- Tổng quan
- Nội dung
- VB gốc
- Tiếng Anh
- Hiệu lực
- VB liên quan
- Lược đồ
-
Nội dung hợp nhất
Tính năng này chỉ có tại LuatVietnam.vn. Nội dung hợp nhất tổng hợp lại tất cả các quy định còn hiệu lực của văn bản gốc và các văn bản sửa đổi, bổ sung, đính chính... trên một trang. Việc hợp nhất văn bản gốc và những văn bản, Thông tư, Nghị định hướng dẫn khác không làm thay đổi thứ tự điều khoản, nội dung.
Khách hàng chỉ cần xem Nội dung hợp nhất là có thể nắm bắt toàn bộ quy định hiện hành đang áp dụng, cho dù văn bản gốc đã qua nhiều lần chỉnh sửa, bổ sung.
- Tải về
Thông tư 62/2025/TT-BCT quy định khung giá và dịch vụ phát điện từ pin lưu trữ
| Cơ quan ban hành: | Bộ Công Thương |
Số công báo:
Số công báo là mã số ấn phẩm được đăng chính thức trên ấn phẩm thông tin của Nhà nước. Mã số này do Chính phủ thống nhất quản lý.
|
Đã biết
|
| Số hiệu: | 62/2025/TT-BCT | Ngày đăng công báo: |
Đã biết
|
| Loại văn bản: | Thông tư | Người ký: | Nguyễn Hoàng Long |
| Trích yếu: | Quy định hồ sơ, trình tự, phương pháp xác định, phê duyệt khung giá phát điện và phương pháp xác định giá dịch vụ phát điện của hệ thống pin lưu trữ năng lượng; nội dung chính của hợp đồng mua bán điện | ||
|
Ngày ban hành:
Ngày ban hành là ngày, tháng, năm văn bản được thông qua hoặc ký ban hành.
|
10/12/2025 |
Ngày hết hiệu lực:
Ngày hết hiệu lực là ngày, tháng, năm văn bản chính thức không còn hiệu lực (áp dụng).
|
Đang cập nhật |
|
Áp dụng:
Ngày áp dụng là ngày, tháng, năm văn bản chính thức có hiệu lực (áp dụng).
|
Đã biết
|
Tình trạng hiệu lực:
Cho biết trạng thái hiệu lực của văn bản đang tra cứu: Chưa áp dụng, Còn hiệu lực, Hết hiệu lực, Hết hiệu lực 1 phần; Đã sửa đổi, Đính chính hay Không còn phù hợp,...
|
Đã biết
|
| Lĩnh vực: | Công nghiệp , Điện lực | ||
TÓM TẮT THÔNG TƯ 62/2025/TT-BCT
Quy định về khung giá phát điện và giá dịch vụ của hệ thống pin lưu trữ năng lượng
Ngày 10/12/2025, Bộ Công Thương đã ban hành Thông tư 62/2025/TT-BCT quy định về hồ sơ, trình tự, phương pháp xác định và phê duyệt khung giá phát điện, cũng như phương pháp xác định giá dịch vụ phát điện của hệ thống pin lưu trữ năng lượng. Thông tư này có hiệu lực từ ngày ban hành.
Thông tư này áp dụng cho các cơ quan, tổ chức, cá nhân sở hữu hệ thống pin lưu trữ năng lượng đấu nối vào hệ thống điện quốc gia từ cấp điện áp 110 kV trở lên và có công suất từ 10 MW trở lên. Đối tượng áp dụng bao gồm đơn vị vận hành hệ thống điện và thị trường điện, Tập đoàn Điện lực Việt Nam, và các tổ chức, cá nhân có liên quan.
Phương pháp xác định khung giá phát điện
Khung giá phát điện được xác định trong khoảng từ 0 đồng/kWh đến mức giá tối đa, được tính toán dựa trên các thành phần giá cố định bình quân, giá vận hành và bảo dưỡng cố định, và giá biến đổi. Công thức tính giá phát điện bao gồm các yếu tố như chi phí vốn đầu tư, công suất lắp đặt, và các thông số kỹ thuật khác của hệ thống pin lưu trữ năng lượng.
Trình tự phê duyệt khung giá phát điện
Chủ đầu tư phải cung cấp báo cáo nghiên cứu khả thi và thiết kế cơ sở cho Tập đoàn Điện lực Việt Nam trong vòng 15 ngày sau khi được phê duyệt. Tập đoàn Điện lực Việt Nam có trách nhiệm tính toán và lập hồ sơ đề nghị phê duyệt khung giá phát điện, trình Cục Điện lực thẩm định. Cục Điện lực sẽ thẩm định và trình Bộ trưởng Bộ Công Thương phê duyệt trong vòng 25 ngày kể từ khi nhận được hồ sơ hợp lệ.
Nguyên tắc xác định giá dịch vụ phát điện
Giá dịch vụ phát điện của hệ thống pin lưu trữ năng lượng được xây dựng dựa trên các chi phí hợp lý của chủ đầu tư và tỷ suất sinh lợi nội tại không vượt quá 12%. Giá dịch vụ bao gồm giá công suất và giá điện năng, chưa bao gồm thuế giá trị gia tăng và các khoản thu khác theo quy định của cơ quan quản lý nhà nước.
Phương pháp xác định giá công suất và giá điện năng
Giá công suất và giá điện năng được xác định dựa trên các thông số kỹ thuật và tài chính của hệ thống pin lưu trữ năng lượng, bao gồm hiệu suất chu kỳ sạc-xả, tỷ lệ điện tự dùng, và đơn giá bán lẻ điện giờ thấp điểm. Các chi phí thí nghiệm, chạy thử, nghiệm thu cũng được thỏa thuận giữa bên bán và bên mua điện để đảm bảo không tính trùng trong tổng mức đầu tư dự án.
Xem chi tiết Thông tư 62/2025/TT-BCT có hiệu lực kể từ ngày 26/01/2026
Tải Thông tư 62/2025/TT-BCT
| BỘ CÔNG THƯƠNG | CỘNG HOÀ XÃ HỘI CHỦ NGHĨA VIỆT NAM |
THÔNG TƯ
Quy định hồ sơ, trình tự, phương pháp xác định, phê duyệt khung giá
phát điện và phương pháp xác định giá dịch vụ phát điện của hệ thống
pin lưu trữ năng lượng; nội dung chính của hợp đồng mua bán điện
_________________
Căn cứ Luật Điện lực số 61/2024/QH15;
Căn cứ Nghị định số 40/2025/NĐ-CP ngày 26 tháng 02 năm 2025 của Chính phủ quy định chức năng, nhiệm vụ, quyền hạn và cơ cấu tổ chức của Bộ Công Thương;
Theo đề nghị của Cục trưởng Cục Điện lực;
Bộ trưởng Bộ Công Thương ban hành Thông tư quy định hồ sơ, trình tự, phương pháp xác định, phê duyệt khung giá phát điện và phương pháp xác định giá dịch vụ phát điện của loại hình hệ thống pin lưu trữ năng lượng; nội dung chính của hợp đồng mua bán điện.
Chương I
QUY ĐỊNH CHUNG
Điều 1. Phạm vi điều chỉnh và đối tượng áp dụng
1. Thông tư này hướng dẫn chi tiết một số điều của Luật Điện lực số 61/2024/QH15, bao gồm:
a) Khoản 3 Điều 51 quy định hồ sơ, trình tự, thủ tục, phương pháp xác định khung giá phát điện; phê duyệt khung giá phát điện của hệ thống pin lưu trữ năng lượng do đơn vị điện lực xây dựng và trình;
b) Khoản 3 Điều 12, khoản 5 Điều 44, điểm g khoản 1 và điểm b khoản 8 Điều 51 về nguyên tắc tính giá điện để thực hiện dự án điện lực; phương pháp xác định giá dịch vụ phát điện của hệ thống pin lưu trữ năng lượng; nội dung chính của hợp đồng mua bán điện.
2. Thông tư này áp dụng đối với các đối tượng sau đây:
a) Các cơ quan, tổ chức, cá nhân sở hữu hệ thống pin lưu trữ năng lượng đấu nối vào hệ thống điện quốc gia từ cấp điện áp 110 kV trở lên và có công suất từ 10 MW trở lên, phục vụ nhu cầu hệ thống điện quốc gia, phù hợp Quy hoạch phát triển điện lực quốc gia thời kỳ 2021 - 2030, tầm nhìn đến năm 2050;
b) Đơn vị vận hành hệ thống điện và thị trường điện;
c) Tập đoàn Điện lực Việt Nam;
d) Các tổ chức, cá nhân có liên quan.
3. Nội dung về phương pháp xác định khung giá phát điện, giá dịch vụ phát điện và nội dung chính của hợp đồng mua bán điện tại Phụ lục IV ban hành kèm theo Thông tư này không áp dụng đối với loại hình:
a) Hệ thống pin lưu trữ năng lượng kết hợp với nhà máy điện năng lượng tái tạo và thực hiện theo quy định tại Thông tư số 12/2025/TT-BCT của Bộ trưởng Bộ Công Thương quy định phương pháp xác định giá dịch vụ phát điện; nguyên tắc tính giá điện để thực hiện dự án điện lực; nội dung chính của hợp đồng mua bán điện.
b) Hệ thống pin lưu trữ năng lượng do Tổng công ty Điện lực đầu tư và thực hiện theo quy định tại Thông tư số 17/2025/TT-BCT của Bộ trưởng Bộ Công Thương quy định phương pháp lập và trình tự, thủ tục phê duyệt khung giá bán buôn điện; phương pháp xác định giá bán buôn điện; nội dung chính của hợp đồng bán buôn điện.
Điều 2. Giải thích từ ngữ
Trong Thông tư này các từ ngữ dưới đây được hiểu như sau:
1. Bên bán điện là đơn vị phát điện sở hữu hệ thống pin lưu trữ năng lượng.
2. Bên mua điện là Tập đoàn Điện lực Việt Nam (hoặc đơn vị đại diện theo phân cấp, ủy quyền), Tổng công ty Điện lực miền Bắc, Tổng công ty Điện lực miền Trung, Tổng công ty Điện lực miền Nam, Tổng công ty Điện lực Thành phố Hà Nội, Tổng công ty Điện lực Thành phố Hồ Chí Minh, các đơn vị mua buôn điện khác theo quy định của thị trường điện cạnh tranh.
3. Chủ đầu tư là cơ quan, tổ chức, cá nhân sở hữu vốn, vay vốn hoặc được giao trực tiếp quản lý, sử dụng vốn để thực hiện hoạt động đầu tư dự án hệ thống pin lưu trữ năng lượng.
4. Điện năng giao nhận là toàn bộ điện năng bên bán điện giao cho bên mua điện.
5. Đơn vị phát điện là đơn vị điện lực sở hữu một hoặc nhiều hệ thống pin lưu trữ năng lượng.
6. Đơn vị vận hành hệ thống điện và thị trường điện là Công ty trách nhiệm hữu hạn một thành viên Vận hành hệ thống điện và thị trường điện quốc gia hoặc tên gọi khác tùy thuộc theo cấp độ phát triển thị trường điện cạnh tranh.
7. Hệ thống pin lưu trữ năng lượng (viết tắt theo tiếng Anh: BESS - Battery Energy Storage System) là hệ thống bao gồm pin, bộ sạc, hệ thống điều khiển và các thiết bị khác đấu nối vào lưới điện để lưu trữ điện năng trong pin trong quá trình sạc và xả điện năng lưu trữ để phát điện khi cần thiết.
8. Năm cơ sở là năm tổng mức đầu tư được phê duyệt sử dụng để tính toán giá dịch vụ phát điện của hệ thống pin lưu trữ năng lượng.
9. Tổng công ty Điện lực là các tổng công ty điện lực thành viên của Tập đoàn Điện lực Việt Nam, bao gồm Tổng công ty Điện lực Miền Bắc, Tổng công ty Điện lực Miền Nam, Tổng công ty Điện lực Miền Trung, Tổng công ty Điện lực thành phố Hà Nội và Tổng công ty Điện lực thành phố Hồ Chí Minh.
10. Tổng mức đầu tư là toàn bộ chi phí đầu tư xây dựng của dự án được xác định theo quy định của pháp luật có liên quan, phù hợp với thiết kế cơ sở và các nội dung khác của báo cáo nghiên cứu khả thi đầu tư xây dựng.
Chương II
HỒ SƠ, TRÌNH TỰ, THỦ TỤC, PHƯƠNG PHÁP XÁC ĐỊNH, PHÊ DUYỆT KHUNG GIÁ PHÁT ĐIỆN CỦA HỆ THỐNG PIN LƯU TRỮ NĂNG LƯỢNG
Điều 3. Nguyên tắc xác định khung giá phát điện
1. Khung giá phát điện có phạm vi giữa mức giá tối thiểu (0 đồng/kWh) và mức giá tối đa.
2. Mức giá tối đa là giá phát điện được xác định theo phương pháp quy định tại Điều 4, Điều 5, Điều 6 và Điều 7 Thông tư này.
Điều 4. Phương pháp xác định giá phát điện
Giá phát điện PC (đồng/kWh) được xác định theo công thức sau:
Pc = PCĐ + FOMC + PBĐ
Trong đó:
|
| PCĐ: | Giá cố định bình quân được xác định theo quy định tại Điều 5 Thông tư này (đồng/kWh); |
|
| FOMC: | Giá vận hành và bảo dưỡng cố định được xác định theo quy định tại Điều 7 Thông tư này (đồng/kWh); |
|
| PBĐ: | Giá biến đổi được xác định theo phương pháp quy định tại Điều 6 Thông tư này (đồng/kWh). |
Điều 5. Phương pháp xác định giá cố định bình quân
1. Giá cố định bình quân PCĐ (đồng/kWh) là thành phần để thu hồi chi phí đầu tư, được xác định theo công thức sau:

Trong đó:
|
| TC: | Chi phí vốn đầu tư xây dựng (chưa bao gồm thuế giá trị gia tăng) được quy đổi đều hằng năm được xác định theo quy định tại khoản 2 Điều này (đồng); |
|
| Ebq: | Điện năng giao nhận bình quân nhiều năm được xác định theo quy định tại khoản 6 Điều này (kWh). |
2. Chi phí vốn đầu tư được quy đổi đều hằng năm TC theo công thức sau:

Trong đó:
|
| SĐT: | Suất đầu tư tính toán được xác định theo quy định tại khoản 4 Điều này (đồng/kW); |
|
| PB: | Công suất lắp đặt của hệ thống pin lưu trữ năng lượng (kW) quy định tại khoản 3 Điều này; |
|
| n: | Đời sống kinh tế của hệ thống pin lưu trữ năng lượng (năm) được quy định tại Phụ lục I ban hành kèm theo Thông tư này; |
|
| i: | Tỷ suất chiết khấu tài chính của hệ thống pin lưu trữ năng lượng tại khoản 5 Điều này (%). |
3. Công suất lắp đặt của hệ thống pin lưu trữ năng lượng (PB) được xác định trên cơ sở Kế hoạch thực hiện Quy hoạch phát triển điện lực quốc gia.
4. Suất đầu tư tính toán là chi phí đầu tư cho 01 kW công suất của hệ thống pin lưu trữ năng lượng, trong đó tổng mức đầu tư có hiệu lực tại thời điểm tính toán khung giá phát điện, cập nhật tỷ giá ngoại tệ tại thời điểm tính toán, được xác định theo một trong các cơ sở sau:
a) Suất đầu tư bình quân trên cơ sở báo cáo nghiên cứu khả thi của các hệ thống pin lưu trữ năng lượng được phê duyệt.
b) Trường hợp suất đầu tư tính toán không xác định theo quy định tại điểm a khoản này, suất đầu tư tính toán được lựa chọn trên cơ sở tham khảo số liệu của các tổ chức tư vấn.
5. Tỷ suất chiết khấu tài chính i (%) áp dụng chi phí sử dụng vốn bình quân gia quyền danh định trước thuế được xác định theo công thức sau:

Trong đó:
|
| D: | Tỷ lệ vốn vay trong tổng mức đầu tư quy định tại Phụ lục I ban hành kèm theo Thông tư này (%); |
|
| E: | Tỷ lệ vốn góp chủ sở hữu trong tổng mức đầu tư quy định tại Phụ lục I ban hành kèm theo Thông tư này (%); |
|
| n: | Đời sống kinh tế của nhà máy điện quy định tại khoản 2 Điều này (năm); |
|
| nD: | Thời gian trả nợ vay bình quân được xác định theo quy định tại Phụ lục I ban hành kèm theo Thông tư này; |
|
| rd: | Lãi suất vốn vay được xác định theo quy định tại điểm a khoản này (%); |
|
| re: | Tỷ suất lợi nhuận trước thuế trên phần vốn góp chủ sở hữu được xác định theo quy định tại điểm b khoản này (%). |
a) Lãi suất vốn vay rd (%) được tính bằng lãi suất bình quân gia quyền các nguồn vốn vay nội tệ và ngoại tệ, được xác định theo công thức sau:
rd = DF × rd,F + DD × rd,D
Trong đó:
|
| DF: | Tỷ lệ vốn vay ngoại tệ trong tổng vốn vay quy định tại Phụ lục I ban hành kèm theo Thông tư này (%); |
|
| DD: | Tỷ lệ vốn vay nội tệ trong tổng vốn vay quy định tại Phụ lục I ban hành kèm theo Thông tư này (%); |
|
| rd,F: | Lãi suất vốn vay ngoại tệ được xác định bằng lãi suất bình quân SOFR (Secured Overnight Financing Rate) kỳ hạn bình quân 180 ngày (180 Days - Average) của 36 tháng liền kề tính từ thời điểm ngày đầu tiên của tháng 3, tháng 6, tháng 9 hoặc tháng 12 gần nhất của năm đàm phán được công bố bởi Fed (Website: www.newyorkfed.org) cộng với tỷ lệ bình quân năm các khoản phí thu xếp khoản vay của ngân hàng là 3%/năm; |
|
| rd,D: | Lãi suất vốn vay nội tệ được xác định bằng trung bình của lãi suất tiền gửi bằng đồng Việt Nam kỳ hạn 12 tháng trả sau dành cho khách hàng cá nhân của ngày đầu tiên của 60 tháng trước liền kề tính từ thời điểm ngày đầu tiên của tháng 3, tháng 6, tháng 9 hoặc tháng 12 gần nhất của năm xây dựng khung giá của 04 (bốn) ngân hàng thương mại (Ngân hàng thương mại cổ phần Ngoại thương Việt Nam, Ngân hàng thương mại cổ phần Công thương Việt Nam, Ngân hàng thương mại cổ phần Đầu tư và Phát triển Việt Nam, Ngân hàng Nông nghiệp và Phát triển nông thôn Việt Nam hoặc đơn vị kế thừa hợp pháp của các ngân hàng này) cộng với tỷ lệ bình quân năm dịch vụ phí của các ngân hàng là 3%/năm. |
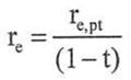
b) Tỷ suất lợi nhuận trước thuế trên phần vốn góp chủ sở hữu re (%) được xác định theo công thức sau:

Trong đó:
|
| re,pt: | Tỷ suất lợi nhuận sau thuế trên phần vốn góp chủ sở hữu (%), được xác định là 12%; |
|
| t: | Thuế suất thuế thu nhập doanh nghiệp bình quân trong đời sống kinh tế của hệ thống pin lưu trữ năng lượng được xác định theo quy định hiện hành của Nhà nước (%), đảm bảo dự án được hưởng ưu đãi về thuế thu nhập doanh nghiệp (nếu có). |
6. Điện năng giao nhận bình quân năm Ebq (kWh) được xác định như sau:

Trong đó:
|
| PB: | Công suất lắp đặt của hệ thống pin lưu trữ năng lượng quy định tại khoản 3 Điều này; |
|
| tx: | Số giờ xả trong một chu kỳ của hệ thống pin lưu trữ năng lượng được xác định theo quy định tại Phụ lục I ban hành kèm theo Thông tư này; |
|
| Tsx: | Số chu kỳ sạc - xả tối thiểu trong toàn bộ đời sống kinh tế của hệ thống pin lưu trữ năng lượng, được xác định theo quy định tại Phụ lục I ban hành kèm theo Thông tư này; |
|
| kv: | Tỷ lệ suy hao dung lượng của hệ thống pin lưu trữ năng lượng được tính bình quân theo năm cho toàn bộ đời sống kinh tế (%/năm) được xác định theo quy định tại Phụ lục I ban hành kèm theo Thông tư này; |
|
| ηRT: | Hiệu suất chu kỳ sạc - xả (%) của hệ thống pin lưu trữ năng lượng được xác định theo quy định tại Phụ lục I ban hành kèm theo Thông tư này; |
|
| ttt: | Tỷ lệ điện tự dùng và tổn thất máy biến áp tăng áp của hệ thống pin lưu trữ năng lượng, tổn thất đường dây đến điểm giao nhận điện với hệ thống điện quốc gia (nếu có) được xác định trên cơ sở báo cáo nghiên cứu khả thi được phê duyệt hoặc tài liệu kỹ thuật của nhà chế tạo thiết bị (%); |
|
| n: | Đời sống kinh tế của nhà máy điện quy định tại khoản 2 Điều này (năm). |
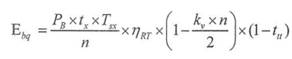
Điều 6. Phương pháp xác định giá biến đổi
Giá biến đổi PBĐ (đồng/kWh) là thành phần để thu hồi chi phí sạc điện, được xác định theo công thức sau:

Trong đó:
|
| ηRT: | Hiệu suất chu kỳ sạc - xả (%) của hệ thống pin lưu trữ năng lượng được xác định theo quy định tại khoản 6 Điều 5 Thông tư này; |
|
| ttt: | Tỷ lệ điện tự dùng và tổn thất máy biến áp tăng áp của hệ thống pin lưu trữ, tổn thất đường dây đến điểm giao nhận điện với hệ thống điện quốc gia (%) được quy định tại khoản 6 Điều 5 Thông tư này; |
|
| Pmua:
| Đơn giá bán lẻ điện giờ thấp điểm áp dụng cho các ngành sản xuất quy định tại Quyết định quy định về giá bán điện do Bộ trưởng Bộ Công Thương ban hành (đồng/kWh). |
Điều 7. Phương pháp xác định giá vận hành bảo dưỡng cố định
1. Giá vận hành và bảo dưỡng cố định FOMC (đồng/kWh) là thành phần để thu hồi chi phí sửa chữa lớn, nhân công và các chi phí khác hằng năm, được xác định theo công thức sau:

Trong đó:
|
| TCFOMC : | Tổng chi phí vận hành và bảo dưỡng cố định của hệ thống pin lưu trữ năng lượng được xác định theo quy định tại khoản 2 Điều này (đồng); |
|
| Ebq : | Điện năng giao nhận bình quân nhiều năm của nhà máy điện được xác định theo quy định tại khoản 6 Điều 5 Thông tư này (kWh). |
2. Tổng chi phí vận hành và bảo dưỡng cố định TCFOMC (đồng) của nhà máy điện được xác định theo công thức sau:
TCFOMC = SĐT x PB x kO&M
Trong đó:
|
| SĐT: | Suất đầu tư của hệ thống pin lưu trữ năng lượng được xác định theo quy định tại khoản 4 Điều 5 Thông tư này (đồng/kW); |
|
| PB: | Công suất lắp đặt của hệ thống pin lưu trữ năng lượng (kW) quy định tại khoản 3 Điều 5 Thông tư này; |
|
| kO&M:
| Tỷ lệ chi phí vận hành và bảo dưỡng cố định trong suất đầu tư được xác định trên cơ sở báo cáo nghiên cứu khả thi được phê duyệt hoặc tham khảo số liệu của các tổ chức tư vấn (%). |
Điều 8. Trình tự, thủ tục phê duyệt khung giá phát điện
1. Trong thời hạn 15 ngày kể từ khi báo cáo nghiên cứu khả thi đầu tư xây dựng của hệ thống pin lưu trữ năng lượng được phê duyệt, thiết kế cơ sở được thẩm định, chủ đầu tư các dự án này có trách nhiệm cung cấp báo cáo nghiên cứu khả thi đầu tư xây dựng, thiết kế cơ sở cho Tập đoàn Điện lực Việt Nam.
2. Trước ngày 01 tháng 11 hằng năm, Tập đoàn Điện lực Việt Nam có trách nhiệm:
a) Lựa chọn thông số tính toán khung giá phát điện cho hệ thống pin lưu trữ năng lượng;
b) Tính toán hoặc có thể thuê tư vấn tính toán mức giá tối đa của khung giá phát điện cho hệ thống pin lưu trữ năng lượng theo quy định tại Điều 3 Thông tư này;
c) Lập hồ sơ đề nghị phê duyệt khung giá phát điện theo quy định tại Điều 9 Thông tư này, trình Cục Điện lực thẩm định.
3. Trong thời hạn 05 ngày làm việc kể từ khi nhận được hồ sơ tính toán khung giá phát điện nêu tại khoản 2 Điều này, Cục Điện lực có trách nhiệm kiểm tra tính đầy đủ và hợp lệ của hồ sơ trình duyệt. Trường hợp cần thiết, Cục Điện lực có văn bản yêu cầu Tập đoàn Điện lực Việt Nam sửa đổi, bổ sung hoặc giải trình làm rõ các nội dung trong hồ sơ. Chậm nhất 15 ngày kể từ ngày nhận được yêu cầu sửa đổi, bổ sung hoặc giải trình làm rõ các nội dung trong hồ sơ của Cục Điện lực, Tập đoàn Điện lực Việt Nam có trách nhiệm gửi văn bản báo cáo giải trình về nội dung trong hồ sơ theo yêu cầu.
4. Trong thời hạn 25 ngày kể từ ngày nhận được hồ sơ đề nghị phê duyệt khung giá phát điện hợp lệ, Cục Điện lực có trách nhiệm thẩm định khung giá phát điện, trình Bộ trưởng Bộ Công Thương phê duyệt khung giá phát điện. Trường hợp khung giá phát điện của năm tiếp theo chưa được công bố, cho phép tạm thời áp dụng khung giá phát điện của năm liền kề trước đó.
Điều 9. Hồ sơ đề nghị phê duyệt khung giá phát điện
1. Hồ sơ đề nghị phê duyệt khung giá phát điện bao gồm:
a) Tờ trình đề nghị thẩm định và phê duyệt khung giá phát điện;
b) Bảng thông số và các tài liệu tính toán khung giá phát điện theo quy định tại Điều 4, Điều 5, Điều 6, Điều 7 Thông tư này;
c) Các tài liệu liên quan đến các thông số tính toán mức giá tối đa của khung giá phát điện.
2. Hồ sơ được lập bằng văn bản giấy, hình thức thông điệp dữ liệu có giá trị như văn bản theo quy định của pháp luật. Tập đoàn Điện lực Việt Nam có trách nhiệm gửi trực tiếp 01 bộ hồ sơ theo hình thức thông điệp dữ liệu và gửi trực tiếp 01 bộ hồ sơ bằng văn bản giấy (nếu cần) tới Cục Điện lực.
Chương III
NGUYÊN TẮC VÀ PHƯƠNG PHÁP XÁC ĐỊNH GIÁ DỊCH VỤ PHÁT ĐIỆN CỦA HỆ THỐNG PIN LƯU TRỮ NĂNG LƯỢNG
Điều 10. Nguyên tắc xác định giá dịch vụ phát điện
1. Giá dịch vụ phát điện của hệ thống pin lưu trữ năng lượng được xây dựng trên cơ sở:
a) Các khoản chi phí hợp lý, hợp lệ của chủ đầu tư trong toàn bộ đời sống kinh tế dự án;
b) Tỷ suất sinh lợi nội tại về tài chính (IRR) không vượt quá 12%.
2. Giá dịch vụ phát điện của hệ thống pin lưu trữ năng lượng bao gồm các thành phần sau:
a) Giá công suất bao gồm giá cố định bình quân, giá vận hành và bảo dưỡng cố định, được xây dựng theo phương pháp quy định tại Điều 11 Thông tư này (đồng/kW);
b) Giá điện năng được tính toán theo chi phí mua điện thông qua hoạt động tiêu thụ điện năng để sạc hệ thống pin lưu trữ năng lượng và phát điện, thực hiện các yêu cầu khác nhằm nâng cao chất lượng điện năng (nếu có), được xây dựng theo phương pháp quy định tại Điều 11 Thông tư này (đồng/kWh).
3. Giá dịch vụ phát điện chưa bao gồm thuế giá trị gia tăng và các khoản thuế, phí, các khoản thu bằng tiền khác theo quy định của cơ quan quản lý nhà nước có thẩm quyền (trừ các khoản thuế, phí đã được tính trong phương án giá dịch vụ phát điện).
4. Giá dịch vụ phát điện để so với khung giá phát điện năm cơ sở
a) Giá dịch vụ phát điện để so với khung giá phát điện năm cơ sở (PC) (đồng/kWh) không vượt quá khung giá phát điện loại hình hệ thống pin lưu trữ năng lượng do Bộ trưởng Bộ Công Thương ban hành tại năm cơ sở, trong đó giá dịch vụ phát điện để so với khung giá phát điện năm cơ sở được tính toán trên cơ sở các thành phần chi phí tương ứng với thành phần chi phí tính toán khung giá phát điện, như sau:

Trong đó:
| PCS: | Giá công suất quy định tại khoản 1 Điều 11 Thông tư này (đồng/kW); | ||||||||||||||
| Tmax: | Số giờ vận hành công suất cực đại quy đổi từ thông số thiết kế được xác định theo công thức sau:
| ||||||||||||||
| PĐNb: | Giá điện năng năm cơ sở quy định tại khoản 2 Điều 11 Thông tư này (đồng/kWh). | ||||||||||||||
b) Trường hợp năm cơ sở không có khung giá phát điện, giá dịch vụ phát điện được tính toán quy đổi các thành phần chi phí tương ứng để so với khung giá phát điện gần nhất sau năm cơ sở.
Điều 11. Phương pháp xác định giá công suất, giá điện năng năm cơ sở
1. Giá công suất năm cơ sở PCS (đồng/kW), được xác định theo công thức như sau:
PCS = FC + FOMCb
Trong đó:
|
| FC: | Giá cố định bình quân được xác định theo quy định tại Điều 12 Thông tư này (đồng/kW); |
|
| FOMCb:
| Giá vận hành và bảo dưỡng cố định năm cơ sở được xác định theo quy định tại Điều 13 Thông tư này (đồng/kW). |
2. Giá điện năng năm cơ sở PĐNb (đồng/kWh), được xác định theo công thức như sau:

Trong đó:
|
| ηRTB:
| Hiệu suất chu kỳ sạc - xả của hệ thống pin tích trữ năng lượng (%) do bên bán điện và bên mua điện thỏa thuận trên cơ sở hồ sơ báo cáo nghiên cứu khả thi được phê duyệt (hoặc thiết kế cơ sở được thẩm định) hoặc theo tài liệu kỹ thuật của nhà chế tạo thiết bị tại thời điểm đàm phán (nếu có) nhưng không được thấp hơn 85%; |
|
| ttd: | Tỷ lệ điện tự dùng và tổn thất máy biến áp tăng áp của hệ thống pin lưu trữ, tổn thất đường dây đến điểm giao nhận điện với hệ thống điện quốc gia (nếu có) do bên bán điện và bên mua điện thỏa thuận hoặc áp dụng theo văn bản của cơ quan có thẩm quyền (nếu có) (%). Trường hợp do hai bên thỏa thuận thì căn cứ theo thiết kế cơ sở được duyệt hoặc theo tài liệu kỹ thuật của nhà chế tạo thiết bị tại thời điểm đàm phán (nếu có) nhưng không vượt quá giá trị tại thiết kế cơ sở được duyệt; |
|
| Pmua: | Đơn giá bán lẻ điện giờ thấp điểm áp dụng cho các ngành sản xuất quy định tại Điều 6 Thông tư này (đồng/kWh). |
3. Chi phí thí nghiệm, chạy thử, nghiệm thu của hệ thống pin lưu trữ năng lượng: Việc thanh toán chi phí thí nghiệm, chạy thử, nghiệm thu phát sinh trước ngày vận hành thương mại do bên bán điện và bên mua điện thỏa thuận bảo đảm không tính trùng trong tổng mức đầu tư dự án được phê duyệt.
Điều 12. Phương pháp xây dựng giá cố định bình quân
1. Giá cố định bình quân của hệ thống pin lưu trữ năng lượng (FC) được xác định theo phân tích tài chính của dự án theo Biểu mẫu 1 và Biểu mẫu 2 quy định tại Phụ lục III ban hành kèm theo Thông tư này. Các thông số đầu vào để xây dựng FC được xác định theo quy định tại khoản 2 Điều này.
2. Thông số đầu vào chính được sử dụng trong tính toán FC
a) Chi phí đầu tư: Chi phí đầu tư được xác định trên cơ sở tổng mức đầu tư có hiệu lực tại thời điểm đàm phán giá dịch vụ phát điện được sử dụng để tính toán giá dịch vụ phát điện, bao gồm toàn bộ chi phí thuộc trách nhiệm đầu tư của bên bán điện tính đến điểm đấu nối của hệ thống pin lưu trữ năng lượng nhằm phục vụ nhu cầu hệ thống điện, nâng cao độ tin cậy và sự ổn định của hệ thống điện gồm các hạng mục: hệ thống pin lưu trữ năng lượng; cơ sở hạ tầng, chi phí đầu tư lưới điện từ hệ thống pin lưu trữ năng lượng đến điểm đấu nối, các chi phí liên quan khác;
b) Đời sống kinh tế: quy định tại Phụ lục II ban hành kèm theo Thông tư này, trừ trường hợp có văn bản của cơ quan nhà nước có thẩm quyền phê duyệt đời sống kinh tế của dự án khác với quy định tại Thông tư này thì áp dụng theo văn bản đó (năm);
c) Công suất lắp đặt của hệ thống pin lưu trữ năng lượng (PBESS) theo thiết kế được duyệt (kW);
d) Thời gian trích khấu hao từng nhóm tài sản cố định chính (năm): Xác định trên cơ sở thời gian trích khấu hao của từng nhóm tài sản cố định chính theo khung thời gian trích khấu hao theo quy định của pháp luật có liên quan trong từng thời kỳ hoặc văn bản của cơ quan nhà nước có thẩm quyền cho phép trích khấu hao khác (nếu có);
đ) Tỷ lệ vốn chủ sở hữu, vốn vay và phân kỳ vốn đầu tư trong tổng mức đầu tư được xác định theo quyết định phê duyệt dự án đầu tư, thực tế huy động vốn cho hệ thống pin lưu trữ năng lượng tại thời điểm đàm phán, phù hợp với quy định do cơ quan nhà nước có thẩm quyền ban hành. Tỷ lệ vốn chủ sở hữu tối thiểu là 15% tổng mức đầu tư hệ thống pin lưu trữ năng lượng;
e) Lãi suất vay vốn và thời gian trả nợ vay trong thời gian vận hành: được xác định trên cơ sở hợp đồng vay vốn, các văn bản, tài liệu giữa chủ đầu tư và các tổ chức tín dụng, ngân hàng cho vay.
Trường hợp tổng vốn vay tại các hợp đồng vay vốn hoặc các văn bản tài liệu có tính pháp lý giữa chủ đầu tư và các tổ chức tín dụng thấp hơn tổng vốn vay trong phương án tính toán giá điện, phần vốn vay còn thiếu được bên bán điện và bên mua điện thỏa thuận trên cơ sở nguyên tắc: Thời gian trả nợ vay tối thiểu là 10 năm và quy định về lãi suất vốn vay như sau:
e1) Lãi suất vốn vay ngoại tệ được xác định bằng lãi suất bình quân SOFR (Secured Overnight Financing Rate) kỳ hạn bình quân 180 ngày (180 Days - Average) của 36 tháng liền kề tính từ thời điểm ngày đầu tiên của tháng 3, tháng 6, tháng 9 hoặc tháng 12 gần nhất của năm đàm phán được công bố bởi Fed (Trang thông tin điện tử: www.newyorkfed.org) cộng với tỷ lệ các khoản phí thu xếp khoản vay của ngân hàng là 3%/năm.
e2) Lãi suất vốn vay nội tệ được xác định bằng trung bình của lãi suất tiền gửi bằng đồng Việt Nam kỳ hạn 12 tháng trả sau dành cho khách hàng cá nhân của 60 tháng trước liền kề tính từ thời điểm ngày đầu tiên của tháng 3, tháng 6, tháng 9 hoặc tháng 12 gần nhất của năm đàm phán của bốn ngân hàng thương mại (Ngân hàng thương mại cổ phần Ngoại thương Việt Nam, Ngân hàng thương mại cổ phần Công thương Việt Nam, Ngân hàng thương mại cổ phần Đầu tư và Phát triển Việt Nam, Ngân hàng Nông nghiệp và Phát triển nông thôn Việt Nam hoặc đơn vị kế thừa hợp pháp của các ngân hàng này) cộng với tỷ lệ dịch vụ phí của các ngân hàng là 3%/năm;
g) Thuế suất thuế thu nhập doanh nghiệp, các loại thuế, phí khác: Xác định theo quy định của pháp luật có liên quan.
Điều 13. Phương pháp xây dựng giá vận hành và bảo dưỡng cố định
Giá vận hành và bảo dưỡng cố định năm cơ sở FOMCb (đồng/kW) được xác định như sau:

Trong đó:
|
|
| Giá vận hành và bảo dưỡng theo chi phí sửa chữa lớn và các chi phí khác năm cơ sở, được xác định theo quy định tại khoản 1 Điều này (đồng/kW); |
|
|
| Giá vận hành và bảo dưỡng theo chi phí nhân công năm cơ sở, được xác định theo quy định tại khoản 2 Điều này (đồng/kW). |
1. Giá vận hành và bảo dưỡng theo chi phí sửa chữa lớn và các chi phí khác năm cơ sở (đồng/kW) được xác định theo công thức sau:

Trong đó:
|
| PBESS: | Công suất lắp đặt của hệ thống pin lưu trữ năng lượng theo thiết kế được duyệt (kW); |
|
| TCscl: | Tổng chi phí sửa chữa lớn và các chi phí khác (đồng) tại năm cơ sở được xác định như sau: |
![]()
Trong đó:
|
| VĐTXD+TB: | Tổng chi phí xây dựng và chi phí thiết bị được xác định trên cơ sở tổng mức đầu tư quy định tại điểm a khoản 2 Điều 12 Thông tư này (đồng); |
|
| kscl: | Tỷ lệ chi phí sửa chữa lớn và chi phí khác(%) của hệ thống pin lưu trữ năng lượng do bên bán điện và bên mua điện thỏa thuận. |
2. Giá vận hành và bảo dưỡng theo chi phí nhân công năm cơ sở
(đồng/kW) được xác định theo công thức sau:

Trong đó:
|
| TCnc: | Tổng chi phí nhân công (đồng) tại năm cơ sở được xác định như sau: |
TCnc = VĐTXD+TB x knc
Trong đó:
|
| VĐTXD+TB: | Tổng chi phí xây dựng và chi phí thiết bị được xác định trên cơ sở tổng mức đầu tư quy định tại điểm a khoản 2 Điều 12 Thông tư này (đồng); |
|
| knc: | Tỷ lệ chi phí nhân công (%) của hệ thống pin lưu trữ năng lượng do bên bán điện và bên mua điện thỏa thuận. |
Chương IV
PHƯƠNG PHÁP XÁC ĐỊNH GIÁ HỢP ĐỒNG MUA BÁN ĐIỆN THEO TỪNG NĂM CỦA HỢP ĐỒNG MUA BÁN ĐIỆN
Điều 14. Nguyên tắc xác định giá cố định từng năm của hợp đồng mua bán điện
1. Bên bán điện và bên mua điện có quyền thỏa thuận áp dụng FC cho từng năm trong thời hạn hợp đồng. Trường hợp bên bán điện và bên mua điện thống nhất quy đổi FC đã thỏa thuận thành giá cố định từng năm thì việc xác định các mức giá cố định này phải tuân thủ các nguyên tắc quy định tại khoản 2 Điều này.
2. Trên cơ sở các điều kiện vay vốn thực tế và khả năng tài chính, bên bán điện và bên mua điện thỏa thuận FC của hệ thống pin lưu trữ năng lượng thành giá cố định từng năm (FCj - Giá cố định năm j) với điều kiện bảo đảm giá cố định bình quân không thay đổi so với mức giá đã được bên bán điện và bên mua điện thỏa thuận và tuân thủ theo các nguyên tắc sau:
a) Tỷ suất chiết khấu tài chính khi tính toán giá cố định từng năm (do bên bán điện và bên mua điện thỏa thuận) bằng tỷ suất sinh lợi nội tại về tài chính (IRR) của hệ thống pin lưu trữ năng lượng;
b) Chủ đầu tư thực hiện nghĩa vụ hoàn trả các khoản vay cho đầu tư xây dựng hệ thống pin lưu trữ năng lượng theo thời hạn hoàn trả vốn vay.
Điều 15. Nguyên tắc điều chỉnh giá dịch vụ phát điện từng năm trong hợp đồng mua bán điện
1. Các thành phần giá vận hành và bảo dưỡng của hệ thống pin lưu trữ năng lượng được điều chỉnh theo nguyên tắc sau:
a) Thành phần giá vận hành và bảo dưỡng theo chi phí sửa chữa lớn và chi phí khác được điều chỉnh theo tỷ lệ trượt chi phí bình quân quy định tại Phụ lục II ban hành kèm theo Thông tư này. Bên bán điện và bên mua điện xem xét thỏa thuận, thống nhất cơ chế điều chỉnh thành phần giá vận hành và bảo dưỡng theo chi phí sửa chữa lớn và chi phí khác đối với các hạng mục có nguồn gốc ngoại tệ (nếu có);
b) Thành phần giá vận hành và bảo dưỡng theo chi phí nhân công được điều chỉnh theo chỉ số CPI do cơ quan thống kê quốc gia công bố nhưng không vượt quá 2,5%/năm.
2. Hàng năm, căn cứ tổng vốn vay ngoại tệ, kế hoạch trả nợ vốn vay ngoại tệ, số liệu trả nợ gốc vay thực tế, tỷ giá quy đổi đã được bên bán điện và bên mua điện thỏa thuận trong phương án giá dịch vụ phát điện, tỷ giá quy đổi thực hiện năm liền kề trước, bên bán điện và bên mua điện thực hiện tính toán và thỏa thuận phương án thanh toán chênh lệch tỷ giá. Chênh lệch tỷ giá FED (đồng) được tính toán theo công thức sau:

Trong đó:
|
| m: | Số loại ngoại tệ trong phương án giá dịch vụ phát điện bên bán điện và bên mua điện thống nhất (loại); |
|
| n: | Số lần trả gốc ngoại tệ i trong năm tính toán (lần); |
|
| Di,j: | Số nợ gốc ngoại tệ trả thực tế lần j của loại ngoại tệ i trong năm tính toán; |
|
| λi,j: | Tỷ giá quy đổi lần thanh toán j của loại ngoại tệ i trong năm tính toán; |
|
| λi,b: | Tỷ giá quy đổi cơ sở loại ngoại tệ i bên bán điện và bên mua điện thống nhất trong phương án giá dịch vụ phát điện (.../đồng). |
Điều 16. Phương pháp xác định giá hợp đồng mua bán điện tại thời điểm thanh toán
1. Giá hợp đồng mua bán điện tại thời điểm thanh toán tiền điện tháng t, năm j bao gồm thành phần giá cố định PCS,j,t (đồng/kW) và thành phần giá điện năng PĐN,j,t (đồng/kWh) được quy định như sau:
a) Giá công suất tháng t, năm j được xác định theo công thức sau:
PCS,j,t = FCj + FOMCj,t
Trong đó:
|
| FCj : | Giá cố định năm j được xác định theo quy định tại Điều 14 Thông tư này (đồng/kW); |
|
| FOMCj,t: | Giá vận hành và bảo dưỡng cố định tháng t, năm j được xác định theo quy định tại khoản 2 Điều này (đồng/kW). |
b) Giá điện năng tháng t, năm j được xác định theo công thức sau:

Trong đó:
|
| ηRTB:
| Hiệu suất chu kỳ sạc - xả (%) của hệ thống pin lưu trữ năng lượng quy định tại điểm khoản 2 Điều 11 Thông tư này (%); |
|
| ttd: | Tỷ lệ điện tự dùng và tổn thất máy biến áp tăng áp hệ thống pin lưu trữ năng lượng, tổn thất đường dây đến điểm giao nhận điện với hệ thống điện quốc gia (nếu có) theo quy định tại khoản 2 Điều 11 Thông tư này (%); |
|
| Pmua,j,t:
| Đơn giá mua điện (được xác định theo giá bán lẻ điện cho các ngành sản xuất quy định tại Quyết định quy định về giá bán điện do Bộ trưởng Bộ Công Thương ban hành) trong các giờ sạc hệ thống pin lưu trữ năng lượng của tháng t năm j theo yêu cầu của Đơn vị vận hành hệ thống điện và thị trường điện quốc gia (đồng/kWh). |
2. Giá vận hành và bảo dưỡng cố định tháng t, năm j được xác định theo công thức sau:

Trong đó:
|
|
| Giá vận hành và bảo dưỡng theo chi phí sửa chữa lớn và các chi phí khác năm j, được xác định theo quy định tại điểm a khoản này (đồng/kW); |
|
|
| Giá vận hành và bảo dưỡng theo chi phí nhân công tháng t, năm j, được xác định theo quy định tại điểm b khoản này (đồng/kW). |
a) Thành phần giá vận hành và bảo dưỡng theo chi phí sửa chữa lớn và chi phí khác
được xác định theo công thức sau:
![]()
Trong đó:
|
|
| Giá vận hành và bảo dưỡng theo chi phí sửa chữa lớn và chi phí khác năm cơ sở được xác định theo phương pháp quy định tại khoản 1 Điều 13 Thông tư này; |
|
| i: | Tỷ lệ trượt giá thành phần giá vận hành và bảo dưỡng theo chi phí sửa chữa lớn và chi phí khác theo quy định tại Phụ lục II ban hành kèm theo Thông tư này; |
|
| l: | Số thứ tự năm thanh toán tính từ năm cơ sở (đối với năm cơ sở l=1). |
b) Thành phần giá vận hành và bảo dưỡng theo chi phí nhân công tháng t, năm j
được xác định như sau:

Trong đó:
|
|
| Giá vận hành và bảo dưỡng theo chi phí nhân công năm cơ sở được xác định theo phương pháp quy định tại khoản 2 Điều 13 Thông tư này; |
|
|
| Tỷ lệ trượt giá thành phần giá vận hành và bảo dưỡng theo chi phí nhân công, xác định theo tỷ lệ chỉ số giá tiêu dùng (CPI) năm (j-1) so với năm (j-2) do cơ quan thống kê quốc gia ban hành trong tháng 12 năm (j-1) nhưng không vượt quá 2,5%/năm; |
|
| l: | Số thứ tự năm thanh toán tính từ năm cơ sở (đối với năm cơ sở l = 1, i1 = 0). |
Chương V
HỢP ĐỒNG MUA BÁN ĐIỆN
Điều 17. Nội dung chính hợp đồng mua bán điện
1. Nội dung chính hợp đồng mua bán điện quy định tại Phụ lục IV ban hành kèm theo Thông tư này là cơ sở cho bên bán điện và bên mua điện thỏa thuận và ký kết. Bên bán điện và bên mua điện có quyền thỏa thuận, thống nhất bổ sung các điều khoản được quy định cụ thể trong hợp đồng mua bán điện phù hợp quy định pháp luật của Việt Nam.
2. Ngôn ngữ sử dụng là tiếng Việt. Trường hợp bên bán điện có nhà đầu tư nước ngoài, bên bán điện và bên mua điện có thể thỏa thuận sử dụng thêm hợp đồng với ngôn ngữ sử dụng bằng tiếng Anh.
Điều 18. Tài liệu phục vụ đàm phán hợp đồng mua bán điện giữa bên bán điện và bên mua điện
1. Dự thảo hợp đồng mua bán điện theo các nội dung chính quy định tại Phụ lục IV ban hành kèm theo Thông tư này;
2. Chấp thuận chủ trương đầu tư hoặc quyết định chủ trương đầu tư hoặc giấy chứng nhận đăng ký đầu tư của dự án;
3. Quyết định phê duyệt dự án đầu tư xây dựng công trình kèm theo thuyết minh và báo cáo thẩm định dự án đầu tư hệ thống pin lưu trữ năng lượng của tư vấn độc lập, các tài liệu kèm theo;
4. Thỏa thuận đấu nối hệ thống pin lưu trữ năng lượng vào hệ thống điện quốc gia kèm theo phương án đấu nối của hệ thống pin lưu trữ năng lượng;
5. Hợp đồng vay vốn hoặc các văn bản, tài liệu giữa chủ đầu tư và các bên cho vay, kế hoạch hoặc thực tế giải ngân các nguồn vốn vay;
6. Tài liệu tính toán tổn thất công suất và điện năng của máy biến áp, đường dây từ máy biến áp tăng áp đến điểm đấu nối với hệ thống điện quốc gia và tài liệu tính toán điện tự dùng trong hệ thống pin lưu trữ năng lượng;
7. Phương án giá bán điện được xác định theo phương pháp quy định tại Chương III và Chương IV Thông tư này;
8. Các tài liệu liên quan khác (nếu có).
Chương VI
TỔ CHỨC THỰC HIỆN
Điều 19. Trách nhiệm của Cục Điện lực
Hướng dẫn và kiểm tra việc thực hiện quy định tại Thông tư này. Trong trường hợp cần thiết đề xuất việc sửa đổi, bổ sung Thông tư để phù hợp với nhu cầu thực tiễn và đồng bộ với quy định pháp luật có liên quan.
Điều 20. Trách nhiệm của Đơn vị vận hành hệ thống điện và thị trường điện
1. Tính toán xác định nhu cầu lắp đặt, quy mô công suất của hệ thống pin lưu trữ năng lượng theo miền và đánh giá định hướng khu vực ưu tiên đầu tư trên cơ sở đánh giá khả năng cung cấp điện trung hạn phù hợp Quy hoạch phát triển điện lực quốc gia, nhu cầu hệ thống điện báo cáo Bộ Công Thương xem xét, bổ sung Kế hoạch thực hiện Quy hoạch phát triển điện lực quốc gia.
2. Lập kế hoạch và lập lịch huy động công suất hệ thống pin lưu trữ năng lượng phục vụ yêu cầu vận hành hệ thống điện quốc gia; xác định và thông báo kế hoạch vận hành, thời điểm sạc, thời điểm xả và các yêu cầu khác nhằm nâng cao chất lượng điện năng hệ thống điện quốc gia từ hệ thống pin lưu trữ năng lượng phù hợp với tình hình phụ tải và cân bằng hệ thống điện.
3. Phối hợp với bên bán điện, bên mua điện và các bên liên quan trong quá trình thực hiện hợp đồng mua bán điện, bảo đảm việc thực hiện các yêu cầu khác nhằm nâng cao chất lượng điện năng hệ thống điện quốc gia đúng quy định kỹ thuật và phù hợp với các quy định của pháp luật về vận hành hệ thống điện và thị trường điện.
4. Vận hành tối ưu hệ thống điện khi thực hiện điều độ, huy động công suất và thực hiện các chức năng khác của hệ thống pin lưu trữ năng lượng.
Điều 21. Trách nhiệm của Tập đoàn Điện lực Việt Nam
1. Có trách nhiệm lập hồ sơ đề nghị phê duyệt khung giá phát điện hằng năm theo quy định tại Điều 9 Thông tư này.
2. Chủ trì, phối hợp với bên mua điện, bên bán điện tính toán, thống nhất phương án thanh toán chênh lệch tỷ giá trong thực hiện hợp đồng mua bán điện theo quy định tại Thông tư này.
Điều 22. Trách nhiệm của bên mua điện
1. Chủ trì, phối hợp với bên bán điện tính toán, thống nhất phương án thanh toán chênh lệch tỷ giá trong thực hiện hợp đồng mua bán điện theo quy định tại Thông tư này (nếu có).
2. Đàm phán hợp đồng mua bán điện với bên bán điện theo quy định tại Thông tư này; chịu trách nhiệm, bảo đảm tính chính xác, hợp lý, hợp lệ của số liệu, tài liệu cung cấp cho cơ quan liên quan trong quá trình kiểm tra (nếu có).
3. Phối hợp với bên bán điện tính toán, thống nhất chênh lệch tỷ giá trong thực hiện hợp đồng mua bán điện theo quy định tại Thông tư này, cung cấp cho Tập đoàn Điện lực Việt Nam để xem xét phương án thanh toán.
Điều 23. Trách nhiệm của bên bán điện
1. Đàm phán với bên mua điện về hợp đồng mua bán điện theo quy định; chịu trách nhiệm, bảo đảm tính chính xác, hợp lý, hợp lệ của số liệu, tài liệu cung cấp.
2. Cung cấp đầy đủ các thông tin, chịu trách nhiệm, bảo đảm tính chính xác, hợp lý, hợp lệ của số liệu, tài liệu cung cấp cho các đơn vị, cơ quan liên quan trong quá trình đàm phán.
3. Cung cấp thông tin cho bên mua điện và Đơn vị vận hành hệ thống điện và thị trường điện về các chức năng khác của hệ thống pin lưu trữ năng lượng nhằm nâng cao chất lượng điện năng hệ thống điện quốc gia mà hệ thống pin lưu trữ năng lượng đã được đầu tư, xây dựng.
4. Phối hợp với bên mua điện tính toán, thống nhất phương án thanh toán chênh lệch tỷ giá trong thực hiện hợp đồng mua bán điện hằng năm theo quy định tại Thông tư này (nếu có).
5. Bồi thường cho bên mua điện khoản chi phí do thiệt hại thực tế khi bên bán điện không đáp ứng yêu cầu về công suất khả dụng tại thời điểm hệ thống cần huy động theo nguyên tắc quy định tại phụ lục hợp đồng mua bán điện và được bên bán điện, bên mua điện thỏa thuận trong quá trình ký kết hợp đồng mua bán điện.
Điều 24. Điều chỉnh giá dịch vụ phát điện
Bên bán điện và bên mua điện thực hiện đàm phán lại giá dịch vụ phát điện tại hợp đồng mua bán điện đã ký theo quy định tại khoản 4 Điều 52 của Luật Điện lực số 61/2024/QH15.
Điều 25. Hiệu lực thi hành
Thông tư này có hiệu lực thi hành từ ngày 26 tháng 01 năm 2026./.
| Nơi nhận: | KT. BỘ TRƯỞNG |
KHUNG GIÁ PHÁT ĐIỆN
của Bộ trưởng Bộ Công Thương)
| TT | Hạng mục | Ký hiệu | Thông số |
| I | Đời sống kinh tế | n | 15 năm |
| II | Thông số kỹ thuật |
|
|
| 1 | Thời gian xả thiết kế trong một chu kỳ | tx | 2 giờ |
| 2 | Số chu kỳ xạc xả tối thiểu trong toàn bộ đời sống kinh tế | Tsx | 8000 |
| 3 | Tỷ lệ suy hao dung lượng của hệ thống pin lưu trữ năng lượng được tính bình quân theo năm cho toàn bộ đời sống kinh tế | kv | 2%/năm |
| 4 | Hiệu suất chu trình sạc - xả | ƞRT | 85% |
| III | Tỷ lệ các nguồn vốn trong tổng vốn đầu tư |
|
|
| 1 | Tỷ lệ vốn vay | D | 70% |
| 2 | Tỷ lệ vốn góp chủ sở hữu | E | 30% |
| 3 | Tỷ lệ vốn vay ngoại tệ | DF | 80% |
| 4 | Tỷ lệ vốn vay nội tệ | DD | 20% |
| IV | Thời gian trả nợ bình quân | nD | 10 năm |
GIÁ DỊCH VỤ PHÁT ĐIỆN
của Bộ trưởng Bộ Công Thương)
| TT | Hạng mục | Thông số |
| I | Đời sống kinh tế | 15 năm |
| II | Tỷ lệ trượt thành phần giá vận hành và bảo dưỡng theo chi phí sửa chữa lớn và chi phí khác (%/năm) | 2,5%/năm |
của Bộ trưởng Bộ Công Thương)
Biểu 1 - Dự toán kết quả kinh doanh
Đơn vị tính:……………….
| STT | Nội dung | Năm N | Năm N+1 | Năm N+2 | … | Tổng cộng |
| I | Tổng thu nhập |
|
|
|
|
|
| 1 | Doanh thu từ bán điện |
|
|
|
|
|
| 2 | Lợi ích khác thu được từ hệ thống pin lưu trữ năng lượng (nếu có) |
|
|
|
|
|
| 3 | Trợ giá (nếu có) |
|
|
|
|
|
| II | Tổng chi phí |
|
|
|
|
|
| 1 | Chi phí khấu hao tài sản cố định |
|
|
|
|
|
| 2 | Chi phí vận hành và bảo dưỡng |
|
|
|
|
|
| 3 | Chi phí khác (nếu có) |
|
|
|
|
|
| 4 | Chi phí lãi vay |
|
|
|
|
|
| III | Lợi nhuận trước thuế (I)-(II) |
|
|
|
|
|
| IV | Thuế thu nhập doanh nghiệp |
|
|
|
|
|
| V | Lợi nhuận sau thuế (III)-(IV) |
|
|
|
|
|
Ghi chú: Doanh thu từ bán điện chưa bao gồm thuế giá trị gia tăng và các loại thuế phí khác (nếu có). Biểu 01 lập từ năm bắt đầu có thu nhập.
Biểu 2 - Dòng tích lũy tài chính và các chỉ tiêu tài chính
Đơn vị tính: …………………..
| STT | Nội dung | … | Năm N-1 | Năm N | Năm N+1 | … | Tổng cộng |
| I | Nguồn |
|
|
|
|
|
|
| 1 | Doanh thu từ bán điện |
|
|
|
|
|
|
| 2 | Lợi ích khác thu được từ hệ thống pin lưu trữ năng lượng (nếu có) |
|
|
|
|
|
|
| 3 | Trợ giá (nếu có) |
|
|
|
|
|
|
| 4 | Giá trị còn lại của Tài sản cố định (tính vào năm cuối của hệ thống pin lưu trữ năng lượng) |
|
|
|
|
|
|
| 5 | Giá trị thu hồi vốn lưu động (tính vào năm cuối của hệ thống pin lưu trữ năng lượng) |
|
|
|
|
|
|
| II | Sử dụng |
|
|
|
|
|
|
| 1 | Vốn chủ sở hữu, vốn vay (phân bổ theo tiến độ hệ thống pin lưu trữ năng lượng) |
|
|
|
|
|
|
| 2 | Chi phí khác (nếu có) |
|
|
|
|
|
|
| 3 | Trả gốc vay |
|
|
|
|
|
|
| 4 | Chi phí lãi vay |
|
|
|
|
|
|
| 5 | Thuế thu nhập doanh nghiệp |
|
|
|
|
|
|
| III | Tích lũy tài chính (I)-(II) |
|
|
|
|
|
|
| IV | Tích lũy tài chính chiết khấu |
|
|
|
|
|
|
| V | Tích lũy tài chính chiết khấu lũy kế |
|
|
|
|
|
|
Ghi chú: Doanh thu từ bán điện chưa bao gồm thành phần vận hành và bảo dưỡng, thuế giá trị gia tăng và các loại thuế phí khác (nếu có). Biểu 02 lập từ năm bắt đầu xây dựng.
của Bộ trưởng Bộ Công Thương)
CỘNG HÒA XÃ HỘI CHỦ NGHĨA VIỆT NAM
Độc lập - Tự do - Hạnh phúc
________________________
HỢP ĐỒNG MUA BÁN ĐIỆN
HỆ THỐNG PIN LƯU TRỮ NĂNG LƯỢNG
……………………………….
Giữa
CÔNG TY [tên công ty]
(BÊN BÁN ĐIỆN)
- và -
(tên công ty)
(BÊN MUA ĐIỆN)
HỢP ĐỒNG SỐ: ………/20……./HĐ-NMĐ-[tên hệ thống pin lưu trữ năng lượng]
(Địa danh) ..., tháng .../20…
CỘNG HÒA XÃ HỘI CHỦ NGHĨA VIỆT NAM
Độc lập - Tự do - Hạnh phúc
________________________
HỢP ĐỒNG MUA BÁN ĐIỆN
Căn cứ Luật Điện lực ngày 30 tháng 11 năm 2024;
Căn cứ Luật Thương mại ngày 14 tháng 6 năm 2005;
Căn cứ Bộ luật Dân sự ngày 24 tháng 11 năm 2015;
Căn cứ Thông tư số .../2025/TT-BCT của Bộ trưởng Bộ Công Thương quy định phương pháp xác định giá dịch vụ phát điện của hệ thống pin lưu trữ; nội dung chính của hợp đồng mua bán điện;1
Căn cứ nhu cầu mua, bán điện của Bên bán điện và Bên mua điện,
Hôm nay, ngày ……. tháng ………….. năm ……., tại ……………….
Chúng tôi gồm:
Bên bán điện: __________________________________________________________
Địa chỉ: ________________________________________________________________
Điện thoại: ______________________________ Fax: ___________________________
Mã số thuế: _____________________________________________________________
Tài khoản: _________________________ Ngân hàng _________________
________________________________________________________________
Đại diện: __________________________________________________________
Chức vụ: ______________________ được sự ủy quyền của ___________________ theo văn bản ủy quyền số _________ , ngày _____ tháng _________ năm ________
Bên mua điện:(tên công ty)
Địa chỉ: ________________________________________________________________
Điện thoại: ______________________________ Fax: ___________________________
Mã số thuế: _____________________________________________________________
Tài khoản: _________________________ Ngân hàng _________________
________________________________________________________________
Đại diện: __________________________________________________________
Chức vụ: ______________________ được sự ủy quyền của ___________________ theo văn bản ủy quyền số _________ , ngày _____ tháng _________ năm ________
Cùng nhau thống nhất Hợp đồng mua bán điện cho hệ thống pin lưu trữ năng lượng... (Tên hệ thống) theo các nội dung sau:
Điều 1. Định nghĩa
Trong Hợp đồng này, các thuật ngữ dưới đây được hiểu như sau:
1. Bên bán điện là Công ty (....) sở hữu hệ thống pin lưu trữ năng lượng.
2. Bên mua điện là (...).
3. Điểm đấu nối (...).
[Các bên đàm phán thống nhất sửa đổi, bổ sung các khoản phù hợp với pháp luật Việt Nam]
Điều 2. Hiệu lực và thời hạn Hợp đồng
1. Hiệu lực Hợp đồng
Hợp đồng có hiệu lực từ ngày được đại diện có thẩm quyền của Bên bán điện và Bên mua điện ký chính thức, trừ trường hợp các bên có thỏa thuận khác.
2. Thời hạn Hợp đồng
Trừ trường hợp gia hạn hoặc chấm dứt Hợp đồng trước thời hạn, thời hạn hợp đồng được tính từ ngày hợp đồng có hiệu lực đến hết [...] năm kể từ Ngày vận hành thương mại hệ thống pin lưu trữ năng lượng.
[Các bên đàm phán thống nhất sửa đổi, bổ sung các khoản của Điều này phù hợp với pháp luật Việt Nam]
Điều 3. Mua bán điện năng
1. Giá Hợp đồng: Theo Phụ lục V của Hợp đồng.
2. Công suất khả dụng thực hiện: Theo Phụ lục V của Hợp đồng.
3. Sản lượng hợp đồng: Theo Phụ lục V của Hợp đồng.
4. Tiền điện thanh toán: Hàng tháng, Bên mua điện có nghĩa vụ thanh toán cho Bên bán điện các khoản tiền theo quy định tại Phụ lục V Hợp đồng.
[Các bên đàm phán thống nhất sửa đổi, bổ sung các khoản của Điều này phù hợp với pháp luật Việt Nam]
Điều 4. Cam kết thực hiện
[Các bên đàm phán thống nhất sửa đổi, bổ sung các khoản phù hợp với pháp luật Việt Nam]
Điều 5. Nghĩa vụ của Bên bán điện trước ngày vận hành thương mại
1. Yêu cầu về các loại giấy phép và văn bản phê duyệt
2. Báo cáo các mốc thời gian thực hiện dự án
3. Đấu nối, thử nghiệm và vận hành
4. Ngày vận hành thương mại
[Các bên đàm phán thống nhất sửa đổi, bổ sung các khoản của Điều này phù hợp với pháp luật Việt Nam]
Điều 6. Trách nhiệm đấu nối và hệ thống đo đếm
[Các bên đàm phán thống nhất sửa đổi, bổ sung các khoản phù hợp với pháp luật Việt Nam]
Điều 7. Điều độ và vận hành hệ thống pin lưu trữ năng lượng
[Các bên đàm phán thống nhất sửa đổi, bổ sung các khoản phù hợp với pháp luật Việt Nam]
Điều 8. Lập hóa đơn và thanh toán
[Các bên đàm phán thống nhất sửa đổi, bổ sung các khoản phù hợp với pháp luật Việt Nam]
Điều 9. Sự kiện ảnh hưởng việc thực hiện Hợp đồng và chế tài áp dụng
[Các bên đàm phán thống nhất sửa đổi, bổ sung các khoản phù hợp với pháp luật Việt Nam]
Điều 10. Chấm dứt Hợp đồng
[Các bên đàm phán thống nhất sửa đổi, bổ sung các khoản phù hợp với pháp luật Việt Nam]
Điều 11. Bồi thường thiệt hại
[Các bên đàm phán thống nhất sửa đổi, bổ sung các khoản phù hợp với pháp luật Việt Nam]
Điều 12. Các trường hợp miễn trách nhiệm đối với hành vi vi phạm
[Các bên đàm phán thống nhất sửa đổi, bổ sung các khoản phù hợp với pháp luật Việt Nam]
Điều 13. Giải quyết tranh chấp
[Các bên đàm phán thống nhất sửa đổi, bổ sung các khoản phù hợp với pháp luật Việt Nam]
Điều 14. Tái cơ cấu ngành điện và chuyển giao quyền và nghĩa vụ
1. Tái cơ cấu ngành điện và chuyển giao quyền và nghĩa vụ tại Bên mua điện
Bên bán điện và Bên mua điện thống nhất chấp nhận trường hợp Bên mua điện có thể phải tổ chức lại, tái cơ cấu hoặc giải thể hoặc bị loại bỏ dần chức năng mua điện để thực hiện kế hoạch chuyển đổi mô hình hoạt động của ngành điện trong các cấp độ thị trường điện cạnh tranh theo lộ trình đã được Thủ tướng Chính phủ phê duyệt hoặc các văn bản thay thế sau này. Khi cơ quan nhà nước có thẩm quyền có quyết định về việc tổ chức lại, tái cơ cấu hoặc giải thể, Bên mua điện có quyền chuyển giao toàn bộ hay một phần các quyền và nghĩa vụ của mình theo Hợp đồng mà không cần có sự chấp thuận của Bên bán điện cho một hoặc nhiều đơn vị kế thừa do cơ quan nhà nước có thẩm quyền quyết định và các đơn vị này có trách nhiệm thực hiện các quyền, nghĩa vụ pháp lý của Bên mua điện theo quy định của pháp luật.
Bên bán điện phải có văn bản chấp thuận mọi sự chuyển giao hoặc ủy quyền thực hiện các quyền, nghĩa vụ theo Hợp đồng này của Bên mua điện.
2. Chuyển giao quyền và nghĩa vụ của Bên bán điện
Bên bán điện chỉ có quyền chuyển giao quyền và nghĩa vụ của mình theo Hợp đồng cho một hoặc nhiều đơn vị kế thừa khi có sự thỏa thuận trước bằng văn bản của Bên mua điện. Văn bản thỏa thuận của Bên mua điện không được từ chối không có lý do việc thực hiện chuyển giao hoặc ủy quyền này của Bên bán điện, trừ trường hợp Bên bán điện có thể ủy quyền hay chuyển nhượng mà không cần có thỏa thuận với Bên mua điện về một số hoặc tất cả các quyền và nghĩa vụ theo Hợp đồng của Bên bán điện liên quan đến cấp vốn hoặc các thu xếp tài chính khác cho hệ thống pin tích trữ năng lượng. Hợp đồng này tiếp tục có hiệu lực để mang lại lợi ích và việc thực hiện các nghĩa vụ của các đơn vị kế thừa hoặc đơn vị được ủy thác hoặc đơn vị được chuyển giao của Bên bán điện.
Điều 15. Lưu giữ hồ sơ và cung cấp thông tin
[Các bên đàm phán thống nhất sửa đổi, bổ sung các khoản phù hợp với Pháp luật Việt Nam]
Điều 16. Các chi phí khác
Mỗi bên có trách nhiệm nộp các khoản thuế và phí hoặc thanh toán các khoản nợ phát sinh của mình khi thực hiện Hợp đồng. Bên bán điện và Bên mua điện thống nhất Hợp đồng này không bao gồm chi phí truyền tải điện, chi phí phân phối điện hoặc các chi phí tương tự khác và mỗi bên phải có trách nhiệm thanh toán các loại chi phí đó theo quy định của pháp luật.
[Các bên đàm phán thống nhất sửa đổi, bổ sung các khoản phù hợp với Pháp luật Việt Nam]
Điều 17. Đại diện có thẩm quyền và trao đổi thông tin
[Các bên đàm phán thống nhất sửa đổi, bổ sung các khoản phù hợp với Pháp luật Việt Nam]
Điều 18. Bảo mật thông tin
[Các bên đàm phán thống nhất sửa đổi, bổ sung các khoản phù hợp với Pháp luật Việt Nam]
Điều 19. Luật áp dụng và ngôn ngữ hợp đồng mua bán điện
Việc giải thích và thực hiện Hợp đồng này được thực hiện theo quy định của pháp luật Việt Nam.
Ngôn ngữ hợp đồng sử dụng là tiếng Việt. Bên bán điện và Bên mua điện có thể thỏa thuận sử dụng thêm hợp đồng với ngôn ngữ sử dụng bằng tiếng Anh.
Điều 20. Các thỏa thuận khác
[Các bên đàm phán thống nhất sửa đổi, bổ sung các khoản phù hợp với Pháp luật Việt Nam]
Hợp đồng được lập thành 09 bản có giá trị như nhau, mỗi bên giữ 04 bản. Bên mua điện có trách nhiệm gửi 01 (một) bản tới Cục Điện lực (Bộ Công Thương)./.
| ĐẠI DIỆN BÊN MUA ĐIỆN
| ĐẠI DIỆN BÊN BÁN ĐIỆN |
______________________
1 Đối với các luật, văn bản là căn cứ đã nêu, các bên hiệu chỉnh theo tên văn bản có hiệu lực tại thời điểm ký Hợp đồng
Phụ lục I
CÁC THÔNG SỐ CHÍNH CỦA HỆ THỐNG
PIN LƯU TRỮ NĂNG LƯỢNG
(Kèm theo Hợp đồng số ... ngày ... tháng ... năm...)
Bao gồm các mô tả, biểu đồ và đặc điểm kỹ thuật của Hệ thống pin lưu trữ
năng lượng
(Thông số chính của Hệ thống pin lưu trữ năng lượng sẽ được chuẩn xác lại sau khi ký kết hợp đồng mua sắm thiết bị chính của Hệ thống pin lưu trữ năng lượng.)
[Các bên đàm phán thống nhất sửa đổi, bổ sung các khoản phù hợp với Pháp luật Việt Nam)
Phụ lục II
HỆ THỐNG ĐO ĐẾM VÀ THU THẬP SỐ LIỆU
(Kèm theo Hợp đồng số ... ngày ... tháng ... năm...)
I. VỊ TRÍ LẮP ĐẶT VÀ TÍNH NĂNG CỦA HỆ THỐNG ĐO ĐẾM
1. Vị trí lắp đặt hệ thống đo đếm:
2. Tính năng của hệ thống đo đếm phải phù hợp với quy định về đo đếm điện năng do Bộ Công Thương ban hành.
II. YÊU CẦU KỸ THUẬT CỦA HỆ THỐNG ĐO ĐẾM
Các yêu cầu kỹ thuật của thiết bị đo đếm, yêu cầu kỹ thuật mạch đo đếm, biện pháp niêm phong kẹp chì và yêu cầu về hệ thống thu thập và đọc số liệu công tơ phải phù hợp với quy định về đo đếm điện năng do Bộ Công Thương ban hành.
III. VỊ TRÍ ĐO ĐẾM
Bên bán điện và Bên mua điện thống nhất sử dụng các vị trí đo đếm hiện tại của hệ thống pin lưu trữ năng lượng như sau:
Vị trí đo đếm chính:
Vị trí đo đếm dự phòng 1:
Vị trí đo đếm dự phòng 2:
Vị trí đo đếm phục vụ vận hành và đối soát số liệu thị trường điện:
IV. PHƯƠNG THỨC XÁC ĐỊNH SẢN LƯỢNG ĐIỆN NĂNG GIAO NHẬN
1. Sản lượng điện giao nhận
a) Sản lượng điện Bên bán điện trong tháng thanh toán được tính theo công thức:
AG =
AG: Lượng điện năng Bên mua điện thanh toán cho Bên bán điện trong tháng thanh toán (kWh).
b) Sản lượng điện Bên bán điện nhận từ hệ thống điện quốc gia trong tháng thanh toán được tính theo công thức:
AN =
Trong đó:
AN:Lượng điện năng nhận từ lưới của các điểm đo trong tháng (kWh).
2. Trong giai đoạn thị trường điện cạnh tranh, phương thức giao nhận điện năng hàng tháng phải phù hợp với quy định về thị trường điện cạnh tranh do Bộ Công Thương ban hành.
[Các bên đàm phán thống nhất sửa đổi, bổ sung các khoản phù hợp với Pháp luật Việt Nam]
Phụ lục III
THỎA THUẬN CÁC ĐẶC TÍNH VẬN HÀNH
(Kèm theo Hợp đồng số ... ngày ... tháng ... năm...)
[Các bên đàm phán thống nhất sửa đổi, bổ sung các nội dung phù hợp với Pháp luật Việt Nam]
Phụ lục IV
THỎA THUẬN HỆ THỐNG SCADA/EMS,
THÔNG TIN LIÊN LẠC, RƠ LE BẢO VỆ VÀ TỰ ĐỘNG
(Kèm theo Hợp đồng số ... ngày ... tháng ... năm...)
[Các bên đàm phán thống nhất sửa đổi, bổ sung các nội dung phù hợp với Pháp luật Việt Nam]
Phụ lục V
GIÁ DỊCH VỤ PHÁT ĐIỆN, THANH TOÁN DỊCH VỤ PHÁT ĐIỆN
(Kèm theo Hợp đồng số ... ngày ... tháng ... năm...)
I. GIÁ DỊCH VỤ PHÁT ĐIỆN
1. Giá hợp đồng mua bán điện tại thời điểm thanh toán tiền điện tháng t, năm j bao gồm thành phần giá công suất PCS,j,t (đồng/kW) và thành phần giá điện năng PĐN,j,t (đồng/kWh) được quy định như sau:
a) Giá công suất tháng t, năm j được xác định theo công thức sau:
PCS,j,t = FCj + FOMCj,t
Trong đó:
FCj: Giá cố định năm j (đồng/kW);
FOMCj,t : Giá vận hành và bảo dưỡng cố định tháng t, năm j (đồng/kW).
b) Giá điện năng tháng t, năm j được xác định theo công thức sau:
| PĐN,j,t = | Pmua,j,t |
| ƞRTB x (1 - ttd) |
Trong đó:
| ƞRTB: | Hiệu suất chu kỳ sạc - xả của hệ thống pin lưu trữ năng lượng (%) do bên bán điện và bên mua điện thỏa thuận trên cơ sở hồ sơ báo cáo nghiên cứu khả thi được phê duyệt (hoặc thiết kế cơ sở được thẩm định) hoặc theo tài liệu kỹ thuật của nhà chế tạo thiết bị tại thời điểm đàm phán (nếu có) nhưng không được thấp hơn 85%; |
| ttd: | Tỷ lệ điện tự dùng và tổn thất máy biến áp tăng áp của hệ thống pin lưu trữ, tổn thất đường dây đến điểm giao nhận điện(%); |
| Pmua,j,t: | Đơn giá mua điện (được xác định theo giá bán lẻ điện cho các ngành sản xuất quy định tại Quyết định quy định về giá bán điện do Bộ trưởng Bộ Công Thương ban hành) trong các giờ sạc hệ thống pin lưu trữ năng lượng trong tháng t năm j theo yêu cầu của Đơn vị vận hành hệ thống điện và thị trường điện quốc gia (đồng/kWh). |
2. Giá vận hành và bảo dưỡng cố định tháng t, năm j được xác định theo công thức sau:
![]()
Trong đó:
|
| Giá vận hành và bảo dưỡng theo chi phí sửa chữa lớn và các chi phí khác năm j, được xác định theo quy định tại điểm a khoản này (đồng/kW); |
|
| Giá vận hành và bảo dưỡng theo chi phí nhân công tháng t, năm j, được xác định theo quy định tại điểm b khoản này (đồng/kW). |
a) Thành phần giá vận hành và bảo dưỡng theo chi phí sửa chữa lớn và chi phí khác
được xác định theo công thức sau:
![]()
Trong đó:
|
| Giá vận hành và bảo dưỡng theo chi phí sửa chữa lớn và chi phí khác năm cơ sở (đồng/kW); |
| i: | Tỷ lệ trượt giá thành phần giá vận hành và bảo dưỡng theo chi phí sửa chữa lớn và chi phí khác, được xác định là 2,5%/năm; |
| l: | Số thứ tự năm thanh toán tính từ năm cơ sở (đối với năm cơ sở l =1). |
b) Thành phần giá vận hành và bảo dưỡng theo chi phí nhân công tháng t, năm j
được xác định như sau:
Trường hợp tổng chi phí nhân công TCnc được tính toán theo tỷ lệ vốn đầu tư xây lắp và thiết bị thì thành phần giá vận hành và bảo dưỡng theo chi phí nhân công được xác định theo công thức sau (đồng/kW):
![]()
Trong đó:
|
| Giá vận hành và bảo dưỡng theo chi phí nhân công năm cơ sở là (đồng/kW); |
| i1 | Tỷ lệ trượt giá thành phần giá vận hành và bảo dưỡng theo chi phí nhân công, xác định theo tỷ lệ chỉ số giá tiêu dùng (CPI) năm (j-1) so với năm (j-2) do cơ quan thống kê quốc gia ban hành trong tháng 12 năm (j-1) nhưng không vượt quá 2,5%/năm; |
| l: | Số thứ tự năm thanh toán tính từ năm cơ sở (đối với năm cơ sở l = 1, i1 = 0). |
II. SẢN LƯỢNG ĐIỆN NĂNG THEO HỢP ĐỒNG
III. THANH TOÁN TIỀN ĐIỆN THEO HỢP ĐỒNG
1. Giai đoạn trước ngày vận hành thương mại
Đối với chi phí chạy thử, nghiệm thu trước giai đoạn hệ thống pin lưu trữ năng lượng vận hành thương mại: bên bán điện và bên mua điện thỏa thuận theo hướng dẫn tại khoản 3 Điều 11 Thông tư số 62 /2025/TT-BCT của Bộ trưởng Bộ Công Thương quy định hồ sơ, trình tự, phương pháp xác định và phê duyệt khung giá phát điện; phương pháp xác định giá dịch vụ phát điện của loại hình hệ thống pin lưu trữ năng lượng; nội dung chính của hợp đồng mua bán điện.
2. Giai đoạn sau ngày vận hành thương mại
2.1. Tiền điện thanh toán (Rtt) của hệ thống pin lưu trữ năng lượng được tính toán cụ thể như sau:
Rtt = Rt x (1 + VAT)
Trong đó:
VAT: Thuế suất thuế giá trị gia tăng theo quy định của Nhà nước (%);
Rt : Tiền điện thanh toán cho tháng t năm j, chưa bao gồm thuế VAT (đồng) được xác định như sau:
Rt = Tcđ,t + (PĐN,j,t x Ett,j,t) + Rk + RTh
Trong đó:
| Ett,j,t: | Sản lượng điện phát thực tế trong tháng t, năm j (kWh); |
| Rk: | Các chi phí khác là chi phí thanh toán cho việc thử nghiệm hệ thống pin lưu trữ năng lượng (đồng) phù hợp với lịch thử nghiệm đã được Đơn vị vận hành hệ thống điện và thị trường điện phê duyệt; |
| RTh: | Tổng các khoản thuế, phí, các khoản tiền phải nộp trong tháng theo quy định pháp luật có liên quan được Bên bán điện và Bên mua điện thống nhất (kèm theo các chứng từ hợp lệ) (đồng); |
| PĐN,j,t: | Giá điện năng quy định tại điểm b khoản 1 mục I Phụ lục V đính kèm Hợp đồng này (đồng/kWh); |
| Tcđ,t: | Tổng chi phí cố định tháng t (đồng) được xác định như sau: |

Trong đó:
PCS,j,t : Giá công suất quy định tại điểm a khoản 1 mục I Phụ lục V đính kèm Hợp đồng này (đồng/kW);
:Công suất khả dụng thực hiện của hệ thống pin lưu trữ năng lượng i tại giờ thứ h (kW);
H: Số giờ trong tháng t (giờ);
n: Số lượng hệ thống pin lưu trữ năng lượng.
Công suất khả dụng thực hiện của hệ thống pin lưu trữ năng lượng i tại giờ thứ h trong tháng t được xác định bằng:
+ Đối với hệ thống pin lưu trữ năng lượng có công suất lắp đặt dưới 100MW
Công suất khả dụng công bố (hoặc công suất khả dụng công bố sửa đổi hợp lệ nếu có) nếu công suất phát thực tế bình quân của hệ thống pin lưu trữ năng lượng i tại giờ thứ h lớn hơn hoặc bằng 95% công suất được huy động thực tế theo yêu cầu của Đơn vị vận hành hệ thống điện và thị trường điện.
Công suất phát thực tế của hệ thống pin lưu trữ năng lượng i tại giờ thứ h (hoặc công suất khả dụng công bố sửa đổi hợp lệ nếu có) nếu công suất phát thực tế bình quân của hệ thống pin lưu trữ năng lượng i nhỏ hơn 95% công suất được huy động thực tế theo yêu cầu của Đơn vị vận hành hệ thống điện và thị trường điện.
+ Đối với hệ thống pin lưu trữ năng lượng có công suất lắp đặt từ 100MW trở lên
Công suất khả dụng công bố (hoặc công suất khả dụng công bố sửa đổi hợp lệ nếu có) nếu công suất phát thực tế bình quân của hệ thống pin lưu trữ năng lượng i tại giờ thứ h lớn hơn hoặc bằng 97% công suất được huy động thực tế theo yêu cầu của Đơn vị vận hành hệ thống điện và thị trường điện.
Công suất phát thực tế của hệ thống pin lưu trữ năng lượng i tại giờ thứ h (hoặc công suất khả dụng công bố sửa đổi hợp lệ nếu có) nếu công suất phát thực tế bình quân của hệ thống pin lưu trữ năng lượng i nhỏ hơn 97% công suất được huy động thực tế theo yêu cầu của Đơn vị vận hành hệ thống điện và thị trường điện.
Trường hợp hệ thống pin lưu trữ năng lượng sửa chữa theo kế hoạch được Đơn vị vận hành hệ thống điện và thị trường điện duyệt, công suất khả dụng công bố trong giai đoạn đó được tính bằng công suất lắp đặt của hệ thống pin lưu trữ năng lượng đó.
2.2. Sau khi kết thúc năm tài chính, bên bán điện và bên mua điện thực hiện đối chiếu tiền điện thanh toán của năm. Trường hợp hệ thống pin lưu trữ năng lượng không đáp ứng yêu cầu về công suất khả dụng công bố (trừ trường hợp bất khả kháng), bên bán điện sẽ phải hoàn trả cho bên mua điện khoản tiền được xác định bằng khoản chênh lệch giữa tổng điện năng ngừng thực tế (bao gồm điện năng ngừng hoạt động bắt buộc, điện năng ngừng hoạt động bảo dưỡng, điện năng ngừng hoạt động theo kế hoạch) và điện năng ngừng hệ thống cho phép (công suất lắp đặt nhân với số giờ ngừng hoạt động cho phép trong năm) nhân với phí bồi thường công suất do hai bên thỏa thuận.
[Các bên đàm phán thống nhất sửa đổi, bổ sung các nội dung phù hợp với Pháp luật Việt Nam]
Phụ lục VI
CÁC THÔNG SỐ CHÍNH TRONG TÍNH TOÁN GIÁ
DỊCH VỤ PHÁT ĐIỆN
(Kèm theo Hợp đồng số ... ngày ... tháng ... năm...)
[Các bên đàm phán thống nhất sửa đổi, bổ sung các nội dung phù hợp với Pháp luật Việt Nam]
Phụ lục VII
CÁC MỐC TIẾN ĐỘ DỰ ÁN
(Kèm theo Hợp đồng số ... ngày ... tháng ... năm...)
I. CÁC MỐC TIẾN ĐỘ DỰ ÁN
II. CÁC TÀI LIỆU BÊN BÁN ĐIỆN PHẢI CUNG CẤP CHO BÊN MUA ĐIỆN
Bên bán điện có nghĩa vụ cung cấp cho bên mua điện bản sao hợp lệ các tài liệu để công nhận Ngày vận hành thương mại như sau: [...]
[Các bên đàm phán thống nhất sửa đổi, bổ sung các nội dung phù hợp với Pháp luật Việt Nam]
Bạn chưa Đăng nhập thành viên.
Đây là tiện ích dành cho tài khoản thành viên. Vui lòng Đăng nhập để xem chi tiết. Nếu chưa có tài khoản, vui lòng Đăng ký tại đây!
Bạn chưa Đăng nhập thành viên.
Đây là tiện ích dành cho tài khoản thành viên. Vui lòng Đăng nhập để xem chi tiết. Nếu chưa có tài khoản, vui lòng Đăng ký tại đây!