- Tổng quan
- Nội dung
- Tiêu chuẩn liên quan
- Lược đồ
- Tải về
Tiêu chuẩn quốc gia TCVN 14111:2024 Phân bón - Xác định hàm lượng vitamin B7 bằng phương pháp sắc ký lỏng hiệu năng cao (HPLC)
| Số hiệu: | TCVN 14111:2024 | Loại văn bản: | Tiêu chuẩn Việt Nam |
| Cơ quan ban hành: | Bộ Khoa học và Công nghệ | Lĩnh vực: | Công nghiệp , Nông nghiệp-Lâm nghiệp |
| Trích yếu: | Phân bón - Xác định hàm lượng vitamin B7 bằng phương pháp sắc ký lỏng hiệu năng cao (HPLC) | ||
|
Ngày ban hành:
Ngày ban hành là ngày, tháng, năm văn bản được thông qua hoặc ký ban hành.
|
14/08/2024 |
Hiệu lực:
|
Đã biết
|
| Người ký: | Đang cập nhật |
Tình trạng hiệu lực:
Cho biết trạng thái hiệu lực của văn bản đang tra cứu: Chưa áp dụng, Còn hiệu lực, Hết hiệu lực, Hết hiệu lực 1 phần; Đã sửa đổi, Đính chính hay Không còn phù hợp,...
|
Đã biết
|
TÓM TẮT TIÊU CHUẨN VIỆT NAM TCVN 14111:2024
TCVN 14111:2024: Xác định hàm lượng Vitamin B7 trong phân bón bằng HPLC
Tiêu chuẩn quốc gia TCVN 14111:2024 được ban hành ngày 19/04/2024, có hiệu lực cùng ngày, quy định phương pháp xác định hàm lượng vitamin B7 (biotin) trong phân bón bằng phương pháp sắc ký lỏng hiệu năng cao (HPLC). Nội dung tiêu chuẩn áp dụng cho các mẫu thử có hàm lượng vitamin B7 từ 20 mg/kg trở lên.
Phương pháp xác định yêu cầu một cột sắc ký pha đảo C18 với detector tử ngoại ở bước sóng 200 nm. Kết quả định lượng được tính theo phương pháp đường chuẩn. Tiêu chuẩn này được biên soạn bởi Cục Bảo vệ thực vật, Bộ Nông nghiệp và Phát triển nông thôn, và thẩm định bởi Tổng cục Tiêu chuẩn Đo lường Chất lượng.
Tiêu chuẩn này nêu rõ các tài liệu viện dẫn cần thiết để áp dụng, bao gồm TCVN 4851 (ISO 3696), TCVN 9846:2018, TCVN 10683:2015 và TCVN 12105:2018. Mỗi tài liệu sẽ giúp quy định các yêu cầu kỹ thuật và phương pháp thử cần thiết trong quá trình xác định hàm lượng vitamin B7.
Trong tiêu chuẩn, vitamin B7 được chiết bằng dung dịch kiềm nhẹ và xác định qua sắc ký lỏng HPLC. Các thuốc thử cần sử dụng phải là các hóa chất tinh khiết, trong đó có chất chuẩn vitamin B7 (C10H16N2O3S) với hàm lượng đã được chứng nhận. Tiêu chuẩn còn quy định cách chuẩn bị các dung dịch chuẩn với các nồng độ khác nhau từ 1 mg/l đến 20 mg/l.
Tiêu chuẩn cũng đưa ra hướng dẫn chi tiết về các dụng cụ và thiết bị cần thiết cho quá trình phân tích, bao gồm các loại bình định mức, pipet, máy đo pH và thiết bị sắc ký lỏng HPLC. Điều này đảm bảo rằng xét nghiệm được thực hiện một cách chính xác và hiệu quả.
Quy trình lấy mẫu và chuẩn bị mẫu thử cũng được quy định trong tiêu chuẩn. Đối với mẫu phân bón thông thường, cần thực hiện theo TCVN 9486:2018, và các mẫu phân bón vi sinh sẽ theo TCVN 12105:2018. Đối với mẫu rắn và lỏng, phương pháp chuẩn bị mẫu cũng được mô tả cụ thể.
Kết quả phép thử được ghi nhận tương ứng với trữ lượng mẫu được xét nghiệm. Tiêu chuẩn yêu cầu thực hiện tối thiểu hai lần thử và tính toán kết quả sau khi kiểm tra độ chính xác và tính toàn vẹn của mẫu.
Cuối cùng, báo cáo thử nghiệm cần nêu rõ tất cả thông tin về mẫu thử, phương pháp kiểm tra đã áp dụng, và kết quả thử nghiệm nhận được, nhằm đảm bảo tính hợp lệ và minh bạch trong kết quả đo đạc.
Tiêu chuẩn này là công cụ quan trọng giúp các doanh nghiệp trong ngành phân bón đảm bảo chất lượng sản phẩm của mình, đồng thời hỗ trợ cán bộ công chức quản lý và kiểm tra các sản phẩm phân bón trên thị trường.
Tải tiêu chuẩn Việt Nam TCVN 14111:2024
TIÊU CHUẨN QUỐC GIA
TCVN 14111:2024
PHÂN BÓN - XÁC ĐỊNH HÀM LƯỢNG VITAMIN B7 BẰNG PHƯƠNG PHÁP SẮC KÝ LỎNG HIỆU NĂNG CAO (HPLC)
Fertilizers - Determination of vitamin B7 content by high performance liquid chromatography (HPLC)
Lời nói đầu
TCVN 14111:2024 do Cục Bảo vệ thực vật biên soạn, Bộ Nông nghiệp và Phát triển nông thôn đề nghị, Tổng cục Tiêu chuẩn Đo lường Chất lượng thẩm định, Bộ Khoa học và Công nghệ công bố.
PHÂN BÓN - XÁC ĐỊNH HÀM LƯỢNG VITAMIN B7 BẰNG PHƯƠNG PHÁP SẮC KÝ LỎNG HIỆU NĂNG CAO (HPLC)
Fertilizers - Determination of vitamin B7 content by high performance liquid chromatography (HPLC)
1 Phạm vi áp dụng
Tiêu chuẩn này quy định phương pháp xác định hàm lượng vitamin B7 trong phân bón bằng phương pháp sắc ký lỏng hiệu năng cao (HPLC) đối với mẫu thử có hàm lượng vitamin B7 từ 20 mg/kg trở lên.
Thông tin giới thiệu hoạt chất vitamin B7 xem Phụ lục A.
2 Tài liệu viện dẫn
Các tài liệu viện dẫn sau đây là cần thiết để áp dụng tiêu chuẩn này. Đối với tài liệu viện dẫn ghi hăm công bố thì áp dụng phiên bản được nêu. Đối với các tài liệu viện dẫn không ghi năm công bố thì áp dụng phiên bản mới nhất, bao gồm cả các sửa đổi, bổ sung (nếu có).
TCVN 4851 (ISO 3696), Nước dùng để phân tích trong phòng thí nghiệm - Yêu cầu kỹ thuật và phương pháp thử
TCVN 9846:2018, Phân bón - Lấy mẫu.
TCVN 10683:2015 (ISO 8358:1991), Phân bón rắn - Phương pháp chuẩn bị mẫu để xác định các chỉ tiêu hóa học và vật lý.
TCVN 12105:2018, Phân bón vi sinh vật - Lấy mẫu.
3 Nguyên tắc
Vitamin B7 trong mẫu thử được chiết bằng dung dịch có tính kiềm nhẹ. Sau đó được xác định bằng phương pháp sắc ký lỏng hiệu năng cao, sử dụng cột sắc ký pha đảo C18 với detector tử ngoại (UV) ở bước sóng 200 nm. Kết quả định lượng được xác định vào phương pháp đường chuẩn.
4 Thuốc thử
Chỉ sử dụng các thuốc thử tinh khiết phân tích, nước dùng trong quá trình phân tích đạt loại 3 của TCVN 4851 (ISO 3696) hoặc có độ tinh khiết tương đương trừ khi có quy định khác.
4.1 Chất chuẩn vitamin B7 (biotin) (C10H16N2O3S), được chứng nhận hàm lượng.
4.2 Metanol (CH4O), dùng cho sắc ký lỏng.
4.3 Kali dihydro photphat (KH2PO4).
4.4 Natri hydroxit (NaOH)..
4.5 Axit photphoric (H3PO4), 85%.
4.6 Dung dịch natri hydroxit, nồng độ khoảng 1M
Dùng cân kỹ thuật (5.11) cân 4,0 g natri hydroxit (4.4) hòa tan vào 100 ml nước trong cốc thủy tinh dung tích 250 ml (5.1). Để nguội đến nhiệt độ phòng.
4.7 Dung dịch đệm
Dùng cân phân tích (5.7) cân 0,34 g kali dihydro photphat (4.3) hòa tan trong cốc thủy tinh dung tích 1000 ml (5.1) có chứa sẵn 900 ml nước. Điều chỉnh pH của dung dịch về 3,5 bằng axit photphoric (4.5). Chuyển dung dịch vào bình định mức dung tích 1000 ml (5.2), định mức đến vạch bằng nước.
4.8 Dung dịch chuẩn gốc vitamin B7, nồng độ 1000 mg/l
Dùng cân phân tích (5.7) cân khoảng 0,01 g chất chuẩn vitamin B7 (4.1), chính xác đến 0,00001 g vào bình định mức dung tích 10 ml (5.2), dùng pipet (5.3) thêm 1 ml dung dịch natri hydroxit 1M (4.6), định mức đến vạch bằng nước, siêu âm trong 5 min, để nguội đến nhiệt độ phòng.
Dung dịch chuẩn được lưu giữ trong bình tối màu và bảo quản mát từ 2 °C đến 4 °C và cần được kiểm tra trước khi sử dụng.
4.9 Dung dịch chuẩn trung gian vitamin B7, nồng độ 100 mg/l
Dùng pipet (5.3) hút 2 ml dung dịch chuẩn gốc (4.8) vào bình định mức dung tích 20ml (5.2), định mức đến vạch bằng nước, siêu âm trong 5 min, để nguội đến nhiệt độ phòng.
Chuẩn bị dung dịch chuẩn này trong ngày sử dụng.
4.10 Dãy dung dịch chuẩn làm việc vitamin B7, nồng độ khoảng 1 mg/l; 2 mg/l; 5 mg/l; 10 mg/l; 20 mg/l.
Dùng pipet (5.3) hút chính xác lần lượt 0,1 ml; 0,2 ml; 0,5 ml; 1 ml; 2 ml dung dịch chuẩn trung gian (4.9) vào lần lượt 5 bình định mức dung tích 10 ml (5.2), định mức đến vạch bằng nước, siêu âm trong 5 min, để nguội đến nhiệt độ phòng.
Chuẩn bị dung dịch chuẩn này trong ngày sử dụng.
5 Dụng cụ, thiết bị
Sử dụng các thiết bị, dụng cụ thông thường của phòng thử nghiệm và cụ thể như sau:
5.1 Cốc thủy tinh, dung tích 250 ml; 1000 ml.
5.2 Bình định mức, 10 dung tích ml; 20 ml; 50 ml; 1000 ml.
5.3 Pipet, pipet thủy tinh chia vạch dung tích 1 ml; 2 ml; 10 ml; 20 ml và micropipet thể tích 100-1000 μl
5.4 Xyranh bơm mẫu, dung tích 50 μl, chia vạch đến 1 μl hoặc bơm mẫu tự động
5.5 Đầu lọc, có kích thước lỗ 0,45 μl.
5.6 Bể siêu âm.
5.7 Cân phân tích, có độ chính xác đến 0,00001 g.
5.8 Xyranh, dung tích 1 ml.
5.9 Ống đong, dung tích 1000 ml.
5.10 Máy đo pH, khoảng đo 0,0 - 14,0.
5.11 Cân kỹ thuật, có độ chính xác đến 0,1 g.
5.12 Thiết bị sắc ký lỏng hiệu năng cao, được trang bị như sau:
- Thiết bị sắc ký lỏng hiệu năng cao với detector tử ngoại (UV)
- Máy tích phân hoặc máy vi tính
- Cột pha đảo C18, có chiều dài 250 mm, đường kính 4,6 mm, cỡ hạt pha tĩnh 5 μm hoặc loại tương đương.
- Bộ bơm mẫu tự động hoặc bơm mẫu bằng tay.
6 Lấy mẫu và chuẩn bị mẫu
6.1 Lấy mẫu
Đối với mẫu phân bón thường, lấy mẫu theo TCVN 9486:2018. Đối với mẫu phân bón vi sinh, lấy mẫu theo TCVN 12105:2018.
6.2 Chuẩn bị mẫu
6.2.1 Mẫu dạng rắn
Mẫu dạng rắn được chuẩn bị theo TCVN 10683:2015.
6.2.2 Mẫu dạng lỏng, dạng huyền phù
Mẫu dạng lỏng, dạng huyền phù thì phải lắc đồng nhất trước khi cân.
7 Cách tiến hành
7.1 Chuẩn bị dung dịch mẫu thử
7.1.1 Chuẩn bị dung dịch mẫu thử dạng rắn
Dùng cân phân tích (5.7) cân ít nhất 2 phần mẫu thử mỗi phần khoảng 2 g, chính xác đến 0,0001 g vào bình định mức dung tích 50 ml (5.2), dùng pipet (5.3) thêm 1 ml dung dịch natri hydroxit 1M (4.6) và 19 ml nước, siêu âm trong 15 min, để nguội đến nhiệt độ phòng. Lọc qua đầu lọc PTFE (5.5) bằng xyranh (5.8) trước khi bơm vào thiết bị.
7.1.2 Chuẩn bị dung dịch mẫu thử dạng lỏng, dạng huyền phù
Dùng cân phân tích (5.7) cân ít nhất 2 phần mẫu thử mỗi phần khoảng 2 g, chính xác đến 0,0001 g vào bình định mức dung tích 20 ml (5.2), dùng pipet (5.3) thêm 1 ml dung dịch natri hydroxit 1M (4.6) và định mức đến vạch bằng nước, siêu âm trong 15 min, để nguội đến nhiệt độ phòng. Lọc qua đầu lọc PTFE (5.5) bằng xyranh (5.8) trước khi bơm vào thiết bị.
7.2 Điều kiện phân tích
Tỷ lệ pha động: metanol (4.2): dung dịch đệm (4.7) = 35 : 65 (theo thể tích)
Bước sóng: 200 nm
Tốc độ dòng: 1,0ml/min
Kết quả phép thử là giá trị trung bình các kết quả của ít nhất hai lần thử được tiến hành song song, lấy 2 chữ số có nghĩa sau dấu phẩy. Nếu sai lệch giữa các lần thử lớn hơn 5% giá trị tương đối thì phải tiến hành làm lại.
9 Báo cáo thử nghiệm
Báo cáo thử nghiệm phải ghi rõ:
a) mọi thông tin cần thiết về việc nhận biết đầy đủ mẫu thử;
b) phương pháp lấy mẫu đã sử dụng;
c) phương pháp thử đã sử dụng và viện dẫn tiêu chuẩn này;
d) mọi thao tác không được quy định trong tiêu chuẩn này, hoặc những điều được coi là tự chọn, và bất kỳ chi tiết nào có ảnh hưởng tới kết quả;
e) kết quả thử nghiệm thu được.
Thể tích bơm mẫu: 20 μl
Nhiệt độ buồng cột: 45 °C
CHÚ THÍCH: Tỷ lệ thành phần pha động có thể thay đổi tùy theo nền mẫu và phải được đánh giá sự thay đổi này trước khi áp dụng.
7.3 Dựng đường chuẩn
Dựng đường chuẩn (tương quan giữa diện tích píc và nồng độ chất chuẩn) của vitamin B7 tại 5 điểm có nồng độ tương ứng với dãy dung dịch chuẩn làm việc (4.10).
7.4 Xác định
Dùng xyranh (5.4) bơm dung dịch chuẩn làm việc có nồng độ 1 mg/ml (4.10) cho đến khi số đo diện tích của pic mẫu chuẩn thay đổi không lớn hơn 3 %. Sau đó, bơm lần lượt các dung dịch chuẩn làm việc (4.10) nồng độ từ thấp đến cao và dung dịch mẫu thử (7.1). Nếu nồng độ của mẫu thử nằm ngoài đường chuẩn thì điều chỉnh bằng cách pha loãng dung dịch mẫu thử bằng nước.
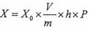
8 Tính kết quả
Hàm lượng của vitamin B7 trong mẫu, X, biểu thị bằng miligam trên kilogam (mg/kg), được tính theo công thức:
![]()
Trong đó:
Xo là nồng độ của vitamin B7 trong mẫu tính theo đường chuẩn, tính bằng miligam trên lit (mg/l);
V là thể tích dịch chiết của mẫu thử (7.1), tính bằng mililit (ml);
m là khối lượng mẫu thử, tính bằng gam (g);
h là hệ số pha loãng của mẫu thử trong trường hợp phải pha loãng nếu nồng độ mẫu thử nằm ngoài đường chuẩn (7.4);
P là độ tinh khiết của chất chuẩn.
Phụ lục A
(Tham khảo)
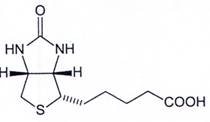
Thông tin về hoạt chất vitamin B7
- Công thức cấu tạo:

| - Tên hoạt chất: | Biotin |
| - Tên hoá học: | 5-[(3aS,4S,6aR)-2-oxo-1,3,3a,4,6,6a-hexahydrothieno[3,4-d]imidazol-4- yl]pentanoic acid |
| - Công thức phân tử: | C10H16N2O3S |
| - Khối lượng phân tử: | 244,31 g/mol |
| - Điểm nóng chảy: | 232 - 233 °C |
| - Độ tan: | 1 g trong 5 I nước (25 °C) 1g trong 1,3 I ethanol (25 °C) |
| - Dạng bề ngoài: | tinh thể màu trắng |
| - pKa: | 4,74 |
Phụ lục B
(Tham khảo)
Thông tin về sắc ký đồ điển hình, hiệu suất thu hồi và giới hạn định lượng của hoạt chất vitamin B7
B.1 Thông tin về sắc ký đồ điển hình của vitamin B7

Hình B1 - Sắc ký đồ của chất chuẩn vitamin B7 nồng độ khoảng 10 mg/l

Hình B2 - Sắc ký đồ của mẫu thử vitamin B7
B.2 Hiệu suất thu hồi và giới hạn định lượng
- Hiệu suất thu hồi ở mức nồng độ 20 mg/kg: từ 89,2% đến 98,1%
- Giới hạn định lượng của phương pháp: 20 mg/kg.
Thư mục tài liệu tham khảo
[1] Rani S, Kaur R, Malik AK, “HPLC Analysis of water-soluble Vitamins (B1, B2, B3, B6, B7 and B9) in Milk, Human Urine and Pharmaceutical Formulations", Chromatography And Separation Techiques Journal, 2018.
[2] Brendon D Gill, “A Rapid Method for the Determination of Biotin and Folic Acid in Liquid Milk, Milk Powders, Infant Formula, and Milk-Based Nutritional Products by Liquid Chromatography- Tandem Mass Spectrometry", Journal of AOAC International, May 2018.
[3] Paul Lawrance, “The determination of biotin in food using HPLC", National Measurement Office, Government Chemist Programme Report, September 2014.
Bạn chưa Đăng nhập thành viên.
Đây là tiện ích dành cho tài khoản thành viên. Vui lòng Đăng nhập để xem chi tiết. Nếu chưa có tài khoản, vui lòng Đăng ký tại đây!