- Tổng quan
- Nội dung
- Tiêu chuẩn liên quan
- Lược đồ
- Tải về
Tiêu chuẩn quốc gia TCVN 8731:2024 Công trình thủy lợi - Xác định hệ số thấm của đất bằng thí nghiệm đổ nước trong hố đào
| Số hiệu: | TCVN 8731:2024 | Loại văn bản: | Tiêu chuẩn Việt Nam |
| Cơ quan ban hành: | Bộ Khoa học và Công nghệ | Lĩnh vực: | Xây dựng |
| Trích yếu: | Công trình thủy lợi - Xác định hệ số thấm của đất bằng thí nghiệm đổ nước trong hố đào, đổ nước và múc nước trong hố khoan | ||
|
Ngày ban hành:
Ngày ban hành là ngày, tháng, năm văn bản được thông qua hoặc ký ban hành.
|
29/10/2024 |
Hiệu lực:
|
Đã biết
|
| Người ký: | Đang cập nhật |
Tình trạng hiệu lực:
Cho biết trạng thái hiệu lực của văn bản đang tra cứu: Chưa áp dụng, Còn hiệu lực, Hết hiệu lực, Hết hiệu lực 1 phần; Đã sửa đổi, Đính chính hay Không còn phù hợp,...
|
Đã biết
|
TÓM TẮT TIÊU CHUẨN VIỆT NAM TCVN 8731:2024
Tiêu chuẩn xác định hệ số thấm của đất trong công trình thủy lợi
Ngày 29/10/2024, Tổng cục Tiêu chuẩn Đo lường Chất lượng, Bộ Khoa học và Công nghệ đã công bố Tiêu chuẩn Quốc gia TCVN 8731:2024, quy định phương pháp xác định hệ số thấm của đất bằng thí nghiệm đổ nước trong hố đào và khoan. Tiêu chuẩn này có hiệu lực ngay từ ngày công bố.
Tiêu chuẩn áp dụng cho các loại đất tự nhiên hoặc nhân tạo, đá phong hóa, sử dụng trong xây dựng các công trình thủy lợi, công trình đê điều, hoặc các công trình tương tự liên quan đến thấm nước.
Phương pháp xác định hệ số thấm
TCVN 8731:2024 quy định rõ hai phương pháp cơ bản để xác định hệ số thấm của đất: thí nghiệm đổ nước trong hố đào và thí nghiệm trong hố khoan.
Thí nghiệm đổ nước trong hố đào
Phương pháp này phù hợp cho các loại đất hạt thô có tính thấm từ vừa đến cao. Thí nghiệm được thực hiện bằng cách đặt vòng chắn vào hố và duy trì mực nước cao 10 cm để quan sát lưu lượng thấm đến khi ổn định. Các dụng cụ chính bao gồm vòng chắn, thùng đo lưu lượng và các thiết bị hỗ trợ. Cách tính toán hệ số thấm dựa trên lưu lượng thấm ổn định và diện tích tiết diện của vòng chắn.
Thí nghiệm trong hố khoan
Đối với các loại đất khác, đặc biệt là đất hạt mịn và đá phong hóa, phương pháp khoan được áp dụng để tạo lỗ và tiến hành thí nghiệm. Nước được đổ vào từng đoạn hố khoan và lưu lượng thấm sẽ được theo dõi cho tới khi có giá trị ổn định. Đường kính hố khoan sẽ được điều chỉnh theo từng loại đất để đảm bảo tính chính xác của thí nghiệm.
Báo cáo kết quả thí nghiệm
Kết quả thí nghiệm cần được ghi chép chi tiết, bao gồm thông tin về công trình, vị trí thí nghiệm, phương pháp thực hiện, hệ số thấm của đất và các thông tin liên quan khác nhằm phục vụ cho việc đánh giá và nghiên cứu.
Tiêu chuẩn này nhằm cung cấp một khung pháp lý rõ ràng và thống nhất cho việc xác định hệ số thấm của đất, giúp tăng cường độ tin cậy cho các công trình thủy lợi, đảm bảo sự bền vững và an toàn trong xây dựng.
Tải tiêu chuẩn Việt Nam TCVN 8731:2024
TIÊU CHUẨN QUỐC GIA
TCVN 8731:2024
CÔNG TRÌNH THỦY LỢI
XÁC ĐỊNH HỆ SỐ THẤM CỦA ĐẤT BẰNG THÍ NGHIỆM ĐỔ NƯỚC TRONG HỐ ĐÀO, ĐỔ NƯỚC VÀ MÚC NƯỚC TRONG HỐ KHOAN
Hydraulic structures - Field determination of soil permeability coefficient using infiltrometer tests in trial pit and permeability tests using open systems in borehole
Lời nói đầu
TCVN 8731:2024 thay thế TCVN 8731:2012.
TCVN 8731:2024 do Trường Đại học Thủy lợi biên soạn, Bộ Nông nghiệp và Phát triển nông thôn đề nghị, Tổng cục Tiêu chuẩn Đo lường Chất lượng thẩm định, Bộ Khoa học và Công nghệ công bố.
CÔNG TRÌNH THỦY LỢI - XÁC ĐỊNH HỆ SỐ THẤM CỦA ĐẤT BẰNG THÍ NGHIỆM ĐỔ NƯỚC TRONG HỐ ĐÀO, ĐỔ NƯỚC VÀ MÚC NƯỚC TRONG HỐ KHOAN
Hydraulic structures - Field determination of soil permeability coefficient using infiltrometer tests in trial pit and permeability tests using open systems in borehole
1 Phạm vi áp dụng
1.1 Tiêu chuẩn này quy định phương pháp xác định hệ số thấm của đất ở hiện trường bằng thí nghiệm đổ nước trong hố đào, thí nghiệm đổ nước và múc nước trong hố khoan.
1.2 Tiêu chuẩn này áp dụng cho các loại đất có kết cấu tự nhiên hoặc nhân tạo, đá phong hóa, sử dụng trong xây dựng công trình thủy lợi, công trình đê điều hoặc các công trình có điều kiện làm việc và đặc tính kỹ thuật tương tự.
2 Tài liệu viện dẫn
Các tài liệu viện dẫn sau cần thiết cho việc áp dụng tiêu chuẩn này. Đối với các tài liệu viện dẫn ghi năm công bố thì áp dụng phiên bản được nêu. Đối với các tài liệu viện dẫn không ghi năm công bố thì áp dụng phiên bản mới nhất, bao gồm cả các phần sửa đổi, bổ sung (nếu có):
TCVN 2683, Đất xây dựng - Lấy mẫu, bao gói, vận chuyển và bảo quản mẫu.
TCVN 8728, Đất xây dựng công trình thủy lợi - Phương pháp xác định độ ẩm của đất tại hiện trường.
TCVN 9155, Công trình thủy lợi - Yêu cầu kỹ thuật trong khảo sát địa chất.
3 Thuật ngữ và định nghĩa
Trong tiêu chuẩn này sử dụng các thuật ngữ và định nghĩa sau:
3.1
Hệ số thấm K (Permeability coefficient).
Là tốc độ nước thấm qua một đơn vị diện tích đất vuông góc với chiều dòng thấm, dưới tác dụng của gradient thủy lực J bằng một đơn vị, ký hiệu là K, tính bằng cm/s.
3.2
Hệ số thấm đứng Kv (Vertical coefficient of permeability).
Là hệ số thấm của đất theo phương đứng.
3.3
Hệ số thấm ngang Kh (Horizontal coefficient of permeability).
Là hệ số thấm của đất theo phương ngang.
3.4
Lưu lượng thấm Q (permeable flow rate).
Là thể tích nước thấm qua một đơn vị diện tích đất vuông góc với chiều dòng thấm trong một đơn vị thời gian, dưới tác dụng của gradient thủy lực xác định, ký hiệu là Q, tính bằng cm3/s.
4. Quy định chung
4.1 Thí nghiệm thấm tại hiện trường được tiến hành trong quá trình khảo sát địa chất công trình hoặc theo đề cương nghiên cứu, kiểm tra tính thấm nước của đất.
4.2 Nước dùng để thí nghiệm phải là nước lã trong. Nên sử dụng nguồn nước có sẵn tại khu vực thí nghiệm (nếu đảm bảo yêu cầu).
4.3 Việc lựa chọn độ sâu thí nghiệm phải đảm bảo đáp ứng yêu cầu của công tác thí nghiệm.
4.4 Tùy theo loại đất và độ sâu lớp đất mà lựa chọn phương pháp thí nghiệm khả thi và thích hợp. Thí nghiệm đổ nước trong hố đào thích hợp với các lớp đất có mặt lớp xuất lộ trên mặt đất tự nhiên hoặc ở độ sâu không quá 1,5 m, thí nghiệm đổ nước trong hố khoan thích hợp với các lớp đất có mặt lớp nằm ở độ sâu lớn hơn 1,5 m.
4.5 Khi kết thúc thí nghiệm, phải hoàn trả mặt bằng như trước khi thí nghiệm bằng cách lấp hố khoan, hố đào theo quy định tại TCVN 9155.
5 Thí nghiệm đổ nước trong hố đào
5.1 Nguyên tắc thí nghiệm
Đổ nước vào vòng chắn và khống chế lớp nước trong vòng chắn không đổi ở mức 10 cm. Tiến hành quan trắc lưu lượng thấm cho đến khi đạt giá trị lưu lượng thấm ổn định, xác định giá trị đó và tính toán hệ số thấm của đất theo định luật Darcy. Tùy theo loại đất mà áp dụng phương pháp một vòng chắn hoặc hai vòng chắn.
5.2 Phương pháp một vòng chắn của Boldyrev
5.2.1 Phạm vi của phương pháp
Phương pháp này phù hợp với các loại đất hạt thô có tính thấm vừa đến tính thấm cao (K > 1x10-4 cm/s), thuộc đới không bão hòa, có mặt lớp xuất lộ hoặc ở độ sâu không quá 1,5 m để có thể đào thủ công hoặc bằng máy.
5.2.2 Dụng cụ thí nghiệm
5.2.2.1 Vòng chắn bằng thép, dạng hình trụ tròn thẳng đứng, đường kính trong 50 cm, chiều cao từ 20 cm đến 30 cm, thành dày từ 3 mm đến 5 mm và một đầu được cắt vát mép ngoài.
5.2.2.2 Thùng đo lưu lượng được chế tạo bằng thép cứng không móp méo, có dạng hình trụ tròn thẳng đứng, đường kính trong từ 20 cm đến 40 cm, chiều cao từ 50 cm đến 100 cm. Hai van xả đối xứng nhau được gắn vào phần dưới của thùng đo. Một van nối thông với ống đo mực nước và một van nối với ống dẫn nước. Ống đo mực nước và bảng thang đo chia vạch mm được gắn vào thành thùng đo.
Thùng đo lưu lượng được đặt thẳng đứng trên một giá đỡ vững chắc. Trước khi sử dụng, phải hiệu chuẩn để xác định lượng nước ứng với từng vạch mm trên thang đo của thùng. Lập biểu đồ quan hệ giữa số đo (mm) trên thang đo (kể từ mốc số 0 ở gần miệng thùng) với lượng nước tương ứng của thùng (cm3) để tiện sử dụng khi thí nghiệm. Chú ý kiểm tra van và các ống nối để đảm bảo các linh kiện này không bị rò rỉ nước.
5.2.2.3 Nước dùng để thí nghiệm theo quy định tại điều 4.2.
5.2.2.4 Các dụng cụ hỗ trợ khác (ví dụ: như sổ ghi chép, đồng hồ bấm giây, dụng cụ đào hố, thước đo chiều dài, thùng chứa nước dự trữ, búa, dao, thanh gạt, thanh gỗ, đất sét dẻo, sỏi sạn...).
5.2.3 Các bước thí nghiệm
5.2.3.1 San bằng mặt đất tại vị trí thí nghiệm. Đào hố có kích thước khoảng 1,0 m x 1,5 m, có độ sâu đến mặt lớp đất cần xác định hệ số thấm. Gạt bằng bề mặt đáy hố.
5.2.3.2 Đặt vòng chắn với đầu vát mép xuống đáy hố. Đặt thanh gỗ lên đầu trên của vòng chắn rồi dùng búa đóng sao cho vòng chắn ngập đều vào đất từ 3 cm đến 5 cm. Lấy đất sét dẻo nhét kín khe hở giữa đáy hố với mép ngoài của vòng chắn. Dùng dao, thanh gạt để cắt, gạt, sửa đáy hố bên trong vòng chắn cho bằng phẳng, nhưng không làm lấp bịt các lỗ hổng tự nhiên của đất.
5.2.3.3 Kẹp chặt thước đo vào mép trong của vòng chắn, đảm bảo thước thẳng đứng và vạch số không (0) ngang với đáy hố, đánh dấu mốc chiều cao 10 cm lên mép trong của vòng chắn. Sau đó, rải đều lên đáy hố bên trong vòng chắn một lớp sỏi sạn kích thước hạt từ 2 mm đến 10 mm dày từ 2 cm đến 3 cm, để chống xói đáy hố khi đổ nước.
5.2.3.4 Lập lát cắt địa chất hố đào thí nghiệm đổ nước.
5.2.3.5 Lắp đặt giá đỡ vào vị trí thuận tiện, thùng đo lưu lượng chứa đầy nước được đặt vào giá đỡ và cân chỉnh cho thẳng đứng.
5.2.3.6 Đặt một đầu ống dẫn đã được nối với van xả của thùng chứa nước dự trữ vào đáy hố bên trong vòng chắn. Mở van xả của thùng chứa nước dự trữ cho nước chảy từ từ vào hố với tốc độ dâng mực nước không quá 1 cm/min cho đến khi đạt chiều cao lớp nước là 10 cm thì khóa van lại. Cắt nguồn cấp nước từ thùng chứa nước dự trữ, bỏ đầu ống dẫn nước ra khỏi hố. Sau đó, đặt một đầu ống dẫn từ thùng đo lưu lượng vào đáy hố bên trong vòng chắn và mở van xả của thùng đo lưu lượng để nước chảy từ từ vào hố. Điều chỉnh van xả để quá trình cấp nước được diễn ra liên tục và đảm bảo chiều cao lớp nước trong hố luôn bằng 10 cm (xem Hình 1).
Trong quá trình thí nghiệm, cần quan sát kiểm tra dấu hiệu nước rò rỉ qua chân vòng chắn. Nếu có rò rỉ xảy ra, cần dừng thí nghiệm để bịt chỗ rò rỉ và tiến hành thí nghiệm lại từ đầu.

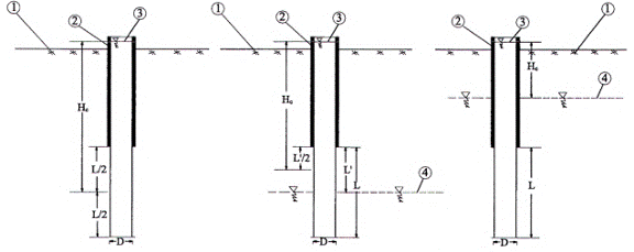
| CHÚ DẪN: | 1. Mặt đất tự nhiên | 3. Đáy hố đào | 5. Dụng cụ cấp nước |
|
| 2. Đất sét chèn khe hở | 4. Vòng chắn |
|
Hình 1 - Sơ đồ thí nghiệm đổ nước trong hố đào theo phương pháp một vòng chắn
5.2.3.7 Quan trắc thấm:
Ghi thời gian bắt đầu quan trắc thấm (ngày, giờ, phút) vào sổ thí nghiệm, đọc và ghi số đo mực nước trên thang đo của thùng đo lưu lượng, chính xác đến 1 mm. Sau đó, liên tục theo dõi và đọc số đo mực nước của thùng đo lưu lượng theo khoảng thời gian định kỳ từ 5 đến 15 phút/lần, tùy theo lượng nước tiêu tốn do thấm nhiều hay ít. Trong quá trình quan trắc, tính toán lưu lượng thấm Q (cm3/s) cấp vào đáy hố bên trong vòng chắn của từng khoảng thời gian đọc số đo trên thang đo của thùng đo lưu lượng. Tiến hành thí nghiệm cho tới khi lưu lượng thấm đạt giá trị ổn định Qc thì dừng.
Lưu lượng thấm được coi là đạt đến ổn định nếu như lưu lượng thấm trong ba lần đo liên tiếp không đổi hoặc giá trị lần đo cuối không chênh lệch quá 10% so với trung bình của ba lần đo liên tiếp.
5.2.3.8 Khi kết thúc thí nghiệm, tiến hành thu dọn dụng cụ và lấp hố theo quy định tại điều 4.5.
5.2.4 Tính toán kết quả
5.2.4.1 Dựa vào số đọc mực nước trên thang đo của thùng đo lưu lượng ở các thời điểm quan trắc, tính lưu lượng thấm ứng với từng khoảng thời gian trong quá trình thí nghiệm, theo công thức (1):
|
| (1) |
Trong đó:
Q là lưu lượng thấm, cm3/s;
V là lượng nước cấp vào vòng chắn (cm3), trong khoảng thời gian đo từ t1 đến t2, tính theo công thức: V = V1 - V2, với V1 là lượng nước của thùng đo lưu lượng ở thời điểm đo t1 và V2 là lượng nước của thùng ở thời điểm đo t2, được xác định theo biểu đồ quan hệ giữa số đo trên thang đo mực nước và lượng nước trong thùng;
t là khoảng thời gian giữa hai lần đo: t = (t2 - t1), s.
5.2.4.2 Lập biểu đồ quan hệ giữa lưu lượng thấm Q và thời gian t (xem Hình 2) để xác định trị số lưu lượng thấm ổn định Qc. Giá trị của Qc được xác định theo quy định tại điều 5.2.3.7.
5.2.4.3 Tính hệ số thấm của đất, theo công thức (2):
|
| (2) |
Trong đó:
K là hệ số thấm của đất, cm/s;
Qc là lưu lượng thấm ổn định, cm3/s;
A là tiết diện của vòng chắn, cm2, ![]()
với: d là đường kính trong của vòng chắn, cm;
π là số Pi, lấy bằng 3,14.
CHÚ THÍCH: 1) Hệ số thấm của đất xác định theo phương pháp thí nghiệm này thiên về hệ số thấm đứng Kv.
2) Trong trường hợp nhận thấy có sự không tương thích giữa hệ số thấm với đặc điểm thành phần, cấu trúc đất ở đáy hố (theo quan sát), thì sau khi thí nghiệm nên đào (hoặc khoan) sâu dưới đáy hố từ 0,5 m đến 1,0 m để làm sáng tỏ lát cắt địa chất thực tế của vùng thấm và có kết luận chính xác về kết quả thí nghiệm.
3) Hệ số thấm của đất được tính toán theo định luật Darcy, dựa trên ba giả thiết sau đây: (a) Dòng thấm từ đáy hố đào ở trong vòng chắn hướng thẳng xuống đất, không chảy tản ra các phía, nên tiết diện thấm bằng tiết diện của vòng chắn; (b) Bỏ qua áp lực mao dẫn; (c) Do chiều cao cột nước áp lực bằng 10 cm là khá nhỏ, nên giả thiết gradient thủy lực bằng 1 tức là vận tốc thấm bằng hệ số thấm.

Hình 2 - Biểu đồ quan hệ giữa lưu lượng thấm và thời gian
5.2.5 Báo cáo kết quả thí nghiệm
Báo cáo thí nghiệm gồm các thông tin sau:
- Tên công trình (dự án), hạng mục công trình (dự án), giai đoạn thực hiện.
- Đơn vị thí nghiệm, người thí nghiệm.
- Vị trí và số hiệu hố thí nghiệm, độ sâu hố đào, cao trình đáy hố đào.
- Tóm tắt đặc điểm của đất, kèm theo lát cắt địa chất hố đào.
- Phương pháp thí nghiệm.
- Thông số thiết bị thí nghiệm sử dụng: vòng chắn, hệ thống cấp nước.
- Thời gian tiến hành thí nghiệm: ngày, giờ ............ (bắt đầu); ngày, giờ............ (kết thúc).
- Hệ số thấm của đất, K (cm/s).
- Các thông tin khác có liên quan.
5.3 Phương pháp hai vòng chắn của Nesterov
5.3.1 Phạm vi của phương pháp
Phương pháp này phù hợp với các loại đất hạt mịn và đất hạt mịn lẫn ít sạn sỏi có tính thấm vừa đến tính thấm ít (K ≤ 1x10-4 cm/s), thuộc đới không bão hòa, có mặt lớp xuất lộ hoặc ở độ sâu không quá 1,5 m để có thể đào thủ công hoặc bằng máy.
5.3.2 Dụng cụ thí nghiệm
5.3.2.1 Hai vòng chắn bằng thép, dạng hình trụ tròn thẳng đứng, chiều cao từ 20 cm đến 30 cm, thành dày từ 3 mm đến 5 mm và một đầu được cắt vát mép ngoài. Vòng chắn to đường kính trong 50 cm và vòng chắn nhỏ đường kính trong 25 cm, vòng chắn nhỏ lồng đồng tâm trong vòng chắn to và liên kết chặt với vòng chắn to bởi các thanh giằng cứng.
5.3.2.2 Thùng đo lưu lượng theo quy định tại điều 5.2.2.2.
Ở thí nghiệm này cần có tối thiểu hai thùng đo lưu lượng, một thùng cấp nước vào vòng chắn nhỏ, một thùng cấp nước vào khoảng trống giữa hai vòng chắn.
5.3.2.3 Nước dùng để thí nghiệm theo quy định tại điều 4.2.
5.3.2.4 Thiết bị khoan, đào, dụng cụ lấy mẫu đất, dụng cụ xác định độ ẩm của đất ở hiện trường.
5.3.2.5 Các dụng cụ hỗ trợ chi tiết theo quy định tại điều 5.2.2.4.
5.3.3 Các bước thí nghiệm
5.3.3.1 San bằng mặt đất tại vị trí thí nghiệm. Đào hố có kích thước khoảng 1,0 m x 1,5 m, có độ sâu đến mặt lớp đất cần xác định hệ số thấm. Gạt bằng bề mặt đáy hố nhưng không làm lấp bịt các lỗ hổng tự nhiên của đất.
5.3.3.2 Đặt hai vòng chắn đồng tâm với đầu vát mép xuống đáy hố. Đặt thanh gỗ lên đầu trên của vòng chắn rồi dùng búa đóng sao cho hai vòng chắn ngập đều vào đất từ 3 cm đến 5 cm. Lấy đất sét dẻo nhét kín khe hở giữa đáy hố với mép ngoài của vòng chắn nhỏ và vòng chắn to.
5.3.3.3 Kẹp chặt một thước đo vào mép trong của vòng chắn nhỏ và một thước đo vào mép trong của vòng chắn to, đảm bảo thước thẳng đứng và vạch số không (0) ngang với đáy hố, đánh dấu mốc chiều cao 10 cm lên mép trong của vòng chắn nhỏ và vòng chắn to. Sau đó, rải đều lên đáy hố bên trong vòng chắn một lớp sỏi sạn cỡ hạt từ 2 mm đến 10 mm dày từ 2 cm đến 3 cm, để chống xói đáy hố khi đổ nước.
5.3.3.4 Lập lát cắt địa chất hố đào thí nghiệm đổ nước.
5.3.3.5 Lắp đặt giá đỡ vào vị trí thuận tiện, thùng đo lưu lượng chứa đầy nước được đặt vào giá đỡ và cân chỉnh cho thẳng đứng.
5.3.3.6 Đặt đầu ống dẫn đã được nối với van xả của thùng chứa nước dự trữ vào đáy hố bên trong vòng chắn nhỏ và khoảng trống giữa hai vòng chắn. Mở van xả của thùng chứa nước dự trữ cho nước chảy từ từ vào hố với tốc độ dâng mực nước không quá 1 cm/min cho đến khi đạt chiều cao lớp nước bên trong vòng chắn nhỏ và khoảng trống giữa hai vòng chắn là 10 cm thì khóa van lại. Cắt nguồn cấp nước từ thùng dự trữ, bỏ đầu ống dẫn nước ra khỏi hố. Đặt đầu ống dẫn từ thùng đo lưu lượng vào đáy hố bên trong vòng chắn nhỏ và khoảng trống giữa hai vòng chắn, mở van của thùng đo lưu lượng để nước chảy từ từ vào hố. Điều chỉnh van xả để quá trình cấp nước được diễn ra liên tục và đảm bảo chiều cao lớp nước bên trong vòng chắn nhỏ và khoảng trống giữa hai vòng chắn luôn bằng 10 cm (xem Hình 3).
Trong quá trình thí nghiệm, cần quan sát kiểm tra dấu hiệu nước rò rỉ qua chân vòng chắn. Nếu có rò rỉ xảy ra, cần dừng thí nghiệm để bịt chỗ rò rỉ và tiến hành thí nghiệm lại từ đầu.
5.3.3.7 Quan trắc thấm:
Ghi thời gian bắt đầu quan trắc thấm (ngày, giờ, phút) vào sổ thí nghiệm, đọc và ghi số đo mực nước trên thang đo của thùng đo lưu lượng, chính xác đến 1 mm. Sau đó, liên tục theo dõi và đọc số đo mực nước của thùng đo lưu lượng theo khoảng thời gian định kỳ từ 10 đến 30 phút/lần, tùy theo lượng nước tiêu tốn do thấm nhiều hay ít. Trong quá trình quan trắc, tính toán lưu lượng thấm Q (cm3/s) cấp vào đáy hố bên trong vòng chắn nhỏ của từng khoảng thời gian đọc số đo trên thang đo của thùng đo lưu lượng. Tiến hành thí nghiệm cho tới khi lưu lượng thấm đạt giá trị ổn định Qc thì dừng.
Lưu lượng thấm được coi là đạt đến ổn định nếu như lưu lượng thấm trong ba lần đo liên tiếp không đổi hoặc giá trị lần đo cuối không chênh lệch quá 10% so với trung bình của ba lần đo liên tiếp.
5.3.3.8 Thu dọn thiết bị cấp nước, múc hết nước trong hố ra và đưa các vòng chắn ra ngoài. Sau đó, khoan hoặc đào một lỗ ở tâm hố thí nghiệm sâu từ 0,5 m đến 1,0 m và đào hoặc khoan một hố khác cách hố này khoảng 2 m đến 3 m cho đến độ sâu tương ứng. Tại các hố khoan (hoặc đào) này, theo độ sâu, với khoảng cách trung bình từ 10 cm đến 15 cm lấy một mẫu đất, quy trình lấy mẫu thực hiện theo TCVN 2683. Tiến hành thí nghiệm để xác định độ ẩm của các mẫu đất này, quy trình thí nghiệm thực hiện theo TCVN 8728. Trên cơ sở so sánh độ ẩm của các mẫu đất, xác định độ sâu nước thấm vào đất H khi thí nghiệm kết thúc.
Trong trường hợp xác định độ ẩm của đất ở hiện trường không thuận tiện, có thể thay thế bằng phương pháp thí nghiệm trong phòng. Khi đó cần lưu ý công tác bảo quản mẫu thực hiện theo TCVN 2683.
5.3.3.9 Khi kết thúc thí nghiệm, tiến hành thu dọn dụng cụ và lấp hố theo quy định tại điều 4.5.

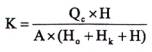
| CHÚ DẪN: | 1. Mặt đất tự nhiên | 3. Đáy hố đào | 5. Dụng cụ cấp nước |
|
| 2. Đất sét chèn khe hở | 4. Vòng chắn |
|
Hình 3 - Sơ đồ thí nghiệm đổ nước trong hố đào theo phương pháp hai vòng chắn
5.3.4 Tính toán kết quả
5.3.4.1 Lập lát cắt địa chất hố đào, gồm cả phần khoan (hoặc đào) kiểm tra trong hố đào và lát cắt địa chất của hố khoan (hoặc đào) kiểm tra nằm ngoài hố đào.
5.3.4.2 Tính toán lượng nước cấp vào vòng chắn nhỏ V của từng khoảng thời gian giữa hai lần đọc số đo trên thùng đo lưu lượng và lưu lượng thấm Q tương ứng (xem 5.2.4.1). Lập biểu đồ quan hệ giữa lưu lượng thấm Q và thời gian t, xác định trị số lưu lượng thấm ổn định Qc như quy định trong 5.2.4.2.
5.3.4.3 Thí nghiệm xác định độ ẩm của đất từ các mẫu đất được lấy ở các độ sâu khác nhau trong hố khoan (hoặc đào) kiểm tra. Lập biểu đồ quan hệ giữa độ ẩm của đất và độ sâu, xác định được chiều sâu nước thấm vào đất H sau khi thí nghiệm (chiều sâu tính từ đáy hố đào đến vị trí mà tại đó độ ẩm của đất giảm đột biến rõ ràng hoặc bằng độ ẩm của đất ở hố kiểm tra nằm ngoài hố đào). Trường hợp không thực hiện thí nghiệm chiều sâu nước thấm xuống đất (H), tham khảo phụ lục B để xác định.
5.3.4.4 Tính hệ số thấm của đất theo công thức (3):
|
| (3) |
Trong đó:
K là hệ số thấm của đất, cm/s;
Qc là lưu lượng thấm ổn định, cm3/s;
H là chiều sâu nước thấm vào đất sau khi kết thúc thí nghiệm, xác định theo 5.3.4.3, cm;
Ho là chiều cao cột nước thí nghiệm ở trong vòng chắn nhỏ, luôn không đổi, bằng 10 cm;
Hk là cột nước mao dẫn tùy thuộc vào loại đất, xác định theo Bảng 1;
A là diện tích tiết diện thấm,
, cm2;
d là đường kính trong của vòng chắn nhỏ, cm.
CHÚ THÍCH:
Hệ số thấm của đất xác định theo phương pháp thí nghiệm này thiên về hệ số thấm đứng Kv.
Bảng 1 - Bảng tra trị số cột nước mao dẫn của đất
| Loại đất | Cột nước mao dẫn Hk cm |
| 1. Đất sét, đất sét pha bụi | 100,0 |
| 2. Đất sét pha cát | 80,0 |
| 3. Đất bụi | 60,0 |
| 4. Đất bụi pha cát | 40,0 |
| 5. Đất cát hạt nhỏ - hạt mịn pha sét | 30,0 |
| 6. Cát hạt nhỏ - hạt mịn | 20,0 |
| 7. Cát hạt vừa | 10,0 |
| 8. Cát hạt to | 5,0 |
5.3.5 Báo cáo kết quả thí nghiệm
Báo cáo kết quả thí nghiệm gồm các thông tin như điều 5.2.5.
6 Thí nghiệm đổ nước trong hố khoan
6.1 Nguyên tắc thí nghiệm
Khoan tạo lỗ, phân đoạn thí nghiệm trong hố khoan, đổ nước vào trong hố khoan cho từng đoạn thí nghiệm và tính toán hệ số thấm theo định luật Darcy. Tùy theo loại đất, áp dụng phương pháp cột nước không đổi hoặc cột nước hạ dần đề xác định hệ số thấm.
Với phương pháp cột nước không đổi, đổ nước liên tục vào trong hố khoan để duy trì cột nước Hc luôn không đổi, tiến hành thí nghiệm cho tới khi lưu lượng thấm đạt giá trị ổn định Qc thì dừng.
Với phương pháp cột nước hạ dần, đổ nước vào trong hố khoan và xác định cột nước ban đầu Ho, sau đó theo dõi quá trình hạ dần của cột nước theo thời gian Ht, tiến hành thí nghiệm cho đến khi tỷ số Ht/Ho nhỏ hơn 25% thì dừng.
6.2 Các yêu cầu kỹ thuật chung
6.2.1 Đường kính hố khoan
Hố khoan để thí nghiệm đổ nước phải có đường kính phù hợp với thành phần hạt của đất thí nghiệm, được áp dụng như sau:
6.2.1.1 Đối với đất hạt mịn và đất cát không chứa hoặc có chứa sạn sỏi hạt nhỏ, đường kính không nhỏ hơn 76 mm.
6.2.1.2 Đối với các loại đất còn lại và đá phong hỏa, đường kính không nhỏ hơn 91 mm.
6.2.2 Các phương pháp khoan tạo lỗ
Khi khoan tạo lỗ để thí nghiệm đổ nước, cần áp dụng phương pháp khoan phù hợp với từng loại đất, đảm bảo thành hố khoan ổn định. Khoan sâu từng hiệp không quá 1 m và xem xét, mô tả đầy đủ các đặc điểm về thành phần, trạng thái, kết cấu của đất. Khi khoan trong đất kém ổn định, khoan sâu đến đâu phải hạ ống chống vách đến đó, tuyệt đối không được dùng dung dịch sét để gia cố thành vách hố khoan. Các phương pháp khoan tạo lỗ thực hiện theo TCVN 9155.
6.2.3 Các cách thức phân đoạn thí nghiệm
Tùy theo từng đặc điểm về thành phần, kết cấu, trạng thái của đất mà lựa chọn các cách thức phân đoạn thí nghiệm đổ nước trong hố khoan phù hợp. Cách thức phân đoạn cần đảm bảo đoạn thí nghiệm không thay đổi về hình dạng, kích thước trong quá trình thí nghiệm, nước không được thoát ra ngoài phạm vi đoạn thí nghiệm đã được khống chế. Có thể lựa chọn một trong các cách thức phân đoạn thí nghiệm đổ nước theo Hình 4, cụ thể như sau:

|
| a) | b) | c) |
| CHÚ DẪN: | 1. Mặt đất tự nhiên | 3. Ống lọc | L: Chiều dài đoạn thí nghiệm |
|
| 2. Ống chống | 4. Vữa bentonite | D: Đường kính đoạn thí nghiệm |
|
| 5. Sét chèn khe hở |
|
|
Hình 4 - Các cách thức phân đoạn thí nghiệm đổ nước trong hố khoan
6.2.3.1 Đối với đất ổn định cao (đất hạt mịn ở trạng thái dẻo cứng, nửa cứng, cứng...), có tính không tan rã và không trương nở trong môi trường nước: Sử dụng ống chống bảng kim loại hoặc nhựa tổng hợp để phân đoạn thí nghiệm với phần còn lại của hố khoan (xem Hình 4a).
6.2.3.2 Đối với đất ổn định kém (đất hạt thô hoặc đất hạt mịn ở trạng thái dẻo mềm, dẻo chảy, chảy...), có tính tan rã hoặc trương nở mạnh trong môi trường nước: Sử dụng ống chống kết hợp ống lọc để phân đoạn thí nghiệm với phần còn lại của hố khoan (xem Hình 4b).
6.2.3.3 Đối với đá phong hóa: Sử dụng ống chống, kết hợp ống lọc và dung dịch vữa bentonite để phân đoạn thí nghiệm với phần còn lại của hố khoan (xem Hình 4c).
CHÚ THÍCH:
Tùy theo điều kiện thực tế, có thể kết hợp thêm các biện pháp khác như dùng nút đơn hoặc nút kép hoặc vật liệu thô đổ vào đoạn thí nghiệm để đảm bảo các yêu cầu về phân đoạn thí nghiệm nêu trên.
6.3 Phương pháp cột nước không đổi của Hvorslev
6.3.1 Phạm vi của phương pháp
Phương pháp này phù hợp đối với các loại đất hạt mịn và đất hạt thô có tính thấm vừa đến tính thấm cao (1x10-5 cm/s ≤ K ≤ 1x10-2 cm/s), thuộc đới không bão hòa hoặc bão hòa nước.
6.3.2 Dụng cụ thí nghiệm
6.3.2.1 Thiết bị khoan, loại mũi khoan và đường kính mũi khoan thực hiện theo điều 6.2.1 và 6.2.2.
6.3.2.2 Ống chống bằng kim loại hoặc nhựa tổng hợp có đường kính phù hợp với đường kính mũi khoan, chiều dài phù hợp với độ sâu đoạn đổ nước.
6.3.2.3 Ống lọc có đường kính phù hợp với đường kính lỗ khoan và chiều dài bằng chiều cao đoạn đổ nước, đồng thời phải có khả năng thấm nước tốt hơn so với khả năng thấm nước của đất thí nghiệm, nhưng có thể ngăn chặn các hạt mịn chui qua theo nước.
6.3.2.4 Thùng đo lưu lượng thực hiện theo điều 5.2.2.2.
6.3.2.5 Nước dùng để thí nghiệm thực hiện theo điều 4.2.
6.3.2.6 Các dụng cụ hỗ trợ khác (ví dụ: như đồng hồ bấm giây, đồng hồ đo lưu lượng, máy bơm nước, ống dẫn, thước chữ T, thùng chứa nước dự trữ, sỏi sạn...).
6.3.3 Các bước thí nghiệm
6.3.3.1 Thu thập và tham khảo tài liệu mặt cắt địa chất các hố khoan đã có ở lân cận vị trí thí nghiệm. Lựa chọn vị trí hố khoan và đoạn đổ nước thí nghiệm trong lớp đất thực hiện theo điều 4.3.
6.3.3.2 Xác định cao độ và tọa độ miệng hố khoan.
6.3.3.3 Khoan đến đáy đoạn thí nghiệm đổ nước, phương pháp khoan phù hợp với yêu cầu kỹ thuật thực hiện theo điều 6.2.2. Trong quá trình khoan, theo dõi và ghi chép vị trí mực nước ngầm xuất hiện thực hiện theo điều TCVN 9155. Cách thức phân đoạn thí nghiệm phù hợp với yêu cầu kỹ thuật thực hiện theo điều 6.2.3, cụ thể như sau:
a) Đối với đất ổn định cao: chân ống chống được hạ tới đầu trên của đoạn thí nghiệm, đỉnh ống chống cao hơn miệng hố khoan từ 20 cm đến 50 cm để thuận tiện cho quá trình thí nghiệm. Đường kính ống chống phải lớn hơn đường kính hố khoan tối thiểu 1 cm để đảm bảo nước không bị rò rỉ qua chân ống chống.
b) Đối với đất ổn định kém: chân ống chống được hạ tới đáy hố khoan ngay sau khi khoan tạo lỗ. Tiếp đó, hạ ống lọc tới đáy hố khoan rồi rút ngược ống chống để chân ống chống ngang bằng với đầu trên của đoạn thí nghiệm.
c) Đối với đá phong hóa: chân ống chống được hạ tới đáy hố khoan ngay sau khi khoan tạo lỗ. Tiếp đó, hạ ống lọc tới đáy hố khoan rồi rút ngược ống chống để chân ống chống ngang bằng với đầu trên của đoạn thí nghiệm. Thả các viện sét dẻo và bơm dung dịch vữa bentonite vào khe hở giữa ống chống và thành hố khoan. Đường kính hố khoan phía trên đoạn thí nghiệm phải đủ lớn để chiều dày lớp vữa bentonite không nhỏ hơn 2 cm.
6.3.3.4 Vét sạch mùn khoan ở đáy hố khoan bằng dụng cụ chuyên dụng (có thể sử dụng mũi khoan thìa), đo chính xác chiều sâu hố khoan, rồi xác định chiều dài đoạn thí nghiệm đổ nước L (kể từ đáy hố), nên chọn L không vượt quá từ 3 m đến 5 m.
6.3.3.5 Đổ vào đáy hố khoan một lớp sạn sỏi cỡ hạt từ 2 mm đến 10 mm dày từ 2 cm đến 3 cm, để chống xói đáy hố khi đổ nước.
6.3.3.6 Rửa hố khoan bằng cách đặt đầu ống dẫn đã được nối với van xả của thùng chứa nước dự trữ vào đáy hố khoan. Mở van xả của thùng chứa nước dự trữ để nước chảy từ từ vào hố khoan cho đến khi nước dâng tới đầu trên của đoạn thí nghiệm đổ nước thì dừng lại. Sau đó, dùng bơm hút nước ra, tiến hành như vậy từ 3 lần đến 4 lần.
6.3.3.7 Tiếp tục mờ van xả của thùng chứa nước dự trữ để nước chảy từ từ vào hố khoan cho đến khi nước dâng tới gần đỉnh ống chống thì dừng lại. Đặt thước chữ T lên trên đỉnh ống chống, đầu đo của thước đặt bên trong ống chống. Đánh dấu vị trí duy trì mực nước ổn định trong ống chống trên thước chữ T.
6.3.3.8 Lắp đặt giá đỡ vào vị trí thuận tiện, thùng đo lưu lượng chứa đầy nước được đặt vào giá đỡ và cân chỉnh cho thẳng đứng. Đặt đầu ống dẫn từ thùng đo lưu lượng vào bên trong ống chống và mở van để nước chảy từ từ vào trong ống chống. Điều chỉnh van xả ở thùng đo lưu lượng để quá trình cấp nước được diễn ra liên tục và đảm bảo mực nước trong ống chống không thay đổi theo vị trí đã định sẵn trên thước chữ T.
6.3.3.9 Quan trắc thấm:
Ghi thời gian bắt đầu quan trắc thấm (ngày, giờ, phút) vào sổ thí nghiệm, đọc và ghi số đo mực nước trên thang đo của thùng đo lưu lượng, chính xác đến 1 mm. Sau đó, liên tục theo dõi và đọc số đo mực nước của thùng đo lưu lượng theo khoảng thời gian định kỳ từ 10 đến 30 phút/lần, tùy theo lượng nước tiêu tốn do thấm nhiều hay ít. Trong quá trình quan trắc, tính toán lưu lượng thấm Q (cm3/s) cấp vào ống chống của từng khoảng thời gian đọc số đo trên thang đo của thùng đo lưu lượng.Tiến hành thí nghiệm cho tới khi lưu lượng thấm đạt giá trị ổn định Qc thì dừng.
Lưu lượng thấm được coi là đạt đến ổn định nếu như lưu lượng thấm trong ba lần đo liên tiếp không đổi hoặc giá trị lần cuối không chênh lệch quá 10% so với trung bình của ba lần đo liên tiếp.
6.3.3.10 Xác định mực nước ngầm ổn định trong hố khoan thực hiện theo TCVN 9155.
6.3.3.11 Kết thúc thí nghiệm, thu dọn thiết bị dụng cụ và rút ống lọc, ống chống lên khỏi hố, hút nước khỏi hố khoan và lấp hố khoan thực hiện theo điều 4.5.
6.3.4 Tính toán kết quả
6.3.4.1 Lập lát cắt địa chất hố khoan thí nghiệm đổ nước theo tài liệu khoan.
6.3.4.2 Tính toán lượng nước cấp vào ống chống V của từng khoảng thời gian giữa hai làn đọc số đo trên thùng đo lưu lượng và lưu lượng thấm Q tương ứng (xem 5.2.4.1). Lập biểu đồ quan hệ giữa lưu lượng thấm Q và thời gian t, xác định trị số lưu lượng thấm ổn định Qc thực hiện theo điều 5.2.4.2.
6.3.4.3 Tính hệ số thấm của đất theo công thức (4):
|
| (4) |
Trong đó:
K là hệ số thấm của đất, cm/s;
Qc là lưu lượng thấm ổn định, cm3/s;
F là thông số lấy nước, cm, được xác định theo các công thức trong Bảng 2;
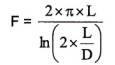
Hc là chiều cao cột nước thí nghiệm, cm, được xác định như quy định trong Hình 5, cụ thể:
a) Nếu đoạn thí nghiệm (L) ở trên mực nước ngầm thì Hc là khoảng cách từ mực nước trong ống chống đến điểm giữa của đoạn thí nghiệm:
b) Nếu đoạn thí nghiệm (L) ở dưới mực nước ngầm thì Hc là khoảng cách từ mực nước trong ống chống đến mực nước ngầm;
c) Nếu đoạn thí nghiệm (L) có một phần ở trên mực nước ngầm với chiều dài L’ thì Hc là khoảng cách từ mực nước trong ống chống đến điểm giữa của đoạn thí nghiệm nằm trên mực nước ngầm L’;
L là chiều dài đoạn thí nghiệm, cm;
L’ là chiều dài đoạn thí nghiệm phía trên mực nước ngầm, cm;
D là đường kính đoạn thí nghiệm, cm.
CHÚ THÍCH:
1) Hệ số thấm của đất xác định theo phương pháp thí nghiệm này thiên về hệ số thấm ngang Kh.
2) Khi chiều dài đoạn thí nghiệm L = 0 (chân ống chống ở đáy hố khoan), thì hệ số thấm của đất xác định theo phương pháp thí nghiệm này thiên về hệ số thấm đứng Kv.
Bảng 2 - Bảng xác định thông số lấy nước nước F
| STT | Trường hợp thí nghiệm | Thông số lấy nước F cm |
| 1 | L = 0 | F = πxD (nếu đáy hố khoan có dạng hình bán cầu) |
| 2 | L = 0 | F = 2 πxD (nếu đáy hố khoan có dạng hình cầu) |
| 3 | 0,7 < L/D <1,2 |
|
| 4 | 1,2 < L/D <10 |
|
| 5 | L/D > 10 |
|

| CHÚ DẪN: | 1. Mặt đất tự nhiên | 3. Mực nước trong ống chống | L. Chiều dài đoạn thí nghiệm |
|
| 2. Ống chống | 4. Mực nước ngầm ổn định | D. Đường kính đoạn thí nghiệm |
|
| L’: Chiều dài đoạn thí nghiệm phía trên mực nước ngầm | ||
Hình 5 - Sơ đồ xác định cột nước Hc của nghiệm đổ nước trong hố khoan
6.3.5 Báo cáo kết quả thí nghiệm
Báo cáo thí nghiệm gồm các thông tin sau:
- Tên công trình (dự án), hạng mục công trình (dự án), giai đoạn thực hiện.
- Đơn vị thí nghiệm, người thí nghiệm.
- Vị trí và số hiệu khoan thí nghiệm đổ nước, cao, tọa độ miệng hố khoan.
- Chiều sâu hố khoan, đường kính hố khoan.
- Chiều dài ống chống, đường kính ống chống.
- Chiều dài ống lọc, đường kính ống lọc.
- Phương pháp khoan.
- Thông số kỹ thuật của thùng đo lưu lượng.
- Hệ số thấm của đất, K (cm/s).
- Các thông tin khác có liên quan.
6.4 Phương pháp cột nước hạ dần (Velocity graph method)
6.4.1 Phạm vi của phương pháp
Phương pháp này phù hợp đối với các loại đất hạt mịn có tính thấm ít đến tính thấm vừa (1x10-7 cm/s ≤ K ≤ 1x10-4 cm/s), thuộc đới không bão hòa hoặc bão hòa nước.
6.4.2 Dụng cụ thí nghiệm
6.4.2.1 Thiết bị khoan, loại mũi khoan và đường kính mũi khoan thực hiện theo điều 6.2.1 và 6.2.2.
6.4.2.2 Ống chống bằng kim loại hoặc nhựa tổng hợp có đường kính phù hợp với đường kính mũi khoan, chiều dài phù hợp với độ sâu đoạn đổ nước.
6.4.2.3 Ống lọc có đường kính phù hợp với đường kính lỗ khoan và chiều dài bằng chiều cao đoạn đổ nước, đồng thời phải có khả năng thấm nước tốt hơn so với khả năng thấm nước của đất thí nghiệm, nhưng có thể ngăn chặn các hạt mịn chui qua theo nước.
6.4.2.4 Thùng đo lưu lượng thực hiện theo điều 5.2.2.2.
6.4.2.5 Nước dùng để thí nghiệm thực hiện theo điều 4.2.
6.4.2.6 Dụng cụ đo mực nước (thường là thước đo điện).
6.4.2.7 Các dụng cụ hỗ trợ khác thực hiện theo điều 6.3.2.6.
6.4.3 Các bước thí nghiệm
6.4.3.1 Thực hiện các bước tuần tự như quy định từ 6.3.3.1 đến 6.3.3.7.
6.4.3.2 Lắp đặt giá đỡ vào vị trí thuận tiện, thùng đo lưu lượng chứa đầy nước được đặt vào giá đỡ và cân chỉnh cho thẳng đứng. Đặt đầu ống dẫn từ thùng đo lưu lượng vào bên trong ống chống và mở van để nước chảy từ từ vào trong ống chống, khi mực nước trong ống chống dâng tới vị trí định sẵn trên thước chữ T thì ngắt van xả.
6.4.3.3 Quan trắc mực nước hạ dần:
Ghi thời gian bắt đầu quan trắc mực nước hạ dần (ngày, giờ, phút) vào sổ thí nghiệm, xác định giá trị cột nước ban đầu Ho tương ứng với mực nước trong ống chống ở vị trí định sẵn trên thước chữ T. Sau đó thường xuyên theo dõi và đọc số đo mực nước trong ống chống bằng thước đo mực nước theo khoảng thời gian 0; 0,5; 1; 2; 3; 4; 5; 6; 7; 8; 9; 10; 12; 14; 16; 20; 25; 30; 40; 50; 60; 75; 90; 105; 120 phút. Từ đó xác định được giá trị cột nước thay đổi theo thời gian Ht. Tiến hành thí nghiệm cho đến khi tỷ số Ht/Ho nhỏ hơn 25% thì dừng. Giá trị của cột nước Ho và Ht được xác định tương tự như đối với cột nước Hc (xem Hình 5).
6.4.3.4 Xác định mực nước ngầm ổn định trong hố khoan thực hiện theo TCVN 9155.
6.4.3.5 Kết thúc thí nghiệm, thu dọn thiết bị dụng cụ và rút ống lọc, ống chống lên khỏi hố, rồi lấp hố khoan thực hiện theo điều 4.5.
6.4.4 Tính toán kết quả
6.4.4.1 Lập lát cắt địa chất hố khoan thí nghiệm đổ nước theo tài liệu khoan.
6.4.4.2 Tính hệ số thấm của đất theo công thức (5):
|
| (5) |
Trong đó:
K là hệ số thấm của đất, cm/s;
S là diện tích mặt cắt ngang bên trong của ống chống, cm2;
F là thông số lấy nước, cm, được xác định như quy định trong Bảng 2;
α là góc nghiêng,° (độ), tgα =
, (xem Hình 6);
H1 (cm) là cột nước trong ống chống tại thời điểm đo t1 (s);
H2 (cm) là cột nước trong ống chống tại thời điểm đo t2 (s);
Ho (cm) là cột nước trong ống chống tại thời ban đầu to (s).
CHÚ THÍCH: 1) Hệ số thấm của đất xác định theo phương pháp thí nghiệm này thiên về hệ số thấm ngang Kh.
2) Khi chân ống chống ở đáy hố khoan, thì hệ số thấm của đất xác định theo phương pháp thí nghiệm này thiên về hệ số thấm đứng Kv.

Hình 6 - Sơ đồ xác định góc α của thí nghiệm đổ nước trong hố khoan
6.4.5 Báo cáo kết quả thí nghiệm
Báo cáo kết quả thí nghiệm gồm các thông tin ghi tại điều 6.3.5.
7 Thí nghiệm múc nước trong hố khoan
7.1 Phạm vi của phương pháp
Phương pháp này phù hợp đối với các loại đất hạt mịn và đất hạt thô có tính thấm vừa đến tính thấm cao (1x10-5 cm/s ≤ K ≤ 1x10-2 cm/s), thuộc đới bão hòa nước.
7.2 Yêu cầu kỹ thuật chung
Các yêu cầu kỹ thuật về đường kính hố khoan, phương pháp khoan và cách thức phân đoạn thí nghiệm thực hiện theo quy định tại điều 6.2.
7.3 Nguyên tắc thí nghiệm
Khoan tạo lỗ, phân đoạn thí nghiệm trong hố khoan, múc nước ra khỏi hố khoan và xác định chênh lệch mực nước ban đầu Ho. Sau đó xác định thời gian để mực nước trong hố khoan Ht hồi phục được 37% so với chênh lệch cột nước ban đầu.
7.4 Dụng cụ thí nghiệm
7.4.1 Thiết bị khoan, loại mũi khoan và đường kính mũi khoan thực hiện theo quy định tại điều 6.2.1 và 6.2.2.
7.4.2 Ống chống bằng kim loại hoặc nhựa tổng hợp có đường kính phù hợp với đường kính mũi khoan, chiều dài phù hợp với độ sâu đoạn đổ nước.
7.4.3 Ống lọc có đường kính phù hợp với đường kính lỗ khoan và chiều dài bằng chiều cao đoạn đổ nước, đồng thời phải có khả năng thấm nước tốt hơn so với khả năng thấm nước của đất thí nghiệm, nhưng có thể ngăn chặn các hạt mịn chui qua theo nước.
7.4.4 Ống múc bằng kim loại dài 1 m, có ren nối và nắp bịt đầu bên dưới, có đường kính nhỏ hơn đường kính trong của ống lọc.
7.4.5 Dụng cụ đo mực nước (thường là thước đo điện).
7.4.6 Các dụng cụ hỗ trợ khác (ví dụ: như đồng hồ bấm giây, dây dẫn, thùng chứa nước...).
7.5 Các bước thí nghiệm
7.5.1 Thực hiện các bước tuần tự như quy định từ 6.3.3.1 đến 6.3.3.6.
7.5.2 Xác định mực nước ngầm ổn định trong hố khoan thực hiện theo TCVN 9155.
7.5.3 Nối dây vào ống múc và thả vào trong hố khoan, khi sử dụng nhiều ống thì nối ren liên kết. Sau đó múc nước ra khỏi hố khoan và đổ vào thùng chứa nước. Việc múc nước được thực hiện nhiều lần để đảm bảo mực nước trong hố khoan cao hơn đáy hố từ 0,5 m đến 1 m.
7.5.4 Quan trắc mực nước hồi phục:
Ghi thời gian bắt đầu quan trắc mực nước hồi phục (ngày, giờ, phút) vào sổ thí nghiệm, xác định nhanh giá trị chênh lệch cột nước ban đầu Ho (là chênh lệch ban đầu giữa mực nước ngầm ổn định và mực nước trong hố khoan ngay sau khi kết thúc việc múc nước ra khỏi hố khoan). Sau đó thường xuyên theo dõi và đọc số đo mực nước trong hố khoan bằng thước đo mực nước theo khoảng thời gian định kỳ 0; 0,5; 1; 2; 3; 4; 5; 6; 7; 8; 9; 10; 12; 14; 16; 20; 25; 30; 40; 50; 60; 75; 90; 105; 120 phút. Từ đó xác định được giá trị mực nước hồi phục theo thời gian Ht. Tiến hành thí nghiệm cho đến khi tỷ số ht/ho nhỏ hơn 37% thì dừng (xem Hình 7).
7.5.5 Kết thúc thí nghiệm, thu dọn thiết bị dụng cụ và rút ống lọc, ống chống lên khỏi hố, rồi lấp hố khoan thực hiện theo điều 4.5.

| CHÚ DẪN: | 1. Mặt đất tự nhiên | 3. Ống lọc | L. Chiều dài đoạn thí nghiệm |
|
| 2. Ống chống |
| D. Đường kính đoạn thí nghiệm |
Hình 7 - Sơ đồ thí nghiệm múc nước trong hố khoan
7.6 Tính toán kết quả
7.6.1 Lập lát cắt địa chất hố khoan thí nghiệm đổ nước theo tài liệu khoan.
7.6.2 Tính hệ số thấm của đất theo công thức của Hvorslev (6):
|
| (6) |
Trong đó:
K là hệ số thấm của đất, cm/s;
r là bán kính trong của ống chống, cm;
L là chiều dài đoạn thí nghiệm, cm; phải thoả mãn L/R ≥ 8;
R là bán kính của đoạn thí nghiệm, cm, R = D/2;
D là đường kính của đoạn thí nghiệm, cm;
To là thời gian để để mực nước trong hố khoan hồi phục được 37% so với chênh lệch cột nước ban đầu (ht/ho = 37%), s.
CHÚ THÍCH:
Hệ số thấm của đất xác định theo phương pháp thí nghiệm này thiên về hệ số thấm ngang Kh.
7.7 Báo cáo kết quả thí nghiệm
Báo cáo thí nghiệm gồm các thông tin sau:
- Tên công trình (dự án), hạng mục công trình (dự án), giai đoạn thực hiện.
- Đơn vị thí nghiệm, người thí nghiệm.
- Vị trí và số hiệu khoan thí nghiệm múc nước, cao, tọa độ miệng hố khoan.
- Chiều sâu hố khoan, đường kính hố khoan.
- Chiều dài ống chống, đường kính ống chống.
- Chiều dài ống lọc, đường kính ống lọc.
- Phương pháp khoan.
- Hệ số thấm của đất, K (cm/s).
- Các thông tin khác có liên quan.
Phụ lục A
(Tham khảo)
Các biểu ghi chép thí nghiệm đổ nước, múc nước
A1. Mẫu ghi chép thí nghiệm đổ nước trong hố đào
1. Phần chung
- Tên công trình: .................................... Hạng mục công trình: ....................................
- Giai đoạn khảo sát .......................................................................................................
- Hố thí nghiệm đổ nước số: ....................................Vị trí: .............................................;
- Cao độ miệng hố: ...............................m. Độ sâu hố đào: ......m. Cao độ đáy hố:....m.
- Phương pháp thí nghiệm đổ nước: ...............................................................................
- Bắt đầu đổ nước lúc; ............................. Kết thúc đổ nước lúc: ....................................
- Đơn vị (cơ quan) thực hiện: Người phụ trách thí nghiệm: ..............................................
2. Các số liệu kỹ thuật ban đầu:
- Kiểu thiết bị đổ nước (cấp nước) ...................................................................................
- Kích thước các vòng chắn hình trụ, bằng thép:
Vòng to: đường kính trong: .........cm, chiều cao: .........cm, tiết diện .........(cm2).
Vòng nhỏ: đường kính trong: .........cm, chiều cao: .........cm, tiết diện:......(cm2).
- Độ sâu đóng vào đất của các vòng: .........(cm).
- Chiều cao cột nước thí nghiệm không đổi .........(cm).
3. Quan trắc trong quá trình thí nghiệm đổ nước
| Ngày tháng năm | Thời gian lúc bắt đầu thí nghiệm | Thời điểm đo | Lượng nước tiêu hao | Lưu lượng nước trong thời gian hai lần đo liên tiếp, Q (cm3/s) | Lượng nước tiêu hao từ lúc bắt đầu thí nghiệm V (cm3) | ||||
| Giờ (h) | Phút (min) | Giờ (h) | Phút (min) | Số đọc trên thang đo của thùng cấp nước (vạch,mm) | Lượng nước trong thùng (cm3) | Hiệu số lượng nước của hai lần đo liên tiếp (cm3) | |||
|
|
|
|
|
|
|
|
|
|
|
|
|
|
|
|
|
|
|
|
|
|
|
|
|
|
|
|
|
|
|
|
|
4. Các hình vẽ và đồ thị phụ trợ
- Biểu đồ quan hệ giữa lượng nước và số đo trên thang đo ở ống đo của thùng đo lưu lượng, V=f(h).
- Biểu đồ quan hệ giữa lưu lượng thấm Q và thời gian t; Q= f(t).
- Biểu đồ biến đổi độ ẩm của đất dưới đáy hố theo chiều sâu sau khi đổ nước.
A2: Mẫu ghi chép thí nghiệm đổ nước trong hố khoan theo phương pháp cột nước không đổi
1. Phần chung
- Tên công trình: .................................... Hạng mục công trình: ....................................
- Giai đoạn khảo sát: ......................................................................................................
- Hố thí nghiệm đổ nước số:. Vị trí: .................................................................................
- Cao độ miệng hố: ............ (m). Độ sâu hố khoan: .....m. Đường kính hố khoan::....(m);
- Bắt đầu đổ nước lúc; .............................. Kết thúc đổ nước lúc: ....................................
- Đơn vị (cơ quan) thực hiện: Người phụ trách thí nghiệm: ..............................................
2. Các số liệu kỹ thuật ban đầu:
- Chiều dài đoạn thí nghiệm đổ nước (kể từ đáy hố), L (m) .............................................
- Đường kính đoạn thí nghiệm đổ nước, D (m) ................................................................
- Thông số láy nước, F: ....................................(m);
- Khoảng cách từ đáy hố khoan đến mực nước ngầm (nếu có): ...............................(m)
- Chiều cao cột nước thí nghiệm, Hc: .................................... (m);
- Ống chống vách phần hố khoan bên trên đoạn đổ nước:
+ đường kính: .................................... (m); + chiều dài: .................................... (m);
- Kiểu thiết bị cấp nước: ................................................................................................
- Kiểu thiết bị đo mực nước trong hố khoan: ................................................................
3. Quan trắc trong quá trình thí nghiệm đổ nước
| Ngày tháng năm | Thời gian lúc bắt đầu thí nghiệm | Thời điểm đo | Lượng nước tiêu hao | Lưu lượng nước trong thời gian hai lần đo liên tiếp, Q (cm3/s) | Lượng nước tiêu hao từ lúc bắt đầu thí nghiệm V (cm3) | ||||
| Giờ (h) | Phút (min) | Giờ (h) | Phút (min) | Số đọc trên thang đo của thùng cấp nước (mm) | Lượng nước trong thùng (m3) | Hiệu số lượng nước của hai lần đo liên tiếp (cm3) | |||
| 1 | 2 | 3 | 4 | 5 | 6 | 7 | 8 | 9 | 10 |
|
|
|
|
|
|
|
|
|
|
|
|
|
|
|
|
|
|
|
|
|
|
4. Các hình vẽ và đồ thị phụ trợ
- Biểu đồ quan hệ giữa lượng nước và số đo trên thang đo ở ống đo của thùng đo lưu lượng, V=f(h).
- Biểu đồ xác định cột nước thí nghiệm Hc
- Biểu đồ quan hệ giữa lưu lượng thấm Q và thời gian t; Q= f(t).
A3. Mẫu ghi chép thí nghiệm đổ nước trong hố khoan theo phương pháp cột nước hạ dần
1. Phần chung
- Tên công trình: .................................... Hạng mục công trình: ....................................
- Giai đoạn khảo sát: .....................................................................................................
- Hố thí nghiệm đổ nước số: . Vị trí: ...............................................................................
- Cao độ miệng hố: .........(m). Độ sâu hố khoan: ......m. Đường kính hố khoan::....(m);
- Bắt đầu đổ nước lúc; ............................ Kết thúc đổ nước lúc: ....................................
- Đơn vị (cơ quan) thực hiện: Người phụ trách thí nghiệm: .............................................
2. Các số liệu kỹ thuật ban đầu:
- Chiều dài đoạn thí nghiệm đổ nước (kể từ đáy hố), L (m) ....................................
- Đường kính đoạn thí nghiệm đổ nước, D (m) ....................................
- Thông số lấy nước, F: .................(m);
- Khoảng cách từ đáy hố khoan đến mực nước ngầm (nếu có): .... (m)
- Ống chống vách phần hố khoan bên trên đoạn đổ nước:
+ đường kính: ....................................(m); + chiều dài: ....................................(m);
- Kiểu thiết bị cấp nước:
- Kiểu thiết bị đo mực nước trong hố khoan:
3. Quan trắc trong quá trình thí nghiệm đổ nước
| Ngày tháng năm | Thời gian lúc bắt đầu thí nghiệm | Thời điểm đo | Cột nước ban đầu (cm) | Cột nước theo thời gian t (cm) | Chênh lệch cột nước giữa hai lần đo liên tiếp (cm) | |||
| Giờ (h) | Phút (min) | Giờ (h) | Phút (min) | Chênh lệch thời gian đo (min) | ||||
| 1 | 2 | 3 | 4 | 5 | 6 | 7 | 8 | 9 |
|
|
|
|
|
|
|
|
|
|
|
|
|
|
|
|
|
|
|
|
4. Các hình vẽ và đồ thị phụ trợ
- Biểu đồ xác định cột nước thí nghiệm Hc
- Biểu đồ quan hệ giữa chênh lệch cột nước thời gian t; H= f(t).
A4. Biểu mẫu ghi chép thí nghiệm múc nước trong hố khoan
1. Phần chung
- Tên công trình: ....................................Hạng mục công trình: ....................................
- Giai đoạn khảo sát: ....................................................................................................
- Hố thí nghiệm múc nước số:.................................... Vị trí: .........................................
- Cao độ miệng hố: ......(m). Độ sâu hố khoan: .........m. Đường kính hố khoan::....(m);
- Bắt đầu múc nước lúc; Kết thúc múc nước lúc: .........................................................
- Đơn vị (cơ quan) thực hiện: Người phụ trách thí nghiệm: .........................................
2. Các số liệu kỹ thuật ban đầu:
- Chiều dài đoạn thí nghiệm múc nước (kể từ đáy hố), L (m) ....................................
- Đường kính đoạn thí nghiệm múc nước, D (m) .......................................................
- Khoảng cách từ đáy hố khoan đến mực nước ngầm (nếu có):.... (m)
- Ống chống vách phần hố khoan bên trên đoạn đổ nước:
+ đường kính: ....................................(m); + chiều dài: .........................................(m);
- Kiểu thiết bị đo mực nước trong hố khoan:
3. Quan trắc trong quá trình thí nghiệm múc nước
| Ngày tháng năm | Thời gian lúc bắt đầu thí nghiệm | Thời điểm đo | Cột nước ban đầu (cm) | Cột nước theo thời gian t (cm) | Chênh lệch cột nước giữa hai lần đo liên tiếp (cm) | |||
| Giờ (h) | Phút (min) | Giờ (h) | Phút (min) | Chênh lệch thời gian đo (min) | ||||
| 1 | 2 | 3 | 4 | 5 | 6 | 7 | 8 | 9 |
|
|
|
|
|
|
|
|
|
|
|
|
|
|
|
|
|
|
|
|
4. Các hình vẽ và đồ thị phụ trợ
- Biểu đồ xác định cột nước thí nghiệm h;
- Biểu đồ quan hệ giữa chênh lệch cột nước theo thời gian t; h= f(t).
Phụ lục B
(Tham khảo)
Chiều sâu nước thấm vào đất sau khi kết thúc thí nghiệm
| Loại đất | Chiều sâu nước thấm vào đất H (cm) |
| 1. Đất sét (Tàn tích) | 10÷30 |
| 2. Đất á sét (tàn tích) | 20÷60 |
| 3. Đất sét (đầm chặt) | 3÷7 |
| 4. Đất á sét (đầm chặt) | 6÷12 |
| 5. Đất sét (trầm tích) | 5÷15 |
| 6. Đất á sét (trầm tích) | 10÷20 |
| 7. Đất á cát (trầm tích) | 15÷20 |
Thư mục tài liệu tham khảo
[1] 14 TCN 153:2006: Đất xây dựng công trình thủy lợi - Phương pháp xác định độ thấm nước của đất bằng cách đổ nước thí nghiệm trong hố đào và trong hố khoan;
[2] TCVN 8731: 2012: Đất xây dựng công trình thủy lợi - Phương pháp xác định độ thấm nước của đất bằng thí nghiệm đổ nước trong hố đào và trong hố khoan tại hiện trường;
[3] ISO 22282-1: 2012: Khảo sát và thí nghiệm địa kỹ thuật - Thí nghiệm địa chất thủy văn - Các quy định chung, tháng 6 năm 2012, đã soát xét năm 2017. ISO 22282-1: 2012 Geotechnical investigation and testing - Geohydraulic testing - General rules, June 2012, confirmed in 2017.
[4] ISO 22282-2: 2012: Khảo sát và thí nghiệm địa kỹ thuật - Thí nghiệm địa chất thủy văn - Thí nghiệm thấm trong hố khoan, tháng 10 năm 2012, đã soát xét năm 2017. ISO 22282-2: 2012 Geotechnical investigation and testing - Geohydraulic testing - Water permeability tests in a borehole using open systems, October 2012, confirmed in 2017.
MỤC LỤC
Lời nói đầu
1 Phạm vi áp dụng
2 Tài liệu viện dẫn
3 Thuật ngữ và định nghĩa
4 Quy định chung
5 Thí nghiệm đổ nước trong hố đào
6 Thí nghiệm đổ nước trong hố khoan
7 Thí nghiệm múc nước trong hố khoan
Phụ lục A (Tham khảo) Các bảng biểu ghi chép thí nghiệm đổ nước, múc nước
Phụ lục B (Tham khảo) Chiều sâu nước thấm vào đất sau khi kết thúc thí nghiệm
Thư mục tài liệu tham khảo
Bạn chưa Đăng nhập thành viên.
Đây là tiện ích dành cho tài khoản thành viên. Vui lòng Đăng nhập để xem chi tiết. Nếu chưa có tài khoản, vui lòng Đăng ký tại đây!



