- Tổng quan
- Nội dung
- VB gốc
- Tiếng Anh
- Hiệu lực
- VB liên quan
- Lược đồ
-
Nội dung hợp nhất
Tính năng này chỉ có tại LuatVietnam.vn. Nội dung hợp nhất tổng hợp lại tất cả các quy định còn hiệu lực của văn bản gốc và các văn bản sửa đổi, bổ sung, đính chính... trên một trang. Việc hợp nhất văn bản gốc và những văn bản, Thông tư, Nghị định hướng dẫn khác không làm thay đổi thứ tự điều khoản, nội dung.
Khách hàng chỉ cần xem Nội dung hợp nhất là có thể nắm bắt toàn bộ quy định hiện hành đang áp dụng, cho dù văn bản gốc đã qua nhiều lần chỉnh sửa, bổ sung.
- Tải về
Quyết định 714/QĐ-SGDHCM 2020 về Quy tắc xây dựng và quản lý Bộ chỉ số HOSE-Index phiên bản 3.0
| Cơ quan ban hành: | Sở Giao dịch Chứng khoán Thành phố Hồ Chí Minh |
Số công báo:
Số công báo là mã số ấn phẩm được đăng chính thức trên ấn phẩm thông tin của Nhà nước. Mã số này do Chính phủ thống nhất quản lý.
|
Đang cập nhật |
| Số hiệu: | 714/QĐ-SGDHCM | Ngày đăng công báo: | Đang cập nhật |
| Loại văn bản: | Quyết định | Người ký: | Nguyễn Vũ Quang Trung |
| Trích yếu: | Về Quy tắc xây dựng và quản lý Bộ chỉ số HOSE-Index phiên bản 3.0 | ||
|
Ngày ban hành:
Ngày ban hành là ngày, tháng, năm văn bản được thông qua hoặc ký ban hành.
|
09/11/2020 |
Ngày hết hiệu lực:
Ngày hết hiệu lực là ngày, tháng, năm văn bản chính thức không còn hiệu lực (áp dụng).
|
Đang cập nhật |
|
Áp dụng:
Ngày áp dụng là ngày, tháng, năm văn bản chính thức có hiệu lực (áp dụng).
|
Đã biết
|
Tình trạng hiệu lực:
Cho biết trạng thái hiệu lực của văn bản đang tra cứu: Chưa áp dụng, Còn hiệu lực, Hết hiệu lực, Hết hiệu lực 1 phần; Đã sửa đổi, Đính chính hay Không còn phù hợp,...
|
Đã biết
|
| Lĩnh vực: | Chứng khoán | ||
TÓM TẮT QUYẾT ĐỊNH 714/QĐ-SGDHCM
Quyết định 714/QĐ-SGDHCM: Quy tắc xây dựng và quản lý Bộ chỉ số HOSE-Index phiên bản 3.0
Quyết định 714/QĐ-SGDHCM được Sở Giao dịch Chứng khoán Thành phố Hồ Chí Minh ban hành ngày 09/11/2020, có hiệu lực từ ngày ký, thay thế Quyết định số 529/QĐ-SGDHCM ngày 20/12/2018. Quyết định này quy định về việc xây dựng và quản lý Bộ chỉ số HOSE-Index phiên bản 3.0, ảnh hưởng trực tiếp đến các công ty niêm yết trên Sở Giao dịch Chứng khoán TP.HCM.
Các quy định nổi bật ảnh hưởng đến công ty niêm yết:
Tư cách tham gia chỉ số: Cổ phiếu của công ty niêm yết phải không thuộc diện bị cảnh báo, kiểm soát, hoặc tạm ngừng giao dịch trong vòng 3 tháng tính đến ngày chốt dữ liệu xem xét. Cổ phiếu mới niêm yết dưới 6 tháng cũng không đủ điều kiện, trừ khi thuộc Top-5 về giá trị vốn hóa thị trường và đã niêm yết trên 3 tháng.
Tỷ lệ free-float: Tỷ lệ free-float của cổ phiếu phải đạt ít nhất 10% để được tham gia vào Bộ chỉ số. Cổ phiếu có tỷ lệ free-float dưới 10% sẽ bị loại, trừ khi giá trị vốn hóa điều chỉnh free-float đạt ngưỡng tối thiểu quy định.
Thanh khoản: Cổ phiếu phải có tỷ suất quay vòng chứng khoán tối thiểu 0,05% để được xem xét vào Bộ chỉ số. Cổ phiếu không đạt yêu cầu này sẽ bị loại khỏi danh sách.
Giới hạn tỷ trọng vốn hóa: Tỷ trọng vốn hóa của một cổ phiếu đơn lẻ trong rổ chỉ số bị giới hạn ở mức 10%, và 15% đối với nhóm cổ phiếu có liên quan.
Quản lý và điều chỉnh chỉ số:
Hội đồng chỉ số: Hội đồng chỉ số của Sở Giao dịch Chứng khoán TP.HCM có trách nhiệm tham vấn chiến lược và duy trì các tiêu chuẩn trong Quy tắc chỉ số, đảm bảo tính tin cậy và phù hợp với thị trường.
Điều chỉnh định kỳ: Các chỉ số sẽ được xem xét và điều chỉnh định kỳ vào tháng 1 và tháng 7 hàng năm. Thay đổi về khối lượng lưu hành và tỷ lệ free-float được cập nhật hàng quý.
Chính sách công bố thông tin: Thông tin về thay đổi cổ phiếu thành phần và các điều chỉnh khác sẽ được công bố vào thứ Hai lần thứ 3 của tháng 1, 4, 7 và 10 hàng năm, với hiệu lực từ ngày thứ Hai lần thứ 1 của tháng 2, 5, 8 và 11.
Quyết định này đặt ra các tiêu chuẩn và quy trình rõ ràng cho việc xây dựng và quản lý Bộ chỉ số HOSE-Index, nhằm cung cấp thông tin đầy đủ và toàn diện cho nhà đầu tư về thị trường chứng khoán tại TP.HCM.
Xem chi tiết Quyết định 714/QĐ-SGDHCM có hiệu lực kể từ ngày 09/11/2020
Tải Quyết định 714/QĐ-SGDHCM
|
BỘ TÀI CHÍNH |
CỘNG HÒA XÃ HỘI CHỦ NGHĨA VIỆT NAM |
|
Số: 714/QĐ-SGDHCM |
Thành phố Hồ Chí Minh, ngày 09 tháng 11 năm 2020 |
QUYẾT ĐỊNH
Ban hành Quy tắc xây dựng và quản lý Bộ chỉ số Hose-index phiên bản 3.0
________________
TỔNG GIÁM ĐỐC SỞ GIAO DỊCH CHỨNG KHOÁN
THÀNH PHỐ HỒ CHÍ MINH
Căn cứ Luật Chứng khoán ngày 29 tháng 6 năm 2006; Luật sửa đổi, bổ sung một số điều của Luật chứng khoán ngày 24 tháng 11 năm 2010;
Căn cứ Quyết định số 599/QĐ-TTg ngày 11 tháng 5 năm 2007 của Thủ tướng Chính phủ chuyển Trung tâm Giao dịch Chứng khoán Thành phố Hồ Chí Minh thành Sở Giao dịch Chứng khoán Thành phố Hồ Chí Minh;
Căn cứ Quyết định số 21/2015/QĐ-TTg ngày 18 tháng 6 năm 2015 của Thủ tướng Chính phủ về việc sửa đổi một số điều của Quyết định số 599/QĐ-TTg của Thủ tướng Chính phủ ngày 11 tháng 5 năm 2007 chuyển Trung tâm Giao dịch Chứng khoán Thành phố Hồ Chí Minh thành Sở Giao dịch Chứng khoán Thành phố Hồ Chí Minh;
Căn cứ Quyết định số 2399/QĐ-BTC ngày 21 tháng 11 năm 2017 của Bộ trưởng Bộ Tài chính ban hành Điều lệ tổ chức và hoạt động của Sở Giao dịch Chứng khoán Thành phố Hồ Chí Minh;
Căn cứ Quyết định số 446/QĐ-SGDHCM ngày 08 tháng 11 năm 2018 của Hội đồng quản trị Sở Giao dịch Chứng khoán Thành phố Hồ Chí Minh ban hành Quy chế tổ chức và hoạt động của Sở Giao dịch Chứng khoán Thành phố Hồ Chí Minh;
Căn cứ Công văn số 221/UBCK-PTTT ngày 25 tháng 01 năm 2011 của Ủy ban Chứng khoán Nhà nước về việc yêu cầu Sở Giao dịch Chứng khoán Thành phố Hồ Chí Minh nghiên cứu cách tính chỉ số chứng khoán;
Theo đề nghị của Giám đốc Phòng Nghiên cứu và Phát triển.
QUYẾT ĐỊNH:
|
Nơi nhận: |
KT. TỔNG GIÁM ĐỐC |
QUY TẮC
XÂY DỰNG VÀ QUẢN LÝ BỘ CHỈ SỐ HOSE-INDEX - PHIÊN BẢN 3.0
(Ban hành kèm theo Quyết định số 714/QĐ-SGDHCM ngày 09 tháng 11 năm 2020 của Tổng Giám đốc Sở Giao dịch Chứng khoán Thành phố Hồ Chí Minh)
MỤC LỤC
1. GIỚI THIỆU CHUNG
2. QUẢN LÝ CHỈ SỐ
3. PHƯƠNG PHÁP SÀNG LỌC BỘ CHỈ SỐ
4. XÁC LẬP RỔ CỔ PHIẾU LẦN ĐẦU VÀ XEM XÉT ĐỊNH KỲ CỔ PHIẾU THÀNH PHẦN
5. PHƯƠNG PHÁP TÍNH TOÁN CHỈ SỐ GIÁ
6. PHƯƠNG PHÁP TÍNH TOÁN CHỈ SỐ TỔNG THU NHẬP
7. GIỚI HẠN TỶ TRỌNG VỐN HÓA CỦA CỔ PHIẾU THÀNH PHẦN
8. CÁC ĐIỀU CHỈNH ĐỐI VỚI CỔ PHIẾU THÀNH PHẦN CỦA CHỈ SỐ
9. ĐIỀU CHỈNH HỆ SỐ CHIA
10. CHUẨN PHÂN NGÀNH GICS®
11. CHÍNH SÁCH CÔNG BỐ THÔNG TIN
12. THÔNG TIN LIÊN HỆ
PHỤ LỤC 1
LỊCH SỬ THAY ĐỔI QUY TẮC CHỈ SỐ:
|
Phiên bản 3.0 |
||
|
Khoản mục |
Nội dung |
Trang |
|
3.1 |
Bổ sung định nghĩa Giá trị giao dịch khớp lệnh và Khối lượng giao dịch khớp lệnh |
|
|
3.3.3 |
Điều chỉnh Điều kiện sàng lọc về tỷ lệ free-float |
|
|
3.3.5 |
Cập nhật quy tắc làm tròn tỷ lệ free-float khi tính toán chỉ số |
|
|
4.3.1 |
Điều chỉnh quy tắc xác định rổ VN30 |
|
|
8.1 |
Loại bỏ và thay thế cổ phiếu trong kỳ |
|
|
Phiên bản 2.3 |
||
|
Khoản mục |
Nội dung |
Trang |
|
6.5 |
Cập nhật tần suất tính toán |
|
|
7 |
Thay đổi, cập nhật mức giới hạn tỉ trọng với nhóm cổ phiếu có liên quan mẹ-con Bổ sung định nghĩa nhóm công ty liên quan. |
|
|
11 |
Thay đổi thời gian hiệu lực đối với các thay đổi định kỳ của chỉ số. |
|
|
Phiên bản 2.2 |
||
|
Khoản mục |
Nội dung |
Trang |
|
3.2, 8.1 |
Quy định rõ thời gian cổ phiếu bị tạm ngưng giao dịch |
|
|
3.5 |
Bổ sung sàng lọc đối với trường hợp cổ phiếu có biến động thị trường bất thường |
|
|
4.3.1 |
Quy định rõ hơn cách xác định rổ VN30 |
|
|
4.4 |
Bổ sung thời gian cập nhật danh mục cổ phiếu thành phần tại kỳ xem xét |
|
|
5.2 |
Làm rõ định nghĩa Hệ số chia |
|
|
8.2, 8.3 |
Điều chỉnh phương thức xử lý trường hợp sáp nhập, mua lại, chia hoặc tách công ty |
|
|
Phiên bản 2.1 |
||
|
Khoản mục |
Nội dung |
Trang |
|
2.1 |
Sửa đổi chức năng Hội đồng chỉ số |
|
|
2.4 |
Thay đổi điều kiện sửa đổi, bổ sung, hủy bỏ Quy tắc chỉ số |
|
|
3.1 |
Cập nhật ngày chốt dữ liệu |
|
|
3.3.2 |
Làm rõ đối tượng nắm giữ cổ phiếu không tự do chuyển nhượng |
|
|
3.3.4 |
Điều chỉnh thời gian cập nhật tỷ lệ free-float |
|
|
5.4 |
Điều chỉnh thời gian cập nhật khối lượng lưu hành |
|
|
7.3, 7.4 |
Làm rõ thời gian cập nhật tỷ trọng vốn hóa |
|
|
11 |
Sửa đổi thời gian công bố thông tin |
|
TÓM TẮT ĐẶC ĐIỂM BỘ CHỈ SỐ HOSE-INDEX
|
Tên chỉ số |
VN30 |
VNMidcap |
VNSmallcap |
VN100 |
VNAllshare |
VNAllshare Sector Indices |
|
|
Loại chỉ số |
Chỉ số giá / Chỉ số tổng thu nhập |
Chỉ số giá |
|||||
|
Đặc điểm chung |
Gồm những công ty niêm yết trên HOSE, đáp ứng tư cách tham gia vào Bộ chỉ số và các điều kiện sàng lọc. |
||||||
|
Quản lý duy trì chỉ số |
- Hội đồng chỉ số tham vấn chiến lược xây dựng tiêu chuẩn trong Quy tắc chỉ số - HOSE thực hiện việc xây dựng các quy tắc chỉ số và quản lý chỉ số hàng ngày |
||||||
|
Phương pháp tính |
Giá trị vốn hóa thị trường điều chỉnh tỷ lệ free-float. |
||||||
|
Số lượng cổ phiếu thành phần |
30 |
70 |
Không cố định |
100 |
Không cố định |
Không cố định |
|
|
Tiêu chí chọn lọc |
Tư cách cổ phiếu, tỷ lệ free-float, thanh khoản. |
||||||
|
Tiêu chí phân ngành |
|
Chuẩn phân ngành GICS® |
|||||
|
Thanh khoản |
Tỷ suất quay vòng chứng khoán ≥ 0,05% |
||||||
|
Tỷ lệ free-float (f) |
f ≥ 10%, trừ trường hợp được mô tả trong phần 3.3.3 |
||||||
|
Giới hạn tỷ trọng vốn hóa |
10% đối với cổ phiếu đơn lẻ 15% đối với nhóm cổ phiếu có liên quan |
10% với các cổ phiếu đơn lẻ. |
Không giới hạn |
||||
|
Xem xét định kỳ |
- Công bố thông tin thay đổi cổ phiếu thành phần chỉ số vào thứ Hai lần thứ 3 của tháng 1 và tháng 7 hàng năm. - Công bố thông tin cập nhật thông tin khối lượng lưu hành, free-float của cổ phiếu thành phần vào thứ Hai lần thứ 3 tháng 1, 4, 7 và 10 hàng năm. - Các thay đổi có hiệu lực áp dụng từ ngày thứ Hai lần thứ 1 của tháng 2, 5, 8 và 11. |
||||||
|
Tần suất tính toán |
Chỉ số giá: Theo thời gian thực (5 giây/ lần) Chỉ số tổng thu nhập: Cuối ngày giao dịch (1 ngày/lần) |
||||||
|
Ngày cơ sở |
Chỉ số giá |
02/01/2009 |
24/01/2014 |
25/01/2016 |
|||
|
Chỉ số tổng thu nhập |
24/07/2015 |
N/A |
|||||
|
Giá trị chỉ số cơ sở |
Chỉ số giá |
313.34 |
560.19 |
533.49 |
|||
|
Chỉ số tổng thu nhập |
657.97 |
689.67 |
659.75 |
604.21 |
607.18 |
N/A |
|
1. GIỚI THIỆU CHUNG
1.1. Quy tắc xây dựng và quản lý Bộ chỉ số HOSE-Index (sau đây gọi tắt là “Quy tắc chỉ số”) nêu ra các quy tắc để làm cơ sở cho việc xây dựng và quản lý các chỉ số thuộc Bộ chỉ số HOSE-Index của Sở Giao dịch Chứng khoán TP.HCM (HOSE). Quy tắc này được ban hành kèm theo Quyết định số /QĐ-SGDHCM ngày tháng năm 2020 của Tổng Giám đốc Sở GDCK TP.HCM.
1.2. Các chỉ số thuộc Bộ chỉ số HOSE-Index được tính toán theo hai phương pháp là chỉ số giá và chỉ số tổng thu nhập. Các chỉ số giá thể hiện biến động giá cổ phiếu của các công ty niêm yết trên HOSE đáp ứng tư cách tham gia vào Bộ chỉ số và các điều kiện sàng lọc, nhằm cung cấp cho nhà đầu tư thông tin đầy đủ và toàn diện về thị trường. Các chỉ số Tổng thu nhập thể hiện biến động giá và giá trị cổ tức của các cổ phiếu thành phần được tái đầu tư vào chỉ số.
1.3. Bộ chỉ số HOSE-Index bao gồm:
1.3.1. Chỉ số VNAllShare
Là chỉ số bao gồm tất cả các cổ phiếu niêm yết trên HOSE đáp ứng tư cách tham gia vào Bộ chỉ số và các điều kiện sàng lọc quy định tại mục 3 Quy tắc này.
1.3.2. Chỉ số VN30
Là chỉ số được xây dựng từ rổ cổ phiếu thành phần của VNAllshare, gồm 30 công ty có giá trị vốn hóa và thanh khoản hàng đầu đáp ứng các điều kiện được nêu tại mục 4.3.1.
1.3.3. Chỉ số VNMidcap
Là chỉ số được xây dựng từ rổ cổ phiếu thành phần của VNAllshare, gồm 70 công ty có giá trị vốn hóa sau VN30 đáp ứng các điều kiện được nêu tại mục 4.3.2.
1.3.4. Chỉ số VN100
Chỉ số bao gồm cổ phiếu thành phần của VN30 và VNMidcap.
1.3.5. Chỉ số VNSmallcap
Chỉ số bao gồm các cổ phiếu thành phần của VNAllshare và không thuộc chỉ số VN100.
1.3.6. Các chỉ số ngành VNAllshare Sector Indices
Các chỉ số ngành bao gồm cổ phiếu thành phần của chỉ số VNAllShare được phân thành các ngành theo định nghĩa của chuẩn phân ngành Global Industry Classification Standard (GICS®).
* Chuẩn phân ngành Global Industry Classification Standard (GICS®) được phát triển và là tài sản độc quyền của MSCI Inc. và Standard & Poor’s. GICS® là thương hiệu của MSCI và S&P và cấp quyền cho HOSE sử dụng.
2. QUẢN LÝ CHỈ SỐ
2.1. Hội đồng chỉ số Sở GDCK TP.HCM
Hội đồng chỉ số Sở GDCK TP.HCM là hội đồng độc lập được HOSE thành lập để thực hiện chức năng tham vấn chiến lược về việc xây dựng và duy trì các tiêu chuẩn trong Quy tắc xây dựng và quản lý chỉ số Bộ chỉ số HOSE-Index đáp ứng nhu cầu hiện tại và tương lai của thị trường; tham vấn cho HOSE về các vấn đề liên quan đến chỉ số chung nhằm đảm bảo tính tin cậy và phù hợp với thị trường.
Thành phần của Hội đồng chỉ số, phạm vi trách nhiệm, nguyên tắc tổ chức và hoạt động, giải quyết mâu thuẫn lợi ích và bảo mật sẽ được quy định cụ thể tại “Quy chế tổ chức và hoạt động của Hội đồng chỉ số Sở GDCK TP.HCM”.
2.2. Tổ chức thực hiện
HOSE là cơ quan xây dựng Quy tắc chỉ số và thực hiện việc quản lý chỉ số hàng ngày.
2.3. Các trường hợp không bao hàm trong Quy tắc chỉ số
Trong trường hợp phát sinh các sự kiện chưa được đề cập trong Quy tắc chỉ số, HOSE, theo quan điểm của mình, có thể sử dụng các biện pháp điều chỉnh phù hợp nhằm đảm bảo lợi ích cao nhất cho nhà đầu tư và thị trường.
HOSE sẽ thông báo đến Hội đồng chỉ số nếu HOSE quyết định bất kỳ một trường hợp nào chưa được đề cập cụ thể trong Quy tắc chỉ số để tham vấn ý kiến của Hội đồng chỉ số.
Nếu một trường hợp ngoại lệ nào đó được chấp nhận thì điều này không tạo ra tiền lệ cho các quyết định sau này của HOSE.
2.4. Sửa đổi, bổ sung, hủy bỏ Quy tắc chỉ số
Quy tắc chỉ số có thể được bổ sung, sửa đổi hoặc hủy bỏ toàn bộ hoặc một phần tại bất kỳ thời điểm nào. Việc sửa đổi, bổ sung hoặc hủy bỏ các quy tắc có thể dẫn đến những thay đổi trong việc xây dựng và quản lý Bộ chỉ số hoặc ảnh hưởng trực tiếp đến các chỉ số.
HOSE chuyển đến Hội đồng chỉ số các phương án liên quan đến việc sửa đổi, bổ sung hoặc hủy bỏ Quy tắc chỉ số trong phạm vi trách nhiệm của Hội đồng để tham vấn ý kiến.
2.5. Trách nhiệm pháp lý
Căn cứ vào mục đích của Quy tắc chỉ số và khả năng sửa đổi, bổ sung, hủy bỏ Quy tắc chỉ số theo từng thời điểm, HOSE và Hội đồng chỉ số (hay bất kỳ cá nhân nào liên quan đến công tác chuẩn bị hay công bố Quy tắc chỉ số) không chịu trách nhiệm pháp lý về bất kỳ những thua lỗ, mất mát, khiếu kiện, tổn thất hay chi phí phát sinh của bất kỳ cá nhân, tổ chức nào do một hoặc nhiều nguyên nhân sau:
(i) Tin tưởng vào Quy tắc chỉ số hoặc dữ liệu của các cổ phiếu thành phần trong rổ chỉ số; và/hoặc,
(ii) Những sai sót hoặc nội dung không chính xác trong Quy tắc chỉ số; và/hoặc,
(iii) Những sai sót hoặc không chính xác trong việc thu thập và sử dụng dữ liệu liên quan đến xác định cổ phiếu không tự do chuyển nhượng; và/hoặc,
(iv) Việc không áp dụng hoặc áp dụng sai những chính sách và quy trình được mô tả trong Quy tắc chỉ số; và/hoặc,
(v) Những sai sót hoặc không chính xác trong việc biên soạn, tính toán chỉ số hoặc dữ liệu của các cổ phiếu thành phần trong rổ chỉ số.
Trong phạm vi quyền hạn của mình, HOSE sẽ tiến hành mọi biện pháp cần thiết để đảm bảo tính chính xác của Quy tắc Bộ Chỉ số và các dữ liệu thành phần của các chỉ số cũng như việc tính toán, điều chỉnh và công bố các chỉ số theo các quy tắc phù hợp.
2.6. Quyền sở hữu trí tuệ
Quyền sở hữu trí tuệ đối với Quy tắc chỉ số và các chỉ số trong Bộ chỉ số HOSE-Index bao gồm tên, thành phần và việc tính toán chỉ số thuộc về HOSE. Việc sao chép toàn bộ hay một phần Quy tắc Bộ Chỉ số mà không có sự cho phép của HOSE đều bị coi là vi phạm bản quyền, bị ngăn cấm và xử lý theo quy định của pháp luật.
2.7. Chính sách sửa lỗi
Với mục tiêu duy trì Bộ chỉ số có tiêu chuẩn cao nhất về độ chính xác, toàn vẹn, tin cậy về nguồn dữ liệu và tuân theo thông lệ tốt nhất trong quy trình thống kê và vận hành, các sai sót về dữ liệu trong quá trình tính toán sẽ được điều chỉnh và người sử dụng chỉ số sẽ được thông báo kịp thời. Tuy nhiên, các sai sót nhỏ phát sinh không ảnh hưởng lớn đến tính chính xác của chỉ số sẽ được điều chỉnh mà không nhất thiết phải thông báo.
2.8. Tính toán lại chỉ số
Chỉ số sẽ được tính toán lại khi có sai lệch đáng kể. Người sử dụng chỉ số sẽ được thông báo trong thời gian sớm nhất.
3. PHƯƠNG PHÁP SÀNG LỌC BỘ CHỈ SỐ
3.1. Các định nghĩa áp dụng
- Giá trị vốn hóa (GTVH): là bình quân của giá trị vốn hóa hàng ngày trong 12 tháng gần nhất tính tới ngày chốt dữ liệu xem xét.
Đối với cổ phiếu có thời gian niêm yết dưới 12 tháng, GTVH được tính là bình quân của giá trị vốn hóa hàng ngày từ thời điểm niêm yết tới ngày chốt dữ liệu xem xét.
- Giá trị vốn hóa điều chỉnh free-float (GTVH_f): là giá trị vốn hóa (GTVH) x tỷ lệ free-float chưa làm tròn (f).
- Giá trị giao dịch (GTGD): là bình quân của trung vị giá trị giao dịch hàng ngày trong tháng của 12 tháng gần nhất tính tới ngày chốt dữ liệu xem xét. Giá trị giao dịch hàng ngày bao gồm giao dịch khớp lệnh và giao dịch thỏa thuận. (Tham khảo cách tính trung vị tại mục 13.1- Phụ lục 1)
- Giá trị giao dịch khớp lệnh (GTGD_KL): là bình quân của trung vị giá trị giao dịch khớp lệnh hàng ngày trong tháng của 12 tháng gần nhất tính tới ngày chốt dữ liệu xem xét. (Tham khảo cách tính trung vị tại mục 13.1- Phụ lục 1)
- Khối lượng giao dịch khớp lệnh (KLGD_KL): là bình quân của trung vị khối lượng giao dịch khớp lệnh hàng ngày trong tháng của 12 tháng gần nhất tính tới ngày chốt dữ liệu xem xét. (Tham khảo cách tính trung vị tại mục 13.1- Phụ lục 1)
Đối với cổ phiếu có thời gian niêm yết dưới 12 tháng, GTGD, GTGD_KL và KLGD_KL được tính lần lượt là bình quân của trung vị giá trị giao dịch, giá trị giao dịch khớp lệnh và khối lượng giao dịch khớp lệnh hàng ngày trong tháng từ thời điểm niêm yết tới ngày chốt dữ liệu xem xét.
- Ngày chốt dữ liệu: là ngày giao dịch cuối cùng của tháng 6 và 12 đối với việc xem xét thay đổi định kỳ thành phần chỉ số, tháng 3 và 9 đối với việc cập nhật thông tin khối lượng lưu hành và tỷ lệ free-float của cổ phiếu.
3.2. Tư cách tham gia vào chỉ số
Cổ phiếu đủ tư cách tham gia vào Bộ chỉ số khi KHÔNG thuộc một trong các diện sau đây:
- Cổ phiếu thuộc diện bị cảnh báo do vi phạm công bố thông tin, kiểm soát, kiểm soát đặc biệt, tạm ngừng giao dịch (ngoại trừ tạm ngừng giao dịch do thực hiện các sự kiện doanh nghiệp như tách/gộp cổ phiếu, chia tách/sáp nhập v.v... dưới 30 ngày giao dịch) trong vòng 3 tháng tính đến ngày chốt dữ liệu xem xét.
- Cổ phiếu có thời gian niêm yết trên Sở GDCK TP.HCM (HOSE) dưới 6 tháng tính đến ngày chốt dữ liệu xem xét, ngoại trừ cổ phiếu niêm yết trên HOSE có giá trị vốn hóa thị trường thuộc Top-5 và thời gian niêm yết trên 3 tháng.
3.3.1. Công thức tỷ lệ free-float
Tỷ lệ free-float là tỷ lệ khối lượng cổ phiếu tự do chuyển nhượng so với khối lượng cổ phiếu đang lưu hành trên thị trường.
Tỷ lệ free-float (f) được tính theo công thức sau:
|
ƒ = |
Khối lượng cổ phiếu đang lưu hành- khối lượng cổ phiếu không tự do chuyển nhượng |
|
Khối lượng cổ phiếu đang lưu hành |
3.3.2. Cổ phiếu không tự do chuyển nhượng bao gồm một trong các trường hợp sau:
- Cổ phiếu của các đối tượng còn trong thời gian hạn chế chuyển nhượng theo quy định của pháp luật như: (1) cổ đông sáng lập, (2) phát hành riêng lẻ dưới 100 nhà đầu tư, (3) phát hành cổ phiếu cho cán bộ công nhân viên, (4) cổ phiếu bị hạn chế chuyển nhượng của doanh nghiệp FDI khi chuyển sang công ty cổ phần, và (5) các trường hợp hạn chế chuyển nhượng khác theo quy định;
- Cổ phiếu thuộc sở hữu của cổ đông nội bộ và người có liên quan;
- Cổ phiếu thuộc sở hữu của cổ đông chiến lược;
- Cổ phiếu thuộc sở hữu của cổ đông nhà nước;
- Cổ phiếu thuộc sở hữu chéo trực tiếp giữa các công ty; và,
- Cổ phiếu thuộc sở hữu của cổ đông lớn, ngoại trừ nắm giữ của các tổ chức kinh doanh bảo hiểm, tổ chức kinh doanh chứng khoán (công ty quản lý quỹ và công ty chứng khoán) và quỹ đầu tư chứng khoán. Sở hữu cổ phiếu của cổ đông lớn vẫn bị hạn chế chuyển nhượng cho đến khi tỷ lệ năm giữ giảm xuống dưới 4%.
3.3.3. Điều kiện sàng lọc về tỷ lệ free-float
- f (chưa làm tròn) ≥ 10%: đáp ứng điều kiện tham gia vào Bộ chỉ số
- f (chưa làm tròn) < 10%:="" loại="" khỏi="" bộ="" chỉ="" số,="" ngoại="" trừ="" cổ="" phiếu="" có="" gtvh_f="">lớn hơn hoặc bằng 2.000 tỷ VNĐ đối với các cổ phiếu thuộc Bộ chỉ số kỳ trước và GTVH_f lớn hơn hoặc bằng 2.500 tỷ VNĐ đối với các cổ phiếu mới.
3.3.4. Điều chỉnh tỷ lệ free-float
- Tỷ lệ free-float của tất cả cổ phiếu thành phần trong chỉ số sẽ được điều chỉnh toàn bộ theo định kỳ 3 tháng/lần.
- Trong những trường hợp đặc biệt, HOSE có thể xem xét điều chỉnh tỷ lệ free-float vào giữa kỳ.
- Thời gian công bố thông tin và hiệu lực về thay đổi đổi freefloat được nêu trong Chính sách công bố thông tin tại mục 11.
- Khi điều chỉnh free-float, hệ số chia sẽ được điều chỉnh tương ứng để đảm bảo tính liên tục của chỉ số.
3.3.5. Làm tròn tỷ lệ free-float khi tính toán chỉ số
Tỷ lệ free-float tính chỉ số sẽ được làm tròn để tính toán chỉ số và giới hạn tỷ trọng theo nguyên tắc sau:
• Với tỷ lệ free-float ≤ 15%: Làm tròn lên theo bước 1%.
• Với tỷ lệ free-float > 15%: Làm tròn lên theo bước 5%.
|
Tỷ lệ free-float |
≤ 1% |
≤ 2% |
≤ 3% |
≤ 4% |
≤ 5% |
≤ 6% |
≤ 7% |
≤ 8% |
≤ 9% |
≤ 10% |
|
Làm tròn |
1% |
2% |
3% |
4% |
5% |
6% |
7% |
8% |
9% |
10% |
|
Tỷ lệ free-float |
≤ 11% |
≤ 12% |
≤ 13% |
≤ 14% |
≤ 15% |
≤ 20% |
≤ 25% |
≤ 30% |
≤ 35% |
≤ 40% |
≤ 45% |
|
Làm tròn |
11% |
12% |
13% |
14% |
15% |
20% |
25% |
30% |
35% |
40% |
45% |
|
Tỷ lệ free-float |
≤ 50% |
≤ 55% |
≤ 60% |
≤ 65% |
≤ 70% |
≤ 75% |
≤ 80% |
≤ 85% |
≤ 90% |
≤ 95% |
≤ 100% |
|
Làm tròn |
50% |
55% |
60% |
65% |
70% |
75% |
80% |
85% |
90% |
95% |
100% |
3.4. Thanh khoản
- Các cổ phiếu sẽ được sàng lọc thanh khoản bằng cách tính toán Tỷ suất quay vòng chứng khoán
|
Tỷ suất quay vòng = |
Giá trị giao dịch |
|
Giá trị vốn hóa điều chỉnh free-float |
- Cổ phiếu không thuộc thành phần của chỉ số kỳ trước có Tỷ suất quay vòng nhỏ hơn 0,05% sẽ bị loại khỏi Bộ chỉ số.
- Cổ phiếu thuộc thành phần của chỉ số kỳ trước có Tỷ suất quay vòng nhỏ hơn 0,04% sẽ bị loại khỏi Bộ chỉ số.
4. XÁC LẬP RỔ CỔ PHIẾU LẦN ĐẦU VÀ XEM XÉT ĐỊNH KỲ CỔ PHIẾU THÀNH PHẦN
4.1. Việc xác lập rổ cổ phiếu lần đầu tiên được thực hiện tương tự như các bước xem xét định kỳ dưới đây nhưng không xét đến thao tác ưu tiên cổ phiếu thuộc thành phần của rổ chỉ số kỳ trước.
4.2. Thời gian xem xét
Cổ phiếu thành phần của các chỉ số sẽ được xem xét bán niên vào tháng một và tháng bảy hàng năm.
4.3. Phương pháp chọn cổ phiếu vào rổ chỉ số tại kỳ xem xét
Tập hợp các cổ phiếu đáp ứng các điều kiện nêu tại mục 3.2, 3.3 và 3.4 là thành phần của chỉ số VNAllshare. Các cổ phiếu này sẽ lần lượt được lựa chọn vào các rổ chỉ số VN30, VNMidcap, VNSmallcap và VN100 như sau:
4.3.1. Xác định rổ VN30
a. Các cổ phiếu thành phần của chỉ số VNAllshare sẽ được xem xét lựa chọn dựa theo KLGD_KL. Cổ phiếu có mức KLGD_KL nhỏ hơn 100.000 CP sẽ bị loại khỏi danh sách xem xét.
b. Các cổ phiếu còn lại sau bước 4.3.1.a sẽ được xem xét lựa chọn dựa theo GTGD KL:
+ Cổ phiếu thuộc thành phần của chỉ số VN30 kỳ trước có GTGD_KL nhỏ hơn 9 tỷ VNĐ sẽ bị loại khỏi danh sách xem xét.
+ Cổ phiếu không thuộc thành phần của chỉ số VN30 kỳ trước có GTGD_KL nhỏ hơn 10 tỷ VNĐ sẽ bị loại khỏi danh sách xem xét.
+ Trường hợp tập hợp cổ phiếu chưa đủ số lượng tối thiểu là 50, lựa chọn các cổ phiếu theo thứ tự giảm dần về GTGD_KL cho đến khi đạt đủ số lượng tối thiểu. Trường hợp có 2 cổ phiếu trở lên có GTGD_KL bằng nhau, vị trí của các cổ phiếu này được xếp theo thứ tự ưu tiên về GTVH.
c. Các cổ phiếu còn lại sau bước 4.3.1 .b sẽ được sắp xếp theo thứ tự giảm dần về GTVH. Trường hợp có 2 cổ phiếu trở lên có GTVH bằng nhau, vị trí của các cổ phiếu này được xếp theo thứ tự ưu tiên về GTGD_KL.
d. Các cổ phiếu được chọn vào rổ VN30 theo thứ tự ưu tiên như sau
+ Loại trừ các cổ phiếu thuộc diện cảnh báo trong vòng 3 tháng tính đến ngày chốt dữ liệu hoặc từ ngày chốt dữ liệu đến ngày chính thức áp dụng rổ chỉ số mới.
+ Cổ phiếu đứng ở vị trí thứ 20 trở lên: luôn được chọn vào rổ VN30.
+ Cổ phiếu đứng ở vị trí 21 đến 40: ưu tiên cổ phiếu đã có trong danh mục cổ phiếu thành phần của rổ VN30 kỳ trước, sau đó mới xét đến cổ phiếu mới sao cho số lượng cổ phiếu trong rổ bằng 30 cổ phiếu.
e. Danh mục cổ phiếu dự phòng
+ 05 cổ phiếu có GTVH lớn nhất sau khi đã xác định rổ VN30 tại bước 4.3.1.d sẽ được chọn vào danh mục cổ phiếu dự phòng theo thứ tự giảm dần về GTVH, sử dụng để thay thế trong trường hợp một hay nhiều cổ phiếu thành phần của VN30 bị loại bỏ khỏi rổ chỉ số trong kỳ. (Tham khảo mục 8 - Các điều chỉnh trong kỳ đối với cổ phiếu thành phần của chỉ số)
+ Cổ phiếu sẽ bị loại khỏi danh mục dự phòng rổ VN30 nếu trong kỳ rơi vào diện cảnh báo, kiểm soát, kiểm soát đặc biệt, tạm ngừng giao dịch.
4.3.2. Xác định rổ VNMidcap
a. Các cổ phiếu còn lại của VNAllshare không bao gồm 30 cổ phiếu thành phần của rổ VN30 được xếp theo thứ tự giảm dần về GTVH. Trường hợp có 2 cổ phiếu trở lên có GTVH bằng nhau, vị trí của các cổ phiếu này được xếp theo thứ tự ưu tiên về GTGD. Các cổ phiếu này được chọn vào rổ VNMidcap theo thứ tự ưu tiên như sau:
+ Cổ phiếu đứng ở vị trí thứ 40 trở lên: được chọn vào rổ VNMidcap;
+ Cổ phiếu đứng ở vị trí 41 đến 80: ưu tiên cổ phiếu đã có trong danh mục cổ phiếu thành phần của rổ VNMidcap kỳ trước, sau đó mới xét đến cổ phiếu mới sao cho số lượng trong rổ bằng 70 cổ phiếu.
b. Danh mục cổ phiếu dự phòng:
+ 10 cổ phiếu có GTVH lớn nhất sau khi đã xác định rổ VNMidcap tại bước 4.3.2.a được chọn vào danh mục cổ phiếu dự phòng theo thứ tự giảm dần về GTVH, sử dụng để thay thế trong trường hợp có một hay nhiều cổ phiếu thành phần của VNMidcap bị loại bỏ khỏi rổ chỉ số trong kỳ. (Tham khảo mục 8 - Các điều chỉnh đối với cổ phiếu thành phần của chỉ số)
+ Cổ phiếu sẽ bị loại khỏi danh mục dự phòng rổ VNMidcap nếu rơi vào diện cảnh báo do vi phạm công bố thông tin, kiểm soát, kiểm soát đặc biệt, tạm ngừng giao dịch.
4.3.3. Chỉ số VN100
+ Gồm 100 cổ phiếu là các cổ phiếu thành phần của chỉ số VN30 và VNMidcap.
4.3.4. Chỉ số VNSmallcap
+ Gồm các cổ phiếu còn lại của VNAllshare sau khi loại trừ các cổ phiếu thành phần của chỉ số VN100.
4.3.5. Các chỉ số ngành
+ Gồm các cổ phiếu là cổ phiếu thành phần của chỉ số VNAllshare có cùng nhóm ngành được phân theo chuẩn phân ngành GICS®.
4.4. Trong khoảng thời gian từ ngày chốt dữ liệu đến ngày chính thức áp dụng rổ mới, danh mục cổ phiếu thành phần của các chỉ số tại mục 4.3 sẽ tiếp tục được cập nhật, loại trừ các cổ phiếu rơi vào diện bị cảnh báo do vi phạm công bố thông tin, diện cảnh báo (đối với rổ VN30), diện kiểm soát, kiểm soát đặc biệt, tạm ngừng giao dịch (ngoại trừ tạm ngừng giao dịch do thực hiện sự kiện doanh nghiệp dưới 30 ngày giao dịch), cổ phiếu bị hủy niêm yết. Việc thay thế cổ phiếu bị loại sẽ tiến hành tương tự việc điều chỉnh trong kỳ quy định tại mục 8.1.
4.5. Cổ phiếu thành phần của các chỉ số VN30, VNMidcap, VNSmallcap không đồng thời trùng nhau.
4.6. Số lượng cổ phiếu thành phần
- Chỉ số VN30, VNMidcap, VN100: cố định.
- Chỉ số VNSmallcap, VNAllshare: không cố định.
- Các chỉ số ngành: không cố định.
5. PHƯƠNG PHÁP TÍNH TOÁN CHỈ SỐ GIÁ
5.1. Bộ chỉ số HOSE-Index được tính toán dựa trên phương pháp giá trị vốn hóa điều chỉnh free-float.
5.2. Công thức tính chỉ số
|
Chỉ số = |
CMV |
|
Hệ số chia |
Trong đó:
CMV (Giá trị vốn hóa thị trường hiện tại):

- i = 1, 2, 3... n
- n: số cổ phiếu trong rổ chỉ số.
- pi: giá của cổ phiếu i trong rổ chỉ số tại thời điểm tính toán.
- si: khối lượng đang lưu hành của cổ phiếu i trong rổ chỉ số tại thời điểm tính toán.
- fi: tỷ lệ free-float làm tròn của cổ phiếu i trong rổ chỉ số tại thời điểm tính toán. (Tham khảo cách làm tròn free-float tại mục 3.2.5)
- ci: hệ số giới hạn tỷ trọng vốn hóa của cổ phiếu i trong rổ chỉ số tại thời điểm tính toán. (Tham khảo mục 6 - Giới hạn tỷ trọng vốn hóa của cố phiếu thành phần)
Hệ số chia: Tại ngày cơ sở, Hệ số chia bằng Giá trị vốn hóa thị trường vào thời điểm đóng cửa chia cho Giá trị cơ sở của chỉ số. Trong trường hợp tăng/giảm CMV do những nguyên nhân khác với biến động giá trên thị trường, Hệ số chia sẽ được điều chỉnh nhằm đảm bảo tính liên tục của chỉ số.
5.3. Giá để tính toán chỉ số
Giá để tính toán chỉ số là giá khớp lệnh gần nhất của các cổ phiếu trong rổ tính đến thời điểm chỉ số được tính. Trường hợp không có giá khớp lệnh thì sẽ lấy giá đóng cửa gần nhất của cổ phiếu đó hoặc giá đóng cửa điều chỉnh đối với cổ phiếu có xảy ra sự kiện doanh nghiệp (không bao gồm sự kiện chia cổ tức bằng tiền mặt thông thường)
5.4. Khối lượng cổ phiếu đang lưu hành
5.4.1. Khối lượng cổ phiếu đang lưu hành là khối lượng cổ phiếu do nhà đầu tư nắm giữ bao gồm cổ phiếu không tự do chuyển nhượng và cổ phiếu tự do chuyển nhượng. Cổ phiếu do công ty mua lại (cổ phiếu quỹ) không được xem là cổ phiếu đang lưu hành.
5.4.2. Thay đổi khối lượng cổ phiếu đang lưu hành do phát sinh từ sự kiện doanh nghiệp của các cổ phiếu thành phần sẽ được cập nhật và áp dụng đồng thời với sự kiện doanh nghiệp.
5.4.3. Đối với các trường hợp khác ngoài sự kiện doanh nghiệp, khối lượng cổ phiếu đang lưu hành của tất cả cổ phiếu thành phần trong chỉ số sẽ được điều chỉnh toàn bộ theo định kỳ 3 tháng/lần.
5.4.4. Trong những trường hợp đặc biệt, HOSE có thể xem xét điều chỉnh khối lượng cổ phiếu đang lưu hành vào giữa kỳ.
5.4.5. Thời gian công bố thông tin, hiệu lực của các thay đổi về khối lượng lưu hành được nêu trong Chính sách công bố thông tin tại mục 11.
5.5. Tần suất tính toán chỉ số
Các chỉ số giá thuộc Bộ chỉ số HOSE-Index được tính toán theo thời gian thực và công bố 5 giây/lần vào tất cả các ngày giao dịch.
6. PHƯƠNG PHÁP TÍNH TOÁN CHỈ SỐ TỔNG THƯ NHẬP
6.1. Công thức tính chỉ số
TRIt = TRIt-1 x (1 + PriceReturnt + DividendYieldt)
Trong đó:
* TRIt = chỉ số tổng thu nhập tại ngày t
* TRIt-1 = chỉ số tổng thu nhập tại ngày t-1
* PriceReturn: tăng trưởng chỉ số giá tại ngày t so với ngày t-1

- IAt = chỉ số A tại ngày t
- IAt-1 = chỉ số A tại ngày t-1

- IndexDividendt được tính trên tổng cổ tức bằng tiền của các cổ phiếu có mặt trong rổ chỉ số giá A tại ngày t

Trong đó:
- DPSi = cổ tức bằng tiền mặt trên một cổ phiếu của cổ phiếu i thuộc chỉ số vào ngày t
- si = khối lượng lưu hành tính chỉ số của cổ phiếu i tại ngày t-1
- fi = tỷ lệ free float làm tròn của cổ phiếu i tại ngày t
- ci = tỷ trọng của cổ phiếu i tại ngày t
- Hệ số chiat = Hệ số chia của chỉ số giá A vào ngày t
6.2. Chỉ số tổng thu nhập được tính toán căn cứ trên chỉ số gốc là các chỉ số giá trong Bộ chỉ số HOSE-Index.
6.4. Việc tính toán chỉ số tổng thu nhập được thực hiện với giả thiết cổ tức bằng tiền mặt đã sẵn sàng vào ngày giao dịch không hưởng quyền và được tái đầu tư lại rổ chỉ số vào đầu ngày giao dịch không hưởng quyền.
6.5. Cổ tức tái đầu tư vào chỉ số là cổ tức gộp (chưa trừ thuế).
6.6. Các trường hợp điều chỉnh do có sự kiện doanh nghiệp đối với chỉ số tổng thu nhập sẽ được điều chỉnh và phản ánh trong chỉ số giá tương ứng.
6.7. Chỉ số tổng thu nhập sẽ được tính toán một lần và công bố vào thời điểm cuối ngày giao dịch khi thị trường đóng cửa.
7. GIỚI HẠN TỶ TRỌNG VỐN HÓA CỦA CỔ PHIẾU THÀNH PHẦN
7.1. Để tránh tình trạng một cổ phiếu đơn lẻ hay một nhóm cổ phiếu có liên quan trong chỉ số chiếm tỷ trọng vốn hóa quá lớn, tỷ trọng vốn hóa của các cổ phiếu và nhóm cổ phiếu có liên quan thành phần trong rổ chỉ số sẽ được giới hạn ở một ngưỡng xác định.
7.2. Nhóm cổ phiếu có liên quan gồm công ty mẹ và các công ty con được trình bày trên báo cáo tài chính hợp nhất bán niên soát xét hoặc báo cáo tài chính hợp nhất kiểm toán năm gần nhất tại ngày chốt dữ liệu xem xét thành phần chỉ số.
7.3. Ngưỡng giới hạn tỷ trọng vốn hóa áp dụng cho một cổ phiếu đơn lẻ thành phần là 10% và một nhóm cổ phiếu có liên quan thuộc chỉ số là 15%.
7.4. Áp dụng giới hạn tỷ trọng vốn hóa cho cổ phiếu đơn lẻ đối với các chỉ số gồm VNAllshare, VNMidcap, VN100, VNSmallcap. Áp dụng giới hạn tỷ trọng vốn hóa cho cổ phiếu đơn lẻ và nhóm cổ phiếu có liên quan đối với chỉ số VN30. Không áp dụng giới hạn tỷ trọng vốn hóa đối với chỉ số ngành.
7.5. Quy trình tính toán giới hạn tỷ trọng vốn hóa sử dụng giá đóng cửa (hoặc giá đóng cửa điều chỉnh nếu cổ phiếu có sự kiện doanh nghiệp), khối lượng lưu hành và tỷ lệ free-float của cổ phiếu thành phần thuộc danh mục chỉ số tại phiên giao dịch liền trước thứ Hai lần thứ 3 của tháng 1, 4, 7 và 10 hàng năm. Trong trường hợp có sự thay đổi thành phần theo mục 4.4, giới hạn tỷ trọng vốn hóa cổ phiếu thành phần của chỉ số sẽ được cập nhật lại, sử dụng các dữ liệu tại phiên giao dịch liền trước thứ Hai lần thứ 1 của tháng 2, 5, 8 và 11 hàng năm.
7.6. Trong trường hợp có biến động đặc biệt về giá trị vốn hóa hoặc thay đổi về cổ phiếu thành phần của rổ chỉ số trong kỳ, quy trình tính toán giới hạn tỷ trọng vốn hóa sử dụng giá đóng cửa (hoặc giá đóng cửa điều chỉnh nếu cố phiếu có sự kiện doanh nghiệp), khối lượng lưu hành và tỷ lệ free-float của cổ phiếu thành phần thuộc danh mục chỉ số tại ngày giao dịch liền trước ngày công bố thông tin.
7.7. Việc điều chỉnh tỷ trọng vốn hóa sẽ được thực hiện lần lượt như sau:
7.7.1. Điều chỉnh tỷ trọng vốn hóa của cổ phiếu đơn lẻ, nhóm cổ phiếu xuống bằng ngưỡng giới hạn quy định tại mục 7.3, theo công thức tại mục 7.8. Đối với chỉ số VN30, tỷ trọng nhóm cổ phiếu có liên quan được điều chỉnh đồng thời cùng với các cổ phiếu riêng lẻ.
7.7.2. Nếu việc điều chỉnh làm cho tỷ trọng vốn hóa của một cổ phiếu hoặc một nhóm cổ phiếu nào khác trong rổ chỉ số tăng lên và vượt quá ngưỡng giới hạn (10% đối với cổ phiếu đơn lẻ và 15% đối với nhóm cổ phiếu có liên quan) thì quy trình tính toán sẽ được lặp lại cho đến khi tất cả cổ phiếu và các nhóm cổ phiếu trong rổ đều có tỷ trọng vốn hóa không vượt quá ngưỡng giới hạn.
7.7.3. Trường hợp sau bước tại mục 7.7.2, trong nhóm cổ phiếu có liên quan có cổ phiếu đơn lẻ vượt quá 10%, phần giá trị vốn hóa vượt mức 10% sẽ được phân bổ theo tỷ trọng cho các cổ phiếu còn lại thuộc nhóm cổ phiếu đó.

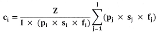
Trong đó:
- i: Cổ phiếu hay nhóm cổ phiếu có liên quan vượt quá ngưỡng giới hạn tỷ trọng vốn hóa
- j: cổ phiếu hay nhóm cổ phiếu có liên quan không vượt quá ngưỡng giới hạn tỷ trọng vốn hóa
- J: tập hợp các cổ phiếu hay nhóm cổ phiếu có liên quan không bị giới hạn tỷ trọng vốn hóa
- p x s x f: giá trị vốn hóa có điều chỉnh freefloat của cổ phiếu đơn lẻ hay nhóm cổ phiếu có liên quan.
- I: tổng tỷ trọng vốn hóa của các cổ phiếu hay nhóm cổ phiếu có liên quan không vượt quá giới hạn tỷ trọng.
- Z: ngưỡng giới hạn tỷ trọng vốn hóa (10% đối với cổ phiếu đơn lẻ và 15% đối với nhóm cổ phiếu có liên quan)
- ci: hệ số giới hạn tỷ trọng vốn hóa của cổ phiếu (%), nhằm đảm bảo tỷ trọng vốn hóa của cổ phiếu không vượt quá ngưỡng giới hạn xác định.
7.9. Thay đổi giới hạn tỷ trọng vốn hóa
7.9.1. Việc xem xét và điều chỉnh giới hạn tỷ trọng vốn hóa sẽ được thực hiện định kì 3 tháng / lần hoặc được tính lại khi có biến động đặc biệt về giá trị vốn hóa hoặc thay đổi về cổ phiếu thành phần của rổ chỉ số trong kỳ. Khi điều chỉnh giới hạn tỷ trọng vốn hóa, Hệ số chia cũng sẽ được điều chỉnh để đảm bảo tính liên tục của chỉ số. (Tham khảo mục 9 - Điều chỉnh hệ số chia)
7.9.2. Trường hợp có thay đổi cổ phiếu thành phần của rổ chỉ số kết hợp với sự kiện doanh nghiệp, giới hạn tỷ trọng vốn hóa sẽ được tính toán lại ở bước cuối cùng sau khi đã cập nhật xong sự kiện doanh nghiệp.
7.9.3. Thời gian công bố thông tin, hiệu lực của các thay đổi về giới hạn tỷ trọng vốn hóa được nêu trong Chính sách công bố thông tin tại mục 11.
|
STT |
Nội dung điều chỉnh |
Cách thức điều chỉnh |
|
|
Điều chỉnh định kỳ |
Điều chỉnh trong kỳ |
||
|
8.1 |
Loại bỏ và thay thế cổ phiếu |
Cổ phiếu trong rổ bị loại bỏ/ thay thế khi không đáp ứng các điều kiện quy định ở mục 4 của Quy tắc chỉ số tại kỳ xem xét. |
- Cổ phiếu bị rơi vào diện bị kiểm soát, kiểm soát đặc biệt, bị tạm ngừng giao dịch (ngoại trừ tạm ngừng giao dịch do thực hiện các sự kiện doanh nghiệp như việc tách/gộp cổ phiếu, chia tách/sáp nhập, ... dưới 30 ngày giao dịch), bị hủy niêm yết sẽ bị loại bỏ khỏi danh mục cổ phiếu thành phần của chỉ số vào ngày hiệu lực. - Cổ phiếu có free-float nhỏ hơn 10% và GTVH_f nhỏ hơn 2.000 tỷ đồng sẽ bị loại bỏ khỏi danh mục cổ phiếu thành phần của chỉ số vào ngày thông tin cập nhật free-float có hiệu lực (tháng 5 và 11 hàng năm). - Việc thay thế cổ phiếu bị loại sẽ được điều chỉnh như sau: + Cổ phiếu bị loại bỏ thuộc chỉ số VN30/ VNMidcap sẽ được thay thế bởi cổ phiếu có thứ tự xếp hạng cao nhất trong danh sách cổ phiếu dự phòng của VN30/ VNMidcap. + Cổ phiếu bị loại bỏ thuộc chỉ số VNSmallcap không được thay thế. + Chỗ khuyết trong rổ VNMidcap do sử dụng cổ phiếu dự phòng của VN30 sẽ tiếp tục được thay thế bởi cổ phiếu dự phòng của VNMidcap. + Các thay đổi đối với VN30, VNMidcap, VNSmallcap sẽ tự động tác động đến VN100, VNAllshare và chỉ số ngành. + Cổ phiếu bị loại bỏ khỏi VN30, VNMidcap hoặc VNSmallcap sẽ đương nhiên bị loại bỏ khỏi Bộ chỉ số HOSE-Index cho đến kỳ xem xét kế tiếp nếu đáp ứng các điều kiện quy định tại mục 3. |
|
8.2 |
Sáp nhập và mua lại |
Sáp nhập giữa các công ty là thành phần của chỉ số |
|
|
|
|
|
- Công ty mới hình thành vẫn là cổ phiếu thành phần của chỉ số, sẽ được điều chỉnh một số thông tin liên quan (khối lượng lưu hành, tỷ lệ free-float và tỷ trọng vốn hóa). - Công ty bị sáp nhập sẽ bị loại ra khỏi rổ. - Việc thay thế cổ phiếu bị loại bỏ tương tự cách điều chỉnh chỉ số trong kỳ tại mục 8.1 |
|
Công ty thuộc chỉ số bị mua lại bởi công ty khác không thuộc chỉ số: |
|||
|
|
- Công ty ban đầu trong chỉ số sẽ bị loại bỏ khỏi chỉ số. - Công ty mua lại sẽ tham gia vào chỉ số nếu đáp ứng các điều kiện sàng lọc vào kỳ kế tiếp. - Việc thay thế cổ phiếu bị loại bỏ tương tự cách điều chỉnh chỉ số trong kỳ tại mục 8.1 |
||
|
8.3 |
Chia hoặc tách công ty |
Chia công ty (Công ty bị chia chấm dứt tồn tại) |
|
|
|
- Các công ty mới hình thành sẽ bị loại bỏ khỏi chỉ số và được xem xét tham gia vào chỉ số tại kỳ kế tiếp nếu đáp ứng các điều kiện sàng lọc. - Việc thay thế cổ phiếu bị loại bỏ tương tự cách điều chỉnh chỉ số trong kỳ tại mục 8.1 |
||
|
Tách công ty (Công ty bị tách không chấm dứt tồn tại) |
|||
|
|
- Công ty bị tách sẽ được tiếp tục ở trong chỉ số nếu đáp ứng các điều kiện sàng lọc và có GTVH lớn hơn so với giá trị của cổ phiếu có thứ hạng thấp nhất trong rổ chỉ số đó. - Công ty được tách mới sẽ chỉ được xem xét tham gia vào chỉ số tại kỳ kế tiếp nếu đáp ứng các điều kiện sàng lọc. - Việc thay thế cổ phiếu bị loại bỏ tương tự cách điều chỉnh chỉ số trong kỳ tại mục 8.1 |
||
9. ĐIỀU CHỈNH HỆ SỐ CHIA
Trong trường hợp có sự tăng hoặc giảm giá trị vốn hóa thị trường mà nguyên nhân không phải do sự biến động giá thị trường mà là do các sự kiện doanh nghiệp hoặc các thay đổi về số lượng cổ phiếu thành phần, số chia cần phải được điều chỉnh để đảm bảo tính liên tục của chỉ số. Nguyên tắc điều chỉnh số chia là làm cho chỉ số trước và sau khi có biến động là bằng nhau.
Chỉ số sau điều chỉnh = Chỉ số trước điều chỉnh


Trong đó:
- Hệ số chiatrước = Hệ số chia trước khi điều chỉnh
- CMVtrước = Giá trị vốn hóa thị trường trước khi điều chỉnh
- Hệ số chiasau = Hệ số chia sau khi điều chỉnh
- CMVsau = Giá trị vốn hóa thị trường sau điều chỉnh
Dưới đây là bảng tóm tắt các sự kiện cần phải điều chỉnh số chia:
|
STT |
Sự kiện |
Thời điểm điều chỉnh Hệ số chia |
|
1 |
CHIA CỔ TỨC BẰNG TIỀN MẶT |
|
|
1.1 |
Cổ tức bằng tiền mặt thông thường: (Giá trị cổ tức bằng tiền mặt < 10%="" giá="" đóng="" cửa="" của="" ngày="" liền="" trước="" ngày="" giao="" dịch="" không="" hưởng=""> |
Không điều chỉnh hệ số chia |
|
1.2 |
Cổ tức bằng tiền mặt đặc biệt: (Giá trị cổ tức bằng tiền mặt ≥ 10% giá đóng cửa của ngày liền trước ngày giao dịch không hưởng quyền). |
Điều chỉnh cuối ngày trước ngày giao dịch không hưởng quyền (T-1) |
|
2 |
TĂNG VỐN |
|
|
2.1 |
Phát hành quyền cho cổ đông hiện hữu với giá quyền ≠ 0 với điều kiện giá phát hành nhỏ hơn giá đóng cửa hoặc giá đóng cửa điều chỉnh các quyền khác (nếu xảy ra cùng với các sự kiện doanh nghiệp khác). |
Điều chỉnh cuối ngày trước ngày giao dịch không hưởng quyền (T-1) |
|
2.2 |
Phát hành quyền cho cổ đông hiện hữu với giá quyền = 0: - Phát hành cổ phiếu thưởng. - Trả cổ tức bằng cổ phiếu. |
Không điều chỉnh hệ số chia |
|
3 |
TĂNG VỐN KHÁC |
|
|
3.1 |
- Phát hành riêng lẻ (PP) cho đối tác chiến lược / nhân viên công ty. - Phát hành ra công chúng (PO). |
Điều chỉnh cuối ngày trước ngày niêm yết cổ phiếu mới (T-1) |
|
3.2 |
Tăng vốn do sáp nhập/mua lại. |
Điều chỉnh cuối ngày trước ngày niêm yết mới (T-1) |
|
3.3 |
- Chuyển đổi cổ phiếu ưu đãi. - Chuyển đổi trái phiếu. |
Điều chỉnh cuối ngày trước ngày niêm yết cổ phiếu mới (T-1) |
|
4 |
GIẢM VỐN |
Điều chỉnh cuối ngày trước ngày hiệu lực của sự kiện (T-1) |
|
5 |
TÁCH/ GỘP MỆNH GIÁ CỔ PHIẾU |
Không điều chỉnh hệ số chia |
|
6 |
THAY ĐỔI TỶ LỆ FREE-FLOAT, KHỐI LƯỢNG CỔ PHIẾU ĐANG LƯU HÀNH KHÁC |
Điều chỉnh định kì 3 tháng / lần vào cuối ngày giao dịch liền trước thứ Hai lần thứ 1 của tháng 2, 5, 8, 11 hàng năm |
|
7 |
TỶ LỆ GIỚI HẠN VỐN HÓA |
Điều chỉnh định kì 3 tháng / lần vào cuối ngày giao dịch liền trước thứ Hai lần thứ 1 của tháng 2, 5, 8, 11 hàng năm hoặc khi thay đổi thành phần cổ phiếu trong kỳ. |
|
8 |
LOẠI BỎ/ THAY THẾ CỔ PHIẾU KHỎI RỔ CHỈ SỐ TRONG KỲ |
Điều chỉnh hệ số chia cuối ngày trước ngày áp dụng chính thức loại bỏ/ thay thế cổ phiếu. |
|
9 |
XEM XÉT ĐỊNH KỲ RỔ CHỈ SỐ |
Điều chỉnh hệ số chia vào cuối ngày trước ngày rổ mới có hiệu lực |
Lưu ý:
- Các sự kiện khác phát sinh trong tương lai sẽ được điều chỉnh theo thực tiễn.
10.1. GICS® (Global Industry Classification Standard) là chuẩn phân ngành dành cho thị trường chứng khoán do S&P kết hợp với MSCI xây dựng. Thông tin về chuẩn phân ngành GICS® được MSCI và S&P chịu trách nhiệm quản lý và công bố.
10.2. Các cổ phiếu niêm yết trên HOSE sẽ được MSCI và S&P thực hiện phân ngành theo chuẩn phân ngành GICS® và thông tin phân ngành các công ty niêm yết được cập nhật tại trang chủ của HOSE: www.hsx.vn.
10.3. Việc xem xét và cập nhật phân ngành cho các cổ phiếu thành phần của chỉ số ngành sẽ được thực hiện định kì 06 tháng/lần vào cùng ngày chốt dữ liệu xem xét định kỳ chỉ số.
Các thay đổi về chỉ số, ngoại trừ những trường hợp đặc biệt, sẽ được công bố trên website của HOSE (www.hsx.vn) theo thời gian như sau:
|
STT |
Nội dung |
Thời gian |
|
A |
Thay đổi định kỳ |
|
|
1 |
Công bố thông tin về thay đổi về danh mục cổ phiếu thành phần của chỉ số tại kỳ xem xét cổ phiếu thành phần chỉ số. |
Thứ Hai lần thứ 3 của tháng 1 và tháng 7 và hiệu lực áp dụng vào thứ Hai lần thứ 1 của tháng 2 và tháng 8. |
|
2 |
Công bố thông tin về cập nhật thay đổi về tỷ lệ free-float, khối lượng lưu hành, giới hạn tỷ trọng vốn hóa. |
Thứ Hai lần thứ 3 của tháng 1, 4, 7 và 10 và hiệu lực áp dụng vào thứ Hai lần thứ 1 của tháng 2, 5, 8 và 11. |
|
B |
Thay đổi trong kỳ |
|
|
1 |
Công bố thông tin về loại bỏ / thay thế cổ phiếu trong rổ (cổ phiếu bị loại bỏ/ thay thế, khối lượng lưu hành, giới hạn tỷ trọng vốn hóa). |
Ít nhất 05 ngày làm việc trước ngày hiệu lực áp dụng vào rổ chỉ số. |
|
2 |
Công bố thông tin về sự kiện doanh nghiệp. |
Phương pháp xử lý các sự kiện doanh nghiệp được công bố theo quy định hiện hành của HOSE. |
|
3 |
Công bố thông tin về chính sách quản lý chỉ số. |
Ít nhất 30 ngày trước ngày hiệu lực áp dụng. Tuy nhiên, thời gian trên có thể linh động nếu các thay đổi không mâu thuẫn với quyền lợi của các bên liên quan. |
|
C |
Các công bố khác Các thông báo đề cập tại mục 2.7 và 2.8 hoặc các công bố khác. |
Công bố trong thời gian sớm nhất. |
Lưu ý:
- Trong trường hợp ngày công bố thông tin (thứ Hai lần thứ 3 của tháng 1, 4, 7, 10) và/hoặc ngày hiệu lực áp dụng (thứ Hai lần thứ 1 của tháng 2, 5, 8, 11) trùng với ngày nghỉ lễ, Tết thì ngày công bố thông tin và/hoặc ngày hiệu lực sẽ là ngày giao dịch đầu tiên ngay sau đó.
12. THÔNG TIN LIÊN HỆ
Để biết thêm thông tin hoặc các phản hồi về Bộ Chỉ số xin truy cập trang chủ www.hsx.vn hoặc liên hệ:
- Phòng Nghiên cứu và phát triển - Sở GDCK TPHCM về phương pháp xây dựng và tính toán chỉ số.
- Phòng Đối ngoại - Sở GDCK TPHCM về dịch vụ cung cấp thông tin.
SỞ GIAO DỊCH CHỨNG KHOÁN TP HỒ CHÍ MINH
ĐỊA CHỈ: 16 VÕ VĂN KIỆT, Q.1, TP.HCM.
SỐ ĐT: (84-8) 38 217 713, SỐ FAX: (84-8) 38 217 452
WEBSITE: https://www.hsx.vn
EMAIL: [email protected]
1. Bình quân của trung vị giá trị giao dịch hàng ngày trong tháng của 12 tháng
a. Trung vị giá trị giao dịch hàng ngày trong tháng được xác định bằng cách sắp xếp theo thứ tự giảm dần giá trị giao dịch hàng ngày trong tháng, chọn giá trị ở giữa làm trung vị (trong trường hợp có 2 ngày ở giữa thì sẽ lấy giá trị bình quân của 2 ngày này).
Ví dụ 1: Cổ phiếu A đã niêm yết đủ 12 tháng. GTGD hàng ngày của cổ phiếu A

b. Tính bình quân của trung vị trong tháng của 12 tháng
Bình quân = (Trung vị 1 + Trung vị 2 +....+ Trung vị 12)/12
• Đối với cổ phiếu có thời gian niêm yết dưới 12 tháng, GTGD được tính là bình quân của trung vị giá trị giao dịch hàng ngày trong tháng từ thời điểm niêm yết tới ngày chốt dữ liệu xem xét.
Ví dụ 2: Cổ phiếu B đã niêm yết từ tháng 5. Chốt dữ liệu xem xét vào tháng 12.
GTGD hàng ngày của cổ phiếu B

Bình quân của trung vị trong tháng của của cổ phiếu B:
Bình quân = (Trung vị 5 + Trung vị 6 +....+ Trung vị 12)/8
Bạn chưa Đăng nhập thành viên.
Đây là tiện ích dành cho tài khoản thành viên. Vui lòng Đăng nhập để xem chi tiết. Nếu chưa có tài khoản, vui lòng Đăng ký tại đây!
Bạn chưa Đăng nhập thành viên.
Đây là tiện ích dành cho tài khoản thành viên. Vui lòng Đăng nhập để xem chi tiết. Nếu chưa có tài khoản, vui lòng Đăng ký tại đây!