- Tổng quan
- Nội dung
- Tiêu chuẩn liên quan
- Lược đồ
- Tải về
Tiêu chuẩn Quốc gia TCVN 12261:2018 Công trình thủy lợi - Kết cấu bảo vệ bờ biển
| Số hiệu: | TCVN 12261:2018 | Loại văn bản: | Tiêu chuẩn Việt Nam |
| Cơ quan ban hành: | Bộ Khoa học và Công nghệ | Lĩnh vực: | Xây dựng , Nông nghiệp-Lâm nghiệp |
|
Ngày ban hành:
Ngày ban hành là ngày, tháng, năm văn bản được thông qua hoặc ký ban hành.
|
06/09/2018 |
Hiệu lực:
|
Đã biết
|
| Người ký: | Đang cập nhật |
Tình trạng hiệu lực:
Cho biết trạng thái hiệu lực của văn bản đang tra cứu: Chưa áp dụng, Còn hiệu lực, Hết hiệu lực, Hết hiệu lực 1 phần; Đã sửa đổi, Đính chính hay Không còn phù hợp,...
|
Đã biết
|
TÓM TẮT TIÊU CHUẨN VIỆT NAM TCVN 12261:2018
Tiêu chuẩn Quốc gia TCVN 12261:2018: Quy định thiết kế công trình bảo vệ bờ biển
Tiêu chuẩn Quốc gia TCVN 12261:2018 được ban hành nhằm quy định yêu cầu thiết kế cho các công trình giữ cát giảm sóng nhằm bảo vệ bờ biển. Tiêu chuẩn này được biên soạn bởi Trung tâm Khoa học và Triển khai kỹ thuật Thủy lợi thuộc Trường Đại học Thủy lợi, được Bộ Nông nghiệp và Phát triển nông thôn đề nghị, và được Tổng cục Tiêu chuẩn Đo lường Chất lượng thẩm định. TCVN 12261:2018 có hiệu lực từ ngày công bố.
Tiêu chuẩn áp dụng cho việc thiết kế mới, sửa chữa nâng cấp và duy tu bảo dưỡng các công trình bảo vệ bờ biển, bao gồm các loại công trình như đê mỏ hàn, đê ngăn giữ cát và giảm sóng. Với tiêu chuẩn này, các công trình được phân loại theo hình dạng, cấu tạo và chức năng nhiệm vụ để phù hợp với các điều kiện tự nhiên như địa hình, địa chất và đặc điểm dòng hải lưu của khu vực bờ biển.
Tại phần yêu cầu vật liệu, tiêu chuẩn quy định rằng các loại vật liệu xây dựng phải đảm bảo bền vững dưới tác động của môi trường biển và các yếu tố tự nhiên khác. Cụ thể, đá hộc và bê tông được yêu cầu có cường độ nhất định, phù hợp với điều kiện làm việc của từng khu vực công trình. Đặc biệt, yêu cầu không sử dụng đá phiến thạch hoặc đá có khe nứt để đảm bảo tính ổn định và an toàn cho công trình.
Về lựa chọn vị trí và bố trí tổng thể, tiêu chuẩn nhấn mạnh việc căn cứ vào các điều kiện tự nhiên khác nhau để thiết kế hệ thống các hạng mục công trình một cách tối ưu. Điều này bao gồm việc bố trí các công trình ngăn cát và giảm sóng thành một hệ thống đồng bộ nhằm đạt hiệu quả bảo vệ bờ biển cao nhất.
Tiêu chuẩn TCVN 12261:2018 cũng yêu cầu các đề xuất thiết kế phải được thực hiện với sự chú ý đến cảnh quan và môi trường, đảm bảo công trình không chỉ hoạt động hiệu quả mà còn hòa hợp với không gian tự nhiên xung quanh.
Tóm lại, TCVN 12261:2018 không chỉ là cơ sở pháp lý cho các công trình bảo vệ bờ biển mà còn là kim chỉ nam cho các kỹ sư, nhà thiết kế trong việc xây dựng các công trình hiệu quả, an toàn và bền vững.
Tải tiêu chuẩn Việt Nam TCVN 12261:2018
TIÊU CHUẨN QUỐC GIA
TCVN 12261:2018
CÔNG TRÌNH THỦY LỢI - KẾT CẤU BẢO VỆ BỜ BIỂN - YÊU CẦU THIẾT KẾ HỆ THỐNG CÔNG TRÌNH GIỮ CÁT GIẢM SÓNG
Hydraulic structures - Coastal protection structures - Design requirements for groin and detached breakwater
Lời nói đầu
TCVN 12261 : 2018 do Trung tâm Khoa học và Triển khai kỹ thuật Thủy lợi thuộc Trường Đại học Thủy lợi biên soạn, Bộ Nông nghiệp và Phát triển nông thôn đề nghị, Tổng cục Tiêu chuẩn Đo lường Chất lượng thẩm định, Bộ Khoa học và Công nghệ công bố.
CÔNG TRÌNH THỦY LỢI - KẾT CẤU BẢO VỆ BỜ BIỂN - YÊU CẦU THIẾT KẾ HỆ THỐNG CÔNG TRÌNH GIỮ CÁT GIẢM SÓNG
Hydraulic structures - Coastal protection structures - Design requirements for groin and detached breakwater
1 Phạm vi áp dụng
Tiêu chuẩn này quy định yêu cầu về thiết kế các công trình giữ cát giảm sóng để bảo vệ bờ biển gồm đê mỏ hàn, đê ngăn giữ cát và giảm sóng. Phạm vi áp dụng của tiêu chuẩn bao gồm xây dựng mới, sửa chữa nâng cấp, duy tu bảo dưỡng công trình giữ cát giảm sóng để bảo vệ bờ biển.
2 Tài liệu viện dẫn
Các tài liệu viện dẫn sau rất cần thiết cho việc áp dụng tiêu chuẩn này. Đối với các tài liệu viện dẫn ghi năm công bố thì áp dụng phiên bản được nêu. Đối với tài liệu viện dẫn không ghi năm công bố thì áp dụng phiên bản mới nhất, bao gồm cả các sửa đổi, bổ sung (nếu có):
TCVN 4085: 2011, Kết cấu gạch đá - Thi công và nghiệm thu;
TCVN 4253: 2012, Công trình thủy lợi - Nền các công trình thủy công - Yêu cầu thiết kế;
TCVN 4447 : 2012, Công tác đất - Thi công và nghiệm thu;
TCVN 4453:1995, Kết cấu bê tông và bê tông cốt thép toàn khối - Quy phạm thi công và nghiệm thu;
TCVN 5308 :1991, Quy phạm kỹ thuật an toàn trong công tác xây dựng;
TCVN 5573 : 2011, Kết cấu gạch đá và gạch đá cốt thép - Tiêu chuẩn thiết kế;
TCVN 9139 : 2012, Công trình thủy lợi - Kết cấu bê tông, bê tông cốt thép vùng ven biển - Yêu cầu kỹ thuật;
TCVN 9162 : 2012, Công trình thủy lợi - Đường thi công - Yêu cầu thiết kế;
TCVN 9341 : 2012, Bê tông khối lớn - Thi công và nghiệm thu;
TCVN 9346 : 2012, Kết cấu bê tông và bê tông cốt thép - Yêu cầu bảo vệ chống ăn mòn trong môi trường biển;
TCVN 9394 : 2012, Đóng và ép cọc - Thi công và nghiệm thu;
TCVN 9844 : 2013, Yêu cầu thiết kế, thi công và nghiệm thu vải địa kỹ thuật trong xây dựng nền đắp trên đất yếu;
TCVN 9901 : 2014, Công trình thủy lợi - Yêu cầu thiết kế đê biển;
TCVN 10304 : 2014, Móng cọc - Tiêu chuẩn thiết kế;
TCVN 11736 : 2017, Công trình thủy lợi - Kết cấu bảo vệ bờ biển - Thiết kế, thi công và nghiệm thu;
ASTM C1116-03, Standard Specitication for Fiber - Reinforcad Concrete and shotcrete (Bê tông cốt sợi và bê tông cốt sợi phun - Yêu cầu kỹ thuật);
EN 14889-2, Fibers for concrete - Part 2: Polyme fibers - Definitions, specifications and conformity (Sợi cho bê tông - Phần 2: Sợi polyme - Định nghĩa, yêu cầu kỹ thuật và sự phù hợp).
3 Thuật ngữ và định nghĩa
Trong tiêu chuẩn này sử dụng các thuật ngữ và định nghĩa sau:
3.1
Công trình giảm sóng (Detached breakwater)
Công trình xây dựng ở vùng ngập nước của bãi biển và cách xa bờ biển một khoảng cách thích hợp nhằm giảm chiều cao sóng, giảm tác động của sóng vào bờ biển và đê biển, hạn chế sự vận chuyển bùn cát và gây bồi lắng tạo bãi để bảo vệ bờ biển. Công trình giảm sóng có thể bố trí theo tuyến thẳng song song hoặc gần song song với đường bờ biển. Trong nhiều trường hợp, tim tuyến công trình giảm sóng có thể bố trí uốn cong theo hình dạng của cung tròn với mặt lồi hướng ra biển còn mặt lõm hướng vào bờ.
3.2
Mỏ hàn (Groin)
Mỏ hàn có một đầu liên kết với bờ, một đầu nhô ra biển nhằm giảm bớt lực xung kích của sóng tác dụng vào bờ, hướng dòng chảy ven bờ đi lệch ra phía biển và làm giảm vận tốc dòng chảy, tạo vùng nước tĩnh hoặc xoáy nhẹ ở khu vực phía sau đê (ven bờ) để giữ bùn cát và gây bồi lắng cho vùng bờ.
3.3
Đường bờ biển (Coastal line)
Đường ranh giới giữa đất liền và mực nước biển. Hình dạng của đường bờ biển thay đổi theo cao độ của mực nước biển.
3.4
Vùng chuyển tiếp với đường bờ (Connection to coastal line)
Vùng biển gần bờ nằm trong phạm vi từ mũi mỏ hàn ngoài cùng phía hạ lưu dòng chảy đến đường bờ biển và tạo với đường bờ góc khoảng 6° gọi là vùng chuyển tiếp với đường bờ.
3.5
Khu vực gần bờ (Coastal zone)
Vùng biển nằm sát bờ biển có độ sâu không quá 6,0 m khi ngấn nước thủy triều thấp nhất.
3.6
Dải sóng vỡ (Breaking wave line)
Hiện tượng sóng biển khi lan truyền đến khu vực gần bờ bị xoáy cuộn.
3.7
Sóng bão (Storm Waves)
Sóng biển được hình thành do bão.
3.8
Sóng khí hậu (Wave Climate)
Sóng biển được hình thành trong điều kiện khí hậu bình thường không có bão.
3.9
Khối phủ (Armor)
Các khối đá hộc, bê tông, bê tông cốt thép hoặc các loại vật liệu bền vững khác bao phủ mặt ngoài công trình.
3.10
Đường kính danh nghĩa (Nominal diameter)
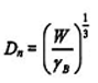
Vật liệu (hoặc cấu kiện) có hình dạng phức tạp được quy đổi thành vật thể hình khối lập phương cùng loại có cùng thể tích. Kích thước của vật thể quy đổi này gọi là đường kính danh nghĩa, hay đường kính tương đương. Trong tiêu chuẩn này đường kính danh nghĩa ký hiệu là Dn, đơn vị là m, được xác định theo công thức (1):
|
| (1) |
trong đó:
W là khối lượng của một cấu kiện, t;
γB là khối lượng riêng của vật liệu làm cấu kiện, t/m3.
3.11
Trọng lượng riêng (Specific weight)
Một loại đại lượng đặc trưng cho tính chất của vật liệu. Trong tiêu chuẩn này trọng lượng riêng ký hiệu là ρ, đơn vị là kN/m3, được xác định theo công thức (2):
| ρ = g.γB | (2) |
trong đó g là gia tốc trọng trường: g = 9,81 m/s2.
3.12
Tường đỉnh (Crown wall)
Còn gọi là tường chắn sóng bố trí trên đỉnh các công trình kiểu đê (đập) hoặc đỉnh kè để giảm bớt chiều cao của các công trình này, hạn chế nước biển tràn qua, chắn sóng và hắt sóng ra phía biển.
3.13
Cừ (Sheet pile)
Còn gọi là cọc ván hay cọc cừ, là loại vật liệu dùng để làm tường chắn đất hoặc chắn nước (tạm thời) khi thi công hố móng công trình xây dựng. Trong một số trường hợp cừ còn được sử dụng như một loại tường chắn đất cố định trong công trình xây dựng hoặc làm cột chống (đỡ) một số loại kết cấu. Vật liệu làm cừ có thể là thép, composite hoặc từ các loại vật liệu tổng hợp khác có tính năng tương tự.
3.14
Thùng chìm (Caissons)
Một loại kết cấu bê tông cốt thép có tính năng chống chịu được tác động của môi trường biển, được chế tạo sẵn thành các khối hình hộp rỗng hoặc các trụ pin nỗi có cửa van. Các thùng chìm được lai dắt bằng tàu kéo hoặc phương tiện vận tải thủy phù hợp hoặc dùng cần cẩu để đưa vào vị trí đã định và đánh chìm để tạo thành công trình giảm sóng bảo vệ bờ biển.
3.15
Bê tông đá hộc (Dumped rock)
Vữa bê tông khối lớn được độn thêm đá hộc với tỷ lệ nhất định để giảm bớt lượng xi măng, hạn chế nhiệt độ khối đổ nhưng vẫn đảm bảo chất lượng theo yêu cầu.
3.16
Hệ số mái dốc (Slope coefficient)
Đại lượng dùng để đánh giá độ dốc của mái dốc, được ký hiệu là m. Hệ số mái dốc là tỷ số giữa chiều dài hình chiếu bằng với chiều dài hình chiếu đứng của mái dốc, xác định theo công thức m = cotgα, với α là góc giữa mái dốc với mặt phẳng nằm ngang.
4 Phân loại
4.1 Phân loại theo hình dạng và cấu tạo kết cấu
4.1.1 Theo hình dạng và cấu tạo kết cấu có thể phân thành các loại chính sau đây:
a) Công trình kiểu đê mái nghiêng: Công trình có kết cấu tương tự tuyến đê đắp ở vùng bãi biển. Các loại công trình như mỏ hàn, đê ngăn cát giảm sóng, thường được xây dựng ở các vùng bãi biển thấp có cấu trúc địa chất phức tạp, nước sâu, bờ biển bị xâm thực mạnh, chịu tác động của sóng to, gió lớn và dòng chảy mạnh thường có kết cấu kiểu đê mái nghiêng;
b) Công trình kiểu tường đứng (còn gọi là công trình kết cấu trọng lực): Gồm hệ thống các kết cấu dạng tường đứng liên kết vững chắc với nền như tường thùng chìm, tường bê tông khối đúc sẵn lắp ghép, tường cọc cừ. Loại công trình này thường bố trí cách xa bờ biển, vùng đáy biển có cấu trúc địa chất tốt, nước sâu, sóng lớn nhằm chắn sóng và giảm chiều cao sóng, giảm tác động của sóng biển ở phía sau tường (vùng nước biển nằm giữa tường và bờ), gây bồi tạo bãi biển;
c) Công trình kiểu kết cấu cọc, cừ: Bộ phận chắn sóng làm giảm chiều cao sóng và giảm tác động của sóng biển ở vùng nước phía sau công trình được bố trí liên kết vững chắc trên đỉnh các cọc hoặc đỉnh các cừ. Loại công trình này thường được áp dụng cho các vùng biển có độ sâu nước tương đổi lớn và cường độ sóng cũng không quá lớn; hoặc trong trường hợp nguồn vật liệu địa phương như đá hộc hoặc cát không đủ đáp ứng yêu cầu xây dựng công trình kiểu đê mái nghiêng hoặc công trình kiểu tường đứng; hoặc chế độ dòng chảy ven bờ rất phức tạp.
4.1.2 Tùy thuộc vào điều kiện địa hình, địa chất khu vực bờ biển và đáy biển; đặc điểm của dòng hải lưu; đặc điểm của sóng của khu vực xây dựng công trình[1] (như hướng sóng, chiều dài sóng và chiều cao sóng); độ sâu nước biển, chiều dài đoạn bờ biển cần bảo vệ và yêu cầu bảo vệ mà lựa chọn áp dụng một trong các hình thức sau đây về sử dụng và bố trí vật liệu trong mặt cắt ngang công trình cho phù hợp:
a) Công trình kiểu đê mái nghiêng: Sử dụng vật liệu đá hỗn hợp hoặc bao tải cát[2] làm lõi đê còn mặt ngoài được bọc bằng các loại kết cấu có khối lượng đảm bảo ổn định và bền vững dưới tác động của dòng chảy và sóng biển, hoặc phủ bằng các loại khối dị hình phù hợp để phá sóng;
b) Công trình kiểu tường đứng[3]:
1) Tường thùng chìm: Công trình được tạo thành bởi hệ thống các thùng chìm hình hộp rỗng hoặc trụ pin có cửa van sau khi di chuyển đến vị trí đã xác định được đánh chìm và neo giữ ổn định với nền bằng công nghệ phù hợp. Toàn bộ các khoảng trống của thùng chìm được chất đầy tải trọng bằng các loại vật liệu thông dụng như bao tải cát, đá, sỏi, hoặc bê tông mác thấp;
2) Tường bê tông hình khối hộp đúc sẵn lắp ghép: Các khối bê tông thủy công đúc sẵn có hình dạng đặc biệt (các khối bê tông hình hộp nhưng bề mặt tiếp xúc với nước có cấu tạo đặc biệt đáp ứng yêu cầu tiêu hao năng lượng sóng và giảm chiều cao sóng) sau khi di chuyển đến vị trí đã định sẽ được lắp đặt, xếp chồng lên nhau và gia cố thành tường chắn sóng thẳng đứng. Có thể sử dụng các khối bê tông không đồng nhất (các khối bê tông đúc sẵn hình hộp rỗng bằng bê tông mác cao (≥ M30) còn bên trong được lấp đầy bằng bê tông mác thấp hoặc bê tông đá hộc) thay thế các khối bê tông đồng nhất;
3) Tường hình trụ tròn đúc sẵn lắp ghép: Các khối bê tông thủy công đúc sẵn có hình trụ tròn hoặc nửa hình trụ tròn sau khi di chuyển đến vị trí xác định được định vị và liên kết vững chắc với nền tạo thành tường đứng. Mặt trụ tròn tiếp xúc với nước biển và hướng ra phía biển. Tương tự như khối hình hộp đúc sẵn, có thể sử dụng các khối hình trụ đồng nhất (có cùng cường độ chịu nén) hoặc các khối hình trụ rỗng bằng bê tông mác cao còn bên trong được lấp đầy bằng bê tông mác thấp hoặc bê tông đá hộc để làm tường chắn sóng kiểu tường đứng;
4) Tường cọc cừ: Hai mặt giáp nước của tường đứng là hệ thống cừ thép (cừ larssen) hoặc cừ làm bằng các loại vật liệu cứng khác có tính năng tương tự chịu được tác động của môi trường biển (gọi chung là cừ) được đóng cố định xuống nền biển và liên kết chắc chắn với nền biển, bên trong (phần không gian nằm giữa hai hàng cừ) chứa đầy đá hộc, bao tải cát hoặc vật liệu bền trong môi trường biển;
c) Công trình kiểu kết cấu cọc, cừ: Vật liệu chế tạo bộ phận chắn sóng làm giảm tác động của sóng và giảm chiều cao sóng có thể là bê tông hoặc bê tông cốt thép, hoặc bằng các loại vật liệu bền vững khác. Cọc hoặc cừ để đỡ bộ phận chắn sóng có thể bằng bê tông cốt thép thủy công hoặc cừ thép. Loại công trình này thường được áp dụng để hạn chế tác động của sóng tại các vùng có sóng biển không lớn, ít tác động của dòng chảy và bùn cát khu vực ven bờ. Đối với vùng biển nông và khu vực ven bờ (có chiều sâu nước dưới 1,5 m), có thể sử dụng cọc gỗ (nếu có nguồn vật liệu là gỗ phong phú) để thay thế cọc bê tông cốt thép hoặc cừ.
4.2 Phân loại theo chức năng
Theo chức năng nhiệm vụ, công trình giảm sóng và gây bồi có thể phân thành các loại chính sau đây:
a) Công trình giảm sóng: Gồm các công trình như đê mái nghiêng, đê tường đứng, kết cấu cọc cừ, được bố trí cách xa bờ biển một khoảng cách nhất định. Ngoài chức năng che chắn sóng, giảm bớt chiều cao sóng và giảm tác động của sóng biển ở vùng nước phía sau công trình, các công trình này cũng có tác dụng giảm tốc độ dòng chảy, chống xâm thực và tăng cường khả năng lắng đọng bùn cát;
b) Công trình gây bồi: Thuộc loại này có mỏ hàn. Mỏ hàn áp dụng cho các vùng bãi biển có dòng chảy ven bờ chiếm ưu thế và vùng bãi biển bị xâm thực, không trồng được cây chắn sóng. Mỏ hàn làm cho phương của dòng hải lưu gần bờ thích ứng với phương truyền sóng, che chắn cho bờ khi bị sóng xiên góc truyền tới và tạo ra vùng nước yên tĩnh, ngăn chặn bùn cát chuyển động dọc bờ, gây bồi lắng vào giữa hai mỏ hàn, mở rộng và nâng cao thềm bãi để củng cố đê biển và bờ biển;
c) Công trình phức hợp (công trình vừa giảm sóng vừa gây bồi); Tại khu vực bờ biển và bãi biển cần bảo vệ đồng thời bố trí hệ thống gồm nhiều công trình giảm sóng và mỏ hàn. Tim các tuyến mỏ hàn vuông góc với đường bờ biển còn tim các tuyến công trình giảm sóng bố trí song song với đường bờ biển hoặc uốn cong theo hình dạng cung tròn. Sự phối hợp làm việc của hai loại công trình này làm tăng hiệu quả giảm tác động của sóng biển vào vùng bờ, chống xâm thực và gây bồi.
5 Yêu cầu vật liệu xây dựng
5.1 Các loại vật liệu sử dụng để thiết kế, thi công xây dựng các công trình giảm sóng và gây bồi phải đảm bảo bền vững dưới tác động phá hoại của môi trường biển, áp lực sóng, gió, dòng hải lưu, mưa và các yếu tố phá hoại khác.
5.2 Khi sử dụng đá hộc để thiết kế và thi công xây dựng công trình, ngoài yêu cầu tuân thủ các quy định có liên quan nêu trong TCVN 5573 : 2011 và TCVN 4085 : 2011 còn phải đảm bảo kích thước hình học, khối lượng tính toán cho các viên đá phù hợp với điều kiện làm việc của từng khu vực công trình và của từng bộ phận kết cấu. Những vấn đề sau đây cần đặc biệt lưu ý khi sử dụng đá hộc để thiết kế xây dựng công trình ngăn cát, giảm sóng bảo vệ bờ biển:
a) Không sử dụng đá phiến thạch, đá phong hoá và đá có khe nứt;
b) Đá phủ ngoài các mái dốc và đá hộc dùng để xây có cường độ không thấp hơn 50 MPa[4]. Khi sử dụng đá có cấp phối để làm lớp phủ bảo vệ công trình thì kích thước của viên đá lớn nhất không lớn hơn 3 lần kích thước của viên đá nhỏ nhất;
c) Đá làm lớp đệm các loại kết cấu kè bảo vệ có cường độ từ 30 MPa trở lên. Các viên đá làm lớp đệm 6 và làm vật liệu tầng lọc phải có kích thước đủ lớn đảm bảo không bị lọt qua khe hở giữa các lớp và giữa các khối kết cấu;
d) Vữa xây có cường độ từ 30 MPa trở lên.
5.3 Khi sử dụng vật liệu xây dựng công trình là bê tông hoặc bê tông cốt thép, ngoài yêu cầu phải tuân thủ các quy định có liên quan nêu trong TCVN 9139 : 2012 và TCVN 9346 : 2012 còn phải có cường độ từ 30 MPa trở lên. Cường độ bê tông khối phủ mặt ngoài của công trình phá sóng không thấp hơn 50 MPa[5].
5.4 Khi sử dụng vải địa kỹ thuật để xử lý nền hoặc để chế tạo các bao tải đựng cát, ngoài tuân thủ quy định tại 5.1 và các quy định có liên quan nêu trong TCVN 9844 : 2013 còn phải tuân thủ các quy định của nhà sản xuất cũng như chỉ dẫn kỹ thuật của người thiết kế.
Những vùng có nguồn vật liệu gỗ phong phú, có thể sử dụng vật liệu gỗ để thiết kế xây dựng các công trình ngăn cát, giảm sóng cấp IV và cấp V.
6 Lựa chọn vị trí công trình và bố trí tổng thể các hạng mục công trình
6.1 Quy định chung
6.1.1 Tùy thuộc vào các điều kiện tự nhiên như: đặc điểm địa hình và địa chất công trình khu vực bờ biển và đáy biển; đặc điểm của dòng hải lưu; chiều dài, chiều cao sóng và hướng sóng truyền vào bờ; độ sâu nước biển; chiều dài và phạm vi đoạn bờ cần bảo vệ cũng như chức năng của công trình để lựa chọn giải pháp công trình, loại công trình, vị trí từng công trình và sơ đồ bố trí mặt bằng tổng thể các hạng mục công trình cho phù hợp.

Hình 1 - Một vài sơ đồ bố trí mặt bằng tổng thể hệ thống các công trình ngăn cát, giảm sóng để bảo vệ bờ biển
6.1.2 Để tăng hiệu quả làm giảm tác động của sóng biển vào vùng bờ biển và bãi biển, chống xâm thực và gây bồi, nên bố trí các công trình ngăn cát, giảm sóng thành hệ thống gồm nhiều mỏ hàn, hoặc nhiều công trình giảm sóng (đê mái nghiêng, kết cấu trọng lực, kết cấu cọc cừ), hoặc kết hợp giữa mỏ hàn và công trình giảm sóng. Các công trình này hoạt động tương hỗ nhau thành một thể thống nhất. Tùy thuộc vào đặc điểm cụ thể của khu vực dự kiến xây dựng, yêu cầu và phạm vi vùng bờ biển cần bảo vệ mà lựa chọn loại công trình, giải pháp bảo vệ và sơ đồ bố trí tổng thể các hạng mục công trình được nêu trong hình 1 hoặc hình 4 cho phù hợp.
6.2 Công trình giảm sóng
6.2.1 Nếu tim tuyến công trình bố trí song song (hoặc gần song song) với đường bờ biển thì khoảng cách từ đường bờ biển đến tim tuyến công trình phụ thuộc vào đặc điểm địa hình và hình dạng của đường bờ, thông thường lấy bằng từ 1,0 đến 1,5 lần chiều dài sóng nước sâu. Ưu tiên bố trí tại khu vực có tốc độ dòng chảy thủy triều thấp. Trường hợp tốc độ dòng chảy thủy triều từ 2,0 m/s trở lên cần phải có các biện pháp xử lý phù hợp, trong đó khối lượng ổn định của khối kết cấu làm chân kè không thấp hơn quy định tại bảng 5 của TCVN 11736 : 2017.
6.2.2 Nếu tim tuyến công trình bố trí uốn cong theo dạng cung tròn với mặt lồi hướng ra biển thì góc chắn cung ở tâm không được nhỏ hơn 150°, đoạn thẳng nối hai đầu công trình (dây cung) phải song song (hoặc gần song song) với đường bờ và khoảng cách từ dây cung này đến bờ biển lấy bằng từ 1,0 đến 1,5 lần chiều dài sóng nước sâu.
6.2.3 Công trình giảm sóng nên bố trí thành từng đoạn ngắt quãng trong phạm vi hết chiều dài đoạn bờ cần bảo vệ để trao đổi bùn cát ngoài và trong công trình được thuận lợi (xem sơ đồ bố trí ở hình 1). Chiều dài đoạn công trình nên lấy bằng 1,5 lần đến 3,0 lần khoảng cách giữa công trình và đường bờ. Khoảng cách đoạn công trình ngắt quãng lấy bằng 1/3 lần đến 1/5 chiều dài một đoạn công trình và bằng hai lần chiều dài sóng.
6.2.4 Trong mọi trường hợp, mái ngoài của công trình (phía biển) phải bố trí kết cấu bảo vệ là các khối dị hình[6] có tính năng giảm năng lượng sóng và chiều cao sóng. Mái trong của công trình (phía bờ) bố trí các loại kết cấu bảo vệ mái kiểu thông dụng có kích thước và khối lượng ổn định, bền vững dưới tác động của dòng hải lưu, sóng biển và các tác nhân khác gây ra.
6.3 Công trình mỏ hàn
6.3.1 Một công trình mỏ hàn gồm từ hai mỏ hàn trở lên, mỗi mỏ hàn có ba bộ phận chính hợp thành gồm phần gốc, phần thân và phần mũi (còn gọi là đầu mỏ hàn). Ngoài phần gốc nối tiếp và liên kết với đường bờ, thông thường mỏ hàn chỉ có một thân và một mũi (xem sơ đồ hình 2). Để tăng hiệu quả tiêu hao năng lượng sóng và gây bồi, một số công trình mỏ hàn có thể bố trí theo hình thức gẫy khúc thành mỏ hàn hình chữ L, hoặc hình thức có một thân với hai mũi tạo thành mỏ hàn hình chữ Y hoặc chữ T.

CHÚ DẪN:
b Bề rộng của đỉnh mỏ hàn;
M Chiều dài đỉnh mũi mỏ hàn: M lấy từ 2 b đến 3 b;
G Chiều dài đoạn dốc tính từ điểm A đến điểm B của gốc mỏ hàn: G lấy từ 4 b đến 6 b;
La Chiều dài của thân mỏ hàn.
Hình 2 - Sơ đồ cấu tạo các bộ phận của mỏ hàn
6.3.2 Lựa chọn vị trí tuyến và bố trí mặt bằng tổng thể mỏ hàn thực hiện theo quy định sau:
a) Phải hoạch định đường bờ biển mới cho đoạn bờ cần bảo vệ. Đường bờ mới này cần trơn thuận và nối tiếp trơn thuận với đường bờ đoạn không có mỏ hàn;
b) Tim các tuyến mỏ hàn có thể bố trí xiên góc hoặc vuông góc với đường bờ biển. Góc nghiêng của mỏ hàn phụ thuộc vào hướng sóng tác động trực tiếp vào đường bờ và hướng của dòng hải lưu ven bờ. Nếu hướng sóng ổn định thì bố trí phương của tim trục mỏ hàn tạo với hướng của sóng một góc δ từ 100° đến 110°;
c) Hình 3 giới thiệu sơ đồ bố trí mỏ hàn hợp lý trong đó θ và α là góc tạo bởi hướng gió và phương của tim trục mỏ hàn với đường bờ:
Khi góc θ từ 30° đến 35°: α = 110°;
Khi góc θ từ 60° đến 90° : α = 90°.

Hình 3 - Sơ đồ bố trí mỏ hàn
6.3.3 Phải bố trí hệ thống gồm nhiều mỏ hàn. Chiều dài của mỏ hàn được xác định theo khu vực sóng vỡ và đặc tính của bùn cát tại khu vực cần bảo vệ. Mũi của mỏ hàn phải vươn tới dải sóng vỡ và tới vùng có dòng ven bờ mạnh, số lượng và khoảng cách giữa các mỏ hàn cũng như chiều dài của mỏ hàn trong hệ thống mỏ hàn phụ thuộc vào chiều dài của tuyến bờ biển cần bảo vệ và yêu cầu bảo vệ, nhưng phải cố gắng bao trùm được vùng có vận chuyển bùn cát dọc bờ. Trong thiết kế sơ bộ có thể áp dụng nguyên tắc sau:
a) Chiều dài mỏ hàn có thể lấy bằng phạm vi bãi cần bảo vệ cộng thêm 1/5 khoảng cách giữa hai mỏ hàn, hoặc lấy theo quy định sau:
- Đối với bãi biển sỏi đá nhỏ : từ 40 m đến 60 m;
- Đối với bãi biển là đất cát : từ 100 m đến 150 m;
b) Khoảng cách giữa các mỏ hàn lấy theo quy định sau:
- Đối với bãi biển sỏi đá nhỏ : từ 1,5 lần đến 2,0 lần chiều dài mỏ hàn;
- Đối với bãi biển đất cát : từ 1,0 lần đến 1,5 lần chiều dài mỏ hàn;
c) Công trình bảo vệ đê biển cấp I và cấp II phải tiến hành thử nghiệm, tổ chức quan trắc để điều chỉnh bố trí thiết kế cho phù hợp.
6.4 Công trình phức hợp
6.4.1 Nếu khu vực cần bảo vệ có chế độ thủy hải văn phức tạp nên bố trí hệ thống công trình phức hợp gồm các mỏ hàn và công trình giảm sóng. Hình 4 giới thiệu một vài sơ đồ bố trí tổng thể hệ thống công trình phức hợp điển hình đang được áp dụng phổ biến ở nước ta. Tùy từng trường hợp cụ thể của khu vực xây dựng công trình mà nghiên cứu vận dụng các sơ đồ bố trí nói trên cho phù hợp.
6.4.2 Trong hệ thống công trình phức hợp, tim tuyến các mỏ hàn bố trí vuông góc với đường bờ biển còn tim các tuyến các công trình giảm sóng hoặc bố trí song song với đường bờ biển hoặc bố trí uốn cong theo hình dạng cung tròn tạo thành hệ thống các ô kín (dạng sơ đồ a), hoặc thành các ô hở (dạng sơ đồ b và c). Cách bố trí này không chỉ có hiệu quả làm giảm tác động của sóng biển vào bờ mà còn gây bồi lắng bùn cát và lưu giữ bùn cát đã bồi lắng trong các ô này.

a) Tường giảm sóng kết hợp mỏ hàn tạo thành các ô giữ cát

b) Hệ thống mỏ hàn hình chữ T

c) Hệ thống công trình phức hợp giữa phương ngang, phương dọc và cao thấp khác nhau
Hình 4 - Các sơ đồ bố trí hệ thống công trình phức hợp
CHÚ THÍCH: Những công trình cấp I và cấp II phải tiến hành nghiên cứu thí nghiệm mô hình đánh giá hiệu quả giảm sóng, ngắn cát, gây bồi và tác động đến đường bờ, nhằm hiệu chỉnh và chính xác hóa các thông số kỹ thuật của sơ đồ bố trí tổng thể hệ thống các công trình cũng như của từng công trình. Công tác này cũng được áp dụng cho các sơ đồ bố trí tổng thể công trình cấp thấp hơn khi trong thực tế chưa có hình mẫu bố trí xây dựng tương tự.
7 Yêu cầu thiết kế
7.1 Yêu cầu chung
7.1.1 Yêu cầu về tài liệu dùng trong thiết kế thực hiện theo 6.1 của TCVN 11736 : 2017.
7.1.2 Khi tính toán, thiết kế phải đáp ứng các yêu cầu sau đây:
a) Phải đảm bảo các hệ số an toàn và hệ số ổn định tương ứng với cấp công trình được quy định tại điều 5 của TCVN 9901 : 2014. Cấp công trình được quy định trong TCVN 9901: 2014;
b) Đối với công trình sử dụng vật liệu đá: Tuân thủ các quy định có liên quan trong TCVN 5573 : 2011;
c) Đối với công trình sử dụng vật liệu bê tông và bê tông cốt thép: Tuân thủ các quy định có liên quan trong TCVN 9139 : 2012 và TCVN 9346 : 2012;
d) Đối với công trình sử dụng kết cấu cọc hoặc xử lý nền bằng móng cọc bê tông cốt thép: Tuân thủ các quy định có liên quan trong TCVN 10304 : 2014;
e) Đối với công trình sử dụng sợi polypropylen làm cốt liệu (thay cốt thép) để nâng cao cường độ bê tông phải tuân thủ theo EN 14889-2 hoặc ASTM C1116-03;
f) Không dùng vật liệu gỗ làm công trình giảm sóng, gây bồi cho các công trình cấp I, cấp II và cấp III;
g) Chiều dày lớp bê tông bảo vệ cốt thép không nhỏ hơn 50 mm áp dụng cho mọi điều kiện làm việc của kết cấu và mác bê tông.
7.1.3 Căn cứ vào các điều kiện tự nhiên khu vực dự án như như đặc điểm địa hình, địa chất, độ sâu nước biển, hướng sóng truyền vào bờ; điều kiện thi công, khả năng cung cấp nguyên vật liệu, hiện trạng vùng bờ, nhiệm vụ công trình, yêu cầu bảo vệ bờ biển và các quy định nêu tại điều 4 để nghiên cứu đề xuất một số phương án về giải pháp công trình (loại công trình và bố trí kết cấu công trình). Các phương án đề xuất đều phải đáp ứng yêu cầu về cảnh quan và môi trường. Thông qua kết quả phân tích, tính toán và so sánh các chỉ tiêu về kinh tế - kỹ thuật để lựa chọn phương án hợp lý.
7.1.4 Các tuyến công trình nên phân thành nhiều đoạn phù hợp với sự thay đổi về độ sâu nước biển, thay đổi các đặc trưng sóng và thay đổi về điều kiện địa chất. Mỗi đoạn có thể lựa chọn áp dụng loại hình dạng và cấu tạo kết cấu nêu tại 4.1 cũng như kích thước mặt cắt ngang phù hợp.
7.1.5 Mực nước biển dùng để thiết kế và các yếu tố sóng thiết kế xác định theo TCVN 9901 : 2014.
7.1.6 Thiết kế đường giao thông phục vụ thi công, lắp đặt công trình tuân thủ quy định có liên quan nêu trong TCVN 9162:2012.
7.1.7 Thiết kế xử lý nền công trình thực hiện theo điều 8. Tính toán ổn định tổng thể công trình và bộ phận công trình tuân thủ quy định sau:
a) Ổn định của nền theo biến dạng: Thực hiện theo TCVN 4253 : 2012;
b) Ổn định của nền và công trình theo sức chịu tải, bao gồm ổn định tổng thể, ổn định nội bộ lớp gia cố và ổn định lớp gia cố khi có sử dụng geotextile: Thực hiện theo điều 6.8 của TCVN 11736 : 2017.
7.2 Tải trọng và tổ hợp tải trọng tác động
Tuân thủ các quy định nêu tại 6.2 của TCVN 11736 : 2017.
7.3 Công trình mỏ hàn
7.3.1 Cao trình đỉnh
Cao trình đỉnh của mũi mỏ hàn được xác định theo công thức (3):
| Zđ = Ztb + a | (3) |
trong đó:
Zđ là cao trình đỉnh mũi mỏ hàn thiết kế, m;
Ztb là cao trình mực nước biển trung bình, m;
a là trị số gia tăng độ cao an toàn, phụ thuộc vào cấp công trình mỏ hàn, lấy theo bảng 6 của TCVN 9901 : 2014.
CHÚ THÍCH:
a) Độ dốc dọc của đỉnh mỏ hàn (từ gốc mỏ hàn đến mũi mỏ hàn) lấy bằng độ dốc trung bình của mặt bãi biển;
b) Chiều cao mỏ hàn càng cao thì khả năng gây bồi càng lớn nhưng tác động do sóng phản xạ cũng vì thế mà mạnh hơn và khả năng gây xối chân mỏ hàn cũng nhiều hơn;
c) Cao trình đỉnh của công trình mỏ hàn cấp IV và cấp V: khi xây dựng trên bãi cát chỉ nên cao hơn mặt bãi từ 0,5 m đến 1,0 m, khi xây dựng trên bãi sỏi có thể tăng chiều cao hơn so với bãi cát từ 0,3 m đến 0,5 m.
7.3.2 Lựa chọn sơ đồ bố trí vật liệu trên mặt cắt ngang
7.3.2.1 Hình 5 giới thiệu một sơ đồ cấu tạo mặt cắt ngang hoàn chỉnh của công trình mỏ hàn[7] xây dựng tại các vùng nước sâu. Những công trình mỏ hàn xây dựng tại những vùng biển nước nông, sóng không lớn hoặc với công trình cấp IV hoặc V có thể nghiên cứu áp dụng sơ đồ mặt cắt ngang kiểu đơn giản nêu tại hình 6.

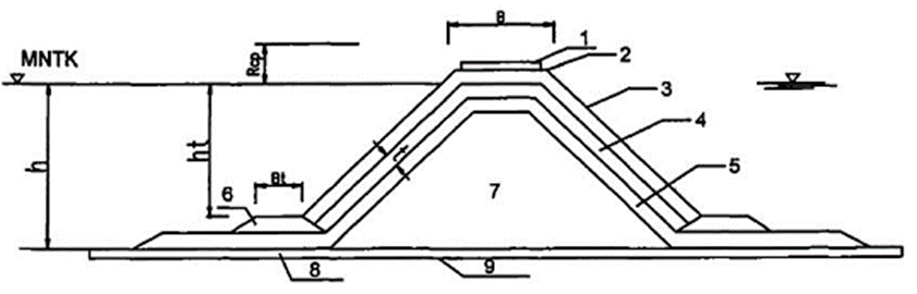
CHÚ DẪN:
| 1 Mũ mỏ hàn (hoặc tường đỉnh); 2 Đỉnh mỏ hàn; 3 Lớp phủ mái nghiêng; 4 Lớp đệm 1 (lớp giữa 1); 5 Lớp đệm 2 (lớp giữa 2); | 6 Chân (lăng trụ); 7 Lớp lỗi; 8 Lớp dưới; 9 Lớp lót nền; h Độ sâu nước biển tại chân mỏ hàn; | ht Độ sâu nước biển tại đỉnh lăng trụ; Rcp Độ cao lưu không thiết kế; t Bề dầy lớp đệm; B Bề rộng đỉnh mỏ hàn; Bt Bề rộng đỉnh lăng trụ. |
Hình 5 - Sơ đồ cấu tạo mặt cắt ngang hoàn chỉnh của mỏ hàn kiểu đê mái nghiêng
7.3.2.2 Bố trí vật liệu trên mặt cắt ngang của mỏ hàn tuân thủ các nguyên tắc sau đây:
- Vật liệu có kích thước tăng dần từ trong ra ngoài;
- Phần lõi đắp bằng đá cấp phối hoặc bao tải cát;
- Các lớp đệm sử dụng đá cấp phối;
- Bề mặt tiếp xúc trực tiếp với sóng và nước biển sử dụng loại kết cấu bảo vệ có hình dạng, kích thước và khối lượng phù hợp.

a) Có đủ 3 lớp vật liệu (lớp lõi, lớp lót và lớp bảo vệ mái)

b) Có lớp lõi là đá đổ (khối gia cố đáy, khối thân và lớp bảo vệ mái)
Hình 6 - Sơ đồ cấu tạo mặt cắt ngang mỏ hàn kiểu đơn giản
7.3.2.3 Ngoài sơ đồ cấu tạo mặt cắt ngang nêu ở hình 5 và hình 6 có thể nghiên cứu vận dụng một trong các dạng mặt cắt ngang của công trình ngăn cát giảm sóng kiểu đê mái nghiêng nêu trong hình 8 để làm mặt cắt ngang của mỏ hàn.
7.3.2.4 Tùy thuộc vào các đặc trưng sóng và hướng sóng, đặc điểm dòng chảy ven bờ, yêu cầu làm giảm chiều cao sóng, giảm năng lượng sóng hoặc yêu cầu ngăn giữ bùn cát bảo vệ đường bờ biển mà nghiên cứu lựa chọn loại kết cấu, vật liệu khối phủ bảo vệ mặt ngoài và phương án bố trí kết cấu phù hợp. Thông thường kết cấu bảo vệ mái mỏ hàn là các khối dị hình hoặc khối bê tông đúc sẵn. Khối lượng ổn định của các khối này dưới tác động của sóng biển và vận tốc dòng chảy ven bờ phụ thuộc vào kết quả tính toán quy định trong tiêu chuẩn này nhưng không được nhỏ hơn trị số quy định trong bảng 5 của TCVN 11736 : 2017.
7.3.3 Xác định kích thước của khối phủ
7.3.3.1 Khối lượng ổn định khối phủ[8] được xác định theo công thức (1) của TCVN 11736 : 2017. Tuy nhiên giá trị chiều cao sóng thiết kế Hsp trong công thức (1) nói trên được thay bằng chiều cao sóng tính toán Hs. Trị số Hs được xác định như sau:
- Đối với sóng không vỡ: Hs lấy bằng chiều cao sóng tương ứng với tần suất 10 %;
- Đối với sóng vỡ: Hs lấy bằng trị số lớn nhất trong số kết quả tính toán chiều cao sóng tương ứng với tần suất thiết kế Hsp và chiều cao sóng vỡ Hsb.
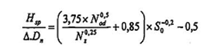
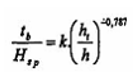
7.3.3.2 Khi lựa chọn khối phủ loại tetrapod để bảo vệ mái mỏ hàn thì áp dụng công thức (4) để tính toán xác định đường kính danh nghĩa của cấu kiện đảm bảo điều kiện ổn định trên mái nghiêng:
|
| (4) |
trong đó:
Hsp là chiều cao sóng thiết kế trước chân công trình, m;
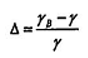
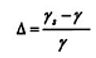
Δ là tỷ trọng tương đối của vật liệu làm khối phủ, xác định theo công thức (5):
|
| (5) |
Nz là số con sóng trong bão tác động tới chân công trình: Nz > 7 000;
Dn là đường kính danh nghĩa của cấu kiện khối phủ, m;
Nod là số cấu kiện bị dịch chuyển trong phạm vi Dn;
S0 là độ dốc của sóng;
γB là khối lượng riêng của vật liệu khối phủ, t/m3;
γ là khối lượng riêng của nước biển, lấy γ = 1,025 t/m3.
CHÚ THÍCH:
1) Các đại lượng Hsp và S0 xác định theo Phụ lục C và phụ lục E của TCVN 9901 : 2014;
2) Số con sóng Nz được xác định trong khoảng thời gian từ 4 h đến 6 h. Trị số Nz ảnh hưởng đến chỉ số ổn định của công trình, ký hiệu là N, như sau:
- Khi Nz thay đổi từ 1 000 đến 7 000 thì trị số Ns tăng tuyến tính theo Nz;
- Khi Nz ≥ 7 000 thì Ns không thay đổi;
3) Khi tính toán xác định kích thước khối phủ, tùy từng trường hợp cụ thể như vị trí xây dựng, điều kiện địa hình và mức độ quan trọng của công trình để lựa chọn trị số Nz cho phù hợp. Trường hợp cần tăng thêm mức độ an toàn và ổn định của công trình, có thể lấy Nz theo thời gian xảy ra bão tương ứng với cấp thiết kế.
7.3.3.3 Số lượng cấu kiện Nod có khả năng bị dịch chuyển trong phạm vi Dn phụ thuộc vào độ dốc mái nghiêng của khối phủ (hệ số m), loại cấu kiện được sử dụng và số lớp cấu kiện bố trí trên mái dốc, đặc điểm của sóng đến chân công trình. Khi sử dụng khối accropode, khối coreloc, khối tetrapod, khối lập phương để bảo vệ mái nghiêng, có thể lấy trị số Nod và các thông số khác nêu trong bảng 1 để tính toán thiết kế.
Bảng 1 - Thông số thiết kế kết cấu lớp phủ trên mái nghiêng của mỏ hàn sử dụng cho một số loại cấu kiện
| Thông số thiết kế | Loại cấu kiện[9] | ||||
| Khối accropode | Khối coreloc | Khối tetrapod | Khối lập phương | ||
| Số lớp cấu kiện n | 1 | 1 | 2 | 2 | 1 |
| Hệ số mái dốc m | 1,33 | 1,33 | 1,50 | 1,50 | 1,50 |
| Nod | 0,0 | 0,0 | 0,5 | 0,5 | 0,0 |
| Hệ số xếp lớp vật liệu Kt | 1,30 | 1,52 | 1,04 | 1,17 | 1,00 |
7.3.3.4 Chiều dày tối thiểu của lớp phủ mái nghiêng xác định theo công thức (6):
| t = n x Kt x Dn | (6) |
trong đó:
t là chiều dày lớp phủ, m;
n là số lớp cấu kiện trong lớp phủ;
Dn là đường kính danh nghĩa của cấu kiện khối phủ, m;
Kt là hệ số xếp lớp vật liệu. Kt phụ thuộc vào loại cấu kiện và phương pháp thi công lắp đặt cấu kiện được sử dụng làm khối phủ. Bảng 1 và bảng 2 giới thiệu hệ số Kt của một số loại kết cấu khối phủ thông dụng.
7.3.3.5 Số lượng cấu kiện cần thiết để bố trí đủ trên mái nghiêng đáp ứng yêu cầu ổn định, ký hiệu là Na, được xác định theo công thức (7):
|
| (7) |
trong đó:
nv là độ rỗng của vật liệu phủ mái nghiêng;
A là diện tích của mái nghiêng cần che phủ, m2;
Các ký hiệu khác đã giải thích tại 7.3.3.3.
Bảng 2 - Hệ số xếp lớp vật liệu Kt của một số loại kết cấu khối phủ
| Loại cấu kiện làm khối phủ | Số lớp n | Phương pháp đắp (xếp) cấu kiện | Kt | Độ rỗng nv |
| 1. Đá hộc thả rối: |
|
|
|
|
| Viên đá trơn | 2 | Thả trực tiếp xuống mái | 1,02 | 0,38 |
| Viên đá tròn cạnh | 1 | Thả trực tiếp xuống mái | 0,80 | 0,36 |
| Viên đá hơi tròn cạnh | 1 | Thả trực tiếp xuống mái | 0,75 | 0,37 |
| Viên đá thô | 2 | Thả trực tiếp xuống mái | 1,00 | 0,37 |
| Viên đá thô | > 3 | Thả trực tiếp xuống mái | 1,00 | 0,40 |
| Viên đá không đều cạnh | 1 | Thả trực tiếp xuống mái | 0,75 | 0,40 |
| Đá cấp phối | 1 | Thả trực tiếp xuống mái | - | 0,37 |
| 2. Đá hộc lát khan: |
|
|
|
|
| Viên đá tròn cạnh | 1 | xếp cẩn thận trên mái | Từ 1,05 đến 1,20 | 0,35 |
| Viên đá hơi tròn cạnh | 1 | Xếp cẩn thận trên mái | Từ 1,10 đến 1,25 | 0,36 |
| Viên đá không đều cạnh | 1 | xếp cẩn thận trên mái | Từ 1,05 đến 1,20 | 0,39 |
| 3. Bê tông khối đúc sẵn: |
|
|
|
|
| Khối lập phương | 2 | Thả trực tiếp xuống mái | 1,10 | 0,47 |
| 4. Khối dị hình: |
|
|
|
|
| Khối tetrapod | 2 | Thả trực tiếp xuống mái | 1,04 | 0,50 |
| Khối dolos | 2 | Thả trực tiếp xuống mái | 0,94 | 0,56 |
| Khối akmon | 2 | Thả trực tiếp xuống mái | 0,94 | 0,50 |
| Khối accropode | 1 | Xếp cẩn thận trên mái | 1,30 | 0,52 |
| CHÚ THÍCH: 1) Loại cấu kiện làm khối phủ : xem 4.1 của TCVN 11736 : 2017; 2) Số liệu ghi trong bảng 2 áp dụng cho các mái dốc có hệ số m thay đổi từ 1,5 đến 5,0; 3) Xếp cẩn thận trên mái : các viên đá hộc được xếp sao cho trục dài của nó vuông góc với bề mặt của mái dốc còn các khối dị hình được xếp cẩn thận theo một quy luật chung trên mái. | ||||
7.3.4 Bề rộng đỉnh mỏ hàn
7.3.4.1 Chiều rộng đỉnh mỏ hàn (B) phải thỏa mãn các điều kiện sau đây:
a) Theo điều kiện thi công: Đỉnh mỏ hàn phải đủ rộng cho các phương tiện phục vụ thi công hoạt động bình thường. Trường hợp dùng các phương tiện nổi để thi công lắp đặt thì chiều rộng đỉnh không cần xét đến điều kiện thi công;
b) Theo điều kiện quản lý khai thác: Đỉnh mỏ hàn phải đủ rộng cho các phương tiện cơ giới vận chuyển thiết bị, vật tư phục vụ công tác duy tu bảo dưỡng công trình;
c) Theo điều kiện ổn định do sống tràn: Bề rộng không nhỏ hơn ba lần bề rộng của khối phủ:
Căn cứ vào điều kiện cụ thể của từng công trình, sơ đồ cấu tạo các bộ phận của mỏ hàn nêu tại hình 2 và ba điều kiện nêu trên để lựa chọn bề rộng đỉnh cho phù hợp với từng bộ phận tạo thành mỏ hàn.
7.3.4.2 Riêng đoạn đầu mỏ hàn (hay mũi mỏ hàn) được thiết kế có hình dạng đảm bảo lái dòng chảy theo yêu cầu và ổn định trước tác động của sóng biển. Chiều dài và chiều rộng của đỉnh lấy theo quy định sau:
Bề rộng đỉnh đoạn mũi lấy từ 1,5 lần đến 2,0 lần bề rộng đỉnh đoạn thân mỏ hàn;
Chiều dài đỉnh đoạn mũi lấy từ 2,0 lần đến 2,5 lần bề rộng đỉnh đoạn mũi mỏ hàn.
7.3.5 Thiết kế lớp dưới (lớp lót nền)
Lớp lót nền giúp phân bố tải trọng tác động lên nền được đồng đều hơn. Khi áp dụng sơ đồ cấu tạo mặt cắt ngang mỏ hàn hoàn chỉnh theo hình 5 nên sử dụng tối thiểu 2 lớp đá hộc trơn có khối lượng bằng 1/10 khối lượng của cấu kiện phủ mái nghiêng để làm lớp dưới. Khối lượng viên đá dùng làm lớp đệm đáy (lớp đá tiếp xúc trực tiếp với nền) lấy bằng 1/15 đến 1/20 lần khối lượng viên đá ở lớp lõi.
7.3.6 Thiết kế lớp giữa
Đá hộc bố trí ở lớp giữa phải đảm bảo không bị trôi ra ngoài lớp phủ. Bề dày của lớp giữa xác định theo công thức (6). Đường kính trung bình của các viên đá bố trí ở lớp giữa xác định theo công thức (9). Trong tính toán thiết kế sơ bộ có thể sử dụng số liệu trong bảng 3 để xác định đường kính trung bình của các viên đá khi đã biết khối lượng của các viên đá.
|
| (9) |
trong đó:
D50 là đường kính trung bình của các viên đá bố trí ở lớp giữa[10], m;
W là khối lượng trung bình của các viên đá làm lớp giữa, t;
γb là khối lượng riêng của đá: γd = 2,65 t/m3.
Bảng 3 - Quan hệ giữa khối lượng và đường kính trung bình của viên đá
| Khối lượng, t | 0,01 ÷ 0,06 | 0,06 ÷ 0,20 | 0,20 ÷ 1,00 | 1,00 ÷ 3,00 | 3,00 ÷ 6,00 | 6,00 ÷ 10,0 |
| Đường kính, m | 0,16 ÷ 0,30 | 0,30 ÷ 0,49 | 0,49 ÷ 0,72 | 0,72 ÷ 1,04 | 1,04 ÷ 1,31 | 1,31 ÷ 1,55 |
7.3.7 Thiết kế lớp lõi
7.3.7.1 Lớp lõi có chức năng như bộ khung của công trình. Vật liệu dùng cho lớp lõi thường là đá hộc thả rối có cấp phối rộng hoặc bao tải cát. Khi sử dụng đá hộc làm lớp lõi, đường kính trung bình của viên đá (D50) làm lớp lõi cũng được xác định theo công thức (9), trong đó W là khối lượng trung bình của các viên đá làm lớp lõi và W lấy bằng 1/200 khối lượng của cấu kiện làm khối phủ.
7.3.7.2 Khi sử dụng các bao tải cát để làm lớp lõi, khối lượng trung bình của mỗi bao tải cát không được nhỏ hơn khối lượng trung bình của viên đá hộc theo tính toán. Vật liệu chế tạo bao tải để đựng cát và dây buộc để đóng gói cát trong bao phải có tính năng bền vững dưới tác động phá hoại của môi trường biển và các yếu tố phá hoại khác. Nếu sử dụng vải địa kỹ thuật để chế tạo các bao tải đựng cát phải tuân thủ các quy định nêu tại 5.4.
7.3.8 Thiết kế kết cấu bảo vệ chân mỏ hàn
7.3.8.1 Kết cấu bảo vệ chân mỏ hàn (còn gọi là bệ đỡ) thường là khối lăng trụ bằng đá đổ, xem hình 5. Đường kính của viên đá làm kết cấu bảo vệ xác định theo công thức (10):
|
| (10) |
trong đó:
Hsp là chiều cao sóng thiết kế trước chân công trình, m;
Δ là tỷ trọng tương đối của đá (hoặc bê tông) làm chân mỏ hàn, xác định theo công thức (5);
Nod là số cấu kiện bị dịch chuyển trong phạm vi đường kính danh nghĩa. Lấy Nod = 1;
ht là chiều sâu ngập tính từ mực nước biển dùng để tính toán thiết kế (xem sơ đồ hình 5) đến đỉnh của khối lăng trụ, m. Chọn ht sao cho thỏa mãn điều kiện: 0,4 <
< 0,9;
h là chiều sâu ngập tính từ mực nước biển dùng để tính toán thiết kế đến đáy biển tại vị trí chân mỏ hàn, m.
7.3.8.2 Khối lượng viên đá (ký hiệu là Wcd, đơn vị là t) làm kết cấu bảo vệ chân mỏ hàn xác định theo công thức (11) còn bề rộng đỉnh lăng trụ (ký hiệu là Bcd, đơn vị là m) xác định theo công thức (12):
|
| (11) |
|
| (12) |
CHÚ THÍCH:
1) Chỉ số cd trong các công thức ở 7.3.8 biểu thị vị trí “chân mỏ hàn”;
2) Các ký hiệu khác trong công thức nêu ở điều này đã giải thích ở các điều trước.
7.3.9 Bố trí và thiết kế hệ thống mỏ hàn trong vùng chuyển tiếp với đường bờ
7.3.9.1 Chiều dài vùng chuyển tiếp Lct phụ thuộc vào chiều dài của mỏ hàn (Ln) trong hệ thống nhiều mỏ hàn. Hình 7 giới thiệu sơ đồ bố trí các mỏ hàn ở vùng chuyển tiếp với đường bờ. Tùy thuộc vào điều kiện cụ thể về địa hình, địa chất của vùng chuyển tiếp mà lựa chọn số mỏ hàn trong vùng chuyển tiếp cho phù hợp. Khoảng cách giữa các mỏ hàn trong vùng chuyển tiếp không lớn hơn khoảng cách giữa các mỏ hàn trong hệ thống.

CHÚ DẪN:
Sn Khoảng cách giữa các mỏ hàn;
Ln Chiều dài mỏ hàn;
Si Khoảng cách từ mỏ hàn thứ i trong vùng chuyển tiếp đến mỏ hàn Ln đầu tiên;
Li Chiều dài của mỏ hàn thứ i trong vùng chuyển tiếp.
Hình 7 - Sơ đồ bố trí hệ thống mỏ hàn
Chiều dài đoạn bờ biển nằm trong vùng chuyển tiếp, ký hiệu là Lct, m, được xác định theo công thức (13);
|
| (13) |
trong đó:
Ln là chiều dài của mỏ hàn trong hệ thống mỏ hàn, m;
α là góc tạo bởi đường thẳng đi qua mũi của các mỏ hàn nằm trong vùng chuyển tiếp với đường bờ. Thông thường α = 6°.
7.3.9.3 Căn cứ vào đặc điểm địa hình của khu vực bờ biển, bãi biển và quy hoạch đường bờ mới cho đoạn bờ cần bảo vệ để lựa chọn số lượng và địa điểm bố trí các mỏ hàn nằm trong vùng chuyển tiếp phù hợp. Chiều dài của mỏ hàn thứ i, ký hiệu là Li, m, được xác định theo công thức (14):
|
| (14) |
Trong đó Si là khoảng cách từ mỏ hàn thứ i đến mỏ hàn đầu tiên trong hệ thống các mỏ hàn, m.
7.3.9.4 Áp dụng các quy định từ 7.3.1 đến 7.3.8 để tính toán thiết kế các mỏ hàn bố trí trong vùng chuyển tiếp.
7.4 Công trình giảm sóng
7.4.1 Quy định chung
7.4.1.1 Khoảng cách từ tim tuyến công trình (với tuyến thẳng) hoặc từ dây cung (với tuyến cong) đến bờ biển, khoảng cách giữa các công trình, chiều dài và chiều cao của từng công trình phải tuân thủ các quy định có liên quan nêu tại 6.2.
7.4.1.2 Khi lựa chọn phương án công trình kiểu ngầm (cao trình đỉnh thấp hơn mực nước tính toán thiết kế), khoảng cách giữa các công trình (tính từ mép ngoài cùng của hai đầu công trình kế tiếp nhau) nên lấy trong phạm vi từ chiều dài sóng thiết kế đến 80 % chiều dài của một công trình giảm sóng:
| Ls ≤ G ≤ 0,8 x Ld | (15) |
trong đó:
G là khoảng cách giữa các công trình, m;
Ls là chiều dài bước sóng thiết kế, m;
Ld là chiều dài của một công trình, m.
CHÚ THÍCH: Có thể tham khảo phụ lục D để tính toán xác định kích thước mặt cắt ngang và cao trình đỉnh công trình ngầm giảm sóng vừa thỏa mãn điều kiện kinh tế (có diện tích mặt cắt ngang đê là nhỏ nhất), vừa đảm bảo yêu cầu kỹ thuật (đạt được hiệu quả giảm sóng theo yêu cầu).
7.4.2 Chọn loại kết cấu công trình
Căn cứ vào các đặc điểm về điều kiện tự nhiên của khu vực cần bảo vệ như đặc điểm địa hình và địa chất, đặc điểm của dòng hải lưu, đặc điểm của sóng, độ sâu nước biển, chiều dài đoạn bờ biển cần bảo vệ và yêu cầu bảo vệ mà lựa chọn áp dụng loại kết cấu công trình nêu tại 4.1 cho phù hợp.
7.4.3 Cao trình đỉnh
Cao trình đỉnh (Zđ) của công trình giảm sóng phụ thuộc vào yêu cầu giảm sóng, điều kiện địa hình và độ sâu nước khu vực xây dựng, xác định như sau:
a) Công trình nhỏ : Zđ = Ztkp + 0,5HSp + HL (16)
b) Công trình ngầm: Zđ = Ztkp - 0,5HSp + HL (17)
trong đó:
Ztkp là cao trình mực nước biển thiết kế tại khu vực xây dựng công trình, m;
HSp là chiều cao sóng thiết kế ở khu vực xây dựng công trình, m. HSp xác định theo phụ lục E;
HL là chiều sâu lún của công trình trong thời gian khai thác, m.
CHÚ THÍCH: Nên thiết kế công trình giảm sóng kiểu ngầm có cao trình đỉnh thấp hơn mực nước thiết kế 0,5 m.
7.4.4 Chiều cao sóng biển phía sau công trình
Chiều cao của sóng biển ở khu vực phía sau công trình giảm sóng, ký hiệu là Ht, m, được xác định theo công thức (18);
| Ht = Ktr x Hsp | (18) |
trong đó:
Hsp là chiều cao sóng biển ở phía trước công trình, m;
Ktr là hệ số truyền sóng. Ktr phụ thuộc vào khoảng cách từ đỉnh công trình tới mực nước biển thiết kế và chiều cao sóng biển ở phía trước công trình, xác định theo bảng 4:
Bảng 4 - Hệ số truyền sóng Ktr
|
| Ktr |
| Từ - 2,00 đến -1,13 | 0,80 |
| Từ -1,13 đến 1,20 | Từ 0,46 đến 0,30 |
| Từ 1,20 đến 2,00 | 0,10 |
| CHÚ THÍCH: hc là khoảng cách từ đỉnh công trình tới mực nước biển thiết kế; hc lấy giá trị âm (-) khi đỉnh công trình ngập dưới mực nước biển thiết kế, lấy giá trị dương (+) khi đỉnh công trình cao hơn mực nước biển thiết kế; | |
7.4.5 Công trình giảm sóng kiểu đê mái nghiêng
7.4.5.1 Lựa chọn hình dạng mặt cắt ngang công trình
Tùy theo điều kiện thực tế về địa hình, địa chất khu vực dự kiến xây dựng, kết quả tính toán các chỉ tiêu về kinh tế và kỹ thuật mà lựa chọn hình dạng mặt cắt ngang công trình giảm sóng kiểu đê mái nghiêng phù hợp. Hình 8 giới thiệu một số hình dạng mặt cắt ngang thông dụng:
a) Toàn bộ phần lõi là đá đổ hỗn hợp không phân loại, không có cơ, mặt ngoài được bọc một lớp đá hộc lớn xếp khan hoặc các khối bê tông để bảo vệ mái, xem hình a;
b) Toàn bộ phần lõi là đá đổ (đá đắp) có bố trí bậc cơ. Bảo vệ mái phía trên và phía dưới bậc cơ là đá hộc lát khan hoặc đá xây, xem hình b;
c) Đắp đá trên toàn bộ phần dưới để làm lớp đệm cho các khối bê tông ở phần trên. Dùng các khối bê tông hình hộp chất trực tiếp trên đệm đá đổ hình thành thân công trình, xem hình c;
d) Toàn bộ phần lõi là đá đắp. Bảo vệ mái bằng đá xây hoặc các khối bê tông. Trên đỉnh công trình đặt khối bê tông dạng tường góc (tường đỉnh), xem hình d.
CHÚ THÍCH: Tùy từng trường hợp cụ thể của công trình có thể nghiên cứu vận dụng dụng các sơ đồ cấu tạo mặt cắt ngang mỏ hàn nêu trong hình 5 và hình 6 để tính toán thiết kế các công trình giảm sóng kiểu đê mái nghiêng.

a)

b)

c)

d)
Hình 8 - Một số dạng mặt cắt ngang điển hình của công trình giảm sóng kiểu đê mái nghiêng
7.4.5.2 Lựa chọn bề rộng đỉnh công trình
7.4.5.2.1 Thông thường bề rộng đỉnh công trình lấy từ 1,10 đến 1,25 lần chiều cao sóng thiết kế và phải có khả năng xếp cẩn thận ít nhất hai hàng cấu kiện song song trên bề mặt. Các trường hợp sau đây cần đặc biệt chú ý khi xác định bề rộng đỉnh công trình:
a) Trường hợp công trình xây dựng bằng vật liệu là đá đổ thì bề rộng mặt đỉnh phải lớn hơn độ sâu nước tại vị trí xây dựng công trình;
b) Khi muốn tăng độ cao đỉnh mà không cần mở rộng thân công trình, có thể thiết kế thêm khối tường đỉnh. Yêu cầu kỹ thuật của tường đỉnh như sau:
- Cao trình đỉnh tường không thấp hơn so với mực nước cao thiết kế một lần chiều cao sóng thiết kế. Nếu không có yêu cầu cao về chắn sóng thì có thể đặt thấp hơn;
- Nếu mái phía biển phủ đá hộc hoặc bê tông khối hình chữ nhật thì đỉnh của mái dốc cao hơn mực nước thiết kế từ 0,6 lần đến 0,7 lần chiều cao sóng thiết kế. Chân tường đỉnh cách mép lõi đá mái nghiêng tối thiểu là 1,0 m. Phần giữa mép lỗi đá và chân tường đỉnh gọi là vai phải đủ rộng để lắp đặt được ít nhất một hàng khối phủ;
- Nếu mái phía biển được phủ một lớp tetrapod, dolos, rakuna-iv hoặc cấu kiện có tính năng tương tự thì cao trình đỉnh mái không được thấp hơn cao trình đỉnh tường. Vai phải đủ rộng để xếp được ít nhất 2 hàng, 2 lớp khối phủ, xem hình 9.
CHÚ THÍCH: Đối với loại công trình có dạng mặt cắt ngang là khối đổ bê tông trên đệm đá (hình 8, c), chiều rộng thân công trình tại mực nước dùng để thiết kế không được nhỏ hơn 3 lần chiều cao sóng thiết kế.

Hình 9 - Sơ đồ cấu tạo vai và tường đỉnh
7.4.5.2.2 Đối với công trình có tường đỉnh, bề rộng của đỉnh đê (B) xác định theo công thức (19):
B = Gt + Btd + Bc (19)
trong đó:
Btd là bề rộng khối tường đỉnh, m;
Bc là bề rộng phần đỉnh đập phía sau tường đỉnh (phía bờ), m. Lấy Bc = Dn;
Gt là bề rộng thềm phía trước tường đỉnh (phía biển), m.
7.4.5.3 Hệ số mái dốc
Hệ số mái dốc của công trình giảm sóng mái nghiêng, ký hiệu là m, được xác định thông qua kết quả tính toán ổn định kết cấu bảo vệ quy định tại 6.8 của TCVN 11736 : 2017.
Đối với các loại kết cấu bảo vệ là khối thông dụng, khi tính toán thiết kế sơ bộ có thể lựa chọn hệ số mái dốc như sau:
- Đối với kết cấu đá hộc: m lấy từ 2,0 đến 3,0;
- Đối với các loại kết cấu là khối bê tông đúc sẵn thông dụng có thể lắp đặt trên mái dốc: m lấy từ 1,5 đến 2,0.
CHÚ THÍCH: Đối với các loại kết cấu bảo vệ là khối dị hình, trong mọi trường hợp, hệ số mái dốc m được lựa chọn theo kết quả tính toán ổn định kết cấu bảo vệ, hoặc tuân thủ theo chỉ dẫn của nhà sáng chế.
7.4.5.4 Cơ
Công trình có chiều cao trên 5,0 m nên làm thêm cơ ở cả hai phía. Vị trí cơ và bề rộng của cơ đáp ứng các yêu cầu sau đây:
a) Theo yêu cầu thi công xây dựng: vị trí cơ phù hợp với điều kiện thi công công trình. Bề rộng cơ phụ thuộc vào loại phương tiện cơ giới sử dụng để vận chuyển và thi công nhưng không nhỏ hơn 2,0 m;
b) Đối với vùng nước sâu, vị trí cơ nên đặt ở cao độ thấp hơn mực nước biển dùng để thiết kế (gọi tắt là mực nước thiết kế) một khoảng cách bằng 50 % chiều cao sóng thiết kế. Mặt cơ phải đủ rộng để có thể xếp được ít nhất 3 hàng cấu kiện bảo vệ (kể cả cấu kiện phá sóng);
c) Nếu sử dụng cơ để giảm thiểu sóng leo (trường hợp đỉnh công trình nhô cao hơn mực nước thiết kế, vị trí cơ nên đặt ở mực nước biển thiết kế và bề rộng của cơ lấy trong khoảng từ 0,5 lần đến 2,0 lần chiều cao sóng thiết kế.
7.4.5.5 Kết cấu bảo vệ mái nghiêng
7.4.5.5.1 Lựa chọn, tính toán thiết kế kết cấu bảo vệ mái nghiêng phải tuân thủ các quy định có liên quan nêu trong TCVN 11736 : 2017 và các quy định sau đây:
a) Không nên sử dụng nhiều loại kết cấu bảo vệ trên cùng một mái nghiêng của công trình. Khối lượng của một khối kết cấu phụ thuộc vào kết quả tính toán quy định tại 7.3.3 nhưng không nhỏ hơn 1,0 t (riêng các khối dolos và accropode không nhỏ hơn 2,0 t);
b) Vùng biển có chiều cao sóng thiết kế lớn hơn 4,0 m không sử dụng kết cấu bảo vệ là khối lập phương và khối hộp (hình chữ nhật);
c) Đối với công trình có hệ số mái dốc m > 2,0 (góc α < 22,5°), khối lượng ổn định của một cấu kiện bảo vệ bố trí trên mái nghiêng được tính theo công thức (1) trong TCVN 11736 : 2017;
d) Trường hợp công trình bố trí ở vùng nước sâu, cao trình bề mặt cơ thấp hơn mực nước biển thiết kế một khoảng cách bằng chiều cao sóng thiết kế, khối lượng của kết cấu bảo vệ mặt dốc dưới cơ không nhỏ hơn 50 % khối lượng của kết cấu bảo vệ phần phía trên cơ;
e) Khối lượng của kết cấu bảo vệ bố trí ở khối đỉnh tương tự khối mái dốc chịu tác động trực tiếp của sóng biển. Khi độ cao đỉnh thấp hơn cao độ thiết kế một trị số bằng 0,2 lần giá trị chiều cao sóng thiết kế, khối lượng kết cấu bảo vệ khối đỉnh có thể giảm nhỏ nhưng không nhỏ hơn 1,5 lần khối lượng kết cấu bảo vệ mái dốc.
CHÚ THÍCH:
1) Vùng biển có sóng đều với chu kỳ sóng lớn hơn 10 s hoặc tỷ lệ giữa chiều cao sóng thiết kế với chiều dài sóng nhỏ hơn 1/30, khối lượng của khối bảo vệ cần được xác định thông qua mô hình thử nghiệm;
2) Khối lượng của kết cấu bảo vệ đoạn đầu công trình tính theo công thức (1) của TCVN 11736 : 2017 nhưng cần tăng thêm từ 20 % đến 30 %;
3) Khối lượng của kết cấu bảo vệ mặt phía trong (phía bờ) có thể tính toán theo đặc điểm sóng biển ở phía bên trong công trình giảm sóng. Chiều cao sóng phía bên trong công trình xác định theo 7.4.4. Trong thiết kế sơ bộ có thể lấy khối lượng của kết cấu bảo vệ bố trí ở mặt phía trong tương đương với bố trí ở mặt ngoài;
4) Khi hướng sóng tác động không thẳng góc với tim tuyến công trình, hệ số ổn định KD của một số loại cấu kiện bảo vệ gồm khối lập phương rỗng và khối accropode có thể xác định theo Phụ lục A;
5) Có thể tham khảo phụ lục B để sơ bộ xác định khối lượng ổn định của một số loại cấu kiện đang được sử dụng làm khối phủ bảo vệ.
7.4.5.5.2 Khi lựa chọn kết cấu bảo vệ chân mái nghiêng bằng đá cần tuân thủ các quy định sau đây:
a) Đường kính và khối lượng của viên đá làm kết cấu bảo vệ phải tuân thủ các quy định tại 7.3.8;
b) Chiều dày của lớp kết cấu bảo vệ chân công trình bằng đá xây hoặc đá lát khan được xác định theo công thức (20):
|
| (20) |
trong đó:
a là chiều dày lớp bảo vệ, m;
γ và γB lần lượt là khối lượng riêng của nước biển và khối lượng riêng của đá bảo vệ, t/m3;
m là hệ số mái dốc;
Hsp là chiều cao sóng tương ứng với tần suất thiết kế p, m;
Kmd là hệ số phụ thuộc vào hệ số mái dốc m và tỷ số h/Hsp, xác định theo bảng 5;
Kδ hệ số độ dốc sóng phụ thuộc vào tỷ số giữa chiều dài sóng thiết kế với chiều cao sóng, xác định theo bảng 6;
c) Trường hợp tỷ số h/Hsp nằm trong khoảng từ 1,7 đến 3,3 và tỷ số Ls/Hsp từ 12,0 đến 25,0 thì chiều dày của lớp kết cấu bảo vệ bằng đá xây hoặc đá lát khan có thể tính theo công thức (21)[11]:
|
| (21) |
trong đó:
A là hệ số phụ thuộc vào vị trí của kết cấu trên khối bệ đỡ, lấy theo quy định sau:
- Nằm trên mái nghiêng : A = 1,20;
- Nằm ở đáy (chân) : A = 0,85;
h là chiều sâu ngập tính từ mực nước biển thiết kế đến mặt đất tự nhiên của thềm biển tại vị trí chân công trình, m;
Các ký hiệu khác đã giải thích trong công thức (20);
d) Nếu lớp phủ bảo vệ mái là đá hộc thả rối thì các viên đá phải có khối lượng từ 300 kg đến 800 kg. Tỷ lệ đá cuội và đá hộc cỡ nhỏ trong thành phần cấp phối của lớp phủ bảo vệ không được quá 10 % khối lượng lớp phủ.
Bảng 5 - Hệ số Kmd
| Tỷ số h/Hsp | Hệ số mái dốc m | ||
| 1,5 | 2,0 | 3,0 | |
| 1,5 | 0,311 | 0,238 | 0,130 |
| 2,0 | 0,258 | 0,180 | 0,087 |
| 2,5 | 0,242 | 0,164 | 0,076 |
| 3,0 | 0,235 | 0,156 | 0,070 |
| 3,5 | 0,229 | 0,151 | 0,067 |
| 4,0 | 0,226 | 0,147 | 0,065 |
Bảng 6 - Hệ số độ dốc sóng Ks
| Ls/Hsp | 10 | 15 | 20 | 25 |
| Kδ | 0,081 | 0,122 | 0,162 | 0,202 |
7.4.5.5.3 Có thể sử dụng các tấm bê tông cốt thép đúc sẵn hình chữ nhật (hoặc các vật liệu bền vững khác có hình dạng và tính năng tương tự) có gờ phá sóng để làm kết cấu bảo vệ mái nghiêng của công trình chắn sóng (gọi chung là tấm kết cấu). Sơ đồ cấu tạo và kích thước cơ bản của một tấm kết cấu bê tông cốt thép đúc sẵn nói trên được mô tả trong hình 10. Kết cấu bảo vệ kiểu tấm hình chữ nhật chỉ áp dụng cho các vùng ven biển có chiều cao sóng thiết kế không lớn hơn 4,0 m.

Hình 10 - Sơ đồ cấu tạo kết cấu bảo vệ bằng khối bê tông cốt thép hình chữ nhật
7.4.5.5.4 Khi tính toán thiết kế các tấm bê tông cốt thép đúc sẵn theo sơ đồ hình 10 phải đáp ứng các yêu cầu kỹ thuật sau đây:
a) Các kích thước cơ bản của một tấm kết cấu được xác định theo các công thức từ (22) đến (28). Khi lắp đặt các tấm kết cấu này trên mái nghiêng, chiều dài tấm bố trí dọc theo hướng dốc mái còn chiều rộng của tấm bố trí dọc theo hướng trục công trình chắn sóng:
| a0 = 1,25 x Hsp | (22) |
| b0 = 1,00 x Hsp | (23) |
|
| (24) |
|
| (25) |
|
| (26) |
|
| (27) |
| b1 = 0,10 x b0 | (28) |
trong đó:
Hsp là chiều cao sóng thiết kế, m;
a0 là chiều dài của tấm kết cấu, m;
b0 là chiều rộng của tấm kết cấu, m;
d là chiều dày của tấm kết cấu, m;
δ là chiều dày nhỏ nhất của tấm kết cấu: δ ≥ 0,10 m;
b) Nếu kích thước mặt bằng bố trí kết cấu bảo vệ trên mái nghiêng thay đổi, kích thước của tấm kết cấu bê tông cốt thép cũng được thay đổi cho phù hợp nhưng tỷ lệ giữa chiều dài và chiều rộng của tầm không đổi. Cứ mỗi 1,0 m chiều dài hoặc chiều rộng của kết cấu tăng (hoặc giảm) thì chiều dày d của tấm cũng tăng (hoặc giảm) 0,05 m tương ứng;
c) Khi hệ số mái dốc m từ 1,5 đến 2,5, chiều dày d của tấm kết cấu bảo vệ bằng bê tông cốt thép có thể xác định theo công thức (29):
|
| (29) |
trong đó:
d là chiều dày của tấm, m;
γ và γB lần lượt là trọng lượng riêng của nước biển và của vật liệu làm kết cấu bảo vệ, t/m3;
h là độ sâu của nước ở phía trước công trình chắn sóng, m;
Hsp là chiều cao sóng thiết kế, m.
7.4.5.5.5 Nội dung và phương pháp tính toán ổn định kết cấu bảo vệ trên mái nghiêng thực hiện theo điều 6.8 của TCVN 11736: 2017.
7.4.5.6 Thiết kế lớp giữa và lớp lõi
Khi thiết kế mặt cắt ngang công trình giảm sóng theo sơ đồ cấu tạo ở hình 5 thì việc tính toán xác định các thông số thiết kế lớp giữa thực hiện theo 7.3.6 còn thiết kế lớp lõi thực hiện theo 7.3.7.
7.4.5.7 Thiết kế lớp đệm lót
Lớp đệm lót còn gọi là lớp dưới hay lớp lót nền. Khối lượng của viên đá làm lớp đệm lót lấy từ 1/20 đến 1/10 khối lượng tính toán theo công thức (1) trong TCVN 11736 : 2017. Với kết cấu bảo vệ là khối vuông rỗng và tấm lát, kích thước vật liệu làm đệm lót không nhỏ hơn bề rộng khe hở giữa các khối.
7.4.5.8 Thiết kế kết cấu bảo vệ chân mái nghiêng
7.4.5.8.1 Khi thiết kế theo sơ đồ cấu tạo mặt cắt ngang ở hình 5, kết cấu bảo vệ chân mái nghiêng có hình dạng khối lăng trụ (gọi tắt là chân lăng trụ). Thông thường cao trình bề mặt chân lăng trụ bố trí ở cao trình thấp hơn mực nước biển thiết kế một khoảng cách không lớn hơn chiều cao sóng thiết kế. Chân lăng trụ có thể bố trí 2 lớp bảo vệ, chiều dày của mỗi lớp không nhỏ hơn 0,5 m. Khối lượng tối thiểu của khối đá làm chân lăng trụ có thể lấy từ 0,3 lần đến 0,4 lần khối lượng khối đá tính theo công thức (1) trong TCVN 11736 : 2017. Chiều rộng bề mặt và độ dày của chân lăng trụ phụ thuộc vào độ sâu nước biển tại khu vực chân công trình và kích thước mặt cắt ngang công trình nhưng không nhỏ hơn các trị số sau đây:
- Bố trí ở vùng nước nông: chiều rộng không nhỏ hơn 2,0 m và chiều dày không nhỏ hơn 1,0 m;
- Bố trí ở vùng nước sâu: chiều rộng không nhỏ hơn 5,0 m và chiều dày không nhỏ hơn 3,0 m.
Đối với đáy biển cát, trước khi bố trí khối đá bảo vệ chân lăng trụ nên rải lớp đá nghiền hoặc rải lớp vải lọc địa kỹ thuật có độ dày không nhỏ hơn 0,3 m. có thể tham khảo phụ lục C để tính toán chiều sâu hố xói ngay sát chân công trình và xác định phạm vi bảo vệ của đáy biển cát.
7.4.5.8.2 Khi thiết kế công trình giảm sóng theo sơ đồ cấu tạo ở hình 8, cao trình đỉnh của kết cấu chân lăng trụ đỡ mái nghiêng bố trí ở cao trình thấp hơn mực nước biển thiết kế khoảng một lần chiều cao sóng thiết kế. Chiều rộng mặt đỉnh chân lăng trụ không nhỏ hơn 1,0 m. Đối với mặt cắt ngang có bậc cơ, chiều rộng bậc cơ lấy khoảng 2,0 m. Hình 11 giới thiệu một số dạng điển hình về cấu tạo khối lăng trụ bảo vệ chân mái dốc đang được áp dụng phổ biến ở Việt Nam

Hình 11 - Một số dạng điển hình về cấu tạo khối lăng trụ bảo vệ chân mái dốc
7.4.6 Công trình ngăn cát giảm sóng kiểu tường đứng
7.4.6.1 Cao trình đỉnh công trình ngăn cát giảm sóng kiểu tường đứng xác định theo 7.4.3.

a) Công trình kiểu thùng chìm không có kết cấu phá sóng

b) Công trình kiểu khối bê tông lắp ghép không có kết cấu phá sóng

c) Công trình kiểu thùng chìm được bảo vệ bởi các khối kết cấu phá sóng
Hình 12 - Sơ đồ cấu tạo một số dạng công trình chắn sóng kiểu tường đứng trọng lực
7.4.6.2 Hình 12 giới thiệu sơ đồ cấu tạo hay hình dạng mặt cắt ngang của một số công trình ngăn giữ cát giảm sóng kiểu tường đứng điển hình (xem mục b của 4.1.1 và 4.1.2). Tùy thuộc vào đặc điểm của sóng và hướng sóng, đặc điểm dòng chảy ven bờ và yêu cầu giảm sóng, khả năng công nghệ để lựa chọn dạng mặt cắt ngang, loại kết cấu và phương án bố trí kết cấu phù hợp. Thông thường những vùng biển có nước sâu và sóng lớn nên áp dụng sơ đồ mặt cắt ngang a và c của hình 12.
7.4.6.3 Tổ hợp tải trọng dùng để tính toán và nội dung tính toán thiết kế công trình ngăn giữ cát giảm sóng kiểu tường đứng theo phụ lục E.
7.4.6.4 Chiều rộng của thân tường đứng được xác định thông qua kết quả tính toán ổn định hoặc thí nghiệm mô hình thủy lực. Phương pháp tính toán ổn định theo TCVN 4253 : 2012. Đối với công trình xây dựng nối từ đất liền ra biển (có ít nhất một đầu liên kết với bờ biển), ngoài yêu cầu về ổn định, chiều rộng của công trình còn phải đáp ứng yêu cầu thi công xây dựng.
7.4.6.5 Khi chiều cao tường trên 6,0 m nên làm cơ ở cả hai phía. Có thể bố trí cơ ở vị trí cách đỉnh tường từ 2,0 đến 3,0 m. Chiều rộng đỉnh cơ phía biển lấy bằng 60 % và phía bờ lấy bằng 40 % chiều rộng của thân tường theo tính toán. Đối với tường đứng sử dụng các khối bê tông lắp ghép, cơ bố trí ở cao trình mực nước thiết kế và bề rộng cơ không nhỏ hơn 3 lần giá trị chiều cao sóng thiết kế.
7.4.6.6 Khối lượng cấu kiện bê tông xếp lắp ghép để làm tường đứng không nhỏ hơn các trị số trong bảng 7. Có thể sử dụng các khối có trừ lỗ để sau khi lắp đặt sẽ đổ bê tông bổ sung tăng khối lượng.
Bảng 7 - Khối lượng tối thiểu của khối bê tông lắp ghép
| Chiều cao sóng thiết kế, m | Từ 2,6 đến 3,5 | Từ 3,6 đến 4,5 | Từ 4,6 đến 5,5 | Từ 5,6 đến 6,0 | Từ 6,1 đến 6,5 | Từ 6,6 đến 7,0 |
| Khối lượng khối xếp, tấn | 30 | 40 | 50 | 60 | 80 | 100 |
7.4.6.7 Các khối xếp lắp ghép nên ít chủng loại về kích thước. Tỷ lệ giữa kích thước cạnh dài và chiều cao không lớn hơn ba lần, giữa kích thước cạnh ngắn và chiều cao không nhỏ hơn một lần. Sai số khi lắp đặt các khối cấu kiện đúc sẵn để tạo thành tường đứng không vượt quá trị số trong bảng 8.
Bảng 8 - Sai số cho phép khi lắp đặt các khối cấu kiện
| Hạng mục | Sai số cho phép, mm | ||
| Khối hộp đặc | Thùng chìm và khối hộp rỗng | Trụ tròn rỗng | |
| 1. Trục đập | 70 | 100 | 50 |
| 2. Bề rộng khe hở ứng với chiều cao cấu kiện: ≤ 15,0 m |
| 50 |
|
| > 15,0 m | 40 | 80 | - |
| 3. Chênh lệch cao độ chân giữa các khối cấu kiện | 30 | 80 | 30 |
| 4. Chênh lệch cao độ đỉnh giữa các khối cấu kiện | 30 | - | 30 |
7.4.6.7 Chiều rộng khe thẳng đứng giữa các khối xếp lắp ghép khoảng 2 cm, bố trí lệch nhau với khoảng cách quy định trong bảng 8. Khoảng cách chênh lệch giữa các khe biến dạng từ 10 cm đến 30 cm, khe biến dạng liên thông từ đỉnh tường đến đáy tường rộng từ 2 cm đến 5 cm. Khe biến dạng nên bố trí ở các vị trí có sự thay đổi về kết cấu, chiều cao thân tường hoặc thay đổi về độ dày bệ, tính chất đất nền.
Bảng 9 - Độ lệch vị trí các khe giữa các khối xếp
| Độ lệch vị trí các khe | Khối lượng khối xếp, tấn | |
| ≤ 40 | > 40 | |
| 1. Trên mặt cắt ngang, m | ≥ 0,8 | ≥ 0,9 |
| 2. Trên phẫu diện dọc hoặc trên mặt bằng, m | ≥ 0,5 | ≥ 0,6 |
7.4.6.8 Đoạn đầu mũi (phần ngoài cùng của công trình) có chiều dài bằng 2 lần chiều rộng đỉnh, phải tăng cường gia cố phần vai bệ bằng các khối bê tông hình hộp lập phương nặng gấp từ 2 lần đến 3 lần khối phủ mái. Nếu là bệ đắp cao, mái bệ cần lấy thoải hơn so với đoạn bên trong.
7.4.6.9 Đoạn gốc thường dùng kết cấu mái nghiêng, nối tiếp tốt với bờ. Nếu không có tập trung năng lượng sóng rõ rệt thì đoạn này không cần gia cố đặc biệt.
7.4.6.10 Móng và bệ đỡ công trình nên làm bằng đá hộc. Kích thước của móng phụ thuộc vào đặc điểm sóng, độ sâu nước biển, đặc điểm địa chất nền và chiều rộng của thân tường, được xác định thông qua kết quả tính toán ổn định. Trong thiết kế sơ bộ có thể áp dụng công thức (30) để xác định bề rộng mặt trên của móng và bệ đỡ:
|
| (30) |
trong đó:
Bm là bề rộng mặt trên của móng và bệ đỡ công trình, m;
T là bề rộng của đáy tường đứng, m;
Σb là tổng bề rộng của các khối bê tông bảo vệ chân tường, m;
tm là chiều dày của móng, m: tm ≥ 1,50 m.
7.4.6.11 Hệ số mái dốc của móng lấy từ 2,0 đến 3,0 ở phía biển và từ 1,5 đến 2,0 ở phía bờ. Phủ mặt ngoài mái dốc là các cấu kiện bảo vệ. Tính toán xác định kích thước khối phủ bảo vệ theo 7.4.5.5.
7.4.6.12 Chân tường được bảo vệ bằng các khối bê tông hình hộp, xem hình 12. Chân tường phía biển phải bố trí từ hai hàng trở lên còn phía bờ phải bố trí từ một hàng trở lên. Chiều dày tối thiểu của một khối bảo vệ chân tường phụ thuộc vào chiều cao sóng và độ sâu nước biển dưới chân công trình, được xác định theo công thức (31). Chiều dài và chiều rộng của khối lấy từ 2 lần đến 3 lần chiều dày tính toán của khối bảo vệ.
|
| (31) |
trong đó:
tb là chiều dày tối thiểu của một khối bảo vệ chân tường đứng, m;
Hsp là chiều cao sóng thiết kế, m;
k là hệ số điều kiện làm việc. Trị số k lấy bằng 0,18 cho khu vực thân đê và 0,21 cho khu vực đầu đê chắn sóng;
ht là độ sâu nước tại đỉnh của mỏng đá hộc (không kể các khối bê tông bảo vệ chân móng), m;
h là độ sâu nước thiết kế, m.
CHÚ THÍCH: Phạm vi áp dụng thích hợp của công thức (30) khi tỷ số
nằm trong khoảng từ 0,4 đến 1,0.
7.4.6.13 Phủ đỉnh tường đứng là khối bê tông cốt thép đổ tại chỗ, liên kết chặt chẽ với thân tường và phải phủ hết chiều rộng mặt cắt ngang. Theo chiều dọc tuyến, khối phủ đỉnh nên bố trí các khớp nối cách nhau từ 20 m đến 25 m. Các khớp nối không trùng khớp với vị trí mặt tiếp giáp của hai khối kết cấu thân tường.
7.4.6.14 Chiều dày tại vị trí mỏng nhất của khối phủ đỉnh bê tông phụ thuộc vào cường độ tác động của sóng biển lên khối phủ đỉnh nhưng không nhỏ hơn 50 cm khi chiều cao sóng thiết kế nhỏ hơn 2,0 m và không nhỏ hơn 100 cm khi chiều cao sóng thiết kế từ 2,0 m trở lên.
7.4.6.15 Nếu sử dụng vật liệu rời như cát, đá hoặc sỏi để lấp đầy các khoảng trống của thùng chìm thì trước khi bố trí khối phủ đỉnh bắt buộc phải lắp đặt tấm nắp bằng bê tông cốt thép. Chiều dày của tấm nắp từ 50 cm đến 100 cm, xem sơ đồ hình 13.

Hình 13 - Sơ đồ cấu tạo khối phủ đỉnh của công trình kiểu tường đứng trọng lực
7.4.6.16 Có thể áp dụng một trong giải pháp sau đây để tăng cường liên kết và ổn định giữa khối phủ đỉnh tường đứng với tấm nắp bê tông bố trí trong thùng chìm:
a) Đổ bê tông trực tiếp lên tấm nắp của thùng chìm. Bê tông đổ sau phải được chèn chặt vào bên trong thùng chìm. Có thể bổ sung thêm các thanh thép liên kết giữa tấm nắp với thùng chìm (xem sơ đồ a của hình 13);
b) Tấm nắp bê tông cốt thép được gia công thành các dạng lồi hoặc lõm (xem sơ đồ b và sơ đồ c của hình 13). Đổ bê tông trực tiếp lên tấm nắp.
7.4.6.17 Các khối bê tông lắp ghép làm thân tường đứng trọng lực trong sơ đồ b của hình 12 cần phải thiết kế các mối nối chốt để khớp các khối bê tông lại với nhau. Các mối nối chốt có dạng lõm hoặc lồi và kéo dài đến hết chiều dài của khối, xem sơ đồ hình 14.

Hình 14 - Sơ đồ mối nối chốt trong khối bê tông
7.4.6.18 Các kích thước của mối nối chốt trong hình 14 có thể lấy như sau:
- Chiều rộng phần lồi: a = 50 cm;
- Chiều cao phần lồi: b = 20 cm;
- Chiều rộng phần lõm: a’ > 55 cm;
- Chiều cao phần lõm: b’ > 25 cm.
7.4.6.19 Tính toán thiết kế các hạng mục công trình tường đứng hình trụ tròn đúc sẵn lắp ghép (xem khoản 3 mục b của 4.1.2) và tường cọc cừ (khoản 4 mục b của 4.1.2) cũng tương tự như tính toán thiết kế công trình tường đứng trọng lực kiểu thùng chìm đã quy định từ 7.4.6.3 đến 7.4.6.18.
7.4.7 Công trình kiểu kết cấu cọc, cừ
7.4.7.1 Hình 15 giới thiệu sơ đồ cấu tạo một công trình chắn sóng bố trí trên hệ cọc bê tông cốt thép điển hình.
7.4.7.2 Có thể sử dụng các thùng chìm hình hộp rỗng hoặc hình trụ tròn rỗng đúc sẵn để đỡ bộ phận chắn sóng, xem sơ đồ hình 16.
7.4.7.3 Tổ hợp tải trọng dùng để tính toán, nội dung tính toán thiết kế các dạng công trình kiểu kết cấu cọc cừ theo phụ lục E và các quy định khác có liên quan nêu trong điều 7.4.7. Cao trình đỉnh bộ phận chắn sóng tính toán theo công thức (16).

CHÚ DẪN:
1 Đầu bộ phận chắn sóng;
2 Thân bộ phận chắn sóng;
3 Móng cọc;
4 Tường hắt sóng.
Hình 15 - Sơ đồ cấu tạo công trình chắn sóng bố trí trên hệ cọc bê tông cốt thép

CHÚ DẪN:
1 Thùng chìm;
2 Tấm cản sóng;
3 Tường ngực;
4 Tường hắt sóng.
Hình 16 - Sơ đồ cấu tạo công trình chắn sóng kiểu treo bố trí trên hệ các thùng chìm
7.4.7.4 Kiểu công trình chắn sóng giới thiệu trong hình 15 và hình 16 thường áp dụng cho các vùng biển nước sâu, sóng không quá lớn, ít chịu tác động của dòng chảy và bùn cát ven bờ. Căn cứ vào điều kiện cụ thể của vùng bờ biển cần bảo vệ, dựa vào các sơ đồ cấu tạo công trình nêu trong hình 15 hoặc hình 16 để tính toán xác định khoảng cách giữa các hệ cọc bê tông hoặc khoảng cách giữa các thùng chìm, tính toán độ bền kết cấu, lựa chọn các kích thước phần đầu và phần thân bộ phận chắn sóng cho phù hợp. Tính toán thiết kế hệ thống móng cọc đỡ bộ phận chắn sóng tuân thủ quy định trong TCVN 10304 : 2014. Tính toán thiết kế móng và bệ đỡ các thùng chìm theo quy định từ 7.4.6.10 đến 7.4.6.12.
7.4.7.5 Dựa vào hình 5 của TCVN 9901 : 2014 để lựa chọn hình dạng tường hắt sóng và thiết kế tường hắt sóng bố trí trên đỉnh bộ phận chắn sóng cho phù hợp.
8 Thiết kế xử lý nền
8.1 Trường hợp nền dưới đáy các công trình kiểu đê (đập) mái nghiêng, kiểu tường đứng, kiểu đê hình bán nguyệt hoặc công trình kiểu treo với hệ thống trụ đỡ bộ phận chắn sóng là thùng chìm hình hộp rỗng hoặc hình trụ tròn rỗng đúc sẵn không đáp ứng được yêu cầu chịu lực bắt buộc phải xử lý. Tùy từng trường hợp cụ thể của công trình như đặc điểm sóng, độ sâu nước biển, nhiệm vụ của công trình và kết quả tính toán ổn định theo phương pháp nêu tại 7.1.7, có thể lựa chọn áp dụng một trong các giải pháp sau đây:
1) Thay thế công trình trên bằng công trình kiểu kết cấu cọc, cừ (bộ phận chắn sóng và giảm sóng bố trí trên hệ cọc bê tông cốt thép theo sơ đồ hình 15). Đóng hoặc ép cọc để xử lý nền tuân thủ các quy định có liên quan trong TCVN 9394 : 2012;
2) Đào bỏ tầng đất yếu và thay thế bằng lớp cát đệm hoặc đá hộc. Chiều dày và phạm vi lớp đất nền đất yếu được thay thế phụ thuộc vào đặc điểm địa chất nền và kết quả tính toán ổn định công trình;
3) Đào bỏ tầng đất yếu và thay thế một phần lớp đất nền đã đào bỏ bằng lớp đệm cát hoặc đá hộc. Hạ thấp cao trình đáy móng, tăng chiều cao công trình nhưng vẫn đảm bảo cao trình đỉnh theo yêu cầu thiết kế. Chiều sâu hố đào, chiều dày lớp vật liệu đệm thay thế và độ sâu hạ thấp cao trình đáy móng phụ thuộc vào đặc điểm địa chất nền và kết quả tính toán ổn định công trình.
8.2 Khi chọn phương án thay thế một phần lớp nền đất yếu bằng đệm cát cần đáp ứng các yêu cầu sau đây:
1) Nên dùng cát hạt thô hoặc rất thô (loại cát có đường kính hạt trung bình từ 0,5 mm đến 1,0 mm với cát hạt thô và từ 1,0 mm đến 2,0 mm với cát hạt rất thô);
2) Cần có biện pháp kỹ thuật phù hợp để hạn chế tác động của độ sâu nước, của dòng chảy ven bờ và sóng biển đến quá trình xử lý đệm cát và giữ ổn định của lớp cát sau khi xử lý;
3) Khẩn trương thi công khối móng và bệ đỡ công trình ngay sau khi công tác xử lý nền bằng đệm cát được hoàn thành;
4) Kích thước thực tế của khối đệm cát sau khi xử lý xong có thể lớn hơn so với kích thước thiết kế. Nếu nhỏ hơn thì mức độ sai lệch cho phép như sau:
- Theo mặt bằng (chiều rộng và chiều dài): ≤ 0,5 m;
- Theo chiều cao (chiều dày của đệm cát dưới nước): ≤ 0,3 m.
8.3 Khi sử dụng vải địa kỹ thuật hoặc các tấm nệm mềm để lót nền trước khi đổ cát, hoặc phủ lên trên bề mặt khối đệm cát đã được xử lý thay thế lớp đất nền mềm yếu, hoặc làm lớp lọc, lớp đệm lót cho các khối đá, khối bê tông và các loại kết cấu khác phải tuân thủ các quy định có liên quan trong TCVN 9844 : 2013, quy định của nhà sản xuất cũng như chỉ dẫn kỹ thuật của người thiết kế và các yêu cầu sau đây:
1) Trước khi trải lớp vải địa kỹ thuật hoặc lớp nệm mềm, bề mặt đáy móng hoặc bề mặt lớp đệm cát phải được san bằng và dọn sạch các vật cản đảm bảo mức độ gồ ghề bề mặt sau khi san ở dưới nước không quá 30 cm và ở trên cạn không quá 10 cm;
2) Sau khi đã rải xong lớp vải địa kỹ thuật hoặc lớp nệm mềm cần khẩn trương thi công ngay các hạng mục công việc tiếp theo bố trí trên nó;
3) Sai lệch khi rải lớp vải địa kỹ thuật hoặc các tấm nệm mềm để xử lý nền không vượt quá các trị số quy định trong bảng 9.
CHÚ THÍCH: Có thể tham khảo phụ lục C xác định chiều sâu hố xói ngay sát chân công trình để làm cơ sở tính toán thiết kế và lựa chọn biện pháp xử lý nền phù hợp.
Bảng 9 - Sai lệch cho phép khi rải lớp vải địa kỹ thuật hoặc các tấm nệm mềm
| Hạng mục | Sai lệch cho phép, cm |
| 1. Sai lệch so với tim tuyến công trình: - Dưới nước - Trên cạn |
+ 100 + 50 |
| 2. Sai lệch khi xếp chồng lấn giữa hai tấm: - Dưới nước - Trên cạn |
± 50 ± 10 |
Phụ lục A
(Tham khảo)
Tác động của sóng xiên
Khi sóng biển tác động trực tiếp lên lớp bảo vệ mái đê chắn sóng theo hướng xiên góc, tùy thuộc vào yêu cầu thiết kế của từng trường hợp cụ thể, có thể nghiên cứu lựa chọn áp dụng các hệ số hiệu chỉnh sau đây vào trong tính toán:
1) Khối lượng ổn định của hai loại khối phủ bảo vệ gồm: khối lập phương rỗng (xem hình B.1), khối accropode (xem hình B.2) bố trí trên mái nghiêng được tính theo công thức (17) nhưng hệ số ổn định KD được thay bằng hệ số KDβ. Hệ số KDβ xác định theo công thức (A.1):
|
| (A.1) |
2) Áp lực của sóng tác động lên mái nghiêng của đê sẽ bị giảm xuống. Hệ số suy giảm áp lực Kp được xác định theo công thức (A.2):
|
| (A.2) |
trong đó:
KDβ là hệ số ổn định của khối phủ dưới tác động của sóng xiên;
KD là hệ số ổn định của khối phủ dưới tác động của sóng hướng thẳng góc với mái đê, được quy định trong bảng 5;
k là hệ số thí nghiệm lấy như sau:
- Khối lập phương rỗng : k = 1,47;
- Khối accropode: k = 2,30;
β là góc tạo bởi hướng gió (hướng sóng) và phương của tim tuyến đê ngăn sóng và phá sóng. Trong tính toán có thể lấy β nằm trong khoảng sau đây:
- Trong công thức (A.1): β lấy từ 22,5 ° đến 67,5 °;
- Trong công thức (A.2): β lấy từ 22,5 ° đến 90 °.
Phụ lục B
(Tham khảo)
Xác định khối lượng ổn định của một số loại cấu kiện thông dụng
B.1 Khối lượng ổn định của cấu kiện phụ thuộc vào loại cấu kiện được sử dụng, chiều cao sóng và độ dốc mái nghiêng được bảo vệ.
B.2 Có thể sử dụng các đường cong quan hệ nêu ở hình B.1 và B.2 sau đây để sơ bộ xác định khối lượng ổn định của một số loại cấu kiện bảo vệ đang được sử dụng rộng rãi ở nước ta:

CHÚ THÍCH:
1) Các ký hiệu 1:1,5; 1:2,0 ; 1:2,5 và 1:3,0 trong các đường cong quan hệ nêu trên tương ứng với hệ số mái dốc của công trình kiểu đê đập (ký hiệu là m) lần lượt là: m = 1,5; m = 2,0; m = 2,5 và m = 3,0;
2) Trọng lượng riêng của vật liệu làm khối phủ: γa = 26,5 kN/m3.
Hình B.1 - Biểu đồ xác định khối lượng ổn định của cấu kiện đá hộc thả rối bảo vệ mái công trình
|
a) Khối tetrapod xếp 2 lớp |
b) Khối lập phương rỗng xếp 1 lớp |
|
c) Khối dolos xếp 2 lớp |
d) Khối accropode xếp 1 lớp |
CHÚ THÍCH:
1) Các ký hiệu 1:1,25; 1:1,50 và 1:2,0 trong các đường cong quan hệ ở hình a) và b) tương ứng với hệ số mái dốc của công trình kiểu đê đập (ký hiệu là m) lần lượt là: m = 1,25; m = 1,50 và m = 2,00;
2) Trọng lượng riêng của vật liệu làm khối phủ: γa = 23,0 kN/m3.
Hình B.2 - Biểu đồ xác định khối lượng ổn định của một số loại cấu kiện bảo vệ mái công trình bằng bê tông và bê tông cốt thép
Phụ lục C
(Tham khảo)
Xác định chiều sâu hố xói ngay sát chân công trình
C.1 Nền cát ở phía trước chân công trình ngăn sóng và phá sóng được chia thành ba loại gồm: cát hạt mịn, cát hạt trung và cát hạt thô. Tương ứng với mỗi loại nền cát nói trên sẽ hình thành ba kiểu hố xói trước chân công trình được mô tả trong hình C.1.

a) Nền cát hạt mịn

b) Nền cát hạt trung

c) Nền cát hạt thô
Hình C.1 - Ba dạng xói cơ bản xảy ra ở phía trước chân công trình
C.2 Áp dụng công thức (C.1) để nhận biết hình dạng của hố xói ở phía trước công trình:
|
| (C.1) |
trong đó:
β là các tham số để phân biệt hình dạng của hố xói:
β > 28: Hố xói trên nền cát hạt mịn;
β < 10: Hố xói trên nền cát hạt trung. Trị số β càng nhỏ thì hạt cát của nền càng thô;
10 ≤ β ≤ 28: Hố xói trên nền chuyển tiếp giữa cát hạt mịn và cát hạt trung;
Vmax là vận tốc lớn nhất của quỹ đạo hạt cát nền dưới tác động của sóng đứng, m/s, xác định theo công thức (C.2):
|
| (C.2) |
V0 là vận tốc ban đầu của cát tại nền, m/s, được xác định theo công thức (C.3):
|
| (C.3) |
ω là vận tốc rơi của các hạt cát trong nước tĩnh, m/s;
H13% là chiều cao sóng tương ứng với tần suất 13 %, m;
Ls là chiều dài sóng, m;
g là gia tốc trọng trường: g = 9,81 m/s2;
d là chiều sâu của nước ngay trước chân công trình, m;
Δ là tỷ trọng tương đối của các hạt cát, xác định theo công thức (C.4):
|
| (C.4) |
γs là khối lượng riêng của cát, t/m3;
γ là khối lượng riêng của nước biển, lấy γ = 1.025 t/m3.
D50 là đường kính trung bình của các hạt cát nền, m;
Ts là chu kỳ sóng trung bình, s.
C.3 Khoảng cách từ đỉnh đầu tiên của sóng ở phía trước chân công trình tới giao điểm giữa mặt phẳng mái dốc của công trình với mặt nước tĩnh, ký hiệu là l, đơn vị là m, được xác định theo công thức (C.5)
|
| (C.5) |
Trong đó:
α là góc nghiêng của mái dốc công trình, độ (°);
Rslp là chiều cao sóng leo trên mặt dốc, m;
Các ký hiệu khác đã giải thích tại điều C.2.
C.4 Khi nền trước chân công trình là cát hạt mịn hoặc hạt trung, độ sâu tối đa của rãnh xói, ký hiệu là Zmax, đơn vị là m, được tính theo công thức (C.6):
|
| (C.6) |
trong đó:
Hsp là chiều cao sóng thiết kế, m;
Các ký hiệu khác đã giải thích tại điều C.2.
Phụ lục D
(Tham khảo)
Tính toán xác định kích thước mặt cắt ngang đê ngầm giảm sóng
D.1 Đê làm việc trong điều kiện bão
D.1.1 Xác định vị trí xây dựng đê ngầm giảm sóng bão
Vị trí tim tuyến xây dựng công trình đê ngầm (vị trí trên mặt cắt ngang của bãi biển) được xác định trên cơ sở phân tích các yếu tố cơ bản sau đây:
- Đặc điểm của sóng bão thiết kế (mực nước biển và các đặc trưng của sóng), yêu cầu giảm sóng bão (giảm chiều cao sóng và giảm cường độ sóng);
- Độ sâu nước đáp ứng yêu cầu thi công, thông thường không nhỏ hơn 3,0 m;
- Điều kiện địa chất đáp ứng được yêu cầu ổn định của công trình;
- Các vấn đề có liên quan đến sản xuất và đời sống của người dân, môi trường, cảnh quan;
- Nghiên cứu đề xuất một số phương án về vị trí tuyến và phân tích hiệu quả kinh tế - kỹ thuật của từng phương án.
D.1.2 Xác định các tham số thiết kế đầu vào
Căn cứ vào điều kiện cụ thể của công trình (các điều kiện về tự nhiên và yêu cầu giảm sóng), nghiên cứu xác định và lựa chọn các tham số đầu vào dùng trong tính toán thiết kế như: cấp công trình, mực nước thiết kế (Ztkp%), chiều cao sóng tới khu vực nước sâu thiết kế (Hs0), chiều cao sóng tới trước tuyến đê thiết kế (Hs,i) chiều cao sóng bão lớn nhất cho phép ở khu vực phía sau đê [Hs]E và hiệu quả giảm sóng của công trình (ε).
D.1.3 Tính toán xác định kích thước mặt cắt ngang và thông số kỹ thuật cơ bản của đê ngầm
D.1.3.1 Hiệu quả giảm sóng yêu cầu ở phía sau đê ngầm xác định theo công thức (D.1):
|
| (D.1) |
trong đó:
[ε] là hiệu quả giảm sóng yêu cầu ở phía sau đê ngầm, m;
Hs,i là chiều cao sóng tới vị trí công trình (ở phía trước đê), m;
[Hs]E là chiều cao sóng bão tối đa cho phép để đảm bảo an toàn cho các công trình bảo vệ bờ phía sau đê ngầm. Nếu phía sau đê ngầm là công trình đê biển hoặc kè mái nghiêng thì [Hs]E chỉ từ 1,5 m đến 2,0 m hoặc nhỏ hơn.
D.1.3.2 Tính toán hiệu quả giảm sóng của đê ngầm:
a) Công thức tính toán:
|
| (D.2) |
b) Phạm vi áp dụng của công thức (D.2):
- Độ ngập tương đối của đê ngầm: 
- Bề rộng tương đối của đỉnh đê: 
- Độ dốc sóng thiết kế: Sop = 0,015 ÷ 0,06
trong đó:
ε là hiệu quả giảm sóng của công trình đê ngầm;
S là độ ngập nước của đỉnh đê ngầm so với mực nước tính toán, m;
Lm là chiều dài sóng tính theo chu kỳ trung bình, m;
B là bề rộng đỉnh đê ngầm, m;
Hm0 là chiều cao sóng mô men 0, m;
ξm0 là số đặc trưng cho tính chất tương tác giữa sóng với đê ngầm, xác định theo công thức
(C.3) phụ lục C của TCVN 9901 : 2014;
Lp là chiều dài sóng tương ứng với tần suất thiết kế.
D.1.3.3 Lựa chọn cao trình đỉnh đê (Zd), bề rộng đỉnh đê (B) và độ ngập của đỉnh đê (S) có mặt cắt hình thang thỏa mãn các điều kiện về kinh tế và kỹ thuật:
a) Diện tích mặt cắt ngang đê hình thang thỏa mãn điều kiện kinh tế, xác định theo công thức D.4:
| Atmin = min{B.(h - S) + m.{h - S)2} | (D.4) |
b) Cao trình đỉnh đê ngầm (Zd, m) thỏa mãn điều kiện kỹ thuật (đạt hiệu quả giảm sóng ε), xác định, theo công thức (D.5):
| Zd = Ztkp% - S | (D.5) |
trong đó:
Atmin là diện tích mặt cắt ngang của đê là nhỏ nhất (m2);
m là hệ số mái dốc của đê;
h là độ sâu nước tại vị trí xây dựng đê so với cao trình mực nước biển dùng để thiết kế đê ngầm;
Ztkp% là cao trình mực nước thiết kế đê ngầm trong bão ứng với tần suất tính toán, m;
S là độ ngập nước của đỉnh đê ngầm so với mực nước Ztkp%, m.
CHÚ THÍCH: Sau khi tính toán xác định được các kích thước mặt cắt ngang và thông số kỹ thuật cơ bản của đê ngầm làm việc trong bão, tiếp tục thực hiện các công việc sau đây (đã được quy định trong tiêu chuẩn này):
a) Tính toán và thiết kế kết cấu mặt cắt ngang đê ngầm (kích thước khối phủ bảo vệ) đáp ứng yêu cầu ổn định trong điều kiện chịu tác động của sóng bão;
b) Kiểm tra ổn định của mặt cắt ngang đê thiết kế với tải trọng sóng và mực nước trong điều kiện bình thường (đê trở thành đê không ngập);
c) Tính toán hiệu quả kinh tế kỹ thuật của phương án thiết kế. Nếu kết quả tính toán chưa thỏa mãn yêu cầu thì phải thực hiện lại các nội dung đã nêu từ D.1.1 đến D.1.3 hoặc thực hiện lại nội dung D.1.3.
D.2 Đê làm việc trong điều kiện sóng thông thường
D.2.1 Xác định vị trí xây dựng đê ngầm giảm sóng thường
Nguyên tắc xác định vị trí tim tuyến xây dựng công trình đê ngầm giảm sóng thông thường, ngoài việc tuân thủ các quy định nêu tại D.2.1 còn phải chú ý đến yêu cầu tạo ra các dạng hình thái đường bờ biển sau chỉnh trị (nếu có).
D.2.2 Xác định các tham số tính toán thiết kế đầu vào
- Căn cứ vào chức năng thiết kế của đê ngầm để tính toán xác định chiều cao sóng khí hậu lớn nhất cho phép sau đê [Hs]N và mức đảm bảo duy trì chiều cao sóng phía sau đê (tương ứng với tần suất xuất hiện [Pa]) không lớn hơn chiều cao sóng cho phép;
- Xác định và vẽ đường tần suất lũy tích mực nước triều tại khu vực công trình (Ztr ~ p);
- Thu thập hoặc xây dựng tài liệu về sóng khí hậu nhiều năm tại vị trí xây dựng công trình. Chia lớp và xác định các tham số của từng lớp sóng tới trước đê ngầm (chiều cao Hs,i, chu kỳ Tp,i và tần suất xuất hiện pi);
Xác định cấp công trình, từ đó xác định các tham số sóng và mực nước (trong bão) ứng với tần suất thiết kế tại vị trí công trình.
D.2.3 Tính toán xác định kích thước mặt cắt ngang và thông số kỹ thuật cơ bản của đê ngầm
Thực hiện theo trình tự sau đây:
a) Lựa chọn chiều cao sóng tới tính toán Hs,i-c trong liệt số liệu sóng đầu vào đã thu thập được và tính toán xác định tần suất xuất hiện pc của chiều cao sóng được lựa chọn. Việc lựa chọn Hs,i-c phải thỏa mãn các điều kiện sau:
| Hs,imax ≥ Hs,i-c ≥ [Hs]N | (D.6) |
|
| (D.7) |
trong đó:
Hs,imax là chiều cao sóng lớn nhất trong liệt tài liệu sóng khí hậu đã thu thập được, m;
[Hs]N là chiều cao sóng khí hậu lớn nhất cho phép sau đê, m;
[Pa] là tần suất xuất hiện của chiều cao sóng khí hậu tương ứng với mức đảm bảo duy trì chiều cao sóng phía sau đê;
b) Tính toán xác định hiệu quả giảm sóng yêu cầu ở phía sau đê ngầm [ε] theo (D1);
c) Từ đường tần suất lũy tích mực nước triều tại khu vực công trình (Ztr ~ p) đã có, tính toán xác định mực nước triều dùng để thiết kế đê Ztr-tk tương ứng với tần suất xuất hiện pc của chiều cao sóng được lựa chọn;
d) Lựa chọn cao trình đỉnh đê (Zd), bề rộng đỉnh đê (B) và độ ngập của đỉnh đê (S) có mặt cắt hình thang thỏa mãn các điều kiện về kinh tế và kỹ thuật theo quy định tại D.1.3.3.
CHÚ THÍCH: Sau khi tính toán xác định được các kích thước mặt cắt ngang và thông số kỹ thuật cơ bản của đê ngầm làm việc trong điều kiện bình thường, tiếp tục thực hiện các công việc sau đây (đã được quy định trong tiêu chuẩn này):
a) Tính toán và thiết kế kết cấu mặt cắt ngang đê ngầm (kích thước khối phủ bảo vệ) đáp ứng yêu cầu ổn định trong điều kiện bình thường (dưới tác động của sóng khí hậu);
b) Kiểm tra ổn định của mặt cắt ngang đê thiết kế với tải trọng sóng và mực nước trong điều kiện bão thiết kế;
c) Tính toán hiệu quả kinh tế kỹ thuật của phương án thiết kế. Nếu kết quả tính toán chưa thỏa mãn yêu cầu thì phải thực hiện lại các nội dung đã nêu từ D.2.1 đến D.2.3 hoặc thực hiện lại nội dung D.2.3.
Phụ lục E
(Quy định)
Tính toán công trình kiểu thành đứng trọng lực và công trình kiểu kết cấu cọc cừ
E.1 Công trình kiểu thành đứng trọng lực
E.1.1 Tổ hợp tải trọng dùng để tính toán bao gồm:
Tổ hợp thiết kế phải xem xét và tính toán với các trường hợp sau:
- Mực nước cao nhất thiết kế và chiều cao sóng thiết kế;
- Mực nước thấp nhất thiết kế và chiều cao sóng thiết kế tương ứng với mực nước thấp nhất thiết kế.
CHÚ THÍCH: Trường hợp mực nước cao thiết kế trước công trình có sóng đứng và mực nước thấp thiết kế sóng bị vỡ, cần phải tính toán theo mực nước gây ra áp lực sóng lớn nhất trong quá trình mực nước thay đổi từ mực nước thấp thiết kế đến mực nước cao nhất thiết kế.
Tổ hợp kiểm tra (đặc biệt) phải xem xét và tính toán với các trường hợp sau:
Mực nước cao nhất kiểm tra và chiều cao sóng thiết kế;
Mực nước thấp nhất kiểm tra, không xét đến tác dụng của sóng.
CHÚ THÍCH: Trong quá trình thiết kế và kiểm tra có thể không xét đến tổ hợp sóng ở cả hai phía trong và ngoài đê, mà coi ở phía khuất sóng có mực nước tĩnh.
E.1.2 Nội dung tính toán bao gồm:
- Ổn định tổng thể của nền và công trình;
- Ổn định chống lật dọc theo đáy công trình và theo các khe nằm ngang, khe răng trong thân công trình;
- Ổn định chống trượt theo đáy công trình và theo các khe nằm ngang trong thân công trình;
- Ổn định chống trượt theo đáy bệ;
- Sức chịu tải của bệ và đất nền;
- Lún nền;
- Trọng lượng ổn định của các viên đá, lớp gia cố, cấu kiện bệ và gia cố đáy.
E.2 Công trình kiểu kết cấu cọc, cừ
E.2.1 Tổ hợp tải trọng dùng để tính toán:
a) Tổ hợp tải trọng cơ bản: áp lực đất, áp lực nước và áp lực sóng;
b) Tổ hợp tải trọng đặc biệt: chủ yếu là các lực xuất hiện trong quá trình thi công.
E.2.2 Nội dung tính toán bao gồm:
a) Áp lực đất và phản lực nền:
- Đối với cọc cứng: áp lực chủ động và áp lực bị động tính theo phương pháp Culông (Coulomb);
- Đối với cọc mềm: tính toán sự tương tác giữa cường độ áp lực đất với biến dạng của tường cọc;
b) Xác định độ sâu chôn cọc, mô men ở bụng cọc và độ võng của cọc;
c) Xác định độ bền về cường độ chịu lực, kiểm tra nứt và các yêu cầu khác theo điều kiện làm việc của cọc (chế tạo, thi công ngoài hiện trường). Các cấu kiện khác như thanh neo, dầm mũ, dầm ốp, khối phủ mặt, cọc chống xiên, bản chắn, khối hoặc gờ cản sóng ở đỉnh đều phải tính toán nội lực và độ bền;
c) Phạm vi gia cố chân công trình xác định theo công thức sau:
| Lk = Ls/4 | (E.1) |
trong đó:
Lk là phạm vi gia cố tính từ chân công trình mở rộng ra phía biển, m;
Ls là chiều dài sóng tác dụng tại chân công trình, m.
MỤC LỤC
Lời nói đầu
1 Phạm vi áp dụng
2 Tài liệu viện dẫn
3 Thuật ngữ và định nghĩa
4 Phân loại
4.1 Phân loại theo hình dạng và cấu tạo kết cấu
4.2 Phân loại theo chức năng
5 Yêu cầu vật liệu xây dựng
6 Lựa chọn vị trí công trình và bố trí tổng thể các hạng mục công trình
6.1 Quy định chung
6.2 Công trình giảm sóng
6.3 Công trình mỏ hàn
6.4 Công trình phức hợp
7 Yêu cầu thiết kế
7.1 Yêu cầu chung
7.2 Tải trọng và tổ hợp tải trọng tác động
7.3 Công trình mỏ hàn
7.4 Công trình giảm sóng
8 Thiết kế xử lý nền
Phụ lục A (Tham khảo): Tác động của sóng xiên
Phụ lục B (Tham khảo): Xác định khối lượng ổn định của một số loại cấu kiện thông dụng
Phụ lục C (Tham khảo): Xác định chiều sâu hố xói ngay sát chân công trình
Phụ lục D (Tham khảo): Tính toán xác định kích thước mặt cắt ngang đê ngầm giảm sóng
Phụ lục E (quy định); Tính toán công trình kiểu thành đứng trọng lực và công trình kiểu kết cấu cọc cừ
[1] Các yếu tố đặc trưng cho sóng xem phụ lục E của TCVN 9901 :2014;
[2] Bao tải đựng cát và dây buộc đóng gói cát trong bao được chế tạo từ các loại vật liệu có khả năng chống chịu bền vững trong môi trường biển;
[3] Đỉnh của các công trình kiểu tường đứng (thùng chìm, bê tông hình khối hộp hoặc hình trụ tròn đúc sẵn lắp ghép, cọc cừ) được phủ kín bằng các khối bê tông hoặc bê tông cốt thép thủy công. Hình dạng và cấu tạo đỉnh tường đáp ứng yêu cầu chắn sóng và liên kết giữ ổn định cho công trình.
[4] Cường độ của đá hộc làm vật liệu lõi hoặc làm lớp chuyển tiếp từ lõi với lớp đá phủ mặt ngoài của các công trình kiểu đê mái nghiêng có thể thấp hơn quy định trên;
[5] Bê tông dùng để lấp đầy các khoảng trống trong các công trình kiểu tường thùng chìm, tường bê tông khối đúc sẵn lắp ghép và kiểu đê hình bán nguyệt cũng phải có tính năng chịu được sự phá hoại, ăn mòn của nước biển và có cường độ không thấp hơn 10 MPa.
[6] Khối dị hình xem 3.2 của TCVN 11736 : 2017.
[7] Cấu tạo mặt cắt ngang của những công trình đập mỏ hàn cấp IV và cấp V không bắt buộc phải có đủ số lượng lớp và các bộ phận được nêu trong hình 5. Tùy thuộc vào điều kiện cụ thể của từng công trình mà quyết định số lượng lớp, cấu tạo của từng lớp và của từng bộ phận cho phù hợp.
[8] Có thể tham khảo phụ lục B để xác định khối lượng ổn định của một số loại cấu kiện thông dụng.
[9] Hình dạng các khối cấu kiện xem hình C.5 phụ lục C của TCVN 11736 : 2017.
[10] D50 là khối lượng của các viên đá bố trí trong lớp vật liệu (lớp giữa, lớp lõi, khối bảo vệ chân đập) có đường kính nhỏ hơn đường kính này chiếm tỷ lệ từ 50 % trở xuống trong tổng khối lượng các viên đá làm lớp vật liệu đó.
[11] Nếu kết quả tính toán chiều dày lớp kết cấu bảo vệ theo các công thức (20) và (21) khác nhau thì chọn trị số lớn nhất trong hai công thức trên để thiết kế.
Bạn chưa Đăng nhập thành viên.
Đây là tiện ích dành cho tài khoản thành viên. Vui lòng Đăng nhập để xem chi tiết. Nếu chưa có tài khoản, vui lòng Đăng ký tại đây!


































