- Tổng quan
- Nội dung
- Tiêu chuẩn liên quan
- Lược đồ
- Tải về
Tiêu chuẩn Quốc gia TCVN 7104:2002 ISO 7210:1997 Máy hút thuốc lá phân tích thông dụng
| Số hiệu: | TCVN 7104:2002 | Loại văn bản: | Tiêu chuẩn Việt Nam |
| Cơ quan ban hành: | Bộ Khoa học và Công nghệ | Lĩnh vực: | Công nghiệp |
|
Ngày ban hành:
Ngày ban hành là ngày, tháng, năm văn bản được thông qua hoặc ký ban hành.
|
31/12/2002 |
Hiệu lực:
|
Đã biết
|
| Người ký: | Đang cập nhật |
Tình trạng hiệu lực:
Cho biết trạng thái hiệu lực của văn bản đang tra cứu: Chưa áp dụng, Còn hiệu lực, Hết hiệu lực, Hết hiệu lực 1 phần; Đã sửa đổi, Đính chính hay Không còn phù hợp,...
|
Đã biết
|
TÓM TẮT TIÊU CHUẨN VIỆT NAM TCVN 7104:2002
TCVN 7104:2002 ISO 7210:1997: Tiêu chuẩn phương pháp thử cho máy hút thuốc lá phân tích thông dụng
Tiêu chuẩn Quốc gia TCVN 7104:2002 được ban hành ngày 06/12/2002 và có hiệu lực ngay sau đó. Tiêu chuẩn này hoàn toàn tương đương với ISO 7210:1997, quy định các phương pháp thử bổ sung cho máy hút thuốc lá phân tích thông dụng để kiểm tra sự phù hợp theo với TCVN 7096:2002.
Tiêu chuẩn này bao gồm ba phần chính: xác định độ giảm áp, xác định đồ thị của hơi hút và kiểm tra việc hút giới hạn. Những phương pháp thử này giúp đảm bảo rằng máy hút thuốc hoạt động hiệu quả và tuân thủ đầy đủ các yêu cầu kỹ thuật trong tiêu chuẩn hiện hành.
1. Xác định độ giảm áp
Xác định độ giảm áp được đo giữa hai điểm trên mạch khí của máy hút thuốc. Độ giảm áp này phải không vượt quá 300 Pa và được thực hiện dưới điều kiện không khí ổn định với tốc độ 17,5 ml/s. Kết quả đo sẽ được ghi lại để phản ánh độ giảm áp tại mỗi kênh.
2. Xác định đồ thị của hơi hút
Đồ thị của hơi hút (puff profile) được xác định bằng cách đo liên tục tốc độ dòng không khí tại đầu mẩu điếu thuốc. Tốc độ dòng EMS phải đạt khoảng từ 25 ml/s đến 30 ml/s và thời gian tối đa cho một hơi hút chuẩn là 2 giây. Bằng cách vẽ đồ thị của hơi hút theo hàm số thời gian, các thông số chính sẽ được ghi nhận để đánh giá hiệu quả hút của máy.
3. Kiểm tra việc hút giới hạn
Phương pháp kiểm tra hút giới hạn diễn ra khi đầu mẩu điếu thuốc bị khép lại. Phép thử sẽ đo thể tích luồng khói cháy âm ỉ giữa các lần hút không liên tục. Kết quả ghi nhận được không vượt quá 1 ml/phút, đảm bảo rằng chất lượng khói không bị ảnh hưởng xấu trong quá trình thử nghiệm.
Tổng quát lại, TCVN 7104:2002 là một văn bản quan trọng, giúp người dân, doanh nghiệp trong ngành thuốc lá và cán bộ công chức có thêm cơ sở pháp lý trong việc đánh giá và kiểm tra chất lượng máy hút thuốc lá thông dụng, đảm bảo an toàn và chất lượng sản phẩm trong thị trường thuốc lá.
Tải tiêu chuẩn Việt Nam TCVN 7104:2002
TIÊU CHUẨN QUỐC GIA
TCVN 7104 : 2002
ISO 7210 : 1997
MÁY HÚT THUỐC LÁ PHÂN TÍCH THÔNG DỤNG – PHƯƠNG PHÁP THỬ BỔ SUNG
Routine analytical cigarette-smoking machine – Additional test methods
Lời nói đầu
TCVN 7104 : 2002 hoàn toàn tương đương với ISO 7210 : 1997
TCVN 7104 : 2002 do Ban kỹ thuật tiêu chuẩn TCVN/TC126 Thuốc lá và sản phẩm thuốc lá biên soạn, Tổng cục Tiêu chuẩn Đo lường Chất lượng đề nghị, Bộ Khoa học và Công nghệ ban hành.
Tiêu chuẩn này được chuyển đổi năm 2008 từ Tiêu chuẩn Việt Nam cùng số hiệu thành Tiêu chuẩn Quốc gia theo quy định tại khoản 1 Điều 69 của Luật Tiêu chuẩn và Quy chuẩn kỹ thuật và điểm a khoản 1 Điều 6 Nghị định số 127/2007/NĐ-CP ngày 1/8/2007 của Chính phủ quy định chi tiết thi hành một số điều của Luật Tiêu chuẩn và Quy chuẩn kỹ thuật.
MÁY HÚT THUỐC LÁ PHÂN TÍCH THÔNG DỤNG – PHƯƠNG PHÁP THỬ BỔ SUNG
Routine analytical cigarette-smoking machine – Additional test methods
1. Phạm vi áp dụng
Tiêu chuẩn này qui định phương pháp thử bổ sung cho các máy hút thuốc lá phân tích thông dụng để kiểm tra sự phù hợp của các máy này với TCVN 7096 : 2002 (ISO 3308:2000).
Tiêu chuẩn này chỉ thiết lập các phương pháp thử bổ sung cho máy hút mà không hướng dẫn cách hút cụ thể như đã mô tả trong các tiêu chuẩn khác.
Tiêu chuẩn bao gồm 3 phần như sau:
– xác định độ giảm áp (điều 3);
– xác định đồ thị của hơi hút (điều 4);
– xác định việc hút giới hạn (điều 5).
2. Tiêu chuẩn viện dẫn
TCVN 7096 : 2002 (ISO 3308 : 2000), Máy hút thuốc lá phân tích thông dụng – Định nghĩa và các điều kiện chuẩn.
TCVN 5078 : 2001 (ISO 3402 :1999), Thuốc lá và các sản phẩm thuốc lá – Môi trường bảo ôn và thử nghiệm.
3. Xác định độ giảm áp
3.1. Định nghĩa
Trong tiêu chuẩn này áp dụng định nghĩa sau:
3.1.1. Độ giảm áp (Pressure drop): Sự chênh lệch áp suất tĩnh giữa hai điểm bất kỳ của mạch khí trên máy hút được thổi qua bằng một dòng không khí với tốc độ không đổi là 17,5 ml/s.
3.2. Nguyên tắc
Dùng áp kế thích hợp để đo độ giảm áp của máy hút dưới các điều kiện dòng không khí thật ổn định.
3.3. Thiết bị, dụng cụ (xem hình 1)
Toàn bộ đường dòng khí giữa đầu mẩu của điếu thuốc và bộ phận hút của máy phải có trở lực nhỏ nhất và độ giảm áp của nó không được vượt quá 300 Pa.
Dụng cụ thử phải
– hút được một dòng khí không đổi mà không bị ảnh hưởng bởi độ giảm áp của hệ thống dưới điều kiện thử nghiệm;
– đo được độ giảm áp với độ chính xác phù hợp.

Từ khóa
H Điểm đầu thử T Dụng cụ thử nghiệm
F Đồng hồ đo dòng M Áp kế
W Ống có lòng rộng ---- Đường nối của phép thử
Chú thích – Đường mũi tên chỉ hướng của dòng khí.
Hình 1 – Sơ đồ mạch khí của dụng cụ điển hình
3.4. Môi trường thử nghiệm
Tất cả các phép đo phải được tiến hành dưới điều kiện môi trường chuẩn về nhiệt độ và độ ẩm tương đối như đã qui định trong TCVN 5078 : 2001 (ISO 3402).
3.5. Cách tiến hành
3.5.1. Khái quát
Dòng khí đi qua máy hút phải luôn luôn cùng một hướng trong suốt chu kỳ hút, tức là từ điếu thuốc đến nguồn hút. Không khí dùng để đo phải là không khí từ môi trường thử nghiệm.
3.5.2. Thử nghiệm
3.5.2.1. Nối áp kế M như đã vẽ trong hình 1 và cài đặt về “zero”.
3.5.2.2. Nối đồng hồ đo dòng F như hình 1 và cài đặt dòng khí ở 17,5 ml ± 0,1 ml/ s.
3.5.2.3. Ngắt đồng hồ đo dòng F và gắn một đoạn ống có lòng rộng W đủ dài đến đầu điểm thử nghiệm H. Đọc áp suất trên áp kế M. Ghi giá trị PD1.
3.5.2.4. Gắn đầu còn lại của ống dây W với điểm hút của máy, tại đó nguồn hơi hút đã được ngắt. Đọc áp suất trên áp kế M. Ghi giá trị PD2.
3.5.2.5. Tính độ giảm áp (PD2 - PD1).
3.5.2.6. Tiến hành các bước lặp lại cho từng kênh của máy hút.
3.6. Biểu thị kết quả
Các giá trị sau đây phải được ghi lại:
– độ giảm áp tại mỗi kênh, tính bằng pascal;
– môi trường tiến hành thử nghiệm.
4. Xác định đồ thị của hơi hút
4.1. Định nghĩa
Trong tiêu chuẩn này áp dụng định nghĩa sau.
4.1.1. Đồ thị của hơi hút (Puff profile): Tốc độ dòng được đo trực tiếp tại phía sau đầu mẩu của điếu thuốc và được vẽ thành đồ thị theo hàm số thời gian.
4.2. Nguyên tắc
Đo liên tục tốc độ dòng không khí của một hơi hút qua thiết bị giảm áp 1 kPa [Xem TCVN 7096 : 2002 (ISO 3308:1991) điều 4.3].
4.3.Thiết bị
Thiết bị bao gồm các bộ phận được đưa ra trong sơ đồ nguyên lý (hình 2), nghĩa là sơ đồ các bộ phận đòi hỏi 2 hệ thống đo A và B có thể thay thế cho nhau được với 2 mức độ phức tạp khác nhau.

Hình 2 – Sơ đồ nguyên lý
4.3.1. Hệ thống A
Tín hiệu truyền đi bằng bộ chuyển đổi áp được tuyến tính bằng các mạch phù hợp và được chuyển đến bộ phận tích phân và dụng cụ ghi.
Hệ thống có thể ghi được hình ảnh của đồ thị của hơi hút và đo thể tích của nó.
4.3.2. Hệ thống B
Hệ thống này sử dụng bộ chuyển đổi tín hiệu số và một máy tính.
4.3.3. Yêu cầu đối với cả hai hệ thống
Các bộ phận được dùng trong hệ thống phải thực hiện được các điều kiện sau:
– bộ phận đo dòng phiến mỏng có độ giảm áp danh nghĩa là 100 Pa ± 10 Pa với tốc độ dòng là 17,5 ml/s.
– bộ chuyển áp có dải hoạt động 500 Pa, thời gian đáp ứng 1 mili giây và tần số đáp ứng là 1 kHz.
Loại thiết bị này có thể thu được sơ đồ thời gian và tốc độ độ dòng của hơi hút như trong hình 3.
Tại thời điểm t = 0, điếu thuốc có thể được hút bằng bơm piton. Tốc độ dòng F được tạo ra tại cuối đầu mẩu điếu thuốc thay đổi tạo ra đồ thị của hơi hút hình tháp chuông. Tốc độ dòng cực đại Fm đạt được tại thời điểm tm. Sau đó, tốc độ dòng giảm dần trong khoảng thời gian hơi hút để đạt giá trị Fd tại thời điểm td khi nguồn hơi hút ngừng cung cấp, nhưng vẫn tồn tại chênh lệch áp suất.
Cuối cùng, tốc độ dòng giảm dần đến 0 tại thời điểm te.
Đồ thị của hơi hút chuẩn phải đạt được điều kiện sau:
25 ml/s ≤ Fm ≤ 30 ml/s
Tại thời điểm tm
0,8 s ≤ tm ≤ 1,2s
Thời gian hơi hút chuẩn td = 2 s và thời gian te được giới hạn bởi tần số hơi hút chuẩn cho đến te = 60 s.
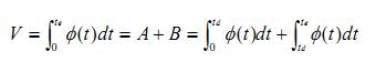
Thể tích hơi hút, V, có thể được tính trên cơ sở diện tích kẻ sọc ở hình 3 theo công thức sau:

Kết quả các điều kiện chuẩn đạt được như sau:
V = 35 ml

Hình 3 – Thí dụ về đồ thị của hơi hút điếu thuốc lá
5. Kiểm tra việc hút giới hạn
5.1. Định nghĩa
Trong tiêu chuẩn này áp dụng các định nghĩa sau:
5.1.1. Hút giới hạn (Restricted smoking): Điều kiện tồn tại khi đầu mẩu của điếu thuốc bị khép lại với môi trường giữa các hơi hút liên tiếp.
5.1.2. Luồng khói cháy âm ỉ (Smoulder stream smoke): Toàn bộ khói đi ra khỏi đầu mẩu của điếu thuốc trong khoảng thời gian giữa các hơi hút liên tiếp.
5.2. Nguyên tắc
Đo thể tích của luồng khói cháy âm ỉ giữa hai hơi hút đối với máy hút có chức năng hút không liên tục hoặc giữa hai lần hút đối với máy hút có chức năng hút liên tục.
Chú thích – Đối với các máy hút có các bộ nối vĩnh cửu của kênh hút, thì phép thử này là không cần thiết.
5.3. Dụng cụ
Dụng cụ hút được lắp đặt như hình 4, sao cho:
– chiều dài của bộ phận đo dòng bằng bọt xà phòng không vượt quá 12 cm;
– kết nối kín giữa bộ đỡ điếu thuốc hoặc ống thuỷ tinh nối với điếu thuốc.
5.4. Cách tiến hành
Tiến hành phép thử trong quá trình hút nửa thứ hai của tổng chiều dài điếu thuốc sau khi bọt xà phòng đã vào trong dụng cụ đo dòng bằng bọt xà phòng.
5.5. Biểu thị kết quả
Ghi tốc độ dòng của luồng khói âm ỉ, tính bằng ml/ min. Kết quả không được vượt quá 1 ml/ min.

Từ khóa
1. Bộ phận nối bằng cao su
2. Dụng cụ đo dòng bằng bọt xà phòng
3. Bộ đỡ điếu thuốc hoặc ống thủy tinh
4. Điếu thuốc
Hình 4 – Biểu đồ dụng cụ thử nghiệm hút giới hạn
Bạn chưa Đăng nhập thành viên.
Đây là tiện ích dành cho tài khoản thành viên. Vui lòng Đăng nhập để xem chi tiết. Nếu chưa có tài khoản, vui lòng Đăng ký tại đây!