- Tổng quan
- Nội dung
- Tiêu chuẩn liên quan
- Lược đồ
- Tải về
Tiêu chuẩn Quốc gia TCVN 7793:2007 ISO 13310:1997 Quặng sắt - Xác định hàm lượng kẽm
| Số hiệu: | TCVN 7793:2007 | Loại văn bản: | Tiêu chuẩn Việt Nam |
| Cơ quan ban hành: | Bộ Khoa học và Công nghệ | Lĩnh vực: | Công nghiệp |
|
Ngày ban hành:
Ngày ban hành là ngày, tháng, năm văn bản được thông qua hoặc ký ban hành.
|
2007 |
Hiệu lực:
|
Đã biết
|
| Người ký: | Đang cập nhật |
Tình trạng hiệu lực:
Cho biết trạng thái hiệu lực của văn bản đang tra cứu: Chưa áp dụng, Còn hiệu lực, Hết hiệu lực, Hết hiệu lực 1 phần; Đã sửa đổi, Đính chính hay Không còn phù hợp,...
|
Đã biết
|
TÓM TẮT TIÊU CHUẨN VIỆT NAM TCVN 7793:2007
Nội dung tóm tắt đang được cập nhật, Quý khách vui lòng quay lại sau!
Tải tiêu chuẩn Việt Nam TCVN 7793:2007
TIÊU CHUẨN QUỐC GIA
TCVN 7793 : 2007
ISO 13310 : 1997
QUẶNG SẮT - XÁC ĐỊNH HÀM LƯỢNG KẼM - PHƯƠNG PHÁP QUANG PHỔ HẤP THỤ NGUYÊN TỬ NGỌN LỬA
Iron ores - Determination of zinc content - Flame atomic absorption spetrometric method
Lời nói đầu
TCVN 7793 : 2007 hoàn toàn tương đương với ISO 13310 : 1997.
TCVN 7793 : 2007 do Tiểu ban Kỹ thuật Tiêu chuẩn TCVN/TC102/SC2 Quặng sắt - Phân tích hoá học biên soạn, Tổng cục Tiêu chuẩn Đo lường Chất lượng đề nghị, Bộ Khoa học và Công nghệ công bố.
QUẶNG SẮT - XÁC ĐỊNH HÀM LƯỢNG KẼM - PHƯƠNG PHÁP QUANG PHỔ HẤP THỤ NGUYÊN TỬ NGỌN LỬA
Iron ores - Determination of zinc content - Flame atomic absorption spetrometric method
CẢNH BÁO: Tiêu chuẩn này có thể liên quan đến các vật liệu, thao tác và thiết bị nguy hại. Tiêu chuẩn này không đề cập những vấn đề về an toàn liên quan đến việc sử dụng chúng. Trách nhiệm của người sử dụng tiêu chuẩn này là phải thiết lập các quy tắc phù hợp về sức khỏe, an toàn và xác định các giới hạn cho phép trước khi sử dụng.
1. Phạm vi áp dụng
Tiêu chuẩn này quy định phương pháp quang phổ hấp thụ nguyên tử ngọn lửa để xác định hàm lượng kẽm trong quặng sắt.
Phương pháp này có thể áp dụng cho dải hàm lượng kẽm từ 0,001 % khối lượng đến 0,5 % khối lượng trong quặng sắt nguyên khai, tinh quặng sắt và sắt kết khối, kể cả các sản phẩm thiêu kết.
2. Tài liệu viện dẫn
Các tài liệu viện dẫn sau là cần thiết cho việc áp dụng tiêu chuẩn này. Đối với các tài liệu viện dẫn ghi năm công bố thì áp dụng bản được nêu. Đối với các tài liệu viện dẫn không ghi năm công bố thì áp dụng phiên bản mới nhất, bao gồm cả các sửa đổi (nếu có).
TCVN 1664 : 2007 (ISO 7764 : 2006) Quặng sắt - Chuẩn bị mẫu thử đã sấy sơ bộ để phân tích hóa hóa.
TCVN 4851 (ISO 3696) Nước dùng để phân tích trong phòng thí nghiệm - Yêu cầu kỹ thuật và phương pháp thử.
TCVN 7151 (ISO 648) Dụng cụ thí nghiệm bằng thủy tinh - Pipet một mức.
TCVN 7153 (ISO 1042) Dụng cụ thí nghiệm bằng thủy tinh - Bình định mức.
ISO 3082[1] Iron ores - Sampling and sample preparation procedures (Quặng sắt - Quy trình lấy mẫu và chuẩn bị mẫu).
3. Nguyên tắc
Phân hủy phần mẫu thử và loại bỏ silic bằng axit clohydric và axit flohydric. Ôxy hóa với axit nitric.
Cô đến khô, sau đó pha loãng và lọc. Đốt phần cặn. Nung chảy với natri cacbonat. Hòa tan phần nung chảy nguội bằng axit clohydric. Bảo quản dung dịch.
Chiết sắt trong phần lọc bằng 4-metyl-2-pentanol. Thu hồi kẽm đã chiết. Phân hủy 4-metyl-2- pentanol bằng axit nitric. Cô đến khô và hòa tan các muối bằng dung dịch bảo quản và axit clohydric.
Phun dung dịch vào ngọn lửa của máy quang phổ hấp thụ nguyên tử sử dụng đầu đốt không khí - axetylen.
So sánh giá trị độ hấp thụ thu được đối với kẽm với giá trị độ hấp thụ thu được từ các dung dịch hiệu chuẩn.
4. Hóa chất, thuốc thử
Trong quá trình phân tích, chỉ sử dụng thuốc thử tinh khiết phân tích và nước phù hợp với loại 2 của TCVN 4851 (ISO 3696).
4.1. Natri cacbonat (Na2CO3), khan.
4.2. 4-metyl-2-pentanon, (MIBK), độ tinh khiết cao.
4.3. Axit clohydric, r từ 1,16 g/ml đến 1,19 g/ml.
4.4. Axit clohydric, r từ 1,16 g/ml đến 1,19 g/ml, pha loãng 10 + 6.
4.5. Axit clohydric, r từ 1,16 g/ml đến 1,19 g/ml, pha loãng 1 + 1.
4.6. Axit clohydric, r từ 1,16 g/ml đến 1,19 g/ml, pha loãng 2 + 98.
4.7. Axit nitric, r 1,4 g/ml.
4.8. Axit flohydric, r 1,13 g/ml, 40 % khối lượng hoặc r 1,19 g/ml, 48% khối lượng.
4.9. Dung dịch tiêu chuẩn kẽm
4.9.1. Dung dịch tiêu chuẩn gốc
Hòa tan 1,000 g kẽm kim loại (độ tinh khiết > 99,5 % khối lượng) trong 40 ml axit clohydric (4.5). Để nguội và pha loãng đến 1 000 ml trong bình định mức rồi lắc đều.
1 ml dung dịch gốc chứa 1 000 mg kẽm.
4.9.2. Dung dịch tiêu chuẩn
Chuyển 10,0 ml dung dịch tiêu chuẩn gốc kẽm (4.9.1) vào bình định mức 1000 ml. Pha loãng đến vạch mức rồi lắc đều.
1 ml dung dịch tiêu chuẩn này chứa 10 mg kẽm.
5. Thiết bị, dụng cụ
Thiết bị, dụng cụ thường dùng trong phòng thí nghiệm, bao gồm pipet một vạch, bình định mức phù hợp với các quy định về độ chính xác của TCVN 7151 (ISO 648) và TCVN 7153 (ISO 1042), và
5.1. Cốc polytetrafluoretylen (PTFE), dung tích 250 ml, có nắp PTFE.
5.2. Máy quang phổ hấp thụ nguyên tử, được trang bị đầu đốt không khí - axetylen
Máy quang phổ hấp thụ nguyên tử phải đáp ứng các tiêu chí sau:
CẢNH BÁO: Phải theo hướng dẫn của nhà sản xuất, khi đốt và dập tắt ngọn lửa không khí - axetylen để tránh nguy cơ có thể nổ. Phải mang kính màu an toàn khi đầu đốt làm việc.
a) Độ nhạy tối thiểu - độ hấp thụ của dung dịch chuẩn có nồng độ cao nhất (xem 7.4.4) phải có giá trị ít nhất là 0,25.
b) Độ tuyến tính - độ dốc của đồ thị đường chuẩn với dải nồng độ trên 20 % dưới điểm cao nhất của nồng độ (biểu thị bằng sự thay đổi độ hấp thụ) không nhỏ hơn 0,7 của giá trị độ dốc ở dải nồng độ dưới 20 % khi xác định theo cùng phương pháp.
c) Độ ổn định tối thiểu - độ lệch chuẩn của độ hấp thụ của dung dịch hiệu chuẩn có nồng độ cao nhất và độ lệch chuẩn của dung dịch hiệu chuẩn zero, được tính từ số lượng đủ lớn các phép đo lặp lại tương ứng, không được nhỏ hơn 1,5 % và 0,5 % của giá trị trung bình độ hấp thụ của dung dịch hiệu chuẩn có nồng độ cao nhất.
CHÚ THÍCH
1. Nên sử dụng thiết bị ghi bằng biểu đồ và/hoặc thiết bị hiện số để đánh giá các tiêu chí a), b) và c) và cho các loạt phép đo.
2. Thông số thiết bị có thể thay đổi với từng loại. Các thông số sau đã được sử dụng tốt trong nhiều phòng thí nghiệm và có thể sử dụng như các hướng dẫn.
| - Dòng đèn catôt rỗng (mA) | 8 |
| - Bước sóng (nm) | 213,9 |
| - Tốc độ dòng không khí (lít/phút) | 14 |
| - Tốc độ dòng axetylen (lít/phút) | 3 |
Trong các thiết bị không sử dụng tốc độ dòng khí nêu trên, thì tỷ lệ của tốc độ dòng khí này là các hướng dẫn hữu ích để tham khảo.
6. Lấy mẫu và mẫu thử
6.1. Mẫu phòng thử nghiệm
Để phân tích, sử dụng mẫu phòng thí nghiệm có cỡ hạt nhỏ hơn 100 mm được lấy và chuẩn bị theo ISO 3082. Trong trường hợp quặng có hàm lượng nước liên kết đáng kể hoặc các hợp chất có thể bị ôxy hóa, sử dụng cỡ hạt nhỏ hơn 160 mm.
CHÚ THÍCH: Hướng dẫn về hàm lượng nước liên kết đáng kể và các hợp chất có thể bị ôxy hóa theo TCVN 1664 : 2007 (ISO 7764 : 2006).
6.2. Chuẩn bị mẫu thử đã sấy sơ bộ
Trộn đều mẫu phòng thí nghiệm và tiến hành lấy các mẫu đơn, từ đó lấy ra các mẫu thử sao cho đảm bảo tính đại diện cho toàn bộ mẫu trong thùng. Sấy mẫu thử ở 105 oC ± 2 oC theo TCVN 1664:2007 (ISO 7764 : 2006). (Đây là mẫu thử đã sấy sơ bộ).
7. Cách tiến hành
7.1. Số phép xác đinh
Tiến hành phân tích độc lập ít nhất hai phép xác định trên cùng một mẫu thử đã sấy sơ bộ, theo Phụ lục A.
CHÚ THÍCH: Khái niệm “độc lập” có nghĩa là kết quả thứ hai và bất kỳ kết quả ngoại suy nào không bị ảnh hưởng bởi các kết quả trước. Đối với phương pháp phân tích cụ thể này, điều kiện này hàm ý là việc tái diễn quy trình được thực hiện do cùng người thao tác tại thời điểm khác hoặc do một người thao tác khác, kể cả việc hiệu chuẩn lại thích hợp trong mỗi trường hợp.
7.2. Phần mẫu thử
Lấy một số mẫu đơn, cân khoảng 2 g mẫu thử đã sấy sơ bộ theo 6.2, chính xác đến 0,000 2 g.
CHÚ THÍCH: Thao tác lấy mẫu và cân phần mẫu thử phải nhanh để tránh hấp thụ ẩm lại.
7.3. Phép thử trắng và phép thử kiểm tra
Trong mỗi loạt phép thử, tiến hành song song một phép thử trắng và một phép thử chất chuẩn được chứng nhận cùng loại với mẫu quặng trong cùng một điều kiện. Mẫu thử đã sấy sơ bộ của chất chuẩn được chứng nhận phải được chuẩn bị như quy định tại 6.2.
CHÚ THÍCH: Chất chuẩn được chứng nhận phải cùng loại với mẫu phân tích và tính chất của hai vật liệu phải gần giống nhau để đảm bảo, trong cả hai trường hợp không cần thiết có sự thay đổi đáng kể trong quy trình phân tích.
Khi thực hiện phân tích vài mẫu cùng lúc, có thể sử dụng giá trị phép thử trắng cho một lần thử, với điều kiện sử dụng cùng quy trình và sử dụng cùng chai thuốc thử.
Khi thực hiện phân tích cùng lúc vài mẫu của cùng loại quặng, có thể dùng chung kết quả phân tích của chất chuẩn được chứng nhận.
7.4. Phép xác định
7.4.1. Phân hủy phần mẫu thử
Chuyển phần mẫu thử (7.2) vào trong cốc PTFE 250 ml (5.1), tẩm ướt bằng vài mililit nước, thêm 40 ml axit clohydric (4.3) và 10 ml axit flohydric (4.8), đậy cốc bằng nắp PTFE. Đun nóng trên bếp điện ở nhiệt độ 100 oC, sau đó tăng nhiệt độ đến 200 oC. Cô đến khô. Thêm 5 ml axit nitric (4.7) và cô đến khi còn khoảng 1 ml. Hòa tan các muối bằng 10 ml axit clohydric (4.3) và cô lại đến khô.
Hòa tan các muối bằng 5 ml axit clohydric (4.3). Thêm 10 ml nước và lọc qua giấy lọc mịn vào cốc 250 ml. Lấy tất cả các hạt bám dính khỏi cốc bằng đũa bịt cao su, tia rửa bằng axit clohydric (4.6) cho đến khi giấy lọc không còn vết sắt, và rửa giấy lọc ba lần bằng nước nóng. Bảo quản cặn và gộp chung phần lọc với nước rửa.
7.4.2. Xử lý cặn
Đưa giấy lọc và cặn vào chén bạch kim, sấy và tro hoá giấy lọc ở nhiệt độ thấp và nung trong lò múp ở 550 oC. Thêm 0,5 g natri cacbonat (4.1) và nung chảy trên mỏ đèn Bunsen (khoảng 900 oC đến 1 000 oC) cho đến khi nhận được khối chảy trong suốt. Hòa tan khối chảy nguội bằng 5 ml axit clohydric (4.5). Đun nóng để loại cacbon dioxit và bảo quản dung dịch.
7.4.3. Xử lý dung dịch gộp phần lọc và nước rửa
Cô nước lọc và nước rửa (7.4.1) đến khô. Hòa tan các muối bằng 20 ml axit clohydric (4.4), và chuyển sang phễu chiết 200 ml. Tia rửa cốc bằng 20 ml axit clohydric (4.4) và gộp nước rửa này vào dung dịch chính. Thêm 50 ml 4-metyl-2-pentanon (4.2) rồi lắc kỹ trong 1 phút. Để phân lớp, sau đó lấy dung dịch lớp đáy vào cốc 250 ml. Rửa pha hữu cơ bằng cách chiết với 10 ml axit clohydric (4.4) và chuyển nước rửa vào cốc.
Đun nóng dung dịch và loại hết 4-metyl-2-pentanon trong dung dịch. Sau đó thêm 5 ml axit nitric (4.7) và cô đến khô. Hòa tan các muối bằng 15 ml axit clohydric (4.5). Gộp chung dung dịch này với dung dịch bảo quản 7.4.2).
Chuyển dung dịch vào bình định mức 50 ml, pha với nước đến vạch mức và lắc đều. Tuỳ theo nồng độ (xem Bảng 1), sử dụng dung dịch để đo độ hấp thụ nguyên tử không pha loãng hoặc có pha loãng như quy định. Nếu cần phải pha loãng trước, chuyển phần dung dịch thích hợp vào cốc 250 ml. Thêm một lượng natri cacbonat (4.1) và axit clohydric (4.5) theo chỉ dẫn trong Bảng 1.
Đun nóng dung dịch để loại cacbon dioxit. Để nguội và pha loãng bằng nước đến 100 ml trong bình định mức. (Xem chú thích trong Bảng1). (Dung dịch này là dung dịch thử cuối cùng).
Bảng 1 - Hướng dẫn pha loãng dung dịch thử 1)
| Hàm lượng kẽm dự đoán, w trong mẫu, % khối lượng | Phần dung dịch, ml | Khối lượng natri cacbonat (4.1) bổ sung, g | Thể tích axit clohydric (4.5) bổ sung, ml |
| 0,001 < wZn ≤ 0,006 0,006 < wZn ≤ 0,02 0,02 < wZn ≤ 0,06 0,06 < wZn ≤ 0,12 0,12 < wZn ≤ 0,3 | - 25 10 5 2 | - 0,75 0,9 0,95 0,98 | - 30 36 38 39 |
| 0,3 < wZn ≤ 0,5 | 1 | 0,99 | 40 |
| 1) Pha loãng để có nồng độ kẽm trong khoảng dung dịch hiệu chuẩn (7.4.4). Đối với thiết bị có độ nhạy cao, có thể lấy phần dung dịch thử nhỏ hơn. Đối với phần dung dịch là 1 ml hoặc 2 ml, cần pha loãng trước để tránh sai số pha loãng. Dung dịch thử trắng xử lý tương tự. | |||
Chuyển lượng dung dịch thử trắng tương ứng vào cốc 250 ml, và thêm cùng thể tích natri cacbonat (4.1) và axit clohydric (4.5) như đã sử dụng với dung dịch thử. Đun nóng dung dịch để loại bỏ cacbon dioxit. Để nguội và pha loãng với nước đến 100 ml trong bình định mức và lắc đều. (Dung dịch này là dung dịch thử trắng đã pha loãng).
7.4.4. Chuẩn bị dãy dung dịch kẽm hiệu chuẩn
Lấy 1,0 g natri cacbonat (4.1) vào từng cốc trong sáu cốc 250 ml. Thêm 20 ml axit clohydric (4.3) và phần thích hợp dung dịch chuẩn kẽm A hoặc B (4.9.2 hoặc 4.9.3) như liệt kê trong Bảng 2.
Đun nóng dung dịch để loại bỏ cacbon dioxit. Để nguội và pha loãng đến 100 ml trong bình định mức.
CHÚ THÍCH - Khoảng hàm lượng kẽm có thể đo thay đổi tuỳ theo thiết bị. Phải chú ý đến các tiêu chí đặc trưng tối thiểu trong 5.2. Đối với các thiết bị có độ nhạy cao, có thể sử dụng lượng dung dịch chuẩn nhỏ hơn.
Bảng 2 - Dung dịch hiệu chuẩn
| Dung dịch số | Dung dịch tiêu chuẩn (4.9.2), ml | Nồng độ kẽm, |
| 0 1 2 3 4 5 | 0 5 10 15 20 25 | 0 0,5 1 1,5 2 2,5 |
7.4.5. Chỉnh máy quang phổ hấp thụ nguyên tử
Đặt bước sóng đối với kẽm (213,9 nm) để nhận được độ hấp thụ cực tiểu. Lắp đầu đốt chính xác theo hướng dẫn của nhà chế tạo, bật lửa thích hợp. Sau 2 phút gia nhiệt đầu đốt, vừa phun dung dịch chuẩn có nồng độ cao nhất (7.4.4) vừa chỉnh dòng nhiên liệu và đầu đốt để thu được độ hấp thụ cực đại, và đánh giá các tiêu chí nêu trong 5.2.
Phun nước và dung dịch chuẩn để khẳng định độ hấp thụ đọc được không có sai số thiết bị và sau đó đặt số đo cho nước để độ hấp thụ bằng zero.
7.4.6. Phép đo hấp thụ nguyên tử
Phun các dung dịch chuẩn và dung dịch thử cuối cùng theo thứ tự độ hấp thụ tăng dần, bắt đầu với dung dịch thử trắng loãng và dung dịch chuẩn zero, với dung dịch thử cuối cùng được phun tại thời điểm thích hợp. Phun nước giữa mỗi lần phun dung dịch và ghi lại số đo khi nhận được tín hiệu ổn định.
Lặp lại phép đo ít nhất là hai lần. Nếu cần, tính chuyển giá trị trung bình giá trị đọc được của mỗi dung dịch sang độ hấp thụ. Độ hấp thụ thực của mỗi dung dịch chuẩn thu được bằng cách trừ đi độ hấp thụ của dung dịch chuẩn zero. Tương tự, độ hấp thụ thực của dung dịch thử cuối cùng thu được bằng cách trừ đi độ hấp thụ của dung dịch thử trắng pha loãng.
Xây dựng đường chuẩn bằng cách dựng đồ thị giá trị độ hấp thụ thực của dung dịch chuẩn và nồng độ kẽm, tính bằng microgam trên mililit.
Tính chuyển giá trị độ hấp thụ thực của dung dịch thử cuối cùng ra microgam kẽm trên mililit bằng đường chuẩn.
8. Biểu thị kết quả
8.1. Tính hàm lượng kẽm
Hàm lượng kẽm, wZn, tính bằng phần trăm khối lượng, lấy đến năm số thập phân, theo công thức
(1)
trong đó
r là nồng độ kẽm trong dung dịch thử cuối cùng, tính bằng microgam trên mililit;
V là thể tích dung dịch thử cuối cùng, tính bằng mililit;
m1 là khối lượng mẫu trong dung dịch thử cuối cùng, tính bằng gam, có tính đến cấp độ pha loãng đã tiến hành;
![]()
trong đó
m là khối lượng phần mẫu thử, tính bằng gam;
V1 là thể tích dung dịch lấy trong 7.4.3 (xem Bảng 1) tính bằng mililit. Khi không pha loãng lấy V1 = 50.
8.2. Xử lý chung các kết quả
8.2.1. Độ lặp lại và sai số cho phép
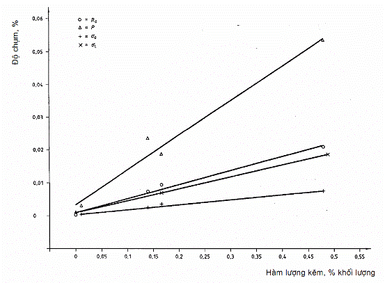
Độ chụm của phương pháp phân tích biểu thị bằng các phương trình hồi quy sau
Rd = 0,041 5 X + 0,001 1 (2)
P = 0,104 8 X + 0,003 0 (3)
sd = 0,014 7 X + 0,000 4 (4)
sL = 0,035 5 X + 0,001 0 (5)
trong đó
X là hàm lượng kẽm của mẫu thử đã sấy sơ bộ, biểu thị bằng phần trăm khối lượng và được tính như sau:
- dùng công thức (2, 4) trong cùng phòng thí nghiệm: trung bình số học của kết quả song song;
- dùng công thức (3, 5) giữa các phòng thí nghiệm: trung bình số học kết của quả cuối cùng (8.2.5) của hai phòng thí nghiệm.
Rd là giới hạn kết quả song song độc lập;
P là sai số cho phép giữa các phòng thí nghiệm;
sd là độ lệch chuẩn của kết quả song song độc lập;
sL là độ lệch chuẩn giữa các phòng thí nghiệm.
8.2.2. Xác định kết quả phân tích
Sau khi tính được các kết quả đúp độc lập theo phương trình (1), so sánh với kết quả giới hạn song song độc lập (Rd), sử dụng quy trình nêu trong Phụ lục A.
8.2.3. Độ chụm giữa các phòng thí nghiệm
Độ chụm giữa các phòng thí nghiệm được sử dụng để xác đinh sự phù hợp của kết quả cuối cùng giữa hai phòng thí nghiệm. Giả thiết rằng hai phòng thí nghiệm tiến hành cùng quy trình đã mô tả trong 8.2.2.
Tính đại lượng sau
![]()
trong đó
m1 là kết quả cuối cùng của phòng thí nghiệm 1;
m2 là kết quả cuối cùng của phòng thí nghiệm 2;
m12 là giá trị trung bình của các kết quả thử nghiệm.
Nếu [m1 - m2] ≤ P (xem 8.2.1), kết quả cuối cùng được chấp nhận.
8.2.4. Kiểm tra độ đúng
Đô đúng của phương pháp phân tích phải được kiểm tra bằng cách sử dụng chất chuẩn được chứng nhận (CRM) hoặc chất chuẩn (RM). Cách tiến hành như đã mô tả ở trên. Sau khi xác định độ chụm, kết quả phòng thử nghiệm cuối cùng được so sánh với giá trị chuẩn hoặc giá trị chuẩn được chứng nhận Ac. Có hai khả năng:
| a) |mc - Ac| ≤ C | trong trường hợp này sự chênh lệch giữa kết quả phân tích và giá trị chuẩn/chứng nhận không đáng kể về mặt thống kê; |
| b) |mc - Ac| > C | trong trường hợp này sự chênh lệch giữa kết quả phân tích và giá trị chuẩn/chứng nhận là đáng kể về mặt thống kê; |
trong đó
mc là kết quả cuối cùng của chất chuẩn được chứng nhận;
Ac là giá trị chứng nhận chuẩn đối với CRM/RM;
C là giá trị phụ thuộc vào loại mẫu chuẩn CRM/RM được sử dụng.
CHÚ THÍCH 1: Các chất chuẩn được chứng nhận sử dụng cho mục đích này phải được chuẩn bị và chứng nhận theo ISO Guide 35 Chứng nhận chất chuẩn - Nguyên tắc chung và nguyên tắc thống kê.
Đối với mẫu CRM do chương trình thử nghiệm liên phòng chứng nhận.

trong đó V(Ac) là biến số của giá trị được chứng nhận Ac;
Đối với mẫu CRM do một phòng thử nghiệm chứng nhận.

CHÚ THÍCH 2: Tránh sử dụng CRM do một phòng thí nghiệm chứng nhận, trừ khi biết được giá trị chứng nhận không có độ chệch.
8.2.5. Tính kết quả cuối cùng
Kết quả cuối cùng là trung bình số học của các giá trị phân tích được chấp nhận cho mẫu thử, hoặc được xác định theo quy định tại Phụ lục A, tính đến năm số thập phân và làm tròn đến số thập phân thứ ba như sau:
a) nếu số thập phân thứ tư nhỏ hơn 5 thì bỏ đi và giữ nguyên số thập phân thứ ba;
b) nếu số thập phân thứ tư bằng 5 và số thập phân thứ năm khác 0, hoặc số thập phân thứ tư lớn hơn 5 thì tăng số thập phân thứ ba lên một đơn vị;
c) nếu số thập phân thứ tư bằng 5 và số thập phân thứ năm bằng 0 thì bỏ số 5 và giữ nguyên số thập phân thứ ba khi nó là 0, 2, 4, 6 hoặc 8 và tăng lên một đơn vị khi nó là 1, 3, 5, 7 hoặc 9.
8.3. Tính hàm lượng kẽm oxit
wZnO (%, khối lượng) = 1,244 7 wZn (%, khối lượng)
9. Báo cáo thử nghiệm
Báo cáo thử nghiệm gồm các thông tin sau:
a) tên và địa chỉ phòng thử nghiệm;
b) ngày tháng báo cáo kết quả;
c) viện dẫn tiêu chuẩn này;
d) các chi tiết cần thiết để nhận biết mẫu;
e) kết quả phân tích;
f) số tham chiếu của phiếu kết quả;
g) bất kỳ các đặc điểm đã ghi nhận trong quá trình xác định, các thao tác không quy định trong tiêu chuẩn này có thể ảnh hưởng đến kết quả của mẫu thử hoặc chất chuẩn được chứng nhận.
Phụ lục A
(quy định)
Lưu đồ quy trình chấp nhận giá trị phân tích đối với mẫu thử

Rd xác định tại 8.2.1.
Phụ lục B
(tham khảo)
Nguồn gốc của các phương trình độ lặp lại và sai số cho phép
Các phương trình trong 8.2.1 có nguồn gốc từ những kết quả các loạt phân tích quốc tế tiến hành trong năm 1981 và 1982 của năm mẫu quặng sắt do 22 phòng thí nghiệm của chín quốc gia thực hiện.
Xử lý đồ thị các dữ liệu độ chụm nêu trong Phụ lục C.
Các mẫu thử đã sử dụng được liệt kê trong Bảng 1.
Bảng B.1 - Hàm lượng kẽm trong mẫu thử
| Mẫu | Hàm lượng kẽm, % khối lượng |
| Quặng sắt Sishen (76-16) | 0,001 6 |
| Quặng Robe River (76-21) | 0,009 9 |
| Quặng Stollberg (79-1) | 0,139 8 |
| Quặng Whyalla (79-13) | 0,477 8 |
| Quặng Purpur (80-1) | 0,164 9 |
CHÚ THÍCH
1. Báo cáo về thử nghiệm quốc tế và phân tích thống kê các kết quả (tài liệu ISO/TC102/SC2 N702, tháng 09/1982 và N 740E, tháng 5/1983) được lưu tại Ban thư ký ISO/TC102/SC2 hoặc ISO/TC102.
2. Phân tích thống kê được trình bày phù hợp với nguyên tắc của TCVN 6910 (ISO 5725) Độ chính xác (độ đúng và độ chụm) của phương pháp đo và kết quả đo - Xác định độ lặp lại và độ tái lặp của phương pháp thử tiêu chuẩn bằng các phép thử giữa các phòng thí nghiệm.
Phụ lục C
(tham khảo)
Số liệu độ chụm thu được từ thử nghiệm phân tích quốc tế
CHÚ THÍCH: Hình C.1 đồ thị biểu diễn các phương trình trong 8.2.1

Hình C.1 - Tương quan bình phương tối thiểu của độ chụm so với hàm lượng kẽm
[1] ISO 3082 : 2000 thay thế ISO 3081 : 1986, ISO 3082 : 1987 và ISO 3083 : 1986)
ISO 3082 : 2000 đang được soát xét.
Bạn chưa Đăng nhập thành viên.
Đây là tiện ích dành cho tài khoản thành viên. Vui lòng Đăng nhập để xem chi tiết. Nếu chưa có tài khoản, vui lòng Đăng ký tại đây!