- Tổng quan
- Nội dung
- Tiêu chuẩn liên quan
- Lược đồ
- Tải về
Tiêu chuẩn TCXD 161:1987 Công tác thăm dò điện trong khảo sát xây dựng
| Số hiệu: | TCXD 161:1987 | Loại văn bản: | Tiêu chuẩn XDVN |
| Cơ quan ban hành: | Đang cập nhật | Lĩnh vực: | Xây dựng , Điện lực |
| Trích yếu: | Công tác thăm dò điện trong khảo sát xây dựng | ||
|
Ngày ban hành:
Ngày ban hành là ngày, tháng, năm văn bản được thông qua hoặc ký ban hành.
|
1987 |
Hiệu lực:
|
Đã biết
|
| Người ký: | Đang cập nhật |
Tình trạng hiệu lực:
Cho biết trạng thái hiệu lực của văn bản đang tra cứu: Chưa áp dụng, Còn hiệu lực, Hết hiệu lực, Hết hiệu lực 1 phần; Đã sửa đổi, Đính chính hay Không còn phù hợp,...
|
Đã biết
|
TÓM TẮT TIÊU CHUẨN XDVN TCXD 161:1987
Nội dung tóm tắt đang được cập nhật, Quý khách vui lòng quay lại sau!
Tải tiêu chuẩn Việt Nam TCXD 161:1987
TIÊU CHUẨN XÂY DỰNG
TCXD 161:1987
CÔNG TÁC THĂM DÒ ĐIỆN TRONG KHẢO SÁT XÂY DỰNG
1. Quy định chung
1.1. Tiêu chuẩn này quy định những yêu cầu chung đối với việc sử dụng trong công tác khảo sát xây dựng những phương pháp thăm dò địa vật lý điện (gọi tắt là thăm dò điện. sau đây:
1. Phương pháp đo sâu điện.
2. Phương pháp đo mặt cắt điện.
3. Phương pháp nạp điện hố khoan.
4. Phương pháp trường điện thiên nhiên.
1.2. Công tác thăm dò điện trong khảo sát kỹ thuật phục vụ cho xây dựng cơ bản (gọi tắt là khảo sát xây dựng. là công tác nghiên cứu điều kiện tự nhiên của vùng (địa điểm. xây dựng nhằm thu thập những số liệu ban đầu cần thiết về trường điện tự nhiên và nhân tạo được phản ánh qua các cấu trúc địa hình, địa chất, điều kiện địa chất công trình và địa chất thuỷ văn, các quá trình hiện tượng địa chất vật lí… để lập được các giải pháp và luận cứ có cơ sở và đúng đắn về mặt khoa học kỹ thuật và hợp lý về mặt kinh tế để phục vụ cho các công tác khảo sát, thiết kế và xây dựng nhà, công trình xây dựng.
1.3. Phương pháp và kỹ thuật tiến hành công tác thăm dò điện trong khảo sát xây dựng khác với phương pháp và kỹ thuật tiến hành công tác thăm dò điện trong ngành địa chất ở những điểm chủ yếu sau đây.
1. Độ chi tiết hoá tỉ mỉ hơn: khoảng cách giữa các tuyến và các điểm đo chi tiết hơn, khoảng cách giữa các điểm đo sâu đan dầy hơn, phương pháp mặt cắt điện có bước đo nhỏ hơn.
2. Độ sâu nghiên cứu nhỏ hơn: trong khảo sát địa chất công trình cho xây dựng dân dụng và công nghiệp chiều sâu nghiên cứu các lớp đất nông hơn chủ yếu là lớp đất phủ cho tới bề mặt đá gốc, trừ trường hợp gặp đá vôi phát triển các hang động các -tơ;
3. Việc phân tầng theo thành phần, trạng thái , tính chất của các lớp đất đá chi tiết hơn;
4. Các kết quả đo đòi hỏi cao về tính đơn trị và độ chính xác;
5. Mối quan hệ giữa nhà địa vật lý với các nhà địa chất, địa chất công trình , địa chất thuỷ văn trong quá trình công tác chặt chẽ hơn và thường xuyên hơn;
6. Yêu cầu về công tác kỹ thuật an toàn lao động cao hơn.
7. Mức độ nhiễu công nghiệp lớn hơn.
1.4. Trong khảo sát xây dựng phương pháp thăm dò điện được sử dụng để giải quyết những nhiệm vụ chính sau đây:
1. Xác định điều kiện thế nằm và sự phân bố của các lớp đất đá theo diện và chiều sâu;
2. Xác định và khoanh vùng cáctơ, nghiên cứu các quá trình liên quan tới chúng;
3. Tìm kiếm và khoanh định các công trình kỹ thuật ngầm, móng công trình bị chôn vùi, hố sụt, các khe rạch và kênh mương bị lấp phủ v.v….
4. Nghiên cứu trượt và sụt lở đất đá;
5. Nghiên cứu điều kiện thế nằm và diện phân bố của nước dưới đất;
6. Nghiên cứu và khoanh định danh giới nhiễm mặn của nước dưới đất;
7. Xác định hoạt tính ăn mòn của đất đối với các cấu kiện kim loại;
8. Xác định các thông số cần thiết phục vụ cho thiết kế thu lôi chống sét;
Chú thích:
Tất cả các nhiệm vụ kế trên chỉ được giải quyết một cách đúng đắn khi sử dụng kết hợp một số phương pháp thăm dò điện với nhau hoặc với tổ hợp các phương pháp thăm dò địa vật lý khác (phụ lục..
1.5. Giống như các phương pháp khảo sát khác dùng trong khảo sát xây dựng, phương pháp thăm dò điện cũng có những giới hạn sử dụng nhất định của nó. Để tách được đối tượng này với đối tượng khác bằng phương pháp thăm dò điện thì tính chất trường điện của đối tượng cần nghiên cứu phải khác biệt với tính chất trường điện của môi trường xung quanh và được phản ánh qua các thiết bị máy móc có độ nhạy nhất định phù hợp với phương pháp, hệ nghiên cứu được lựa chọn. Nếu đối tượng nghiên cứu không thoả mãn các điều kiện nêu trên thì không thể dùng phương pháp thăm dò điện để nghiên cứu được.
1.6. Trong các phương pháp thăm dò điện, trừ phương pháp nạp điện hố khoan và phương pháp trường điện thiên nhiên, còn tất cả các phương pháp đều được tiến hành để đo đại lượng điện trở suất của các lớp đất đá. Các phương pháp nạp điện hố khoan và trường điện thiên nhiên được tiến hành để đo điện thế hay gradien điện thế của trường điện.
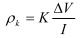
1.7. Để đo đại lượng điện trở suất (r. cần phải sử dụng loại thiết bị 4 cực, trong đó qua 2 cực phát (A. và (B. dòng điện đi vào môi trường cần nghiên cứu về qua 2 cực thu (M và N. dùng để đo hiệu điện thế của dòng điện khi đã đi qua môi trường cần nghiên cứu đó. Biết kích thước và vị trí giữa các điện cực , biết cường độ dòng điện và hiệu điện thế sẽ tính được điện trở suất của môi trường đồng nhất và đẳng hướng.
1.8. Điện trở suất của các lớp đất đá được đo bằng đơn vị ôm trên 1 đơn vị m3 môi trường trên 1 đơn vị m2thiết điện vật dẫn cấu tạo từ sản phẩm môi trường đó, được viết tắt là đơn vị ôm nhân với mét. Đơn vị này gọi là ôm -mét kí hiệu là Ωm.
1.9. Điện trở suất của đất đá phụ thuộc vào những yếu tố sau. Thành phần thạch học, cấu tạo lớp đất đá, mức độ và đặc tính lỗ rỗng, kích thước và hình dáng của các khe rãnh, thành phần các lớp đất nằm trên và trong các rãnh đá, độ tổng khoáng hoá của nước chứa trong đất, đá…
Sự khác biệt của các yếu tố này tạo nên khả năng thay đổi đáng kế về đại lượng giá trị điện trở suất của cùng một lớp đất đá. Dựa vào sự thay đổi điện trở suất mà đánh giá được cấu trúc và trạng thái của lớp đất đá; nhưng chính sự thay đổi này cũng gây khó khăn cho việc xác định chính xác loại đất đá (vì có nhiều nghiệm khi phân tích định lượng.. Điện trở suất ! của các lớp đất đá từ vài đơn vị cho đến hàng trăm nghìn ôm -mét.
Phụ lục 2 trình bày những giá trị điện trở suất của các lớp đất đá thường gặp trong khảo sát xây dựng.
1.10. Để xác định điện trở suất của các lớp đất đá phải đo giá trị hiệu điện thế, cường độ dòng điện và khoảng cách giữa các điện cực. Công thức tính giá trị điện trở suất được biểu diễn như sau.

1.11. Tất cả các giá trị của hệ số K chỉ đúng với môi trưòng đồng nhất và đẳng hướng.
Trong thực tế các lớp đất đá ít khi đồng nhất; do vậy giá trị điện trở suất tính toán được sẽ lệch đi một hệ số so với môi trường đồng nhất và được gọi là điện trở suất biểu kiến, kí hiệu là !k;
1.12. Chiều sâu hiệu dụng của dòng điện đi vào các lớp đất đá (Hhd. phụ thuộc vào cấu trúc lát cắt điện - địa chất và có thể thay đổi từ 0.1 đến 0.5 khoảng cách giữa các điện cực phát A và B (thông thường Hhđ = (0.25 ÷ 0.30.AB. Trong thực tế khi lập phương án kỹ thuật thăm dò điện phải lấy giá trị tối đa độ dài giữa 2 điện cực phát A và B bằng (4 ÷ 6.Hhd …và phải đo thông số để xác định chính xác chiều sâu hiệu dụng của dòng điện.
1.13. Trong khảo sát xây dựng được phép sử dụng những loại máy thăm dò điện một chiều sau đây;
- Máy bù điện thế UJ - 18;
- Máy bù tự động AE - 72; ESK - 1;
- Máy đo điện trở chuyên dụng RDC - 3, RT - 151 - DC;
- Các loại máy thăm dò điện một chiều khác có tính năng kỹ thuật tương đương (nếu có..
1.14. Dựa vào yêu cầu kỹ thuật khảo sát (nhiệm vụ công tác được giao. điều kiện tự nhiên tại chỗ và cường độ nhiễm của khu vực cần đo tiến hành chọn phương pháp đo và loại máy đo thích hợp;
1.15. Khi sử dụng những loại máy thăm dò điện một chiều để tiến hành công tác thăm dò điện trong thành phố, thị trấn và những khu vực bị nhiễu công nghiệp, thì phải có biện pháp chống nhiễu tốt để thu được kết quả đo tốt nhất, đáp ứng yêu cầu kỹ thuật đề ra;
1.16. Trong khảo sát xây dựng được phép sử dụng những nguồn dòng điện một chiều không đổi là pin khô hoặc ắc quy;
1.17. Trong khảo sát xây dựng được phép sử dụng những loại dây điện sau đây: PSM, PVP, PMO, PTG 19 và những loại dây khác có tính năng kỹ thuật tương đương.
1.18. Trong khảo sát xây dựng được phép sử dụng những điện cực được gia công từ đồng đỏ, đồng thau, đuyra hoặc những vật liệu có tính năng kỹ thuật tương đương.
1.19. Khi tiến hành công tác thăm dò điện trong khảo sát xây dựng phải thực hiện đúng các yêu cầu quy định trong các tiêu chuẩn TCVN 4419: 1987 " Khảo sát cho xây dựng. Nguyên tắc cơ bản".
1.20. Các loại công tác thăm dò điện chỉ được phép thực hiện khi có đầy đủ những văn bản sau.
- Yêu cầu kỹ thuật cho công tác thăm dò điện;
- Phương án kỹ thuật và dự toán kinh phí thăm dò điện được lập và xét duyệt theo đúng quy định hiện hành;
- Hợp đồng kinh tế được cơ quan khảo sát (hoặc cơ quan thăm dò điạ vật lý. và cơ quan đặt hàng ký kết theo đúng mọi thủ tục quy định hiện hành;
1.21. Nội dung của yêu cầu kỹ thuật cho công tác thăm dò điện gồm;
- Tên công trình khảo sát, thiết kế hoặc xây dựng cần tiến hành công tác thăm dò điện;
- Mục đích và yêu cầu của công tác thăm dò điện;
- Vị trí và ranh giới của vùng (địa điểm. cần tiến hành công tác thăm dò điện;
- Thời hạn và trình tự giao nộp báo cáo kỹ thuật về kết quả thăm dò điện và các tài liệu cần thiết khác kèm theo.
- Kèm theo yêu cầu kỹ thuật cho công tác thăm dò điện phải có các bản vẽ hoặc sơ đồ cần thiết khác.
1.22. Phương án kỹ thuật thăm dò điện của mỗi một công trình là văn bản xác định mục đích, nhiệm vụ và yêu cầu công tác thăm dò điện, quy định khối lượng, phương án kỹ thuật tiến hành và kế hoạch tổ chức thực hiện nhằm đảm bảo cho việc thực hiện yêu cầu kỹ thuật đề ra đạt hiệu quả kinh tế và kỹ thuật cao nhất;
Phương án kỹ thuật phải được xây dựng cho toàn bộ công tác thăm dò điện đáp ứng yêu cầu kỹ thuật đề ra từ công tác thi công ở ngoài trời đến chỉnh lý ở trong phòng, lập báo cáo kỹ thuật, giao nộp tài liệu và bàn giao kết quả tại thực địa (nếu cần..
1.23. Phương án kỹ thuật thăm dò điện được lập ra phải đáp ứng các yêu cầu kỹ thuật quy định trong tiêu chuẩn này và trong các tiêu chuẩn hiện hành khác về khảo sát, thiết kế và xây dựng, đồng thời phải được xét duyệt theo đúng thủ tục, quy định hiện hành và phải được cơ quan đặt hàng nhất trí thoả thuận.
1.24. Nội dung của phương án kỹ thuật thăm dò điện cho một công trình gồm 2 phần chính.
- Bản thuyết minh;
- Phụ lục bản vẽ và biểu bảng;
1.25. Bản thuyết minh trình bày những vấn đề chủ yếu sau đây;
1. Mục đích, nhiệm vụ và yêu cầu công tác thăm dò điện.
2. Khái quát điều kiện địa chất- địa vật lý khu vực khảo sát. Phần này trình bày điều kiện thiên nhiên và xã hội có liên quan ảnh hưởng trực tiếp đến việc quyết định nội dung, khối lượng, phương pháp, kỹ thuật và trình tự thực hiện phương án thăm dò điện như: ranh giới khu vực khảo sát, mức độ phức tạp của điều kiện địa hình, đặc điểm điều kiện khí tượng thuỷ văn, đặc điểm điều kiện địa chất, địa vật lý, tình hình dân cư và điều kiện giao thông vv…
3. Mức độ nghiên cứu về địa chất -địa vật lý. Phần này trình bày các loại tài liệu địa chất, địa vật lý đã thăm dò và khảo sát trước đây có phân tích, đánh giá chất lượng các tài liệu đó và mức độ sử dụng chúng cho giai đoạn khảo sát sắp tới.
4. Phương pháp và kỹ thuật công tác. Phần này trình bày những vấn đề:
- Phương pháp thăm dò điện sẽ được sử dụng.
- Sơ đồ và phương pháp quan trắc.
- Bước dịch chuyển quan trắc,
- Phương pháp đo thông số để chọn thiết bị.
- Phương pháp và kỹ thuật đo kiểm tra.
- Biện pháp chống nhiễu.
- Yêu cầu về độ chính xác của các tài liệu đo vẽ ngoài hiện trường.
- Phương pháp đo nối trắc địa các tuyến và điểm đo thăm dò điện.
- Công tác xác định cao, toạ độ và đo nối các điểm dị thường.
- Các loại công tác thăm dò khảo sát địa chất, địa chất công trình, địa chất thuỷ văn ( khoan, đào…vv... cần phải tiến hành để kiểm tra kết quả thăm dò điện.
5. Tổ chức thi công. Phần này trình bày tiến độ thi công của toàn bộ công trình và từng hạng mục công việc, các lực lượng vật chất, kỹ thuật và kinh tế cần thiết để hoàn thành công trình; phương pháp tổ chức sản xuất để đạt tiến độ thi công và yêu cầu kỹ thuật đề ra.
6. Công tác kiểm tra và nghiệm thu. Phần này trình bày phương pháp, mức độ tổ chức công tác kiểm tra và nghiệm thu qua từng giai đoạn thi công và sau khi kết thúc công trình.
7. Công tác an toàn lao động. Phần này trình bày những biện pháp để đề phòng tai nạn lao động và bảo vệ sức khoẻ cho cán bộ kỹ thuật và công nhân trong quá trình thi công phương án.
8. Dự báo kết quả công tác thăm dò điện. Phần này trình bày các kết quả thăm dò điện dự kiến sẽ đạt được so với yêu cầu và nhiệm vụ đề ra.
9. Công tác tổng kết lập báo cáo kỹ thuật. Phần này trình bày những yêu cầu về nội dung và phương pháp tổng kết lập báo cáo kỹ thuật về kết quả công tác thăm dò điện sau khi kết thúc thi công phương án kỹ thuật được duyệt.
Ghi chú:
1. Ngoài những nội dung đã quy định ở trên, trong phương án kỹ thuật cần phải dự kiến được những thay đổi có thể xẩy ra và được phép bổ sung trong khi thực hiện phương án kỹ thuật đã được duyệt do điều kiện mặt bằng và địa hình tại chỗ gây nên. Những thay đổi này người chủ nhiệm công trình được phép quyết định sau đó báo cáo thủ trưởng cấp trên trực tiếp và không cần phải có sự nhất trí của cơ quan giao thầu
2. Những công trình có khối lượng công tác thăm dò diện nhỏ, như khảo sát cho từng ngôi nhà hay từng hạng mục công trình riêng biệt cho phép giảm bớt các chương mục của phương án kỹ thuật đã quy định trong điều này.
1.26. Phương án kỹ thuật thăm dò điện được xét duyệt và được cơ quan đặt hàng nhất trí thoả thuận là cơ sở để lập dự toán kinh phí.Khi lập dự toán kinh phí thăm dò điện phải dựa vào các định mức và đơn giá được cấp có thẩm quyền phê duyệt và ban hành.
Dự toán kinh phí thăm dò điện phải được cơ quan đặt hàng nhất trí thoả thuận.
Chú thích:
Đối với những phương pháp thăm dò điện chưa có định mức và đơn giá được duyệt cho phép tính theo hệ số quy đổi hoặc dùng phương pháp tính nội suy, quy đổi tương đương…nhưng phải được cơ quan đặt hàng chấp thuận.
1.27. Phương án kỹ thuật và dự toán kinh phí được duyệt và được nhất trí thoả thuận là cơ sở để 2 cơ quan đặt hàng (giao thầu. và khảo sát (nhận thầu. kí kết hợp đồng kinh tế.
1.28. Phương án kỹ thuật được duyệt và hợp đồng kinh tế đã được 2 cơ quan giao thầu và nhận thầu ký kết là cơ sở để cơ quan nhận thầu triển khai tổ chức và thực hiện công tác thăm dò điện ngoài hiện trường.
1.29. Khi sử dụng các phương pháp thăm dò điện trong khảo sát xây dựng phải áp dụng rộng rãi tiến bộ kỹ thuật (phương pháp tiên tiến, máy móc và thiết bị hiện đại... để đảm bảo nâng cao năng suất lao động, chất lượng tài liệu, giảm thời gian khảo sát …
1.30. Trong quá trình thực hiện công tác thăm dò điện phải chấp hành nghiêm chỉnh các quy định và yêu cầu về bảo hộ lao động và kỹ thuật an toàn lao động.
1.31. Trong quá trình thực hiện công tác thăm dò điện ở ngoài thực địa, đơn vị thi công phải thực hiện đầy đủ toàn bộ khối lượng công tác đã được quy định trong phương án kỹ thuật được duyệt và công tác chỉnh lý tài liệu thực địa để đảm bảo độ chính xác và chất lượng, mức độ đầy đủ của tài liệu cần thu thập.
1.32. Trong quá trình thi công phải thường xuyên tiến hành công tác kiểm tra và nghiệm thu kết quả công tác thăm dò điện đã thực hiện. Mỗi lần kiểm tra và nghiệm thu đều phải thực hiện theo đúng yêu cầu quy định. Riêng lần kiểm tra và nghiệm thu cuối cùng khi kết thúc công tác ở ngoài thực địa thì còn phải đánh giá mức độ đầy đủ và chất lượng của toàn bộ tài liệu đã thu thập được có đảm bảo thực hiện đầy đủ nhiệm vụ đề ra hay không để cho phép tiến hành công tác chỉnh lý tài liệu và lập báo cáo kỹ thuật.
1.33. Toàn bộ tài liệu thăm dò điện thu thập được ở 1 công trình hay một giai đoạn khảo sát phải được tổng hợp thành báo cáo kỹ thuật. Nội dung và hình thức của báo cáo kỹ thuật phải đảm bảo yêu cầu quy định trong các tiêu chuẩn và quy phạm hiện hành về khảo sát xây dựng. Ngoài ra báo cáo kỹ thuật về kết quả thăm dò điện của một công trình (giai đoạn. khảo sát phải đáp ứng những yêu cầu kỹ thuật đề ra và phương án kỹ thuật được duyệt.
1.34. Báo cáo kỹ thuật thăm dò điện gồm 2 phần.
Phần 1: Thuyết minh của báo cáo.
Phần 2: Các phụ lục kèm theo báo cáo.
1.35. Phần thuyết minh của báo cáo kỹ thuật gồm có các chương mục sau.
Mở đầu:
Chương I: Đặc điểm địa chất, địa vật lý và kinh tế của khu vực khảo sát.
Chương II: Nhiệm vụ phương pháp và kỹ thuật công tác
Chương III: Phân tích tài liệu thăm dò điện
Chương IV: Kết quả của công tác thăm dò điện Kết luận:
1.36. Trong phần mở đầu và chương I nêu lên những chi tiết đã nêu trong các mục tương tự của phương án kỹ thuật, như có tính chất mở rộng hơn, đầy đủ hơn và được chứng minh bằng những số liệu cuối cùng của các mặt công tác địa chất, địa vật lý.
1.37. Chương II trình bày các nội dung sau:
1. Nêu tóm tắt nhiệm vụ và cơ sở để tiến hành công tác, những thay đổi hoặc bổ sung phương án kỹ thuật đã được duyệt.
2. Trình bày phương pháp và kỹ thuật phân bố các tuyến đo và điểm đo…
3. Phương pháp kỹ thuật và tiến hành công tác trắc địa phục vụ cho thăm dò điện.
4. Mô tả quá trình hoạt động của máy móc, độ chính xác, chất lượng tài liệu thực địa và sự đánh giá của Hội đồng nghiệm thu.
5. Nhiệm vụ, cơ sở và kết quả công tác do thí nghiệm.
6. Các phương pháp thăm dò địa vật lý khác đã sử dụng và mối liên hệ của chúng với công tác thăm dò điện đã được thực hiện.
1.38. Chương III trình bày các nội dung sau;
1. Phân tích kết quả công tác quan sát thực địa, trình bày những đặc điểm của lát cắt điện –
2. Địa chất và quy luật thay đổi các đặc điểm đó trên diện tích khảo sát theo các yếu tố khác.
3. Cơ sở chọn phương pháp phân tích tài liệu, chọn tham số, chọn tỷ lệ cho các bản vẽ.
4. Phương pháp lập lát cắt, bản đồ điện (bản đồ đẳng ôm, bản đồ đồ thị, bản đồ đẳng chiều dầy…. và bản đồ cấu tạo vv..
5. Đánh giá độ chính xác của việc thành lập các bản đồ và lát cắt. Khi đánh giá tài liệu kết quả công tác thăm dò điện cần so sánh với số liệu của các phương pháp địa vật lý khác (nếu có.
1.39. Chương IV trình bày các nội dung sau.
1. Đặc điểm, cấu tạo địa chất, điều kiện địa chất công trình và địa chất thuỷ văn của khu vực công tác theo các số liệu thăm dò điện.
2. So sánh kết quả thăm dò điện với kết quả của các công tác thăm dò khác như: Đo vẽ địa chất, khoan đào đã tiến hành trong vùng (nếu có..
3. Mức độ giải quyết nhiệm vụ đã đề ra trong phương án kỹ thuật.
4. Những kiến nghị về phương pháp và kỹ thuật của công tác dò điện cho giai đoạn khảo sát tiếp theo (nếu còn làm tiếp..
5. Những biện pháp nâng cao hiệu quả của công tác thăm dò điện phục vụ cho các dạng công tác khảo sát xây dựng.
Trong chương này cần có đồ thị phản ánh các trường điện đã xác định được.
Tuỳ theo quy mô diện tích của vùng khảo sát mà việc mô tả và phân tích kết quả công tác thăm dò có thể làm riêng cho từng phân vùng hoặc chung cho toàn vùng.
1.40. Phần kết luận của báo cáo kỹ thuật cần trình bày.
1. Kết quả về địa chất, địa chất thuỷ văn và địa chất công trình đã thu được theo phương pháp thăm dò điện.
Vị trí của công tác thăm dò điện trong tổ hợp công tác khảo sát thực hiện cho vùng khảo sát.
2. Kiến nghị về công tác thăm dò điện sẽ thực hiện ở giai đoạn khảo sát tiếp theo. Kết luận về sử dụng phương pháp và kỹ thuật thăm dò điện có đúng hay không.
Đánh giá kết quả của từng phương pháp đã áp dụng.
1.41. Kèm theo báo cáo tổng kết là các phụ lục minh hoạ gồm: các văn bản, bản vẽ, đồ thị, bản phân tích đường cong đo sâu văn bản bàn giao các đới dị thường và bản thống kê đồ thị v.v…
1.42. Báo cáo kỹ thuật thăm dò điện phải được kiểm tra và xét duyệt theo đúng mọi thủ tục và phân cấp quy định hiện hành.
1.43. Báo cáo kỹ thuật thăm dò điện phải được giao nộp cho cơ quan đặt hàng (cơ quan giao thầu. theo đúng số lượng và thời hạn đã quy định trong hợp đồng kinh tế khảo sát và cho lưu trữ kỹ thuật khảo sát xây dựng theo đúng quy định hiện hành.
1.44. Tất cả những tài liệu gốc dùng để lập báo cáo kỹ thuật phải được đóng gói và được lưu trữ cẩn thận theo đúng quy định hiện hành để sử dụng sau này khi cần thiết.
2. Tổ chức lực lượng và trang bị máy móc thiết bị
2.1. Tổ chức lực lượng;
2.1.1. Tuỳ thuộc vào cơ sở vật chất kỹ thuật (máy móc thiết bị, cán bộ công nhân kỹ thuật. của bộ phận làm công tác thăm dò điện mà có thể thành lập một đơn vị thăm dò địa vật lí độc lập, có đủ tư cách pháp nhân hoặc thành 1 đơn vị nằm trong cơ quan (xí nghiệp, công ty, liên hợp xí nghiệp. khảo sát xây dựng.
2.1.2. Đơn vị tổ chức cơ sở của lực lượng làm công tác thăm dò điện là tổ thăm dò điện. Tổ chức cấp trên trực tiếp của tổ thăm dò điện có thể là đội, đoàn , phòng, xí nghiệp, công ty hoặc liên hiệp xí nghiệp.
2.1.3. Biên chế của một tổ thăm dò điện phải có 2 cán bộ kỹ thuật ( kỹ sư hoặc kỹ thuật viên. một người đo số liệu và một người ghi chép; từ 4 đến 6 công nhân kỹ thuật; Trường hợp tiến hành thăm dò điện ở vùng đông dân cư ( thị trấn, thị xã, thành phố, khu công nghiệp. biên chế của tổ có thể tăng thêm để làm công tác cảnh giới bảo vệ và chống nhiễu v.v…
2.1.4. Mỗi tổ thăm dò điện có một tổ trưởng và một tổ phó. Tổ trưởng chịu trách nhiệm phụ trách kỹ thuật và sản xuất. Tổ phó phụ trách vật tư và đời sống.
2.1.5. Đối với những công trình khảo sát có khối lượng công tác thăm dò điện lớn, cần huy động nhiều cán bộ, công nhân và thiết bị máy móc tham gia thực hiện nhiệm vụ thì có thể tổ chức thành đội địa vật lý chuyên ngành hoặc đội địa vật lý tổng hợp (gồm cả các đơn vị thăm dò địa vật lý bằng các phương pháp khác như: Địa chấn, carôta, v.v….
2.1.6. Khi tiến hành khảo sát cho một công trình thì tổ (đội. trưởng chịu trách nhiệm toàn bộ công việc của đơn vị mình phụ trách từ khi nhận nhiệm vụ đến khi bàn giao xong toàn bộ tài liệu theo nhiệm vụ đã được
2.1.7. Người đo chịu trách nhiệm toàn bộ về chất lượng kỹ thuật của máy chỉ đạo kỹ thuật trong quá trình tiến hành đo để đảm bảo tài liệu thu được có chất lượng tốt, đồng thời chịu trách nhiệm kiểm tra số liệu của người ghi chép.
2.1.8. Người ghi chép chịu trách nhiệm ghi sổ, tính toán, vẽ biểu đồ, vẽ mặt cắt và thông báo kết quả cho người đo.
2.1.9. Trên sổ ghi chép số liệu ở hiện trường, hàng ngày phải có chữ ký của người đo và người ghi chép thể hiện trách nhiệm của mình đối với công việc.
2.1.10. Hàng ngày trên cơ sở số liệu đo ở thực địa, người đo và người ghi chép phải kịp thời tính toán, chỉnh lý số liệu sơ bộ, lập các biểu đồ, sơ đồ, đồ thị, lát cắt địa -điện để chuẩn bị cơ sở kỹ thuật cho công tác ngày sau.
2.1.11. Hàng ngày người chịu trách nhiệm chính về công tác thăm dò điện của công trình kháo sát (chủ nhiệm công trình. phải kiểm tra toàn bộ do người đo và người ghi chép chỉnh lý và thành lập.Công tác chỉnh lý và lập các tài liệu sơ bộ chưa thực hiện xong thì tuyệt đối không được tiếp tục thực hiện công tác đo ở thực địa.
2.2. Trang bị máy móc thiết bị.
2.2.1. Công tác thăm dò điện trong khảo sát xây dựng được phép sử dụng những máy móc thiết bị sau đây:
1. Máy thăm dò điện một chiều gồm các loại như: UJ -18, ESK -1, AE -72 và những loại máy thăm dò điện khác có tính năng kỹ thuật tương đương.
2. Máy thăm dò điện chuyên dụng như: RDC -3, RT -151 -DC và những loại máy thăm dò điện chuyên dụng khác có tính năng kỹ thuật tương đương.
3. Nguồn điện một chiều để tạo ra trường điện như: Pin khô, ắc quy …
4. Điện cực để truyền điện vào các lớp đất đá và đo thế hiệu khi điện đã được truyền qua các lớp đất đá cần nghiên cứu.
5. Dây dẫn điện từ nguồn phát truyền xuống đất và thu điện sau khi đã được truyền qua các lớp đất đá.
6. Các loại thiết bị để thực hiện các nhiệm vụ khi sử dụng phương pháp thăm dò điện chuyên ngành như: Bộ ống đo carôta, điện cực không phân cực v.v…
7. Các phương tiện, dụng cụ dùng để vận chuyển, vận hành và bảo quản máy móc thiết bị được sử dụng trong thăm dò điện phục vụ cho khảo sát xây dựng.
2.2.2. Đối với các loại máy thăm dò điện chuyên dụng như RDC -3, RT -151 -DC, các điện cực thu phải là loại điện cực không phân cực có chứa dung dịch sunphát đồng.
2.2.3. Các máy móc, thiết bị thăm dò điện (như máy đo thế, máy bù điên trở, trạm thăm dò điện v.v…. trước khi đưa ra thực địa sử dụng trong mỗi đợt công tác đều phải được kiểm tra và hiệu chỉnh để đảm bảo các yêu cầu về chất lượng kỹ thuật của máy như: độ nhạy, độ chính xác, độ tin cậy…
2.2.4. Mỗi lần sửa chữa và thay thế phụ tùng cho máy thăm dò điện đều phải ghi vào lý lịch máy về các mặt: Tình trạng máy, mức độ hư hỏng và sửa chữa, tình trạng của máy sau khi được sửa chữa…
2.2.5. Khi chọn nguồn điện dùng cho thăm dò điện phải chú ý để sao cho có thể đấu chúng với nhau theo các phương pháp: song song, nối tiếp hoặc liên hợp. Khi đấu theo phương pháp song song chỉ được phép đấu các nguồn điện có điện áp khác nhau không quá 10% và điện trở trong khác nhau không qúa 20%.
2.2.6. Các nguồn điện được dùng trong quá trình đo cần phải kiểm tra điện áp định kỳ. Khi thấy dòng điện giảm theo thời gian thì phải thường xuyên kiểm tra để thay thế kịp thời. Bất kỳ nguồn điện là loại nào (pin hay ác quy. trong suốt quá trình làm việc không được thay đổi cường độ của dòng quá mức quy định 2 -3%. Nếu cường độ của dòng giảm quá 2 -3% thì nhất thiết phải thay thế ngay.
Chú thích:
1. Mỗi lần đo kiểm tra phải có ít nhất 2 số liệu đo. Kết quả đo kiểm tra đều phải ghi vào sổ đo.
2. Khi kiểm tra dòng điện ở nguồn thấy chất lượng đảm bảo tiêu chuẩn quy định, nhưng khi đo lại thấy dòng điện yếu thì cần phải đóng sâu các điện cực phát xuống đất hoặc sử dụng phương pháp đấu song song thêm 1 điện cực phụ gần một điện cực chình nằm trên đưòng thẳng vuông góc với tuyến ddo hoặc hướng rải dây
2.2.7. Việc bảo quản, sử dụng và vận chuyển máy móc thiết bị thăm dò điện trong thời gian công tác ở ngoài thực địa phải thực hiện theo đúng quy định đặc biệt máy và nguồn điện phải để nơi khô ráo và thoáng mát.
2.2.8. Khi sử dụng nguồn điện phải chấp hành nghiêm chỉnh quy tắc an toàn lao động, đặc biệt cần lưu ý:
1. Khi làm việc với điện áp cao các cán bộ kỹ thuật và công nhân phải được trang bị đầy đủ gang tay và giầy (hoặc ủng. cao su. Mọi người phải đựơc học tập quy tắc an toàn lao động về cách làm việc khi có dòng điện áp cao.
2. Khi điện áp của nguồn điện vượt quá 70 vôn thì phải có biện pháp đảm bảo an toàn lao động chống điện giật, không được sờ bằng tay không vào dây (trần. hoặc chỗ dây bọc bị hở.
3. Trước khi phóng dòng điện phải báo cho cán bộ và công nhân kỹ thuật đang làm nhiệm vụ biết.
2.2.9. Điện cực sử dụng trong thăm dò điện cho khảo sát xây dựng phải đảm bảo kích thước như sau: Đường kính 20 -25 mm, dài 0.5 -0.6 m và có 1 đầu nhọn.
2.2.10. Dây điện phải được cuộn và bảo quản trong tời, trong đó 1 đầu của dây phải được nối chặt vào trục tời và được cách điện tốt.
2.2.11. ở những điểm nối dây điện vào máy đo và nguồn điện, cực điện phải dùng phích điện hoặc nối để bảo đảm không bị tuột. Trường hợp dây điện phải kéo quá dài thì phải dùng một loại phích điện một cực có dạng bút đồng thời phải giữ cho phích điện không bị vỡ bị tuột..vv do sức kéo.
2.2.12. Khi cuộn dây điện vào tời phải cuộn thành từng lớp đều đặn theo thứ tự từ trong ra ngoài, không được kéo dây quá căng và cuộn dây bị rối vào tời.
2.2.13. Khi tiến hành công tác thăm dò điện ở nơi đông người (làng xóm, thị trấn, thị xã, thành phố, khu công nghiệp v.v.... đặc biệt là khi tuyến đo cắt qua các đường giao thông, nhất thiết phải có người và phương tiện báo trước để bảo vệ thiết bị và đường dây.
3. Phương pháp và kỹ thuật tiến hành công tác thăm dò điện.
3.1. Công tác trắc địa phục vụ công tác thăm dò điện.
3.1.1 Nội dung của công tác trắc địa phục vụ cho thăm dò điện gồm;
- Đưa mạng lưới điện đo (điểm quan trắc. từ thiết kế ra thực địa của khu vực khảo sát.
- Gia cố và đo nối mạng lưới điểm đo.
- Định vị và kí hiệu các điểm dị thường trong khu vực khảo sát.
- Trình bày kết quả của công tác trắc địa trên các bản đồ và biểu đồ thăm dò điện.
3.1.2. Việc bố trí mốc và đo nối các điểm đo thăm dò điện phải đáp ứng các yêu cầu của tiêu chuẩn TCVN 3972: 1985;
3.1.3. Khi tiến hành công tác thăm dò điện phải định vị đường trục các tuyến đo tại thực địa. Các đường trục được xác định bằng các loại máy đo đạc có độ chính xác 1:100 còn hướng của tuyến được xác định bằng máy kinh vĩ có độ chính xác i 1''. Các điểm đo phải được đánh dấu bằng cột mốc có ghi số hiệu tuyến và điểm đo. Các điểm đầu và cuối tuyến của trục, cũng như các điểm dị thường phải được đo nối và gia cố móc tại chỗ. Độ sai lệch của các tuyến so với hướng quy định không vượt quá 10.
3.1.4. Đánh số thứ tự các điểm đo (các cọc mốc. có thể bắt đầu từ gốc tuyến trục hay từ đầu tuyến đo.
3.1.5. Sai số trung bình các điểm đo nối trắc địa trong phạm vi đo không được vượt qúa 0.5mm trên bản đồ (bình đồ..
3.1.6. Mạng lưới điểm đo ở thực địa phải định vị và gia cố trước khi bắt đầu đo. Các điểm dị thường phải được định vị và gia cố ngay sau khi phát hiện trong quá trình đo.
3.2. Phương pháp đo sâu điện;
3.2.1. Phương pháp đo sâu điện được sử dụng để nghiên cứu.
- Lát cắt địa chất theo phương thẳng đứng.
- Phát hiện các ranh giới điện - địa chất trong phạm vi lan truyền ảnh hưởng của dòng điện: mặt trượt của đất đá, ranh giới thềm sông, lòng sông cổ bị chôn vùi.v.v..
- Độ nứt nẻ và tính bất đẳng hướng của các lớp đất đá;
3.2.2. Phương pháp đo sâu điện đối xứng là phương pháp đo được tiến hành bằng cách:các điện cực thu đặt tại vị trí cố định, còn các điện cực phát thì được đặt ở những vị trí có khoảng cách tăng dần đối xứng về hai phía để cho dòng điện xuyên đi dần vào các lớp đất đá. Đồ thị biểu diễn sự phụ thuộc của các đại lượng điện trở suất Pk vào khoảng cách giữa các điện cực phát của môi trường phân lớp là đường cong đều và gọi là đường cong đo sâu điện thẳng đứng.
3.2.3. Trong phương pháp đo sâu điện, kích thước độ dài tối đa giữa các điện cực phát A và B (AB/2. được xác định theo phạm vi tiệm cận của đường cong đo sâu với đường thẳng tạo với trục hoành (trục AB/2. một góc 45o.
Chú thích:
Khi xác định đoạn tiệm cận này phải có từ 3 điểm đo trở lên.
3.2.4. Để nghiên cứu các ranh giới điện -địa chất phải sử dụng phương pháp đo sâu vòng. Phương pháp đo sâu vòng được tiến hành theo 4 phương vị có cùng một tâm. Cách đo của phương pháp đo sâu vòng tiến hành như phương pháp đo sâu điện bình thường.
3.2.5. Để xác định hướng nứt nẻ và tính bất đẳng hướng cuả các lớp đất đá nhất thiết phải được tiến hành đo sâu vòng hoặc đo sâu chữ thập.
3.2.6. Khi xác định tính bất đẳng hướng phải xây dựng elip bất đẳng hướng. Giá trị bất đẳng hướng xác định theo công thức sau:
![]()
Hệ số bất đẳng thức hướng Ka được xác định theo công thức:
![]()
3.2.7. Để giải thích tính không đồng nhất nằm ngang của mặt đất làm sai lệch đường cong đo sâu phải tiến hành đo sâu chữ thập tại các điểm đo được bố trí đều trên diện tích khảo sát. Tại các điểm đo đường cong đo sâu rất khác nhau thì phải đo lại theo cùng một phương vị.
3.2.8. Khi tiến hành đo sâu điện (đo sâu vòng. cần phải tuân theo những yêu cầu chính sau đây.
- Tâm của điểm đo sâu đặt tại vị trí bằng phẳng , xung quanh tâm điểm đo trong phạm vi bán kính 20-30m không được có: hố đào, mương rãnh hoặc hang hố trũng tự nhiên… Trong trường hợp xung quanh điểm đo không có một khoảng trống bằng phẳng thì tâm của điểm đo được đặt ở vị trí có độ dốc bé nhất.
- ở khu vực thành phố hay khu công nghiệp phải chọn các đường dây và vị trí đặt tâm điểm đo sâu sao cho hạn chế được đến mức ít nhất số đường dây cắt qua đường ống ngầm, cáp điện ngầm, đường dây xe lửa, xe điện.
3.2.9. Vị trí điểm tiếp đất khi làm việc theo hệ thiết bị AMNB và A'MNB' phải được định vị trứơc bằng cọc gỗ hoặc đánh dẫu sẵn trên dây điện.
Độ sai lệch của các điện cực phát vuông góc với đường rải dây không được vượt quá (0.1 x AB/2..
Khi cần nghiên cứu chi tiết các lớp đất đá ở độ sâu 4 -5 m cần phải sử dụng hệ thiết bị "vi đo sâu".
Chú thích:
1. Cho phép dịch chuyển tâm điểm đo sâu tới 2m về bất kỳ hướng nào của điểm đã định sẵn.
2. Tuỳ thuộc vào điều kiện tại chỗ cho phép tăng, giảm khoảng cách giữa các tâm điểm đo sâu và giữa các tuyến đến 1,5 lần so với phương án đã được duyệt.
3. Cho phép độ cong của tuyển được lệch tới ±20 độ và hướng rải dây được lệch tới ±10o so với hướng đã định sẵn.
3.2.10. Khi cắm cực tiếp đất (đặc biệt là khi đo với khoảng cách AB. cần tìm mọi biện pháp để giảm bớt điện trở tiếp đất. Khi điều kiện tiếp đất không thuận lợi thì có thể xê dịch vị trí tiếp đất ra chỗ khác để cắm cực được tốt hơn (Ví dụ: chỗ đất ẩm hơn. với điều kiện khoảng cách AB và giá trị !k thay đổi không quá 1 -2%. Cực phát được làm bằng thép hay sắt còn cực thu bằng đồng đỏ hay đồng thau.
Chú thích:
1. Khi sử dụng máy RDC - 3; RT - 151 - DC điện cực thu nhất thiết phải dùng điện cực không phân cực.
2. Khi ở vùng có trầm tích bở rời , xốp mà lớp trên mặt có điện trở cao thì với khoảng cách AB lớn thì phải cắm điện cực sâu hơn.
3.2.11. Kết quả đo sâu phải ghi vào sổ ghi chép ở thực địa, đồng thời vẽ đường cong đo sâu trên giấy tỷ lệ Logarit có môdun = 6.25cm. Chỉ khi ghi kết quả vào sổ xong mới được chuyển sang điểm đo khác.
3.2.12. Hệ số K tính theo công thức sau:
![]()
hệ số K giảm xuống 10 lần. Khoảng cách AB và MN sử dụng khi đo sâu được quy định trong phụ lục.
Khi sử dụng các khoảng cách AB và MN đã quy định thì phải tuân theo đúng các nguyên tắc sau:
- Các điểm trên đường cong đo sâu biểu diễn theo tỷ lệ logarit;
- Theo đường thu (phát. các điểm phải phân bố đều,
- Giá trị ban đầu của khoảng cách AB phải chọn thế nào để đường cong đo sâu phân biệt được lớp có điện trở suất !1;
- Tỷ số của khoảng cách AB tiếp sau và khoảng cách AB trước đó không quá 1.5 ÷ 1.7;
- Tỷ số của khoảng cách AB và MN không được nhỏ hơn 30;
- Tỷ số cực đại AB/MN được xác định bằng giá trị cực tiểu của thế hiệu cho phép đo được trong mỗi trường hợp cụ thể.
3.2.13. Khi chuyển từ điểm thu này sang điểm thu khác phải đo gối 2 điểm trên đường cong sau. Khi cần nghiên cứu ở 3 độ sâu lớn trong trường hợp trên đường cong đo sâu có chỗ đứt quãng thì phải đo gối 3 giữ 4 điểm để thu được kết quả chính xác.
3.2.14. Các phương pháp đo sâu lưỡng cực áp dụng trong khảo sát xây dựng được tiến hành theo các quy trình, quy phạm hiện hành. Cách chọn phương pháp đo sâu lưỡng cực phụ thuộc vào đối tượng nghiên cứu sao cho phù hợp với cấu trúc địa chất của vùng.
3.2.15. Căn cứ vào mục đích và yêu cầu nghiên cứu mà xác định khoảng cách giữa các điểm đo sâu và tuyến đo sâu cho phù hợp. Khi khảo sát phục vụ cho thiết kế quy hoạch hoặc để lựa chọn điểm xây dựng các công trình công nghiệp thì khoảng
cách các điểm đo sâu được phép chọn trong khoảng 100 ÷ 200m còn khoảng cách giữa các tuyến đo sâu chọn trong khoảng 200 ÷ 5 00m. Khi khảo sát phục vụ cho thiết kế kỹ thuật và lập bản vẽ thi công khoảng cách các điểm đo sâu trong khoảng 20 ÷ 50m; Riêng ở những khu đặc biệt thì khoảng cách giữa các điểm đo sâu đan dầy tới 10m và khoảng cách giữa các tuyến đo là 20 ÷ 50m. Số lượng điểm đo sâu vòng, đo sâu chữ thập được xác định cụ thể dựa vào yêu cầu kỹ thuật và có thể thay đổi trong quá trình công tác. Trung bình số lượng điểm đo sâu vòng và đo sâu chữ thập chuẩn chiếm khoảng từ 15 y 20 % số lượng điểm đo sâu bình thường.
3.2.16. Sai số trong đo sâu điện được quy định như sau:
- Khi đo sâu giá trị !k không được lệch quá 5% giá trị trung bình số học của nhiều lượt đo với mỗi khoảng cách AB (khoảng cách lúc thi công.;
- Giá trị trung bình số học của !k đo sâu đã được kiểm tra và đang kiểm tra không được khác nhau 5% đối với mỗi khoảng cách AB tương ứng;
- ở các công trình có điều kiện tự nhiên phức tạp khoảng cách AB lớn thì hiệu quả của những lần quan sát riêng lẻ không được quá 7%.
- Được phép loại bỏ những trường hợp khi phần đầu nhánh trái của đường cong bị chuyển dịch (đo lớp đất đá phía trên bị khô hoặc ẩm ướt.. Khi đánh giá mức độ chính xác quan sát không kế những chỗ chuyển dịch đó trên đường cong đo sâu.
3.3. Phương pháp đo mặt cắt điện:
3.3.1. Phương pháp đo mặt cắt điện được sử dụng trong khảo sát xây dựng để giải quyết các nhiệm vụ chủ yếu sau.
- Phát hiện vị trí và tính chất không đồng nhất của lát cắt điện -địa chất theo diện trong khu vực khảo sát.
- Đánh giá gần đúng độ sâu của các đối tượng nghiên cứu mà ở độ sâu đó quan trắc thấy các đặc tính không đồng nhất: Ranh giới thẳng đứng, hố rãnh ngầm, thung lũng cỏ, đới phá huỷ kiến tạo, đới nứt nẻ, phát triển các -tơ, vùng có các mỏ sét, đá vôi ngầm, cuội sỏi v.v…
3.3.2. Tuỳ theo nhiệm vụ, tính chất và chiều sâu của các đối tượng cần nghiên cứu, và điều kiện làm việc mà chọn các kiểu đo mặt cắt điện cho thích hợp:
- Để giải quyết những nhiệm vụ liên quan tới việc nghiên cứu sâu về địa chất thuỷ văn cung cấp nước, thăm dò các mỏ vật liệu, xây dựng phải sử dụng kiểu đo mặt cắt đối xứng kép với thiết bị AA MN
- Để phục vụ cho khảo sát địa chất công trình đến độ sâu 50m phải sử dụng thiết bị AMNB;
- Để phục vụ cho khảo sát chi tiết các loại phải sử dụng phương pháp đo liên hợp, đo lưỡng cực và một vài kiểu đo mặt cắt khác.
- Các kiểu đo mặt cắt chỉ có hiệu dụng khi dị thường do các đối tượng nghiên cứu gây ra phân biệt khá rõ ràng với đất đá vây quanh (do tính chất không đồng nhất của chúng gây ra.
3.3.3. Phương pháp đo mặt cắt điện là phương pháp đo được tiến hành bằng cách chuyển dịch thiết bị 4 cực dọc theo tuyến đã định sẵn mà không thay đổi khoảng cách giữa các điện cực nhằm thu được các giá trị điện trở suất !k, phản ánh trường điện ở cùng một độ sâu nghiên cứu , nhưng tại các điểm đo khác nhau trên một mặt bằng khảo sát. Đồ thị biểu diễn giá trị !k dọc theo tuyến quan trắc là đồ thị phương pháp mặt cắt điện.
3.3.4. Nếu phương pháp mặt cắt điện sử dụng hệ cực thiết bị với các cực có khoảng cách bằng nhau lấy từ tâm đo thì thiết bị đó gọi là thiết bị đối xứng. Phương pháp đo mặt cắt điện dưới dạng thiết bị đối xứng gọi là phương pháp đo mặt cắt điện đối xứng.
3.3.5. Nếu thiết bị đối xứng của phương pháp đo mặt cắt điện sử dụng một số cặp điện cực phát với khoảng cách giữa chúng bằng nhau (AB, A'B'A'', B'' vv... và khi lấy số liệu đo người ta tiến hành cho từng cặp điện cực phát thì phương pháp mặt cắt điện này gọi là phương pháp mặt cắt điện đối xứng liên hợp.
3.3.6. Khoảng cách giữa các điện cực phát gọi là kích thước thiết bị. Đại lượng dịch chuyển thiết bị của phương pháp mặt cắt điện dọc theo tuyến gọi là bước đo mặt cắt điện.
3.3.7. Phương pháp mặt cắt điện thường được tiến hành bằng các thiết bị không đối xứng với mục đích nhằm thu được lượng thông tin lớn nhất của các ranh giới địa chất phân chia thẳng đứng (các đứt gẫy địa chất, đứt gãy kiến tạo, dị thường khác …..
3.3.8. Để công tác vẽ ở những vị trí có điạ hình phức tạp hoặc mặt bằng thi công chật hẹp (như ở trong thành phố, khu dân cư, khu công nghiệp…. tiến hành được nhanh chóng thì phải sử dụng hệ thiết bị mà các điện cực phát đặt cố định ngoài phạm vi diện tích cần nghiên cứu còn các cực thu dịch chuyển theo hệ thống các tuyến song song trải khắp diện tích nghiên cứu nằm trong 1/3 khoảng cách giữa các điện cực phát. Bước dịch chuyển của thiết bị trong phương pháp này lấy bằng khoảng cách giữa các điện cực phát. Bước dịch chuyển của thiết bị trong phương pháp này lấy bằng khoảng cách giữa các điện cực thu. Loại thiết bị này gọi là ABfix (AB - bất động. hay là phương pháp gradien trung gian.
3.3.9. Diện tích đo vẽ của phương pháp gradien trung gian là một hình vuông có các cạnh bằng AB/3. Sự thay đổi của chiều sâu hiệu dụng nghiên cứu ở các phần góc của diện tích nghiên cứu không vượt quá 5% so với đại lượng đo ở phần trung tâm của diện tích đó.
Nếu phương pháp mặt cắt điện sử dụng thiết bị gradien trung gian nhằm mục đích khoanh vùng ranh giới điện - địa chất thẳng đứng mà tại ranh giới đó có giá trị điện trở suất khác biệt nhau đáng kế thì kích thước các cạnh hình vuông (diện tích nghiên cứu. có thể tăng tới bằng AB/2. Khi đó chiều sâu hiệu dụng nghiên cứu ở các phần rìa của diện tích khu đo có thể giảm tới 15 -20%. Do vậy khi tiến hành đo bằng phương pháp gradien trung gian thì phải tính toán kỹ khi chọn độ dài thiết bị AB.
3.3.10. Phương pháp đo mặt cắt điện được tiến hành theo mạng lưới định sẵn. Các tuyến đo bố trí vuông góc với phương trải của đối tượng cần nghiên cứu. Dựa vào kết quả đo được, được phép bố trí thêm các tuyến phụ để chi tiết hoá các dị thường đã phát
3.3.11. Phương pháp đo mặt cắt điện phải phối hợp với phương pháp đo sâu điện. Trước tiên phải đo sâu điện để nghiên cứu tính chất lát cắt điện và chọn khoảng cách AB thích hợp cho thiết bị đo mặt cắt điện.
3.3.12. Khoảng cách AB phải được chọn sao cho đối tượng nghiên cứu được xác định rõ rệt nhất. Thông thường khoảng cách AB được chọn dựa vào những số liệu đã thăm dò khảo sát trước đây và do thực nghiệm, đồng thời phải chú ý đến lát cắt địa chất thực tế.
Để kiểm tra lại cách chọn khoảng cách AB có đúng hay không, cần phải đo thử một vài tuyến ở nơi có lát cắt địa chất đã biết với những khoảng cách AB khác nhau để chọn cho phù hợp. Khoảng cách AB chọn được phải lớn hơn chiều sâu đối tượng nghiên cứu ít nhất từ 7 ÷ 10 lần tuỳ theo tính chất đặc điểm của cấu tạo. Trong trường hợp lớp phủ dẫn điện tốt thì khoảng cách AB phải lớn hơn so với trường hợp dẫn điện xấu.
3.3.13. Khi đo mặt cắt liên hợp, cực xa "vô cùng" đặt ở một cự ly sao cho không ảnh hưởng đến số đo. Cự ly này được tính dựa theo lát cắt điện, tính dị hướng cuả đất đá và phương kéo của cực xa "vô cùng" so với phương của tuyến đo. Cự ly từ cực xa "vô cùng" đến các điểm gần nó nhất trên vùng đo bằng (7 ÷ 10. AO. Cực xa "vô cùng" gồm một số cực tiếp đất phải cắm ở chỗ đất ẩm.
3.3.14. Theo kết quả đo ta tính được giá trị điện trở suất biểu kiến rk;
![]()
- rk là đại lượng điện trở suất và biểu diễn bằng m (ôm mét);
- Hệ số k dùng cho nhưng kiểu đo mặt cắt tính theo công thức sâu đây:
Đo mặt cắt đối xứng

Đo mặt cắt liên hợp
Đo mặt cắt lưỡng cực

Lức tính rk thì thể hiện ∆V thì tính bằng đơn vị mV, cường độ dòng điện I tính bằng mA.
3.3.15. Khi đo mặt cắt bằng nhiều kiểu khác nhau phải chống nhiễu cho từng đặc điểm của kiểu đo. Hiện tượng rò điện thường xảy ra khi thời tiết ẩm ướt, có mưa nhỏ, cỏ ướt… Cứ đo được số điểm nhất định thì phải đo kiểm tra rò điện 1 lần,
3.3.16. Độ chính xác quan sát được đánh giá theo hiệu số trung bình tương đối giữa các lần quan sát chính và lần đo kiểm tra. Việc kiểm tra được tiến hành ở từng tuyến do chủ nhiệm công trình chọn. Hiệu số trung bình tương đối giữa các đại lượng của lần đo chính và đo kiểm tra không được vượt quá 7%. Hiệu số các giá trị rk(∆V. tại từng điểm đo không quá 10 ÷ 12%.
Chú thích:
Điểm nào mà có hiệu điện thế nhỏ hơn 0.5mV thì không cần phải chú ý tới khi tính độ chính xác lúc kiểm tra.
3.3.17. Kết quả quan sát phải ghi vào sổ theo mẫu quy định kèm theo quy phạm này. (Phụ lục..
3.3.18. Đo mặt cắt điện bằng phương pháp gradien được áp dụng để giải quyết các nhiệm vụ khảo sát ở giai đoạn khảo sát chi tiết cho từng khu vực riêng biệt, đặc biệt là ở những khu vực đông dân, khu xây dựng dầy đặc, những mặt bằng chật hẹp...mà khó thi công bằng phương pháp mặt cắt điện đối xứng. Ưu điểm của phương pháp gradien là năng suất lao động cao, vị trí ranh giới thẳng đứng của cấu trúc địa chất được xác định có độ chính xác lớn hơn. Các tuyến công tác theo phương pháp gradien phải bố trí song song với đường phát vuông góc với phương trải của đối tượng nghiên cứu (mạch của vỉa, đới tiếp xúc đứt gãy... ở một vị trí tiếp đất của cực phát tiến hành đo trong một vùng rộng gồm có 5 -20 tuyến đo. Khu vực đo đặt vào khoảng giữa và bằng 1/3 của đường phát AB. Kích thước khu vực đo có thể lấy nhỏ hơn tuỳ theo lát cắt điện -địa chất. Việc kéo dài tuyến do tuỳ thuộc vào sự thay đổi rk không lớn lắm và độ dài khoảng cách AB cho Khoảng cách AB được chọn trên cơ sở đo sâu thí nghiệm hoặc dựa theo kết quả đo thực tế bằng phương pháp gradien.
3.3.19. Kết quả đo được biểu diễn thành biểu đồ !k. Hệ số thiết bị k được tính theo công thức:

- AO và BO là cự li từ các cực phát đến tâm đường thu.
- j1 và j2 là góc nhọn do các đường đó tạo nên với đường phát AB. Cường độ dòng điện đo bằng mA, hiệu thế đo bằng mV.
Máy đo đặt ở tâm của m ỗi tuyến.
Nguồn điện đặt ở cạnh một cực phát hoặc ngoài tuyến đo.
3.4. Phương pháp trường điện thiên nhiên.
3.4.1. Phương pháp trường điện thiên nhiên ít được áp dụng trong khảo sát xây dựng chủ yếu do ảnh hưởng của các loại nhiễu khác nhau ở thành phố, khu công nghiệp gây nên (các dòng điện tản mạn, các loại đất lấp hỗn hợp và nhân tạo, các phế liệu công nghiệp…. và do độ sâu thăm dò nhỏ.
3.4.2. Phương pháp trường điện thiên nhiên trong khảo sát xây dựng chỉ áp dụng để giải quyết một số nhiệm vụ chính sau đây.
- Phát hiện dòng ngầm.
- Phát hiện điểm rò của các công trình chứa nước.
Vì vậy trong phương pháp trường điện thiên nhiên thường áp dụng phương pháp điện thế và phương pháp gradien.
3.4.3. Phương pháp điện thế dùng để đo điện thế bằng điện cực không phân cực ở các điểm được bố trí theo mạng lưới đã vạch sẵn. Các tuyến đo bố trí vuông góc với đường phương dự kiến của đối tượng cần nghiên cứu.
3.4.4. Việc quan sát tiến hành bằng máy đo thế UJ -18, RDC -3, RT -151 -DC hoặc máy bù điện trở ESK -1, DDC-2A, AE -72. Để làm cực tiếp đất phải dùng điện cực không phân cực.
3.4.5. Khi tiến hành phương pháp trường điện thiên nhiên cần đặc biệt chú ý đến trạng thái của điện cực không phân cực. Thanh đồng của điện cực luôn luôn phải gắn chặt với các nút cách điện. Bề mặt thanh đồng phải luôn luôn sạch sẽ. Các bình cực điện phải được đổ đầy dung dịch sunphát đồng.Tất cả các cực điện đem dùng trên tuyến đều chứa dung dịch sunphát đồng như nhau (nồng độ, nhiệt độ.. Các phần trên của cực điện như nút, phích nối phải giữ khô và sạch.
3.4.6. Mỗi nhóm công tác trên tuyến phải có đủ 2 -3 điện cực không phân cực và 0.5 lít dung dịch sunphát
3.4.7. Thế hiệu phân cực giữa đôi điện cực đo không được quá 2mV, khi ở các cực có nồng độ và nhiệt độ như nhau. Khi tiến hành phương pháp thế có thể dùng các cực có độ phân cực lớn hơn, nhưng phải ổn định. Sự thay đổi độ phân cực phải nhỏ đến mức không thể ảnh hưởng đến tính chất của các dị thường đang nghiên cứu theo phương pháp thế. Sự thay đổi theo độ phân cực trong thời gian công tác trên đoạn dài 1km không được quá 5mV. Khi áp dụng phương pháp gradien thì sự thay đổi độ phân cực trong thời gian quan sát ở 2 điểm đo kế nhau không được qúa -0,1mV.
3.4.8. Độ phân cực đo bằng quan sát thế hiệu giữa các điện cực đặt cách nhau ở cự ly 10 -12m trong chỗ đất ẩm. Độ ổn định phân cực thử bằng cách quan sát nhiều lần (5 -10 lần., đồng thời hoán vị các cực với nhau. Lắc các cực nếu các cực không đạt yêu cầu quy định ở điều 3.4.6 thì phải thay hoặc có biện pháp làm cho các cực đó ở vào trạng thái sử dụng được như: đổ dung dịch sunphát đồng vào bình gốm, rửa các thanh đồng trong axit nitric loãng (nồng độ 10 -15 %., thử lại chỗ cách điện ở thanh đồng.Trong trường hợp cần thiết các thanh đồng đó phải được tráng thêm một lớp đồng.
3.4.9. Trong thời gian tiến hành công tác, các điện cực không phân cực phải đặt vào những vị trí chuẩn bị sẵn. Trong trường hợp đất khô, trước khi đo khoảng 1 giờ phải đổ nước vào vị trí đặt điện cực. Khi làm ở chỗ đá cứng để tiếp đất tốt phải chọn chỗ đất xốp và đổ nước vào đó để đá thật ướt. Nếu chỗ tiếp đất có cây mọc, thì nên tiếp đất ngay vào chỗ lớp đất có cây mọc đó.
Phương pháp thế
3.4.10. Phương pháp thế được đo bắt đầu từ điểm 0 trên tuyến trục. Trên điểm này đặt máy, cực cố định và tời cuộn dây. Cực cố định đặt cách điểm 0 một khoảng 0.5 -1m. Cực di động đầu tiên đặt ở điểm 0, sau đó lần lượt di chuyển về phía có số thứ tự lớn dần (hoặc dương hoặc âm. cho tới cuối tuyến. Việc quan sát tiến hành theo thứ tự từng phía của tuyến hoặc cùng một lúc trên cả hai phía của tuyến (nhưng lúc này phải dùng hai đường thu..
Ngay sau khi đo xong điểm cuối của tuyến thì cuộn dây vào tời, đồng thời phải đo lại để kiểm tra. ở trường hợp bình thường cứ 6 -10 điểm thì đo kiểm tra lại một điểm, còn ở trường hợp dị thường cứ cách 5 điểm thì kiểm tra lại một điểm.
3.4.11. Trong điều kiện có nhiễu công nghiệp mạnh hoặc do theo từng đoạn có chiều dài đoạn đo ngắn so với chiều dài của tuyến thì cuộn dây từng đoạn một. ở mỗi đoạn như vậy việc đo được tiến hành ở một vị trí nhất định của cực cố định. Chỗ đặt cực cố định được chọn sao cho để đoạn đo sau gối lên đoạn đo trước 3 -5 điểm. Trong trường hợp này phải đo kiểm tra 3-5điểm của đoạn trước rồi tiến hành đo đoạn kế tiếp.
- Khi cuộn dây cũng phải đo kiểm tra.
3.4.12. Trước và sau khi quan sát mỗi tuyến (hoặc một đoạn tuyến. cần phải đo phân cực của các điện cực. Khi chuyển từ một tuyến đã quan sát xong sang tuyến kế tiếp thì phải liên kết các tuyến đó với nhau theo các điểm 0 (trên tuyến trục.. Ngay sau khi đo xong các tuyến phải liên kết kiểm tra tất cả các tuyến trên toàn khu vực theo tuyến trục. Cực cố định khi đo phải để lại một điểm. Nếu vị trí của cực bị thay đổi thì phải đo nhiều lượt (4 -6 lượt. hiệu thế giữa các điểm đặt cực cố định. Liên kết kiểm tra theo tuyến trục làm 2 lượt (một lượt theo chiều thuận và một lượt theo chiều ngược lại..
3.4.13. Độ chính xác khi đo theo phương pháp thế được đánh giá theo hệ số trung bình giữa lần đo trước và lần đo lại (đo kiểm tra.. Sai số trung bình cho phép lớn nhất không được quá 5mV đối với toàn phân khu và không được quá 15mV cho từng điểm đo.
3.4.14. Khi vùng khảo sát rộng và được chia thành nhiều phân khu thì phải liên kết các điểm "0" của tất cả các phân khu trong vùng lại với nhau.
3.4.15. Công tác đo chi tiết hoá lại các dị thường được phải tiến hành ngay sau khi đo xong một phân khu để khoanh chính xác vùng dị thưòng.
Phương pháp gradien.
3.4.16. Phương pháp gradien được tiến hành đo theo cạnh của đa giác kín. Mỗi đa giác đo hai tuyến và một phần của tuyến trục với các điểm cuối của tuyến ghép thành. Việc quan sát tiến hành theo hệ thống sau: cứ cách 1 cọc lại hoán vị cực đo 1 lần (khi chuyển tiếp cực trước để nguyên tại chỗ, cực sau chuyển cách vị trí cũ về phía trước 2 khoảng.. Khi chuyển từ điểm này sang điểm khác vị trí các dây dẫn không thay đổi (dây nối chốt ra vào máy luôn luôn hướng về phía trước.. Sau một ngày làm việc hoặc đo xong một tuyến phải đo lại độ phân cực của các điện cực.
3.4.17. Trong trường hợp đối tượng khảo sát thể hiện rõ nét bằng những dị thường thì có thể làm phương pháp gradien theo tuyến mà không kết thành đa giác.
3.4.18. Khi đưa mạng lưới tuyến từ thiết kế ra thực địa cần tránh những sườn dốc thẳng đứng, chỗ chứa phế liệu công nghiệp và thủ công nghiệp, vị trí gây rò điện mạnh (đường dây cao thế, đường sắt chạy điện, đường xe điện, trạm biến thế... đặc biệt là khi sử dụng phương pháp gradien. Nếu phải đo ở những vị trí như vậy thì phải đo thí nhiệm để xác định hướng tuyến sao cho gradien thế có giá trị lớn nhất, còn độ nhiễu thì bé nhất.
3.4.19. Kết quả đo phải ghi vào sổ ghi theo mẫu quy định. Song song với việc ghi chép cần phải vẽ ngay biểu đồ những đại lượng đã đo được tại thực địa.
3.4.20. Độ chính xác đo khi đo theo phương pháp gradien được đánh giá bằng mức độ sai lệch của hiệu điện thế đo được theo đa giác. Sai lệch này không được quá 5 % tổng giá trị tuyệt đối của hiệu điện thế đo được theo đường đa giác. Sai lệch các số đo không quá mV, còn ở trường di động và dị thường thì không quá 15 mV.
3.4.21. Kết quả đo của phương pháp trường điện thiên nhiên được biểu diễn ở dạng đồ thị AV theo tuyến, bản đồ, đồ thị điện thế, hay gradien điện thế và bản đồ điện thế ở dạng đường đồng mức (bản đồ đăng thế..
3.5. Phương pháp nạp điện hố khoan.
3.5.1. Trong khảo sát xây dựng phương pháp nạp điện hố khoan được sử dụng kết hợp với việc đo giá trị điện trở suất trong lỗ khoan để xác định hướng và tốc độ dòng ngầm. Phương pháp nạp điện cho phép xác định một cách đáng tin cậy hướng vận động của dòng ngầm trong hố khoan hoàn chỉnh và đánh giá được tốc độ chuyển động của dòng ngầm đối với từng lớp chứa nước với mức độ chính xác cao.
3.5.2. Phương pháp nạp điện hố khoan được thực hiện như sau: đổ chất điện phân vào hố khoan (thường dùng muối ăn NaCl.. Chất điện phân sẽ hoà tan vào nước và chảy theo cực phát kia đóng cách xa ''vô cùng'' (khoảng 10 lần lớn hơn độ sâu hố khoan.. Một điện cực thu đặt cách miệng hố khoan khoảng 10m, điện cực thu kia di động theo các vị trí định sẵn để đo hiệu điện thế theo các vị trí định sẵn để đo hiệu điện thế theo các tia.
3.5.3. Các lần đo như vậy được lặp đi lặp lại qua 1 khoảng thời gian nhất định để thu được các giá trị điện thế. Hướng dịch chuyển của các đường đồng mức điện thế qua một khoảng thời gian nhất định sẽ trùng vơí hướng của dòng ngầm. Dựa vào giá trị của sự dịch chuyển này và thời gian đo ta có thể tính được tốc độ dòng ngầm. Dùng phương pháp nạp điện hố khoan chỉ cho phép xác định được tốc độ dòng ngầm trong khoảng từ 1m/s đến 100m/s và đến độ sâu 30 mét.
3.5.4. Phương pháp nạp điện hố khoan phải kết hợp với các phương pháp Carôta để giải quyết các nhiệm vụ của khảo sát xây dựng (địa chất công trình, địa chất thuỷ văn,địa chất vật liệu xây dựng..
3.5.5. Kết quả của phương pháp nạp điện hố khoan được ghi chép theo quy định chung có tính đến đặc điểm riêng của phương pháp nạp điện và tuân theo mẫu quy định của tiêu chuẩn này.
3.5.6. Độ chính xác của phép đo được đánh giá theo hiệu số trung bình giữa các giá trị đo được tại các điểm. Hiệu số tương đối của các giá trị đo được ở từng điểm không quá 15% (trong trường hợp này có thể không tính các điểm có hiệu thế 0.5mV..
3.6. Nhiễu và biện pháp chống nhiễu.
3.6.1. Trong thăm dò điện phục vụ khảo sát xây dựng thường gặp những loại nhiễu sau đây:
- Điện rò ở các dây dẫ vào máy;
- Quá trình thiết lập trường;
- Phân cực tiếp đất;
- Các dòng điện công nghiệp telua.
Nhiễu gây khó khăn cho khi đo, làm giảm bớt độ chính xác và có khi không quan sát được.
Khi tiến hành công tác thăm dò điện phải tìm mọi biện pháp nhằm loại trừ hoặc giảm bớt đến mức tối đa ảnh hưởng của nhiễu, phải kiểm tra có hệ thống và đánh giá ảnh hưởng của nhiễu đến kết quả quan sát.
3.6.2. Rò điện thường xảy ra ở những chỗ sau: Dây dẫn nối từ máy thu đến nguồn điện, cuộn tời dây phát.
3.6.3. Để giảm bớt ảnh hưởng rò điện đến kết quả đo, cần thực hiện đúng những quy cách sau đây:
- Các dây dẫn đường thu và đường phát phải đặt xa nhau;
- Đường dây thu phải rải ngay trên mặt đất, không được để dây treo lơ lửng (tránh hiện tượng cảm ứng.
- Trong phương pháp đo mặt cắt và đo sâu các mạch phát và mạch thu phải đặt xa nhau 1 ÷ 5 m khi khoảng cách AB dưới 1000m.
- Khi thời tiết ẩm, cự ly giữa các dây dẫn tăng gấp đôi.
- Không được để các dây điện bắt chéo lên nhau, hoặc kéo dây phát trực tiếp qua các cực thu hay đi qua gần các cực thu;
- Nguồn điện nên đặt gần cực phát hoặc ở giữa đường thu (tốt nhất là đặt cách đường thu từ 2 ÷ 3m và nằm trên đường vuông góc với đường phát.. Nếu nguồn điện đặt ở giữa đường thu thì phải cách điện bằng cao su tấm;
- Khi dùng nguồn điện bằng ác quy có hiệu điện thế cao phải cách điện cho thật tốt, còn nếu nguồn điện là pin, thì không được để pin trực tiếp xuống đất;
- Các loại máy, đầu nối, phích cắm điện phải giữ để không bị ẩm. Phải dùng túi nilông bọc máy và bọc những chỗ nối quan trọng để đề phòng mưa gây ẩm ướt;
- Nếu dây điện tốt thì có thể rải đường dây phát không cách xa đường dây thu.
3.6.4. Xác định ảnh hưởng của điện rò ở các đường dây bằng cách đo hiệu điện thế ở mạch thu khi ngắt điện lần lượt ở các cực phát (bằng cách nhắc đầu dây phát lên trên không..
3.6.5. ảnh hưởng của rò điện được coi là không đáng kế, nếu tổng số hiệu thế rò điện (đo được khi ngắt điện lần lượt ở các cực phát A và B. như sau: Khi đo mặt cắt điện và đo sâu ở khoảng cách dưới 1000m không quá 2% hiệu thế đo được bằng hai cực tiếp đất mắc điện.
3.6.6. Khi kiểm tra ảnh hưởng của rò điện bằng cách ngắt điện cực tiếp đất phải đảm bảo an toàn cho công nhân. Công nhân khi nhấc dây điện lên không được chạm vào điện cực và vào đầu dây trần của dây điện. Khi điện thế qúa 70V công nhân phải đeo gang tay cao su và đi ủng (hoặc giầy cao su.. Khi dùng điện thế 250- 900V , muốn thử rò điện bằng cách nhắt điện ở cực tiếp đất thì phải giảm điện thế xuống 150 -300 V tuỳ theo thời tiết. Khi đo hiệu thế rò phải tính quy ra hiệu thế khi dùng đủ điện thế.
3.6.7. Kiểm tra độ cách điện của các loại máy đo thế bằng cách lần lượt đo cực bên phải dây. Lần đầu đo khi để mạch phát hở, lần đo thứ hai khi mạch phát đóng kín. Nếu làm như vậy mà có một lượt kim lệch quá 2 phân khoảng trên khung điện thế thì phải tìm biện pháp giảm bớt rò điện.
3.6.8. Hiện tượng rò điện trong máy bù điện trở biểu hiện khi thấy hiện tượng tự dao động của kim và khi điện trở cách điện ở các ổ cắm và các núm điều khiển giảm xuống. Phát hiện rò điện trong máy bù điện trở bằng cách thay đổi thang đo. Khi đo dòng thì vị trí của kim điện thế gần như không thay đổi ở các thang. Những hư hỏng ở chỗ cách điện trong máy và các đường dây đều ghi vào số đo ở thực địa. Tất cả các giá trị hiệu thế đo được khi dòng điện bị rò đều phải ghi vào sổ.
3.6.9. Khi trường điện biến đổi đột ngột theo thời gian do các dòng điện công nghiệp hoặc telua gây ra thì phải áp dụng đường thu ngắn và chọn thời gian quan sát vào lúc cường độ dòng nhiễu nhỏ nhất. Chỉ được đọc số đo hiệu điện thế khi nào kim điện kế chỉ một cách yên tĩnh và đọc nhiều lượt (2 lượt trở lên .
Những số đọc lại cũng phải ghi trong số đo ở thực địa.
3.6.10. Khi thời tiết khô ráo việc kiểm tra độ cách điện tiến hành vào lúc bắt đầu và kết thúc ngày làm việc, còn khi thời tiết ẩm ướt thì phải kiểm tra 10% số kết quả đo.
3.7. Ghi chép và chỉnh lý tài liệu tại thực địa:
3.7.1. Việc ghi chép kết quả đo và những điều quan sát được ở ngoài thực địa phải theo đúng các mẫu đã quy định cho từng phương pháp và được quy định trong tiêu chuẩn này.
3.7.2. Sổ thực địa đóng bằng giấy trắng, có bìa cứng và có kích thước theo tiêu chuẩn quy định là 18x25cm. Sổ phải được đánh số trong toàn bộ từ đầu đến cuối. Trên bìa và tờ đầu của sổ phải ghi rõ tên cơ quan: Bộ (Tổng cục., xí nghiệp (Công ty., Phòng (đoàn., đội, tổ; khu vực công tác; phương pháp nghiên cứu; số tổ, tên họ người đo máy và người tính toán. Ngoài ra trên tờ đầu của sổ còn phải ghi số máy, ngày, tháng, năm bắt đầu và kết thúc ghi chép sổ; tổng số trang của sổ.
Đề phòng khi mất sổ, người nhặt được có thể trả lại thì ở trang cuối của sổ phải đề "yêu cầu người nhặt được sổ này, xin hoàn lại cho xí nghiệp (đội, tổ. theo địa chỉ ghi ở ngoài bìa và trang đầu của cuốn sổ.
3.7.3. Trên mỗi tờ đánh dấu để ghi các chi tiết trên tuyến đang đo ( đo sâu v.v….. Đầu đề không chiếm quá 4 -6 cm theo chiều dài của sổ. Trên đầu đề ghi rõ khu vực công tác, số tuyến (điểm đo sâu., phương vị đường AB (hoặc phương vị tuyến đo., số lượng pin hoặc ắc - quy đã dùng (nhãn hiệu pin hoặc ắc quy., số cực tiếp đất, độ nhạy của máy, ngày khởi công và ngày hoàn thành công việc, họ tên người đo máy và tính toán.
3.7.4. Trong sổ thực địa phải có bản phác hoạ khu vực đo sâu hoặc đo mặt cắt. Trong bản phác hoạ ghi rõ địa hình, đặc điểm địa chất (độ lộ đá gốc, tính chất lớp phủ., công trình khoan đào v.v…Bản phác hoạ vẽ ở trang sau hoặc ở cột "chú thích". Bản phác hoạ vẽ theo tỷ lệ nhất định. Tỷ lệ đó ghi vào hình vẽ.
3.7.5. Hàng ngày trên những trang sổ đã ghi chép các số liệu phải có chữ ký của người đo máy và người tính toán. Khi kiểm tra xong cách tính toán người kiểm tra phải ký vào sổ đo. Chủ nhiệm (phụ trách. công trình khi xem xong cũng phải ký tên vào trang sau cùng của sổ ghi chép, đồng thời phải ghi rõ số trang và số điểm quan sát của từng sổ.
3.7.6. Ghi sổ bằng bút bi (hoặc bút chì đen cứng.. Nghiêm cấm tẩy xoá số đã ghi. Những số liệu ghi sai đều phải gạch chéo bằng một nét. Cấm không được xé sổ hoặc gián thêm giấy vào sổ. Sổ sao chép lại tài liệu thực địa không được công nhận là sổ gốc và chủ nhiệm (phụ trách. công trình không được nghiệm thu, tiếp nhận những sổ đó.
3.7.7. Đi đôi với việc ghi chép sổ vào thực địa phải vẽ đồ thị. Đồ thị là những tài liệu thực địa dùng để kiểm tra và phân tích kết quả công tác. Người đo máy không được quyền chuyển sang điểm đo khác khi chưa ghi và đưa xong số liệu của điểm trước vào sổ và bản vẽ.Các đồ thị thực địa vẽ theo tỷ lệ nhất định trên những tờ giấy in theo tiêu chuẩn quy định. Sau mỗi ngày đo, phải kiểm tra lại bản vẽ và cách tính toán đã làm trong ngày đó.
3.7.8. Đường cong đo sâu vẽ trên giấy lôgarit có mô đun 6,25m. Các đường cong đo sâu và trong sổ thực địa phải vẽ lại trên giấy riêng. Phần trên của đường cong đo sâu phải ghi rõ tên Đoàn (đội, tổ. thăm dò điện, khu vực công tác, số liệu điểm đo, cao độ điểm đo, toạ độ và phương vị của tâm điểm đo sâu và ngày đo. ở đầu và cuối của đường cong đo sâu phải ghi giá trị !k. Các đường cong đo sâu chữ nhật, đo sâu vòng hoặc đo lần thứ hai đều vẽ cạnh đường cong chính bằng chấm gạch. Các điểm của đường cong đo sâu khác nhau có ký hiệu riêng chấm gạch. Các điểm của đường cong đo sâu khác nhau có ký hiệu riêng. Trên các đường cong đo sâu phải ghi phương vị, khoảng cách AB và ngày quan sát. Trên mẫu giấy vẽ đường cong đo sâu phải ghi tất cả các số liệu phân tích đường cong đó (con số, đường cong lý thuyết, chiều dầy, chiều sâu, điện trở suất của tầng đất đá..
3.7.9. Các đường cong !k của phương pháp mặt cắt và gradien, cũng như các đường cong đo thế và gradien của phương pháp trường điện thiên nhiên, nạp điện hố khoan đều phải vẽ thành bản đồ, đồ thị trên giấy kẻ li đúng tiêu chuẩn quy định. Trên những tờ bản đồ đó cũng phải ghi rõ khu vực công tác, phương pháp thăm dò, tỷ lệ ngang và dọc, ngày thi công và hoàn thành, tên đơn vị thi công, ký hiệu kèm theo đồ thị đồng thời cũng phải vẽ cả thiết bị đo, ghi rõ cự li giữa các cực, sơ đồ phân bố các tuyến có chỉ dẫn phương hướng các điểm mốc có trong vùng công tác ( mốc tam giác, lỗ khoan….. Các tuyến phải đánh số la mã, các điểm đo trên tuyến đánh số ả rập. Cách đánh số tuyến, số điểm đo trong sổ thực địa, trên đồ thị và ở ngoài thực địa phải như nhau.
3.7.10. Khi biểu diễn kết quả đo bằng đồ thị thì vị trí các điểm phân bố trên tuyến phải theo đúng tỷ lệ bản đồ và bình đồ công tác của khu vực đang nghiên cứu. Được phép vẽ đồ thị và bản đồ trung gian theo tỷ lệ lớn hơn tỷ lệ đo một cấp (trong trường hợp này tỷ lệ bản đồ công tác địa vật lý cũng phải lập như tỷ lệ biểu diễn các đồ thị..
3.7.11. Tỷ lệ của các bản vẽ, bản đồ, đồ thị của tất cả các phương pháp đo trong một vùng công tác phải như nhau để dễ so sánh và phân tích kết quả đo giữa các phương pháp với nhau.
3.7.12. Tài liệu thực địa hoàn thành ngày nào phải chỉnh lý ngay ngày đó. Việc phân tích, chỉnh lý tài liệu phải thực hiện nghiêm túc, chính xác để giải quyết đầy đủ nhiệm vụ đã đề ra một cách có kết quả và mau chóng.
3.7.13. Mỗi đoàn (đội. thăm dò điện phải có 1 nhóm phân tích tài liệu thực địa. ở những đội nhỏ không tổ chức được nhóm phân tích tài liệu thực địa, thì người đo máy hoặc cán bộ kỹ thuật chủ nhiệm công trình phải trực tiếp phân tích và chỉnh lý tài liệu, phải dự tính trong phương án kỹ thuật. Để hoàn thành tốt việc chỉnh lý tài liệu thực địa các đoàn (đội. thăm dò điện phải có đầy đủ dụng cụ cần thiết (bàn vẽ lưu động, tủ để bảo quản và chuyên chở tài liệu, dụng cụ can vẽ ….
3.8. Công tác kiểm tra và đánh giá chất lượng kỹ thuật.
3.8.1. Để loại trừ khả năng xẩy ra sai sót khi đo, người đo máy phải luôn luôn theo dõi trạng thái hoạt động của máy tốt hay xấu, sơ đồ mặt cắt đúng hay sai khoảng cách AB hợp lý hay chưa, số liệu đo trên máy đã được kiểm tra hay chưa, độ nhạy của máy có được đảm bảo hay không… Người đo máy phải kiểm tra cách ghi sổ sách, cách đưa giá trị đo được lên đồ thị, theo dõi tính chất đường cong hay trong quá trình đo. Mọi công tác ở ngoài thực địa phải được tổ chức phân công rành mạch. Mỗi thao tác trong khi đo phải tiến hành nghiêm túc theo đúng trật tự đã quy định.
3.8.2. Kiểm tra tính đúng đắn của tài liệu bằng cách đo lại. Tuỳ theo điều kiện và phương pháp sử dụng mà có thể thay đổi chế độ dòng điện ở mạch phát. Việc đo lại thường tiến hành theo một số điểm nhất định. Khi có sự thay đổi trên đường cong không theo một quy luật nhất định hoặc không khớp với những quy luật đã quan sát được, thì người đo máy phải tìm cách giải thích được ngay tại chỗ lý do của sự thay đổi trên đường cong. Nếu sự thay đổi đó được các lượt đo lặp lại xác nhận thì phải đo lại ở những điểm kế cận và những điểm trung gian giữa điểm đo và điểm kế cận tiếp theo.
3.8.3. Khi có đại lượng nào đó gặp khó khăn, thì mặc dù loại máy nào, giá trị của các số đọc đều phải lấy hai lần trở lên. Tất cả các lượt đo và số đo lại đều phải ghi vào sổ thực địa.
3.8.4. Những số đọc lặp lại và chu kỳ đo lại đều thuộc loại kiểm tra nội bộ. Ngoài ra còn phải tiến hành đo kiểm tra từng tuyến riêng biệt. Kết quả đo kiểm tra tài liệu khách quan, dựa vào đó để đánh giá mức độ chính xác và chất lượng công tác đoàn (đội , tổ. thăm dò điện. Khối lượng đo kiểm tra có thể thay đổi tuỳ theo tính chất và điều kiện công tác, kinh nghiệm của người đo máy và chất lượng tài liệu thực địa nhưng không quá 7% tổng khối lượng công tác.
3.8.5. Việc kiểm tra trước hết phải tiến hành trên tuyến (đo sâu đẳng thế. có dấu hiệu không đáng tin cậy.Người kiểm tra phải do chủ nhiệm công trình (đoàn, đội trưởng. chỉ định. Người đo chính không được đo kiểm tra.Khi đo kiểm tra phải chọn các tuyến tiêu biểu đánh giá chất lượng công tác của toàn vùng khảo sát. Việc đọc kiểm tra trên tuyến làm đồng thời với đo thực địa và được phân bố đều theo thời gian và diện tích.
3.8.6. Trong trường hợp ở trên một vùng khảo sát dùng nhiều loại máy khác nhau để đo thì phải kiểm tra đối chiếu số đọc của chúng với nhau mỗi tháng một lần. Việc xác định số chỉ thị để làm cơ sở cho kiểm tra có thể tiến hành bằng cách đo có hệ thống những đại lượng cho trước với các máy khác nhau trên các tuyến (hoặc điểm đo sâu. kiểm tra đặc biệt nơi mà vẫn dùng để kiểm tra máy móc và tay nghề của những người đo máy ở tổ (đội. khác nhau.
Các tuyến (điểm. kiểm tra phải chọn ở khu có lát cắt địa chất tiêu biểu cho cả vùng công tác.
3.8.7. Trong quá trình đo, người đo máy phải xác định sai số bằng cách lấy số chênh lệch giữa giá trị đo lần thứ nhất và lần thứ hai tại một điểm đo.
3.8.8. Dựa vào số liệu các tuyến (điểm. kiểm tra mà đánh giá độ chính xác và chất lượng công tác của đoàn (đội. thăm dò điện.
Độ chính xác của việc đo tại 1 điểm nào đó là hiệu số (giá trị tuyệt đối. kết quả đo lần chính và lần đo kiểm tra hoặc hiệu số đó đem so với gía trị trung bình của các số đo (hiệu tương đối.. Hiệu tương đối tính bằng phần trăm. Độ chính xác rung bình đánh giá theo hiệu trung bình (tương đối. là trung bình số học các hiệu của tất cả các điểm kiểm tra. Những yêu cầu cụ thể về độ chính xác từng phương pháp đã quy định ở trong các mục 2.3.4 và 5 của phần "phương pháp và kỹ thuật tiến hành công tác thăm dò" của tiêu chuẩn này.
3.8.9. Trong trường hợp cá biệt, khi với mọi biện pháp đã áp dụng mà không đạt được độ chính xác yêu cầu và độ chính xác đã đạt được thấp hơn so với phương án kỹ thuật và chiếm quá 10% khối lượng điểm đo của toàn công trình (hoặc của đội, tổ. thì cần phải báo cáo ngay cho cấp trên trực tiếp biết để có quyết định cụ thể. Kết luận của hội đồng khoa học kỹ thuật Liên - hiệp xí nghiệp trực thuộc bộ (tổng cục. là quyết định cuối cùng và được chấp nhận về mặt khoa học kỹ thuật.
3.8.10. Trong trường hợp công tác được hoàn thành với độ chính xác thấp do người đi máy làm ẩu, kết nối số liệu kém hoặc vì lý do không xác đáng làm cho khối lượng kiểm tra không đạt yêu cầu tới 5% khối lượng chung thì khối lượng công tác đã hoàn thành sẽ không được công nhận.
3.8.11. Việc kiểm tra chất lượng công tác thăm dò điện phải tiến hành thường xuyên trong một quá trình thực hiện phương án kỹ thuật được duyệt. Việc kiểm tra sơ bộ về chất lượng công tác thực địa do đội, (tổ. trưởng hoặc kỹ sư địa vật lý chủ nhiệm công trình thực hiện ngay trong quá trình công tác trong phạm vi đơn vị mình, công trình mình phụ trách.
3.8.12. Đội, (tổ. trưởng hoặc kỹ sư địa vật lý (nếu không phải là người đo máy. phải kiểm tra công tác của người đo máy ít nhất mỗi tuần một lần về các vấn đề sau đây;
1. Tình hình máy móc và thiết bị làm việc;
2. Việc đo đúng hay sai;
3. Ghi chép đầy đủ hay không, đúng hay sai;
4. Vẽ đồ thị có đúng và kịp thời hay không;
5. Có đo lại hoặc đo kiểm tra hay không;
6. Mức độ chính xác khi đo;
7. Thực hiện nguyên tắc an toàn lao động.
3.8.13. Trong quá trình thi công một phương án kỹ thuật đo điện thì đội trưởng hoặc kỹ sư địa vật lý chủ nhiệm công trình phải kiểm tra công tác trực tiếp ngoài thực địa ít nhất 3 đến 4 lần về các vấn đề sau:
1. Công tác trắc địa hoàn thành đúng hay sai và có kịp thời không;
2. Công tác địa vật lý tiến hành có đúng phương pháp và kỹ thuật không;
3. Chỉnh lý sơ bộ tài liệu thực địa ở đơn vị có đúng không và có kịp thời không;
4. Độ chính xác khi đo theo tuyến (điểm. có đảm bảo quy định không;
5. Khối lượng làm hỏng; làm sai và lý do của nó.
Ngoài ra, đội trưởng hoặc kỹ sư địa vật lý chủ nhiệm công trình phải kiểm tra xem định mức năng suất trong điều kiện cụ thể của địa phương có phù hợp không, việc thực hiện các chỉ tiêu kế hoạch và mức độ hoàn thành chúng để có biện pháp chấn chỉnh kịp thời, đồng thời quyết định cho đơn vị thi công dỡ bỏ những chỗ hỏng, chọn tuyến (điểm. kiểm tra chỉ định người đo kiểm tra.
3.8.14. ở những công trình thi công với thời gian lâu, thì đội trưởng hoặc chủ nhiệm công trình phải tổng kiểm tra tài liệu thực địa ít nhất mỗi tháng một lần.
3.8.15. Công tác kiểm tra và nghiệm thu tài liệu thực địa phải tiến hành ngay sau khi hoàn thành khối lượng cuối cùng của công tác thực địa do hội đồng nghiệm thu thực hiện.
3.8.16. Hội đồng nghiệm thu được thành lập theo quyết định của Thủ trưởng cơ quan khảo sát có tư cách pháp nhân (giám đốc. xí nghiệp hoặc công ty khảo sát xây dựng.... với thành phần gồm:
1. Thủ trưởng cơ quan khảo sát (hoặc phó thủ trưởng phụ trách kỹ thuật.;
2. Trưởng phòng kỹ thuật (hoặc phòng KCS.;
3. Kỹ sư chính địa vật lý của phòng kỹ thuật ( hoặc phòng KCS.;
4. Thủ trưởng đơn vị chủ trì thi công phương án kỹ thuật;
5. Chủ nhiệm công trình;
6. Một số cán bộ kỹ thuật (kỹ sư hoặc kỹ thuật viên lâu năm. tham gia kiểm tra, ghiệm thu trực tiếp tài liệu thực địa, số lượng nhiều ít phụ thuộc nhiều vào quy mô công trình (lớn hay nhỏ. và mức độ quan trọng của công trình (trọng điểm hay bình thường. do thủ trưởng cơ quan khảo sát quyết định;
7. Đại diện của cơ quan giao thầu (cơ quan đặt hàng..
3.8.17. Hội đồng nghiệm thu tiến hành kiểm tra và nghiệm thu tài liệu thực địa về những mặt sau:
1. Việc ghi chép số liệu;
2. Phương pháp tính toán đã sử dụng;
3. Phương pháp phân tích số liệu thu thập được và kết quả thu được;
4. Các đồ thị, biểu đồ, bản đồ vv... đã lập được;
5. Việc sử dụng các tài liệu địa chất và địa vật lý đã có;
6. Việc chỉnh lý, phân tích và tổng hợp số liệu thực địa (có đúng quy định và kịp thời hay không.;
7. Công tác kiểm tra nội bộ và chất lượng hiệu quả của nó;
8. Công tác đo chi tiết hoá và kiểm tra các dị thường.
3.8.18. Sau khi kết thúc công tác kiểm tra và nghiệm thu tài liệu thực địa, hội đồng nghiệm thu tiến hành đánh giá chất lượng tài liệu thăm dò điện đã thu thập về các mặt:
1. Tính hợp lý của việc lựa chọn phương pháp đo, biện pháp kỹ thuật, máy móc thiết bị, kích thước thiết bị, hướng tuyến, đường thu, đường phát;
2. Tính hợp lý và hiệu quả của phương pháp thăm dò điện đã áp dụng để giải quyết các yêu cầu kỹ thuật quy định trong phương án kỹ thuật đã được duyệt so với điều kiện thực tế;
3. Số lượng và tính chất các dị thường đã phát hiện được trên khu vực khảo sát, cơ sở xác định dị thường, công tác đo kiểm tra và đo chi tiết hoá các dị thường đã phát hiện được.
3.8.19. Sau khi kết thúc công tác kiểm tra nghiệm thu và đánh giá chất lượng số liệu thực địa, Hội đồng nghiệm thu kết luận về các mặt sau đây:
1. Khối lượng công tác thăm dò điện đã thực hiện so với khối lượng công tác đã qui định trong phương án kỹ thuật và những lần bổ sung (nếu có. được duyệt; đồng thời đánh giá và xác định lý do của việc thực hiện được khối lượng ấy;
2. Mức độ giải quyết những yêu cầu kỹ thuật đã được quy định trong phương án
kỹ thuật. Nếu chưa giải quyết được thì phải bổ sung những việc làm gì, ở đâu, mức độ cần thiết và biện pháp thực hiện;
3. Đánh giá chất lượng tài liệu thu thập được theo ba mức độ: tốt, trung bình và kém;
4. Tài liệu thu thập được có đảm bảo để lập báo cáo kỹ thuật hay không (dựa vào mức độ đã giải quyết các nhiệm vụ kỹ thuật đề ra và khối lượng công tác theo phương án kỹ thuật được duyệt.;
5. Xác định những việc làm sai với phương án kỹ thuật được duyệt, mà không theo đúng các quy trình, quy phạm tiêu chuẩn quy định (biện pháp kỹ thuật tiến hành không đúng, kích thước thiết bị chọn không hợp lý, hướng tuyến đường thu và đường phát không đảm bảo việc giải quyết nhiệm vụ đề ra, khối lượng công tác không xác đángv.v.... đồng thời đánh giá mức độ gây tác hại của những sai lệch đó (về các mặt khoa học, kỹ thuật, kinh tế v.v....;
6. Đánh giá trình độ chỉ đạo và thực hiện phương án kỹ thuật theo ba mức độ: Tốt, trung bình và kém.
Chú thích:
Có thể có trường hợp với tài liệu thăm dò điện đã thu thập được đủ đảm bảo để lập báo cáo kỹ thuật nhưng trình độ chỉ đạo và thực hiện phương án kỹ thuật được duyệt lại bị đánh giá là kém do kh i lượng công tác thi công nhiều quá mức cần thiết.
3.8.20. Mọi đánh giá và kết luận của Hội đồng nghiệm thu phải lập thành văn bản và phải có đầy đủ bốn chữ ký của: Chủ tịch hội đồng nghiệm thu, trưởng phòng kỹ thuật (KCS., Chủ nhiệm công trình và thủ trưởng đơn vị thi công.
4. Công tác chỉnh lý trong phòng và lập báo cáo kỹ thuật
4.1. Công tác chỉnh lý tài liệu trong phòng, lập báo cáo kỹ thuật chỉ được phép tiến hành sau khi Hội đồng nghiệm thu đã kết luận và cho phép dùng tài liệu thực tế thu thập được để lập báo cáo kỹ thuật về kết quả công tác thăm dò điện.
4.2. Nhiệm vụ chỉnh lý trong phòng là phân tích và xử lý tài liệu thu được một cách toàn diện, đầy đủ để lập báo cáo kỹ thuật. Công tác chỉnh lý trong phòng do một số cán bộ kỹ thuật được xí nghiệp (đoàn, đội. cử ra thực hiện dưới sự chỉ đạo của chủ nhiệm công trình. Số lượng cán bộ kỹ thuật tham gia phụ thuộc vào quy mô công trình và thời hạn phải giao nộp báo cáo kỹ thuật.
4.3. Nhóm lập báo cáo kỹ thuật tiến hành kiểm tra lại cách tính toán, việc thành lập các bản đồ, đồ thị tổng hợp v.v... sau đó tiến hành phân tích và giải thích kết quả khảo sát. Khi giải thích định lượng cần chú ý tới ảnh hưởng cuả các yếu tố tạo nên sự phức tạp và tính không đồng nhất của địa hình, cấu tạo địa chất v.v... của vùng khảo sát.
4.4. Kết quả chỉnh lý trong phòng sẽ được biểu diễn bằng bản đồ và lát cắt địa chất - địa vật lý.
4.5. Sau khi chỉnh lý trong phòng phải thành lập được các tài liệu sau:
1. Bản đồ tài liệu thăm dò điện (cùng tỷ lệ với bản đồ địa hình hoặc lớn hơn một cấp; trình bày toạ độ khu vực đo, mạng lưới tuyến trục và các tuyến đo, đánh số các điểm đo và công trình thăm dò (tất cả các lỗ khoan, hố đào có trong khu vực khảo sát đều phải đánh số, còn các điểm thăm dò điện thì cứ cách 5ữ10 điểm trên một tuyến đo lại đánh số một điểm.. Cự ly của các tuyến và các điểm đo trên bình đồ được lập thành phụ lục.
2. Bản đồ điện -địa chất và địa hình khu công tác (khi thiếu bản đồ chung cho toàn khu vực thì dùng bản đồ có sẵn của từng phân khu.: Trên bản đồ phải ghi tỷ lệ, tác giả, và thời gian thành lập. Đối với khu vực đo chi tiết thì bản đồ địa chất và bản đồ địa hình phải thành lập theo tỷ lệ đo chi tiết. Bản đồ địa chất phải kèm theo lát cắt địa chất, cột địa tầng tổng hợp phần mô tả tương ứng và dấu hiệu quy
3. Các biểu đồ và đồ thị cần thiết phải lập theo mẫu thống nhất: Có chung một tỷ lệ, có cùng cự ly giữa các tuyến với nhau. Cự ly giữa các điểm đo trên đồ thị bố trí theo tỷ lệ bình đồ (hoặc lớn hơn một cấp của bình đồ.. Trên cùng một tờ bản đồ có thể đưa số liệu các phương pháp khác nhau (hoặc các đường cong khác nhau thu được bằng một phương pháp.. Trên bản đồ, đồ thị dưới trục ngang của mỗi tuyến cần vẽ đường cong mặt địa hình. Khi đo sâu phải vẽ đường cong đo sâu và sắp xếp theo trình tự thời gian công tác.
4. Bản đồ, đồ thị của khu vực đo chi tiết phải thành lập với tỷ lệ lớn hơn (nhưng phải cùng tỷ lệ với bản đồ địa hình của khu vực đo chi tiết đó..
5. Khi đo sâu phải thành lập biểu đồ đường cong, bản đồ phân tích định tính các đường cong đo sâu.
6. Bản đồ kết quả thăm dò điện được thành lập theo tỷ lệ bản đồ địa hình và dựa vào các số liệu địa vật lý đới dị thường, ranh giới các lớp đất đá v.v... đã phát hiện được. Khi nghiên cứu bằng phương pháp đo sâu thì phải có lát cắt điện -địa chất, lát cắt điện trở suất biểu kiến, bản đồ đường đồng mức các tầng chuẩn. Trên bản đồ này phải đánh dấu vị trí các cọc mốc có ở ngoài thực địa, vị trí các điểm cần khoan, đào để kiểm tra kết quả công tác thăm dò điện.
7. Tất cả các tài liệu cần thành lập được quy định ở biểu này phải có chữ ký của người thực hiện và chủ nhiệm công trình. Ngoài ra, trên bản đồ tài liệu thăm dò điện và bản đồ kết quả thăm dò điện còn phải có thêm chữ ký của cán bộ kỹ thuật trắc địa.
4.6. Từ kết quả chỉnh lý tài liệu trong phòng phải phân ra được những đới dị thường và phân tích, đánh giá số liệu thu được bằng các phương pháp địa vật lý hoặc các phương pháp khảo sát khác để kiểm tra và đặt vị trí lỗ khoan phục vụ cho các loại công tác khảo sát xây dựng (địa chất công trình, địa chất thuỷ văn hoặc thăm dò vật liệu xây dựng..
4.7. Kết quả công tác chỉnh lý tài liệu trong phòng phải lập được báo cáo kỹ thuật thăm dò điện đáp ứng các yêu cầu quy định trong các điều; 1.34, 1.41 của tiêu chuẩn này.
Phụ lục 1
Các phương pháp thăm dò điện sử dụng
| Nhiệm vụ nghiên cứu | Các phương pháp chủ yếu được sử dụng |
| Nghiên cứu cấu tạo của khối đất đá (phân chia mặt cắt địa chất, xác định mặt địa hình của tầng đá gốc, xác định chiều dày lớp vỏ phong hóa, xác định vị trí mực nước ngầm v.v...). | Đo mặt cắt điện các kiểu, đo sâu điện các kiểu khác nhau, đo gradien, đo lưỡng cực. |
| Xác định và theo dõi đới phá hủy kiến tạo và đới nứt nẻ. | Đo mặt cắt điện theo các sơ đồ khác nhau. |
| Phát hiện và khoanh định các hang động tự nhiên và nhân tạo, các mỏ vật liệu xây dựng. | Đo mặt cắt điện, đo mặt cắt liên hợp, đo sâu điện, đo sâu vòng và đo lưỡng cực. |
| Xác định hướng và tốc độ dòng chảy ngầm, vị trí thoát nước của nước dưới đất. | Phương pháp nạp điện, phương pháp đo gradien. |
| Xác định hoạt tính ăn mòn của đất và cường độ của dòng tản mạn. | Đo sâu điện, đo mặt cắt điện, đo phân cực kích thích, phương pháp trường tự nhiên. |
| Phân vùng thủy hóa nước ngầm theo độ mặn (ranh giới mặn nhạt). | Đo sâu điện các kiểu, đo mặt cắt điện, đo liên hợp. |
Phụ lục 2
Điện trở suất của đất đá thường gặp trong khảo sát xây dựng
| Tên đất đá | Trạng thái đất đá | Điện trở suất ( m) |
| Lớp thổ nhưỡng | ẩm | 10-10.000 |
| Cát | ẩm ít ẩm Bão hoà nước | 54.000-150.000 150-2.000 40-400 |
| Cát pha | Cứng và dẻo Chảy | 40-170 20-70 |
| Sét pha | Cứng đến dẻo mềm dẻo chảy và chảy | 18-44 16-36 |
| Sét | Cứng đến dẻo mềm dẻo chảy và chảy | 2-16 1-16 |
| Cuội sỏi (sạch) | ẩm Bão hoà nước | 4000-10.000 200-1.000 |
| Cuội tảng lẫn sét (lấp nhét) | Trạng thái của chất lấp nhét: - Cứng đến dẻo mềm - dẻo chảy và chảy |
90-500 70-300 |
| Cuội tảng lẫn cát (lấp nhét) | ẩm Bão hòa nước | 1500-20 000 80-4.000 |
| Đá gốc | Phong hoá Không phong hóa | 30-400 250-1x108 |
Phụ lục 3
Mẫu sổ thực địa
Ngày....tháng.....năm...... Tổ (nhóm. thi công:...................Đội( Đoàn.:........................
Phương pháp đo:................Tổ (nhóm. trưởng:.............Xí nghiệp (Công ty.:.................
| Ngày tháng | Số tổ (đội) họ, tên người đo máy | Dạng vận chuyển thực địa | Cấp phức tạp của địa hình | Thời tiết | Mạng lưới quan sát | Định mức hàng ngày tính ra điểm địa vật lí | Số điểm vật lý đã hòan thành | Số điểm được công nhận | Phần trăm hoàn thành nhiệm vụ ngày ngày | Ghi chú | ||
| Tổng cộng | Số điểm hư hỏng | Điểm địa vật lí | Điểm quy ước | |||||||||
| 1 | 2 | 3 | 4 | 5 | 6 | 7 | 8 | 9 | 10 | 11 | 12 | 13 |
|
|
|
|
|
|
|
|
|
|
|
|
|
|
Phụ lục 4
Mẫu ghi phương pháp trường điện thiên nhiên
(Phương pháp đo thế .
| Tuyến: | .................... | Ngày bắt đầu đo: | ......................... |
| Phương vị: | .................... | Ngày kết thúc đo: | ......................... |
| Cực N: | .................... | Thời tiết: | ......................... |
| Bước đo: | .................... | Độ nhạy của máy: | ......................... |
| Điểm đặt cực mô | Vmv | Emv | vmv | + | Ghi chú |
|
|
|
|
|
|
|
Người đo: ............................
Người tính toán: ..........................
Người kiểm tra: ..........................
Phụ lục 5
Mẫu ghi phương pháp trường điện thiên nhiên
( Phương pháp đo gradien)
| Công trình: | ..................... | Ngày bắt đầu đo: | ......................... | |
| Tuyến: | .................... | Ngày kết thúc đo: | ......................... | |
| Phương vị: | .................... | Thời tiết: | ......................... | |
| Bước đo: | .................... | Loại máy:............Độ nhạy................ |
| |
| M.N: | .................... | Nguồn cấp điện: Pin, ác quy:............ |
| |
| Điểm cắm cực M/N | Vmv | Emv | ∆V’mv | ∆V’’mv | Umv | Ghi chú |
| 1 | 2 | 3 | 4 | 5 | 6 | 7 |
|
|
|
|
|
|
|
|
Người đo: ............................
Người tính toán: ..........................
Người kiểm tra: ..........................
Phụ lục 6
Mẫu ghi phương pháp đo mặt cắt
( Thiết bị A A' MNN' B'B .
( Phương pháp đo gradien)
| Công trình: | ..................... | Ngày bắt đầu đo: | ......................... |
| Tuyến: | .................... | Ngày kết thúc đo: | ......................... |
| Phương vị: | .................... | Thời tiết: | ......................... |
| Bước đo: | .................... | Loại máy:............Độ nhạy................ | |
| M.N: | .................... | Nguồn cấp điện: Pin, ác quy:............ | |
| Số điểm | AB=............. | K=.............. | AB=...... K=........ | Ghi chú | |||
| (Cọc) | AV(mV) | I(mA) |
|
| AV(mV) | I(mA) |
|
| 1 | 2 | 3 |
| 5 | 6 | 7 | 8 |
|
|
|
|
|
|
|
|
|
Người đo: ............................
Người tính toán: ..........................
Người kiểm tra: ..........................
Phụ lục 7
Mẫu ghi độ sâu điện
( Phương pháp đo gradien)
| Công trình: | ..................... | Ngày bắt đầu đo: | ......................... |
| Tuyến: | .................... | Ngày kết thúc đo: | ......................... |
| Phương vị: | .................... | Thời tiết: | ......................... |
| Bước đo: | .................... | Loại máy:............Độ nhậy................ | |
| M.N: | .................... | Nguồn cấp điện: Pin, ác quy:............ | |
| Số lượt đo | AB/2 | MN/2 | K | ∆Vm | Ima | Ghi chú |
| 1 | 2 | 3 | 4 | 5 | 6 | 7 |
|
|
|
|
|
|
|
|
Phụ lục 8
Mẫu số đo kiểm tra độ sâu
| Số điểm đo sâu |
|
| K | P1 | P2 | Pcz |
| Ghi chú |
| 1 | 2 | 3 | 4 | 5 | 6 | 7 | 8 | 9 |
|
|
|
|
|
|
|
|
|
|
P1 : Giá trị rk đo kiểm tra lần thứ nhất
P2: Giá trị rk đo kiểm tra lần thứ hai
Pcz: Giá trị rk trung bình số học học hai lần đo
Bạn chưa Đăng nhập thành viên.
Đây là tiện ích dành cho tài khoản thành viên. Vui lòng Đăng nhập để xem chi tiết. Nếu chưa có tài khoản, vui lòng Đăng ký tại đây!