- Tổng quan
- Nội dung
- Tiêu chuẩn liên quan
- Lược đồ
- Tải về
Tiêu chuẩn TCVN 13883:2023 Cột chống hợp kim nhôm kiểu ống lồng - Thông số kỹ thuật, thiết kế, đánh giá bằng tính toán và thử nghiệm
| Số hiệu: | TCVN 13883:2023 | Loại văn bản: | Tiêu chuẩn Việt Nam |
| Cơ quan ban hành: | Bộ Khoa học và Công nghệ | Lĩnh vực: | Công nghiệp |
| Trích yếu: | Cột chống hợp kim nhôm kiểu ống lồng - Thông số kỹ thuật, thiết kế, đánh giá bằng tính toán và thử nghiệm | ||
|
Ngày ban hành:
Ngày ban hành là ngày, tháng, năm văn bản được thông qua hoặc ký ban hành.
|
28/11/2023 |
Hiệu lực:
|
Đã biết
|
| Người ký: | Đang cập nhật |
Tình trạng hiệu lực:
Cho biết trạng thái hiệu lực của văn bản đang tra cứu: Chưa áp dụng, Còn hiệu lực, Hết hiệu lực, Hết hiệu lực 1 phần; Đã sửa đổi, Đính chính hay Không còn phù hợp,...
|
Đã biết
|
TÓM TẮT TIÊU CHUẨN VIỆT NAM TCVN 13883:2023
Tiêu chuẩn quốc gia TCVN 13883:2023 về Cột chống hợp kim nhôm: Những quy định quan trọng cho nhà thầu xây dựng
Tiêu chuẩn quốc gia TCVN 13883:2023, được ban hành ngày 29/12/2022, có hiệu lực từ ngày 01/6/2023, quy định các yêu cầu kỹ thuật và thiết kế cho cột chống hợp kim nhôm kiểu ống lồng. Tiêu chuẩn này không chỉ hỗ trợ việc sử dụng cột chống mà còn xác định các thông số kỹ thuật, phương pháp đánh giá qua tính toán và thử nghiệm cho các sản phẩm này, nhằm đảm bảo an toàn trong thi công xây dựng.
Quy định áp dụng và phân loại cột chống
- Tiêu chuẩn này áp dụng cho cột chống hợp kim nhôm sử dụng trong xây dựng để hỗ trợ hệ thống ván khuôn và giàn giáo.
- Cột chống được phân loại thành mười một nhóm dựa trên các thông số kỹ thuật về khả năng chịu tải, với trọng tải định mức từ 34 kN đến 148,5 kN.
Yêu cầu về vật liệu
- Vật liệu chế tạo cột chống cần đảm bảo khả năng chịu tải tốt và phải được bảo vệ chống lại sự ăn mòn.
- Cấm sử dụng thép đã khử ô xy dạng FU để sản xuất cột chống. Để được công nhận là hợp chuẩn, vật liệu phải tuân theo các tiêu chuẩn quốc gia, châu Âu và quốc tế liên quan.
Thiết kế và cấu tạo
- Cột chống cấu trúc gồm hai ống tròn có thể dịch chuyển tương đối nhờ vào cơ cấu điều chỉnh. Yêu cầu chiều dày tối thiểu của ống là 2 mm và có phương pháp tạo lỗ lắp chốt chặn cụ thể.
- Tấm đầu cột cần có ít nhất hai lỗ để cố định, với đường kính trung tâm tối thiểu là 28 mm; cường độ của tấm đầu cột phải thỏa mãn điều kiện cụ thể về vật liệu.
Phương pháp kiểm tra
- Các cột chống phải trải qua kiểm tra khả năng chịu tải thực, được xác minh bằng cả tính toán và thử nghiệm, đảm bảo rằng khả năng chịu tải thực không thấp hơn khả năng chịu tải danh định quy định.
- Các phương pháp kiểm tra bao gồm thử nghiệm nén cho cả ống có và không có ren, nhằm xác định lực kháng nén SR,k.
An toàn và bảo vệ
- Tiêu chuẩn cũng nêu rõ các biện pháp an toàn để phòng ngừa rủi ro cho người lao động trong việc sử dụng cột chống, như phải trang bị thiết bị ngăn chặn sự tách rời giữa các phần của cột.
Kết luận
TCVN 13883:2023 hướng tới việc tiêu chuẩn hóa và cải thiện an toàn trong ngành xây dựng thông qua việc cụ thể hóa các yêu cầu kỹ thuật cho cột chống hợp kim nhôm. Đối với nhà thầu xây dựng, việc tuân thủ các quy định này là cần thiết để đảm bảo chất lượng và độ an toàn cho các công trình xây dựng.
Tải tiêu chuẩn Việt Nam TCVN 13883:2023
TIÊU CHUẨN QUỐC GIA
TCVN 13883:2023
CỘT CHỐNG HỢP KIM NHÔM KIỂU ỐNG LỒNG - THÔNG SỐ KỸ THUẬT, THIẾT KẾ, ĐÁNH GIÁ BẰNG TÍNH TOÁN VÀ THỬ NGHIỆM
Adjustable telescopic aluminium props - Product specifications, design and assessment by calculation and tests
Lời nói đầu
TCVN 13883:2023 được xây dựng trên cơ sở tham khảo EN 16031 - 2012 Adjustable telescopic aluminium props - Product specifications, design and assessment by calculation and tests.
TCVN 13883:2023 do Trường Đại học Kiến trúc Hà Nội biên soạn, Bộ Xây dựng đề nghị, Tổng cục Tiêu chuẩn Đo lường Chất lượng thẩm định, Bộ Khoa học và Công nghệ công bố.
Lời giới thiệu
TCVN 13883:2023 đề cập tới các cột chống hợp kim nhôm kiểu ống lồng (sau đây gọi tắt là cột chống) loại hiện đang được sử dụng phổ biến trong hệ cột chống ván khuôn xây dựng. Tiêu chuẩn này không nhằm mục đích tạo lợi thế riêng cho cột chống hợp kim nhôm kiểu ống lồng, không cản trở sự phát triển các loại cột chống khác. Các loại cột chống khác có thể không áp dụng trọn vẹn tiêu chuẩn này có thể áp dụng các nguyên lý thiết kế, đánh giá cột theo tiêu chuẩn này.
Sản phẩm hợp chuẩn TCVN 13883:2023 chủ yếu sử dụng cho hệ cột chống ván khuôn và giàn giáo theo tiêu chuẩn EN 12812.
Các giá trị về khả năng chịu tải danh định của cột chống được liệt kê trong tiêu chuẩn này là số liệu dùng để phân loại nhóm cột. Khi sử dụng trên công trường, các hệ số γF, γM có thể lấy từ EN 12812.
CỘT CHỐNG HỢP KIM NHÔM KIỂU ỐNG LỒNG - THÔNG SỐ KỸ THUẬT, THIẾT KẾ, ĐÁNH GIÁ BẰNG TÍNH TOÁN VÀ THỬ NGHIỆM
Adjustable telescopic aluminium props - Product specifications, design and assessment by calculation and tests
1 Phạm vi áp dụng
Tiêu chuẩn này quy định các yêu cầu về vật liệu, thiết kế, ký hiệu quy ước, nhãn hiệu và các phương pháp đánh giá cột chống hợp kim nhôm sử dụng trong thi công xây dựng bằng hai phương pháp là tính toán và thử nghiệm.
Tiêu chuẩn này phân loại cột chống hợp kim nhôm thành mười một nhóm theo khả năng chịu tải danh định và mỗi nhóm trên lại được phân loại thành các nhóm nhỏ theo chiều dài cột lớn nhất.
2 Tài liệu viện dẫn
Các tài liệu viện dẫn sau rất cần thiết cho việc áp dụng tiêu chuẩn này. Đối với các tài liệu viện dẫn ghi năm công bố thì áp dụng phiên bản năm đó. Đối với các tài liệu viện dẫn không ghi năm công bố thì áp dụng phiên bản mới nhất, bao gồm cả các sửa đổi, bổ sung (nếu có).
TCVN 11236:2015 (ISO 10474:2013), Thép và sản phẩm thép - Tài liệu kiểm tra
TCVN 13661:2022, Cột chống thép kiểu ống lồng - Thông số kỹ thuật, thiết kế, đánh giá bằng tính toán và thử nghiệm
EN 74-1, Couplers, spigot pins and baseplates for use in falsework and scaffolds - Part 1: Couplers for tubes - Requirements and test procedures (Khóa giáo, chốt khóa măng xông và tấm đế sử dụng cho giàn giáo và hệ cột chống ván khuôn. Phần 1: Khóa giáo dùng cho ống thép rời - Các yêu cầu và phương pháp thử)
EN 74-2, Couplers, spigot pins and baseplates for use in falsework and scaffolds - Part 2: Special couplers - Requirements and test procedures (Khóa giáo, chốt khóa măng xông và tấm đế sử dụng cho giàn giáo và hệ cột chống ván khuôn. Phần 2: Khóa giáo đặc biệt dùng cho ống thép rời - Cốc yêu cầu và phương pháp thử)
EN 1999 1-1 Eurocode 9, Design of aluminium structures - Part 1-1: General structural rules (Thiết kế kết cấu nhôm - Phần 1-1: Quy định chung)
EN 1090-3:2008, Execution of steel structures and aluminium structures - Part 3: Technical requirements for aluminium structures (Thi công kết cấu thép và nhôm - Phần 3: Các yêu cầu kỹ thuật đối với kết cấu nhôm)
EN 10204:2004, Metallic materials - Types of inspection documents (Vật liệu kim loại- Các loại tài liệu)
EN 12811-1, Temporary works equipment - Part 1: Scaffolds - Performance requirements and general design (Kết cấu tạm - Phần 1: Giàn giáo - Các yêu cầu làm việc và nguyên tắc thiết kế chung)
EN 12811-2:2004, Temporary works equipment - Part 2: Information on materials (Kết cấu tạm - Phần 2: Thông tin về vật liệu)
EN 12811-3:2002, Temporary works equipment - Part 3: Load testing (Kết cấu tạm - Phần 3: Thử tải)
EN 12812, Falsework - Performance requirements and general design (Hệ cột chống ván khuôn - Các yêu cầu làm việc và nguyên tắc thiết kế chung kiểm tra)
3 Thuật ngữ và định nghĩa
Tiêu chuẩn này sử dụng các thuật ngữ và định nghĩa sau:
3.1
Cột chống hợp kim nhôm kiểu ống lồng (Adjustable telescopic aluminium prop)
Bộ phận chịu nén thường được dùng làm cột chống cho các kết cấu xây dựng tạm thời như hệ cột chống ván khuôn hoặc giàn giáo. Một cột chống có cấu tạo gồm hai đoạn ống tròn hoặc ống định hình xếp lồng vào nhau và có thể dịch chuyển tương đối với nhau nhờ cơ cấu điều chỉnh chiều dải bằng ống trong được tiện ren (xem Hình 1) hoặc với chốt chặn lắp xuyên qua lỗ trên thân ống trong và một cơ cấu tinh chỉnh chiều dài cột chống bằng đai ốc có ren (xem Hình 2)
CHÚ THÍCH 1: Cột chống hợp kim nhôm kiểu ống lồng thường được dùng làm các bộ phận chịu nén thẳng đứng cho các kết cấu tạm trong xây dựng.
3.2
Tấm đầu cột (endplate)
Tấm cố định vuông góc với đầu mút của ống trong và ống ngoài
3.3
Đai ốc điều chỉnh (collar nut)
Đai ốc có ren trong để tinh chỉnh chiều dài cột, nó truyền lực từ ống trong lên ống ngoài thông qua ren của ống trong hoặc thông qua chốt chặn
3.4
Ống trong (inner tube)
Ống nhỏ hơn, có thể là ống định hình hoặc ống có ren hoặc có các lỗ lắp chốt chặn dùng để điều chỉnh sơ bộ chiều dài của cột chống
3.5
Ống ngoài (outer tube)
Ống lớn hơn, có thể là ống định hình, một đầu mút của ống có thể có ren ngoài (xem Hình 1 và 2)
3.6
Chiều dài cột chống khi kéo ra lớn nhất (length at maximum extension)
Khoảng cách danh định đo giữa các mặt ngoài của các tấm đầu cột khi cột chống được kéo ra hoàn toàn (cơ cấu điều chỉnh mở hoàn toàn)
3.7
Chiều dài của cột chống khi thu lại nhỏ nhất (length at minimum extension)
Khoảng cách danh định đo giữa các mặt ngoài của các tấm đầu cột khi cột chống được thu lại nhỏ nhất
3.8
Chiều dài làm việc nhỏ nhất (minimum working length)
Khoảng cách danh định đo giữa các mặt ngoài của các tấm đầu cột và là chiều dài cần thiết cho phép tháo dỡ và di chuyển cột chống một cách an toàn
3.9
Thiết bị an toàn (safety device)
Thiết bị có nhiệm vụ phòng ngừa sự tách rời không chủ ý giữa ống trong và ống ngoài và/hoặc những thiết bị có nhiệm vụ đảm bảo chiều dài nhỏ nhất phần lồng nhau giữa ống trong và ống ngoài
3.10
Chốt chặn (pin)
Chi tiết thuộc cơ cấu điều chỉnh chiều dài cột chống được lắp xuyên qua các lỗ trên ống trong và cố định vào cột
|
| CHÚ DẪN: 1 các tấm đầu cột (gồm: Tấm đỡ trên và tấm đế) 2 ống ngoài 3 ống trong 4 cơ cấu điều chỉnh chiều dài cột (đai ốc điều chỉnh) 5 thiết bị khóa (thiết bị an toàn) |
Hình 1 - Ví dụ cột chống hợp kim nhôm kiểu ống lồng (loại 1)
|
| CHÚ DẪN: 1 các tấm đầu cột (gồm: Tấm đỡ trên và tấm đế) 2 ống ngoài 3 ống trong 4.1 chốt chặn 4.2 đai ốc điều chỉnh 4.3 tay vặn 5 lỗ tại tâm tấm đỡ trên 6 các lỗ đóng đinh (các lỗ của tấm đỡ trên dùng để đóng đinh cố định xà của ván khuôn, các lỗ của tấm đế dùng để đóng đinh cố định tấm đế vào tấm lót) 7 lỗ lắp chốt chặn. |
Hình 2 - Ví dụ cột chống hợp kim nhôm kiểu ống lồng (loại 2)
3.11
Tải trọng làm việc (working load)
Khả năng chịu tải danh định của các cột chống theo các nhóm được phân loại bằng các hệ số an toàn tối thiểu lấy theo tiêu chuẩn EN 12812
CHÚ THÍCH 1: Cho phép lấy hệ số an toán cao hơn quy chuẩn quốc gia
4 Ký hiệu các đại lượng
| Ký hiệu | Tên gọi | Đơn vị |
| Di | Đường kính ngoài của ống trong | mm |
| Dm | Đường kính đỉnh ren của đai ốc điều chỉnh chính | mm |
| Dp | Đường kính chốt | mm |
| eb,core | Độ lệch tâm tại tấm đế khi có hiệu ứng đàn hồi | mm |
| e(N) | Độ lệch tâm giới hạn của lực dọc trục | mm |
| cb | Độ cứng đàn hồi | N.mm/rad |
| eb, limit | Độ lệch tâm giới hạn tại tấm đế | mm |
| eb,0 | Độ lệch tâm ban đầu tại tấm đế | mm |
| et | Độ lệch tâm tại đỉnh cột | mm |
| fy | Giới hạn chảy | N/mm2 |
| fy, act | Giới hạn chảy thực tế | N/mm2 |
| fy,nom | Giới hạn chảy danh định | N/mm2 |
| f0 | Giá trị đặc trưng của giới hạn chảy quy ước tại điểm chuyển tiếp giữa cột và tấm đế | N/mm2 |
| f0,HAZ | Giá trị đặc trưng của giới hạn chảy quy ước tại điểm chuyển tiếp giữa cột và tấm đế được xác định có kể đến vùng ảnh hưởng nhiệt | N/mm2 |
| ℓ | Chiều dài điều chỉnh thực của cột | m |
| ℓmax | Chiều dài cột khi điều chỉnh dài nhất | m |
| ℓ0 | Chiều dài đoạn lồng lên nhau giữa ống trong và ống ngoài | mm |
| Mpl | Mô men giới hạn mặt cắt | kN.m |
| Mpl,N | Độ giảm mô men kháng dẻo của mặt cắt | kN.m |
| N | Lực dọc trục (lực thẳng đứng) | kN |
| NR,k | Lực kháng nén | kN |
| NC,i | Lực uốn tới hạn | kN |
| Npl | Kháng nén dẻo danh định mặt cắt ngang | kN |
| R | Khả năng chịu tải của cột | kN |
| Rb,t | Khả năng chịu tải của ống | kN |
| Rp | Khả năng chịu tải của chốt | kN |
| Ru | Tải trọng phá hoại của một thử nghiệm | kN |
| Ry,act | Khả năng chịu tải thực của cột chống nhóm y, trong đó y tương ứng với các nhóm từ A đến W | kN |
| Ry,k | Khả năng chịu tải danh định của cột chống nhóm y, trong đó y tương ứng với các nhóm từ A đến W | kN |
| Ry,t | Khả năng chịu tải nhỏ nhất ước tính theo kết quả thử nghiệm cột nguyên chiếc | kN |
| Ry,a | Khả năng chịu tải trung bình ước tính theo kết quả thử nghiệm cột nguyên chiếc | kN |
| Rad,k | Khả năng chịu tải nén | kN |
| V | Tải trọng thẳng đứng | kN |
| Δφ0 | Góc nghiêng giữa ống trong và ống ngoài | rad |
| γM | Hệ số an toàn riêng cho độ bền | 1 |
| γM1, γM2 | Hệ số an toàn riêng cho vật liệu | 1 |
| γF | Hệ số an toàn riêng cho tác động | 1 |
5 Phân loại
Cột chống hợp kim nhôm kiểu ống lồng phải được phân loại theo đặc tính khả năng chịu tải danh định Ry,k theo Bảng 1 (nhóm theo tải trọng) và theo chiều dài cột khi điều chỉnh dài nhất ℓmax theo Bảng 2 (phân loại theo chiều dài).
Bảng 1 - Phân loại cột chống theo khả năng chịu tải
| Nhóm theo tải trọng | Giá trị khả năng chịu tải danh định Ry,k |
| A |
|
| B |
|
| C |
|
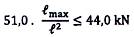
| D | 34,0 kN |
| E | 51,0 kN |
| R | 66,0 kN |
| S | 82,5 kN |
| T | 99,0 kN |
| U | 115,5 kN |
| V | 132,0 kN |
| W | 148,5 kN |
trong đó:
ℓmax chiều dài cột khi điều chỉnh dài nhất, tính bằng m;
ℓ chiều dài điều chỉnh thực của cột, tính bằng m.
Bảng 2 - Phân loại cột chống theo chiều dài
| Nhóm theo chiều dài | Chiều dài cột khi điều chỉnh dài nhất ℓmax |
| 10 | 1,00 m ≤ ℓmax ≤ 1,49 m |
| 15 | 1,50 m ≤ ℓmax ≤ 1,99 m |
| 20 | 2,00 m ≤ ℓmax ≤ 2,49 m |
| 25 | 2,50 m ≤ ℓmax ≤ 2,99 m |
| 30 | 3,00 m ≤ ℓmax ≤ 3,49 m |
| 35 | 3,50 m ≤ ℓmax ≤ 3,99 m |
| 40 | 4,00 m ≤ ℓmax ≤ 4,49 m |
| 45 | 4,50 m ≤ ℓmax ≤ 4,99 m |
| 50 | 5,00 m ≤ ℓmax ≤ 5,49 m |
| 55 | 5,50 m ≤ ℓmax ≤ 5,99 m |
| 60 | 6,00 m ≤ ℓmax ≤ 6,49 m |
| 65 | 6,50 m ≤ ℓmax ≤ 6,99 m |
| 70 | 7,00 m ≤ ℓmax ≤ 7,50 m |
6 Ký hiệu quy ước
VÍ DỤ: TCVN 13883:2023 R65/49 T1 M được giải thích cách viết ký hiệu quy ước như sau:
| Ký hiệu TCVN 13883:2023 | số hiệu tiêu chuẩn TCVN 13883:2023; |
| Ký hiệu “R65” | nhóm tải trọng R65; |
| Ký hiệu “49” | có chiều dài nhỏ nhất là “49” dm; |
| Ký hiệu “T1” | cột chống loại 1 với ống trong có ren; |
| Ký hiệu “M” | kiểm tra chất lượng trong quá trình sản xuất cột mức M. |
Cụ thể viết ký hiệu như dưới đây:

7 Vật liệu
Vật liệu sản xuất cột chống phải có khả năng chịu tải tốt và phải được bảo vệ chống ăn mòn. Vật liệu sản xuất cột chống không được chứa các tạp chất và các khuyết tật có thể ảnh hưởng xấu tới khả năng làm việc. Các loại thép đã khử ô xi dạng FU (thép sôi) không được sử dụng để sản xuất cột chống.
Vật liệu được lựa chọn để sản xuất cột chống phải phù hợp các tiêu chuẩn quốc gia, tiêu chuẩn châu Âu, tiêu chuẩn quốc tế và tiêu chuẩn nước ngoài có liên quan. Vật liệu sản xuất cột chống, trong mọi trường hợp, phải thỏa mãn các yêu cầu của các tiêu chuẩn sau đây: EN 12811-2:2004 ( đặc biệt Điều 6) và EN 1999 1-1 đối với nhôm.
8 Các yêu cầu
8.1 Ống
Các bản vẽ chính của cột phải có chỉ dẫn phương pháp tạo lỗ lắp chốt chặn.
CHÚ THÍCH: Ưu tiên phương pháp khoan tạo lỗ lắp chốt chặn.
Đối với Ống nhôm định hình phải có chiều dày thành ống danh định tối thiểu là 2 mm.
Đối với ống có thể dùng với khóa giáo theo EN 74-1 và EN 74-2 thì xem các yêu cầu trong tiêu chuẩn EN 12811-1.
8.2 Mối hàn
Công tác hàn phải được tiến hành tuân thủ cấp thực hành chất lượng bậc 2 của tiêu chuẩn EN 1090- 3:2008.
8.3 Cơ cấu điều chỉnh chiều dài cột chống
Một cột chống phải có một cơ cấu điều chỉnh chiều dài để hiệu chỉnh chiều dài cột từ nhỏ nhất tới lớn nhất.
Cơ cấu điều chỉnh chiều dài phải là một trong hai loại sau:
1) một đai ốc điều chỉnh có ren trong, được cố định với ống ngoài bằng cách ăn khớp với ren ngoài của ống trong (loại 1) (xem Hình 1); hoặc
2) một chốt chặn lắp xuyên qua các lỗ ống trong và một đai ốc điều chỉnh có ren ăn khớp với ren trên ống ngoài (loại 2) (xem Hình 2).
8.4 Bảo vệ cố định chống tự tách rời ngẫu nhiên
Các bộ phận trong và ngoài của một cột chống phải được chống bị tách rời hoàn toàn, ngoại trừ do tác động có chủ ý. Để đạt được điều đó phải áp dụng một trong những phương án sau:
- Phương án an toàn 1: khóa hoàn toàn mối ghép (xem Hình 3a);
CHÚ THÍCH: Phương án an toàn 1 thường được sử dụng cho cột chống loại 2.
- Phương án an toàn 2: một thiết bị an toàn tự động và một khóa hoàn toàn mối ghép phụ (xem Hình 3b);
- Phương án an toàn 3: hai thiết bị an toàn tự động độc lập lắp trên thành ống hoạt động không đối nghịch nhau (xem Hình 3c);
- Phương án an toàn 4: một thiết bị an toàn tự động được khóa bằng một thiết bị an toàn hoàn toàn tự động phụ (xem Hình 3d).
Thiết bị an toàn hoàn toàn tự động phụ phải được thiết kế sao cho nó chỉ có thể đóng hoặc mở bởi tối thiểu hai tác động liên tục bằng tay và có chủ ý.

CHÚ DẪN:
1 khóa hoàn toàn mối ghép
2 thiết bị an toàn tự động
3 thiết bị an toàn tự động phụ
4 lò xo
Hình 3 - Ví dụ về các phương án bố trí thiết bị khóa an toàn
8.5 Chống kẹt tay
Đối với cột chống loại 2, khi chiều dài của cột chống khi thu lại nhỏ nhất và không lắp chốt, thì khoảng cách giữa đầu mút trên cùng của ống ngoài và mặt trong của tấm đầu cột phải lớn hơn hoặc bằng 100 mm.
8.6 Chiều dài đoạn lồng nhau giữa ống trong và ống ngoài
Khi chiều dài cột chống khi kéo ra lớn nhất, chiều dài đoạn lồng lên nhau giữa ống trong và ống ngoài to phải lớn hơn hoặc bằng 300 mm.
8.7 Tấm đầu cột
Tấm đầu cột của các cột chống thuộc nhóm A, B, C, D và E phải tuân thủ điều 7.5 của TCVN 13661:2022. Tấm đầu cột của các cột thuộc nhóm R, S, T, U, V và W phải có dạng hình vuông hoặc hình chữ nhật.
Các tấm đầu cột phải có tối thiểu hai lỗ để cố định với xà đỡ hoặc tấm lót bằng đinh. Nếu các tấm đầu cột phải có lỗ trung tâm thì đường kính của lỗ đó phải lớn hơn hoặc bằng 28 mm.
Nếu tấm đầu cột phẳng bằng hợp kim nhôm thì vật liệu hợp kim nhôm đó phải có giới hạn chảy lớn hơn hoặc bằng 195 N/mm2. Tấm đầu cột phẳng bằng hợp kim nhôm phải có chiều dày danh định tối thiểu là 10 mm.
Tấm đầu cột định hình phải có độ cứng đàn hồi và cường độ chịu uốn tối thiểu tương đương với tấm đầu cột phẳng bằng hợp kim nhôm tương ứng.
Cạnh góc của các tấm đầu cột phải được vo tròn với bán kính vo tròn tối thiểu là 5 mm.
9 Phương pháp kiểm tra xác nhận
9.1 Yêu cầu chung
Các đặc tính kỹ thuật cột chống phải được kiểm tra xác nhận theo các bước trong Bảng 3.
Khả năng chịu tải thực Ry,act của một cột chống phải được kiểm tra xác nhận bằng cả hai phương án: khi ống ngoài ở phía dưới và khi ống trong ở phía dưới.
Khả năng chịu tải thực Ry,act của một cột chống thuộc các nhóm A, B hoặc C phải được kiểm tra xác nhận khi cột chống thu lại nhỏ nhất cũng như và đồng thời khi cột chống được kéo dài ở vị trí bất lợi nhất. Vị trí bất lợi nhất của cột chống là khi tỷ số Ry,act/Ry,k nhỏ nhất.
Khả năng chịu tải thực Ry,act của một cột chống tại mọi vị trí kéo dài phải có giá lớn hơn hoặc bằng Khả năng chịu tải danh định Ry,k được xác định trong Bảng 1.
Bảng 3 - Các bước kiểm tra xác nhận cột chống
| Bước | Tên đặc tính kỹ thuật | Phương pháp Kiểm tra xác nhận |
| 1 | Khả năng chịu tải thực của cột chống Ry,act | Xác định bằng tính toán với sự trợ giúp bởi các thử nghiệm các bộ phận theo 10.2 và xác nhận bằng các thử nghiệm theo 10.4. |
| 2 | Khả năng chịu tải của cơ cấu điều chỉnh chiều dài cột chống | Xác định bằng các thử nghiệm tuân thủ 9.3. |
| 3 | Bảo vệ chống tự tách rời ngẫu nhiên | Bằng các thử nghiệm tuân thủ 10.3. |
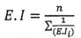
Phân tích toàn bộ cột chống để xác định nội lực và nội mô men thì phải theo nguyên tắc phân tích thiết kế đàn hồi, với giả định rằng ứng xử của vật liệu là tuyến tính ở tất cả các mức ứng suất. Sức bền của các tiết diện ngang có thể được tính toán bằng cách sử dụng sự phân bố ứng suất dẻo. Đối với phân tích toàn bộ cột chống, sử dụng lý thuyết bậc hai có tính đến ảnh hưởng của các biến dạng kết cấu đến nội lực và nội mô men.
Các giá trị lực kháng nén, mô men kháng uốn, độ cứng và độ lệch tâm tại đế cột phải được xác định bằng tính toán hoặc bằng thử nghiệm theo 10.2 để phục vụ cho mô hình phân tích đã chọn.
9.2 Tính toán khả năng chịu tải của cột chống
9.2.1 Yêu cầu chung
Các tính toán khả năng chịu tải của cột chống phải sử dụng sơ đồ kết cấu có trong Hình 4.
Phải lưu ý các biến dạng của ống trong ở đoạn lồng nhau khi tính toán tính toán khả năng chịu tải của cột chống.
Phải lưu ý các điểm tiếp xúc bổ sung xảy ra khi có sự lỏng ra giữa ống trong và ống ngoài khi tính toán khả năng chịu tải của cột chống.
9.2.2 Các sai lệch
9.2.2.1 Góc nghiêng Δφ0 so với phương thẳng đứng

CHÚ DẪN:
| 1 | mặt trên của tấm đầu cột | w0 | cong của cột chống khi chưa chịu tải |
| 2 | ống trong có ren | Δφ0 | góc nghiêng cột so với phương thẳng đứng |
| 3 | ống ngoài | V | tải thẳng đứng (Ry,k hoặc Ry.act) |
| 4 | mặt phẳng dưới tấm đế | a) | cột chống loại 1 |
| 5 | ống trong có lỗ cắm chốt chặn | b) | cột chống loại 2 |
| et | lệch tâm tại đỉnh cột | c) | sơ đồ tính toán |
Hình 4 -Sơ đồ tính toán các đặc tính khả năng chịu tải thực của các nhóm cột chống
Góc nghiêng Δφ0 so với phương thẳng đứng (xem Hình 4) là góc xuất hiện do có khe hở giữa ống trong và ngoài tại vùng lồng nhau và phải xác định theo các kích thước danh định của các ống.
Chi tiết xem trong Hình 5 hoặc Hình 8.
9.2.2.2 Cong vênh của cột chống khi chưa chịu tải
Cùng với góc nghiêng Δφ0 tồn tại sự cong vênh hình sin dọc trục của cột chống khi chưa chịu tải tối đa w0 tuân thủ theo trình tự kiểm tra xác nhận giả thiết rằng:
- quy trình kiểm tra xác nhận đàn hồi - đàn hồi: w0 = ℓ/375;
- quy trình kiểm tra xác nhận đàn hồi - dẻo: w0 = ℓ/250.
9.2.3 Làm việc của ống trong và ống ngoài
9.2.3.1 Độ bền
Độ cứng nén dọc trục và độ cứng uốn của ống phải được tính toán hoặc phải xác định bằng các thử nghiệm từng bộ phận theo 10.2.
Đối với ống trong của cột chống loại 2, sự giảm độ bền chống uốn do có lỗ lắp chốt chặn phải được tính toán; đối với những ống tròn thì tuân thủ theo Phụ lục A của tiêu chuẩn TCVN 13661:2022. Nếu lỗ lắp chốt chặn không chế tạo bằng phương pháp khoan, thì phải tiến hành kiểm tra và đo kích thước biến dạng của lỗ trên thân ống, trên cơ sở đó tính toán các đặc tính hình học của mặt cắt có biến dạng của ống.
9.2.3.2 Khả năng chịu tải của ống
Mô men giới hạn mặt cắt Mpl,k và và kháng nén mặt cắt Npl,k của ống phải được tính toán hoặc xác định bằng các thử nghiệm từng bộ phận theo 10.2.
Mô men MR,k(N) phải được xác định có xem xét ảnh hưởng của các lực dọc trục.
Mô men MR,k(N) có thể được tính toán cho các ống tròn và ống định hình theo công thức sau:
|
| (1) |
trong đó:
MR,k(N) mô men kháng dẻo quy đổi cho phép đối với lực dọc trục;
Mpl,k mô men giới hạn của toàn bộ mặt cắt ngang (αpl ≤ 1,25 );
N là lực dọc trục (Ry,k, (xem Bảng 1 hoặc Ry,act));
Npl,k là kháng nén của toàn bộ mặt cắt ngang.
Ảnh hưởng của mất ổn định cục bộ phải được đánh giá tuân thủ theo EN 1999 1-1 Eurocode 9 hoặc xem xét tới việc tuân thủ theo 10.2.1 của tiêu chuẩn này.
CHÚ THÍCH 1: Trường hợp trình tự xác nhận đàn hồi - đàn hồi thì cường độ kháng của ống cần được tính bằng cách sử dụng phân bổ ứng suất tuyến tính.
CHÚ THÍCH 2: Các công thức để xác định các đặc tính kết cấu của ống tròn có khoan lỗ là những công thức tính tuân thủ theo Phụ lục A của TCVN 13661:2022.
9.2.4 Điều kiện biên
9.2.4.1 Lệch tâm tại các đầu cột
9.2.4.1.1 Lệch tâm tại đỉnh cột
Xác nhận độ lệch tâm tại đỉnh cột et = 10 mm (xem Hình 4).
9.2.4.1.2 Lệch tâm tại đế cột
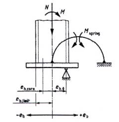
Một trong hai mô hình kết cấu a) hoặc b) phải được sử dụng để tính toán lệch tâm tại đế cột.
Mô hình kết cấu a)
Phải xác nhận các lệch tâm sau (xem Hình 5):
eb,0 = 0,40 · D1;
eb,core = - 0,25 · D1;
eb,limit = - min {0,50 · D1; e(N)}.

Hình 5 - Lệch tâm tại tấm đế - mô hình kết cấu a)
trong đó:
D1 đường kính hiệu dụng tại đế tính bằng mm (xem hình 6).
Đường kính hiệu dụng D1 phải tính bằng cách lấy cả hai đường kính ngoài của ống định hình và, nếu ống hàn vào tấm đế thì phải tính cả chiều dày của tấm đế. Các công thức và Hình 6 dưới đây là các ví dụ tính toán: Tấm đế được hàn: D1 = D + 2.t (t là chiều dày tấm đế); tấm đế không hàn: D1 = D.

Hình 6 - Đường kính hiệu dụng D1
CHÚ THÍCH: Kháng uốn đàn hồi nhỏ nhất của ống định hình có thể tương ứng với đường kính hiệu dụng lớn nhất D1. Một phân tích đơn giản có thể sử dụng với kháng uốn nhỏ nhất và đường kính hiệu dụng nhỏ nhất. Nói cách khác, các phép tính toán phải thực hiện theo cả hai hướng bằng cách sử dụng các thông số kháng uốn và đường kính hiệu dụng tương ứng.
e(N) là độ lệch tâm giới hạn của lực dọc trục N và có thể được xác định bằng một trong hai cách:
- bằng thử nghiệm chi tiết theo 10.2.4, hoặc
- bằng đơn giản hóa tính toán khi cho rằng hướng của tải đi qua một vùng cục bộ duy nhất chịu nén (xem Hình 7).
Để tính toán e(N) là khoảng cách giữa trọng tâm C của toàn bộ mặt cắt ngang A - A và trọng tâm của phần diện tích S(A(N)) của phần mặt cắt A(N) thuộc cùng mặt cắt A - A (xem Hình 7).
|
| (2) |
trong đó:
N lực dọc trục (Ry,k hoặc Ry,act);
f0 giá trị đặc trưng của giới hạn chảy quy ước tại điểm chuyển tiếp giữa cột và tấm đế (mặt cắt A - A, xem Hình 7). Nếu có mối hàn giữa ống và tấm đế thì f0 được xác định có tính đến hệ số ảnh hưởng do nhiệt f0,HAZ.

Hình 7 - Sơ đồ đơn giản để tính khoảng cách e(N)
Mô hình kết cấu b)
Giả sử chấp nhận các độ lệch tâm như dưới đây (xem Hình 8):
eb,0 = 5 mm

Hình 8 - Các lệch tâm tại tấm đế - mô hình kết cấu b)
9.2.4.2 Độ cứng tại đầu và đế cột
9.2.4.2.1 Độ cứng tại đầu cột
Giả sử đầu cột là một khớp (xem Hình 4).
9.2.4.2.1 Độ cứng tại đế cột
Mô hình kết cấu a)
Trong mô hình kết cấu a) (xem 9.2.4.1.2) mối quan hệ giữa mô men đàn hồi quy ước Mspring (xem Hình 5) và góc quay của cột tại chân đế được lấy như mô tả trong Hình 9.
Khi giá trị tỷ số Mspring/N lớn hơn tổng |eb,0| + |eb,limit| thì khả năng chịu tải của cột được cho là đã tới hạn.

Hình 9 - Mối quan hệ giữa mô men đàn hồi quy ước Mspring và góc quay của cột tại chân đế
CHÚ THÍCH: Sử dụng mô hình kết cấu với các đặc tính cơ phụ thuộc vào tải để tính toán cho tấm đế cột chống (xem Hình 9). Giả sử, tấm đế cột chống làm việc kiều bệ đỡ dạng bản lề với độ lệch tâm ban đầu tại tấm đế eb,0. Ngay khi góc quay đế đạt φ0 = π/180 rad (φ0 ≥ 1°) thì sự quay chân đế dừng lại cho tới khi tỷ số Mspring /N đạt giá trị độ lệch tâm ban đầu tại tấm đế |eb,0| + |eb,core| = 0.65 D1. Đối với các giá trị của tỷ số Mspring /N lớn hơn, một độ cứng đàn hồi cb = 3 × 107 N.mm/rad được chấp nhận cho tới khi giá trị của tỷ số Mspring /N tăng đạt tới độ lệch tâm giới hạn |eb,0| + |eb,core|.
Mô hình kết cấu b)
Trong mô hình kết cấu b) giả thiết rằng đế cột là một khớp (xem 9.2.4.1.2).
9.2.5 Xác nhận khả năng chịu tải trọng cột chống
Giá trị tính toán đặc tính khả năng chịu tải thực của cột chống Ry,act phải so sánh với đặc tính khả năng chịu tải danh định Ry,k trong Bảng 1 của các cột chống cùng nhóm và cùng độ kéo dài. Ry,act không được nhỏ hơn Ry,k.
9.3 Xác nhận tải trọng cơ cấu điều chỉnh chiều dài cột
Tải trọng cơ cấu điều chỉnh chiều dài cột phải được kiểm tra xác nhận bằng các thử nghiệm nén tuân thủ theo 10.3. Khả năng chịu tải nén Rad,k không được nhỏ hơn khả năng chịu tải tính toán thực Ry,act.
9.4 Kiểm tra bảo vệ chống tự thu ngắn ngẫu nhiên của cột chống
Cột chống đáp ứng bảo vệ chống tự thu ngắn ngẫu nhiên khi được thử nghiệm theo 10.4 và sau thử nghiệm liên kết giữa ống trong và ống ngoài không bị tách rời.
9.5 Xác nhận kết quả tính toán bằng thử nghiệm
Để xác nhận kết quả tính toán, phải thực hiện các thử nghiệm xác nhận tuân thủ theo 10.4. Khả năng chịu tải nhỏ nhất ước tính theo kết quả thử nghiệm cột nguyên chiếc Ry,t không được nhỏ hơn 0,95.Ry,act và khả năng chịu tải trung bình Ry,a không được nhỏ hơn Ry,act.
10 Thử nghiệm
10.1 Quy định chung
Nếu thử nghiệm không ghi rõ trong tiêu chuẩn này thì thử nghiệm đó phải tiến hành và đánh giá tuân theo tiêu chuẩn EN 12811-3:20021.
Tất cả các thiết bị dùng cho thử nghiệm phải có độ chính xác sao cho kết quả đo với sai số không quá 1%.
Mẫu thử nghiệm phải được chọn ngẫu nhiên từ một lô cột với số lượng tối thiểu là 50 cột chống. Lô cột chống cho thử nghiệm có thể lấy từ đầu ra của dây chuyền sản xuất hoặc lấy từ kho chứa sản phẩm.
Các cột chống mới phải tiến hành mọi thử nghiệm.
10.2 Thử nghiệm các bộ phận cột
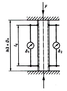
10.2.1 Thử nghiệm nén các ống không có ren
10.2.1.1 Quy định chung
Khi các phương pháp tính toán đàn hồi và phân tích kết cấu không đánh giá được các ảnh hưởng mất ổn định cục bộ, thì phải tiến hành các thử nghiệm để xác định khả năng kháng nén của ống ngoài và ống trong loại không có ren. Giới hạn chảy thu được trong các thử nghiệm ống ngắn phải tương ứng với giới hạn chảy trong các thử nghiệm kéo. Điều này có nghĩa là giới hạn chảy trung bình trong thử nghiệm không được sai lệch quá 5%. Nếu sai lệch quá 5% thì phải áp dụng phương pháp tính toán đàn hồi; nếu khả năng kháng nén nhỏ hơn các đặc tính đàn hồi khi kéo thì phải thay đổi ống định hình đó.
10.2.1.2 Mục tiêu của thử nghiệm
Mục tiêu của thử nghiệm là để xác định lực kháng nén NR,k.
10.2.1.3 Bố trí thiết bị thử nghiệm
Một phương án bố trí thiết bị thử nghiệm thể hiện trong Hình 10. Đo biến dạng phải loại trừ những ảnh hưởng từ máy thử và các đầu của mẫu thử. Phải thực hiện tối thiểu n = 5 thử nghiệm.

CHÚ DẪN:
D0 đường kính ngoài ống không có ren
ℓ chiều dài mẫu thử
ℓd chiều dài cầu đo
Δ1, Δ2 giá trị thu ngắn
Hình 10 - Nguyên tắc bố trí thiết bị thử nghiệm nén
10.2.1.4 Xử lý số liệu thử nghiệm
Giá trị thu ngắn Δ phải được tính theo công thức (3).
|
| (3) |
Lực kháng nén NR,k phải được xác định theo Điều 10 của tiêu chuẩn EN 12811-3:2002. Phải sử dụng giới hạn chảy danh định của vật liệu và giới hạn chảy thực của vật liệu ống làm giới hạn lớn nhất cho cường độ nén khi chất tải thử nghiệm..
Phải tiến hành phân tích các kết quả có sử dụng các giá trị trung bình.
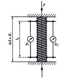
10.2.2 Thử nghiệm nén các ống có ren
10.2.2.1 Quy định chung
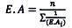
Phải tiến hành các thử nghiệm trên ống có ren để xác định độ cứng kháng nén dọc trục E · A và lực kháng nén NR,k.
Nếu trong tính toán sử dụng giá trị trung bình của đường kính trong của ren và giá trị trung bình của đường kính trong của ống thì không tiến hành các thử nghiệm này.
Phải sử dụng giới hạn chảy danh định của vật liệu và giới hạn chày thực của ống làm giới hạn lớn nhất cho cường độ nén khi chất tải thử nghiệm.
10.2.2.2 Mục tiêu của thử nghiệm
Mục tiêu của thử nghiệm là để xác định độ cứng nén dọc trục E · A và lực kháng nén NR,k của ống có ren.
10.2.2.3 Bố trí thiết bị thử nghiệm
Một phương án bố trí thiết bị thử nghiệm thể hiện trong Hình 11. Đo biến dạng loại trừ những ảnh hưởng của máy thử nghiệm và các đầu của mẫu thử. Phải thực hiện tối thiểu n = 5 thử nghiệm.

CHÚ DẪN:
D1 đường kính ngoài ống có ren
ℓ chiều dài mẫu thử
ℓd chiều dài cầu đo
Δ1, Δ2 giá trị thu ngắn
Hình 11 - Bố trí thiết bị thử nghiệm để xác định độ cứng nén dọc trục E · A và lực kháng nén NR,k của ống có ren
10.2.2.4 Xử lý số liệu thử nghiệm
Phải sử dụng giá trị trung bình của các kết quả thử nghiệm để phân tích kết cấu tuân thủ theo công thức (3), (4) và (5).
|
| (4) |
|
| (5) |
Lực kháng nén NR,k phải được xác định theo Điều 10 của tiêu chuẩn EN 12811-3:2002 và phải sử dụng giới hạn chảy danh định của vật liệu và giới hạn chảy thực của vật liệu ống làm giới hạn lớn nhất cho cường độ nén khi chất tải thử nghiệm.
CHÚ THÍCH: Có thể tăng đặc tính kháng nén của ống có ren bằng cách tiện ren nguội; các yếu tố làm tăng đặc tính kháng nén của ống có ren gồm đường kính trong của ren và vật liệu chế tạo ống..
10.2.3 Thử nghiệm uốn ống có ren
10.2.3.1 Quy định chung
Tiến hành các thử nghiệm uốn trên ống có ren để xác định độ cứng uốn E.l và cường độ mô men uốn MB,R,k cũng như mô men giới hạn mặt cắt Mpl,k. Nếu trong tính toán sử dụng giá trị trung bình của đường kính trong của ren và giá trị trung bình của đường kính trong của ống thì không cần tiến hành các thử nghiệm này.
Phải sử dụng giới hạn chảy danh định của vật liệu và giới hạn chảy thực của ống làm giới hạn lớn nhất của mô men uốn khi chất tải thử nghiệm tuân thủ theo EN 12811-3:2002.
10.2.3.2 Mục tiêu của thử nghiệm
Mục tiêu của thử nghiệm là để xác định độ cứng uốn E · l và khả năng chịu uốn MB,R,k của ống có ren.
10.2.3.3 Bố trí thiết bị thử nghiệm
Một phương án bố trí thiết bị thử nghiệm xem trong Hình 12. Phải thực hiện tối thiểu n = 5 thử nghiệm. Có thể thay bằng phương án bố trí thiết bị thử nghiệm khác với bốn điểm thử uốn.
CHÚ THÍCH: Đặc biệt lưu ý tới sự cong của ống so với trục dọc (ống biến dạng thành hình ô van).

CHÚ DẪN:
D1 đường kính ngoài ống có ren
ℓ khoảng cách các gối đỡ
ℓd chiều dài cầu đo
Δ biến dạng cong
Hình 12 - Bố trí thiết bị thử nghiệm để xác định để xác định độ cứng uốn E · I và khả năng chịu uốn MB,R,k của ống có ren
10.2.3.4 Xử lý số liệu thử nghiệm
Mỗi độ cứng uốn E · I phải được xác định bằng cách sử dụng giá trị ci lấy từ đồ thị đường cong không chịu tải (xem Hình 13).

CHÚ DẪN:
MB,I cường độ mô men uốn
Hình 13 - Ví dụ đường cong biến dạng thử nghiệm uốn
Nếu bố trí thiết bị thử nghiệm đối xứng với một thử nghiệm trung tâm thì độ cứng chịu uốn được tính theo công thức (6) và (7):
|
| (6) |
|
| (7) |
Khi phân tích kết cấu phải sử dụng kết quả độ cứng uốn được tính theo công thức (7).
Khả năng chịu uốn MB,R,k phải được xác định theo Điều 10 của tiêu chuẩn EN 12811-3:2002 .
Phải sử dụng giới hạn chảy danh định của vật liệu và giới hạn chảy thực của ống làm giới hạn lớn nhất cho mô men uốn khi chất tải thử nghiệm.
Mô men giới hạn mặt cắt Mpl,k phải được xác định theo công thức (8).
|
| (8) |
trong đó
αpl = Wpl/Wel là phép tính sử dụng đường kính trong của ren và giá trị trung bình của đường kính trong của ống.
10.2.4 Thử nghiệm xác định giới hạn lệch tâm các đầu cột
10.2.4.1 Quy định chung
Mô hình kết cấu a) tuân thủ theo 9.2.4.1.2 sử dụng tính đàn hồi tại đế với tải trọng phụ thuộc vào các đặc tính ứng xử của các đầu cột. Độ lệch tâm giới hạn của lực dọc trục e(N) phải được đánh giá đối với hai lực dọc trục F khác nhau bằng các thử nghiệm phù hợp.
Có thể bỏ qua các thử nghiệm này nếu sử dụng sơ đồ đơn giản để tính khoảng cách e(N) tuân thủ theo Hình 7.
10.2.4.2 Mục tiêu của thử nghiệm
Để xác định giới hạn độ lệch tâm của lực dọc trục e(N) tại các đầu cột chống được sản xuất từ những ống nhôm và các tấm đầu cột.
10.2.4.3 Bố trí thiết bị thử nghiệm
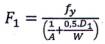
Sơ đồ bố trí thiết bị thử nghiệm được thể hiện trong Hình 14. Phải thực hiện tối thiểu n = 5 thử nghiệm cho mỗi cột với lực thử F1 và F2.
Lực thử nghiệm dọc trục tác dụng từ phía dưới F1 phải có cường độ nằm trong phạm vi tính được theo công thức (9).
|
| (9) |
trong đó
F1 lực thử nghiệm dọc trục;
A diện tích mặt cắt;
W mô đun đàn hồi mặt cắt;
D1 đường kính hiệu dụng tại đế D1 = D + 2.t, nếu tấm đế được hàn vào ống; trường hợp khác sử dụng đường kính D = D1 hoặc D0;
fy là đặc tính giới hạn chảy f0,HAZ của vùng chịu ảnh hưởng nhiệt tại vị trí chuyển tiếp hàn giữa cột và tấm đế (trường hợp khác sử dụng giá trị đặc trưng của giới hạn chảy quy ước tại điểm chuyển tiếp giữa cột và tấm đế f0).
Phạm vi điều chỉnh lực thử nghiệm dọc trục lớn hơn F2 = 2 . F1 phải nằm trong giới hạn tải trọng cột chống. Lực dọc trục được giữ không đổi và chỉ tăng mô men uốn lên mẫu thử trong quá trình thử nghiệm cho tới khi phá hủy. Đường cong mô men quay của hai lực nén dọc trục khác nhau F1 và F2 thể hiện trong Hình 15.
|
| CHÚ DẪN: D đường kính ngoài của ống φ góc nghiêng tạo bởi giữa mặt phẳng tấm đầu cột của mẫu thử với mặt phẳng tấm chặn đầu 1 ống trong hoặc ngoài 2 các tấm đầu cột 3 tấm chặn đầu
|
Hình 14 - Sơ đồ bố trí thiết bị thử nghiệm để xác định giới hạn lệch tâm tại đế cột chống

CHÚ DẪN:
F1, F2 các lực nén dọc trục
Mb,i(F1) mô men uốn lớn nhất trong thử nghiệm i với lực F1
Mb,i(F2) mô men uốn lớn nhất trong thử nghiệm i với lực F2
Hình 15 - Ví dụ hai đường cong mô men quay
10.2.4.4 Xử lý số liệu thử nghiệm
Các mô men uốn tới hạn Mb,limit(F1) và Mb,limit(F2) phải được xử lý số liệu theo 10.8 của EN 12811- 3:2002 với các kết quả Mb,i(F1) và Mb,i(F2). Mô men uốn tới hạn thử nghiệm không phụ thuộc vào các đặc tính của vật liệu.
Mô men kháng đàn hồi Mb,limit(Ry,act) được sử dụng trong phân tích kết cấu có trong Hình 16.

Hình 16 - Mô men kháng đàn hồi Mb,limit(Ry,act)
|
| (10) |
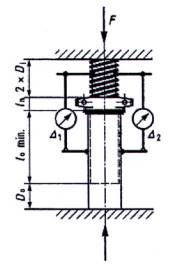
10.2.5 Thử nghiệm nén cho cơ cấu điều chỉnh chiều dài cột chống
10.2.5.1 Quy định chung
Thực hiện các thử nghiệm cơ cấu điều chỉnh chiều dài cột để xác định đặc tính khả năng chịu tải nén Rad,k.
10.2.5.2 Mục tiêu của thử nghiệm
Để xác định khả năng chịu tải nén Rad,k của cơ cấu điều chỉnh chiều dài đối với cột chống loại 1 và loại 2.
10.2.5.3 Bố trí thiết bị thử nghiệm
Sơ đồ bố trí thiết bị thử nghiệm cho cột loại 1 trên Hình 17. Sơ đồ bố trí thiết bị thử nghiệm cho cột loại 2 xem 10.3 TCVN 13661:2022.
Phải thực hiện tối thiểu n = 5 thử nghiệm.
|
| CHÚ DẪN: D1 đường kính ngoài của ống trong loại có ren D0 đường kính ngoài của ống ngoài ℓ0 chiều dài tối thiểu đoạn lồng lên nhau giữa ống trong và ống ngoài ℓn chiều dày của đai ốc điều chỉnh Δ1, Δ2 giá trị thu ngắn khi nén |
Hình 17 - Sơ đồ bố trí thiết bị thử nghiệm để xác định đặc tính khả năng chịu nén của cơ cấu điều chỉnh chiều dài cột chống
10.2.5.4 Xử lý số liệu kết quả thử nghiệm
Kết quả thử nghiệm phải được xử lý tuân thủ theo EN 12811-3:2002 để xác định khả năng chịu tải nén Rad,k.
10.3 Thử nghiệm bảo vệ chống tự tách rời ngẫu nhiên
10.3.1 Mục tiêu của thử nghiệm
Để xác nhận các bộ phận bên trong và bên ngoài của cột chống đủ khả năng chống tách rời do tác động ngẫu nhiên.
10.3.2 Bố trí thiết bị thử nghiệm
10.3.2.1 Bố trí thiết bị cho phương án thử nghiệm an toàn 1
Treo ngược cột chống bằng tấm đầu cột theo phương thẳng đứng với ống ngoài ở trên. Nâng ống trong lên và thu cột về trạng thái ngắn nhất. Thả ống trong rơi tự do ba lần. Thử nghiệm tối thiểu ba cột chống.
10.3.2.2 Bố trí thiết bị cho phương án thử nghiệm an toàn 2
Treo ngược cột chống bằng tấm đầu cột theo phương thẳng đứng với ống ngoài ở trên. Nối ống trong và ống ngoài bằng duy nhất thiết bị an toàn. Kéo bằng lực dọc trục có cường độ 3 kN. Ngừng kéo lực 3 kN treo ngược cột chống đó bằng tấm đầu cột theo phương thẳng đứng với ống ngoài ở trên. Nâng ống trong lên và thu cột về trạng thái ngắn nhất. Thả ống trong rơi tự do một lần. Thử nghiệm tối thiểu ba cột chống.
10.3.2.3 Bố trí thiết bị cho phương án thử nghiệm an toàn 3
Treo ngược cột chống bằng tấm đầu cột theo phương thẳng đứng với ống ngoài ở trên. Nối ống trong và ống ngoài bằng duy nhất thiết bị an toàn. Kéo bằng lực dọc trục có cường độ 3 kN. Lặp lại thử nghiệm với thiết bị an toàn thứ hai với chính cột chống đó. Thử nghiệm tối thiểu ba cột chống.
10.3.2.4 Bố trí thiết bị cho phương án thử nghiệm an toàn 4
Treo ngược cột chống bằng tấm đầu cột theo phương thẳng đứng với ống ngoài ở trên. Đấu nối thiết bị an toàn với thiết bị an toàn phụ cố định. Kéo bằng lực dọc trục có cường độ 3 kN. Thử nghiệm tối thiểu ba cột chống.
10.3.3 Xử lý kết quả thử nghiệm
10.3.3.1 Xử lý kết quả cho phương án thử nghiệm an toàn 1
Khi và sau khi cột chống được thử nghiệm ba lần, ống trong và ống ngoài phải còn giữ nguyên liên kết và không bị tách rời.
10.3.3.2 Xử lý kết quả cho phương án thử nghiệm an toàn 2
Khi và sau khi cột chống được thử nghiệm thiết bị an toàn phải đủ khả năng chịu tải 3 kN và ống ngoài phải giữ nguyên liên kết và không bị tách rời.
Khi cột chống được thử nghiệm một lần, ống trong và ống ngoài phải giữ nguyên liên kết và không bị tách rời.
10.3.3.3 Xử lý kết quả cho phương án thử nghiệm an toàn 3
Khi và sau khi cột chống được thử nghiệm cả hai thiết bị an toàn phải đủ khả năng chịu tải 3 kN và ống ngoài phải giữ nguyên liên kết và không bị tách rời.
10.3.3.4 Xử lý kết quả cho phương án thử nghiệm an toàn 4
Khi và sau khi cột chống được thử nghiệm thiết bị an toàn phải đủ khả năng chịu tải 3 kN và ống ngoài phải giữ nguyên liên kết và không bị tách rời.
Sau khi thử nghiệm thiết bị an toàn phụ cố định phải giữ nguyên ở trạng thái khóa.
10.4 Thử nghiệm xác nhận khả năng chịu tải cột chống
10.4.1 Thử nghiệm xác nhận đặc tính kỹ thuật của vật liệu
Đặc tính cơ lý của ống từ tối thiểu ba cột chống phải được xác định bằng thử nghiệm theo 10.2.2 của TCVN 13661:2022.
10.4.2 Thử nghiệm cột nguyên chiếc
10.4.2.1 Mục tiêu thử nghiệm
Mục tiêu tiến hành thử nghiệm cột nguyên chiếc là để xác định khả năng chịu tải nhỏ nhất nhỏ nhất Ry,t và khả năng chịu tải trọng trung bình Ry,a trên cơ sở đó để xác nhận khả năng chịu tải thực của cột chống Ry,act.
10.4.2.2 Bố trí thiết bị thử nghiệm
Phương pháp chất tải phải tuân thủ 10.1.2 của TCVN 13661:2022.
Tiến hành tối thiểu ba thử nghiệm khi cột chống kéo dài lớn nhất với tải trọng nhỏ hơn khả năng chịu tải thực của cột chống Ry,act (ống trong hoặc ống đặt dưới).
Nếu tính khả năng chịu tải thực của cột chống Ry,act bằng cách sử dụng sơ đồ kết cấu a) (xem 9.2.4.1.2), thì sơ đồ bố trí thiết bị thử nghiệm phải tuân thủ theo các điều từ 10.2.3 tới 10.2.5 của TCVN 13661:2022.
Nếu tính khả năng chịu tải thực của cột chống Ry,act bằng cách sử dụng sơ đồ kết cấu b) (xem 9.2.4.1.2), thì sơ đồ bố trí thiết bị thử nghiệm phải tuân thủ theo từ điều 10.2.3 tới 10.2.5 của TCVN 13661:2022, ngoại trừ đế của cột là khớp bản lề với độ lệch tâm 5 mm.
10.4.2.3 Xử lý kết quả thử nghiệm
Phải sử dụng đặc tính kỹ thuật của vật liệu làm giới hạn lớn nhất khi chất tải cho mỗi thử nghiệm và phải tuân thủ theo 10.7 của EN 12811-3:2002. Để xác nhận kết quả tính toán phải xét tới giá trị khả năng chịu tải nhỏ nhất nhỏ nhất Ry,t và tải trọng trung bình Ry,act theo kết quả thử nghiệm cột nguyên chiếc.
Độ lệch kết quả không được lớn hơn ± 12,5 % giá trị trung bình tương ứng.
11 Báo cáo thử nghiệm
Xem EN 12811-3:2002, Điều 9 Báo cáo thử nghiệm: Liệt kê đầy đủ kết quả thử nghiệm.
12 Ghi Nhãn
Nhãn cột chống phải tồn tại vĩnh cửu bằng cách dập nổi trên thân cột chống hoặc dập nổi trên tấm kim loại và hàn vào thân cột chống. Nhãn cột chống phải được phủ lớp bảo vệ và phải rõ ràng dễ đọc sau khi phủ lớp bảo vệ. Chiều cao của chữ hoặc ký hiệu không nhỏ hơn 4 mm.
Nhãn cột chống phải ở vị trí dễ nhìn khi cột chống đặt theo phương thẳng đứng với ống ngoài ở dưới. Nhãn cột chống phải có các thông tin và thứ tự ghi thông tin như sau:
- Tiêu chuẩn áp dụng TCVN 13883:2023;
- Tên hoặc nhãn hiệu thương mại của hà sản xuất;
- Năm sản xuất (tối thiểu hai chữ số cuối cùng);
- Nhóm cột chống (xem Bảng 1 và Bảng 2);
- Mức kiểm tra chất lượng L hoặc M nếu Phụ lục A (tham khảo) được áp dụng;
- Nhãn hiệu của tổ chức kiểm tra độc lập (chỉ dành cho mức kiểm tra chất lượng M), nếu Phụ lục A được áp dụng; ví dụ cột chống có ký hiệu TCVN 13883:2023 "CỘT CHỐNG” 09 C/D 50L.
13 Đánh giá cột chống
Việc đánh giá cột chống phải được thực hiện bởi người hoặc tổ chức độc lập có uy tín không liên quan đến tổ chức thiết kế và sản xuất cột (sau đây gọi là người đánh giá).
Khi kết thúc đánh giá một lô cột chống đạt yêu cầu, người đánh giá phải ghi vào tài liệu báo cáo đánh giá.
Tài liệu báo cáo đánh giá phải có các nội dung bao gồm:
- Xác nhận tất cả các tài liệu kỹ thuật được yêu cầu theo tiêu chuẩn quốc gia này;
- Các số liệu của các bộ phận và khớp nối của cột như cường độ và độ cứng thu được sau khi xử lý kết quả thử nghiệm;
- Kiểm tra nội dung hướng dẫn sử dụng.
14 Hướng dẫn sử dụng
Nhà sản xuất cột chống phải cung cấp hướng dẫn sử dụng với các nội dung tối thiểu sau:
- Ký hiệu quy ước;
- các bản vẽ với các kích thước chính;
- chiều dài nhỏ nhất và lớn nhất và chiều dài làm việc nhỏ nhất;
- tải trọng làm việc đối với hệ cột chống ván khuôn;
- nhóm cột;
- trọng lượng;
- hướng dẫn tháo, lắp và sử dụng, bao gồm hướng dẫn sử dụng với khóa giáo nếu có thể;
- các chỉ tiêu chính về khả năng chịu tải;
- hướng dẫn bảo dưỡng;
- chi tiết nhãn hiệu và vị trí trên cột chống.
Phụ lục A
(tham khảo)
Kiểm tra chất lượng trong quá trình sản xuất cột chống
Nhà sản xuất phải kiểm tra chất lượng trong quá trình sản xuất cột chống theo một trong hai phương án sau:
- Kiểm tra chất lượng mức L
Kiểm tra chất lượng sản phẩm bởi chính Nhà sản xuất đã được cấp một trong hai loại chứng chỉ TCVN ISO 9001:2015 hoặc TCVN ISO 9002:2017.
- Kiểm tra chất lượng mức M
Kiểm tra chất lượng trong quá trình sản xuất cột được tiến hành bởi một tổ chức cấp chứng chỉ chất lượng độc lập.
Nhà sản xuất cột chống phải kiểm tra tất cả các tài liệu của các bộ phận có trọng bảng A.1 và kiểm tra nội dung của các tài liệu này có phù hợp với thông tin trong các bản vẽ cũng như trong tài liệu báo cáo đánh giá.
Các yêu cầu tối thiểu của việc Kiểm tra quá trình sản xuất cột chống được liệt kê trong Bảng A.2.
Bảng A.1 - Tài liệu Kiểm tra chất lượng
| Bộ phận | Đặc tính cần kiểm tra | Nếu bộ phận được Nhà sản xuất cột mua | Nếu bộ phận được Nhà sản xuất cột tự sản xuất | |
| Mỗi lô | Kiểm tra bổ sung | |||
| Tất cả các bộ phận kết cấu | Vật liệu, kích thước, dung sai được ghi trong các bản vẽ và bao gồm cả trong tài liệu báo cáo đánh giá | Chứng chỉ kiểm tra 3.1 tuân theo mục 5.1 TCVN 11236:2015 (ISO 10474:2013) | Kiểm tra ngẫu nhiên vật liệu nhập | 1 ‰ tổng số các bộ phận |
Bảng A.2 - Kiểm tra chất lượng trong quá trình sản xuất cột chống của Nhà sản xuất
| Đối tượng Kiểm tra | Các chỉ số, chỉ tiêu kiểm tra | Giới hạn lệch chuẩn | Chu kỳ kiểm tra | |
| Kiểm tra nội bộ | Kiểm tra bởi Bên thứ ba (mức M) | |||
| Ống có ren | Giới hạn chảy tăng cường (tăng hệ số), thử nghiệm theo Bảng 1 | Mọi giá trị nhỏ hơn trong báo cáo đánh giá đều phải loại bỏ | Với 0,1 %0 tổng số ống hoặc tối thiểu 1 ống cho mỗi lô | Với 3 ống có ren |
| Ống ngoài và ống trong | Kích thước, dung sai | Như trong các bản vẽ cũng như trong tài liệu báo cáo đánh giá | Với 0,1 ‰ tổng số ống hoặc tối thiểu 1 ống cho mỗi lô |
|
| Kiểm tra tài liệu | Tuân theo Bảng 1 | Mức tối thiểu theo Bảng A.1 | Mỗi lô | |
| Chiều dài cột chống | Cột dài nhất | +10 mm/ 0 mm |
| |
| Cột ngắn nhất | 0 mm/- 10 mm | |||
| Tấm đầu cột | Vuông góc với đường tâm ống | ± 1,0° | Kiểm tra tối thiểu 0,1 ‰ tổng số cột và bộ phận cột sản xuất trong 1 ngày với tối thiểu 1 cột cho mỗi lô. | Mỗi năm kiểm tra tối thiểu 2 lần, mỗi lần phải kiểm tra tối thiểu 03 cột cho mỗi nhóm cột đang được sản xuất |
| Lệch tâm với đường tâm ống | ± 2 mm | |||
| Độ phẳng | 1 mm | |||
| Lỗ cắm chốt trên thân ống trong | Đường kính | ± 0,3 mm | ||
| Độ đồng tâm so với đường dọc trục của ống | ± 0,5 mm | |||
| Ren ống ngoài (nếu chế tạo rời) | Độ đồng tâm với ống ngoài | 0,5 mm | ||
| Khe hở giữa hai ống trong và ống ngoài tại đoạn lồng nhau | Góc nghiêng | + 20 % giá trị theo 9.2.2.1 | ||
| Bảo vệ chống kẹt tay | Khi cột thu ngắn nhất khe hở phải theo 8.5 | Không có độ lệch chuẩn âm | ||
| Các mối hàn | Chiều dày và chất lượng mối hàn | Phù hợp 8.2 và thông tin trong bản vẽ | ||
| Bảo vệ chống tự tách rời | Thử nghiệm chống tự tách rời theo 10.4 | Phù hợp với phương án an toàn | ||
| Nhãn hiệu cột | Đầy đủ về nội dung và rõ ràng | Như Điều 12 và thông tin trong bản vẽ | ||
Thư mục tài liệu tham khảo
[1 ] TCVN ISO 9001:2015, Hệ thống quản lý chất lượng - Các yêu cầu
[2] EN 1993-1-1, Eurocode 3, Design of steel structures - Part 1: General rules and rules for buildings (Thiết kế kết cấu thép - Phần 1: Quy tắc chung và quy tắc cho nhà)
[3] EN 1090-2, Execution of steel structures and aluminium structures - Part 2: Technical requirements for steel structures (Thi công kết cấu thép và nhôm - Phần 2: Các yêu cầu kỹ thuật đối với kết cấu thép)
Mục lục
Lời nói đầu
Lời giới thiệu
1 Phạm vi áp dụng
2 Tài liệu viện dẫn
3 Thuật ngữ và định nghĩa
4 Ký hiệu các đại lượng
5 Phân loại
6 Ký hiệu quy ước
7 Vật liệu
8 Các yêu cầu
8.1 Ống
8.2 Mối hàn
8.3 Cơ cấu điều chỉnh chiều dài cột chống
8.4 Bảo vệ cố định chống tự tách rời ngẫu nhiên
8.5 Chống kẹt tay
8.6 Chiều dài đoạn lồng nhau giữa ống trong và ống ngoài
8.7 Tấm đầu cột
9 Phương pháp Kiểm tra xác nhận
9.1 Yêu cầu chung
9.2 Tính toán khả năng chịu tải của cột chống
9.2.1 Yêu cầu chung
9.2.2 Các sai lệch
9.2.3 Làm việc của ống trong và ống ngoài
9.2.4 Điều kiện biên
9.2.5 Xác nhận khả năng chịu tải trọng cột chống
9.3 Xác nhận tài trọng cơ cấu điều chỉnh chiều dài cột
9.4 Kiểm tra bảo vệ chống tự thu ngắn ngẫu nhiên của cột chống
9.5 Xác nhận kết quả tính toán bằng thử nghiệm
10 Thử nghiệm
10.1 Quy định chung
10.2 Thử nghiệm các bộ phận cột
10.2.1 Thử nghiệm nén các ống không có ren
10.2.2 Thử nghiệm nén các ống có ren
10.2.3 Thử nghiệm uốn ống có ren
10.2.4 Thử nghiệm xác định giới hạn lệch tâm các đầu cột
10.2.5 Thử nghiệm nén cho cơ cấu điều chỉnh chiều dài cột chống
10.3 Thử nghiệm bảo vệ chống tự tách rời ngẫu nhiên
10.3.1 Mục tiêu của thử nghiệm
10.3.2 Bố trí thiết bị thử nghiệm
10.3.3 Xử lý kết quả thử nghiệm
10.4 Thử nghiệm xác nhận khả năng chịu tải cột chống
10.4.1 Thử nghiệm xác nhận đặc tính kỹ thuật của vật liệu
10.4.2 Thử nghiệm cột nguyên chiếc
11 Báo cáo thử nghiệm
12 Ghi Nhãn
13 Đánh giá cột chống
14 Hướng dẫn sử dụng
Phụ lục A (tham khảo) Kiểm tra chất lượng trong quá trình sản xuất cột chống
Thư mục tài liệu tham khảo
Bạn chưa Đăng nhập thành viên.
Đây là tiện ích dành cho tài khoản thành viên. Vui lòng Đăng nhập để xem chi tiết. Nếu chưa có tài khoản, vui lòng Đăng ký tại đây!




