• Tổng quan
  • Nội dung
  • Tiêu chuẩn liên quan
  • Lược đồ
  • Tải về
Lưu
Đây là tiện ích dành cho tài khoản Tiêu chuẩn hoặc Nâng cao . Vui lòng Đăng nhập tài khoản để xem chi tiết.
Theo dõi VB
Đây là tiện ích dành cho tài khoản Tiêu chuẩn hoặc Nâng cao . Vui lòng Đăng nhập tài khoản để xem chi tiết.
Ghi chú
Báo lỗi
In

Tiêu chuẩn quốc gia TCVN 9474:2024 ISO 5985:2002, Amd 1:2015 Thức ăn chăn nuôi - Xác định hàm lượng tro không tan trong axit clohydric

Ngày cập nhật: Thứ Ba, 18/03/2025 16:35 (GMT+7)
Số hiệu: TCVN 9474:2024 Loại văn bản: Tiêu chuẩn Việt Nam
Cơ quan ban hành: Bộ Khoa học và Công nghệ Lĩnh vực: Công nghiệp , Nông nghiệp-Lâm nghiệp
Trích yếu: ISO 5985:2002, Amd 1:2015 Thức ăn chăn nuôi - Xác định hàm lượng tro không tan trong axit clohydric
Ngày ban hành:
Ngày ban hành là ngày, tháng, năm văn bản được thông qua hoặc ký ban hành.
31/12/2024
Hiệu lực:
Đã biết
Tiện ích dành cho tài khoản Tiêu chuẩn hoặc Nâng cao. Vui lòng Đăng nhập tài khoản để xem chi tiết.
Người ký: Đang cập nhật
Tình trạng hiệu lực:
Cho biết trạng thái hiệu lực của văn bản đang tra cứu: Chưa áp dụng, Còn hiệu lực, Hết hiệu lực, Hết hiệu lực 1 phần; Đã sửa đổi, Đính chính hay Không còn phù hợp,...
Đã biết
Tiện ích dành cho tài khoản Tiêu chuẩn hoặc Nâng cao. Vui lòng Đăng nhập tài khoản để xem chi tiết.

TÓM TẮT TIÊU CHUẨN VIỆT NAM TCVN 9474:2024

Tiêu chuẩn quốc gia TCVN 9474:2024 về hàm lượng tro không tan trong axit clohydric trong thức ăn chăn nuôi

Ngày 31/12/2024, Bộ Khoa học và Công nghệ đã công bố Tiêu chuẩn quốc gia TCVN 9474:2024 ISO 5985:2002, Amd 1:2015 về việc xác định hàm lượng tro không tan trong axit clohydric của thức ăn chăn nuôi. Tiêu chuẩn này sẽ có hiệu lực từ ngày 31/12/2024 và thay thế cho TCVN 9474:2012.

Tiêu chuẩn này được áp dụng cho việc xác định hàm lượng tro không tan trong axit clohydric đối với thức ăn chăn nuôi, bao gồm hai quy trình A và B, tùy thuộc vào loại thức ăn.

Quy trình A và B
Quy trình A được áp dụng cho thức ăn chăn nuôi hữu cơ đơn và hỗn hợp, ngoại trừ các loại nêu trong quy trình B. Quy trình B áp dụng cho các mẫu chứa hàm lượng tro không tan trong axit clohydric lớn hơn 1% và có thể cần phương pháp khác nhau trong quy trình xác định.

Nguyên tắc xác định
Nguyên tắc thực hiện xác định hàm lượng tro không tan trong xit clohydric dựa trên việc tiêu huỷ các chất hữu cơ và xử lý tro bằng axit clohydric. Kết quả cuối cùng được tính bằng phần trăm khối lượng mẫu thử.

Các thiết bị và thuốc thử cần có
Để thực hiện quy trình này, các thiết bị được yêu cầu bao gồm cân phân tích, lò nung, tủ sấy, cùng với các thuốc thử như axit clohydric loãng và dung dịch axit tricloaxetic. Cần đảm bảo rằng các thuốc thử và thiết bị đạt tiêu chuẩn chất lượng.

Cách thực hiện lấy mẫu và thử nghiệm
Mẫu để thử nghiệm cần phải là đại diện và không bị hư hỏng trong quá trình lấy mẫu và bảo quản. Tiêu chuẩn này cũng quy định cách chuẩn bị mẫu, các bước trong quy trình A và B, và các phương pháp xác định trọng tài cho các kết quả.

Báo cáo thử nghiệm
Kết quả thử nghiệm cần ghi rõ mọi thông tin như phương pháp lấy mẫu và xác định, tình trạng mẫu, và kết quả cuối cùng. Các báo cáo này phải tuân theo quy định cụ thể để đảm bảo tính chính xác và đáng tin cậy.

Tiêu chuẩn TCVN 9474:2024 hướng tới việc cải thiện chất lượng và độ tin cậy trong nghiên cứu và sản xuất thức ăn chăn nuôi, đồng thời giúp các cơ quan quản lý, doanh nghiệp nâng cao tiêu chuẩn chất lượng trong ngành nông nghiệp.

Tải tiêu chuẩn Việt Nam TCVN 9474:2024

Tải văn bản tiếng Việt (.pdf) Tiêu chuẩn Việt Nam TCVN 9474:2024 PDF (Bản có dấu đỏ)

Đây là tiện ích dành cho tài khoản thành viên. Vui lòng Đăng nhập để xem chi tiết. Nếu chưa có tài khoản, Đăng ký tại đây!

Tải văn bản tiếng Việt (.doc) Tiêu chuẩn Việt Nam TCVN 9474:2024 DOC (Bản Word)

Đây là tiện ích dành cho tài khoản thành viên. Vui lòng Đăng nhập để xem chi tiết. Nếu chưa có tài khoản, Đăng ký tại đây!

Tình trạng hiệu lực: Đã biết
Hiệu lực: Đã biết
Tình trạng hiệu lực: Đã biết

TIÊU CHUẨN QUỐC GIA

TCVN 9474:2024

ISO 5985:2002, AMD 1:2015

THỨC ĂN CHĂN NUÔI - XÁC ĐỊNH HÀM LƯỢNG TRO KHÔNG TAN TRONG AXIT CLOHYDRIC

Animal Feedstuffs - Determination of ash insoluble in hydrochloric acid

Lời nói đầu

TCVN 9474:2023 thay thế TCVN 9474:2012;

TCVN 9474:2023 hoàn toàn tương đương với ISO 5985:2002, Amd 1:2015;

TCVN 9474:2023 do Viện Chăn nuôi biên soạn, Bộ Nông nghiệp và Phát triển nông thôn đề nghị, Bộ Khoa học và Công nghệ thẩm định và công bố.

 

THỨC ĂN CHĂN NUÔI - XÁC ĐỊNH HÀM LƯỢNG TRO KHÔNG TAN TRONG AXIT CLOHYDRIC

Animal Feedstuffs - Determination of ash insoluble in hydrochloric acid

Phạm vi áp dụng

Tiêu chuẩn này quy định hai quy trình xác định hàm lượng tro không tan trong axit clohydric đối với thức ăn chăn nuôi.

Quy trình được áp dụng phụ thuộc vào bản chất của mẫu.

a) Quy trình A áp dụng đối với thức ăn chăn nuôi hữu cơ đơn và đối với thức ăn chăn nuôi hỗn hợp (trừ những loại được nêu trong quy trình B).

b) Quy trình B áp dụng đối với các mẫu thức ăn bổ sung khoáng, hỗn hợp chất khoáng và thức ăn chăn nuôi dạng hỗn hợp có hàm lượng tro không tan trong axit clohydric lớn hơn 1 % (theo khối lượng) khi xác định theo quy trình A.

2  Tài liệu viện dẫn

Các tài liệu viện dẫn sau đây rất cần thiết cho việc áp dụng tiêu chuẩn. Đối với các tài liệu viện dẫn ghi năm công bố thì áp dụng phiên bản được nêu. Đối với các tài liệu viện dẫn không ghi năm công bố thì áp dụng phiên bản mới nhất, bao gồm cả các sửa đổi, bổ sung (nếu có).

TCVN 6952 (ISO 6498), Thức ăn chăn nuôi - Chuẩn bị mẫu thử

3  Thuật ngữ và định nghĩa

Trong tiêu chuẩn này sử dụng thuật ngữ và định nghĩa sau:

3.1

Tro không tan trong axit clohydric (ash insoluble in hydrochloric acid)

Phần tro không tan trong axit clohydric loãng dưới các điều kiện quy định trong tiêu chuẩn này.

CHÚ THÍCH: Kết quả được biểu thị bằng phần trăm khối lượng của mẫu thử.

4  Nguyên tắc

4.1  Quy trình A

Các chất hữu cơ trong phần mẫu thử được phân hủy bằng cách nung.

Xử lý phần tro thu được bằng axit clohydric. Hỗn hợp được lọc, sau đó sấy khô, nung và cân phần còn lại.

4.2  Quy trình B

Phần mẫu thử được xử lý bằng axit clohydric. Hỗn hợp được lọc, sau đó sấy và nung.

Tro được xử lý như 4.1.

5  Thuốc thử

Chỉ sử dụng thuốc thử đạt chất lượng phân tích, nước cất hoặc nước khử khoáng hoặc nước có độ tinh khiết tương đương.

5.1  Axit clohydric loãng, 3 mol/l.

5.2  Dung dịch axit tricloaxetic, 200 g/l.

5.3  Dung dịch axit tricloaxetic, 10 g/l.

6  Thiết bị

Sử dụng các thiết bị phòng thử nghiệm thông thường và cụ thể sau đây:

6.1  Cân phân tích, có thể cn chính xác đến 0,001 g.

6.2  Lò nung, được nung nóng bằng điện, kiểm soát được nhiệt độ và được gắn với nhiệt kế.

Lò nung khi đặt ở nhiệt độ 550 °C phải có khả năng kiểm soát sao cho nhiệt độ tại các điểm đặt chén nung không được chênh lệch quá 20 °C so với nhiệt độ đã cài đặt.

6.3  Tủ sấy, có khả năng kiểm soát nhiệt độ ở (103 ± 2) °C.

6.4  Bếp điện hoặc bếp ga

6.5  Nồi cách thủy đun sôi

6.6  Chén nung, bằng platin hoặc hợp kim vàng platin (ví dụ 10 % Pt, 90 % Au) hoặc vật liệu khác không bị ảnh hưởng bởi các điều kiện thử nghiệm, tốt nhất là loại hình chữ nhật có diện tích bề mặt khoảng 20 cm2 và chiều cao khoảng 2,5 cm.

Đối với các mẫu có xu hướng phồng lên khi tro hóa thì dùng các chén có diện tích bề mặt khoảng 30 cm2 và chiều cao khoảng 3 cm.

6.7  Bình hút ẩm, chứa các chất hút ẩm hiệu quả.

6.8  Giấy lọc không tro

Hàm lượng tro của giấy lọc không được vượt quá 0,01 %.

6.9  Cốc có mỏ, dung tích 250mL đến 400 mL

7  Lấy mẫu

Điều quan trọng là mẫu gửi đến phòng thí nghiệm đúng là mẫu đại diện và không bị hư hỏng hoặc thay đổi trong suốt quá trình vận chuyn hoặc bảo quản.

Bảo quản mẫu sao cho tránh được sự hư hỏng và thay đổi thành phần.

Việc lấy mẫu không quy định trong tiêu chuẩn này. Nên lấy mẫu theo TCVN 4325 (ISO 6497).

8  Cách tiến hành

8.1  Chun bị mẫu thử

Chuẩn bị mẫu thử theo TCVN 6952 (ISO 6498).

8.2  Quy trình A

8.2.1  Phần mẫu thử

Cân khoảng 5 g mẫu thử (8.1), chính xác đến 0,001 g, cho vào chén nung (6.6).

8.2.2  Xác định

8.2.2.1  Đặt chén nung có chứa phn mẫu thử (8.2.1) lên bếp điện hoặc bếp ga (6.4) và đốt nóng liên tục đến khi mẫu thử cháy thành than. Chuyển chén vào lò nung (6.2), đã được đặt trước ở 550 °C và để trong 3 h. Kiểm tra xem mẫu thử đã được tro hóa hết chưa. Nếu chưa thì đặt chén nung vào lò và nung thêm 1 h. Nếu vẫn còn nhìn thấy các hạt cacbon hoặc nghi ngờ sự có mặt của chúng thì để tro nguội, làm m bằng nước cất, để bay hơi cn thận cho đến khô trong tủ sấy (6.3) đã được cài đặt ở 103 °C. Sau đó đặt chén vào lò nung và nung thêm 1 h. Để chén nung nguội đến nhiệt độ phòng trong bình hút ẩm (6.7).

CHÚ THÍCH: Tro thu được trong phần này tương ứng với quy trình được nêu ra trong TCVN 4327 (ISO 5984).

8.2.2.2  Dùng 75 ml axit clohydric loãng (5.1) để chuyển tro vào cốc dung tích 250 ml đến 400 ml. Đun cẩn thận đến sôi trên bếp điện hoặc bếp ga (6.4) và để sôi trong 15 min. Lọc dung dịch nóng qua giấy lọc không tro (6.8), rửa giấy lọc và phần cặn bằng nước nóng cho đến khi nước rửa hết axit. Chuyển giáy lọc cùng với phần cặn vào chén nung (6.6) đã được nung nóng trước ít nhất 30 min trong lò nung (6.2) ở nhiệt độ 550 °C, được làm nguội trong bình hút ẩm (6.7) và cân chính xác đến 0,001 g. Sấy chén chứa giấy lọc và cặn trong tủ sấy (6.3) ở 103 °C trong 2 h, sau đó nung 30 min trong lò nung (6.2) ở nhiệt độ 550 °C. Làm nguội chén đến nhiệt độ phòng trong bình hút ẩm (6.7) rồi cân nhanh với độ chính xác đến 0,001 g.

8.2.2.3  Tiến hành hai lần xác định trên các phần mẫu thử được lấy từ cùng một mẫu thử.

8.3  Quy trình B

8.3.1  Phần mẫu thử

Cân khoảng 5 g mẫu thử (8.1) chính xác đến 0,001 g, cho vào cốc có mỏ dung tích từ 250 ml đến 400 ml.

8.3.2  Xác định

8.3.2.1  Thêm lần lượt vào cốc có cha mẫu thử (8.3.1), 25 ml nước và 25 ml axit clohydric loãng (5.1). Khuấy và để yên đến khi hết bọt. Thêm 50 ml axit clohydric loãng và tiếp tục chờ, nếu cần, đến khi hết bọt hoàn toàn. Đun cốc trên bếp cách thủy (6.5) trong 30 min hoặc lâu hơn đến khi tất cả tinh bột trong mẫu được thủy phân hoàn toàn.

Lọc dung dịch nóng qua giấy lọc không tro và dùng 50 ml nước nóng để rửa giấy lọc và phần cặn.

8.3.2.2  Nếu dung dịch khó lọc, thì lặp lại phép xác định với phần mẫu thử mới nhưng thêm 50 ml dung dịch axit tricloaxetic (5.2) thay cho 50 ml axit clohydric và rửa giấy lọc và phần cặn bằng dung dịch axit tricloaxetic (5.3) nóng trước khi rửa với nước nóng.

8.3.2.3  Chuyển giấy lọc cùng với phần cặn vào chén nung (6.6). Sấy khô 2 h trong tủ sấy (6.3) ở 103 °C, sau đó nung trong lò nung (6.2) ở 550 °C trong 3 h. Để chén nung nguội đến nhiệt độ phòng trong bình hút ẩm (6.7).

8.3.2.4  Tiếp tục thực hiện theo 8.2.2.2

8.3.2.5  Tiến hành hai lần xác định trên các phần mẫu thử được lấy từ cùng một mẫu thử.

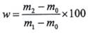
9  Biểu thị kết quả

Tro không tan trong axit clohydric, w, được biểu thị bằng phần trăm khối lượng mẫu, được tính bằng Công thức sau:

Trong đó

m0  là khối lượng, của chén rỗng (8.2.2.2), tính bằng gam (g);

m1  là khối lượng, của chén chứa phần mẫu thử (8.2.1 hoặc 8.3.1), tính bằng gam (g);

m2  là khối lượng, của chén và tro không tan trong axit clohydric, tính bằng gam (g).

Kết quả là trung bình cộng của hai lần xác định nếu đáp ứng yêu cầu về độ lặp lại (xem 10.2). Báo cáo kết quả chính xác đến 0,1 % (phần khối lượng).

10  Độ chụm

10.1  Th nghiệm liên phòng

Các chi tiết của các phép thử liên phòng về độ chụm của phương pháp được nêu trong phụ lục A. Các giá trị thu được từ các phép thử này có thể không áp dụng cho các dải nồng độ và nền mẫu khác với các dải nồng độ và nền mẫu đã cho.

10.2  Độ lặp lại

Chênh lệch tuyệt đối giữa hai kết quả thử nghiệm độc lập, đơn lẻ, thu được khi sử dụng cùng một phương pháp trên vật liệu thử giống nhau trong cùng một phòng thử nghiệm, do một người thực hiện, sử dụng cùng thiết bị không quá 5 % các trường hợp vượt quá giới hạn lặp lại (r) được nêu trong Bảng 1.

Bảng 1 - Giới hạn lặp lại (r) và giới hạn tái lập (R)

Các giá trị tính bằng gam trên 100 g

Loại mẫu

Tro không tan trong axit clohydric

r

R

g/100g

g/100 g

g/100 g

Bột cá

0,82

0,08

0,23

Bột sắn

3,46

0,28

0,48

Bột thịt

0,86

0,08

0,19

Thức ăn cho lợn con

0,26

0,03

0,10

Thức ăn cho gà thịt

0,17

0,03

0,09

Lúa mạch

0,26

0,05

0,16

Khô dầu cọ

0,60

0,08

0,11

10.3  Độ tái lập

Chênh lệch tuyệt đối giữa hai kết quả thử nghiệm đơn lẻ, thu được khi sử dụng cùng một phương pháp trên vật liệu thử giống nhau trong các phòng thử nghiệm khác nhau, do những người khác nhau thực hiện, sử dụng thiết bị khác nhau, không quá 5 % các trường hợp vượt quá giới hạn tái lập (R) được nêu trong Bảng 1.

11  Báo cáo thử nghiệm

Báo cáo thử nghiệm phải ghi rõ:

a) mọi thông tin cần thiết để nhận biết đầy đủ về mẫu;

b) phương pháp lấy mẫu đã sử dụng, nếu biết;

c) phương pháp thử nghiệm đã dùng (quy trình A hoặc B), viện dẫn tiêu chuẩn này;

d) mọi chi tiết thao tác không được quy định trong tiêu chuẩn này hoặc những điều được coi là tùy ý cũng như các sự cố bất kỳ mà có thể ảnh hưởng đến kết quả;

e) kết quả thử nghiệm thu được;

f) nếu đáp ứng yêu cầu về độ lặp lại, thì ghi kết quả cuối cùng thu được.

 

Phụ lục A

(tham khảo)

Kết quả thử nghiệm liên phòng

Độ chụm của phương pháp được thiết lập bởi các phép thử liên phòng thí nghiệm tiến hành theo TCVN 6910-1 (ISO 5725-1 và TCVN 6910-2 (ISO 5725-2), đối với trường hợp ngoại lệ thì phép thử Dixon được thay bằng phép th Grubbs. Trong các phép thử này, 20 đến 30 phòng thí nghiệm đã tham gia và đánh giá trên các mẫu bột cá, bột sắn, bột thịt, thức ăn cho lợn con, thức ăn cho gà thịt, lúa mạch và khô dầu cọ. Các kết quả của thử nghiệm liên phòng được nêu trong Bảng A.1.

CHÚ THÍCH: TCVN 9474:2012 (ISO 5985:2002) có chứa các số liệu chưa chính xác do tính nhầm các đặc tính hiệu năng. Bảng A.1 dưới đây đưa ra các số liệu chính xác.

Bảng A.1 - Kết quả thống kê của các phép thử liên phòng thử nghiệm

Thông số

Mu a

1

2

3

4

5

6

7

Hàm lượng trung bình tro không tan trong HCl, g/100 g

0,82

3,46

0,86

0,26

0,17

0,26

0,6

Độ lệch chuẩn lặp lại (sr), g/100 g

0,03

0,10

0,03

0,01

0,01

0,02

0,03

Hệ số biến thiên lặp lại, %

3,4

2,8

3,1

4,2

6,4

6,5

4,8

Giới hạn lặp lại (r), g/100 g

0,08

0,28

0,08

0,03

0,03

0,05

0,08

Độ lệch chuẩn tái lập (sr), g/100 g

0,08

0,17

0,07

0,03

0,03

0,06

0,04

Hệ số biến thiên tái lập, %

9,8

4,9

7,7

13,6

19,7

22,5

6,6

Giới hạn tái lập (r), g/100 g

0,23

0,48

0,19

0,10

0,09

0,16

0,11

a Các mẫu như sau

1: bột cá

5: thức ăn cho gà thịt

2: bột sắn

6: lúa mạch

3: bột thịt

7: khô dầu cọ

4: thức ăn cho lợn con

 

 

 

Thư mục tài liệu tham khảo

[1] TCVN 6910-1 (ISO 5725-1), Độ chính xác (độ đúng và độ chụm) của phương pháp đo và kết quả đo - Phần 1: Các định nghĩa và nguyên tắc chung.

[2] TCVN 6910-2 (ISO 5725-2), Độ chính xác (độ đúng và độ chụm) của phương pháp đo và kết quả đo - Phần 2: Phương pháp cơ bản để xác định độ lặp lại và độ tái lặp của phương pháp tiêu chuẩn.

[3] TCVN 4327 (ISO 5984), Thức ăn chăn nuôi - Xác định tro thô.

[4] TCVN 4325 (ISO 6497), Thức ăn chăn nuôi - Lấy mẫu.

Bạn chưa Đăng nhập thành viên.

Đây là tiện ích dành cho tài khoản thành viên. Vui lòng Đăng nhập để xem chi tiết. Nếu chưa có tài khoản, vui lòng Đăng ký tại đây!

* Lưu ý: Để đọc được văn bản tải trên Luatvietnam.vn, bạn cần cài phần mềm đọc file DOC, DOCX và phần mềm đọc file PDF.

văn bản cùng lĩnh vực

văn bản mới nhất

CHÍNH SÁCH BẢO VỆ DỮ LIỆU CÁ NHÂN
Yêu cầu hỗ trợYêu cầu hỗ trợ
Chú thích màu chỉ dẫn
Chú thích màu chỉ dẫn:
Các nội dung của VB này được VB khác thay đổi, hướng dẫn sẽ được làm nổi bật bằng các màu sắc:
Sửa đổi, bổ sung, đính chính
Thay thế
Hướng dẫn
Bãi bỏ
Bãi bỏ cụm từ
Bình luận
Click vào nội dung được bôi màu để xem chi tiết.
×