• Tổng quan
  • Nội dung
  • Tiêu chuẩn liên quan
  • Lược đồ
  • Tải về
Lưu
Đây là tiện ích dành cho tài khoản Tiêu chuẩn hoặc Nâng cao . Vui lòng Đăng nhập tài khoản để xem chi tiết.
Theo dõi VB
Đây là tiện ích dành cho tài khoản Tiêu chuẩn hoặc Nâng cao . Vui lòng Đăng nhập tài khoản để xem chi tiết.
Ghi chú
Báo lỗi
In

Tiêu chuẩn TCVN 10623:2025 Đồ trang sức và kim loại quý - Xác định platin trong hợp kim platin - Phương pháp ICP-OES

Ngày cập nhật: Thứ Ba, 01/07/2025 14:29 (GMT+7)
Số hiệu: TCVN 10623:2025 Loại văn bản: Tiêu chuẩn Việt Nam
Cơ quan ban hành: Bộ Khoa học và Công nghệ Lĩnh vực: Công nghiệp
Trích yếu: ISO 11494:2019 Đồ trang sức và kim loại quý - Xác định platin trong hợp kim platin - Phương pháp ICP-OES sử dụng nguyên tố nội chuẩn
Ngày ban hành:
Ngày ban hành là ngày, tháng, năm văn bản được thông qua hoặc ký ban hành.
25/04/2025
Hiệu lực:
Đã biết
Tiện ích dành cho tài khoản Tiêu chuẩn hoặc Nâng cao. Vui lòng Đăng nhập tài khoản để xem chi tiết.
Người ký: Đang cập nhật
Tình trạng hiệu lực:
Cho biết trạng thái hiệu lực của văn bản đang tra cứu: Chưa áp dụng, Còn hiệu lực, Hết hiệu lực, Hết hiệu lực 1 phần; Đã sửa đổi, Đính chính hay Không còn phù hợp,...
Đã biết
Tiện ích dành cho tài khoản Tiêu chuẩn hoặc Nâng cao. Vui lòng Đăng nhập tài khoản để xem chi tiết.

TÓM TẮT TIÊU CHUẨN VIỆT NAM TCVN 10623:2025

Tiêu chuẩn quốc gia về xác định platin trong hợp kim platin bằng phương pháp ICP-OES

Ngày 25/04/2025, Bộ Khoa học và Công nghệ đã công bố Tiêu chuẩn quốc gia TCVN 10623:2025, với nội dung tập trung vào quy trình xác định lượng platin trong hợp kim platin bằng phương pháp ICP-OES sử dụng nguyên tố nội chuẩn. Tiêu chuẩn này thay thế cho TCVN 10623:2014 và hoàn toàn tương đương với tiêu chuẩn ISO 11494:2019.

Tiêu chuẩn này áp dụng cho việc phân tích xác định platin có trong hợp kim platin với hàm lượng tối đa lên tới 990 ‰ (phần nghìn). Các hợp kim này bao gồm các loại được quy định trong TCVN 10616 (ISO 9202).

Nguyên tắc phân tích
Quy trình phân tích yêu cầu kết hợp mẫu với nước cường toan (bao gồm HCl và HNO3) để hòa tan và định mức đến thể tích đo chuẩn. Sau đó, sử dụng phương pháp ICP-OES để đo lượng platin trong dung dịch mẫu thông qua việc so sánh tỉ lệ giữa cường độ quang phổ phát xạ của platin với nguyên tố nội chuẩn.

Thuốc thử và thiết bị
Tiêu chuẩn yêu cầu sử dụng thuốc thử có độ tinh khiết phân tích. Bao gồm các loại axit (HCl, HNO3) và một số hợp chất cần thiết như ytri clorua dùng làm nguyên tố nội chuẩn. Thiết bị sử dụng trong phân tích bao gồm ICP-OES với độ phân giải quang học cho phép đo đồng thời hai vạch phát xạ của platin và nguyên tố nội chuẩn.

Quy trình lấy mẫu và đo xảy
Quy trình lấy mẫu cần tuân thủ quy định trong TCVN 9877 (ISO 11596). Các mẫu sau khi hòa tan sẽ được phân tích bằng ICP-OES. Các dung dịch chuẩn và mẫu thử cần được chuẩn bị với nồng độ axit tương đương để đảm bảo độ chính xác trong phân tích.

Tính toán và báo cáo kết quả
Kết quả phân tích được tính toán dựa trên các tỷ số cường độ phát xạ và phải được báo cáo theo một định dạng nhất định, bao gồm các thông tin về mẫu thử, phương pháp, hàm lượng platin cũng như các đặc điểm trong quá trình thử nghiệm.

Kết luận
Tiêu chuẩn này cung cấp một quy trình rõ ràng và cụ thể để xác định hàm lượng platin trong hợp kim, giúp đảm bảo chất lượng và độ tin cậy của các sản phẩm trang sức làm từ platin.

Tải tiêu chuẩn Việt Nam TCVN 10623:2025

Tải văn bản tiếng Việt (.pdf) Tiêu chuẩn Việt Nam TCVN 10623:2025 PDF (Bản có dấu đỏ)

Đây là tiện ích dành cho tài khoản thành viên. Vui lòng Đăng nhập để xem chi tiết. Nếu chưa có tài khoản, Đăng ký tại đây!

Tải văn bản tiếng Việt (.doc) Tiêu chuẩn Việt Nam TCVN 10623:2025 DOC (Bản Word)

Đây là tiện ích dành cho tài khoản thành viên. Vui lòng Đăng nhập để xem chi tiết. Nếu chưa có tài khoản, Đăng ký tại đây!

Tình trạng hiệu lực: Đã biết
Hiệu lực: Đã biết
Tình trạng hiệu lực: Đã biết

TIÊU CHUẨN QUỐC GIA

TCVN 10623:2025

ISO 11494:2019

ĐỒ TRANG SỨC VÀ KIM LOẠI QUÝ- XÁC ĐỊNH PLATIN TRONG HỢP KIM PLATIN - PHƯƠNG PHÁP ICP-OES SỬ DỤNG NGUYÊN TỐ NỘI CHUẨN

Jewellery and precious metals - Determination of platinum in platinum alloys - ICP-OES method using an internal standard element

Lời nói đầu

TCVN 10623:2025 thay thế TCVN 10623:2014.

TCVN 10623:2025 hoàn toàn tương đương ISO 11494:2019.

TCVN 10623:2025 do Ban kỹ thuật tiêu chuẩn quốc gia TCVN/TC 174 Đồ trang sức biên soạn, Viện Tiêu chuẩn Chất lượng Việt Nam đề nghị, Ủy ban Tiêu chuẩn Đo lường Chất lượng Quốc gia thẩm định, Bộ Khoa học và Công nghệ công bố.

 

ĐỒ TRANG SỨC VÀ KIM LOẠI QUÝ- XÁC ĐỊNH PLATIN TRONG HỢP KIM PLATIN - PHƯƠNG PHÁP ICP-OES SỬ DỤNG NGUYÊN TỐ NỘI CHUẨN

Jewellery and precious metals - Determination of platinum in platinum alloys - ICP-OES method using an internal standard element

1 Phạm vi áp dụng

Tiêu chuẩn này mô tả quy trình phân tích để xác định platin trong hợp kim platin với hàm lượng danh định lên tới 990 ‰ (phần nghìn), bao gồm các hợp kim theo TCVN 10616 (ISO 9202).

2 Tài liệu viện dẫn

Các tài liệu viện dẫn sau rất cần thiết cho việc áp dụng tiêu chuẩn này. Đối với các tài liệu viện dẫn ghi năm công bố thì áp dụng phiên bản được nêu. Đối với các tài liệu viện dẫn không ghi năm công bố thì áp dụng phiên bản mới nhất, bao gồm cả các sửa đổi, bổ sung (nếu có).

TCVN 9877 (ISO 11596), Đồ trang sức - Phương pháp lấy mẫu các hợp kim kim loại quý dùng làm đồ trang sức và các sản phẩm liên quan.

TCVN 10616 (ISO 9202), Đồ trang sức và kim loại quý - Độ tinh khiết của hợp kim kim loại quý.

3 Thuật ngữ và định nghĩa

Trong tiêu chuẩn này không có thuật ngữ, định nghĩa.

4 Nguyên lý

Hòa tan ít nhất hai mẫu được cân chính xác vào nước cường toan và định mức tới một khối lượng được cân chính xác. Các dung dịch mẫu này được trộn lẫn với chất nội chuẩn và định mức đến một thể tích đo chuẩn.

Sử dụng ICP-OES, hàm lượng platin của dung dịch mẫu thử được đo bằng cách so sánh tỷ số của cường độ vạch (các vạch) quang phổ phát xạ của platin và của nguyên tố nội chuẩn thích hợp (VD: ytri) với các tỷ số đối với các dung dịch chứa khối lượng đã biết của platin và nguyên tố nội chuẩn (VD: ytri), sử dụng phương pháp xếp đồng hạng.

Một số sửa đổi nhỏ được quy định khi hợp kim chứa rutheni, rhodi, iridi, hoặc vonfram.

5 Thuốc thử

Trong quá trình phân tích, nếu không có thoả thuận nào khác, chỉ sử dụng thuốc thử có độ tinh khiết phân tích được công nhận và chỉ dùng nước cất hoặc nước có độ tinh khiết tương đương.

5.1  Axit chlohydric (HCl): khoảng 30 % đến 37 % HCl (tỷ lệ khối lượng).

5.2  Axit nitric (HNO3); khoảng 65 % đến 70% HNO3 (tỷ lệ khối lượng).

5.3  Platin (Pt) với độ tinh khiết tối thiểu là 999,9 ‰; Nếu sử dụng hàm lượng platin nhỏ hơn (VD: 999,5 ‰), cần áp dụng các hiệu chnh thích hợp.

5.4  Hợp chất của ytri, như ytri clorua (YCl3.6H2O) hoặc ytri oxit (Y2O6) cấp độ phân tích.

5.5  Đồng với độ tinh khiết tối thiểu 999,9 ‰ và không chứa platin.

5.6  Axit orthophotphoric (H3PO4), 85 % (tỷ lệ khối lượng).

6 Thiết bị

6.1  Thiết b thông thường của phòng thí nghiệm.

6.2  ICP-OES, có khả năng đo đồng thời vạch phát xạ của platin và của nguyên tố nội chuẩn với độ phân giải quang học nhỏ nhất là 0,02 nm.

6.3  Cân phân tích, với khả năng đọc chính xác 0,01 mg.

7 Lấy mẫu

Quy trình lấy mẫu phải được thực hiện theo TCVN 9877 (ISO 11596).

8 Cách tiến hành

CẢNH BÁO: Các biện pháp bảo đảm an toàn và sức khe cần được tuân th.

8.1  Dung dịch nội chuẩn

Hòa tan khoảng 20 mg YCl3.6H2O (5.4) trong 200 ml nước và định mức bằng nước đến 1000 ml. Hoặc chuẩn bị một dung dịch sao cho đạt tới nồng độ khoảng 6 mg/l của ytri. Tùy theo độ nhạy của thiết bị mà nồng độ này có th thay đổi để có được hiệu qu tối ưu.

8.2 Dung dịch hiệu chuẩn

Trật tự đồng hạng cần sử dụng chỉ hai chất chuẩn tương ứng với các điểm gần nhất (chất chuẩn thấp và chất chuẩn cao như được sử dụng trong 8.5) đối với hàm lượng dự kiến của platin trong mẫu thử. Khuyến nghị chuẩn bị một bộ ít nhất ba dung dịch chuẩn và kiểm tra độ tuyến tính của chúng.

Cân khoảng 45 mg; 55 mg, 65 mg, 75 mg, 82,5 mg, 87,5 mg, 92,5 mg, 97,5 mg và 100 mg platin chính xác đến 0,01 mg mỗi lượng cân vào một cốc thủy tinh có mỏ. Đun nhẹ mẫu thử trong cốc thủy tinh được đậy bằng mặt kính đồng hồ trong hỗn hợp của 100 ml HCl (5.1) và 30 ml HNO3 (5.2) cho đến khi hòa tan hoàn toàn và tiếp tục đun để loại bỏ oxit nitơ. Đổ dung dịch vào một bình định mức 1 000 ml. Thêm 100 g với độ chính xác 0,01 g dung dịch nội chuẩn (8.1). Thêm 100 ml HCl (5.1) và pha đến 1 000 ml với nước. Lắc bình thật kỹ.

Khi có mặt những nguyên tố khác (VD: bạc), có thể cần phải làm tăng nồng độ HCl lên mức cao nhất là 500 ml. Nồng độ axit của dung dịch hiệu chuẩn và của các dung dịch mẫu thử phải tương đương nhau.

8.3  Dung dịch mẫu thử

Cân 100 mg mẫu thử với độ chính xác 0,01 mg trong một cốc thủy tinh, hòa tan và xử lý mẫu như đã trình bày trong 8.2.

Nồng độ axit của dung dịch hiệu chuẩn và của dung dịch mẫu thử phải tương đương nhau.

8.4  Chuẩn bị dung dịch hợp kim platin có chứa rutheni, rhodi, iridi hoặc vonfram

Hợp kim platin chứa nhiều hơn 5 % các nguyên tố nêu trên có thể cần hòa tan dưới áp suất (lượng axit cần thêm vào tương ứng với bình chứa được sử dụng và theo khuyến nghị của nhà sản xuất) hoặc triển khai một giai đoạn hợp kim hóa sơ bộ với một lượng đồng không chứa platin gấp 10 lần (5.5).

Khi có mặt vonfram, phải cho thêm 200 μl axit orhtophotphoric (5.6).

Các dung dịch hiệu chuẩn và dung dịch mẫu thử phải có nền mẫu tương đương.

8.5  Đo phổ

Bộ phận xử lý dữ liệu của thiết bị ICP-OES được sử dụng để thiết lập một chương trình đo, trong đó cường độ của các vạch phổ phát xạ của platin và của nguyên tố nội chuẩn ytri có thể đo cùng một lúc. Điều chỉnh thiết bị phù hợp với hướng dẫn của nhà sản xuất và chọn các vị trí hiệu chnh nền thích hợp. Bộ phận nguyên tử hoá mẫu (torch), buồng phun, các ống dẫn mẫu cần được vệ sinh sạch và plasma phải ổn định trước khi sử dụng, theo các khuyến nghị của nhà sản xuất thiết bị.

Việc đồng hạng trong vận hành các mẫu chuẩn và mẫu thử theo trình tự sau: mẫu chuẩn thấp - mẫu thử - mẫu chuẩn cao - mẫu thử - mẫu chuẩn thấp - mẫu thử - mẫu chuẩn cao - mẫu thử - mẫu chuẩn thấp - mẫu thử - mẫu chuẩn cao.

Mỗi một dung dịch phải có một thời gian ổn định ít nhất là 30 s, tiếp đến là thời gian tích hợp tối thiểu 10 s và ít nhất là 3 lần tích hợp. Độ lệch chuẩn tương đối (RSD) không được lớn hơn 0,3 % sau tính toán cuối cùng [xem Công thức(1)]. Khối lượng platin chính xác của dung dịch mẫu thử được suy ra từ phép đo của hai dung dịch hiệu chuẩn xếp đồng hạng giá trị của dung dịch mẫu thử [xem Công thức (4)].

Các vạch được khuyến nghị đối với platin là 265,945 nm, 214,424 nm, 299,796 nm hoặc 306,471 nm. Chỉ những vạch không có hiệu ứng giao thoa mới được chọn để tính toán. Kết quả phân tích thu được với các vạch phát xạ đo được sẽ được so sánh. Những vạch được khuyến nghị đối với ytri là 371,029 nm, 377,433 nm hoặc 321,669 nm.

CHÚ THÍCH: Phát xạ của platin tại 265,945 nm có thể giao thoa với rutheni, rhodi và crom, và phát xạ của platin tại 299,796 nm và 306,471 nm có thể giao thoa với iridi và crom.

9 Tính toán và biểu thị kết quả

9.1  Tính toán

Phương pháp nội chuẩn hóa dựa trên mối quan hệ tuyến tính giữa các tỷ số cường độ (IPt/IY) và các tỷ số nồng độ (CPt/CY) hoặc, tốt hơn là các tỷ số khối lượng (mPt/mY). Khi sử dụng cùng một khối lượng ytri (dung dịch nội chuẩn) để chuẩn bị tất cả các dung dịch thì không cần thiết phải có một thể tích chính xác của các dung dịch đo. Độ chính xác của bình định mức 1 000 ml là thỏa mãn. Lợi thế quan trọng khác của việc luôn luôn dựa vào cùng một khối lượng của chất nội chuẩn là ở chỗ tất cả các tính toán đều có thể thực hiện với mPt thay vì mPt/mY, danh định.

Nói chung, bộ phận xử lý dữ liệu cung cấp các thương số từ các phép đo riêng biệt được lưu trữ đồng thời về cường độ platin và ytri.

Nếu giá trị trung bình, Q, của 5 thương số cường độ (Q1, Q2, Q3, Q4, Q5) thuộc từng dung dịch được tính theo công thức (1):

(1)

thì giá trị trung bình này sẽ có RSD từ Q không lớn hơn 0,3 %.

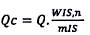
Về các sai lệch so với khối lượng danh định, mIS, tính theo gam, của dung dịch nội chuẩn (mIS = 100,00 g), mỗi một số thương cường độ thuộc về một dung dịch đo phải được hiệu chỉnh bởi khối lượng tương ứng thực tế của dung dịch nội chuẩn WIS,n, tính bằng gam, được sử dụng để chuẩn bị dung dịch đo này. Số thương hiệu chỉnh này, QC, được tính theo công thức (2):

(2)

Đ xác định hàm lượng platin của mẫu thử bằng cách sử dụng số thương cường độ được hiệu chỉnh, yêu cầu phải có những khối lượng chính xác của platin trong các dung dịch hiệu chuẩn, mPt,Cs,n', tính bằng miligam, theo công thức (3):

mPt,Cs,n = WPt,Cs,n

(3)

trong đó WPt,Cs,n là khối lượng platin được sử dụng để chuẩn bị dung dịch hiệu chuẩn platin, tính bằng miligam;

Hai điểm hiệu chuẩn gần nhất với hàm lượng dự kiến của mẫu platin, tương ứng với khối lượng thấp a và khối lượng cao b, được sử dụng đ xác định khối lượng platin trong dung dịch mẫu thử theo công thức (4):

mPt = a + [(b - a)x(QCs - QCa)/ (QCb - QCa)]

(4)

trong đó:

a

khối lượng của platin trong dung dịch hiệu chuẩn, được sử dụng như “mẫu chuẩn thấp”, theo công thức (3), tính bằng miligam;

b

khối lượng của platin trong dung dịch hiệu chuẩn, được sử dụng như “mẫu chuẩn cao”, theo công thức (3), tính bằng miligam;

QCa

tỷ số cường độ được hiệu chỉnh IPt/IY của “mẫu chuẩn thấp”;

QC

tỷ số cường độ được hiệu chỉnh IPt/IY của “mẫu chuẩn cao”;

QCs

tỷ số cường độ được hiệu chỉnh IPt/IY của dung dịch đo mẫu thử.

Khối lượng platin cuối cùng của dung dịch mẫu thử tương ứng với giá trị trung bình của 5 chu trình đo và sự ước tính kiểu này, , và được tính theo công thức (5):

(5)

RSD của mPt không được vượt quá 0,30%.

Một khi  đã được xác định từ 5 lần xác định riêng lẻ của dung dịch mẫu thử, hàm lượng platin của mẫu thử, XPt, biểu thị bằng phần nghìn, được tính theo công thức (6):

(6)

trong đó:

WSa là khối lượng của mẫu thử được dùng đ chuẩn bị dung dịch mẫu thử gốc, tính bằng milligam.

THẬN TRỌNG: Để tuân thủ tiêu chuẩn này, các thuật tính toán khác phải được thừa nhận.

9.2  Độ lặp lại

Hai lần xác định song song giống nhau phải cho kết quả sai lệch nhỏ hơn 3 ‰ đối với platin. Nếu sai lệch lớn hơn so với quy định này, phải tiến hành phân tích lại.

10 Báo cáo thử nghiệm

Đối với phương pháp này, báo cáo thử nghiệm ít nhất phải bao gồm các thông tin sau:

a) Nhận diện mẫu thử, gồm nguồn gốc mẫu, ngày nhận mẫu, dạng mẫu;

b) Quy trình lấy mẫu;

c) Phương pháp được sử dụng viện dẫn tiêu chuẩn này, tức là TCVN 10623:2025 (ISO 11494:2019);

d) Hàm lượng platin của mẫu thử, tính bằng phần nghìn (‰) tính theo khối lượng, dưới dạng các giá trị đơn lẻ và giá trị trung bình;

e) Bất kỳ sai lệch nào so với phương pháp được quy định trong tiêu chuẩn này, nếu có;

f) Bất kỳ đặc điểm bất thường nào trong quá trình xác định;

g) Ngày, tháng, năm thử nghiệm;

h) Nhận diện phòng thí nghiệm thực hiện thử nghiệm này.

i) Tên, chữ ký của người quản lý phòng thí nghiệm và của người thực hiện.

Bạn chưa Đăng nhập thành viên.

Đây là tiện ích dành cho tài khoản thành viên. Vui lòng Đăng nhập để xem chi tiết. Nếu chưa có tài khoản, vui lòng Đăng ký tại đây!

* Lưu ý: Để đọc được văn bản tải trên Luatvietnam.vn, bạn cần cài phần mềm đọc file DOC, DOCX và phần mềm đọc file PDF.

Văn bản liên quan Tiêu chuẩn Việt Nam TCVN 10623:2025

văn bản cùng lĩnh vực

văn bản mới nhất

CHÍNH SÁCH BẢO VỆ DỮ LIỆU CÁ NHÂN
Yêu cầu hỗ trợYêu cầu hỗ trợ
Chú thích màu chỉ dẫn
Chú thích màu chỉ dẫn:
Các nội dung của VB này được VB khác thay đổi, hướng dẫn sẽ được làm nổi bật bằng các màu sắc:
Sửa đổi, bổ sung, đính chính
Thay thế
Hướng dẫn
Bãi bỏ
Bãi bỏ cụm từ
Bình luận
Click vào nội dung được bôi màu để xem chi tiết.
×