- Tổng quan
- Nội dung
- VB gốc
- Tiếng Anh
- Hiệu lực
- VB liên quan
- Lược đồ
-
Nội dung hợp nhất
Tính năng này chỉ có tại LuatVietnam.vn. Nội dung hợp nhất tổng hợp lại tất cả các quy định còn hiệu lực của văn bản gốc và các văn bản sửa đổi, bổ sung, đính chính... trên một trang. Việc hợp nhất văn bản gốc và những văn bản, Thông tư, Nghị định hướng dẫn khác không làm thay đổi thứ tự điều khoản, nội dung.
Khách hàng chỉ cần xem Nội dung hợp nhất là có thể nắm bắt toàn bộ quy định hiện hành đang áp dụng, cho dù văn bản gốc đã qua nhiều lần chỉnh sửa, bổ sung.
- Tải về
Thông tư 12/2014/TT-BCT tính toán mức giá bán lẻ điện bình quân
| Cơ quan ban hành: | Bộ Công Thương |
Số công báo:
Số công báo là mã số ấn phẩm được đăng chính thức trên ấn phẩm thông tin của Nhà nước. Mã số này do Chính phủ thống nhất quản lý.
|
Đã biết
|
| Số hiệu: | 12/2014/TT-BCT | Ngày đăng công báo: |
Đã biết
|
| Loại văn bản: | Thông tư | Người ký: | Lê Dương Quang |
|
Ngày ban hành:
Ngày ban hành là ngày, tháng, năm văn bản được thông qua hoặc ký ban hành.
|
31/03/2014 |
Ngày hết hiệu lực:
Ngày hết hiệu lực là ngày, tháng, năm văn bản chính thức không còn hiệu lực (áp dụng).
|
Đã biết
|
|
Áp dụng:
Ngày áp dụng là ngày, tháng, năm văn bản chính thức có hiệu lực (áp dụng).
|
Đã biết
|
Tình trạng hiệu lực:
Cho biết trạng thái hiệu lực của văn bản đang tra cứu: Chưa áp dụng, Còn hiệu lực, Hết hiệu lực, Hết hiệu lực 1 phần; Đã sửa đổi, Đính chính hay Không còn phù hợp,...
|
Đã biết
|
| Lĩnh vực: | Công nghiệp, Thương mại-Quảng cáo |
TÓM TẮT THÔNG TƯ 12/2014/TT-BCT
Tăng giá điện từ 10% phải báo cáo Thủ tướng
Theo Thông tư số 12/2014/TT-BCT quy định tính toán mức giá bán lẻ điện bình quân được Bộ Công Thương ban hành ngày 31/03/2014, giá bán điện bình quân được tính toán căn cứ vào kết quả kiểm tra, tính toán giá thành sản xuất, kinh doanh điện hàng năm, tình hình sản xuất kinh doanh điện, kế hoạch vận hành hệ thống điện được Bộ Công Thương phê duyệt hàng năm và các khoản chi phí sản xuất, kinh doanh điện chưa tính vào giá bán điện hiện hành được phép thu hồi (nếu có).
Bên cạnh đó, Thông tư này còn nhấn mạnh tới trách nhiệm của các cơ quan liên quan trong việc rà soát và điều chỉnh giá bán điện. Cụ thể, Cục Điều tiết điện lực (thuộc Bộ Công Thương) xem xét, chấp thuận phương pháp điều chỉnh giá bán điện đối với trường hợp giá bạn điện bình quân cần điều chỉnh tăng từ 7% - dưới 10% so với giá bình quân hiện hành và trong khung giá quy định. Sau khi có ý kiến chấp thuận của Cục Điều tiết điện lực, Tập đoàn Điện lực Việt Nam sẽ tiến hành điều chỉnh ở mức tương ứng.
Trong trường hợp cần điều chỉnh giá bán điện bình quân tăng từ 10% trở lên so với giá bán điện hiện hành hoặc ngoài phạm vi khung giá quy định, Cục Điều tiết điện lực phải xem xét và báo cáo Thủ tướng Chính phủ quyết định (sau khi có ý kiến thẩm định của Bộ Tài chính).
Thông tư này có hiệu lực thi hành từ ngày 15/05/2014.
Xem chi tiết Thông tư 12/2014/TT-BCT có hiệu lực kể từ ngày 15/05/2014
Tải Thông tư 12/2014/TT-BCT
|
BỘ CÔNG THƯƠNG Số: 12/2014/TT-BCT |
CỘNG HÒA XÃ HỘI CHỦ NGHĨA VIỆT NAM Hà Nội, ngày 31 tháng 03 năm 2014 |
THÔNG TƯ
QUY ĐỊNH TÍNH TOÁN MỨC GIÁ BÁN LẺ ĐIỆN BÌNH QUÂN
Căn cứ Nghị định số 95/2012/NĐ-CP ngày 12 tháng 11 năm 2012 của Chính phủ quy định chức năng, nhiệm vụ, quyền hạn và cơ cấu tổ chức của Bộ Công Thương;
Căn cứ Luật Điện lực ngày 03 tháng 12 năm 2004; Luật sửa đổi, bổ sung một số điều của Luật Điện lực ngày 20 tháng 11 năm 2012;
Căn cứ Nghị định số 137/2013/NĐ-CP ngày 21 tháng 10 năm 2013 của Chính phủ quy định chi tiết thi hành một số điều của Luật Điện lực và Luật sửa đổi, bổ sung một số điều của Luật Điện lực;
Căn cứ Quyết định số 69/2013/QĐ-TTg ngày 19 tháng 11 năm 2013 của Thủ tướng Chính phủ quy định cơ chế điều chỉnh mức giá bán lẻ điện bình quân;
Theo đề nghị của Cục trưởng Cục Điều tiết điện lực,
Bộ trưởng Bộ Công Thương ban hành Thông tư quy định tính toán mức giá bán lẻ điện bình quân.
Chương I
QUY ĐỊNH CHUNG
Điều 1. Phạm vi và đối tượng áp dụng
1. Thông tư này quy định phương pháp lập, trình tự xây dựng và thẩm định mức giá bán lẻ điện bình quân theo quy định tại khoản 4 Điều 4 Quyết định số 69/2013/QĐ-TTg ngày 19 tháng 11 năm 2013 của Thủ tướng Chính phủ quy định về cơ chế điều chỉnh mức giá bán lẻ điện bình quân; giá bán điện của Tập đoàn Điện lực Việt Nam bán cho Tổng công ty Điện lực.
2. Thông tư này áp dụng đối với Tập đoàn Điện lực Việt Nam; Tổng công ty Điện lực; tổ chức, cá nhân tham gia hoạt động điện lực và sử dụng điện.
Điều 2. Giải thích từ ngữ
Trong Thông tư này các thuật ngữ dưới đây được hiểu như sau:
1. Mức giá bán lẻ điện bình quân là mức giá cụ thể trong phạm vi khung giá của mức giá bán lẻ điện bình quân do Thủ tướng Chính phủ quy định (sau đây được viết tắt là giá bán điện bình quân).
2. Lưới điện phân phối là phần lưới điện bao gồm các đường dây và trạm biến áp có cấp điện áp từ 35kV trở xuống, các đường dây và trạm biến áp có điện áp 110kV có chức năng phân phối.
3. Tổng sản lượng điện thương phẩm là tổng sản lượng điện của Tập đoàn Điện lực Việt Nam và các Tổng công ty Điện lực bán cho các khách hàng.
4. Tổng công ty Điện lực là thuật ngữ chung chỉ Tổng công ty Điện lực Miền Bắc, Tổng công ty Điện lực Miền Nam, Tổng công ty Điện lực Miền Trung, Tổng công ty Điện lực Hà Nội và Tổng công ty Điện lực Thành phố Hồ Chí Minh.
5. Tổng chi phí phân phối điện của Tổng công ty Điện lực là tổng chi phí hợp lý, hợp lệ cho các hoạt động phân phối - bán lẻ điện.
6. Năm N là năm áp dụng giá bán điện bình quân được tính toán trong năm N-1.
Chương II
PHƯƠNG PHÁP LẬP GIÁ BÁN ĐIỆN BÌNH QUÂN
Điều 3. Nguyên tắc lập giá bán điện bình quân
1. Giá bán điện bình quân được lập hàng năm trên cơ sở chi phí sản xuất, kinh doanh điện hợp lý, hợp lệ và lợi nhuận định mức của các khâu phát điện, truyền tải điện, phân phối - bán lẻ điện, điều hành - quản lý và dịch vụ phụ trợ để đảm bảo khả năng vận hành, cung ứng điện và đáp ứng nhu cầu đầu tư.
2. Giá bán điện bình quân được tính toán căn cứ kết quả kiểm tra, tính toán giá thành sản xuất, kinh doanh điện hàng năm, tình hình sản xuất kinh doanh điện, kế hoạch vận hành hệ thống điện được Bộ Công Thương phê duyệt hàng năm và các khoản chi phí sản xuất, kinh doanh điện chưa tính vào giá bán điện hiện hành được phép thu hồi (nếu có).
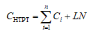
Giá bán điện bình quân (
) năm N được xác định theo công thức sau:

: Tổng chi phí phát điện năm N (đồng), được xác định theo phương pháp quy định tại Điều 5 Thông tư này;
: Tổng doanh thu cho phép khâu truyền tải điện năm N (đồng), được xác định theo phương pháp do Bộ Công Thương quy định tại Thông tư quy định phương pháp lập, trình tự, thủ tục xây dựng, ban hành và quản lý giá truyền tải điện;
: Tổng chi phí khâu phân phối - bán lẻ điện và lợi nhuận định mức năm N (đồng) được xác định theo quy định tại Chương III Thông tư này;
: Tổng chi phí điều hành - quản lý và dịch vụ phụ trợ hệ thống năm N (đồng), được xác định theo quy định tại Điều 6 Thông tư này;
Là thành phần giá được tính từ chi phí sản xuất kinh doanh điện chưa tính hết vào giá bán điện hiện hành, được xác định theo quy định của cơ quan có thẩm quyền (đ/kWh);
: Là mức trích lập Quỹ bình ổn giá điện (+) hoặc mức sử dụng Quỹ bình ổn giá bán điện (-) theo hướng dẫn của Liên Bộ Tài chính - Công Thương (đồng/kWh);
: Tổng sản lượng điện thương phẩm dự kiến cho năm N (kWh), xác định trên cơ sở kế hoạch cung cấp điện và vận hành hệ thống điện hàng năm, các chỉ tiêu kinh tế - kỹ thuật hàng năm.
Điều 5. Phương pháp lập tổng chi phí phát điện

: Tổng chi phí hợp lý, hợp lệ và lợi nhuận định mức năm N của các nhà máy điện hạch toán phụ thuộc Tập đoàn Điện lực Việt Nam (đồng), được xác định theo quy định tại khoản 2 Điều này;
: Tổng chi phí mua điện căn cứ vào hợp đồng mua bán điện từ các nhà máy điện độc lập có công suất trên 30MW và điện nhập khẩu năm N của Tập đoàn Điện lực Việt Nam (đồng), được xác định theo quy định tại khoản 3 Điều này;
: Tổng chi phí mua điện năm N từ các nhà máy điện nhỏ có công suất đặt từ 30MW trở xuống đấu nối vào lưới phân phối điện của các Tổng công ty điện lực (đồng), được xác định căn cứ vào giá hợp đồng mua bán điện và sản lượng điện dự kiến năm N của các đơn vị phát điện theo kế hoạch cung cấp điện và vận hành hệ thống điện hàng năm được Bộ Công Thương phê duyệt và chi phí phát điện từ các nhà máy thủy điện nhỏ tự sản xuất do các Tổng công ty Điện lực sở hữu.

: Tổng chi phí định mức hàng năm của nhà máy điện hạch toán phụ thuộc thứ i được xác định theo phương pháp do Bộ Công Thương quy định tại Thông tư quy định phương pháp lập, trình tự, thủ tục thẩm định và phê duyệt chi phí định mức hàng năm của nhà máy thủy điện chiến lược đa mục tiêu;
: Lợi nhuận định mức năm N của khối các nhà máy điện hạch toán phụ thuộc (đồng), được xác định trên cơ sở tỷ suất lợi nhuận trên vốn chủ sở hữu do cơ quan có thẩm quyền quy định.

: Chi phí mua điện (đồng) trong năm N từ các nhà máy điện có công suất trên 30MW, được xác định căn cứ vào giá hợp đồng mua bán điện và sản lượng điện dự kiến năm N;
: Chi phí nhập khẩu điện năm N (đồng) được xác định căn cứ vào giá hợp đồng mua bán điện với nước ngoài và sản lượng điện dự kiến nhập khẩu năm N.
Tổng chi phí điều hành - quản lý và dịch vụ phụ trợ hệ thống điện (
) năm N bao gồm các chi phí cho công tác điều hành hệ thống điện, vận hành thị trường điện và quản lý về hoạt động sản xuất kinh doanh điện, được xác định như sau:
1. Chi phí vật liệu, dịch vụ mua ngoài, chi phí bằng tiền khác: Được xác định căn cứ theo định mức của cơ quan, tổ chức có thẩm quyền ban hành; căn cứ số liệu được kiểm toán của năm N-2, ước thực hiện của năm N-1 và dự kiến kế hoạch năm N.
2. Chi phí tiền lương và các khoản trích nộp theo lương: được xác định theo quy định của pháp luật có liên quan.
3. Chi phí khấu hao tài sản cố định: Được xác định theo quy định về thời gian sử dụng và phương pháp trích khấu hao tài sản cố định quy định tại Thông tư số 45/2013/TT-BTC ngày 25 tháng 4 năm 2013 của Bộ Tài chính hướng dẫn chế độ quản lý, sử dụng và trích khấu hao tài sản cố định và các văn bản hướng dẫn thay thế, bổ sung sau này.
4. Chi phí sửa chữa lớn: Được xác định căn cứ tổng dự toán chi phí sửa chữa lớn cho các hạng mục đến hạn sửa chữa lớn kế hoạch trong năm N.
5. Chi phí tài chính gồm tổng chi phí lãi vay và các khoản phí để vay vốn, phải trả trong năm N và chênh lệch tỷ giá dự kiến thực hiện trong năm N.
6. Lợi nhuận định mức năm N của khâu điều hành - quản lý và dịch vụ phụ trợ hệ thống được xác định trên cơ sở tỷ suất lợi nhuận trên vốn chủ sở hữu của khâu điều hành - quản lý và dịch vụ phụ trợ hệ thống điện do cơ quan có thẩm quyền quy định.
Chương III
PHƯƠNG PHÁP LẬP TỔNG CHI PHÍ KHÂU PHÂN PHỐI - BÁN LẺ ĐIỆN
Tổng chi phí khâu phân phối - bán lẻ điện và lợi nhuận định mức (
) năm N được xác định theo công thức sau:

: Tổng chi phí phân phối - bán lẻ điện của Tổng công ty Điện lực i năm N, được xác định theo phương pháp quy định tại Điều 8 Thông tư này;
: Lợi nhuận định mức của Tổng công ty điện lực i năm N được xác định trên cơ sở tỷ suất lợi nhuận trên vốn chủ sở hữu do cơ quan có thẩm quyền quy định.

|
|
Tổng chi phí vật liệu năm N (đồng); |
|
|
Tổng chi phí tiền lương năm N (đồng); |
|
|
Tổng chi phí khấu hao tài sản cố định năm N (đồng); |
|
|
Tổng chi phí sửa chữa lớn năm N (đồng); |
|
|
Tổng chi phí dịch vụ mua ngoài năm N (đồng); |
|
|
Tổng chi phí bằng tiền khác năm N (đồng); |
|
|
Tổng chi phí tài chính năm N (đồng); |
|
|
Tổng chi phí phát triển khách hàng năm N (đồng); |
|
|
Chi phí phát điện diesel năm N (đồng). |
Điều 9. Nguyên tắc xác định các thành phần chi phí trong tổng chi phí phân phối - bán lẻ điện
1. Các thành phần chi phí trong tổng chi phí phân phối điện được xác định theo các nguyên tắc sau:
) năm N được xác định căn cứ theo định mức do cơ quan, tổ chức có thẩm quyền ban hành; căn cứ chi phí thực tế hợp lý, hợp lệ của năm N-2 đã được cơ quan nhà nước có thẩm quyền kiểm tra, công bố; chi phí ước thực hiện năm N-1; kế hoạch hoạt động năm N;b) Tổng chi phí tiền lương (
) năm N của Tổng công ty Điện lực i gồm tổng chi phí tiền lương và các chi phí có tính chất lương, được xác định theo các quy định của pháp luật có liên quan;
năm N được xác định theo quy định của pháp luật về thời gian sử dụng và phương pháp trích khấu hao tài sản cố định;
) năm N (không bao gồm phần vốn để nâng cấp tài sản cố định hữu hình được ghi tăng nguyên giá tài sản cố định) được xác định căn cứ định mức do cơ quan, tổ chức có thẩm quyền ban hành; chi phí thực tế hợp lý, hợp lệ của năm N-2 đã được cơ quan nhà nước có thẩm quyền kiểm tra, công bố; chi phí ước thực hiện năm N-1;
) năm N được xác định căn cứ theo định mức do cơ quan, tổ chức có thẩm quyền ban hành; chi phí thực tế hợp lý, hợp lệ của năm N-2 đã được cơ quan nhà nước có thẩm quyền kiểm tra, công bố; chi phí ước thực hiện năm N-1; kế hoạch hoạt động năm N;
) năm N được xác định căn cứ theo định mức do cơ quan, tổ chức có thẩm quyền ban hành; chi phí thực tế hợp lý, hợp lệ của năm N-2 đã được cơ quan nhà nước có thẩm quyền kiểm tra, công bố; chi phí ước thực hiện năm N-1; kế hoạch hoạt động năm N;
) năm N gồm các chi phí: Lãi vay và các khoản phí liên quan dự kiến phải trả trong năm N được xác định theo các hợp đồng tín dụng; chênh lệch tỷ giá dự kiến thực hiện trong năm N;
) năm N được xác định căn cứ theo định mức do cơ quan, tổ chức có thẩm quyền ban hành; chi phí thực tế hợp lý, hợp lệ của năm N-2 đã được cơ quan nhà nước có thẩm quyền kiểm tra, công bố; chi phí ước thực hiện năm N-1; kế hoạch hoạt động năm N;
) năm N là chi phí phát điện từ các tổ máy phát điện diesel do Tổng công ty Điện lực i sở hữu.2. Tổng công ty Điện lực có trách nhiệm báo cáo Tập đoàn Điện lực Việt Nam để trình Cục Điều tiết điện lực thẩm định, trình Bộ Công Thương phê duyệt trước khi thực hiện đối với các chương trình, dự án nâng cao hiệu quả quản lý, vận hành lưới phân phối điện, nâng cao chất lượng cung ứng điện, dịch vụ khách hàng mà có tác động làm tăng giá thành sản xuất kinh doanh điện khi có yêu cầu của Bộ Công Thương.
Chương IV
PHƯƠNG PHÁP LẬP GIÁ BÁN ĐIỆN CỦA TẬP ĐOÀN ĐIỆN LỰC VIỆT NAM
BÁN CHO TỔNG CÔNG TY ĐIỆN LỰC
Điều 10. Phương pháp xác định giá bán điện của Tập đoàn Điện lực Việt Nam bán cho Tổng công ty Điện lực i

: Giá bán điện của Tập đoàn Điện lực Việt Nam bán cho Tổng công ty Điện lực i (đồng/kWh);
: Tổng doanh thu bán điện dự kiến thu được trong năm N của Tổng công ty Điện lực thứ i (đồng), được xác định căn cứ sản lượng điện thương phẩm dự kiến năm N và biểu giá bán lẻ điện tính toán được duyệt cho năm N của từng nhóm khách hàng Tổng công ty Điện lực thứ i;
: Tổng chi phí phân phối điện của Tổng công ty Điện lực i trong năm N (đồng), được xác định theo quy định tại Chương III Thông tư này;
: Điện năng giao nhận giữa Tập đoàn Điện lực Việt Nam (Công ty mua bán điện) với Tổng công ty Điện lực i dự kiến cho năm N (kWh).
2. Tập đoàn Điện lực Việt Nam thanh toán chi phí mua điện từ các nhà máy điện nhỏ không thuộc Tập đoàn Điện lực Việt Nam có công suất từ 30 MW trở xuống cho Tổng công ty Điện lực theo đúng các quy định của pháp luật về tài chính, kế toán và thuế.
Điều 11. Nguyên tắc hiệu chỉnh giá bán điện của Tập đoàn Điện lực Việt Nam bán cho Tổng công ty Điện lực
1. Căn cứ phương pháp quy định tại Điều 10 Thông tư này, giá bán điện năm N của Tập đoàn Điện lực Việt Nam bán cho Tổng công ty Điện lực được tính toán hiệu chỉnh trong các trường hợp sau:
a) Khi có điều chỉnh mức giá bán lẻ điện bình quân;
b) Khi kết quả sản xuất kinh doanh trong năm N của Tập đoàn Điện lực Việt Nam hoặc Tổng công ty Điện lực biến động lớn. Việc hiệu chỉnh phải không muộn hơn ngày 01 tháng 11 của năm áp dụng giá bán điện.
2. Tập đoàn Điện lực Việt Nam xây dựng phương án giá bán điện của Tập đoàn Điện lực Việt Nam bán cho Tổng công ty Điện lực, báo cáo Cục Điều tiết điện lực xem xét để trình Bộ Công Thương chấp thuận trước khi điều chỉnh.
Chương V
TỔ CHỨC THỰC HIỆN
Điều 12. Trách nhiệm của Cục Điều tiết điện lực
1. Chủ trì, phối hợp với các cơ quan liên quan rà soát giá bán điện bình quân, trình Bộ Công Thương:
a) Xem xét, chấp thuận phương án điều chỉnh giá bán điện đối với trường hợp giá bán điện bình quân cần điều chỉnh tăng từ 7% đến dưới 10% so với giá bán điện bình quân hiện hành và trong khung giá quy định;
b) Xem xét, báo cáo Thủ tướng Chính phủ đối với trường hợp giá bán điện bình quân cần điều chỉnh tăng từ 10% trở lên so với giá bán điện bình quân hiện hành hoặc ngoài phạm vi khung giá quy định (sau khi có ý kiến thẩm định của Bộ Tài chính).
2. Hướng dẫn Tập đoàn Điện lực Việt Nam lập kế hoạch sản xuất điện và các chỉ tiêu kinh tế - kỹ thuật hàng năm; thẩm định, trình Bộ Công Thương phê duyệt kế hoạch sản xuất điện và các chỉ tiêu kinh tế - kỹ thuật hàng năm của Tập đoàn Điện lực Việt Nam.
3. Kiểm tra, giám sát theo thẩm quyền trách nhiệm của Tập đoàn Điện lực Việt Nam trong việc thực hiện điều chỉnh giá bán điện và công bố công khai thông tin điều chỉnh giá điện.
Điều 13. Trách nhiệm của Tập đoàn Điện lực Việt Nam
1. Trách nhiệm điều chỉnh giá điện, cụ thể như sau:
a) Điều chỉnh giá bán điện bình quân ở mức tương ứng sau khi có ý kiến chấp thuận của Bộ Công Thương đối với trường hợp giá bán điện bình quân cần điều chỉnh tăng từ 7% đến dưới 10% so với giá bán điện bình quân hiện hành và trong khung giá quy định.
b) Điều chỉnh giảm giá bán điện bình quân ở mức tương ứng và báo cáo Bộ Công Thương, Bộ Tài chính đối với trường hợp giá bán điện bình quân cần điều chỉnh giảm so với giá bán điện bình quân hiện hành và trong khung giá quy định.
2. Các trách nhiệm khác:
a) Trong năm N-1, tính toán phương án giá bán điện bình quân áp dụng cho năm N và giá bán điện của Tập đoàn Điện lực Việt Nam bán cho Tổng công ty Điện lực theo các phương pháp quy định tại Thông tư này sau khi có báo cáo quyết toán chi phí, giá thành sản xuất kinh doanh điện và báo cáo tài chính đã được kiểm toán của năm N-2;
b) Lập hồ sơ phương án giá bán điện bình quân áp dụng cho năm N gửi Bộ Công Thương và Bộ Tài chính trước ngày 01 tháng 11 năm N-1. Hồ sơ phương án điều chỉnh giá bán điện gồm: Công văn trình phương án giá bán điện của Tập đoàn Điện lực Việt Nam; Báo cáo giải trình phương án giá bán điện bình quân theo quy định tại Phụ lục ban hành kèm theo Thông tư này; Báo cáo tài chính đã được kiểm toán năm N-2 và các số liệu, tài liệu giải trình có liên quan;
c) Lập kế hoạch sản xuất điện và các chỉ tiêu kinh tế - kỹ thuật hàng năm trình cấp có thẩm quyền thẩm định, phê duyệt;
d) Xây dựng phương pháp xác định sản lượng điện giao nhận giữa Tập đoàn Điện lực Việt Nam với các Tổng công ty Điện lực, trình Cục Điều tiết điện lực thông qua;
đ) Lập và duy trì hệ thống sổ sách theo dõi các khoản mục chi phí thực hiện hàng năm của các đơn vị điện lực để phục vụ công tác tính toán phương án giá điện;
e) Công bố công khai việc điều chỉnh giá bán điện bình quân và lý do điều chỉnh;
g) Chỉ đạo Tổng công ty Điện lực lập phương án tổng chi phí phân phối điện theo phương pháp quy định tại Chương III Thông tư này; cung cấp các số liệu, tài liệu cần thiết làm cơ sở tính toán, rà soát giá bán điện bình quân hàng năm, giá bán điện của Tập đoàn Điện lực Việt Nam bán cho Tổng công ty Điện lực, tổng chi phí phân phối điện của các Tổng công ty Điện lực theo quy định tại Thông tư này; lập và duy trì hệ thống sổ sách theo dõi các khoản mục chi phí thực hiện cho hoạt động phân phối - bán lẻ điện phục vụ công tác tính toán tổng chi phí phân phối điện;
h) Chỉ đạo Tổng công ty Điện lực báo cáo để xem xét, trình Cục Điều tiết điện lực thẩm định, trình Bộ Công Thương phê duyệt khi có yêu cầu đối với các chương trình nâng cao hiệu quả quản lý, vận hành lưới phân phối điện, nâng cao chất lượng cung ứng điện, dịch vụ khách hàng mà có tác động làm tăng giá thành sản xuất kinh doanh điện trước khi thực hiện.
Điều 14. Hiệu lực thi hành
1. Thông tư này có hiệu lực thi hành từ ngày 15 tháng 5 năm 2014.
2. Trong quá trình thực hiện nếu có vướng mắc, các cơ quan, tổ chức, cá nhân phản ánh kịp thời về Bộ Công Thương để xem xét, giải quyết./.
|
Nơi nhận: |
KT. BỘ TRƯỞNG |
PHỤ LỤC
NỘI DUNG BÁO CÁO GIẢI TRÌNH PHƯƠNG ÁN GIÁ BÁN ĐIỆN BÌNH QUÂN
CỦA TẬP ĐOÀN ĐIỆN LỰC VIỆT NAM
(Ban hành kèm theo Thông tư số 12 /2014/TT-BCT ngày 31 tháng 3 năm 2014
của Bộ trưởng Bộ Công Thương quy định tính toán mức giá bán lẻ điện bình quân)
1. Báo cáo giải trình phương án giá bán điện bình quân hàng năm của Tập đoàn Điện lực Việt Nam bao gồm các nội dung sau:
a) Phân tích, đánh giá tình hình thực hiện sản xuất kinh doanh điện các khâu năm N-2 và số liệu ước thực hiện năm N-1.
b) Tính toán, giải trình giá bán điện bình quân năm N, gồm: tổng chi phí sản xuất kinh doanh điện dự kiến năm N được xác định theo phương pháp quy định tại Thông tư này; tổng điện năng sản xuất và điện năng bán lên hệ thống điện theo từng tháng của từng nhà máy điện dự kiến trong năm N; sản lượng điện năng thương phẩm dự kiến từng tháng trong năm N của từng Tổng công ty Điện lực; tỷ lệ tổn thất điện năng của các khâu truyền tải, phân phối - bán lẻ điện.
c) Các thông số đầu vào được sử dụng khi xác định giá bán điện bình quân năm N bao gồm:
- Tỷ giá ngoại tệ được xác định căn cứ vào tỷ giá ngoại tệ bình quân theo ngày của các tháng kể từ ngày điều chỉnh giá điện gần nhất đến thời điểm lập báo cáo phương án giá điện;
- Giá các loại nhiên liệu cho phát điện năm N: Đối với các loại nhiên liệu có giá được điều chỉnh theo giá thị trường, giá nhiên liệu cho phát điện được xác định bằng giá trị trung bình theo ngày kể từ ngày điều chỉnh giá điện gần nhất đến thời điểm lập báo cáo phương án giá điện. Trường hợp giá các loại nhiên liệu cho phát điện đã được cơ quan nhà nước có thẩm quyền quy định, lấy theo mức giá đã được quy định.
- Giá mua bán điện của từng nhà máy điện được xác định căn cứ vào giá hợp đồng mua bán điện hiện có;
- Thuyết minh, phân tích các định mức chi phí và các đơn giá được sử dụng trong tính toán chi phí dự kiến năm N của các khâu;
d) Thuyết minh các chi phí sản xuất kinh doanh điện chưa tính vào giá bán điện đã được phân bổ và số dư còn lại dự kiến phân bổ vào giá bán điện năm N.
đ) Biểu giá bán điện dự kiến áp dụng trong năm N cho các nhóm khách hàng sử dụng điện, phân tích tác động của mức giá điện mới đến từng nhóm khách hàng sử dụng điện.
2. Báo cáo giải trình phương án tính toán tổng chi phí phân phối điện của các Tổng công ty Điện lực bao gồm các nội dung sau:
- Phân tích, đánh giá tình hình sản xuất, kinh doanh của các Tổng công ty Điện lực, tình hình thực hiện các chỉ tiêu về sản lượng điện thương phẩm, giá bán điện thực hiện bình quân, tỷ lệ tổn thất điện năng, số lượng khách hàng; việc thực hiện các khoản mục chi phí của năm N-2, thực hiện đến đến ngày 30 tháng 9 của năm N-1 và ước thực hiện đến hết năm N-1;
- Tổng tài sản phục vụ cho sản xuất kinh doanh điện đến ngày 31 tháng 12 năm N-2, thực hiện đến đến ngày 30 tháng 9 của năm N-1 và ước tính đến 31 tháng 12 năm N-1; dự kiến cho năm N;
- Thuyết minh và tính toán tổng chi phí đầu tư mới tài sản cố định phục vụ hoạt động phân phối - bán lẻ điện các năm trong kỳ tính giá, dự kiến giá trị trích khấu hao của tài sản đầu tư mới cho năm N;
- Thuyết minh và tính toán sản lượng điện thương phẩm, số lượng khách hàng dự kiến các năm trong kỳ tính giá;
- Thuyết minh và tính toán tổng chi phí vận hành và bảo dưỡng cho năm N (
) của các Tổng công ty Điện lực, gồm: chi phí vật liệu; chi phí tiền lương và các chi phí có tính chất lương; chi phí sửa chữa lớn; chi phí phát triển khách hàng; chi phí dịch vụ mua ngoài; chi phí bằng tiền khác;
- Thuyết minh và tính toán chi phí khấu hao, chi phí lãi vay, chênh lệch tỷ giá thực hiện năm N-2, thực hiện đến đến ngày 30 tháng 9 của năm N-1 và ước tính đến 31 tháng 12 năm N-1; dự kiến cho năm N;
- Danh mục các dự án đầu tư sẽ hoàn thành và đưa vào vận hành năm N-1, dự kiến thực hiện năm N;
- Thống kê hạng mục và giá trị tài sản cố định tăng thêm và giảm đi ước tính đến hết năm N-1 và kế hoạch năm N theo từng tháng;
- Bảng tổng hợp các biến động về số lao động thường xuyên và chính thức trong bảng lương của Tổng công ty Điện lực và các đơn vị ước tính đến hết năm N-1 và kế hoạch năm N;
- Tổng hợp vật tư dự phòng hiện có và dự kiến bổ sung ước tính đến hết năm N-1 và năm N;
- Danh mục các hạng mục công trình sửa chữa lớn năm N-1 và dự kiến cho năm N;
- Danh mục các khoản vay dài hạn tính đến 31 tháng 12 năm N-2;
- Báo cáo tài chính được kiểm toán năm N-2: bảng cân đối kế toán, báo cáo kết quả sản xuất kinh doanh, báo cáo lưu chuyển tiền tệ, báo cáo thuyết minh; bản sao Báo cáo tài chính quản trị của các Tổng công ty Điện lực;
- Các bảng biểu theo hướng dẫn của Cục Điều tiết điện lực.
3. Thuyết minh và tính toán giá bán điện của Tập đoàn Điện lực Việt Nam bán cho các Tổng công ty Điện lực bao gồm các nội dung sau:
- Phân tích, đánh giá tình hình thực hiện các chỉ tiêu sản lượng điện giao nhận, sản lượng điện thương phẩm, tỷ lệ tổn thất điện năng của khâu phân phối, doanh thu năm N-2 và ước thực hiện năm N-1 của các Tổng công ty Điện lực;
- Thuyết minh và tính toán sản lượng điện giao nhận, điện thương phẩm, tỷ lệ tổn thất điện năng của khâu phân phối dự kiến cho năm N của các Tổng công ty Điện lực;
- Thuyết minh và tính toán doanh thu bán điện dự kiến năm N của các Tổng công ty Điện lực; giá bán điện bình quân dự kiến sử dụng để tính toán doanh thu bán điện dự kiến năm N;
- Thuyết minh và tính toán tổng chi phí phân phối điện của các Tổng công ty Điện lực năm N-1 và năm N;
- Phân tích, đánh giá tình hình thực hiện các lần điều chỉnh giá bán điện của Tập đoàn Điện lực Việt Nam bán cho các Tổng công ty Điện lực trong năm N-1;
- Số liệu tính toán và mức chênh lệch giá bán điện của Tập đoàn Điện lực Việt Nam bán cho các Tổng công ty Điện lực giữa thực hiện với kế hoạch của năm N-1.
Bạn chưa Đăng nhập thành viên.
Đây là tiện ích dành cho tài khoản thành viên. Vui lòng Đăng nhập để xem chi tiết. Nếu chưa có tài khoản, vui lòng Đăng ký tại đây!
Bạn chưa Đăng nhập thành viên.
Đây là tiện ích dành cho tài khoản thành viên. Vui lòng Đăng nhập để xem chi tiết. Nếu chưa có tài khoản, vui lòng Đăng ký tại đây!








