- Tổng quan
- Nội dung
- VB gốc
- Tiếng Anh
- Hiệu lực
- VB liên quan
- Lược đồ
-
Nội dung hợp nhất
Tính năng này chỉ có tại LuatVietnam.vn. Nội dung hợp nhất tổng hợp lại tất cả các quy định còn hiệu lực của văn bản gốc và các văn bản sửa đổi, bổ sung, đính chính... trên một trang. Việc hợp nhất văn bản gốc và những văn bản, Thông tư, Nghị định hướng dẫn khác không làm thay đổi thứ tự điều khoản, nội dung.
Khách hàng chỉ cần xem Nội dung hợp nhất là có thể nắm bắt toàn bộ quy định hiện hành đang áp dụng, cho dù văn bản gốc đã qua nhiều lần chỉnh sửa, bổ sung.
- Tải về
Quyết định 115/QĐ-VSD 2022 Quy chế quản lý và sử dụng Quỹ bù trừ cho thị trường chứng khoán phái sinh
| Cơ quan ban hành: | Trung tâm Lưu ký Chứng khoán Việt Nam |
Số công báo:
Số công báo là mã số ấn phẩm được đăng chính thức trên ấn phẩm thông tin của Nhà nước. Mã số này do Chính phủ thống nhất quản lý.
|
Đang cập nhật |
| Số hiệu: | 115/QĐ-VSD | Ngày đăng công báo: | Đang cập nhật |
| Loại văn bản: | Quyết định | Người ký: | Dương Văn Thanh |
|
Ngày ban hành:
Ngày ban hành là ngày, tháng, năm văn bản được thông qua hoặc ký ban hành.
|
09/09/2022 |
Ngày hết hiệu lực:
Ngày hết hiệu lực là ngày, tháng, năm văn bản chính thức không còn hiệu lực (áp dụng).
|
Đã biết
|
|
Áp dụng:
Ngày áp dụng là ngày, tháng, năm văn bản chính thức có hiệu lực (áp dụng).
|
Đã biết
|
Tình trạng hiệu lực:
Cho biết trạng thái hiệu lực của văn bản đang tra cứu: Chưa áp dụng, Còn hiệu lực, Hết hiệu lực, Hết hiệu lực 1 phần; Đã sửa đổi, Đính chính hay Không còn phù hợp,...
|
Đã biết
|
| Lĩnh vực: | Chứng khoán |
TÓM TẮT QUYẾT ĐỊNH 115/QĐ-VSD
Ngày 09/9/2022, Trung tâm Lưu ký Chứng khoán Việt Nam đã ra Quyết định 115/QĐ-VSD về việc ban hành Quy chế quản lý và sử dụng Quỹ bù trừ cho thị trường chứng khoán phái sinh tại Trung tâm Lưu ký Chứng khoán Việt Nam.
Theo đó, thành viên bù trừ có trách nhiệm đóng góp vào Quỹ bù trừ bằng tiền (VND) hoặc tiền và chứng khoán. Tỷ lệ đóng góp bằng tiền phải đảm bảo tối thiểu là 80% trên tổng giá trị tài sản đóng góp Quỹ bù trừ. VSD quy định tỷ lệ đóng góp bằng tiền cụ thể sau khi được Ủy ban Chứng khoán Nhà nước chấp thuận và công bố trên trang thông tin điện tử của VSD ít nhất 02 ngày làm việc trước khi áp dụng.
Ngoài ra, tài sản đóng góp và Quỹ bù trừ là tài sản thuộc sở hữu thành viên bù trừ và được VSD theo dõi và quản lý theo từng thành viên bù trừ. Chậm nhất vào ngày làm việc thứ hai của tháng tiếp theo, VSD gửi văn bản thông báo theo hình thức email và gửi qua đường bưu điện cho từng thành viên bù trừ các thông tin liên quan đến tài sản đóng góp Quỹ bù trừ của thành viên đó.
Trường hợp phát hiện sai lệch, thành viên bù trừ có trách nhiệm thông báo cho VSD vào ngày làm việc tiếp theo. Thành viên bù trừ có trách nhiệm hoàn tất việc đóng góp bổ sung (nếu có) trong thời hạn 03 ngày làm việc kể từ ngày nhận được thông báo, trường hợp chậm nộp khoản đóng góp sẽ bị xử lý theo quy định tại Quy chế thành viên bù trừ chứng khoán phái sinh tại VSD.
Quyết định có hiệu lực thi hành kể từ ngày ký.
Xem chi tiết Quyết định 115/QĐ-VSD có hiệu lực kể từ ngày 09/09/2022
Tải Quyết định 115/QĐ-VSD
|
TRUNG TÂM LƯU KÝ |
CỘNG HÒA XÃ HỘI CHỦ NGHĨA VIỆT NAM |
|
Số: 115/QĐ-VSD |
Hà Nội, ngày 09 tháng 9 năm 2022 |
QUYẾT ĐỊNH
Ban hành Quy chế quản lý và sử dụng Quỹ bù trừ cho thị trường chứng khoán phái sinh tại Trung tâm Lưu ký Chứng khoán Việt Nam
____________
TỔNG GIÁM ĐỐC TRUNG TÂM LƯU KÝ CHỨNG KHOÁN VIỆT NAM
Căn cứ Luật Chứng khoán ngày 26 tháng 11 năm 2019;
Căn cứ Nghị định số 158/2020/NĐ-CP ngày 31 tháng 12 năm 2020 của Chính phủ về chứng khoán phái sinh và thị trường chứng khoán phái sinh;
Căn cứ Thông tư số 58/2021/TT-BTC ngày 12 tháng 07 năm 2021 của Bộ trưởng Bộ Tài chính hướng dẫn một số điều của Nghị định số 158/2020/NĐ-CP ngày 31 tháng 12 năm 2020 của Chính phủ về chứng khoán phái sinh và thị trường chứng khoán phái sinh;
Căn cứ Quyết định số 171/2008/QĐ-TTg ngày 18 tháng 12 năm 2008 của Thủ tướng Chính phủ về việc thành lập Trung tâm Lưu ký Chứng khoán Việt Nam;
Căn cứ Quyết định số 2396/QĐ-BTC ngày 21 tháng 11 năm 2017 của Bộ trưởng Bộ Tài chính về việc ban hành Điều lệ Tổ chức và hoạt động của Trung tâm Lưu ký Chứng khoán Việt Nam;
Căn cứ Nghị quyết số 10/2022/NQ-HĐQT ngày 11 tháng 02 năm 2022 của Hội đồng Quản trị Trung tâm Lưu ký Chứng khoán Việt Nam thống nhất thông qua nội dung dự thảo Quy chế quản lý và sử dụng quỹ bù trừ cho thị trường chứng khoán phái sinh tại Trung tâm Lưu ký Chứng khoán Việt Nam;
Căn cứ Công văn số 5962/UBCK-PTTT ngày 07 tháng 9 năm 2022 của Ủy ban Chứng khoán Nhà nước về việc chấp thuận dự thảo Quyết định ban hành Quy chế quản lý và sử dụng Quỹ bù trừ cho thị trường chứng khoán phái sinh tại Trung tâm Lưu ký Chứng khoán Việt Nam;
Theo đề nghị của Trưởng phòng Bù trừ và Thanh toán Giao dịch Chứng khoán.
QUYẾT ĐỊNH:
Điều 1. Ban hành kèm theo Quyết định này “Quy chế quản lý và sử dụng Quỹ bù trừ cho thị trường chứng khoán phái sinh tại Trung tâm Lưu ký Chứng khoán Việt Nam”.
Điều 2. Quyết định này có hiệu lực kể từ ngày ký và thay thế Quyết định số 97/QĐ-VSD ngày 23 tháng 3 năm 2017 của Tổng Giám đốc Trung tâm Lưu ký Chứng khoán Việt Nam về việc ban hành Quy chế quản lý và sử dụng Quỹ bù trừ, Quyết định 145/QĐ-VSD ngày 04 tháng 8 năm 2017 về việc sửa đổi, bổ sung Quy chế quản lý và sử dụng Quỹ bù trừ ban hành kèm theo Quyết định số 97/QĐ-VSD ngày 23 tháng 3 năm 2017 của Tổng Giám đốc Trung tâm Lưu ký Chứng khoán Việt Nam.
Điều 3. Giám đốc Chi nhánh tại Tp. Hồ Chí Minh, Trưởng phòng Bù trừ và Thanh toán Giao dịch Chứng khoán, Chánh Văn phòng Hội đồng quản trị, Trưởng các phòng thuộc Trung tâm Lưu ký Chứng khoán Việt Nam, các tổ chức và cá nhân liên quan chịu trách nhiệm thi hành Quyết định này./.
|
Nơi nhận: |
TỔNG GIÁM ĐỐC |
QUY CHẾ
QUẢN LÝ VÀ SỬ DỤNG QUỸ BÙ TRỪ CHO THỊ TRƯỜNG CHỨNG KHOÁN PHÁI SINH TẠI TRUNG TÂM LƯU KÝ CHỨNG KHOÁN VIỆT NAM
(Ban hành kèm theo Quyết định số 115/QĐ-VSD ngày 09 tháng 9 năm 2022 của Tổng Giám đốc Trung tâm Lưu ký Chứng khoán Việt Nam)
Điều 1. Phạm vi điều chỉnh, đối tượng áp dụng
1. Phạm vi điều chỉnh
Quy chế này quy định một số nội dung liên quan đến việc quản lý và sử dụng Quỹ bù trừ cho thị trường chứng khoán phái sinh (sau đây gọi tắt là Quỹ bù trừ) do Trung tâm Lưu ký Chứng khoán Việt Nam quản lý, bao gồm:
a) Mục đích hoạt động, nguồn thu, các nội dung chi từ Quỹ bù trừ;
b) Tài sản đóng góp Quỹ bù trừ, tỷ lệ đóng góp vào Quỹ bù trừ bằng tiền và loại chứng khoán đóng góp vào Quỹ bù trừ;
c) Phương thức đánh giá quy mô Quỹ bù trừ;
d) Quy trình nộp, rút, thay thế tài sản đóng góp Quỹ bù trừ;
đ) Cách thức nhận và phân bổ lãi tiền gửi và tiền lãi sử dụng Quỹ bù trừ;
e) Sử dụng, hoàn trả số tiền đã sử dụng từ Quỹ bù trừ, quản lý tách biệt tài sản đóng góp Quỹ bù trừ;
g) Hoàn trả tài sản đóng góp vào Quỹ bù trừ cho thành viên bù trừ;
h) Quyền và nghĩa vụ của các bên liên quan.
2. Đối tượng áp dụng của Quy chế này bao gồm:
a) Trung tâm Lưu ký Chứng khoán Việt Nam (sau đây gọi tắt là VSD);
b) Thành viên bù trừ chứng khoán phái sinh (sau đây gọi tắt là thành viên bù trừ);
c) Các tổ chức, cá nhân khác có liên quan.
Điều 2. Mục đích hoạt động của Quỹ bù trừ
Quỹ bù trừ được hình thành từ các khoản đóng góp của thành viên bù trừ với mục đích bồi thường thiệt hại và hoàn tất các giao dịch chứng khoán phái sinh đứng tên thành viên bù trừ trong trường hợp thành viên bù trừ, nhà đầu tư mất khả năng thanh toán.
Điều 3. Nguồn thu Quỹ bù trừ
1. Khoản đóng góp tối thiểu ban đầu thực hiện theo quy định tại khoản 2 Điều 16 Thông tư số 58/2021/TT-BTC ngày 12/7/2021 của Bộ Tài chính hướng dẫn một số điều của Nghị định số 158/2020/NĐ-CP ngày 31/12/2020 của Chính phủ về chứng khoán phái sinh và thị trường chứng khoán phái sinh (sau đây gọi tắt là Thông tư số 58/2021/TT-BTC).
2. Khoản đóng góp bổ sung định kỳ được xác định hàng tháng trên cơ sở đánh giá lại quy mô Quỹ bù trừ theo nguyên tắc sau:
a) Quy mô Quỹ bù trừ được đánh giá trên cơ sở dữ liệu giá giao dịch của các hợp đồng tương lai trong tối thiểu 252 ngày giao dịch. Việc xác định quy mô Quỹ bù trừ căn cứ vào dữ liệu giao dịch trên thị trường phái sinh, mức độ rủi ro thị trường và phương pháp kiểm tra khả năng chịu rủi ro (Stress test) nêu tại Phụ lục 1 ban hành kèm theo Quy chế này.
b) VSD yêu cầu thành viên bù trừ đóng góp bổ sung Quỹ bù trừ khi tổng giá trị tài sản đóng góp Quỹ bù trừ tại thời điểm đánh giá nhỏ hơn quy mô Quỹ bù trừ xác định theo quy định tại điểm a khoản này và không đủ để đảm bảo khả năng thanh toán trong trường hợp có 02 thành viên bù trừ có tổng mức lỗ vị thế lớn nhất tại 01 ngày thanh toán bất kỳ trong giai đoạn tính toán đồng thời mất khả năng thanh toán. Mức đóng góp cụ thể của từng thành viên bù trừ xác định theo quy định tại Phụ lục 1 ban hành kèm theo Quy chế này.
c) Giá trị tài sản đóng góp Quỹ bù trừ tại thời điểm đánh giá được xác định trên cơ sở tỷ lệ chiết khấu chứng khoán đóng góp Quỹ bù trừ và giá trị tài sản đóng góp Quỹ bù trừ được định giá theo quy định về định giá giá trị tài sản ký quỹ quy định tại Quy chế bù trừ và thanh toán giao dịch chứng khoán phái sinh tại VSD.
3. Khoản đóng góp bổ sung bất thường thực hiện theo quy định tại điểm b khoản 1 Điều 16 Thông tư số 58/2021/TT-BTC và theo nguyên tắc:
a) Đối với trường hợp thành viên bù trừ bị đặt vào các tình trạng cảnh báo theo quy định pháp luật chứng khoán về an toàn tài chính, quy định pháp luật ngân hàng về an toàn vốn: Trong thời hạn 01 ngày làm việc kể từ ngày nhận được văn bản thông báo của cơ quan có thẩm quyền hoặc văn bản báo cáo, công bố thông tin của thành viên bù trừ về việc bị đặt vào tình trạng cảnh báo (tùy theo điều kiện nào đến trước), VSD thực hiện đánh giá lại quy mô Quỹ bù trừ để xác định và yêu cầu thành viên bù trừ đóng góp bổ sung bất thường trong trường hợp nghĩa vụ đóng góp yêu cầu xác định lại lớn hơn nghĩa vụ đóng góp yêu cầu tại tháng gần nhất. Thành viên bù trừ bị đặt vào tình trạng cảnh báo phải hoàn tất việc đóng góp bổ sung bất thường trong thời hạn 01 ngày làm việc kể từ ngày nhận được văn bản thông báo của VSD.
b) Đối với trường hợp tài sản đóng góp Quỹ bù trừ của thành viên bù trừ bị phong tỏa, tịch thu bởi cơ quan nhà nước có thẩm quyền hoặc theo quyết định của Tòa án: Trong thời hạn 01 ngày làm việc kê từ ngày nhận được thông báo của VSD, thành viên bù trừ liên quan có trách nhiệm đóng góp bổ sung bất thường bằng tiền với giá trị đóng góp tối thiểu bằng phần chênh lệch giữa nghĩa vụ đóng góp theo yêu cầu của VSD tại tháng gần nhất và giá trị tài sản (tiền và chứng khoán) đóng góp Quỹ bù trừ còn lại sau khi bị phong tỏa, tịch thu. Giá trị chứng khoán đóng góp Quỹ bù trừ còn lại được định giá theo quy định về định giá tài sản ký quỹ tại Quy chế bù trừ và thanh toán giao dịch chứng khoán phái sinh tại VSD.
c) Đối với trường hợp khác: VSD xác định lại quy mô Quỹ bù trừ tại thời điểm phát sinh sự kiện bất thường và báo cáo Ủy ban Chứng khoán Nhà nước chấp thuận mức đóng góp bất thường cụ thể. Thành viên bù trừ liên quan có trách nhiệm hoàn tất việc đóng góp bổ sung bất thường bằng tiền trong thời hạn 01 ngày làm việc kể từ ngày nhận được thông báo của VSD.
4. Lãi tiền gửi phát sinh từ tài khoản tiền gửi Quỹ bù trừ tại ngân hàng thanh toán được xác định theo lãi suất không kỳ hạn do ngân hàng thanh toán công bố tại từng thời điểm.
5. Tiền lãi sử dụng Quỹ bù trừ thu từ thành viên bù trừ mất khả năng thanh toán xác định theo quy định tại khoản 2 và khoản 3 Điều 7 Quy chế này.
Điều 4. Các nội dung chi từ Quỹ bù trừ.
1. Chi giá trị tài sản đóng góp Quỹ bù trừ của thành viên bù trừ để quản lý tách biệt theo quy định tại Điều 8 Quy chế này.
2. Chi trả phần chênh lệch theo đề nghị của thành viên bù trừ trong trường hợp giá trị đóng góp Quỹ bù trừ lớn hơn nghĩa vụ phải đóng góp.
3. Chi trả phí quản lý tài khoản tiền gửi Quỹ bù trừ tại ngân hàng thanh toán.
4. Chi trả các chi phí phát sinh đối với việc xử lý các nghiệp vụ liên quan trong trường hợp thành viên bù trừ mất khả năng thanh toán.
Điều 5. Tài sản đóng góp Quỹ bù trừ
1. Thành viên bù trừ có trách nhiệm đóng góp vào Quỹ bù trừ bằng tiền (VND) hoặc tiền và chứng khoán. Tỷ lệ đóng góp bằng tiền phải đảm bảo tối thiểu là 80% trên tổng giá trị tài sản đóng góp Quỹ bù trừ. VSD quy định tỷ lệ đóng góp bằng tiền cụ thể sau khi được Ủy ban Chứng khoán Nhà nước chấp thuận và công bố trên trang thông tin điện tử của VSD ít nhất 02 ngày làm việc trước khi áp dụng.
2. Chứng khoán đóng góp vào Quỹ bù trừ là trái phiếu Chính phủ, trái phiếu được Chính phủ bảo lãnh trong danh sách chứng khoán được chấp nhận ký quỹ theo quy định tại Quy chế bù trừ và thanh toán giao dịch chứng khoán phái sinh tại VSD và được công bố trên trang thông tin điện tử của VSD.
3. Tài sản đóng góp vào Quỹ bù trừ là tài sản thuộc sở hữu của thành viên bù trừ và được VSD theo dõi và quản lý theo từng thành viên bù trừ. Chậm nhất vào ngày làm việc thứ hai của tháng tiếp theo, VSD gửi văn bản thông báo theo hình thức email và gửi qua đường bưu điện cho từng thành viên bù trừ các thông tin liên quan đến tài sản đóng góp Quỹ bù trừ của thành viên bù trừ đó bao gồm lãi tiền gửi, tiền lãi sử dụng được phân bổ, nghĩa vụ đóng góp, giá trị tài sản hiện có tại Quỹ và số thiếu cần nộp bổ sung hoặc số thừa có thể rút. Trường hợp phát hiện sai lệch, thành viên bù trừ có trách nhiệm thông báo cho VSD vào ngày làm việc tiếp theo. Trong thời hạn 03 ngày làm việc kể từ ngày nhận được văn bản thông báo hoặc email của VSD (tùy theo thông báo nào đến trước), thành viên bù trừ có trách nhiệm hoàn tất việc đóng góp bổ sung (nếu có). Thành viên bù trừ chậm nộp khoản đóng góp Quỹ bù trừ sẽ bị xử lý theo quy định tại Quy chế thành viên bù trừ chứng khoán phái sinh tại VSD.
4. VSD mở tài khoản quản lý tiền, chứng khoán của thành viên bù trừ đóng góp vào Quỹ bù trừ theo quy định tại điểm b khoản 3 Điều 16 Thông tư số 58/2021/TT-BTC .
5. Các quyền phát sinh liên quan tới chứng khoán đóng góp Quỹ bù trừ của thành viên bù trừ sẽ được VSD tổng hợp chung vào danh sách người sở hữu chứng khoán lưu ký thực hiện quyền được lập tại ngày đăng ký cuối cùng theo quy định tại Quy chế thực hiện quyền cho người sở hữu chứng khoán tại VSD.
Điều 6. Quy định về nộp, rút, thay thế tài sản đóng góp Quỹ bù trừ
1. Thành viên bù trừ được rút phần tài sản đóng góp Quỹ bù trừ theo thông báo của VSD, phù hợp với quy định tại điểm b khoản 2 Điều 16 Thông tư số 58/2021/TT-BTC. Trường hợp rút tài sản đóng góp Quỹ bù trừ, thành viên bù trừ gửi VSD yêu cầu rút tài sản đóng góp Quỹ bù trừ theo Mẫu 01/QBT ban hành kèm theo Quy chế này trong thời hạn 03 ngày làm việc kể từ ngày nhận được văn bản thông báo hoặc email của VSD (tùy theo thông báo nào đến trước).
2. Thành viên bù trừ được thay thế chứng khoán đóng góp Quỹ bù trừ với điều kiện chứng khoán thay thế phải đáp ứng quy định tại khoản 2 Điều 5 Quy chế này.
3. Trường hợp buộc phải thay thế chứng khoán đóng góp Quỹ bù trừ do chứng khoán đến thời hạn đáo hạn hoặc không đáp ứng được điều kiện quy định tại khoản 2 Điều 5 Quy chế này, VSD gửi văn bản yêu cầu thành viên bù trừ thay thế chứng khoán đóng góp Quỹ bù trừ theo Mẫu 02/QBT ban hành kèm theo Quy chế này theo hình thức email và gửi qua đường bưu điện. Trong thời hạn 02 ngày làm việc kể từ ngày nhận được văn bản hoặc email của VSD (tùy theo văn bản nào đến trước), thành viên bù trừ thực hiện thay thế chứng khoán đóng góp Quỹ bù trừ theo nguyên tắc nộp chứng khoán thay thế trước, rút chứng khoán không còn đáp ứng điều kiện sau.
4. Quy trình nộp, rút tài sản đóng góp Quỹ bù trừ thực hiện theo quy định tại mục I và II Phụ lục 2 ban hành kèm theo Quy chế này.
Điều 7. Sử dụng, hoàn trả số tiền đã sử dụng từ Quỹ bù trừ, phân bổ lãi tiền gửi và tiền lãi sử dụng Quỹ bù trừ
1. Việc sử dụng Quỹ bù trừ do VSD thực hiện để bảo đảm nghĩa vụ thanh toán của thành viên bù trừ mất khả năng thanh toán theo quy định tại khoản 4 Điều 16 Thông tư số 58/2021/TT-BTC. Thành viên bù trừ mất khả năng thanh toán phải hoàn trả số tiền đã sử dụng từ Quỹ bù trừ theo quy định tại khoản 6 Điều 15 Thông tư số 58/2021/TT-BTC .
2. Trong thời hạn 01 ngày kể từ ngày VSD sử dụng tiền đóng góp Quỹ bù trừ để bảo đảm nghĩa vụ thanh toán theo quy định tại khoản 1 Điều này, thành viên bù trừ có trách nhiệm hoàn trả Quỹ bù trừ số tiền đã sử dụng và tiền lãi sử dụng Quỹ bù trừ. Tiền lãi sử dụng Quỹ bù trừ được tính theo công thức:
I = 0,03% x P (1)
Trong đó:
I: tiền lãi sử dụng
P: số tiền sử dụng từ Quỹ bù trừ
3. Quá thời hạn quy định tại khoản 2 Điều này, thành viên bù trừ phải chịu tiền lãi sử dụng Quỹ bù trừ chậm trả được tính theo công thức:
Ic = 0,0375% x Pc x nc (2)
Trong đó:
Ic : tiền lãi sử dụng chậm trả
Pc : số tiền sử dụng từ Quỹ bù trừ chậm trả
nc : số ngày chậm trả
4. Việc phân bổ lãi tiền gửi và tiền lãi sử dụng Quỹ bù trừ thực hiện theo nguyên tắc:
a) Lãi tiền gửi phát sinh từ tài khoản tiền gửi Quỹ bù trừ và tiền lãi sử dụng Quỹ bù trừ thu được từ thành viên bù trừ mất khả năng thanh toán sẽ được VSD phân bổ cho các thành viên bù trừ phù hợp với số tiền và thời gian đóng góp của từng thành viên sau khi trừ phí quản lý tài khoản tiền gửi tại ngân hàng thanh toán (nếu có). Việc nhận, phân bổ lãi tiền gửi và tiền lãi sử dụng Quỹ bù trừ thực hiện theo quy định tại khoản 1 và khoản 2 Phụ lục 3 ban hành kèm theo Quy chế này.
b) Ngoại trừ trường hợp quy định tại điểm a khoản 1 Điều 8 Quy chế này, lãi tiền gửi và tiền lãi sử dụng Quỹ bù trừ được VSD thực hiện phân bổ vào ngày cuối tháng.
c) Tổng số tiền thành viên bù trừ được phân bổ sẽ được VSD ghi nhận vào giá trị tài sản đóng góp Quỹ bù trừ của từng thành viên bù trừ hoặc giá trị khoản phải hoàn trả quy định tại điểm b khoản 1 Điều 8 Quy chế này.
5. Việc bán tài sản ký quỹ, tài sản đóng góp Quỹ bù trừ bằng chứng khoán để hoàn trả Quỹ bù trừ thực hiện theo quy định tại Quy chế bù trừ và thanh toán giao dịch chứng khoán phái sinh tại VSD.
Điều 8. Quản lý tách biệt và hoàn trả tài sản đóng góp Quỹ bù trừ
1. Sau khi thành viên bù trừ bị VSD ngừng cung cấp dịch vụ để hủy bỏ tư cách thành viên bù trừ và thành viên bù trừ đã hoàn tất các công việc bao gồm: bán tài sản đóng góp Quỹ bù trừ bằng chứng khoán để hoàn trả các nguồn hỗ trợ thanh toán đã sử dụng (nếu có); đóng, chuyển khoản vị thế, thanh toán lỗ, lãi vị thế, thanh toán thực hiện hợp đồng, VSD thực hiện quản lý tách biệt tài sản đóng góp Quỹ bù trừ của thành viên bù trừ đang trong thời gian xử lý hủy bỏ tư cách thành viên bù trừ như sau:
a) Xác định giá trị tài sản đóng góp Quỹ bù trừ của thành viên bù trừ để quản lý tách biệt ra khỏi Quỹ bù trừ (sau đây gọi tắt là giá trị tài sản quản lý tách biệt), bao gồm:
- Giá trị tài sản đóng góp Quỹ bù trừ bằng tiền, chứng khoán (nếu có) xác định theo quy định tại khoản 1 mục III Phụ lục 2 ban hành kèm theo Quy chế này.
- Lãi tiền gửi và tiền lãi sử dụng Quỹ bù trừ được phân bổ tại thời điểm thực hiện quản lý tách biệt xác định theo quy định tại khoản 2 Phụ lục 3 ban hành kèm theo Quy chế này.
b) Xác định giá trị tài sản đóng góp Quỹ bù trừ mà VSD phải hoàn trả hoặc còn phải thu đối với thành viên bù trừ (sau đây gọi tắt là khoản phải hoàn trả và khoản phải thu) theo nguyên tắc:
- Trường hợp số tiền thành viên bù trừ đang sử dụng từ Quỹ bù trừ nhưng chưa hoàn trả nhỏ hơn giá trị tài sản quản lý tách biệt, khoản phải hoàn trả được xác định là chênh lệch giữa giá trị tài sản quản lý tách biệt với số tiền thành viên bù trừ đang sử dụng từ quỹ bù trừ nhưng chưa hoàn trả;
- Trường hợp số tiền thành viên bù trừ đang sử dụng từ Quỹ bù trừ nhưng chưa hoàn trả lớn hơn giá trị tài sản quản lý tách biệt, khoản phải thu được xác định là chênh lệch giữa số tiền thành viên bù trừ đang sử dụng từ Quỹ bù trừ nhưng chưa hoàn trả với giá trị tài sản quản lý tách biệt.
- Trường hợp thành viên bù trừ không còn nợ Quỹ bù trừ, khoản phải hoàn trả được xác định là giá trị tài sản quản lý tách biệt.
2. Khi quản lý tách biệt, VSD được khấu trừ từ khoản phải hoàn trả để thu hồi các khoản công nợ, giá dịch vụ, nghĩa vụ tài chính mà thành viên bù trừ còn phải thanh toán cho VSD.
3. Đối với các khoản công nợ, giá dịch vụ, nghĩa vụ tài chính thành viên bù trừ còn phải thanh toán cho VSD phát sinh sau thời điểm thực hiện quản lý tách biệt, VSD thực hiện khấu trừ định kỳ vào ngày 31/12 hàng năm hoặc tại thời điểm xác định khoản phải hoàn trả để cơ quan có thẩm quyền thu hồi theo quy định tại khoản 8 Điều này hoặc khi hoàn trả tài sản đóng góp Quỹ bù trừ theo quy định tại khoản 9 Điều này.
4. Trong thời hạn 01 ngày làm việc kể từ ngày hoàn thành các nội dung quy định tại khoản 1 và 2 Điều này, VSD gửi văn bản thông báo cho thành viên bù trừ về việc quản lý tách biệt giá trị tài sản đóng góp quỹ bù trừ, khoản phải hoàn trả còn lại hoặc khoản phải thu.
5. Lãi tiền gửi từ khoản phải hoàn trả phát sinh (theo lãi suất không kỳ hạn do ngân hàng thanh toán công bố tại từng thời điểm) sau thời điểm quản lý tách biệt (nếu có) được VSD tiếp tục quản lý tách biệt và được phân bổ cho thành viên bù trừ theo quy định tại khoản 3 Phụ lục 3 ban hành kèm theo Quy chế này.
6. Kể từ thời điểm quản lý tách biệt, thành viên bù trừ không phải chịu tiền lãi sử dụng đối với khoản phải thu xác định theo quy định tại điểm b khoản 1 Điều này.
7. Các quyền phát sinh liên quan tới chứng khoán đóng góp Quỹ bù trừ của thành viên bù trừ thuộc khoản phải hoàn trả (nếu có) được VSD tổng hợp chung vào danh sách người sở hữu chứng khoán lưu ký thực hiện quyền được lập tại ngày đăng ký cuối cùng theo quy định tại Quy chế thực hiện quyền cho người sở hữu chứng khoán tại VSD.
8. Trường hợp cơ quan có thẩm quyền có thông báo thu hồi khoản đóng góp Quỹ bù trừ của thành viên bù trừ, VSD xác định khoản phải hoàn trả, phân bổ lãi tiền gửi từ khoản phải hoàn trả tại thời điểm xác định theo quy định tại khoản 3 Phụ lục 3 ban hành kèm theo Quy chế này và thực hiện khấu trừ các khoản công nợ, giá dịch vụ, nghĩa vụ tài chính khác mà thành viên bù trừ còn phải thanh toán cho VSD (nếu có). Khoản phải hoàn trả còn lại là căn cứ cho cơ quan có thẩm quyền thu hồi.
9. VSD thực hiện hoàn trả giá trị tài sản đóng góp vào Quỹ bù trừ (khoản phải hoàn trả còn lại) cho thành viên bù trừ bị hủy bỏ tư cách thành viên bù trừ hoặc không còn là thành viên bù trừ theo quy định tại điểm b khoản 4 Điều 16 Thông tư số 58/2021/TT-BTC. Việc hoàn trả được thực hiện như sau:
a) Tại thời điểm ban hành quyết định hủy bỏ tư cách thành viên bù trừ, VSD xác định khoản phải hoàn trả, phân bổ lãi tiền gửi từ khoản phải hoàn trả (nếu có) theo quy định tại khoản 3 Phụ lục 3 ban hành kèm theo Quy chế này, khấu trừ các khoản thành viên bù trừ còn phải thanh toán cho VSD quy định tại khoản 3 Điều này. Khoản phải hoàn trả còn lại được VSD hoàn trả cho thành viên bù trừ.
b) Chậm nhất trong thời hạn 01 ngày làm việc kể từ ngày ban hành quyết định hủy bỏ tư cách thành viên bù trừ, VSD hoàn trả cho thành viên bù trừ khoản phải hoàn trả còn lại theo quy trình tại mục IV Phụ lục 2 ban hành kèm theo Quy chế này.
Điều 9. Quyền và nghĩa vụ của VSD đối với Quỹ bù trừ
1. Quyền của VSD:
a) Quy định nguyên tắc lập, quản lý và sử dụng Quỹ bù trừ.
b) Sử dụng Quỹ bù trừ để bảo đảm nghĩa vụ thanh toán trong trường hợp thành viên bù trừ mất khả năng thanh toán theo quy định.
c) Giám sát việc tuân thủ quy định của thành viên bù trừ trong việc đóng góp, sử dụng và hoàn trả Quỹ bù trừ.
d) Áp dụng các hình thức xử lý vi phạm trong trường hợp thành viên bù trừ không tuân thủ các nội dung liên quan tới Quỹ bù trừ theo quy định tại Quy chế thành viên bù trừ chứng khoán phái sinh tại VSD.
d) Khấu trừ các khoản phải trả (nghĩa vụ nợ), các khoản sử dụng Quỹ bù trừ của thành viên bù trừ và chi phí thiệt hại tài chính phát sinh liên quan tới việc xử lý các nghiệp vụ khi thành viên bù trừ mất khả năng thanh toán.
2. Nghĩa vụ của VSD:
a) Quản lý tài sản đóng góp Quỹ bù trừ của thành viên bù trừ tách biệt với tài sản của VSD.
b) Đảm bảo việc quản lý và sử dụng Quỹ bù trừ theo đúng quy định tại Quy chế này và các văn bản pháp luật liên quan.
c) Thực hiện công tác kế toán, kiểm toán và công khai tài chính theo quy định của pháp luật.
d) Cung cấp số liệu liên quan tới tài sản đóng góp Quỹ bù trừ, khoản tiền lãi được phân bổ của thành viên bù trừ theo yêu cầu của chính thành viên bù trừ.
đ) Cung cấp số liệu liên quan tới Quỹ bù trừ theo yêu cầu của cơ quan có thẩm quyền.
Điều 10. Quyền và nghĩa vụ của thành viên bù trừ đối với Quỹ bù trừ
1. Quyền của thành viên bù trừ:
a) Được nhận thông tin về giá trị tài sản đóng góp, số tiền sử dụng, khoản tiền lãi sử dụng Quỹ bù trừ được phân bổ (nếu có), lãi tiền gửi Quỹ bù trừ tại ngân hàng thanh toán được phân bổ và quyền phát sinh đối với chứng khoán đóng góp Quỹ bù trừ của chính thành viên bù trừ.
b) Được rút phần tài sản đóng góp Quỹ bù trừ theo quy định tại điểm b khoản 2 Điều 16 Thông tư số 58/2021/TT-BTC và khoản 1 Điều 6 Quy chế này.
2. Nghĩa vụ của thành viên bù trừ:
a) Đóng góp Quỹ bù trừ theo quy định.
b) Hoàn trả khoản tiền đã sử dụng từ Quỹ bù trừ và tiền lãi sử dụng Quỹ bù trừ (nếu có) theo quy định.
c) Báo cáo VSD trong thời hạn 01 ngày làm việc kể từ ngày nhận được công văn của cơ quan có thẩm quyền về việc thành viên bù trừ bị đặt vào tình trạng cảnh báo theo quy định pháp luật chứng khoán về an toàn tài chính, quy định pháp luật ngân hàng về an toàn vốn.
Điều 11. Kế toán Quỹ bù trừ
1. VSD có trách nhiệm mở sổ kế toán, hạch toán rõ ràng, đầy đủ các khoản thu, chi phát sinh theo các quy định pháp luật về kế toán và Thông tư hướng dẫn về chế độ kế toán của VSD do Bộ Tài chính ban hành.
2. Việc theo dõi, hạch toán kế toán Quỹ bù trừ phải đảm bảo nguyên tắc tách biệt với vốn và tài sản của VSD.
3. Tổ chức việc lưu trữ hồ sơ, chứng từ theo quy định của pháp luật.
Điều 12. Chế độ báo cáo
VSD có trách nhiệm lập báo cáo về tình hình sử dụng Quỹ bù trừ theo quy định của pháp luật hiện hành.
Điều 13. Điều khoản thi hành
1. Trong quá trình triển khai thực hiện, nếu có vướng mắc đề nghị các bên liên quan liên hệ với VSD để được hướng dẫn, giải quyết.
2. Việc sửa đổi, bổ sung Quy chế này do Tổng Giám đốc VSD quyết định sau khi được Hội đồng Quản trị VSD thông qua và có ý kiến chấp thuận của Ủy ban Chứng khoán Nhà nước./.
PHỤ LỤC 1.
PHƯƠNG PHÁP XÁC ĐỊNH QUY MÔ QUỸ BÙ TRỪ
(Ban hành kèm theo Quy chế quản lý và sử dụng Quỹ bù trừ cho thị trường chứng khoán phái sinh)
Dựa trên dữ liệu giá, số vị thế nắm giữ trong quá khứ, VSD sử dụng các công thức xác suất thống kê nhằm ước lượng Số thua lỗ tối đa có thể xảy ra (PML - Probable maximum loss) của thành viên bù trừ với mức biến động giá cực đại có thể xảy ra.
Bước 1: Xác định tỷ lệ biến động giá tối đa trong quá khứ
- Xác định tập hợp giá của hợp đồng tương lai (sau đây gọi tắt là HĐTL) có tháng đáo hạn gần nhất (leading month contract) và tập hợp giá của các loại HĐTL khác, bao gồm giá giao dịch được quan sát trong khoảng thời gian từ ngày giao dịch đầu tiên của thị trường cho tới ngày hiện tại;
- Đối với mỗi tập hợp giá:
(i) Xác định tỷ lệ biến động giá như sau:
|
Δ1 = |
x2 - x1 |
; |
Δ2 = |
x3 - x2 |
; ……; |
Δn-1 = |
xn - xn-1 |
(Xi là giá sản phẩm phái sinh tại ngày i) |
|
x1 |
x2 |
xn-1 |
(ii) Trong dãy {Δ1, Δ2, ..., Δn-1}, chọn Δi là Δ có giá trị lớn nhất tương ứng với mức tăng giá lớn nhất và chọn Δj là Δ có giá trị nhỏ nhất tương ứng với mức giảm giá lớn nhất (nếu có).
- So sánh các Δi và Δj của các tập hợp giá để chọn Δi - max và Δj - min, là 02 mức biến động giá sẽ được sử dụng trong kịch bản Stress test:
(1) Kịch bản tăng (Δi - max)%
(2) Kịch bản giảm (Δj - min)%
Bước 2: Tính toán khoản thua lỗ với các điều kiện Stress.
- Sử dụng khoảng thay đổi giá theo 02 kịch bản để tính lỗ lãi vị thế cho các tài khoản của thành viên bù trừ hàng ngày căn cứ vào dữ liệu thực của thành viên bù trừ trong thời hạn 06 tháng ngay trước thời điểm tính toán. Công thức tính lỗ lãi 01 ngày theo từng kịch bản như sau:
Lỗ lãi vị thế = Max (Số lượng HĐTL cùng loại của thành viên bù trừ sau khi bù trừ vị thế; Số lượng HĐTL của tài khoản nắm giữ lớn nhất) x DSP x Hệ số nhân của HĐ x Khoảng thay đổi giá theo từng kịch bản
- Tổng lỗ/lãi theo mỗi kịch bản sẽ là lỗ/lãi cộng dồn theo các vị thế HĐTL => tổng lỗ lớn nhất sẽ được gọi “Số thua lỗ trong Stress test”
Bước 3: Tính số lỗ tối đa có thể xảy ra của mỗi thành viên bù trừ dựa trên số lượng vị thế mà các thành viên bù trừ này đang đứng tên (PML)
- PML cơ bản của thành viên bù trừ = Số thua lỗ trong Stress test ± Lỗ/lãi vị thế của ngày giao dịch trước liền kề - Số ký quỹ yêu cầu tại ngày giao dịch trước liền kề (tài khoản tự doanh + tài khoản khách hàng).
(Ghi chú: lỗ/lãi vị thế, số ký quỹ yêu cầu là dữ liệu thực của thành viên bù trừ)
- Sau đó, xác định tổng PML cơ bản của 02 thành viên bù trừ có PML lớn nhất tại mỗi ngày giao dịch.
Bước 4. Xác định Quy mô Quỹ bù trừ
Xác định ngày có tổng PML lớn nhất => Số lỗ này sẽ là tổng yêu cầu đóng góp Quỹ bù trừ khi thực hiện đánh giá lại.
Bước 5. Xác định nghĩa vụ đóng góp yêu cầu theo quy mô Quỹ bù trừ của từng thành viên bù trừ
- Nghĩa vụ đóng góp của thành viên bù trừ được xác định căn cứ vào:
+ Tỷ lệ giữa giá trị ký quỹ duy trì yêu cầu (MR) của thành viên bù trừ với tổng MR của tất cả các thành viên bù trừ trong tháng liền trước;
+ Quy mô Quỹ bù trừ;
+ Mức đóng góp tối thiểu ban đầu.
PHỤ LỤC 2.
QUY TRÌNH NỘP, RÚT, QUẢN LÝ TÁCH BIỆT, HOÀN TRẢ TÀI SẢN ĐÓNG GÓP QUỸ BÙ TRỪ
(Ban hành kèm theo Quy chế quản lý và sử dụng Quỹ bù trừ cho thị trường chứng khoán phái sinh)
I. Quy trình nộp tài sản đóng góp Quỹ bù trừ
1. Quy trình nộp tiền để đóng góp/hoàn trả tiền nhận hỗ trợ từ Quỹ bù trừ
a) Thành viên bù trừ thực hiện chuyển tiền đóng góp Quỹ bù trừ, chuyển tiền hoàn trả tài sản nhận hỗ trợ từ Quỹ bù trừ vào tài khoản tiền Quỹ bù trừ của VSD tại ngân hàng thanh toán.
Trường “Nội dung chuyển tiền” trên lệnh chuyển cần thực hiện đúng theo format sau:
(i) Đối với trường hợp nộp đóng góp ban đầu tối thiểu:
CF//Mã thành viên bù trừ/DGBD
(ii) Đối với trường hợp nộp đóng góp bổ sung:
CF//Mã thành viên bù trừ/NBS
(iii) Đối với trường hợp thành viên bù trừ nộp tiền để hoàn trả khoản nhận hỗ trợ từ Quỹ bù trừ:
CF//Mã thành viên bù trừ/HTSD
Ví dụ: Công ty Cổ phần Chứng khoán Sài Gòn, có mã thành viên bù trừ là: SSI
- Nộp đóng góp ban đầu vào Quỹ bù trừ, nội dung chuyển tiền như sau:
CF//SSI/DGBD
- Nộp đóng góp bổ sung vào Quỹ bù trừ, nội dung chuyển tiền như sau:
CF//SSI/NBS
- Nộp để hoàn trả khoản nhận hỗ trợ từ Quỹ bù trừ, nội dung chuyển tiền như sau:
CF//SSI/HTSD
b) Sau khi thành viên bù trừ nộp tiền vào tài khoản thành công, ngân hàng thanh toán sẽ gửi báo Có cho VSD dưới dạng điện MT910- Báo Có cho tài khoản quỹ bù trừ.
Căn cứ vào điện báo có của ngân hàng thanh toán, VSD thực hiện hạch toán tăng tiền đóng góp Quỹ bù trừ cho thành viên bù trừ.
c) Trường hợp nội dung chuyển tiền không khớp với định dạng yêu cầu, khoản tiền nộp sẽ không được ghi nhận vào hệ thống, VSD sẽ thông báo cho thành viên bù trừ biết, thành viên bù trừ gửi công văn đề nghị điều chỉnh lên VSD để thực hiện xử lý.
2. Quy trình nộp chứng khoán đóng góp Quỹ bù trừ
a) Thành viên bù trừ gửi yêu cầu chuyển khoản chứng khoán đóng góp Quỹ bù trừ theo Mẫu 03/QBT ban hành kèm theo Quy chế này từ tài khoản lưu ký chứng khoán của thành viên bù trừ vào tài khoản chứng khoán đóng góp Quỹ bù trừ đứng tên VSD.
b) VSD thực hiện kiểm tra chứng khoán đủ điều kiện theo quy định tại khoản 2 Điều 5 Quy chế này.
c) Trường hợp chấp thuận, trong thời hạn 01 ngày làm việc, VSD chuyển khoản chứng khoán từ tài khoản lưu ký chứng khoán của thành viên bù trừ sang tài khoản chứng khoán đóng góp Quỹ bù trừ đứng tên VSD và thông báo lại cho thành viên bù trừ.
d) Trường hợp không chấp thuận, VSD gửi thông báo từ chối và nêu rõ lý do.
II. Rút tài sản đóng góp Quỹ bù trừ
1. Thành viên bù trừ gửi VSD 02 bản yêu cầu rút tài sản đóng góp Quỹ bù trừ theo Mẫu 01/QBT ban hành kèm theo Quy chế này.
2. Trường hợp yêu cầu rút tài sản đóng góp Quỹ bù trừ đáp ứng quy định tại khoản 1 Điều 6 Quy chế này, trong thời hạn 01 ngày làm việc, VSD thực hiện:
a) Đối với rút tiền đóng góp Quỹ bù trừ: VSD gửi yêu cầu cho ngân hàng thanh toán để thực hiện chuyển trả tiền vào tài khoản thành viên bù trừ đã đăng ký với VSD dưới dạng điện MT103- yêu cầu chuyển trả một phần/toàn phần tiền từ quỹ bù trừ cho thành viên bù trừ.
b) Đối với rút chứng khoán đóng góp Quỹ bù trừ: VSD thực hiện chuyển khoản chứng khoán đóng góp từ tài khoản chứng khoán đóng góp Quỹ bù trừ về tài khoản lưu ký của thành viên bù trừ. Sau khi chuyển khoản thành công, VSD gửi thông báo xác nhận cho thành viên bù trừ.
3. Trường hợp yêu cầu rút tài sản đóng góp Quỹ bù trừ không đáp ứng quy định tại khoản 1 Điều 6 Quy chế này, VSD gửi thông báo từ chối và nêu rõ lý do.
III. Quản lý tách biệt tài sản đóng góp Quỹ bù trừ
1. Xác định giá trị tài sản đóng góp Quỹ bù trừ bằng tiền, chứng khoán
- Giá trị tài sản đóng góp Quỹ bù trừ bằng tiền là số tiền đóng góp Quỹ bù trừ của thành viên bù trừ tại thời điểm xác định.
- Giá trị tài sản đóng góp Quỹ bù trừ bằng chứng khoán (nếu có) được xác định theo công thức sau:

Trong đó:
VCK là giá trị đóng góp Quỹ bù trừ bằng chứng khoán.
CKi là số lượng chứng khoán đóng góp Quỹ bù trừ mã i tại thời điểm xác định.
Pi là giá đóng cửa của chứng khoán i tại kỳ đánh giá quy mô Quỹ bù trừ liền trước.
Hi là tỷ lệ chiết khấu chứng khoán i (theo quy định về tỷ lệ chiết khấu chứng khoán ký quỹ tại Quy chế bù trừ và thanh toán giao dịch chứng khoán phái sinh tại VSD) tại kỳ đánh giá quy mô Quỹ bù trừ liền trước.
(i = j → m là các mã chứng khoán đóng góp Quỹ bù trừ)
2. Quản lý tách biệt giá trị tài sản đóng góp Quỹ bù trừ
VSD thực hiện quản lý tách biệt giá trị tài sản đóng góp Quỹ bù trừ của thành viên bù trừ như sau:
a) Đối với giá trị tài sản đóng góp Quỹ bù trừ bằng tiền: VSD có công văn gửi ngân hàng thanh toán để yêu cầu chuyển tiền từ tài khoản tiền Quỹ bù trừ của VSD tại ngân hàng thanh toán sang tài khoản tiền do VSD mở để phục vụ việc quản lý tách biệt tiền đóng góp vào Quỹ bù trừ (sau đây gọi tắt là tài khoản tiền tách biệt).
b) Đối với giá trị tài sản đóng góp Quỹ bù trừ bằng chứng khoán: VSD chuyển chứng khoán từ tài khoản chứng khoán đóng góp Quỹ bù trừ sang tài khoản chứng khoán đứng tên VSD mở để phục vụ việc quản lý tách biệt chứng khoán đóng góp vào Quỹ bù trừ (sau đây gọi tắt là tài khoản chứng khoán tách biệt).
IV. Hoàn trả tài sản đóng góp Quỹ bù trừ
VSD thực hiện hoàn trả tài sản đóng góp Quỹ bù trừ (khoản phải hoàn trả còn lại) xác định tại điểm a khoản 9 Điều 8 Quy chế này như sau:
a) Đối với tiền: VSD có công văn gửi ngân hàng nơi VSD mở tài khoản tiền tách biệt để yêu cầu chuyển tiền từ tài khoản tiền tách biệt sang tài khoản nhận hoàn trả tiền đóng góp Quỹ bù trừ thành viên bù trừ đã đăng ký với VSD.
b) Đối với chứng khoán: VSD chuyển chứng khoán từ tài khoản chứng khoán tách biệt sang tài khoản lưu ký của thành viên bù trừ.
PHỤ LỤC 3.
NHẬN, PHÂN BỔ LÃI TIỀN GỬI VÀ TIỀN LÃI SỬ DỤNG QUỸ BÙ TRỪ, PHÂN BỔ LÃI TIỀN GỬI KHOẢN PHẢI TRẢ
(Ban hành kèm theo Quy chế quản lý và sử dụng Quỹ bù trừ cho thị trường chứng khoán phái sinh)
1. Nhận lãi tiền gửi phát sinh từ tài khoản tiền gửi Quỹ bù trừ, tài khoản tiền gửi khoản phải hoàn trả:
- Khi phát sinh lãi tiền gửi, ngân hàng thanh toán thông báo số tiền lãi cho VSD dưới dạng điện MT910- Báo CÓ cho lãi nhập gốc cho tài khoản quỹ bù trừ hoặc gửi Giấy báo có đối với trường hợp lãi tiền gửi phát sinh trên tài khoản tiền gửi khoản phải hoàn trả.
- VSD thực hiện hạch toán tăng tài khoản tiền gửi Quỹ bù trừ, tài khoản tiền gửi khoản phải hoàn trả.
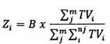
2. VSD thực hiện phân bổ lãi tiền gửi và tiền lãi sử dụng Quỹ bù trừ cho thành viên bù trừ theo công thức:

Trong đó:
Zi: số tiền phân bổ cho thành viên bù trừ i
B: là chênh lệch giữa lãi tiền gửi Quỹ bù trừ và phí quản lý tài khoản tiền gửi quỹ bù trừ tại ngân hàng thanh toán phát sinh trong giai đoạn tính toán (nếu có).
V: là tổng số tiền lãi sử dụng Quỹ bù trừ thu từ các thành viên bù trừ mất khả năng thanh toán tiền đã sử dụng Quỹ trong giai đoạn tính toán.
R: là tổng số tiền lãi ngân hàng và lãi sử dụng đã phân bổ cho các thành viên bù trừ bị hủy bỏ tư cách thành viên bù trừ hoặc không còn là thành viên bù trừ phát sinh trong giai đoạn tính toán).
: là tổng số dư tiền đóng góp Quỹ bù trừ của tất cả các ngày trong giai đoạn tính toán của thành viên bù trừ i. (j: 1-> m, m là số ngày tính phân bổ lãi).
: là tổng số dư tiền đóng góp Quỹ bù trừ của tất cả các ngày trong giai đoạn tính toán của tất cả các thành viên bù trừ (i: 1-> nj, nj là số thành viên bù trừ đóng góp Quỹ bù trừ tại ngày j).
3. VSD thực hiện phân bổ lãi tiền gửi khoản phải hoàn trả cho thành viên bù trừ theo công thức:

Trong đó:
Zi: số tiền phân bổ cho thành viên bù trừ i
B: là chênh lệch giữa lãi tiền gửi của khoản phải hoàn trả và phí quản lý tài khoản quản lý tách biệt tại ngân hàng thanh toán phát sinh trong giai đoạn tính toán (nếu có).
: là tổng số dư tiền gửi từ khoản phải hoàn trả của tất cả các ngày trong giai đoạn tính toán của thành viên bù trừ i. (j: 1-> m, m là số ngày tính phân bổ lãi).
: là tổng số dư tiền gửi từ khoản phải hoàn trả của tất cả các ngày trong giai đoạn tính toán của tất cả các thành viên bù trừ (i: 1-> nj, nj là số thành viên bù trừ có khoản phải hoàn trả được quản lý tách biệt tại ngày j).
(Ban hành kèm theo Quy chế quản lý và sử dụng Quỹ bù trừ cho thị trường chứng khoán phái sinh)
Mẫu 01/QBT
|
Công ty/Ngân hàng .... |
CỘNG HÒA XÃ HỘI CHỦ NGHĨA VIỆT NAM |
|
|
…, ngày … tháng … năm … |
YÊU CẦU RÚT TÀI SẢN ĐÓNG GÓP QUỸ BÙ TRỪ
Kính gửi: Trung tâm Lưu ký Chứng khoán Việt Nam
Chúng tôi đề nghị rút tài sản đóng góp Quỹ bù trừ như sau:
Lý do rút:
|
STT |
Tài sản đóng góp Quỹ bù trừ đề nghị rút |
||||
|
Tiền |
Chứng khoán |
||||
|
Mã chứng khoán |
Số lượng |
Mệnh giá |
Giá trị |
||
|
|
|
|
|
|
|
|
|
|
|
|
|
|
|
|
|
|
|
|
|
|
Tổng |
... |
|
… |
|
... |
|
|
TỔNG GIÁM ĐỐC/GIÁM ĐỐC
|
Xác nhận của Trung tâm Lưu ký Chứng khoán Việt Nam:
Ngày hiệu lực chuyển tiền ……………………………………………………………………...
Ngày hiệu lực chuyển chứng khoán ………………………………………………………….
|
|
TỔNG GIÁM ĐỐC
|
(Ban hành kèm theo Quy chế quản lý và sử dụng Quỹ bù trừ cho thị trường chứng khoán phái sinh)
Mẫu 02/QBT
|
TRUNG TÂM |
CỘNG HÒA XÃ HỘI CHỦ NGHĨA VIỆT NAM |
|
Số: ……/VSD-TTBT.NV |
Hà Nội, Ngày … tháng … năm … |
Kính gửi: Công ty/Ngân hàng....
Trung tâm Lưu ký Chứng khoán Việt Nam (VSD) thông báo tới Quý Công ty/Ngân hàng về việc thay thế chứng khoán đóng góp Quỹ bù trừ tại VSD như sau:
1. Chi tiết chứng khoán đóng góp Quỹ bù trừ phải thay thế:
|
STT |
Mã chứng khoán |
|
1 |
|
|
2 |
|
|
... |
|
2. Lý do thay thế chứng khoán đóng góp Quỹ bù trừ: ………
Đề nghị Quý Công ty/Ngân hàng thay thế các chứng khoán trong danh sách nêu tại Mục 1 bằng các chứng khoán được VSD chấp thuận làm tài sản đóng góp Quỹ bù trừ theo quy định chậm nhất vào ngày / / . Quá thời hạn trên, Quý Công ty/Ngân hàng không thay thế hoặc nộp bổ sung tài sản đóng góp để đáp ứng các yêu cầu về nghĩa vụ đóng góp Quỹ bù trừ, VSD sẽ áp dụng các hình thức xử lý vi phạm theo quy định tại Quy chế thành viên bù trừ chứng khoán phái sinh tại VSD./.
|
|
TỔNG GIÁM ĐỐC |
(Ban hành kèm theo Quy chế quản lý và sử dụng Quỹ bù trừ cho thị trường chứng khoán phái sinh)
Mẫu 03/QBT
|
Công ty/Ngân hàng.... |
CỘNG HÒA XÃ HỘI CHỦ NGHĨA VIỆT NAM |
|
|
…… Ngày … tháng … năm …… |
YÊU CẦU CHUYỂN KHOẢN
CHỨNG KHOÁN ĐÓNG GÓP QUỸ BÙ TRỪ CHO THỊ TRƯỜNG CHỨNG KHOÁN PHÁI SINH
Kính gửi: Trung tâm Lưu ký Chứng khoán Việt Nam (VSD)
Đề nghị VSD chuyển khoản chứng khoán đóng góp Quỹ bù trừ cho thị trường chứng khoán phái sinh từ tài khoản lưu ký chứng khoán của chúng tôi sang tài khoản chứng khoán đóng góp Quỹ bù trừ đứng tên VSD. Thông tin cụ thể như sau:
- Số đăng ký thành viên bù trừ chứng khoán phái sinh:
- Số tài khoản lưu ký của thành viên bù trừ chứng khoán phái sinh:
- Tên thành viên bù trừ chứng khoán phái sinh chuyển khoản:
- Số tài khoản:
|
STT |
Mã chứng khoán |
Số lượng |
Mệnh giá |
Giá trị |
|
1 |
CKA |
|
|
|
|
.... |
... |
|
|
|
|
|
GIÁM ĐỐC/TỔNG GIÁM ĐỐC
|
_______________________________________________________________________
Xác nhận của Trung tâm Lưu ký Chứng khoán Việt Nam:
Ngày hiệu lực chuyển khoản chứng khoán: ……………….
|
|
TỔNG GIÁM ĐỐC |
3. Chi trả phí quản lý tài khoản tiền gửi Quỹ bù trừ tại ngân hàng thanh toán.
Bạn chưa Đăng nhập thành viên.
Đây là tiện ích dành cho tài khoản thành viên. Vui lòng Đăng nhập để xem chi tiết. Nếu chưa có tài khoản, vui lòng Đăng ký tại đây!
Bạn chưa Đăng nhập thành viên.
Đây là tiện ích dành cho tài khoản thành viên. Vui lòng Đăng nhập để xem chi tiết. Nếu chưa có tài khoản, vui lòng Đăng ký tại đây!