng tiêu thụ trong một giai đoạn xác định (ngày, năm, v.v.), tính bằng Wh hoặc kWh
P Năng lượng tiêu thụ trung bình ổn định trong một giai đoạn xác định, tính bằng W
T Nhiệt độ trung bình của ngăn trong một giai đoạn quy định, tính bằng °C
TMPn Vị trí đo nhiệt độ của một cảm biến nhiệt độ cụ thể
t Thời gian tại một thời điểm xác định
Δt Khoảng thời gian giữa hai lần xác định hoặc đối với một giai đoạn xác định
ΔEdf Năng lượng tăng thêm liên quan đến giai đoạn xả băng và phục hồi so với mức năng lượng tiêu thụ trạng thái ổn định tại cùng mức giá trị đặt điều chỉnh nhiệt độ, tính bằng Wh
ΔThdf-i Chênh lệch nhiệt độ lũy tích theo thời gian (so với nhiệt độ trạng thái ổn định) trong giai đoạn xả băng và phục hồi, tính bằng Kh đối với ngăn thứ i.
Rt Thời gian chạy máy nén thực tế, tính bằng giờ, trong một giai đoạn xác định (giai đoạn máy nén chạy thực tế)
CRt Phần trăm thời gian chạy máy nén trong một giai đoạn xác định (Rt/khoảng thời gian tổng, %)
PHi Công suất trung bình của bộ sưởi liên quan đến bộ sưởi chống ngưng tụ được điều chỉnh theo môi trường ở nhiệt độ và độ ẩm quy định, tính bằng W (Phụ lục F)
M Khối lượng nước sử dụng cho tải xử lý (Phụ lục G) hoặc khối lượng nước hoặc đá trong thử nghiệm làm đá (Phụ lục F).
4 Các bước thử nghiệm xác định lượng năng lượng và dung tích
4.1 Bố trí để thử nghiệm năng lượng
Trước khi đo năng lượng tiêu thụ của một thiết bị lạnh, thiết bị phải bố trí trong một phòng thử như được quy định trong Phụ lục A.
4.2 Năng lượng tiêu thụ trạng thái ổn định
Năng lượng tiêu thụ ở trạng thái ổn định của thiết bị lạnh phải được xác định theo Phụ lục B.
4.3 Năng lượng xả băng và phục hồi và thay đổi nhiệt độ
Đối với các sản phẩm có một hoặc nhiều hệ thống xả băng (mỗi hệ thống có chu kỳ điều khiển xả băng riêng), năng lượng xả băng và phục hồi tăng thêm ứng với số chu kỳ giai đoạn xả băng và phục hồi đại diện phải được xác định theo Phụ lục C đối với mỗi hệ thống. Nhiệt độ thay đổi tương ứng với xả băng và phục hồi được xác định theo Phụ lục C đối với mỗi hệ thống.
4.4 Tần số xả băng
Đối với sản phẩm có một hoặc nhiều hệ thống xả băng (mỗi hệ thống có chu kỳ điều khiển xả băng riêng), khoảng thời gian xả băng với mỗi hệ thống được xác định theo Phụ lục D, tùy thuộc vào kiểu điều khiển.
4.5 Số lượng các điểm thử nghiệm và nội suy
Trường hợp năng lượng tiêu thụ của thiết bị lạnh được nội suy theo Điều 6, thì phải sử dụng một trong các phương pháp nêu ở Phụ lục E.
4.6 Hiệu suất xử lý tải
Trường hợp hiệu suất xử lý tải của thiết bị lạnh khi được công bố hoặc xác định, hiệu suất phải được đo theo phương pháp nêu trong Phụ lục G.
4.7 Bộ phận phụ trợ quy định
Trường hợp thiết bị lạnh có bộ phận phụ trợ quy định, tác động về năng lượng của bộ phận phụ trợ này được xác định theo Phụ lục F.
4.8 Xác định dung tích
Dung tích của mỗi ngăn của thiết bị lạnh được xác định theo Phụ lục H.
5 Nhiệt độ mục tiêu để xác định năng lượng
5.1 Quy định chung
Năng lượng tiêu thụ của một thiết bị được xác định từ các phép đo được tiến hành khi thử nghiệm như quy định trong Điều 6 ở nhiệt độ môi trường 32 °C và 16 °C. Giá trị năng lượng tiêu thụ xác định theo tiêu chuẩn này phải theo giá trị đặt bộ điều chỉnh nhiệt độ (hoặc điểm tương đương) trường hợp tất cả nhiệt độ không khí trung bình của ngăn thấp hơn hoặc bằng nhiệt độ mục tiêu nêu trong Bảng 1 với mỗi loại ngăn khác nhau được công bố bởi nhà cung cấp. Các giá trị trên và thấp hơn nhiệt độ mục tiêu có thể được sử dụng để ước tính năng lượng tiêu thụ tại nhiệt độ mục tiêu đối với mỗi ngăn tương ứng bằng phép nội suy, như quy định ở Điều 6.
CHÚ THÍCH: Xem các yêu cầu trong IEC 62552-1:2015, Phụ lục B đối với các ngăn có thay đổi nhiệt độ. Để thử nghiệm năng lượng, các ngăn này được cho làm việc ở chế độ (dải nhiệt độ vận hành liên tục) tiêu thụ nhiều năng lượng nhất.
Bảng 1 - Nhiệt độ mục tiêu để xác định năng lượng theo loại ngăn
| Loại ngăn | Nhiệt độ mục tiêu trung bình không khí, °C |
| Đựng thức ăn | 17 |
| Bảo quản rượu | 12 |
| Đồ uống | 12 |
| Thực phẩm tươi | 4 |
| Nhiệt độ thấp | 2 |
| Không sao | 0 |
| Một sao | -6 |
| Hai sao | -12 |
| Ba sao và bốn sao | -18 |
| Đối với thử nghiệm năng lượng, mỗi ngăn phải được hoạt động như loại ngăn được công bố, trừ các trường hợp nêu dưới đây. Nếu dải làm việc của ngăn không bao trùm bất cứ nhiệt độ mục tiêu nào đối với các loại ngăn được xác định trong Bảng 1 ở nhiệt độ môi trường xung quanh là 16 °C hoặc 32 °C (vì ngăn không có bộ điều khiển nhiệt độ hoặc do dải khống chế thực tế là hạn chế) thì ngăn này phải được phân loại là ngăn có nhiệt độ mục tiêu ấm nhất tiếp theo (dựa trên kết quả thử nghiệm ấm nhất đối với cả hai nhiệt độ môi trường) và được vận hành ở giá trị đặt ấm nhất của nó trong khi vẫn ở nhiệt độ mục tiêu hoặc thấp hơn nhiệt độ mục tiêu của nhiệt độ ấm nhất tiếp theo (trong trường hợp điều chỉnh được) đối với thử nghiệm năng lượng ở nhiệt độ môi trường. Báo cáo thử nghiệm phải ghi chú loại ngăn nào được công bố và loại ngăn nào dùng cho thử nghiệm năng lượng. Trong trường hợp ngăn là loại thay đổi được nhiệt độ (bao trùm dải vận hành của vài loại ngăn), cấu hình để thử nghiệm năng lượng là loại ngăn có năng lượng tiêu thụ cao nhất. Ngăn thay đổi được nhiệt độ có thể được cài đặt và thử nghiệm như một loại ngăn khác, nếu yêu cầu, ngoài cấu hình ban đầu để thử nghiệm năng lượng. Báo cáo thử nghiệm phải ghi chú loại ngăn nào thay đổi được nhiệt độ và loại ngăn nào được chọn cho mỗi thử nghiệm năng lượng. | |
5.2 Giá trị đặt bộ điều chỉnh nhiệt độ cho thử nghiệm năng lượng tiêu thụ
Khi thử nghiệm năng lượng tiêu thụ theo Điều 6, thiết bị lạnh phải có ít nhất một giá trị đặt bộ điều chỉnh nhiệt độ (hay kết hợp các giá trị đặt bộ điều chỉnh nhiệt độ) mà tại đó nhiệt độ trung bình của mỗi ngăn đồng thời bằng hoặc thấp hơn nhiệt độ mục tiêu cho tiêu thụ năng lượng quy định trong Bảng 1. Các điểm dữ liệu sử dụng để xác định năng lượng tiêu thụ phải chứng tỏ rằng sản phẩm có khả năng đáp ứng được các yêu cầu này, nhưng điểm cụ thể này không cần phải đo trực tiếp.
Trường hợp thiết bị không có bộ điều chỉnh nhiệt độ chỉnh định bởi người sử dụng, năng lượng tiêu thụ được xác định từ các kết quả của một lần chạy thử nghiệm của thiết bị như được cung cấp.
6 Xác định năng lượng tiêu thụ
6.1 Quy định chung
Các thành phần tiêu thụ năng lượng chính quy định trong Điều 6 phải được xác định cho mỗi thiết bị lạnh được thử nghiệm theo tiêu chuẩn này. Điều này phải dựa trên dữ liệu được đo theo Phụ lục B đến Phụ lục H, nếu có thể áp dụng được.
Điều 6 cũng quy định phương pháp được sử dụng để xác định các thành phần tiêu thụ năng lượng của thiết bị lạnh khi được thử nghiệm theo tiêu chuẩn này.
Thành phần chính của tiêu thụ năng lượng được xác định theo như tiêu chuẩn này là:
• Năng lượng tiêu thụ ổn định: Được xác định tại nhiệt độ môi trường là 16 °C và 32 °C - xem Phụ lục B.
• Năng lượng xả băng và phục hồi và thay đổi nhiệt độ - đối với các sản phẩm có một hoặc nhiều hệ thống xả băng (mỗi hệ thống có chu kỳ điều khiển xả băng riêng), phải xác định năng lượng xả băng và phục hồi đối với một số lượng đại diện các giai đoạn xả băng và phục hồi đối với mỗi hệ thống - xem Phụ lục C.
• Tần số xả băng - đối với các sản phẩm có một hoặc nhiều hệ thống xả băng (mỗi hệ thống có chu kỳ điều khiển xả băng riêng), phải xác định khoảng thời gian xả băng với mỗi hệ thống trong một dải các điều kiện - xem Phụ lục D.
• Bộ phận phụ trợ quy định - trường hợp thiết bị lạnh có bộ phận phụ trợ quy định, phải xác định tác động về năng lượng của bộ phận phụ trợ này được xác định - xem Phụ lục F.
• Hiệu suất xử lý tải - trường hợp hiệu suất tải xử lý được đo hoặc công bố, phải sử dụng phương pháp quy định - xem Phụ lục G.
Giá trị thấp nhất của năng lượng tiêu thụ đối với một thiết bị lạnh theo tiêu chuẩn này (tức là tối ưu theo lý thuyết) là giá trị mà các nhiệt độ của mọi ngăn bằng với nhiệt độ mục tiêu của nó đối với tiêu thụ năng lượng (xem Điều 5). Không phải mọi thiết bị đều có khả năng làm việc ở điều kiện này, cũng như không phải tất cả các phòng thí nghiệm đều có thể tiếp tục thử nghiệm để nỗ lực đạt được một cách chính xác các điều kiện này trong tập các thử nghiệm cụ thể. Trong tiêu chuẩn này sẽ có lựa chọn tiến hành một vài thử nghiệm với các giá trị đặt bộ điều chỉnh nhiệt độ khác nhau (nếu áp dụng được). Điều này tạo thuận lợi cho việc nội suy để ước tính năng lượng tiêu thụ cho một điểm mà tại đó tất cả các ngăn bằng hoặc thấp hơn nhiệt độ mục tiêu liên quan của chúng đối với tiêu thụ năng lượng (xem 6.3).
6.2 Mục tiêu
Để xác định được các đặc tính của thiết bị lạnh gia dụng theo tiêu chuẩn này, cần đo nhiệt độ và năng lượng tiêu thụ cho một giai đoạn làm việc trạng thái ổn định đại diện phù hợp với các yêu cầu liên quan (nghĩa là nhiệt độ của ngăn bằng hoặc thấp hơn nhiệt độ mục tiêu đối với tiêu thụ năng lượng). Một vài điểm thử nghiệm tại các giá trị đặt bộ điều chỉnh nhiệt độ khác nhau có thể được yêu cầu để đạt được các kết quả tối ưu trong việc tiêu thụ năng lượng.
Trong trường hợp các sản phẩm có chức năng xả băng tự động ảnh hưởng đến năng lượng tiêu thụ (tức là có chu kỳ điều khiển xả băng), năng lượng tăng thêm trong quá trình xả băng và phục hồi (nghĩa là năng lượng tăng thêm ΔEdf bằng và cao hơn mức cơ sở của công suất trạng thái ổn định) được xác định cho một số quy định các giai đoạn xả băng và phục hồi đại diện và hợp lệ.
Các giá trị này được đo tại từng nhiệt độ môi trường quy định để xác định năng lượng.
Để đánh giá một giai đoạn đề xuất của dữ liệu thử nghiệm có thể chấp nhận để xác định tiêu thụ năng lượng hay không, thì dữ liệu này được phân tích và kiểm tra để đánh giá các thay đổi của nhiệt độ bên trong và công suất tiêu thụ nằm trong các giới hạn có thể chấp nhận. Đối với đánh giá năng lượng, có hai cách tiếp cận thay thế để xác định công suất tiêu thụ trạng thái ổn định:
• SS1: Xác định công suất trạng thái ổn định và nhiệt độ bên trong, trường hợp không có chu kỳ điều khiển xả băng hoặc các điều kiện ổn định theo Phụ lục B có thể được thiết lập giữa các giai đoạn xả băng và phục hồi (thường với trường hợp các lần xả băng cách xa nhau);
• SS2: Xác định công suất trạng thái ổn định và nhiệt độ bên trong, trường hợp không thể thiết lập các điều kiện ổn định theo Phụ lục B giữa các giai đoạn xả băng và phục hồi (thường với trường hợp các lần xả băng gần nhau hơn).
Năng lượng tiêu thụ tăng thêm và thay đổi nhiệt độ trong giai đoạn xả băng và phục hồi cũng cần được đánh giá (so với công suất trạng thái ổn định và nhiệt độ bên trong trước và sau giai đoạn xả băng và phục hồi).
Trong mỗi trường hợp, các tiêu chí được thiết lập để xác định xem các giai đoạn có đại diện cho hoạt động của thiết bị hay không.
6.3 Số lượng các lần chạy thử nghiệm
Năng lượng tiêu thụ phải được xác định ở nhiệt độ môi trường 16 °C và 32 °C:
a) trực tiếp từ các kết quả của một lần chạy thử nghiệm mà nhiệt độ của tất cả các ngăn của thiết bị bằng hoặc thấp hơn nhiệt độ mục tiêu quy định trong Bảng 1; hoặc
b) bằng phép nội suy giữa các kết quả của hai hoặc nhiều lần chạy thử nghiệm, được thực hiện ở các giá trị đặt khác nhau của một hoặc nhiều bộ điều chỉnh nhiệt độ chỉnh định bởi người sử dụng như sau:
• Trường hợp kết quả được đo tại hai giá trị đặt bộ điều chỉnh nhiệt độ, nội suy theo Điều E.3.
• Trường hợp thiết bị có ít nhất hai bộ điều chỉnh nhiệt độ chỉnh định bởi người sử dụng độc lập và kết quả được đo tại ba tổ hợp các giá trị đặt bộ điều chỉnh nhiệt độ, nội suy theo Điều E.4.
• Các lựa chọn để nội suy sử dụng ba hoặc nhiều bộ điều chỉnh nhiệt độ chỉnh định bởi người sử dụng cũng được nêu ở Điều E.4.
Trong trường hợp b) ở trên, các kết quả thử nghiệm phải chứng tỏ rằng nhiệt độ của tất cả các ngăn trong thiết bị lạnh bằng hoặc thấp hơn nhiệt độ mục tiêu được nêu trong Bảng 1 tại điểm nội suy. Có một số yêu cầu liên quan đến nội suy để đảm bảo đạt được điều này.
6.4 Năng lượng tiêu thụ ổn định
Đối với thiết bị lạnh không có chu kỳ điều khiển xả băng, năng lượng tiêu thụ trạng thái ổn định tại từng giá trị đặt bộ điều chỉnh nhiệt độ được chọn và đối với từng nhiệt độ môi trường phải được xác định theo Phụ lục B.
Đối với thiết bị lạnh có một hoặc nhiều chu kỳ điều khiển xả băng, năng lượng tiêu thụ trạng thái ổn định giữa các giai đoạn xả băng và phục hồi tại mỗi giá trị đặt bộ điều chỉnh nhiệt độ được chọn và đối với mỗi nhiệt độ môi trường phải được xác định theo Phụ lục B.
Năng lượng tiêu thụ trạng thái ổn định được ghi lại bằng oát (W).
6.5 Thay đổi nhiệt độ và năng lượng xả băng và phục hồi
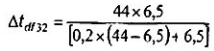
Đối với thiết bị lạnh có một hoặc nhiều hệ thống xả băng (mỗi hệ thống có chu kỳ điều khiển xả băng riêng), năng lượng tăng thêm và thay đổi nhiệt độ liên quan đến xả băng và phục hồi được xác định cho mỗi hệ thống trong một số lượng đại diện các giai đoạn xả băng và phục hồi theo Phụ lục C ở nhiệt độ môi trường 16 °C và 32 °C.
Trường hợp thiết bị có nhiều hơn một hệ thống xả băng (mỗi hệ thống có chu kỳ điều khiển xả băng riêng), phải ghi lại đặc tính của từng hệ thống.
Năng lượng tăng thêm liên quan đến quá trình xả băng và phục hồi được ghi lại bằng oát-giờ (Wh).
Thay đổi nhiệt độ liên quan đến quá trình xả băng và phục hồi được ghi lại bằng độ Kelvin-giờ (Kh).
6.6 Khoảng thời gian xả băng
Đối với thiết bị lạnh có một hoặc nhiều hệ thống xả băng (mỗi hệ thống có chu kỳ điều khiển xả băng riêng), khoảng thời gian xả băng ước tính được xác định theo Phụ lục D ở nhiệt độ môi trường 16 °C và ở nhiệt độ môi trường 32 °C.
Trường hợp thiết bị có nhiều hơn một hệ thống xả băng (mỗi hệ thống có chu kỳ điều khiển xả băng riêng), khoảng thời gian xả băng của mỗi hệ thống được ghi lại.
Khoảng thời gian xả băng được thể hiện bằng giờ, được làm tròn đến 0,1 h gần nhất. Tùy thuộc vào loại điều khiển xả băng, khoảng thời gian xả băng có thể là hàm của một số các tham số.
6.7 Bộ phận phụ trợ quy định
Các thiết bị lạnh có các một phụ trợ quy định, tác động của thiết bị này được xác định theo Phụ lục F.
Tác động của bộ phận phụ trợ quy định được thể hiện bằng oát hoặc oát-giờ cho một dải của các điều kiện môi trường. Sau đó, các giá trị này được điều chỉnh theo các yêu cầu và điều kiện vùng miền để cung cấp một ước lượng của năng lượng tương ứng với phụ trợ.
6.8 Tính toán năng lượng tiêu thụ
6.8.1 Quy định chung
Các thành phần riêng lẻ của năng lượng tiêu thụ và công suất trạng thái ổn định được đo theo tiêu chuẩn này phải được kết hợp bằng cách sử dụng các quy tắc như sau.
6.8.2 Năng lượng tiêu thụ hàng ngày
Tất cả các giá trị của năng lượng tiêu thụ và công suất phải được chuyển đổi thành các giá trị năng lượng tiêu thụ hàng ngày theo các phương trình dưới đây đối với mỗi giá trị đặt bộ điều chỉnh nhiệt độ và nhiệt độ môi trường.
Đối với các thiết bị lạnh không có chu kỳ điều khiển xả băng, năng lượng tiêu thụ hàng ngày đối với mỗi nhiệt độ môi trường và mỗi giá trị đặt bộ điều chỉnh nhiệt độ được xác định theo công thức:
Edaily = P · 24 (1)
trong đó
Edaily năng lượng đo bằng Wh trong thời gian 24 h
24 số giờ trong một ngày
P công suất trạng thái ổn định đo bằng W cho giá trị đặt bộ điều chỉnh nhiệt độ được chọn như Phụ lục B.
Nhiệt độ trạng thái ổn định đo được đối với từng ngăn phải được ghi lại với giá trị này (đối với báo cáo thử nghiệm hoặc/và nội suy).
Đối với thiết bị lạnh có một hệ thống xả băng (có chu kỳ điều khiển xả băng riêng), năng lượng tiêu thụ hàng ngày đối với từng nhiệt độ môi trường và từng giá trị đặt bộ điều chỉnh nhiệt độ dựa trên công suất tiêu thụ trạng thái ổn định như xác định trong Phụ lục B, năng lượng tăng thêm do xả băng và phục hồi được xác định theo Phụ lục C và khoảng thời gian xả băng được xác định theo Phụ lục D như sau:
![]()
trong đó
Edaily Năng lượng tính bằng Wh trong thời gian 24 h
24 Số giờ trong một ngày
P Công suất trạng thái ổn định tính bằng W cho giá trị đặt bộ điều chỉnh nhiệt độ được chọn như Phụ lục B.
ΔEdf Năng lượng tăng thêm đại diện cho quá trình xả băng và phục hồi, tính bằng Wh, theo Phụ lục C (xem C.5)
Δtdf Khoảng thời gian xả băng ước tính theo Phụ lục D, tính bằng giờ.
Trường hợp có hệ thống xả băng (mỗi hệ thống có chu kỳ điều khiển xả băng riêng), giá trị của số hạng dựa trên ΔEdf và Δtdf cũng được thêm vào công thức (2) cho mỗi hệ thống xả băng bổ sung thêm.
Nhiệt độ trung bình cho mỗi ngăn đối với giá trị đặt bộ điều chỉnh nhiệt độ và năng lượng tiêu thụ được tính theo công thức:
![]()
trong đó
Taverage Nhiệt độ trung bình đối với ngăn trong chu kỳ điều khiển xả băng hoàn chỉnh
Tss Nhiệt độ trung bình trạng thái ổn định trong ngăn đối với giá trị đặt bộ điều khiển nhiệt độ, tính bằng °C, theo Phụ lục B
ΔThdf Chênh lệch nhiệt độ lũy tích đại diện theo thời gian xả băng và phục hồi (liên quan đến nhiệt độ trạng thái ổn định), tính bằng độ Kelvin-giờ (Kh) đối với ngăn liên quan theo Phụ lục C (xem Điều C.5).
Δtdf Khoảng thời gian xả băng ước tính, theo Phụ lục D, tính bằng giờ (h).
Giá trị của ΔThdf có thể dương (nếu nhiệt độ ấm hơn trong xả băng và phục hồi) hoặc có thể âm (nếu lạnh hơn, do làm lạnh trước và rò nhiệt thấp khi xả băng).
Trường hợp có thêm hệ thống xả băng (mỗi hệ thống có chu kỳ điều khiển xả băng riêng), giá trị của số hạng dựa trên ΔThdf và Δtdf cũng được thêm vào công thức (3) đối với mỗi hệ thống xả băng bổ sung.
6.8.3 Nội suy
Trường hợp nội suy được thực hiện để có được ước tính năng lượng tiêu thụ tối ưu hơn hàng ngày đối với nhiệt độ môi trường cho trước, các tính toán đối với từng nhiệt độ của ngăn và năng lượng tiêu thụ xác định theo 6.8.2 phải được sử dụng như nêu trong Phụ lục E.
6.8.4 Bộ phận phụ trợ quy định
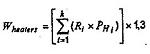
Trường hợp thiết bị lạnh có các bộ phận phụ trợ quy định, sự gia tăng năng lượng tiêu thụ liên quan đến các bộ phận phụ trợ này được tính toán theo lịch trình làm việc cục bộ theo vùng liên quan được quy định và sử dụng các tham số như nêu trong Phụ lục F. Tác động của các bộ phận phụ trợ này được ước tính trong 1 năm, nên cần thận trọng khi cố gắng thêm yếu tố này vào các giá trị năng lượng khác được tính trong tiêu chuẩn này - giá trị hàng năm cần được xác định cho các giá trị năng lượng khác trước khi có thể được cộng thêm các giá trị này.
6.8.5 Tổng năng lượng tiêu thụ
Tổng năng lượng tiêu thụ của thiết bị có thể được ước tính từ các giá trị sau:
Edaily16C ở nhiệt độ môi trường 16 °C
Edaily32C ở nhiệt độ môi trường 32 °C
Giá trị Edaily ở nhiệt độ môi trường 16 °C và 32 °C được tính bằng phép nội suy theo Phụ lục E. Phụ lục I cung cấp một vài ví dụ về cách kết hợp hai giá trị này để có ước tính năng lượng tiêu thụ hàng năm.
Eaus là giá trị năng lượng tiêu thụ lũy tích trong 1 năm.
CHÚ THÍCH 1: Thử nghiệm làm đá được thực hiện ở nhiệt độ môi trường 16 °C và 32 °C, do đó Eaus là hàm theo vùng f (Edaily16C, Edaily32C).
Tổng năng lượng tiêu thụ hàng năm của thiết bị lạnh có thể được tính như sau:
Etotal = f(Edaily16C, Edaily32C) + Eaux (4)
trong đó
f hàm theo vùng để tính năng lượng hàng năm ở 16 °C và 32 °C. Hàm số này không được định nghĩa trong tiêu chuẩn này và có thể thay đổi theo vùng. Xem Phụ lục I về các ví dụ cụ thể.
CHÚ THÍCH 2: Năng lượng liên quan đến xử lý tải phát sinh từ các tương tác của người sử dụng không được đưa vào các tính toán này. Xem Phụ lục G đối với các phép đo và tính toán năng lượng liên quan.
7 Thiết bị gây nhiễu
Thiết bị gây nhiễu là thiết bị điều khiển, phần mềm, linh kiện hoặc bộ phận bất kỳ làm thay đổi các đặc tính lạnh trong quá trình thử nghiệm, làm cho phép đo không đại diện cho các đặc tính thực của thiết bị có thể xảy ra trong sử dụng bình thường trong các điều kiện có thể so sánh được. Nhìn chung, các thiết bị gây nhiễu tiết kiệm năng lượng trong một thử nghiệm, nhưng không tiết kiệm trong sử dụng bình thường. Các ví dụ về nhiễu có thể bao gồm, nhưng không giới hạn ở, bất kỳ thay đổi nào đến vận hành bình thường khi thiết bị được thử nghiệm và bao gồm các thiết bị
a) làm thay đổi nhiệt độ đặt của các ngăn trong quá trình thử nghiệm;
b) kích hoạt hoặc hoặc ngừng hoạt động các bộ sưởi hoặc các thiết bị tiêu thụ năng lượng trong quá trình thử nghiệm;
c) điều khiển (bằng tay) thời gian chu trình của máy nén hoặc các tham số vận hành khác trong quá trình thử nghiệm;
d) điều khiển (bằng tay) khoảng thời gian xả băng.
Các thiết bị hoạt động trong các điều kiện hạn chế và được:
• yêu cầu duy trì nhiệt độ thỏa mãn việc bảo quản thức ăn trong ngăn (chẳng hạn, bộ sưởi bù nhiệt độ trong ngăn đựng thực phẩm tươi hoạt động ở điều kiện môi trường thấp);
• dự định giảm tiêu thụ năng lượng trong sử dụng bình thường
sẽ không được tính như là thiết bị gây nhiễu, trường hợp cơ sở hợp pháp cho hoạt động của chúng trong sử dụng thông thường và quy trình thử nghiệm đối với tiêu thụ năng lượng được công khai và có thể chứng minh bởi nhà cung cấp.
Khi hoạt động của một thiết bị gây nhiễu bị nghi ngờ, một phòng thí nghiệm nên giữ thiết bị đó để đo như mở cửa hay các hoạt động thích hợp khác nhằm phát hiện sự xuất hiện và hoạt động của bất kỳ thiết bị nào như vậy. Chi tiết của bất kỳ hoạt động và tác động của chúng được ghi lại trong báo cáo thử nghiệm. Các thiết bị gây nhiễu bị nghi ngờ hoặc phát hiện trong quá trình thử nghiệm, phòng thí nghiệm phải báo cáo các thông tin này đến khách hàng.
Các thiết bị gây nhiễu, nếu có, có thể phải chịu các quy định kỹ thuật và yêu cầu địa phương. Các thiết bị này có thể bị cấm theo một số thẩm quyền. Các thẩm quyền khác có thể yêu cầu thiết bị gây nhiễu cần được loại bỏ đối với các thử nghiệm năng lượng, hoặc các sản phẩm được thử nghiệm bằng cách đó để thu được một đánh giá về tác động năng lượng khi thiết bị gây nhiễu hoạt động. Năng lượng tiêu thụ tăng thêm bất kỳ do hoạt động của thiết bị gây nhiễu đều được thêm vào với tiêu thụ năng lượng đo được, và có thể có các mức phạt liên quan tới tiêu thụ năng lượng tăng thêm này.
8 Độ không đảm bảo đo
Đối với tất cả các phép đo năng lượng, độ không đảm bảo đo của giá trị đo cần được xác định và công bố cùng với kết quả đo.
Trường hợp các tiêu chí về tính hợp lệ ít chặt chẽ hơn được áp dụng để đạt được kết quả xấp xỉ trong thời gian ngắn hơn, việc tăng độ không đảm bảo đo phải được tính đến trong các tuyên bố về độ không đảm bảo đo.
Các thử nghiệm kiểm tra xác nhận cần xét đến độ không đảm bảo đo khi đánh giá kết quả năng lượng theo tiêu chí về tính hợp lệ bất kỳ.
CHÚ THÍCH: Việc tính toán độ không đảm bảo đo không được nêu trong tiêu chuẩn này. Các hướng dẫn thêm về vấn đề này có thể tham khảo trong TCVN 9595-3:2013 (ISO/IEC 98-3:2008), Độ không đảm bảo đo - Phần 3: Hướng dẫn thể hiện độ không đảm bảo đo (GUM:1995).
9 Báo cáo thử nghiệm
Cần chuẩn bị báo cáo thử nghiệm có chứa tất cả các thông tin liên quan được nêu trong Phụ lục F của IEC 62552-1:201 đối với các thử nghiệm tiến hành theo tiêu chuẩn này.
Phụ lục A
(quy định)
Thiết lập thử nghiệm năng lượng
A.1 Quy định chung
Với mục đích xác định năng lượng theo tiêu chuẩn này, thiết bị lạnh được chuẩn bị như sau.
Thiết bị lạnh được lắp đặt trong phòng thử và với thiết bị đo như trình bày trong IEC 62552-1:2015, Phụ lục A.
Thiết bị lạnh được chuẩn bị và thiết lập theo các yêu cầu của IEC 62552-1:2015, Phụ lục B.
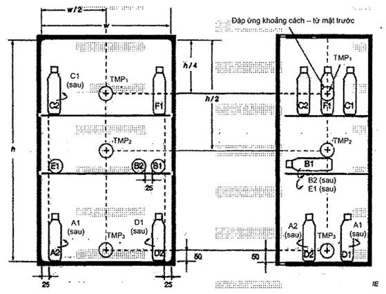
Thiết bị lạnh phải có các cảm biến nhiệt độ không khí được cài đặt tại các vị trí quy định trong IEC 62552-1:2015, Phụ lục D. Việc xác định nhiệt độ không khí của ngăn trong thử nghiệm năng lượng được quy định trong Phụ lục D của IEC 62552-1:2015.
A.2 Các yêu cầu thiết lập bổ sung để thử nghiệm năng lượng
A.2.1 Khay làm đá
Khay làm đá bất kỳ với một vị trí chuyên dụng, như quy định trong các chỉ dẫn, phải giữ đúng tại vị trí nhưng để rỗng đối với thử nghiệm năng lượng (ngoại trừ khi được quy định trong Phụ lục G).
A.2.2 Bộ điều chỉnh nhiệt độ chỉnh định bởi người sử dụng
Bộ điều chỉnh nhiệt độ chỉnh định bởi người sử dụng không được sử dụng cho nội suy năng lượng theo Phụ lục E phải được đặt ở một vị trí và đáp ứng các yêu cầu về nhiệt độ của ngăn liên quan theo Điều 5 (nhiệt độ mục tiêu) cho tất cả các lần chạy thử nghiệm. Khi nội suy giữa các kết quả của hai hoặc nhiều lần chạy thử nghiệm được tiến hành theo Phụ lục E, chỉ sử dụng (các) cài đặt bị thay đổi giữa các lần chạy thử nghiệm là (các) bộ điều chỉnh nhiệt độ chỉnh định bởi người sử dụng cho nội suy. Vị trí của tất cả các vách ngăn và bộ điều chỉnh nhiệt độ chỉnh định bởi người sử dụng không được sử dụng để nội suy được ghi lại trong báo cáo thử nghiệm.
Trường hợp ngăn bảo quản rượu có các lựa chọn cài đặt cho cả hai vùng có nhiệt độ đồng đều và nhiều nhiệt độ, cài đặt nhiệt độ đồng đều được sử dụng cho thử nghiệm.
A.2.3 Nhiệt độ môi trường
Để xác định năng lượng tiêu thụ, nhiệt độ phòng thử danh nghĩa là 16 °C và 32 °C. Các yêu cầu vận hành đối với nhiệt độ môi trường của phòng thử được quy định trong IEC 62552-1.
A.2.4 Phụ kiện và giá đỡ
Các phụ kiện, các khay hoặc thùng chứa bất kỳ không có vị trí dành riêng hoặc chức năng thiết yếu trong sử dụng bình thường, như quy định trong các chỉ dẫn, phải được lấy ra.
Thiết bị trữ nhiệt bất kỳ (ví dụ như cây đá hình viên gạch hoặc tương tự) có thể tháo ra mà không dùng dụng cụ phải được lấy ra đối với tất cả các thử nghiệm, bất kể là có nêu trong hướng dẫn sử dụng hay không.
A.2.5 Bộ sưởi chống ngưng tụ
Bộ sưởi chống ngưng tụ làm việc liên tục trong sử dụng bình thường được thử nghiệm với các bộ sưởi hoạt động trong tất cả các thử nghiệm năng lượng.
Bộ sưởi chống ngưng tụ có thể ‘bật’ hoặc ‘tắt’ bởi người sử dụng được thử nghiệm ở cả hai mức cài đặt "bật" và "tắt".
Bộ sưởi chống ngưng tụ có một số các cài đặt có thể được lựa chọn bởi người sử dụng phải được thử nghiệm ở cả hai mức cài đặt "năng lượng tiêu thụ cao nhất" và "năng lượng tiêu thụ thấp nhất".
Phải thu thập dữ liệu để công suất tiêu thụ tăng thêm do bộ sưởi chống ngưng tụ tại mỗi cài đặt cụ thể có thể ước tính được với (các) ngăn làm việc ở cùng (các) nhiệt độ. Năng lượng tiêu thụ gia tăng bởi thiết bị lạnh khi bộ sưởi chống ngưng tụ hoạt động tại mỗi nhiệt độ môi trường phải được xác định. Các giá trị thử nghiệm năng lượng được báo cáo riêng rẽ cho mỗi cài đặt cụ thể.
CHÚ THÍCH: Một số cách tiếp cận có thể được sử dụng để xác định tác động của bộ sưởi chống ngưng tụ bật tắt bằng tay như trong Phụ lục F (ví dụ, đo năng lượng khi không có các bộ sưởi sau đó cộng thêm năng lượng tính được, đo năng lượng tiêu thụ khi có bộ sưởi, sau đó trừ đi mức năng lượng tiêu thụ thực tế trước khi cộng thêm năng lượng tính được). Nếu có bất kỳ nghi vấn nào về phương pháp thử thích hợp thì năng lượng tiêu thụ tối ưu theo như Phụ lục B (sử dụng nội suy nếu cần) cần được xác định với bộ sưởi chống ngưng tụ có và không hoạt động nhằm xác định giá trị này (lưu ý là hoạt động đó có thể có tác động nhỏ đến nhiệt độ của ngăn).
Bộ sưởi chống ngưng tụ được điều chỉnh tự động và thay đổi theo nhiệt độ môi trường (ví dụ như nhiệt độ và độ ẩm) được phân loại là bộ phận phụ trợ quy định và được thử nghiệm theo Phụ lục F.
Bộ sưởi chống ngưng tụ được kiểm soát tự động và thay đổi theo nhiệt độ môi trường nhưng có cấu hình để người sử dụng có thể lựa chọn giới hạn hoặc mức cơ sở của công suất bộ sưởi thì phải được thử nghiệm ở mức cài đặt cao nhất và thấp nhất theo Phụ lục F (xem F.2.8).
A.2.6 Bộ phận làm đá tự động và ngăn trữ đá
A.2.6.1 Quy định chung
Trường hợp thiết bị có các đặc trưng làm đá tự động để tạo ra, lấy và trữ đá thì các không gian chiếm bởi các ngăn trữ đá phải được coi là ngăn phụ riêng rẽ đối với mục đích thử nghiệm tiêu thụ năng lượng.
Ngăn làm đá tự động bất kỳ phải được công bố riêng trong "chi tiết các ngăn" trong báo cáo thử nghiệm.
Đối với tất cả các thử nghiệm năng lượng, cơ chế cấp đá được cho hoạt động, tức là tất cả các đường cấp đá cần thiết cho việc cấp đá không được có bao gói, nắp che hoặc chi tiết chặn mà có thể được lắp vào trong quá trình vận chuyển hoặc khi bộ phận làm đá không sử dụng.
Trường hợp thiết bị có không gian lưu trữ đã chiếm một ngăn riêng, việc đặt cảm biến nhiệt độ phải theo IEC 62552-1:2015, Phụ lục D (không phải A.2.6.5 của phần này).
A.2.6.2 Mục đích và tổng quan đối với thử nghiệm năng lượng
Mục đích nhằm chắc chắn rằng trong thử nghiệm tiêu thụ năng lượng theo tiêu chuẩn này, bộ phận làm đá tự động và các thiết bị liên quan khác sẽ hoạt động đồng nhất với giá trị có thể đạt được trong khi hệ thống làm việc nhưng không tạo nên đá mới.
Nhằm đạt được điều kiện này trong suốt thử nghiệm tiêu thụ năng lượng, bộ phận làm đá tự động phải hoạt động bình thường nhưng không tạo ra đá mới (nhưng cần được ghi rằng thiết bị làm đá được để làm đá tự động theo nhu cầu mà không có sự can thiệp nào nếu một một lượng đá được lấy ra khỏi ngăn đựng). Các thiết bị hay bộ phận nào liên quan trực tiếp đến việc làm đá phải được làm mất hiệu lực trong thử nghiệm năng lượng. Tất cả các bộ phận rõ ràng là không liên quan đến việc làm đá phải được hoạt động như bình thường trong thử nghiệm năng lượng và được cấp điện theo cách phù hợp với chế độ làm việc cần thiết để thực hiện các chức năng tương ứng của nó. Việc làm mát khu vực chứa bộ phận làm đá phải được giữ không đối với các điều kiện trữ đá bình thường.
Ngoài các thử nghiệm kiểm tra xác nhận như quy định trong A.2.6.4, kết nối với nguồn nước có thể bỏ qua nếu có thể khẳng định được việc có kết nối với nguồn nước hay không cũng không làm ảnh hưởng tới năng lượng tiêu thụ đo được.
A.2.6.3 Cấu hình của ngăn trữ đá
Ngăn trữ đá được giữ nguyên vị trí và để rỗng trong tất cả các thử nghiệm năng lượng, trừ trường hợp được nêu trong A.2.6.4. Ngăn làm đá tự động được coi là ngăn phụ và phải được lắp cảm biến nhiệt độ như quy định trong A.2.6.5.
Hành động bất kỳ được phòng thí nghiệm tiến hành (kể cả các cài đặt và cấu hình) trong thử nghiệm năng lượng để giữ cho bộ phận làm đá tự động hoạt động nhưng để dừng việc sản xuất đá do ngăn chứa đá bị đầy theo A.2.6 phải được ghi vào báo cáo thử nghiệm.
A.2.6.4 Kiểm tra xác nhận năng lượng tiêu thụ với bộ phận làm đá tự động
Để kiểm tra xác nhận năng lượng tiêu thụ của thiết bị, cài đặt bộ phận làm đá tự động phải theo cài đặt do nhà chế tạo quy định.
Nhằm xác định có hay không các thiết bị gây nhiễu không công bố hoạt động trong quá trình thử nghiệm năng lượng, bất kể có hướng dẫn hay không, phòng thí nghiệm có thể tiến hành các thử nghiệm, kể cả thử nghiệm trình bày dưới đây để đánh giá vận hành thông thường của bộ phận làm đá tự động và các bộ điều khiển liên quan đến các yêu cầu của Điều 7 và mục đích của A.2.6.2.
Thử nghiệm này nhằm đánh giá làm việc bình thường của các bộ phận làm đá tự động với cấu hình sử dụng cho thử nghiệm năng lượng trình bày trong A.2.6.4. Bộ phận làm đá được nối với nguồn nước, chức năng làm đá hoạt động cho đến khi các ngăn chứa đầy đá và việc sản xuất đá tự động dừng lại theo sự điều khiển của nó trước khi thực hiện thử nghiệm năng lượng. Để rút ngắn thời gian thử nghiệm, các viên đá được làm từ trước có thể được sử dụng để làm đầy một phần các ngăn trữ đá trước khi bắt đầu thử nghiệm, nhưng chỉ ở mức cho phép bộ phận làm đá tiếp tục sản xuất đá cho đến khi đầy ngăn trữ đá.
Ngăn làm đá tự động phải được lắp cảm biến nhiệt độ như quy định trong A.2.6.5.
Nhiệt độ của ngăn trữ đá cần được duy trì tốt bên dưới điểm kết đông trong tất cả các giai đoạn vận hành. Để hướng dẫn, năng lượng tiêu thụ khi ngăn trữ đầy đá trong điều này không vượt quá 2 % năng lượng tiêu thụ đo được trong thử nghiệm năng lượng cho cùng (hoặc tương đương) các cài đặt bộ điều khiển nhiệt độ và nhiệt độ bên trong, nhưng với ngăn trữ đá để rỗng.
A.2.6.5 Vị trí của cảm biến nhiệt trong bộ phận làm đá tự động
Bộ phận làm đá tự động phải có thêm một cảm biến nhiệt độ đặt ở vị trí như dưới đây đối với tất cả các thử nghiệm năng lượng:
a) Theo chiều thẳng đứng: Xấp xỉ 50 mm bên dưới nóc của mức trữ đá lớn nhất ước tính trong khi vẫn duy trì khoảng cách tối thiểu 20 mm đến đáy của ngăn trữ đá.
b) Theo chiều ngang: Xấp xỉ 20 mm khe hở từ vạch trung tâm thẳng đứng của cạnh của ngăn đựng đá mà gần nhất với bề mặt ngoài hoặc ngăn phụ ấm hơn (ví dụ: cửa, thành, tấm đệm hay ngăn phụ). Các ngăn đựng đá lớn hơn 50 mm từ một bề mặt ngoài cần có xấp xỉ 20 mm khe hở từ đường trung tâm thẳng đứng của mặt lớn nhất của ngăn đựng đá.
c) Nếu vị trí theo điểm b) bị ảnh hưởng bởi một dòng khí trực tiếp, trong khả năng được phép, nó được định vị ở một vị trí thay thế mà có 20 mm khe hở kể từ mặt bên của ngăn đựng đá mà tránh được khỏi luồng khí lạnh trực tiếp.
Nếu vị trí của cảm biến nhiệt được dịch chuyển để nó xa các vị trí ưu tiên trong điều a) và b) ở trên, vị trí cảm biến này được trình bày trong báo cáo thử nghiệm.
CHÚ THÍCH: Trong một thử nghiệm kiểm tra xác nhận theo A.2.6.4, đá thường chạm vào cảm biến nhiệt độ trong ngăn trữ đá. Xem A.2.6.1 về vị trí của cảm biến nhiệt độ trong các ngăn riêng biệt dành cho việc trữ đá.
Phụ lục B
(quy định)
Xác định nhiệt độ và công suất trạng thái ổn định
B.1 Quy định chung
Phụ lục này quy định phương pháp cần sử dụng để xác định công suất tiêu thụ và nhiệt độ của thiết bị lạnh trong hoạt động ổn định được thử nghiệm theo tiêu chuẩn này.
B.2 Thiết lập thử nghiệm và thu thập dữ liệu
Mục đích là để lựa chọn một giai đoạn hoạt động đại diện nhằm xác định công suất trung bình và nhiệt độ bên trong trung bình (cho tất cả các ngăn liên quan) cho cài đặt bộ điều khiển nhiệt độ lựa chọn và cho nhiệt độ môi trường thử nghiệm.
Thiết bị lạnh trong thử nghiệm được thiết lập và hoạt động theo Phụ lục A.
Có hai trường hợp có thể xảy ra khi xác định công suất điện tiêu thụ ổn định:
• Trường hợp SS1 (xem điều B.3) áp dụng với sản phẩm không có chu kỳ điều khiển xả băng và sản phẩm có một hệ thống xả băng (với chu kỳ điều khiển xả băng của nó) mà chu kỳ điều khiển xả băng dài và giai đoạn thử nghiệm ổn định không bị giới hạn các giai đoạn xả băng và phục hồi. Tiêu chí hợp lệ bên trong tương đối nghiêm ngặt được áp dụng với các dữ liệu để đảm bảo rằng giai đoạn hoạt động đại diện được lựa chọn.
• Trường hợp SS2 (xem điều B.4) áp dụng với sản phẩm có một hệ thống xả băng (với chu kỳ điều khiển xả băng của nó) trường hợp giai đoạn thử nghiệm ổn định mở đầu với một giai đoạn xả băng và phục hồi hợp lệ. Trường hợp SS2 được dùng ở trường hợp sự ổn định giữa các lần xả băng không thể thiết lập mà sử dụng trường hợp SS1. Trong trường hợp SS2, toàn bộ giai đoạn giữa hai lần xả băng được dùng để xác định công suất tiêu thụ ổn định bằng cách trừ đi phần tăng thêm của năng lượng ban đầu cho xả băng và phục hồi (xem DF1 trong Phụ lục C). Trong trường hợp SS2, quá trình hoạt động ổn định trước khi xả băng lần đầu và trước lần xả băng tiếp theo được so sánh và chúng phải đáp ứng được các tiêu chuẩn ổn định liên quan. Lần xả băng đầu tiên cũng đáp ứng được các yêu cầu tính hợp lệ của DF1 như trình bày trong Phụ lục C.
B.3 Trường hợp SS1: không có chu kỳ điều khiển xả băng hoặc sự ổn định được thiết lập cho một giai đoạn giữa các lần xả băng
B.3.1 Cách tiếp cận trường hợp SS1
Trường hợp SS1 được áp dụng cho tất cả các sản phẩm không có chu kỳ điều khiển xả băng. Trường hợp này cũng có thể áp dụng cho sản phẩm với một hệ thống xả băng có chu kỳ điều khiển xả băng dài và giai đoạn thử nghiệm ổn định không bị giới hạn bởi các giai đoạn xả băng và phục hồi. Trong trường hợp này, không có giai đoạn xả băng và phục hồi (hoặc phần nào của nó) xảy ra trong suốt giai đoạn thử nghiệm được lựa chọn theo trường hợp SS1.
Nếu công suất trạng thái ổn định được xác định theo trường hợp SS1, một giai đoạn thử nghiệm ổn định mà hình thành từ 3 khối dữ liệu thử nghiệm được lựa chọn liền kề và không trùng nhau. Mỗi khối dữ liệu thử nghiệm bao gồm một số lượng đồng đều toàn bộ chu kỳ điều khiển nhiệt độ. Số chu kỳ điều khiển nhiệt độ nhỏ nhất của một khối dữ liệu là 1. Một giai đoạn thử nghiệm được lựa chọn mà tất cả các tiêu chuẩn liên quan đối với khoảng phân tán bên trong và độ dốc của nhiệt độ và công suất có thể được thiết lập.
Kích cỡ khối của 1 chu kỳ điều khiển nhiệt độ sẽ có tổng giai đoạn thử nghiệm là 3 chu kỳ điều khiển nhiệt độ, kích cỡ khối của 2 chu kỳ điều khiển nhiệt độ có giai đoạn thử nghiệm là 6 chu kỳ điều khiển nhiệt độ, v.v. Định nghĩa về chu kỳ điều khiển nhiệt độ trong IEC 62552-1:2015 cần được xem xét cẩn thận. Một khuyến nghị chung đối với các hệ thống lạnh phức tạp hơn là các chu kỳ điều khiển nhiệt độ thay thế dựa vào nhiệt độ lớn nhất ở mỗi ngăn được kiểm tra kèm thêm với chu kỳ máy nén (nếu có), để xem hệ thống nào cung cấp được ước lượng công suất trạng thái ổn định nhất theo thời gian. Lựa chọn chu kỳ điều khiển nhiệt độ ổn định nhất có thể rút ngắn thời gian thử nghiệm yêu cầu để đạt được một kết quả đúng.
Nếu không có thay đổi rõ rệt của nhiệt độ hoặc công suất tiêu thụ theo thời gian, một giai đoạn thử nghiệm hình thành từ 3 khối bên trong của dữ liệu thử nghiệm được lựa chọn. Mỗi khối dữ liệu thử nghiệm phải bằng nhau về chiều dài, độ liền kề và không nhỏ hơn 4 h.
Như một sự thay thế của việc sử dụng chu kỳ điều khiển nhiệt độ, các giai đoạn có chiều dài cố định được sử dụng (xem như là lát cắt thời gian cố định) để tạo nên mỗi khối.
Một giai đoạn thử nghiệm được hình thành 3 khối dữ liệu, gọi là A, B và C.
CHÚ THÍCH: Không có số lượng tối đa của các chu kỳ điều khiển nhiệt độ mỗi khối, nhưng một giá trị là 10 sẽ được coi là dài bất thường.
Một ví dụ về giai đoạn thử nghiệm của một khối của 5 chu kỳ điều khiển nhiệt độ được minh họa trong Hình B.1.

Hình B.1 - Minh họa giai đoạn thử nghiệm tạo bởi các khối của 5 chu kỳ điều khiển nhiệt độ - nhiệt độ đối với trường hợp SS1

Hình B.2 - Minh họa giai đoạn thử nghiệm tạo bởi các khối của 5 chu kỳ điều khiển nhiệt độ - công suất đối với trường hợp SS1
Đối với mỗi khối dữ liệu (A, B và C), tính toán công suất trung bình và nhiệt độ trung bình tại mỗi ngăn liên quan.
Tính toán các đặc tính sau đây theo các khối thử A, B và C:
• Khoảng phân tán nhiệt độ của mỗi ngăn: Tính theo độ chênh lệch giữa nhiệt độ trung bình của khối ấm nhất (A, B hoặc C) và nhiệt độ trung bình của khối lạnh nhất (A, B hoặc C). Tất cả độ chênh (khoảng phân tán) nhiệt độ đo bằng K. Xem phương trình (5).
• Độ dốc nhiệt độ từ khối A đến khối C: Tính theo [giá trị tuyệt đối của độ chênh giữa nhiệt độ trung bình của khối A và nhiệt độ trung bình của khối C] chia cho [thời gian thử ở giữa khối C trừ đi thời gian thử ở giữa khối A]. Tất cả độ dốc nhiệt độ đo bằng K/h. Xem phương trình (6).
• Khoảng phân tán công suất (W): Tính theo độ chênh giữa công suất trung bình của khối ấm nhất (A, B hoặc C) và công suất trung bình của khối lạnh nhất (A, B hoặc C) chia cho công suất trung bình đối với toàn bộ giai đoạn thử nghiệm (A, B và C), biểu diễn theo %. Xem phương trình (7).
• Độ dốc công suất từ khối A đến khối C: Tính theo [giá trị tuyệt đối của độ chênh giữa công suất trung bình của khối C và công suất trung bình của khối A] chia cho [thời gian thử ở giữa khối C trừ đi thời gian thử ở giữa khối A] và chia cho [công suất trung bình đối với toàn bộ giai đoạn thử nghiệm (A, B và C)]. Tất cả độ dốc công suất được biểu diễn theo %/h. Xem phương trình (8).
Khoảng phân tán nhiệt độ = Tmax(A,B,C) - Tmin(A,B,C) (K) (5)
Độ dốc nhiệt độ
(6)
Khoảng phân tán công suất
(7)
Độ dốc công suất
(8)
trong đó với mỗi khối A, B và C:
T nhiệt độ
t thời gian thử (điểm trung tâm của khối)
P công suất
% kết quả của phép chia (biểu diễn theo phần trăm, trong đó 1,0 = 100%).
B.3.2 Các tiêu chí chấp nhận trong trường hợp SS1
Dựa vào các đặc tính được tính toán trong B.3.1, việc đánh giá tính hợp lệ của toàn bộ giai đoạn thử nghiệm (được tạo thành từ 3 khối, mỗi khối bao gồm n chu kỳ điều khiển nhiệt độ). Giai đoạn thử nghiệm là hợp lệ nếu tất cả các tiêu chuẩn sau được đáp ứng:
• Tổng thời gian thử nghiệm tABC (tổng chiều dài của khối A, B, C) không quá 6 h trường hợp có các chu kỳ điều khiển nhiệt độ và không quá 12 h trường hợp không có chu kỳ điều khiển nhiệt độ (hoặc sử dụng các lát cắt thời gian cố định);
• Khoảng phân tán nhiệt độ (qua các khối A, B, C) nhỏ hơn 0,25 K cho mỗi ngăn;
• Độ dốc nhiệt độ (từ khối A đến khối C) nhỏ hơn 0,025 K/h cho mỗi ngăn;
• Khoảng phân tán công suất (qua các khối A, B, C) có các chu kỳ điều khiển nhiệt độ nhỏ hơn: đối với của tổng thời gian thử nghiệm tABC là 12 h hoặc ít hơn, khoảng phân tán không lớn hơn 1 %; đối với tổng thời gian thử nghiệm tABC từ 12 h đến nhỏ hơn 36 h, khoảng phân tán không lớn hơn 1 % + (tABC -12)/1200; đối với tổng thời gian thử nghiệm tABC là 36 h hoặc lớn hơn, khoảng phân tán không lớn hơn 3 %;
• Khoảng phân tán công suất (qua các khối A, B, C) mà không có chu kỳ điều khiển nhiệt độ hoặc các giai đoạn thời gian cố định được lựa chọn nhỏ hơn 1 %, bất kể tổng thời gian thử nghiệm;
• Độ dốc công suất (từ khối A đến khối C) nhỏ hơn 0,025 %/h;
• Khi có các chu kỳ điều khiển nhiệt độ, hai giai đoạn thử nghiệm có thể so sánh mà bắt đầu một và hai chu kỳ điều khiển nhiệt độ sớm hơn giai đoạn được chọn cũng phải đáp ứng tất cả các tiêu chí nói trên (nghĩa là giai đoạn thử nghiệm được chọn là giai đoạn hợp lý thứ ba đáp ứng tất cả các tiêu chí hợp lệ khác);
• Khi không có các chu kỳ điều khiển nhiệt độ (hoặc sử dụng lát cắt thời gian cố định), hai giai đoạn thử nghiệm có thể so sánh mà bắt đầu một giờ và hai giờ sớm hơn giai đoạn được chọn cũng phải đáp ứng tất cả các tiêu chí nói trên.
Yêu cầu đối với giai đoạn thử nghiệm để duy trì tính hợp lệ khi dịch chuyển 3 chu kỳ điều khiển nhiệt độ liên tiếp là đảm bảo đúng theo tất cả các tiêu chí đối với giai đoạn được chọn không phải là một hiện lượng ngẫu nhiên hay tình cờ. Trong ví dụ minh họa ở hình B.1, nếu giai đoạn thử nghiệm bắt đầu ở chu kỳ điều khiển nhiệt độ thứ 5 và kết thúc ở chu kỳ điều khiển nhiệt độ thứ 20 là giai đoạn đầu tiên để đạt được tiêu chí từ 1 đến 5 ở trên, thì giai đoạn thử nghiệm từ 6 đến 21 và từ 7 đến 22 cũng phải đạt tất cả các tiêu chí. Trong trường hợp này, giai đoạn từ 7 đến 22 là giai đoạn thử nghiệm hợp lệ.
CHÚ THÍCH 1: Tất cả các tiêu chí ở trên được phát triển dựa trên cơ sở nhiều thử nghiệm và xem xét dữ liệu đối với hơn 100 thiết bị lạnh.
(Các) cài đặt bộ điều khiển nhiệt độ phải được giữ không đổi đối với toàn bộ giai đoạn thử nghiệm dùng để xác định giá trị của SS1 (khối A, B và C).
Khi có nhiều hơn hai ngăn, việc đánh giá độ ổn định nhiệt độ như trình bày ở trên được yêu cầu đối với:
• Ngăn không đông lớn nhất và ngăn đông lớn nhất (nếu có thể áp dụng được)
• Hai ngăn lớn nhất (nơi tất cả các ngăn là đông hoặc không đông).
Thêm vào đó, độ ổn định nhiệt độ đạt được xác định ở trên cho tất cả các ngăn mà sử dụng cho nội suy tiêu thụ năng lượng theo Phụ lục E.
Nếu các tiêu chí trên không được thỏa mãn, kích thước của n tăng lên (và vì thế chiều dài của giai đoạn thử nghiệm cũng tăng thêm) hoặc/và nhiều số liệu thử nghiệm hơn được thu thập cho đến lúc tất cả các tiêu chí có thể đồng thời được đáp ứng.
Cách tiếp cận khuyến nghị trong quá trình thu thập số liệu thử nghiệm là xem xét (lại) tất cả các dữ liệu đã thu thập tại thời điểm đó để đánh giá tất cả giai đoạn thử nghiệm có thể cho tất cả kích thước khối (n), từ đó xác định được điểm gần nhất trong dữ liệu thử mà thỏa mãn tất cả tính hợp lệ của tiêu chí nói trên. Nhìn chung, trong khi không khuyến nghị rằng số liệu từ một điểm bắt đầu (giảm nhiệt độ khi điện được kết nối lần đầu) được bao gồm trong các đánh giá này, các tiêu chí này phải được đảm bảo bất kỳ việc giảm nhiệt độ nào trước khi thiết lập việc vận hành ổn định được tự động loại khỏi trong giai đoạn thử nghiệm tính hợp lệ.
Nếu có một số lượng giai đoạn thử nghiệm khả dĩ mà thỏa mãn tiêu chí trên, giai đoạn thử nghiệm với khoảng phân tán công suất nhỏ nhất từ các số liệu thử có thể được lựa chọn.
Nếu tiêu chí về khoảng phân tán công suất không thể được đáp ứng bằng việc kéo dài tổng giai đoạn thử nghiệm (có hoặc không có chu kỳ điều khiển nhiệt độ), một kết quả hợp lệ có thể đạt được bằng cách sử dụng 3 khối dữ liệu, với mỗi khối dữ liệu không nhỏ hơn 36 h (tổng giai đoạn thử nghiệm không nhỏ hơn 108 h).
CHÚ THÍCH 2: Một ví dụ thực tế để chọn các đặc tính tối ưu của giai đoạn thử nghiệm được nêu trong Phụ lục I.
B.3.3 Tính toán giá trị trong trường hợp SS1
Trong giai đoạn thử nghiệm tạo nên các khối A, B và C đáp ứng được các tiêu chí chấp nhận có liên quan theo B.3.2, nhiệt độ Ti cho mỗi ngăn i và công suất trung bình PSS1 được xác định như trung bình của tất các giá trị đo được bao gồm trong cả giai đoạn thời gian của các khối A, B và C.
Công suất trạng thái ổn định sử dụng cho các tính toán năng lượng liên tiếp PSS được xác định bằng cách sửa đổi giá trị của PSS1 dùng công thức (15) trong Điều B.5 trường hợp nhiệt độ môi trường đo được không bằng nhiệt độ môi trường thông thường trong thử nghiệm.
Tổng thời gian thử nghiệm đối với khối A, B và C phải được báo cáo.
Thời gian chạy máy nén ổn định CRtSS được tính toán như phần trăm của thời gian mà máy nén hoạt động trong suốt tổng thời gian của tất cả các chu kỳ điều khiển nhiệt độ trong khối A, B và C.
B.4 Trường hợp SS2: sự ổn định giữa các lần xả băng
B.4.1 Cách tiếp cận trường hợp SS2
Trường hợp SS2 áp dụng cho các sản phẩm có một hoặc nhiều hệ thống xả băng (với chu kỳ điều khiển xả băng của nó) mà giai đoạn thử nghiệm ổn định bị giới hạn bởi các giai đoạn xả băng và phục hồi. Trong khi nó có thể sử dụng cho tất cả các sản phẩm có một hoặc nhiều hệ thống xả băng, trường hợp SS2 phải được sử dụng nếu sự ổn định không thể được thiết lập khi áp dụng trường hợp SS1.
Đối với các sản phẩm có khoảng thời gian xả băng dài, việc sử dụng trường hợp SS1 có thể rút ngắn đáng kể thời gian thử nghiệm yêu cầu.
Trường hợp SS2 sử dụng tất cả các dữ liệu giữa điểm khởi động của hai chu kỳ xả băng và phục hồi để tính toán công suất điện (xem công thức (12)). Các kiểm tra phải được tiến hành để so sánh đặc tính của việc vận hành ổn định trước mỗi giai đoạn xả băng và phục hồi (giai đoạn X và Y trong hình B.3) để chắc chắn rằng chúng đáp ứng được các yêu cầu về ổn định liên quan trước khi tiến hành phân tích sâu hơn. Giai đoạn xả băng và phục hồi đầu tiên trong giai đoạn thử nghiệm SS2 phải đáp ứng các yêu cầu về tính hợp lệ của Phụ lục C và năng lượng gia tăng do giai đoạn xả băng và phục hồi được xác định theo Phụ lục C (DF1) để tính toán giá trị cho PSS2 (mà toàn bộ giai đoạn thử nghiệm nhỏ hơn giá trị đối với DF1).

Hình B.3 - Trường hợp SS2 - vận hành đặc trưng của thiết bị lạnh có chu kỳ điều khiển xả băng
Một giai đoạn vận hành ổn định (gọi là giai đoạn X), kết thúc tại điểm bắt đầu của một giai đoạn xả băng và phục hồi và hình thành không ít hơn 4 toàn bộ chu kỳ điều khiển nhiệt độ (nếu có) và không ít hơn 4 h được lựa chọn. Giai đoạn hoạt động ổn định thứ 2 (gọi là giai đoạn Y), kết thúc tại điểm bắt đầu của chu kỳ xả băng và phục hồi xả băng tiếp theo và hình thành không ít hơn 4 toàn bộ điều khiển nhiệt độ (nếu có) và không ít hơn 4 h được lựa chọn. Giai đoạn X và Y luôn luôn bao gồm số lượng bằng nhau các chu kỳ điều khiển nhiệt độ (nếu có) và nên có xấp xỉ một chiều dài giống nhau. Giai đoạn X và Y có cùng một độ dài chính xác, nếu không có chu kỳ điều khiển nhiệt độ.
Nếu không có chu kỳ xả băng kế tiếp trong vòng 48 h, giai đoạn Y có thể được lựa chọn tại điểm trong giai đoạn hoạt động ổn định trường hợp thời gian từ cuối giai đoạn X tới cuối giai đoạn Y vượt quá 48 h, nhưng giai đoạn Y không liền kề ngay giai đoạn xả băng và phục hồi kế tiếp. Giai đoạn Y được lựa chọn theo cách này sẽ được ghi lại trong báo cáo thử nghiệm.
Nhiệt độ trong mỗi ngăn và công suất điện đối với giai đoạn X được so sánh với nhiệt độ trong mỗi ngăn và công suất điện đối với giai đoạn Y.
Tính toán các đặc tính sau qua các giai đoạn X và Y:
• Khoảng phân tán nhiệt độ cho mỗi ngăn: Tính toán theo độ chênh lệch giữa nhiệt độ trung bình của giai đoạn ấm nhất (X hoặc Y) trừ đi nhiệt độ trung bình của giai đoạn lạnh nhất (X hoặc Y). Độ chênh lệch nhiệt độ được đo bằng K. Xem công thức (9).
• Khoảng phân tán công suất: Tính toán theo độ chênh lệch giữa công suất trung bình của giai đoạn công suất cao hơn (X hoặc Y) trừ đi công suất trung bình của giai đoạn công suất thấp hơn (X hoặc Y) chia cho công suất trung bình đối với giai đoạn X và Y. Khoảng phân tán công suất được biểu diễn theo cả hai đơn vị phần trăm (%), và giá trị tuyệt đối, đo bằng oát (W). Xem công thức (10) và (11).
Khoảng phân tán nhiệt độ = Tmax(X,Y) - Tmin(X,Y) (K) (9)
Khoảng phân tán công suất
(10)
Khoảng phân tán nhiệt độ = Pmax(X,Y) - Pmin(X,Y) (W) (11)
trong đó với mỗi giai đoạn X và Y:
T nhiệt độ
P công suất
% kết quả của phép chia (biểu diễn theo phần trăm, trong đó 1,0 = 100%).
B.4.2 Trường hợp SS2, tiêu chí chấp nhận
Đối với giai đoạn được chọn để xác định PSS2 công suất trạng thái ổn định hợp lệ, phải đáp ứng các tiêu chí sau:
• Giai đoạn X và Y không được nhỏ hơn độ dài 4 toàn bộ chu kỳ điều khiển nhiệt độ (nếu có) và có số chu kỳ điều khiển nhiệt độ giống nhau. Nếu không có chu kỳ điều khiển nhiệt độ (hoặc các lát cắt thời gian cố định được sử dụng), chiều dài của X và Y là giống nhau.
• Thời gian của hai giai đoạn X và Y không được nhỏ hơn 4 h.
• Tỷ số giữa tổng chiều dài của giai đoạn X và tổng chiều dài của giai đoạn Y (theo h) nằm trong khoảng từ 0,8 đến 1,25, nếu có chu kỳ điều khiển nhiệt độ.
• Khoảng phân tán nhiệt độ của hai giai đoạn X và Y nhỏ hơn 0,5 K cho mỗi ngăn.
• Khoảng phân tán công suất của hai giai đoạn X và Y phải dưới 2 % hoặc dưới 1 W, bất cứ giá trị nào lớn hơn.
• Giai đoạn xả băng và phục hồi ban đầu gồm giai đoạn SS2 được coi như là giai đoạn xả băng và phục hồi hợp lệ theo Phụ lục C.
• Giá trị ΔEdf cho giai đoạn xả băng và phục hồi ban đầu bao gồm giai đoạn SS2 được xác định theo Phụ lục C.
Cài đặt bộ điều khiển nhiệt độ được giữ nguyên trong suốt giai đoạn thử nghiệm, được sử dụng để xác định giá trị SS2, bao gồm giai đoạn dùng để xác định năng lượng xả băng và phục hồi gia tăng (ΔEdf cho DF1) cụ thể trong Phụ lục C (bao gồm tất cả các giai đoạn X và Y).
Khi giai đoạn được chọn X và Y không tuân theo các tiêu chí ở trên, thời gian tối thiểu cho giai đoạn X và Y phải cùng tăng các bước của một chu kỳ điều khiển nhiệt độ (các bước trong 1 h không có chu kỳ điều khiển nhiệt độ hoặc lát cắt thời gian cố định được sử dụng) để xem có bất kỳ giai đoạn nào phù hợp không. Khi kích cỡ của X và Y được tăng lên, giá trị hợp lệ đầu tiên sử dụng chuỗi nêu trên được sử dụng. Độ dài của X và Y không vượt quá 50 % khoảng thời gian xả băng nghỉ xả băng hoặc 8 h, bất cứ giá trị nào lớn hơn.
Khi có nhiều hơn hai ngăn, việc đánh giá ổn định nhiệt độ như trình bày ở trên được yêu cầu cho:
• Ngăn không đông lớn nhất và ngăn đông lớn nhất;
• Hai ngăn lớn nhất (nếu tất cả các ngăn đều là đông hoặc không đông).
Ngoài ra, độ ổn định nhiệt độ phải đạt được như quy định nêu trên đối với tất cả các ngăn được sử dụng cho nội suy đối với tiêu thụ năng lượng theo Phụ lục E.
Trong một vài trường hợp hiếm có, không có vận hành ổn định giữa các lần xả băng nên không thể khẳng định tính hợp lệ của chu kỳ xả băng đầu tiên tại thời điểm bắt đầu SS2 theo Phụ lục C. Một cách tiếp cận khác trong trường hợp này được nêu trong Phụ lục K, nhưng chỉ sử dụng nếu không có cách nào thực hiện được theo Phụ lục C.
B.4.3 Trường hợp SS2, tính toán các giá trị
Nếu các tiêu chí ở B.4.2 được thỏa mãn, việc xác định công suất trạng thái ổn định và nhiệt độ ổn định ở mỗi ngăn được tính toán từ toàn bộ giai đoạn thử nghiệm sử dụng cho SS2 (bao gồm giai đoạn xả băng và phục hồi ban đầu) như trình bày trong công thức (12) và (13) ở bên dưới. Việc tính toán xác định tiêu thụ năng lượng cho toàn bộ chu kỳ điều khiển xả băng và trừ đi năng lượng xả băng và phục hồi gia tăng theo như Phụ lục X để xác định tiêu thụ công suất ổn định PSS2. Tương tự như vậy, nhiệt độ mỗi ngăn được xác định cho toàn bộ chu kỳ điều khiển xả băng và chênh lệch nhiệt độ tích lũy trong suốt giai đoạn xả băng và phục hồi ở mỗi ngăn (theo Phụ lục C) được trừ đi để xác định nhiệt độ ổn định ở mỗi ngăn TSS2-i.
Năng lượng tiêu thụ trung bình trong thời kỳ ổn định sẽ được tính trong toàn bộ giai đoạn thử nghiệm cho SS2 như sau:
![]()
trong đó:
Pss công suất ổn định đối với chu kỳ điều khiển nhiệt độ được chọn, đo bằng W
Eend-X năng lượng tích lũy, đọc tại thời điểm cuối giai đoạn X, đo bằng Wh
Eend-Y năng lượng tích lũy, đọc tại thời điểm cuối giai đoạn Y, đo bằng Wh
tend-x thời gian thử nghiệm tại điểm cuối của giai đoạn X, đo bằng h
tend-Y thời gian thử nghiệm tại điểm cuối của giai đoạn Y, đo bằng h
ΔEdf năng lượng xả băng và phục hồi gia tăng, đo bằng Wh theo Phụ lục C cho giai đoạn xả băng và phục hồi bắt đầu tại điểm kết thúc giai đoạn X.
Chiều dài của giai đoạn thử nghiệm được dùng (tend - tend-X) được báo cáo riêng biệt. Nếu có thể, giai đoạn xả băng tiếp sau giai đoạn Y phải được chú ý.
Công suất ổn định dùng cho việc tính toán năng lượng liên tiếp PSS được xác định bằng sự thay đổi giá trị PSS2 theo công thức B.5, khi mà nhiệt độ môi trường đo được không bằng nhiệt độ môi trường trong suốt quá trình thử nghiệm.
Nhiệt độ trung bình trong giai đoạn ổn định được tính toán từ toàn bộ giai đoạn thử nghiệm được dùng cho SS2 như sau:
![]()
trong đó:
Tss2-i nhiệt độ ổn định của ngăn i xảy ra trong toàn bộ giai đoạn thử nghiệm SS2, đo bằng °C
Tav-endX-endY-i nhiệt độ trung bình của ngăn i trong giai đoạn từ khi kết thúc giai đoạn X cho đến khi kết thúc giai đoạn Y, đo bằng °C
ΔThdf-i độ chênh nhiệt độ tích lũy theo thời gian trong mỗi ngăn i đo bằng Kh, được xác định theo phụ lục C cho giai đoạn xả băng và phục hồi bắt đầu tại điểm kết thúc giai đoạn X
tend-X thời gian thử nghiệm tại điểm cuối của giai đoạn X, đo bằng h
tend-Y thời gian thử nghiệm tại điểm cuối của giai đoạn Y, đo bằng h
Đối với các sản phẩm với bộ điều khiển xả băng theo thời gian chạy máy nén, thời gian chạy máy nén ổn định CRtSS được tính toán theo phần trăm thời gian mà máy nén hoạt động đối với toàn bộ chu kỳ điều khiển xả băng nhỏ hơn giá trị cho Δtdr xác định theo Phụ lục C như trình bày trong công thức (14):
![]()
trong đó:
CRtSS2 thời gian chạy máy nén trung bình khi ổn định, đo bằng %
Rtend-X tổng thời gian tích lũy chạy máy nén tại điểm cuối của giai đoạn X, đo bằng h
Rtend-Y tổng thời gian tích lũy chạy máy nén tại điểm cuối của giai đoạn Y, đo bằng h
Δtdr thời gian chạy máy nén tăng thêm liên quan tới xả băng và phục hồi theo Phụ lục C, đo bằng h
tend-X thời gian thử nghiệm tại điểm cuối của giai đoạn X, đo bằng h
tend-Y thời gian thử nghiệm tại điểm cuối của giai đoạn Y, đo bằng h
Cần chú ý, không cần đếm thời gian của bộ sưởi xả băng đúng giờ với máy nén trong các tính toán này (mặc dù có thể có một vài bộ điều khiển bao gồm cả bộ sưởi xả băng hoạt động theo thời gian chạy, mỗi sản phẩm cũng cần được kiểm tra xem nó được cấu hình thế nào).
B.5 Hiệu chỉnh công suất trạng thái ổn định
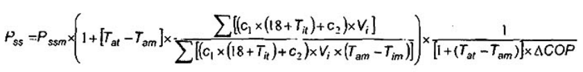
Công suất trạng thái ổn định được sử dụng cho việc tính toán năng lượng liên tiếp PSS dựa theo công suất ổn định đo được (B.3 và B.4 nếu áp dụng) sau khi điều chỉnh, sử dụng công thức (15) bên dưới. Điều chỉnh này có tính đến sự khác biệt giữa nhiệt độ môi trường đo được trong quá trình thử nghiệm và nhiệt độ môi trường thử nghiệm danh định.

trong đó:
PSSM công suất trạng thái ổn định ở giai đoạn nêu trong B.3 (cho PSS1) và B.4 (cho PSS2), tính bằng W
Tat nhiệt độ môi trường mục tiêu của phòng thử
Tam nhiệt độ môi trường đo được của phòng thử trong giai đoạn thử nghiệm
Vi dung tích định mức của ngăn thứ i (đánh số từ 1 đến n)
Tim nhiệt độ đo được của ngăn từ thứ i đến n trong giai đoạn thử nghiệm
Tit nhiệt độ mục tiêu cho tiêu thụ năng lượng ở ngăn thứ i (xem Bảng 1)
c1 hằng số, c1 = 0,011364
c2 hằng số, c2 = 1,25
ΔCOP điều chỉnh theo Bảng B.1 cho các loại sản phẩm và điều kiện thử nghiệm.
Tất cả các nhiệt độ đều được đo bằng °C.
Bảng B.1 - Điều chỉnh ΔCOP giả thiết
| Loại sản phẩm | Điều chỉnh ΔCOP tại 16 °C | Điều chỉnh ΔCOP tại 32 °C |
| Hai hoặc nhiều ngăn | Tăng 0,000 trên mỗi K | Tăng -0,014 trên mỗi K |
| Một ngăn | Tăng -0,004 trên mỗi K | Tăng - 0,019 trên mỗi K |
Công thức này không áp dụng cho các hiệu chỉnh bên ngoài dải nhiệt độ môi trường thử nghiệm cho phép được nêu trong IEC 62552-1:2015 (± 0,5 K). Hiệu chỉnh này chỉ được áp dụng cho công suất trạng thái ổn định. Không có hiệu chỉnh nào được áp dụng cho nhiệt độ đo được hoặc bất kỳ tính toán nào về xả băng và phục hồi theo Phụ lục C. Giá trị của dung tích được sử dụng trong công thức hiệu chỉnh là các giá trị định mức theo tiêu chuẩn này như được trình bày trong hướng dẫn hoặc tài liệu tham khảo của sản phẩm khác. Thông tin cụ thể về nguồn gốc của công thức này được nêu trong Phụ lục L.
Phụ lục C
(quy định)
Năng lượng xả băng và phục hồi và thay đổi nhiệt độ
C.1 Quy định chung
Phụ lục này nêu phương pháp được sử dụng để xác định năng lượng gia tăng liên quan đến giai đoạn xả băng và phục hồi xảy ra trong thiết bị lạnh với một hoặc nhiều chu kỳ xả băng. Phụ lục cũng nêu cụ thể việc xác định nhiệt độ thay đổi ở các ngăn liên quan tới các giai đoạn xả băng và phục hồi. Thông thường, các dữ liệu thử nghiệm cho các tính toán này được thu thập như một phần của thử nghiệm công suất trạng thái ổn định trong Phụ lục B. Mỗi giai đoạn xả băng và phục hồi đơn lẻ xảy ra bất kỳ lúc nào trong quá trình thử nghiệm có thể được dùng chừng nào nó đáp ứng được các tiêu chí hợp lệ liên quan. Nếu có hơn một hệ thống xả băng (với chu kỳ xả băng của nó), đặc điểm của mỗi hệ thống được xác định riêng rẽ (hoặc kết hợp với nhau, nếu có thể).
CHÚ THÍCH: Như hệ thống xả băng chu kỳ không có một chu kỳ điều khiển nhiệt độ, Phụ lục C chỉ có thể áp dụng với các ngăn và các thiết bị với hệ thống xả băng tự động, hơn là xả băng chu kỳ.
C.2 Thiết lập cho thử nghiệm và thu thập thông tin
Mục tiêu là đo và lựa chọn một số giai đoạn xả băng và phục hồi đại diện để xác định một giá trị đại diện cho năng lượng gia tăng liên quan tới xả băng và phục hồi (tăng hơn so với tiêu thụ công suất trạng thái ổn định) và thay đổi của nhiệt độ trung bình bên trong (đối với mỗi ngăn liên quan) tới xả băng và phục hồi (đối với nhiệt độ ổn định) ở mỗi nhiệt độ môi trường thử nghiệm.
Thiết bị lạnh khi thử nghiệm phải được sắp xếp và hoạt động theo Phụ lục A. Thời gian tích lũy của thiết bị lạnh khi thử nghiệm không được kết nối với nguồn điện lớn hơn 6 h trong 24 h trước khi xảy ra giai đoạn xả băng và phục hồi, các dữ liệu từ giai đoạn đó là không có giá trị và không được sử dụng để xác định giá trị đại diện của năng lượng xả băng và phục hồi gia tăng và thay đổi nhiệt độ theo Phụ lục C.
Để mô tả năng lượng gia tăng theo yêu cầu và thay đổi nhiệt độ trung bình trong một giai đoạn xả băng và phục hồi (tương ứng với điều kiện ổn định) tại mỗi nhiệt độ môi trường thử nghiệm, một số lượng cụ thể của giai đoạn xả băng và phục hồi đại diện được đo. Để được coi là đại diện thì công suất trạng thái ổn định và nhiệt độ trước và sau giai đoạn xả băng và phục hồi phải thỏa mãn độ ổn định liên quan hoặc các tiêu chí chấp nhận. Số lượng các giai đoạn xả băng và phục hồi đo được tại mỗi nhiệt độ môi trường được nêu trong Phụ lục này. Tối thiểu một giai đoạn xả băng và phục hồi được yêu cầu đối với mỗi điểm thử nghiệm dùng để xác định năng lượng cho mỗi điều kiện môi trường. Hoặc là yêu cầu ít nhất bốn giai đoạn xả băng và phục hồi và ít nhất một nửa trong tất cả giai đoạn xả băng và phục hồi phải có nhiệt độ ngắn nhất ở tại hoặc thấp hơn nhiệt độ mục tiêu đối với mỗi nhiệt độ môi trường.
Về mặt khái niệm, năng lượng gia tăng do xả băng và phục hồi ở trên và cao hơn đường tiêu thụ công suất ổn định cơ sở được xác định như minh họa trong hình C.1.
Trường hợp phổ biến được xem xét là DF1, khi mà thiết bị lạnh có thể biểu thị được hoạt động ổn định trước và sau giai đoạn xả băng và phục hồi.
Trong trường hợp hiếm gặp (DF2), khi không thể biểu thị được giai đoạn hoạt động ổn định trước và sau giai đoạn xả băng và phục hồi thì có thể sử dụng phương pháp luận được trình bày trong Phụ lục K.

Hình C.1 - Khái niệm về năng lượng gia tăng do giai đoạn xả băng và phục hồi
C.3 Trường hợp DF1: vận hành ổn định có thể được thiết lập bình thường trước và sau xả băng
C.3.1 Cách tiếp cận trường hợp DF1
Trường hợp DF1 là khi thiết bị lạnh hoạt động bình thường trong điều kiện ổn định trước khi xả băng và trở lại hoạt động ổn định một thời gian sau đó. Giai đoạn hoạt động ổn định xảy ra ở trước hay sau giai đoạn xả băng và phục hồi. Mỗi giai đoạn xả băng và phục hồi được kiểm tra riêng biệt. Cách tiếp cận này được sử dụng cho tất cả các loại thiết bị lạnh mà có một hay nhiều hơn ngăn với một hệ thống xả băng (với chu kỳ xả băng của nó).
Một giai đoạn hoạt động ổn định (gọi là giai đoạn D), kết thúc trước khi bắt đầu giai đoạn xả băng và phục hồi được lựa chọn để tối thiểu hóa kích cỡ có thể mà đáp ứng tiêu chí trình bày trong C.3.2. Một giai đoạn hoạt động ổn định khác (gọi là giai đoạn F), bắt đầu ngay khi kết thúc cùng giai đoạn xả băng và phục hồi trên được lựa chọn để tối thiểu hóa kích cỡ có thể mà đáp ứng tiêu chí trình bày trong C.3.2.
Với mục đích đánh giá tính hợp lệ trong C.3.2, trung tâm danh nghĩa của giai đoạn xả băng và phục hồi được định nghĩa là 2 h sau khi khởi động bộ sưởi xả băng, hoặc trong trường hợp không có bộ sưởi xả băng là sau khi hệ thống lạnh gián đoạn liên quan tới xả băng tự động. Điều này được minh họa trong hình C.2 - khoảng thời gian ΔtD1 và khoảng thời gian ΔtF1 là xấp xỉ nhau, nhưng sẽ biến đổi phụ thuộc vào thời gian chính xác của chu kỳ điều khiển xả băng được chọn (nếu có thể áp dụng) tại điểm cuối của giai đoạn D và điểm đầu của giai đoạn F.
CHÚ THÍCH: C.3.2 trình bày các trường hợp mà độ dài của giai đoạn D, F và thời gian ΔtD1 và ΔtF1 có thể được điều chỉnh để tìm ra giá trị đúng.

Hình C.2 - Trường hợp DF1 với hoạt động trạng thái ổn định trước và sau xả băng
Nhiệt độ trong mỗi ngăn và công suất ở giai đoạn D được so sánh với nhiệt độ trong mỗi ngăn và công suất ở giai đoạn F và đánh giá theo C.3.2
Cần phải chú ý rằng, công suất trung bình ở giai đoạn D sẽ không bao giờ bằng một cách chính xác với công suất trung bình tại giai đoạn F (như thể hiện phía trên trong hình C.2). Để khoảng cách của giai đoạn D và F bằng việc chia đều trung tâm của giai đoạn xả băng và phục hồi, công suất trung bình đối với giai đoạn D và F cung cấp một ước lượng hợp lý của đường công suất ổn định cơ sở trong giai đoạn xả băng và phục hồi. Phương pháp này cho phép đánh giá các giai đoạn xả băng và phục hồi đơn lẻ một cách riêng biệt, mà cho phép thử nghiệm nhanh và tiện lợi hơn.
Giới hạn hợp lệ nghiêm ngặt của chênh lệch giữa giai đoạn D và F được yêu cầu để đảm bảo sẽ không có thay đổi đáng kể nào trong hoạt động của sản phẩm trong giai đoạn đánh giá (trình bày trong C.3.2). Các thay đổi đó có thể do một dải các nguyên nhân như: thay đổi bộ điều khiển nhiệt độ thay đổi được trước giai đoạn D hoặc trước giai đoạn F, kể cả của một vài độ giảm nhiệt độ còn dư (bắt đầu từ nhiệt độ cao), một vài tải xử lý còn dư trong giai đoạn xả băng và phục hồi (và trong giai đoạn D), hoặc các thay đổi tự động trong hoạt động của sản phẩm (ví dụ: thay đổi bước của tốc độ biến tần, thay đổi hoạt động của bộ sưởi, độ lệch đáng kể nhiệt độ hoặc công suất, v.v có thể mang lại các giá trị khác đáng kể trong giai đoạn D và F). Ở trong tất cả các trường hợp này, các tiêu chí hợp lệ sẽ loại bỏ chính xác sự xả băng được chọn, do vậy nó không được sử dụng cho các tính toán năng lượng. Trong trường hợp này, thử nghiệm phải tiếp tục cho đến khi một giai đoạn xả băng và phục hồi khác được ghi lại.
Tính toán các đặc điểm sau giữa giai đoạn D và F:
• Khoảng phân tán nhiệt độ của mỗi ngăn: Tính toán dựa vào chênh lệch giữa nhiệt độ trung bình của giai đoạn ấm nhất (D và F) trừ đi nhiệt độ trung bình của giai đoạn lạnh nhất (D và F). Tất cả độ chênh (khoảng phân tán) nhiệt độ được đo bằng K. Xem công thức (16).
• Khoảng phân tán công suất: Tính toán dựa trên chênh lệch giữa công suất trung bình của giai đoạn có công suất cao hơn (D hoặc F) trừ đi công suất trung bình của giai đoạn có công suất thấp hơn (D hoặc F) chia cho công suất trung bình đối với giai đoạn D và F. Khoảng phân tán công suất được thể hiện bằng cả phần trăm và giá trị tuyệt đối (W). Xem công thức (17) và (18).
Khoảng phân tán nhiệt độ = Tmax(D,F) - Tmin(D,F) (K) (16)
Khoảng phân tán công suất =
(%) (17)
Khoảng phân tán công suất = Pmax(D,F) - Pmin(D,F) (W) (18)
trong đó với giai đoạn D và F:
T nhiệt độ
P công suất
% kết quả của phép chia (biểu diễn theo phần trăm, trong đó 1,0 = 100%).
C.3.2 Trường hợp DF1, các tiêu chí chấp nhận
Để chu kỳ xả băng và phục hồi hợp lệ, thì các tiêu chí sau phải được đáp ứng:
a) Giai đoạn D và F phải kéo dài không nhỏ hơn 3 chu kỳ điều khiển nhiệt độ (nếu có) và có cùng số chu kỳ điều khiển nhiệt độ trong cả hai giai đoạn. Nếu không có chu kỳ điều khiển nhiệt độ hoặc lát cắt thời gian cố định, giai đoạn D và F phải cùng độ dài.
b) Giai đoạn D và F không được ngắn hơn 3 h.
c) Giai đoạn D kết thúc không dưới 3 h trước điểm trung tâm của giai đoạn xả băng và phục hồi hiện thời (ΔtD1 ≥ 3 h).
d) Giai đoạn F bắt đầu không dưới 3 h trước điểm trung tâm của giai đoạn xả băng và phục hồi hiện thời (ΔtF1 ≥ 3 h).
e) Khoảng phân tán nhiệt độ của giai đoạn D và F nhỏ hơn 0.5 K cho mỗi ngăn.
f) Khoảng phân tán công suất của giai đoạn D và F nhỏ hơn 2 % hoặc nhỏ hơn 1 W, bất kể giá trị nào lớn hơn.
g) Tỷ lệ giữa tổng độ dài của giai đoạn D (tính theo h) so với tổng độ dài của giai đoạn F (tính theo h), nằm trong khoảng 0,8 tới 1,25 nếu có chu kỳ điều khiển nhiệt độ.
h) Bắt đầu bất kỳ giai đoạn D được chọn nào cũng không dưới 5 h sau khi khởi động bộ sưởi xả băng trước đó hoặc trong trường hợp không có bộ sưởi xả băng, không dưới 5 h sau khi gián đoạn hệ thống lạnh liên quan tới xả băng tự động.
i) Kết thúc của bất kỳ giai đoạn F được chọn nào không hình thành sau khi bắt đầu giai đoạn xả băng và phục hồi kế tiếp.
CHÚ THÍCH: Trong trường hợp này, khoảng phân tán là sự chênh lệch giá trị trung bình của giai đoạn D và F. Xem B.3.1 để biết thông tin thêm về thuật ngữ này.
Nếu giai đoạn D và giai đoạn F được chọn không đáp ứng được các tiêu chí nêu trên, độ dài tối thiểu của giai đoạn D và F cùng tăng theo các bước của 1 chu kỳ điều khiển nhiệt độ (bước 1 h là khi không có chu kỳ điều khiển nhiệt độ hoặc sử dụng lát cắt thời gian cố định) để xem liệu có các giai đoạn có thể đáp ứng được ΔtD1 và tF1, được đặt thấp nhất là 3 h hay không.
Nếu không thể tìm được giai đoạn D và F (ví dụ, vì giai đoạn xả băng và phục hồi dài) thì kích cỡ nhỏ nhất của khoảng thời gian ΔtD1 và ΔtF1 (xem điểm c) và d) ở trên) tăng 30 min mỗi bước, và tính hợp lệ cho sự thay đổi kích cỡ của giai đoạn D và F được đánh giá lại đối với mỗi lần tăng như vậy.
Nếu độ dài của D và F được tăng lên hoặc độ dài của ΔtD1 và ΔtF1 cũng tăng thì giá trị hợp lệ đầu tiên sử dụng chuỗi mô tả ở trên phải được sử dụng.
Nếu không có lựa chọn cho giai đoạn D và F được tìm thấy mà sử dụng chuỗi ở trên, khoảng cách từ khi khởi động bộ sưởi xả băng hoặc trong trường hợp không có bộ sưởi xả băng sau khi gián đoạn hệ thống lạnh do xả băng tự động, đến điểm trung tâm của giai đoạn xả băng và phục hồi có thể được điều chỉnh theo giá trị mặc định là 2 h. Giá trị được điều chỉnh không nhỏ hơn 1 h và không lớn hơn 4 h và là bội số của 30 min.
VÍ DỤ: Nếu khoảng cách từ khi bắt đầu một giai đoạn xả băng và phục hồi đến điểm trung tâm của giai đoạn này được đặt là 3 h để đạt được dữ liệu phù hợp (vì giai đoạn xả băng và phục hồi dài) thì giai đoạn xả băng và phục hồi được coi là bắt đầu cùng thời gian như trước đó, nhưng điểm trung tâm của giai đoạn xả băng và phục hồi được đặt sau đó 1 h.
Các tham số phi tiêu chuẩn được sử dụng để lựa chọn giai đoạn D và F (nghĩa là, chúng thay đổi theo các yêu cầu được nêu trong C.3.1), điều đó được trình bày trong báo cáo thử nghiệm.
Nếu có hai hoặc nhiều ngăn, việc đánh giá độ ổn định nhiệt độ của ngăn như trình bày ở trên được yêu cầu cho:
• Ngăn không đông và ngăn đông lớn nhất (nếu có thể áp dụng)
• Hai ngăn lớn nhất (nếu tất cả các ngăn là đông hoặc không đông).
Trong trường hợp không có vận hành ổn định giữa các lần xả băng, không thể khẳng định tính hợp lệ của giai đoạn xả băng và phục hồi bằng cách kiểm tra vị trí đối xứng của giai đoạn D và F. Một cách tiếp cận khác (DF2) để giải quyết các trường hợp như thế này được nêu ở Phụ lục K, nhưng chỉ được dùng nếu các điều kiện ở Điều C.3 không thể đạt được một cách bình thường.
C.3.3 Trường hợp DF1, tính toán các giá trị
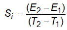
Nếu các tiêu chí trong C.3.2 được thỏa mãn, việc xác định năng lượng tăng thêm do mỗi giai đoạn xả băng và phục hồi được tính toán như sau:
![]()
trong đó:
ΔEdf năng lượng tiêu hao tăng thêm bởi thiết bị lạnh cho giai đoạn xả băng và phục hồi thứ j, đo bằng Wh
Estart-D năng lượng tích lũy tại thời điểm bắt đầu giai đoạn D, đo bằng Wh
Eend năng lượng tích lũy tại thời điểm kết thúc giai đoạn F, đo bằng Wh
PSS-D công suất tiêu thụ trung bình cho giai đoạn D, đo bằng W
PSS-F công suất tiêu thụ trung bình cho giai đoạn F, đo bằng W
tstart-D thời gian thử nghiệm tại thời điểm bắt đầu giai đoạn D, đo bằng h
tend-F thời gian thử nghiệm tại thời điểm kết thúc giai đoạn F, đo bằng h
CHÚ THÍCH: Trong phương trình trên, công suất cho giai đoạn D và giai đoạn F là giá trị trung bình. Thời gian trung bình cho cả hai giai đoạn không được sử dụng.
Xác định nhiệt độ thay đổi ở mỗi ngăn do chu kỳ xả băng j được tính toán như sau:
![]()
trong đó:
ΔThdfj-i độ chênh lệch nhiệt độ tích lũy theo thời gian ở ngăn thứ i (ngăn được đánh số từ 1 đến n), liên quan tới giai đoạn xả băng và phục hồi, đo bằng Kh (chú ý rằng, giá trị này có thể là dương hay âm) cho giai đoạn xả băng và phục hồi thứ j
Tav-scartD-end nhiệt độ trung bình có điều chỉnh thời gian của ngăn thứ i theo giai đoạn từ khi bắt đầu giai đoạn D cho tới khi kết thúc giai đoạn F, đo bằng °C (bao gồm cả các ảnh hưởng nhiệt độ trong giai đoạn xả băng và phục hồi)
Tav-D-i nhiệt độ trung bình trong ngăn thứ i xảy ra trong giai đoạn D, đo bằng °C
Tav-F-i nhiệt độ trung bình trong ngăn thứ i xảy ra trong giai đoạn D, đo bằng °C
tstart-D thời gian thử nghiệm tại điểm bắt đầu giai đoạn D, đo bằng h
tend-F thời gian thử nghiệm tại điểm kết thúc giai đoạn F, đo bằng h.
Đối với các sản phẩm có một bộ điều khiển xả băng theo thời gian chạy máy nén, thời gian chạy thêm của máy nén do quá trình xả băng và phục hồi thứ j (theo hoặc trên đường thời gian chạy ổn định), đo bằng h, được tính như sau:
![]()
trong đó:
Δtdrj thời gian chạy thêm của máy nén do giai đoạn xả băng và phục hồi thứ j, đo bằng h (theo hoặc trên đường thời gian chạy máy nén ổn định)
Rtstart-D tổng thời gian chạy máy nén tích lũy tại điểm bắt đầu giai đoạn D, đo bằng h
Rtstart tổng thời gian chạy máy nén tích lũy tại điểm bắt đầu giai đoạn F, đo bằng h
Rtend-D tổng thời gian chạy máy nén tích lũy tại điểm kết thúc giai đoạn D, đo bằng h
Rtend-F tổng thời gian chạy máy nén tích lũy tại điểm kết thúc giai đoạn F, đo bằng h
tstart-D thời gian thử nghiệm tại điểm bắt đầu giai đoạn D, đo bằng h
tstart-E thời gian thử nghiệm tại điểm bắt đầu giai đoạn F, đo bằng h
tend-D thời gian thử nghiệm tại điểm kết thúc giai đoạn D, đo bằng h
tend-F thời gian thử nghiệm tại điểm kết thúc giai đoạn F, đo bằng h.
Cần chú ý, không cần đếm thời gian của bộ sưởi xả băng đúng giờ với máy nén trong các tính toán này (mặc dù có thể một số bộ điều khiển bao gồm hoạt động của bộ sưởi xả băng như thời gian chạy - mỗi sản phẩm cần được kiểm tra xem nó được cấu hình như thế nào). Giá trị của Δtdr có thể bằng không hoặc âm đối với các phẩm chạy liên tục.
C.4 Số lượng các giai đoạn xả băng và phục hồi hợp lệ
Trong trường hợp DF1 và DF2, số lượng tối thiểu các giai đoạn xả băng và phục hồi hợp lệ theo yêu cầu cho mỗi nhiệt độ môi trường nhằm tính toán giá trị đại diện cho năng lượng xả băng và phục hồi và thay đổi nhiệt độ được nêu dưới đây:
Lựa chọn 1: Giá trị hợp lệ của ΔEdf được xác định cho mỗi cài đặt bộ điều khiển nhiệt độ dùng cho việc xác định năng lượng trên một thiết bị đơn chiếc theo 6.8.2 và 6.8.3. Giai đoạn xả băng và phục hồi được chọn cho mỗi cài đặt bộ điều khiển nhiệt độ liền kề với giai đoạn ổn định dùng cho việc xác định năng lượng theo Phụ lục B (điều này có thể xảy ra trước hoặc sau giai đoạn ổn định đối với trường hợp SS1, có thể ở trước giai đoạn ổn định đối với trường hợp SS2). Giá trị đại diện của ΔEdf cho thiết bị là trung bình của tất cả các giá trị hợp lệ đối với điểm thử được sử dụng cho việc xác định năng lượng.
Lựa chọn 2: Khi có nhiều dữ liệu lớn hơn cho một mô hình cụ thể (hoặc là qua thời gian thử nghiệm dài hơn và thử nghiệm trên các thiết bị khác nhau của cùng một mô hình), giá trị đại diện ΔEdf cho thiết bị là trung bình của ít nhất 4 giá trị hợp lệ. Trong trường hợp này, ít nhất 50% của tất cả các giá trị ΔEdf phải có ngăn nhất bằng hoặc thấp hơn nhiệt độ mục tiêu. Một giá trị riêng ΔEdf phải được xác định cho mỗi nhiệt độ môi trường.
Tùy vào các quy định và yêu cầu của địa phương (vùng) mà lựa chọn 1 hay 2 được sử dụng.
C.5 Tính toán năng lượng và nhiệt độ xả băng đại diện
Tính toán giá trị đại diện đối với năng lượng và thay đổi nhiệt độ do giai đoạn xả băng và phục hồi được cho theo các công thức sau:
![]()
trong đó:
ΔEdf năng lượng gia tăng đại diện cho xả băng và phục hồi đối với nhiệt độ môi trường thử nghiệm
m số lượng giai đoạn xả băng và phục hồi được nêu trong C.4
ΔEdfj năng lượng gia tăng cho mỗi giai đoạn xả băng và phục hồi thứ j (đánh số từ 1 đến m)
![]()
trong đó:
ΔThdf-i độ chênh nhiệt độ đại diện cho xả băng và phục hồi ở ngăn thứ i (từ 1 đến n) cho mỗi nhiệt độ môi trường thử nghiệm
m số lượng giai đoạn xả băng và phục hồi được nêu trong C.4
ΔThdfj-i độ chênh nhiệt độ tích lũy theo thời gian cho mỗi giai đoạn xả băng và phục hồi thứ j (từ 1 đến m) trong ngăn thứ i (từ 1 đến n)
Đối với các sản phẩm với một bộ điều khiển xả băng theo thời gian chạy máy nén, thời gian chạy thêm máy nén đại diện do giai đoạn xả băng và phục hồi được tính như sau:
![]()
trong đó:
Δtdr thời gian chạy thêm máy nén đại diện liên quan tới giai đoạn xả băng và phục hồi đối với nhiệt độ môi trường thử nghiệm
m số lượng giai đoạn xả băng và phục hồi được nêu trong C.4
Δtdrj thời gian chạy thêm máy nén do giai đoạn xả băng và phục hồi thứ j (từ 1 đến m).
Phụ lục D
(quy định)
Khoảng thời gian xả băng
D.1 Quy định chung
Phụ lục này quy định phương pháp cần sử dụng để xác định khoảng thời gian xả băng cho thiết bị lạnh khi có một hoặc nhiều chu kỳ điều khiển xả băng.
Ba kiểu chính của bộ điều khiển xả băng như sau:
• Thời gian: Khoảng thời gian xả băng không phụ thuộc nhiều vào điều kiện xung quanh hoặc tải của hệ thống lạnh. Kiểu này không phổ biến và được điều khiển bằng cơ khí hoặc điện tử.
• Thời gian chạy máy nén: Khoảng thời gian xả băng phụ thuộc vào số giờ hoạt động của máy nén (nghĩa là, một lượng tải tương ứng trong hệ thống lạnh). Các kiểu này phổ biến tương đối và điều khiển thường là cơ khí và chỉ hoạt động hiệu quả khi sử dụng một máy nén tốc độ đơn.
• Có thể điều chỉnh: Khoảng thời gian xả băng được điều chỉnh trong sử dụng bình thường bằng quá trình tự động mà sử dụng một điều kiện vận hành có thể điều chỉnh, ngoài hoặc thêm với thời gian hoặc thời gian chạy máy nén để phù hợp hơn với tải băng sinh ra trên thiết bị bay hơi trong sử dụng bình thường. Hiện nay, kiểu này là phổ biến và thường được điều khiển bằng điện tử.
CHÚ THÍCH: Một bộ điều khiển xả băng mà đo trực tiếp tải băng trên thiết bị bay hơi được phân loại là bộ điều khiển xả băng có thể điều chỉnh.
Mục tiêu của phụ lục này là thiết lập nền tảng cho hoạt động của điều khiển xả băng và sau đó xác định một khoảng thời gian xả băng đại diện cho mỗi nhiệt độ môi trường. Trong trường hợp bộ điều khiển thời gian chạy máy nén, khoảng thời gian xả băng bị tác động một phần bởi cài đặt bộ điều khiển nhiệt độ khi thử nghiệm tại một nhiệt độ môi trường cụ thể. Giá trị được xác định theo phụ lục này được sử dụng để xác định tiêu thụ năng lượng theo Điều 6.
D.2 Bộ điều khiển xả băng theo thời gian
Đối với các bộ điều khiển này, khoảng thời gian xả băng giữ tương đối cố định (theo h) trong một dải rộng các điều kiện hoạt động. Trong khi kiểu điều khiển này là không phổ biến thì chúng vẫn được tìm thấy ở một vài thị trường. Trong đa số trường hợp, khoảng thời gian xả băng là nhỏ hơn 24 h.
Nếu bộ điều khiển xả băng theo thời gian là dễ dàng sử dụng, việc đo trực tiếp có thể tiến hành để xác định được giá trị thời gian thực tế của bộ điều khiển. Các thử nghiệm chấp nhận được để xác định trực tiếp giai đoạn của bộ điều khiển xả băng theo thời gian bao gồm:
• Đo trực tiếp hoạt động của bộ điều khiển trong sản phẩm (ví dụ, đo thời gian có điện áp)
• Hoạt động của bộ điều khiển thời gian chạy trên dải khi được tháo ra khỏi sản phẩm.
Giá trị được đánh dấu trên bộ điều khiển thời gian có thể không liên quan, ví dụ nếu một thiết bị điều khiển được ấn định ở 60 Hz và sản phẩm lại hoạt động ở 50 Hz. Bộ điều khiển thời gian của cùng giá trị danh định có thể thay đổi, nhưng nói chung, chúng là một động cơ đồng bộ mà hoạt động trong một tần số chính, mỗi bộ điều khiển là rất nhất quán một khi khoảng thời gian được xác định.
Nếu bộ điều khiển thời gian không sử dụng được (hay không rõ nó có phải là bộ điều khiển thời gian hay không) hoặc phòng thí nghiệm không thể đo trực tiếp được hoạt động của bộ điều khiển, giá trị được ước lượng bởi thử nghiệm như trình bày dưới đây. Dữ liệu đầy đủ được thu thập trong các thử nghiệm ở Phụ lục B và C nhằm thiết lập khoảng thời gian xả băng trung bình đại diện như dưới đây. Ban đầu, khoảng thời gian xả băng được xác định cho điều kiện thử nghiệm đơn lẻ mà có thể thực hiện tại bất kỳ nhiệt độ môi trường và cài đặt bộ điều khiển nhiệt độ nào. Sau đó, tối thiểu hai khoảng thời gian xả băng thêm vào được xác định tại các nhiệt độ môi trường và cài đặt bộ điều khiển nhiệt độ khác. Các giá trị đối với ít nhất ba khoảng thời gian xả băng phải được xác định với tối thiểu một giá trị ở nhiệt độ môi trường là 16 °C và một giá trị ở nhiệt độ môi trường là 32 °C.
Không kể thời gian của bộ điều khiển thời gian được đo trực tiếp hay được xác định thông qua thử nghiệm toàn bộ sản phẩm, một vài thử nghiệm thêm nên được tiến hành tại các nhiệt độ môi trường và cài đặt bộ điều khiển nhiệt độ khác. Trong suốt các thử nghiệm này, thiết bị lạnh có thể phụ thuộc vào một số người sử dụng liên quan đến tải như mở cửa và các tải xử lý nhỏ trong các thử nghiệm này. Khoảng thời gian xả băng quan sát là đồng nhất với thời gian đo được, còn không thì nó được phân loại như một bộ điều khiển xả băng điều chỉnh được.
CHÚ THÍCH 1: Các thử nghiệm này là để kiểm tra xem bộ điều khiển thời gian có bị chồng lấn bởi các cơ chế điều khiển khác trong điều kiện sử dụng bình thường hay không.
Để xét khả năng một bộ điều khiển thời gian trôi qua, hệ số biến thiên (sai lệch chuẩn chia cho trung bình) của tất cả khoảng thời gian xả băng đo được phải nhỏ hơn 10% đối với ba hoặc nhiều hơn khoảng thời gian xả băng được xác định. Nếu sản phẩm không thỏa mãn yêu cầu này, nó được phân loại như là một bộ điều khiển xả băng có thể điều chỉnh.
Cần lưu ý việc xác định xem bộ điều khiển thời gian có ưu điểm hay không khi mà bộ sưởi xả băng được kích hoạt - điều này có thể phụ thuộc vào việc thiết kế sản phẩm riêng lẻ.
CHÚ THÍCH 2: Cùng các bộ đếm thời gian có thể sử dụng như bộ điều khiển thời gian chạy máy nén hoặc như bộ điều khiển thời gian trôi qua, phụ thuộc vào việc chúng được cấu hình như thế nào trong thiết bị lạnh.
D.3 Bộ điều khiển xả băng theo thời gian chạy máy nén
Đối với các bộ điều khiển này, khoảng thời gian xả băng được định nghĩa bằng thời gian chạy máy nén một mình (hoặc một số trường hợp thời gian chạy máy nén cộng với thời gian vận hành bộ sưởi xả băng). Đối với thiết bị điều khiển này, một máy nén tốc độ đơn được sử dụng. Vì thế, khoảng thời gian xả băng tỷ lệ nghịch xấp xỉ với tổng tải nhiệt của hệ thống lạnh (nhiệt độ môi trường và tải do người sử dụng). Bộ điều khiển xả băng theo thời gian xả băng phổ biến nhất nằm trong dải từ 6 h đến 12 h chạy máy nén (điều này dẫn tới khoảng thời gian xả băng hợp lệ là từ 12 h tới 30 h (thời gian trôi qua) tại nhiệt độ môi trường và dài hơn một chút tại nhiệt độ môi trường thấp hơn).
Nếu bộ điều khiển thời gian chạy có thể sử dụng được, việc đo trực tiếp có thể được tiến hành để xác định giá trị thời gian thực tế của bộ điều khiển. Các thử nghiệm có thể chấp nhận được để xác định trực tiếp giai đoạn của bộ điều khiển xả băng theo thời gian chạy bao gồm:
• Đo trực tiếp hoạt động của bộ điều khiển trên sản phẩm (ví dụ, đo thời gian mà có điện áp)
• Vận hành bộ điều khiển thời gian chạy ngay trên dải khi được tháo khỏi sản phẩm.
Giá trị được đánh dấu trên bộ điều khiển thời gian chạy máy nén có thể không liên quan, ví dụ nếu một thiết bị điều khiển được ấn định ở 60 Hz và sản phẩm lại hoạt động ở 50 Hz. Bộ điều khiển thời gian chạy của cùng giá trị danh định có thể thay đổi, nhưng nói chung, chúng là một động cơ đồng bộ mà hoạt động trong một tần số chính, mỗi bộ điều khiển là rất nhất quán một khi khoảng thời gian được xác định.
CHÚ THÍCH 1: Bộ đếm thời gian có thể được sử dụng như bộ điều khiển thời gian chạy máy nén hoặc là như bộ điều khiển thời gian trôi qua, phụ thuộc vào việc chúng được cấu hình như thế nào trong thiết bị lạnh.
Nếu bộ điều khiển thời gian chạy không thể sử dụng được (hoặc không rõ bộ điều khiển có phải là bộ điều khiển thời gian chạy hay không) hoặc phòng thí nghiệm không thể đo trực tiếp hoạt động của bộ điều khiển, giá trị được ước lượng bằng thử nghiệm trình bày dưới đây.
Các thử nghiệm được tiến hành qua toàn bộ một chu kỳ điều khiển xả băng, ít nhất một thử nghiệm tại nhiệt độ môi trường để xác minh đó là bộ điều khiển thời gian chạy và ước lượng giá trị của Δtrt. Giai đoạn được chọn phải đảm bảo các yêu cầu sau:
• Lần xả băng đầu tiên được đáp ứng như một lần xả băng hợp lệ đã nêu trong C.3
• Giai đoạn thử nghiệm bao gồm ít nhất một phần của giai đoạn xả băng và phục hồi tiếp theo mà được thiết lập tự động không có bất kỳ sự can thiệp nào
• Cài đặt bộ điều khiển nhiệt độ không được thay đổi trong suốt giai đoạn thử nghiệm
• Thiết bị không được phụ thuộc vào bất kỳ tải xử lý nào hoặc mở cửa trong giai đoạn thử nghiệm.
Thời gian chạy ước lượng của bộ điều khiển thời gian chạy máy nén cho một bộ dữ liệu thử nghiệm mà đáp ứng các yêu cầu này được tính như sau:
Δtrtj = Δtcrtj + Δtdhj (25)
trong đó:
Δtrtj thời gian chạy ước lượng của bộ điều khiển xả băng theo thời gian chạy máy nén cho giai đoạn thử nghiệm bắt đầu với giai đoạn xả băng và phục hồi thứ j, đo bằng h
Δtcrtj thời gian chạy đo được của máy nén từ khi bắt đầu giai đoạn xả băng và phục hồi thứ j cho tới khi bắt đầu giai đoạn xả băng và phục hồi thứ j + 1, đo bằng h
Δtdhj nếu bộ đếm thời gian nâng lên trong giai đoạn xả băng và phục hồi thứ j thì thời gian từ khi máy nén dừng cho đến khi nó khởi động lại trong giai đoạn xả băng và phục hồi; nếu bộ đếm thời gian không nâng lên trong giai đoạn xả băng và phục hồi, giá trị sẽ bằng 0.
Cần lưu ý để xác định xem có cần bộ điều khiển thời gian chạy máy nén nâng lên hay không trong khi bộ sưởi xả băng được kích hoạt - điều này có thể tùy thuộc vào thiết kế sản phẩm đơn lẻ. Nếu bộ điều khiển có thể tiếp cận được, có thể kiểm tra bằng cách đo điện áp tại động cơ của bộ điều khiển thời gian chạy khi bộ sưởi xả băng hoạt động.
Không kể đến thời gian chạy của bộ điều khiển thời gian chạy máy nén được đo trực tiếp hay được xác định thông qua toàn bộ một thử nghiệm sản phẩm, một số thử nghiệm phụ nên được tiến hành tại các nhiệt độ xung quanh và/hoặc cài đặt bộ điều nhiệt độ khác nhau. Trong các thử nghiệm này, thiết bị lạnh có thể phụ thuộc vào tải liên quan đến người sử dụng, như là cửa mở và các tải xử lý nhỏ trong các thử nghiệm này. Khoảng thời gian xả băng quan sát được là đồng nhất với thời gian chạy đo được, nếu không nó được phân loại như là bộ điều khiển xả băng có thể điều chỉnh.
CHÚ THÍCH 2: Các thử nghiệm này nhằm phát hiện xem bộ điều khiển thời gian chạy có bị chồng lấn bởi một số cơ chế điều khiển khác trong các điều kiện sử dụng bình thường hay không.
Khi giá trị của thời gian chạy của bộ điều khiển xả băng theo thời gian chạy máy nén được đo trực tiếp, giá trị đo được của Δtrt được sử dụng trong các tính toán tiếp theo.
Nếu không, để công nhận một bộ điều khiển xả băng theo thời gian chạy máy nén, hệ số biến thiên (sai lệch chuẩn chia cho trung bình) của các giá trị ước lượng đối với thời gian chạy máy nén Δtrtj phải nhỏ hơn 10% đối với khoảng thời gian xả băng được xác định. Nếu sản phẩm không thỏa mãn yêu cầu này, nó được phân loại như là một bộ điều khiển xả băng có thể điều chỉnh. Khi thời gian chạy được ước lượng, giá trị Δtrt sử dụng trong các tính toán tiếp theo là trung bình của tất cả các giá trị đo được.
Một khi được xác nhận, giá trị này có thể được sử dụng để tính toán khoảng thời gian xả băng cho bất kỳ cài đặt bộ điều khiển nhiệt độ và điều kiện xử lý tải, như một hàm số của thời gian chạy máy nén. Đối với tất cả các thiết bị lạnh có bộ điều khiển xả băng theo thời gian chạy máy nén, phần trăm thời gian chạy được báo cáo cho điều kiện hoạt động ổn định theo Phụ lục B và thời gian chạy máy nén thêm (đo bằng h) được tính toán đối với giai đoạn xả băng và phục hồi (trong Phụ lục C).
Khoảng thời gian xả băng cho mỗi điều kiện thử nghiệm và cài đặt bộ điều khiển nhiệt độ được tính toán như sau:
![]()
trong đó:
Δtdf khoảng thời gian xả băng ước lượng (thời gian trôi qua) cho mỗi cài đặt bộ điều khiển nhiệt độ và nhiệt độ môi trường trong thử nghiệm, bao gồm ảnh hưởng của xả băng và phục hồi, đo bằng h
Δtrt thời gian chạy được thông báo, đo hoặc ước lượng của bộ điều khiển xả băng theo thời gian chạy máy nén, đo bằng h
CRtSS thời gian chạy của máy nén (theo phần trăm) trong quá trình hoạt động ổn định cho mỗi cài đặt bộ điều khiển nhiệt độ và nhiệt độ môi trường khi thử nghiệm như được xác định trong B.3.3 và B.4.3
Δtdr thời gian chạy máy nén tăng thêm đại diện (đo bằng h) cho xả băng và phục hồi theo Phụ lục C (điều C.5)
Δtdh bộ sưởi xả băng đại diện (đo bằng h) trong giai đoạn xả băng và phục hồi mà bộ đếm thời gian nâng lên khi bộ sưởi xả băng hoạt động, nếu không thì giá trị này bằng 0
Δtdxy bằng với Δtdh khi giá trị này lớn hơn 0, nếu không thì thời gian đóng máy nén đại diện trong một giai đoạn xả băng và phục hồi.
D.4 Bộ điều khiển xả băng có thể điều chỉnh
D.4.1 Quy định chung
Với kiểu điều khiển này, khoảng thời gian xả băng thay đổi tỷ lệ với tải băng trên thiết bị bay hơi. Hầu hết các hệ thống không đo được trực tiếp tải băng trên thiết bị bay hơi (dù điều này là có thể), nên kiểu này của hệ thống thường được điều khiển bằng phần mềm sử dụng một số các tham số để đánh giá gián tiếp tải băng và điều chỉnh khoảng thời gian xả băng dần dần. Sau khi bộ sưởi xả băng hoạt động, hệ thống xem lại các tham số liên quan của giai đoạn sử dụng trước và điều chỉnh khoảng thời gian xả băng tiếp theo, nếu yêu cầu, để tối ưu hóa chúng và tối thiểu năng lượng tăng thêm cho quá trình xả băng. Do đó, sản phẩm phải trải qua một trình tự tiếp thu trong suốt thử nghiệm mà dần dần điều chỉnh lại khoảng thời gian xả băng.
Mục tiêu của mục D.4 là ước lượng khoảng thời gian xả băng đại diện trong quá trình sử dụng bình thường dựa vào một dải các tham số được công bố bởi nhà cung cấp.
Sự điều khiển xả băng có thể điều chỉnh cần có một dải các khoảng thời gian xả băng mà thể hiện được lượng băng tạo thành trên thiết bị bay hơi. Nếu khoảng thời gian xả băng quá ngắn thì năng lượng bị lãng phí. Nếu khoảng thời gian này quá dài, hệ thống có thể tăng năng lượng tiêu thụ do truyền nhiệt kém trên thiết bị bay hơi bị đọng nhiều băng và có các vấn đề về phá băng ra khỏi thiết bị bay hơi, dẫn đến bị tích đá trong thời gian dài và làm suy giảm hiệu suất.
Đối với một sản phẩm có bộ điều khiển có thể điều chỉnh theo tiêu chuẩn, khoảng thời gian xả băng thay đổi theo các giá trị một liên tục (hoặc số lượng các bước được bố trí hợp lý) mà thể hiện tải băng trên thiết bị bay hơi khi phụ thuộc vào các hành động liên quan đến sử dụng bình thường, phụ thuộc vào bất kỳ quá trình tiếp thu nào cho bộ điều khiển xả băng có thể điều chỉnh.
Xả băng có thể điều chỉnh là một thuật ngữ đã được định nghĩa trong tiêu chuẩn này. Các sản phẩm với các điều khiển xả băng thể hiện các đặc tính khác biệt đáng kể trong sử dụng bình thường dưới điều kiện thử nghiệm so sánh được có thể xem xét để có các thiết bị gây nhiễu.
D.4.2 Bộ điều khiển xả băng có thể điều chỉnh - khoảng thời gian xả băng được công bố
Theo tiêu chuẩn này, khoảng thời gian xả băng của kiểu của bộ điều khiển này được căn cứ trên một tính toán là một hàm của khoảng thời gian xả băng ngắn nhất và lớn nhất có thể được công bố tại một nhiệt độ môi trường là 32 °C.
Khoảng thời gian xả băng cho hệ thống xả băng có thể điều chỉnh được tính theo công thức:
![]()
trong đó:
Δtdf32 khoảng thời gian xả băng tại nhiệt độ môi trường là 32 °C
Δtd-max khoảng thời gian xả băng lớn nhất có thể tại nhiệt độ môi trường là 32 °C như công bố bởi nhà chế tạo, đo bằng h
Δtd-min khoảng thời gian xả băng nhỏ nhất có thể tại nhiệt độ môi trường là 32 °C như công bố bởi nhà chế tạo, đo bằng h
Các giới hạn sau đây được đặt trong đầu vào thay đổi Δtd-max và Δtd-min, bất kể các chỉ dẫn:
Δtd-min thường lớn hơn 6 h và không vượt quá 12 h tại nhiệt độ môi trường là 32 °C (theo thời gian)
Δtd-max không vượt quá 96 h tại nhiệt độ môi trường là 32 °C (theo thời gian). Δtd-max phải lớn hơn Δtd-min tại nhiệt độ môi trường là 32 °C.
Cơ sở để xác định mức khoảng thời gian xả băng nhỏ nhất có thể Δtd-min là khoảng thời gian xả băng ngắn nhất ghi nhận được trong điều khiển sử dụng nhiều (nặng) nhất (ví dụ, tải nhiều, mở cửa thường xuyên và độ ẩm cao) tại nhiệt độ môi trường là 32 °C. Các thử nghiệm trong điều kiện nặng nhất để xác định giá trị được công bố có thể được tiến hành. Giá trị công bố đối với khoảng thời gian xả băng lớn nhất Δtd-max đạt được trong điều kiện thử nghiệm của tất cả nhiệt độ các ngăn bằng hoặc thấp hơn nhiệt độ mục tiêu ở trạng thái ổn định (xem Phụ lục B) tại nhiệt độ môi trường là 32 °C. Nhà chế tạo phải nêu cụ thể các điều kiện đặc biệt yêu cầu để đạt được các giá trị công bố.
Thử nghiệm tại nhiệt độ môi trường khác và với một vài tải xử lý (ví dụ, mở cửa) được tiến hành để xác minh rằng bộ điều khiển xả băng hoạt động với các giá trị liên tục, hoặc một số lượng đáng kể các bước được bố trí hợp lý.
Giá trị của Δtdf16 ở nhiệt độ môi trường là 16 °C phải gấp đôi giá trị của Δtdf32.
D.4.3 Bộ điều khiển xả băng có thể điều chỉnh - khoảng thời gian xả băng không được công bố (xả băng theo nhu cầu)
Khi một hệ thống là xả băng có thể điều chỉnh nhưng không có giá trị của Δtd-max và Δtd-min được công bố bởi nhà chế tạo, bởi vì bộ điều khiển xả băng có một dạng của xả băng theo nhu cầu mà có thể đo trực tiếp độ dày lớp băng trên thiết bị bay hơi thì các giá trị mặc định là:
Δtd-min là 6 h tại nhiệt độ môi trường là 32 °C (thời gian trôi qua)
Δtd-max là 96 h tại nhiệt độ môi trường là 32 °C (thời gian trôi qua).
Điều này cho giá trị mặc định của Δtdf32 là 24 h và Δtdf16 là 48 h theo công thức (27) và D.4.2 đối với các bộ điều khiển xả băng có thể điều chỉnh mà là kiểu xả băng theo nhu cầu.
CHÚ THÍCH: Quy trình tính toán này được dùng ngay cả khi hệ thống bắt đầu hình thành một lần xả băng trên lượng băng được tạo thành trên thiết bị bay hơi (hơn là việc sử dụng một thuật toán thời gian).
Để được coi là một hệ thống xả băng theo nhu cầu, bộ điều khiển xả băng phải hoạt động theo các khoảng thời gian xả băng liên tục tương ứng với thay đổi tải băng. Để sử dụng được các giá trị này, nhà cung cấp được yêu cầu cung cấp thông tin kỹ thuật về việc vận hành hệ thống xả băng theo nhu cầu.
D.4.4 Bộ điều khiển xả băng có thể điều chỉnh - không phù hợp
Một hệ thống là xả băng có thể điều chỉnh về mặt danh nghĩa, nhưng:
• Không có giá trị của Δtd-min và Δtd-max được cung cấp bởi nhà chế tạo và không có bằng chứng nào thể hiện bộ điều khiển là xả băng theo nhu cầu;
• Một sản phẩm không tuân thủ các yêu cầu đối với một bộ điều khiển xả băng có thể điều chỉnh, vì nó không hoạt động theo một sự liên tục của các khoảng thời gian xả băng (hoặc không có một lượng đáng kể các bước được bố trí hợp lý);
• Các giá trị công bố được tìm thấy không phù hợp với giá trị thử nghiệm.
Trong trường hợp này thì giá trị Δtdf32 và Δtdf16 là:
• Δtdf32 là trung bình của 3 khoảng thời gian xả băng quan sát được tại nhiệt độ môi trường là 32 °C khi không nhiều hơn một cửa mở trên giờ, nhưng không quá 10,0 h
• Δtdf16 là trung bình của 3 khoảng thời gian xả băng quan sát được tại nhiệt độ môi trường 16 °C khi không nhiều hơn một cửa mở trên giờ, nhưng không quá 20,0 h.
Phụ lục E
(quy định)
Nội suy kết quả
E.1 Quy định chung
Phụ lục này quy định các phương pháp phải sử dụng khi hai hoặc nhiều kết quả được nội suy để ước lượng giá trị năng lượng tiêu thụ tối ưu hơn xảy ra ở tất cả các ngăn có nhiệt độ bằng hoặc thấp hơn nhiệt độ mục tiêu được nêu trong Điều 6.
CHÚ THÍCH: Nội suy là một lựa chọn không bắt buộc theo tiêu chuẩn này. Giá trị hợp lệ đối với tiêu thụ năng lượng có thể được xác định từ một thử nghiệm đơn lẻ với tất cả ngăn bằng hoặc thấp hơn nhiệt độ mục tiêu như đã nêu ở 6.3 a).
Hai trường hợp được phép nội suy trong tiêu chuẩn này:
• Trường hợp 1: Nội suy tuyến tính giữa hai điểm thử nghiệm, nhìn chung trường hợp có một bộ điều khiển nhiệt độ bằng tay được điều chỉnh (hơn một bộ điều khiển có thể được điều chỉnh, nhưng trong trường hợp này, có các kiểm tra đặc biệt như được nêu trong Điều E.3).
• Trường hợp 2: Nội suy tam giác sử dụng ba (hay nhiều) điểm thử nghiệm, trường hợp hai hoặc hơn hai bộ điều khiển nhiệt độ có thể điều chỉnh được bởi người sử dụng.
Trường hợp 1 và trường hợp 2 đều có các yêu cầu về tính hợp lệ liên quan.
Mục đích của nội suy là để ước lượng giá trị tối ưu của năng lượng tiêu thụ sử dụng thông tin từ các điểm thử nghiệm được chọn để phân tích (năng lượng đo được và nhiệt độ các ngăn). Trường hợp có các bộ điều khiển kèm theo mà không được sử dụng để nội suy thì có thể dẫn tới ước lượng tiêu thụ năng lượng không phải tối ưu nhất có thể. Như một gợi ý chung, bộ điều chỉnh nhiệt độ được điều chỉnh bởi người sử dụng nào ảnh hưởng tới các ngăn có dung tích lớn nhất hoặc các ngăn nhất có thể được sử dụng để nội suy, nhằm thu được giá trị tối ưu đối với năng lượng tiêu thụ (nhiệt độ của ngăn lớn nhất hay ngăn nhất có xu hướng tiêu thụ nhiều năng lượng nhất). Khi có hai hoặc nhiều bộ điều chỉnh nhiệt độ được điều chỉnh bởi người sử dụng tác động lên hai hơn nhiều ngăn, thì nội suy tam giác như trường hợp 2 ở trên sẽ cung cấp ước lượng tối ưu về tiêu thụ năng lượng hơn là nội suy tuyến tính như trường hợp 1.
Áp dụng các điều kiện đặc biệt để sử dụng cả hai trường hợp 1 và 2. Điều này được quy định trong Điều E.3 và Điều E.4 tương ứng. Ngoại suy để ước lượng các giá trị năng lượng ở nhiệt độ mục tiêu mà điểm đó không nằm giữa hoặc bên trong các điểm thử nghiệm được chọn là không được phép.
Trường hợp sử dụng nội suy thì các thông tin bổ sung dưới đây phải được ghi vào báo cáo:
• Trường hợp các kết quả được đo tại hai giá trị đặt bộ điều chỉnh nhiệt độ để nội suy theo Điều E.3, ngăn được sử dụng để nội suy (trường hợp phép nội suy cho kết quả hợp lệ) và độ dốc đường năng lượng-nhiệt độ của ngăn Si được xác định trong E.3.3;
• Trường hợp các kết quả của sản phẩm có hai bộ điều chỉnh nhiệt độ được điều chỉnh bởi người sử dụng được đo tại ba tổ hợp giá trị đặt bộ điều chỉnh nhiệt độ để nội suy theo Điều E.4, giá trị của các hệ số E0, A và B (hoặc tương đương);
• Trường hợp các kết quả của sản phẩm có ba bộ điều chỉnh nhiệt độ được điều chỉnh bởi người sử dụng được đo tại bốn tổ hợp giá trị đặt bộ điều chỉnh nhiệt độ để nội suy theo Điều E.4, giá trị của các hệ số E0, A, B và C.
E.2 Điều chỉnh nhiệt độ trước khi nội suy
Đối với các thiết bị lạnh có một hoặc nhiều hệ thống xả băng (mỗi hệ thống có chu kỳ xả băng riêng), nhiệt độ trung bình của các ngăn phải được xác định theo công thức (3) có xét đến ảnh hưởng của tất cả hệ thống xả băng trước khi nội suy.
Tính toán năng lượng tiêu thụ theo ngày và nhiệt độ trung bình trong mỗi ngăn như được trình bày trong 6.8.2 cho mỗi điểm thử nghiệm. Các giá trị này được sử dụng để nội suy giữa các điểm thử nghiệm.
E.3 Trường hợp 1: Nội suy tuyến tính - hai điểm thử nghiệm
E.3.1 Quy định chung
Điều này quy định phương pháp xác định giá trị năng lượng tiêu thụ của thiết bị bằng cách nội suy giữa các giá trị của hai lần thử nghiệm trong đó điều chỉnh một hoặc nhiều bộ điều khiển nhiệt độ. Các bộ điều khiển được điều chỉnh có thể có ảnh hưởng đồng thời đến nhiệt độ của một vài ngăn vì thế từng phối hợp có thể có của các bộ điều khiển này phải được kiểm tra tính hợp lệ. Nội suy được thực hiện bằng tính toán.
Giá trị xác định bằng phương pháp này là giá trị xấp xỉ có thể đạt được khi (các) bộ điều khiển liên quan được điều chỉnh đến chỉnh định để có nhiệt độ của tất cả các ngăn càng sát càng tốt, nhưng không lớn hơn, giá trị nhiệt độ mục tiêu quy định đối với ngăn tương ứng. Trong trường hợp nhiệt độ ở một số ngăn thay đổi đồng thời thì điểm được chọn để nội suy là điểm mà ngăn đầu tiên đạt đến nhiệt độ mục tiêu (chuyển từ chỉnh định lạnh hơn sang chỉnh định ấm hơn).
E.3.2 Yêu cầu
Nội suy tuyến tính sử dụng các kết quả của chỉ hai lần thử nghiệm có thể thực hiện được trong trường hợp có tối thiểu một ngăn với một điểm thử nghiệm có nhiệt độ đo được cao hơn nhiệt độ mục tiêu liên quan trong khi điểm thử nghiệm còn lại của ngăn đó có nhiệt độ thấp hơn nhiệt độ mục tiêu đó. Trong quá trình nội suy đối với hai lần thử nghiệm, nhiệt độ trong tất cả các ngăn được tính khi lần lượt từng ngăn được đặt ở nhiệt độ mục tiêu của nó. Để việc nội suy là hợp lệ thì tất cả các ngăn phải có nhiệt độ bằng hoặc thấp hơn nhiệt độ mục tiêu tại điểm nội suy.
Để việc nội suy tuyến tính là hợp lệ, chênh lệch nhiệt độ giữa các lần thử nghiệm của từng ngăn sử dụng cho nội suy không được lớn hơn 4 K.
Đối với nội suy tuyến tính, về nguyên tắc không có các yêu cầu cụ thể đối với các vị trí tương đối của các điểm thử nghiệm được sử dụng cho nội suy. Trong tất cả các trường hợp, điểm nội suy phải nằm giữa hai điểm thể hiện giá trị đo được đối với tất cả các tham số (năng lượng và nhiệt độ). Không cho phép ngoại suy trong mọi trường hợp. Điều này có nghĩa là không phải tất cả các tổ hợp của hai điểm thử nghiệm bất kỳ đều có thể cung cấp kết quả nội suy hợp lệ. Do đó nên lựa chọn một điểm thử nghiệm với tất cả các ngăn thấp hơn nhiệt độ mục tiêu của chúng. Điều này sẽ đảm bảo giá trị nội suy tuyến tính là hợp lệ trong khi điểm thứ hai được chọn có tối thiểu một vài ngăn có nhiệt độ nằm bên trên nhiệt độ mục tiêu.
E.3.3 Tính toán
Cách tiếp cận chung được sử dụng cho phương pháp nội suy này là nội suy từng ngăn ở nhiệt độ mục tiêu của nó và sau đó tính nhiệt độ tại điểm nội suy cho tất cả các ngăn còn lại. Sau đó, quá trình này được áp dụng lần lượt cho từng ngăn bổ sung. Các kết quả khi từng ngăn đều ở nhiệt độ mục tiêu được xem xét và các điểm nội suy hợp lệ có thể được chọn trong trường hợp tất cả các ngăn đều ở hoặc thấp hơn giá trị nhiệt độ mục tiêu đối với điểm nội suy cụ thể.
Nên vẽ quy trình nội suy để có thể hiểu tốt hơn về cách tiếp cận tính toán. Hình B.1a thể hiện ví dụ về một thiết bị lạnh có bốn ngăn mà chỉ có một kết quả nội suy hợp lệ. Hình B1b minh họa ví dụ với hai giá trị nội suy hợp lệ trong khi Hình B1c minh họa ví dụ không có giá trị nội suy hợp lệ.
Quá trình tính toán dưới đây phải được thực hiện đối với từng ngăn i, trong đó i chạy từ A, B, C, v.v... đến n và n là số lượng ngăn dùng cho các điểm thử nghiệm 1 và 2.
1. Kiểm tra giá trị tuyệt đối của (Ti1 - Ti2) có nhỏ hơn hoặc bằng 4 °C không. Trong trường hợp điều kiện này không được đáp ứng thì không cho phép nội suy tuyến tính trên ngăn này (các điểm có thể vẫn được sử dụng nếu cả Ti1 và Ti2 đều thấp hơn giá trị nhiệt độ mục tiêu của chúng).
2. Tính toán hệ số nội suy ngăn fi đối với từng ngăn như sau:
(28)
trong đó
Ti1 là nhiệt độ đo được tại điểm thử nghiệm 1 trong ngăn i;
Ti2 là nhiệt độ đo được tại điểm thử nghiệm 2 trong ngăn i;
Ti-tar là nhiệt độ mục tiêu đối với loại ngăn i như quy định trong Bảng 1.
Trong trường hợp fi nhỏ hơn 0 hoặc fi lớn hơn 1, không thể có nội suy hợp lệ nào trên ngăn i với tổ hợp điểm thử nghiệm 1 và 2. Có thể yêu cầu tổ hợp các điểm thử nghiệm khác nếu cả hai nhiệt độ Ti1 và Ti2 không thấp hơn nhiệt độ mục tiêu.
3. Tính toán đối với một trong các ngăn khác từ 1 đến j (từ A, B, C đến n) nhiệt độ nội suy Tj, trong trường hợp ngăn i ở nhiệt độ mục tiêu của nó bằng công thức sau:
Tj = Tj1 + fi x (Tj2 - Tj1) (29)
trong đó:
Tj là nhiệt độ nội suy trong ngăn j khi ngăn j ở nhiệt độ mục tiêu;
Tj1 là nhiệt độ đo được tại điểm thử nghiệm 1 của ngăn j;
Tj2 là nhiệt độ đo được tại điểm thử nghiệm 2 của ngăn j;
fi là hệ số nội suy ngăn của ngăn i.
4. Nếu tất cả các giá trị Tj (từ A, B, C đến n) đều bằng hoặc thấp hơn giá trị nhiệt độ mục tiêu tương ứng (Tj ≤ Tj-tar) thì tính năng lượng tiêu thụ nội suy trong trường hợp ngăn i ở nhiệt độ mục tiêu bằng công thức sau:
Ei-tar = E1 + fi x (E2 - E1) (30)
trong đó:
Ei-tar là năng lượng tiêu thụ nội suy từ các điểm thử nghiệm 1 và 2 khi ngăn i ở nhiệt độ mục tiêu của nó
E1 là giá trị năng lượng tiêu thụ đo được tại điểm thử nghiệm 1 (tổ hợp giá trị đặt nhiệt độ 1)
E2 là giá trị năng lượng tiêu thụ đo được tại điểm thử nghiệm 2 (tổ hợp giá trị đặt nhiệt độ 2)
fi là hệ số nội suy ngăn của ngăn i
Sau khi hoàn thành quy trình trên đối với từng ngăn i, có ba khả năng xảy ra:
a) Trường hợp không có ngăn nào được tính toán nội suy năng lượng tiêu thụ. Điều này có nghĩa là điểm 1 và điểm 2 không tạo thành tổ hợp hợp lệ để nội suy và cần đo thêm tổ hợp các điểm khác.
b) Trường hợp tìm thấy một giá trị năng lượng tiêu thụ thì lấy giá trị này làm giá trị đại diện cho năng lượng tiêu thụ nội suy.
c) Trường hợp tìm thấy hai hoặc nhiều giá trị năng lượng tiêu thụ nội suy thì lấy giá trị nhỏ nhất đại diện cho năng lượng tiêu thụ nội suy:
(31)
trong đó:
Elinear là năng lượng tiêu thụ xác định bởi nội suy tuyến tính;
Ei-tar là năng lượng tiêu thụ nội suy đối với ngăn i như nêu trên (bỏ qua các giá trị không hợp lệ).
CHÚ THÍCH: Trong trường hợp một điểm có tất cả các ngăn thấp hơn nhiệt độ mục tiêu của chúng và điểm thứ hai có tất cả các ngăn cao hơn nhiệt độ mục tiêu thì chỉ có duy nhất một lời giải (trường hợp b ở trên). Có thể xảy ra hai lời giải, ví dụ, khi một điểm có ngăn A thấp hơn nhiệt độ mục tiêu và ngăn B cao hơn nhiệt độ mục tiêu, và trường hợp điểm thứ hai có ngăn A cao hơn nhiệt độ mục tiêu còn ngăn B thấp hơn nhiệt độ mục tiêu. Trường hợp hai (hoặc) nhiều lời giải hợp lệ để nội suy tuyến tính hai điểm thường ít xảy ra.
Nếu tìm thấy giá trị hợp lệ để nội suy Elinear sử dụng phương pháp trên, thì các thông tin bổ sung sau phải được nêu trong báo cáo cùng với giá trị năng lượng nội suy:
• Ngăn thứ i mà sử dụng để đưa ra một giá trị Ei-tar và Elinear
• Độ dốc năng lượng-nhiệt độ Si của ngăn được tính theo công thức:
(32)
CHÚ THÍCH 2: Giá trị của Si thường có giá trị âm, nhưng điều này phụ thuộc vào bố trí điểm thử nghiệm 1 và 2.

Hình E.1 - Nội suy khi nhiệt độ thay đổi trong nhiều ngăn (ngăn D được lấy làm cơ sở)

Hình E.2 - Nội suy có kết quả hợp lệ trong cả hai ngăn A và B

Hình E.3 - Nội suy có kết quả không hợp lệ
E.4 Trường hợp 2: Nội suy tam giác - ba (hoặc nhiều) điểm thử nghiệm
E.4.1 Quy định chung
Điều này quy định phương pháp xác định giá trị tối ưu năng lượng tiêu thụ của thiết bị lạnh bằng cách nội suy tam giác của ba lần chạy thử nghiệm trong trường hợp điều chỉnh hai hoặc nhiều bộ điều khiển. Bộ điều khiển được điều chỉnh có thể có ảnh hưởng đến nhiệt độ của một số ngăn do đó, phải kiểm tra tính hợp lệ của từng tổ hợp. Nội suy được thực hiện trên cơ sở toán học.
Nguyên lý của nội suy là phải chọn ba điểm thử nghiệm xung quanh giao điểm của quỹ tích nhiệt độ mục tiêu đối với cả hai ngăn cần xem xét, gọi là điểm Q, là điểm mà tại đó đạt được năng lượng tiêu thụ tối ưu (đối với hai ngăn đang xét). Giá trị ước lượng của năng lượng tiêu thụ tại điểm Q đạt được bằng chuỗi nội suy tuyến tính. Ngăn bổ sung phải duy trì thấp hơn giá trị nhiệt độ mục tiêu của chúng đối với cả ba điểm lựa chọn.
Giá trị xác định bởi phương pháp này xấp xỉ giá trị đạt được khi hai ngăn đang xét được điều chỉnh đến giá trị đặt đưa nhiệt độ của các ngăn bị ảnh hưởng càng sát càng tốt, nhưng không vượt quá, giá trị nhiệt độ mục tiêu quy định đối với các loại ngăn đó (tại điểm Q).
Nội suy tam giác đa chiều có thể thực hiện ở ba hay nhiều ngăn có hình dáng tương tự nhau, nhưng các công thức toán học dùng để nội suy thủ công (như trong E.4.3) phức tạp và không được nêu trong tiêu chuẩn này. Tuy nhiên, ba hay nhiều ngăn có thể được nội suy sử dụng ma trận như trình bày trong E.4.6. Nhìn chung, việc cải thiện sự ước lượng của năng lượng tối ưu chỉ nhỏ khi nội suy ba hay bốn ngăn, vì tác động năng lượng của ngăn nhỏ hơn thường trở nên rất bé. Việc cải thiện nhỏ phù hợp trong năng lượng tối ưu phải được cân nhắc với chi phí nhỏ đáng kể thu được 4 hoặc 5 điểm thử nghiệm năng lượng phù hợp (được yêu cầu đối với nội suy ở 3 và 4 ngăn với bộ điều chỉnh nhiệt độ được điều chỉnh bởi người sử dụng độc lập tương ứng).
E.4.2 Yêu cầu đối với nội suy tam giác cho hai (hoặc nhiều) ngăn
E.4.2.1 Yêu cầu chung
Nhiệt độ mỗi ngăn dùng để nội suy phải nằm trong khoảng Ttar ± 4 K đối với tất cả các kết hợp giá trị đặt bộ điều khiển nhiệt độ được chọn.
E.4.2.2 Nội suy tam giác đối với thiết bị lạnh có hai ngăn
Yêu cầu nội suy sử dụng tam giác trong thiết bị lạnh chỉ có hai ngăn (trường hợp 2-0) như sau:
a) Thiết bị lạnh phải có hai bộ điều chỉnh nhiệt độ được điều chỉnh bởi người sử dụng có ảnh hưởng tới nhiệt độ trong hai ngăn.
b) Phải có ít nhất ba điểm đo tiêu thụ năng lượng (điểm thử nghiệm) tại ba sự kết hợp các giá trị đặt bộ điều chỉnh nhiệt độ được điều chỉnh.
c) Các điểm thử nghiệm được chọn để phân tích phải có dạng tam giác bao quanh giao điểm của nhiệt độ mục tiêu của hai ngăn đó (xem Hình E.4, điểm Q, công thức (33)).
Nếu tất cả các điều kiện này đều đạt được, nội suy tam giác theo E.4.3 hoặc E.4.4 được tiến hành.
Để kiểm tra xác nhận rằng điểm Q nằm trong tam giác bao quanh bởi ba điểm thử nghiệm, các giá trị Check1 và Check2 được tính toán như sau:
Check1 = [(TB-tar - TB1) · (TA2 - TA1) - (TA-tar - TA1) · (TB2 - TB1)] · [(TB-tar - TB2) · (TA3 - TA2) - (TA-tar - TA2) · (TB3 - TB2)]
Check2 = [(TB-tar - TB2) · (TA3 - TA2) - (TA-tar - TA2) · (TB3 - TB2)] · [(TB-tar - TB3) · (TA1 - TA3) - (TA-tar - TA3) · (TB1 - TB3)]
trong đó:
TA1 nhiệt độ đo được tại điểm thử nghiệm 1 trong ngăn A
TA2 nhiệt độ đo được tại điểm thử nghiệm 2 trong ngăn A
TA3 nhiệt độ đo được tại điểm thử nghiệm 3 trong ngăn A
TA-tar nhiệt độ mục tiêu đối với ngăn A
TB1 nhiệt độ đo được tại điểm thử nghiệm 1 trong ngăn B
TB2 nhiệt độ đo được tại điểm thử nghiệm 2 trong ngăn B
TB3 nhiệt độ đo được tại điểm thử nghiệm 3 trong ngăn B
TB-tar nhiệt độ mục tiêu đối với ngăn B
Điểm Q nằm trong tam giác hình thành bởi điểm thử nghiệm 1, 2 và 3 nếu bất đẳng thức sau là đúng:
NẾU{[Check1 ≥ 0] VÀ [Check2 ≥ 0]} = ĐÚNG (33)
CHÚ THÍCH: Quy trình kiểm tra xác nhận này dựa trên hệ tọa độ Barycentric. Để hạn chế sai số thì các phương trình này phải được nhập vào bảng. Một giá trị 0 cho Check1 hoặc Check2 thể hiện rằng điểm Q nằm một cách chính xác trên một trong ba cạnh của tam giác và nội suy tuyến tính có thể cho một kết quả tương tự với ít số liệu hơn.
Vẽ đồ thị các giá trị thử nghiệm đối với nhiệt độ hai ngăn trên các trục trực giao được khuyến nghị và là cách tiện lợi để kiểm tra nhanh chóng nhiệt độ mục tiêu (điểm Q) nằm trong tam giác tạo thành bởi ba điểm thử nghiệm. Khi có nghi ngờ, việc kiểm tra xác nhận bằng tính toán theo công thức (33) được ưu tiên hơn quy trình kiểm tra xác nhận bằng hình học.

CHÚ THÍCH: Tính toán giá trị điểm 4 chỉ được yêu cầu trong trường hợp nội suy thủ công ở hai ngăn.
Hình E.4 - Thể hiện bằng sơ đồ phương pháp nội suy tam giác
E.4.2.3 Nội suy tam giác đối với thiết bị lạnh có nhiều hơn hai ngăn
Với thiết bị lạnh có nhiều hơn hai ngăn, có một vài trường hợp có thể áp dụng cho các kết hợp giá trị đặt bộ điều chỉnh nhiệt độ được chọn và các dữ liệu có sẵn, tùy thuộc vào cấu hình sản phẩm.
Trường hợp 2-0: Ba điểm thử nghiệm, nội suy tam giác trong hai ngăn
Xem E.4.2.2.
Trường hợp 2-1: Ba điểm thử nghiệm, nội suy tam giác trong hai ngăn, các ngăn còn lại luôn nằm dưới nhiệt độ mục tiêu
Trường hợp ba điểm thử nghiệm được chọn sao cho hai trong các ngăn đáp ứng yêu cầu của E.4.2.2 và nhiệt độ của tất cả các ngăn còn lại đều ở nhiệt độ bằng hoặc thấp hơn nhiệt độ mục tiêu đối với tất cả ba điểm thử nghiệm thì phải thực hiện nội suy tam giác theo E.4.2.2 và không cần các kiểm tra thêm.
Trường hợp 2-2: Ba điểm thử nghiệm, nội suy tam giác trong hai ngăn, các ngăn còn lại không phải luôn thấp hơn nhiệt độ mục tiêu
Trường hợp ba điểm thử nghiệm được chọn sao cho hai trong các ngăn đáp ứng yêu cầu của E.4.2.2 nhưng nhiệt độ của tất cả các ngăn còn lại không giữ tại hay dưới nhiệt độ mục tiêu tại tất cả ba điểm thử nghiệm, các bước sau đây phải được tiến hành:
a) Có ba điểm đo năng lượng tiêu thụ (điểm thử nghiệm) ở ba sự kết hợp cài đặt bộ điều khiển nhiệt độ được điều chỉnh;
b) Các điểm thử nghiệm của ngăn được chọn cho nội suy tam giác có hình dạng một tam giác mà bao quanh giao điểm của nhiệt độ mục tiêu (xem Hình E.4, điểm Q, công thức (33));
c) Nội suy tam giác của các ngăn được chọn theo E.4.4;
d) Nhiệt độ tính toán của tất cả các ngăn còn lại tại điểm Q là bằng hoặc thấp hơn nhiệt độ mục tiêu liên quan được nêu trong E.4.5 (nhiệt độ ở ngăn C, D, v.v. được tính toán tại điểm Q và được kiểm tra).
Nếu các yêu cầu trên không thỏa mãn, các lựa chọn sau có thể đáp ứng các kết quả từ dữ liệu có sẵn:
e) Lựa chọn sự kết hợp các ngăn khác nhau để nội suy tam giác và kiểm tra nhiệt độ tính toán của tất cả các ngăn còn lại tại điểm Q là bằng hoặc thấp hơn nhiệt độ mục tiêu theo điều a) tới d) ở trên;
f) Tiến hành các thử nghiệm thêm để thu được nhiều dữ liệu thử nghiệm hơn với yêu cầu của trường hợp 2-1 hoặc trường hợp 2-2;
g) Tiến hành nội suy tuyến tính theo E.3 cho mỗi cặp điểm thử nghiệm. Nếu có nhiều hơn một kết quả hợp lệ có thể đạt được mà sử dụng cách tiếp cận này, giá trị nhỏ nhất được chọn. Trong khi nội suy tuyến tính có thể đạt được một kết quả hợp lệ, điều này có thể không gần với năng lượng tối ưu (dựa trên các số liệu có sẵn).
Trường hợp 2-3: Bốn điểm thử nghiệm, nội suy tam giác trong ba ngăn, không có thêm (các) ngăn hoặc các ngăn còn lại luôn thấp hơn nhiệt độ mục tiêu
Trường hợp bốn điểm thử nghiệm được lựa chọn sao cho ba ngăn thỏa mãn các yêu cầu sau:
h) Thiết bị lạnh có ba bộ điều khiển nhiệt độ bằng tay mà ảnh hưởng đến nhiệt độ của ba hay nhiều ngăn;
i) Có bốn điểm đo tiêu thụ năng lượng (điểm thử nghiệm) tại bốn sự kết hợp cài đặt bộ điều chỉnh nhiệt độ được điều chỉnh;
j) Điểm thử được chọn để phân tích tạo thành một hình tháp ba chiều mà bao quanh với giao điểm của nhiệt độ mục tiêu của ba ngăn;
k) Nội suy tam giác thử được tiến hành bằng cách sử dụng ma trận như trình bày trong E.4.6.
Trường hợp 2-4: Bốn điểm thử nghiệm, nội suy tam giác trong ba ngăn, (các) ngăn còn lại không phải luôn thấp hơn nhiệt độ mục tiêu
Trường hợp bốn điểm thử nghiệm được lựa chọn sao cho ba ngăn thỏa mãn các yêu cầu sau:
l) Thiết bị lạnh có ba bộ điều khiển nhiệt độ bằng tay mà ảnh hưởng đến nhiệt độ của ba hay nhiều ngăn;
m) Có bốn điểm đo tiêu thụ năng lượng (điểm thử nghiệm) tại bốn sự kết hợp cài đặt bộ điều chỉnh nhiệt độ được điều chỉnh;
n) Điểm thử được chọn để phân tích tạo thành một hình tháp ba chiều mà bao quanh với giao điểm của nhiệt độ mục tiêu của ba ngăn;
o) Nhiệt độ tính toán của tất cả các ngăn còn lại tại điểm Q là bằng hoặc thấp hơn nhiệt độ mục tiêu liên quan như được nêu trong E.4.6 (nhiệt độ trong ngăn D, E, v.v. được tính toán tại điểm Q và được kiểm tra);
p) Nội suy tam giác thử được tiến hành bằng cách sử dụng ma trận như trình bày trong E.4.6.
E.4.3 Tính toán đối với nội suy tam giác cho hai ngăn - Nội suy thủ công
Cách tiếp cận sử dụng cho phương pháp này nhằm thực hiện một chuỗi các nội suy tuyến tính để ước lượng năng lượng tiêu thụ tại điểm Q, tại đó cả hai ngăn đều ở nhiệt độ bằng nhiệt độ mục tiêu đối với năng lượng tiêu thụ (Ttar) như quy định trong Bảng 1. Các điểm thử nghiệm 1, 2 và 3 được sử dụng cho các tính toán này phải nằm xung quanh giao điểm của các nhiệt độ mục tiêu (Ttar) đối với từng ngăn, được gọi là điểm Q.
Trong quá trình này, thực hiện ba bước sau một cách thủ công:
Bước 1: Tính nhiệt độ của điểm 4 nằm tại giao điểm của đường thẳng đi qua điểm 2 và điểm Q và đường thẳng đi qua điểm 1 và điểm 3.
Bước 2: Tính năng lượng tiêu thụ tại điểm 4 bằng cách nội suy tuyến tính năng lượng giữa điểm 1 và điểm 3 (nhiệt độ trong ngăn A hoặc ngăn B có thể được sử dụng - ngăn A được sử dụng cho các công thức dưới đây).
Bước 3: Tính năng lượng tiêu thụ tại điểm Q bằng cách nội suy tuyến tính năng lượng giữa điểm 4 và điểm 2 (nhiệt độ trong ngăn A hoặc ngăn B có thể được sử dụng - ngăn A được sử dụng cho các công thức dưới đây).
Các tính toán cho ba bước này được thực hiện như sau.
Các ký hiệu sau được sử dụng trong các công thức:
Ti-tar Nhiệt độ mục tiêu của ngăn i (nhiệt độ tại điểm Q)
Ti1 Nhiệt độ của điểm 1 trong ngăn i (giá trị đo được)
Ti2 Nhiệt độ của điểm 2 trong ngăn i (giá trị đo được)
Ti3 Nhiệt độ của điểm 3 trong ngăn i (giá trị đo được)
Ti4 Nhiệt độ của điểm 4 trong ngăn i (giá trị tính được)
E1 Năng lượng tiêu thụ đo được tại điểm 1 (giá trị đo được)
E2 Năng lượng tiêu thụ đo được tại điểm 2 (giá trị đo được)
E3 Năng lượng tiêu thụ đo được tại điểm 3 (giá trị đo được)
E4 Năng lượng tiêu thụ đo được tại điểm 4 (giá trị tính được)
Bước 1
Đối với hai ngăn A và B, nhiệt độ tính được tại điểm 4 trong ngăn A như sau:
(34)
Cần thận trọng khi thực hiện phép tính này một cách thủ công. Nên đưa công thức này vào bảng tính. Sau đó bảng tính có thể được kiểm tra sử dụng các ví dụ trong Phụ lục I trước khi sử dụng trên dữ liệu thử nghiệm.
Thông thường, công thức (33) hoặc tiếp cận bằng hình vẽ được sử dụng để kiểm tra xem điểm Q có nằm trong tam giác tạo bởi điểm 1, 2 và 3 hay không. Một cách khác đối với kiểm tra nội suy thủ công để đảm bảo rằng nhiệt độ mục tiêu TA-tar phải nằm giữa TA2 và TA4 và TA4 phải nằm giữa TA1 và TA3. Điều kiện này được thể hiện bằng toán học như sau:
- TA4 < TA-tar < TA2 hoặc
- TA-tar > TA4-tar > TA2
và
- TA1 < TA4 < TA3 hoặc
- TA1 > TA4 > TA3
Bước 2
Năng lượng tiêu thụ tính được tại điểm 4 sử dụng dữ liệu nhiệt độ đối với điểm 4 được tính trong Bước 1 và các điểm thử nghiệm 1 và 3 được xác định như sau (sử dụng các nhiệt độ của ngăn A):
(35)
Bước 3
Năng lượng tiêu thụ tính được tại nhiệt độ mục tiêu sử dụng dữ liệu về nhiệt độ và năng lượng đối với điểm 4 (được tính trong Bước 1 và Bước 2) và điểm thử nghiệm 2 được xác định như sau (sử dụng các nhiệt độ của ngăn A):
(36)
EAB-tar là năng lượng tiêu thụ tại nhiệt độ mục tiêu của các ngăn A và B sử dụng nội suy tam giác.
Thứ tự ngăn A và ngăn B không ảnh hưởng đến tính toán.
E.4.4 Tính toán đối với nội suy tam giác cho hai ngăn - ma trận
Một cách tiếp cận toán học hiệu quả hơn để xác định năng lượng tiêu thụ tối ưu sử dụng nội suy cho ba điểm thử nghiệm trong E.4.3 (nội suy tam giác bằng tay) là sử dụng ma trận. Điều này cho phép có một giải pháp nhanh hơn và cách tiếp cận một cách tự động xác định hệ số năng lượng-nhiệt độ đối với mỗi ngăn (nghĩa là năng lượng tác động trên độ K thay đổi nhiệt độ bên trong cho mỗi ngăn để thu được thông tin hữu ích hơn). Cách tiếp cận này cũng có thể sử dụng để giải các bài toán nội suy đa chiều cho ba hoặc nhiều ngăn như được nêu trong E.4.6.
Bước đầu tiên là xác nhận dữ liệu đáp ứng được các yêu cầu tính hợp lệ cho nội suy tam giác, nghĩa là giao điểm của nhiệt độ mục tiêu cho ngăn A và ngăn B (điểm Q) nằm trong tam giác tạo bởi điểm thử nghiệm 1, 2 và 3. Điều này được thực hiện khi sử dụng công thức (33) như trình bày trong E.4.2.2.
Tiền đề cơ bản đối với việc sử dụng ma trận cho nội suy tam giác trong hai ngăn là để giả định rằng chúng ta có 3 phương trình đồng thời để mô tả 3 điểm thử nghiệm như sau:
E0 + A · TA1 + B · TB1 = E1
E0 + A · TA2 + B · TB2 = E2
E0 + A · TA3 + B · TB3 = E3
trong đó:
TAk nhiệt độ trong ngăn A cho điểm thử nghiệm thứ k (từ 1 đến 3)
TBk nhiệt độ trong ngăn B cho điểm thử nghiệm thứ k (từ 1 đến 3)
Ek một giá trị không đổi đối với thiết bị lạnh tại nhiệt độ thử nghiệm môi trường (theo lý thuyết, đây là tiêu thụ năng lượng khi cả hai ngăn ở 0 °C, nhưng trong thực tế không thể đạt được điều đó) - biến số cần được giải
A một giá trị không đổi đối với thiết bị lạnh tại nhiệt độ thử nghiệm môi trường mà có thể đưa ra một ước lượng về sự ảnh hưởng của nhiệt độ trong ngăn A tới năng lượng tiêu thụ - biến số cần được giải
B một giá trị không đổi đối với thiết bị lạnh tại nhiệt độ thử nghiệm môi trường mà có thể đưa ra một ước lượng về sự ảnh hưởng của nhiệt độ trong ngăn B tới năng lượng tiêu thụ - biến số cần được giải
Các giá trị này được sắp xếp thành một ma trận như sau:
[M33] · [C31] = [E31] (37)
Trong đó:
[M33] ma trận kích thước 3 x 3 của các giá trị là 1 (hằng số), TA và TB cho mỗi điểm thử nghiệm
[C31] ma trận kích thước 3 x 1 của giá trị E0, A và B (hằng số cần tìm)
[E31] ma trận kích thước 3 x 1 của giá trị E1. E2 và E3
Cách viết đầy đủ như sau:

Để giải ra các giá trị không đổi (hằng số) chưa biết ở ma trận [C31], ta nhân ma trận:
[M33]-1 x [E31] = [C31]
Ma trận nghịch đảo kích thước 3 x 3 có thể được lập trình dễ dàng trên các bảng tính điện tử. Để tìm ra các hằng số A, B và E0 cho phép xác định tiêu thụ năng lượng ước lượng cho các bất kỳ nhiệt độ ngăn nào (với điều kiện kết hợp nhiệt độ nằm trong tam giác). Đối với nhiệt độ mục tiêu ở ngăn A và ngăn B, năng lượng tiêu thụ được tính theo công thức:
EAB-t = E0 + A · TA-tar + B · TB-tar
E.4.5 Kiểm tra tính hợp lệ của nhiệt độ khi có hơn hai ngăn cho nội suy tam giác
Nếu thiết bị lạnh có hơn hai ngăn như được nêu trong E.4.2.3 trường hợp 2-2 (nhiệt độ của ít nhất một trong các ngăn còn lại cao hơn nhiệt độ mục tiêu của nó đối với ít nhất một trong ba điểm thử nghiệm), nhiệt độ của các ngăn còn lại này tại điểm nội suy được kiểm tra tính hợp lệ trước khi tính toán tiêu thụ năng lượng.
Tính hợp lệ của các điểm được chọn cho ngăn A và B được chọn để nội suy tam giác phải được kiểm tra như nêu trong E.4.2.2 công thức (33) (nghĩa là các điểm xung quanh Q).
Các tiếp cận dùng ma trận cho nội suy tam giác ở ngăn A và B cơ bản để ước lượng nhiệt độ trong mỗi ngăn còn lại tại điểm nội suy (điểm Q). Đối với ngăn còn lại đầu tiên (ngăn C) ở 3 phương trình đồng thời mô tả ba điểm thử nghiệm như sau:
KC + LC · TA1 + MC · TB1 = TC1
KC + LC · TA2 + MC · TB2 = TC2
KC + LC · TA3 + MC · TB3 = TC3
trong đó:
TAk nhiệt độ trong ngăn A cho điểm thử nghiệm thứ k (từ 1 đến 3)
TBk nhiệt độ trong ngăn B cho điểm thử nghiệm thứ k (từ 1 đến 3)
TCk nhiệt độ trong ngăn C cho điểm thử nghiệm thứ k (từ 1 đến 3)
KC, LC và MC là hằng số được ước lượng cho ngăn C.
[M33] x [CC31] = [TC31]
trong đó:
[M33] ma trận kích thước 3 x 3 của các giá trị là 1 (hằng số), TA và TB cho mỗi điểm thử nghiệm
[C31] ma trận kích thước 3 x 1 của hằng số cho ngăn C - KC, LC và MC (hằng số cần tìm)
[T31] ma trận kích thước 3 x 1 của giá trị TC1. TC2 và TC3
Cách viết đầy đủ như sau:

Để tìm ra ma trận hằng số chưa biết [CC3], ta nhân ma trận:
[M33]-1 x [TC31] = [CC31]
Nhiệt độ của ngăn C được tính toán khi ngăn A và ngăn B ở tại bằng nhiệt độ mục tiêu như sau:
Tcx = KC + LC · TA-tar + MC · TB-tar
Để nội suy tam giác ở ngăn A và B hợp lệ, yêu cầu sau phải được thỏa mãn:
Ta-tar ≥ TCx
Khi có hơn 3 ngăn (ngăn A, B và C), các giá trị cho mỗi ngăn còn lại (ngăn D, E, F, v.v. nếu có thể áp dụng được) được thay thế cho ngăn C trong công thức trên và giá trị cụ thể cho K, L và M đối với mỗi ngăn còn lại được tính toán.
Đối với nội suy tam giác ở ngăn A và B hợp lệ, nhiệt độ trong mỗi ngăn còn lại (ngăn C, D, E, F, v.v.) ở tại hoặc dưới nhiệt độ mục tiêu tương ứng khi ngăn A và B ở tại nhiệt độ mục tiêu tương ứng của chúng.
CHÚ THÍCH: Chỉ cần thực hiện kiểm tra ở các ngăn có nhiệt độ đo được cao hơn nhiệt độ mục tiêu cho một hoặc hai trong ba điểm thử nghiệm. Các ngăn cao hơn nhiệt độ mục tiêu đối với tất cả ba điểm thử nghiệm sẽ không bao giờ cho kết quả đúng.
E.4.6 Tính toán đối với nội suy tam giác cho ba ngăn - ma trận
Cách tiếp cận với ma trận có thể được mở rộng dễ dàng để bao phủ nội suy tam giác ba chiều. Nhiệt độ trong n ngăn được nội suy đồng thời, sẽ có n +1 điểm thử nghiệm ở quanh giao điểm của tất cả nhiệt mục tiêu liên quan đối mỗi ngăn trong không gian n chiều.
Nếu thiết bị lạnh có ba ngăn và bốn điểm thử nghiệm thu được từ bốn sự kết hợp cài đặt bộ điều chỉnh nhiệt độ như được nêu trong E.4.2.3 trường hợp 2-3, phân tích được tiến hành bằng sử dụng ma trận. Cách tiếp cận này cũng được ứng dụng cho tất cả các ngăn còn lại ở tại hoặc dưới nhiệt độ mục tiêu cho cả 4 điểm thử nghiệm (không xét đến ngăn còn lại trong trường hợp này).
Đối với ba ngăn, số liệu thử nghiệm được yêu cầu là:
E0 + A · TA1 + B · TB1 + C · TC1 = E1
E0 + A · TA2 + B · TB2 + C · TC2 = E2
E0 + A · TA3 + B · TB3 + C · TC3 = E3
E0 + A · TA4 + B · TB4 + C · TC4 = E4
trong đó:
TAk nhiệt độ trong ngăn A cho điểm thử nghiệm thứ k (từ 1 đến 4)
TBk nhiệt độ trong ngăn B cho điểm thử nghiệm thứ k (từ 1 đến 4)
TCk nhiệt độ trong ngăn C cho điểm thử nghiệm thứ k (từ 1 đến 4)
Ek tiêu thụ năng lượng cho điểm thử nghiệm thứ k (từ 1 đến 4)
E0 một giá trị không đổi đối với thiết bị lạnh tại nhiệt độ thử nghiệm môi trường (theo lý thuyết, đây là tiêu thụ năng lượng khi cả hai ngăn ở 0 °C, nhưng trong thực tế không thể đạt được điều đó) - biến số cần được giải
A một giá trị không đổi đối với thiết bị lạnh tại nhiệt độ thử nghiệm môi trường mà có thể đưa ra một ước lượng về sự ảnh hưởng của nhiệt độ trong ngăn A tới năng lượng tiêu thụ - biến số cần được giải
B một giá trị không đổi đối với thiết bị lạnh tại nhiệt độ thử nghiệm môi trường mà có thể đưa ra một ước lượng về sự ảnh hưởng của nhiệt độ trong ngăn B tới năng lượng tiêu thụ - biến số cần được giải
C một giá trị không đổi đối với thiết bị lạnh tại nhiệt độ thử nghiệm môi trường mà có thể đưa ra một ước lượng về sự ảnh hưởng của nhiệt độ trong ngăn C tới năng lượng tiêu thụ - biến số cần được giải
Các giá trị này được sắp xếp theo dạng ma trận như sau:
[M44] x [C41] = [E41]
trong đó:
[M44] ma trận kích thước 4 x 4 của các giá trị là 1 (hằng số), TA,TB và TC cho mỗi điểm thử nghiệm
[C41] ma trận kích thước 4 x 1 của E0, A, B và C (hằng số cần tìm)
[E41] ma trận kích thước 4 x 1 của giá trị E1, E2, E3 và E4
Tìm được các hằng số A, B, C và E0 cho phép ước tính được năng lượng tiêu thụ đối với bất kỳ nhiệt độ ngăn nào (với điều kiện kết hợp nhiệt độ nằm trong lăng trụ tam giác). Đối với nhiệt độ mục tiêu của ngăn A, ngăn B và ngăn C, tiêu thụ năng lượng được tính theo công thức:
EABC-tar = E0 + A · TA-tar + B · TB-tar + C · TC-tar
Các kiểm tra được yêu cầu để đảm bảo rằng tất cả 4 điểm được bao quanh hoàn toàn điểm Q trong không gian 3 chiều. Cách tiếp cận dưới đây trình bày một phương thức toán học để khẳng định dữ liệu là hợp lệ.
Đầu tiên, chúng ta định nghĩa bốn đỉnh của tứ diện không gian ba chiều là một hàm của 4 mẫu đo nhiệt độ như sau:
Vertex 1 = TA1, TB1, TC1
Vertex 2 = TA2, TB2, TC2
Vertex 3 = TA3, TB3, TC3
Vertex 4 = TA4, TB4, TC4
Chúng ta muốn kiểm tra xem điểm Q (trong trường hợp này, TA-tar, TB-tar, TC-tar) nằm trong tứ diện hay không.
Để thực hiện điều này, tính toán định thức của 5 ma trận như sau:
| D0 đối với |
|
| D1 đối với |
|
| D2 đối với |
|
| D3 đối với |
|
| D4 đối với |
|
CHÚ THÍCH: Định thức của một ma trận có thể được lập trình dễ dàng trong bảng tính điện tử (ví dụ, hàm MDETERM trong Excel tính được giá trị này).
Phương trình kiểm tra: D0 = D1 + D2 + D3 + D4
Nếu D1 và D2 và D3 và D4 cùng dấu với D0 thì điểm Q nằm trong tứ diện.
Nếu D0 = 0 thì các điểm là một mặt phẳng (không phải là tứ diện).
Nếu D1, D2, D3 hoặc D4 = 0 thì Q nằm trên mặt của tứ diện (đây cũng vẫn là kết quả hợp lệ).
Cách tiếp cận chung có thể được mở rộng để áp dụng với 5 điểm cho 4 ngăn.
Cách tiếp cận cũng có thể được rút gọn để đánh giá ba điểm cho hai ngăn như sau (đây là cách tiếp cận giống như đã được nêu trong E.4.2.2 về mặt kỹ thuật, nhưng chi tiết hơn):
Để làm điều này, tính toán định thức của 4 ma trận như sau:
| D0 đối với |
|
| D1 đối với |
|
| D2 đối với |
|
| D3 đối với |
|
Phương trình kiểm tra: D0 = D1 + D2 + D3
Nếu D1 và D2 và D3 và D4 cùng dấu với D0 thì điểm Q sẽ nằm trong tam giác.
Nếu D0 = 0 thì các điểm là một đường thẳng (không phải hình tam giác).
Nếu D1, D2 hoặc D3 = 0 thì Q nằm trên cạnh tam giác.
Khi các thiết bị lạnh có hơn 3 ngăn và chúng không bằng hoặc thấp hơn nhiệt độ mục tiêu như trong E.4.2.3 trường hợp 2-4, nhiệt độ của các ngăn còn lại này tại điểm nội suy được kiểm tra tính hợp lệ trước khi tính toán tiêu thụ năng lượng. Cách tiếp cận chung tương tự như đã trình bày trong E.4.5.
Cách tiếp cận sử dụng ma trận cho nội suy tam giác tại ba ngăn A, B và C cơ bản để ước tính nhiệt độ của mỗi ngăn còn lại tại điểm nội suy (điểm Q). Đối với ngăn phụ đầu tiên được kiểm tra (ngăn D), 4 phương trình đồng thời miêu tả 4 điểm thử nghiệm như sau:
KD + LD · TA1 + MD · TB1 + ND · TC1 = TD1
KD + LD · TA2 + MD · TB2 + ND · TC2 = TD2
KD + LD · TA3 + MD · TB3 + ND · TC3 = TD3
KD + LD · TA4 + MD · TB4 + ND · TC4 = TD4
Các ma trận được sử dụng để tìm các hằng số KD, LD, MD và ND. Nhiệt độ của ngăn D được kiểm tra tại các ngăn A, B và C tại nhiệt độ mục tiêu của chúng. Ngăn D phải bằng hoặc thấp hơn nhiệt độ mục tiêu tại điểm này để nội suy tam giác hợp lệ. Quá trình này được tiến hành tại bất kỳ ngăn còn lại E, F, v.v. mà không luôn luôn dưới nhiệt độ mục tiêu cho tất cả các điểm thử nghiệm.
Về mặt lý thuyết, cách tiếp cận chung sử dụng các ma trận có thể được mở rộng để bao phủ nội suy 4 hoặc 5 chiều (yêu cầu 5 hay 6 điểm thử nghiệm phù hợp). Trong thực tế, có rất ít giá trị thêm vào vượt qua được nội suy cho 2 hoặc thỉnh thoảng 3 ngăn.
Các ví dụ của tính toán nội suy tam giác được trình bày trong Phụ lục I.
Phụ lục F
(quy định)
Năng lượng tiêu thụ của các bộ phận phụ trợ quy định
F.1 Mục đích
Phụ lục này đưa ra các yêu cầu để xác định năng lượng tiêu thụ của các bộ phận phụ trợ quy định. Các bộ phận phụ trợ được quy định trong tiêu chuẩn này là bộ sưởi chống ngưng tụ điều chỉnh theo môi trường và bộ làm đá tự động kiểu hộp.
CHÚ THÍCH: Các bộ phận phụ trợ khác có thể được tính đến trong tương lai.
Trong trường hợp thiết bị lạnh không chứa các bộ phận phụ trợ quy định thì không cần thử nghiệm theo phụ lục này.
F.2 Bộ sưởi chống ngưng tụ điều chỉnh theo môi trường
F.2.1 Tổng quan về phương pháp
Công suất tiêu thụ của thiết bị được đo như quy định trong phụ lục này với bộ sưởi chống ngưng tụ sử dụng điện được điều chỉnh tự động bất kỳ được tắt hoặc làm mất hiệu lực nếu có thể.
Người cung cấp công bố rằng bộ sưởi chống ngưng tụ được điều chỉnh theo môi trường được cung cấp trong thiết bị lạnh và cung cấp dữ liệu liên quan đến hoạt động của bộ sưởi này làm hàm của dải rộng các điều kiện về độ ẩm môi trường và nhiệt độ môi trường, nếu thuộc đối tượng áp dụng, được đưa ra trong Bảng F.1. Trong trường hợp sản phẩm có giá trị đặt có thể điều chỉnh bởi người sử dụng mà có thể thay đổi công suất của bộ sưởi chống ngưng tụ điều chỉnh bởi môi trường thì các giá trị ở công suất cao hơn và thấp hơn phải được ghi lại như trong F.2.8.
Nếu sản phẩm có bộ sưởi chống ngưng tụ điều chỉnh bởi môi trường mà không được công bố bởi nhà chế tạo thì chúng phải được xử lý như thiết bị gây nhiễu.
Đối với các bộ phận phụ trợ được công bố, công suất mà bộ sưởi sử dụng trong các điều kiện làm việc theo vùng có thể được tổng hợp sử dụng phân bố các điều kiện môi trường này trong năm (phân bố thời gian ở từng kết hợp của các điều kiện dựa trên phân tích dữ liệu khí hậu của vùng). Công suất tiêu thụ trung bình có được nhân với hệ số tổn thất hệ thống để bù cho công suất làm lạnh tăng thêm có thể cần để lấy đi một phần nhiệt từ bộ sưởi rò rỉ vào thiết bị lạnh. Năng lượng tổng (được hiệu chỉnh bởi hệ số tổn thất hệ thống) được cộng vào năng lượng tiêu thụ theo năm đối với vùng đó. Hệ số tổn thất hệ thống giả thiết trong tiêu chuẩn này là 1,3.
CHÚ THÍCH: Hệ số tổn thất hệ thống dựa trên các phép đo theo kinh nghiệm.
Hoạt động của bộ sưởi chống ngưng tụ có thể được kiểm tra thông qua các thử nghiệm cụ thể trong dải các điều kiện để đảm bảo rằng công bố của nhà chế tạo là chính xác.
Phòng thí nghiệm cần kiểm tra các giá trị đo được của công suất bộ sưởi ở các nhiệt độ và mức độ ẩm khác nhau nhất quán với công suất công bố của bộ sưởi do nhà chế tạo công bố trong Bảng F.1.
F.2.2 Quy trình đo
Trong trường hợp yêu cầu có các phép đo cụ thể để khẳng định hoặc kiểm tra hoạt động của bộ sưởi chống ngưng tụ điều chỉnh bởi môi trường, các phép đo này phải được thực hiện theo Phụ lục A và Phụ lục B.
F.2.3 Yêu cầu về dữ liệu
Đối với các sản phẩm có bộ sưởi chống ngưng tụ điều chỉnh bởi môi trường, nhà chế tạo được yêu cầu giữ tài liệu về hoạt động của công suất bộ sưởi như một hàm liên tục hoặc hàm bậc thang của nhiệt độ môi trường và độ ẩm môi trường.
Để tính tác động về năng lượng của bộ sưởi chống ngưng tụ điều chỉnh bởi môi trường theo tiêu chuẩn này, dữ liệu về hoạt động của công suất bộ sưởi được chuyển đổi thành dữ liệu công suất đối với dải các giá trị độ ẩm và nhiệt độ môi trường. Thông thường, việc chuyển đổi này dưới dạng bảng các công suất trung bình của bộ sưởi chống ngưng tụ đối với mỗi trong 10 dải độ ẩm và 3 giá trị nhiệt độ môi trường quy định. Nếu các yếu tố khác bổ sung cho độ ẩm và/hoặc nhiệt độ có thể ảnh hưởng đến hoạt động của bộ sưởi chống ngưng tụ điều chỉnh bởi môi trường thì các tham số này cũng được yêu cầu.
Các giá trị nhiệt độ môi trường để tính năng lượng của bộ sưởi chống ngưng tụ trong tiêu chuẩn này là 16 °C, 22 °C và 32 °C.
Trong khi các điều kiện môi trường cơ bản quy định được coi là đủ để ước lượng chính xác năng lượng tiêu thụ của các bộ sưởi này trong hầu hết các điều kiện, một số vùng có thể muốn quy định thêm các giá trị nhiệt độ. Nhiệt độ cơ bản là các nhiệt độ được quan tâm nhiều nhất vì ở 16 °C và 32 °C chúng là các nhiệt độ thử nghiệm năng lượng (dải đại diện cho sử dụng thông thường trong nhiều vùng) và 22 °C là nhiệt độ trong nhà điển hình của không gian được điều hòa.
Ví dụ về định dạng của các dữ liệu bộ sưởi cần được cung cấp đối với các nhiệt độ môi trường cơ bản được cho trong ba cột cuối cùng của Bảng F.1.
F.2.4 Dữ liệu thời tiết của vùng
Để thực hiện các tính toán cần thiết đối với hoạt động của bộ sưởi chống ngưng tụ điều chỉnh bởi môi trường, các vùng được yêu cầu chuẩn bị bản đồ xác suất dữ liệu nhiệt độ và độ ẩm liên quan đến các điều kiện trong nhà. Xác suất được lấy trọng số theo dân số cần sử dụng khi có thể. Mục đích nhằm cung cấp phân bố đại diện nhất về điều kiện hoạt động trong nhà hàng năm mà thiết bị lạnh có nhiều khả năng gặp phải trong sử dụng bình thường.
CHÚ THÍCH: Có thể khó để có được dữ liệu nhiệt độ và độ ẩm trong nhà đại diện. Phân bố nhiệt độ phụ thuộc vào khí hậu và mức độ điều chỉnh khí hậu trong nhà được sử dụng (gia nhiệt và/hoặc làm mát). Một số phân tích cho thấy rằng các mức độ ẩm tuyệt đối trong nhà tương đương với mức độ ẩm tuyệt đối ngoài trời (với lưu ý là chúng cần được hiệu chỉnh theo sự chênh lệch nhiệt độ khi tính các mức độ ẩm tương đối).
Ví dụ về một định dạng của dữ liệu trong nhà theo vùng cần cung cấp được cho trong các cột 3, 4 và 5 của Bảng F.1.
Các vùng có thể chọn việc không sử dụng tất cả ba nhiệt độ môi trường quy định trong Bảng F.1. Các vùng cũng có thể bổ sung nhiệt độ môi trường ngoài các quy định trong Bảng F.1.
F.2.5 Tính công suất tiêu thụ
Cần có các dữ liệu nêu trong Bảng F.1.
CHÚ THÍCH: Các giá trị theo vùng (R1 đến R30) thường được xác định bởi cơ quan có thẩm quyền liên quan. Các giá trị công suất mà được quy định riêng cho các giá trị theo vùng này (PH1 đến PH30 đối với các bin từ R1 đến R30) thường được cung cấp bởi nhà cung cấp sản phẩm hoặc nhà chế tạo.
Thường khuyến cáo rằng các giá trị của tất cả các bin độ ẩm trên tất cả các nhiệt độ môi trường trong nhà cộng với giá trị 1 (100 %) để hỗ trợ kiểm tra dữ liệu (tức là cộng R1 đến R30 = 1). Điều này yêu cầu các bin độ ẩm ở từng nhiệt độ môi trường cần được lấy trọng số theo phân bố thời gian ở từng nhiệt độ môi trường.
Bảng F.1 - Định dạng đối với các dữ liệu nhiệt độ và độ ẩm - bộ sưởi chống ngưng tụ điều chỉnh bởi môi trường
| Độ ẩm tương đối | Điểm giữa dải độ ẩm | Xác suất ở 16 °C | Xác suất ở 22 °C | Xác suất ở 32 °C | Bộ sưởi W ở 16°C | Bộ sưởi W ở 22 °C | Bộ sưởi W ở 32 °C |
| 0 đến 10 % | 5 % | R1 | R11 | R21 | PH1 | PH11 | PH21 |
| 10 đến 20 % | 15 % | R2 | R12 | R22 | PH2 | PH12 | PH22 |
| 20 đến 30 % | 25 % | R3 | R13 | R23 | PH3 | PH13 | PH23 |
| 30 đến 40 % | 35 % | R4 | R14 | R24 | PH4 | PH14 | PH24 |
| 40 đến 50 % | 45 % | R5 | R15 | R25 | PH5 | PH15 | PH25 |
| 50 đến 60 % | 55 % | R6 | R16 | R26 | PH6 | PH16 | PH26 |
| 60 đến 70 % | 65 % | R7 | R17 | R27 | PH7 | PH17 | PH27 |
| 70 đến 80 % | 75 % | R8 | R18 | R28 | PH8 | PH18 | PH28 |
| 80 đến 90 % | 85 % | R9 | R19 | R29 | PH9 | PH19 | PH29 |
| 90 đến 100% | 95 % | R10 | R20 | R30 | PH10 | PH20 | PH30 |
Công suất bộ sưởi có thể được tính như sau:

trong đó
Wheaters là công suất tiêu thụ trung bình hàng năm liên quan đến bộ sưởi chống ngưng tụ điều chỉnh bởi môi trường
Ri là hệ số theo vùng chỉ thị xác suất của bin nhiệt độ và độ ẩm thứ i trong Bảng F.1
PHi là công suất trung bình của bộ sưởi liên quan đến bin nhiệt độ và độ ẩm thứ i trong Bảng F.1
k là tổng số các bin nhiệt độ và độ ẩm được sử dụng (=30 nếu tất cả cácbin trong Bảng F.1 được sử dụng)
1,3 là hệ số tổn thất giả thiết (là năng lượng được sử dụng bởi bộ sưởi (1,0) cộng với thành phần tổn thất 0,3 để tính rò nhiệt vào ngăn và lấy nhiệt đó ra bởi hệ thống làm lạnh)
Một số vùng có thể muốn quy định ít hơn hoặc nhiều hơn các bin nhiệt độ môi trường.
F.2.6 Trường hợp bộ sưởi chống ngưng tụ không thể làm mất hiệu lực nhưng có thể đo trực tiếp năng lượng tiêu thụ
Công suất đo được của (các) bộ sưởi chống ngưng tụ được điều chỉnh tự động từ các lần chạy thử nghiệm khi nhiệt độ ngăn gần với nhiệt độ mục tiêu nhất phải được nhân với 1,3 (hệ số tổn thất hệ thống) và phải được trừ đi từ kết quả thử nghiệm năng lượng đã được nội suy. Công suất mà các bộ sưởi cần sử dụng ở nhiệt độ môi trường yêu cầu và các mức độ ẩm sau đó được tổng hợp lại và cộng với kết quả thử nghiệm theo cách tương tự một cách chính xác đối với các model mà có thể làm mất hiệu lực của các bộ sưởi.
Các phòng thí nghiệm cần kiểm tra rằng các giá trị đo được của công suất bộ sưởi đối với các nhiệt độ và mức độ ẩm khác nhau là nhất quán với công suất bộ sưởi công bố được nhà chế tạo cung cấp trong Bảng F.1.
F.2.7 Trường hợp bộ sưởi không thể làm mất hiệu lực và cũng không thể đo trực tiếp năng lượng tiêu thụ
Độ ẩm tương đối của phòng thử nghiệm phải được đo trong thử nghiệm năng lượng. Công suất công bố của bộ sưởi chống ngưng tụ được điều chỉnh tự động ở độ ẩm và môi trường đó nhân với 1,3 (hệ số tổn thất hệ thống) và trừ đi khỏi kết quả thử nghiệm năng lượng đã được nội suy. Công suất mà các bộ sưởi cần sử dụng ở 16 °C, 22 °C và 32 °C và mười điểm giữa của dải độ ẩm sau đó được tổng hợp và cộng với kết quả thử nghiệm theo cùng một cách như đối với các model có thể làm mất hiệu lực bộ sưởi.
Các phòng thí nghiệm cần kiểm tra rằng các giá trị đo được của công suất bộ sưởi đối với các nhiệt độ và mức độ ẩm khác nhau là nhất quán với công suất bộ sưởi công bố được nhà chế tạo cung cấp trong Bảng F.1.
F.2.8 Trường hợp bộ sưởi chống ngưng tụ có giá trị đặt mà người sử dụng điều chỉnh được
Trong trường hợp sản phẩm có giá trị đặt mà người sử dụng điều chỉnh được có ảnh hưởng đến công suất sử dụng bởi bộ sưởi chống ngưng tụ, được điều chỉnh tự động đáp ứng điều kiện môi trường, thì năng lượng tiêu thụ ở giá trị năng lượng cao nhất và thấp nhất có thể chọn bởi người sử dụng (theo quy tắc của bộ sưởi bật tắt bằng tay) phải được tính và ghi lại riêng rẽ. Cách tiếp cận đưa ra trong F.2.5, F.2.6 hoặc F.2.7, nếu thuộc đối tượng áp dụng, phải được sử dụng để xác định các giá trị cao nhất và thấp nhất của bộ sưởi chống ngưng tụ.
F.3 Bộ phận làm đá tự động - năng lượng làm đá
F.3.1 Quy định chung
Bộ phận làm đá tự động được chia thành hai loại khác nhau:
• được nối với nguồn nước - trong trường hợp nước từ nguồn bên ngoài được nối với thiết bị lạnh;
• dạng hộp - trong trường hợp nước được sử dụng từ hộp bên trong được đổ nước bởi người sử dụng khi hết nước.
CHÚ THÍCH: Các phương pháp thử nghiệm đối với nước nguồn được nối với bộ phận làm đá tự động đang được xem xét.
F.3.2 Bộ phận làm đá tự động dạng hộp
F.3.2.1 Mục đích
Mục đích của thử nghiệm này nhằm xác định năng lượng tăng thêm cần để tạo ra một lượng đá xác định trong bộ phận làm đá tự động dạng hộp. Điều F.3.2 sẽ đưa ra:
• mô tả quy trình
• xác định các chuẩn bị cho việc bố trí và điều khiển khởi động
• đánh giá thời điểm kết thúc thử nghiệm
• đo và tính toán
• các giá trị cần báo cáo
Về nguyên tắc, thử nghiệm này tương tự với thử nghiệm hiệu suất xử lý tải xác định trong Phụ lục G, nhưng chỉ đề cập đến thành phần làm đá đối với các sản phẩm có bộ phận làm đá tự động sử dụng nguồn nước dạng hộp.
Trong trường hợp năng lượng tiêu thụ để làm đá được nêu hoặc công bố đối với bộ phận làm đá tự động theo tiêu chuẩn này, phải sử dụng quy trình được quy định trong phụ lục này.
F.3.2.2 Mô tả chung
Bộ phận làm đá dạng hộp có hộp chứa nước trong ngăn không đông. Bộ phận làm đá tiếp tục làm đá cho đến khi hộp làm đá đầy (thường có cấu hình dưới dạng ngăn kéo riêng bên ngoài) hoặc hộp nước đạt đến mức nước nhỏ nhất của nó (không thể bơm nước nếu thấp hơn mức này). Đối với thử nghiệm làm đá, hộp làm đá được để rỗng và lượng nước tối thiểu được đổ vào hộp chứa nước sao cho có thể làm đá và nước giảm xuống mức thấp nhất của hộp. Sau đó thiết bị được cho hoạt động trong các điều kiện ổn định. Tại thời điểm bắt đầu thử nghiệm, lượng nước quy định ở nhiệt độ môi trường được thêm vào (mặc định là 300 g hoặc 0,300 kg). Thiết bị làm đá tự động cho đến khi lại đạt đến mức nước nhỏ nhất của hộp. Các phép đo trong thử nghiệm này được sử dụng để xác định năng lượng tăng thêm sử dụng để làm đá.
F.3.2.3 Điều kiện thử nghiệm
Thử nghiệm này được thực hiện theo các yêu cầu đối với thử nghiệm năng lượng bình thường, ngoại trừ sản phẩm được cấu hình để cho phép làm đá trong bộ phận làm đá tự động của nó. Thử nghiệm này thường được thực hiện ngay trước hoặc sau thử nghiệm năng lượng tiêu thụ bình thường. Thử nghiệm được thực hiện ở nhiệt độ môi trường 16 °C và 32 °C.
F.3.2.4 Bố trí, thiết bị và chuẩn bị
Trường hợp thử nghiệm làm đá tự động dạng hộp được sử dụng làm cơ sở cho công bố của nhà chế tạo thì nhiệt độ trung bình của tất cả các ngăn được sử dụng để chứa nước và làm/chứa đá phải bằng hoặc nhỏ hơn nhiệt độ mục tiêu liên quan quy định trong 5.1.
CHÚ THÍCH 1: Tất cả các nhiệt độ quy định trong điều này đều ở điều kiện trạng thái ổn định và không tính đến các tác động về nhiệt độ của bất cứ giai đoạn xả băng và phục hồi nào (nếu thuộc đối tượng áp dụng).
Đối với các thử nghiệm kiểm tra xác nhận, các nhiệt độ của hộp làm đá và ngăn thực phẩm tươi (ngăn chứa hộp nước) phải nằm trong phạm vi ±1 K của nhiệt độ mục tiêu liên quan. Một cách khác, các kết quả của hai thử nghiệm làm đá có thể được nội suy đến nhiệt độ mục tiêu của ngăn thực phẩm tươi trong khi các bộ điều chỉnh của các ngăn khác không được điều chỉnh.
CHÚ THÍCH 2: Thông thường, thử nghiệm này được thực hiện sau thử nghiệm năng lượng trong cùng điều kiện.
Cần có bộ quả cân để đo khối lượng hộp chứa nước khi bắt đầu và kết thúc thử nghiệm.
Hộp chứa đá phải được để rỗng và không có đá. Cảm biến tự động điều chỉnh việc làm đá được hoạt động bình thường.
Trong khi thiết bị làm việc, bổ sung nước (cao hơn mức nước nhỏ nhất khoảng 100 g - đủ để đảm bảo có thể làm được đá). Hộp chứa nước được đặt vào vị trí và cho hoạt động bình thường và làm đá cho đến khi đạt đến mức nước nhỏ nhất của nó và không thể làm đá được nữa. Sau đó thiết bị được để hoạt động trong các điều kiện trạng thái ổn định trong tối thiểu 6 h.
Không có giá trị đặt ngắn hạn, bộ điều chỉnh hoặc các chức năng được phép khởi động hoặc thay đổi trong quá trình chuẩn bị hoặc làm đá đối với thử nghiệm này.
Nếu không có giới hạn về dung tích hộp chứa nước hoặc dung tích hộp chứa đá, khối lượng đá cần làm là 300 g (0,300 kg) nếu không có quy định khác trong các yêu cầu theo vùng hoặc điều kiện thử nghiệm.
Nước được đưa vào hộp chứa nước khi bắt đầu thử nghiệm phải được đo trong chai PET 500 g phải được bảo quản trong phòng thử, được làm việc ở nhiệt độ môi trường liên quan, trong thời gian không ít hơn 15 h trước khi thực hiện thử nghiệm làm đá. Xem Phụ lục G đối với quy định kỹ thuật của chai PET.
F.3.2.5 Bắt đầu thử nghiệm
Đối với thiết bị lạnh không có chu kỳ điều khiển xả băng, thử nghiệm làm đá phải được đặt trước bởi giai đoạn làm việc, ở giá trị đặt điều chỉnh nhiệt độ sử dụng cho thử nghiệm làm đá có thể xác định là giai đoạn thử nghiệm năng lượng hợp lệ theo Điều B.3.
Đối với thiết bị lạnh có một hoặc nhiều hệ thống xả băng (từng hệ thống có chu kỳ điều khiển xả băng riêng) thử nghiệm làm đá phải được đặt trước bởi:
• Giai đoạn thử nghiệm năng lượng phù hợp với Điều B.3 ở giá trị đặt điều chỉnh nhiệt độ được sử dụng cho thử nghiệm làm đá; hoặc
• Giai đoạn thử nghiệm năng lượng phù hợp với Điều B.4 ở giá trị đặt điều chỉnh nhiệt độ được sử dụng cho thử nghiệm làm đá; hoặc
• Giai đoạn xả băng và phục hồi phù hợp với Điều C.3 ở giá trị đặt điều chỉnh nhiệt độ được sử dụng cho thử nghiệm làm đá (nếu áp dụng được).
Đối với tất cả các loại sản phẩm, giá trị đặt điều chỉnh nhiệt độ phải được giữ không đổi trong thời gian thử nghiệm làm đá.
Đối với các sản phẩm đơn giản có các chu kỳ máy nén đều đặn, thời điểm máy nén bật có thể lấy làm thời điểm bắt đầu thử nghiệm làm đá. Đối với các sản phẩm phức tạp hơn, giá trị nhiệt độ lớn nhất trong ngăn chiếm ưu thế trong năng lượng tiêu thụ có thể lấy làm thời điểm bắt đầu thử nghiệm làm đá (xem thêm hướng dẫn trong Phụ lục A và Phụ lục B). Trong trường hợp hộp chứa nước được đưa vào trong giai đoạn xả băng và phục hồi, thời điểm bắt đầu thử nghiệm được xác định là thời điểm bắt đầu giai đoạn xả băng và phục hồi đó.
CHÚ THÍCH: Việc đổ nước vào hộp trong giai đoạn xả băng và phục hồi (trước khi thiết lập trạng thái ổn định) thường không được khuyến cáo.
Cửa của ngăn chứa hộp nước được mở ở điểm thích hợp như xác định ở trên để đổ nước. Cửa phải giữ mở ở góc tối thiểu là 90° so với vị trí đóng trong thời gian càng xấp xỉ 1 min càng tốt (±5 s). Trong trường hợp có hai cửa để tiếp cận ngăn chứa hộp nước thì cả hai cửa phải được mở đồng thời. Trong thời gian 1 min đó:
• Trường hợp hộp nước được lấy ra:
- Đo và ghi lại khối lượng tổng của hộp nước và nước thừa.
- Thêm nước từ các chai PET ở nhiệt độ môi trường vào hộp chứa nước.
- Đo và ghi lại khối lượng tổng của hộp chứa nước và nước một lần nữa.
- Lắp hộp chứa nước trở lại vị trí bình thường của chúng.
• Trường hợp hộp nước không được lấy ra:
- Đo khối lượng nước được thêm vào hộp chứa.
• Đóng cửa.
• Cho thiết bị làm đá như bình thường.
F.3.2.6 Kết thúc thử nghiệm
Thử nghiệm làm đá được kết thúc khi đạt đến giai đoạn làm việc ổn định sau khi đã thực hiện làm đá và hộp nước giảm xuống mức nước nhỏ nhất. Giai đoạn thử nghiệm được kết thúc khi kết thúc chu kỳ điều chỉnh nhiệt độ hoàn chỉnh. Các giá trị đặt điều chỉnh nhiệt độ phải giữ không đổi trong thời gian thử nghiệm làm đá.
Thử nghiệm làm đá đối với thiết bị lạnh không có hệ thống xả băng (từng thiết bị có chu kỳ điều khiển xả băng riêng) phải được kết thúc với giai đoạn thử nghiệm năng lượng phù hợp với Điều B.3.
Thử nghiệm làm đá tự động đối với thiết bị lạnh có một hoặc nhiều hệ thống xả băng (có chu kỳ điều khiển xả băng riêng) được kết thúc với giai đoạn thử nghiệm năng lượng phù hợp với:
• Điều B.3 (kể cả các yêu cầu về tính hợp lệ), hoặc
• Điều B.4 (kể cả các yêu cầu về tính hợp lệ) mà sẽ kết thúc với giai đoạn xả băng và phục hồi phù hợp với các yêu cầu về tính hợp lệ của C.3 (nếu áp dụng được).
Đối với thiết bị lạnh có một hoặc nhiều chu kỳ điều khiển xả băng, giai đoạn xả băng và phục hồi xả ra trong thử nghiệm làm đá (tức là trước khi làm được tất cả đá và thiết lập được trạng thái ổn định) phải được để tiếp tục làm việc cho đến khi hoàn thành. Kết thúc thử nghiệm làm đá khi đạt đến các điều kiện trạng thái ổn định và sau khi hoàn thành giai đoạn xả băng và phục hồi hợp lệ như quy định ở trên.
Khi đã thiết lập được các điều kiện nêu trên, cửa được mở và hộp nước được lấy ra và cân. Khối lượng cuối cùng của hộp nước và nước thừa được ghi lại. Khối lượng xấp xỉ của đá khi kết thúc thử nghiệm và lượng viên đá cần được ghi lại. Trong trường hợp không thể lấy hộp đá ra thì phải ghi lại khối lượng của đá đã được làm trong thử nghiệm.
Tiêu chí tính hợp lệ bổ sung dưới đây được áp dụng cho các tham số đo được khi bắt đầu (trước khi nạp nước vào) và giai đoạn ổn định khi kết thúc thử nghiệm làm đá tự động:
• Chênh lệch công suất trạng thái ổn định PSSM không được vượt quá 5 % hoặc 2 W, chọn giá trị lớn hơn.
Trong trường hợp khi xác định tính hợp lệ ban đầu sử dụng xả băng trong Điều C.3 (xem F.3.2.5) vì tính hợp lệ với Điều B.3 hoặc Điều B.4 không thể thiết lập (ví dụ do thời gian thử nghiệm không đủ) thì công suất trạng thái ổn định ban đầu PSSM nêu trên được lấy là giá trị công suất trung bình của giai đoạn D và giai đoạn F (trường hợp DF1 trong Điều C.3).
Trong trường hợp thiết bị lạnh có một hoặc nhiều hệ thống xả băng (từng hệ thống có chu kỳ xả băng riêng), khi không đáp ứng được các điều kiện nêu trên, thiết bị phải được cho làm việc cho đến khi hoàn thành giai đoạn xả băng và phục hồi tiếp theo và thiết lập điều kiện trạng thái ổn định mới và được đánh giá theo tiêu chí này.
Nếu tiêu chí tính hợp lệ này không thể được đáp ứng sau xả băng tiếp theo, thử nghiệm phải được lặp lại. Kết quả thử nghiệm lặp lại này được sử dụng để xác định năng lượng tiêu thụ đối với thử nghiệm làm đá. Lấy đá làm được từ thử nghiệm trước sau khi thiết lập trạng thái ổn định và cân đá này. Thời gian mở cửa không nên nhiều quá 20 s. Khởi động lại thử nghiệm làm đá, bắt đầu với chu kỳ điều chỉnh nhiệt độ sau khi hết chu kỳ điều chỉnh nhiệt độ mà đá được lấy ra. Đối với các thiết bị lạnh có một hoặc nhiều chu kỳ điều khiển xả băng, giai đoạn xả băng và phục hồi bất kỳ xảy ra trong thử nghiệm làm đá tự động (tức là trước khi đá được làm xong và thiết lập điều kiện trạng thái ổn định) phải được để cho tiếp tục làm việc cho đến khi hoàn thành.
Kết thúc thử nghiệm làm đá tự động khi đạt được các điều kiện trạng thái ổn định và sau khi hoàn thành giai đoạn xả băng và phục hồi hợp lệ như quy định ở trên.
Đối với loại bộ phận làm đá này, giả thiết là tất cả nước được bơm ra khỏi hộp chứa đều được làm thành đá trong hộp làm đá. Hộp làm đá cần được kiểm tra để đảm bảo rằng tạo ra được các viên đá thích hợp. Khuyến cáo rằng khối lượng đá tạo thành đều được đo (với lưu ý là một số mảnh vụn nhỏ có thể khó lấy ra). Nếu xuất hiện sự khác nhau trong lượng đá tạo thành (lưu ý là một số đá sẽ được làm trước khi bắt đầu thử nghiệm), sản phẩm cần kiểm tra kỹ để đảm bảo rằng không có rò rỉ hoặc các đường dẫn nước khác từ hộp chứa. Yếu tố chính có thể ảnh hưởng đến công suất trước và sau khi làm đá tự động là sự thay đổi hoạt động của bộ sưởi lắp với thiết bị làm đá. Phân tích cho thấy rằng trong phạm vi các giới hạn tính hợp lệ được thiết lập dưới đây, các ảnh hưởng này là nhỏ và có thể bỏ qua.
F.3.2.7 Tính toán
Khối lượng đá tạo thành trong thử nghiệm được xác định như sau:
Mice-tect = Mwater-added + Minitial-tank - Mfinal-tank (41)
Nguyên tắc được sử dụng để xác định năng lượng sử dụng cho làm đá là thiết lập giai đoạn làm việc trạng thái ổn định sau khi tất cả đá được tạo thành. Khi đó năng lượng bổ sung được tính bằng hiệu giữa năng lượng tiêu thụ thực tế từ khi bắt đầu thử nghiệm làm đá (ở điểm đưa hộp nước vào) đến khi kết thúc giai đoạn trạng thái ổn định (Pafter) và công suất tiêu thụ trong giai đoạn đó nếu công suất tiêu thụ là công suất trạng thái ổn định (Patter) trong giai đoạn đó.
Nếu một hoặc nhiều giai đoạn xả băng và phục hồi xảy ra trong thử nghiệm làm đá tự động, năng lượng liên quan đến xả băng và phục hồi đại diện ở nhiệt độ thử nghiệm như được xác định theo Phụ lục D được trừ đi khỏi năng lượng tăng thêm này.
Năng lượng tăng thêm để làm lượng đá cụ thể trong thử nghiệm được cho bởi:
ΔEice-test = (Eend - Estart) - Pafter x (tend - tstart) - z x ΔEdf (42)
trong đó
ΔEice-test là năng lượng tiêu thụ bởi thiết bị lạnh để làm lượng đá cụ thể trong thử nghiệm, tính bằng Wh
Estart là số đọc năng lượng lũy tích khi bắt đầu thử nghiệm làm đá như xác định trong F.3.2.5, tính bằng Wh
Eend là số đọc năng lượng lũy tích ở làm đá như xác định trong F.3.2.5, tính bằng Wh
Pafter là số công suất tiêu thụ trạng thái ổn định xảy ra sau khi đã tạo thành tất cả đá trong giai đoạn thử nghiệm năng lượng hợp lệ (B.3 hoặc B.4) như xác định trong F.3.2.6, tính bằng W
tstart là thời gian thử nghiệm khi bắt đầu thử nghiệm làm đá được xác định trong F.3.2.5, tính bằng giờ
tend là thời gian thử nghiệm khi kết thúc thử nghiệm làm đá được xác định trong F.3.2.6, tính bằng giờ
ΔEdf là năng lượng tiêu thụ tăng thêm liên quan đến giai đoạn xả băng và phục hồi như xác định theo Phụ lục C (C.5)
z là hệ số bằng số lượng giai đoạn xả băng và phục hồi xảy ra trong và trước khi hoàn thành thử nghiệm làm đá. Giá trị này bằng không đối với thiết bị lạnh không có hệ thống xả băng (với chu kỳ điều khiển xả băng) hoặc trong trường hợp không xảy ra giai đoạn xả băng và phục hồi nào trong thử nghiệm làm đá.
Năng lượng tiêu thụ tăng thêm được chuẩn hóa để làm 1 kg đá được tính từ dữ liệu thử nghiệm như sau:

trong đó
ΔEkg-ice là năng lượng tiêu thụ tăng thêm bởi thiết bị lạnh để làm 1 kg đá, tính bằng Wh
ΔEice-test là năng lượng tiêu thụ bởi thiết bị lạnh để làm lượng đá cụ thể trong thử nghiệm, tính bằng Wh
Mice-test là khối lượng nước được làm thành đá trong quá trình thử nghiệm, tính bằng kilogam
Các tính toán dưới đây là tùy chọn và có thể được sử dụng để tạo ra đánh giá chung hiệu suất làm đá của thiết bị.
Năng lượng chuyển nước thành đá với lượng đá cụ thể được tạo thành trong thử nghiệm có thể được tính như sau:
(44)
trong đó
Eice-enthalpy là năng lượng lấy khỏi tải nước để làm lượng đá cụ thể trong thử nghiệm, tính bằng Wh
Mice-test là khối lượng nước được làm thành đá trong thử nghiệm, tính bằng kilogam
Tice là nhiệt độ trung bình của hộp làm đá sau khi kết thúc thử nghiệm làm đá, tính bằng °C (nhiệt độ này phải nhỏ hơn 0 °C)
Tamb là nhiệt độ môi trường trung bình đo được trong 6 h trước khi đặt tải nước vào thiết bị lạnh (nhiệt độ nước ban đầu), tính bằng °C
4,186 là hệ số thay đổi enthalpy của nước, tính bằng kJ/(kg.K) (trong khi không đông)
2,05 là hệ số thay đổi enthalpy của nước, tính bằng kJ/(kg.K) (trong khi đông)
333,6 là hệ số thay đổi enthalpy khi chuyển pha, tính bằng kJ/kg (nước sang băng)
3,6 là hệ số chuyển đổi kJ sang Wh (s/h x 10-3)
CHÚ THÍCH 1: Các đơn vị của khối lượng trong công thức trên đều là kilogam trong khi đó gam được sử dụng ở nhiều chỗ trong phụ lục này, vì vậy cần thận trọng để đảm bảo sử dụng đúng đơn vị.
Hiệu suất tổng của quá trình làm đá có thể được xác định như sau:
![]()
trong đó
Efficiencyice là hiệu suất làm đá đối với nhiệt độ môi trường quy định và khối được đá quy định (không thứ nguyên - Wh/Wh)
Eice-enthalpy là năng lượng lấy khỏi tải nước để làm lượng đá cụ thể trong thử nghiệm, tính bằng Wh
ΔEice-test là năng lượng tiêu thụ bởi thiết bị lạnh để làm lượng đá cụ thể trong thử nghiệm, tính bằng Wh
CHÚ THÍCH 2: Giá trị đo Efficiencyice được có thể lớn hơn 1.
F.3.2.8 Dữ liệu cần ghi lại và tính toán
Các giá trị dưới đây phải được ghi lại trong báo cáo thử nghiệm đối với từng nhiệt độ môi trường trong trường hợp năng lượng tiêu thụ để làm đá đối với bộ phận làm đá kiểu hộp được đo và ghi lại:
• Khối lượng ban đầu của hộp chứa và nước thừa, tính bằng kilogam
• Khối lượng cuối cùng của hộp chứa và nước thừa, tính bằng kilogam
• Khối lượng tải nước nạp vào hộp chứa, tính bằng kilogam
• Nhiệt độ môi trường danh nghĩa, tính bằng °C
• Khối lượng đá được tạo thành, tính bằng kilogam
• Nhiệt độ môi trường đo được trong 6 h trước khi bắt đầu thử nghiệm, tính bằng °C
• Thời gian của thử nghiệm làm đá, tính bằng giờ
• Công suất trạng thái ổn định khi kết thúc thử nghiệm, tính bằng W
• Số lần xả băng xảy ra trong thử nghiệm là đá (z)
• Giá trị ΔEdf được sử dụng trong các tính toán (nếu thuộc đối tượng áp dụng)
• Năng lượng tăng thêm sử dụng để làm đá ΔEice-test như xác định trong F.3.2.7
• Năng lượng tiêu thụ tăng thêm đối với mỗi kg đá tạo thành ΔEkg-ice như xác định trong F.3.2.7
Tham số sau được khuyến cáo đưa vào báo cáo thử nghiệm:
Năng lượng được lấy khỏi nước để làm đá Eice-enthalpy như xác định trong F.3.2.7, tính bằng Wh
• Hiệu suất làm đá Efficiencyice đối với từng nhiệt độ môi trường thử nghiệm quy định như xác định trong F.3.2.7.
F.3.2.9 Bổ sung làm đá tự động vào năng lượng theo ngày
Phụ lục này cung cấp ước lượng năng lượng tiêu thụ tăng thêm cần thiết để làm đá tự động. Nhu cầu sử dụng đá thường có thay đổi lớn giữa các vùng vì điều này phụ thuộc vào khí hậu, mùa và điều kiện trong nhà, cũng như thói quen của người sử dụng. Do đó, năng lượng tăng têm để làm đá trong phụ lục này thường được xác định sao cho lượng tiêu thụ đá phù hợp nhất với yêu cầu của vùng.
Trong trường hợp ước lượng theo vùng của lượng đá tiêu thụ được cho bằng kg/d thì tác động của năng lượng tiêu thụ theo ngày ở nhiệt độ môi trường cho trước có thể được ước lượng như sau:
ΔEice-making = ΔEkg-ice x Mice-making (46)
trong đó
ΔEice-making là năng lượng tiêu thụ tăng thêm bởi thiết bị lạnh để làm Mice-making kg đá mỗi ngày ở nhiệt độ môi trường quy định, tính bằng Wh/d
ΔEkg-ice là năng lượng tăng thêm ước lượng được tiêu thụ bởi thiết bị lạnh để làm 1 kg đá, tính bằng Wh, được cho trong F.3.2.7.
Mice-making là khối lượng nước được làm thành đá trong một ngày, tính bằng kg/d - đây là yếu tố vùng
Giá trị ΔEice-making có thể được thêm vào giá trị năng lượng tiêu thụ theo ngày để ước lượng giá trị đối với thành phần liên quan đến người sử dụng này. Nếu các giá trị ở nhiệt độ môi trường 16 °C và 32 °C đều được sử dụng thì hệ số năm có thể được biểu diễn như sau:
ΔEice-making-annual = f{ΔEice-making16C. ΔEice-making32C} (47)
Phụ lục G
(quy định)
Xác định hiệu suất xử lý tải
G.1 Mục đích
Phụ lục này xác định năng lượng tiêu thụ bổ sung bởi thiết bị lạnh để lấy lượng năng lượng đã biết chứa trong nước ấm, được đặt vào các ngăn không đông và/hoặc ngăn đông theo cách xác định. Tỷ số giữa năng lượng trong nước (được lấy ra) và năng lượng tiêu thụ bổ sung bởi thiết bị lạnh được sử dụng để xác định hiệu suất xử lý tải.
Mục đích của thử nghiệm hiệu suất xử lý tải nhằm xác định tác động của năng lượng tăng thêm về khía cạnh liên quan đến người sử dụng trong sử dụng thiết bị lạnh ví dụ như mở cửa và làm lạnh thức ăn và đồ uống ấm. Dữ liệu này có thể được sử dụng cùng với các thử nghiệm với cửa đóng để cung cấp ước lượng năng lượng tiêu thụ tổng thể hiện sát hơn với sử dụng thực tế trong các vùng khác nhau. Để sử dụng giá trị hiệu suất xử lý tải, cần thực hiện ước lượng về tải xử lý liên quan đến người sử dụng trong vùng điển hình. Điều này được thực hiện tốt nhất thông qua các chương trình đo người sử dụng trong vùng đó. Tác động của tải xử lý ước lượng theo vùng lên năng lượng cho thiết bị lạnh cụ thể có thể được ước lượng từ giá trị hiệu suất xử lý tải xác định trong phụ lục này.
Nếu các tiêu chuẩn vùng và yêu cầu dán nhãn không sử dụng thành phần này trong các tính toán của họ (tức là đặt tải xử lý bằng không) thì thử nghiệm này không yêu cầu đối với vùng đó.
Trong trường hợp nhà cung cấp đưa ra các dữ liệu hoặc công bố về hiệu suất xử lý tải thì phải dựa trên các phép đo được thực hiện theo phụ lục này.
CHÚ THÍCH: Đối với thiết bị lạnh có các ngăn đông và không đông, phụ lục này đưa ra phương pháp đo hiệu suất xử lý tải kết hợp của cả hai ngăn. Quy trình này có thể, về nguyên tắc, được sử dụng để đo riêng rẽ hiệu suất xử lý tải của chỉ ngăn không đông hoặc chỉ ngăn đông.
G.2 Mô tả chung
Thiết bị lạnh được làm việc trong điều kiện trạng thái ổn định với các giá trị đặt bộ điều chỉnh nhiệt độ sát với nhiệt độ mục tiêu liên quan đối với năng lượng tiêu thụ như quy định trong Bảng 1 cho từng ngăn (xem 5.1). Các giá trị đặt của bộ điều chỉnh nhiệt độ phải giữ không đổi trong thời gian thử nghiệm hiệu suất xử lý tải.
Khối lượng nước quy định (là hàm của dung tích các ngăn không đông và/hoặc ngăn đông) được đặt vào buồng thử nghiệm với thiết bị lạnh và để đạt được nhiệt độ môi trường thử nghiệm.
Một khi điều kiện quy định được đáp ứng, cửa của ngăn không đông lớn nhất được mở ra trong thời gian quy định và chai chứa nước được đặt vào các vị trí quy định của chúng. Khi đó cửa của ngăn đông lớn nhất được mở trong thời gian quy định và các khay đá đổ đầy nước được đặt vào các vị trí quy định.
Thiết bị lạnh được cho làm việc cho đến khi đạt đến điều kiện trạng thái ổn định về nhiệt độ và công suất tiêu thụ. Dữ liệu thu thập được sử dụng để xác định hiệu suất xử lý tải ở nhiệt độ môi trường quy định. Hiệu suất xử lý tải được xác định là tỷ số tải nhiệt được xử lý trong nước (lấy đi) chia cho năng lượng tiêu thụ bổ sung (trên công suất trạng thái ổn định) được sử dụng bởi thiết bị làm lạnh nhằm làm lạnh nước.
Tiếp cận chung đến các phép đo và phân tích tiếp theo là tương tự theo khái niệm xác định năng lượng xả băng và phục hồi như quy định trong Phụ lục C.

Hình G.1 - Minh họa về thử nghiệm hiệu suất xử lý tải
CHÚ THÍCH: Minh họa xả băng xả ra trước khi hoàn thành xử lý tải được đưa vào Hình G.5. Các ví dụ tính toán được cho trong Phụ lục I.
G.3 Bố trí, thiết bị và chuẩn bị
G.3.1 Quy định chung
Thử nghiệm này được thực hiện ở các nhiệt độ môi trường thử nghiệm 16 °C và 32 °C.
Trong trường hợp thử nghiệm hiệu suất xử lý tải được sử dụng làm cơ sở cho nhà chế tạo công bố, nhiệt độ trung bình của tất cả các ngăn được sử dụng để xử lý tải thử nghiệm phải nhỏ hơn hoặc bằng nhiệt độ mục tiêu liên quan quy định trong 5.1 trong làm việc ở trạng thái ổn định trước khi bắt đầu thử nghiệm hiệu suất xử lý tải.
CHÚ THÍCH 1: Tất cả các nhiệt độ quy định trong phụ lục này là đối với các điều kiện trạng thái ổn định và không bao gồm tác động nhiệt của giai đoạn xả băng và phục hồi bất kỳ (nếu thuộc đối tượng áp dụng).
Đối với các thử nghiệm kiểm tra xác nhận, nhiệt độ của tất cả các ngăn được sử dụng để xử lý tải thử nghiệm phải nằm trong phạm vi ±1 K xung quanh nhiệt độ mục tiêu liên quan trong làm việc ở trạng thái ổn định trước thử nghiệm hiệu suất xử lý tải. Một cách khác, các kết quả của hai thử nghiệm hiệu suất xử lý tải có thể được nội suy đến giá trị ở nhiệt độ mục tiêu của ngăn nhất, nhưng một trong các điểm thử nghiệm phải có tất cả các ngăn được sử dụng cho xử lý tải có nhiệt độ thấp hơn hoặc bằng nhiệt độ mục tiêu.
Nguyên tắc được sử dụng trong điều này là nhà chế tạo được phép thực hiện công bố hiệu suất xử lý tải nhỏ hơn giá trị tối ưu có thể đạt được (tức là ở điều kiện có thể lạnh hơn một chút so với nhiệt độ mục tiêu). Nguyên tắc này được thiết lập đối với các thử nghiệm năng lượng tiêu thụ trong Điều 6 đối với điểm thử nghiệm năng lượng duy nhất.
Bất cứ khi nào có thể, phải sử dụng 3 giá đỡ để giữ tải xử lý trong ngăn không đông (xem Hình G.2) và phải có cấu hình sao cho:
• cảm biến TMP3 nằm phía trên giá đỡ thứ 3 (dưới đáy) và phía dưới giá đỡ thứ 2
• cảm biến TMP2 nằm phía trên giá đỡ thứ 2 và phía dưới giá đỡ thứ 1
• cảm biến TMP1 nằm phía trên giá đỡ thứ 1
CHÚ THÍCH 2: Giá đỡ thứ 3 có thể là đáy của thiết bị hoặc có thể là nóc của khoang tiện ích, ví dụ ngăn rau.
G.3.2 Thiết bị
Loại hộp chứa được sử dụng trong các ngăn không đông là loại chai nhựa có thành mỏng làm bằng vật liệu PET (hoặc vật liệu tương đương) có dung tích danh nghĩa 500 ml. Các kích thước của chai PET phải có chiều cao ≤ 220 mm và có chiều rộng/đường kính ≤ 90 mm. Các chai phải có cùng cỡ và hình dạng. Từng chai được đổ đầy nước cất như quy định dưới đây.
CHÚ THÍCH: PET là polyetylen terephthalat. Các chai PET có thể là các chai bán sẵn có dung tích danh nghĩa 500 ml. Từng chai chứa lượng nước uống quy định. Ưu tiên các chai PET có mặt cắt vuông để chúng không bị lăn khi đặt nằm.
Loại hộp chứa được sử dụng trong các ngăn đông là khay đá bằng nhựa có dung tích làm việc danh nghĩa khoảng 200 ml trên mỗi khay.
Các khay đá thường được đi kèm sản phẩm mới. Đối với thử nghiệm này, các khay đá được sử dụng cần có khả năng chứa được 200 ml nước mà không bị rò hoặc tràn. Khuyến cáo nên dùng các khay có kích thước danh nghĩa xấp xỉ 120 mm x 275 mm x 40 mm. Các khay đá nhỏ hơn cũng có thể được sử dụng nếu khay có kích thước khuyến cáo không lắp vừa.
Nước được sử dụng cho tất cả các tải xử lý phải là nước cất, uống được thích hợp cho người mà không có khi bổ sung (tức là loại không cacbonat), màu hoặc chất phụ gia.
Nước uống được lấy từ vòi là chấp nhận được. Cần tránh sử dụng nước cất tinh khiết trong các khay đá vì chúng có thể khó kết đông trong một số trường hợp.
G.3.3 Lượng nước cần xử lý
G.3.3.1 Ngăn không đông
Dung tích tổng của tất cả các ngăn không đông và ngăn nhỏ được cộng lại. Lượng nước bổ sung vào ngăn không đông lớn nhất phải là 12 g nước cho mỗi lít dung tích tổng của ngăn không đông. Lượng này bằng một chai PET trên mỗi 41,7 L hoặc phần của dung tích ngăn không đông.
Trong trường hợp dung tích không đông tổng nhỏ hơn 41,7 L, tất cả lượng nước được đặt vào một chai PET. Trong trường hợp dung tích không đông tổng lớn hơn 41,7 L nhưng nhỏ hơn 83,4 L thì tất cả lượng nước được đặt đều vào hai chai. Trong trường hợp dung tích không đông tổng lớn hơn 83,4 L, đặt lượng nước bằng 500 g ± 1 g vào mỗi chai PET cho đến khi lượng nước còn lại nhỏ hơn 1 000 g. Khối lượng còn lại phải được chia đều cho hai chai PET còn lại.
Tổng lượng nước đặt vào ngăn không đông lớn nhất và số chai PET 500 ml phải được nêu trong báo cáo thử nghiệm.
G.3.3.2 Ngăn đông
Tổng dung tích của tất cả các ngăn đông và ngăn nhỏ được cộng lại. Lượng nước bổ sung vào ngăn đông lớn nhất phải là 4 g nước cho mỗi lít dung tích của ngăn không đông. Lượng này bằng một khay đá trên mỗi 50 L hoặc phần của dung tích ngăn đông.
Trong trường hợp dung tích đông nhỏ hơn hoặc bằng 50 L, tất cả lượng nước được đặt vào một khay đá. Trong trường hợp dung tích đông lớn hơn 50 L nhưng nhỏ hơn 100 L thì tất cả lượng nước được chia tương đối đều vào hai khay đá. Trong trường hợp dung tích đông lớn hơn 100 L, đặt lượng nước bằng 200 g vào mỗi khay đá cho đến khi lượng nước còn lại nhỏ hơn 400 g. Khối lượng còn lại phải được chia đều cho hai khay đá còn lại.
Tổng lượng nước đặt vào ngăn đông lớn nhất và số lượng khay đá phải được nêu trong báo cáo thử nghiệm.
G.3.4 Vị trí của tải nước trong các ngăn
G.3.4.1 Vị trí trong ngăn không đông
Các chai PET quy định trong G.3.3 phải được đặt trong ngăn không đông lớn nhất như minh họa trên Hình G.2.
Trong trường hợp khoảng trống theo chiều thẳng đứng lớn hơn hoặc bằng 250 mm tính từ giá đỡ tương ứng, các chai PET phải được đặt đứng theo các vị trí sau:
• Chai thứ nhất trên mỗi giá đỡ ở mỗi phía phải được đặt càng gần với lớp lót của ngăn càng tốt trong khi vẫn duy trì khoảng cách đến lớp lót phía bên là 25 mm.
• Các chai bổ sung ở vị trí này có thể được đặt hai hoặc ba theo chiều sâu trong khi vẫn duy trì khoảng cách xấp xỉ 25 mm giữa các chai và phía trước và phía sau giá đỡ hoặc giới hạn chất tải.
• Trong trường hợp cần nhiều chai hơn trong vị trí này thì bổ sung thêm các hàng chai (theo yêu cầu) đặt sát với tâm của ngăn trong khi vẫn duy trì khoảng cách giữa các hàng xấp xỉ 25 mm.
• Tất cả các chai phải được đặt vào khoảng giữa từ phía trước đến phía sau ở các khoảng cách xấp xỉ nhau trên giá đỡ trong các hàng chứa chúng (có tính đến mép giá đỡ và các giới hạn chất tải bất kỳ có thể ảnh hưởng đến chiều sâu).
• Tất cả các chai phải duy trì khoảng cách tối thiểu là 25 mm theo mọi hướng tính từ cảm biến nhiệt độ bất kỳ trong ngăn.
Trong trường hợp không có đủ khoảng cách 250 mm thẳng đứng phía trên giá đỡ quy định, các chai PET phải được đặt nằm trên các giá đỡ đó với các nắp được đặt hướng ra phía cửa của ngăn trong các vị trí sau:
• Chai thứ nhất trên mỗi giá đỡ ở mỗi phía phải được đặt càng gần với lớp lót của ngăn càng tốt trong khi vẫn duy trì khoảng cách đến lớp lót phía bên là 25 mm.
• Trong trường hợp cần nhiều chai hơn trong vị trí này thì bổ sung thêm các hàng chai (theo yêu cầu) đặt sát với tâm của ngăn trong khi vẫn duy trì khoảng cách giữa các hàng xấp xỉ 25 mm.
• Các chai không được chồng lên nhau hoặc chạm vào nhau.
• Tất cả các chai phải duy trì khoảng cách tối thiểu là 25 mm theo mọi hướng tính từ cảm biến nhiệt độ bất kỳ trong ngăn.
• Tất cả các chai phải được đặt thẳng hàng sao cho nắp chai ở phía trước của giá đỡ hoặc giới hạn chất tải. Trong trường hợp các giá đỡ nông, hướng đặt chai có thể điều chỉnh để đảm bảo rằng không có phần nào nhô ra khỏi mặt trước của giá đỡ hoặc giới hạn chất tải, trong khi vẫn duy trì khoảng cách 25 mm đến các cảm biến nhiệt độ bất kỳ.
Tất cả các chai cần được đặt ở vị trí giảm thiểu việc cản trở luồng không khí từ ống dẫn hoặc thông gió bất kỳ. Khi không thể đặt các chai PET ở các vị trí quy định, có thể chọn các vị trí tương đương. Trong trường hợp sử dụng các vị trí tương đương, các vị trí này phải được ghi lại trong báo cáo thử nghiệm. Trong trường hợp các chai PET phải được bố trí khác đi do không gian hạn chế, chúng phải giữ trên cùng một giá đỡ và phải càng gần với vị trí quy định càng tốt.
Các chai PET chỉ được đặt trên các giá đỡ ngay bên dưới các vị trí của cảm biến nhiệt độ TMP1, TMP2 và TMP3. Các giá đỡ bổ sung có thể có đều được bỏ qua. Các chai PET phải được đặt ở các vị trí giá đỡ dưới đây theo trình tự cho đến khi tất cả các chai đều được đặt vào:
• Một chai theo trình tự vị trí ABCDEF.
• Lặp lại trình tự đặt cho đến khi đặt hết các chai.
• Hai chai PET được đổ nước một phần (trong trường hợp áp dụng) được đặt ở hai vị trí cuối cùng.
• Tất cả các vị trí phải được ghi lại trong báo cáo thử nghiệm.
CHÚ THÍCH: Trình tự nêu trên nhằm xác định vị trí của từng chai. Các chai có thể được đặt vào các vị trí quy định này theo trình tự bất kỳ khi chúng được đặt vào ngăn không đông trong G.4.2. Trong ví dụ minh họa trong Hình G.2, 10 chai PET có thể được xếp thành 2 chai ở mỗi vị trí từ A đến D, 1 chai ở vị trí E và F.
Kích thước tính bằng milimét

CHÚ THÍCH: Có thể có các giá đỡ trong thiết bị lạnh nhưng không được thể hiện trên hình.
Hình G.2 - Vị trí các giá đỡ và trình tự nạp tải (ví dụ thể hiện 10 chai PET)
G.3.4.2 Vị trí trong các ngăn đông
Các khay đá quy định trong G.3.3 phải được đặt trong ngăn đông lớn nhất như minh họa trên Hình G.3. Trong trường hợp ngăn đông lớn nhất có cả giá đỡ và ngăn kéo thì các khay đá được ưu tiên đặt trên giá đỡ hơn là trong ngăn kéo (thùng chứa) nếu có thể.
• Khay đá đầu tiên trên mức thấp nhất được đặt lên phía đối diện của các cảm biến TMP14 và TMP15 và càng sát càng tốt với lớp lót của ngăn trong khi vẫn duy trì khoảng cách xấp xỉ 25 mm. Khay đá tiếp theo được đưa vào bên cạnh khay đá trước đó trong khi vẫn duy trì khoảng cách 25 mm giữa các khay đá. Khay đá có thể hướng theo cách bất kỳ nhằm có được số lượng khay đá lớn nhất trên mỗi mức trong khi vẫn duy trì được tất cả các khoảng cách cần thiết.
• Trong trường hợp không thể đặt thêm khay đá nào ở mức thấp hơn (tức là số lượng cần thiết để có khe hở không khí đến các vị trí cảm biến nhiệt độ nhỏ hơn 25 mm theo tất cả các hướng) thì khay đá được đặt tiếp đến mức sẵn có tiếp theo, nếu cần.
• Trong trường hợp cần đặt các khay đá trên giá đỡ nằm bên dưới vị trí cảm biến nhiệt độ ở giữa (ví dụ TMP11, TMP16 hoặc TMP17 nếu áp dụng được) thì khay đá đầu tiên được đặt sát với lớp lót bên trái, khay đá thứ hai được đặt sát với lớp lót bên phải. Các khay đá tiếp theo ở mức đó (nếu cần) được đặt sát với đường tâm trong khi vẫn duy trì khoảng cách xấp xỉ 25 mm giữa các khay và tối thiểu 25 mm đến vị trí cảm biến nhiệt độ bất kỳ theo mọi hướng.
• Trong trường hợp cần đặt các khay đá lên giá đỡ nằm bên dưới các cảm biến nhiệt độ phía trên (ví dụ TMP12 và TMP13), khay đá đầu tiên được đặt phía đối diện với các cảm biến TMP12 và TMP13 và càng sát càng tốt với lớp lót của ngăn trong khi vẫn duy trì khoảng cách xấp xỉ 25 mm. Các khay đá tiếp theo (nếu cần) được đưa thêm vào bên cạnh khay đá trước đó trong khi vẫn duy trì khoảng cách 25 mm giữa các khay đá.
• Tất cả các khay đá trên cùng một mức được đặt cách nhau và cách lớp lót của ngăn xấp xỉ 25 mm.
• Hai khay đá được đổ đầy một phần (nếu có) được đặt ở hai vị trí cuối cùng (cao nhất).
• Các khay đá không được chồng lên nhau hoặc chạm vào nhau.
• Tất cả các khay đá phải duy trì khoảng cách tối thiểu là 25 mm theo mọi hướng tính từ vị trí cảm biến nhiệt độ bất kỳ trong ngăn.
• Tất cả các khay đá được đặt chính giữa trên khoảng cách từ phía trước ra phía sau của giá đỡ (có tính đến mép của giá đỡ hoặc giới hạn chất tải bất kỳ có ảnh hưởng đến chiều sâu) và không nhô ra khỏi mặt trước của giá đỡ.
• Khi đặt các khay đá bên trong ngăn kéo hoặc thùng chứa, bên trong ngăn kéo hoặc thùng chứa phải được coi là bên trong lớp lót.
CHÚ THÍCH: Ví dụ, ngăn kết đông lớn trong tủ lạnh có dung tích 180 L đòi hỏi khối lượng nước tổng là 720 g chia thành 4 khay đá. Khe hở bên trong của ngăn kết đông rộng 600 mm. Các vị trí cảm biến TMP14 và TMP15 cách vách phải dưới 50 mm. Khi đó để lại khoảng trống 500 mm với các khe hở ở mỗi đầu đặt đặt các khay đá. Ba khay đá có thể được đặt ở mức thấp hơn (120 mm + 25 mm tối thiểu, song song với các mặt), vì vậy một khay đá phải được đặt trên mức cao hơn. Nếu ngăn kết đông sâu hơn 460 mm thì có thể đặt vừa 4 khay ở mức thấp này (3 khay sâu vuông góc với các cạnh và một khay song song với các cạnh) trong khi vẫn duy trì khoảng cách. Xem G.3.2 liên quan đến cỡ khuyến cáo của các khay đá.
Tất cả các chai đá cần được đặt ở vị trí giảm thiểu việc cản trở luồng không khí từ ống dẫn hoặc thông gió bất kỳ. Khi không thể đặt các khay đá ở các vị trí quy định, có thể chọn các vị trí tương đương. Trong trường hợp sử dụng các vị trí tương đương, các vị trí này phải được ghi lại trong báo cáo thử nghiệm. Trong trường hợp các khay đá phải được bố trí khác đi do không gian hạn chế, chúng phải giữ trên cùng một giá đỡ và phải càng gần với vị trí quy định càng tốt.
Trình tự nêu trên nhằm xác định vị trí của từng khay đá. Các khay đá có thể được đặt vào các vị trí quy định này theo trình tự bất kỳ khi chúng được đặt vào ngăn đông trong G.4.2.
Kích thước tính bằng milimét

CHÚ THÍCH: Có thể có các giá đỡ trong thiết bị lạnh nhưng không được thể hiện trên hình. Ưu tiên đặt các khay đá trên giá đỡ hơn là trong ngăn kéo hoặc giỏ.
Hình G.3 - Vị trí các khay đá và khoảng cách
G.3.5 Nhiệt độ của nước cần xử lý
Các chai PET có lượng nước ít hơn 500 g cần có lượng nước quy định đo được trong các chai PET trước khi bảo quản và ổn định nhiệt trong phòng thử. Các chai riêng rẽ chứa đủ lượng nước cho tất cả các khay đá (nếu thuộc đối tượng áp dụng) phải được bảo quản trong phòng thử (và để tránh bay hơi) chỉ được chia vào các khay đá trong vòng 30 min trước khi đặt vào ngăn đông.
Tất cả các chai PET và khay đá phải được đặt trong phòng thử vận hành ở nhiệt độ môi trường liên quan ở vị trí đại diện cho nhiệt độ phòng thử. Tất cả các chai PET phải được đặt thẳng đứng trên bàn thử hoặc nền (sàn) thử nghiệm bằng gỗ với khoảng cách nhỏ hơn 50 mm giữa chúng để cho phép lưu thông không khí. Thiết bị này phải được giữ trong phòng thử trong thời gian không ít hơn 15 h trước khi bắt đầu thử nghiệm hiệu suất xử lý tải.
CHÚ THÍCH: Các nhiệt độ thử nghiệm môi trường danh nghĩa đối với thử năng lượng là 16 °C và 32 °C.
G.4 Phương pháp thử nghiệm hiệu suất xử lý tải
G.4.1 Bắt đầu thử nghiệm hiệu suất xử lý tải
Đối với thiết bị lạnh không có chu kỳ điều khiển xả băng, thử nghiệm xử lý tải phải được thực hiện bằng giai đoạn làm việc, ở giá trị đặt điều chỉnh nhiệt độ sử dụng cho thử nghiệm hiệu suất xử lý tải. Các giá trị đặt này phải sao cho có thể được đánh giá là giai đoạn thử nghiệm năng lượng hợp lệ theo B.3.
Đối với thiết bị lạnh có một hoặc nhiều hệ thống xả băng (với chu kỳ điều khiển xả băng riêng) thử nghiệm hiệu suất xử lý tải phải được thực hiện sau các thử nghiệm sau:
• Giai đoạn thử nghiệm năng lượng phù hợp với B.3 ở giá trị đặt điều chỉnh nhiệt độ sử dụng cho thử nghiệm hiệu suất xử lý tải (kể cả các yêu cầu về tính hợp lệ); hoặc
• Giai đoạn thử nghiệm năng lượng phù hợp với B.4 ở giá trị đặt điều chỉnh nhiệt độ sử dụng cho thử nghiệm hiệu suất xử lý tải (kể cả các yêu cầu về tính hợp lệ); hoặc
• Giai đoạn xả băng và phục hồi phù hợp với C.3 ở giá trị đặt điều chỉnh nhiệt độ sử dụng cho thử nghiệm hiệu suất xử lý tải (nếu thuộc đối tượng áp dụng).
CHÚ THÍCH: Trong trường hợp xác định sự ổn định bằng DF1 (C.3), tải chỉ có thể đưa vào sau khi khẳng định sự hợp lệ của xả băng (tức là sau khi kết thúc giai đoạn F, tối thiểu là 8 h sau khi bộ sưởi xả băng hoạt động). Trong trường hợp sự ổn định được thiết lập sử dụng các điều kiện trạng thái ổn định hoặc xả băng sớm hơn thì tải cần được đặt vào sớm nhất có thể sau khi kết thúc giai đoạn xả băng và phục hồi để giảm thiểu sự thay đổi xả băng khác xảy ra trước khi kết thúc thử nghiệm xử lý tải. Để hướng dẫn, nên nhiều hơn 5 h sau khi bộ sưởi xả băng hoạt động (mà có thể thường là khi bắt đầu giai đoạn F trong C.3.1) (phòng thí nghiệm cần sử dụng kinh nghiệm của mình trong các giai đoạn xả băng và phục hồi hợp lệ trước đó để có các đánh giá chính xác). Trong trường hợp này, giai đoạn xả băng và phục hồi trước đó ngay trước khi nạp tải mà không được tính đến trong giai đoạn thử nghiệm xử lý tải.
Đối với các loại sản phẩm khác nhau, giá trị đặt điều chỉnh nhiệt độ phải giữ không đổi trong thời gian thử nghiệm hiệu suất xử lý tải.
Đối với các sản phẩm đơn giản có các chu kỳ máy nén đều đặn, sự kết bật máy nén có thể được lấy là khi bắt đầu thử nghiệm hiệu suất xử lý tải. Đối với các sản phẩm phức tạp hơn, nhiệt độ lớn nhất trong ngăn sẽ quyết định năng lượng tiêu thụ có thể được lấy là khi bắt đầu thử nghiệm hiệu suất xử lý tải (xem Phụ lục B để có hướng dẫn thêm). Trong trường hợp tải xử lý được nạp vào trong giai đoạn xả băng và phục hồi, bắt đầu thử nghiệm được xác định là khi bắt đầu giai đoạn xả băng và phục hồi đó.
Thường không khuyến cáo nạp tải trong giai đoạn xả băng và phục hồi (trước khi thiết lập các điều kiện trạng thái ổn định).
G.4.2 Đặt tải
Tải phải được chuẩn bị theo Điều G.3. Tải phải được đặt trong thiết bị lạnh như quy định trong Điều G.3 ngay sau khi bắt đầu chu kỳ điều chỉnh nhiệt độ như quy định trong G.4.1, nhưng trong khi máy nén vẫn hoạt động (đối với các sản phẩm đơn giản) hoặc trước khi đạt đến nhiệt độ nhỏ nhất của ngăn (đối với các sản phẩm phức tạp hơn). Việc nạp tải của từng ngăn phải được thực hiện với một lần mở và đóng cửa đối với ngăn đó. Cửa được để mở ở góc tối thiểu 90 độ so với vị trí đóng trong thời gian càng gần với 1 min (±5 s) càng tốt đối với mỗi ngăn được nạp tải, bất kể thời gian nạp tải cho ngăn là bao nhiêu (thường ít hơn 1 min). Trong trường hợp có hai cửa có thể tiếp cận ngăn để có thể bổ sung tải xử lý, cả hai cửa phải được mở đồng thời. Trong trường hợp thiết bị lạnh có cả ngăn đông và ngăn không đông cần nạp tải, phải nạp tải cho ngăn không đông trước.
Thời gian khuyến cáo cho mở cửa và đóng cửa là 2,5 s và 55 s để nạp tải cho từng ngăn. Nên bổ sung tải xử lý gần với thời điểm bắt đầu chu kỳ điều chỉnh nhiệt độ khi tải sẽ bắt đầu được xử lý gần với lúc bắt đầu giai đoạn thử nghiệm hiệu suất năng lượng. Thời gian bắt đầu có thể có đối với các chu kỳ điều chỉnh nhiệt độ sau này có thể dễ dàng dự đoán đối với các sản phẩm có đáp ứng đều đặn, cho phép việc đặt tải được lên kế hoạch trước. Cần thận trọng để đáp ứng các yêu cầu của G.4.2 trong các trường hợp khi thời gian chạy của máy nén là ngắn. Số lượng chính xác các thành phần tải và vị trí của chúng cần được nắm rõ trước khi mở cửa và nạp tải.
G.4.3 Tiến hành đo
Trước và trong thời gian thử nghiệm hiệu suất xử lý tải, các phép đo nhiệt độ và năng lượng phải được ghi lại như quy định theo Phụ lục A như đối với thử nghiệm năng lượng tiêu thụ.
G.4.4 Kết thúc thử nghiệm hiệu suất xử lý tải
Thử nghiệm hiệu suất xử lý tải được kết thúc khi đạt được các điều kiện trạng thái ổn định sau khi tải được xử lý hoàn toàn (tức là nước hoặc băng được mang đến xấp xỉ nhiệt độ trong từng ngăn). Giai đoạn thử nghiệm kết thúc khi kết thúc chu kỳ điều chỉnh nhiệt độ hoàn chỉnh. Các giá trị đặt điều chỉnh nhiệt độ phải được giữ không đổi trong thời gian thử nghiệm hiệu suất xử lý tải.
Thử nghiệm hiệu suất xử lý tải đối với thiết bị lạnh không có chu kỳ điều khiển xả băng phải được kết thúc với giai đoạn thử nghiệm năng lượng phù hợp với Điều B.3 (kể cả các yêu cầu về tính hợp lệ).
Thử nghiệm hiệu suất xử lý tải đối với thiết bị lạnh có một hoặc nhiều hệ thống xả băng (mỗi hệ thống lại có chu kỳ điều chỉnh nhiệt độ riêng) được hoàn thành với giai đoạn thử nghiệm năng lượng phù hợp với:
• Điều B.3 (kể cả các yêu cầu về tính hợp lệ), hoặc
• Điều B.4 (kể cả các yêu cầu về tính hợp lệ) mà được kết thúc với giai đoạn xả băng và phục hồi phù hợp với các điều kiện về tính hợp lệ của C.3 (nếu áp dụng được).
Tiêu chí cuối đối với thử nghiệm hiệu suất xử lý tải là tương đối chặt chẽ vì có thể (các) nhiệt độ của ngăn đạt đến các giá trị trạng thái ổn định mà bản thân các tải chưa được làm lạnh hoặc đóng băng hoàn toàn. Do đó cần chứng tỏ rằng thiết bị lạnh đã trở về trạng thái hoạt động ổn định bằng cách kiểm tra nhiệt độ các ngăn và công suất tiêu thụ trong giai đoạn nhỏ nhất quy định.
Thông thường nhiệt độ các ngăn và công suất tiêu thụ đạt ổn định sau khi nạp tải và hoàn thành xử lý tải đến giá trị khác một chút so với các điều kiện trước khi nạp tải. Sự thay đổi này thường khá nhỏ nhưng trong một số trường hợp cũng có thể đáng kể. Điều này xảy ra khi tải thêm vào ảnh hưởng đến luồng không khí trong ngăn hoặc có ảnh hưởng gián tiếp lên cảm biến nhiệt độ bên trong của thiết bị lạnh. Trong một số trường hợp tải có thể gây tác động đến hoạt động của máy nén có công suất thay đổi trên giá trị nấc cao hơn, ví dụ, có thể làm tăng công suất hoặc giảm nhiệt độ của các ngăn. Để giảm các tác động này, phòng thí nghiệm có lựa chọn về việc đặt tải xử lý ban đầu vào thiết bị lạnh và thay nó bằng tải xử lý mới một khi tải ban đầu này đã ổn định hoàn toàn (xem chi tiết dưới đây). Dữ liệu từ tải xử lý thứ hai được sử dụng để xác định hiệu suất xử lý tải.
Sự khác nhau trong các điều kiện nhiệt độ bên trong và công suất trước và sau khi nạp tải có tác động nhỏ vì phân tích chỉ xét đến năng lượng tiêu thụ từ chu kỳ điều chỉnh nhiệt độ nào liên quan đến nạp tải (do đó nhỏ, nếu có, hoạt động trong điều kiện trước khi nạp tải được tính đến trong giai đoạn thử nghiệm xử lý tải).
CHÚ THÍCH 1: Ảnh hưởng chính đến năng lượng do sự thay đổi nhiệt độ bên trong các ngăn trước và sau khi tải được xử lý là sự thay đổi kết hợp trong nhiệt khối (hoặc điện dung) của thiết bị lạnh. Phân tích cho thấy rằng, trong các giới hạn tính hợp lệ được nêu dưới đây, các ảnh hưởng này là nhỏ và có thể bỏ qua.
Hai tiêu chí hợp lệ bổ sung dưới đây áp dụng cho các tham số đo được khi bắt đầu (trước khi nạp tải) được so sánh với các giá trị của chúng trong giai đoạn ổn định khi kết thúc thử nghiệm hiệu suất xử lý tải:
• Chênh lệch về công suất tiêu thụ PSSM không được vượt quá 5 % hoặc 2 W, chọn giá trị lớn hơn; và
• Chênh lệch về nhiệt độ trạng thái ổn định trong từng ngăn không được vượt quá 1 K.
Trong trường hợp khi tính hợp lệ ban đầu được xác định bằng cách sử dụng xả băng trong C.3 (xem G.4.1) vì không thể thiết lập tính hợp lệ theo B.3 hoặc B.4 (ví dụ do thời gian thử nghiệm không đủ), công suất trạng thái ổn định ban đầu PSSM và nhiệt độ trạng thái ổn định nêu trên được lấy là công suất trung bình của giai đoạn D và giai đoạn F (trường hợp DF1 trong C.3).
Trong trường hợp thiết bị lạnh có một hoặc nhiều hệ thống xả băng (mỗi hệ thống có chu kỳ xả băng riêng), khi không đạt được các điều kiện nêu trên, thiết bị phải được cho làm việc cho đến khi hoàn thành giai đoạn xả băng và phục hồi tiếp theo và điều kiện trạng thái ổn định đạt được và được đánh giá theo các tiêu chí này.
Nếu cả hai tiêu chí về tính hợp lệ này không thể đáp ứng sau xả băng tiếp theo, thử nghiệm phải được lặp lại bằng cách thay tải hiện có (đã được xử lý đến nhiệt độ ngăn) bằng tải mới trong các điều kiện điều chỉnh tương tự (như nêu trong G.3, G.4.1 và G.4.2). Như nêu trên, việc đặt tải xử lý ban đầu vào thiết bị lạnh và (khi hoàn thành xử lý tải này) thay tải này bằng tải xử lý mới là tùy chọn đối với tất cả các thử nghiệm hiệu suất xử lý tải.
Đối với thiết bị lạnh có một hoặc nhiều chu kỳ điều khiển xả băng, giai đoạn xả băng và phục hồi bất kỳ xảy ra trong thử nghiệm hiệu suất xử lý tải (tức là trước khi hoàn thành xử lý tải và thiết lập điều kiện trạng thái ổn định) phải được phép tiếp tục đến khi hoàn thành (xem Hình G.5). Kết thúc thử nghiệm hiệu suất xử lý tải là khi các điều kiện trạng thái ổn định đạt được sau khi hoàn thành giai đoạn xả băng và phục hồi hợp lệ như quy định ở trên.
CHÚ THÍCH 2: Năng lượng bổ sung liên quan đến các giai đoạn xả băng và phục hồi xảy ra trong thử nghiệm hiệu suất xử lý tải được tính đến trong G.3.5.
G.5 Xác định hiệu suất xử lý tải
G.5.1 Quy định chung
Khi kết thúc thử nghiệm hiệu suất xử lý tải, dữ liệu được phân tích để xác định hiệu suất xử lý tải. Mục đích nhằm xác định năng lượng tiêu thụ bổ sung cần thiết của thiết bị lạnh để xử lý tải thêm vào quay trở lại điều kiện trạng thái ổn định. Điều này được minh họa trên Hình G.4. Năng lượng này được so sánh với sự thay đổi năng lượng tính được trong tải nước bổ sung (thể tích nước nhân với sự thay đổi enthalpy) để xác định năng lượng nhiệt đã được lấy ra khỏi thiết bị lạnh trong quá trình xử lý.

Hình G.4 - Thể hiện năng lượng tăng thêm để xử lý tải
Năng lượng tăng thêm để xử lý tải luôn được tính từ giá trị Pafter như minh họa trên Hình G.4 đến điểm mà tải được nạp vào (bắt đầu thử nghiệm).
Trong một số trường hợp công suất trước khi nạp tải (Pbefore) có thể cao hơn hoặc thấp hơn công suất sau khi nạp tải (Pafter). Chênh lệch này không ảnh hưởng đến các tính toán vì chênh lệch công suất chỉ được xét là quay về điểm khi tải được nạp.
G.5.2 Xác định năng lượng vào
Năng lượng vào được tính bằng cách ước lượng sự thay đổi năng lượng trong tải nước, bắt đầu ở nhiệt độ môi trường phòng thử và kết thúc ở nhiệt độ ngăn đo được.
Công thức đơn giản để ước lượng sự thay đổi năng lượng trong nước được cung cấp trong G.5.2 dựa trên dữ liệu enthalpy tiêu chuẩn. Trong khi các công thức này sẽ đưa ra kết quả khá chính xác thì phòng thử nghiệm có thể thấy thuận tiện hơn khi sử dụng phần mềm cho phép tính toán đồng thời sự thay đổi enthalpy của nước. Cần thận trọng đối với các ngăn bất kỳ làm việc gần với điểm đóng băng (0 °C) vì năng lượng cần thiết cho chuyển pha từ lỏng sang băng là đáng kể. Nếu nhiệt độ ngăn cuối cùng danh nghĩa thấp hơn nhiệt độ đóng băng thì khay đá cần được kiểm tra để đảm bảo rằng chúng được đóng băng hoàn toàn.
Sự thay đổi năng lượng của nước trong các ngăn không đông (trong trường hợp nhiệt độ cao hơn điểm đóng băng) được cho bởi:
(48)
trong đó
Eunfrozen-test là năng lượng lấy khỏi tải nước trong ngăn không đông trong thử nghiệm, tính bằng Wh
M1 là khối lượng tải nước đặt gần cảm biến TMP1 (vị trí C, F), tính bằng kilogam
T1 là nhiệt độ trung bình của cảm biến ở vị trí TMP1 trong giai đoạn thử nghiệm năng lượng hợp lệ (B.3 hoặc B.4) sau xử lý tải, tính bằng °C
M2 là khối lượng tải nước đặt gần cảm biến TMP2 (vị trí E, B), tính bằng kilogam
T2 là nhiệt độ trung bình của cảm biến ở vị trí TMP2 trong giai đoạn thử nghiệm năng lượng hợp lệ (B.3 hoặc B.4) sau xử lý tải, tính bằng °C
M3 là khối lượng tải nước đặt gần cảm biến TMP3 (vị trí A, D), tính bằng kilogam
T3 là nhiệt độ trung bình của cảm biến ở vị trí TMP3 trong giai đoạn thử nghiệm năng lượng hợp lệ (B.3 hoặc B.4) sau xử lý tải, tính bằng °C
Tamb là nhiệt độ môi trường trung bình đo được trong 6 h trước khi đặt tải nước vào thiết bị lạnh (nhiệt độ nước ban đầu danh nghĩa), tính bằng °C
4,186 là hệ số thay đổi enthalpy của nước, tính bằng kJ/(kg.K) (trong khi không đông)
3,6 là hệ số chuyển đổi kJ sang Wh (s/h x 10-3)
Đơn vị của khối lượng là kilogam, trong khi đó gam được sử dụng ở nhiều chỗ trong phụ lục này, vì vậy cần thận trọng để đảm bảo sử dụng đúng đơn vị.
Sự thay đổi năng lượng của nước trong các ngăn đông (trong trường hợp nhiệt độ cuối cùng thấp hơn điểm đóng băng) được cho bởi:
(49)
trong đó
Efrozen-test là năng lượng lấy khỏi tải nước trong ngăn đông trong thử nghiệm, tính bằng Wh
Mtot-fz là khối lượng tải nước đặt vào ngăn đông, tính bằng kilogam
Tfz-av là nhiệt độ trung bình của tất cả các cảm biến trong ngăn trong giai đoạn thử nghiệm năng lượng hợp lệ (B.3 hoặc B.4) sau xử lý tải, tính bằng °C
Tamb là nhiệt độ môi trường trung bình đo được trong 6 h trước khi đặt tải nước vào thiết bị lạnh (nhiệt độ nước ban đầu danh nghĩa), tính bằng °C
4,186 là hệ số thay đổi enthalpy của nước, tính bằng kJ/(kg.K) (trong khi không đông)
2,05 là hệ số thay đổi enthalpy của nước, tính bằng kJ/(kg.K) (trong khi đông)
333,6 là hệ số thay đổi enthalpy khi chuyển pha, tính bằng kJ/kg (nước sang băng)
3,6 là hệ số chuyển đổi kJ sang Wh (s/h x 10-3)
Giá trị nhiệt độ Tfz-av phải âm và sẽ đưa ra sự thay đổi năng lượng lớn hơn khi nhiệt độ lạnh hơn. Công thức trên giả thiết là nhiệt độ trung bình đồng đều trong ngăn đông và được xem là ước lượng đủ chính xác. Các đơn vị của khối lượng trong công thức trên đều là kilogam trong khi đó gam được sử dụng ở nhiều chỗ trong phụ lục này, vì vậy cần thận trọng để đảm bảo sử dụng đúng đơn vị.
Tổng năng lượng đầu vào thử nghiệm ở nhiệt độ môi trường phòng thử cho trước được cho như sau:
Einput-test = Eunfrozen-test + Efrozen-test (50)
G.5.3 Xác định năng lượng cộng thêm được sử dụng để xử lý tải
Nguyên tắc được sử dụng để xác định năng lượng cộng thêm cho xử lý tải là thiết lập giai đoạn làm việc trạng thái ổn định sau khi tải được xử lý hoàn toàn. Khi đó năng lượng cộng thêm được tính bằng hiệu giữa năng lượng tiêu thụ từ khi bắt đầu thử nghiệm hiệu suất xử lý tải (tại điểm nạp tải) đến khi kết thúc giai đoạn trạng thái ổn định (Pafter) trừ đi công suất đã được tiêu thụ trong cùng giai đoạn nếu công suất tiêu thụ là công suất ở trạng thái ổn định (Pafter) trong cùng giai đoạn đó.
Nếu một hoặc nhiều giai đoạn xả băng và phục hồi xảy ra trong khi tải đang được xử lý thì năng lượng xả băng và phục hồi đại diện ở nhiệt độ thử nghiệm như xác định theo Phụ lục C được trừ đi từ năng lượng tăng thêm. Điều này được minh họa trên Hình G.5.

Hình G.5 - Trường hợp khi giai đoạn xả băng và phục hồi xảy ra trong quá trình xử lý tải
Năng lượng tăng thêm để xử lý tải được tính bằng:
ΔEadditional-test = (Eend - Estart) - Pafter x (tend - tstart) - z x ΔEdf (51)
trong đó
ΔEadditional-test là năng lượng tăng thêm tiêu thụ bởi thiết bị lạnh trong thử nghiệm đến khi xử lý hoàn toàn tải được nạp vào như quy định trong Điều G.3
Estart là giá trị năng lượng lũy tích vào thời điểm bắt đầu thử nghiệm hiệu suất xử lý tải như xác định trong G.4.1, tính bằng Wh
Estart là giá trị năng lượng lũy tích vào thời điểm kết thúc thử nghiệm hiệu suất xử lý tải như xác định trong G.4.4, tính bằng Wh
Pafter là giá trị năng lượng tiêu thụ trạng thái ổn định xảy ra sau khi tải được xử lý hoàn toàn trong giai đoạn thử nghiệm năng lượng hợp lệ (Điều B.3 hoặc Điều B.4) như xác định trong G.4.1, tính bằng W
tstart là thời gian thử nghiệm khi bắt đầu thử nghiệm hiệu suất xử lý tải như xác định trong G.4.4, tính bằng giờ
tend là thời gian thử nghiệm khi kết thúc thử nghiệm hiệu suất xử lý tải như xác định trong G.4.4, tính bằng giờ
ΔEdf là năng lượng tăng thêm liên quan đến xả băng và phục hồi như xác định theo Phụ lục C (Điều C.5)
z là số nguyên bằng số giai đoạn xả băng và phục hồi xảy ra trong và trước khi hoàn thành thử nghiệm hiệu suất xử lý tải (xem Hình G.5). Giá trị này bằng không nếu thiết bị lạnh không có hệ thống xả băng hoặc khi không có giai đoạn xả băng nào xảy ra trong thử nghiệm hiệu suất xử lý tải (xem Hình G.4).
G.5.4 Hiệu suất xử lý tải
Hiệu suất xử lý tải được cho bởi:
![]()
trong đó
Efficiencyload,ambient là hiệu suất xử lý tải đo được đối với nhiệt độ môi trường quy định (không thứ nguyên, Wh/Wh)
Einput-test là nhiệt năng được lấy khỏi tải xử lý trong thử nghiệm như xác định trong G.5.2
ΔEadditional-test là năng lượng tăng thêm tiêu thụ bởi thiết bị lạnh trong thử nghiệm đến khi xử lý hoàn toàn tải trong quá trình thử nghiệm như xác định trong Điều G.5.3
Giá trị đo được của Efficiencyload,ambient có thể lớn hơn 1.
Đối với giá trị hiệu suất xử lý tải cần sử dụng để ước lượng tác động lên năng lượng tiêu thụ của thiết bị lạnh, cần ước lượng tải đầu vào liên quan đến người sử dụng (tính bằng Wh).
G.5.5 Hệ số nhân xử lý tải
Một cách khác, hệ số nhân xử lý tải “a” có thể được sử dụng làm hệ số nhân của tải đầu vào quy định trong tiêu chuẩn này (dựa trên tải 12 g/L dung tích ngăn không đông và 4 g/L dung tích ngăn đông). Ví dụ giá trị “a” = 1 có nghĩa là tải liên quan đến người sử dụng có thể bằng Einput trong mỗi 24 h (xem 6.8 trong trường hợp tất cả các giá trị được chuyển thành năng lượng tiêu thụ theo ngày). Hệ số nhân tải “a” có nhiều khả năng lớn hơn trong khí hậu nhiệt đới nóng và nhỏ hơn trong khí hậu có nhiệt độ lạnh hơn. Trong cách tiếp cận này, giá trị Einput khác nhau đối với các thiết bị lạnh khác nhau vì dung tích ngăn không đông và ngăn đông khác nhau và cách tiếp cận này giả thiết việc sử dụng (tải xử lý liên quan đến người sử dụng) tỷ lệ thuận với dung tích. Các yếu tố khác (ví dụ như số lượng người gia đình) cũng có thể có tác động đến tải liên quan đến người sử dụng giả thiết. Hệ số nhân cũng có thể khác nhau đối với một số cấu hình sản phẩm (ví dụ có ngăn kết đông riêng) vì có thể có sự sử dụng khác nhau đáng kể trong một số vùng.
Trong trường hợp hệ số nhân tải được sử dụng để ước lượng năng lượng tăng thêm liên quan đến tải xử lý, quan trọng là tính được giá trị chuẩn hóa của Einput-nominal để hiệu chuẩn các thay đổi nhỏ trong nhiệt độ các ngăn và điều kiện nhiệt độ môi trường xảy ra trong thử nghiệm. Điều này được tính đến bằng cách giả thiết tải xử lý đầu vào bắt đầu chính xác ở nhiệt độ môi trường danh nghĩa và kết thúc chính xác ở nhiệt độ mục tiêu của ngăn.

trong đó
Eunfrozen-nominal là năng lượng được lấy khỏi tải nước trong ngăn không đông đối với các điều kiện danh nghĩa, tính bằng Wh
Mtot-unfr là tổng khối lượng nước trong ngăn không đông, tính bằng kilogam
Tunfr-tar là nhiệt độ mục tiêu đối với năng lượng tiêu thụ của ngăn không đông, tính bằng °C (xem Bảng 1)
Tamb-tar là nhiệt độ môi trường danh nghĩa đối với thử nghiệm (16 °C hoặc 32 °C nếu thuộc đối tượng áp dụng), tính bằng °C
4,186 là hệ số thay đổi enthalpy của nước, tính bằng kJ/(kg.K) (trong khi không đông)
3,6 là hệ số chuyển đổi kJ sang Wh (s/h x 10-3)

trong đó
Efrozen-nominal là năng lượng được lấy khỏi tải nước trong ngăn đông đối với các điều kiện danh nghĩa, tính bằng Wh
Mtot-fr là tổng khối lượng nước trong ngăn đông, tính bằng kilogam
Tfr-tar là nhiệt độ mục tiêu đối với năng lượng tiêu thụ của ngăn đông, tính bằng °C (xem Bảng 1)
Tamb-tar là nhiệt độ môi trường danh nghĩa đối với thử nghiệm (16 °C hoặc 32 °C nếu thuộc đối tượng áp dụng), tính bằng °C
4,186 là hệ số thay đổi enthalpy của nước, tính bằng kJ/(kg.K) (trong khi không đông)
2,05 là hệ số thay đổi enthalpy của nước, tính bằng kJ/(kg.K) (trong khi đông)
333,6 là hệ số thay đổi enthalpy khi chuyển pha, tính bằng kJ/kg (nước sang băng)
3,6 là hệ số chuyển đổi kJ sang Wh (s/h x 10-3)
Tổng năng lượng đầu vào danh nghĩa ở nhiệt độ môi trường phòng thử nghiệm được cho bởi:
Einput-nominal = Eunfrozen-nominal + Efrozen-nominal (55)
Các giá trị dưới đây phải được ghi lại trong báo cáo thử nghiệm trong trường hợp giá trị này được đo và ghi lại:
• Dung tích của tất cả các ngăn không đông, tính bằng lít
• Dung tích của tất cả các ngăn đông, tính bằng lít
• Khối lượng tải nước nạp vào các ngăn không đông, tính bằng gam
• Khối lượng tải nước nạp vào các ngăn đông, tính bằng gam
• Einput-test đối với từng nhiệt độ môi trường thử nghiệm quy định, tính bằng Wh
• ΔEadditional-test đối với từng nhiệt độ môi trường thử nghiệm quy định, tính bằng Wh
• Efficiencyload,ambient đối với từng nhiệt độ môi trường thử nghiệm quy định
• Einput-nominal đối với từng nhiệt độ môi trường thử nghiệm quy định, tính bằng Wh
Tất cả các giá trị được sử dụng để xác định hiệu suất xử lý tải phải được ghi lại.
G.5.6 Bổ sung các tải liên quan đến người sử dụng vào năng lượng theo ngày
Tác động của các tải liên quan đến người sử dụng có thể được đưa vào năng lượng tiêu thụ theo ngày. Tải liên quan đến người sử dụng xuất phát từ hoạt động bình thường như mở cửa (và các trao đổi không khí liên quan), đưa các tải thức ăn và đồ uống ấm vào để làm lạnh (và đôi khi làm đông) và làm đá.
Phương pháp xác định hiệu suất xử lý tải đối với thiết bị lạnh được cho trong phụ lục này. Giá trị này cung cấp ước lượng năng lượng tiêu thụ tăng thêm cần thiết để lấy từng đơn vị tải nhiệt liên quan đến người sử dụng tương đương với tải phát sinh từ hoạt động sử dụng bình thường. Độ lớn của tải liên quan đến người sử dụng thường thay đổi lớn ở mức vùng vì chúng phụ thuộc vào khí hậu, mùa và điều kiện trong nhà, cũng như thói quen của người sử dụng. Các tải liên quan đến người sử dụng cũng có nhiều khả năng thay đổi theo cỡ và loại thiết bị lạnh và một số yếu tố nhân khẩu học như số lượng người trong một gia đình tiếp cận đến thiết bị lạnh và chiếm chỗ (thời gian người ở nhà trong một ngày). Các tải liên quan đến người sử dụng trung bình theo ngày có thể thay đổi trung bình từ 50 Wh/d đến 500 Wh/d, tùy thuộc vào mùa, khí hậu, loại sản phẩm, cỡ sản phẩm và nhân khẩu học.
CHÚ THÍCH 1: Việc sử dụng nặng nề có thể làm cho khoảng thời gian xả băng ngắn hơn. Khoảng thời gian xả băng là hàm của các điều kiện môi trường và mở cửa (ở một mức độ ít hơn thì không liên quan đến các tải nước, hoa quả và rau) do đó các tải tương đối lớn đưa vào ở đây chỉ với một lần mở cửa với mỗi ngăn là không mô phỏng sử dụng gây ra khoảng xả băng ngắn. Tác động của việc thay đổi khoảng xả băng không được đo trực tiếp trong thử nghiệm hiệu suất xử lý tải nhưng được ước lượng thông qua việc đánh giá Δtdf. Điều này hơi phức tạp vì khoảng xả băng ảnh hưởng đến năng lượng tiêu thụ trạng thái ổn định và nhiệt độ trung bình của các điểm thử nghiệm, vì vậy tác động chính xác không thể tính toán được. Nếu không có các thay đổi lớn trong khoảng xả băng do các tải liên quan đến người sử dụng, ảnh hưởng của năng lượng tiêu thụ là nhỏ và có thể bỏ qua trong tính toán này.
Trong trường hợp đã biết ước lượng các tải liên quan đến người sử dụng, tính bằng Wh/d, có thể tính toán tác động lên năng lượng tiêu thụ theo ngày của người sử dụng ở nhiệt độ môi trường cho trước như sau:
![]()
trong đó
ΔEprocessing là năng lượng tiêu thụ tăng thêm theo ngày của thiết bị lạnh, tính bằng Wh/d, để xử lý tải liên quan đến người sử dụng Euser
Euser là nhiệt năng liên quan đến người sử dụng đưa vào thiết bị lạnh, tính bằng Wh/d, xuất phát từ thử nghiệm bình thường (được quy định theo vùng)
Efficiencyload,ambient là hiệu suất xử lý tải đo được ở nhiệt độ môi trường quy định theo phụ lục này, tính bằng Wh/Wh (không thứ nguyên)
CHÚ THÍCH 2: Tác động của tải liên quan đến người sử dụng ở các nhiệt độ trung gian giữa nhiệt độ môi trường thử nghiệm 16 °C và 32 °C có thể được ước lượng bằng cách nội suy tuyến tính của hiệu suất xử lý tải Efficiencyload,ambient giữa các nhiệt độ này. Các tải liên quan đến người sử dụng thấp hơn nhiều ở nhiệt độ môi trường thấp hơn đối với cùng một nhiệm vụ. Để có được ước lượng tốt về tác động của các tải liên quan đến người sử dụng trong cả một năm, nên thực hiện ước lượng giá trị nhiệt tải liên quan đến người sử dụng trung bình theo tháng.
Một cách khác, tải xử lý quy định trong phụ lục này (phụ thuộc vào dung tích) có thể được sử dụng trên cơ sở xác định tỷ lệ tải theo vùng.
![]()
trong đó
ΔEprocessing là năng lượng tiêu thụ tăng thêm theo ngày của thiết bị lạnh, tính bằng Wh/d, để xử lý tải quy định
Euser-nominal là tải xử lý danh nghĩa đối với tải nước quy định ở nhiệt độ mục tiêu của ngăn và nhiệt độ môi trường danh nghĩa, tính bằng Wh/d (xem G.5.4)
a hệ số vùng để tính tỷ lệ tải xử lý
Efficiencyload,ambient là hiệu suất xử lý tải đo được ở nhiệt độ môi trường quy định theo phụ lục này, tính bằng Wh/Wh (không thứ nguyên)
CHÚ THÍCH 3: Giá trị ưu tiên đối với “a” là 1, khi không có dữ liệu tải. Giá trị “a” không nên lớn hơn 2.
Giá trị ΔEprocessing có thể được thêm vào giá trị năng lượng tiêu thụ theo ngày để ước lượng giá trị các thành phần sử dụng liên quan đến người sử dụng. Nếu các giá trị ở nhiệt độ 16 °C và 32 °C đều được sử dụng thì hệ số theo năm có thể được thể hiện như sau:
ΔEprocessing-annual = f{ΔEprocessing16C, ΔEprocessing32C} (58)
Theo các yêu cầu về vùng, tổng năng lượng tiêu thụ theo năm của thiết bị lạnh (công thức (4), 6.8.5) có thể được mở rộng để có thêm tải xử lý như sau:
Etotal = f{Edaily16C, Edaily32C} + Eaux + ΔEprocessing-annual (59)
Xem Phụ lục I về các ví dụ tính toán.
Phụ lục H
(quy định)
Xác định dung tích
H.1 Phạm vi áp dụng
Phụ lục này quy định phương pháp tính toán dung tích tổng của các ngăn được làm lạnh. Phụ lục này nhằm đưa ra biện pháp thống nhất để xác định kích thước, có tính đến các cơ cấu xác định và/hoặc bộ phận chức năng nằm trong (các) ngăn của thiết bị lạnh. Phụ lục này không nhằm đưa ra biện pháp để đo khả năng chứa thực phẩm hoặc dung tích có ích.
Phương pháp được nêu trong phụ lục này dựa trên lập luận rằng tất cả các chi tiết không cần thiết cho điều khiển nhiệt độ của không gian bên trong đều được tháo ra và không gian mà các chi tiết này chiếm chỗ trở thành một phần của dung tích. Do đó, ví dụ, đèn chiếu sáng cùng với vỏ che chắn của chúng không cần thiết cho thiết bị lạnh để duy trì các điều kiện bên trong do đó được tháo ra, trong khi bộ điều khiển nhiệt độ và vỏ bọc của chúng cũng như các đường ống dẫn để phân phối khí thì được giữ nguyên vị trí.
H.2 Dung tích tổng
H.2.1 Đo dung tích
Tất cả các dung tích đo được của các ngăn phải được làm tròn đến 0,1 lít. Dung tích tổng phải là tổng của dung tích từng ngăn sau khi đã làm tròn và giá trị công bố đối với dung tích tổng phải được làm tròn đến số nguyên lít gần nhất.
H.2.2 Xác định dung tích
Dung tích phải tính đến hình dạng chính xác của các vách bao gồm tất cả các chỗ lồi và lõm. Đối với bộ phận cấp đá và nước ở cửa thiết bị lạnh, đường cấp đá phải được tính vào dung tích bao gồm cả khoang chứa các cơ cấu để cấp đá/nước.
Khi xác định dung tích, các phụ kiện bên trong như giá, ngăn di chuyển được, hộp chứa và các vỏ bọc của đèn chiếu sáng bên trong phải được tháo ra.
Các hạng mục dưới đây được đặt đúng vị trí và không được tính vào dung tích:
• Thể tích của vỏ bọc bộ điều khiển nhiệt độ;
• Thể tích của không gian dành cho dàn bay hơi (bao gồm không gian bất kỳ làm cho không thể tiếp cận được với dàn bay hơi) (xem H.2.3).
• Thể tích các đường ống dẫn khí cần thiết để làm mát và vận hành thiết bị;
• Không gian sử dụng của các giá được đúc liền với bề mặt phía trong của cửa thiết bị.
Để dễ hiểu, bộ phận cấp đá và nước ở cửa thiết bị và phần cách nhiệt của nó không được tính vào dung tích. Không phần nào của bộ phận cấp đá được tính vào dung tích.
H.2.3 Thể tích của không gian dàn bay hơi
Thể tích của không gian dàn bay hơi phải được tính bằng tích của chiều sâu, chiều rộng và chiều cao. Dung tích tổng cần trừ đi phải bao gồm các trường hợp sau:
d) Trong trường hợp dàn bay hơi không khí cưỡng bức, thể tích tổng của vỏ bọc dàn bay hơi và dung tích phía sau vỏ bọc dàn bay hơi phải được trừ đi trong dung tích tổng, kể cả thể tích bị chiếm bởi quạt của dàn bay hơi và hộp quạt.
e) Trong trường hợp dàn bay hơi dạng tấm, dung tích phía sau của dàn bay hơi dạng tấm được lắp đặt theo chiều thẳng đứng và dung tích phía trên của dàn bay hơi dạng tấm được lắp theo phương nằm ngang nếu khoảng cách giữa bộ dàn bay hơi dạng tấm và bề mặt lớp lót gần nhất nhỏ hơn 50 mm. Các khay hứng nước có thể tháo rời được phải được coi là không có.
f) Trong trường hợp giá chứa chất làm lạnh, thể tích phía trên của giá trên cùng và thể tích phía dưới của giá dưới cùng, nếu khoảng cách giữa giá và mặt phẳng nằm ngang gần nhất của vách bên trong của ngăn nhỏ hơn hoặc bằng 50 mm. Tất cả các giá được làm lạnh được coi là không có.
H.2.4 Khoang/ngăn hai sao
Cho phép có các khoang/ngăn hai sao trong cửa và trong dung tích bảo quản còn lại của thiết bị lạnh khi tất cả các điều kiện dưới đây được đáp ứng:
a) khoang hoặc ngăn hai sao được đánh dấu bằng ký hiệu nhận biết thích hợp;
b) khoang và/hoặc ngăn hai sao được phân cách riêng với dung tích bộ phận ba sao bên trong dung tích chứa bốn sao bằng vách ngăn, vật chứa hoặc kết cấu tương tự;
c) tổng dung tích bảo quản danh định của khoang hai sao không lớn hơn 20 % dung tích bảo quản tổng của ngăn;
d) hướng dẫn sử dụng đưa ra chỉ dẫn rõ ràng liên quan đến khoang và/hoặc ngăn hai sao;
e) dung tích bảo quản của khoang và/hoặc ngăn hai sao được quy định riêng và không nằm trong dung tích chứa của ngăn ba sao hoặc bốn sao. Thể tích của không gian dàn bay hơi phải là tích của chiều sâu, chiều rộng và chiều cao.
H.3 Giải thích cho các hình từ Hình H.1 đến Hình H.5
Hình H.1 đến Hình H.5 thể hiện cấu hình điển hình và không nhằm đại diện cho mọi kiểu tủ lạnh. Có thể kết hợp các bộ phận trong các hình này để áp dụng cho các thiết kế tủ lạnh khác. Ký hiệu cho các bản vẽ trong phụ lục được cho dưới đây:

Các hình này thể hiện về hình vẽ các quy trình để xác định dung tích được mô tả trong H.2.2 và H.2.3.

CHÚ THÍCH: Sơ đồ này cũng áp dụng cho tất cả các thiết bị lạnh loại side by side, loại có ngăn kết đông phía dưới và có một ngăn riêng rẽ. Tất cả các giảm trừ là như nhau. Xem hình tiếp theo để hiểu rõ về bộ phận cấp đá.
Hình H.1 - Hình chiếu cơ bản của thiết bị có ngăn kết đông phía trên

CHÚ THÍCH: Đối với bộ làm đá, phích cắm hoặc nắp che phần đường cấp đá (ví dụ trong quá trình vận chuyển hoặc trong thời gian không sử dụng) được tháo ra khi xác định dung tích.
Hình H.2 - Bộ phận cấp đá và đường cấp đá của bộ làm đá

Hình H.3 - Ngăn làm đá tự động

Hình H.4 - Rãnh dùng cho các giá hoặc khay kiểu kéo ra

CHÚ THÍCH: Bộ chia dạng quay được xem xét khi các cửa đã được đóng lại. Thể tích của bộ chia dạng quay bên trong (A) không được tính vào. Phần nhô ra khỏi lớp lót cửa bên (B) cũng không được tính vào.
Hình H.5 - Bộ chia dạng quay của ngăn thực phẩm tươi dùng cho các cửa kiểu Pháp
Phụ lục I
(tham khảo)
Ví dụ về việc tính toán năng lượng tiêu thụ
I.1 Ví dụ tính toán năng lượng tiêu thụ theo ngày
Theo 6.8.2, năng lượng tiêu thụ theo ngày của thiết bị lạnh có hệ thống xả băng (có chu kỳ điều khiển xả băng riêng) được cho bởi:

Nhiệt độ trung bình đối với mỗi ngăn trong chỉnh định bộ điều khiển nhiệt độ này được cho bởi:

Tủ lạnh xả băng tự động có các kết quả thử nghiệm như sau ở 32 °C:
Công suất trạng thái ổn định P32 (Phụ lục B): 43,2 W
Nhiệt độ ngăn thực phẩm tươi trạng thái ổn định Tff: 3,6 °C
Nhiệt độ ngăn kết đông trạng thái ổn định Tfz: -19,4 °C
Năng lượng xả băng tăng thêm ΔEdf32 (Phụ lục C): 94,3 Wh
Nhiệt độ lũy tích trong xả băng ở ngăn thực phẩm tươi ΔThdf32 (Phụ lục C): +1,6 Kh
Nhiệt độ lũy tích trong xả băng ở ngăn kết đông ΔThdf32 (Phụ lục C): +8,5 Kh
Khoảng thời gian xả băng Δtdf32 (Phụ lục D): 23,4 h
Cũng có các kết quả thử nghiệm như sau ở 16 °C:
Công suất trạng thái ổn định P16 (Phụ lục B): 16,9 W
Nhiệt độ ngăn thực phẩm tươi trạng thái ổn định Tff: 2,9 °C
Nhiệt độ ngăn kết đông trạng thái ổn định Tfz: -18,9 °C
Năng lượng xả băng tăng thêm ΔEdf16 (Phụ lục C): 85,6 Wh
Nhiệt độ lũy tích trong xả băng ở ngăn thực phẩm tươi ΔThdf16 (Phụ lục C): +1,8 Kh
Nhiệt độ lũy tích trong xả băng ở ngăn kết đông ΔThdf16 (Phụ lục C): +8,1 Kh
Khoảng thời gian xả băng Δtdf16 (Phụ lục D): 46,8 h
Năng lượng theo ngày và nhiệt độ trung bình của ngăn ở nhiệt độ môi trường 32 °C là:

Năng lượng theo ngày và nhiệt độ trung bình của ngăn ở nhiệt độ môi trường 16 °C là:

I.2 Xả băng thay đổi - tính toán các khoảng thời gian xả băng
Trong Phụ lục D, các bộ điều khiển xả băng thay đổi sử dụng cách tiếp cận tính toán để xác định khoảng thời gian xả băng để xác định năng lượng tiêu thụ theo ngày.
Khoảng thời gian xả băng đối với hệ thống xả băng thay đổi được cho bởi:

trong đó
Δtdf32 là khoảng thời gian xả băng đối với nhiệt độ môi trường thử nghiệm là 32 °C
Δtd-max là khoảng thời gian xả băng lớn nhất có thể có ở nhiệt độ môi trường thử nghiệm là 32 °C như quy định bởi nhà chế tạo, tính bằng giờ
Δtd-min là khoảng thời gian xả băng nhỏ nhất có thể có ở nhiệt độ môi trường thử nghiệm là 32 °C như quy định bởi nhà chế tạo, tính bằng giờ
Các giới hạn dưới đây được áp dụng cho các tham số đầu vào Δtd-max và Δtd-min bất kể quy định kỹ thuật của nhà chế tạo:
Δtd-min thường lớn hơn 6 h và không vượt quá 12 h ở nhiệt độ môi trường thử nghiệm là 32 °C
Δtd-max không được lớn hơn 96 h ở nhiệt độ môi trường thử nghiệm là 32 °C
Δtd-max phải lớn hơn Δtd-min ở nhiệt độ môi trường thử nghiệm là 32 °C
Nhà chế tạo có kết quả đối với các khoảng thời gian xả băng liên quan là:
Δtd-min bằng 6,5 ở nhiệt độ môi trường thử nghiệm là 32 °C.
Δtd-max bằng 44 ở nhiệt độ môi trường thử nghiệm là 32 °C.
Điều kiện Δtd-max phải lớn hơn Δtd-min ở nhiệt độ môi trường thử nghiệm là 32 °C được đáp ứng.
Ở nhiệt độ môi trường thử nghiệm là 32 °C, giá trị Δtdf32 bằng:

= 20,43 h
= 20,4 h (làm tròn đến 0,1 gần nhất).
Theo D.2.4, giá trị Δtdf16 bằng hai lần giá trị Δtdf32 = 40,857 h
= 40,9 h (làm tròn đến 0,1 gần nhất).
I.3 Ví dụ về nội suy
I.3.1 Quy định chung
Điều này đưa ra ví dụ về nội suy tuyến tính, tam giác và các giải pháp sử dụng ma trận. Các ví dụ được cung cấp ở đây là có ích để kiểm tra rằng các hệ thống tự động khi phân tích là các kết quả tính toán đúng.
I.3.2 Nội suy tuyến tính
I.3.2.1 Quy định chung
Như nêu trong E.3.3, các công thức sử dụng cho nội suy tuyến tính là:
(28)
Tj = Tj1 + fi x (Tj2 - Tj1) (29)
Ei-tar = E1 + fi x (E2 - E1) (30)
Các ví dụ dưới đây minh họa cách áp dụng các công thức này cho dữ liệu thử nghiệm
Bảng I.1 - Ví dụ về nội suy tuyến tính, một ngăn
| Tham số | Thử nghiệm 1 | Thử nghiệm 2 | Loại | Mục tiêu |
| Ngăn A | TA1 = -19,6 °C | TA2 = -17,1 °C | Kết đông | -18 °C |
| Năng lượng | Edaily1 = 789 Wh/d | Edaily1 = 668 Wh/d |
|
|
Kiểm tra tính hợp lệ: TA1 và TA2 không được cách nhau quá 4 K. Kết quả = OK.
Như nêu trong Điều E.3, cần thực hiện các tính toán đối với từng ngăn i từ 1 đến n ngăn. Mỗi bước lặp này được tham chiếu đến như một vòng lặp. Chỉ có một ngăn duy nhất do đó chỉ cần thực hiện một vòng lặp trong trường hợp này.
Bước 1: Tính fi = (-18,0 - (-19,6))/((-17,1) - (-19,6)) = 0,640. Kiểm tra xác nhận rằng giá trị này lớn hơn 0 và nhỏ hơn 1. Kết quả = OK. (Đây luôn là trường hợp khi một điểm thử nghiệm nằm bên trên nhiệt độ mục tiêu và một điểm nằm bên thấp hơn nhiệt độ mục tiêu).
Bước 2: Tính Tj = -19,6 + 0,640 x ((-17,1) - (-19,6)) = -18,0 (chỉ cần đối với j = 1). Vì chỉ có một ngăn nên công thức này cho nhiệt độ mục tiêu về với ngăn i.
Bước 3: Kiểm tra xác nhận rằng đối với tất cả các Tj, giá trị này bằng hoặc nhỏ hơn mục tiêu. Trong trường hợp này, điều này là đúng. Khi đó tính E = 789 + 0,640 x (668 - 789) = 711,6 Wh/d.
Nội suy được thực hiện trên ngăn A và độ dốc Si được cho bởi:
(32)

I.3.2.3 Hai ngăn
Ví dụ đầu tiên được cho với hai ngăn trong đó một điểm cao hơn và một điểm thấp hơn nhiệt độ mục tiêu đối với cả hai ngăn như thể hiện trong Bảng I.2.
Bảng I.2 - Ví dụ 1 về nội suy tuyến tính, hai ngăn
| Tham số | Thử nghiệm 1 | Thử nghiệm 2 | Loại | Mục tiêu |
| Ngăn A | TA1 = +4,9 °C | TA2 = +1,4 °C | Thực phẩm tươi | +4,0 °C |
| Ngăn B | TB1 = -16,5°C | TB2 = -18,9 °C | Kết đông | -18 °C |
| Năng lượng | Edaily1 = 822,1 Wh/d | Edaily2 = 935,6 Wh/d |
|
|
Kiểm tra tính hợp lệ: Nhiệt độ ngăn A ở cả hai điểm nằm trong phạm vi 4 K với nhau cũng như đối với ngăn B, do đó có thể sử dụng nội suy tuyến tính.
Vòng lặp 1 đối với i = A (ngăn A)
Bước 1: Tính fi = (4,0 - 4,9)/(1,4 - 4,0) = 0,257. Kiểm tra xác nhận rằng giá trị này lớn hơn 0 và nhỏ hơn 1. Kết quả = OK.
Bước 2: Tính các giá trị Tj:
TA = 4,9 + 0,257 x (1,4 - 4,9) = 4,0 °C
TB = -16,5 + 0,257 x (-18,9 - (-16,5)) = -17,12 °C
Bước 3: TA nhỏ hơn hoặc bằng nhiệt độ mục tiêu 4 °C? Kết quả: đúng
TB nhỏ hơn hoặc bằng nhiệt độ mục tiêu -18 °C? Kết quả: sai
Không phải tất cả các nhiệt độ được nội suy đều nằm bên thấp hơn nhiệt độ mục tiêu vì vậy không tính được năng lượng tiêu thụ: EA-tar = không hợp lệ.
Kết thúc vòng lặp i = A
Vòng lặp 2 đối với i = B (ngăn B)
Bước 1: Tính fi = (-18,0 - (-16,5))/((-18,9) - (-16,5)) = 0,625. Kiểm tra xác nhận rằng giá trị này lớn hơn 0 và nhỏ hơn 1. Kết quả = OK.
Bước 2: Tính các giá trị Tj:
TA = 4,9 + 0,625 x (1,4 - 4,9) = 2,71 °C
TB = -16,5 + 0,625 x (-18,9 - (-16,5)) = -18,0 °C
Bước 3: TA nhỏ hơn hoặc bằng nhiệt độ mục tiêu 4 °C? Kết quả: đúng
TB nhỏ hơn hoặc bằng nhiệt độ mục tiêu -18 °C? Kết quả: đúng
Tất cả các nhiệt độ được nội suy đều nằm bên thấp hơn nhiệt độ mục tiêu vì vậy năng lượng tiêu thụ được nội suy:
EB-tar = 822,1 + 0,625 x (935,6 - 822,1) = 893,0 Wh/d.
Kết thúc vòng lặp i = B.
Năng lượng tiêu thụ được nội suy cuối cùng là Elinear = giá trị hợp lệ nhỏ nhất của EA-tar và EB-tar và có nghĩa là Elinear = EB-tar = 893,0 Wh/d (với lưu ý là EA-tar không hợp lệ trong trường hợp này).
Nội suy là trên ngăn B và độ dốc Si bằng -47,292 Wh/d/K.
Ví dụ này được minh họa trên Hình I.1 và Hình I.2 chỉ thể hiện nội suy trên ngăn B cho kết quả hợp lệ trong trường hợp này.

Hình I.1 - Ví dụ về nội suy tuyến tính hai ngăn (Ngăn B hợp lệ)

Hình I.2 - Ví dụ về nội suy tuyến tính hai ngăn (Ngăn B hợp lệ)
Trong ví dụ thứ hai, không có điểm thử nghiệm nào có cả hai ngăn nằm bên thấp hơn nhiệt độ mục tiêu như thể hiện trong Bảng I.3. Điều này vẫn có thể dẫn đến các trường hợp nội suy hợp lệ. Nếu không hợp lệ, thuật toán sẽ phát hiện ra.
Bảng I.3 - Ví dụ 2 về nội suy tuyến tính, hai ngăn
| Tham số | Thử nghiệm 1 | Thử nghiệm 2 | Loại | Mục tiêu |
| Ngăn A | TA1 = +5,2 °C | TA2 = +2,2 °C | Thực phẩm tươi | +4,0 °C |
| Ngăn B | TB1 = -18,8 °C | TB2 = -17,3 °C | Kết đông | -18 °C |
| Năng lượng | Edaily1 = 853,9 Wh/d | Edaily2 = 828,6 Wh/d |
|
|
Kiểm tra tính hợp lệ: Nhiệt độ ngăn A ở cả hai điểm đều nằm trong phạm vi 4 K với nhau cũng như đối với ngăn B, do đó có thể sử dụng nội suy tuyến tính.
CHÚ THÍCH: Trong ví dụ này (và ví dụ tiếp theo) nhiệt độ của ngăn A và ngăn B được dịch chuyển theo các hướng ngược nhau. Điều này chỉ thường xảy ra khi có hai bộ điều chỉnh nhiệt độ độc lập được điều chỉnh bởi người sử dụng và trong đó ngăn A được đặt lạnh hơn đối với điểm thử nghiệm 2 và ngăn B được đặt ấm hơn đối với điểm thử nghiệm 2.
Vòng lặp 1 đối với i = A (ngăn A)
Bước 1: Tính fi = (4,0 - 5,2)/(2,2 - 5,2) = 0,400. Kiểm tra xác nhận rằng giá trị này lớn hơn 0 và nhỏ hơn 1. Kết quả = OK.
Bước 2: Tính các giá trị Tj:
TA = 5,2 + 0,400 x (2,2 - 5,2) = 4,0 °C
TB = -18,8 + 0,400 x (-17,3 - (-18,8)) = -18,20 °C
Bước 3: TA nhỏ hơn hoặc bằng nhiệt độ mục tiêu 4 °C? Kết quả: đúng
TB nhỏ hơn hoặc bằng nhiệt độ mục tiêu -18 °C? Kết quả: đúng
Tất cả các nhiệt độ được nội suy đều nằm bên thấp hơn nhiệt độ mục tiêu vì vậy năng lượng tiêu thụ được nội suy: EA-tar = 853,9 + 0,400 x (828,6 - 853,9) = 843,8 Wh/d.
Kết thúc vòng lặp i = A
Vòng lặp 2 đối với i = B (ngăn B)
Bước 1: Tính fi = (-18,0 - (-18,8))/((-17,3) - (-18,8)) = 0,533. Kiểm tra xác nhận rằng giá trị này lớn hơn 0 và nhỏ hơn 1. Kết quả = OK.
Bước 2: Tính các giá trị Tj:
TA = 5,2 + 0,533 x (2,2 - 5,2) = 3,60 °C
TB = -18,8 + 0,533 x (-17,3 -(-18,8)) = -18,0 °C
Bước 3: TA nhỏ hơn hoặc bằng nhiệt độ mục tiêu 4 °C? Kết quả: đúng
TB nhỏ hơn hoặc bằng nhiệt độ mục tiêu -18 °C? Kết quả: đúng
Tất cả các nhiệt độ được nội suy đều nằm bên thấp hơn nhiệt độ mục tiêu vì vậy năng lượng tiêu thụ được nội suy:
EB-tar = 853,9 + 0,533 x (828,6 - 853,9) = 840,4 Wh/d.
Kết thúc vòng lặp i = B.
Năng lượng tiêu thụ được nội suy cuối cùng là Elinear = giá trị hợp lệ nhỏ nhất của EA-tar và EB-tar và có nghĩa là Elinear = EB-tar = 840,4 Wh/d.
Nội suy là trên ngăn B và độ dốc Si bằng -16,87 Wh/d/K.
Ví dụ này được minh họa trên Hình I.3 và Hình I.4 thể hiện rằng cả hai điểm nội suy đều hợp lệ. Giá trị tiêu thụ năng lượng nhỏ nhất được lấy vì đây là trường hợp sát với trường hợp tối ưu trong đó cả hai nhiệt độ ngăn đều ở nhiệt độ mục tiêu tương ứng của chúng.

Hình I.3 - Ví dụ về nội suy trong đó cả hai điểm thử nghiệm có cả hai ngăn đều nằm bên thấp hơn nhiệt độ mục tiêu (hai kết quả hợp lệ)

Hình I.4 - Ví dụ về nội suy trong đó cả hai điểm thử nghiệm có cả hai ngăn đều nằm bên thấp hơn nhiệt độ mục tiêu (hai kết quả hợp lệ)
Ví dụ thứ ba thể hiện trường hợp khi không có điểm nội suy hợp lệ. Dữ liệu ví dụ cho trong Bảng I.4.
Bảng I.4 - Ví dụ 3 về nội suy tuyến tính, hai ngăn
| Tham số | Thử nghiệm 1 | Thử nghiệm 2 | Loại | Mục tiêu |
| Ngăn A | TA1 = +5,2 °C | TA2 = +2,3 °C | Thực phẩm tươi | +4,0 °C |
| Ngăn B | TB1 = -18,3 °C | TB2 = -16,8 °C | Kết đông | -18 °C |
| Năng lượng | Edaily1 = 853,9 Wh/d | Edaily2 = 828,6 Wh/d |
|
|
Kiểm tra tính hợp lệ: Nhiệt độ ngăn A ở cả hai điểm đều nằm trong phạm vi 4 K với nhau cũng như đối với ngăn B, do đó có thể sử dụng nội suy tuyến tính.
Vòng lặp 1 đối với i = A (ngăn A)
Bước 1: Tính fi = (4,0 - 5,2)/(2,3 - 5,2) = 0,414. Kiểm tra xác nhận rằng giá trị này lớn hơn 0 và nhỏ hơn 1. Kết quả = OK.
Bước 2: Tính các giá trị Tj:
TA = 5,2 + 0,414 x (2,3 - 5,2) = 4,0 °C
TB = -18,3 + 0,414 x (-16,8 - (-18,3)) = -17,63 °C
Bước 3: TA nhỏ hơn hoặc bằng nhiệt độ mục tiêu 4 °C? Kết quả: đúng
TB nhỏ hơn hoặc bằng nhiệt độ mục tiêu -18 °C? Kết quả: sai
Không phải tất cả các nhiệt độ được nội suy đều nằm bên thấp hơn nhiệt độ mục tiêu vì vậy không thể tính năng lượng tiêu thụ được nội suy: EA-tar = không hợp lệ.
Kết thúc vòng lặp i = A
Vòng lặp 2 đối với i = B (ngăn B)
Bước 1: Tính fi = (-18,0 - (-18,3))/((-16,8) - (-18,3)) = 0,200. Kiểm tra xác nhận rằng giá trị này lớn hơn 0 và nhỏ hơn 1. Kết quả = OK.
Bước 2: Tính các giá trị Tj:
TA = 5,2 + 0,200 x (2,3 - 5,2) = 4,62 °C
TB = -18,3 + 0,200 x (-16,8 - (-18,3)) = -18,0 °C
Bước 3: TA nhỏ hơn hoặc bằng nhiệt độ mục tiêu 4 °C? Kết quả: sai
TB nhỏ hơn hoặc bằng nhiệt độ mục tiêu -18 °C? Kết quả: đúng
Không phải tất cả các nhiệt độ được nội suy đều nằm bên thấp hơn nhiệt độ mục tiêu vì vậy không thể tính năng lượng tiêu thụ nội suy: EB-tar = không hợp lệ.
Kết thúc vòng lặp i = B.
Năng lượng tiêu thụ được nội suy cuối cùng không thể được suy ra vì cả EA-tar và EB-tar đều không có giá trị hợp lệ. Ví dụ này được minh họa trên Hình I.5 và Hình I.6. Cần lựa chọn điểm thử nghiệm khác.

Hình I.5 - Ví dụ về nội suy trong đó không có điểm thử nghiệm nào hai điểm thử nghiệm có cả hai ngăn nằm bên thấp hơn nhiệt độ mục tiêu (không có kết quả hợp lệ)

Hình I.6 - Ví dụ về nội suy trong đó không có điểm thử nghiệm nào hai điểm thử nghiệm có cả hai ngăn nằm bên thấp hơn nhiệt độ mục tiêu (không có kết quả hợp lệ)
I.3.2.4 Nhiều ngăn
Ví dụ tiếp theo thể hiện trường hợp có sẵn hai điểm thử nghiệm đối với thiết bị 4 ngăn. Ví dụ về dữ liệu được cho trong Bảng I.5.
Bảng I.5 - Ví dụ về nội suy tuyến tính, dữ liệu thử nghiệm cho 4 ngăn
| Tham số | Thử nghiệm 1 | Thử nghiệm 2 | Loại ngăn | Mục tiêu | |
| Ngăn A | °C | +5,5 | +2,2 | Thực phẩm tươi | +4,0 |
| Ngăn B | °C | -16,5 | -18,9 | Kết đông (4 sao) | -18,0 |
| Ngăn C | °C | +1,3 | -2,0 | 0 sao | 0,0 |
| Ngăn D | °C | -10,7 | -13,9 | Đông (2 sao) | -12,0 |
| Năng lượng | Wh/d | 822,1 | 935,6 |
|
|
| CHÚ THÍCH: Phần màu xám thể hiện nội suy tuyến tính ở nhiệt độ mục tiêu của ngăn. | |||||
Kiểm tra tính hợp lệ: Nhiệt độ của tất cả các ngăn ở cả hai điểm đều nằm trong phạm vi 4 K với nhau, do đó có thể sử dụng nội suy tuyến tính.
Vòng lặp 1 đối với i = A (ngăn A)
Bước 1: Tính fi = (4,0 - 5,5)/(2,4 - 5,5) = 0,484. Kiểm tra xác nhận rằng giá trị này lớn hơn 0 và nhỏ hơn 1. Kết quả = OK.
Bước 2: Tính các giá trị Tj:
TA = 5,5 + 0,484 x (2,4 - 5,5) = 4,0 °C
TB = -16,5 + 0,484 x (-18,9 - (-16,5)) = -17,66 °C; vòng lặp có thể dừng vì >-18 °C; EA-tar = không hợp lệ.
Vì một trong các ngăn cao hơn nhiệt độ mục tiêu trong vòng lặp 1, các tính toán có thể được dừng lại (nếu làm thủ công). Trên thực tế, tất cả các giá trị được tính đồng thời trong bảng tính và sự hợp lệ của từng điểm được kiểm tra sau đó (xem bảng dưới đây làm ví dụ).
Kết thúc vòng lặp i = A
Vòng lặp 2 đối với i = B (ngăn B)
Bước 1: Tính fi = (-18,0 - (-16,5))/(-18,9 - (-16,5)) = 0,625. Kiểm tra xác nhận rằng giá trị này lớn hơn 0 và nhỏ hơn 1. Kết quả = OK.
Bước 2: Tính các giá trị Tj:
TA = 5,5 + 0,625 x (2,4 - 5,5) = 3,56 °C
TB = -16,5 + 0,625 x (-18,9 - (-16,5)) = -18,0 °C
TC = 1,3 + 0,625 x (-2,0 - 1,3) = -0,76 °C
TD = -10,7 + 0,625 x (-13,9 - (-10,7)) = -12,7 °C
Bước 3: TA nhỏ hơn hoặc bằng nhiệt độ mục tiêu 4 °C? Kết quả: đúng
TB nhỏ hơn hoặc bằng nhiệt độ mục tiêu -18 °C? Kết quả: đúng
TA nhỏ hơn hoặc bằng nhiệt độ mục tiêu 0 °C? Kết quả: đúng
TB nhỏ hơn hoặc bằng nhiệt độ mục tiêu -12 °C? Kết quả: đúng
Tất cả các nhiệt độ được nội suy đều nằm bên thấp hơn nhiệt độ mục tiêu vì vậy có thể tính năng lượng tiêu thụ nội suy: EB-tar = 822,1 + 0,625 x (935,6 - 822,1 ) = 893,0 Wh/d.
Kết thúc vòng lặp i = B
Vòng lặp 3 đối với i = C (ngăn C)
Bước 1: Tính fi = (0,0 - 1,3)/(-2,0 - 1,3) = 0,394. Kiểm tra xác nhận rằng giá trị này lớn hơn 0 và nhỏ hơn 1. Kết quả = OK.
Bước 2: Tính các giá trị Tj:
TA = 5,5 + 0,394 x (2,4 - 5,5) = 4,28 °C; vòng lặp có thể dừng vì >+4,0 °C; EC-tar = không hợp lệ.
Kết thúc vòng lặp i = C
Vòng lặp 4 đối với i = D (ngăn D)
Bước 1: Tính fi = (-12,0 - (-10,7)/(-13,9 - (-10,7)) = 0,406. Kiểm tra xác nhận rằng giá trị này lớn hơn 0 và nhỏ hơn 1. Kết quả = OK.
Bước 2: Tính các giá trị Tj:
TA = 5,5 + 0,406 x (2,4 - 5,5) = 4,24 °C; vòng lặp có thể dừng vì >+4,0 °C; ED-tar = không hợp lệ.
Kết thúc vòng lặp i = D
Năng lượng tiêu thụ được nội suy cuối cùng Elinear = giá trị nhỏ nhất trong các giá trị từ EA-tar đến ED-tar. Vì chỉ có EB-tar có giá trị hợp lệ nên theo định nghĩa Elinear = 893 Wh/d.
Nội suy trên ngăn B và độ dốc Si = -47,29 Wh/d/K.
Các tính toán đối với ví dụ này được thể hiện trên Bảng I.6 và được minh họa trên Hình I.7. Đi từ ngăn lạnh nhất đến ngăn ấm nhất, ngăn B (có năng lượng E2) là ngăn đầu tiên đi qua nhiệt độ mục tiêu (trong khi tất cả các ngăn khác đều nhỏ hơn nhiệt độ mục tiêu). Dữ liệu cũng có thể được bố trí dưới dạng bảng, có ích khi tính các giá trị sử dụng bảng tính. Con số in đậm là khi các nhiệt độ ngăn thấp hơn hoặc bằng nhiệt độ mục tiêu, con số gạch chân là nhiệt độ cao hơn nhiệt độ mục tiêu. Chỉ vòng lặp 2 (ngăn B ở giá trị mục tiêu) là hợp lệ (cột 3, năng lượng in đậm) vì tất cả các ngăn đều thấp hơn hoặc bằng nhiệt độ mục tiêu.
Bảng I.6 - Ví dụ về nội suy tuyến tính, kết quả cho 4 ngăn
| Tham số | Nội suy ngăn A (vòng lặp 1) | Nội suy ngăn B (vòng lặp 2) | Nội suy ngăn C (vòng lặp 3) | Nội suy ngăn D (vòng lặp 4) |
| fi | 0,483 87 | 0,625 | 0,393 94 | 0,406 25 |
| Ngăn A °C | 4,0 | 3,562 5 | 4,278 8 | 4,240 6 |
| Ngăn B °C | -17,661 | -18,0 | -17,445 | -17,475 |
| Ngăn C °C | -0,296 77 | -0,762,5 | 0,0 | -0,0406 25 |
| Ngăn D °C | -12,248 | -12,7 | -11,961 | -12,0 |
| Năng lượng nội suy Wh | 877,02 | 893,04 | 866,81 | 868,21 |
| CHÚ THÍCH: • Ô màu xám thể hiện nội suy ở nhiệt độ mục tiêu của ngăn. • Chữ số gạch chân thể hiện rằng nhiệt độ của ngăn cao hơn nhiệt độ mục tiêu (không hợp lệ) • Chữ số in đậm chỉ thị rằng nhiệt độ của ngăn thấp hơn hoặc bằng nhiệt độ mục tiêu (hợp lệ) • Chữ số in đậm đối với năng lượng chỉ thị giá trị hợp lệ vì tất cả các nhiệt độ của ngăn đều thấp hơn hoặc bằng nhiệt độ mục tiêu đối với nội suy đó. | ||||

Hình I.7 - Ví dụ về nội suy đối với trường hợp 4 ngăn
I.3.3 Hai ngăn - nội suy tam giác thủ công
Trong ví dụ này, chúng ta xét đến tủ lạnh có hai ngăn được sử dụng cho nội suy tam giác. Dữ liệu thử nghiệm đối với 3 điểm được cho trong Bảng I.7. Ví dụ này đưa ra ví dụ tính toán cho các công thức trong E.4.
Bảng I.7 - Ví dụ về nội suy tam giác, hai ngăn
| Tham số | Thử nghiệm 1 | Thử nghiệm 2 | Thử nghiệm 3 | Điểm 4 (tính) | Loại ngăn | Mục tiêu |
| Ngăn A | -20,7 | -17,5 | -16,0 | -18,435 8 | Kết đông | -18,0 |
| Ngăn B | +6,5 | +0,8 | +7,1 | +6,789 | Thực phẩm tươi | +4,0 |
| Năng lượng Wh/d | 1 390 | 1 310 | 1 120 | 1 259,93 |
|
|
Tất cả 3 điểm thử nghiệm đều nằm trong phạm vi ±4 K xung quanh nhiệt độ mục tiêu của từng ngăn, vì vậy các điểm này đều hợp lệ. Ba điểm thử nghiệm xung quanh điểm giao nhau giữa các nhiệt độ mục tiêu (như minh họa trên Hình I.8) vì vậy có thể tiến hành nội suy.
Đầu tiên kiểm tra rằng điểm Q nằm bên trong tam giác tạo bởi các điểm thử nghiệm 1, 2 và 3. Tính hai tham số dưới đây như thiết lập trong E.4.2.2:

Điểm Q nằm bên trong tam giác tạo bởi điểm 1, 2 và 3 nếu bất đẳng thức sau đúng:
IF {[Check1 ≥ 0] AND [Check2 ≥ 0]} = TRUE (33)
CHÚ THÍCH: Khuyến cáo rằng các công thức này được đưa vào bảng tính khi sử dụng thường xuyên nhằm tránh lỗi. Giá trị 0 đối với Check 1 và Check 2 thể hiện rằng điểm Q nằm chính xác trên một trong các cạnh tam giác và nội suy tuyến tính có thể có kết quả tương tự với ít dữ liệu hơn.
Trong trường hợp này, Check 1 và Check 2 cho các kết quả sau:

Vì cả Check 1 và Check 2 đều lớn hơn 0 nên điểm Q nằm bên trong tam giác tạo bởi điểm 1, 2 và 3, vì vậy có thể tiến hành nội suy tam giác sử dụng nội suy thủ công hoặc ma trận.
Một cách tiếp cận khác nhằm kiểm tra xem điểm Q có nằm bên trong tam giác (sử dụng nguyên tắc tương tự) được cho trong E.4.6. Tính định thức của mỗi trong bốn ma trận sau:
| D0 đối với |
|
| D1 đối với |
|
| D2 đối với |
|
| D3 đối với |
|
Kiểm tra xem D0 = D1 + D2 + D3
28,71 = 7,95 + 13,37 + 7,39 = đúng
Nếu D1 và D2 và D3 cùng dấu với D0 thì điểm Q nằm bên trong tam giác (đúng).

Hình I.8 - Ví dụ về nội suy tam giác (nhiệt độ)
Các công thức để xác định các giá trị đối với nội suy thủ công được cho như dưới đây.
Tính nhiệt độ trong ngăn A tại điểm 4, là điểm giao nhau của đường đi qua điểm 2 và điểm Q (mục tiêu) và đường đi qua điểm 1 và điểm 3.
(34)

Hình I.8 thể hiện rõ ràng rằng điểm Q nằm trong tam giác tạo bởi các điểm thử nghiệm từ 1 đến 3. Công thức (33) ở trên cũng khẳng định rằng điểm Q nằm bên trong tam giác tạo bởi các điểm thử nghiệm từ 1 đến 3. Có thể thực hiện kiểm tra bổ sung như sau:
TA4 < TA-tar < TA2 hoặc
TA4 > TA-tar > TA2
và
TA1 < TA4 < TA3 hoặc
TA1 > TA4 > TA3
Trong ví dụ này, điều kiện thứ nhất của từng cặp được thỏa mãn:
-18,435 8 °C < -18 °C < -17,5 °C và
-20,7 °C < -18,435 °C < -16,0 °C
Trong trường hợp có bất kỳ nghi ngờ nào liên quan đến điểm Q có nằm trong tam giác hay không (ví dụ gần một trong các cạnh của tam giác), giá trị toán học theo công thức (33) phải được sử dụng để khẳng định sự hợp lệ.

Hình I.9 - Ví dụ về nội suy tam giác (nhiệt độ và năng lượng)
Năng lượng tiêu thụ nội suy ở nhiệt độ đối với điểm 4 giữa điểm thử nghiệm 1 và 3 được xác định như sau (sử dụng các nhiệt độ ngăn A):
(35)

Năng lượng tiêu thụ tính được ở nhiệt độ mục tiêu (điểm Q) sử dụng dữ liệu nhiệt độ và năng lượng đối với điểm 4 ở trên và điểm thử nghiệm 2 được xác định như sau (sử dụng các nhiệt độ ngăn A) được cho bởi:
(36)

EAB-tar là năng lượng tiêu thụ được xác định bằng cách sử dụng nội suy tam giác của các ngăn A và B. Điều này được minh họa trên Hình I.9. Lưu ý là các kết quả ở trên đối với TA4, E4 và EAB-tar được tính bình thường và không làm tròn. Chênh lệch nhỏ sẽ xảy ra nếu các giá trị làm trong thể hiện ở trên được sử dụng trong các công thức trong tiêu chuẩn này. Các giá trị không làm tròn nên được sử dụng đối với tất cả các tính toán nếu có thể. Các tính toán được thực hiện bình thường trong bảng tính hoặc dụng cụ toán học khác.
I.3.4 Hai ngăn - nội suy tam giác sử dụng ma trận
Đối với ví dụ tính toán này, chúng ta xem xét cùng tủ lạnh có hai ngăn sử dụng nội suy tam giác trong ví dụ trước. Sử dụng công thức (33) đã được khẳng định rằng 3 điểm thử nghiệm bao xung quanh điểm Q. Lưu ý là không cần tính giá trị đối với điểm 4 khi sử dụng các ma trận.
Cơ sở của cách tiếp cận trên hai ngăn sử dụng ma trận là giả thiết rằng chúng ta có 3 công thức đồng thời để mô tả 3 điểm thử nghiệm như sau:
E0 + A x TA1 + B x TB1 = E1
E0 + A x TA2 + B x TB2 = E2
E0 + A x TA3 + B x TB3 = E3
Trong ví dụ này, các công thức trở thành:
E0 + A x (-20,7) + B x 6,5 = 1 390
E0 + A x (-17,5) + B x 0,8 = 1 310
E0 + A x (-16,0) + B x 7,1 = 1 120
Giá trị E0 là năng lượng tiêu thụ của thiết bị lạnh ở nhiệt độ môi trường thử nghiệm cho trước khi nhiệt độ của cả hai ngăn là 0 °C (điều này là không thể có được trong thực tế).
Ba công thức này có thể gộp lại thành ma trận như sau:
[M33] x [C31] = [E31] (37)
trong đó:
[M33] là ma trận 3 x 3 gồm 1 (hằng số), TA và TB của từng điểm thử nghiệm
[C31] là ma trận 3 x 1 gồm E0, A và B (các hằng số cần tìm)
[E31] là ma trận 3 x 1 gồm E1, E2 và E3

Để tìm ma trận hằng số chưa biết [C31], tìm nghiệm của phép nhân ma trận [M33]-1 x [E31]
Trong ví dụ này, [M33]-1 bằng:

Phép nhân ma trận [M33]-1 x [E31] cho ta ma trận sau đối với E0, A và B

Sử dụng các hằng số tìm được từ ma trận [C31], năng lượng tiêu thụ ở tổ hợp bất kỳ của nhiệt độ ngăn có thể được ước lượng chính xác bằng công thức:
EAB = 356,2522 - 55,276 9 x TA - 16,9976 x TB
Năng lượng tiêu thụ ở nhiệt độ mục tiêu đối với ngăn A = -18,0 và ngăn B = +4,0 được cho bởi:
EAB-tar = 356,2522 - 55,2769 x (-18,0) - 16,9976 x 4,0 = 1 283,246 Wh/d
CHÚ THÍCH: Kết quả có được khi sử dụng ma trận tương tự với kết quả có được khi nội suy thủ công như đề cập trong điều trước đây. Trong các ví dụ được nêu trong điều này và các điều trước, một số sai số trong con số có nghĩa cuối cùng có thể xảy ra do làm tròn. Điều này không xảy ra nếu sử dụng bảng tính để tính các kết quả mà không làm tròn.
Tác động đến năng lượng tiêu thụ khi nhiệt độ các ngăn thay đổi có thể tính toán dễ dàng từ các tham số này.
Đối với ngăn A (kết đông), sự thay đổi năng lượng khi nhiệt độ ngăn ấm lên 1 K được cho bởi:

tức là nhiệt độ ngăn kết đông tăng thêm 1 K sẽ làm giảm năng lượng tiêu thụ đi 4,31 % (khi nhiệt độ ngăn thực phẩm tươi được giữ không đổi).
Tương tự, đối với ngăn B (thực phẩm tươi), sự thay đổi năng lượng khi nhiệt độ ngăn ấm lên 1 K được cho bởi:

tức là nhiệt độ ngăn thực phẩm tươi tăng thêm 1 K sẽ làm giảm năng lượng tiêu thụ đi 1,32 % (khi nhiệt độ ngăn kết đông được giữ không đổi).
I.3.5 Ba ngăn - nội suy tam giác sử dụng ma trận
Đối với ví dụ tính toán này, chúng ta xem xét tủ lạnh có ba ngăn và bốn điểm được sử dụng để nội suy tam giác, như thể hiện trong Bảng I.8.
Bảng I.8 - Ví dụ về nội suy tam giác, ba ngăn
| Tham số | Thử nghiệm 1 | Thử nghiệm 2 | Thử nghiệm 3 | Thử nghiệm 4 | Loại ngăn | Mục tiêu |
| Ngăn A | -20,1 | -18,8 | -16,0 | -17,4 | Kết đông | -18,0 |
| Ngăn B | +4,3 | +1,3 | +6,4 | +2,4 | Thực phẩm tươi | +4,0 |
| Ngăn C | -14,2 | -12,5 | -10,5 | -10,5 | Hai sao | -12,0 |
| Năng lượng Wh/d | 1 250 | 1 220 | 1 080 | 1 150 |
|
|
Đầu tiên kiểm tra xem điểm Q có nằm bên trong tứ diện tạo thành bởi bốn điểm thử nghiệm. Tính định thức của năm ma trận sau:
| D0 đối với |
|
| D1 đối với |
|
| D2 đối với |
|
| D3 đối với |
|
| D4 đối với |
|
Kiểm tra xem D0 = D1 + D2 + D3 + D4
-11,898 = -3,190 - 3,022 - 4,075- 1,611 = đúng
Nếu D1 và D2 và D3 và D4 cùng dấu với D0 thì điểm Q nằm bên trong tứ diện (đúng).
Như ví dụ trước, dữ liệu có thể được chia thành các ma trận như sau:
[M44] x (C41] = [E41] (39)
trong đó:
[M44] là ma trận 4 x 4 gồm 1 (hằng số), TA, TB và TC của từng điểm thử nghiệm
[C41] là ma trận 4 x 1 gồm E0, A, B và C (các hằng số cần tìm)
[E41] là ma trận 4 x 1 gồm E1, E2, E3 và E4

Để tìm ma trận các hằng số chưa biết [C41], cần tìm nghiệm của phép nhân ma trận [M44]-1 x [E41]
Trong ví dụ này, [M44]-1 bằng

Phép nhân ma trận [M44]-1 x [E41] cho ta ma trận sau đối với E0, A, B và C

Sử dụng các hằng số tìm được từ ma trận [C41], năng lượng tiêu thụ ở tổ hợp bất kỳ của nhiệt độ ngăn có thể được ước lượng chính xác bằng công thức:
EABC = 583,8452 - 26,4666 x TA - 8,23668 x TB - 11,9432 x TC
Năng lượng tiêu thụ ở nhiệt độ mục tiêu đối với ngăn A = -18,0, ngăn B = +4,0 và ngăn C = -12,0 được cho bởi.
EABC-tar = 583,8452 - 26,4666 x (-18) - 8,23668 x (+4) - 11,9432 x (-12) Wh/d
= 1 170,616 Wh/d
Tác động đến năng lượng tiêu thụ khi nhiệt độ các ngăn thay đổi có thể tính toán dễ dàng từ các tham số này.
Đối với ngăn A, sự thay đổi năng lượng khi nhiệt độ ngăn ấm lên 1 K sẽ làm giảm năng lượng tiêu thụ đi 20,466 6 Wh/d (tương đương với giảm 1,10 W hoặc 2,26 % năng lượng cho mỗi K ấm lên).
Đối với ngăn B, sự thay đổi năng lượng khi nhiệt độ ngăn ấm lên 1 K sẽ làm giảm năng lượng tiêu thụ đi 8,236 68 Wh/d (tương đương với giảm 0,343 W hoặc 0,70 % năng lượng cho mỗi K ấm lên).
Đối với ngăn C, sự thay đổi năng lượng khi nhiệt độ ngăn ấm lên 1 K sẽ làm giảm năng lượng tiêu thụ đi 11,943 2 Wh/d (tương đương với giảm 0,498 W hoặc 1,02 % năng lượng cho mỗi K ấm lên).
I.4 Tính tác động về năng lượng khi có thay đổi nhiệt độ bên trong
I.4.1 Quy định chung
Điều này để tính tác động về năng lượng khi có thay đổi nhiệt độ bên trong các ngăn gây ra do sự thay đổi các giá trị đặt của bộ điều chỉnh nhiệt độ do người sử dụng điều chỉnh. Việc tính các giá trị này có thể cho các chỉ thị tốt về tác động của giá trị đặt của bộ điều chỉnh nhiệt độ liên quan đến người sử dụng mà có thể khác nhau giữa các người sử dụng khác nhau và có thể hỗ trợ cho việc phân tích các dữ liệu.
Phân tích một dải các tủ lạnh được thử nghiệm ở nhiệt độ môi trường 32 °C cho thấy rằng tác động của nhiệt độ ngăn kết đông thường là tăng năng lượng từ 2 % đến 5 % trên mỗi K giảm đi và đối với nhiệt độ ngăn thực phẩm tươi thường là tăng năng lượng từ 1 % đến 3 % trên mỗi K giảm đi. Các giá trị này thay đổi theo từng model.
Trong khi các tính toán này được quan tâm và được khuyến cáo nhưng chúng không được yêu cầu là một phần của tiêu chuẩn này.
CHÚ THÍCH: Khi tính tác động về năng lượng khi có thay đổi nhiệt độ bên trong, cần rất lưu ý đến các trường hợp khi cạnh đáy của tam giác nhỏ hơn 2 K và chiều cao của tam giác nhỏ hơn 1 K. Các tam giác nhỏ hoặc phẳng có thể không cung cấp ước lượng chính xác các tác động trong cả hai ngăn đối với các sản phẩm có 2 bộ điều chỉnh nhiệt độ điều chỉnh được bởi người sử dụng.
I.4.2 Một ngăn
Trong trường hợp nội suy hai điểm sử dụng một bộ điều khiển được sử dụng để tính năng lượng của thiết bị lạnh có một ngăn duy nhất, tác động về năng lượng trên mỗi K thay đổi có thể dễ dàng được tính toán.

và

trong đó
Etarget năng lượng tiêu thụ ở nhiệt độ mục tiêu được xác định bởi nội suy tuyến tính từ các điểm thử nghiệm 1 và 2
E1 năng lượng tiêu thụ đo được ở điểm thử nghiệm 1 đối với giá trị đặt điều khiển nhiệt độ 1
E2 năng lượng tiêu thụ đo được ở điểm thử nghiệm 2 đối với giá trị đặt điều khiển nhiệt độ 2
T1 nhiệt độ đo được ở điểm thử nghiệm 1 đối với giá trị đặt điều khiển nhiệt độ 1
T2 nhiệt độ đo được ở điểm thử nghiệm 2 đối với giá trị đặt điều khiển nhiệt độ 2
Ttar nhiệt độ mục tiêu đối với loại ngăn như nêu trong Bảng 1
ΔE năng lượng thay đổi, tính bằng %, của năng lượng tiêu thụ trên mỗi độ K thay đổi nhiệt độ đối với ngăn đó
CHÚ THÍCH: Giá trị ΔE thường mang dấu âm trong đó sự tăng nhiệt độ sẽ làm giảm năng lượng.
Sử dụng ví dụ đối với một ngăn từ I.3.2.2
Edaily1 = 789 Wh/d
T1 = -19,6 °C
Edaily2 = 668 Wh/d
T2 = -17,1 °C
Nhiệt độ mục tiêu đối với ngăn kết đông: -18,0 °C

Do đó:

ΔE = -0,068 trên mỗi độ K
hoặc 6,8 % năng lượng tăng khi nhiệt độ bên trong giảm mỗi độ K.
Trong trường hợp các nhiệt độ trong hai ngăn đều bị ảnh hưởng bởi một bộ điều chỉnh thì việc tính ΔE được thực hiện đối với từng ngăn sử dụng năng lượng tiêu thụ mục tiêu đối với ngăn tới hạn như quy định trong E.3. Vì không thể thay đổi nhiệt độ các ngăn một cách độc lập nên các giá trị của cả hai ngăn cần được ghi vào báo cáo cùng nhau.
Trong trường hợp có hai bộ điều chỉnh nhiệt độ điều chỉnh được bởi người sử dụng mà cả hai đều được điều chỉnh (hoặc chỉ một bộ điều chỉnh được điều chỉnh) để đạt được hai điểm thử nghiệm, các tính toán sẽ không đưa ra thể hiện hợp lệ các thay đổi về năng lượng trong cả hai ngăn. Điều này chỉ có thể được thực hiện khi sử dụng nội suy (3 điểm thử nghiệm đối với 2 ngăn).
I.4.3 Nội suy tam giác
Trong trường hợp nội suy tam giác được thực hiện theo Điều E.4, các điểm thử nghiệm có thể được sử dụng để rút ra các đặc tính có ích khác của thiết bị lạnh, là sự thay đổi năng lượng theo sự thay đổi nhiệt độ đối với từng ngăn (trong trường hợp có hai ngăn và có hai bộ điều chỉnh được thay đổi). Điều này được thực hiện một cách khá tin cậy khi tam giác bao quanh điểm Q được trải đều trong cả hai ngăn (ví dụ gần với tam giác đều hơn là tam giác bẹt).
Để tính các tham số này, sử dụng cùng các công thức trong Điều E.4 nhưng với nhiệt độ mục tiêu được điều chỉnh đối với từng ngăn áp dụng riêng rẽ. Đối với các mục đích của phân tích này, không quan trọng là điểm Q của nhiệt độ mục tiêu được điều chỉnh có nằm bên trong tam giác của các điểm thử nghiệm hay không nếu dữ liệu này không được sử dụng làm cơ sở cho việc công bố sơ bộ.
Nếu các ma trận được sử dụng để nội suy (như nêu trong E.4.4) thì các hệ số A và B trên thực tế là các tham số ΔEA và ΔEB đối với các ngăn A và B (tức là năng lượng thay đổi theo mỗi thay đổi 1 K trong mỗi ngăn) như nêu trong các ví dụ trong I.3.3. Đây là tiếp cận dễ dàng nhất. Một cách khác, các tác động có thể được xác định thủ công như nêu dưới đây.
Đối với tủ lạnh có hai bộ điều chỉnh nhiệt độ được điều chỉnh bởi người sử dụng, cách tiếp cận khuyến cáo là:
• Xác định năng lượng tiêu thụ ở điểm Q đối với các nhiệt độ mục tiêu quy định +4 °C và -18 °C (E4,-18);
• Xác định năng lượng tiêu thụ ở các nhiệt độ +4 °C và -19 °C (E4,-19);
• Xác định năng lượng tiêu thụ ở các nhiệt độ +3 °C và -18 °C (E3,-18).
CHÚ THÍCH 1: Các tính toán này có thể được thực hiện đối với hai ngăn A và B bất kỳ. Ngăn thực phẩm tươi và ngăn kết đông được sử dụng làm ví dụ minh họa.
Đáp ứng nhiệt độ với các thay đổi nhiệt độ bên trong có thể được tính là:

trong đó
ΔEfreezer sự thay đổi năng lượng tiêu thụ trên mỗi độ K ấm lên trong nhiệt độ ngăn kết đông tính bằng % của năng lượng tiêu thụ mục tiêu tại điểm Q
E4,-18 năng lượng tiêu thụ bằng nội suy ở +4 °C và -18 °C
E4,-19 năng lượng tiêu thụ bằng nội suy ở +4 °C và -19 °C
Đáp ứng nhiệt độ với các thay đổi nhiệt độ bên trong có thể được tính là:

trong đó
ΔEfreshfood sự thay đổi năng lượng tiêu thụ trên mỗi độ K ấm lên trong nhiệt độ ngăn thực phẩm tươi tính bằng % của năng lượng tiêu thụ mục tiêu tại điểm Q
E4.-18 năng lượng tiêu thụ bằng nội suy ở +4 °C và -18 °C
E3.-18 năng lượng tiêu thụ bằng nội suy ở +3 °C và -18 °C
CHÚ THÍCH 2: Giá trị ΔE thường mang dấu âm trong đó sự tăng nhiệt độ sẽ làm giảm năng lượng.
Đáp ứng năng lượng với sự thay đổi nhiệt độ bên trong (so với nhiệt độ mục tiêu) có thể được tính theo cách tương tự đối với các tất cả các ngăn liên quan với các bộ điều chỉnh nhiệt độ riêng rẽ được điều chỉnh bởi người sử dụng.
I.5 (Các) bộ sưởi chống ngưng tụ được điều chỉnh tự động
Việc dán nhãn được quyết định chỉ dựa trên 3 nhiệt độ 16 °C, 22 °C và 32 °C đối với quy trình này. Các tính toán phải được dựa trên nhiệt độ bên môi trường trong nhà là 16 °C trong 30 % thời gian, 22 °C trong 60 % thời gian và 32 °C trong 10 % thời gian. Xác suất thay đổi mức độ ẩm tương đối trong nhà theo vùng phải như trong ba cột hằng số xác suất trong Bảng I.9.
Tủ lạnh có bộ sưởi chống ngưng tụ được điều chỉnh tự động. Đối với một model cụ thể (ở các nhiệt độ mục tiêu của ngăn) ở mức độ ẩm tương đối khác nhau và ba nhiệt độ môi trường, công suất trung bình của bộ sưởi như trong cột công suất bộ sưởi trung bình trong Bảng I.9.
Bảng I.9 - Ví dụ về xác suất độ ẩm lấy trọng số theo sự phân bố và công suất bộ sưởi ở 16 °C, 22 °C và 32 °C
| Điểm trung bình của dài RH | Xác suất theo vùng, Ri (các điều kiện trong AS/NZS) | Công suất trung bình của bộ sưởi PHi (tính bằng W) (từ nhà chế tạo) | Xác suất x công suất ở từng nhiệt độ môi trường | ||||||
| 16 °C | 22 °C | 32 °C | 16 °C | 22 °C | 32 °C | 16 °C | 22 °C | 32 °C | |
| 5% | 0,00 % | 0,00 % | 0,03 % | 0 | 0 | 0 | 0,0000 | 0,0000 | 0,0000 |
| 15% | 0,006 % | 0,006 % | 0,33 % | 0 | 0 | 1 | 0,0000 | 0,0000 | 0,0033 |
| 25% | 0,60 % | 1,62% | 2,35 % | 0 | 1 | 2 | 0,0000 | 0,0162 | 0,0470 |
| 35% | 2,76 % | 9,24 % | 2,56 % | 0 | 2 | 3 | 0,0000 | 0,1848 | 0,0768 |
| 45% | 6,93 % | 12,72% | 3,57 % | 1 | 2 | 4 | 0,0693 | 0,2544 | 0,1428 |
| 55% | 8,01 % | 11,70% | 1,11 % | 1 | 3 | 5 | 0,0801 | 0,3510 | 0,0555 |
| 65% | 5,55 % | 11,40 % | 0,05 % | 1 | 3 | 6 | 0,0555 | 0,3420 | 0,0030 |
| 75% | 3,30 % | 7,92 % | 0,00 % | 2 | 4 | 7 | 0,0660 | 0,3168 | 0,0000 |
| 85% | 1,80 % | 3,48 % | 0,00 % | 2 | 5 | 8 | 0,0360 | 0,1740 | 0,0000 |
| 95% | 0,99 % | 1,86 % | 0,00 % | 3 | 6 | 9 | 0,0297 | 0,1116 | 0,0000 |
| Tổng | 30 % | 60 % | 10 % |
|
|
|
|
|
|
| CHÚ THÍCH: Ví dụ trong bảng này dựa trên các điều kiện tiêu chuẩn Úc và Niu Zilân đối với thiết bị lạnh giả thiết. | |||||||||
Đối với từng nhiệt độ môi trường

Lưu ý là các giá trị này được lấy trọng số bởi thời gian theo giả thiết ở từng điều kiện: 30 % thời gian được giả thiết là ở 16 °C, 60 % ở 22 °C và 10 % ở 32 °C.
Công suất trung bình hàng năm có trọng số, Wheaters = 2,4158 x 1,3 W
= 3,14054 W
Hệ số tổn hao hệ thống (1,3) nhằm cho phép năng lượng bổ sung được sử dụng để lấy năng lượng bộ sưởi bị rò rỉ vào thiết bị lạnh.
Năng lượng hàng năm từ bộ phận phụ trợ này có thể được tính như sau:
Eaux = 3,14054 W x 24 h/d x 365 d/year x 0,001 kW/W = 27,511 kWh/year
Giá trị này có thể cộng vào năng lượng hàng năm nếu bộ sưởi không làm việc khi được thử nghiệm tiêu thụ năng lượng.
CHÚ THÍCH: Các giá trị tiêu thụ năng lượng ban đầu được tính trên cơ sở hàng ngày theo 6.8.2, vì vậy cần thận trọng để đảm bảo các đơn vị là nhất quán khi cộng các giá trị năng lượng.
I.6 Tính hiệu suất xử lý tải
Sản phẩm được thử nghiệm hiệu suất xử lý tải theo Phụ lục G của tiêu chuẩn này.
Thiết bị có một số thuộc tính sau:
• Dung tích ngăn thực phẩm tươi: 300 L, do đó tải nước = 3 600 g (12 g/L)
• Dung tích ngăn kết đông: 120 L, do đó tải nước = 480 g (4 g/L)
Tải không đông 3 600 g được tạo thành từ 6 chai PET 500 g và 2 chai 300 g. Chúng được đặt như sau:
• 1 000 g ở mức TMP1,
• 1 300 g ở mức TMP2,
• 1 300 g ở mức TMP3,
Tải đông 480 g được tạo thành từ một khay đá 200 g và hai khay đá 140 g.
Tải nước được để trong phòng thử nghiệm trong 20 h trước khi thử nghiệm. Nhiệt độ trung bình của phòng thử nghiệm trong 6 h trước khi bắt đầu thử nghiệm là 32,1 °C.
Dữ liệu sau đã thu thập được trong thử nghiệm:
• Trạng thái ổn định trước khi nạp tải: +3,7 °C, -18,5 °C, 45,2 W (3 khối như trong B.3)
• Trạng thái ổn định khi kết thúc quá trình xử lý tải: +3,5 °C, -18,4 °C, 46,3 W (3 khối như trong B.3).
Các nhiệt độ ngăn thực phẩm tươi là T1 = +4,8 °C, T2 = +3,4 °C, T3 = +2,3 °C được đo ở các vị trí của cảm biến TMP1, TMP2 và TMP3 tương ứng.
So sánh các trạng thái ổn định trước và sau thử nghiệm hiệu suất xử lý tải, sự phân tán nhiệt độ nhỏ hơn 1 K trong cả hai ngăn (0,2 K và 0,1 K tương ứng) và sự phân tán công suất nhỏ hơn 2 W và 5 % (1,1 W và 2,4 % tương ứng) vì vậy dữ liệu chấp nhận được (xem G.4). Nhiệt độ của cả hai ngăn nằm trong phạm vi 1 K của nhiệt độ mục tiêu liên quan.
Các công thức để tính năng lượng đầu vào được quy định trong Phụ lục G.
(48)
Đối với ví dụ này, dữ liệu là:

= 120,17 Wh
(49)
Đối với ví dụ này, dữ liệu là:

= 67,43 Wh
Einput-test = Eunfrozen-test + Efrozen-test (50)
Einput-test = 120,17 + 67,43 = 187,60 Wh
Dữ liệu dưới đây được ghi lại trong thử nghiệm:
• Estart 403,8 Wh
• Eend 1 910,5 Wh
• Pafter 46,3 Wh
• tstart 46,2 h
• tend 72,1 h
• z = 1 xảy ra xả băng trong giai đoạn thử nghiệm
• ΔEdf 135,2 Wh (được xác định từ Phụ lục C)
Tính ΔEadditonal-test trong thử nghiệm như cho trong Phụ lục G:
ΔEadditional-test = (Eend - Estart) - Pafter x (tend - tstart) - z x ΔEdf (51)
ΔEadditional-test = (1910,5 - 403,8) - 46,3 x (72,1 - 462) - 1 x 135,2
= 172,33 Wh

= 1,089
Khi đó tải danh nghĩa bổ sung thêm cho thử nghiệm hiệu suất xử lý tải Einput-nominal được tính như sau:
(53)

Eunfrozen-nominal = 117,21 Wh
(54)

Efrozen-nominal = 67,26 Wh
Einput-nominal = Eunfrozen-nominal + Efrozen- nominal (55)
Einput-nominal = 117,2 + 67,2 = 184,47 Wh ở môi trường 32 °C.
Năng lượng thay đổi theo ngày của tải xử lý theo ngày 155 Wh ở nhiệt độ môi trường 32 °C có thể được tính như sau:

Giá trị 155 Wh/d trong ví dụ này là hệ số vùng dự kiến để thể hiện các tải nhiệt liên quan đến người sử dụng và có thể là cố định đối với tất cả các thiết bị lạnh hoặc có thể là hàm của cỡ và loại sản phẩm.
Một cách khác, năng lượng danh nghĩa thay đổi theo ngày quy định trong thử nghiệm hiệu suất xử lý tải có thể được tính theo nhiệt độ môi trường tương đương 32 °C như sau:

Giá trị a = 0,9 trong ví dụ này là hệ số vùng phản ánh các tải nhiệt liên quan đến người sử dụng. Tải này thường cố định đối với tất cả các thiết bị lạnh cùng loại (vì Einput-nominal là hàm của dung tích thiết bị) nhưng thay đổi theo loại sản phẩm (ví dụ tủ đông có thể có tương tác với người sử dụng ít hơn và tải xử lý nhỏ hơn so với tủ lạnh).
I.7 Xác định năng lượng tiêu thụ theo năm
Sản phẩm được thử nghiệm năng lượng tiêu thụ theo năm theo tiêu chuẩn này. Năng lượng tiêu thụ theo ngày ở 16 °C và 32 °C đã được xác định.
Có thể sử dụng một số cách tiếp cận có thể có để xác định năng lượng tiêu thụ theo năm. Một cách tiếp cận là sử dụng các kết quả từ hai nhiệt độ môi trường thử nghiệm với hệ số vùng đối với số ngày tương đương trong mỗi điều kiện môi trường trong năm để cho năng lượng tiêu thụ theo năm đại diện. Ví dụ dưới đây minh họa cách mà các thành phần trong tiêu chuẩn này có thể được kết hợp với nhau theo cách tạo ra ước lượng liên quan đến vùng của năng lượng tiêu thụ. Đây chỉ là một ví dụ - nhiều cách tiếp cận khác có thể được xây dựng và áp dụng.
Xem xét thiết bị lạnh sau:
E16C = 597 Wh/d ở nhiệt độ mục tiêu (nội suy tam giác)
E32C = 1 230 Wh/d ở nhiệt độ mục tiêu (nội suy tam giác)
Sản phẩm này có bộ sưởi chống ngưng tụ được điều chỉnh theo môi trường như nêu trong Điều I.5 với năng lượng tiêu thụ theo năm là 27,511 kWh/year.
Hiệu suất xử lý tải đo được ở nhiệt độ môi trường 16 °C là 1,47 Wh/Wh.
Hiệu suất xử lý tải đo được ở nhiệt độ môi trường 32 °C là 1,15 Wh/Wh.
Tải xử lý theo vùng hàng ngày đối với các điều kiện lạnh hơn là 135 Wh/d (nhiệt độ môi trường 16 °C)
Tải xử lý theo vùng hàng ngày đối với các điều kiện ấm hơn là 390 Wh/d (nhiệt độ môi trường 32 °C)
Các hệ số làm việc tương đương theo vùng đối với thiết bị lạnh là:
Số ngày làm việc ở nhiệt độ môi trường 16 °C là 170 ngày (Day16)
Số ngày làm việc ở nhiệt độ môi trường 32 °C là 195 ngày (Day32)
Day16 + Day32 = 365
Hàm theo vùng của năng lượng hàng năm ở 16 °C và 32 °C được thể hiện như sau:
Etotal = f{Edaily16C, Edaily32C} + Eaux + ΔEprocessing-annual (59)
Etotal = (Day16 x EDaily16C) + (Day32 x EDaily32C) + (Eaux) + (ΔEprocessing-annual)
Etotal = (170 x 597/1 000) + (195 x 1 230/1 000) + (27,511) + (170 x 135/1,47/1 000 + 195 x 390/1,15/1 000)
Etotal = 101,49 + 239,85 + 27,511 + 15,6122 + 66,1304
Etotal = 450,594 kWh/year
CHÚ THÍCH: Hệ số 1 000 trong công thức này để chuyển đơn vị từ Wh/d sang kWh/d. Cần thận trọng để đảm bảo tất cả các đơn vị đều nhất quán.
I.8 Ví dụ xác định công suất và nhiệt độ từ dữ liệu thô
I.8.1 Rà soát dữ liệu thủ công
Hình I.10 thể hiện ví dụ về dữ liệu thử nghiệm của tủ lạnh đã được thử nghiệm tiêu thụ năng lượng. Con số minh họa dữ liệu công suất và nhiệt độ trong các ngăn thực phẩm tươi và ngăn đông được thu thập hàng phút. Sản phẩm được làm việc ở điều kiện trạng thái ổn định và sau đó trải qua giai đoạn xả băng và phục hồi như đánh dấu. Các bước tiếp theo minh họa cách phân tích các dữ liệu này sử dụng cách tiếp cận SS1 trong Phụ lục B để xác định các đặc tính quan trọng của sản phẩm theo tiêu chuẩn này. Các ví dụ sau đó đối với cách tiếp cận SS2 và để tính toán năng lượng xả băng và phục hồi và sự thay đổi nhiệt độ được đưa vào sử dụng cùng tập các dữ liệu thu được.

Hình I.10 - Ví dụ về dữ liệu công suất và nhiệt độ
Bước 1: Chọn các chu kỳ điều chỉnh nhiệt độ từ dữ liệu thô (không được cung cấp trong ví dụ này). Trong ví dụ này, từng chu kỳ điều chỉnh nhiệt độ được chọn từ hoạt động của máy nén "on" đến máy nén "on" tiếp theo (sản phẩm tương đối đơn giản và điều này cung cấp các chu kỳ điều chỉnh nhiệt độ ổn định và tin cậy). Trong ví dụ này, chu kỳ điều chỉnh nhiệt độ 18 là máy nén làm việc ngắn trước khi bộ sưởi xả băng hoạt động (chu kỳ điều chỉnh nhiệt độ 19). Giai đoạn phục hồi là chu kỳ điều chỉnh nhiệt độ 20.
Bước 2: Tính nhiệt độ trung bình trong từng ngăn, năng lượng tiêu thụ và công suất trung bình đối với mỗi chu kỳ điều chỉnh nhiệt độ (TCC) từ dữ liệu thô. Dữ liệu thô được minh họa trên Hình I.10 được sử dụng để xác định các giá trị đối với mỗi TCC được nêu dưới dạng bảng trong Bảng I.10. Dữ liệu này đối với mỗi TCC được sử dụng làm cơ sở cho các tính toán mẫu tiếp theo trong ví dụ này.
Bước 3: Chọn số chu kỳ điều chỉnh nhiệt độ trên mỗi khối cần xem xét. (Xem B.3.1). Trong ví dụ này, 3 chu kỳ điều chỉnh nhiệt độ trong mỗi khối (A, B, C) được chọn làm ví dụ đầu tiên vì mỗi chu kỳ điều chỉnh nhiệt độ chỉ kéo dài ít hơn 1 h và cỡ của khối tối thiểu cho phép của dữ liệu thử nghiệm không nhỏ hơn 2 h đối với mỗi khối (tức là cỡ của khối nhỏ hơn 3 TCC sẽ không thu được dữ liệu hợp lệ). Dữ liệu ví dụ cho mỗi khối có thể có (1 đến 56) được minh họa trong Bảng I.11.
Bước 4: Các giai đoạn thử nghiệm có thể có, tạo thành từ các khối dữ liệu liên tiếp, được chia thành ba khối. Ví dụ về tất cả các giai đoạn thử nghiệm sử dụng cỡ khối gồm 3 chu kỳ điều chỉnh nhiệt độ được minh họa trong Bảng I.12. Giai đoạn thử nghiệm đầu tiên gồm Khối A (khối 1 sử dụng TCC 1 đến 3), Khối B (khối 4 sử dụng TCC 4 đến 6) và Khối C (khối 7 sử dụng TCC 7 đến 9). Giai đoạn thử nghiệm thứ hai gồm Khối A (khối 2 sử dụng TCC 2 đến 4), Khối B (khối 5 sử dụng TCC 5 đến 7) và Khối C (khối 8 sử dụng TCC 8 đến 10). Tổng có 36 giai đoạn thử nghiệm được liệt kê trong Bảng I.12 sử dụng cách tiếp cận này. Sau đó tính các đặc tính đối với từng mỗi giai đoạn thử nghiệm được chọn và kiểm tra các yêu cầu về tính hợp lệ trên các khối dữ liệu (sự phân tán nhiệt độ, độ dốc của nhiệt độ, sự phân tán công suất và độ dốc của công suất từ Khối A đến Khối C) như nêu trong B.3.1.
Bảng I.10 - Ví dụ tính toán năng lượng, công suất và nhiệt độ đối với mỗi chu kỳ điều chỉnh nhiệt độ (TCC)
| Số TCC | Khoảng thời gian TCC | Thời gian lũy tích khi bắt đầu TCC | Năng lượng tiêu thụ trong TCC | Công suất trung bình | Nhiệt độ ngăn không đông trung bình | Nhiệt độ ngăn đông trung bình | Lưu ý |
|
| hh:mm:ss | h | Wh | W | oC | oC |
|
| 1 | 0:50:00 | 0,000 | 38,626 | 46,360 | 3,741 | -18,958 | Lạnh trước Xả băng Phục hồi |
| 2 | 0:50:00 | 0,833 | 38,250 | 45,900 | 3,765 | -18,920 | |
| 3 | 0:50:00 | 1,667 | 39,000 | 46,800 | 3,760 | -18,919 | |
| 4 | 0:49:00 | 2,500 | 36,250 | 44,388 | 3,766 | -18,932 | |
| 5 | 0:50:00 | 3,317 | 38,375 | 46,050 | 3,793 | -18,876 | |
| 6 | 0:50:00 | 4,150 | 38,750 | 46,500 | 3,805 | -18,900 | |
| 7 | 0:50:00 | 4,983 | 38,250 | 45,800 | 3,775 | -18,940 | |
| 8 | 0:50:00 | 5,817 | 38,250 | 45,800 | 3,772 | -18,894 | |
| 9 | 0:50:00 | 8,650 | 37,875 | 45,450 | 3,747 | -18,900 | |
| 10 | 0:50:00 | 7,483 | 38,125 | 45,750 | 3,767 | -18,902 | |
| 11 | 0:50:00 | 8,317 | 38,375 | 46,050 | 3,759 | -18,931 | |
| 12 | 0:50:00 | 9,150 | 38,000 | 45,600 | 3,750 | -18,941 | |
| 13 | 0:50:00 | 9,983 | 38,000 | 45,600 | 3,755 | -18,928 | |
| 14 | 0:50:00 | 10,817 | 38,000 | 45,600 | 3,775 | -18,927 | |
| 15 | 0:50:00 | 11,650 | 38,375 | 48,050 | 3,773 | -18,912 | |
| 16 | 0:50:00 | 12,483 | 38,000 | 45,600 | 3,744 | -18,922 | |
| 17 | 0:50:00 | 13,317 | 38,000 | 45,600 | 3,771 | -18,924 | |
| 18 | 0:18:00 | 14,150 | 29,625 | 111,094 | 4,288 | -17,509 | |
| 19 | 0:26:00 | 14,417 | 47,500 | 109,615 | 4,179 | -15,294 | |
| 20 | 1:01:00 | 14,850 | 74,750 | 73,525 | 4,757 | -14,996 | |
| 21 | 0:50:00 | 15,867 | 41,000 | 49,200 | 4,019 | -18,817 | |
| 22 | 0:50:00 | 18,700 | 38,750 | 46,500 | 3,819 | -18,973 | |
| 23 | 0:50:00 | 17,533 | 38,875 | 46,650 | 3,784 | -18,977 | |
| 24 | 0:50:00 | 18,387 | 38,000 | 45,600 | 3,755 | -18,970 | |
| 25 | 0:50:00 | 19,200 | 38,250 | 45,900 | 3,739 | -18,956 | |
| 26 | 0:51:00 | 20,033 | 40,250 | 47,353 | 3,724 | -18,954 | |
| 27 | 0:50:00 | 20,883 | 38,250 | 45,900 | 3,709 | -18,995 | |
| 28 | 0:50:00 | 21,717 | 38,250 | 45,900 | 3,699 | -19,006 | |
| 29 | 0:50:00 | 22,550 | 38,625 | 46,350 | 3,693 | -19,034 | |
| 30 | 0:50:00 | 23,383 | 38,000 | 45,600 | 3,681 | -19,049 | |
| 31 | 0:50:00 | 24,217 | 38,500 | 46,200 | 3,705 | -19,016 | |
| 32 | 0:50:00 | 25,050 | 38,375 | 46,050 | 3,703 | -19,041 | |
| 33 | 0:50:00 | 25,883 | 38,750 | 46,500 | 3,717 | -19,041 | |
| 34 | 0:50:00 | 26,717 | 38,500 | 46,200 | 3,723 | -19,033 | |
| 35 | 0:50:00 | 27,550 | 38,500 | 46,200 | 3,730 | -19,006 | |
| 36 | 0:49:00 | 28,383 | 36,500 | 44,694 | 3,704 | -19,057 | |
| 37 | 0:51:00 | 29,200 | 40,250 | 47,353 | 3,780 | -18,931 | |
| 38 | 0:50:00 | 30,050 | 38,375 | 46,050 | 3,730 | -19,031 | |
| 39 | 0:50:00 | 30,683 | 38,500 | 46,200 | 3,719 | -19,079 | |
| 40 | 0:50:00 | 31,717 | 38,500 | 46,200 | 3,708 | -19,081 | |
| 41 | 0:50:00 | 32,550 | 38,500 | 46,200 | 3,703 | -19,069 | |
| 42 | 0:50:00 | 33,383 | 38,750 | 46,500 | 3,703 | -19,067 | |
| 43 | 0:50:00 | 34,217 | 38,125 | 45,750 | 3,682 | -19,084 | |
| 44 | 0:50:00 | 35,050 | 38,375 | 46,050 | 3,690 | -19,062 | |
| 45 | 0:50:00 | 35,883 | 38,000 | 45,600 | 3,685 | -19,096 | |
| 46 | 0:50:00 | 36,717 | 38,250 | 45,900 | 3,691 | -19,110 | |
| 47 | 0:50:00 | 37,550 | 38,000 | 45,600 | 3,668 | -19,138 | |
| 48 | 0:50:00 | 38,383 | 38,000 | 45,600 | 3,693 | -19,073 | |
| 49 | 0:51:00 | 39,217 | 40,375 | 47,500 | 3,708 | -19,039 | |
| 50 | 0:50:00 | 40,067 | 38,000 | 45,600 | 3,683 | -19,095 | |
| 51 | 0:16:00 | 40,900 | 29,625 | 111,094 | 4,142 | -17,758 | |
| 52 | 0:27:00 | 41,167 | 50,500 | 112,222 | 4,232 | -14,685 | |
| 53 | 1:02:00 | 41,617 | 76,000 | 73,548 | 4,767 | -15,220 | |
| 54 | 0:50:00 | 42,650 | 42,125 | 50,560 | 4,001 | -18,885 | |
| 55 | 0:49:00 | 43,483 | 37,675 | 46,378 | 3,735 | -19,146 | |
| 56 | 0:50:00 | 44,300 | 39,250 | 47,100 | 3,673 | -19,108 | |
| 57 | 0:49:00 | 45,133 | 37,250 | 45,612 | 3,639 | -19,162 | |
| 58 | 0:50:00 | 45,950 | 39,500 | 47,400 | 3,661 | -19,116 |
Bảng I.11 - Ví dụ về tính toán năng lượng, công suất và nhiệt độ đối với tất cả các khối
(cỡ khối = 3TCC)
| Khối | Bắt đầu TCC | Kết thúc TCC | Thời gian của khối | Năng lượng tiêu thụ trong khối | Công suất trung bình | Nhiệt độ không đông trung bình | Nhiệt độ ngăn đông trung bình |
|
|
|
| hh:mm:ss | Wh | W | oC | oC |
| 1 | 1 | 3 | 2:30:00 | 115,875 | 46,350 | 3,756 | -18,932 |
| 2 | 2 | 4 | 2:29:00 | 113,500 | 45,705 | 3,764 | -18,924 |
| 3 | 3 | 5 | 2:29.00 | 113,625 | 45,755 | 3,773 | -18,909 |
| 4 | 4 | 6 | 2:29:00 | 113,375 | 45,654 | 3,788 | -18,903 |
| 5 | 5 | 7 | 2:30:00 | 115,375 | 46,150 | 3,791 | -18,905 |
| 6 | 6 | 8 | 2:30:00 | 115,250 | 46,100 | 3,784 | -18,911 |
| 7 | 7 | 9 | 2:30:00 | 114,375 | 45,750 | 3,765 | -18,911 |
| 8 | 8 | 10 | 2:30:00 | 114,250 | 45,700 | 3,762 | -18,899 |
| 8 | 9 | 11 | 2:30:00 | 114,375 | 45,750 | 3,758 | -18,911 |
| 10 | 10 | 12 | 2:30:00 | 114,500 | 45,800 | 3,759 | -18,925 |
| 11 | 11 | 13 | 2:30:00 | 114,375 | 45,750 | 3,754 | -18,933 |
| 12 | 12 | 14 | 2:30:00 | 114,000 | 45,600 | 3,760 | -18,932 |
| 13 | 13 | 15 | 2:30:00 | 114,375 | 45,750 | 3,767 | -18,922 |
| 14 | 14 | 16 | 2:30:00 | 114,375 | 45,750 | 3,764 | -18,920 |
| 15 | 15 | 17 | 2:30:00 | 114,375 | 45,750 | 3,782 | -18,919 |
| 16 | 16 | 18 | 1:56:00 | 105,625 | 54,634 | 3,830 | -18,728 |
| 17 | 17 | 19 | 1:32:00 | 115,125 | 75,082 | 3,978 | -17,652 |
| 18 | 18 | 20 | 1:43:00 | 151,875 | 88,471 | 4,538 | -15,462 |
| 19 | 19 | 21 | 2:17:00 | 183,250 | 71,496 | 4,378 | -18,447 |
| 20 | 20 | 22 | 2:41:00 | 154,500 | 57,578 | 4,238 | -17,418 |
| 21 | 21 | 23 | 2:30:00 | 118,625 | 47,450 | 3,874 | -18,923 |
| 22 | 22 | 24 | 2:30:00 | 115,625 | 46,250 | 3,786 | -18,973 |
| 23 | 23 | 25 | 2:30:00 | 115,125 | 46,050 | 3,759 | -18,968 |
| 24 | 24 | 26 | 2:31:00 | 116,500 | 46,291 | 3,739 | -18,960 |
| 25 | 25 | 27 | 2:31:00 | 116,750 | 46,391 | 3,724 | -18,968 |
| 26 | 26 | 28 | 2:31:00 | 116,750 | 46,391 | 3,711 | -18,985 |
| 27 | 27 | 29 | 2:30:00 | 115,125 | 46,050 | 3,700 | -19,011 |
| 28 | 28 | 30 | 2:30:00 | 114,875 | 45,950 | 3,691 | -19,030 |
| 29 | 29 | 31 | 2:30:00 | 115,125 | 46,050 | 3,693 | -19,033 |
| 30 | 30 | 32 | 2:30:00 | 114,875 | 45,950 | 3,698 | -19,036 |
| 31 | 31 | 33 | 2:30:00 | 115,625 | 48,250 | 3,708 | -19,033 |
| 32 | 32 | 34 | 2:30:00 | 115,625 | 46,250 | 3,714 | -19,038 |
| 33 | 33 | 35 | 2:30:00 | 115,750 | 46,300 | 3,724 | -19,027 |
| 34 | 34 | 36 | 2:29:00 | 113,500 | 45,705 | 3,719 | -19,032 |
| 35 | 35 | 37 | 2:30:00 | 115,250 | 46,100 | 3,732 | -18,997 |
| 36 | 36 | 38 | 2:30:00 | 115,125 | 46,050 | 3,732 | -19,005 |
| 37 | 37 | 39 | 2:31:00 | 117,125 | 46,540 | 3,737 | -19,013 |
| 38 | 38 | 40 | 2:30:00 | 115,375 | 46,150 | 3,718 | -19,057 |
| 39 | 39 | 41 | 2:30:00 | 115,500 | 46,200 | 3,709 | -19,070 |
| 40 | 40 | 42 | 2:30:00 | 115,750 | 46,300 | 3,704 | -19,066 |
| 41 | 41 | 43 | 2:30:00 | 115,375 | 46,150 | 3,696 | -19,073 |
| 42 | 42 | 44 | 2:30:00 | 115,250 | 46,100 | 3,692 | -19,071 |
| 43 | 43 | 45 | 2:30:00 | 114,500 | 45,800 | 3,686 | -19,081 |
| 44 | 44 | 46 | 2:30:00 | 114,625 | 45,850 | 3,689 | -19,089 |
| 45 | 45 | 47 | 2:30:00 | 114,250 | 45,700 | 3,681 | -19,115 |
| 46 | 46 | 48 | 2:30:00 | 114,250 | 45,700 | 3,684 | -19,107 |
| 47 | 47 | 49 | 2:31:00 | 116,375 | 46,242 | 3,690 | -19,083 |
| 48 | 48 | 50 | 2:31:00 | 116,375 | 48,242 | 3,695 | -19,069 |
| 49 | 49 | 51 | 1:57:00 | 108,000 | 55,385 | 3,756 | -18,888 |
| 50 | 50 | 52 | 1:33:00 | 118,125 | 76,210 | 3,921 | -17,585 |
| 51 | 51 | 53 | 1:45:00 | 156,125 | 89,214 | 4,534 | -15,469 |
| 52 | 52 | 54 | 2:19:00 | 168,625 | 72,788 | 4,387 | -16,435 |
| 53 | 53 | 55 | 2:41:00 | 156,000 | 58,137 | 4,215 | -17,563 |
| 54 | 54 | 56 | 2:29:00 | 119,250 | 48,020 | 3,804 | -19,046 |
| 55 | 55 | 57 | 2:28:00 | 114,375 | 46,368 | 3,683 | -19,139 |
| 56 | 56 | 58 | 2:29:00 | 116,000 | 48,711 | 3,658 | -19,128 |
| CHÚ THÍCH: Các giá trị trong Bảng I.11 có thể rút ra từ dữ liệu trong Bảng I.10. Cần rất thận trọng để đảm bảo rằng các giá trị trung bình theo thời gian của công suất và nhiệt độ có được từ từng khối. | |||||||
Bảng I.12 - Ví dụ tính toán năng lượng, công suất và nhiệt độ đối với tất cả các giai đoạn thử nghiệm có thể có (3 khối, mỗi khối 3 TCC)
| Khối A | Khối B | Khối C | Giai đoạn thử nghiệm Ngăn không đông | Giai đoạn thử nghiệm Ngăn đông | Giai đoạn thử nghiệm Công suất | Giai đoạn thử nghiệm (A-B-C) | Nhiệt độ môi trường (A-B-C) | Khoảng phân tán Ngăn không đông | Khoảng phân tán Ngăn đông (A-B-C) | Khoảng phân tán Công suất | Độ dốc Ngăn không đông | Độ dốc Ngăn đông | Độ dốc Công suất | Khoảng phân tán công suất cho phép | Tiêu chí Phụ lục B | Giai đoạn thử nghiệm Hợp lệ |
| TCC | TCC | TCC | °C | °C | W | h | °C | K | K | % | K/h | K/h | %/h | % |
|
|
| 1 - 3 | 4 - 6 | 7 - 9 | 3,769 | -18,915 | 45,919 | 7,483 | 32,035 | 0,0326 | 0,0292 | 1,51 | 0,0018 | 0,0041 | 0,262 | 1,0 | Sai | Không hợp lệ |
| 2 - 4 | 5 - 7 | 8 - 10 | 3,772 | -18,909 | 45,852 | 7,483 | 32,034 | 0,0291 | 0,0252 | 0,98 | 0,0004 | 0,0051 | 0,002 | 1,0 | Đúng | Không hợp lệ |
| 3 - 5 | 6 - 8 | 9 - 11 | 3,772 | -18,910 | 45,869 | 7,483 | 32,034 | 0,0264 | 0,0023 | 0,76 | 0,0031 | 0,0004 | 0,002 | 1,0 | Đúng | Không hợp lệ |
| 4 - 6 | 7 - 9 | 10 - 12 | 3,770 | -18,913 | 45,735 | 7,483 | 32,035 | 0,0295 | 0,0222 | 0,32 | 0,0059 | 0,0045 | 0,064 | 1,0 | Đúng | Hợp lệ |
| 5 - 7 | 8 - 10 | 11 - 13 | 3,769 | -18,912 | 45,867 | 7,500 | 32,035 | 0,0367 | 0,0348 | 0,98 | 0,0073 | 0,0056 | 0,174 | 1,0 | Đúng | Hợp lệ |
| 6 - 8 | 9 - 11 | 12 - 14 | 3,767 | -18,918 | 45,817 | 7,500 | 32,036 | 0,0264 | 0,0208 | 1,09 | 0,0048 | 0,0041 | 0,218 | 1,0 | Sai | Không hợp lệ |
| 7 - 9 | 10 - 12 | 13 - 15 | 3,764 | -18,919 | 45,767 | 7,500 | 32,036 | 0,0087 | 0,0137 | 0,11 | 0,0005 | 0,0022 | 0,000 | 1,0 | Đúng | Không hợp lệ |
| 8 - 10 | 11 - 13 | 14 - 16 | 3,760 | -18,917 | 45,733 | 7,500 | 32,036 | 0,0093 | 0,0348 | 0,11 | 0,0004 | 0,0043 | 0,022 | 1,0 | Đúng | Không hợp lệ |
| 9 - 11 | 12 - 14 | 15 - 17 | 3,760 | -18,921 | 45,700 | 7,500 | 32,036 | 0,0049 | 0,0208 | 0,33 | 0,0010 | 0,0017 | 0,000 | 1,0 | Đúng | Hợp lệ |
| 10 - 12 | 13 - 15 | 16 - 18 | 3,782 | -18,869 | 48,245 | 6,933 | 32,037 | 0,0718 | 0,1969 | 18,41 | 0,0152 | 0,0417 | 3,882 | 1,0 | Sai | Không hợp lệ |
| 11 - 13 | 14 - 16 | 17 - 19 | 3,810 | -18,628 | 52,634 | 6,533 | 32,037 | 0,2216 | 1,2812 | 55,73 | 0,0491 | 0,2837 | 12,338 | 1,0 | Sai | Không hợp lệ |
| 12 - 14 | 15 - 17 | 18 - 20 | 3,960 | -18,040 | 56,613 | 6,717 | 32,037 | 0,7784 | 3,4703 | 75,73 | 0,1689 | 0,7531 | 16,432 | 1,0 | Sai | Không hợp lệ |
| 13 - 15 | 16 - 18 | 19 - 21 | 3,993 | -18,025 | 57,060 | 6,717 | 32,036 | 0,6108 | 2,4751 | 45,12 | 0,1412 | 0,5723 | 10,433 | 1,0 | Sai | Không hợp lệ |
| 14 - 16 | 17 - 19 | 20 - 22 | 4,001 | -18,031 | 57,171 | 6,717 | 32,037 | 0,4727 | 1,5022 | 51,30 | 0,1146 | 0,3642 | 5,015 | 1,0 | Sai | Không hợp lệ |
| 15 - 17 | 18 - 20 | 21 - 23 | 4,002 | -18,037 | 57,301 | 6,717 | 32,037 | 0,7757 | 3,4610 | 74,55 | 0,0265 | 0,0008 | 0,704 | 1,0 | Sai | Không hợp lệ |
| 16 - 18 | 19 - 21 | 22 - 24 | 4,000 | -18,044 | 57,246 | 6,717 | 32,037 | 0,5921 | 2,5263 | 44,10 | 0,0099 | 0,0546 | 3,254 | 1,0 | Sai | Không hợp lệ |
| 17 - 19 | 20 - 22 | 23 - 25 | 3,999 | -18,048 | 57,283 | 6,717 | 32,037 | 0,4771 | 1,5497 | 50,68 | 0,0461 | 0,2799 | 10,783 | 1,0 | Sai | Không hợp lệ |
| 18 - 20 | 21 - 23 | 24 - 26 | 3,993 | -18,054 | 57,475 | 6,733 | 32,038 | 0,7989 | 3,4902 | 73,39 | 0,1730 | 0,7577 | 15,896 | 1,0 | Sai | Không hợp lệ |
| 19 - 21 | 22 - 24 | 25 - 27 | 3,950 | -18,181 | 54,195 | 7,300 | 32,038 | 0,6540 | 2,5263 | 46,58 | 0,1335 | 0,5144 | 9,454 | 1,0 | Sai | Không hợp lệ |
| 20 - 22 | 23 - 25 | 26 - 28 | 3,991 | -18,433 | 50,179 | 7,700 | 32,038 | 0,5254 | 1,5666 | 22,97 | 0,1030 | 0,3072 | 4,371 | 1,0 | Sai | Không hợp lệ |
| 21 - 23 | 24 - 26 | 27 - 29 | 3,771 | -18,965 | 46,596 | 7,517 | 32,037 | 0,1736 | 0,0889 | 3,00 | 0,0346 | 0,0177 | 0,599 | 1,0 | Sai | Không hợp lệ |
| 22 - 24 | 25 - 27 | 28 - 30 | 3,734 | -18,990 | 46,197 | 7,517 | 32,038 | 0,0951 | 0,0617 | 0,95 | 0,0190 | 0,0112 | 0,129 | 1,0 | Đúng | Không hợp lệ |
| 23 - 25 | 26 - 28 | 29 - 31 | 3,721 | -18,995 | 46,164 | 7,517 | 32,038 | 0,0664 | 0,0656 | 0,74 | 0,0132 | 0,0131 | 0,000 | 1,0 | Đúng | Không hợp lệ |
| 24 - 26 | 27 - 29 | 30 - 32 | 3,712 | -19,002 | 46,098 | 7,517 | 32,037 | 0,0431 | 0,0759 | 0,74 | 0,0086 | 0,0151 | 0,148 | 1,0 | Đúng | Hợp lệ |
| 25 - 27 | 28 - 30 | 31 - 33 | 3,708 | -19,010 | 46,197 | 7,517 | 32,037 | 0,0332 | 0,0650 | 0,95 | 0,0031 | 0,0130 | 0,061 | 1,0 | Đúng | Hợp lệ |
| 26 - 28 | 29 - 31 | 32 - 34 | 3,706 | -19,019 | 46,231 | 7,517 | 32,036 | 0,0216 | 0,0539 | 0,74 | 0,0007 | 0,0106 | 0,061 | 1,0 | Đúng | Hợp lệ |
| 27 - 29 | 30 - 32 | 33 - 35 | 3,707 | -19,025 | 46,100 | 7,500 | 32,035 | 0,0273 | 0,0241 | 0,76 | 0,0046 | 0,0030 | 0,108 | 1,0 | Đúng | Hợp lệ |
| 28 - 30 | 31 - 33 | 34 - 36 | 3,706 | -19,031 | 45,969 | 7,483 | 32,034 | 0,0284 | 0,0033 | 1,19 | 0,0057 | 0,0004 | 0,107 | 1,0 | Sai | Không hợp lệ |
| 29 - 31 | 32 - 34 | 35 - 37 | 3,713 | -19,023 | 46,133 | 7,500 | 32,034 | 0,0389 | 0,0415 | 0,43 | 0,0078 | 0,0073 | 0,022 | 1,0 | Đúng | Không hợp lệ |
| 30 - 32 | 33 - 35 | 36 - 38 | 3,717 | -19,023 | 46,100 | 7,500 | 32,035 | 0,0356 | 0,0301 | 0,76 | 0,0071 | 0,0060 | 0,043 | 1,0 | Đúng | Không hợp lệ |
| 31 - 33 | 34 - 36 | 37 - 39 | 3,721 | -19,026 | 46,167 | 7,500 | 32,033 | 0,0282 | 0,0198 | 1,81 | 0,0056 | 0,0040 | 0,126 | 1,0 | Sai | Không hợp lệ |
| 32 - 34 | 35 - 37 | 38 - 40 | 3,722 | -19,031 | 46,167 | 7,500 | 32,033 | 0,0173 | 0,0601 | 0,32 | 0,0008 | 0,0037 | 0,043 | 1,0 | Đúng | Không hợp lệ |
| 33 - 35 | 36 - 38 | 39 - 41 | 3,722 | -19,034 | 46,183 | 7,500 | 32,034 | 0,0224 | 0,0643 | 0,54 | 0,0028 | 0,0086 | 0,043 | 1,0 | Đúng | Không hợp lệ |
| 34 - 36 | 37 - 39 | 40 - 42 | 3,720 | -19,037 | 46,183 | 7,500 | 32,034 | 0,0329 | 0,0526 | 1,81 | 0,0031 | 0,0068 | 0,257 | 1,0 | Sai | Không hợp lệ |
| 35 - 37 | 38 - 40 | 41 - 43 | 3,715 | -19,042 | 46,183 | 7,500 | 32,034 | 0,0360 | 0,0765 | 0,11 | 0,0072 | 0,0153 | 0,022 | 1,0 | Đúng | Không hợp lệ |
| 36 - 38 | 39 - 41 | 42 - 44 | 3,711 | -19,049 | 46,117 | 7,500 | 32,034 | 0,0402 | 0,0656 | 0,33 | 0,0080 | 0,0131 | 0,022 | 1,0 | Đúng | Không hợp lệ |
Bước 5: Một khi từng đặc tính hợp lệ của các khối được tính, chúng có thể được đánh giá theo tiêu chí hợp lệ trong B.3.2. Trong ví dụ này đối với cỡ khối bằng 3 chu kỳ điều chỉnh nhiệt độ, có một số giai đoạn thử nghiệm đáp ứng các tiêu chí hợp lệ trong B.3.2 (tổng gồm 7 giai đoạn thử nghiệm, với ghi chú là hợp lệ trong cột cuối cùng trong Bảng I.12). Lưu ý là các giai đoạn thử nghiệm bắt đầu với tiêu chí hợp lệ vì các ảnh hưởng của giai đoạn xả băng và phục hồi xảy ra trong chu kỳ điều chỉnh nhiệt độ 19 (xem Hình I.10 và Bảng I.10). Trong trường hợp có một số giai đoạn thử nghiệm đáp ứng tất cả các tiêu chí hợp lệ trong B.3.2 đối với cỡ khối lựa chọn, cần chọn giai đoạn thử nghiệm với độ phân tán công suất nhỏ nhất. Trong ví dụ này, giai đoạn thử nghiệm trước khi xả băng có chu kỳ điều chỉnh nhiệt độ số 10 (giai đoạn thử nghiệm từ TCC 4 đến và kể cả TCC 12). Độ phân tán công suất nhỏ nhất trong trường hợp này là 0,32 % và được đánh dấu trong ô màu xám trong Bảng I.12. Lưu ý đây là giai đoạn thử nghiệm liên tiếp thứ ba đối với cỡ khối này bất kể có đáp ứng các tiêu chí hợp lệ hay không (mỗi lần tăng 1 TCC) như nêu trong B.3.2. Có một số giai đoạn thử nghiệm hợp lệ sau xả băng ở TCC 19. Một giai đoạn có độ phân tán công suất nhỏ nhất trong các khối A, B và C là giai đoạn thử nghiệm bắt đầu với chu kỳ điều chỉnh nhiệt độ số 26 (đánh dấu trong ô màu xám - giai đoạn thử nghiệm từ TCC 26 đến và kể cả TCC 34). Độ phân tán công suất thấp nhất và nhiệt độ sau xả băng khác một chút so với các giá trị này trước xả băng.
Trong ví dụ này (Bảng I.11 và Bảng I.12), cỡ khối tương đối nhỏ (3 TCC) có nghĩa là độ phân tán công suất lớn hơn và đôi khi vượt quá mức phân tán cho phép 1 % (đối với giai đoạn thử nghiệm khoảng 7,5 h). Trong khi tiêu chuẩn không cho phép các giai đoạn thử nghiệm quá ngắn đối với sản phẩm rất ổn định (khoảng 6 h), nên độ phân tán công suất 1 % (trong giai đoạn thử nghiệm ít hơn 12 h) là khá nặng nề và thậm chí sản phẩm khá ổn định này không phải luôn đáp ứng các yêu cầu đối với thời gian ngắn.
Trong trường hợp có sẵn giai đoạn dữ liệu dài hơn, có thể đạt được các kết quả bền vững hơn bằng cách chọn các giai đoạn thử nghiệm dài hơn, tạo thành từ các khối chứa số TCC nhiều hơn. Các bảng tiếp theo (Bảng I.13 và Bảng I.14) minh họa dữ liệu cùng một nguồn như trên Hình I.10 và trong Bảng I.10 với các giai đoạn thử nghiệm gồm 3 khối với mỗi khối gồm 5 TCC (giai đoạn thử nghiệm gồm 15 TCC) và cỡ khối gồm 9 TCC (giai đoạn thử nghiệm gồm 27 TCC). Điều này đưa ra thời gian của giai đoạn thử nghiệm khoảng 11,7 h và 21,7 h tương ứng đối với một sản phẩm cụ thể. Chỉ số liệu hợp lệ sau xả băng đầu tiên mới có thể được tìm thấy đối với cỡ khối lớn hơn gồm 9 TCC (vì giai đoạn trước xả băng đầu tiên quá ngắn để thiết lập ổn định).
Lưu ý là các giá trị PSS1 được hiệu chỉnh theo các sai lệch trong nhiệt độ môi trường đo được trong giai đoạn thử nghiệm theo công thức (15) (không thể hiện trong ví dụ này).
Các ví dụ trong các bảng này có thể được sử dụng để kiểm tra xem phần mềm của phòng thí nghiệm có thực hiện đúng các phân tích trạng thái ổn định theo cách tiếp cận SS1 trong Phụ lục B hay không.
Bảng I.13 - Ví dụ tính toán năng lượng, công suất và nhiệt độ đối với tất cả các khối (cỡ = 5TCC)
| Khối | Bắt đầu TCC | Kết thúc TCC | Thời gian của khối | Năng lượng tiêu thụ trong khối | Công suất trung bình | Nhiệt độ không đông trung bình | Nhiệt độ ngăn đông trung bình |
|
|
|
| hh:mm:ss | Wh | W | oC | oC |
| 1 | 1 | 5 | 04:09:00 | 190,500 | 45,904 | 3,765 | -18,921 |
| 2 | 2 | 6 | 04:09:00 | 190,625 | 45,934 | 3,778 | -18,909 |
| 3 | 3 | 7 | 04:09:00 | 190,625 | 45,934 | 3,780 | -18,913 |
| 4 | 4 | 8 | 04:09:00 | 189,875 | 45,753 | 3,782 | -18,908 |
| 5 | 5 | 9 | 04:10:00 | 191,500 | 45,960 | 3,778 | -18,902 |
| 6 | 6 | 10 | 04:10:00 | 191,250 | 45,900 | 3,773 | -18,907 |
| 7 | 7 | 11 | 04:10:00 | 190,875 | 45,810 | 3,764 | -18,913 |
| 8 | 8 | 12 | 04:10:00 | 190,825 | 45,750 | 3,759 | -18,914 |
| 9 | 9 | 13 | 04:10:00 | 190,375 | 45,690 | 3,755 | -18,920 |
| 10 | 10 | 14 | 04:10:00 | 190,500 | 45,720 | 3,761 | -18,926 |
| 11 | 11 | 15 | 04:10:00 | 190,750 | 45,780 | 3,762 | -18,928 |
| 12 | 12 | 16 | 04:10:00 | 190,375 | 45,690 | 3,759 | -18,926 |
| 13 | 13 | 17 | 04:10:00 | 190,375 | 45,690 | 3,763 | -18,923 |
| 14 | 14 | 18 | 03:36:00 | 182,000 | 50,556 | 3,804 | -18,817 |
| 15 | 15 | 19 | 03:12:00 | 191,500 | 59,844 | 3,863 | -18,311 |
| 16 | 16 | 20 | 03:23:00 | 227,875 | 67,352 | 4,154 | -17,167 |
| 17 | 17 | 21 | 03:23:00 | 230,875 | 68,239 | 4,221 | -17,141 |
| 18 | 18 | 22 | 03:23:00 | 231,625 | 68,461 | 4,233 | -17,153 |
| 19 | 19 | 23 | 03:57:00 | 240,875 | 60,981 | 4,135 | -17,514 |
| 20 | 20 | 24 | 04:21:00 | 231,375 | 53,190 | 4,058 | -18,014 |
| 21 | 21 | 25 | 04:10:00 | 194,875 | 46,770 | 3,823 | -18,939 |
| 22 | 22 | 26 | 04:11:00 | 194,125 | 46,404 | 3,764 | -18,968 |
| 23 | 23 | 27 | 04:11:00 | 193,625 | 46,285 | 3,742 | -18,970 |
| 24 | 24 | 28 | 04:11:00 | 193,000 | 46,135 | 3,725 | -18,976 |
| 25 | 25 | 29 | 04:11:00 | 193,625 | 46,285 | 3,713 | -18,989 |
| 26 | 26 | 30 | 04:11:00 | 193,375 | 48,225 | 3,701 | -19,007 |
| 27 | 27 | 31 | 04:10:00 | 191,625 | 45,990 | 3,697 | -19,020 |
| 28 | 28 | 32 | 04:10:00 | 191,750 | 46,020 | 3,698 | -19,029 |
| 29 | 29 | 33 | 04:10:00 | 192,250 | 46,140 | 3,700 | -19,036 |
| 30 | 30 | 34 | 04:10:00 | 192,125 | 46,110 | 3,708 | -19,036 |
| 31 | 31 | 35 | 04:10:00 | 192,625 | 49,230 | 3,716 | -19,027 |
| 32 | 32 | 36 | 04:09:00 | 190,625 | 45,934 | 3,716 | -19,036 |
| 33 | 33 | 37 | 04:10:00 | 192,500 | 46,200 | 3,727 | -19,013 |
| 34 | 34 | 38 | 04:10:00 | 192,125 | 46,110 | 3,730 | -19,011 |
| 35 | 35 | 39 | 04:10:00 | 192,125 | 46,110 | 3,729 | -19,020 |
| 36 | 36 | 40 | 04:10:00 | 192,125 | 46,110 | 3,724 | -19,031 |
| 37 | 37 | 41 | 04:11:00 | 194,125 | 46,404 | 3,724 | -19,034 |
| 38 | 38 | 42 | 04:10:00 | 192,625 | 46,230 | 3,712 | -19,062 |
| 39 | 39 | 43 | 04:10:00 | 192,375 | 46,170 | 3,703 | -19,072 |
| 40 | 40 | 44 | 04:10:00 | 192,250 | 46,140 | 3,697 | -19,069 |
| 41 | 41 | 45 | 04:10:00 | 191,750 | 46,020 | 3,692 | -19,076 |
| 42 | 42 | 46 | 04:10:00 | 191,500 | 45,960 | 3,690 | -19,084 |
| 43 | 43 | 47 | 04:10:00 | 190,750 | 45,780 | 3,683 | -19,098 |
| 44 | 44 | 48 | 04:10:00 | 190,625 | 45,750 | 3,685 | -19,098 |
| 45 | 45 | 49 | 04:11:00 | 192,625 | 46,046 | 3,689 | -19,091 |
| 46 | 46 | 50 | 04:11:00 | 192,825 | 46,046 | 3,689 | -19,091 |
| 47 | 47 | 51 | 03:37:00 | 184,000 | 50,878 | 3,722 | -18,988 |
| 48 | 48 | 52 | 03:14:00 | 196,500 | 60,773 | 3,806 | -18,351 |
| 49 | 49 | 53 | 03:26:00 | 234,500 | 68,301 | 4,123 | -17,233 |
| 50 | 50 | 54 | 03:25:00 | 236,250 | 89,148 | 4,198 | -17,187 |
| 51 | 51 | 55 | 03:24:00 | 236,125 | 69,449 | 4,211 | -17,190 |
| 52 | 52 | 56 | 03:58:00 | 245,750 | 61,954 | 4,103 | -17,554 |
| 53 | 53 | 57 | 04:20:00 | 232,500 | 53,654 | 4,002 | -18,155 |
| 54 | 54 | 58 | 04:08:00 | 198,000 | 47,419 | 3,742 | -19,083 |
| CHÚ THÍCH: Các giá trị trong Bảng I.13 có thể rút ra từ dữ liệu trong Bảng I.10. Cần rất thận trọng để đảm bảo có được các giá trị trung bình theo thời gian của công suất và nhiệt độ từ từng khối. | |||||||
Bảng I.14 - Ví dụ tính toán năng lượng, công suất và nhiệt độ đối với tất cả các khối (cỡ = 9TCC)
| Khối | Bắt đầu TCC | Kết thúc TCC | Thời gian của khối | Năng lượng tiêu thụ trong khối | Công suất trung bình | Nhiệt độ ngăn không đông trung bình | Nhiệt độ ngăn đông trung bình |
|
|
|
| hh:mm:ss | Wh | W | oC | oC |
| 1 | 1 | 9 | 07:29:00 | 343,625 | 45,919 | 3,769 | -18,915 |
| 2 | 2 | 10 | 07:29:00 | 343,125 | 45,852 | 3,772 | -18,909 |
| 3 | 3 | 11 | 07:29:00 | 343,250 | 45,869 | 3,772 | -18,910 |
| 4 | 4 | 12 | 07:29:00 | 342,250 | 45,735 | 3,770 | -18,913 |
| 5 | 5 | 13 | 07:30:00 | 344,000 | 45,867 | 3,769 | -18,912 |
| 6 | 6 | 14 | 07:30:00 | 343,625 | 45,817 | 3,767 | -18,918 |
| 7 | 7 | 15 | 07:30:00 | 343,250 | 45,767 | 3,764 | -18,919 |
| 8 | 8 | 16 | 07:30:00 | 343,000 | 45,733 | 3,760 | -18,917 |
| 9 | 9 | 17 | 07:30:00 | 342,750 | 45,700 | 3,760 | -18,921 |
| 10 | 10 | 18 | 06:56:00 | 334,500 | 48,245 | 3,782 | -18,869 |
| 11 | 11 | 19 | 06:32:00 | 343,875 | 52,634 | 3,810 | -18,828 |
| 12 | 12 | 20 | 06:43:00 | 380,250 | 58,613 | 3,960 | -18,040 |
| 13 | 13 | 21 | 06:43:00 | 383,250 | 57,060 | 3,993 | -18,025 |
| 14 | 14 | 22 | 06:43:00 | 384,000 | 57,171 | 4,001 | -18,031 |
| 15 | 15 | 23 | 06:43:00 | 384,875 | 57,301 | 4,002 | -18,037 |
| 16 | 16 | 24 | 06:43:00 | 384,500 | 57,246 | 4,000 | -18,044 |
| 17 | 17 | 25 | 06:43:00 | 384,750 | 57,283 | 3,999 | -18,048 |
| 18 | 18 | 26 | 06:44:00 | 387,000 | 57,475 | 3,993 | -18,054 |
| 10 | 19 | 27 | 07:18:00 | 395,625 | 54,195 | 3,950 | -18,181 |
| 20 | 20 | 28 | 07:42:00 | 388,375 | 50,179 | 3,910 | -18,433 |
| 21 | 21 | 29 | 07:31:00 | 350,250 | 46,596 | 3,771 | -18,965 |
| 22 | 22 | 30 | 07:31:00 | 347,250 | 46,197 | 3,734 | -18,990 |
| 23 | 23 | 31 | 07:31:00 | 347,000 | 46,164 | 3,721 | -18,995 |
| 24 | 24 | 32 | 07:31:00 | 346,500 | 46,098 | 3,712 | -19,002 |
| 25 | 25 | 33 | 07:31:00 | 347,250 | 46,197 | 3,708 | -19,010 |
| 26 | 26 | 34 | 07:31:00 | 347,500 | 46,231 | 3,706 | -19,019 |
| 27 | 27 | 35 | 07:30:00 | 345,750 | 46,100 | 3,707 | -19,025 |
| 28 | 28 | 36 | 07:29:00 | 344,000 | 45,969 | 3,706 | -19,031 |
| 29 | 29 | 37 | 07:30:00 | 346,000 | 46,133 | 3,713 | -19,023 |
| 30 | 30 | 38 | 07:30:00 | 345,750 | 46,100 | 3,717 | -19,023 |
| 31 | 31 | 39 | 07:30:00 | 346,250 | 46,167 | 3,721 | -19,026 |
| 32 | 32 | 40 | 07:30:00 | 346,250 | 46,167 | 3,722 | -19,031 |
| 33 | 33 | 41 | 07:30:00 | 346,375 | 46,183 | 3,722 | -19,034 |
| 34 | 34 | 42 | 07:30:00 | 346,375 | 46,183 | 3,720 | -19,037 |
| 35 | 35 | 43 | 07:30:00 | 346,000 | 46,133 | 3,715 | -19,042 |
| 36 | 36 | 44 | 07:30:00 | 345,875 | 46,117 | 3,711 | -19,049 |
| 37 | 37 | 45 | 07:31:00 | 347,375 | 46,214 | 3,709 | -19,053 |
| 38 | 38 | 46 | 07:30:00 | 345,375 | 46,050 | 3,701 | -19,073 |
| 39 | 39 | 47 | 07:30:00 | 345,000 | 46,000 | 3,694 | -19,085 |
| 40 | 40 | 48 | 07:30:00 | 344,500 | 45,933 | 3,691 | -19,085 |
| 41 | 41 | 49 | 07:31:00 | 346,375 | 46,081 | 3,691 | -19,082 |
| 42 | 42 | 50 | 07:31:00 | 345,875 | 46,014 | 3,689 | -19,085 |
| 43 | 43 | 51 | 06:57:00 | 336,750 | 48,453 | 3,705 | -19,036 |
| 44 | 44 | 52 | 06:34:00 | 349,125 | 53,166 | 3,744 | -18,732 |
| 45 | 45 | 53 | 06:46:00 | 386,750 | 57,155 | 3,907 | -18,155 |
| 46 | 46 | 54 | 06:46:00 | 390,875 | 57,765 | 3,946 | -18,129 |
| 47 | 47 | 55 | 06:45:00 | 390,500 | 57,852 | 3,952 | -18,131 |
| 48 | 48 | 56 | 06:45:00 | 391,750 | 58,037 | 3,952 | -18,127 |
| 49 | 49 | 57 | 06:44:00 | 391,000 | 58,069 | 3,946 | -18,135 |
| 50 | 50 | 58 | 06:43:00 | 390,125 | 58,083 | 3,941 | -18,143 |
| CHÚ THÍCH: Các giá trị trong Bảng I.14 có thể rút ra từ dữ liệu trong Bảng I.10. Cần rất thận trọng để đảm bảo rằng các giá trị trung bình theo thời gian của công suất và nhiệt độ có được từ từng khối. | |||||||
Bảng I.15 - Ví dụ tính toán năng lượng, công suất và nhiệt độ đối với tất cả các giai đoạn thử nghiệm có thể có (3 khối, mỗi khối 5 TCC)
| Khối A | Khối B | Khối C | Giai đoạn thử nghiệm Ngăn không đông | Giai đoạn thử nghiệm Ngăn đông | Giai đoạn thử nghiệm Công suất | Giai đoạn thử nghiệm (A-B-C) | Nhiệt độ môi trường (A-B-C) | Khoảng phân tán Ngăn không đông | Khoảng phân tán Ngăn đông | Khoảng phân tán Công suất | Độ dốc Ngăn không đông | Độ dốc Ngăn đông | Độ dốc Công suất | Khoảng phân tán công suất cho phép | Tiêu chí Phụ lục B | Giai đoạn thử nghiệm Hợp lệ |
| TCC | TCC | TCC | °C | °C | W | h | °C | K | K | % | K/h | K/h | %/h | % |
|
|
| 1 - 5 | 6 - 10 | 11 - 15 | 3,767 | -18,919 | 45,861 | 12,483 | 32,035 | 0,0111 | 0,0206 | 0,27 | 0,0004 | 0,0009 | 0,032 | 1,040 | Đúng | Không hợp lệ |
| 2 - 6 | 7 - 11 | 12 - 16 | 3,767 | -18,916 | 45,811 | 12,483 | 32,035 | 0,0187 | 0,0164 | 0,53 | 0,0022 | 0,0020 | 0,064 | 1,040 | Đúng | Không hợp lệ |
| 3 - 7 | 8 - 12 | 13 - 17 | 3,767 | -18,916 | 45,791 | 12,483 | 32,035 | 0,0210 | 0,0092 | 0,53 | 0,0020 | 0,0011 | 0,064 | 1,040 | Đúng | Hợp lệ |
| 4 - 8 | 9 - 13 | 14 - 18 | 3,780 | -18,885 | 47,182 | 11,917 | 32,036 | 0,0487 | 0,1038 | 0,31 | 0,0027 | 0,0114 | 1,266 | 1,000 | Sai | Không hợp lệ |
| 5 - 9 | 10 - 14 | 15 - 19 | 3,796 | -18,747 | 49,725 | 11,533 | 32,036 | 0,1016 | 0,6150 | 28,40 | 0,0107 | 0,0753 | 3,557 | 1,000 | Sai | Không hợp lệ |
| 6 - 10 | 11 - 15 | 16 - 20 | 3,879 | -18,412 | 52,052 | 11,717 | 32,036 | 0,3914 | 1,7611 | 41,44 | 0,0479 | 0,2192 | 5,189 | 1,000 | Sai | Không hợp lệ |
| 7 - 11 | 12 - 16 | 17 - 21 | 3,894 | -18,406 | 52,244 | 11,717 | 32,036 | 0,4621 | 1,7849 | 43,16 | 0,0576 | 0,2232 | 5,406 | 1,000 | Sai | Không hợp lệ |
| 8 - 12 | 13 - 17 | 18 - 22 | 3,897 | -18,408 | 52,287 | 11,717 | 32,037 | 0,4742 | 1,7696 | 43,55 | 0,0597 | 0,2217 | 5,469 | 1,000 | Sai | Không hợp lệ |
| 9 - 13 | 14 - 18 | 19 - 23 | 3,898 | -18,414 | 52,340 | 11,717 | 32,037 | 0,3793 | 1,4066 | 29,21 | 0,0495 | 0,1837 | 3,815 | 1,000 | Sai | Không hợp lệ |
| 10 - 14 | 15 - 19 | 20 - 24 | 3,899 | -18,419 | 52,351 | 11,717 | 32,037 | 0,2965 | 0,9119 | 26,08 | 0,0398 | 0,1223 | 1,913 | 1,000 | Sai | Không hợp lệ |
| 11 - 15 | 16 - 20 | 21 - 25 | 3,897 | -18,423 | 52,361 | 11,717 | 32,037 | 0,3914 | 1,7719 | 41,20 | 0,0081 | 0,0014 | 0,250 | 1,000 | Sai | Không hợp lệ |
| 12 - 16 | 17 - 21 | 22 - 26 | 3,894 | -18,425 | 52,447 | 11,733 | 32,038 | 0,4621 | 1,8240 | 42,99 | 0,0006 | 0,0053 | 0,180 | 1,000 | Sai | Không hợp lệ |
| 13 - 17 | 18 - 22 | 23 - 27 | 3,891 | -18,429 | 52,468 | 11,733 | 32,037 | 0,4909 | 1,8172 | 43,40 | 0,0028 | 0,0063 | 0,150 | 1,000 | Sai | Không hợp lệ |
| 14 - 18 | 19 - 23 | 24 - 28 | 3,887 | -18,435 | 52,489 | 11,733 | 32,038 | 0,4094 | 1,4620 | 28,28 | 0,0100 | 0,0203 | 1,074 | 1,000 | Sai | Không hợp lệ |
| 15 - 19 | 20 - 24 | 25 - 29 | 3,882 | -18,442 | 52,543 | 11,733 | 32,037 | 0,3447 | 0,9747 | 25,81 | 0,0186 | 0,0843 | 3,200 | 1,000 | Sai | Không hợp lệ |
| 16 - 20 | 21 - 25 | 26 - 30 | 3,875 | -18,452 | 52,511 | 11,733 | 32,037 | 0,4522 | 1,8406 | 40,23 | 0,0569 | 0,2315 | 5,061 | 1,000 | Sai | Không hợp lệ |
| 17 - 21 | 22 - 26 | 27 - 31 | 3,872 | -18,459 | 52,553 | 11,733 | 32,038 | 0,5239 | 1,8790 | 42,34 | 0,0658 | 0,2361 | 5,320 | 1,000 | Sai | Không hợp lệ |
| 18 - 22 | 23 - 27 | 28 - 32 | 3,867 | -18,467 | 52,585 | 11,733 | 32,037 | 0,5370 | 1,8763 | 42,67 | 0,0675 | 0,2358 | 5,362 | 1,000 | Sai | Không hợp lệ |
| 19 - 23 | 24 - 28 | 29 - 33 | 3,848 | -18,527 | 50,904 | 12,300 | 32,037 | 0,4350 | 1,5226 | 29,16 | 0,0528 | 0,1847 | 3,537 | 1,025 | Sai | Không hợp lệ |
| 20 - 24 | 25 - 29 | 30 - 34 | 3,829 | -18,670 | 48,593 | 12,700 | 32,037 | 0,3517 | 1,0222 | 14,57 | 0,0417 | 0,1211 | 1,726 | 1,058 | Sai | Không hợp lệ |
| 21 - 25 | 26 - 30 | 31 - 35 | 3,747 | -18,991 | 46,408 | 12,517 | 32,036 | 0,1219 | 0,0888 | 1,17 | 0,0129 | 0,0106 | 0,139 | 1,043 | Sai | Không hợp lệ |
| 22 - 26 | 27 - 31 | 32 - 36 | 3,726 | -19,007 | 46,110 | 12,500 | 32,036 | 0,0665 | 0,0696 | 1,02 | 0,0058 | 0,0084 | 0,122 | 1,042 | Đúng | Không hợp lệ |
| 23 - 27 | 28 - 32 | 33 - 37 | 3,722 | -19,004 | 46,168 | 12,517 | 32,036 | 0,0461 | 0,0591 | 0,57 | 0,0018 | 0,0051 | 0,022 | 1,043 | Đúng | Không hợp lệ |
| 24 - 28 | 29 - 33 | 34 - 38 | 3,718 | -19,008 | 46,128 | 12,517 | 32,036 | 0,0300 | 0,0605 | 0,07 | 0,0005 | 0,0042 | 0,007 | 1,043 | Đúng | Hợp lệ |
| 25 - 29 | 30 - 34 | 35 - 39 | 3,716 | -19,015 | 46,168 | 12,517 | 32,035 | 0,0231 | 0,0476 | 0,38 | 0,0019 | 0,0038 | 0,045 | 1,043 | Đúng | Hợp lệ |
| 26 - 30 | 31 - 35 | 36 - 40 | 3,714 | -19,022 | 46,188 | 12,517 | 32,035 | 0,0228 | 0,0240 | 0,26 | 0,0027 | 0,0029 | 0,030 | 1,043 | Đúng | Hợp lệ |
| 27 - 31 | 32 - 36 | 37 - 41 | 3,712 | -19,030 | 46,110 | 12,500 | 32,035 | 0,0263 | 0,0155 | 1,02 | 0,0032 | 0,0017 | 0,108 | 1,042 | Đúng | Hợp lệ |
| 28 - 32 | 33 - 37 | 38 - 42 | 3,712 | -19,035 | 46,150 | 12,500 | 32,035 | 0,0311 | 0,0486 | 0,46 | 0,0019 | 0,0039 | 0,055 | 1,042 | Đúng | Hợp lệ |
| 29 - 33 | 34 - 38 | 39 - 43 | 3,711 | -19,040 | 46,140 | 12,500 | 32,034 | 0,0300 | 0,0611 | 0,13 | 0,0003 | 0,0043 | 0,008 | 1,042 | Đúng | Hợp lệ |
| 30 - 34 | 35 - 39 | 40 - 44 | 3,710 | -19,042 | 46,120 | 12,500 | 32,035 | 0,0323 | 0,0484 | 0,07 | 0,0011 | 0,0039 | 0,008 | 1,042 | Đúng | Hợp lệ |
| 31 - 35 | 36 - 40 | 41 - 45 | 3,711 | -19,045 | 46,120 | 12,500 | 32,034 | 0,0317 | 0,0483 | 0,46 | 0,0028 | 0,0058 | 0,055 | 1,042 | Đúng | Hợp lệ |
| 32 - 36 | 37 - 41 | 42 - 46 | 3,710 | -19,051 | 46,100 | 12,500 | 32,034 | 0,0336 | 0,0501 | 1,02 | 0,0030 | 0,0058 | 0,007 | 1,042 | Đúng | Hợp lệ |
| 33 - 37 | 38 - 42 | 43 - 47 | 3,708 | -19,058 | 46,070 | 12,500 | 32,034 | 0,0440 | 0,0851 | 0,98 | 0,0053 | 0,0102 | 0,109 | 1,042 | Đúng | Hợp lệ |
| 34 - 38 | 39 - 43 | 44 - 48 | 3,706 | -19,060 | 46,010 | 12,500 | 32,035 | 0,0443 | 0,0850 | 0,91 | 0,0053 | 0,0102 | 0,094 | 1,042 | Đúng | Hợp lệ |
| 35 - 39 | 40 - 44 | 45 - 49 | 3,705 | -19,060 | 46,099 | 12,517 | 32,036 | 0,0398 | 0,0708 | 0,20 | 0,0048 | 0,0085 | 0,017 | 1,043 | Đúng | Hợp lệ |
| 36 - 40 | 41 - 45 | 46 - 50 | 3,702 | -19,066 | 46,059 | 12,517 | 32,036 | 0,0354 | 0,0595 | 0,20 | 0,0042 | 0,0071 | 0,017 | 1,043 | Đúng | Hợp lệ |
Bảng I.16 - Ví dụ tính toán năng lượng, công suất và nhiệt độ đối với tất cả các giai đoạn thử nghiệm có thể có (3 khối, mỗi khối 9 TCC)
| Khối A | Khối B | Khối C | Giai đoạn thử nghiệm Ngăn không đông | Giai đoạn thử nghiệm Ngăn đông | Giai đoạn thử nghiệm Công suất | Giai đoạn thử nghiệm (A-B-C) | Nhiệt độ môi trường (A-B-C) | Khoảng phân tán Ngăn không đông | Khoảng phân tán Ngăn đông | Khoảng phân tán Công suất | Độ dốc Ngăn không đông | Độ dốc Ngăn đông | Độ dốc Công suất | Khoảng phân tán công suất cho phép | Tiêu chí Phụ lục B | Giai đoạn thử nghiệm Hợp lệ |
| TCC | TCC | TCC | oC | oC | W | h | oC | K | K | % | K/h | K/h | %/h | % |
|
|
| 1 - 9 | 10 - 18 | 19 - 27 | 3,834 | -18,654 | 49,444 | 21,717 | 32,036 | 0,1804 | 0,7338 | 16,74 | 0,0126 | 0,0512 | 1,169 | 1,810 | Sai | Không hợp lệ |
| 2 - 10 | 11 - 19 | 20 - 28 | 3,832 | -18,656 | 49,426 | 21,717 | 32,036 | 0,1375 | 0,4761 | 13,72 | 0,0097 | 0,0337 | 0,620 | 1,810 | Sai | Không hợp lệ |
| 3 - 11 | 12 - 20 | 21 - 29 | 3,830 | -18,660 | 49,444 | 21,717 | 32,036 | 0,1885 | 0,9243 | 21,73 | 0,0000 | 0,0038 | 0,104 | 1,810 | Sai | Hợp lệ |
| 4 - 12 | 13 - 21 | 22 - 30 | 3,827 | -18,665 | 49,398 | 21,717 | 32,037 | 0,2595 | 0,9654 | 22,93 | 0,0026 | 0,0054 | 0,066 | 1,810 | Sai | Không hợp lệ |
| 5 - 13 | 14 - 22 | 23 - 31 | 3,824 | -18,668 | 49,463 | 21,733 | 32,037 | 0,2800 | 0,9646 | 22,85 | 0,0034 | 0,0058 | 0,042 | 1,811 | Sai | Không hợp lệ |
| 6 - 14 | 15 - 23 | 24 - 32 | 3,821 | -18,675 | 49,463 | 21,733 | 32,037 | 0,2902 | 0,9654 | 23,22 | 0,0039 | 0,0059 | 0,040 | 1,811 | Sai | Không hợp lệ |
| 7 - 15 | 16 - 24 | 25 - 33 | 3,817 | -18,680 | 49,463 | 21,733 | 32,037 | 0,2922 | 0,9661 | 23,21 | 0,0039 | 0,0064 | 0,061 | 1,811 | Sai | Không hợp lệ |
| 8 - 16 | 17 - 25 | 26 - 34 | 3,815 | -18,684 | 49,475 | 21,733 | 32,036 | 0,2933 | 0,9704 | 23,34 | 0,0038 | 0,0071 | 0,071 | 1,811 | Sai | Không hợp lệ |
| 9 - 17 | 18 - 26 | 27 - 35 | 3,814 | -18,688 | 49,486 | 21,733 | 32,036 | 0,2862 | 0,9705 | 23,80 | 0,0037 | 0,0073 | 0,057 | 1,811 | Sai | Không hợp lệ |
| 10 - 18 | 19 - 27 | 28 - 36 | 3,812 | -18,694 | 49,461 | 21,717 | 32,036 | 0,2437 | 0,8500 | 16,63 | 0,0052 | 0,0112 | 0,317 | 1,810 | Sai | Không hợp lệ |
| 11 - 19 | 20 - 28 | 29 - 37 | 3,812 | -18,695 | 49,521 | 21,733 | 32,036 | 0,1968 | 0,5898 | 13,13 | 0,0066 | 0,0269 | 0,892 | 1,811 | Sai | Không hợp lệ |
| 12 - 20 | 21 - 29 | 30 - 38 | 3,811 | -18,699 | 49,521 | 21,733 | 32,036 | 0,2425 | 0,9823 | 21,23 | 0,0166 | 0,0672 | 1,452 | 1,811 | Sai | Không hợp lệ |
| 13 - 21 | 22 - 30 | 31 - 39 | 3,810 | -18,704 | 49,544 | 21,733 | 32,036 | 0,2717 | 1,0010 | 21,99 | 0,0186 | 0,0684 | 1,503 | 1,811 | Sai | Không hợp lệ |
| 14 - 22 | 23 - 31 | 32 - 40 | 3,808 | -18,709 | 49,567 | 21,733 | 32,036 | 0,2800 | 1,0003 | 22,21 | 0,0191 | 0,0684 | 1,518 | 1,811 | Sai | Không hợp lệ |
| 15 - 23 | 24 - 32 | 33 - 41 | 3,805 | -18,715 | 49,590 | 21,733 | 32,036 | 0,2902 | 0,9971 | 22,59 | 0,0192 | 0,0682 | 1,533 | 1,811 | Sai | Không hợp lệ |
| 16 - 24 | 25 - 33 | 34 - 42 | 3,802 | -18,721 | 49,607 | 21,733 | 32,036 | 0,2922 | 0,9928 | 22,30 | 0,0192 | 0,0679 | 1,525 | 1,811 | Sai | Không hợp lệ |
| 17 - 25 | 26 - 34 | 35 - 43 | 3,800 | -18,727 | 49,613 | 21,733 | 32,036 | 0,2933 | 0,9943 | 22,47 | 0,0194 | 0,0680 | 1,537 | 1,811 | Sai | Không hợp lệ |
| 18 - 26 | 27 - 35 | 36 - 44 | 3,797 | -18,732 | 49,630 | 21,733 | 32,036 | 0,2862 | 0,9947 | 22,92 | 0,0193 | 0,0681 | 1,566 | 1,811 | Sai | Không hợp lệ |
| 19 - 27 | 28 - 36 | 37 - 45 | 3,787 | -18,760 | 48,744 | 22,300 | 32,036 | 0,2437 | 0,8718 | 16,88 | 0,0162 | 0,0585 | 1,100 | 1,858 | Sai | Không hợp lệ |
| 20 - 28 | 29 - 37 | 38 - 46 | 3,776 | -18,839 | 47,478 | 22,700 | 32,036 | 0,2088 | 0,6403 | 8,70 | 0,0138 | 0,0424 | 0,576 | 1,892 | Sai | Không hợp lệ |
| 21 - 29 | 30 - 38 | 39 - 47 | 3,728 | -19,024 | 46,232 | 22,517 | 32,036 | 0,0771 | 0,1206 | 1,29 | 0,0051 | 0,0080 | 0,086 | 1,876 | Đúng | Không hợp lệ |
| 22 - 30 | 31 - 39 | 40 - 48 | 3,715 | -19,034 | 46,099 | 22,517 | 32,036 | 0,0424 | 0,0942 | 0,57 | 0,0028 | 0,0063 | 0,038 | 1,876 | Đúng | Không hợp lệ |
| 23 - 31 | 32 - 40 | 41 - 49 | 3,711 | -19,036 | 46,137 | 22,533 | 32,036 | 0,0301 | 0,0869 | 1,09 | 0,0020 | 0,0058 | 0,012 | 1,878 | Đúng | Hợp lệ |
| 24 - 32 | 33 - 41 | 42 - 50 | 3,708 | -19,040 | 46,098 | 22,533 | 32,036 | 0,0323 | 0,0827 | 0,37 | 0,0015 | 0,0055 | 0,012 | 1,878 | Đúng | Hợp lệ |
| 25 - 33 | 34 - 42 | 43 - 51 | 3,711 | -19,027 | 46,906 | 21,967 | 32,036 | 0,0150 | 0,0267 | 4,84 | 0,0002 | 0,0018 | 0,326 | 1,831 | Sai | Không hợp lệ |
| 26 - 34 | 35 - 43 | 44 - 52 | 3,721 | -18,940 | 48,307 | 21,583 | 32,036 | 0,0379 | 0,3107 | 14,56 | 0,0026 | 0,0197 | 0,987 | 1,799 | Sai | Không hợp lệ |
| 27 - 35 | 36 - 44 | 45 - 53 | 3,770 | -18,763 | 49,542 | 21,767 | 32,036 | 0,2001 | 0,8939 | 22,31 | 0,0137 | 0,0594 | 1,525 | 1,814 | Sai | Không hợp lệ |
| 28 - 36 | 37 - 45 | 46 - 54 | 3,782 | -18,758 | 49,721 | 21,767 | 32,036 | 0,2396 | 0,9243 | 23,72 | 0,0164 | 0,0616 | 1,620 | 1,814 | Sai | Không hợp lệ |
| 29 - 37 | 38 - 46 | 47 - 55 | 3,783 | -18,763 | 49,741 | 21,750 | 32,036 | 0,2507 | 0,9426 | 23,73 | 0,0163 | 0,0610 | 1,611 | 1,813 | Sai | Không hợp lệ |
| 30 - 38 | 39 - 47 | 48 - 56 | 3,782 | -18,766 | 49,770 | 21,750 | 32,036 | 0,2583 | 0,9581 | 24,19 | 0,0161 | 0,06612 | 1,640 | 1,813 | Sai | Không hợp lệ |
| 31 - 39 | 40 - 48 | 49 - 57 | 3,781 | -18,770 | 49,774 | 21,733 | 32,036 | 0,2553 | 0,9490 | 24,38 | 0,0154 | 0,0609 | 1,636 | 1,811 | Sai | Không hợp lệ |
| 32 - 40 | 41 - 49 | 50 - 58 | 3,779 | -18,774 | 49,820 | 21,733 | 32,036 | 0,2498 | 0,9392 | 24,09 | 0,0150 | 0,0607 | 1,635 | 1,811 | Sai | Không hợp lệ |
Tập các tính toán tiếp theo cần được thực hiện trong ví dụ này nhằm xác định năng lượng tăng thêm và sự thay đổi nhiệt độ khi có xả băng và phục hồi theo Phụ lục C. Xả băng cần được xem xét trong dữ liệu mẫu là thời gian xuất hiện ở TCC 19.
Đầu tiên, một giai đoạn không ít hơn 3 TCC và 3 h được chọn trước và sau xả băng cần phân tích (Giai đoạn D và F tương ứng). Giai đoạn D trước xả băng và kết thúc không ít hơn 3 h trước đường tâm danh nghĩa của xả băng (là 2 h sau khi bộ sưởi xả băng hoạt động ở TCC 19). Giai đoạn F sau xả băng và kết thúc không ít hơn 3 h sau đường tâm danh nghĩa của xả băng.
Bộ sưởi xả bắt đầu hoạt động ở thời gian thử nghiệm lũy tích 14,417 h. Đường tâm danh nghĩa của giai đoạn xả băng và phục hồi theo C.3 là 2 h sau khi bộ sưởi xả băng bắt đầu hoạt động, là 16,417 h. Kết thúc giai đoạn D phải trước 13,417 h và bắt đầu giai đoạn F phải sau 19,417 h. Lưu ý là thời gian lũy tích khi kết thúc TCC chính xác bằng với thời gian khi bắt đầu TCC tiếp theo. Trong trường hợp này, TCC 16 kết thúc ở 13,317 h (bắt đầu TCC 17) vì vậy thời gian này xác định khi kết thúc giai đoạn D. Tương tự, TCC 26 bắt đầu ở 20,033 h sẽ xác định điểm bắt đầu giai đoạn F.
Trong ví dụ này, giai đoạn D được tạo thành gồm 4 TCC (TCC 13 đến và kể cả TCC 16) và tổng thời gian là 3 h và 20 min. Giai đoạn F gồm 4 TCC (TCC 26 đến và kể cả TCC 29) và tổng thời gian là 3 h và 21 min.
Một loạt các kiểm tra được thực hiện trên giai đoạn D và giai đoạn F để đảm bảo rằng chúng đáp ứng các yêu cầu đối với DF1 như nêu trong C.3.2. Chúng được nêu trong Bảng I.17.
Bảng I.17 - Xác định giai đoạn xả băng hợp lệ DF1
| Tham số | Giai đoạn D | Giai đoạn F | Độ phân tán/Tiêu chí | Tính hợp lệ và lưu ý |
| Thời gian | 03:20:00 | 03:21:00 | Tỷ lệ 0,995 | OK (0,8 đến 1,25, ≥ 3 h, cả hai ≥ 3TCC, số TCC trong D và F bằng nhau) |
| Công suất, W | 45,7125 | 46,3806 | 1,45 % và 0,668 W | OK (< 2 % hoặc < 1 W) |
| Ngăn thực phẩm tươi, °C | 3,7615 | 3,7065 | 0,0550 | OK (< 0,5 K) |
| Ngăn kết đông, °C | -18,9221 | -18,9968 | 0,0747 | OK (< 0,5 K) |
Nếu tính hợp lệ của các giai đoạn D và F ban đầu không được đáp ứng thì tiêu chuẩn này cho phép cỡ của D và F được tăng lên theo các bước 1 TCCC để xem có giai đoạn nào phù hợp không. Tương tự, nếu không có giai đoạn phù hợp, cỡ D1 (từ cuối giai đoạn D đến đường tâm danh nghĩa của xả băng và phục hồi) có thể tăng thêm theo các bước 30 min. Vị trí của đường tâm danh nghĩa của xả băng và phục hồi cũng có thể được điều chỉnh nếu cần. Đối với các dữ liệu này, không cần các điều chỉnh nêu trên.
Từ dữ liệu đối với TCC cho trong Bảng I.10, có thể xác định các giá trị dưới đây:
Năng lượng tổng từ khi bắt đầu giai đoạn D đến kết thúc giai đoạn F = 692,5 Wh (TCC 13 đến và kể cả TCC 29)
Thời gian tổng từ khi bắt đầu giai đoạn D đến kết thúc giai đoạn F = 13 h 24 min (= 13,4 h)
Công suất trung bình đối với giai đoạn D và giai đoạn F = 46,04655 W (lưu ý là giá trị này chưa được lấy trọng số theo thời gian)
Từ công thức (19):

Đối với xả băng được chọn:
ΔEdf = (692,5) - 46,04655 x 13,4
ΔEdf = 75,4762 Wh
Bước tiếp theo nhằm xác định sự thay đổi nhiệt độ trong quá trình xả băng và phục hồi được chọn.
Từ dữ liệu đối với mỗi TCC cho trong Bảng I.10, có thể xác định các giá trị sau:
Nhiệt độ trung bình ngăn thực phẩm tươi từ bắt đầu giai đoạn D đến kết thúc giai đoạn F = 3,8670 °C (TCC 13 đến và kể cả TCC 29) (trung bình được lấy trọng số theo thời gian)
Nhiệt độ trung bình ngăn kết đông từ bắt đầu giai đoạn D đến kết thúc giai đoạn F = -18,5027 °C (TCC 13 đến và kể cả TCC 29) (trung bình được lấy trọng số theo thời gian)
Nhiệt độ trung bình ngăn thực phẩm tươi trong giai đoạn D và giai đoạn F = 3,7340 °C (lưu ý là chưa lấy trọng số theo thời gian)
Nhiệt độ trung bình ngăn thực phẩm tươi trong giai đoạn D và giai đoạn F = 3,7340 °C (lưu ý là chưa lấy trọng số theo thời gian)
Từ công thức (20):

Đối với xả băng được chọn:
ΔThdf-freshfood = (13,4) x [(3,8670) - (3,7340)]
ΔThdf-freshfood = 1,7822 Kh
ΔThdf-freezer = (13,4) x [(-18,5027)-(-18,95945)]
ΔThdf-freezer = 6,1204 Kh
Để thay cho cách tiếp cận SS1 (sử dụng 3 khối dữ liệu trạng thái ổn định để đánh giá tính hợp lệ), các tính toán dưới đây đưa ra ví dụ sử dụng cách tiếp cận SS2 để xác định công suất trạng thái ổn định giữa các lần xả băng như nêu trong B.4 sử dụng cùng tập dữ liệu được minh họa trên Hình I.10 và trong Bảng I.10. Các tính toán trước đó cho thấy rằng xả băng ở TCC 19 là hợp lệ theo DF1 trong Phụ lục C, vì vậy cách tiếp cận SS2 có thể được sử dụng trên tập dữ liệu này.
Đầu tiên, một giai đoạn không ít hơn 4 TCC và 4 h được chọn trước và sau xả băng được chọn. Giai đoạn X trước khi bộ sưởi xả băng hoạt động ở TCC 19 và giai đoạn Y trước khi bộ sưởi xả băng hoạt động ở TCC 52 (xem Hình I.10 và Bảng I.10). Trong ví dụ này, giai đoạn X được tạo thành gồm 5 TCC (TCC 13 đến và kể cả TCC 17) và tổng thời gian là 4 h và 10 min. Giai đoạn Y gồm 5 TCC (TCC 46 đến và kể cả TCC 50) và tổng thời gian là 4 h và 11 min.
Một loạt các kiểm tra được thực hiện trên giai đoạn X và giai đoạn Y để đảm bảo rằng chúng đáp ứng các yêu cầu đối với SS2 như nêu trong B.4.2.
Bảng I.18 - Xác định giai đoạn xả băng hợp lệ SS2
| Tham số | Giai đoạn X | Giai đoạn Y | Độ phân tán/Tiêu chí | Tính hợp lệ và lưu ý |
| Thời gian | 04:10:00 (5 TCC) | 04:11:00 (5TCC) | Tỷ lệ 0,996 | OK (0,8 đến 1,25, ≥ 4 h, cả hai ≥ 4 TCC, số TCC trong X và Y bằng nhau) |
| Công suất, W | 45,6900 | 46,0458 | 0,78 % và 0,356 W | OK (< 2 % hoặc < 1 W) |
| Ngăn thực phẩm tươi, °C | 3,7633 | 3,6887 | 0,0746 | OK (< 0,5 K) |
| Ngăn kết đông, °C | -18,9226 | -19,0908 | 0,1682 | OK (< 0,5 K) |
Đối với dữ liệu của từng TCC cho trong Bảng I.10, có thể xác định được các giá trị dưới đây:
Năng lượng tổng từ khi kết thúc giai đoạn X đến kết thúc giai đoạn Y = 1 309,25 Wh (TCC 18 đến và kể cả TCC 50)
Thời gian tổng từ khi kết thúc giai đoạn X đến kết thúc giai đoạn Y = 26 h 45 min (= 26,75 h)
Năng lượng tăng thêm của xả băng khi bắt đầu giai đoạn ΔFdf = 75,4762 Wh
Từ công thức (12):


PSS2 = 46,1224 W
Giá trị này so sánh được với giá trị PSS1 được xác định trong Bảng I.16 đối với TCC 23 đến TCC 49 là 46,137 W, là giai đoạn thử nghiệm có thể so sánh.
Lưu ý là PSS1 và PSS2 phải được hiệu chỉnh theo nhiệt độ môi trường đo được trong giai đoạn thử nghiệm theo công thức (15) trong Phụ lục B để có được giá trị PSS cần sử dụng trong các tính toán và phân tích tiếp theo. Trong trường hợp này, nhiệt độ môi trường đo được là rất gần với nhiệt độ môi trường mục tiêu 32 °C vì vậy việc điều chỉnh là rất nhỏ.
Cũng cần thực hiện các tính toán tương tự để xác định nhiệt độ trạng thái ổn định trong từng ngăn sử dụng cách tiếp cận SS2.
Nhiệt độ trung bình ngăn thực phẩm tươi từ kết thúc giai đoạn X đến kết thúc giai đoạn Y = 3,7764 °C (TCC 18 đến và kể cả TCC 50) (trung bình được lấy trọng số theo thời gian)
Nhiệt độ trung bình ngăn kết đông từ khi kết thúc giai đoạn X đến kết thúc giai đoạn Y = -18,7796 °C (TCC 18 đến và kể cả TCC 50) (trung bình được lấy trọng số theo thời gian)
Từ công thức (13):


TSS2-freshfood = 3,7096

TSS2-freezer = -19,0084
Các giá trị này so sánh được với giá trị PSS1 được xác định trong Bảng I.16 đối với TCC 23 đến TCC 49 là 3,711 °C đối với ngăn thực phẩm tươi và -19,036 °C đối với ngăn kết đông, là giai đoạn thử nghiệm có thể so sánh. Vì giai đoạn thử nghiệm chính xác được chọn đối với PSS1 và PSS2 có khác một chút, nên có thể có sự sai khác nhau trong kết quả của từng tham số. Các ví dụ cho trên đây có thể được sử dụng để kiểm tra phần mềm của phòng thí nghiệm có thực hiện phân tích trạng thái ổn định đúng theo cách tiếp cận SS2 trong Phụ lục B và DF1 trong Phụ lục C hay không.
I.8.2 Rà soát dữ liệu và chọn độ phân tán nhỏ nhất sử dụng phần mềm có sẵn
Hình I.11 thể hiện ví dụ về định vị giai đoạn thử nghiệm ở thời điểm cho trước. Trường hợp được minh họa ở 38,4 h sau khi bắt đầu thu thập dữ liệu đối với thử nghiệm tủ lạnh. Tín hiệu công suất được vẽ trong phần ở giữa (đồ thị gồm 5 phần được xếp liên tiếp nhau theo chiều thẳng đứng). Từ điểm này có thể xác định số lượng giai đoạn thử nghiệm chạy thử, tất cả đều chứa 3 khối và đạt đến sau đó. Đối với từng giai đoạn chạy thử, năng lượng tiêu thụ được vẽ trong phần thứ hai. Đối với mỗi giai đoạn chạy thử này, độ phân tán công suất nằm trong phạm vi giai đoạn thử nghiệm (chênh lệch giữa giá trị công suất trung bình lớn nhất và nhỏ nhất quan sát được giữa khối A, B và C) được vẽ trong phần dưới cùng. Giá trị nhỏ nhất có thể có của độ phân tán này được tìm thấy và trong đồ thị được vẽ mũi tên. Điều này nhận biết các giai đoạn thử nghiệm ổn định nhất từ tất cả các giai đoạn chạy thử. Trong ví dụ này, khoảng thời gian của giai đoạn thử nghiệm này là 12,5 h.
Năng lượng tiêu thụ đo được trong giai đoạn thử nghiệm tốt nhất này được vẽ trên phần thứ tư trong khi độ phân tán ở giai đoạn thử nghiệm này được vẽ trên phần cao nhất. Các đánh dấu khác trong hai phần này minh họa kết quả của các giai đoạn thử nghiệm tốt nhất ở các thời điểm khác nhau. Kết hợp các đánh dấu này có thể thấy năng lượng tiêu thụ đo được hội tụ theo thời gian và độ phân tán là giảm dần. Ảnh hưởng này là do sự tăng thời gian của giai đoạn thử nghiệm tốt nhất tìm được.

CHÚ THÍCH: Giai đoạn thử nghiệm được chọn SS1 tương đương với giai đoạn thử nghiệm từ TCC33 đến TCC47 thể hiện trong Bảng I.15. Xả băng và phục hồi được chọn giống như thể hiện trong ví dụ tính toán trong I.8.1.
Hình I.11 - Ví dụ về tìm giai đoạn thử nghiệm với bảng tính nhỏ nhất về công suất
Phụ lục J
(tham khảo)
Xây dựng phương pháp thử nghiệm toàn cầu đối với thiết bị lạnh
J.1 Mục đích
Phụ lục này đưa ra cơ sở để xây dựng quy trình thử nghiệm quốc tế và tổng quan về mục tiêu của việc tiếp cận toàn cầu đến thử nghiệm năng lực. Phụ lục này đưa ra cơ sở để xây dựng quy trình thử nghiệm quốc tế và tổng quan về mục tiêu của việc tiếp cận toàn cầu đến thử nghiệm năng lực.
J.2 Tổng quan
Thiết bị lạnh gia dụng là các sản phẩm nhiệt động học phức tạp và số lượng lớn các yếu tố có thể có ảnh hưởng đến năng lượng tiêu thụ đo được. Các nghiên cứu chi tiết cho thấy rằng các yếu tố quan trọng nhất (không nhất thiết phải theo thứ tự về độ quan trọng) mà có thể tác động lên năng lượng tiêu thụ trong sử dụng bình thường gồm:
Điều kiện làm việc:
Nhiệt độ và độ ẩm môi trường trong đó sản phẩm làm việc trong sử dụng bình thường (trong nhà hoặc ngoài trời, bất kể không gian đó có được điều hòa hay không);
Giá trị đặt của điều khiển nhiệt độ được chọn bởi người sử dụng;
Các giao diện người sử dụng với thiết bị trong sử dụng bình thường (trao đổi không khí do mở cửa, bổ sung thức ăn, đồ uống còn ấm và độ ẩm);
Lắp đặt thiết bị (khe hở, luồng không khí).
Thiết kế sản phẩm và cách sản phẩm đáp ứng các điều kiện làm việc:
Đặc tính xả băng và phục hồi của sản phẩm;
Khoảng xả băng trong sử dụng bình thường;
Hiệu suất xử lý tải của hệ thống lạnh để lấy tải nhiệt xuất hiện trong sử dụng bình thường và thông qua nhiệt lượng bình thường;
Chất lượng và mức cách nhiệt trong các cửa, vách và tấm đệm, v.v.
Hoạt động của các bộ phận phụ trợ có thể bị ảnh hưởng bởi các điều kiện môi trường và sử dụng;
Cỡ, cấu hình và các tỷ số (kích thước) của sản phẩm.
Còn một số yếu tố khác cũng có thể có ảnh hưởng đến năng lượng tiêu thụ nhưng đều là các yếu tố nhỏ và ít quan trọng.
J.3 Mục tiêu của phương pháp thử
Mục tiêu của phương pháp thử này nhằm xác định càng nhiều càng tốt các thành phần quan trọng của năng lượng tiêu thụ theo cách chung để cho phép chúng được gộp lại theo cách có thể phản ánh các điều kiện làm việc và dạng sử dụng của các sản phẩm lạnh gia dụng trong các khí hậu khác nhau và các vùng trên thế giới. Các vùng và các nước có thể chọn các thành phần thử nghiệm quan trọng nhất và kết hợp chúng lại theo cách liên quan nhất đến chúng.
Mục đích của quy trình thử nghiệm bất kỳ nhằm cung cấp dữ liệu chính xác, định lượng mà có thể sử dụng làm cơ sở để so sánh các sản phẩm làm việc trong các điều kiện có thể so sánh khi thực hiện các nhiệm vụ có thể so sánh. Trong khi thừa nhận rằng mọi thiết bị lạnh gia dụng trên thế giới sẽ có điều kiện làm việc thực tế khác nhau và các dạng sử dụng khác nhau, việc tách năng lượng thành các thành phần quan trọng cho phép các điều kiện làm việc và sử dụng được áp dụng cho các sản phẩm cho mục đích so sánh. Điều này cũng cung cấp cơ sở để hiểu biết sự thay đổi trong năng lượng tiêu thụ thực tế trong các sản phẩm riêng rẽ trong sử dụng bình thường trong nhà trên cơ sở từng trường hợp.
Ưu điểm của việc tiếp cận toàn cầu để xác định năng lượng là các nhà chế tạo chỉ cần thực hiện tập các thử nghiệm tiêu chuẩn để đáp ứng các yêu cầu của tất cả các vùng chính. Sự khác nhau giữa các vùng có thể đạt được bằng cách áp dụng các hệ số khác nhau cho các kết quả thử nghiệm tiêu chuẩn hóa. Điều này sẽ giúp nhà chế tạo tránh các thử nghiệm lại các model được bán ở các khu vực khác nhau.
J.4 Mô tả các thành phần chính của năng lượng tiêu thụ
Công nghệ phổ biến nhất được sử dụng trong thiết bị lạnh gia dụng là chu kỳ máy nén hơi, là một dạng bơm nhiệt hiệu quả lấy năng lượng khỏi không gian được làm lạnh (bên trong ngăn) đưa ra không khí môi trường xung quanh trong phòng. Một số công nghệ khác được sử dụng để thực hiện chức năng bơm nhiệt (ví dụ một số hệ thống hấp thụ hoặc điện nhiệt (hiệu ứng Peltier)) nhưng các công nghệ này thường ít hiệu quả và chỉ được sử dụng trong các ứng dụng đặt trong hốc.
Trong các điều kiện không có tương tác của người sử dụng, dòng nhiệt đi vào các ngăn bên trong phụ thuộc vào cách nhiệt hiệu quả của tủ. Điều này quyết định lớn bởi chiều dày vách và giá trị cách nhiệt của vật liệu làm vách, nhưng có nhiều yếu tố khác cũng có thể có ảnh hưởng đến các dòng nhiệt như thiết kế của miếng đệm và miếng bịt và sự có mặt của hiện tượng thẩm thấu qua các vách (đối với vận hành, hệ thống đi dây và các ống). Cũng có thể là các cơ cấu điều khiển điện tử, bộ sưởi hoặc cơ cấu khác tiêu thụ năng lượng (hoặc đưa nhiệt vào các ngăn) và sẽ đòi hỏi duy trì làm việc bình thường trong thiết bị lạnh. Làm việc của một số cơ cấu này có thể thay đổi theo điều kiện môi trường.
Năng lượng tiêu thụ trong tiêu chuẩn này được xác định trong các điều kiện không sử dụng (trạng thái ổn định) ở nhiệt độ môi trường 32 °C và ở nhiệt độ môi trường 16 °C. Điều này cung cấp cơ sở tốt để xác định đáp ứng nhiệt độ-năng lượng của thiết bị lạnh. Hầu hết các quy trình thử nghiệm trước đây chỉ thử nghiệm năng lượng tiêu thụ ở một giá trị nhiệt độ môi trường duy nhất. Điều này không cung cấp thông tin về tác động của năng lượng ở các nhiệt độ làm việc khác nhau thường gặp trong sử dụng bình thường.
Có thể thấy rằng các chỉnh định của bộ điều khiển nhiệt độ trên thiết bị lạnh do người sử dụng lựa chọn sẽ có ảnh hưởng đến các nhiệt độ làm việc, và ảnh hưởng đến năng lượng tiêu thụ. Trong tiêu chuẩn này (và trong hầu hết các quy trình thử nghiệm khác), kỹ thuật được áp dụng để đo năng lượng được thực hiện ở các chỉnh định khác nhau của bộ điều khiển nhiệt độ để ước lượng năng lượng tiêu thụ ở các nhiệt độ tiêu chuẩn bên trong. Chúng được gọi là “nhiệt độ mục tiêu đối với năng lượng tiêu thụ” trong tiêu chuẩn này. Các thử nghiệm riêng lẻ được sử dụng làm cơ sở để công bố năng lượng tiêu thụ được yêu cầu có các nhiệt độ bên trong của chúng ở hoặc thấp hơn nhiệt độ mục tiêu liên quan đối với loại ngăn hoặc dựa trên cơ sở các ước lượng của năng lượng tiêu thụ ở nhiệt độ mục tiêu. Các thử nghiệm bổ sung có thể được thực hiện ở dải chỉnh định của bộ điều khiển nhiệt độ để xác định năng lượng tiêu thụ tối ưu (thấp nhất có thể) ở các nhiệt độ mục tiêu liên quan ở từng điều kiện nhiệt độ môi trường.
Trong tiêu chuẩn này, nhiệt độ mục tiêu đối với ngăn thực phẩm tươi là 4 °C trong khi nhiệt độ mục tiêu đối với ngăn kết đông là -18 °C. Lưu ý rằng để tăng tốc độ thử nghiệm và tăng độ tái lặp tổng thể, đối với tất cả các loại ngăn không đông, nhiệt độ được dựa trên nhiệt độ không khí trung bình - không sử dụng các gói thử cho các thử nghiệm năng lượng.
Đối với các sản phẩm có hệ thống xả băng (có chu kỳ điều khiển xả băng riêng), thường tiêu thụ thêm năng lượng cho xả băng tự động. Một số hệ thống, trong đó dàn bay hơi làm việc gần với điểm kết đông, có thể xả băng hiệu quả bằng cách kéo dài giai đoạn máy nén không làm việc - khi đó sử dụng ít năng lượng bổ sung (trên thực tế chúng có thể sử dụng ít năng lượng hơn trong xả băng khi ngăn ấm). Một số sản phẩm xả băng trên mỗi chu kỳ của máy nén (thường chỉ có dàn bay hơi làm việc gần với kết đông) - chúng được gọi là xả băng chu kỳ (và không có chu kỳ điều khiển xả băng) và năng lượng xả băng bất kỳ được xây dựng thành lịch trình làm bình thường. Trong trường hợp thuộc đối tượng áp dụng, năng lượng bổ sung (hoặc giảm bớt) cần thiết để thực hiện xả băng tự động và phục hồi lại trạng thái ổn định được xác định trong một số giai đoạn xả băng và phục hồi đại diện. Tần số xả băng cũng có ảnh hưởng đến năng lượng tiêu thụ tổng. Để xác định khoảng xả băng kỳ vọng, phương pháp thử nghiệm bao gồm một số lớn các phương pháp khác nhau thích hợp cho các loại bộ điều khiển khác nhau được sử dụng.
Phần tải nhiệt đáng kể bên trong thiết bị lạnh trong sử dụng bình thường có được từ các khía cạnh liên quan đến người sử dụng như mở cửa và lấy hoặc đưa thức ăn vào. Các tải nhiệt này thường khá phức tạp và xảy ra do sự trao đổi không khí trong quá trình mở cửa (không khí ấm hoặc hơi ẩm) và nhiệt bổ sung vào dưới dạng thức ăn hoặc đồ uống ấm. Đôi khi hơi ẩm cũng được sinh ra từ thức ăn. Hình dạng hình học của ngăn (ví dụ hở hay ở dạng ngăn kéo và hộp chứa) và tốc độ và tần suất mở cửa có thể ảnh hưởng đến trao đổi không khí. Nhiệt độ và độ ẩm của không khí môi trường cũng có thể có ảnh hưởng.
Rất khó để các phòng thí nghiệm tái tạo lại sử dụng thực tế thông qua việc mở cửa và bổ sung tải thức ăn và có thể khó tái lập được các kết quả nhất quán. Cũng có thể đòi hỏi các cơ cấu điều khiển độ ẩm phòng thử nghiệm để có thay đổi bất kỳ của các kết quả nhất quán. Việc tính toán tải nhiệt tạo ra do mở cửa khá phức tạp và hình dạng hình học bên trong có thể có ảnh hưởng đến các sản phẩm khác nhau.
Để giảm thiểu vấn đề này, tiêu chuẩn này đưa ra thử nghiệm mới để đo hiệu suất xử lý tải của thiết bị lạnh gia dụng. Khối lượng nước chính xác ở nhiệt độ đã biết (và có enthalpy đã biết) được đặt vào bên trong thiết bị lạnh và sản phẩm được cho làm việc cho đến khi trở lại trạng thái ổn định. Năng lượng tăng thêm được sử dụng để “xử lý” tải này được xác định từ dữ liệu thử nghiệm và chênh lệch giữa năng lượng ban đầu và năng lượng cuối cùng của nước được sử dụng để xác định hiệu suất xử lý tải. Xử lý một tải nhiệt đã biết (ở dạng nước ấm) cung cấp cơ sở để xác định tác động năng lượng tương đương của tương tác liên quan đến người sử dụng có thể xảy ra trong sử dụng bình thường. Điều này cũng cho biết đại lượng tải nhiệt thực tế tương đương cần xác định khi phân tích dữ liệu từ các gia đình thực.
Một số bộ phận phụ trợ được biết là bị ảnh hưởng bởi các điều kiện môi trường. Trong tiêu chuẩn này, năng lượng tiêu thụ tăng thêm của các bộ phận phụ trợ quy định trong các điều kiện quy định được công bố. Các giá trị này có thể được cộng vào năng lượng tiêu thụ được tiêu chuẩn hóa đối với sản phẩm nếu thuộc đối tượng áp dụng.
Tiêu chuẩn này không cung cấp con số năng lượng tiêu thụ toàn cầu duy nhất. Thay vào đó nó cung cấp tài liệu chi tiết về số lượng các thành phần năng lượng chính có thể kết hợp để cung cấp ước lượng năng lượng tiêu thụ trong dải điều kiện làm việc và sử dụng có thể có. Không phải tất cả các vùng đều sử dụng tất cả các thành phần thử nghiệm. Các vùng được kỳ vọng sử dụng nhiều thành phần tiêu chuẩn theo cách liên quan nhất đến các yêu cầu của vùng đó. Việc phân chia các thành phần năng lượng theo cách này là một nỗ lực để loại bỏ sự cần thiết của các phương pháp thử nghiệm riêng cho từng vùng đối với thiết bị lạnh gia dụng.
Phụ lục K
(quy định)
Phân tích thiết bị lạnh khi không có trạng thái ổn định giữa các lần xả băng
K.1 Mục đích
Phụ lục này minh họa cách tiếp cận được sử dụng để phân tích dữ liệu thử nghiệm đối với thiết bị lạnh không có điều kiện trạng thái ổn định giữa các lần xả băng.
K.2 Sản phẩm có đặc tính đều đặn nhưng không hoạt động ở trạng thái ổn định
K.2.1 Quy định chung
Ngoài việc sử dụng vòng lặp Trường hợp SS2 để xác định công suất trạng thái ổn định được minh họa trên Hình B.3, có một trường hợp đặc biệt được dự kiến về lý thuyết là tất cả các dữ liệu giữa các giai đoạn xả băng và phục hồi liên tiếp sử dụng Trường hợp SS2 có thể không thiết lập được ổn định đối với xả băng ban đầu theo Phụ lục C (DF1). Trong trường hợp này, năng lượng xả băng và phục hồi tăng lên so với xả băng ban đầu phải được xác định sử dụng cách tiếp cận được gọi là DF2 và được trình bày trong phụ lục này.
Trong trường hợp này, thiết bị làm lạnh cho thấy dạng làm việc đều đặn và ổn định nhưng công suất giữa các lần xả băng có thay đổi (thường tăng hoặc giảm công suất). Ví dụ này áp dụng cho thiết bị lạnh có các khoảng xả băng tương đối ngắn và quá làm mát hoặc dưới làm mát sau xả băng và khi đó phải mất một khoảng thời gian để đạt đến các điều kiện ổn định ngay trước lần xả băng tiếp theo. Ví dụ này được minh họa trên Hình K.1.

Hình K.1 - Trường hợp SS2 đặc biệt - trong đó làm việc trạng thái ổn định không bao giờ đạt được giữa các giai đoạn xả băng và phục hồi và sự ổn định nêu trong Phụ lục C có thể không thiết lập được
K.2.2 Cách tiếp cận trường hợp DF2 đặc biệt
Trường hợp DF2 chỉ được sử dụng khi thiết bị lạnh không đạt đến làm việc trạng thái ổn định giữa các giai đoạn xả băng và phục hồi và sự thiết lập năng lượng xả băng và phục hồi sử dụng DF1 (C.3) là không thể. Trong trường hợp này, thiết bị lạnh thường cho thấy dạng hoạt động ổn định đều đặn nhưng có thể không thiết lập được làm việc trạng thái ổn định giữa các giai đoạn xả băng và phục hồi. Các phần có thể so sánh được của các giai đoạn xả băng và phục hồi liên tiếp được xem xét. Điều này thường áp dụng cho các thiết bị lạnh có các khoảng xả băng ngắn hơn.
Chọn giai đoạn (được gọi là Giai đoạn D1) với điểm kết thúc tại thời điểm bắt đầu giai đoạn xả băng và phục hồi và tạo thành từ không ít hơn 2 chu kỳ điều khiển nhiệt độ hoàn chỉnh (trong đó có các chu kỳ điều khiển nhiệt độ) và không ít hơn 2 h. Giai đoạn thứ hai (được gọi là Giai đoạn D2) được chọn với điểm kết thúc tại thời điểm bắt đầu giai đoạn xả băng và phục hồi tiếp theo và tạo thành từ không ít hơn 2 chu kỳ điều khiển nhiệt độ hoàn chỉnh (trong đó có các chu kỳ điều khiển nhiệt độ) và không ít hơn 2 h.
Chọn giai đoạn (được gọi là Giai đoạn F1) với điểm bắt đầu sau giai đoạn xả băng và phục hồi đầu tiên và tạo thành từ không ít hơn 2 chu kỳ điều khiển nhiệt độ hoàn chỉnh (trong đó có các chu kỳ điều khiển nhiệt độ) và không ít hơn 2 h. Giai đoạn thứ hai (được gọi là Giai đoạn F2) được chọn với điểm bắt đầu sau giai đoạn xả băng và phục hồi tiếp theo và tạo thành từ không ít hơn 2 chu kỳ điều khiển nhiệt độ hoàn chỉnh (trong đó có các chu kỳ điều khiển nhiệt độ) và không ít hơn 2 h.
Các giai đoạn D1, D2, F1 và F2 đều phải chứa số lượng bằng nhau các chu kỳ điều khiển nhiệt độ hoặc chúng phải có khoảng thời gian bằng nhau trong trường hợp không có các chu kỳ điều khiển nhiệt độ.
CHÚ THÍCH: Để hướng dẫn, trạng thái ổn định giả có thể được nhận biết một cách an toàn trong trường hợp sự thay đổi công suất trong chu kỳ điều khiển nhiệt độ nhỏ hơn 5 %. Sự thay đổi đáng kể trong thời gian của chu kỳ điều khiển nhiệt độ cũng là một chỉ thị tốt cho thời điểm bắt đầu giai đoạn xả băng và phục hồi.
K.2.3 Tiêu chí chấp nhận Trường hợp DF2
Đối với hai giai đoạn xả băng và phục hồi hợp lệ, các tiêu chí sau phải được đáp ứng:
Dải nhiệt độ đối với các giai đoạn D1 và D2 phải nhỏ hơn 0,5 K đối với từng ngăn;
Dải nhiệt độ đối với các giai đoạn F1 và F2 phải nhỏ hơn 0,5 K đối với từng ngăn;
Dải công suất đối với các giai đoạn D1 và D2 phải nhỏ hơn 2 % công suất trung bình của các giai đoạn D1 và D2 hoặc nhỏ hơn 1 W, chọn giá trị nào lớn hơn;
Dải công suất đối với các giai đoạn F1 và F2 phải nhỏ hơn 2 % công suất trung bình của các giai đoạn F1 và F2 hoặc nhỏ hơn 1 W, chọn giá trị nào lớn hơn;
CHÚ THÍCH: Cần cẩn thận để đảm bảo rằng các cặp giai đoạn D1/D2 và F1/F2 đều từ các phần có thể so sánh được của chu kỳ điều khiển xả băng. Trong trường hợp tất cả các tiêu chí trên đều đạt được thì dữ liệu này có thể cung cấp năng lượng trạng thái ổn định đối với giá trị đặt điều khiển nhiệt độ duy nhất và dữ liệu năng lượng/nhiệt độ đối với hai giai đoạn xả băng và phục hồi. Đối với một vài thiết bị lạnh (đặc biệt là các thiết bị sử dụng bộ định thời gian cơ khí) chu kỳ điều chỉnh nhiệt độ ngay trước khi bộ sưởi xả băng hoạt động có thể có độ dài ngẫu nhiên, vì vậy cần thận trọng để tránh điều này khi so sánh các phần so sánh được của chu kỳ.
Trong trường hợp có nhiều hơn hai ngăn, đòi hỏi việc đánh giá độ ổn định nhiệt độ như nêu trên đối với:
Ngăn không đông lớn nhất và ngăn đông lớn nhất (nếu thuộc đối tượng áp dụng),
hoặc
Hai ngăn lớn nhất (trong trường hợp tất cả các ngăn đều là ngăn đông hoặc ngăn không đông).
K.2.4 Tính toán các giá trị của Trường hợp DF2
Trong trường hợp tiêu chí chấp nhận trong K.2.3 được đáp ứng, việc xác định năng lượng bổ sung kết hợp với giai đoạn xả băng và phục hồi đầu tiên được tính như sau:
ΔEdf = (Eend-D2 - Eend-D1) - PF1-D2 x (tend-D2 - tend-D1)
trong đó
ΔEdf năng lượng bổ sung tiêu thụ bởi thiết bị lạnh đối với giai đoạn xả băng và phục hồi hợp lệ, tính bằng Wh
Eend-D1 số đọc năng lượng tích lũy khi kết thúc Giai đoạn D1 ngay trước giai đoạn xả băng và phục hồi đầu tiên, tính bằng Wh
Eend-D2 số đọc năng lượng tích lũy khi kết thúc Giai đoạn D2 ngay trước giai đoạn xả băng và phục hồi đầu tiên, tính bằng Wh
PF1-D2 công suất tiêu thụ trạng thái ổn định giả xuất hiện từ khi bắt đầu Giai đoạn F1 đến kết thúc Giai đoạn D2 giữa các giai đoạn xả băng và phục hồi liên tiếp, tính bằng W, và đáp ứng các tiêu chí chấp nhận trong K.2.3, xem Công thức (61)
tend-D1 thời gian thử nghiệm vào cuối Giai đoạn D1 ngay trước giai đoạn xả băng và phục hồi đầu tiên, tính bằng giờ
tend-D2 thời gian thử nghiệm vào cuối Giai đoạn D2 ngay trước giai đoạn xả băng và phục hồi thứ hai, tính bằng giờ
CHÚ THÍCH: Tính toán này cho biết năng lượng xả băng và phục hồi đối với giai đoạn xả băng và phục hồi đầu tiên (được bao bởi các Giai đoạn D1 và F1). Tính toán tương tự sử dụng các giá trị đối với các Giai đoạn D2 và F2 có thể được thực hiện để xác định năng lượng tiêu thụ của giai đoạn xả băng và phục hồi thứ hai.
(61)
trong đó
Estart-F1 số đọc năng lượng tích lũy vào thời điểm kết thúc Giai đoạn F1 và ngay sau giai đoạn xả băng và phục hồi đầu tiên, tính bằng Wh
tstart-F1 số đọc năng lượng tích lũy vào thời điểm kết thúc Giai đoạn F2 và ngay sau giai đoạn xả băng và phục hồi đầu tiên, tính bằng Wh
Xác định sự thay đổi nhiệt độ trong từng ngăn/kết hợp với giai đoạn xả băng và phục hồi được tính như sau:
ΔTHdf-1 = (Tav-endD1-endD2-i - TF1-D2-i) x (tend-D2 - tend-D1) (62)
trong đó
ΔTHdf-1 chênh lệch nhiệt độ tích lũy theo thời gian trong ngăn i (đối với các ngăn từ 1 đến n) kết hợp với giai đoạn xả băng và phục hồi, tính bằng Kh
Tav-endD1-endD1-i số đọc nhiệt độ trung bình trong ngăn thứ i (đối với các ngăn từ 1 đến n) trong giai đoạn từ khi kết thúc Giai đoạn D1 ngay trước giai đoạn xả băng và phục hồi đầu tiên đến khi kết thúc Giai đoạn D2 ngay trước giai đoạn xả băng và phục hồi thứ hai, tính bằng °C
TF1-D2-i nhiệt độ trạng thái ổn định giả trong ngăn thứ i (đối với các ngăn từ 1 đến n) xuất hiện từ khi bắt đầu Giai đoạn F1 đến kết thúc Giai đoạn D2 giữa các giai đoạn xả băng và phục hồi liên tiếp, tính bằng °C, và đáp ứng các tiêu chí chấp nhận trong K.2.3.
tend-D1 thời gian thử nghiệm vào cuối Giai đoạn D1 ngay trước giai đoạn xả băng và phục hồi đầu tiên, tính bằng giờ
tend-D2 thời gian thử nghiệm vào cuối Giai đoạn D2 ngay trước giai đoạn xả băng và phục hồi thứ hai, tính bằng giờ
Thời gian làm việc bổ sung của máy nén kết hợp với giai đoạn xả băng và phục hồi (bằng và cao hơn thời gian làm việc trạng thái ổn định) (tính bằng giờ) cũng phải được tính như nêu trong C.3.3.
Phụ lục L
(tham khảo)
Công thức hiệu chỉnh nhiệt độ môi trường
L.1 Mục đích
Nhiệt độ môi trường có ảnh hưởng quan trọng đến năng lượng tiêu thụ và ngay cả trong dải nhiệt độ môi trường thử nghiệm cho phép được quy định trong IEC 62552-1:2015 (thông thường là ± 0,5 K). Tác động dự kiến là đáng kể, và có khả năng làm giảm độ lặp lại và độ tái lập của các giá trị đo được. Việc hiệu chỉnh nhiệt độ môi trường được đưa vào để chuẩn hóa tác động của các thay đổi thực trong nhiệt độ môi trường xảy ra trong phòng thí nghiệm trong khi thử nghiệm. Các giá trị được kiểm tra trên một số lượng lớn các thiết bị lạnh có cấu hình khác nhau trên một dải rộng các điều kiện làm việc và kết quả cho thấy tương đồng với các giá trị quan sát được. Phụ lục A đưa ra một số cơ sở lý thuyết và thực tế để hiệu chỉnh nhiệt độ môi trường trong B.5 để tăng sự hiểu biết và độ tin cậy khi sử dụng công thức.
L.2 Cơ sở
Công suất trạng thái ổn định của thiết bị lạnh thường có đáp ứng mạnh với sự thay đổi nhiệt độ môi trường. Công thức sau đây đưa ra các yếu tố chính tác động đến năng lượng tiêu thụ của tủ mát hoặc tủ đông một ngăn:

trong đó
P công suất tiêu thụ trạng thái ổn định (kỳ vọng)
U giá trị (cách nhiệt) U trung bình của các vách buồng lạnh
A diện tích bề mặt của các vách buồng lạnh
Ta nhiệt độ trung bình xung quanh thiết bị lạnh
Ti nhiệt độ trung bình bên trong của thiết bị lạnh
COP hệ số tính năng làm việc (hiệu suất) của hệ thống lạnh
Giá trị cách nhiệt (U) và diện tích bề mặt (A) của thiết bị được giữ không đổi khi thiết kế tủ lạnh (nhưng sẽ khác nhau với các tủ lạnh khác nhau). Nhiệt độ bên trong cũng cần được giữ về cơ bản là không đổi đối với kiểu ngăn cho trước. Vì vậy công suất ở trạng thái ổn định là hàm của nhiệt độ môi trường chi cho COP. Sự thay đổi COP trong các máy nén thực tế có xu hướng tuyến tính với sự thay đổi trong nhiệt độ môi trường (để xác định nhiệt độ ngưng tụ). Đáp ứng công suất với sự thay đổi nhiệt độ môi trường là không tuyến tính vì sự thay đổi tuyến tính trong mẫu số sẽ tạo ra thương số không tuyến tính.
Có nhiều yếu tố nhỏ hơn có ảnh hưởng đến năng lượng tiêu thụ của thiết bị lạnh cụ thể (ví dụ bộ sưởi và các bộ phận phụ trợ (các quạt bên trong và bên ngoài), tổn hao làm việc của máy nén, tổn hao khởi động máy nén và tổn hao trên biến tần và tại các miếng đệm hoặc nối ống), nhưng hiệu suất máy nén và nhiệt cấp vào các ngăn thường là các yếu tố quan trọng nhất và góp mặt trực tiếp trong công thức.
Trong quá trình thử nghiệm, giá trị công suất trạng thái ổn định P được đo. Để hiệu chỉnh nhiệt độ môi trường, ước lượng độ dốc hoặc thay đổi công suất trạng thái ổn định là cần thiết đối với các thay đổi về nhiệt độ môi trường. Công thức hiệu chỉnh cuối cùng cần thiết để nghịch đảo ảnh hưởng này sao có thể ước lượng công suất tiêu thụ ở nhiệt độ môi trường mục tiêu. Ví dụ, việc tăng nhiệt độ môi trường phòng thử nghiệm cao hơn nhiệt độ danh nghĩa của phòng thử nghiệm sẽ làm tăng công suất trạng thái ổn định đo được. Công thức hiệu chỉnh sẽ làm giảm giá trị công suất tiêu thụ đo được về giá trị kỳ vọng ở nhiệt độ phòng thử nghiệm danh nghĩa.
Tác động của các sai khác nhỏ về nhiệt độ môi trường thử nghiệm là đáng kể. Điển hình, tác động lên sự thay đổi nhiệt độ môi trường có thể được kỳ vọng là 6 % đến 8 % ở 16 °C và xung quanh 4 % đến 5 % ở 32 °C (tùy thuộc vào từng sản phẩm). Phòng thử nghiệm được yêu cầu phải duy trì nhiệt độ môi trường trong phạm vi ± 5 K so với nhiệt độ thử nghiệm danh nghĩa, các giá trị đo được vẫn có thể thay đổi giữa các phòng thử nghiệm từ 4 % đến 8 % do bản thân sự thay đổi trong phạm vi cho phép của nhiệt độ môi trường. Vì vậy việc hiệu chỉnh nhiệt độ môi trường này là quan trọng trong tiêu chuẩn này.
L.3 Cách tiếp cận
Công thức dưới đây cung cấp ước lượng về tổng lượng nhiệt đưa vào thiết bị lạnh:
Q = U1 x A1 x (Ta - T1) + U2 x A2 x (Ta - T2) +……+ Ui x Ai x (Ta - Ti)
trong đó
Q tổng lượng nhiệt đưa vào ngăn
U giá trị (cách nhiệt) của từng ngăn với i = 1 đến n ngăn
A diện tích bề mặt của từng ngăn với i = 1 đến n ngăn (không kể các vách chung giữa các ngăn)
Ta nhiệt độ môi trường trung bình xung quanh thiết bị lạnh
Ti nhiệt độ trung bình bên trong của từng ngăn với i = 1 đến n ngăn
Công thức này được đơn giản hóa vì bỏ qua lượng nhiệt đi qua các chỗ gắn kín của cửa (mà có thể góp phần vào giá trị U tổng thể của ngăn) và năng lượng tiêu thụ bởi các bộ phận phụ trợ.
Đối với sự thay đổi nhiệt độ môi trường, sự thay đổi về nhiệt có thể được ước lượng bằng lấy vi phân công thức nêu trên, khi đó sự thay đổi về nhiệt thu được khi có thay đổi về môi trường được đơn giản hóa thành công thức:

Công thức này cho thấy rằng sự thay đổi nhiệt lượng thu được theo sự thay đổi nhiệt độ môi trường sẽ là không đổi, bất kể nhiệt độ môi trường là bao nhiêu, vì đây là hàm của các giá trị U và A đối với từng ngăn.
Tuy nhiên, liên quan đến việc hiệu chỉnh để đưa vào tiêu chuẩn này thì lại quan tâm đến điều chỉnh tương đối. Vì vậy giá trị chúng ta cần để tính toán là sự thay đổi về nhiệt thu được trên tổng lượng nhiệt ở nhiệt độ môi trường cho trước:
Hiệu chỉnh lượng nhiệt (%) = 
Điều này có nghĩa là hiệu chỉnh tương đối đối với lượng nhiệt thu được trở nên nhỏ hơn khi nhiệt độ môi trường tăng lên (vì tổng lượng nhiệt Q trở nên lớn hơn và tử số là không đổi). Điều này phù hợp với dữ liệu mô hình và dữ liệu thử nghiệm vật lý.
Chúng ta chưa biết hệ số cách nhiệt thực tế U đối với từng thiết bị lạnh và từng ngăn - để có được điều này là khá khó. Để tính toán sự thay đổi trong lượng nhiệt thu được chúng ta chỉ cần ước lượng hệ số cách nhiệt đối với từng ngăn và diện tích bề mặt tương đối của từng ngăn. Sau đó có thể cần thực hiện ước lượng hợp lý nhiệt lượng tương đối của ngăn kết đông so với các ngăn thực phẩm tươi (hoặc ngăn bất kỳ làm việc ở nhiệt độ bất kỳ).
Diện tích bề mặt cũng có thể khó ước lượng chính xác và đòi hỏi các loạt phép đo khác nhau từ các phép đo đã sẵn có. Liên quan đến việc hiệu chỉnh trong tiêu chuẩn này, nhận thấy rằng dữ liệu thể tích đối với từng ngăn cung cấp xấp xỉ hợp lý đối với diện tích bề mặt cho mục đích hiệu chỉnh công suất trạng thái ổn định đưa vào tiêu chuẩn. Tác động của diện tích bề mặt và cách điện chỉ quan trọng đối với các sản phẩm có hai ngăn hoặc nhiều hơn làm việc ở các nhiệt độ khác nhau. Đối với các sản phẩm có một ngăn làm việc ở một nhiệt độ duy nhất thì các giá trị này có thể bỏ qua (chúng sẽ bị loại ra trong công thức dưới đây khi n = 1).

trong đó
Vi dung tích danh nghĩa của ngăn (đối với n ngăn)
Ui giá trị U tương đối của ngăn i (đối với n ngăn)
Tam nhiệt độ môi trường đo được trong quá trình thử nghiệm
Tat nhiệt độ môi trường mục tiêu (danh nghĩa) (hiệu chỉnh về nhiệt độ này)
Ti nhiệt độ của ngăn trong quá trình thử nghiệm
ΔCOP tác động COP kỳ vọng đối với loại sản phẩm và điều kiện thử nghiệm
PSSM công suất trạng thái ổn định đo được trong quá trình thử nghiệm theo Phụ lục B
PSS công suất trạng thái ổn định đã hiệu chỉnh về nhiệt độ môi trường thử nghiệm kỳ vọng trong Phụ lục B
Các thành phần của công thức trên gồm:
(Tat - Tam) là độ lệch với nhiệt độ môi trường mục tiêu, tính bằng độ K
U x V trên tử số ước lượng độ dốc của lượng nhiệt thu được của tất cả các ngăn
Mẫu số là tổng lượng nhiệt ở nhiệt độ môi trường
Thuật ngữ cuối cùng là hiệu chỉnh toàn bộ đối với sự thay đổi kỳ vọng của COP khi thay đổi nhiệt độ môi trường.
Lưu ý là độ dốc lượng nhiệt thu được và lượng nhiệt thu được trong công thức trên dựa trên các giá trị U tương đối và dung tích danh định của từng ngăn (không phải diện tích bề mặt) và do đó sẽ không ước lượng được chính xác bằng oát.
Giá trị Ui được ước lượng từ nhiệt độ làm việc danh nghĩa của ngăn. Giá trị này được suy ra dựa trên kỳ vọng là các ngăn sẽ làm việc ở các nhiệt độ lạnh hơn về phía có cách nhiệt tổng thể tốt hơn (và do đó các giá trị U thấp hơn). Sự phù hợp theo kinh nghiệm với dữ liệu thực tế cho thấy rằng các giá trị dưới đây đã cung cấp một ước lượng hợp lý của cách nhiệt tương đối trong các sản phẩm có hai ngăn.
Bảng L.1 - Giá trị cách nhiệt tương đối giả thiết cho các sản phẩm có nhiều ngăn
| Nhiệt độ mục tiêu của ngăn, °C | Hiệu quả của cách nhiệt tương đối | Hệ số cách nhiệt tương đối |
| -18 | 1,250 | 0,800 |
| -12 | 1,182 | 0,846 |
| -6 | 1,114 | 0,898 |
| 0 | 1,045 | 0,957 |
| 2 | 1,023 | 0,978 |
| 4 | 1,000 | 1,000 |
| 12 | 0,909 | 1,100 |
| 17 | 0,852 | 1,173 |
Công thức hiệu chỉnh tổng thể có thể được đơn giản thêm bằng cách xây dựng dựa trên các giá trị từ Bảng L.1 đối với cách nhiệt tương đối vào công thức bằng cách sử dụng các hằng số như sau:

Hiệu chỉnh COP trong công thức hiệu chỉnh trong Phụ lục B (Bảng B.1) được điều chỉnh để tối ưu hóa sự phù hợp với dữ liệu thực tế. Bình thường, tác động của COP được kỳ vọng trong khoảng -1,2 %/K ở nhiệt độ môi trường 16 °C và -1,7 %/K ở nhiệt độ môi trường 32 °C với nhiệt độ dàn bay hơi - 25 °C. Các giá trị thực tế được sử dụng thay đổi theo vì:
Điều chỉnh đối với các sản phẩm nhiều ngăn giúp bù một phần cho việc sử dụng thể tích thay cho diện tích bề mặt, do đó thấp hơn các giá trị COP kỳ vọng.
Tổn hao khởi động máy nén ở nhiệt độ môi trường thấp trở nên quan trọng và trong chừng mực nhất định các đối trọng này, việc tăng COP khi nhiệt độ môi trường giảm xuống (ở các nhiệt độ môi trường thấp) do đó thấp hơn các giá trị COP kỳ vọng.
Các sản phẩm một ngăn có thể tối ưu tốt hơn hoạt động của chúng (khởi động ít hơn, dàn bay hơi ấm hơn đối với tất cả các thiết bị lạnh chỉ có các ngăn không đông).
Bạn chưa Đăng nhập thành viên.
Đây là tiện ích dành cho tài khoản thành viên. Vui lòng Đăng nhập để xem chi tiết. Nếu chưa có tài khoản, vui lòng Đăng ký tại đây!















