- Tổng quan
- Nội dung
- VB gốc
- Tiếng Anh
- Hiệu lực
- VB liên quan
- Lược đồ
-
Nội dung hợp nhất
Tính năng này chỉ có tại LuatVietnam.vn. Nội dung hợp nhất tổng hợp lại tất cả các quy định còn hiệu lực của văn bản gốc và các văn bản sửa đổi, bổ sung, đính chính... trên một trang. Việc hợp nhất văn bản gốc và những văn bản, Thông tư, Nghị định hướng dẫn khác không làm thay đổi thứ tự điều khoản, nội dung.
Khách hàng chỉ cần xem Nội dung hợp nhất là có thể nắm bắt toàn bộ quy định hiện hành đang áp dụng, cho dù văn bản gốc đã qua nhiều lần chỉnh sửa, bổ sung.
- Tải về
Quyết định 796/QĐ-SGDHN 2019 sửa QĐ 189/QĐ-SGDHN Quy chế niêm yết hợp đồng tương lai
| Cơ quan ban hành: | Sở Giao dịch Chứng khoán Hà Nội |
Số công báo:
Số công báo là mã số ấn phẩm được đăng chính thức trên ấn phẩm thông tin của Nhà nước. Mã số này do Chính phủ thống nhất quản lý.
|
Đang cập nhật |
| Số hiệu: | 796/QĐ-SGDHN | Ngày đăng công báo: | Đang cập nhật |
| Loại văn bản: | Quyết định | Người ký: | Nguyễn Như Quỳnh |
| Trích yếu: | Về việc sửa đổi, bổ sung một số điều của Quy chế niêm yết và giao dịch hợp đồng tương lai tại Sở Giao dịch Chứng khoán Hà Nội ban hành kèm theo Quyết định 189/QĐ-SGDHN ngày 24/3/2017 của Tổng Giám đốc Sở Giao dịch Chứng khoán Hà Nội | ||
|
Ngày ban hành:
Ngày ban hành là ngày, tháng, năm văn bản được thông qua hoặc ký ban hành.
|
27/11/2019 |
Ngày hết hiệu lực:
Ngày hết hiệu lực là ngày, tháng, năm văn bản chính thức không còn hiệu lực (áp dụng).
|
Đang cập nhật |
|
Áp dụng:
Ngày áp dụng là ngày, tháng, năm văn bản chính thức có hiệu lực (áp dụng).
|
Đã biết
|
Tình trạng hiệu lực:
Cho biết trạng thái hiệu lực của văn bản đang tra cứu: Chưa áp dụng, Còn hiệu lực, Hết hiệu lực, Hết hiệu lực 1 phần; Đã sửa đổi, Đính chính hay Không còn phù hợp,...
|
Đã biết
|
| Lĩnh vực: | Chứng khoán | ||
TÓM TẮT QUYẾT ĐỊNH 796/QĐ-SGDHN
Sửa đổi quy chế niêm yết và giao dịch hợp đồng tương lai tại Sở Giao dịch Chứng khoán Hà Nội
Ngày 27/11/2019, Sở Giao dịch Chứng khoán Hà Nội đã ban hành Quyết định 796/QĐ-SGDHN về việc sửa đổi, bổ sung một số điều của Quy chế niêm yết và giao dịch hợp đồng tương lai, ban hành kèm theo Quyết định 189/QĐ-SGDHN ngày 24/3/2017. Quyết định này có hiệu lực từ ngày ký.
Quyết định này điều chỉnh các quy định liên quan đến việc niêm yết và giao dịch hợp đồng tương lai tại Sở Giao dịch Chứng khoán Hà Nội, áp dụng cho các tổ chức và cá nhân tham gia vào thị trường chứng khoán phái sinh.
Sửa đổi định nghĩa và điều kiện trái phiếu chuyển giao
Quyết định sửa đổi Khoản 14 và Khoản 33 Điều 3, trong đó định nghĩa lại "Danh sách trái phiếu đủ điều kiện chuyển giao" và "Trái phiếu chuyển giao". Trái phiếu chuyển giao là trái phiếu Chính phủ đáp ứng điều kiện và được đưa vào danh sách do Sở Giao dịch Chứng khoán công bố.
Giới hạn vị thế hợp đồng tương lai
Điều 20 được sửa đổi để quy định rằng giới hạn vị thế của hợp đồng tương lai do Trung tâm Lưu ký Chứng khoán quy định. Sở Giao dịch Chứng khoán phối hợp với Trung tâm Lưu ký Chứng khoán công bố giới hạn vị thế theo quy định.
Điều kiện trái phiếu chuyển giao vào ngày thanh toán cuối cùng
Điều 45 được sửa đổi để quy định các điều kiện cụ thể cho trái phiếu được sử dụng để chuyển giao vào ngày thanh toán cuối cùng của hợp đồng tương lai trái phiếu Chính phủ. Trái phiếu phải có mệnh giá 100.000 đồng, lãi suất danh nghĩa cố định, và đáp ứng các điều kiện về giá trị niêm yết tối thiểu và kỳ hạn còn lại.
Công bố danh sách trái phiếu đủ điều kiện chuyển giao
Sở Giao dịch Chứng khoán công bố danh sách trái phiếu đủ điều kiện chuyển giao khi niêm yết hợp đồng mới, kèm theo hệ số chuyển đổi tương ứng. Danh sách này được chốt ít nhất 30 ngày trước ngày giao dịch cuối cùng và không cập nhật thêm mã trái phiếu nào sau thời điểm chốt.
Sửa đổi công thức tính hệ số chuyển đổi
Phụ lục 01 về công thức tính hệ số chuyển đổi cũng được sửa đổi, bao gồm các yếu tố như lãi suất danh nghĩa của trái phiếu chuyển giao và trái phiếu giả định, số lần trả lãi trong năm, và số kỳ trả lãi còn lại.
Xem chi tiết Quyết định 796/QĐ-SGDHN có hiệu lực kể từ ngày 27/11/2019
Tải Quyết định 796/QĐ-SGDHN
|
SỞ GIAO DỊCH |
CỘNG HÒA XÃ HỘI CHỦ NGHĨA VIỆT NAM |
|
Số: 796/QĐ-SGDHN |
Hà Nội, ngày 27 tháng 11 năm 2019 |
QUYẾT ĐỊNH
Về việc sửa đổi, bổ sung một số điều của Quy chế niêm yết và giao dịch hợp đồng tương lai tại Sở Giao dịch Chứng khoán Hà Nội ban hành kèm theo quyết định số 189/QĐ- SGDHN ngày 24/3/2017 của Tổng Giám đốc Sở Giao dịch Chứng khoán Hà Nội
______________
TỔNG GIÁM ĐỐC
SỞ GIAO DỊCH CHỨNG KHOÁN HÀ NỘI
Căn cứ Quyết định số 01/2009/QĐ-TTg ngày 02/01/2009 của Thủ tướng Chính phủ về việc thành lập Sở Giao dịch Chứng khoán Hà Nội;
Căn cứ Điều lệ Tổ chức và hoạt động của Sở Giao dịch Chứng khoán Hà Nội ban hành kèm theo Quyết định số 2398/QĐ-BTC ngày 21/11/2017 của Bộ trưởng Bộ Tài chính;
Căn cứ Luật Chứng khoán số 70/2006/QH11 ngày 29/6/2006 và Luật số 62/2010/QH12 ngày 24/11/2010 sửa đổi, bổ sung một số điều của Luật Chứng khoán;
Căn cứ Nghị định số 58/2012/NĐ-CP ngày 20/7/2012 của Chính phủ quy định chi tiết và hướng dẫn thi hành một số điều của Luật Chứng khoán và Luật sửa đổi, bổ sung một số điều của Luật Chứng khoán; Nghị định số 60/2015/NĐ-CP ngày 26/6/2015 của Chính phủ sửa đổi, bổ sung một số điều của Nghị định số 58/2012/NĐ-CP;
Căn cứ Nghị định số 42/2015/NĐ-CP ngày 05/5/2015 của Chính phủ về chứng khoán phái sinh và thị trường chứng khoán phái sinh;
Căn cứ Thông tư số 11/2016/TT-BTC ngày 19/01/2016 của Bộ Tài chính hướng dẫn một số điều của Nghị định số 42/2015/NĐ-CP ngày 05/5/2015 của Chính phủ về chứng khoán phái sinh và thị trường chứng khoán phái sinh và Thông tư số 23/2017/TT-BTC ngày 16/3/2017 sửa đổi, bổ sung một số điều của Thông tư số 11/2016/TT-BTC ngày 19/01/2016;
Căn cứ Thông tư số 155/2015/TT-BTC ngày 06/10/2015 của Bộ Tài chính về việc công bố thông tin trên thị trường chứng khoán;
Căn cứ Nghị quyết số 232/NQ-HĐQT ngày 30/9/2019 của Hội đồng Quản trị Sở Giao dịch Chứng khoán Hà Nội;
Căn cứ Công văn số 6870/UBCK-PTTT ngày 13/11/2019 của Chủ tịch Ủy ban Chứng khoán Nhà nước về việc phê duyệt nội dung Quyết định sửa đổi, bổ sung một số điều của Quy chế niêm yết và giao dịch hợp đồng tương lai tại Sở Giao dịch Chứng khoán Hà Nội ban hành kèm theo Quyết định số 189/QĐ-SGDHN ngày 24/3/2017 của Tổng Giám đốc Sở Giao dịch Chứng khoán Hà Nội;
Theo đề nghị của Giám đốc phòng Thị trường Chứng khoán phái sinh,
QUYẾT ĐỊNH:
Điều 1. Sửa đổi, bổ sung một số điều của Quy chế niêm yết và giao dịch hợp đồng tương lai tại Sở Giao dịch Chứng khoán Hà Nội ban hành kèm theo Quyết định số 189/QĐ-SGDHN ngày 24/3/2017 của Tổng Giám đốc Sở Giao dịch Chứng khoán Hà Nội như sau:
1. Sửa đổi Khoản 14 và Khoản 33 Điều 3 như sau:
a) Sửa đổi Khoản 14 như sau:
“Danh sách trái phiếu đủ điều kiện chuyển giao: là danh mục các trái phiếu chuyển giao do SGDCK công bố theo quy định tại Khoản 2 Điều 45 Quy chế này.”
b) Sửa đổi Khoản 33 như sau:
“Trái phiếu chuyển giao: là trái phiếu Chính phủ đáp ứng điều kiện và được đưa vào danh sách trái phiếu đủ điều kiện chuyển giao.”
2. Sửa đổi Điều 20 như sau:
“Giới hạn vị thế của hợp đồng tương lai do TTLKCK quy định. SGDCK phối hợp với TTLKCK công bố giới hạn vị thế theo quy định tại điểm b khoản 3 Điều 27 Thông tư số 11/2016/TT-BTC.”
3. Sửa đổi Điều 45 như sau:
“1. Trái phiếu được sử dụng để chuyển giao vào ngày thanh toán cuối cùng của HĐTL TPCP là TPCP do KBNN phát hành và đáp ứng các điều kiện cụ thể sau:
a) Là trái phiếu mệnh giá một trăm nghìn (100.000) đồng, lãi suất danh nghĩa cố định, thanh toán lãi định kỳ vào cuối kỳ mười hai (12) tháng một lần, các kỳ trả lãi bằng nhau, thanh toán gốc một lần khi đáo hạn;
b) Đáp ứng điều kiện về giá trị niêm yết tối thiểu, điều kiện về kỳ hạn còn lại tính tại ngày thanh toán cuối cùng và các điều kiện khác (nếu có) quy định tại mẫu HĐTL TPCP.
2. SGDCK công bố thông tin về danh sách trái phiếu đủ điều kiện chuyển giao khi niêm yết hợp đồng mới kèm theo hệ số chuyển đổi tương ứng với từng mã trái phiếu trong danh sách trái phiếu đủ điều kiện chuyển giao. Thời điểm công bố danh sách trái phiếu đủ điều kiện chuyển giao là ba (03) ngày giao dịch trước ngày giao dịch đầu tiên của hợp đồng. SGDCK thực hiện chốt danh sách trái phiếu đủ điều kiện chuyển giao đối với các mã hợp đồng tối thiểu ba mươi (30) ngày trước ngày giao dịch cuối cùng. Sau thời điểm chốt danh sách, SGDCK và TTLKCK không cập nhật vào danh sách bất kỳ mã trái phiếu nào khác, kể cả khi đáp ứng điều kiện chuyển giao hoặc sử dụng để xác định giá thanh toán cuối cùng. Danh sách trái phiếu đủ điều kiện chuyển giao được cập nhật hàng ngày các mã trái phiếu đáp ứng đầy đủ các điều kiện nêu ở Khoản 1 Điều này cho đến ngày chốt danh sách”
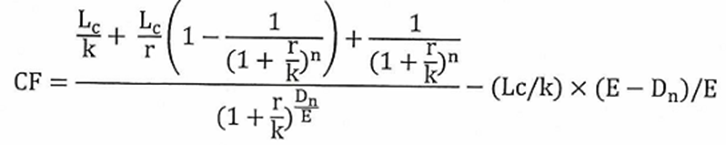
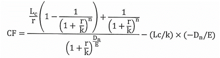
4. Sửa đổi, bổ sung Phụ lục 01 về công thức tính hệ số chuyển đổi như sau:
(1) Nếu ngày thanh toán cuối cùng của hợp đồng là ngày giao dịch hưởng quyền của trái phiếu chuyển giao

(2) Nếu ngày thanh toán cuối cùng của hợp đồng là ngày giao dịch không hưởng quyền của trái phiếu chuyển giao

Trong đó:
CF là hệ số chuyển đổi cho trái phiếu chuyển giao
Lc là lãi suất danh nghĩa (%/năm) của trái phiếu chuyển giao
r là lãi suất danh nghĩa (%/năm) của trái phiếu giả định
k là số lần trả lãi trong mỗi năm của trái phiếu chuyển giao
n là số kỳ trả lãi còn lại từ sau ngày trả lãi kế tiếp ngày thanh toán cuối cùng của hợp đồng cho đến khi trái phiếu đáo hạn.
E là số ngày thực tế của kỳ trả lãi có chứa ngày thanh toán cuối cùng của hợp đồng
Dn là số ngày thực tế từ ngày thanh toán cuối cùng của hợp đồng đến ngày trả lãi kế tiếp
Điều 2. Quyết định này có hiệu lực kể từ ngày ký.
Điều 3. Giám đốc phòng Tổng hợp Pháp chế, Thủ trưởng các đơn vị thuộc Sở Giao dịch Chứng khoán Hà Nội, các tổ chức và cá nhân liên quan chịu trách nhiệm thi hành Quyết định này./.
|
Nơi nhận: |
KT. TỔNG GIÁM ĐỐC |
Bạn chưa Đăng nhập thành viên.
Đây là tiện ích dành cho tài khoản thành viên. Vui lòng Đăng nhập để xem chi tiết. Nếu chưa có tài khoản, vui lòng Đăng ký tại đây!
Bạn chưa Đăng nhập thành viên.
Đây là tiện ích dành cho tài khoản thành viên. Vui lòng Đăng nhập để xem chi tiết. Nếu chưa có tài khoản, vui lòng Đăng ký tại đây!