- Tổng quan
- Nội dung
- Tiêu chuẩn liên quan
- Lược đồ
- Tải về
Tiêu chuẩn Quốc gia TCVN 11332:2016 Đồ chơi sử dụng điện - An toàn
| Số hiệu: | TCVN 11332:2016 | Loại văn bản: | Tiêu chuẩn Việt Nam |
| Cơ quan ban hành: | Bộ Khoa học và Công nghệ | Lĩnh vực: | Công nghiệp |
|
Ngày ban hành:
Ngày ban hành là ngày, tháng, năm văn bản được thông qua hoặc ký ban hành.
|
2016 |
Hiệu lực:
|
Đã biết
|
| Người ký: | Đang cập nhật |
Tình trạng hiệu lực:
Cho biết trạng thái hiệu lực của văn bản đang tra cứu: Chưa áp dụng, Còn hiệu lực, Hết hiệu lực, Hết hiệu lực 1 phần; Đã sửa đổi, Đính chính hay Không còn phù hợp,...
|
Đã biết
|
TÓM TẮT TIÊU CHUẨN VIỆT NAM TCVN 11332:2016
Nội dung tóm tắt đang được cập nhật, Quý khách vui lòng quay lại sau!
Tải tiêu chuẩn Việt Nam TCVN 11332:2016
TIÊU CHUẨN QUỐC GIA
TCVN 11332:2016
ĐỒ CHƠI SỬ DỤNG ĐIỆN - AN TOÀN
Electric toys - Safety
Lời nói đầu
TCVN 11332:2016 hoàn toàn tương đương với IEC 62115:2011;
TCVN 11332:2016 do Ban kỹ thuật Tiêu chuẩn Quốc gia TCVN/TC/E2
Thiết bị điện dân dụng biên soạn, Tổng cục Tiêu chuẩn Đo lường Chất lượng đề nghị, Bộ Khoa học và Công nghệ công bố.
ĐỒ CHƠI SỬ DỤNG ĐIỆN - AN TOÀN
Electric toys - Safety
1 Phạm vi áp dụng
Tiêu chuẩn này quy định về an toàn của đồ chơi có tối thiểu một chức năng phụ thuộc vào điện năng.
CHÚ THÍCH 1: Ví dụ về các đồ chơi thuộc phạm vi áp dụng của tiêu chuẩn này là
- bộ đồ chơi kết cấu;
- bộ đồ chơi thực nghiệm;
- đồ chơi chức năng (mô hình có chức năng tương tự với thiết bị hoặc hệ thống lắp đặt dành cho người lớn);
- đồ chơi máy tính;
- máy tính dùng cho đồ chơi.
Yêu cầu bổ sung đối với bộ đồ chơi thực nghiệm được quy định trong Phụ lục A.
Đồ chơi sử dụng điện cho các chức năng phụ cũng thuộc phạm vi áp dụng của tiêu chuẩn này.
CHÚ THÍCH 2: Nhà búp bê có bóng đèn bên trong là ví dụ về loại đồ chơi này.
Yêu cầu bổ sung đối với đồ chơi có lắp đèn laze và đèn LED được quy định trong Phụ lục E.
Để phù hợp với tiêu chuẩn này, đồ chơi sử dụng điện cũng phải phù hợp với TCVN 6238-1 (ISO 8124-1), vì TCVN 6238-1 (ISO 8124-1) đề cập đến các nguy hiểm khác với các nguy hiểm xảy ra do việc sử dụng điện.
CHÚ THÍCH 3: Biến áp dùng cho đồ chơi (IEC 61558-2-7 đối với loại tuyến tính hoặc IEC 61558-2-7 và IEC 61558-2-16 đối với các loại chế độ chuyển mạch), bộ nạp pin/acquy ((TCVN 5699-2-29 (IEC 60335-2-29)) và bộ nạp pin/acquy để trẻ em sử dụng (TCVN 5699-2-29 (IEC 60335-2-29) Phụ lục AA) không được coi là một phần của đồ chơi ngay cả khi chúng được cung cấp cùng đồ chơi.
CHÚ THÍCH 4: Nếu dự kiến để trẻ em cũng chơi cùng bao gói thì bao gói này được coi là phần của đồ chơi.
CHÚ THÍCH 5: Tiêu chuẩn này không áp dụng cho
- đồ chơi có động cơ hơi nước;
- mô hình tỷ lệ làm bộ sưu tập dành cho người lớn;
- búp bê người và búp bê trang trí và các đồ vật tương tự khác trong bộ sưu tập dành cho người lớn;
- thiết bị thể thao;
- thiết bị chơi dưới nước được thiết kế để được sử dụng ở vùng nước sâu;
- thiết bị được thiết kế để sử dụng chung trong các sân chơi;
- thiết bị giải trí (TCVN 5699-2-82 (IEC 60335-2-82));
- đồ chơi chuyên nghiệp được lắp đặt ở khu vực công cộng (trung tâm mua sắm, bến xe, v.v...);
- sản phẩm có chứa phần tử gia nhiệt được thiết kế để sử dụng có sự giám sát của người lớn trong bối cảnh giảng dạy;
- đèn điện xách tay dùng cho trẻ em (IEC 60598-2-10);
- trò chơi có hình và trò chơi trên máy tính;
- máy thổi dùng cho đồ chơi mang tính hoạt động có thể bơm phồng (ví dụ như lâu đài bơm hơi);
- đồ trang trí giáng sinh.
2 Tài liệu viện dẫn
Các tài liệu viện dẫn dưới đây là cần thiết để áp dụng tiêu chuẩn này. Đối với các tài liệu có ghi năm công bố, chỉ áp dụng các bản được nêu. Đối với các tài liệu không ghi năm công bố, áp dụng bản mới nhất (kể cả các sửa đổi).
TCVN 4255:2008 (IEC 60529:2001), Cấp bảo vệ bằng vỏ ngoài (mã IP)
TCVN 5699-1:2010 (IEC 60335-1:2010), Thiết bị điện gia dụng và thiết bị điện tương tự - An toàn - Phần 1: Yêu cầu chung
TCVN 6238-1:2011 (ISO 8124-1:2009), An toàn đồ chơi trẻ em - Phần 1: Các khía cạnh an toàn liên quan đến tính chất cơ lý
TCVN 6238-3 (ISO 8124-3), An toàn đồ chơi trẻ em - Phần 3: Giới hạn mức thôi nhiễm của một số nguyên tố độc hại
TCVN 6615-1:2009 (IEC 61058-1:2008), Thiết bị đóng cắt dùng cho thiết bị - Phần 1: Yêu cầu chung
TCVN 7699-2-75 (IEC 60068-2-75), Thử nghiệm môi trường - Phần 2-75: Các thử nghiệm - Thử nghiệm Eh: Thử nghiệm búa
TCVN 9900-2-11 (IEC 60695-2-11), Thử nghiệm nguy cơ cháy - Phần 2-11: Phương pháp thử bằng sợi dây nóng đỏ - Phương pháp thử khả năng cháy bằng sợi dây nóng đỏ đối với sản phẩm hoàn chỉnh
TCVN 9900-2-13 (IEC 60695-2-13), Thử nghiệm nguy cơ cháy - Phần 2-13: Phương pháp thử bằng sợi dây nóng đỏ - Phương pháp thử nhiệt độ bắt cháy bằng sợi dây nóng đỏ (GWIT) đối với vật liệu
TCVN 9900-11-5:2013 (IEC 60695-11-5:2004), Thử nghiệm nguy cơ cháy - Phần 11-5: Ngọn lửa thử nghiệm - Phương pháp thử bằng ngọn lửa hình kim - Thiết bị, bố trí thử nghiệm xác nhận và hướng dẫn
TCVN 9900-11-10 (IEC 60695-11 -10), Thử nghiệm nguy cơ cháy - Phần 11-10: Ngọn lửa thử nghiệm - Phương pháp thử bằng ngọn lửa 50 W nằm ngang và thẳng đứng
TCVN 10899-1 (IEC 60320-1), Bộ nối nguồn dùng cho thiết bị gia dụng và các mục đích sử dụng chung tương tự- Phần 1: Yêu cầu chung
IEC 60083, Plugs and socket-outlets for domestic and similar general use standardized in member countries of IEC (Phích cắm và ổ cắm dùng dùng trong gia đình và cho các mục đích sử dụng chung được tiêu chuẩn hóa trong các nước thành viên của IEC)
IEC 60086-2, Primary batteries - Part 2: Physical and electrical specifications (Pin/acquy sơ cấp - Phần 2: Yêu cầu kỹ thuật về lý và điện)
IEC 60335-2-29:20021, Household and similar electrical appliances - Safety - Part 2-29: Particular requirements for battery chargers (Thiết bị điện gia dụng và thiết bị điện tương tự - An toàn - Phần 2-29: Yêu cầu cụ thể đối với bộ nạp acquy)
Amendment 1:2004
Amendment 2:2009
IEC 60384-14, Fixed capacitors for use in electronic equipment - Part 14: Sectional specification - Fixed capacitors for electromagnetic interference suppression and connection to the supply mains (Tụ điện không đổi dùng trong thiết bị điện tử - Phần 14: Yêu cầu kỹ thuật về lắp ghép - Tụ điện không đổi dùng cho triệt nhiễu điện từ và nối với nguồn lưới)
IEC 60417-1, Graphical symbols for use on equipment - Part 1: Overview and application (Ký hiệu đồ họa để sử dụng trên thiết bị - Phần 1: Tổng quan và ứng dụng)
IEC 60695-10-2, Fire hazard testing - Part 10: Guidance and test methods for the minimization of the effects of abnormal heat on electrotechnical products involved in fires - Section 2: Method for testing products made from non-metallic materials for resistance to heat using the ball pressure test (Thử nghiệm nguy cơ cháy - Phần 10: Hướng dẫn và phương pháp thử nghiệm để giảm thiểu các ảnh hưởng của nhiệt bất thường trên sản phẩm kỹ thuật điện bị cháy - Mục 2: Các phương pháp để thử nghiệm sản phẩm được làm từ vật liệu phi kim loại về khả năng chịu nhiệt bằng cách sử dụng thử nghiệm ép viên bi)
IEC 60730-1:2010, Automatic electrical controls for household and similar use - Part 1: General requirements (Cơ cấu điều khiển tự động bằng điện dùng trong gia đình và sử dụng tương tự - Phần 1: Yêu cầu chung)
IEC 60738-1, Thermistors - Directly heated positive step-function temperature coefficient - Part 1: General specification (Nhiệt trở- Hệ thống nhiệt dương gia nhiệt trực tiếp - Phần 1: Yêu cầu kỹ thuật chung)
IEC 60825-1:1993, Safety of laser products - Part 1: Equipment classification, requirements and user’s guide (An toàn đối với sản phẩm đèn laze - Phần 1: Phần loại thiết bị, yêu cầu chung và hướng dẫn người sử dụng)
Amendment 1:1997
Amendment 2:2001, corrigendum 1:2002
IEC 60990:1999, Methods of measurement of touch current and protective conductor current (Phương pháp đo dòng điện chạm và dòng điện chạy trong dây dẫn bảo vệ)
IEC 61032:1997, Protection of persons and equipment by enclosures - Probes for verfication (Bảo vệ con người và thiết bị bằng vỏ ngoài - Đầu dò kiểm tra)
IEC 61158-2-7, Safety of power transformers, power supply units and similar - Part 2-7: Particular requirements for transformers for toys (An toàn của máy biến áp điện cực, cuộn kháng, nguồn cung cấp và thiết bị tương tự - Phần 2-7: Yêu cầu cụ thể đối với máy biến áp dùng trong đồ chơi)
ISO 7000, Graphical symbols for use on equipment - Index and synopsis (Ký hiệu đồ họa để sử dụng trên thiết bị - Chỉ số và tóm tắt)
ISO 9772, Cellular plastics - Determination of horizontal burning characteristics of small specimens subjected to a small flame (Chất xốp dẻo - Xác định đặc tính cháy theo phương ngang của các mẫu nhỏ bằng ngọn lửa nhỏ)
3 Thuật ngữ và định nghĩa
Đối với tiêu chuẩn này, áp dụng các thuật ngữ và định nghĩa dưới đây.
CHÚ THÍCH: Nếu không có quy định nào khác thì thuật ngữ "điện áp” và “dòng điện” được hiểu là giá trị hiệu dụng.
3.1.1
Đồ chơi (toy)
Sản phẩm được thiết kế dành cho trẻ em dưới 14 tuổi chơi.
3.1.2
Đồ chơi dùng pin/acquy (battery toy)
Đồ chơi có chứa hoặc sử dụng một hoặc nhiều pin/acquy là nguồn năng lượng điện duy nhất.
CHÚ THÍCH: Pin/acquy có thể ở trong hộp pin/acquy.
3.1.3
Đồ chơi dùng biến áp (tranformer toy)
Đồ chơi được nối với nguồn lưới qua biến áp dùng cho đồ chơi và sử dụng nguồn lưới là nguồn năng lượng điện duy nhất
3.1.4
Đồ chơi có hai nguồn cấp (dual-supply toy)
Đồ chơi có thể hoạt động như đồ chơi dùng pin/acquy hoặc đồ chơi dùng biến áp hoặc cả hai.
3.1.5
Hộp pin/acquy (battery box)
Ngăn chứa riêng dùng để chứa pin/acquy có thể tháo rời khỏi đồ chơi.
3.1.6
Pin/acquy thay được (replaceable battery)
Pin/acquy có thể được thay thế mà không làm hỏng đồ chơi.
3.1.7
Biến áp cách ly an toàn (safety isolating transformer)
Biến áp, có cuộn dây vào cách ly về điện với cuộn dây ra bằng lớp cách điện ít nhất là tương đương với cách điện kép hoặc cách điện tăng cường, cung cấp nguồn điện ở điện áp cực thấp an toàn.
3.1.8
Biến áp dùng cho đồ chơi (transformer for toys)
Biến áp cách ly an toàn được thiết kế đặc biệt để cấp nguồn cho đồ chơi hoạt động ở điện áp cực thấp an toàn không vượt quá 24 V.
CHÚ THÍCH 1: Biến áp có thể cung cấp điện xoay chiều hoặc điện một chiều hoặc cả hai.
CHÚ THÍCH 2: Biến áp dùng cho đồ chơi sau đây gọi là máy biến áp.
3.1.9
Bộ đồ chơi kết cấu (constructional set)
Tập hợp các bộ phận điện, điện tử hoặc cơ được thiết kế để lắp ráp thành các đồ chơi khác nhau.
3.1.10
Bộ đồ chơi thực nghiệm (experimental set)
Tập hợp các thành phần điện, điện tử hoặc cơ được thiết kế để trẻ em lắp ráp thành các phối hợp khác nhau nhằm mô phỏng các hiện tượng vật lý hoặc các chức năng khác.
CHÚ THÍCH: Việc lắp ráp không nhằm tạo thành đồ chơi hoặc sản phẩm để sử dụng thực tế.
3.1.11
Đồ chơi máy tính (computer toy)
Đồ chơi được thiết kế để sử dụng cùng máy tính, giao diện điều khiển, màn hình theo dõi hoặc thiết bị nghe nhìn khác.
CHÚ THÍCH 1: Đồ chơi máy tính có thể chơi như
- đồ chơi khi không được nối với máy tính hoặc màn hình, ví dụ như bánh lái, súng ngắm và bàn phím đồ chơi; hoặc
- đồ chơi khi được nối với máy tính, giao diện điều khiển, màn hình theo dõi hoặc thiết bị nghe nhìn khác.
CHÚ THÍCH 2: Cần điều khiển và các thiết bị ngoại vi khác không để chơi thì không được coi là một phần của đồ chơi máy tính.
CHÚ THÍCH 3: Máy tính, màn hình, bảng điều khiển và các thiết bị tương tự riêng rẽ mà đồ chơi có thể kết nối đến và có điện áp danh định vượt quá 24 V, không được coi là bộ phận của đồ chơi máy tính.
3.1.12
Bộ nạp pin/acquy (battery charger)
Thiết bị được cấp điện bởi điện áp nguồn lưới, mục đích duy nhất là để nạp điện lại cho pin/acquy dùng cho đồ chơi.
CHÚ THÍCH: Nếu pin/acquy có thể được nạp điện trong đồ chơi, và nếu đồ chơi vẫn có thể hoạt động trong khi pin/acquy đang được nạp điện thì bộ nạp pin/acquy cũng được coi là biến áp và đồ chơi được coi là đồ chơi có hai nguồn cấp.
3.1.13
Đồ chơi dùng pin/acquy nạp lại được (rechargeable battery toy)
Đồ chơi được cung cấp kèm pin/acquy nạp lại được trong đó pin/acquy được nạp điện qua việc nối với bộ nạp pin/acquy mà không cần tháo pin/acquy khỏi đồ chơi.
3.1.14
Cách điện chức năng (functional insulation)
Cách điện giữa các phần dẫn có điện thế khác nhau, chỉ cần thiết cho hoạt động đúng của đồ chơi.
3.2.1
Điện áp danh định (rated voltage)
Điện áp do nhà chế tạo ấn định cho đồ chơi.
3.2.2
Điện áp làm việc (working voltage)
Điện áp lớn nhất mà bộ phận cần xem xét phải chịu khi đồ chơi được cấp nguồn ở điện áp danh định và làm việc ở điều kiện làm việc bình thường.
CHÚ THÍCH: Việc thay đổi điện áp do hoạt động của cơ cấu đóng cắt hoặc hỏng bóng đèn cần được tính đến. Tuy nhiên, không tính đến ảnh hưởng của điện áp quá độ.
3.2.3
Công suất vào danh định (rated power input)
Công suất vào do nhà chế tạo ấn định cho đồ chơi.
3.2.4
Dòng điện danh định (rated current)
Dòng điện do nhà chế tạo ấn định cho đồ chơi.
CHÚ THÍCH: Nếu trị số dòng điện không được ấn định cho đồ chơi thì dòng điện danh định là dòng điện đo được khi đồ chơi được cấp điện ở điện áp danh định và hoạt động trong điều kiện làm việc bình thường.
3.2.5
Làm việc bình thường (normal operation)
Điều kiện trong đó đồ chơi được chơi như thiết kế hoặc theo cách dự đoán được khi đóng điện.
Đồ chơi để ngồi lên và đồ chơi để đứng lên được mang tải
- 25 kg, nếu được thiết kế cho trẻ em đến 3 tuổi;
- 50 kg, nếu được thiết kế cho trẻ em từ 3 tuổi trở lên.
Đối với tất cả các đồ chơi dùng pin/acquy nạp lại được, làm việc bình thường bao gồm nạp điện và nạp quá mức.
3.3.1
Khe hở không khí (clearance)
Khoảng cách ngắn nhất trong không khí giữa hai bộ phận dẫn điện hoặc giữa một bộ phận dẫn điện và bề mặt chạm tới được.
3.3.2
Chiều dài đường rò (creepage distance)
Khoảng cách ngắn nhất dọc theo bề mặt cách điện giữa hai bộ phận dẫn điện hoặc giữa một bộ phận dẫn điện và bề mặt chạm tới được.
3.4.1
Bộ phận tháo rời được (detachable part)
Bộ phận có thể tháo ra mà không cần đến dụng cụ, bộ phận có thể tháo ra bằng dụng cụ được cung cấp cùng với đồ chơi, hoặc bộ phận được tháo ra theo hướng dẫn sử dụng, cho dù cần có dụng cụ để tháo.
CHÚ THÍCH: Bộ phận có thể mở ra được coi là bộ phận có thể tháo ra được.
3.4.2
Bộ phận chạm tới được (accessible part)
Bộ phận hoặc bề mặt có thể chạm tới bằng đầu dò thử nghiệm 18 hoặc 19 của IEC 61032, phụ thuộc vào nhóm tuổi liên quan.
CHÚ THÍCH: Cả hai đầu dò đều thích hợp dùng cho đồ chơi được thiết kế cho trẻ em ở cả hai nhóm tuổi.
3.4.3
Dụng cụ (tool)
Tuốc nơ vít, đồng xu hoặc các vật dụng khác có thể dùng để vặn vít, kẹp hoặc các phương tiện cố định tương tự.
3.5.1
Bộ điều nhiệt (thermostat)
Thiết bị nhạy với nhiệt độ, nhiệt độ tác động của nó có thể cố định hoặc điều chỉnh được và trong quá trình làm việc bình thường thì giữ nhiệt độ của bộ phận cần điều khiển nằm trong giới hạn nhất định bằng cách tự động đóng và cắt mạch điện.
3.5.2
Cơ cấu cắt theo nguyên lý nhiệt (thermal cut-out)
Cơ cấu mà ở chế độ làm việc không bình thường thì giới hạn nhiệt độ của bộ phận cần điều khiển bằng cách tự động cắt mạch hoặc giảm dòng điện và được kết cấu sao cho người sử dụng không thể thay đổi giá trị đã chỉnh định.
3.5.3
Cơ cấu cắt theo nguyên lý nhiệt tự phục hồi (self-resetting thermal cut-out)
Cơ cấu cắt theo nguyên lý nhiệt tự động phục hồi dòng điện sau khi bộ phận liên quan của đồ chơi đã đủ nguội.
3.5.4
Cơ cấu cắt theo nguyên lý nhiệt không tự phục hồi (non-self-resetting thermal cut-out)
Cơ cấu cắt theo nguyên lý nhiệt đòi hỏi thao tác bằng tay để phục hồi hoặc thay thế một phần, để phục hồi dòng điện.
3.5.5
Linh kiện điện tử (electronic component)
Bộ phận trong đó sự truyền điện được thực hiện chủ yếu bởi các điện tử di chuyển qua chân không, khí hoặc chất bán dẫn.
3.5.6
Mạch điện tử (electronic circuit)
Mạch điện có chứa ít nhất một linh kiện điện tử.
4 Yêu cầu chung
Đồ chơi phải có kết cấu sao cho các rủi ro cho người hoặc vật xung quanh được giảm đến chừng mực có thể khi đồ chơi được sử dụng như dự kiến hoặc theo cách dự đoán được.
Nhìn chung, nguyên tắc này đạt được bằng cách đáp ứng đầy đủ các yêu cầu liên quan được quy định trong tiêu chuẩn này và sự phù hợp được kiểm tra bằng cách thực hiện toàn bộ các thử nghiệm có liên quan
5 Điều kiện chung đối với các thử nghiệm
Nếu không có quy định nào khác, các thử nghiệm được tiến hành phù hợp với điều này.
CHÚ THÍCH: Một vài thử nghiệm trên đồ chơi dùng pin/acquy có thể dẫn đến việc vỡ hoặc nổ pin/acquy. Các biện pháp phòng ngừa thích hợp cần được tính đến khi thực hiện các thử nghiệm này.
5.1 Thử nghiệm theo tiêu chuẩn này là thử nghiệm điển hình.
5.2 Các thử nghiệm được tiến hành trên một mẫu, mẫu phải chịu được tất cả các thử nghiệm có liên quan. Tuy nhiên, các thử nghiệm của các điều từ Điều 14 đến Điều 17 có thể được thực hiện trên các mẫu riêng biệt. Nếu đồ chơi không hoạt động sau thử nghiệm của Điều 9 thì các thử nghiệm sau đó được tiến hành trên một mẫu riêng.
CHÚ THÍCH 1: Có thể yêu cầu mẫu bổ sung, nếu đồ chơi có kết cấu
- dùng cho điện áp cung cấp khác nhau;
- dùng cho cả dòng điện xoay chiều và một chiều;
- dùng cho các tốc độ khác nhau.
CHÚ THÍCH 2: Việc thử nghiệm các linh kiện có thể yêu cầu nộp các mẫu bổ sung của các linh kiện này.
CHÚ THÍCH 3: Cần tránh ứng suất tích lũy lên mạch điện tử do các thử nghiệm liên tiếp. Có thể cần thiết phải thay thế các linh kiện hoặc sử dụng mẫu bổ sung, số lượng mẫu bổ sung cần giữ ở mức tối thiểu bằng cách đánh giá các mạch điện tử liên quan.
5.3 Các thử nghiệm được tiến hành theo thứ tự của các điều.
Nếu có bằng chứng là kết cấu của đồ chơi hiển nhiên không phải thực hiện một thử nghiệm cụ thể thì không cần tiến hành thử nghiệm đó.
5.4 Nếu đồ chơi được thiết kế để trẻ em lắp ráp thì áp dụng các yêu cầu dành cho từng bộ phận chạm tới trẻ em và đồ chơi đã lắp ráp. Nếu đồ chơi được thiết kế để được lắp ráp bởi người trưởng thành thì áp dụng các yêu cầu dành cho đồ chơi đã lắp ráp.
5.5 Các thử nghiệm được tiến hành trên đồ chơi hoặc bộ phận di động bất kỳ của đồ chơi được đặt ở tư thế bất lợi nhất khi đồ chơi được sử dụng như dự kiến hoặc theo cách có thể dự kiến. Nắp hộp pin/acquy được mở ra hoặc tháo ra. Các bộ phận tháo ra được khác được tháo ra hoặc giữ ở đúng vị trí, chọn trường hợp nào bất lợi hơn.
5.6 Đồ chơi có cơ cấu điều khiển hoặc cơ cấu đóng cắt được thử nghiệm với các cơ cấu điều khiển hoặc cơ cấu đóng cắt này được điều chỉnh đến chế độ đặt bất lợi nhất nếu chế độ đặt này có thể thay đổi được bởi người sử dụng.
5.7 Dây nguồn tháo ra được được cung cấp cùng đồ chơi được coi là phần của đồ chơi và được thử nghiệm cùng với nó.
5.8 Đồ chơi dùng pin/acquy được thiết kế để sử dụng cùng với hộp pin/acquy, được thử nghiệm với hộp pin/acquy được cung cấp kèm theo đồ chơi hoặc với hộp pin/acquy được khuyến cáo trong hướng dẫn.
Đồ chơi dùng biến áp được thử nghiệm với biến áp được cung cấp kèm theo đồ chơi. Nếu đồ chơi được cung cấp không có biến áp thì đồ chơi được thử nghiệm với biến áp được khuyến cáo trong hướng dẫn.
Đồ chơi có hai nguồn cấp được thử nghiệm với nguồn cấp bất lợi nhất cho phép theo kết cấu, đánh giá loại nguồn cấp đối với mỗi thử nghiệm.
Đồ chơi dùng pin/acquy nạp lại được có thể được cho hoạt động trong quá trình nạp điện, được thử nghiệm như đồ chơi có hai nguồn cấp điện vì bộ nạp pin/acquy làm việc như một biến áp.
5.9 Đồ chơi dùng pin/acquy được thử nghiệm bằng cách sử dụng các pin/acquy mới không nạp lại được hoặc pin/acquy nạp lại được được nạp đầy, chọn trường hợp nào bất lợi hơn.
CHÚ THÍCH 1: Nhìn chung, pin/acquy nạp lại được được nạp đầy hoặc pin/acquy kiềm mới được coi là pin/acquy bất lợi nhất. Tuy nhiên, đối với từng thử nghiệm, pin/acquy có dòng điện, điện áp hoặc dung lượng lớn nhất tạo ra điều kiện nặng nề nhất được coi là pin/acquy gây bất lợi nhất.
Pin/acquy được sử dụng là pin/acquy có điện áp và kích thước quy định trên đồ chơi hoặc trong hướng dẫn. Thông thường, sử dụng các pin/acquy tương tự có sẵn nếu điều này dẫn đến tình trạng bất lợi hơn.
CHÚ THÍCH 2: Không sử dụng pin/acquy lithi trừ khi việc sử dụng này được khuyến cáo trong hướng dẫn.
CHÚ THÍCH 3: Nếu đồ chơi không chịu được thử nghiệm và có thể là do pin/acquy có khuyết tật thì lặp lại thử nghiệm với bộ pin/acquy mới.
5.10 Khi các phụ kiện thay thế được nhà chế tạo thiết bị làm sẵn thì đồ chơi được thử nghiệm với các phụ kiện nào cho kết quả bất lợi nhất.
CHÚ THÍCH 1: Ví dụ về các phụ kiện là bóng đèn, động cơ và đường ray.
Nếu nhiều phụ kiện có thể được sử dụng đồng thời thì sử dụng phối hợp đưa ra kết quả bất lợi nhất.
CHÚ THÍCH 2: Phụ kiện có thể được chọn từ nhiều hơn một bộ.
CHÚ THÍCH 3: Phụ kiện có thể được thay thế bằng tải mô phỏng đối với các thử nghiệm.
Đồ chơi có bóng đèn được sử dụng như phần tử gia nhiệt có thể được tháo ra mà không cần đến dụng cụ, được thử nghiệm cùng với bóng đèn có công suất vào cao nhất có thể được lắp, bất kể các nhãn ghi.
CHÚ THÍCH 4: Bóng đèn được lựa chọn từ loại có sẵn thông thường.
5.11 Các thử nghiệm được tiến hành ở nơi không có gió lùa, ở nhiệt độ môi trường xung quanh là 20 °C ± 5 °C.
5.12 Đồ chơi có nhiều hơn một điện áp danh định, được thử nghiệm ở điện áp bất lợi nhất. Đồ chơi chỉ sử dụng điện xoay chiều, được thử nghiệm với điện xoay chiều ở tần số danh định nếu được ghi nhãn và đồ chơi sử dụng cả điện áp xoay chiều lẫn một chiều được thử nghiệm ở tần số bất lợi nhất. Nếu không ghi nhãn tần số, đồ chơi được thử nghiệm ở tần số 50 Hz hoặc 60 Hz, nếu thích hợp.
5.13 Đồ chơi dùng pin/acquy cũng được thử nghiệm với cực tính được đảo chiều trừ khi các kết nối này được ngăn ngừa bởi kết cấu.
5.14 Pin/acquy được định vị chính xác trước khi đánh giá khả năng cách điện bắc cầu và trước khi tiến hành thử nghiệm nối tắt.
Mỗi lần chỉ nối tắt một lần. Hư hại do nối tắt không làm ảnh hưởng đến sự phù hợp với tiêu chuẩn này, được phép sửa chữa trước khi nối tắt tiếp theo.
5.15 Trước khi bắt đầu thử nghiệm, đồ chơi được ổn định trước bằng cách cho chịu các thử nghiệm theo các điều của TCVN 6238-1 (ISO 8124-1), pin/acquy được đặt đúng vị trí:
- 5.12.5 Thử nghiệm quá tải, đối với đồ chơi ngồi lên hoặc đồ chơi dùng để đứng lên;
- 5.24.2 Thử nghiệm rơi, đối với đồ chơi có khối lượng nhỏ hơn 4,5 kg, bao gồm cả pin/acquy, bất kể nhóm tuổi nào;
- 5.24.4 Thử nghiệm độ bền động lực, đối với đồ chơi do trẻ ngồi lên lái;
- 5.24.6.1 Thử nghiệm kéo, đối với tất cả các đồ chơi;
- 5.24.6.2 Thử nghiệm kéo đối với đường may nối, đối với đồ chơi có vật liệu dệt hoặc vật liệu uốn được khác để che phủ pin/acquy hoặc các bộ phận điện khác.
CHÚ THÍCH: Không kiểm tra sự phù hợp với TCVN 6238-1 (ISO 8124-1) sau khi ổn định trước. Tuy nhiên, phải kiểm tra đảm bảo an toàn của nắp hộp pin/acquy (xem 14.6 và 14.7).
6 Tiêu chí rút gọn thử nghiệm
Đối với một số đồ chơi, không cần tiến hành tất cả các thử nghiệm quy định trong tiêu chuẩn này nếu các điều kiện của 6.1 và 6.2 được đáp ứng. Việc miễn trừ điều kiện của 6.1 áp dụng cho tất cả các đồ chơi, trong khi việc miễn trừ điều kiện của 6.2 chỉ áp dụng cho đồ chơi dùng pin/acquy.
6.1 Đồ chơi phù hợp với thử nghiệm của Điều 9 có cách điện nằm giữa các bộ phận có cực tính khác nhau được ngắn mạch, được coi là phù hợp với các điều từ Điều 10 đến Điều 12, Điều 15 và Điều 18. Ngắn mạch được đặt lần lượt tại tất cả các vị trí mà tại đó cách điện có khả năng bị đánh thủng và có thể tiến hành bằng cách sử dụng sợi dây kim loại uốn được.
6.2 Đồ chơi dùng pin/acquy được coi là phù hợp với Điều 10, Điều 11 (ngoại trừ 11.1), Điều 12, Điều 15, Điều 17 (ngoại trừ 17.1 đối với hộp pin/acquy được thiết kế để chứa các pin cúc áo, Điều 18 và Điều 19 nếu
- cách điện chạm tới được nằm giữa các bộ phận có cực tính khác nhau, trừ khi các bộ phận này nằm trong hộp pin/acquy, không thể nối tắt bằng ghim thép thẳng có đường kính 0,5 mm và chiều dài thích hợp lớn hơn 25 mm,
và
- điện áp tổng của bộ pin tổng không vượt quá 2,5 V, được đo 1 s sau khi điện trở 1 Ω đã được nối giữa các đầu nối nguồn của đồ chơi, cơ cấu giới hạn dòng bất kỳ được nối tắt và không cho đồ chơi hoạt động.
7 Ghi nhãn và hướng dẫn
7.1 Đồ chơi hoặc bao gói của đồ chơi phải được ghi nhãn với nội dung sau:
- tên, thương hiệu hoặc nhãn nhận biết của nhà chế tạo hoặc đại lý được ủy quyền;
- kiểu hoặc kiểu tham chiếu;
Khi ghi nhãn đồ chơi, các nhãn này phải nằm trên bộ phận chính. Khi bao gói không được ghi nhãn và khi bao gói không thích hợp để ghi nhãn đồ chơi, ví dụ do kích cỡ của đồ chơi, thì thay vào đó được phép nhãn ghi theo 7.1.1 đến 7.1.3 trong hướng dẫn.
CHÚ THÍCH 1: Ngoài ra, có thể áp dụng các yêu cầu về ghi nhãn của TCVN 6238-1 (ISO 8124-1).
CHÚ THÍCH 2: Cho phép các nhãn bổ sung với điều kiện là chúng không gây hiểu nhầm.
Kiểm tra sự phù hợp bằng cách xem xét.
7.1.1 Đồ chơi dùng pin/acquy có pin/acquy thay thế được phải được ghi nhãn với
- điện áp danh nghĩa của pin/acquy, trong hoặc trên hộp pin/acquy;
- ký hiệu điện một chiều, nếu đồ chơi có hộp pin/acquy.
Nếu sử dụng nhiều hơn một pin/acquy thì hộp pin/acquy phải được ghi nhãn hình dạng của pin/acquy theo kích thước tỷ lệ, cùng với điện áp danh nghĩa và điện cực của chúng.
Kiểm tra sự phù hợp bằng cách xem xét.
CHÚ THÍCH: Ví dụ về cách biểu diễn ba pin

7.1.2 Các đồ chơi dùng biến áp phải được ghi nhãn
- điện áp danh định của chúng, tính bằng vôn;
- ký hiệu điện xoay chiều hoặc điện một chiều, nếu thuộc đối tượng áp dụng;
- công suất vào danh định, tính bằng oát hoặc vôn-ampe, nếu lớn hơn 25 W hoặc 25 VA;
- ký hiệu về biến áp dùng cho đồ chơi. Ký hiệu này cũng phải được ghi trên bao gói.
Nhãn ghi điện áp danh định và ký hiệu đối điện xoay chiều hoặc điện một chiều phải được đặt liền kề với đầu nối. Không yêu cầu nhãn ghi điện xoay chiều hoặc điện một chiều nếu việc nguồn cấp không đúng không làm ảnh hưởng đến sự phù hợp với tiêu chuẩn này.
Kiểm tra sự phù hợp bằng cách xem xét.
7.1.3 Đồ chơi có hai nguồn cấp phải được ghi nhãn theo nhãn ghi được yêu cầu đối với cả đồ chơi dùng pin/acquy và đồ chơi dùng biến áp.
Kiểm tra sự phù hợp bằng cách xem xét.
7.2 Nhãn nhận biết đối với bóng đèn tháo ra được phải được ghi
- điện áp danh định và số kiểu, hoặc
- công suất vào lớn nhất, hoặc
- dòng điện lớn nhất.
Nhãn ghi đối với công suất vào hoặc dòng điện của bóng đèn tháo ra được phải có nội dung sau:
công suất lớn nhất của bóng đèn ... W hoặc dòng điện lớn nhất của bóng đèn ... A
Từ “bóng đèn” có thể được thay bằng ký hiệu 5012 của IEC 60417-1.
Nhãn ghi phải nhìn thấy được khi thay bóng đèn.
Không yêu cầu nhãn ghi này nếu độ tăng nhiệt đo được trong quá trình thử nghiệm của Điều 9 không lớn hơn các giới hạn khi lắp bóng đèn có công suất vào lớn nhất.
Kiểm tra sự phù hợp bằng cách xem xét.
7.3 Khi sử dụng các ký hiệu thì phải sử dụng các ký hiệu sau đây:
|
| [ký hiệu 5031 của IEC 60417-1] | dòng điện một chiều |
|
| [ký hiệu 5032 của IEC 60417-1] | dòng điện xoay chiều |
|
| [ký hiệu 5012 của IEC 60417-1] | bóng đèn |
|
| [ký hiệu 5219 của IEC 60417-1] | biến áp cách ly an toàn dùng cho đồ chơi (ký hiệu dùng cho đồ chơi dùng biến áp) |
CHÚ THÍCH 1: Cho phép sử dụng các ký hiệu bổ sung miễn là chúng không gây hiểu nhầm.
CHÚ THÍCH 2: Có thể sử dụng các ký hiệu được quy định trong IEC 60417-1 và ISO 7000.
Đơn vị của các đại lượng vật lý và các ký hiệu của chúng phải phù hợp với hệ thống tiêu chuẩn hóa quốc tế.
Kiểm tra sự phù hợp bằng cách xem xét.
7.4 Phải có hướng dẫn đưa ra các nội dung chi tiết liên quan đến việc làm sạch và bảo trì khi cần thiết đối với hoạt động an toàn của đồ chơi. Hướng dẫn phải nêu rằng biến áp hoặc bộ nạp pin/acquy được sử dụng cùng đồ chơi cần được kiểm tra thường xuyên đối với sự hư hại của dây nguồn, phích cắm, vỏ ngoài và các bộ phận khác, và trong trường hợp xảy ra hư hại này, không được sử dụng chúng cho tới khi hư hại đã được sửa chữa.
Các đồ chơi phải được cung cấp cùng với hướng dẫn lắp ráp nếu
- chúng được thiết kế để lắp ráp bởi trẻ em;
- hướng dẫn này cần thiết cho hoạt động an toàn của đồ chơi.
Nếu đồ chơi được thiết kế để lắp ráp bởi người lớn thì điều này phải được nêu.
Hướng dẫn đối với đồ chơi dùng biến áp và đồ chơi có hộp đựng pin/acquy phải nêu rõ rằng đồ chơi không được nối với nhiều quá số nguồn cấp điện được khuyến cáo.
Hướng dẫn đối với đồ chơi có hai nguồn cấp phải bao gồm các hướng dẫn được yêu cầu đối với cả đồ chơi dùng pin/acquy và đồ chơi dùng biến áp.
Đồ chơi có các dây không có phương tiện nối, phải được cung cấp cùng với hướng dẫn chỉ ra rằng không được cắm các dây này vào ổ cắm.
Hướng dẫn đối với đồ chơi dùng pin/acquy có pin/acquy thay thế được phải có nội dung dưới đây, nếu thích hợp:
- loại pin/acquy có thể được sử dụng;
- cách tháo và lắp pin/acquy;
- không nạp lại đối với pin/acquy không nạp lại được;
- pin/acquy nạp lại được chỉ được nạp dưới sự giám sát của người lớn (đối với đồ chơi được cung cấp kèm theo bộ nạp pin/acquy để sử dụng bởi trẻ em, hướng dẫn này có thể được thay thế bằng: ‘pin/acquy chỉ được nạp bởi người lớn hoặc trẻ em từ 8 tuổi trở lên’);
- pin/acquy nạp lại được cần được tháo khỏi đồ chơi trước khi được nạp;
- không để lẫn các loại pin/acquy khác nhau hoặc pin/acquy mới với pin/acquy đã sử dụng;
- pin/acquy cần được lắp vào đúng cực tính;
- pin/acquy đã dùng hết phải được tháo khỏi đồ chơi;
- đầu nối nguồn không được nối tắt.
Hướng dẫn đối với đồ chơi dùng biến áp phải có nội dung dưới đây, nếu thích hợp:
- đồ chơi không được thiết kế cho trẻ em dưới 3 tuổi;
- đồ chơi chỉ được sử dụng với biến áp được khuyến cáo;
- biến áp không phải là đồ chơi;
- đồ chơi có khả năng được làm sạch bằng chất lỏng cần được ngắt điện khỏi biến áp trước khi làm sạch.
Hướng dẫn có thể ở trên tờ giấy in rời, trên bao gói hoặc trên đồ chơi. Nếu hướng dẫn được ghi trên đồ chơi thì chúng phải nhìn thấy được từ bên ngoài và nếu đồ chơi có nhiều hơn một bộ phận thì chỉ cần ghi nhãn các bộ phận chính.
Hướng dẫn đối với đồ chơi dùng pin/acquy được thiết kế để sử dụng dưới nước phải nêu rằng đồ chơi chỉ được vận hành ở dưới nước khi đã lắp ráp đầy đủ theo hướng dẫn.
Kiểm tra sự phù hợp bằng cách xem xét.
7.5 Khi nhãn ghi hoặc hướng dẫn nằm trên bao gói thì nội dung cũng phải nêu rằng bao gói phải được giữ lại vì nó chứa thông tin quan trọng.
Kiểm tra sự phù hợp bằng cách xem xét.
7.6 Hướng dẫn và các nội dung khác mà tiêu chuẩn này quy định phải được viết bằng ngôn ngữ chính thức của quốc gia bán đồ chơi.
Kiểm tra sự phù hợp bằng cách xem xét.
7.7 Nhãn ghi trên đồ chơi phải rõ ràng và bền.
Kiểm tra sự phù hợp bằng cách xem xét và bằng cách chà xát nhãn bằng tay trong 15 s bằng miếng vải thấm đẫm nước và sau đó trong 15 s nữa bằng miếng vải thấm đẫm xăng nhẹ. Xăng nhẹ dùng cho thử nghiệm là loại dung môi hexan mạch thẳng. Khi sử dụng các dung dịch khác được khuyến cáo, thử nghiệm chà xát cũng được thực hiện với miếng vải được thấm đẫm dung dịch này.
Sau tất cả các thử nghiệm của tiêu chuẩn này, nhãn vẫn phải rõ rằng, không thể dễ dàng bóc được tấm nhãn và nhãn không có dấu hiệu bị quăn.
CHÚ THÍCH: Khi xem xét độ bền của nhãn, cần tính đến ảnh hưởng của quá trình sử dụng bình thường, ví dụ như làm sạch thường xuyên.
8 Công suất vào
Công suất vào của đồ chơi dùng biến áp và đồ chơi có hai nguồn cấp không được vượt quá 20 %, công suất vào danh định
Kiểm tra sự phù hợp bằng phép đo khi công suất vào đã ổn định và đồ chơi đã đạt được nhiệt độ làm việc bình thường với
- tất cả các mạch có thể hoạt động đồng thời thì cho hoạt động đồng thời;
- đồ chơi được cấp điện ở điện áp danh định;
- đồ chơi hoạt động ở chế độ làm việc bình thường.
CHÚ THÍCH: Phải đo công suất vào để xác định xem công suất vào danh định có cần được ghi nhãn không.
9 Phát nóng và hoạt động không bình thường
9.1 Đồ chơi không được đạt tới nhiệt độ quá mức trong sử dụng. Chúng phải có kết cấu sao cho ngăn ngừa tối đa các rủi ro về cháy, hư hại về cơ làm ảnh hưởng xấu đến an toàn hoặc các rủi ro khác do sử dụng thiếu cẩn thận hoặc hỏng linh kiện.
Đồ chơi phải chịu các thử nghiệm của các điều từ 9.3 đến 9.8 ở các điều kiện được quy định trong 9.2.
Tất cả các đồ chơi phải chịu các thử nghiệm của các điều từ 9.3 đến 9.5.
Đồ chơi có lắp động cơ phải chịu thử nghiệm của 9.6.
Đồ chơi dùng biến áp, đồ chơi có hai nguồn cấp và đồ chơi có hộp đựng pin/acquy phải chịu thử nghiệm của 9.7.
Đồ chơi có lắp mạch điện tử phải chịu thử nghiệm của 9.8.
Đồ chơi chỉ lắp bóng đèn sợi đốt có công suất vào danh định không vượt quá 1 W không phải chịu thử nghiệm.
Nếu không có quy định nào khác, kiểm tra sự phù hợp với các thử nghiệm của điều này như mô tả trong 9.9.
Các thử nghiệm của 9.3 và 9.4 được tiếp tục cho tới khi điều kiện ổn định được thiết lập. Trong các thử nghiệm này, cơ cấu cắt theo nguyên lý nhiệt không được tác động. Tuy nhiên, trong quá trình thử nghiệm độ tăng nhiệt của 9.3 và 9.4 trên đồ chơi di động ví dụ như xe điều khiển bằng radio, thì cho phép cơ cấu cắt theo nguyên lý nhiệt tự phục hồi tác động.
Thử nghiệm của các điều từ 9.5 đến 9.8 được tiếp tục cho tới khi cơ cấu cắt theo nguyên lý nhiệt không tự phục hồi tác động hoặc cho tới khi điều kiện ổn định được thiết lập. Nếu phần tử gia nhiệt hoặc một bộ phận yếu có chủ ý bị đứt mạch thì lặp lại thử nghiệm tương ứng trên mẫu thứ hai. Thử nghiệm lần hai này phải được kết thúc theo cùng một phương thức như trên, trừ khi thử nghiệm này hoàn thành thỏa đáng.
CHÚ THÍCH 1: Bộ phận yếu có chủ ý là bộ phận được thiết kế để ngắt nhằm ngăn ngừa xảy ra tình trạng dẫn đến không phù hợp với tiêu chuẩn này. Bộ phận này có thể là một linh kiện thay thế được như điện trở hoặc tụ điện hoặc một phần của linh kiện cần thay thế, ví dụ như cầu nhiệt không chạm tới được lắp bên trong động cơ.
CHÚ THÍCH 2: Có thể sử dụng cầu chảy, cơ cấu cắt theo nguyên lý nhiệt, cơ cấu bảo vệ quá dòng hoặc cơ cấu tương tự lắp bên trong đồ chơi có thể được sử dụng để tạo ra bảo vệ cần thiết.
CHÚ THÍCH 3: Nếu có nhiều thử nghiệm được áp dụng cho cùng một đồ chơi thì các thử nghiệm này được thực hiện lần lượt sau khi thiết bị đã nguội về nhiệt độ phòng.
9.2 Đồ chơi được đặt ở vị trí bất lợi nhất có thể xảy ra trong quá trình chơi.
Đồ chơi cầm tay được treo lên tự do.
Các đồ chơi khác được đặt lên sàn của góc thử nghiệm càng gần với các vách càng tốt hoặc cách xa các vách, chọn vị trí nào bất lợi hơn. Góc thử nghiệm gồm hai vách vuông góc nhau và sàn được làm bằng gỗ sơn đen mờ có chiều dày khoảng 20 mm. Vách và sàn được phủ bằng bốn lớp gạc cotton đã tẩy trắng có kích thước 500 mm x 500 mm và khối lượng riêng là 40 g/m2 ± 8g /m2. Gạc được đặt trên bề mặt mà tại đó có thể xảy ra nhiệt độ cao và cháy thành than. Đồ chơi có kích thước không lớn hơn 500 mm được bọc hoàn toàn bằng gạc cotton.
Đồ chơi dùng pin/acquy được cấp điện ở điện áp danh định.
Đồ chơi dùng biến áp và đồ chơi có hai nguồn cấp được cấp điện ở 0,94 lần hoặc 1,06 lần điện áp danh định, chọn giá trị nào bất lợi hơn.
Độ tăng nhiệt được xác định bằng các nhiệt ngẫu kiểu sợi dây mảnh được bố trí sao cho ít gây ảnh hưởng nhất đến nhiệt độ của bộ phận cần thử nghiệm. Trong trường hợp nhiệt ngẫu không thể đo thành công nhiệt độ lớn nhất trong quá trình thử nghiệm thì có thể sử dụng giấy nhiệt hoặc phương pháp khác để đo độ tăng nhiệt.
CHÚ THÍCH: Nhiệt ngẫu kiểu sợi dây có đường kính không lớn hơn 0,3 mm được coi là nhiệt ngẫu kiểu sợi dây mảnh.
Đồ chơi di động phải được thử nghiệm ở bất cứ điều kiện sử dụng nào tạo ra độ tăng nhiệt cao nhất. Khi cơ cấu cắt theo nguyên lý nhiệt không tự phục hồi tác động, nó được phục hồi tối đa ba lần. Đồ chơi có cơ cấu cắt theo nguyên lý nhiệt tự phục hồi được thử nghiệm cho tới khi thiết lập các điều kiện ổn định.
9.3 Đồ chơi được vận hành trong điều kiện làm việc bình thường và xác định độ tăng nhiệt của các bộ phận khác nhau. Đồ chơi dùng pin/acquy nạp lại được có thể vận hành trong khi việc nạp lại cũng được thử nghiệm ở chế độ nạp.
CHÚ THÍCH: Có thể cần cài lại bộ định giờ trên bộ nạp pin/acquy để thiết lập các điều kiện ổn định.
9.4 Lặp lại thử nghiệm 9.3, cách điện giữa các bộ phận có cực tính khác nhau, ngoại trừ các bộ phận trong hộp pin/acquy, được ngắn mạch lần lượt nếu có thể tiếp cận được sau khi tháo bộ phận tháo ra được ngoại trừ bóng đèn. Tuy nhiên, ngắn mạch chỉ được áp dụng nếu nó có thể cách điện bắc cầu bằng đinh thép thẳng có đường kính 0,5 mm và chiều dài thích hợp lớn hơn 25 mm, hoặc bằng một que có đường kính 1,0 mm được luồn qua các lỗ trong vỏ bọc tới chiều sâu là 100 mm. Dùng bàn tay dẫn hướng đinh và que và chỉ được đặt lực đủ để giữ chúng ở đúng vị trí.
Đối với sản phẩm cần dùng tay hoặc chân để duy trì cấp điện, nếu việc ngắn mạch làm cho sản phẩm không hoạt động thì cơ cấu đóng cắt được nhả ra sau 30 s.
9.5 Lặp lại thử nghiệm của 9.3, cơ cấu điều khiển bất kỳ giới hạn nhiệt độ trong quá trình thử nghiệm của 9.3 và 9.4, được ngắn mạch. Nếu đồ chơi có nhiều hơn một cơ cấu điều khiển thì chúng lần lượt phải được ngắn mạch.
Nếu cơ cấu điều khiển chỉ gồm có các điện trở hệ số nhiệt dương (PTC), điện trở hệ số nhiệt âm (NTC) hoặc điện trở phụ thuộc điện áp (VDR) thì chúng không được ngắn mạch nếu chúng được sử dụng trong yêu cầu kỹ thuật mà nhà chế tạo công bố.
Đối với các sản phẩm cần dùng tay hoặc chân để duy trì cấp điện, nếu việc ngắn mạch làm cho sản phẩm không hoạt động thì cơ cấu đóng cắt được nhả ra sau 30 s.
9.6 Lặp lại thử nghiệm 9.3 với các bộ phận dịch chuyển tiếp cận được bị hãm.
CHÚ THÍCH: Nếu đồ chơi có lắp nhiều hơn một động cơ thì thử nghiệm được tiến hành bằng cách hãm lần lượt các bộ phận chuyển động được được truyền động bởi từng động cơ.
Kết thúc thử nghiệm sau 30 s nếu đồ chơi cần phải dùng tay hoặc chân để duy trì cấp điện.
9.7 Đồ chơi dùng biến áp, đồ chơi có hai nguồn cấp và đồ chơi có hộp pin/acquy được nối với nguồn cấp điện bổ sung khuyến cáo trong hướng dẫn sử dụng. Nguồn cấp điện bổ sung giống với nguồn cấp được khuyến cáo dùng cho đồ chơi và được nối nối tiếp hoặc nối song song, chọn trường hợp nào bất lợi hơn. Sau đó đồ chơi được thử nghiệm như quy định trong 9.3 và 9.4.
CHÚ THÍCH: Chỉ áp dụng thử nghiệm nếu việc nối có thể dễ dàng thực hiện mà không cần sử dụng dụng cụ và bằng cách sử dụng các bộ phận từ hai đồ chơi giống nhau hoặc hai bộ đồ chơi kết cấu giống nhau.
9.8 Kiểm tra sự phù hợp đối với mạch điện điện tử bằng việc đánh giá các tình trạng sự cố được quy định trong 9.8.2 đối với tất cả các mạch điện hoặc các phần của mạch điện, trừ khi chúng phù hợp với các điều kiện được quy định trong 9.8.1.
Nếu đường dẫn của bảng mạch in trở nên hở mạch thì đồ chơi được coi là đã chịu được các thử nghiệm cụ thể, với điều kiện là đáp ứng hai điều kiện sau:
- vật liệu của bảng mạch in chịu được thử nghiệm ngọn lửa hình kim của Phụ lục B;
- đồ chơi chịu được thử nghiệm của 9.8.2 với đường dẫn hở mạch.
CHÚ THÍCH: Nhìn chung, việc kiểm tra đồ chơi và sơ đồ mạch điện của đồ chơi có thể phát hiện các tình trạng sự cố cần phải mô phỏng sao cho thử nghiệm có thể được giới hạn ở các trường hợp có thể dẫn tới các kết quả bất lợi nhất.
9.8.1 Các tình trạng sự cố a) đến f) được quy định ở 9.8.2 không áp dụng cho các mạch điện hoặc các phần của mạch điện thỏa mãn cả hai điều kiện sau:
- mạch điện tử là mạch công suất thấp như mô tả dưới đây;
- bảo vệ chống nguy cơ cháy hoặc sự cố nguy hiểm trong các bộ phận khác của đồ chơi không phụ thuộc vào hoạt động đúng của mạch điện tử.
Ví dụ về mạch công suất thấp được thể hiện trên Hình 1 được xác định như sau.
Đồ chơi được được cấp điện ở điện áp danh định và một biến trở được điều chỉnh đến giá trị điện trở lớn nhất được nối giữa điểm cần khảo sát và cực đối diện của nguồn cấp.
Sau đó giảm điện trở cho đến khi công suất tiêu thụ trên điện trở đạt cực đại. Các điểm gần nguồn nhất mà ở điểm đó công suất lớn nhất truyền đến điện trở này không vượt quá 15 W sau 5 s thì được coi là các điểm công suất thấp. Những phần của mạch điện cách xa nguồn cấp hơn so với điểm công suất thấp được coi là mạch công suất thấp.
CHÚ THÍCH 1: Các phép đo chỉ thực hiện từ một cực của nguồn cấp, tốt nhất là cực nào có số điểm công suất thấp ít nhất.
CHÚ THÍCH 2: Khi xác định các điểm công suất thấp, nên bắt đầu từ các điểm gần nguồn cấp.
9.8.2 Các tình trạng sự cố sau được xem xét và nếu cần, mỗi lần áp dụng một tình trạng sự cố, các sự cố mang tính hệ quả cần được tính đến:
a) ngắn mạch các chiều dài đường rò và khe hở không khí giữa các bộ phận có cực tính khác nhau, nếu các khoảng cách này nhỏ hơn giá trị quy định ở Điều 18, trừ khi bộ phận liên quan được bọc kín thỏa đáng;
b) hở mạch tại các đầu nối của bất kỳ linh kiện nào;
c) ngắn mạch các tụ điện, trừ khi chúng phù hợp với IEC 60384-14 hoặc chúng là tụ điện gốm được sử dụng trong phạm vi yêu cầu kỹ thuật của nhà chế tạo;
d) ngắn mạch hai đầu nối bất kỳ của một linh kiện điện tử, không phải mạch tích hợp;
e) hỏng triac ở chế độ điốt;
f) hỏng mạch tích hợp. Trong trường hợp này, tình trạng nguy hiểm có thể xảy ra của đồ chơi được đánh giá để đảm bảo rằng sự an toàn không phụ thuộc vào hoạt động đúng của linh kiện này. Tất cả các tín hiệu đầu ra có thể có, đều được xem xét đối với các tình trạng sự cố nằm trong mạch tích hợp. Nếu chỉ ra được rằng ít có khả năng xuất hiện một tín hiệu đầu ra cụ thể thì không cần xem xét sự cố liên quan.
CHÚ THÍCH 1: Các linh kiện như thyristor và triac không phải chịu tình trạng sự cố f).
CHÚ THÍCH 2: Bộ vi xử lý được thử nghiệm như mạch tích hợp.
Ngoài ra, mỗi mạch công suất thấp đều được ngắn mạch bằng cách nối điểm công suất thấp tới cực của nguồn cấp mà từ đó các phép đo được thực hiện.
Để mô phỏng các tình trạng sự cố, đồ chơi được vận hành ở điều kiện quy định trong 9.2 nhưng được cấp điện ở điện áp danh định. Đối với các sản phẩm cần dùng tay hoặc chân để duy trì cấp điện, nếu tình trạng sự cố được áp dụng dẫn đến sản phẩm không hoạt động thì cơ cấu đóng cắt được nhả ra sau 30 s.
Nếu đồ chơi có lắp mạch điện tử hoạt động để đảm bảo sự phù hợp với các điều từ 9.5 đến 9.7 thì các thử nghiệm liên quan được lặp lại với sự cố đơn được mô phỏng, như chỉ ra trong các điểm từ a) đến f) ở trên.
Tình trạng sự cố f) áp dụng cho các linh kiện có vỏ bọc và các linh kiện tương tự nếu như không thể đánh giá mạch này bằng phương pháp khác.
Điện trở có hệ số nhiệt dương (PTC) không được ngắn mạch nếu chúng được sử dụng trong phạm vi yêu cầu kỹ thuật của nhà chế tạo. Tuy nhiên, các điện trở nhiệt có hệ số nhiệt âm (PTC-S) được phép ngắn mạch trừ khi chúng phù hợp với IEC 60738-1.
9.9 Trong quá trình thử nghiệm, độ tăng nhiệt của các bộ phận chạm tới được phải được theo dõi liên tục.
Độ tăng nhiệt của bề mặt tay cầm, núm cầm và bộ phận khác có nhiều khả năng được cầm bằng tay, không được vượt quá các giá trị sau:
- 25 °C, đối với bộ phận bằng kim loại;
- 30 °C, đối với bộ phận bằng sứ hoặc thủy tinh;
- 35 °C, đối với bộ phận bằng cao su hoặc gỗ
Độ tăng nhiệt của các bộ phận chạm tới được khác của đồ chơi không được vượt quá các giá trị sau:
- 45 °C, đối với bộ phận bằng kim loại;
- 50 °C, đối với bộ phận bằng sứ hoặc thủy tinh;
- 55 °C đối với bộ phận bằng vật liệu khác;
CHÚ THÍCH 1: Bề mặt của pin/acquy được coi là kim loại.
CHÚ THÍCH 2: Đo nhiệt độ đầu nối của cơ cấu đóng cắt nếu cơ cấu đóng cắt được thử nghiệm phù hợp với Phụ lục CC.
Trong quá trình thử nghiệm,
- hợp chất gắn không được chảy ra;
- đồ chơi không được phát ra ngọn lửa hoặc kim loại nóng chảy;
- không được sinh ra các chất nguy hại như chất độc hoặc khí dễ bắt lửa với lượng nguy hiểm;
- không tích tụ hơi trong đồ chơi;
- vỏ ngoài không bị biến dạng đến mức làm ảnh hưởng xấu đến sự phù hợp với tiêu chuẩn này;
- pin/acquy không được rò rỉ hoặc phun các chất nguy hiểm;
- vật liệu, bao gồm gạc cotton, không được cháy thành than.
Sau thử nghiệm, đồ chơi không bị hư hại đến mức làm ảnh hưởng xấu đến sự phù hợp với tiêu chuẩn này.
10 Độ bền điện ở nhiệt độ làm việc
Đồ chơi ở nhiệt độ làm việc phải đủ cách điện
Kiểm tra sự phù hợp bằng thử nghiệm dưới đây.
Đồ chơi được vận hành như quy định ở 9.3 và 9.4. Ngắt một đầu nối của tất cả các linh kiện được nối qua nguồn điện và cách điện giữa các bộ phận có điện cực khác nhau phải chịu điện áp 250 V có dạng về cơ bản là hình sin có tần số 50 Hz hoặc 60 Hz.
Không được xuất hiện phóng điện đánh thủng.
11 Khả năng chống ẩm
11.1 Đồ chơi dùng pin/acquy được thiết kế để sử dụng dưới nước và đồ chơi có nhiều khả năng được làm sạch bằng chất lỏng phải có vỏ bọc để bảo vệ thích hợp.
CHÚ THÍCH 1: Đồ chơi được thiết kế để sử dụng mô phỏng việc chuẩn bị thức ăn là ví dụ về đồ chơi có nhiều khả năng được làm sạch bằng chất lỏng.
Kiểm tra sự phù hợp đối với đồ chơi có nhiều khả năng được làm sạch bằng chất lỏng bằng thử nghiệm của 14.2.4 của TCVN 4255 (IEC 60529), bộ phận tháo ra được đã được tháo ra.
Sau khi loại bỏ hết nước thừa ở vỏ bọc. Đồ chơi phải chịu được thử nghiệm độ bền điện của Điều 12 và kiểm tra phải cho thấy không có vệt nước trên cách điện có thể dẫn đến giảm chiều dài đường rò và khe hở không khí xuống thấp hơn các giá trị quy định trong Điều 18.
Kiểm tra sự phù hợp đối với đồ chơi dùng pin/acquy được thiết kế để sử dụng trong nước bằng thử nghiệm dưới đây, bộ phận tháo ra được được tháo ra nếu điều này gây bất lợi hơn.
Đồ chơi được ngâm trong nước có chứa xấp xỉ 1 % NaCl, tất cả các bộ phận của đồ chơi được ngâm ở dưới bề mặt nước tối thiểu 150 mm. Đồ chơi được bố trí theo hướng bất lợi nhất và được vận hành trong 15 min. Không được có áp suất quá mức bên trong vỏ bọc do khí bị kẹt lại.
CHÚ THÍCH 2: Khí bị kẹt lại có thể do phản ứng điện hóa bên trong pin/acquy hoặc giữa các bộ phận mang điện khác của đồ chơi.
CHÚ THÍCH 3: Áp suất khí có thể được giới hạn bằng van quá áp suất, bằng chất hấp thụ khí hoặc bên trong hộp pin/acquy có lỗ hở thích hợp.
Sau đó đồ chơi được lấy ra khỏi nước, được đặt vào vị trí để cho phép nước thừa rút ra hết và vỏ bọc được lau khô. Đồ chơi phải chịu được thử nghiệm độ bền điện của Điều 12.
11.2 Đồ chơi phải có khả năng chống ẩm.
Kiểm tra sự phù hợp bằng thử nghiệm sau.
Bộ phận tháo ra được được tháo ra và phải chịu thử nghiệm ẩm cùng với phần chính, nếu cần.
Thử nghiệm ẩm được thực hiện trong 48 h trong tủ ẩm, chứa không khí có độ ẩm tương đối (93 ± 3)%. Nhiệt độ không khí được duy trì trong phạm vi 1 °C xung quanh giá trị thích hợp bất kỳ t giữa 20 °C và 30 . Trước khi đặt vào trong tủ ẩm, đồ chơi được đưa về nhiệt độ °C.
Sau đó, đồ chơi phải chịu được thử nghiệm của Điều 12 trong tủ ẩm hoặc trong phòng mà tại đó đồ chơi đã được đưa về nhiệt độ quy định ở trên sau khi lắp ráp lại các bộ phận mà trước đó đã tháo ra.
CHÚ THÍCH 1: Trong hầu hết các trường hợp, đồ chơi có thể được đưa về nhiệt độ quy định bằng cách giữ nó ở nhiệt độ này trong tối thiểu 4 h trước khi thử nghiệm ẩm.
CHÚ THÍCH 2: Độ ẩm tương đối (93 ± 3) % có thể nhận được bằng cách đặt trong tủ ẩm dung dịch bão hòa Na2SO4 hoặc KNO3 trong nước, bình chứa có bề mặt tiếp xúc đủ lớn với không khí.
CHÚ THÍCH 3: Có thể đạt được các điều kiện quy định bằng cách đảm bảo sự lưu thông không khí không đổi bên trong tủ cách nhiệt.
12 Độ bền điện ở nhiệt độ phòng
Đồ chơi ở nhiệt độ phòng phải đủ cách điện.
Kiểm tra sự phù hợp bằng thử nghiệm sau.
Ngắt điện một đầu nối của tất cả các linh kiện được nối qua nguồn cấp và cách điện giữa các bộ phận có cực tính khác nhau phải chịu điện áp 250 V về cơ bản có dạng hình sin, có tần số 50 Hz hoặc 60 Hz trong 1 min.
Không xuất hiện phóng điện đánh thủng.
13 Độ bền cơ
Vỏ bọc phải có đủ độ bền cơ học.
Kiểm tra sự phù hợp bằng cách áp dụng thử nghiệm Ehb của TCVN 7699-2-75 (IEC 60068-2-75).
Đồ chơi được đỡ chắc chắn và đặt sáu va đập lên tất cả các điểm có nhiều khả năng là yếu của vỏ ngoài với năng lượng và đập là 0,7 J.
Đồ chơi không được có hư hại đến mức có thể ảnh hưởng xấu đến sự phù hợp với tiêu chuẩn này.
Nếu có nghi ngờ, như không biết khuyết tật xuất hiện trong thiết bị có phải do tác dụng của các va đập trước hay không thì không tính đến khuyết tật này và nhóm sáu va đập được đặt lên cùng một chỗ trên mẫu mới, khi đó mẫu mới phải chịu được thử nghiệm này.
CHÚ THÍCH 1: Ví dụ về các vỏ ngoài phải chịu thử nghiệm là
- vỏ ngoài của ngăn chứa dùng cho pin/acquy không gắn kín có chứa chất lỏng;
- vỏ ngoài bọc cách điện giữa bộ phận có cực tính khác nhau, trừ khi đồ chơi tuân thủ theo thử nghiệm của 9.4 ngay cả khi vỏ ngoài không tháo ra được.
- vỏ ngoài che các bộ phận chuyển động có thể có nguy hiểm.
CHÚ THÍCH 2: Bóng đèn không phải chịu thử nghiệm.
CHÚ THÍCH 3: Bỏ qua hư hại nhỏ không làm giảm khe hở không khí và chiều dài đường rò xuống thấp hơn giá trị quy định trong Điều 18, hoặc không làm ảnh hưởng xấu đến bảo vệ chống ấm.
CHÚ THÍCH 4: Bỏ qua các vết nứt không nhìn thấy được bằng mắt thường.
14 Kết cấu
14.1 Đồ chơi phải là đồ chơi dùng pin/acquy, đồ chơi dùng biến áp hoặc đồ chơi có hai nguồn cấp. Điện áp cấp điện của chúng không được lớn hơn 24 V.
Điện áp làm việc giữa hai bộ phận chạm tới được bất kỳ của đồ chơi không được vượt quá 24 V khi đồ chơi được cấp điện ở điện áp danh định.
CHÚ THÍCH: Điện áp làm việc có tính đến việc hỏng bóng đèn sợi đốt.
Kiểm tra sự phù hợp bằng cách xem xét và bằng phép đo.
14.2 Bộ nạp pin/acquy và biến áp của đồ chơi dùng biến áp không phải là bộ phận tích hợp của đồ chơi.
Cơ cấu điều khiển của đồ chơi không được lắp trong biến áp. Tuy nhiên, điều này không áp dụng cho bộ đồ chơi đường ray, không phải bộ đồ chơi ghép hình kết cấu.
Kiểm tra sự phù hợp bằng cách xem xét.
14.3 Đồ chơi dùng biến áp và đồ chơi có hai nguồn cấp không được thiết kế để sử dụng dưới nước.
Kiểm tra sự phù hợp bằng cách xem xét
14.4 Đồ chơi dùng biến áp và đồ chơi có hai nguồn cấp không được thiết kế để sử dụng bởi trẻ em dưới 3 tuổi.
Kiểm tra sự phù hợp bằng cách xem xét.
14.5 Cơ cấu cắt theo nguyên lý nhiệt không tự phục hồi, cần thiết cho sự phù hợp với tiêu chuẩn này, chỉ phục hồi được bằng dụng cụ.
Kiểm tra sự phù hợp bằng cách xem xét và thử nghiệm bằng tay.
14.6 Pin cúc áo và pin có mã nhận biết R1 không thể chạm tới được mà không sử dụng dụng cụ trừ khi nắp của hộp pin/acquy chỉ có thể mở được sau khi thực hiện đồng thời tối thiểu hai dịch chuyển độc lập.
Kiểm tra sự phù hợp bằng cách xem xét và thử nghiệm bằng tay.
CHÚ THÍCH: Pin/acquy được quy định trong IEC 60086-2.
14.7 Pin/acquy của đồ chơi được thiết kế cho trẻ em dưới 3 tuổi, phải không tháo ra được nếu không sử dụng dụng cụ trừ khi mức độ an toàn của nắp hộp pin/acquy là thỏa đáng.
Kiểm tra sự phù hợp bằng cách xem xét và bằng thử nghiệm dưới đây.
Cố gắng tiếp cận hộp pin/acquy bằng tay. Không thể mở nắp hộp trừ khi phải thực hiện đồng thời tối thiểu hai chuyển động độc lập.
Đồ chơi được đặt lên bề mặt thép nằm ngang. Vật nặng hình trụ bằng kim loại có khối lượng 1 kg, có đường kính 80 mm, được cho rơi từ độ cao 100 mm sao cho mặt bằng phẳng của nó rơi xuống đồ chơi, hộp pin/acquy không bị hở ra.
Hộp pin/acquy không được trở nên hở ra như kết quả ổn định trước của 5.15.
14.8 Pin/acquy nạp lại được không bị rò rỉ khi đồ chơi được đặt ở vị trì bất kỳ. Chất điện phân không được trở nên chạm tới được ngay cả khi dụng cụ cần được sử dụng để tháo nắp hoặc bộ phận tương tự.
Kiểm tra sự phù hợp bằng cách xem xét.
14.9 Đồ chơi không được cấp nguồn bởi pin/acquy được nối song song trừ khi việc trộn lẫn pin/acquy đã sử dụng và pin/acquy mới hoặc lắp đảo chiều pin/acquy, không làm ảnh hưởng đến sự phù hợp với tiêu chuẩn này.
Kiểm tra sự phù hợp bằng cách xem xét hoặc bằng cách xem lại sơ đồ mạch điện.
14.10 Phích cắm và ổ cắm của đồ chơi phải có kết cấu để không lắp lẫn được với phích cắm và ổ cắm được liệt kê trong IEC 60083. Yêu cầu này không áp dụng cho phích cắm quá lớn để cắm vào ổ cắm nguồn hoặc quá nhỏ đến nỗi chúng chỉ có thể ấn lỏng lẻo hoặc không giữ chắc chắn ở đúng vị trí trong lỗ của ổ cắm khi cắm vào nguồn lưới.
Đồ chơi được thiết kế cho trẻ dưới 3 tuổi không được sử dụng dây nguồn và các dây dẫn mà không có đầu nối.
Kiểm tra sự phù hợp bằng cách xem xét và thử nghiệm bằng tay.
14.11 Bộ phận không tháo ra được, ngăn ngừa tiếp xúc với bộ phận chuyển động hoặc bề mặt nóng hoặc tiếp cận đến vị trí mà có thể làm mồi nổ hoặc cháy, phải được lắp cố định bằng cách thức đáng tin cậy và phải chịu được ứng suất cơ xảy ra trong quá trình sử dụng bình thường.
Kiểm tra sự phù hợp bằng cách đặt lực kéo dưới đây:
- 50 N, nếu kích thước tiếp cận được dài nhất của bộ phận không vượt quá 6 mm;
- 90 N, đối với bộ phận khác.
Lực được đặt từ từ trong thời gian 5 s và được duy trì thêm 10 s.
Bộ phận không được trở nên rời ra.
14.12 Không có khả năng nạp cho pin/acquy nạp lại được khi pin/acquy đang ở trong đồ chơi, trừ khi đối với đồ chơi có khối lượng không vượt quá 5 kg, thì không thể
• thay thế pin/acquy nạp lại được bằng pin/acquy sơ cấp mà không làm vỡ đồ chơi;
• nạp riêng từng pin/acquy hoặc nạp các đồ chơi khác từ đồ chơi;
• thực hiện việc nối sai cực tính khi nạp lại pin/acquy;
• vận hành đồ chơi trong quá trình nạp trừ khi nó phù hợp với các yêu cầu đối với đồ chơi có hai nguồn cấp;
- đối với đồ chơi khác,
• pin/acquy được lắp cố định trong đồ chơi;
• phương tiện nối được cung cấp để ngăn ngừa việc nối với pin/acquy sơ cấp tiêu chuẩn và đảm bảo cực tính đúng trong quá trình lắp vào và nạp điện của các pin/acquy nạp lại được;
• không thể vận hành đồ chơi trong khi nạp pin/acquy.
Kiểm tra sự phù hợp bằng cách xem xét và bằng các thử nghiệm của tiêu chuẩn này.
14.13 Đồ chơi không được có các động cơ nối tiếp có công suất vào vượt quá 20 W.
Kiểm tra sự phù hợp bằng phép đo, đồ chơi được cấp điện ở điện áp danh định và được cho vận hành ở điều kiện làm việc bình thường.
14.14 Đồ chơi không được chứa chất amiang.
Kiểm tra sự phù hợp bằng cách xem xét.
14.15 Bộ phận bên trong của đồ chơi có điện áp lớn hơn 24 V không được dẫn đến có rủi ro nguy hiểm bất kỳ về điện giật.
Kiểm tra sự phù hợp bằng cách xem xét và phép đo. Các bộ phận bảo vệ hoặc các bộ phận ngăn ngừa tiếp xúc với bộ phận mang điện được tháo ra, ngay cả khi phải làm cho đồ chơi bị hư hại.
Lượng điện và năng lượng khi phóng điện được đo bằng cách sử dụng điện trở thuần có giá trị danh nghĩa là 100 Ω. Mạch điện cho trên Hình 4 của IEC 60990 dùng để đo dòng điện. Trong tất cả các điều kiện của thử nghiệm, các giá trị dưới đây phải được đáp ứng:
- điện áp làm việc giữa hai bộ phận của đồ chơi không được vượt quá 5 kV khi đồ chơi được cấp điện ở điện áp danh định;
- dòng điện tối đa từ mạch điện có điện áp sinh ra vượt quá 25 V phải nhỏ hơn 0,5 mA;
- năng lượng lớn nhất từ mạch điện có điện áp sinh ra vượt quá 24 V phải nhỏ hơn 2 mJ;
- điện tích phóng điện không vượt quá 45 µC
14.16 Đồ chơi dùng pin/acquy dành cho trẻ em trong đó vị trí cố định của hộp pin/acquy được thiết kế có thể bố trí cao hơn chiều cao trẻ em thì đồ chơi phải có hộp pin/acquy ngăn ngừa việc rò rỉ chất điện phân của pin/acquy từ đồ chơi.
CHÚ THÍCH: Đồ chơi treo cũi là một ví dụ về đồ chơi mà trong đó vị trí lắp cố định của hộp pin/acquy có thể được bố trí cao hơn chiều cao trẻ em.
Kiểm tra sự phù hợp bằng thử nghiệm sau.
Tất cả các pin/acquy được tháo khỏi đồ chơi. Đồ chơi được đặt theo hướng thông thường và hộp pin/acquy được đổ với lượng nước quy định theo Bảng 1, nước ở nhiệt độ 21 °C ± 1 °C.
Vỏ ngoài của đồ chơi có thể được làm vỡ nhằm tiếp cận hộp pin/acquy kín để đổ thêm nước nhưng hư hại bất kỳ không được làm ảnh hưởng đến kết quả thử nghiệm.
Sau khi đổ thêm nước, hộp được đóng lại theo hướng dẫn của nhà chế tạo, cần chú ý để tránh rơi nước từ đồ chơi ra trước khi bắt đầu thử nghiệm. Đồ chơi được đặt ở đúng vị trí trong thời gian 5 min. Trong quá trình thử nghiệm, nước không rò rỉ từ đồ chơi.
Bảng 1 - Lượng nước cho mỗi pin/acquy
| Loại pin/acquy | Lượng nước ml |
| LR03/R03 (AAA) | 0,25 |
| LR6/R6 (AA) | 0,5 |
| LR14/R14 (C) | 1,0 |
| LR20/R20 (D) | 2,0 |
| 6LR61/6R61 (9V) | 0,75 |
| Pin/acquy cúc áo | 0,1 |
15 Bảo vệ dây nguồn và dây dẫn
15.1 Đường đi dây phải nhẵn và không có gờ sắc.
Dây nguồn và dây dẫn phải được bảo vệ sao cho chúng không chạm tới gờ ráp, cánh tản nhiệt hoặc các gờ tương tự có thể gây hỏng cách điện của chúng.
Lỗ qua các phần bằng kim loại có dây nguồn và dây dẫn đi qua phải có bề mặt nhẵn, đủ lượn tròn hoặc có đặt ống lót.
Dây nguồn và dây dẫn phải được ngăn ngừa hiệu quả để không tiếp xúc với bộ phận chuyển động.
Kiểm tra sự phù hợp bằng cách xem xét.
15.2 Dây dẫn trần và phần từ gia nhiệt phải cứng vững và được cố định sao cho trong sử dụng bình thường, khe hở không khí và chiều dài đường rò không thể giảm xuống thấp hơn giá trị quy định trong Điều 18.
Kiểm tra sự phù hợp bằng cách xem xét và bằng phép đo.
16 Linh kiện
16.1 Các linh kiện phải phù hợp với yêu cầu an toàn được quy định trong các tiêu chuẩn liên quan trong phạm vi áp dụng hợp lý.
Kiểm tra sự phù hợp bằng cách xem xét và bằng các thử nghiệm của 16.1.1 và 16.1.2.
CHÚ THÍCH: Việc phù hợp với các tiêu chuẩn đối với các linh kiện tương ứng chưa hẳn đã đảm bảo sự phù hợp với yêu cầu của tiêu chuẩn này.
16.1.1 Cơ cấu đóng cắt và cơ cấu điều khiển tự động mang dòng điện lớn hơn 3 A trong quá trình thử nghiệm 9.3 và 9.4 phải phù hợp với Phụ lục C. Tuy nhiên, nếu chúng đã được thử nghiệm riêng rẽ và xác định là phù hợp lần lượt với TCVN 6615-1 (IEC 61058-1) hoặc IEC 60730-1 ở các điều kiện xảy ra bên trong đồ chơi và theo số chu kỳ quy định trong Phụ lục C thì chúng có thể được sử dụng mà không cần các thử nghiệm thêm.
CHÚ THÍCH: Không có các yêu cầu cụ thể đối với cơ cấu đóng cắt và cơ cấu điều khiển tự động mang dòng điện lên đến 3 A.
16.1.2 Nếu các linh kiện được ghi nhãn theo đặc tính hoạt động của chúng thì điều kiện mà trong đó chúng được sử dụng bên trong đồ chơi phải phù hợp với nhãn này, nếu không có quy định nào khác.
Việc thử nghiệm các linh kiện phải phù hợp với tiêu chuẩn khác, nói chung, được thực hiện riêng rẽ theo tiêu chuẩn liên quan.
Nếu linh kiện được sử dụng trong giới hạn của nhãn linh kiện thì linh kiện được thử nghiệm theo các điều kiện xảy ra bên trong đồ chơi, số lượng mẫu là số lượng được yêu cầu trong tiêu chuẩn liên quan.
Trong trường hợp chưa có tiêu chuẩn cho linh kiện liên quan, khi linh kiện không được ghi nhãn hoặc không được sử dụng phù hợp với nhãn ghi thì linh kiện được thử nghiệm trong điều kiện xảy ra bên trong đồ chơi, số lượng mẫu, nói chung là số lượng được yêu cầu trong yêu cầu kỹ thuật tương tự.
16.2 Đồ chơi không được lắp
- cơ cấu cắt theo nguyên lý nhiệt có thể phục hồi bằng thao tác hàn thiếc;
- cơ cấu đóng cắt bằng thủy ngân
Kiểm tra sự phù hợp bằng cách xem xét.
16.3 Biến áp dùng cho đồ chơi phải phù hợp với IEC 61558-2-7.
Kiểm tra sự phù hợp bằng cách xem xét.
CHÚ THÍCH: Biến áp phải được thử nghiệm tách riêng với đồ chơi.
16.4 Bộ nạp pin/acquy được cung cấp kèm theo đồ chơi phải phù hợp với TCVN 5699-2-29 (IEC 60335-2-29) và nếu là bộ nạp pin/acquy để được sử dụng bởi trẻ em thì phải phù hợp với Phụ lục A của tiêu chuẩn này.
Kiểm tra sự phù hợp bằng thử nghiệm liên quan và yêu cầu của TCVN 5699-2-29 (IEC 60335-2-29).
CHÚ THÍCH: Bộ nạp pin/acquy được thử nghiệm tách riêng khỏi đồ chơi.
17 Vít và các mối nối
17.1 Các mối ghép cố định, nếu như bị hỏng có thể làm ảnh hưởng đến sự phù hợp với tiêu chuẩn này, và mối nối điện phải chịu được các ứng suất cơ học xảy ra trong quá trình chơi.
Vít dùng cho các mục đích này không được làm bằng kim loại mềm hoặc dễ dão như kẽm hoặc nhôm. Nếu là vật liệu cách điện thì chúng phải có đường kính danh định tối thiểu là 3 mm và chúng không được dùng cho mối nối điện.
Vít dùng cho mối nối điện phải được vặn vào kim loại.
Kiểm tra sự phù hợp bằng cách xem xét và bằng thử nghiệm dưới đây.
Vít và đai ốc được thử nghiệm nếu chúng được sử dụng cho mối nối điện hoặc có nhiều khả năng cần xiết chặt bởi người sử dụng.
Xiết và tháo vít hoặc đai ốc nhưng không giật
- 10 lần đối với vít bắt vào ren bằng vật liệu cách điện;
- 5 lần đối đai ốc và các vít khác.
Vít bắt vào ren bằng vật liệu cách điện được tháo ra hoàn toàn rồi vặn lại hoàn toàn mỗi lần.
Tiến hành thử nghiệm bằng cách sử dụng tuốc nơ vít, chìa vặn đai ốc hoặc chìa khóa thích hợp và bằng cách đặt mô men như thể hiện trong Bảng 2.
Cột I áp dụng cho vít kim loại không có mũ nếu vít không nhô ra khỏi lỗ khi được siết chặt.
Cột II áp dụng cho các vít kim loại khác và cho đai ốc và vít bằng vật liệu cách điện.
Bảng 2 - Mô men để thử nghiệm vít và đai ốc
| Đường kính danh nghĩa của vít (đường kính ren ngoài) mm | Mô men Nm | |
| I | II | |
| ≤ 2,8 | 0,2 | 0,4 |
| > 2,8 và ≤ 3,0 | 0,25 | 0,5 |
| > 3,0 và ≤ 3,2 | 0,3 | 0,6 |
| > 3,2 và ≤ 3,6 | 0,4 | 0,8 |
| > 3,6 và ≤ 4,1 | 0,7 | 1,2 |
| > 4,1 và ≤ 4,7 | 0,8 | 1,8 |
| > 4,7 và ≤ 5,3 | 0,8 | 2,0 |
| >5,3 | - | 2,5 |
Mối ghép cố định hoặc mối nối không được hư hại đến mức ảnh hưởng đến việc sử dụng sau này.
CHÚ THÍCH: Hình dạng lưỡi của tuốc nơ vít thử nghiệm phải vừa với đầu của vít.
17.2 Mối nối điện mang dòng diện lớn hơn 0,5 A phải có kết cấu sao cho lực ép tiếp điểm không truyền qua vật liệu cách điện có nhiều khả năng bị co ngót hoặc biến dạng trừ khi có đủ độ đàn hồi trong bộ phận kim loại để bù cho sự co ngót hoặc biến dạng bất kỳ có thể xảy ra của vật liệu cách điện.
Kiểm tra sự phù hợp bằng cách xem xét
CHÚ THÍCH: Vật liệu gồm không được coi là có khả năng bị co ngót hoặc biến dạng.
18 Khe hở không khí và chiều dài đường rò
Khe hở không khí và chiều dài đường rò của cách điện chức năng không được nhỏ hơn 0,5 mm trừ khi đồ chơi đáp ứng các yêu cầu của Điều 9 về khoảng cách ngắn mạch này.
Tuy nhiên, đối với cách điện chức năng trên tấm mạch in, ngoại trừ các mép của tấm mạch in, khoảng cách này có thể giảm xuống 2 mm miễn là độ nhiễm bẩn trong môi trường hẹp mà trong đó cách điện được bố trí ít có khả năng vượt quá nhiễm bẩn độ 2 trong quá trình sử dụng bình thường của đồ chơi.
Bộ phận bên trong của đồ chơi phải phù hợp với 14.15 và có điện áp vượt quá 24 V phải có khe hở không khí và chiều dài đường rò đối với cách điện chức năng bằng hoặc lớn hơn giá trị trong Bảng 18 của TCVN 5699-1 (IEC 60335-1) đối với nhiễm bẩn độ 2 trừ khi đồ chơi đáp ứng Điều 9 về khoảng cách ngắn mạch.
Đối với hướng dẫn, độ nhiễm bẩn được quy định trong TCVN 5699-1 (IEC 60335-1) như sau:
Độ nhiễm bẩn trong môi trường hẹp.
Đối với mục đích đánh giá chiều dài đường rò, bốn độ nhiễm bẩn trong môi trường hẹp được thiết lập như sau
- nhiễm bẩn độ 1: không nhiễm bẩn hoặc chỉ xảy ra nhiễm bẩn khô, không dẫn. Nhiễm bẩn không gây ảnh hưởng;
- nhiễm bẩn độ 2: chỉ xảy ra nhiễm bẩn không dẫn, đôi khi có nhiễm bẩn dẫn tạm thời do lắng đọng;
- nhiễm bẩn độ 3: xảy ra nhiễm bẩn dẫn hoặc nhiễm bẩn khô không dẫn nhưng trở nên dẫn do lắng đọng tích tụ;
- nhiễm bẩn độ 4: nhiễm bẩn sinh ra dẫn liên tục do bụi dẫn hoặc do mưa hoặc tuyết.
CHÚ THÍCH: Không áp dụng nhiễm bẩn độ 4 cho thiết bị.
Kiểm tra sự phù hợp bằng phép đo.
19 Khả năng chịu nhiệt và chịu cháy
19.1 Các phần bên ngoài bằng vật liệu phi kim loại bao bọc các bộ phận mang điện, các phần bằng vật liệu cách điện đỡ các bộ phận mang điện phải có đủ khả năng chịu nhiệt nếu đồ chơi có điện áp làm việc vượt quá 12 V và dòng điện vượt quá 3 A.
CHÚ THÍCH 1: Điện áp và dòng điện được đo trong thử nghiệm của 9.3.
CHÚ THÍCH 2: Đồ chơi có điện áp làm việc thấp hơn hoặc dòng điện thấp hơn không được coi là phát ra đủ nhiệt để tạo ra nguy hiểm.
Kiểm tra sự phù hợp bằng cách bộ phận liên quan phải chịu thử nghiệm ép viên bi của IEC 60695-10-2.
Tiến hành thử nghiệm ở nhiệt độ 40 °C ± 2 °C cộng với độ tăng nhiệt lớn nhất được xác định trong quá trình thử nghiệm Điều 9 nhưng nó phải ít nhất là 75 °C ± 2 °C.
CHÚ THÍCH 3: Chỉ tiến hành thử nghiệm trên các bộ phận có thể bị hỏng đến mức ảnh hưởng xấu đến sự phù hợp với tiêu chuẩn này.
CHÚ THÍCH 4: Đối với bộ định hình cuộn dây, chỉ các bộ phận đỡ hoặc giữ đầu nối đúng vị trí mới phải chịu thử nghiệm này.
CHÚ THÍCH 5: Không thực hiện thử nghiệm đối với các bộ phận bằng vật liệu gốm.
CHÚ THÍCH 6: Trình tự các thử nghiệm về khả năng chịu nhiệt được cho trong Phụ lục D.
19.2 Các phần bằng vật liệu phi kim loại bao bọc các bộ phận mang điện và các phần bằng vật liệu cách điện đỡ bộ phận mang điện, phải có khả năng chịu được lửa mồi và lửa cháy lan.
Yêu cầu này không áp dụng cho các chi tiết trang trí, nút bấm và các bộ phận khác ít có khả năng bị bốc cháy hoặc lan truyền lửa bắt nguồn từ bên trong đồ chơi.
Kiểm tra sự phù hợp bằng thử nghiệm của 19.2.1 và 19.2.2.
Các thử nghiệm được thực hiện trên các bộ phận phi kim loại đã được tháo ra từ đồ chơi. Khi tiến hành thử nghiệm sợi dây nóng đỏ, chúng được đặt theo hướng của sử dụng bình thường.
Các thử nghiệm này không thực hiện trên cách điện của dây nguồn và các sợi dây.
CHÚ THÍCH: Trình tự các thử nghiệm đối với khả năng chịu cháy được cho trong Phụ lục D.
19.2.1 Các bộ phận bằng vật liệu phi kim loại phải chịu thử nghiệm sợi dây nóng đỏ của TCVN 9900-2-11 (IEC 60695-2-11), được thực hiện ở nhiệt độ 550 °C.
Thử nghiệm sợi dây nóng đỏ không thực hiện trên vật liệu của các bộ phận được phân loại ở ít nhất là HB 40 theo TCVN 9900-11-10 (IEC 60695-11-10), với điều kiện là mẫu thử nghiệm không dày hơn bộ phận liên quan.
Các bộ phận không thể thực hiện thử nghiệm sợi dây nóng đỏ, như các bộ phận được làm từ vật liệu mềm hoặc vật liệu bọt, phải đáp ứng các yêu cầu quy định trong ISO 9772 đối với vật liệu cấp HBF, mẫu thử nghiệm này không được dày hơn bộ phận liên quan.
19.2.2 Đối với các bộ phận bằng vật liệu cách điện đỡ các mối nối mang dòng điện lớn hơn 3 A và có điện áp làm việc vượt quá 12 V, và các bộ phận làm bằng vật liệu cách điện nằm cách các mối nối này trong phạm vi 3 mm, phải chịu thử nghiệm sợi dây nóng đỏ của TCVN 9900-2-11 (IEC 60695-2-11) ở nhiệt độ 650 °C. Tuy nhiên, không tiến hành thử nghiệm sợi dây nóng đỏ trên các bộ phận bằng vật liệu được phân loại như có nhiệt độ về tính dễ cháy với sợi dây nóng đỏ theo TCVN 9900-2-13 (IEC 60695-2-13) ở tối thiểu 675 °C, với điều kiện là mẫu thử nghiệm không dày hơn bộ phận liên quan.
CHÚ THÍCH 1: Tiếp điểm trong các linh kiện như các tiếp điểm của cơ cấu đóng cắt được coi là mối nối.
CHÚ THÍCH 2: Đầu của sợi dây nóng đỏ cần đặt vào bộ phận gần sát với mối nối này.
Các bộ phận chịu được thử nghiệm sợi dây nóng đỏ của TCVN 9900-2-11 (IEC 60695-2-11), nhưng trong quá trình thử nghiệm để tạo ra ngọn lửa tồn tại trong thời gian quá 2 s, được thử nghiệm thêm như sau. Bộ phận bên trên mối nối nằm trong đường bao của hình trụ có đường kính là 20 mm và có chiều cao là 50 mm phải chịu thử nghiệm ngọn lửa hình kim của Phụ lục B. Tuy nhiên, các bộ phận được bao bọc bởi một tấm chắn đáp ứng thử nghiệm ngọn lửa hình kim của Phụ lục B thì không phải thử nghiệm.
Thử nghiệm ngọn lửa hình kim không tiến hành trên các bộ phận là vật liệu được phân loại là V-0 hoặc V-1 theo TCVN 9900-11-10 (IEC 60695-11-10), với điều kiện mẫu thử nghiệm không dày hơn bộ phận liên quan.
20 Bức xạ, tính độc hại và các mối nguy tương tự
Đồ chơi không được có chất độc hoặc mối nguy tương tự.
Kiểm tra sự phù hợp theo TCVN 6238-3 (ISO 8124-3).
CHÚ THÍCH: TCVN 6238-3 (ISO 8124-3) không áp dụng cho pin/acquy.

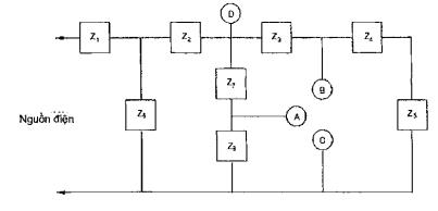
D là điểm xa nhất từ nguồn cấp điện mà trong đó công suất lớn nhất thu được từ tải bên ngoài vượt quá 15 W.
A và B là điểm gần với nguồn điện nhất mà trong đó công suất lớn nhất thu được từ tải bên ngoài không vượt quá 15 W. Đây là các điểm công suất thấp.
Điểm A và B được ngắn mạch riêng rẽ với điểm C.
Tình trạng sự cố a) đến f) được quy định trong 9.8.2 áp dụng riêng rẽ cho Z1, Z2, Z3, Z6 và Z7, nếu thuộc đối tượng áp dụng.
Hình 1 - Ví dụ về mạch điện tử có các điểm công suất thấp
Phụ lục A
(quy định)
Bộ đồ chơi thực nghiệm
Các sửa đổi dưới đây cho tiêu chuẩn này áp dụng cho tất cả các thành phần của bộ đồ chơi thực nghiệm được cấp nguồn cùng nhau hoặc riêng rẽ.
5 Điều kiện chung đối với các thử nghiệm
5.10 Bổ sung:
Tiến hành thử nghiệm với các thực nghiệm được mô tả trong hướng dẫn để dẫn đến điều kiện bất lợi nhất.
5.15 Không áp dụng
7 Ghi nhãn và hướng dẫn
7.1 Bổ sung:
Nội dung sau phải được chỉ ra trên bao gói:
- CẢNH BÁO: Chỉ sử dụng bởi trẻ em 8 tuổi và lớn hơn;
CHÚ THÍCH: Được phép nếu lớn hơn 8 tuổi.
- các hướng dẫn dành cho cha mẹ phải được đưa ra và phải được tuân thủ.
7.4 Bổ sung:
Hướng dẫn dành cho cha mẹ phải nêu độ tuổi tối thiểu của trẻ em mà bộ đồ chơi được thiết kế cho.
Thông tin chi tiết phải được đưa ra trong hướng dẫn về cách thiết lập và thực hiện từng thực nghiệm. Hướng dẫn phải chỉ ra các rủi ro có thể xảy ra và đưa thông tin kỹ thuật liên quan đến các bộ phận mang điện, tính chất của chúng và cách xử lý chúng đúng cách. Tất cả các rủi ro có thể xảy ra trong quá trình thực nghiệm, ví dụ như các rủi ro do ngắn mạch pin/acquy hoặc hỏng mối nối tụ điện, phải được mô tả chi tiết.
CHÚ THÍCH: Hướng dẫn cần được viết sao cho dễ hiểu với nhóm tuổi mà bộ đồ chơi thực nghiệm được thiết kế.
Hướng dẫn dành cho trẻ em và dành cho cha mẹ có thể được đưa ra riêng rẽ. Nếu hướng dẫn được đưa ra trong tờ in rời thì mục dành cho cha mẹ phải được đưa lên trước.
Hướng dẫn phải có nội dung cảnh báo dựa trên hoạt động của cơ cấu bảo vệ như cơ cấu giới hạn dòng điện. Hướng dẫn phải mô tả các nguy hiểm mang tính hệ quả như quá nhiệt của dây nguồn, nổ pin/acquy và phát nóng quá mức.
8 Công suất vào
Không áp dụng.
9 Phát nóng và hoạt động không bình thường
9.4 Không áp dụng.
9.6 Không áp dụng.
9.9 Bổ sung:
Độ tăng nhiệt của các bề mặt, không phải là bề mặt của tay cầm, núm cầm, nút bấm và bộ phận tương tự, có thể vượt quá giới hạn nếu cảnh báo thích hợp được đưa ra trong hướng dẫn.
11 Khả năng chống ẩm
Không áp dụng.
12 Độ bền điện ở nhiệt độ phòng
Không áp dụng.
13 Độ bền cơ
Không áp dụng.
14 Kết cấu
14.1 Bổ sung:
Dòng điện không được vượt quá 5 A và công suất vào không được lớn hơn 50 VA. Tuy nhiên, các giá trị này có thể được vượt quá trong thời gian không lớn hơn 10 s.
Kiểm tra sự phù hợp bằng phép đo trong quá trình thử nghiệm.
15 Bảo vệ dây nguồn và dây dẫn
Không áp dụng.
Phụ lục B
(quy định)
Thử nghiệm ngọn lửa hình kim
Thử nghiệm ngọn lửa hình kim được thực hiện theo TCVN 9900-11-5 (IEC 60695-11-5) với các sửa đổi dưới đây.
7 Độ khắc nghiệt
Thay thế:
Khoảng thời gian đặt ngọn lửa thử nghiệm là 30 s ± 1 s.
9 Quy trình thử nghiệm
9.1 Vị trí của mẫu thử nghiệm
Sửa đổi:
Mẫu thử được đặt sao cho có thể đặt ngọn lửa vào mép thẳng đứng hoặc nằm ngang như thể hiện trong các ví dụ của Hình 1.
9.2 Đặt ngọn lửa hình kim
Sửa đổi:
Không áp dụng đoạn thứ nhất.
Bổ sung:
Nếu có thể, ngọn lửa được đặt cách góc một khoảng ít nhất là 10 mm.
9.3 Số lượng mẫu thử nghiệm
Thay thế:
Thử nghiệm tiến hành trên một mẫu. Nếu mẫu không chịu được thử nghiệm này, thì có thể làm lại thử nghiệm trên hai mẫu bổ sung, cả hai mẫu phải chịu được thử nghiệm này.
11 Đánh giá kết quả thử nghiệm
Bổ sung:
Thời gian cháy (tb) không được vượt quá 30 s. Tuy nhiên, đối với tấm mạch in, thời gian cháy không được vượt quá 15 s.
Phụ lục C
(quy định)
Cơ cấu điều khiển tự động và cơ cấu đóng cắt
C.1 Cơ cấu điều khiển tự động được thử nghiệm cùng với đồ chơi phải phù hợp với tiêu chuẩn này và với các điều từ 11.3.5 đến 11.3.8 và Điều 7 của IEC 60730-1 như cơ cấu điều khiển loại 1.
Thử nghiệm theo IEC 60730-1 được thực hiện ở các điều kiện xảy ra trong đồ chơi.
Đối với các thử nghiệm của Điều 17 của IEC 60730-1, số chu kỳ hoạt động là
| - bộ điều nhiệt | 3 000 |
| - cơ cấu cắt theo nguyên lý nhiệt tự phục hồi | 300 |
| - cơ cấu cắt theo nguyên lý nhiệt không tự phục hồi | 10 |
CHÚ THÍCH 1: Thử nghiệm của Điều 12, Điều 13 và Điều 14 không được tiến hành trước khi thực hiện thử nghiệm của Điều 17 của IEC 60730.
CHÚ THÍCH 2: Cơ cấu điều khiển tự động có thể được thử nghiệm tách riêng khỏi đồ chơi.
C.2 Cơ cấu đóng cắt được thử nghiệm cùng đồ chơi phải phù hợp với tiêu chuẩn này và với các điều dưới đây của TCVN 6615-1 (IEC 61058-1), cùng với sửa đổi dưới đây.
Các thử nghiệm của TCVN 6615-1 (IEC 61058-1) được thực hiện trong các điều kiện xảy ra trong đồ chơi.
Trước khi thử nghiệm, thiết bị đóng cắt được thao tác không tải 20 lần.
8 Ghi nhãn và tài liệu
Không yêu cầu ghi nhãn cơ cấu đóng cắt. Tuy nhiên, một cơ cấu đóng cắt có thể thử nghiệm tách riêng khỏi thiết bị thì phải ghi nhãn tên của nhà chế tạo hoặc nhãn thương mại và kiểu tham chiếu.
13 Cơ cấu truyền động
CHÚ THÍCH: Các thử nghiệm này có thể thực hiện trên mẫu riêng rẽ.
15 Điện trở cách điện và độ bền điện
Không áp dụng 15.1.
Không áp dụng 15.2.
Áp dụng 15.3 đối với cách ly hoàn toàn và cách ly rất nhỏ.
CHÚ THÍCH: Thử nghiệm này thực hiện ngay sau thử nghiệm ẩm ở 11.2 của tiêu chuẩn này.
17 Độ bền
Kiểm tra sự phù hợp trên ba thiết bị hoặc ba cơ cấu đóng cắt riêng rẽ.
Đối với 17.2.4.4, số chu kỳ thao tác công bố theo 7.1.4 là 3 000 chu kỳ.
Không áp dụng 17.2.5.2.
Cuối thử nghiệm này, độ tăng nhiệt của các đầu nối không được cao hơn 30 °C so với độ tăng nhiệt đo được trong thử nghiệm ở Điều 9 của tiêu chuẩn này.
20 Khe hở không khí, chiều dài đường rò, cách điện rắn và lớp phủ của cụm tấm mạch in cứng
Điều này áp dụng cho khe hở không khí và chiều dài đường rò đối với cách điện chức năng đặt ngang qua cách ly hoàn toàn và cách ly rất nhỏ, như đã nêu trong Bảng 24.
Phụ lục D
(tham khảo)
Trình tự thử nghiệm của Điều 19

Phụ lục E
(quy định)
Đồ chơi có lắp đèn laze và đèn LED
Các sửa đổi dưới đây trong tiêu chuẩn này áp dụng cho đồ chơi có lắp đèn laze và đèn LED.
3 Định nghĩa
3.6
Đèn laze (lasers)
Cơ cấu có thể được làm để tạo ra hoặc khuếch đại bức xạ điện tử trong dải bước sóng từ 180 nm đến 1 nm, chủ yếu bởi quy trình phát xạ cưỡng bức được khống chế.
3.7
Đèn LED (light-emiting diode)
Cơ cấu nối liền chất bán dẫn PN có thể được thực hiện để tạo ra bức xạ điện từ do sự phối hợp lại bức xạ trong chất bán dẫn ở dải bước sóng từ 180 nm đến 1 mm.
CHÚ THÍCH: Bức xạ quang chủ yếu được tạo bởi quy trình phát xạ tự phát, nhưng có thể có một số phát xạ kích thích.
5 Điều kiện chung đối với các thử nghiệm
5.2 Thử nghiệm trong phụ lục này có thể được tiến hành trên riêng từng đồ chơi sau quá trình ổn định trước của 5.15.
20 Bức xạ, tính độc hại và các mối nguy tương tự
Đồ chơi không được phát ra bức xạ có hại.
Đèn laze và đèn LED trong đồ chơi phải đáp ứng các yêu cầu đối với đèn laze cấp I theo IEC 60825-1.
CHÚ THÍCH: Đèn laze cấp 1 không bao gồm đèn laze cấp 1 M.
Kiểm tra sự phù hợp bằng cách xem xét và bằng cách đo bức xạ trong điều kiện quy định theo IEC 60825-1, đồ chơi được cấp điện ở điện áp danh định. Phép đo cũng được thực hiện với bộ phận như thấu kính, bộ phản xạ hoặc bộ lọc có thể ảnh hưởng độ tập trung của đèn laze hoặc đèn LED được tháo ra, ngay cả khi phải làm hỏng đồ chơi. Phép đo này được tiến hành ngay cả khi các bộ phận liên quan của vỏ ngoài, thấu kính, bộ phản xạ hoặc bộ lọc bị vỡ trong quá trình ổn định trước của 5.15. Tình trạng sự cố được liệt kê trong 9.8.2 của tiêu chuẩn này cần được tính đến khi thử nghiệm mạch công suất thấp.
CHÚ THÍCH 102: Để tránh thử nghiệm LED trong đồ chơi ở các điều kiện không bình thường khác nhau, dòng điện cao nhất của LED được đo hoặc tính ở điều kiện không bình thường bất lợi nhất và được sử dụng để xác định độ phát xạ ánh sáng từ dữ liệu được cung cấp cho LED.
Thư mục tài liệu tham khảo
[1] TCVN 5699-2-82 (IEC 60335-2-82), Thiết bị điện gia dụng và thiết bị điện tương tự- An toàn - Phần 2-82: Yêu cầu cụ thể đối với máy giải trí và máy phục vụ cá nhân
[2] IEC 60598-2-10, Luminaires - Part 2: Particular requirements - Section Ten: Portable child-appealing luminaires
[3] IEC 61558-2-16, Safety of transformers, reactors, power supply units and similar products for voltages up to 1 100 V - Part 2-16: Particular requirements and tests for switch mode power supply units and transformaers for switch mode power supply units
MỤC LỤC
Lời nói đầu
1 Phạm vi áp dụng
2 Tài liệu viện dẫn
3 Thuật ngữ và định nghĩa
4 Yêu cầu chung
5 Điều kiện chung đối với các thử nghiệm
6 Tiêu chuẩn rút gọn thử nghiệm
7 Ghi nhãn và hướng dẫn
8 Công suất vào
9 Phát nóng và hoạt động không bình thường
10 Độ bền điện ở nhiệt độ làm việc
11 Khả năng chống ẩm
12 Độ bền điện ở nhiệt độ phòng
13 Độ bền cơ
14 Kết cấu
15 Bảo vệ dây nguồn và dây dẫn
16 Linh kiện
17 Vít và các mối nối
18 Khe hở không khí và chiều dài đường rò
19 Khả năng chịu nhiệt và chịu cháy
20 Bức xạ, tính độc hại và các mối nguy tương tự
Phụ lục A (quy định) - Bộ đồ chơi thực nghiệm
Phụ lục B (quy định) - Thử nghiệm ngọn lửa hình kim
Phụ lục C (quy định) - Cơ cấu điều khiển tự động và cơ cấu đóng cắt
Phụ lục D (tham khảo) - Trình tự thử nghiệm của Điều 19
Phụ lục E (quy định) - Đồ chơi có lắp đèn laze và đèn LED
Thư mục tài liệu tham khảo
1 Hệ thống TCVN đã có TCVN 5699-2-29:2007 hoàn toàn tương đương với IEC 60335-2-29:2004.
Bạn chưa Đăng nhập thành viên.
Đây là tiện ích dành cho tài khoản thành viên. Vui lòng Đăng nhập để xem chi tiết. Nếu chưa có tài khoản, vui lòng Đăng ký tại đây!