Danh mục
|
Tổng đài trực tuyến 19006192
|
|
  • Tổng quan
  • Nội dung
  • Tiêu chuẩn liên quan
  • Lược đồ
  • Tải về
Lưu
Đây là tiện ích dành cho tài khoản Tiêu chuẩn hoặc Nâng cao . Vui lòng Đăng nhập tài khoản để xem chi tiết.
Theo dõi VB
Đây là tiện ích dành cho tài khoản Tiêu chuẩn hoặc Nâng cao . Vui lòng Đăng nhập tài khoản để xem chi tiết.
Ghi chú
Báo lỗi
In

Tiêu chuẩn TCVN 10624:2025 Đồ trang sức và kim loại quý - Xác định paladi trong hợp kim paladi - Phương pháp ICP-OES

Số hiệu: TCVN 10624:2025 Loại văn bản: Tiêu chuẩn Việt Nam
Cơ quan ban hành: Bộ Khoa học và Công nghệ Lĩnh vực: Công nghiệp
Ngày ban hành:
Ngày ban hành là ngày, tháng, năm văn bản được thông qua hoặc ký ban hành.
25/04/2025
Hiệu lực:
Đã biết
Tiện ích dành cho tài khoản Tiêu chuẩn hoặc Nâng cao. Vui lòng Đăng nhập tài khoản để xem chi tiết.
Người ký: Đang cập nhật
Tình trạng hiệu lực:
Cho biết trạng thái hiệu lực của văn bản đang tra cứu: Chưa áp dụng, Còn hiệu lực, Hết hiệu lực, Hết hiệu lực 1 phần; Đã sửa đổi, Đính chính hay Không còn phù hợp,...
Đã biết
Tiện ích dành cho tài khoản Tiêu chuẩn hoặc Nâng cao. Vui lòng Đăng nhập tài khoản để xem chi tiết.

TÓM TẮT TIÊU CHUẨN VIỆT NAM TCVN 10624:2025

Nội dung tóm tắt đang được cập nhật, Quý khách vui lòng quay lại sau!

Tải tiêu chuẩn Việt Nam TCVN 10624:2025

Tải văn bản tiếng Việt (.pdf) Tiêu chuẩn Việt Nam TCVN 10624:2025 PDF (Bản có dấu đỏ)

Đây là tiện ích dành cho tài khoản thành viên. Vui lòng Đăng nhập để xem chi tiết. Nếu chưa có tài khoản, Đăng ký tại đây!

Tải văn bản tiếng Việt (.doc) Tiêu chuẩn Việt Nam TCVN 10624:2025 DOC (Bản Word)

Đây là tiện ích dành cho tài khoản thành viên. Vui lòng Đăng nhập để xem chi tiết. Nếu chưa có tài khoản, Đăng ký tại đây!

Tình trạng hiệu lực: Đã biết
bgdocquyen
Hiệu lực: Đã biết
Tình trạng hiệu lực: Đã biết

TIÊU CHUẨN QUỐC GIA

TCVN 10624:2025

ISO 11495:2019

ĐỒ TRANG SỨC VÀ KIM LOẠI QUÝ- XÁC ĐỊNH PALADI TRONG HỢP KIM PALADI - PHƯƠNG PHÁP ICP-OES SỬ DỤNG NGUYÊN TỐ NỘI CHUẨN

Jewellery and precious metals- Determination of palladium in palladium alloys - ICP-OES method using an internal standard element

Lời nói đầu

TCVN 10624:2025 thay thế TCVN 10624:2014.

TCVN 10624:2025 hoàn toàn tương đương ISO 11495:2019.

TCVN 10624:2025 do Ban kỹ thuật tiêu chuẩn quốc gia TCVN/TC 174 Đồ trang sức biên soạn, Viện Tiêu chuẩn Chất lượng Việt Nam đ nghị, Ủy ban Tiêu chuẩn Đo lường Chất lượng Quốc gia thẩm định, Bộ Khoa học và Công nghệ công bố.

 

ĐỒ TRANG SỨC VÀ KIM LOẠI QUÝ- XÁC ĐỊNH PALADI TRONG HỢP KIM PALADI - PHƯƠNG PHÁP ICP-OES SỬ DỤNG NGUYÊN TỐ NỘI CHUẨN

Jewellery and precious metals- Determination of palladium in palladium alloys - ICP-OES method using an internal standard element

1 Phạm vi áp dụng

Tiêu chuẩn này mô tả quy trình phân tích để xác định paladi trong hợp kim paladi với hàm lượng danh định lên tới 990 ‰ (phần nghìn), bao gồm các hợp kim theo TCVN 10616 (ISO 9202).

2 Tài liệu viện dẫn

Các tài liệu viện dẫn sau rất cần thiết cho việc áp dụng tiêu chuẩn này. Đối với các tài liệu viện dẫn ghi năm công bố thì áp dụng phiên bản được nêu. Đối với các tài liệu viện dẫn không ghi năm công bố thì áp dụng phiên bản mới nhất, bao gồm cả các sửa đổi, bổ sung (nếu có).

TCVN 9877 (ISO 11596), Đồ trang sức - Phương pháp lấy mẫu các hợp kim kim loại quý dùng làm đồ trang sức và các sản phẩm liên quan.

TCVN 10616 (ISO 9202), Đồ trang sức và kim loại quý - Độ tinh khiết của hợp kim kim loại quý.

3 Thuật ngữ và định nghĩa

Trong tiêu chuẩn này không có thuật ngữ, định nghĩa.

4 Nguyên lý

Hòa tan ít nhất hai mẫu được cân chính xác vào nước cường toan và định mức tới một khối lượng được cân chính xác. Các dung dịch của mẫu thử này được trộn lẫn với chất nội chuẩn và định mức đến một thể tích đo chuẩn.

Sử dụng ICP-OES, hàm lượng paladi của dung dịch mẫu thử được đo bằng cách so sánh tỷ số của cường độ vạch (các vạch) quang phổ phát xạ của paladi và của nguyên t nội chuẩn thích hợp (VD: ytri) với các tỷ số đối với các dung dịch chứa khối lượng đã biết của paladi và nguyên tố nội chuẩn (VD: ytri), sử dụng phương pháp xếp đồng hạng.

Một số sửa đổi nhỏ được quy định khi hợp kim chứa rutheni, rhodi, iridi, hoặc vonfram.

5 Thuốc thử

Trong quá trình phân tích, nếu không có thoả-thuận nào khác, chỉ sử dụng thuốc thử có độ tinh khiết phân tích được công nhận và chỉ dùng nước cất hoặc nước có độ tinh khiết tương đương.

5.1 Axit chlohydric (HCl); khoảng 30 % đến 37 % HCl (tỷ lệ khối lượng).

5.2 Axit nitric (HNO3); khoảng 65 % đến 70% HNO3 (tỷ lệ khối lượng).

5.3 Paladi (Pd) với độ tinh khiết tối thiểu là 999,9 ‰; Nếu sử dụng hàm lượng paladi nhỏ hơn (VD: 999,5 ‰), cần áp dụng các hiệu chỉnh thích hợp.

5.4 Hợp chất của ytri, như ytri clorua (YCl3.6H2O) hoặc ytri oxit (Y2O6) cấp độ phân tích.

6 Thiết bị

6.1Thiết bị thông thường của phòng thí nghiệm.

6.2 ICP-OES, có khả năng đo đồng thời vạch phát xạ của paladi và của nguyên tố nội chuẩn với độ phân giải quang học nhỏ nhất là 0,02 nm.

6.3 Cân phân tích, với kh năng đọc chính xác 0,01 mg.

7 Lấy mẫu

Quy trình lấy mẫu phải được thực hiện theo TCVN 9877 (ISO 11596).

8 Cách tiến hành

CẢNH BÁO: Các biện pháp bảo đảm an toàn và sức khỏe cần được tuân thủ.

8.1 Dung dịch nội chuẩn

Hòa tan khoảng 20 mg YCl3.6H2O (5.4) trong 200 ml nước và định mức bằng nước đến 1000 ml. Hoặc chuẩn bị một dung dịch sao cho đạt tới nồng độ khoảng 6 mg/l của ytri. Tùy theo độ nhạy của thiết bị mà nồng độ này có thể thay đổi để có được hiệu quả tối ưu.

8.2 Dung dịch hiệu chuẩn

Trật tự đồng hạng cần sử dụng chỉ hai chất chuẩn tương ứng với các đim gần nhất (chất chuẩn thấp và chất chuẩn cao như được sử dụng trong 8.4) đối với hàm lượng dự kiến của paladi trong mẫu thử. Khuyến nghị chuẩn bị một bộ ít nhất ba dung dịch và kiểm tra độ tuyến tính của chúng.

Cân khoảng 45 mg; 55 mg, 65 mg, 75 mg, 82,5 mg, 87,5 mg, 92,5 mg, 97,5 mg và 100 mg paladi chính xác đến 0,01 mg mỗi lượng cân vào một cốc thủy tinh có mỏ. Đun nhẹ mẫu thử trong cốc thủy tinh có mỏ được đậy bằng mặt kính đồng hồ trong hỗn hợp của 100 ml HCl (5.1) và 30 ml HNO3 (5.2) cho đến khi hòa tan hoàn toàn và tiếp tục đun để loại bỏ oxit nitơ. Đ dung dịch vào một bình định mức 1 000 ml. Thêm 100 g với độ chính xác 0,01 g dung dịch nội chuẩn (8.1). Thêm 100 ml HCl (5.1) và pha đến 1 000 ml vi nước. Lắc bình thật kỹ.

Khi có mặt những nguyên tố khác nhất định (VD: bạc), có thể cần phải làm tăng nồng độ HCl lên mức cao nhất là 500 ml. Nồng độ axit của dung dịch hiệu chuẩn và của các dung dịch mẫu thử phải tương đương nhau.

8.3 Dung dịch mẫu thử

Cân 100 mg mẫu thử với độ chính xác 0,01 mg trong một cốc thủy tinh có mỏ, hòa tan và xử lý mẫu như đã trình bày trong 8.2.

Nồng độ axit của dung dịch hiệu chuẩn và của dung dịch mẫu thử phải tương đương nhau.

8.4 Đo phổ

Bộ phận xử lý dữ liệu của thiết bị ICP-OES được sử dụng để thiết lập một chương trình đo, trong đó cường độ của các vạch phổ phát xạ của paladi và của nguyên tố nội chuẩn ytri có thể đo cùng một lúc. Điều chỉnh thiết bị theo hướng dẫn của nhà sản xuất và chọn các vị trí hiệu chỉnh nền thích hợp. Bộ phận nguyên tử hoá mẫu (torch), buồng phun, các ống dẫn mẫu cần được vệ sinh sạch và plasma phải ổn định trước khi sử dụng, theo các khuyến nghị của nhà sản xut thiết bị.

Việc đồng hạng trong vận hành các mẫu chuẩn và mẫu thử theo trình tự sau: mẫu chuẩn thấp - mẫu th - mẫu chuẩn cao - mẫu th - mẫu chuẩn thấp - mẫu thử - mẫu chuẩn cao - mẫu thử - mẫu chuẩn thấp - mẫu thử - mẫu chuẩn cao.

Mỗi một dung dịch phải có một thời gian ổn định ít nhất là 30 s, tiếp đến là thời gian tích hợp tối thiểu 10 s và ít nhất là 3 lần tích hợp. Độ lệch chuẩn tương đối (RSD) không được lớn hơn 0,3 % sau tính toán cuối cùng [xem Công thức(1)]. Khối lượng paladi chính xác của dung dịch mẫu thử được suy ra từ phép đo của hai dung dịch hiệu chuẩn xếp đồng hạng giá trị của dung dịch mẫu thử [xem Công thức (4)].

Các vạch được khuyến nghị đối với paladi là 340,458 nm, 351,694 nm hoặc 360,955 nm. Chỉ những vạch không có hiệu ứng giao thoa mới được chọn để tính toán. Kết quả phân tích thu được với các vạch phát xạ đo được sẽ được so sánh. Những vạch được khuyến nghị đối với ytri là 371,029 nm, 377,433 nm hoặc 321,669 nm.

9 Tính toán và biểu thị kết quả

9.1 Tính toán

Phương pháp nội chuẩn hóa dựa trên mối quan hệ tuyến tính giữa các tỷ số cường độ (IPd/IY) và các tỷ số nồng độ (CPd/CY) hoặc, tốt hơn là các tỷ số khối lượng (mPd/mY). Khi sử dụng cùng một khối lượng ytri (dung dịch nội chuẩn) để chuẩn bị tất cả các dung dịch thì không cần thiết phải có một thể tích chính xác của các dung dịch đo. Độ chính xác của bình định mức 1 000 ml là thỏa mãn. Lợi thế quan trọng khác của việc luôn luôn dựa vào cùng một khối lượng của chất nội chuẩn là ở chỗ tất cả các tính toán đều có thể thực hiện với mPd thay vì mPd/mY, danh định.

Nói chung, bộ phận xử lý dữ liệu cung cấp các thương số từ các phép đo riêng biệt được lưu trữ đồng thời về cường độ paladi và ytri.

Nếu giá trị trung bình, Q, của 5 thương số cường độ (Q1, Q2, Q3, Q4, Q5) thuộc từng dung dịch được tính theo công thức (1):

(1)

thì giá trị trung bình này sẽ có RSD từ Q không lớn hơn 0,3 %.

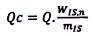
Về các sai lệch so với khối lượng danh định, mIS, tính theo gram, của dung dịch nội chuẩn (mIS = 100,00 g), mỗi một số thương cường độ thuộc về một dung dịch đo phải được hiệu chỉnh bởi khối lượng tương ứng thực tế của dung dịch nội chuẩn WIS,n, tính bằng gram, được sử dụng để chuẩn bị dung dịch đo này. Số thương hiệu chỉnh này, Qc, được tính theo công thức (2):

(2)

Để xác định hàm lượng paladi của mẫu thử bằng cách sử dụng số thương cường độ được hiệu chỉnh, yêu cầu phải có những khối lượng chính xác của paladi trong các dung dịch hiệu chuẩn, mPd,Cs,n', tính bằng miligram, theo công thức (3):

mPd,Cs,n = WPd,Cs,n

(3)

trong đó WPd,Cs,n là khối lượng paladi được sử dụng đ chuẩn bị dung dịch hiệu chuẩn paladi, tính bằng miligram;

Hai đim hiệu chuẩn gần nhất với hàm lượng dự kiến của mẫu paladi, tương ứng với khối lượng thấp a và khối lượng cao b, được sử dụng để xác định khối lượng paladi trong dung dịch mẫu thử theo công thức (4):

mPd = a + [(b-a)×(QCs - QCa)/ (QCb -QCa)]

(4)

trong đó:

a

khối lượng của paladi trong dung dịch hiệu chuẩn, được sử dụng như “mẫu chuẩn thấp”, theo công thức (3), tính bằng miligram;

b

khối lượng của paladi trong dung dịch hiệu chuẩn, được sử dụng như “mẫu chuẩn cao”, theo công thức (3), tính bằng miligram;

QCa

tỷ số cường độ được hiệu chỉnh IPd/IY của “mẫu chuẩn thấp”;

QCb

tỷ số cường độ được hiệu chỉnh IPd/IY của “mẫu chuẩn cao”;

QCs

tỷ số cường độ được hiệu chỉnh IPd/IY của dung dịch đo mẫu thử.

Khối lượng paladi cuối cùng của dung dịch mẫu thử tương ứng với giá trị trung bình của 5 chu trình đo và sự ước tính kiểu này, , và được tính theo công thức (5):

(5)

RSD của mPd không được vượt quá 0,30%.

Một khi đã được xác định từ 5 lần xác định riêng lẻ của dung dịch mẫu thử, hàm lượng paladi của mẫu thử, XPd, biểu thị bằng phần nghìn, được tính theo công thức (6):

(6)

trong đó WSa là khối lượng của mẫu thử được dùng để chuẩn bị dung dịch mẫu thử gốc, tính bằng milligram.

THẬN TRỌNG: Để tuân thủ tiêu chuẩn này, các thuật tính toán khác phải được thừa nhận.

9.2 Độ lặp lại

Hai lần xác định song song giống nhau phải cho kết quả sai lệch nhỏ hơn 3 ‰ đối với paladi. Nếu sai lệch lớn hơn so với quy định này, phải tiến hành phân tích lại.

10 Báo cáo thử nghiệm

Đối với phương pháp này, báo cáo th nghiệm ít nhất phải bao gồm các thông tin sau:

a) Nhận diện mẫu thử, gồm nguồn gốc mẫu, ngày nhận mẫu, dạng mẫu;

b) Quy trình lấy mẫu;

c) Phương pháp được sử dụng viện dẫn tiêu chuẩn này, tức là TCVN 10624:2025 (ISO 11495:2019);

d) Hàm lượng paladi của mẫu thử, tính bằng phần nghìn (‰) tính theo khối lượng, dưới dạng các giá trị đơn lẻ và giá trị trung bình;

e) Bất kỳ sai lệch nào so với phương pháp được quy định trong tiêu chuẩn này, nếu có;

f) Bất kỳ đặc điểm bất thường nào trong quá trình xác định;

g) Ngày, tháng, năm thử nghiệm;

h) Nhận diện phòng thí nghiệm thực hiện thử nghiệm này.

i) Tên, chữ ký của người quản lý phòng thí nghiệm và của người thực hiện.

Bạn chưa Đăng nhập thành viên.

Đây là tiện ích dành cho tài khoản thành viên. Vui lòng Đăng nhập để xem chi tiết. Nếu chưa có tài khoản, vui lòng Đăng ký tại đây!

* Lưu ý: Để đọc được văn bản tải trên Luatvietnam.vn, bạn cần cài phần mềm đọc file DOC, DOCX và phần mềm đọc file PDF.

Văn bản liên quan Tiêu chuẩn Việt Nam TCVN 10624:2025

01

Tiêu chuẩn Quốc gia TCVN 10624:2014 ISO 11495:2014 Đồ trang sức-Xác định hàm lượng paladi trong hợp kim paladi dùng làm đồ trang sức-Phương pháp ICP-OES sử dụng ytri như nguyên tố nội chuẩn

02

Tiêu chuẩn Quốc gia TCVN 9877:2013 ISO 11596:2008 Đồ trang sức-Phương pháp lấy mẫu các hợp kim kim loại quý dùng làm đồ trang sức và các sản phẩm liên quan

03

Tiêu chuẩn quốc gia TCVN 10616:2025 ISO 9202:2019 Đồ trang sức và kim loại quý - Độ tinh khiết của hợp kim kim loại quý

04

Tiêu chuẩn quốc gia TCVN 14323:2025 ISO 22764:2020 Đồ trang sức và kim loại quý - Độ tinh khiết của vật liệu hàn sử dụng trong các hợp kim kim loại quý dùng làm trang sức

05

Tiêu chuẩn quốc gia TCVN 10616:2025 ISO 9202:2019 Đồ trang sức và kim loại quý - Độ tinh khiết của hợp kim kim loại quý

văn bản cùng lĩnh vực

văn bản mới nhất

Chú thích màu chỉ dẫn
Chú thích màu chỉ dẫn:
Các nội dung của VB này được VB khác thay đổi, hướng dẫn sẽ được làm nổi bật bằng các màu sắc:
Sửa đổi, bổ sung, đính chính
Thay thế
Hướng dẫn
Bãi bỏ
Bãi bỏ cụm từ
Bình luận
Click vào nội dung được bôi màu để xem chi tiết.
×