- Tổng quan
- Nội dung
- Tiêu chuẩn liên quan
- Lược đồ
- Tải về
Tiêu chuẩn TCVN 9794:2025 Khí thiên nhiên - Phân tích bằng sắc ký khí (GC)
| Số hiệu: | TCVN 9794:2025 | Loại văn bản: | Tiêu chuẩn Việt Nam |
| Cơ quan ban hành: | Bộ Khoa học và Công nghệ | Lĩnh vực: | Tài nguyên-Môi trường , Công nghiệp |
| Trích yếu: | ASTM D1945-14 Khí thiên nhiên - Phương pháp phân tích bằng sắc ký khí (GC) | ||
|
Ngày ban hành:
Ngày ban hành là ngày, tháng, năm văn bản được thông qua hoặc ký ban hành.
|
14/07/2025 |
Hiệu lực:
|
Đã biết
|
| Người ký: | Đang cập nhật |
Tình trạng hiệu lực:
Cho biết trạng thái hiệu lực của văn bản đang tra cứu: Chưa áp dụng, Còn hiệu lực, Hết hiệu lực, Hết hiệu lực 1 phần; Đã sửa đổi, Đính chính hay Không còn phù hợp,...
|
Đã biết
|
TÓM TẮT TIÊU CHUẨN VIỆT NAM TCVN 9794:2025
Tiêu chuẩn quốc gia TCVN 9794:2025: Phương pháp phân tích khí thiên nhiên bằng sắc ký khí
Tiêu chuẩn quốc gia TCVN 9794:2025, được ban hành ngày 14/07/2025 và có hiệu lực từ ngày 01/01/2026, thay thế cho tiêu chuẩn TCVN 9794:2013. TCVN này hoàn toàn tương đương với tiêu chuẩn ASTM D1945-14 (được phê duyệt lại năm 2019), quy định phương pháp phân tích thành phần hóa học của khí thiên nhiên bằng phương pháp sắc ký khí (GC).
Tiêu chuẩn xác định các thành phần hóa học của khí thiên nhiên cũng như các hỗn hợp khí tương tự. Bảng 1 của tiêu chuẩn chỉ rõ các cấu tử chính trong khí thiên nhiên, bao gồm heli, hydro, oxy, nitơ, cacbon dioxit, metan, etan, propane, isobutan, n-Butan, n-pentan, hexan và heptan, với tỷ lệ mol cho từng cấu tử dao động từ 0,01% đến 100%.
TCVN 9794:2025 cũng liệt kê một số tài liệu viện dẫn cần thiết cho việc áp dụng tiêu chuẩn, trong đó có ASTM D2597 và ASTM E260. Các quy trình sử dụng sẽ được thực hiện qua nhiều bước, từ tính toán đến xử lý mẫu và triển khai thiết bị.
Phương pháp được mô tả cung cấp một cách tiếp cận hệ thống để phân tích chất lượng khí, nhằm cung cấp dữ liệu cho việc tính toán các tính chất vật lý như nhiệt trị và khối lượng riêng của mẫu khí. Bên cạnh đó, tiêu chuẩn này cũng quy định về thiết bị và các dụng cụ cần thiết để đảm bảo độ chính xác của việc phân tích khí.
Tiêu chuẩn đặc biệt nhấn mạnh đến việc sử dụng các thiết bị chuẩn hỗ trợ phân tích. Hệ thống nạp mẫu, cột sắc ký, bộ điều nhiệt, và phương pháp kiểm soát khí mang là những yếu tố quan trọng ảnh hưởng đến độ chính xác và độ tin cậy của kết quả phân tích.
Để đảm bảo những yêu cầu kỹ thuật nhất định, việc sử dụng các nguyên liệu không hấp thụ và bảo trì tại các điều kiện nhiệt độ ổn định là bắt buộc. Thao tác chuẩn bị mẫu cũng rất quan trọng, trong đó yêu cầu mẫu phải được giữ trong khoảng nhiệt độ thích hợp nhằm tối ưu hóa kết quả phân tích.
Một yếu tố nữa trong tiêu chuẩn là việc tính toán và đánh giá độ chụm của kết quả thử nghiệm. Kết quả này sẽ đảm bảo rằng độ lặp lại và độ tái lặp giữa các thí nghiệm khác nhau không vượt quá các giá trị tối đa được chỉ định, nhằm đảm bảo tính chính xác và độ tin cậy trong quá trình phân tích.
TCVN 9794:2025 là một bước tiến quan trọng trong việc thống nhất phương pháp phân tích khí thiên nhiên tại Việt Nam, từ đó tạo ra một chuẩn mực và cơ sở để quản lý chất lượng khí, đáp ứng nhu cầu phát triển bền vững trong ngành năng lượng.
Tải tiêu chuẩn Việt Nam TCVN 9794:2025
TIÊU CHUẨN QUỐC GIA
TCVN 9794:2025
ASTM D1945-14
KHÍ THIÊN NHIÊN - PHƯƠNG PHÁP PHÂN TÍCH BẰNG SẮC KÝ KHÍ (GC)
Standard test method for analysis of natural gas by gas chromatography
Lời nói đầu
TCVN 9794:2025 thay thế cho TCVN 9794:2013.
TCVN 9794:2025 được xây dựng trên cơ sở chấp nhận hoàn toàn tương đương với ASTM D1945-14 (Reapproved 2019) Standard Test Method for Analysis of Natural Gas by Gas Chromatography, đã được ASTM rà soát và phê duyệt lại năm 2019, với sự cho phép của ASTM quốc tế, 100 Barr Harbor Drive, West Conshohocken, PA 19428, USA. Tiêu chuẩn ASTM D1945-14 (Reapproved 2019) thuộc bản quyền ASTM quốc tế.
TCVN 9794:2025 do Ban kỹ thuật tiêu chuẩn quốc gia TCVN/TC 193 Sản phẩm khí biên soạn, Viện Tiêu chuẩn Chất lượng Việt Nam đề nghị, Ủy ban Tiêu chuẩn Đo lường Chất lượng Quốc gia thẩm định, Bộ Khoa học và Công nghệ công bố.
Lời giới thiệu
TCVN 9794:2025 được xây dựng trên cơ sở chấp nhận hoàn toàn tương đương với ASTM D1945-14, có những thay đổi về biên tập cho phép như sau:
| ASTM D1945-14 | TCVN 9794:2025 |
| Phụ lục X1 (Tham khảo) | Phụ lục B (Tham khảo) |
| X1.1 | B.1 |
| X1.2 | B.2 |
| X1.3 | B.3 |
| Phụ lục X2 (Tham khảo) | Phụ lục C (Tham khảo) |
| Bảng X2.1 | Bảng C.1 |
| Phụ lục X3 (Tham khảo) | Phụ lục D (Tham khảo) |
| X3.1 | D.1 |
| X3.2 | D.2 |
| X3.3 | D.3 |
| X3.4 | D.4 |
| X3.5 | D.5 |
| X3.6 | D.6 |
| X3.7 | D.7 |
| X3.8 | D.8 |
KHÍ THIÊN NHIÊN - PHƯƠNG PHÁP PHÂN TÍCH BẰNG SẮC KÝ KHÍ (GC)
Standard test method for analysis of natural gas by gas chromatography
1 Phạm vi áp dụng
1.1 Tiêu chuẩn này quy định phương pháp xác định thành phần hóa học của khí thiên nhiên và các hỗn hợp khí tương tự nằm trong dải thành phần như nêu tại Bảng 1. Phương pháp này có thể rút gọn để phân tích các khí thiên nhiên nghèo (còn gọi là khí tự nhiên gầy) chứa một lượng không đáng kể các hexan và đồng phân cùng các hydrocacbon nặng hơn, hoặc để xác định một hoặc nhiều cấu tử theo yêu cầu.
1.2 Các giá trị tính theo đơn vị SI là giá trị tiêu chuẩn. Các giá trị ghi trong ngoặc chỉ dùng để tham khảo.
1.3 Tiêu chuẩn này không đề cập đến tất cả các vấn đề an toàn liên quan đến việc sử dụng. Người sử dụng tiêu chuẩn này có trách nhiệm thiết lập các nguyên tắc an toàn, bảo vệ sức khoẻ và khả năng áp dụng phù hợp với các giới hạn quy định trước khi đưa vào sử dụng.
Bảng 1 - Các cấu tử của khí thiên nhiên và phạm vi dải thành phần
| Cấu tử | % Mol |
| Heli | 0,01 đến 10 |
| Hydro | 0,01 đến 10 |
| Oxy | 0,01 đến 20 |
| Nitơ | 0,01 đến 100 |
| Cacbon dioxit | 0,01 đến 20 |
| Metan | 0,01 đến 100 |
| Etan | 0,01 đến 100 |
| Hydro sulfua | 0,3 đến 30 |
| Propan | 0,01 đến 100 |
| Isobutan | 0,01 đến 10 |
| n-Butan | 0,01 đến 10 |
| Neopentan | 0,01 đến 2 |
| Isopentan | 0,01 đến 2 |
| n-Pentan | 0,01 đến 2 |
| Các đồng phân của hexan | 0,01 đến 2 |
| Heptan + | 0,01 đến 1 |
2 Tài liệu viện dẫn
Các tài liệu viện dẫn sau đây là cần thiết để áp dụng tiêu chuẩn này. Đối với các tài liệu viện dẫn ghi năm công bố thì áp dụng phiên bản được nêu. Đối với các tài liệu viện dẫn không ghi năm công bố thì áp dụng phiên bản mới nhất, bao gồm cả các sửa đổi, bổ sung (nếu có).
ASTM D2597 Test method for analysis of demethanized hydrocarbon liquid mixtures containing nitrogen and carbon dioxide by gas chromatography (Phương pháp phân tích các hỗn hợp hydrocacbon lỏng đã loại metan có chứa nitơ và cacbon dioxit bằng sắc ký khí).
ASTM E260 Practice for packed column gas chromatography (Thực hành sắc ký khí cột nhồi).
3 Tóm tắt phương pháp
Các cấu tử trong mẫu đại diện được phân tách vật lý bằng sắc ký khí (GC) và được so sánh với các dữ liệu hiệu chuẩn thu được từ hỗn hợp chuẩn quy chiếu có thành phần đã biết trong cùng một điều kiện vận hành. Có thể nhóm các cẩu tử nặng cuối mẫu thành các pic không đều bằng cách đảo chiều dòng khí mang qua cột, đồng thời nhóm các cấu tử nặng cuối mẫu như C5+, C6+ hoặc C7+. Thành phần của mẫu được tính bằng cách so sánh các chiều cao của pic hoặc diện tích pic, hoặc cả hai với các giá trị tương ứng nhận được từ chất chuẩn quy chiếu.
4 Ý nghĩa và ứng dụng
Phương pháp này có ý nghĩa cho việc cung cấp dữ liệu để tính toán các tính chất vật lý của mẫu như nhiệt trị và tỷ khối, hoặc theo dõi nồng độ của một hoặc nhiều cấu tử trong hỗn hợp.
5 Thiết bị, dụng cụ
5.1 Detector - Detector là kiểu dẫn nhiệt hoặc tương đương về độ nhạy và độ ổn định. Detector dẫn nhiệt phải là loại đủ nhạy để tạo ra tín hiệu bằng ít nhất là 0,5 mV cho 1 % mol n-butan trong 0,25 mL mẫu.
5.2 Thiết bị ghi - Máy ghi biểu đồ dài hoặc tích phân điện tử, hoặc cả hai, được sử dụng để hiển thị các cấu tử được tách. Mặc dù không yêu cầu máy ghi biểu đồ khi sử dụng máy tích phân điện tử, nhưng máy ghi biểu đồ rất cần thiết để đánh giá hiệu suất của thiết bị.
5.2.1 Máy ghi là loại ghi băng biểu đồ có thang đo toàn dải là 5 mV hoặc nhỏ hơn (thường dùng nhất là loại 1 mV). Chiều rộng của băng biểu đồ không nhỏ hơn 150 mm. Yêu cầu thời gian phản hồi của bút ghi tối đa là 2 s (1 s là thường dùng nhất) và tốc độ tối thiểu của băng là 10 mm/min. Có thể sử dụng tốc độ cao hơn, lên đến 100 mm/min, nếu diễn giải sắc ký đồ bằng phương pháp thủ công để thu diện tích pic.
5.2.2 Bộ tích phân điện tử hoặc máy tính - Được chứng nhận có khả năng phân tách và có tín hiệu hiển thị tương đương hoặc tốt hơn khả năng phân tách tín hiệu cho một máy ghi biểu đồ. Khuyến cáo theo dõi đường nền với phát hiện pic tiếp tuyến.
5.3 Bộ suy giảm tín hiệu (attenuator)- Nếu sắc ký đồ được diễn giải bằng các phương pháp thủ công thì phải sử dụng bộ suy giảm tín hiệu cùng detector tín hiệu đầu ra để duy trì các pic lớn nhất trong phạm vi dải biểu đồ máy ghi. Bộ suy giảm tín hiệu phải chính xác trong khoảng 0,5 % giữa các bước dải đo của bộ suy giảm tín hiệu.
5.4 Hệ thống nạp mẫu
5.4.1 Hệ thống nạp mẫu phải được chế tạo từ vật liệu trơ và không hấp thụ đối với các cấu tử trong mẫu. Vật liệu ưu tiên là thép không gỉ. Không được sử dụng đồng, đồng thau và các hợp kim chứa đồng. Hệ thống nạp mẫu từ van của bình chứa mẫu đến đầu vào cột sắc ký khí phải được duy trì ở nhiệt độ không đổi, dao động ± 1 °C.
5.4.2 Cần có biện pháp dẫn khí mang vào đầu cột phân tích mẫu khí đã được giữ trong vòng mẫu hoặc đoạn ống. Vòng nạp mẫu hoặc đoạn ống phải được chế tạo sao cho tổng thể tích, bao gồm cả thể tích chết, không vượt quá 0,5 mL ở 100 kPa. Nếu cần tăng độ chính xác của hexan và các đồng phân, các phần nặng của mẫu cần phân tích thì có thể sử dụng lượng mẫu lớn hơn (xem ASTM D2597). Thể tích mẫu phải được tái lập sao cho các phân tích thực hiện liên tiếp phải đạt tái lập trong khoảng 1 % đối với từng cấu tử. Hệ thống nạp mẫu dòng liên tục được chấp nhận nếu đã tính đến ảnh hưởng của độ nhớt.
CHÚ THÍCH 1: Giới hạn lượng mẫu bằng 0,5 mL hoặc nhỏ hơn được lựa chọn liên quan đến độ tuyến tính của tín hiệu detector và hiệu suất của cột tách. Có thể sử dụng các lượng mẫu lớn hơn để xác định các cấu tử hàm lượng thấp để tăng độ chính xác của phép đo.
5.4.3 Khuyến nghị một hệ thống nạp mẫu bằng chân không được nêu tại Hình 1.

Hình 1 - Sơ đồ hệ thống ống nạp mẫu bằng chân không
5.5 Kiểm soát nhiệt độ cột
5.5.1 Đẳng nhiệt - Khi áp dụng chế độ vận hành đẳng nhiệt, duy trì cột phân tích tại nhiệt độ không thay đổi quá 0,3 °C trong suốt quá trình chạy mẫu và chạy mẫu chuẩn tương ứng.
5.5.2 Lập chương trình nhiệt độ - Có thể sử dụng lập trình nhiệt độ nếu khả thi. Nhiệt độ lò không được vượt quá giới hạn nhiệt độ đã khuyến cáo đối với các vật liệu trong cột.
5.6 Kiểm soát nhiệt độ detector - Duy trì nhiệt độ detector tại nhiệt độ không đổi, dao động không quá 0,3 °C 0,3 °C trong suốt quá trình chạy mẫu và chạy mẫu chuẩn tương ứng. Nhiệt độ detector sẽ bằng hoặc lớn hơn nhiệt độ lớn nhất của cột.
5.7 Kiểm soát khí mang - Thiết bị được trang bị các phương tiện phù hợp để tạo dòng khí mang qua cột phân tích và detector với tốc độ dòng không thay đổi quá 1 % trong suốt quá trình phân tích mẫu và mẫu chuẩn quy chiếu. Độ tinh khiết của khí mang có thể được cải thiện bằng cách cho dòng khí mang qua các bộ lọc chọn lọc trước khi cho qua sắc ký khí.
5.8 Cột
5.8.1 Cột được chế tạo bằng các vật liệu trơ, và không hấp phụ với các cấu tử có trong mẫu. Vật liệu phù hợp để chế tạo cột là thép không gỉ. Không chấp nhận sử dụng đồng, đồng thau, và các hợp kim có chứa đồng.
5.8.2 Có thể sử dụng cột hấp phụ và cột tách để thực hiện phép phân tích.
CHÚ THÍCH 2: Xem ASTM E260.
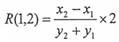
5.8.2.1 Cột hấp phụ - Cột này phải phân tách hoàn toàn oxy, nitơ và metan. Nên sử dụng cột hấp phụ rây phân tử loại 13X, 80-100 mesh nếu muốn bơm trực tiếp. Có thể dùng cột zeolit 5A nếu trước nó có thêm cột để loại bỏ các hydrocacbon gây ảnh hưởng. Nếu máy ghi được sử dụng thì bút ghi phải được quay trở lại đường nền giữa mỗi pic liên tiếp. Độ phân giải (R) phải lớn hơn hoặc bằng 1,5 tính theo công thức sau:
|
| (1) |
Trong đó x1,x2 là thời gian lưu và y1,y2 là chiều rộng pic. Hình 2 mô phỏng tính toán độ phân giải.
Hình 3 là sắc ký đồ nhận được trên cột hấp phụ.

Hình 2 - Tính toán độ phân giải

Hình 3 - Cột tách oxy, nitơ, và metan (xem Phụ lục A.2)
5.8.2.2 Cột tách - Cột này phải phân tách etan ra khỏi pentan và cacbon dioxit. Nếu sử dụng máy ghi thì bút ghi phải quay trở về đường nền giữa mỗi pic của propan và các pic kế tiếp và phải quay về đường nền trong phạm vi 2 % so với độ lệch toàn thang đo đối với các cấu tử rửa giải trước propan, với các phép đo đang thực hiện ở chế độ suy giảm của pic. Sự phân tách cacbon dioxit phải đảm bảo đủ sao cho 0,25 mL mẫu có chứa 0,1 % mol cacbon dioxit sẽ tạo ra tín hiệu có thể đo được rõ ràng. Độ phân giải (R) tính theo phương trình trên phải bằng hoặc lớn hơn 1,5. Thời gian phân tích nên kết thúc trong vòng 40 min bao gồm cả quá trình chạy đảo dòng để tách nhóm hexan và đồng phân, các cấu tử nặng hơn sau khi đã tách được n-pentan. Hình 4 đến Hình 6 là các ví dụ sắc ký đồ nhận được đối với một số cột tách phù hợp.

Hình 4 - Sắc ký đồ của khí thiên nhiên (Cột BMEE) (Xem Phụ lục A.2)

Hình 5 - Sắc ký đồ của khí thiên nhiên (Cột Silicon 200/500) (Xem Phụ lục A.2)

Hình 6 - Sắc ký đồ của khí thiên nhiên (Xem Phụ lục A.2)
5.8.3 Quy định chung - Có thể sử dụng các vật liệu nhồi cột khác nhau có khả năng phân tách đạt yêu cầu đối với các cấu tử đang xét (xem Hình 7). Trong hệ đa cột thường sử dụng sự đảo ngược dòng khí mang đối với các cấu tử nặng.
CHÚ THÍCH 3: Sắc ký đồ trên từ Hình 3 đến Hình 8 chỉ là hình ảnh mô phỏng các phân tách điển hình. Các điều kiện vận hành bao gồm các cột cũng là điển hình và được tối ưu hóa do kỹ thuật viên có năng lực.
5.9 Thiết bị làm khô - Trừ khi biết chắc chắn rằng nước không ảnh hưởng đến sự phân tích, thiết bị làm khô phải được lắp đặt trong hệ thống nạp mẫu phía trước van để tách nước mà không lấy đi những cấu tử cần phân tích
CHÚ THÍCH 4: Xem A.2.2 về qui trình chuẩn bị thiết bị làm khô phù hợp.
5.10 Van - Van hoặc các bộ chia tách mẫu hoặc cả hai là các bộ phận cần có để đóng ngắt, rửa giải ngược hoặc để dùng khi thực hiện các phép phân tích đồng thời.
5.11 Áp kế chân không - Có thể sử dụng loại áp kế chân không bất kỳ có độ phân giải 0,14 kPa hoặc tốt hơn và dải bao trùm từ 0 kPa đến 120 kPa hoặc rộng hơn.
5.12 Bơm chân không - Bơm phải có công suất để tạo chân không tuyệt đối nhỏ hơn hoặc bằng 0,14 kPa.

Hình 7 - Sắc ký đồ của khí thiên nhiên (Áp dụng đa cột) (Xem Phụ lục A.2)

Hình 8 - Tách heli và hydro
8 Chuẩn bị thiết bị, dụng cụ
6.1 Kiểm tra độ tuyến tính - Để thiết lập độ tuyến tính của tín hiệu đối với detector dẫn nhiệt, cần thực hiện đầy đủ quy trình sau đây:
6.1.1 Cấu tử chính đang xét (đối với khí thiên nhiên, cấu tử chính là metan) được nạp vào máy sắc ký qua vòng nạp mẫu có kích cỡ cố định, có bước tăng áp suất riêng phần là 13 kPa từ 13 kPa đến 100 kPa hoặc áp suất khí quyển.
6.1.2 Các tín hiệu dạng pic tích phân là diện tích được sinh ra tại mỗi lượng gia tăng áp suất được vẽ thành đồ thị theo áp suất riêng phần tương ứng (xem Hình 9).

Hình 9 - Tín hiệu tuyến tính của detector
6.1.3 Các kết quả biểu diễn trên đồ thị sẽ tạo thành đường thẳng. Sử dụng các giá trị logarit tín hiệu tuyến tính tốt sẽ hiển thị một đường thẳng tại góc 45 °.
6.1.4 Đường cong bất kỳ nào cũng là dấu hiệu cho thấy vòng nạp mẫu có thể tích cố định là quá lớn. Cần thay thế vòng nạp mẫu có thể tích cố định bằng vòng nạp mẫu khác có thể tích nhỏ hơn và sau đó lặp lại các bước từ 6.1.1 đến 6.1.4 (xem Hình 9).
6.1.5 Độ tuyến tính trên toàn dải đang xét phải được biết rõ đối với từng cấu tử. Sẽ rất hữu ích nếu lập thành bảng ghi lại sự biến thiên hệ số tín hiệu khi thay đổi nồng độ. (Xem Bảng 2 và Bảng 3).
Bảng 2 - Đánh giá độ tuyến tính của metan
| Độ trôi S/B = (% mol thấp - % mol cao)/% mol thấp x 100 | |||
| Diện tích B | % mol S | S/B % mol/diện tích | Độ trôi S/B., % đối với giá trị thấp |
| 223 119 392 | 51 | 2,2858e-07 |
|
| 242 610 272 | 56 | 2,3082e-07 | -0,98 |
| 261 785 320 | 61 | 2,3302e-07 | -0,95 |
| 280 494 912 | 66 | 2,3530e-07 | -0,98 |
| 299 145 504 | 71 | 2,3734e-07 | -0,87 |
| 317 987 328 | 76 | 2,3900e-07 | -0,70 |
| 336 489 056 | 81 | 2,4072e-07 | -0,72 |
| 351 120 721 | 85 | 2,4208e-07 | -0,57 |
Bảng 3 - Đánh giá độ tuyến tính của nitơ
| Độ trôi S/B = (% mol thấp - % mol cao)/% mol thấp x 100 | |||
| Diện tích B | % mol S | S/B % mol/diện tích | Độ trôi S/B, % đối với giá trị thấp |
| 5 879 836 | 1 | 1,7007e-07 |
|
| 29 137 066 | 5 | 1,7160e-07 | -0,89 |
| 57 452 364 | 10 | 1,7046e-07 | -1,43 |
| 84 953 192 | 15 | 1,7657e-07 | -1,44 |
| 111 491 232 | 20 | 1,7939e-07 | -1,60 |
| 137 268 784 | 25 | 1,8212e-07 | -1,53 |
| 162 852 288 | 30 | 1,8422e-07 | -1,15 |
| 187 232 496 | 35 | 1,8693e-07 | -1,48 |
6.1.6 Cần chú ý là nitơ, metan và etan thể hiện khả năng nén nhỏ hơn 1 % tại áp suất khí quyển. Ở áp suất nhỏ hơn áp suất khí quyển, các cấu tử khác của khí thiên nhiên có khả năng nén đáng kể.
6.1.7 Hầu hết các cấu tử có áp suất hơi nhỏ hơn 100 kPa không thể sử dụng làm khí tinh khiết để nghiên cứu độ tuyến tính vì chúng không tạo áp suất hơi đủ cho số đọc áp kế đến 100 kPa. Đối với các cấu tử này, có thể sử dụng hỗn hợp với nitơ hoặc metan để thiết lập áp suất riêng phần có thể mở rộng áp suất toàn phần đến 100 kPa. Sử dụng Bảng 4 đối với các áp suất hơi tại 38 °C, tính áp suất lớn nhất mà một cấu tử cho trước có thể pha trộn với nitơ như sau:
| B = (100 x V)/i | (2) |
| P = (i x M)/100 | (3) |
Trong đó
B là áp suất của hỗn hợp, max, kPa;
V là áp suất hơi, kPa;
i là % mol;
P là áp suất riêng phần, kPa;
M là áp suất áp kế chân không, kPa.
Bảng 4 - Áp suất hơi tại 38 °CA
| Cấu tử | Áp suất tuyệt đối, kPa | psi |
| Nitơ | >34 500 | >5000 |
| Metan | >34 500 | >5000 |
| Cacbon dioxit | >5 520 | >800 |
| Etan | >5 520 | >800 |
| Hydro sulfua | 2 720 | 395 |
| Propan | 1 300 | 189 |
| Isobutan | 501 | 72,6 |
| n-butan | 356 | 51,7 |
| Isopentan | 141 | 20,5 |
| n-pentan | 108 | 15,6 |
| n-hexan | 34,2 | 4,96 |
| n-heptan | 11,2 | 1,62 |
| A Các dữ liệu mới nhất đối với áp suất hơi đã liệt kê là có sẵn tại Trung tâm Nghiên cứu Nhiệt động học, Hệ thống các trường đại học Texas A&M, College Station, TX 77843. | ||
6.2 Quy trình kiểm tra tuyến tính
6.2.1 Nối nguồn cấp cấu tử tinh khiết với hệ thống nạp mẫu. Hút chân không hệ thống nạp mẫu và quan sát áp kế chân không để kiểm tra độ kín (Xem Hình 1 về khuyến nghị cách bố trí hệ thống ống góp). Hệ thống nạp mẫu phải đảm bảo kín chân không.
6.2.2 Cẩn thận mở van kim để nạp cấu tử tinh khiết đến khi áp suất riêng phần đạt 13 kPa.
6.2.3 Ghi lại chính xác áp suất riêng phần và khởi động van mẫu để cho mẫu vào cột. Ghi lại diện tích pic của cấu tử tinh khiết.
6.2.4 Lặp lại các thao tác nêu tại 6.2.3 đối với các áp suất trên áp kế bằng 26, 39, 52, 65, 78 và 91 kPa, ghi lại các diện tích pic nhận được cho phép phân tích mẫu tại từng giá trị áp suất này.
6.2.5 Vẽ đồ thị các dữ liệu của diện tích (trục x) theo các áp suất riêng phần (trục y) trên đồ thị tuyến tính như thể hiện trên Hình 9.
6.2.6 Phương pháp khác là pha một hỗn hợp gồm tất cả các cấu tử và nạp vào vòng nạp mẫu tại áp suất riêng phần trên toàn dải đang xét. Nếu đã có sẵn hỗn hợp khí, thì có thể pha hỗn hợp khí có sẵn với metan, theo cách như vậy sẽ cho các đường tín hiệu đối với tất cả các cấu tử. (Cảnh báo - Nếu không thể thu được các thông tin về độ tuyến tính của detector có sẵn trên máy sắc ký khí đối với tất cả các cấu tử khí đang thử, thì yêu cầu tối thiểu là các dữ liệu về tuyến tính phải thu được đối với tất cả cấu tử khí có nồng độ vượt 5 % mol. Sắc ký đồ không thực sự là tuyến tính trên các dải nồng độ rộng và độ tuyến tính cần được thiết lập đối với dải đo đang xét.)
7 Chất chuẩn quy chiếu
7.1 Dùng hỗn hợp khí khô có thành phần xác định để làm chuẩn cho mẫu cần phân tích. Chúng phải chứa những cấu tử đã biết nồng độ, ngoại trừ oxy (Chú thích 5). Tất cả các cấu tử trong mẫu chuẩn phải đồng nhất ở trạng thái hơi khi phân tích. Nồng độ của một cấu tử trong khí chuẩn không được thấp hơn một nửa hoặc lớn hơn hai lần nồng độ của cấu tử này trong mẫu cần phân tích.
CHÚ THÍCH 5: Nếu mẫu chuẩn được bảo quản trong bình chứa chưa được thử nghiệm để chứng minh là trơ với oxy thì nên tiến hành hiệu chuẩn oxy bằng một phương pháp khác.
7.2 Chuẩn bị - Mẫu chuẩn quy chiếu có thể chuẩn bị bằng cách pha trộn các cấu tử tinh khiết. Không khí khô pha loãng là chất chuẩn phù hợp đối với oxy và nitơ (xem 8.5.1).
8 Cách tiến hành
8.1 Chuẩn bị thiết bị - Đặt các cột vào đúng vào vị trí theo yêu cầu để thực hiện phép thử (như mô tả tại một trong các điều sau: 8.4, 8.5, hoặc 8.6). Điều chỉnh các điều kiện vận hành và để hệ thống sắc ký ổn định.
8.1.1 Đối với hexan và các cấu tử nặng hơn, gia nhiệt vòng nạp mẫu.
CHÚ THÍCH 6: Hầu hết các máy sắc ký hiện đại có các lò có van để có thể kiểm soát nhiệt độ. Khuyến cáo, trong trường hợp không có lò van cần lắp van lấy mẫu khí trong lò của máy sắc ký và vận hành tại nhiệt độ cột.
8.1.2 Sau khi thiết bị đã ổn định thực sự, thực hiện các phép kiểm tra trên chất chuẩn quy chiếu để thiết lập độ lặp lại của thiết bị. Kết quả của hai phép kiểm tra liên tiếp phải nằm trong khoảng các giới hạn độ lặp lại đối với lượng % mol hiện có của từng cấu tử. Nếu chất chuẩn quy chiếu có giá trị trung bình của hai phép kiểm tra liên tiếp hoặc của lần kiểm tra cuối cùng nằm trong khoảng các giới hạn độ lặp lại của phép kiểm tra trước đó đối với từng cấu tử có thể được sử dụng như chất chuẩn quy chiếu đối với tất cả các lần thử tiếp theo cho đến khi có sự thay đổi về các điều kiện vận hành của thiết bị. Khuyến cáo thực hiện hiệu chuẩn hàng ngày.
8.2 Chuẩn bị mẫu thử - Nếu cần có thể loại bỏ hydro sulfua ít nhất bằng hai phương pháp (Xem A.2.3).
8.2.1 Chuẩn bị và nạp mẫu thử - Mẫu thử phải được ổn định trong phòng thử nghiệm tại nhiệt độ 10 °C đến 30 °C cao hơn nhiệt độ nguồn lấy mẫu ngoài hiện trường. Nhiệt độ càng cao, thời gian cân bằng càng ngắn (khoảng 2 h đối với các bình chứa mẫu nhỏ có dung tích nhỏ hơn hoặc bằng 300 mL). Phương pháp phân tích này giả sử các phương pháp lấy mẫu ngoài hiện trường đã loại bỏ hết chất lỏng bám theo. Nếu điểm sương của hydrocacbon trong mẫu là thấp hơn nhiệt độ thấp nhất mà mẫu tiếp xúc, thì không cần gia nhiệt mẫu.
8.2.2 Các ống nối từ bình chứa mẫu đến cửa nạp mẫu của thiết bị được làm bằng thép không gỉ hoặc bằng các đoạn ngắn TFE-fluorocacbon. Ống nối bằng đồng, vinyl hoặc cao su đều không được chấp nhận. Nếu mẫu có các hydrocacbon mạch dài thì cần gia nhiệt cho đoạn đường ống lấy mẫu.
8.3 Nạp mẫu - Lượng mẫu nạp vào cột sắc ký không được vượt quá 0,5 mL. (Lượng mẫu phải nhỏ như vậy để nhận được tín hiệu tuyến tính của detector đối với metan). Với lượng mẫu này, phép phân tích đạt độ chính xác đủ cho tất cả các thành phần trừ các thành phần nhỏ, không đáng kể. Khi cần phải tăng tín hiệu để xác định các cấu tử có nồng độ không lớn hơn 5 % mol thì cho phép sử dụng mẫu và các chất chuẩn với thể tích không vượt quá 5 mL. (Tránh không đưa các chất lỏng vào hệ thống mẫu).
8.3.1 Phương pháp làm sạch - Mở van đầu ra của bình chứa mẫu và thổi mẫu qua hệ thống nạp mẫu và vòng nạp mẫu hoặc ống dẫn mẫu. Lượng khí mẫu dùng để làm sạch phải được thiết lập và kiểm tra xác nhận cho từng thiết bị. Áp suất vòng nạp mẫu phải gần bằng áp suất khí quyển. Đóng van đầu ra bình chứa và để cho áp suất mẫu trong vòng nạp mẫu hoặc ống dẫn mẫu được ổn định. Sau đó bơm ngay mẫu trong vòng nạp mẫu hoặc ống dẫn mẫu vào cột sắc ký để tránh bị nhiễm bẩn mẫu.
8.3.2 Phương pháp choán nước - Nếu mẫu nhận được bằng cách choán nước, thì sau đó có thể sử dụng để làm sạch bằng cách dùng nước đẩy hoặc điền đầy vòng chia hoặc ống mẫu. (Cảnh báo - Một vài cấu tử như cacbon dioxit, hydro sulfua và hexan và các hydrocacbon nặng hơn có thể bị loại bỏ từng phần hoặc toàn bộ bằng nước).
8.3.3 Phương pháp chân không - Hút chân không hệ thống nạp mẫu từ sau van đầu ra của bình chứa mẫu tới bộ phận nạp mẫu cho đến áp suất tuyệt đối nhỏ hơn 0,1 kPa. Đóng van nối với máy hút chân không và cẩn thận nạp mẫu từ bình khí vào vòng nạp mẫu của máy cho đến khi đạt được áp suất đã định đọc trên áp kế chân không (xem Hình 1). Bơm mẫu vào sắc ký.
8.4 Chạy cột tách đối với etan và các hydrocacbon nặng hơn và cacbon dioxit - Thực hiện phép đo này dùng heli hoặc hydro làm khí mang, nếu sử dụng loại detector khác với detector dẫn nhiệt thì chọn khí mang thích hợp đối với detector đó. Chọn lượng mẫu theo 8.1. Cho mẫu vào và đảo dòng cho các cấu tử nặng tại thời điểm thích hợp. Nhận tín hiệu tương ứng đối với chất chuẩn quy chiếu.
8.4.1 Metan cũng có thể xác định được trên cột này nếu cột tách được metan khỏi nitơ và oxy (chẳng hạn như cột với silicon 200/500 đã đưa ra trên Hình 5), và lượng mẫu không vượt quá 0,5 mL.
8.5 Chạy cột hấp phụ đối với oxy, nitơ và metan - Khi tiến hành xác định, sử dụng heli hoặc hydro làm khí mang. Lượng mẫu không vượt quá 0,5 mL đối với phép xác định metan. Nạp mẫu và nhận được tín hiệu của metan (Chú thích 5). Tương tự, nhận được tín hiệu từ chất chuẩn cho nitơ và metan. Nhận tín hiệu từ không khí khô cho nitơ và oxy, nếu có thiết lập phân tích. Không khí được đưa vào hoặc ở áp suất giảm bớt và được đo chính xác, hoặc từ hỗn hợp được pha loãng bằng heli.
8.5.1 Hỗn hợp có chứa khoảng 1 % oxy có thể được chuẩn bị bằng cách nạp heli tinh khiết vào bình đã chứa không khí khô tại áp suất khí quyển đạt 2 MPa. Áp suất này không cần đo chính xác bởi vì nồng độ của nitơ trong hỗn hợp mẫu này phải được xác định bằng cách so sánh với nitơ trong mẫu chuẩn. Lượng nitơ xác định được nhân với 0,268 để thu được % mol của oxy hoặc nhân với 0,280 để thu được tổng % mol của oxy và argon. Không dựa vào các chất chuẩn oxy đã chuẩn bị trước đó vài ngày. Được phép sử dụng hệ số tín hiệu đối với oxy nếu liên quan đến cấu tử ổn định.
8.6 Chạy cột hấp phụ đối với heli và hydro - Khi tiến hành phép thử sử dụng nitơ hoặc argon làm khí mang. Cho 1 mL đến 5 mL mẫu vào và ghi lại tín hiệu đối với heli, tiếp theo là hydro ngay trước tín hiệu oxy (Chú thích 5). Nhận tín hiệu tương ứng đối với chất chuẩn quy chiếu có chứa nồng độ thích hợp của heli và hydro (xem Hình 8).
9 Tính toán
9.1 Các chữ số có nghĩa được giữ lại đối với giá trị định lượng của từng cấu tử phải đảm bảo sao cho độ chính xác không bị mất đi hoặc không bị phóng đại lên. Giá trị biểu thị bằng số của cấu tử bất kỳ có trong mẫu không được cho là chính xác hơn giá trị tương ứng được chứng nhận của cấu tử này trong chất chuẩn hiệu chuẩn.
9.2 Phương pháp ngoại chuẩn
9.2.1 Pentan và các cấu tử nhẹ hơn - Đo chiều cao của từng pic thành phần đối với pentan và các cấu tử nhẹ hơn, chuyển về cùng độ suy giảm cho các cấu tử tương ứng có trong mẫu và chất chuẩn quy chiếu, và tính nồng độ của từng cấu tử trong mẫu như sau:
| C = S x (A/B) | (4) |
trong đó
C là nồng độ cấu tử trong mẫu, % mol;
A là chiều cao pic của cấu tử trong mẫu, mm;
B là chiều cao pic của cấu tử trong chất chuẩn, mm;
S là nồng độ của cấu tử trong chất chuẩn quy chiếu, % mol.
9.2.1.1 Nếu cho chạy không khí để hiệu chuẩn oxy hoặc nitơ tại áp suất đã giảm, hoặc cả hai, hiệu chính phương trình đối với áp suất như sau:
| C = S x (A/B) x (Pa/Pb) | (5) |
trong đó
Pa là áp suất không khí trong quá trình chạy sắc ký;
Pb là áp suất khí quyển thực trong quá trình chạy mẫu
với cả hai áp suất được biểu thị theo cùng một đơn vị.
9.2.1.2 Không khí khô được tính với thành phần 78,1 % nitơ và 21,9 % oxy do argon giải hấp cùng oxy trên cột rây phân tử ở điều kiện bình thường của phương pháp này.
9.2.2 Hexan và các cấu tử nặng hơn - Đo diện tích của phần hexan, heptan và các phần nặng hơn của đỉnh pic đảo dòng (xem Phụ lục A.1, Hình A.1.1 và A.3.6). Đồng thời đo diện tích cả hai pic pentan trên sắc ký đồ của mẫu, và điều chỉnh tất cả các diện tích đo được về cùng độ suy giảm cơ sở.
9.2.3 Tính các diện tích đã hiệu chính của các đỉnh pic được đảo dòng như sau:
Diện tích C6 đã hiệu chính = 72/86 x Diện tích C6 đo được (6)
Diện tích C7 và phần nặng hơn đã hiệu chính = 72/A x Diện tích C7 và phần nặng hơn đo được (7)
Trong đó A = Giá trị phân tử lượng trung bình của C7 và phần nặng hơn.
CHÚ THÍCH 7: Giá trị phân tử lượng trung bình của C7 và phần nặng hơn lấy bằng 98 là đủ chính xác; lượng nhỏ của C8 và phần nặng hơn có mặt thường được bù lại bằng metyl cyclopentan và cyclohexan nhẹ hơn. Giá trị phân tử lượng chính xác hơn đối với C7 và phần nặng hơn có thể nhận được như mô tả tại Phụ lục A.1.3.
9.2.4 Tính nồng độ của hai phân đoạn có trong mẫu như sau:
% mol C6 = (diện tích hiệu chính C6) x (% mol iC5 + nC5)/ (iC5 + diện tích nC5) (8)
% mol C7 = (diện tích hiệu chính C7) x (% mol iC5 + nC5)/ (iC5 + diện tích nC5) (9)
9.2.4.1 Nếu phần trăm mol của iC5 + nC5 được xác định bằng cách thực hiện riêng với lượng mẫu nhỏ hơn, thì giá trị này không cần xác định lại.
9.2.5 C6 và phần nặng hơn, hoặc như C5 và phần nặng hơn khi dòng khí mang ngược được thực hiện sau n-butan được tính theo toàn bộ diện tích phần đảo dòng. Diện tích đo được có thể hiệu chính bằng cách sử dụng các giá trị phân tử lượng trung bình của toàn bộ các cấu tử đảo dòng đối với giá trị bằng A. Phần trăm mol và diện tích của pic đảo dòng iC5 và nC5 của mẫu có kích cỡ như của chất chuẩn quy chiếu (không chứa C6 và phần nặng hơn) sau đó sẽ được sử dụng để tính giá trị cuối cùng của phần trăm mol.
9.2.6 Chuẩn hóa các giá trị phần trăm mol bằng cách nhân mỗi giá trị với 100 và chia cho tổng các giá trị ban đầu. Tổng các giá trị ban đầu không nên dao động nhiều hơn 1,0 % so với 100,0 %.
9.2.7 Các phép tính của mẫu theo Phụ lục B.2.
10 Độ chụm
10.1 Độ chụm - Độ chụm của phương pháp này được xác định theo phương pháp nghiên cứu thống kê các kết quả thử nghiệm liên phòng trên các mẫu khí chất lượng đường ống (chất lượng thương phẩm) có nhiệt trị 38 MJ/m3 như sau:
10.1.1 Độ lặp lại - Sự chênh lệch giữa hai kết quả liên tiếp thu được do cùng một thí nghiệm viên tiến hành với cùng một thiết bị dưới đều kiện thử không đổi, trên cùng một mẫu thử có thể coi là không tin cậy nếu các kết quả này chênh nhau nhiều hơn các giá trị sau:
| Cấu tử, % mol | Độ lặp lại |
| 0 đến 0,09 | 0,01 |
| 0,1 đến 0,9 | 0,04 |
| 1,0 đến 4,9 | 0,07 |
| 5,0 đến 10 | 0,08 |
| Trên 10 | 0,10 |
10.1.2 Độ tái lập - Sự chênh lệch giữa hai kết quả thu được do các thí nghiệm viên khác nhau tiến hành ở những phòng thí nghiệm khác nhau, trên cùng một mẫu thử có thể coi là không tin cậy nếu các kết quả này chênh nhau nhiều hơn các giá trị sau:
| Cấu tử, % mol | Độ tái lập |
| 0 đến 0,09 | 0,02 |
| 0,1 đến 0,9 | 0,07 |
| 1,0 đến 4,9 | 0,10 |
| 5,0 đến 10 | 0,12 |
| Trên 10 | 0,15 |
Phụ lục A
(quy định)
Các quy trình bổ sung, chuẩn bị cột và thiết bị làm khô
A.1 Các quy trình bổ sung
A.1.1 Phân tích dành riêng cho propan và các cấu tử nặng hon
A.1.1.1 Phép xác định này có thể thực hiện trong khoảng từ 10 min đến 15 min bằng cách sử dụng các điều kiện cột để tách propan, isobutan, n-butan, isopentan, n-pentan, hexan, và heptan và các phần nặng hơn có thể bỏ qua việc tách etan và phần nhẹ hơn.
A.1.1.2 Sử dụng cột bis-(2(2-metoxyetoxy) etyl)ete (BMEE) có chiều dài 5 m tại nhiệt độ xấp xỉ 30 °C, hoặc sử dụng cột tách với chiều dài phù hợp có khả năng phân tách hydrocacbon từ propan đến n-pentan trong khoảng 5 min. Cho từ 1 mL đến 5 mL mẫu vào cột và đảo dòng khí mang sau khi n-pentan được tách ra. Thực hiện nhận sắc ký đồ tương ứng với chất chuẩn quy chiếu trong khoảng 5 min, vì không cần đảo dòng đối với chất chuẩn quy chiếu. Tính kết quả theo cách tương tự như đối với phương pháp phân tích chính đầy đủ.
A.1.1.3 Phép xác định đối với propan, isobutan, n-butan và pentan cùng với phần nặng hơn có thể thực hiện trong khoảng 5 min bằng cách đảo dòng khí mang sau n-butan. Tuy nhiên, cần phải biết phân tử lượng trung bình của pentan và các cấu tử nặng hơn.
A.1.2 Phân tích đơn lẻ đối với etan và các cấu tử nặng hơn
A.1.2.1 Trong nhiều trường hợp, phép phân tách đơn lẻ sử dụng lượng mẫu khoảng từ 1 mL đến 5 mL sẽ đủ để xác định tất cả các cấu tử trừ metan vì không thể xác định metan một cách chính xác với lượng mẫu đã nêu cùng các phép đo chiều cao pic vì nồng độ cao của metan.
A.1.2.2 Cho từ 1 mL đến 5 mL mẫu vào cột tách và đảo dòng khí mang sau khi n-pentan được tách ra. Nhận sắc ký đồ tương ứng của chất chuẩn quy chiếu. Đo chiều cao pic của các hydrocacbon từ etan đến n-pentan và diện tích của các pic pentan của chất chuẩn. Thực hiện tính kết quả đối với etan và các cấu tử nặng hơn theo các quy định trong phương pháp phân tích đầy đủ. Metan và phần nhẹ hơn có thể được tính bằng cách lấy 100 trừ đi và tổng của các cấu tử đã được xác định.
A.1.3 Phân tích dành riêng cho xác định hexan và các cấu tử nặng hơn
A.1.3.1 Cột tách loại ngắn có thể sử dụng hiệu quả để tách các cấu tử nặng phân đoạn cuối và để nhận được thành phần tách chi tiết hơn của phân đoạn đảo dòng. Thông tin này cung cấp các dữ liệu về chất lượng và cơ sở để tính toán các tính chất vật lý chẳng hạn như phân tử lượng đối với các phân đoạn này.
A.1.3.2 Hình A.1 là sắc ký đồ thể hiện các cấu tử được tách ra bởi cột BMEE 2-m trong 20 min. Để thực hiện phép xác định này, cho 5 ml mẫu vào một cột ngắn và đảo chiều dòng khí mang sau khi tách n-heptan. Đo các diện tích của tất cả các pic được rửa giải sau n-pentan. Hiệu chính từng diện tích pic về mol bằng cách chia từng diện tích pic cho phân tử lượng của cấu tử. Đối với các pic đảo dòng của octan và các cấu tử nặng hơn có thể lấy phân tử lượng bằng 120. Tính phần trăm mol của hexan và các cấu tử nặng hơn bằng cách cộng các diện tích đã hiệu chính và chia để tổng của chúng là 100 %.

Hình A.1 - Thành phần của hexan và phần nặng hơn
A.2 Chuẩn bị cột và thiết bị làm khô
A.2.1 Chuẩn bị cột - Xem ASTM E 260.
A.2.2 Chuẩn bị thiết bị làm khô - Dùng hạt phospho pentoxit hoặc magie perclorat điền đầy ống thủy tinh có đường kính 10 mm, dài 100 mm, tuân thủ tất cả các cảnh báo thích hợp về an toàn. Lắp ống thủy tinh vào hệ thống theo yêu cầu để làm khô mẫu. Thay tác nhân làm khô sau khi dùng hết khoảng một nửa vật liệu.
A.2.3 Loại bỏ hydro sulfua
A.2.3.1 Đối với các mẫu có chứa nhiều hơn 300 ppm hydro sulfua theo khối lượng, thì loại hydro sulfua bằng cách nối một ống chứa chất hấp phụ natri hydrat (Ascarite) phía trước bình chứa mẫu trong quá trình lấy mẫu, hoặc trước ống làm khô khi cho mẫu vào sắc ký. Quy trình này đồng thời cũng loại cacbon dioxit, và các kết quả nhận được sẽ trên cơ sở không có khí axit.
A.2.3.2 Hydro sulfua cũng có thể được loại bằng cách nối ống đá bọt đã được tẩm đồng sulfat vào đường ống phía trước của máy sắc ký và và ống làm khô. Quy trình này sẽ loại các lượng nhỏ của hydro sulfua trong khi có ảnh hưởng tối thiểu lên cacbon dioxit có trong mẫu.
A.2.4 Bố trí cột - Áp dụng cho các phép phân tích trong đó có xác định hexan và các cấu tử nặng hơn, Hình A.2 đưa ra cách bố trí mà nhờ đó các cột có thể thay đổi nhanh và dễ dàng bằng cách quay van bộ chọn. Cần hai cột để xác định tất cả các cấu tử nêu trong phương pháp này. Tuy nhiên, các cột tách ngắn và dài cung cấp tính linh hoạt bằng ba chiều dài cột tách, khi sử dụng chúng từng cái đơn lẻ hoặc thành chuỗi. Phần nối giữa V1 và V2 trên Hình A.2 nên là càng ngắn càng tốt (20 mm là thực tế) để giảm thiểu phần không gian chết giữa các cột khi sử dụng các cột theo chuỗi. Nếu tất cả các cột được lựa chọn để vận hành tại cùng nhiệt độ, thì thời gian ổn định giữa các lần thay đổi cột sẽ được giảm thiểu.

Hình A.2 - Bố trí cột
Phụ lục B
(tham khảo)
Hỗn hợp chất chuẩn quy chiếu
B.1 Chuẩn bị
B.1.1 Các hỗn hợp khí có thành phần điển hình dưới đây sẽ đủ để sử dụng làm các chất chuẩn quy chiếu cho hầu hết các yêu cầu phân tích (Chú thích B.1):
| Cấu tử | Khí nghèo, % mol | Khí giàu, % mol |
| Heli | 1,0 | 0,5 |
| Hydro | 3,0 | 0,5 |
| Nitơ | 4,0 | 0,5 |
| Metan (lớn nhất) | 85 | 74 |
| Etan | 6,0 | 10 |
| Cacbon dioxit | 1,0 | 1,0 |
| Propan | 4,0 | 7,0 |
| Isobutan | 2,0 | 3,0 |
| n-Butan | 2,0 | 3,0 |
| Neopentan | 0,5 | 1,0 |
| Isopentan | 0,5 | 1,0 |
| n-Pentan | 0,5 | 1,0 |
| Hexan+ | 0,1 | 0,2 |
CHÚ THÍCH B.1: Nếu bảo quản hỗn hợp trong điều kiện áp suất, cần cẩn thận để đảm bảo rằng áp suất riêng phần của bất kỳ cấu tử nào cũng không vượt quá áp suất hơi của nó tại nhiệt độ và áp suất mà tại đó mẫu được bảo quản và sử dụng. Hỗn hợp khí nghèo có nhiệt độ ngưng tới hạn tại 15,6 °C và hỗn hợp khí giàu có nhiệt độ ngưng tới hạn tại 37,8 °C.
B.1.2 Phương pháp hữu dụng để chuẩn bị chất chuẩn quy chiếu theo khối lượng như sau:
B.1.2.1 Thiết bị và các chất cần có:
- Chai chứa, dung tích 20 L.
- Chai chứa chịu áp, hai chai dung tích 100 mL (A và B).
- Cân, 2000 g, độ nhạy 10 mg.
- Các cấu tử tinh khiết, metan đến n-pentan và cacbon dioxit. Các cấu tử tinh khiết phải là tinh khiết 99+ %. Metan phải chứa trong chai chứa loại 1 L tại áp suất bằng 10 MPa. Chạy sắc ký của từng cấu tử để kiểm tra về thành phần cho trước của nó.
B.1.2.2 Hút chân không chai chứa dung tích 20 L trong vài giờ. Hút chân không chai chứa A dung tích 100 mL, để thu được khối lượng thực. Nối chai chứa A với chai chứa n-pentan tinh khiết bằng một ống nối kim loại có chiều dài đã tính để chứa được một lượng xấp xỉ lượng n-pentan sẽ nạp vào chai chứa A. Dùng n-pentan phun sạch ống nối bằng cách nới lỏng đầu nối van trên chai chứa A, rồi vặn chặt lại. Đóng van chai chứa n-pentan và mở van chai chứa A để nạp n-pentan từ ống nối vào chai chứa và sau đó đóng van trên chai chứa A. Tháo và cân chai chứa A để có được khối lượng của n-pentan vừa được nạp vào.
B.1.2.3 Tương tự như vậy tiến hành nạp thêm vào chất chuẩn quy chiếu các cấu tử isopentan, n-butan, isobutan, propan, etan và cacbon dioxit, yêu cầu phải theo đúng thứ tự. Cân chai chứa A sau mỗi lần nạp xong để có được khối lượng cấu tử vừa được nạp. Nối chai chứa A với chai chứa dung tích 20 L đã hút chân không bằng ống nối sạch, có đường kính nhỏ, càng ngắn càng tốt. Mở van trên chai chứa dung tích 20 L, sau đó mở van trên chai chứa A. Kết quả là lượng khí từ chai chứa A được chuyển gần như hoàn toàn sang chai chứa dung tích 20 L. Đóng các van của hai chai chứa, tháo và cân chai chứa A để xác định khối lượng hỗn hợp còn lại chưa được chuyển sang chai chứa dung tích 20 L.
B.1.2.4 Hút chân không và cân chai chứa B dung tích 100 mL, sau đó lần lượt nạp vào chai chứa B các khí heli và hydro theo thứ tự đến áp suất yêu cầu để có được nồng độ mong muốn của các cấu tử này trong hỗn hợp cuối cùng. (Heli và hydro được chuẩn bị và đo riêng so với các cấu tử khác để ngăn ngừa áp suất của chúng trong chai chứa dung tích 100 mL gây ngưng tụ các hydrocacbon nặng hơn). Cân chai chứa B sau mỗi lần nạp để có được khối lượng của các cấu tử đã nạp. Nối chai chứa B với chai chứa dung tích 20 L bằng ống nối sạch, ngắn có đường kính nhỏ nhất có thể. Mở van trên chai chứa dung tích 20 L, sau đó mở van trên chai chứa B, như vậy hầu như toàn bộ lượng chứa trong chai chứa B sẽ chuyển sang chai chứa dung tích 20 L. Đóng các van của các chai chứa, tháo đầu nối, và cân chai chứa B để có được khối lượng hỗn hợp còn lại chưa được chuyển sang chai chứa dung tích 20 L.
B.1.2.5 Cân chai chứa dung tích 1 L có chứa metan tinh khiết tại áp suất khoảng 10 MPa. Chuyển metan vào chai chứa dung tích 20 L cho đến khi áp suất đạt cân bằng. Cân chai chứa dung tích 1 L để xác định khối lượng metan đã chuyển đi.
B.1.2.6 Trộn kỹ lượng chứa trong chai chứa dung tích 20 L bằng cách gia nhiệt dưới đáy chai chứa bằng phương tiện thích hợp như nước nóng, hoặc đèn và để bình tại vị trí thẳng đứng trong vòng ít nhất là 6 h.
B.1.2.7 Sử dụng khối lượng và độ tinh khiết của từng cấu tử đã nạp để tính thành phần khối lượng của hỗn hợp. Chuyển đổi phần trăm khối lượng sang phần trăm mol.
B.2 Hiệu chuẩn bằng các cấu tử tinh khiết
B.2.1 Sử dụng khí mang heli để đưa một lượng mẫu với thể tích khoảng từ 0,25 mL đến 0,5 mL vào cột hấp phụ, với điều kiện là nạp tại áp suất tuyệt đối bằng 50 kPa đối với metan và 10 kPa đối với nitơ. Chạy mẫu của hỗn hợp tại áp suất 70 kPa để thu được các pic của metan và nitơ.
CHÚ THÍCH B.2: Cần lặp lại từng lần chạy mẫu theo toàn bộ qui trình này để đảm bảo rằng các chiều cao pic có tính tái lập sau khi đã hiệu chính chênh lệch áp suất so với giá trị trung bình về phạm vi 1 mm hoặc 1 % của giá trị trung bình. Tất cả các pic phải được ghi lại tại bộ suy giảm để có được chiều cao pic lớn nhất đo được.
B.2.2 Thay đổi khí mang sang argon hoặc nitơ và sau khi đường nền được thiết lập thì nạp mẫu heli tinh khiết vào tại áp suất tuyệt đối bằng 7 kPa, ghi pic tại bộ suy giảm dùng để có chiều cao pic lớn nhất. Chạy mẫu của hỗn hợp tại áp suất tuyệt đối bằng 70 kPa thu được pic của heli.
B.2.3 Chuyển sang cột tách với khí mang là heli và chạy hỗn hợp khí tại áp suất tuyệt đối bằng 70 kPa. Sau đó nạp các mẫu của etan và propan tinh khiết tại áp suất tuyệt đối bằng 10 kPa và các mẫu của butan, pentan và cacbon dioxit tại áp suất tuyệt đối bằng 5 kPa.
B.2.4 Chạy hỗn hợp khí tại áp suất tuyệt đối bằng 70 kPa.
B.2.5 Tính thành phần của hỗn hợp khí được chuẩn bị như sau:
B.2.5.1 Hiệu chính chiều cao các pic của tất cả các cấu tử tinh khiết và các cấu tử tương ứng trong hỗn hợp đến cùng độ suy giảm (Chú thích B.2).
B.1.2.5.2 Tính nồng độ từng cấu tử như sau:
| C = (100Vf)(A/B)(Pb/Pa) | (B.1) |
trong đó:
| C | là nồng độ của cấu tử, mol; |
| A | là chiều cao pic của cấu tử trong hỗn hợp; |
| B | là chiều cao pic của cấu tử tinh khiết; |
| Pa | là áp suất mà tại đó chạy hỗn hợp, kPa; |
| Pb | là áp suất mà tại đó chạy cấu tử, kPa; |
| Vf | là phần thể tích của cấu tử tinh khiết. |
CHÚ THÍCH B.1.3: Vf= 1,000 nếu cấu tử hiệu chuẩn không có tạp chất.
B.1.2.5.3 Chuẩn hóa các giá trị về 100,0 %.
B.3 Hiệu chuẩn sử dụng các giá trị của tín hiệu mol tương đối
B.3.1 Các tỷ số tín hiệu tương đối có thể rút ra từ các dữ liệu tuyến tính và dùng để tính các hệ số tín hiệu phản hồi. Nhờ vậy, không cần phải hiệu chuẩn hàng ngày đối với chất chuẩn đa cấu tử nữa. Phương pháp thử có thể thực hiện trên bất kỳ máy sắc ký nào có sử dụng detector dẫn nhiệt hoặc detector bán dẫn.
B.3.2 Lấy một hỗn hợp chứa các nồng độ dự kiến thiết bị sẽ phân tích, cấu tử chính (metan) được sử dụng như khí cân bằng và có thể có nồng độ thấp hơn mức dự kiến. Cấu tử này có mặt trong chất chuẩn hiệu chuẩn hàng ngày và độ tuyến tính được đảm bảo từ các phép thử trước đó.
B.3.3 Dùng thiết bị mô tả trên Hình 1 hoặc thiết bị trộn khí cơ học bơm mẫu tại áp suất giảm để nhận được các diện tích hoặc chiều cao pic lặp lại tại các áp suất bằng 90, 75, 60, 45, 30 và 15 % áp suất tuyệt đối. Đối với áp suất là 100 kPa thì áp suất sử dụng là 90, 75, 60, 45, 30 và 15 kPa.
B.3.4 Vẽ đồ thị diện tích hoặc chiều cao (suy giảm tại cùng độ cao như cấu tử so sánh) theo nồng độ và tính độ dốc của đường thẳng bằng phương pháp bình phương tối thiểu. Cho trước phương trình đường thẳng là y = a0 + a1 X trong đó Y đại diện cho các điểm diện tích hoặc các điểm của chiều cao và X là các điểm của nồng độ. Đường thẳng này được giả định giao nhau thông qua gốc và a0 = 0. Độ dốc a1 có thể được tính theo:
|
| (B.2) |
B.3.5 Tỷ số độ dốc của các cấu tử được so sánh (i) với độ dốc các cấu tử so sánh (r) có trong chất chuẩn hiệu chuẩn hàng ngày chính là hệ số tín hiệu mol tương đối (RMRi) đối với cấu tử (i). Cấu tử so sánh phải có mặt trong cùng một dãy tách trên thiết bị (trừ hexan+) như các cấu tử được so sánh. Ví dụ, propan có thể là cấu tử so sánh đối với butan và pentan nếu propan được tách ra trên cùng một cột trong cùng một dãy như butan và pentan. Etan có thể là cấu tử so sánh đối với cacbon dioxit nếu rửa giải trong cùng dãy như cacbon dioxit. Pic của hexan+ có thể được so sánh với propan hoặc được tính như đã nêu tại phần nội dung chính của tiêu chuẩn này.
B.3.6 Đối với việc hiệu chuẩn hàng ngày, chất chuẩn bốn cấu tử được sử dụng có chứa nitơ, metan, etan và propan. Chất chuẩn ít cấu tử hơn có khả năng loại trừ được các vấn đề về điểm sương, loại trừ hoạt tính sẽ cho độ chính xác cao hơn và có thể pha chế ở áp suất cao hơn. Các hệ số tín hiệu của các cấu tử được so sánh tính từ hệ số tín hiệu so sánh hiện hành và hệ số tín hiệu mol tương đối. Sau đây mô tả về cách tính toán cơ bản, ví dụ về cách rút ra hệ số tín hiệu mol tương đối (Hình B.1), và bảng chỉ ra cách tính các hệ số tín hiệu (Bảng B.2).
| Hệ số tín hiệu (R) = % mol /diện tích | (B1.3) |
|
| (B1.4) |
|
| (B1.5) |
B.3.7 Khuyến cáo nên kiểm tra định kỳ mối tương quan RMR. Mối tương quan này không phụ thuộc vào nhiệt độ, lượng mẫu và tốc độ dòng khí mang. Nếu có sự thay đổi trong các điều kiện vận hành này thì tất cả các cấu tử sẽ bị ảnh hưởng như nhau và các hệ số tín hiệu tính được sẽ thay đổi tương ứng. Xem Bảng B.1 và Hình B.1 và Bảng B.2.
Bảng B.1 - Tính toán phương trình bình phương tối thiểu đối với độ dốc của iso-Butan
|
| Diện tích Y | % mol X | XY | Y2 |
|
| 984 515 | 1 | 984 515 | 9,693e+ 11 |
|
| 900 410 | 0,9 | 810 369 | 8,107e+ 11 |
|
| 758 917 | 0,75 | 569 187,75 | 5,670e + 11 |
|
| 611 488 | 0,6 | 366 892,8 | 3,739e + 11 |
|
| 466 037 | 0,45 | 209 716,65 | 2,172e + 11 |
|
| 314 649 | 0,3 | 94 394,7 | 9,900e + 10 |
|
| 159 303 | 0,15 | 23 895,45 | 2,538e + 10 |
| Tổng = | 4 195 319 | 4,15 | 3 058 971,35 | 3,071 452e + 12 |
|
| Độ dốc = | ΣXY/ΣY2 | 9,9594e-07 |
|
Bảng B.2 - Tính toán các hệ số tín hiệu sử dụng các giá trị tín hiệu mol tương đối
| Cấu tử | % mol trong chất chuẩn quy chiếu, S | Tín hiệu của chất chuẩn quy chiếu, B | Hệ số tín hiệu từ chất chuẩn quy chiếu, S/B, K | Tín hiệu molA tương đối từ độ dốcIKi, RMRi | Hệ số tín hiệu của các cấu tử đã so sánh (RMRi)x(Ki) |
| Nitơ | 5,08 | 2 685 885 | 1,8914E-6 |
|
|
| Metan | 82,15 | 36 642 384 | 2,2419E-6 |
|
|
| Etan | 8,75 | 6 328 524 | 1,3826E-6 |
|
|
| Propan Cacbon dioxit | 4,02 | 3 552 767 | 1,1315E-6 | 1,116 07c2 | 1.5429E-6 |
| Isobutan |
|
|
| 0,729 58c3 | 9,9594E-7 |
| n-butan |
|
|
| 0,693 10c3 | 9,1142E-7 |
| Neopentan |
|
|
| 0,682 71c3 | 8,9776E-7 |
| Isopentan |
|
|
| 0,638 74c3 | 8,3994E-7 |
| n-pentan |
|
|
| 0,600 41c3 | 7,8953E-7 |
| Hexan+ |
|
|
| 0,547 62c3 | 7,2012E-7 |
| ATín hiệu mol tương đối là một hằng số được tính bằng cách chia độ dốc của cấu tử được so sánh cho cấu tử có mặt trong chất chuẩn quy chiếu. Ví dụ RMRic4 = (độ dốc ic4)/(KC3) = 9,9594E - 7 1.1315E - 6 = 0,729 58. | |||||

Hình B.1 - Ví dụ về xuất xứ hệ số tín hiệu mol tương đối
Phụ lục C
(tham khảo)
Các phép tính toán của mẫu thử
C.1 Các phép tỉnh toán của mẫu thử (xem Điều 9)
Bảng C.1 - Tính toán đối với mẫu thử
| Cấu tử | % mol trong chất chuẩn quy chiếu, S | Tín hiệu của chất chuẩn quy chiếu, B | Hệ số tín hiệu, S/B | Tín hiệu đối với mẫuA A | Phần trăm C = (SxA)/B | Chuẩn hóa, % |
| Heli | 0,50 | 41,1 | 0,0122 | 12,6 | 0,154 | 0,15 |
| Hydro | 0,74 | 90,2 | 0,0082 | 1,5 | 0,012 | 0,01 |
| Oxy | 0,27 | 35,5 | 0,0076 | 2,1 | 0,016 | 0,02 |
| Nito | 4,89 | 77,8 | 0,0629 | 75,6 | 4,755 | 4,75 |
| Metan | 70,27 | 76,4 | 0,9198 | 90,4 | 83,150 | 83,07 |
| Etan | 9,07 | 96,5 | 0,0940 | 79,0 | 7,426 | 7,42 |
| Cacbon dioxit | 0,98 | 57,5 | 0,0170 | 21,2 | 0,360 | 0,36 |
| Propan | 6,65 | 55,2 | 0,1205 | 20,6 | 2,482 | 2,48 |
| Isobutan | 2,88 | 73,2 | 0,0393 | 11,0 | 0,432 | 0,43 |
| n-Butan | 2,87 | 60,3 | 0,0476 | 15,0 | 0,714 | 0,71 |
| Neopentan | 0,59 | 10,4 | 0,0567 | 0,1 | 0,006 | 0,01 |
| Isopentan | 0,87 | 96,0 | 0,0091 | 24,0 | 0,218 | 0,22 |
| n-Pentan | 0,86 | 86,8 | 0,0099 | 20,5 | 0,203 | 0,20 |
| Hexan+B |
|
|
| 72,1C | 0,166D | 0,17 |
|
|
|
|
|
| 100,094 % | 100,00 % |
| A Tín hiệu đối với cấu tử có trong mẫu đã được hiệu chính về cùng sự suy giảm như đối với cấu tử trong chất chuẩn quy chiếu. B Phân tử lượng trung bình của C6 + = 92. C Tín hiệu C6 đã hiệu chính = (tín hiệu ban đầu bằng 92,1)x(72/92) = 72,1. D % mol của Cs + = (0,218 + 0,203) x (72,1)/(96,0 + 86,8) = 0,166. % iC5 % nC5 Diện tích iC + n C5 | ||||||
Phụ lục D
(tham khảo)
Biện pháp phòng tránh các nguyên nhân thông thường gây sai lỗi
D.1 Thay đổi hàm lượng hexan và phần nặng hơn
D.1.1 Lượng các hợp chất của phân đoạn nặng trong khí thiên nhiên rất dễ thay đổi trong quá trình bảo quản và nạp mẫu dẫn đến các giá trị sai lỗi nghiêm trọng thấp hoặc cao. Sự tăng nồng độ các cấu tử này đã thấy xảy ra trong nhiều trường hợp do các cấu tử nặng hơn bị tích tụ ở vòng nạp mẫu trong quá trình làm sạch hệ thống. Hiệu ứng bề mặt của ống dẫn có đường kính nhỏ có tác động như một cột tách do vậy khi xác định các cấu tử nặng hơn pentan thì không được sử dụng ống loại này trong quá trình lấy mẫu và nạp mẫu vào hệ thống. Sự tích lũy màng dầu trong hệ thống lấy mẫu làm tình trạng trở lên trầm trọng hơn. Và vì thế, khí càng giàu thì vấn đề càng trầm trọng. Định kỳ kiểm tra độ tái lập của thiết bị cho C6 và các phần nặng hơn bằng cách thực hiện phép thử vài lần trên cùng một mẫu. Rất hữu ích nếu giữ lại một mẫu có chứa các hexan và các phần nặng hơn để kiểm tra định kỳ. Khi sự ghi nhận được các pic phần cất nặng bị khuếch đại thì phải làm sạch thật kỹ van lấy mẫu và vòng mẫu bằng aceton. Các trục trặc này đã được ghi nhận trong thực tế đối với một số hệ thống nạp ngay cả khi chúng sạch và được trang bị vòng nạp mẫu có kích thước xác định. Các hiện tượng nhiễm bẩn đã liệt kê khác có thể được giảm thiểu bằng các kỹ thuật như làm sạch bằng khí trơ, gia nhiệt vòng mẫu, sử dụng hệ thống chân không, hoặc các phương thức hữu hiệu khác tương tự.
D.2 Thay đổi hàm lượng khí axit
D.2.1 Hàm lượng cacbon dioxit và hydro sulfua của khí dễ thay đổi trong quá trình lấy mẫu và bảo quản. Nếu các mẫu này có chứa cacbon dioxit hoặc hydro sulfua, hoặc cả hai, thì khi lấy mẫu phải dùng các bình chứa, các đầu nối và đường dẫn khô hoàn toàn, vì hơi ẩm sẽ hấp thụ một cách chọn lọc các lượng đáng kể khí axit. Nếu có mặt khí hydro, thì sử dụng các bình chứa, van, các đầu nối và đường dẫn bằng nhôm, thép không gỉ hoặc các vật liệu khác trơ với hydro sulfua.
D.3 Điểm sương của mẫu
D.3.1 Thường xảy ra trường hợp là các mẫu không đảm bảo đại diện vì khí bị ngưng tụ thành chất lỏng. Do vậy, cần giữ các mẫu ở nhiệt độ trên điểm sương của hydrocacbon. Nếu lạnh dưới nhiệt độ này thì gia nhiệt mẫu đến nhiệt độ cao hơn điểm sương 10 °C hoặc hơn trong vài giờ trước khi đem sử dụng. Nếu không biết trước điểm sương, thì gia nhiệt đến trên nhiệt độ tiến hành lấy mẫu.
D.4 Hệ thống nạp mẫu
D.4.1 Không sử dụng cao su và nhựa cho hệ thống vì các vật liệu này dễ hấp phụ các cấu tử của mẫu. Giữ cho hệ thống dẫn ngắn và ống làm khô nhỏ để giảm tối đa yêu cầu phải làm sạch.
D.5 Độ lặp lại của lượng mẫu
D.5.1 Sự thay đổi áp suất ngược trong vòng nạp mẫu có thể gây ảnh hưởng xấu đến độ lặp lại của lượng mẫu.
D.5.2 Phải thực hiện để tiến hành tất cả các phép xác định đảo dòng theo cùng hướng dòng khí mang. Tất cả các phép xác định pic đơn lẻ và các phép chạy chuẩn quy chiếu tương ứng thực hiện sau đó sẽ phải theo cùng hướng dòng khí mang.
D.5.3 Phải đảm bảo rằng ống làm khô tại đầu vào đang trong tình trạng hoạt động tốt. Hơi ẩm trên cột sẽ làm pic đảo dòng to ra.
D.5.4 Phải đảm bảo cột sạch bằng cách thỉnh thoảng thổi quét cột vài giờ bằng khí mang theo hướng đảo dòng. Nếu cột sạch, đường nền sẽ nhanh chóng ổn định thành đường thẳng với mọi hướng dòng khí.
D.5.5 Khi mở van đảo dòng, điều kiện áp suất tại các đầu cột bị đảo ngược theo gây rối dòng khí mang. Sau đó, dòng khí mang sẽ nhanh chóng trở lại tốc độ cũ và đường nền trở lại thành đường thẳng. Nếu không xảy ra như vậy, thì nguyên nhân có thể là do rò rỉ trong hệ thống khí mang, bộ điều chỉnh dòng bị lỗi hoặc do điều kiện của cột chưa cân bằng hoặc hệ thống cột có trục trặc.
D.6 Chuẩn quy chiếu
D.6.1 Duy trì chuẩn quy chiếu tại 15 °C hoặc tại nhiệt độ trên nhiệt độ điểm sương của hydrocacbon. Nếu chuẩn quy chiếu có nhiệt độ thấp hơn thì gia nhiệt phía dưới đáy trong vài giờ trước khi lấy mẫu. Nếu có nghi ngờ về thành phần, tiến hành kiểm tra các giá trị n-pentan và isopentan với các cấu tử tinh khiết theo quy trình nêu tại Điều A.2.
D.7 Các phép đo
D.7.1 Đường nền và đỉnh các pic phải nhìn thấy rõ ràng để thực hiện các phép đo chiều cao pic. Không sử dụng đường zero cố định làm đường nền, mà phải sử dụng đường nền thực tế quan sát được. Khi độ nhạy cao, đường nền này có thể hơi nâng lên nhưng không ảnh hưởng gì và không cần thường xuyên đưa về điểm không. Cần có máy ghi biểu đồ dài có bù không (zero). Diện tích của pic đảo dòng có thể đo được bằng máy đo diện tích planimeter hoặc phép dựng hình. Diện tích đảo dòng và các pic pentan được dùng để so sánh phải được đo theo cùng phương pháp. Tức là được đo theo phép đo hình học hoặc bằng planimeter, không được kết hợp lẫn lộn. Khi sử dụng planimeter, cần cẩn thận thực hiện vài lần truy dấu và lấy trung bình. Kiểm tra trung bình bằng nhóm truy dấu lần hai.
D.8 Các điều phụ
D.8.1 Hơi ẩm trong khí mang có thể gây ảnh hưởng đối với đảo dòng, có thể bảo vệ bằng cách lắp cột chứa rây phân tử trước thiết bị. Thông thường ống dài 1 m đường kính 6 mm được nhồi bằng rây phân tử kích thước từ 30 đến 60 mesh là phù hợp, nếu có thay đổi với từng bình khí mang.
D.8.2 Định kỳ kiểm tra hệ thống dòng khí mang để phát hiện sự rò rỉ, sử dụng xà phòng hoặc dung dịch phát hiện rò rỉ.
D.8.3 Sử dụng chất làm sạch loại sử dụng cho tiếp xúc điện đối với bộ suy giảm nếu thấy có các tiếp xúc nhiễu.
D.8.4 Máy ghi chậm có thể dẫn đến các đỉnh vuông do sự bỏ sót các pic nhỏ. Nếu tình trạng này không khắc phục được bằng cách điều chỉnh độ khuếch đại, thì tiến hành kiểm tra các bộ phận điện tử của máy ghi.
Bạn chưa Đăng nhập thành viên.
Đây là tiện ích dành cho tài khoản thành viên. Vui lòng Đăng nhập để xem chi tiết. Nếu chưa có tài khoản, vui lòng Đăng ký tại đây!