- Tổng quan
- Nội dung
- VB gốc
- Tiếng Anh
- Hiệu lực
- VB liên quan
- Lược đồ
-
Nội dung hợp nhất
Tính năng này chỉ có tại LuatVietnam.vn. Nội dung hợp nhất tổng hợp lại tất cả các quy định còn hiệu lực của văn bản gốc và các văn bản sửa đổi, bổ sung, đính chính... trên một trang. Việc hợp nhất văn bản gốc và những văn bản, Thông tư, Nghị định hướng dẫn khác không làm thay đổi thứ tự điều khoản, nội dung.
Khách hàng chỉ cần xem Nội dung hợp nhất là có thể nắm bắt toàn bộ quy định hiện hành đang áp dụng, cho dù văn bản gốc đã qua nhiều lần chỉnh sửa, bổ sung.
- Tải về
Thông tư 02/2023/TT-BXD hướng dẫn một số nội dung về hợp đồng xây dựng
| Cơ quan ban hành: | Bộ Xây dựng |
Số công báo:
Số công báo là mã số ấn phẩm được đăng chính thức trên ấn phẩm thông tin của Nhà nước. Mã số này do Chính phủ thống nhất quản lý.
|
Đã biết
|
| Số hiệu: | 02/2023/TT-BXD | Ngày đăng công báo: |
Đã biết
|
| Loại văn bản: | Thông tư | Người ký: | Bùi Hồng Minh |
|
Ngày ban hành:
Ngày ban hành là ngày, tháng, năm văn bản được thông qua hoặc ký ban hành.
|
03/03/2023 |
Ngày hết hiệu lực:
Ngày hết hiệu lực là ngày, tháng, năm văn bản chính thức không còn hiệu lực (áp dụng).
|
Đang cập nhật |
|
Áp dụng:
Ngày áp dụng là ngày, tháng, năm văn bản chính thức có hiệu lực (áp dụng).
|
Đã biết
|
Tình trạng hiệu lực:
Cho biết trạng thái hiệu lực của văn bản đang tra cứu: Chưa áp dụng, Còn hiệu lực, Hết hiệu lực, Hết hiệu lực 1 phần; Đã sửa đổi, Đính chính hay Không còn phù hợp,...
|
Đã biết
|
| Lĩnh vực: | Xây dựng |
TÓM TẮT THÔNG TƯ 02/2023/TT-BXD
Ngày 03/3/2023, Bộ Xây dựng ban hành Thông tư 02/2023/TT-BXD về việc hướng dẫn một số nội dung về hợp đồng xây dựng.
Theo đó, việc tạm thanh toán hợp đồng xây dựng theo quy định tại Khoản 4 Điều 19 Nghị định số 37/2015/NĐ-CP căn cứ vào điều kiện cụ thể của từng lần tạm thanh toán để quyết định giá trị tạm thanh toán và biện pháp bảo đảm đối với các khoản tạm thanh toán, đảm bảo hiệu quả, tránh thất thoát vốn. Một số trường hợp cụ thể như sau:
Một là, đối với hợp đồng theo đơn giá điều chỉnh, khi đến kỳ thanh toán chưa có dữ liệu điều chỉnh đơn giá, giá hợp đồng thì sử dụng đơn giá trong hợp đồng để thực hiện tạm thanh toán.
Hai là, đối với các sản phẩm, công việc, công tác đang trong quá trình thi công, chưa hoàn thành theo đúng yêu cầu của hợp đồng thì căn cứ mức độ hoàn thành đối với từng trường hợp cụ thể và chi tiết đơn giá sản phẩm, công việc, công tác đó trong hợp đồng để thực hiện tạm thanh toán.
Hồ sơ tạm thanh toán bao gồm: Biên bản nghiệm thu khối lượng hoặc Biên bản xác nhận khối lượng (nếu chưa đủ điều kiện để nghiệm thu), Bảng tính giá trị thanh toán phát sinh (tăng hoặc giảm); Bảng tính giá trị tạm thanh toán và Đề nghị tạm thanh toán.
Bên cạnh đó, Bộ cũng ban hành kèm theo Thông tư này là 03 mẫu hợp đồng: Mẫu hợp đồng tư vấn xây dựng; Mẫu hợp đồng thi công xây dựng; và Mẫu hợp đồng Thiết kế - Mua sắm vật tư, thiết bị - Thi công xây dựng công trình (EPC).
Thông tư có hiệu lực từ ngày 20/4/2023.
Xem chi tiết Thông tư 02/2023/TT-BXD có hiệu lực kể từ ngày 20/04/2023
Tải Thông tư 02/2023/TT-BXD
|
BỘ XÂY DỰNG
|
CỘNG HÒA XÃ HỘI CHỦ NGHĨA VIỆT NAM Hà Nội, ngày 03 tháng 03 năm 2023 |
THÔNG TƯ
Hướng dẫn một số nội dung về hợp đồng xây dựng
_________________
Căn cứ Luật Xây dựng ngày 18 tháng 6 năm 2014; Luật sửa đổi, bổ sung một số điều của Luật Xây dựng ngày 17 tháng 6 năm 2020;
Căn cứ Nghị định số 52/2022/NĐ-CP ngày 08 tháng 8 năm 2022 của Chính phủ quy định chức năng, nhiệm vụ, quyền hạn và cơ cấu tổ chức của Bộ Xây dựng;
Căn cứ Nghị định số 37/2015/NĐ-CP ngày 22 tháng 4 năm 2015 của Chính phủ quy định chi tiết về hợp đồng xây dựng;
Căn cứ Nghị định số 50/2021/NĐ-CP ngày 01 tháng 4 năm 2021 sửa đổi, bổ sung một số điều của Nghị định số 37/2015/NĐ-CP ngày 22 tháng 4 năm 2015 của Chính phủ quy định chi tiết về hợp đồng xây dựng;
Theo đề nghị của Cục trưởng Cục Kinh tế xây dựng;
Bộ trưởng Bộ Xây dựng ban hành Thông tư hướng dẫn một số nội dung về hợp đồng xây dựng.
Điều 1. Phạm vi điều chỉnh
Thông tư này hướng dẫn chi tiết một số nội dung về hợp đồng xây dựng; công bố và hướng dẫn sử dụng mẫu hợp đồng thi công xây dựng, mẫu hợp đồng tư vấn xây dựng, mẫu hợp đồng Thiết kế - Mua sắm vật tư, thiết bị - Thi công xây dựng công trình (sau đây viết tắt là EPC).
Điều 2. Đối tượng áp dụng
1. Thông tư này áp dụng đối với các tổ chức, cá nhân liên quan đến việc xác lập và quản lý thực hiện hợp đồng xây dựng thuộc các dự án đầu tư xây dựng sử dụng vốn đầu tư công, vốn nhà nước ngoài đầu tư công và hợp đồng xây dựng giữa doanh nghiệp dự án với các nhà thầu xây dựng thực hiện các gói thầu thuộc dự án đầu tư theo phương thức đối tác công tư.
Các tổ chức, cá nhân tham khảo các quy định tại Thông tư này để xác lập và quản lý hợp đồng xây dựng đối với các dự án sử dụng vốn khác.
2. Đối với hợp đồng xây dựng thuộc các dự án sử dụng nguồn vốn hỗ trợ phát triển chính thức, vốn vay ưu đãi phát sinh từ Điều ước quốc tế mà Việt Nam là thành viên có những quy định khác với các quy định tại Thông tư này thì thực hiện theo các quy định của Điều ước quốc tế đó.
Điều 3. Thanh toán, tạm thanh toán và hồ sơ tạm thanh toán hợp đồng xây dựng
1. Việc thanh toán hợp đồng xây dựng thực hiện theo quy định tại Điều 19 Nghị định số 37/2015/NĐ-CP .
2. Trường hợp sản xuất các cấu kiện, bán thành phẩm có giá trị lớn, vật liệu xây dựng phải dự trữ theo mùa được tạm ứng để thực hiện theo quy định tại khoản 7 Điều 18 Nghị định số 37/2015/NĐ-CP , hồ sơ tạm ứng phải liệt kê danh mục, đơn giá và tổng giá trị từng loại vật liệu, cấu kiện, bán thành phẩm. Khi thanh toán phải giảm trừ giá trị khối lượng hoàn thành được nghiệm thu tương ứng với phần giá trị đã được tạm ứng theo nội dung hợp đồng.
3. Việc tạm thanh toán theo quy định tại khoản 4 Điều 19 Nghị định số 37/2015/NĐ-CP căn cứ vào điều kiện cụ thể của từng lần tạm thanh toán để quyết định giá trị tạm thanh toán và biện pháp bảo đảm đối với các khoản tạm thanh toán, đảm bảo hiệu quả, tránh thất thoát vốn. Một số trường hợp cụ thể như sau:
a) Đối với hợp đồng theo đơn giá điều chỉnh, khi đến kỳ thanh toán chưa có dữ liệu điều chỉnh đơn giá, giá hợp đồng thì sử dụng đơn giá trong hợp đồng để thực hiện tạm thanh toán.
b) Đối với các sản phẩm, công việc, công tác đang trong quá trình thi công, chưa hoàn thành theo đúng yêu cầu của hợp đồng thì căn cứ mức độ hoàn thành đối với từng trường hợp cụ thể và chi tiết đơn giá sản phẩm, công việc, công tác đó trong hợp đồng để thực hiện tạm thanh toán.
4. Đối với những sản phẩm, công việc, công tác chưa được hoàn thành do các nguyên nhân, trong đó bao gồm hợp đồng bị chấm dứt hoặc một trong các bên tham gia hợp đồng không nghiệm thu sản phẩm, phải xác định rõ trách nhiệm và nghĩa vụ của từng chủ thể có liên quan trước khi thực hiện thanh toán.
5. Hồ sơ tạm thanh toán bao gồm: Biên bản nghiệm thu khối lượng hoặc Biên bản xác nhận khối lượng (nếu chưa đủ điều kiện để nghiệm thu), Bảng tính giá trị thanh toán phát sinh (tăng hoặc giảm); Bảng tính giá trị tạm thanh toán và Đề nghị tạm thanh toán.
Điều 4. Điều chỉnh khối lượng công việc trong hợp đồng xây dựng
1. Việc điều chỉnh khối lượng công việc trong hợp đồng xây dựng thực hiện theo quy định tại Điều 37 Nghị định số 37/2015/NĐ-CP được sửa đổi, bổ sung tại khoản 13 Điều 1 Nghị định số 50/2021/NĐ-CP .
2. Việc điều chỉnh khối lượng công việc giữa các thành viên trong liên danh nhà thầu không làm thay đổi giá hợp đồng xây dựng thì chủ đầu tư quyết định trên cơ sở thỏa thuận, thống nhất của các thành viên liên danh và năng lực, kinh nghiệm của từng thành viên, đảm bảo an toàn, chất lượng, hiệu quả, tiến độ của hợp đồng.
Điều 5. Điều chỉnh tiến độ thực hiện hợp đồng xây dựng
1. Việc điều chỉnh tiến độ thực hiện hợp đồng xây dựng thực hiện theo quy định tại Điều 39 Nghị định số 37/2015/NĐ-CP .
2. Khi điều chỉnh tiến độ hợp đồng xây dựng quy định tại điểm a khoản 2 Điều 39 Nghị định số 37/2015/NĐ-CP , Bên giao thầu và Bên nhận thầu có trách nhiệm đánh giá tác động của các sự kiện bất khả kháng đến tiến độ thực hiện hợp đồng xây dựng để xác định, quyết định điều chỉnh cho phù hợp.
3. Trường hợp tạm dừng thực hiện công việc theo yêu cầu của Cơ quan nhà nước có thẩm quyền theo quy định tại điểm d khoản 2 Điều 39 Nghị định số 37/2015/NĐ-CP cần thực hiện các công việc sau:
a) Bên giao thầu, Bên nhận thầu căn cứ yêu cầu tạm dừng của Cơ quan nhà nước có thẩm quyền, đánh giá tác động đến tiến độ thực hiện hợp đồng xây dựng làm cơ sở xác định, thỏa thuận điều chỉnh tiến độ thực hiện hợp đồng.
b) Trường hợp phát sinh chi phí do kéo dài thời gian thực hiện hợp đồng thì Bên giao thầu, Bên nhận thầu căn cứ nội dung hợp đồng, hướng dẫn của Cơ quan nhà nước có thẩm quyền về sự kiện dẫn đến tạm dừng thực hiện hợp đồng xây dựng làm cơ sở xác định, thỏa thuận về các khoản mục chi phí phát sinh hợp lý.
Điều 6. Điều chỉnh đơn giá và giá hợp đồng xây dựng
1. Việc điều chỉnh đơn giá hợp đồng xây dựng thực hiện theo quy định tại Điều 38 Nghị định số 37/2015/NĐ-CP được sửa đổi, bổ sung tại khoản 14 Điều 1 Nghị định số 50/2021/NĐ-CP .
2. Khi điều chỉnh giá hợp đồng xây dựng dẫn đến phải điều chỉnh, bổ sung hợp đồng thì phải ký kết phụ lục hợp đồng làm cơ sở điều chỉnh giá hợp đồng. Chủ đầu tư có trách nhiệm phê duyệt hoặc trình phê duyệt dự toán điều chỉnh, phát sinh theo đúng các quy định của pháp luật về quản lý chi phí đầu tư xây dựng công trình và hợp đồng xây dựng làm cơ sở ký kết phụ lục bổ sung hợp đồng.
3. Phương pháp điều chỉnh giá hợp đồng xây dựng
a) Phương pháp điều chỉnh giá hợp đồng xây dựng thực hiện theo hướng dẫn tại Phụ lục I kèm theo Thông tư này. Việc áp dụng các phương pháp điều chỉnh giá phải phù hợp với tính chất công việc, loại giá hợp đồng, đồng tiền thanh toán và phải được thỏa thuận trong hợp đồng.
b) Đối với hợp đồng tư vấn xây dựng thực hiện thanh toán theo thời gian (theo tháng, tuần, ngày, giờ) thì việc điều chỉnh mức tiền lương cho chuyên gia thực hiện theo công thức điều chỉnh cho một yếu tố chi phí nhân công tại mục I Phụ lục I kèm theo Thông tư này.
Điều 7. Hướng dẫn sử dụng, vận dụng mẫu hợp đồng xây dựng
1. Mẫu hợp đồng xây dựng công bố kèm theo Thông tư này để các tổ chức, cá nhân tham khảo, vận dụng trong việc xác lập, quản lý thực hiện hợp đồng cho các gói thầu xây dựng, đảm bảo nội dung hợp đồng xây dựng theo quy định tại khoản 1 Điều 141 Luật Xây dựng số 50/2014/QH13.
2. Mẫu hợp đồng xây dựng công bố kèm theo Thông tư này là mẫu hợp đồng giữa chủ đầu tư và nhà thầu. Trường hợp bên giao thầu là tổng thầu, nhà thầu chính, các bên nghiên cứu vận dụng các nội dung cần thiết của mẫu hợp đồng này để xác lập, quản lý thực hiện hợp đồng.
3. Mẫu hợp đồng xây dựng công bố kèm theo Thông tư này bao gồm:
a) Mẫu hợp đồng tư vấn xây dựng tại Phụ lục II kèm theo Thông tư này sử dụng cho loại hợp đồng tư vấn thực hiện công việc lập báo cáo nghiên cứu khả thi, khảo sát xây dựng, thiết kế xây dựng công trình, giám sát thi công xây dựng công trình.
b) Mẫu hợp đồng thi công xây dựng tại Phụ lục III kèm theo Thông tư này.
c) Mẫu hợp đồng EPC tại Phụ lục IV Thông tư này sử dụng cho loại hợp đồng trọn gói. Trường hợp áp dụng các hình thức giá hợp đồng theo đơn giá cố định, đơn giá điều chỉnh hoặc hợp đồng theo giá kết hợp, thì các bên căn cứ vào các quy định của pháp luật và Thông tư này để sửa đổi, bổ sung điều khoản của mẫu hợp đồng EPC để xác lập hợp đồng.
4. Đối với hợp đồng đơn giản quy mô nhỏ, các loại hợp đồng tư vấn đầu tư xây dựng và hợp đồng hỗn hợp khác, các bên tham khảo, vận dụng các mẫu hợp đồng xây dựng công bố kèm theo Thông tư này để điều chỉnh, sửa đổi, bổ sung các điều khoản của mẫu hợp đồng để xác lập hợp đồng.
5. Khi sử dụng mẫu hợp đồng xây dựng công bố kèm theo Thông tư này để thỏa thuận, ký kết hợp đồng xây dựng thì các bên căn cứ vào yêu cầu, điều kiện cụ thể của gói thầu, dự án, các quy định của Nghị định số 37/2015/NĐ-CP được sửa đổi, bổ sung tại Nghị định số 50/2021/NĐ-CP , các quy định khác của pháp luật và nội dung hướng dẫn tại Thông tư này để thực hiện. Trong nội dung hợp đồng phải thỏa thuận cụ thể các nội dung sau:
a) Quy định cụ thể về thời hạn thanh toán, thời gian bảo đảm thực hiện hợp đồng, thời hạn trả lời văn bản, thời gian chấm dứt hợp đồng và các trường hợp tương tự.
b) Trường hợp nhà thầu là nhà thầu liên danh, phải thỏa thuận việc bảo đảm thực hiện hợp đồng, bảo lãnh tiền tạm ứng theo quy định pháp luật.
c) Quy định cụ thể loại đồng tiền và hình thức thanh toán trong hợp đồng không trái với yêu cầu trong hồ sơ mời thầu và quy định của pháp luật về ngoại hối.
d) Trường hợp hợp đồng theo hình thức đơn giá điều chỉnh thì phải thỏa thuận phương pháp điều chỉnh giá hợp đồng, nguồn dữ liệu về giá và cơ sở giá để điều chỉnh hợp đồng không trái với hồ sơ mời thầu và pháp luật hợp đồng xây dựng.
đ) Tùy theo tính chất và điều kiện của gói thầu để điều chỉnh, bổ sung các nội dung hợp đồng cho phù hợp.
Điều 8. Quy định chuyển tiếp
1. Các hợp đồng xây dựng đã ký và đang thực hiện trước ngày Thông tư này có hiệu lực thì thực hiện theo quy định về hợp đồng xây dựng trước ngày Thông tư này có hiệu lực thi hành.
2. Các hợp đồng xây dựng đang trong quá trình đàm phán, chưa được ký kết nếu có nội dung nào chưa phù hợp với quy định tại Thông tư này thì báo cáo người có thẩm quyền quyết định đầu tư xem xét, quyết định trên nguyên tắc bảo đảm chất lượng, tiến độ, hiệu quả của dự án đầu tư xây dựng và không làm phương hại đến quyền và lợi ích hợp pháp của các bên.
3. Nội dung hợp đồng xây dựng trong các hồ sơ mời thầu, hồ sơ yêu cầu đã phê duyệt nhưng chưa phát hành thì phải điều chỉnh nội dung cho phù hợp với quy định tại Thông tư này. Trường hợp đã phát hành hồ sơ mời thầu, hồ sơ yêu cầu, nếu điều chỉnh nội dung liên quan đến hợp đồng, thì phải thông báo cho tất cả các nhà thầu đã mua hồ sơ mời thầu, hồ sơ yêu cầu biết để điều chỉnh các nội dung hồ sơ dự thầu, hồ sơ đề xuất. Trường hợp đã đóng thầu thì thực hiện theo quy định tại khoản 2 Điều này.
Điều 9. Hiệu lực thi hành
1. Thông tư này có hiệu lực kể từ ngày 20/4/2023.
2. Thông tư này thay thế Thông tư số 07/2016/TT-BXD ngày 10/3/2016 của Bộ trưởng Bộ Xây dựng hướng dẫn điều chỉnh giá hợp đồng xây dựng, Thông tư số 08/2016/TT-BXD ngày 10/3/2016 của Bộ trưởng Bộ Xây dựng hướng dẫn một số nội dung về hợp đồng tư vấn xây dựng, Thông tư số 09/2016/TT-BXD ngày 10/3/2016 của Bộ trưởng Bộ Xây dựng hướng dẫn hợp đồng thi công xây dựng công trình và Thông tư số 30/2016/TT-BXD ngày 30/12/2016 của Bộ trưởng Bộ Xây dựng hướng dẫn hợp đồng thiết kế - cung cấp thiết bị công nghệ và thi công xây dựng công trình./.
|
Nơi nhận: |
KT. BỘ TRƯỞNG |
PHỤ LỤC I
PHƯƠNG PHÁP ĐIỀU CHỈNH GIÁ HỢP ĐỒNG
(Ban hành kèm theo Thông tư số 02/2023/TT-BXD ngày 03/3/2023 của Bộ trưởng Bộ Xây dựng hướng dẫn một số nội dung về hợp đồng xây dựng)
I/ PHƯƠNG PHÁP DÙNG HỆ SỐ ĐIỀU CHỈNH GIÁ
Trường hợp các bên thỏa thuận điều chỉnh giá hợp đồng theo phương pháp dùng hệ số điều chỉnh giá, thì việc điều chỉnh giá hợp đồng được thực hiện theo công thức sau:
GTT = GHĐ x Pn (1)
Trong đó:
GTT: Là giá thanh toán tương ứng với khối lượng công việc hoàn thành được nghiệm thu trong khoảng thời gian “n” của cả hợp đồng, hoặc của hạng mục công trình, hoặc của loại công tác, hoặc của các yếu tố chi phí.
GHĐ: Là giá trong hợp đồng đã ký tương ứng với khối lượng công việc hoàn thành được nghiệm thu trong khoảng thời gian “n” của cả hợp đồng, hoặc của hạng mục công trình, hoặc của loại công tác, hoặc của yếu tố chi phí.
Pn: Là hệ số điều chỉnh giá (tăng hoặc giảm) áp dụng cho khối lượng công việc hoàn thành được nghiệm thu trong khoảng thời gian “n” của cả hợp đồng, hoặc của hạng mục công trình, hoặc của loại công tác, hoặc của yếu tố chi phí.
1. Phương pháp xác định “Pn” theo các yếu tố chi phí vật liệu, nhân công, máy thi công
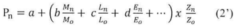
1.1. Trường hợp điều chỉnh cho tất cả các yếu tố chi phí (điều chỉnh cả vật liệu, nhân công, máy thi công), hệ số “Pn” được xác định như sau:

Trong đó:
a: Là hệ số cố định, được xác định ở bảng số liệu điều chỉnh tương ứng trong hợp đồng, thể hiện phần không điều chỉnh giá (bao gồm phần giá trị tương ứng với mức tạm ứng hợp đồng vượt mức tạm ứng tối thiểu, tạm ứng trước để sản xuất các cấu kiện, bán thành phẩm có giá trị lớn, vật liệu xây dựng phải dự trữ theo mùa và giá trị các khoản chi phí không được điều chỉnh giá trong hợp đồng) của các khoản thanh toán theo hợp đồng (hoặc theo hạng mục, hoặc công tác, hoặc yếu tố chi phí trong hợp đồng).
b, c, d,...: Là các hệ số biểu thị tỷ trọng chi phí vật liệu, nhân công, máy thi công của phần công việc trong hợp đồng được nêu trong bảng số liệu điều chỉnh tương ứng.
Các hệ số a, b, c, d,... do các bên tính toán, xác định và thỏa thuận trong hợp đồng. Tổng các hệ số: a + b + c + d +... = 1
Mn, Ln, En,...: Là các chỉ số giá hoặc giá hiện hành tại thời điểm điều chỉnh tương ứng với mỗi loại chi phí vật liệu, chi phí nhân công, chi phí máy thi công cho thời gian “n”, được xác định trong khoảng thời gian 28 ngày trước ngày hết hạn nộp hồ sơ thanh toán quy định trong hợp đồng.
Mo, Lo, Eo,...: Là các chỉ số giá hoặc giá gốc tương ứng với mỗi loại chi phí vật liệu, chi phí nhân công, chi phí máy thi công được xác định trong khoảng thời gian 28 ngày trước ngày đóng thầu và phải được các bên thỏa thuận trong hợp đồng.
Trường hợp tiền tệ của chỉ số giá hoặc giá điều chỉnh được nêu trong bảng điều chỉnh khác với tiền tệ thanh toán trong hợp đồng, thì chỉ số giá hoặc giá điều chỉnh phải chuyển đổi sang tiền tệ thanh toán tương ứng nêu trong hợp đồng, khi đó hệ số “Pn” được xác định như sau:

- Zn: Là tỷ giá bán ra của đồng ngoại tệ do Sở Giao dịch Ngân hàng Nhà nước Việt Nam công bố tại thời điểm điều chỉnh cho thời gian “n”, được xác định trong khoảng thời gian 28 ngày trước ngày hết hạn nộp hồ sơ thanh toán quy định trong hợp đồng.
- Zo: Là tỷ giá bán ra của đồng ngoại tệ do Sở Giao dịch Ngân hàng Nhà nước Việt Nam công bố tại thời điểm gốc, được xác định trong khoảng thời gian 28 ngày trước ngày đóng thầu và phải được các bên thỏa thuận trong hợp đồng.
Trường hợp bên nhận thầu không hoàn thành công việc trong khoảng thời gian quy định trong hợp đồng do nguyên nhân chủ quan của nhà thầu thì việc điều chỉnh giá sẽ được áp dụng trong khoảng thời gian 28 ngày trước ngày hết hạn nộp hồ sơ thanh toán theo thời gian Quy định trong hợp đồng, hoặc thời điểm thực hiện công việc đó do bên giao thầu quyết định theo nguyên tắc có lợi cho bên giao thầu.
1.2. Trường hợp điều chỉnh cho 02 yếu tố chi phí, hệ số “Pn” được xác định như sau:
1.2.1. Điều chỉnh chi phí vật liệu và nhân công:

Các đại lượng a, b, c, Ln, Lo, Mn, Mo xác định như trong công thức (2)
Tổng các hệ số: a + b + c = 1
1.2.2. Điều chỉnh chi phí vật liệu và máy thi công:

Các đại lượng a, b, d, En, Eo, Mn, Mo xác định như trong công thức (2)
Tổng các hệ số: a + b + d = 1
1.2.3. Điều chỉnh chi phí nhân công và máy thi công:

Các đại lượng a, c, d, Ln, Lo, En, Eo xác định như trong công thức (2)
Tổng các hệ số: a + c + d = 1
1.3. Trường hợp điều chỉnh cho 01 yếu tố chi phí:
Khi điều chỉnh giá cho 01 yếu tố chi phí trong hợp đồng (như chỉ điều chỉnh chi phí nhân công hoặc chi phí máy thi công hoặc chi phí vật liệu hoặc cho một số loại vật liệu chủ yếu...), hệ số “Pn” được xác định như sau:
1.3.1. Điều chỉnh chi phí vật liệu:

Các đại lượng a, b, Mn, Mo xác định như trong công thức (2)
Tổng các hệ số: a + b = 1
1.3.2. Điều chỉnh chi phí nhân công:

Các đại lượng a, c, Ln, Lo xác định như trong công thức (2)
Tổng các hệ số: a + c = 1
1.3.3. Điều chỉnh chi phí máy thi công:

Các đại lượng a, d, En, Eo xác định như trong công thức (2)
Tổng các hệ số: a + d = 1
1.3.4. Phương pháp xác định “Pn” theo một số loại vật liệu chủ yếu:

Đại lượng “a” xác định như trong công thức (2)
b1, b2, b3,... là hệ số biểu thị tỷ lệ (tỷ trọng) chi phí của loại vật liệu chủ yếu được điều chỉnh giá trong hợp đồng.
Mn1, Mn2, Mn3, Mo1, Mo2, Mo3,... là các chỉ số giá hoặc giá của các loại vật liệu được điều chỉnh giá tại thời điểm “n” và thời điểm gốc.
Tổng các hệ số: a + b1 + b2 + b3 +... = 1
2. Khi điều chỉnh giá hợp đồng theo công thức (1) thì cơ sở dữ liệu đầu vào để tính toán điều chỉnh giá phải phù hợp với nội dung, tính chất công việc trong hợp đồng. Trong hợp đồng phải quy định cụ thể nguồn thông tin về giá hoặc nguồn chỉ số giá xây dựng của các cơ quan nhà nước có thẩm quyền công bố theo quy định để điều chỉnh giá hợp đồng. Trường hợp nguồn thông tin về giá hoặc chỉ số giá xây dựng của cơ quan nhà nước có thẩm quyền không có hoặc có nhưng không phù hợp với nội dung, tính chất công việc và các điều kiện cụ thể của hợp đồng thì các bên phải thỏa thuận, thống nhất tại hợp đồng về nguồn thông tin về giá và chỉ số giá xây dựng sẽ được áp dụng.
3. Đối với công trình chưa có trong danh mục chỉ số giá xây dựng do cơ quan nhà nước có thẩm quyền công bố hoặc công trình xây dựng theo tuyến đi qua địa bàn nhiều tỉnh, thành phố trực thuộc trung ương thì Chủ đầu tư xác định hoặc thuê các tổ chức tư vấn có đủ điều kiện năng lực xác định chỉ số giá xây dựng cho công trình theo phương pháp xác định chỉ số giá xây dựng của Bộ trưởng Bộ Xây dựng hướng dẫn, và gửi Bộ Xây dựng (đối với công trình xây dựng theo tuyến trên địa bàn 02 đơn vị hành chính cấp tỉnh trở lên) hoặc Ủy ban nhân dân cấp tỉnh (đối với công trình xây dựng trên địa bàn tỉnh) cho ý kiến về sự phù hợp của phương pháp xác định, tính đúng đắn, hợp lý của việc xác định chỉ số giá xây dựng.
4. Khi xác định chỉ số giá xây dựng riêng cho gói thầu thì cơ cấu các khoản mục chi phí, tỷ trọng các yếu tố chi phí để xác định chỉ số giá xây dựng là cơ cấu chi phí trong dự toán xây dựng công trình hoặc dự toán gói thầu xây dựng của công trình, hạng mục công trình được duyệt hoặc bảng giá hợp đồng đã ký kết.
II/ PHƯƠNG PHÁP BÙ TRỪ TRỰC TIẾP
1. Trường hợp các bên thỏa thuận điều chỉnh giá hợp đồng theo phương pháp bù trừ trực tiếp, thì việc điều chỉnh giá hợp đồng được thực hiện theo công thức sau:
GTT = GHĐ + GCL (10)
Trong đó:
- GTT: Là giá thanh toán tương ứng cho các khối lượng công việc hoàn thành được nghiệm thu trong khoảng thời gian “n” của cả hợp đồng, hoặc của hạng mục công trình, hoặc của loại công tác, hoặc của các yếu tố chi phí.
- GHĐ: Là giá trong hợp đồng đã ký tương ứng với các khối lượng công việc hoàn thành được nghiệm thu trong khoảng thời gian “n” của cả hợp đồng, hoặc của hạng mục công trình, hoặc của loại công tác, hoặc của yếu tố chi phí.
- GCL: Là giá trị chênh lệch giữa giá vật liệu, nhân công và máy thi công trong khoảng thời gian “n” với giá vật liệu, nhân công và máy thi công tại thời điểm gốc cho toàn bộ khối lượng công việc hoàn thành được nghiệm thu của cả hợp đồng, hoặc của hạng mục công trình, hoặc của khối lượng công việc theo giai đoạn thanh toán, hoặc của yếu tố chi phí.
2. Phương pháp xác định “GCL” theo các yếu tố chi phí vật liệu, nhân công, máy thi công
2.1. Trường hợp điều chỉnh cho tất cả các yếu tố chi phí (điều chỉnh cả vật liệu, nhân công, máy thi công), giá trị “GCL” được xác định như sau:

Trong đó:
Qi là khối lượng của loại vật liệu, nhân công, máy thi công thứ i trong khối lượng công việc hoàn thành được nghiệm thu được phép điều chỉnh.
- Mn, Ln, En,...: Là giá tại thời điểm điều chỉnh tương ứng với mỗi loại chi phí vật liệu, chi phí nhân công, chi phí máy thi công cho thời gian “n”, được xác định trong khoảng thời gian 28 ngày trước ngày hết hạn nộp hồ sơ thanh toán quy định trong hợp đồng. Giá tại thời điểm điều chỉnh được chọn là giá theo công bố của cơ quan nhà nước có thẩm quyền.
Trường hợp nguồn thông tin về giá của cơ quan nhà nước có thẩm quyền không có hoặc có nhưng không phù hợp với nội dung, tính chất công việc và các điều kiện cụ thể của hợp đồng thì các bên phải thỏa thuận, thống nhất tại hợp đồng về nguồn thông tin về giá sẽ được áp dụng.
- Mo, Lo, Eo,...: Là giá gốc tương ứng với mỗi loại chi phí vật liệu, chi phí nhân công, chi phí máy thi công được xác định trong khoảng thời gian 28 ngày trước ngày đóng thầu và phải được các bên thỏa thuận cụ thể trong hợp đồng. Giá tại thời điểm gốc được chọn là giá cao nhất trong các giá: giá trong hợp đồng, giá theo công bố của cơ quan nhà nước có thẩm quyền hoặc giá trong dự toán gói thầu đã được cấp có thẩm quyền phê duyệt (đối với giá các loại vật liệu, nhân công, máy thi công không có trong công bố giá).
2.2. Trường hợp điều chỉnh cho 02 hoặc 01 yếu tố chi phí, giá trị “GCL” được xác định trên cơ sở vận dụng theo công thức (11) và các công thức tại điểm 1.2 và 1.3 mục I.
PHỤ LỤC II
MẪU HỢP ĐỒNG TƯ VẤN XÂY DỰNG
(Công bố kèm theo Thông tư số 02/2023/TT-BXD ngày 03/3/2023 của Bộ trưởng Bộ Xây dựng hướng dẫn một số nội dung về hợp đồng xây dựng)
CỘNG HÒA XÃ HỘI CHỦ NGHĨA VIỆT NAM
Độc lập - Tự do - Hạnh phúc
_______________
(Địa danh), ngày .... tháng .... năm ……
HỢP ĐỒNG
Tư vấn lập Báo cáo nghiên cứu khả thi/Tư vấn khảo sát xây dựng công trình/Tư vấn thiết kế xây dựng công trình/Tư vấn giám sát thi công xây dựng công trình
Số: ……/(Năm) /... (Ký hiệu hợp đồng)
Dự án hoặc công trình hoặc gói thầu
Số ………………
thuộc dự án ………………
giữa
(Tên giao dịch của Chủ đầu tư)
và
(Tên giao dịch của Nhà thầu tư vấn)
MỤC LỤC
DANH MỤC CÁC CHỮ VIẾT TẮT
PHẦN 1. THÔNG TIN GIAO DỊCH
PHẦN 2. CÁC CĂN CỨ KÝ KẾT HỢP ĐỒNG
PHẦN 3. ĐIỀU KIỆN CHUNG CỦA HỢP ĐỒNG
Điều 1. Diễn giải
Điều 2. Loại hợp đồng
Điều 3. Hồ sơ hợp đồng tư vấn xây dựng và thứ tự ưu tiên
Điều 4. Trao đổi thông tin
Điều 5. Luật áp dụng và ngôn ngữ sử dụng trong hợp đồng
Điều 6. Bảo đảm thực hiện hợp đồng (nếu có) và bảo lãnh tạm ứng hợp đồng (đối với trường hợp các bên thỏa thuận phải có bảo lãnh tiền tạm ứng)
Điều 7. Nội dung, khối lượng công việc và sản phẩm của hợp đồng tư vấn khảo sát xây dựng
Điều 8. Nội dung, khối lượng công việc và sản phẩm của hợp đồng tư vấn lập báo cáo nghiên cứu khả thi đầu tư xây dựng
Điều 9. Nội dung, khối lượng công việc và sản phẩm của hợp đồng tư vấn thiết kế xây dựng công trình
Điều 10. Nội dung và khối lượng công việc tư vấn giám sát thi công xây dựng công trình
Điều 11. Yêu cầu về chất lượng, số lượng sản phẩm tư vấn xây dựng
Điều 12. Căn cứ nghiệm thu sản phẩm tư vấn xây dựng
Điều 13. Giá hợp đồng
Điều 14. Điều chỉnh hợp đồng tư vấn xây dựng
Điều 15. Quyền và nghĩa vụ của Nhà thầu tư vấn
Điều 16. Quyền và nghĩa vụ của Chủ đầu tư
Điều 17. Nhà thầu phụ (nếu có)
Điều 18. Nhân lực của Nhà thầu tư vấn
Điều 19. Bản quyền và quyền sử dụng tài liệu
Điều 20. Bảo hiểm
Điều 21. Rủi ro và bất khả kháng
Điều 22. Tạm ngừng công việc trong hợp đồng
Điều 24. Chấm dứt hợp đồng
Điều 25. Quyết toán và thanh lý hợp đồng
Điều 26. Nghiệm thu sản phẩm tư vấn
Điều 27. Thời gian và tiến độ thực hiện hợp đồng tư vấn xây dựng
Điều 28. Tạm ứng và thanh toán
Điều 29. Khiếu nại, hòa giải và giải quyết tranh chấp
Điều 30. Thưởng, phạt, bồi thường thiệt hại
Điều 31. Điều khoản chung
PHẦN 4. ĐIỀU KIỆN CỤ THỂ CỦA HỢP ĐỒNG
Điều 1. Loại hợp đồng
Điều 2. Luật áp dụng và ngôn ngữ sử dụng trong hợp đồng
Điều 3. Bảo đảm thực hiện hợp đồng (nếu có) và bảo lãnh tạm ứng hợp đồng (đối với trường hợp các bên thỏa thuận phải có bảo lãnh tiền tạm ứng)
Điều 4. Yêu cầu về chất lượng, số lượng sản phẩm tư vấn xây dựng
Điều 5. Giá hợp đồng
Điều 6. Điều chỉnh hợp đồng tư vấn xây dựng
Điều 7. Nhân lực của Nhà thầu tư vấn
Điều 8. Chấm dứt hợp đồng
Điều 9. Nghiệm thu sản phẩm tư vấn
Điều 10. Thời gian và tiến độ thực hiện hợp đồng tư vấn xây dựng
Điều 11. Tạm ứng và thanh toán
Điều 12. Khiếu nại, hòa giải và giải quyết tranh chấp
Điều 13. Thưởng, phạt, bồi thường thiệt hại
Điều 14. Điều khoản chung
DANH MỤC CÁC CHỮ VIẾT TẮT
|
ĐKC |
Điều kiện chung |
|
ĐKCT |
Điều kiện cụ thể |
|
HSMT |
Hồ sơ mời thầu |
|
HSYC |
Hồ sơ yêu cầu |
|
HSDT |
Hồ sơ dự thầu |
|
HSĐX |
Hồ sơ đề xuất |
|
Luật Xây dựng số 50/2014/QH13 |
Luật Xây dựng số 50/2014/QH13 ngày 18/6/2014 của Quốc hội. |
|
Luật số 62/2020/QH14 |
Luật số 62/2020/QH14 ngày 17/6/2020 của Quốc hội sửa đổi, bổ sung một số điều của Luật Xây dựng. |
|
Nghị định số 37/2015/NĐ-CP |
Nghị định số 37/2015/NĐ-CP ngày 22 tháng 4 năm 2015 của Chính phủ quy định chi tiết về hợp đồng xây dựng. |
|
Nghị định số 50/2021/NĐ-CP |
Nghị định số 50/2021/NĐ-CP sửa đổi, bổ sung một số điều của Nghị định số 37/2015/NĐ-CP ngày 22 tháng 4 năm 2015 của Chính phủ quy định chi tiết về hợp đồng xây dựng. |
|
Nghị định số 06/2021/NĐ-CP |
Nghị định số 06/2021/NĐ-CP ngày 21 tháng 01 năm 2021 của Chính phủ quy định chi tiết một số nội dung về quản lý chất lượng, thi công xây dựng và bảo trì công trình xây dựng. |
|
Nghị định số 15/2021/NĐ-CP |
Nghị định số 15/2021/NĐ-CP ngày 03 tháng 3 tháng 2021 của Chính phủ về quy định chi tiết một số nội dung về quản lý dự án đầu tư xây dựng. |
PHẦN 1. THÔNG TIN GIAO DỊCH
Hôm nay, ngày ... tháng ... năm …… tại (Địa danh) ………………………………., chúng tôi gồm các bên dưới đây:
1. Chủ đầu tư:
Tên giao dịch: ………………………………………………………………………………………
Đại diện (hoặc người được ủy quyền) là: Ông/Bà ………………………………………… Chức vụ: …………………………..
Địa chỉ: …………………………………….
Tài Khoản: …………………………………
Mã số thuế: ………………………………..
Đăng ký doanh nghiệp (nếu có): ……………………
Điện thoại: ……………………………… Fax: ………………………………
E-mail: …………………………………….
Và bên kia là:
2. Nhà thầu tư vấn:
Tên giao dịch: ………………………………………………………………………………………
Đại diện (hoặc người được ủy quyền) là: Ông/Bà ………………………………………… Chức vụ: …………………………..
Địa chỉ: …………………………………….
Tài Khoản: …………………………………
Mã số thuế: ………………………………..
Đăng ký doanh nghiệp (nếu có): ……………………
Điện thoại: ……………………………… Fax: ………………………………
E-mail: …………………………………….
Giấy ủy quyền ký hợp đồng số …………………… ngày....tháng....năm.... (Trường hợp được ủy quyền)
(Trường hợp là liên danh các nhà thầu thì phải ghi đầy đủ thông tin các thành viên trong liên danh và cử đại diện liên danh giao dịch)
Hai bên cùng thống nhất ký hợp đồng tư vấn .... của gói thầu .... thuộc dự án/công trình (tên dự án/công trình) như sau:
PHẦN 2. CÁC CĂN CỨ KÝ KẾT HỢP ĐỒNG
Căn cứ Bộ Luật Dân sự ngày 24 tháng 11 năm 2015;
Căn cứ Luật Xây dựng ngày 18 tháng 6 năm 2014; Luật sửa đổi, bổ sung một số điều của Luật Xây dựng ngày 17 tháng 6 năm 2020;
Căn cứ Luật Đấu thầu số 43/2013/QH13 ngày 26 tháng 11 năm 2013;
Căn cứ Nghị định số 37/2015/NĐ-CP ngày 22 tháng 4 năm 2015 của Chính phủ quy định chi tiết về hợp đồng xây dựng;
Căn cứ Nghị định số 50/2021/NĐ-CP ngày 01 tháng 4 năm 2021 sửa đổi, bổ sung một số điều của Nghị định số 37/2015/NĐ-CP ngày 22 tháng 4 năm 2015 của Chính phủ quy định chi tiết về hợp đồng xây dựng;
Căn cứ Nghị định số 06/2021/NĐ-CP ngày 26 tháng 01 tháng 2021 của Chính phủ quy định chi tiết một số nội dung về quản lý chất lượng, thi công xây dựng và bảo trì công trình xây dựng;
Căn cứ Nghị định số 15/2021/NĐ-CP ngày 03 tháng 3 tháng 2021 của Chính phủ quy định chi tiết một số nội dung về quản lý dự án đầu tư xây dựng;
Căn cứ Nghị định số 99/2021/NĐ-CP ngày 11/11/2021 quy định về quản lý, thanh toán, quyết toán dự án sử dụng vốn đầu tư công;
Căn cứ Thông tư số ……/……/TT-BXD ngày … tháng … năm …… của Bộ trưởng Bộ Xây dựng hướng dẫn một số nội dung về hợp đồng xây dựng;
Căn cứ ………………………………….. (các căn cứ khác nếu có);
Căn cứ kết quả lựa chọn nhà thầu tại văn bản số ……………………….
PHẦN 3. ĐIỀU KIỆN CHUNG CỦA HỢP ĐỒNG
Điều 1. Diễn giải
Các từ và cụm từ trong hợp đồng này được hiểu theo các định nghĩa và diễn giải sau đây:
1. Chủ đầu tư là... (tên giao dịch Chủ đầu tư).
2. Nhà thầu tư vấn là ... (tên của Nhà thầu tư vấn).
3. Dự án là dự án ... (tên dự án).
4. Công trình là ... (tên công trình mà nhà thầu thực hiện công việc tư vấn xây dựng theo hợp đồng).
5. Gói thầu là ... (tên gói thầu mà nhà thầu thực hiện công việc tư vấn xây dựng theo hợp đồng).
6. Đại diện Chủ đầu tư là người được Chủ đầu tư nêu ra trong hợp đồng hoặc được ủy quyền và thay mặt cho Chủ đầu tư điều hành công việc.
7. Đại diện Nhà thầu tư vấn là người được Nhà thầu tư vấn nêu ra trong hợp đồng hoặc được Nhà thầu tư vấn chỉ định và thay mặt Nhà thầu tư vấn điều hành công việc.
8. Nhà thầu phụ là tổ chức hay cá nhân ký hợp đồng với Nhà thầu tư vấn để trực tiếp thực hiện công việc.
9. Hợp đồng là toàn bộ Hồ sơ hợp đồng tư vấn xây dựng theo quy định tại Điều ... [Hồ sơ hợp đồng tư vấn và thứ tự ưu tiên].
10. HSMT (hoặc HSYC) của Chủ đầu tư là toàn bộ tài liệu theo quy định tại Phụ lục số ... [HSMT (hoặc HSYC) của Chủ đầu tư].
11. HSDT (hoặc HSĐX) của Nhà thầu tư vấn là toàn bộ tài liệu theo quy định tại Phụ lục số ... [HSDT (hoặc HSĐX) của Nhà thầu tư vấn].
12. Đơn dự thầu là đề xuất của Nhà thầu tư vấn có ghi giá dự thầu để thực hiện công việc theo đúng các yêu cầu của HSMT (hoặc HSYC).
13. Bên là Chủ đầu tư hoặc Nhà thầu tư vấn tùy theo hoàn cảnh cụ thể.
14. Ngày được hiểu là ngày dương lịch và tháng được hiểu là tháng dương lịch.
15. Ngày làm việc được hiểu là các ngày theo dương lịch, trừ ngày chủ nhật, ngày nghỉ lễ, tết theo quy định của pháp luật.
16. Luật là toàn bộ hệ thống luật pháp của nước Cộng hòa Xã hội Chủ nghĩa Việt Nam.
Điều 2. Loại hợp đồng
Loại hợp đồng: [quy định tại ĐKCT]
Điều 3. Hồ sơ hợp đồng tư vấn xây dựng và thứ tự ưu tiên
1. Hồ sơ hợp đồng bao gồm hợp đồng tư vấn xây dựng và các tài liệu tại khoản 2 dưới đây.
2. Các tài liệu kèm theo hợp đồng là bộ phận không tách rời của hợp đồng tư vấn xây dựng. Các tài liệu kèm theo hợp đồng và thứ tự ưu tiên để xử lý mâu thuẫn giữa các tài liệu bao gồm:
a) Văn bản thông báo trúng thầu hoặc chỉ định thầu;
b) Điều kiện cụ thể của hợp đồng hoặc Điều khoản tham chiếu đối với hợp đồng tư vấn xây dựng;
c) Điều kiện chung của hợp đồng;
d) HSMT hoặc HSYC của Chủ đầu tư;
đ) Các bản vẽ thiết kế và các chỉ dẫn kỹ thuật;
e) HSDT hoặc HSĐX của Nhà thầu tư vấn;
g) Biên bản đàm phán hợp đồng, văn bản sửa đổi, bổ sung hợp đồng;
h) Các phụ lục của hợp đồng;
i) Các tài liệu khác có liên quan.
3. Thứ tự ưu tiên áp dụng các tài liệu kèm theo hợp đồng xây dựng áp dụng theo thứ tự quy định tại khoản 2 Điều này.
Điều 4. Trao đổi thông tin
1. Các thông báo, chấp thuận, chứng chỉ, quyết định,... đưa ra phải bằng văn bản và được chuyển đến bằng đường bưu điện, bằng fax, hoặc email theo địa chỉ các bên đã quy định trong hợp đồng.
2. Trường hợp bên nào thay đổi địa chỉ liên lạc thì phải thông báo cho bên kia để đảm bảo việc trao đổi thông tin. Nếu bên thay đổi địa chỉ mà không thông báo cho bên kia thì phải chịu trách nhiệm do việc thay đổi địa chỉ mà không thông báo.
Điều 5. Luật áp dụng và ngôn ngữ sử dụng trong hợp đồng
1. Hợp đồng này chịu sự điều chỉnh của hệ thống pháp luật của Việt Nam.
2. Ngôn ngữ của hợp đồng [quy định tại ĐKCT].
Điều 6. Bảo đảm thực hiện hợp đồng (nếu có) và bảo lãnh tạm ứng hợp đồng (đối với trường hợp các bên thỏa thuận phải có bảo lãnh tiền tạm ứng)
1. Việc thực hiện bảo đảm thực hiện hợp đồng và bảo lãnh tạm ứng hợp đồng theo quy định lần lượt tại Điều 16 và Điều 18 Nghị định số 37/2015/NĐ-CP được sửa đổi, bổ sung tại Nghị định số 50/2021/NĐ-CP .
2. Nhà thầu tư vấn phải nộp bảo bảo đảm thực hiện hợp đồng có giá trị là ___ [quy định tại ĐKCT].
3. Nhà thầu tư vấn sẽ không được nhận lại bảo đảm thực hiện hợp đồng trong trường hợp nhà thầu từ chối thực hiện hợp đồng sau khi hợp đồng có hiệu lực và các trường hợp vi phạm khác được quy định trong hợp đồng.
4. Bảo đảm thực hiện hợp đồng sẽ được hoàn trả cho Nhà thầu tư vấn khi đã hoàn thành các công việc theo thỏa thuận của hợp đồng.
5. Nhà thầu tư vấn phải nộp cho Chủ đầu tư bảo lãnh tạm ứng hợp đồng tương đương giá trị khoản tiền tạm ứng trước khi Chủ đầu tư thực hiện việc tạm ứng. Nếu là liên danh các Nhà thầu tư vấn thì từng thành viên trong liên danh phải nộp bảo lãnh tạm ứng hợp đồng tương đương với giá trị khoản tiền tạm ứng cho từng thành viên.
6. Giá trị của bảo lãnh tạm ứng hợp đồng sẽ được khấu trừ tương ứng với giá trị giảm trừ tiền tạm ứng qua mỗi lần thanh toán.
Điều 7. Nội dung, khối lượng công việc và sản phẩm của hợp đồng tư vấn khảo sát xây dựng
1. Nội dung và khối lượng công việc Nhà thầu tư vấn thực hiện được thể hiện cụ thể trong Phụ lục số .... [HSMT (hoặc HSYC) của Chủ đầu tư] và các thỏa thuận tại các biên bản đàm phán hợp đồng giữa các bên, bao gồm các công việc chủ yếu sau:
a) Lập phương án kỹ thuật khảo sát xây dựng theo quy định tại Điều 27 Nghị định số 15/2021/NĐ-CP .
b) Thu thập và phân tích số liệu, tài liệu đã có.
c) Khảo sát hiện trường.
d) Xây dựng lưới khống chế, đo vẽ chi tiết bản đồ địa hình.
đ) Đo vẽ hệ thống công trình kỹ thuật ngầm.
e) Lập lưới khống chế trắc địa các công trình dạng tuyến.
g) Đo vẽ thủy văn, địa chất công trình, địa chất thủy văn.
h) Nghiên cứu địa vật lý.
i) Khoan, lấy mẫu, thí nghiệm, xác định tính chất cơ lý, hóa học của đất, đá, nước.
k) Quan trắc khí tượng, thủy văn, địa chất, địa chất thủy văn.
l) Thực hiện đo vẽ hiện trạng công trình.
m) Xử lý số liệu và lập báo cáo kết quả khảo sát xây dựng.
n) Các công việc khảo sát xây dựng khác.
2. Nhà thầu tư vấn cung cấp sản phẩm của hợp đồng tư vấn khảo sát xây dựng bao gồm:
a) Báo cáo kết quả khảo sát xây dựng theo quy định tại Điều 29 Nghị định số 15/2021/NĐ-CP .
b) Các bản đồ địa hình, bản đồ địa chất công trình, bản đồ địa chất thủy văn, bản vẽ hiện trạng công trình xây dựng, các mặt cắt địa hình, mặt cắt địa chất.
Điều 8. Nội dung, khối lượng công việc và sản phẩm của hợp đồng tư vấn lập báo cáo nghiên cứu khả thi đầu tư xây dựng
1. Nội dung, khối lượng công việc và sản phẩm của Nhà thầu tư vấn thực hiện được thể hiện cụ thể trong Phụ lục số... [HSMT (hoặc HSYC) của Chủ đầu tư] và các thỏa thuận tại các biên bản đàm phán hợp đồng giữa các bên bao gồm các nội dung chủ yếu sau:
a) Nghiên cứu nhiệm vụ lập báo cáo nghiên cứu khả thi.
b) Nghiên cứu hồ sơ tài liệu đã có liên quan đến lập báo cáo nghiên cứu khả thi của hợp đồng.
c) Khảo sát địa điểm dự án, điều tra, nghiên cứu thị trường, thu thập số liệu về tự nhiên, xã hội, kinh tế, môi trường phục vụ lập báo cáo nghiên cứu khả thi.
d) Lập báo cáo nghiên cứu khả thi đầu tư xây dựng theo quy định tại Điều 54 của Luật Xây dựng năm 2014 được sửa đổi, bổ sung tại khoản 12 Điều 1 Luật số 62/2020/QH14.
đ) Sửa đổi, hoàn thiện báo cáo nghiên cứu khả thi đầu tư xây dựng sau khi có ý kiến của cơ quan thẩm định dự án, thẩm định thiết kế cơ sở (nếu có).
2. Nhà thầu tư vấn cung cấp sản phẩm của hợp đồng tư vấn lập báo cáo nghiên cứu khả thi đầu tư xây dựng bao gồm:
a) Thiết kế cơ sở.
b) Các nội dung khác của báo cáo nghiên cứu khả thi đầu tư xây dựng trong đó bao gồm tổng mức đầu tư xây dựng công trình.
Điều 9. Nội dung, khối lượng công việc và sản phẩm của hợp đồng tư vấn thiết kế xây dựng công trình
1. Nội dung, khối lượng công việc và sản phẩm của Nhà thầu tư vấn thực hiện được thể hiện cụ thể trong Phụ lục số... [HSMT (hoặc HSYC) của Chủ đầu tư] và các thỏa thuận tại các biên bản đàm phán hợp đồng giữa các bên bao gồm các công việc chủ yếu sau:
a) Nghiên cứu báo cáo nghiên cứu khả thi đầu tư xây dựng, báo cáo kết quả khảo sát xây dựng, nhiệm vụ thiết kế được duyệt.
b) Khảo sát thực địa để lập thiết kế.
c) Thiết kế xây dựng công trình theo quy định tại các khoản 23 Điều 1 Luật số 62/2020/QH14; Điều 79, 80 của Luật Xây dựng số 50/2014/QH13.
d) Sửa đổi bổ sung hoàn thiện theo yêu cầu của cơ quan thẩm định (nếu có).
đ) Giám sát tác giả theo quy định tại Điều 20 Nghị định số 06/2021/NĐ-CP .
2. Nhà thầu tư vấn cung cấp sản sản phẩm của hợp đồng tư vấn thiết kế xây dựng công trình được lập cho từng công trình bao gồm:
a) Bản vẽ, thuyết minh thiết kế xây dựng công trình, các bảng tính kèm theo.
b) Chỉ dẫn kỹ thuật.
c) Dự toán xây dựng công trình.
d) Quy trình bảo trì công trình xây dựng
Điều 10. Nội dung và khối lượng công việc tư vấn giám sát thi công xây dựng công trình
1. Nội dung, khối lượng công việc và sản phẩm của Nhà thầu tư vấn thực hiện được thể hiện cụ thể trong Phụ lục số... [HSMT (hoặc HSYC) của Chủ đầu tư] và các thỏa thuận tại các biên bản đàm phán hợp đồng giữa các bên bao gồm các công việc chủ yếu sau:
a) Nội dung công việc của hợp đồng tư vấn giám sát thi công xây dựng công trình bao gồm giám sát về chất lượng, khối lượng, tiến độ, an toàn lao động và bảo vệ môi trường trong quá trình thi công.
b) Nội dung công việc cụ thể của giám sát thi công xây dựng công trình thực hiện theo khoản 1 Điều 19 Nghị định số 06/2021/NĐ-CP .
2. Nhà thầu tư vấn phải lập và trình sản phẩm của hợp đồng tư vấn giám sát thi công xây dựng công trình bao gồm:
a) Báo cáo định kỳ hoặc báo cáo theo giai đoạn thi công xây dựng theo quy định tại Phụ lục IVA Nghị định số 06/2021/NĐ-CP ngày 26/01/2021 quy định chi tiết một số nội dung về quản lý chất lượng, thi công xây dựng và bảo trì công trình xây dựng. Chủ đầu tư quy định việc lập báo cáo định kỳ hoặc báo cáo theo giai đoạn thi công xây dựng và thời điểm lập báo cáo.
b) Báo cáo hoàn thành công tác giám sát thi công xây dựng gói thầu, giai đoạn, hạng mục công trình, công trình xây dựng theo quy định tại Phụ lục IVB Nghị định số 06/2021/NĐ-CP .
c) Báo cáo đột xuất theo yêu cầu của Chủ đầu tư.
Điều 11. Yêu cầu về chất lượng, số lượng sản phẩm tư vấn xây dựng
1. Chất lượng sản phẩm tư vấn xây dựng phải phù hợp với nội dung hợp đồng tư vấn xây dựng đã ký kết giữa các bên; đảm bảo thực hiện đúng các quy định của pháp luật về quản lý dự án đầu tư xây dựng và quản lý chất lượng công trình xây dựng, quy chuẩn, tiêu chuẩn áp dụng cho hợp đồng tư vấn xây dựng. Những sai sót trong sản phẩm của hợp đồng tư vấn xây dựng phải được Nhà thầu tư vấn hoàn chỉnh theo đúng các điều khoản thỏa thuận trong hợp đồng tư vấn xây dựng.
2. Số lượng hồ sơ sản phẩm tư vấn xây dựng của hợp đồng [quy định tại ĐKCT].
Điều 12. Căn cứ nghiệm thu sản phẩm tư vấn xây dựng
1. Hợp đồng tư vấn xây dựng đã ký kết giữa các bên.
2. Hồ sơ báo cáo kết quả khảo sát xây dựng đối với tư vấn khảo sát xây dựng; Hồ sơ Báo cáo nghiên cứu khả thi đối với tư vấn lập Báo cáo nghiên cứu khả thi; Hồ sơ thiết kế xây dựng công trình đối với tư vấn thiết kế công trình xây dựng; Hồ sơ báo cáo kết quả giám sát thi công xây dựng đối với tư vấn giám sát thi công xây dựng.
3. Nhiệm vụ và phương án kỹ thuật khảo sát xây dựng được duyệt đối với tư vấn khảo sát xây dựng; Nhiệm vụ tư vấn lập Báo cáo nghiên cứu khả thi được duyệt đối với tư vấn lập Báo cáo nghiên cứu khả thi; Nhiệm vụ thiết kế được duyệt, thiết kế các bước trước đó đã được phê duyệt đối với tư vấn thiết kế công trình xây dựng; Nhiệm vụ và quy trình giám sát thi công xây dựng được duyệt đối với tư vấn giám sát thi công xây dựng.
4. Quy định của pháp luật, quy chuẩn, tiêu chuẩn xây dựng được áp dụng cho hợp đồng tư vấn xây dựng.
Điều 13. Giá hợp đồng
1. Giá hợp đồng
a) Giá hợp đồng được xác định với số tiền: [quy định tại ĐKCT].
b) Phương pháp điều chỉnh giá hợp đồng thực hiện theo Điều... [Phương pháp điều chỉnh giá hợp đồng].
2. Nội dung của giá hợp đồng
a) Nội dung của giá hợp đồng tư vấn khảo sát xây dựng bao gồm: chi phí vật liệu, chi phí nhân công, chi phí máy thi công, chi phí chung, chi phí lán trại, chi phí lập phương án và báo cáo kết quả khảo sát, chi phí di chuyển lực lượng khảo sát, thu nhập chịu thuế tính trước và thuế giá trị gia tăng.
b) Nội dung của giá hợp đồng tư vấn lập báo cáo nghiên cứu khả thi đầu tư xây dựng, tư vấn thiết kế xây dựng công trình và tư vấn giám sát thi công xây dựng công trình bao gồm:
- Chi phí chuyên gia (tiền lương và các chi phí liên quan), chi phí vật tư vật liệu, máy móc, chi phí quản lý, chi phí bảo hiểm trách nhiệm nghề nghiệp, thu nhập chịu thuế tính trước và thuế giá trị gia tăng.
- Chi phí cần thiết cho việc hoàn chỉnh sản phẩm tư vấn xây dựng sau các cuộc họp, báo cáo, kết quả thẩm định, phê duyệt.
- Chi phí đi thực địa.
- Chi phí đi lại khi tham gia vào quá trình nghiệm thu theo yêu cầu của Chủ đầu tư.
- Chi phí giám sát tác giả đối với tư vấn thiết kế xây dựng công trình.
- Chi phí khác có liên quan.
c) Giá hợp đồng tư vấn xây dựng không bao gồm:
- Chi phí cho các cuộc họp của Chủ đầu tư.
- Chi phí thẩm tra, phê duyệt sản phẩm của hợp đồng tư vấn.
- Chi phí chưa tính trong giá hợp đồng mà các bên đã thỏa thuận, đảm bảo phù hợp quy định về quản lý chi phí đầu tư xây dựng.
Điều 14. Điều chỉnh hợp đồng tư vấn xây dựng
1. Phương pháp điều chỉnh giá hợp đồng
- Phương pháp điều chỉnh giá hợp đồng xây dựng thực hiện theo hướng dẫn tại Phụ lục I kèm theo Thông tư hướng dẫn một số nội dung về hợp đồng xây dựng. Việc áp dụng các phương pháp điều chỉnh giá phải phù hợp với tính chất công việc, loại giá hợp đồng, đồng tiền thanh toán và phải được thỏa thuận trong hợp đồng.
- Đối với hợp đồng tư vấn xây dựng thực hiện thanh toán theo thời gian (theo tháng, tuần, ngày, giờ) thì việc điều chỉnh mức tiền lương cho chuyên gia thực hiện theo công thức điều chỉnh cho một yếu tố chi phí nhân công tại mục I Phụ lục I kèm theo Thông tư hướng dẫn một số nội dung về hợp đồng xây dựng.
2. Điều chỉnh khối lượng công việc của hợp đồng tư vấn
Việc điều chỉnh khối lượng công việc trong hợp đồng thực hiện theo quy định tại Điều 37 Nghị định số 37/2015/NĐ-CP được sửa đổi, bổ sung tại khoản 13 Điều 1 Nghị định số 50/2021/NĐ-CP và Điều 4 Thông tư hướng dẫn một số nội dung về hợp đồng xây dựng.
Các trường hợp được điều chỉnh khối lượng của hợp đồng tư vấn [quy định tại ĐKCT].
3. Điều chỉnh tiến độ của hợp đồng tư vấn
- Việc điều chỉnh tiến độ thực hiện hợp đồng thực hiện theo quy định tại Điều 39 Nghị định số 37/2015/NĐ-CP .
- Khi điều chỉnh tiến độ hợp đồng xây dựng quy định tại điểm a khoản 2 Điều 39 Nghị định số 37/2015/NĐ-CP , Chủ đầu tư và Nhà thầu tư vấn có trách nhiệm đánh giá tác động của các sự kiện bất khả kháng đến tiến độ thực hiện hợp đồng xây dựng để xác định, quyết định điều chỉnh cho phù hợp.
- Trường hợp tạm dừng thực hiện công việc theo yêu cầu của Cơ quan nhà nước có thẩm quyền theo quy định tại điểm d khoản 2 Điều 39 Nghị định số 37/2015/NĐ-CP cần thực hiện các công việc sau:
+ Chủ đầu tư, Nhà thầu tư vấn căn cứ yêu cầu tạm dừng của Cơ quan nhà nước có thẩm quyền, đánh giá tác động đến tiến độ thực hiện hợp đồng xây dựng làm cơ sở xác định, thỏa thuận điều chỉnh tiến độ thực hiện hợp đồng.
+ Trường hợp phát sinh chi phí do kéo dài thời gian thực hiện hợp đồng thì Chủ đầu tư, Nhà thầu tư vấn căn cứ nội dung hợp đồng, hướng dẫn của Cơ quan nhà nước có thẩm quyền về sự kiện dẫn đến tạm dừng thực hiện hợp đồng xây dựng làm cơ sở xác định, thỏa thuận về các khoản mục chi phí phát sinh hợp lý.
Các trường hợp được điều chỉnh tiến độ thực hiện hợp đồng tư vấn [quy định tại ĐKCT].
Điều 15. Quyền và nghĩa vụ của Nhà thầu tư vấn
1. Quyền của Nhà thầu tư vấn:
a) Yêu cầu Chủ đầu tư cung cấp thông tin, tài liệu liên quan đến nhiệm vụ tư vấn và phương tiện làm việc theo thỏa thuận hợp đồng (nếu có).
b) Được đề xuất thay đổi điều kiện cung cấp dịch vụ tư vấn vì lợi ích của Chủ đầu tư hoặc khi phát hiện các yếu tố ảnh hưởng đến chất lượng sản phẩm tư vấn.
c) Từ chối thực hiện công việc không hợp lý ngoài phạm vi hợp đồng và những yêu cầu trái pháp luật của Chủ đầu tư.
d) Được đảm bảo quyền tác giả theo quy định của pháp luật (đối với sản phẩm tư vấn có quyền tác giả).
đ) Được quyền yêu cầu Chủ đầu tư thanh toán đúng hạn, yêu cầu thanh toán các khoản lãi vay do chậm thanh toán theo quy định.
e) Đối với tư vấn giám sát thi công xây dựng công trình: Kiến nghị Chủ đầu tư tạm dừng thi công đối với nhà thầu thi công xây dựng khi xét thấy chất lượng thi công xây dựng không bảo đảm yêu cầu kỹ thuật, biện pháp thi công không bảo đảm an toàn.
2. Nghĩa vụ của Nhà thầu tư vấn:
a) Hoàn thành công việc đúng tiến độ, chất lượng theo thỏa thuận trong hợp đồng.
b) Đối với hợp đồng tư vấn thiết kế: Tham gia nghiệm thu công trình xây dựng cùng Chủ đầu tư theo quy định của pháp luật về quản lý chất lượng công trình xây dựng, giám sát tác giả, trả lời các nội dung có liên quan đến hồ sơ thiết kế theo yêu cầu của Chủ đầu tư.
c) Bảo quản và giao lại cho Chủ đầu tư những tài liệu và phương tiện làm việc do Chủ đầu tư cung cấp theo hợp đồng sau khi hoàn thành công việc (nếu có).
d) Thông báo ngay bằng văn bản cho Chủ đầu tư về những thông tin, tài liệu không đầy đủ, phương tiện làm việc không đảm bảo chất lượng để hoàn thành công việc.
đ) Giữ bí mật thông tin liên quan đến dịch vụ tư vấn mà hợp đồng và pháp luật có quy định.
e) Thu thập các thông tin cần thiết để phục vụ cho công việc của hợp đồng:
Nhà thầu tư vấn phải thu thập các thông tin liên quan đến các vấn đề có thể ảnh hưởng đến tiến độ, giá hợp đồng hoặc trách nhiệm của Nhà thầu tư vấn theo hợp đồng, hoặc các rủi ro có thể phát sinh cho Nhà thầu tư vấn trong việc thực hiện công việc tư vấn xây dựng được quy định trong hợp đồng.
Trường hợp lỗi trong việc thu thập thông tin, hoặc bất kỳ vấn đề nào khác của Nhà thầu tư vấn để hoàn thành công việc tư vấn xây dựng theo các điều khoản được quy định trong hợp đồng thì Nhà thầu tư vấn phải chịu trách nhiệm.
g) Thực hiện công việc đúng pháp luật, quy chuẩn, tiêu chuẩn áp dụng cho hợp đồng và đảm bảo rằng tư vấn phụ (nếu có), nhân lực của tư vấn và tư vấn phụ sẽ luôn tuân thủ luật pháp.
h) Nộp cho Chủ đầu tư các báo cáo và các tài liệu với số lượng và thời gian quy định trong hợp đồng. Nhà thầu tư vấn thông báo đầy đủ và kịp thời tất cả các thông tin liên quan đến công việc tư vấn xây dựng có thể làm chậm trễ hoặc cản trở việc hoàn thành các công việc theo tiến độ và đề xuất giải pháp thực hiện.
i) Nhà thầu tư vấn có trách nhiệm trình bày và bảo vệ các quan điểm về các nội dung của công việc tư vấn xây dựng trong các buổi họp trình duyệt của các cấp có thẩm quyền do Chủ đầu tư tổ chức.
k) Sản phẩm tư vấn xây dựng phải được thực hiện bởi các chuyên gia có đủ điều kiện năng lực hành nghề theo quy định của pháp luật. Nhà thầu tư vấn phải sắp xếp, bố trí nhân lực của mình hoặc của nhà thầu phụ có kinh nghiệm và năng lực cần thiết như danh sách đã được Chủ đầu tư phê duyệt để thực hiện công việc tư vấn xây dựng.
l) Cử đại diện có đủ thẩm quyền, năng lực để giải quyết các công việc còn vướng mắc tại bất kỳ thời điểm theo yêu cầu của Chủ đầu tư cho tới ngày nghiệm thu sản phẩm tư vấn xây dựng đối với tư vấn lập báo cáo nghiên cứu khả thi; ngày hoàn thành và bàn giao công trình đối với tư vấn thiết kế công trình xây dựng.
m) Cung cấp hồ sơ, tài liệu phục vụ cho các cuộc họp, báo cáo, thẩm định,... với số lượng và thời gian theo đúng tiến độ được thỏa thuận trong hợp đồng tư vấn xây dựng đã ký kết.
n) Tuân thủ các yêu cầu và hướng dẫn của Chủ đầu tư, trừ những hướng dẫn hoặc yêu cầu trái với luật pháp hoặc không thể thực hiện được.
q) Đối với tư vấn giám sát thi công xây dựng công trình: Tham gia nghiệm thu các giai đoạn, nghiệm thu chạy thử thiết bị, nghiệm thu hoàn thành hạng mục công trình và toàn bộ công trình khi có yêu cầu của Chủ đầu tư đối với tư vấn giám sát thi công xây dựng công trình và tư vấn thiết kế xây dựng công trình.
s) Bồi thường thiệt hại do lỗi của mình gây ra khi thực hiện không đúng nội dung hợp đồng tư vấn xây dựng đã ký kết.
Điều 16. Quyền và nghĩa vụ của Chủ đầu tư
1. Quyền của Chủ đầu tư:
a) Được quyền sở hữu và sử dụng sản phẩm tư vấn xây dựng theo hợp đồng.
b) Từ chối nghiệm thu sản phẩm tư vấn xây dựng không đạt chất lượng theo hợp đồng.
c) Kiểm tra chất lượng công việc của Nhà thầu tư vấn tư vấn nhưng không làm cản trở hoạt động bình thường của Nhà thầu tư vấn.
d) Yêu cầu sửa đổi, bổ sung sản phẩm tư vấn không đảm bảo chất lượng theo thỏa thuận hợp đồng.
đ) Yêu cầu Nhà thầu tư vấn thay đổi cá nhân tư vấn không đáp ứng được yêu cầu năng lực theo quy định.
2. Nghĩa vụ của Chủ đầu tư:
a) Cung cấp cho Nhà thầu tư vấn thông tin về yêu cầu công việc, tài liệu, bảo đảm thanh toán và các phương tiện cần thiết để thực hiện công việc theo thỏa thuận trong hợp đồng (nếu có).
b) Bảo đảm quyền tác giả đối với sản phẩm tư vấn có quyền tác giả theo hợp đồng.
c) Giải quyết kiến nghị của Nhà thầu tư vấn theo thẩm quyền trong quá trình thực hiện hợp đồng đúng thời hạn do các bên thỏa thuận trong hợp đồng.
d) Thanh toán đầy đủ cho Nhà thầu tư vấn theo đúng tiến độ thanh toán đã thỏa thuận trong hợp đồng.
đ) Hướng dẫn Nhà thầu tư vấn về những nội dung liên quan đến dự án và HSMT (hoặc HSYC); tạo điều kiện để Nhà thầu tư vấn được tiếp cận với công trình, thực địa.
e) Cử người có năng lực phù hợp để làm việc với Nhà thầu tư vấn.
g) Tạo điều kiện cho Nhà thầu tư vấn thực hiện công việc tư vấn xây dựng, thủ tục hải quan (nếu có).
h) Chịu trách nhiệm về tính chính xác và đầy đủ của các tài liệu do mình cung cấp. Bồi thường thiệt hại cho Nhà thầu tư vấn nếu Chủ đầu tư cung cấp thông tin không chính xác, không đầy đủ theo quy định của hợp đồng.
Điều 17. Nhà thầu phụ (nếu có)
1. Đối với nhà thầu phụ chưa có danh sách trong Hợp đồng, nhà thầu phải trình danh sách, hồ sơ năng lực và kinh nghiệm của nhà thầu phụ cũng như phạm vi công việc mà nhà thầu phụ sẽ đảm nhận để Chủ đầu tư xem xét chấp thuận bằng văn bản trước khi ký hợp đồng thầu phụ.
2. Nhà thầu tư vấn phải chịu hoàn toàn trách nhiệm trước Chủ đầu tư về chất lượng, tiến độ cũng như các sai sót của nhà thầu phụ.
3. Nhà thầu tư vấn cam kết với Chủ đầu tư rằng sẽ thanh toán đầy đủ, đúng hạn các khoản chi phí cho nhà thầu phụ được quy định trong trong hợp đồng thầu phụ.
Điều 18. Nhân lực của Nhà thầu tư vấn
1. Nhân lực của Nhà thầu tư vấn và nhà thầu phụ phải đủ điều kiện năng lực, có chứng chỉ hành nghề theo quy định, trình độ chuyên môn, kinh nghiệm phù hợp về nghề nghiệp, công việc của họ và phù hợp với quy định về điều kiện năng lực trong pháp luật xây dựng được quy định cụ thể tại Phụ lục số ... [Nhân lực của Nhà thầu].
2. Chức danh, công việc thực hiện, trình độ và thời gian dự kiến tham gia thực hiện được quy định trong Phụ lục số... [Nhân lực của Nhà thầu]. Trường hợp thay đổi nhân sự, Nhà thầu tư vấn phải trình bày lý do, đồng thời cung cấp lý lịch của người thay thế cho Chủ đầu tư, người thay thế phải có trình độ tương đương hoặc cao hơn người bị thay thế. Nếu Chủ đầu tư không có ý kiến về nhân sự thay thế trong vòng... ngày kể từ ngày nhận được đề nghị của Nhà thầu tư vấn thì nhân sự đó coi như được Chủ đầu tư chấp thuận.
3. Chủ đầu tư có quyền yêu cầu Nhà thầu tư vấn thay thế nhân sự nếu người đó không đáp ứng được yêu cầu của Chủ đầu tư hoặc không đúng với hồ sơ nhân sự trong hợp đồng. Trong trường hợp này, Nhà thầu tư vấn phải gửi văn bản thông báo cho Chủ đầu tư trong vòng [quy định tại ĐKCT] kể từ ngày nhận được yêu cầu của Chủ đầu tư về việc thay đổi nhân sự. Trừ trường hợp có thỏa thuận khác, mọi chi phí phát sinh do thay đổi nhân sự do Nhà thầu tư vấn chịu. Mức thù lao cho nhân sự thay thế không vượt mức thù lao cho người bị thay thế.
4. Nhà thầu tư vấn có thể điều chỉnh thời gian làm việc của nhân sự nếu cần thiết nhưng không làm tăng giá hợp đồng. Những điều chỉnh khác chỉ được thực hiện khi được Chủ đầu tư chấp thuận.
5. Trường hợp thời gian làm việc của nhân sự phải kéo dài hoặc bổ sung nhân sự vì lý do tăng khối lượng công việc đã được thỏa thuận giữa Chủ đầu tư và Nhà thầu tư vấn thì chi phí phát sinh cần thiết này sẽ được thanh toán trên cơ sở Phụ lục số ... [Nhân lực của Nhà thầu].
6. Nhà thầu tư vấn tổ chức thực hiện công việc theo tiến độ đã thỏa thuận. Giờ làm việc, làm việc ngoài giờ, thời gian làm việc, ngày nghỉ,... thực hiện theo Bộ Luật Lao động. Nhà thầu tư vấn không được tính thêm chi phí làm ngoài giờ (giá hợp đồng đã bao gồm chi phí làm ngoài giờ).
Điều 19. Bản quyền và quyền sử dụng tài liệu
Nhà thầu tư vấn sẽ giữ bản quyền công việc tư vấn do mình thực hiện. Chủ đầu tư được toàn quyền sử dụng các tài liệu này để phục vụ công việc quy định trong hợp đồng mà không cần phải xin phép Nhà thầu tư vấn.
Nhà thầu tư vấn phải cam kết rằng sản phẩm tư vấn do Nhà thầu tư vấn thực hiện và cung cấp cho Chủ đầu tư không vi phạm bản quyền hoặc quyền sở hữu trí tuệ của bất cứ cá nhân hoặc bên thứ ba nào.
Chủ đầu tư sẽ không chịu trách nhiệm hoặc hậu quả nào từ việc khiếu nại sản phẩm tư vấn theo hợp đồng này đã vi phạm bản quyền hay quyền sở hữu trí tuệ của một cá nhân hay bên thứ ba nào khác.
Điều 20. Bảo hiểm
Nhà thầu mua bảo hiểm trách nhiệm nghề nghiệp theo quy định.
Điều 21. Rủi ro và bất khả kháng
1. Rủi ro là nguy cơ ảnh hưởng tiêu cực đến việc thực hiện hợp đồng xây dựng trong tương lai. Trong hợp đồng xây dựng các bên phải quy định trách nhiệm của mỗi bên về quản lý và xử lý rủi ro của mình; trách nhiệm khắc phục hậu quả của mỗi bên trong trường hợp gặp rủi ro.
2. Bất khả kháng là một sự kiện rủi ro xảy ra một cách khách quan không thể lường trước khi ký kết hợp đồng xây dựng và không thể khắc phục được khi nó xảy ra mặc dù đã áp dụng mọi biện pháp cần thiết và khả năng cho phép, phù hợp với tiêu chí được quy định tại khoản 2 Điều 51 Nghị định số 37/2015/NĐ-CP và khoản 1 Điều 156 Luật Dân sự.
3. Thông báo về bất khả kháng:
a) Khi một bên gặp tình trạng bất khả kháng thì phải thông báo bằng văn bản cho bên kia trong thời gian sớm nhất, trong thông báo phải nêu rõ các nghĩa vụ, công việc liên quan đến hậu quả của bất khả kháng.
b) Bên thông báo được miễn thực hiện công việc thuộc trách nhiệm của mình trong thời gian xảy ra bất khả kháng ảnh hưởng đến công việc theo nghĩa vụ hợp đồng.
4. Trách nhiệm của các bên đối với rủi ro:
a) Đối với những rủi ro đã tính trong giá hợp đồng thì khi rủi ro xảy ra Nhà thầu tư vấn phải chịu trách nhiệm bằng kinh phí của mình.
b) Đối với những rủi ro đã được mua bảo hiểm thì chi phí khắc phục hậu quả các rủi ro này do đơn vị bảo hiểm chi trả và không được tính vào giá hợp đồng.
c) Nhà thầu tư vấn phải bồi thường và gánh chịu những tổn hại cho Chủ đầu tư đối với các hỏng hóc, mất mát và các chi phí (bao gồm phí và các chi phí pháp lý) có liên quan do lỗi của mình gây ra.
d) Chủ đầu tư phải bồi thường những tổn hại cho Nhà thầu tư vấn đối với các thiệt hại, mất mát và chi phí (bao gồm phí và các chi phí pháp lý) liên quan do lỗi của mình gây ra.
5. Trách nhiệm của các bên đối với bất khả kháng:
a) Nếu Nhà thầu tư vấn bị cản trở thực hiện nhiệm vụ của mình theo hợp đồng do bất khả kháng mà đã thông báo theo các điều khoản của hợp đồng dẫn đến chậm thực hiện công việc và phát sinh chi phí do bất khả kháng, Nhà thầu tư vấn sẽ có quyền đề nghị xử lý như sau:
- Được kéo dài thời gian do sự chậm trễ theo quy định của hợp đồng (gia hạn thời gian hoàn thành).
- Được thanh toán các chi phí phát sinh theo các điều khoản quy định trong hợp đồng.
b) Chủ đầu tư phải xem xét quyết định các đề nghị của Nhà thầu tư vấn.
c) Việc xử lý hậu quả bất khả kháng không áp dụng đối với các nghĩa vụ thanh toán tiền của bất cứ bên nào cho bên kia theo hợp đồng.
6. Chấm dứt và thanh toán hợp đồng trong trường hợp bất khả kháng (nếu có):
a) Nếu việc thực hiện các công việc của hợp đồng bị dừng do bất khả kháng đã được thông báo theo quy định của hợp đồng trong khoảng thời gian mà tổng số ngày bị dừng lớn hơn số ngày do bất khả kháng đã được thông báo, thì một trong hai bên có quyền gửi thông báo chấm dứt hợp đồng cho bên kia.
b) Đối với trường hợp chấm dứt này, Chủ đầu tư sẽ phải thanh toán cho Nhà thầu tư vấn:
- Các khoản thanh toán cho bất kỳ công việc nào đã được hoàn thành theo giá đã được nêu trong hợp đồng.
- Chi phí cho thiết bị và vật tư được đặt hàng cho công trình đã được chuyển tới cho Nhà thầu tư vấn, hoặc những thứ Nhà thầu tư vấn có trách nhiệm chấp nhận giao hàng: Thiết bị và vật tư này sẽ trở thành tài sản (và là rủi ro) của Chủ đầu tư khi đã được Chủ đầu tư thanh toán và Nhà thầu tư vấn sẽ để cho Chủ đầu tư sử dụng.
Điều 22. Tạm ngừng công việc trong hợp đồng
1. Tạm ngừng công việc bởi Chủ đầu tư
Nếu nhà thầu không thực hiện nghĩa vụ theo hợp đồng, Chủ đầu tư có thể tạm ngừng toàn bộ hoặc một phần công việc của nhà thầu bằng văn bản thông báo. Trong nội dung văn bản, Chủ đầu tư phải nêu rõ phần lỗi của nhà thầu và yêu cầu nhà thầu phải thực hiện và sửa chữa các sai sót trong khoảng thời gian hợp lý cụ thể, đồng thời nhà thầu phải bồi thường thiệt hại cho Chủ đầu tư do tạm ngừng công việc.
2. Tạm ngừng công việc bởi Nhà thầu tư vấn
a) Nếu Chủ đầu tư không thực hiện nghĩa vụ theo hợp đồng, không thanh toán theo các điều khoản đã thỏa thuận trong hợp đồng này quá 28 ngày kể từ ngày hết hạn thanh toán, sau khi thông báo cho Chủ đầu tư, Nhà thầu tư vấn có thể sẽ tạm ngừng công việc (hoặc giảm tỷ lệ công việc).
b) Sau khi Chủ đầu tư thực hiện các nghĩa vụ của mình theo hợp đồng, Nhà thầu tư vấn phải tiếp tục tiến hành công việc bình thường ngay khi có thể được.
c) Nếu các chi phí phát sinh là hậu quả của việc tạm ngừng công việc (hoặc do giảm tỷ lệ công việc) theo khoản này, Nhà thầu tư vấn phải thông báo cho Chủ đầu tư để xem xét. Sau khi nhận được thông báo, Chủ đầu tư xem xét và có ý kiến về các vấn đề đã nêu.
3. Trước khi tạm ngừng thực hiện công việc trong hợp đồng thì một bên phải thông báo cho bên kia biết bằng văn bản trong đó nêu rõ lý do tạm ngừng công việc thực hiện. Hai bên cùng nhau thương lượng giải quyết để tiếp tục thực hiện hợp đồng.
Điều 24. Chấm dứt hợp đồng
1. Chấm dứt hợp đồng bởi Chủ đầu tư
Chủ đầu tư có thể chấm dứt hợp đồng sau [quy định tại ĐKCT] kể từ ngày gửi văn bản kết thúc hợp đồng đến Nhà thầu tư vấn. Chủ đầu tư sẽ được quyền chấm dứt hợp đồng khi:
a) Nhà thầu tư vấn không tuân thủ về bảo đảm thực hiện hợp đồng tại Điều ... (nếu các bên có thỏa thuận bảo đảm thực hiện hợp đồng).
b) Nhà thầu tư vấn không sửa chữa được sai sót nghiêm trọng mà Nhà thầu tư vấn không thể khắc phục được trong việc thực hiện nhiệm vụ của mình trong vòng [quy định tại ĐKCT] mà Chủ đầu tư có thể chấp nhận được kể từ ngày nhận được thông báo của Chủ đầu tư về sai sót đó.
c) Nhà thầu không có lý do chính đáng mà không tiếp tục thực hiện công việc theo Điều ... [Thời gian và tiến độ thực hiện hợp đồng tư vấn xây dựng], hoặc [quy định tại ĐKCT] liên tục không thực hiện công việc theo hợp đồng.
d) Chuyển nhượng hợp đồng mà không có sự thỏa thuận của Chủ đầu tư.
đ) Nhà thầu tư vấn bị phá sản hoặc vỡ nợ, bị đóng cửa, bị quản lý tài sản, phải thương lượng với chủ nợ hoặc tiếp tục kinh doanh dưới sự giám sát của người quản lý tài sản, người được ủy quyền hoặc người quản lý vì lợi ích của chủ nợ hoặc đã có hành động hoặc sự kiện nào xảy ra (theo các Luật được áp dụng) có ảnh hưởng tương tự tới các hoạt động hoặc sự kiện này.
e) Nhà thầu tư vấn từ chối không tuân theo quyết định cuối cùng đã đạt được thông qua trọng tài phân xử tại Điều ...[Khiếu nại và giải quyết tranh chấp].
g) Nhà thầu tư vấn cố ý trình Chủ đầu tư các tài liệu không đúng sự thật gây ảnh hưởng đến quyền lợi, nghĩa vụ và lợi ích của Chủ đầu tư.
h) Trường hợp bất khả kháng quy định tại Điều ...[Rủi ro và bất khả kháng].
Sau khi chấm dứt hợp đồng, Chủ đầu tư có thể thuê các Nhà thầu tư vấn khác thực hiện tiếp công việc tư vấn. Chủ đầu tư và các Nhà thầu tư vấn này có thể sử dụng bất cứ tài liệu nào đã có.
2. Chấm dứt hợp đồng bởi Nhà thầu tư vấn
Nhà thầu tư vấn có thể chấm dứt hợp đồng nhưng phải thông báo bằng văn bản trước cho Chủ đầu tư tối thiểu là [quy định tại ĐKCT] trong các trường hợp sau đây:
a) Công việc bị ngừng do lỗi của Chủ đầu tư trong khoảng thời gian [quy định tại ĐKCT].
b) Chủ đầu tư không thanh toán cho Nhà thầu tư vấn theo hợp đồng và không thuộc đối tượng tranh chấp theo Điều ...[Khiếu nại, hòa giải và giải quyết tranh chấp] sau khoảng thời gian [quy định tại ĐKCT] kể từ ngày Chủ đầu tư nhận đủ hồ sơ thanh toán hợp lệ.
c) Chủ đầu tư không tuân theo quyết định cuối cùng đã đạt được thông qua trọng tài phân xử tại Điều ...[Khiếu nại và giải quyết tranh chấp].
d) Do hậu quả của sự kiện bất khả kháng mà Nhà thầu tư vấn không thể thực hiện một phần quan trọng công việc trong thời gian [quy định tại ĐKCT].
đ) Chủ đầu tư bị phá sản, vỡ nợ, bị đóng cửa, bị quản lý tài sản phải điều đình với chủ nợ hoặc tiếp tục kinh doanh dưới sự điều hành của người được ủy thác hoặc người đại diện cho quyền lợi của chủ nợ hoặc nếu đã có hành động hoặc sự kiện nào đó xảy ra (theo các Luật hiện hành) có tác dụng tương tự tới các hành động hoặc sự kiện đó.
3. Khi chấm dứt hợp đồng, thì các quyền và nghĩa vụ của các bên sẽ chấm dứt trừ điều khoản về giải quyết tranh chấp.
4. Khi một trong hai bên chấm dứt hợp đồng thì ngay khi gửi hay nhận văn bản chấm dứt hợp đồng, Nhà thầu tư vấn sẽ thực hiện các bước cần thiết để kết thúc công việc tư vấn một cách nhanh chóng và cố gắng để giảm tối đa mức chi phí.
5. Thanh toán khi chấm dứt hợp đồng: Việc thanh toán thực hiện theo Điều ...[Giá hợp đồng] và Điều ...[Tạm ứng và thanh toán] cho các công việc đã thực hiện trước ngày chấm dứt có hiệu lực (bao gồm chi phí chuyên gia, chi phí mua sắm thiết bị, các chi phí khác,...).
Điều 25. Quyết toán và thanh lý hợp đồng
1. Quyết toán hợp đồng
a) Việc quyết toán hợp đồng xây dựng thực hiện theo quy định tại Điều 22 Nghị định số 37/2015/NĐ-CP được sửa đổi, bổ sung tại khoản 7 Điều 1 Nghị định số 50/2021/NĐ-CP .
b) Trong vòng ... ngày kể từ ngày nghiệm thu hoàn thành toàn bộ nội dung công việc tư vấn theo hợp đồng, khi nhận được Biên bản nghiệm thu và xác nhận của Chủ đầu tư rằng Nhà thầu tư vấn đã hoàn thành tất cả các nghĩa vụ theo quy định của hợp đồng, Nhà thầu tư vấn sẽ trình cho Chủ đầu tư ... bộ tài liệu quyết toán hợp đồng, hồ sơ quyết toán bao gồm:
- Biên bản nghiệm thu hoàn thành toàn bộ nội dung công việc tư vấn.
- Bản xác nhận giá trị khối lượng công việc phát sinh (nếu có).
- Bảng tính giá trị quyết toán hợp đồng trong đó nêu rõ phần đã thanh toán và giá trị còn lại mà Chủ đầu tư phải thanh toán cho Nhà thầu tư vấn.
c) Nếu Chủ đầu tư không đồng ý hoặc cho rằng Nhà thầu tư vấn chưa cung cấp đủ cơ sở để xác nhận một phần nào đó của tài liệu quyết toán hợp đồng, Nhà thầu tư vấn sẽ cung cấp thêm thông tin khi Chủ đầu tư có yêu cầu hợp lý và sẽ thay đổi theo sự thống nhất của hai bên. Nhà thầu tư vấn sẽ chuẩn bị và trình cho Chủ đầu tư quyết toán hợp đồng như hai bên đã thống nhất.
d) Sau khi hợp đồng được quyết toán theo quy định, Chủ đầu tư sẽ thanh toán toàn bộ giá trị còn lại của hợp đồng cho nhà thầu.
2. Việc thanh lý hợp đồng phải được hoàn tất trong thời hạn ... ngày kể từ ngày các bên hoàn thành các nghĩa vụ theo hợp đồng hoặc bị chấm dứt theo Điều ... [Chấm dứt hợp đồng].
Điều 26. Nghiệm thu sản phẩm tư vấn
Nghiệm thu sản phẩm được tiến hành [quy định tại ĐKCT]:
Lần 1: Sau khi Nhà thầu tư vấn hoàn thành [quy định tại ĐKCT].
Lần 2: Sau khi Nhà thầu tư vấn hoàn thành [quy định tại ĐKCT].
Lần cuối: Sau khi đã nhận đầy đủ hồ sơ, tài liệu sản phẩm tư vấn xây dựng do Nhà thầu tư vấn cung cấp, Chủ đầu tư căn cứ vào hợp đồng này, các tiêu chuẩn, quy chuẩn để tổ chức nghiệm thu sản phẩm tư vấn xây dựng. Những sai sót trong sản phẩm tư vấn xây dựng Nhà thầu tư vấn phải hoàn chỉnh theo đúng các điều khoản thỏa thuận trong hợp đồng.
Biên bản nghiệm thu khối lượng hoàn thành là biên bản nghiệm thu chất lượng (theo quy định về quản lý chất lượng công trình) có ghi cả khối lượng.
Điều 27. Thời gian và tiến độ thực hiện hợp đồng tư vấn xây dựng
1. Tiến độ thực hiện hợp đồng được quy định cụ thể tại Phụ lục số... [Tiến độ thực hiện công việc] với tổng thời gian thực hiện là [quy định tại ĐKCT].
2. Tiến độ chi tiết:
Thời gian và phần công việc hoàn thành [quy định tại ĐKCT].
3. Trong thời gian thực hiện hợp đồng, trường hợp Nhà thầu tư vấn hoặc Chủ đầu tư gặp khó khăn dẫn đến chậm trễ thời gian thực hiện hợp đồng thì một bên phải thông báo cho bên kia biết, đồng thời nêu rõ lý do cùng thời gian dự tính kéo dài. Sau khi nhận được thông báo kéo dài thời gian của một bên, bên kia sẽ nghiên cứu xem xét. Trường hợp chấp thuận gia hạn hợp đồng, các bên sẽ thương thảo và ký kết Phụ lục bổ sung hợp đồng.
4. Việc gia hạn thời gian thực hiện hợp đồng không được phép làm tăng giá hợp đồng nếu việc chậm trễ do lỗi của Nhà thầu tư vấn.
Điều 28. Tạm ứng và thanh toán
1. Tạm ứng:
Thời gian chậm nhất là [quy định tại ĐKCT], Chủ đầu tư tạm ứng cho Nhà thầu tư vấn là [quy định tại ĐKCT] với số tiền là [quy định tại ĐKCT].
2. Tiến độ thanh toán
Số lần thanh toán là [quy định tại ĐKCT].
Giá trị mà Chủ đầu tư sẽ thanh toán cho nhà thầu theo các lần thanh toán cụ thể là ___ [quy định tại ĐKCT].
Lần cuối cùng sau khi Nhà thầu tư vấn hoàn thành các công việc theo nghĩa vụ trong hợp đồng.
Trong vòng [quy định tại ĐKCT], kể từ ngày Chủ đầu tư nhận đủ hồ sơ đề nghị thanh toán hợp lệ của Nhà thầu tư vấn, Chủ đầu tư phải thanh toán cho Nhà thầu tư vấn.
3. Hồ sơ thanh toán gồm:
a) Đối với hợp đồng trọn gói:
- Biên bản nghiệm thu khối lượng hoàn thành theo Phụ lục số... [Biên bản nghiệm thu khối lượng].
(Biên bản nghiệm thu khối lượng hoàn thành là biên bản nghiệm thu chất lượng (theo quy định về quản lý chất lượng công trình) có ghi cả khối lượng).
- Bảng tính giá trị khối lượng phát sinh (nếu có) ngoài phạm vi hợp đồng theo Phụ lục số... [Bảng tính giá trị khối lượng phát sinh ngoài hợp đồng].
- Đề nghị thanh toán của Nhà thầu tư vấn bao gồm: Giá trị hoàn thành theo hợp đồng, giá trị cho những công việc phát sinh (nếu có), giảm trừ tiền tạm ứng (nếu có), giá trị đề nghị thanh toán sau khi đã bù trừ các khoản này theo Phụ lục số... [Đề nghị thanh toán].
b) Đối với hợp đồng theo đơn giá cố định (áp dụng đối với công tác khảo sát xây dựng công trình):
- Biên bản nghiệm thu khối lượng hoàn thành thực tế theo mẫu tại Phụ lục số... [Biên bản nghiệm thu khối lượng].
- Bảng tính giá trị những công việc chưa có đơn giá trong hợp đồng (nếu có) theo Phụ lục số... [Bảng tính giá trị khối lượng phát sinh ngoài hợp đồng].
- Đề nghị thanh toán của Nhà thầu tư vấn bao gồm: Giá trị hoàn thành theo hợp đồng, giá trị cho những công việc phát sinh (nếu có), giảm trừ tiền tạm ứng (nếu có), giá trị đề nghị thanh toán sau khi đã bù trừ các khoản này theo Phụ lục số... [Đề nghị thanh toán].
c) Đối với hợp đồng theo đơn giá điều chỉnh (áp dụng đối với công tác khảo sát xây dựng công trình):
- Biên bản nghiệm thu khối lượng hoàn thành thực tế theo mẫu tại Phụ lục số... [Biên bản nghiệm thu khối lượng].
- Bảng tính đơn giá đã điều chỉnh do trượt giá (đơn giá thanh toán) theo thỏa thuận tại Phụ lục số ... [Bảng tính đơn giá đã điều chỉnh].
- Bảng tính giá trị những công việc chưa có đơn giá trong hợp đồng (nếu có) theo Phụ lục số... [Bảng tính giá trị khối lượng phát sinh ngoài hợp đồng].
- Đề nghị thanh toán của Nhà thầu tư vấn bao gồm: Giá trị hoàn thành theo hợp đồng, giá trị cho những công việc phát sinh (nếu có), giảm trừ tiền tạm ứng (nếu có), giá trị đề nghị thanh toán sau khi đã bù trừ các khoản này theo Phụ lục số... [Đề nghị thanh toán].
4. Riêng hợp đồng đơn giản, quy mô nhỏ, việc tạm ứng hoặc không tạm ứng do Chủ đầu tư và Nhà thầu tư vấn xem xét, thống nhất theo đề nghị của Nhà thầu tư vấn bảo đảm phù hợp với yêu cầu của gói thầu, giảm bớt thủ tục không cần thiết.
5. Đồng tiền thanh toán là đồng tiền Việt Nam.
(Trường hợp hợp đồng có sự tham gia của phía nước ngoài thì đồng tiền thanh toán là đồng tiền Việt Nam và ngoại tệ. Trường hợp cụ thể do các bên thỏa thuận phù hợp với HSMT hoặc HSYC và không trái pháp luật).
Điều 29. Khiếu nại, hòa giải và giải quyết tranh chấp
1. Khi một bên phát hiện bên kia thực hiện không đúng hoặc không thực hiện nghĩa vụ theo đúng hợp đồng thì có quyền yêu cầu bên kia thực hiện theo đúng nội dung hợp đồng đã ký kết. Khi đó bên phát hiện có quyền khiếu nại bên kia về nội dung này. Bên kia phải đưa ra các căn cứ, dẫn chứng cụ thể để làm sáng tỏ nội dung khiếu nại trong vòng [quy định tại ĐKCT]. Nếu những các căn cứ, dẫn chứng không hợp lý thì phải chấp thuận những khiếu nại của bên kia.
Trong vòng 30 ngày kể từ ngày phát hiện những nội dung không phù hợp với hợp đồng đã ký, bên phát hiện phải thông báo ngay cho bên kia về những nội dung đó và khiếu nại về các nội dung này. Ngoài khoảng thời gian này nếu không bên nào có khiếu nại thì các bên phải thực hiện theo đúng những thỏa thuận đã ký.
Trong vòng 30 ngày kể từ ngày nhận được khiếu nại, bên nhận được khiếu nại phải chấp thuận với những khiếu nại đó hoặc phải đưa ra những căn cứ, dẫn chứng về những nội dung cho rằng việc khiếu nại của bên kia là không phù hợp với hợp đồng đã ký. Ngoài khoảng thời gian này nếu bên nhận được khiếu nại không có ý kiến thì coi như đã chấp thuận với những nội dung khiếu nại do bên kia đưa ra.
2. Khi có tranh chấp phát sinh trong quá trình thực hiện hợp đồng, các bên sẽ cố gắng thương lượng để giải quyết bằng biện pháp hòa giải.
Thời gian để tiến hành hòa giải: [quy định tại ĐKCT].
Trường hợp thương lượng không có kết quả thì khoảng thời gian các bên được quyền gửi vấn đề lên Trọng tài để xử lý tranh chấp theo các quy tắc của Việt Nam (hoặc Tòa án Nhân dân) theo quy định của pháp luật [quy định tại ĐKCT] kể từ ngày phát sinh tranh chấp hợp đồng không thể hòa giải. Quyết định của Trọng tài (hoặc Tòa án Nhân dân) là quyết định cuối cùng và có tính chất bắt buộc với các bên.
Giải quyết tranh chấp: [quy định tại ĐKCT].
3. Hợp đồng bị vô hiệu, chấm dứt không ảnh hưởng đến hiệu lực của các điều khoản về giải quyết tranh chấp.
Điều 30. Thưởng, phạt, bồi thường thiệt hại
1. Thưởng hợp đồng: Trường hợp Nhà thầu tư vấn hoàn thành các nghĩa vụ của hợp đồng sớm hơn so với thời hạn quy định trong hợp đồng này, mang lại hiệu quả cho Chủ đầu tư thì cứ khoảng thời gian [quy định tại ĐKCT] Chủ đầu tư sẽ thưởng cho Nhà thầu tư vấn với mức thưởng tối đa [quy định tại ĐKCT].
2. Phạt vi phạm hợp đồng
Đối với Nhà thầu tư vấn: Nếu chậm tiến độ thực hiện hợp đồng [quy định tại ĐKCT] thì phạt [quy định tại ĐKCT] nhưng tổng số tiền phạt không quá [quy định tại ĐKCT].
Đối với Chủ đầu tư: Nếu thanh toán chậm cho Nhà thầu tư vấn theo quy định tại Điều ... [Giá hợp đồng] và Điều ... [Tạm ứng và thanh toán] thì phải bồi thường cho Nhà thầu tư vấn theo lãi suất quá hạn áp dụng cho ngày đầu tiên chậm thanh toán do Ngân hàng thương mại mà Nhà thầu tư vấn mở tài khoản công bố kể từ ngày đầu tiên chậm thanh toán cho đến khi Chủ đầu tư đã thanh toán đầy đủ cho Nhà thầu tư vấn.
3. Bồi thường thiệt hại
- Bồi thường thiệt hại: [quy định tại ĐKCT].
Điều 31. Điều khoản chung
Các bên đồng ý với tất cả các điều khoản, quy định và điều kiện của hợp đồng này. Không có cơ quan nào hoặc đại diện của bên nào có quyền đưa ra tuyên bố, trình bày, hứa hẹn hoặc thỏa thuận nào mà không được nêu ra trong hợp đồng; Không bên nào bị ràng buộc hoặc có trách nhiệm trước các điều đó.
Các bên cam kết thực hiện một cách trung thực, công bằng và đảm bảo để thực hiện theo mục tiêu của hợp đồng.
Hợp đồng này có hiệu lực kể từ thời điểm [quy định tại ĐKCT].
(Trường hợp thời gian hiệu lực của hợp đồng khác do các bên thỏa thuận)
Số lượng trang, số lượng phụ lục, số bản được thành lập, ngôn ngữ hợp đồng, giá trị pháp lý, số bản Chủ đầu tư sẽ giữ, số bản Nhà thầu tư vấn sẽ giữ [quy định tại ĐKCT].
PHẦN 4. ĐIỀU KIỆN CỤ THỂ CỦA HỢP ĐỒNG
Điều 1. Loại hợp đồng
Loại hợp đồng: ___ [Ghi cụ thể loại hợp đồng là hợp đồng gì trong các loại hợp đồng sau: Hợp đồng trọn gói; Hợp đồng theo đơn giá cố định; Hợp đồng theo đơn giá điều chỉnh; Hợp đồng theo thời gian; Hợp đồng theo chi phí cộng phí; Hợp đồng xây dựng khác; Hợp đồng theo giá kết hợp].
Điều 2. Luật áp dụng và ngôn ngữ sử dụng trong hợp đồng
2. Ngôn ngữ của hợp đồng [Ghi cụ thể ngôn ngữ của hợp đồng được thể hiện bằng tiếng Việt. Trường hợp hợp đồng có yếu tố nước ngoài thì ngôn ngữ sử dụng là tiếng Việt và tiếng nước ngoài do các bên thỏa thuận; trường hợp không thỏa thuận được thì sử dụng tiếng Anh, các bên phải thỏa thuận ngôn ngữ sử dụng trong quá trình giao dịch hợp đồng và thứ tự ưu tiên sử dụng ngôn ngữ để giải quyết tranh chấp hợp đồng (nếu có)].
Ngôn ngữ của hợp đồng này được thể hiện bằng tiếng Việt.
(Trường hợp hợp đồng có yếu tố nước ngoài thì ngôn ngữ sử dụng là tiếng Việt và tiếng nước ngoài do các bên thỏa thuận; trường hợp không thỏa thuận được thì sử dụng tiếng Anh (các bên thỏa thuận ngôn ngữ sử dụng trong quá trình giao dịch hợp đồng và thứ tự ưu tiên sử dụng ngôn ngữ để giải quyết tranh chấp hợp đồng, nếu có)).
Điều 3. Bảo đảm thực hiện hợp đồng (nếu có) và bảo lãnh tạm ứng hợp đồng (đối với trường hợp các bên thỏa thuận phải có bảo lãnh tiền tạm ứng)
Bảo đảm thực hiện hợp đồng tương đương ___ [Ghi cụ thể là tương đương bao nhiêu % giá hợp đồng].
Điều 4. Yêu cầu về chất lượng, số lượng sản phẩm tư vấn xây dựng
2. Số lượng hồ sơ sản phẩm tư vấn xây dựng của hợp đồng là ___ [Ghi cụ thể số lượng là bao nhiêu bộ].
Điều 5. Giá hợp đồng
1. Giá hợp đồng
a) Giá hợp đồng được xác định với số tiền: [Ghi cụ thể tổng số tiền (bao gồm cả thuế VAT), loại tiền được sử dụng (như: VNĐ, USD,...), số tiền bằng chữ].
Điều 6. Điều chỉnh hợp đồng tư vấn xây dựng
2. Các trường hợp được điều chỉnh khối lượng, phạm vi và trình tự, thủ tục điều chỉnh khối lượng ___ [Ghi cụ thể các trường hợp được điều chỉnh khối lượng, phạm vi và trình tự, thủ tục điều chỉnh khối lượng mà các bên đã thỏa thuận, thống nhất].
3. Các trường hợp được điều chỉnh tiến độ thực hiện hợp đồng ___ [Ghi cụ thể các trường hợp được điều chỉnh tiến độ mà các bên đã thỏa thuận, thống nhất].
Điều 7. Nhân lực của Nhà thầu tư vấn
3. Nhà thầu tư vấn phải gửi văn bản thông báo cho Chủ đầu tư trong vòng là ___ [Ghi cụ thể là bao nhiêu ngày].
Điều 8. Chấm dứt hợp đồng
Chủ đầu tư có thể chấm dứt hợp đồng sau ___ [Ghi cụ thể là bao nhiêu ngày].
Nhà thầu tư vấn không sửa chữa được sai sót nghiêm trọng mà Nhà thầu tư vấn không thể khắc phục được trong việc thực hiện nhiệm vụ của mình trong vòng ___ [Ghi cụ thể là bao nhiêu ngày].
Nhà thầu không có lý do chính đáng mà không tiếp tục thực hiện công việc theo Điều ... [Thời gian và tiến độ thực hiện hợp đồng tư vấn xây dựng], hoặc ___ [Ghi cụ thể là bao nhiêu ngày] liên tục không thực hiện công việc theo hợp đồng.
Nhà thầu tư vấn có thể chấm dứt hợp đồng nhưng phải thông báo bằng văn bản trước cho Chủ đầu tư tối thiểu là ___ [Ghi cụ thể là bao nhiêu ngày].
Công việc bị ngừng do lỗi của Chủ đầu tư trong khoảng thời gian ___ [Ghi cụ thể là sau bao nhiêu ngày].
Chủ đầu tư không thanh toán cho Nhà thầu tư vấn theo hợp đồng và không thuộc đối tượng tranh chấp theo Điều ... [Khiếu nại, hòa giải và giải quyết tranh chấp] sau khoảng thời gian ___ [Ghi cụ thể là bao nhiêu ngày] kể từ ngày Chủ đầu tư nhận đủ hồ sơ thanh toán hợp lệ.
Do hậu quả của sự kiện bất khả kháng mà Nhà thầu tư vấn không thể thực hiện một phần quan trọng công việc trong thời gian [Ghi cụ thể là không dưới bao nhiêu ngày].
Điều 9. Nghiệm thu sản phẩm tư vấn
Nghiệm thu sản phẩm được tiến hành ___ lần [Ghi rõ số lần tiến hành nghiệm thu sản phẩm và cụ thể công việc phải nghiệm thu của từng lần nghiệm thu sản phẩm tư vấn].
Lần 1: Sau khi Nhà thầu tư vấn hoàn thành ___ [Ghi cụ thể công việc phải nghiệm thu của lần nghiệm thu này].
Lần 2: Sau khi Nhà thầu tư vấn hoàn thành ___ [Ghi cụ thể công việc phải nghiệm thu của lần nghiệm thu này].
Điều 10. Thời gian và tiến độ thực hiện hợp đồng tư vấn xây dựng
1. Tiến độ thực hiện hợp đồng được quy định cụ thể tại Phụ lục số ... [Tiến độ thực hiện công việc] với tổng thời gian thực hiện là ___ [Ghi cụ thể là bao nhiêu ngày, kể từ ngày hợp đồng này có hiệu lực, bao gồm cả ngày lễ, tết và ngày nghỉ (thời gian trên không bao gồm thời gian thẩm định, phê duyệt, giám sát tác giả và các trường hợp bất khả kháng)].
2. Tiến độ chi tiết:
Thời gian và phần công việc hoàn thành là ___ [Ghi cụ thể Nhà thầu tư vấn sẽ hoàn thành phần công việc nào, vào ngày... tháng... năm.... nào].
Điều 11. Tạm ứng và thanh toán
1. Tạm ứng:
Thời gian tạm ứng chậm nhất là ___ [Ghi cụ thể là bao nhiêu ngày kể từ ngày hợp đồng có hiệu lực].
Chủ đầu tư tạm ứng cho Nhà thầu tư vấn là ___ [Ghi cụ thể là bao nhiêu % giá trị hợp đồng tương ứng với số tiền là bao nhiêu, số tiền bằng chữ là bao nhiêu].
2. Tiến độ thanh toán
Số lần thanh toán là ___ [Ghi cụ thể số lần thanh toán].
Giá trị mà Chủ đầu tư sẽ thanh toán cho nhà thầu theo các lần thanh toán cụ thể là ___ [Ghi cụ thể số lần thanh toán (ví dụ như: lần 1, lần 2,...) và tỷ lệ thanh toán là bao nhiêu % giá trị hợp đồng].
Khoảng thời gian Chủ đầu tư phải thanh toán cho Nhà thầu tư vấn khi nhận đủ hồ sơ đề nghị thanh toán hợp lệ của Nhà thầu tư vấn là ___ [Ghi cụ thể trong vòng bao nhiêu ngày].
Điều 12. Khiếu nại, hòa giải và giải quyết tranh chấp
1. Thời gian để làm sáng tỏ nội dung khiếu nại là ___ [Ghi cụ thể trong vòng bao nhiêu ngày].
2. Khi có tranh chấp phát sinh trong quá trình thực hiện hợp đồng, các bên sẽ cố gắng thương lượng để giải quyết bằng biện pháp hòa giải.
Thời gian để tiến hành hòa giải là ___ [Ghi cụ thể số ngày tiến hành hòa giải tối đa].
Khoảng thời gian các bên được quyền gửi vấn đề lên Trọng tài để xử lý tranh chấp theo các quy tắc của Việt Nam (hoặc Tòa án Nhân dân) theo quy định của pháp luật là ___ [Ghi cụ thể trong vòng bao nhiêu ngày].
Giải quyết tranh chấp là ___ [Ghi cụ thể thời gian và cơ chế giải quyết tranh chấp căn cứ quy mô, tính chất của gói thầu. Trong đó cần nêu rõ thời gian gửi yêu cầu giải quyết tranh chấp, tổ chức giải quyết tranh chấp, chi phí cho việc giải quyết tranh chấp,...].
Điều 13. Thưởng, phạt, bồi thường thiệt hại
1. Thưởng hợp đồng
Khoảng thời gian thưởng hợp đồng là ___ [Ghi cụ thể là bao nhiêu tháng].
Mức thưởng tối đa là ___ [Ghi cụ thể là bao nhiêu % giá trị của phần làm lợi hợp đồng].
2. Phạt vi phạm hợp đồng
Thời gian chậm tiến độ thực hiện hợp đồng là ___ [Ghi cụ thể thời gian chậm là bao nhiêu ngày].
Tỷ lệ phạt là ___ [Ghi cụ thể tỷ lệ là bao nhiêu % giá hợp đồng].
Số tiền phạt tối đa bên nhận phải chịu là ___ [Ghi cụ thể tỷ lệ là bao nhiêu % giá trị hợp đồng].
3. Bồi thường thiệt hại
- Bồi thường thiệt hại: [Ghi “Áp dụng” hoặc “Không áp dụng”. Trường hợp áp dụng bồi thường thiệt hại thì căn cứ vào quy mô, tính chất của gói thầu quy định bồi thường thiệt hại theo một trong hai cách sau:
- Bồi thường thiệt hại trên cơ sở toàn bộ thiệt hại thực tế;
- Bồi thường thiệt hại trên cơ sở một mức xác định. Trong trường hợp này nêu rõ mức bồi thường, phương thức bồi thường,... phù hợp với pháp luật dân sự và các quy định pháp luật khác có liên quan].
Điều 14. Điều khoản chung
Hợp đồng này có hiệu lực kể từ thời điểm [Ghi cụ thể ngày... tháng... năm... có hiệu lực của hợp đồng].
Hợp đồng này bao gồm ___ trang [Ghi cụ thể số lượng trang của hợp đồng], và ___ Phụ lục [Ghi cụ thể số lượng Phụ lục của hợp đồng] được lập thành ___ bản [Ghi cụ thể số lượng bản hợp đồng được phát hành] bằng tiếng Việt (hoặc ngôn ngữ khác hoặc song ngữ nếu có) có giá trị pháp lý như nhau. Chủ đầu tư sẽ giữ ___ bản [Ghi cụ thể số lượng bản Chủ đầu tư giữ], Nhà thầu tư vấn sẽ giữ ___ bản [Ghi cụ thể số lượng bản Nhà thầu tư vấn giữ].
|
CHỦ ĐẦU TƯ |
NHÀ THẦU TƯ VẤN
|
PHỤ LỤC III
MẪU HỢP ĐỒNG THI CÔNG XÂY DỰNG
(Công bố kèm theo Thông tư số 02/2023/TT-BXD ngày 03/3/2023 của Bộ trưởng Bộ Xây dựng hướng dẫn một số nội dung về hợp đồng xây dựng)
CỘNG HÒA XÃ HỘI CHỦ NGHĨA VIỆT NAM
Độc lập - Tự do - Hạnh phúc
____________________
(Địa danh), ngày... tháng... năm ...
HỢP ĐỒNG THI CÔNG XÂY DỰNG CÔNG TRÌNH
Số: ..../... (Năm) /...(ký hiệu hợp đồng)
DỰ ÁN HOẶC CÔNG TRÌNH HOẶC GÓI THẦU (tên dự án hoặc công trình hoặc gói thầu) THUỘC DỰ ÁN (tên dự án) …..……..
GIỮA
(TÊN GIAO DỊCH CỦA CHỦ ĐẦU TƯ)
VÀ
(TÊN GIAO DỊCH CỦA NHÀ THẦU)
MỤC LỤC
DANH MỤC CÁC CHỮ VIẾT TẮT
PHẦN 1. THÔNG TIN GIAO DỊCH CỦA CHỦ ĐẦU TƯ VÀ NHÀ THẦU
PHẦN 2. CÁC CĂN CỨ KÝ KẾT HỢP ĐỒNG
PHẦN 3. ĐIỀU KIỆN CHUNG CỦA HỢP ĐỒNG
Điều 1. Giải thích từ ngữ
Điều 2. Hồ sơ hợp đồng và thứ tự ưu tiên
Điều 3. Luật và ngôn ngữ sử dụng
Điều 4. Thông báo
Điều 5. Bảo đảm thực hiện và bảo lãnh tạm ứng hợp đồng
Điều 6. Nội dung và khối lượng công việc
Điều 7. Yêu cầu về chất lượng sản phẩm và nghiệm thu, bàn giao sản phẩm hợp đồng thi công xây dựng
Điều 8. Thời gian và tiến độ thực hiện hợp đồng
Điều 9. Giá hợp đồng, tạm ứng và thanh toán
Điều 10. Điều chỉnh đơn giá, khối lượng công việc, một số nội dung khác trong hợp đồng và giá hợp đồng xây dựng
Điều 11. Quyền và nghĩa vụ chung của Chủ đầu tư
Điều 12. Quyền và nghĩa vụ chung của Nhà thầu
Điều 13. Quyền và nghĩa vụ của Nhà thầu tư vấn (áp dụng đối với trường hợp Chủ đầu tư ký hợp đồng thuê tư vấn quản lý dự án)
Điều 14. Quyền và nghĩa vụ của Nhà thầu tư vấn (áp dụng đối với trường hợp Chủ đầu tư ký hợp đồng thuê tư vấn giám sát thi công xây dựng)
Điều 15. Nhà thầu phụ
Điều 16. An toàn lao động, bảo vệ môi trường và phòng chống cháy nổ
Điều 17. Điện, nước và an ninh công trường
Điều 18. Tạm dừng và chấm dứt hợp đồng bởi Chủ đầu tư
Điều 19. Tạm dừng và chấm dứt hợp đồng bởi Nhà thầu
Điều 20. Bảo hiểm và bảo hành
Điều 21. Rủi ro và bất khả kháng
Điều 22. Sự kiện bồi thường
Điều 23. Thưởng hợp đồng, phạt vi phạm hợp đồng
Điều 24. Khiếu nại và xử lý các tranh chấp
Điều 25. Quyết toán và thanh lý hợp đồng
Điều 26. Hiệu lực của hợp đồng
Điều 27. Điều khoản chung
PHẦN 4. ĐIỀU KIỆN CỤ THỂ CỦA HỢP ĐỒNG
Điều 1. Giải thích từ ngữ
Điều 2. Hồ sơ hợp đồng và thứ tự ưu tiên
Điều 3. Luật và ngôn ngữ sử dụng
Điều 4. Thông báo
Điều 5. Bảo đảm thực hiện và bảo lãnh tạm ứng hợp đồng
Điều 6. Nội dung và khối lượng công việc
Điều 7. Yêu cầu về chất lượng sản phẩm và nghiệm thu, bàn giao sản phẩm hợp đồng thi công xây dựng
Điều 8. Thời gian và tiến độ thực hiện hợp đồng
Điều 9. Giá Hợp đồng, tạm ứng và thanh toán
Điều 10. Điều chỉnh đơn giá, khối lượng công việc, một số nội dung khác trong hợp đồng và giá hợp đồng xây dựng
Điều 15. Nhà thầu phụ
Điều 22. Sự kiện bồi thường
Điều 24. Khiếu nại và xử lý các tranh chấp
Điều 25. Quyết toán và thanh lý hợp đồng
Điều 26. Hiệu lực của hợp đồng
DANH MỤC CÁC CHỮ VIẾT TẮT
|
ĐKC |
Điều kiện chung |
|
ĐKCT |
Điều kiện cụ thể |
|
HSMT |
Hồ sơ mời thầu |
|
HSDT |
Hồ sơ dự thầu |
|
Nghị định 37/2015/NĐ-CP |
Nghị định số 37/2015/NĐ-CP ngày 22 tháng 4 năm 2015 của Chính phủ quy định chi tiết về hợp đồng xây dựng |
|
Nghị định 50/2021/NĐ-CP |
Nghị định số 50/2021/NĐ-CP ngày 01/4/2021 của Chính phủ sửa đổi, bổ sung một số điều của Nghị định số 37/2015/NĐ-CP ngày 22 tháng 4 năm 2015 của Chính phủ quy định chi tiết về hợp đồng xây dựng |
|
Nghị định 06/2021/NĐ-CP |
Nghị định số 06/2021/NĐ-CP ngày 26 tháng 01 năm 2021 của Chính phủ quy định chi tiết một số nội dung về quản lý chất lượng, thi công xây dựng và bảo trì công trình xây dựng |
|
Nghị định 15/2021/NĐ-CP |
Căn cứ Nghị định số 15/2021/NĐ-CP ngày 03 tháng 3 năm 2021 của Chính phủ quy định chi tiết một số nội dung về quản lý dự án đầu tư xây dựng |
|
VNĐ |
Đồng Việt Nam |
|
|
Định dạng tài liệu được cố định theo tiêu chuẩn của hãng Adobe Systems để tài liệu được hiển thị như nhau trên mọi môi trường làm việc |
|
Excel |
Định dạng tài liệu theo dạng bảng biểu của hãng Microsoft dùng trong việc tính toán, nhập dữ liệu |
|
Word |
Định dạng tài liệu theo dạng văn bản của hãng Microsoft dùng trong việc trình bày, nhập dữ liệu |
PHẦN 1. THÔNG TIN GIAO DỊCH CỦA CHỦ ĐẦU TƯ VÀ NHÀ THẦU
Hôm nay, ngày ... tháng ... năm tại (Địa danh) …………………………………………………., chúng tôi gồm các bên dưới đây:
1. Chủ đầu tư:
Tên giao dịch ……………………………………….
Đại diện (hoặc người được ủy quyền) là: Ông/Bà………………… Chức vụ: ……………………….
Địa chỉ: ……………………………………………..
Tài khoản: ………………………………………….
Mã số thuế: ………………………………………..
Đăng ký kinh doanh (nếu có) ……………………
Điện thoại:…………………………………….. Fax: ……………………………
E-mail: ………………………………………….
Giấy ủy quyền ký hợp đồng số____ ngày____ tháng____ năm_____ (trường hợp được ủy quyền).
Và bên kia là:
2. Nhà thầu:
Tên giao dịch:
Đại diện (hoặc người được ủy quyền) là: Ông/Bà……………………… Chức vụ: ………………..
Địa chỉ: ……………………………………………
Tài khoản: …………………………………………
Mã số thuế: ………………………………………..
Đăng ký kinh doanh (nếu có) …………………………
Điện thoại:…………………………………… Fax: ……………………………
E-mail: …………………………………………
Giấy ủy quyền ký hợp đồng số………. ngày....tháng....năm.... (Trường hợp được ủy quyền)
(Trường hợp là liên danh các Nhà thầu thì phải ghi đầy đủ thông tin các thành viên trong liên danh và cử đại diện liên danh giao dịch)
Hai bên cùng thống nhất ký hợp đồng thi công xây dựng của gói thầu.... thuộc dự án (tên dự án) như sau:
PHẦN 2. CÁC CĂN CỨ KÝ KẾT HỢP ĐỒNG
Căn cứ Bộ Luật Dân sự ngày 24 tháng 11 năm 2015;
Căn cứ Luật Xây dựng ngày 18 tháng 6 năm 2014; Luật sửa đổi, bổ sung một số điều của Luật Xây dựng ngày 17 tháng 6 năm 2020;
Căn cứ Luật Đấu thầu ngày 26/11/2013;
Căn cứ Nghị định số 37/2015/NĐ-CP ngày 22 tháng 4 năm 2015 của Chính phủ quy định chi tiết về hợp đồng xây dựng;
Căn cứ Nghị định số 50/2021/NĐ-CP ngày 01 tháng 4 năm 2021 sửa đổi, bổ sung một số điều của Nghị định số 37/2015/NĐ-CP ngày 22 tháng 4 năm 2015 của Chính phủ quy định chi tiết về hợp đồng xây dựng;
Căn cứ Nghị định số 06/2021/NĐ-CP ngày 26 tháng 01 năm 2021 của Chính phủ quy định chi tiết một số nội dung về quản lý chất lượng, thi công xây dựng và bảo trì công trình xây dựng;
Căn cứ Nghị định số 15/2021/NĐ-CP ngày 03 tháng 3 năm 2021 của Chính phủ quy định chi tiết một số nội dung về quản lý dự án đầu tư xây dựng;
Căn cứ Nghị định số 99/2021/NĐ-CP ngày 11/11/2021 quy định về quản lý, thanh toán, quyết toán dự án sử dụng vốn đầu tư công;
Căn cứ 1 ______;
Căn cứ Quyết định số____ ngày____ tháng_____ năm_____ của______ về việc phê duyệt kết quả lựa chọn nhà thầu gói thầu____ [Ghi tên gói thầu] và thông báo trúng thầu số___ ngày___ tháng____ năm____ của bên mời thầu;
Căn cứ văn bản số___ ngày____ tháng____ năm____ của____ về việc thông báo chấp thuận hồ sơ dự thầu và trao hợp đồng;
Các văn bản liên quan khác.
PHẦN 3. ĐIỀU KIỆN CHUNG CỦA HỢP ĐỒNG
Điều 1. Giải thích từ ngữ
Trong hợp đồng này, các từ ngữ dưới đây được hiểu như sau:
1.1. Bên là Chủ đầu tư hoặc Nhà thầu tùy theo ngữ cảnh (yêu cầu) diễn đạt.
1.2. Bảng tiên lượng là bảng kê chi tiết khối lượng và giá các công việc trong hợp đồng.
1.3. Bản vẽ thiết kế là tất cả các bản vẽ, bảng tính toán và thông tin kỹ thuật tương tự của công trình do Chủ đầu tư cấp cho Nhà thầu hoặc do Nhà thầu lập đã được Chủ đầu tư chấp thuận.
1.4. Biên bản nghiệm thu là biên bản được phát hành theo Điều 7 [Yêu cầu về chất lượng sản phẩm và nghiệm thu, bàn giao sản phẩm hợp đồng thi công xây dựng].
1.5. Chỉ dẫn kỹ thuật là tập hợp các yêu cầu kỹ thuật dựa trên các quy chuẩn kỹ thuật, tiêu chuẩn được áp dụng cho công trình, thiết kế xây dựng công trình để hướng dẫn, quy định về vật liệu, sản phẩm, thiết bị sử dụng cho công trình và các công tác thi công, giám sát, nghiệm thu công trình xây dựng.
1.6. Chủ đầu tư là……………… (tên giao dịch của Chủ đầu tư) [quy định tại ĐKCT].
1.7. Công trình là công trình chính và công trình tạm hoặc là một trong hai loại công trình này [quy định tại ĐKCT].
1.8. Công trình chính là các công trình.... (tên công trình) mà Nhà thầu thi công theo hợp đồng.
1.9. Công trình tạm là các công trình phục vụ thi công công trình, hạng mục công trình.
1.10. Công trường là địa điểm Chủ đầu tư giao cho Nhà thầu để thi công công trình cũng như bất kỳ địa điểm nào khác được quy định trong hợp đồng [quy định tại ĐKCT].
1.11. Dự án là……………… (tên dự án).
1.12. Đại diện Chủ đầu tư là người được Chủ đầu tư nêu ra trong hợp đồng hoặc được ủy quyền theo từng thời gian và điều hành công việc thay mặt cho Chủ đầu tư.
1.13. Đại diện Nhà thầu là người được Nhà thầu nêu ra trong hợp đồng hoặc được Nhà thầu ủy quyền bằng văn bản và điều hành công việc thay mặt Nhà thầu.
1.14. Đại diện nhà tư vấn là người được nhà tư vấn ủy quyền làm đại diện để thực hiện các nhiệm vụ do nhà tư vấn giao.
1.15. Hạng mục công trình là một công trình chính hoặc một phần công trình chính.
1.16. Hồ sơ dự thầu (hoặc Hồ sơ đề xuất) của Nhà thầu là toàn bộ tài liệu do Nhà thầu lập theo yêu cầu của hồ sơ mời thầu (hoặc Hồ sơ yêu cầu) và được nộp cho bên mời thầu theo quy định tại Phụ lục số ... [Hồ sơ dự thầu (hoặc Hồ sơ đề xuất) của Nhà thầu].
1.17. Hồ sơ mời thầu (hoặc Hồ sơ yêu cầu) của Chủ đầu tư là toàn bộ tài liệu theo quy định tại phụ lục số ... [Hồ sơ mời thầu (hoặc Hồ sơ yêu cầu) của Chủ đầu tư].
1.18. Hợp đồng là thỏa thuận giữa Chủ đầu tư và Nhà thầu, thể hiện bằng văn bản, được hai bên ký kết, bao gồm cả phụ lục và các tài liệu kèm theo theo quy định tại Điều 2 [Hồ sơ hợp đồng và thứ tự ưu tiên].
1.19. Luật là toàn bộ hệ thống luật pháp của nước Cộng hòa xã hội chủ nghĩa Việt Nam.
1.20. Ngày được hiểu là ngày dương lịch và tháng được hiểu là tháng dương lịch.
1.21. Ngày khởi công là ngày được thông báo theo khoản 8.2 [Ngày khởi công, thời gian thực hiện hợp đồng] [quy định tại ĐKCT].
1.22. Ngày làm việc là ngày dương lịch, trừ ngày chủ nhật, ngày nghỉ lễ, tết theo quy định của pháp luật.
1.23. Nhà thầu là …………………(tên giao dịch của Nhà thầu) [quy định tại ĐKCT].
1.24. Nhà thầu phụ là Nhà thầu ký hợp đồng với Nhà thầu để thi công một phần công việc của Nhà thầu.
1.25. Nhà tư vấn là tổ chức, cá nhân do Chủ đầu tư ký hợp đồng thuê để thực hiện một hoặc một số công việc chuyên môn liên quan đến việc quản lý thực hiện hợp đồng (Nhà tư vấn có thể là tư vấn quản lý dự án hoặc tư vấn giám sát thi công xây dựng công trình).
1.26. Rủi ro và bất khả kháng được định nghĩa tại Điều 21 [Rủi ro và bất khả kháng].
1.27. Thay đổi là sự thay đổi (điều chỉnh) phạm vi công việc, chỉ dẫn kỹ thuật, bản vẽ thiết kế, giá hợp đồng hoặc tiến độ thi công, các nội dung khác của hợp đồng có sự chấp thuận bằng văn bản của Chủ đầu tư.
1.28. Thiết bị của Chủ đầu tư là máy móc, phương tiện do Chủ đầu tư cấp cho Nhà thầu sử dụng để thi công công trình, như đã nêu trong Phụ lục số ... [Hồ sơ mời thầu (hoặc Hồ sơ yêu cầu) của Chủ đầu tư].
1.29. Thiết bị của Nhà thầu là toàn bộ thiết bị máy móc, phương tiện, xe cộ và các phương tiện, thiết bị khác yêu cầu phải có để Nhà thầu thi công, hoàn thành công trình và sửa chữa bất cứ sai sót nào (nếu có).
1.30. Tư vấn thiết kế là tư vấn thực hiện việc thiết kế xây dựng công trình.
Điều 2. Hồ sơ hợp đồng và thứ tự ưu tiên
2.1. Hồ sơ hợp đồng xây dựng gồm thỏa thuận hợp đồng này và các tài liệu kèm theo hợp đồng [quy định tại ĐKCT].
2.2. Tất cả các tài liệu nêu tại khoản 2.3 Điều này (bao gồm cả các phần của tài liệu) sẽ cấu thành hợp đồng để tạo thành thể thống nhất, có tính tương hỗ, bổ sung và giải thích cho nhau.
2.3. Các tài liệu kèm theo hợp đồng là một bộ phận không tách rời của hợp đồng, bao gồm:
a) Hợp đồng, các tài liệu kèm theo hợp đồng và các phụ lục hợp đồng (Thông số kỹ thuật, bản vẽ thiết kế, mô tả công việc mời thầu nêu trong bảng tổng hợp giá dự thầu,....);
b) Thư chấp thuận HSDT và trao hợp đồng;
c) Biên bản thương thảo;
d) Biên bản hoàn thiện hợp đồng;
đ) Quyết định phê duyệt kết quả lựa chọn nhà thầu;
e) HSDT và các văn bản làm rõ HSDT của nhà thầu;
g) HSMT và các tài liệu bổ sung HSMT (nếu có);
h) Các tài liệu khác có liên quan.
2.4. Thứ tự ưu tiên áp dụng các tài liệu kèm theo hợp đồng do các bên thỏa thuận áp dụng, trường hợp các bên không thỏa thuận thì áp dụng theo thứ tự ưu tiên quy định tại khoản 2.3 Điều này [quy định tại ĐKCT].
Điều 3. Luật và ngôn ngữ sử dụng
3.1. Hợp đồng này chịu sự điều chỉnh của hệ thống pháp luật nước Cộng hòa xã hội chủ nghĩa Việt Nam [quy định tại ĐKCT].
3.2. Ngôn ngữ sử dụng cho hợp đồng là tiếng Việt. Trường hợp có sử dụng từ hai thứ ngôn ngữ trở lên thì các bên phải thỏa thuận về ngôn ngữ sử dụng trong quá trình giao dịch hợp đồng và thứ tự ưu tiên sử dụng ngôn ngữ để giải quyết tranh chấp hợp đồng xây dựng.
Điều 4. Thông báo
4.1. Bất cứ thông báo nào của một bên gửi cho bên kia liên quan đến hợp đồng phải được thể hiện bằng văn bản. Thuật ngữ “bằng văn bản” hay “văn bản” là bản ghi bằng tay, đánh máy, được in ra hoặc thông qua phương tiện điện tử dưới hình thức thông điệp dữ liệu theo quy định của pháp luật về giao dịch điện tử và sau đó được lưu trữ lâu dài.
4.2. Thông báo của một bên phải được người đại diện có thẩm quyền hoặc người được ủy quyền ký kết sẽ được coi là có hiệu lực tại thời điểm ... (do hai bên ấn định trên cơ sở quy định tại khoản 2 Điều 388 Bộ Luật Dân sự) [quy định tại ĐKCT].
Điều 5. Bảo đảm thực hiện và bảo lãnh tạm ứng hợp đồng
5.1. Bảo đảm thực hiện hợp đồng
Nhà thầu phải nộp bảo đảm thực hiện hợp đồng tương đương ...% giá trị hợp đồng cho Chủ đầu tư trong vòng ... ngày trước thời điểm hợp đồng có hiệu lực theo quy định tại khoản 2 Điều 16 Nghị định số 37/2015/NĐ-CP [quy định tại ĐKCT]. Bảo đảm thực hiện hợp đồng phải được Chủ đầu tư chấp thuận và phải tuân theo mẫu ở Phụ lục số ... [Bảo đảm thực hiện hợp đồng] (hoặc theo mẫu khác được Chủ đầu tư chấp thuận). Trường hợp Nhà thầu là Nhà thầu liên danh thì thực hiện theo quy định tại khoản 3 Điều 16 Nghị định số 37/2015/NĐ-CP ngày 22/4/2015 của Chính phủ.
Bảo đảm thực hiện hợp đồng phải có giá trị và có hiệu lực tới khi Nhà thầu đã thi công, hoàn thành công trình, hoặc hạng mục công trình tương ứng với hợp đồng đã ký kết được Chủ đầu tư nghiệm thu và chuyển sang nghĩa vụ bảo hành công trình. Nếu các điều khoản của bảo đảm thực hiện hợp đồng nêu rõ ngày hết hạn và Nhà thầu chưa hoàn thành các nghĩa vụ của hợp đồng vào thời điểm ... ngày trước ngày hết hạn, Nhà thầu sẽ phải gia hạn hiệu lực của bảo đảm thực hiện hợp đồng cho tới khi công việc đã được hoàn thành và mọi sai sót đã được sửa chữa xong.
Nhà thầu sẽ không được nhận lại bảo đảm thực hiện hợp đồng trong trường hợp từ chối thực hiện hợp đồng đã có hiệu lực và các trường hợp .... (do các bên thỏa thuận). Chủ đầu tư phải hoàn trả cho Nhà thầu bảo đảm thực hiện hợp đồng khi Nhà thầu đã hoàn thành các công việc theo hợp đồng và chuyển sang nghĩa vụ bảo hành.
5.2. Bảo lãnh tiền tạm ứng (trường hợp các bên thỏa thuận phải có bảo lãnh tiền tạm ứng)
Trước khi Chủ đầu tư tạm ứng hợp đồng cho Nhà thầu thì Nhà thầu phải nộp cho Chủ đầu tư bảo lãnh tạm ứng hợp đồng theo quy định tại khoản 4 Điều 18 Nghị định số 37/2015/NĐ-CP được sửa đổi, bổ sung tại điểm a khoản 6 Điều 1 Nghị định số 50/2021/NĐ-CP [quy định tại ĐKCT].
Bảo lãnh tiền tạm ứng phải được phát hành bởi một ngân hàng hoặc tổ chức tín dụng hoạt động hợp pháp tại Việt Nam và có hiệu lực cho đến khi hoàn trả hết khoản tiền tạm ứng; giá trị của bảo lãnh tiền tạm ứng sẽ được giảm dần theo số tiền tạm ứng mà Nhà thầu hoàn trả. Không tính lãi đối với tiền tạm ứng.
Giá trị của bảo lãnh tạm ứng hợp đồng bao gồm cả dự phòng (nếu có) sẽ được khấu trừ tương ứng với giá trị giảm trừ tiền tạm ứng qua mỗi lần thanh toán (theo thỏa thuận của các bên) và đảm bảo theo quy định tại điểm đ khoản 4 Điều 18 Nghị định số 37/2015/NĐ-CP .
5.3. Mức tạm ứng hợp đồng là mức tối đa theo thẩm quyền quy định tại pháp luật hợp đồng
Điều 6. Nội dung và khối lượng công việc
6.1. Nhà thầu thực hiện việc thi công xây dựng công trình theo bản vẽ thiết kế (kể cả phần sửa đổi được Chủ đầu tư chấp thuận), chỉ dẫn kỹ thuật được mô tả trong Phụ lục số ... [Hồ sơ mời thầu (hoặc Hồ sơ yêu cầu) của Chủ đầu tư]; Phụ lục số ... [Hồ sơ dự thầu (hoặc Hồ sơ đề xuất) của Nhà thầu] được Chủ đầu tư chấp thuận và biên bản đàm phán hợp đồng, đảm bảo chất lượng, tiến độ, giá cả, an toàn và các thỏa thuận khác trong hợp đồng.
6.2. Nội dung và khối lượng công việc của hợp đồng thi công xây dựng được quy định tại khoản 1 Điều 12 Nghị định số 37/2015/NĐ-CP và có thể bao gồm toàn bộ hoặc một số công việc sau:
a) Bàn giao và tiếp nhận, quản lý mặt bằng xây dựng, tiếp nhận và bảo quản tim, cốt, mốc giới công trình;
b) Cung cấp vật liệu xây dựng, nhân lực, máy và thiết bị thi công để thi công xây dựng công trình theo hợp đồng;
c) Thi công xây dựng công trình theo đúng hồ sơ thiết kế được phê duyệt và quy chuẩn, tiêu chuẩn xây dựng hiện hành;
d) Thực hiện trắc đạc, quan trắc công trình theo yêu cầu thiết kế. Thực hiện thí nghiệm, kiểm tra chạy thử đơn động và chạy thử liên động theo kế hoạch trước khi đề nghị nghiệm thu;
đ) Kiểm soát chất lượng công việc xây dựng và lắp đặt thiết bị; giám sát thi công xây dựng công trình đối với công việc xây dựng do Nhà thầu phụ thực hiện trong trường hợp là Nhà thầu chính hoặc tổng thầu;
e) Xử lý, khắc phục các sai sót, khiếm khuyết về chất lượng trong quá trình thi công xây dựng (nếu có);
g) Thí nghiệm kiểm tra chất lượng vật liệu xây dựng, cấu kiện xây dựng;
h) Thực hiện nghiệm thu công việc chuyển bước thi công, nghiệm thu giai đoạn thi công xây dựng hoặc bộ phận công trình xây dựng, nghiệm thu hoàn thành hạng mục công trình, công trình xây dựng;
i) Thực hiện các công tác bảo đảm an toàn, bảo vệ và vệ sinh môi trường, phòng chống cháy nổ;
k) Bảo vệ công trường, mặt bằng thi công trong phạm vi hợp đồng thi công;
l) Thực hiện các công tác bảo đảm an ninh trật tự cho khu vực công trường;
m) Hợp tác với các Nhà thầu khác trên công trường (nếu có);
n) Thu dọn công trường và bàn giao sản phẩm xây dựng sau khi hoàn thành;
o) Các công việc khác trong quá trình thực hiện hợp đồng theo thỏa thuận của hợp đồng, các tài liệu kèm theo hợp đồng và quy định của pháp luật.
6.3. Phạm vi công việc thực hiện đối với hợp đồng thi công xây dựng: Là việc cung cấp vật liệu xây dựng, nhân lực, máy và thiết bị thi công và thi công xây dựng công trình theo đúng hồ sơ thiết kế được phê duyệt [quy định tại ĐKCT].
Điều 7. Yêu cầu về chất lượng sản phẩm và nghiệm thu, bàn giao sản phẩm hợp đồng thi công xây dựng
7.1. Yêu cầu về chất lượng sản phẩm của hợp đồng thi công xây dựng
Yêu cầu về chất lượng sản phẩm của hợp đồng thi công xây dựng quy định tại khoản 1 Điều 13 Nghị định số 37/2015/NĐ-CP như sau:
a) Công trình phải được thi công theo bản vẽ thiết kế (kể cả phần sửa đổi được Chủ đầu tư chấp thuận), chỉ dẫn kỹ thuật được nêu trong hồ sơ mời thầu (hoặc hồ sơ yêu cầu) phù hợp với hệ thống quy chuẩn, tiêu chuẩn được áp dụng cho dự án và các quy định về chất lượng công trình, xây dựng của nhà nước có liên quan; Nhà thầu phải có sơ đồ và thuyết minh hệ thống quản lý chất lượng thi công, giám sát chất lượng thi công của mình.
b) Nhà thầu phải cung cấp cho Chủ đầu tư các kết quả thí nghiệm vật liệu, sản phẩm của công việc hoàn thành. Các kết quả thí nghiệm này phải được thực hiện bởi phòng thí nghiệm hợp chuẩn theo quy định.
c) Nhà thầu đảm bảo vật tư, thiết bị được cung cấp có nguồn gốc xuất xứ như quy định của hồ sơ hợp đồng.
7.2. Kiểm tra, giám sát của Chủ đầu tư
a) Chủ đầu tư được quyền vào các nơi trên công trường và các nơi khai thác nguyên vật liệu tự nhiên của Nhà thầu phục vụ cho gói thầu để kiểm tra;
b) Trong quá trình sản xuất, gia công, chế tạo và xây dựng ở khu vực, trên công trường được quy định trong hợp đồng Chủ đầu tư được quyền kiểm tra, kiểm định, đo lường, thử các loại vật liệu và kiểm tra quá trình gia công, chế tạo thiết bị, sản xuất vật liệu.
Nhà thầu phải tạo mọi điều kiện cho người của Chủ đầu tư để tiến hành các hoạt động này, bao gồm cả việc cho phép ra vào, cung cấp các phương tiện đi lại ở khu vực trên công trường, các giấy phép và thiết bị an toàn. Những hoạt động này không làm giảm nghĩa vụ hoặc trách nhiệm của Nhà thầu.
Đối với các công việc mà người của Chủ đầu tư được quyền xem xét đo lường và kiểm định, Nhà thầu phải thông báo cho Chủ đầu tư biết khi bất kỳ công việc nào như vậy đã xong và trước khi được phủ lập, hoặc không còn được nhìn thấy hoặc đóng gói để lưu kho hoặc vận chuyển. Chủ đầu tư phải tiến hành ngay việc kiểm tra, giám định, đo lường hoặc kiểm định không được chậm trễ mà không cần lý do, hoặc thông báo ngay cho Nhà thầu việc Chủ đầu tư không kiểm tra, giám định, đo lường hoặc kiểm định để Nhà thầu có thể tiếp tục các công việc tiếp theo. Trong trường hợp Chủ đầu tư không tham gia quá trình này thì Chủ đầu tư không được khiếu nại về các vấn đề trên.
7.3. Nghiệm thu sản phẩm các công việc hoàn thành: Theo quy định tại khoản 2 Điều 13 Nghị định số 37/2015/NĐ-CP và Nghị định số 06/2021/NĐ-CP. Căn cứ nghiệm thu sản phẩm của hợp đồng là các bản vẽ thiết kế (kể cả phần sửa đổi, bổ sung được Chủ đầu tư chấp thuận); thuyết minh kỹ thuật; các quy chuẩn, tiêu chuẩn có liên quan; chứng chỉ kết quả thí nghiệm; biểu mẫu hồ sơ nghiệm thu bàn giao và các quy định khác có liên quan.
7.4. Chạy thử của công trình (nếu có)
Trước khi bắt đầu chạy thử khi hoàn thành, Nhà thầu phải trình Chủ đầu tư các tài liệu hoàn công, các sổ tay vận hành và bảo trì phù hợp với đặc tính kỹ thuật với đầy đủ chi tiết để vận hành, bảo trì, tháo dỡ, lắp đặt, điều chỉnh và sửa chữa.
Nhà thầu phải cung cấp các máy móc, sự trợ giúp, tài liệu và các thông tin khác, điện, thiết bị, nhiên liệu, vật dụng, dụng cụ, người lao động, vật liệu và nhân viên có trình độ và kinh nghiệm cần thiết để tiến hành chạy thử cụ thể một cách hiệu quả. Nhà thầu phải thống nhất với Chủ đầu tư về thời gian, địa điểm tiến hành chạy thử của thiết bị, vật liệu và các hạng mục công trình.
Chủ đầu tư phải thông báo trước .... ngày [quy định tại ĐKCT] cho Nhà thầu về ý định của mình là sẽ tham gia vào lần chạy thử. Nếu Chủ đầu tư không tham gia vào lần chạy thử tại địa điểm và thời gian đã thỏa thuận, Nhà thầu có thể tiến hành chạy thử và việc chạy thử coi như đã được tiến hành với sự có mặt của Chủ đầu tư, trừ khi có thỏa thuận khác giữa các bên.
Nếu Nhà thầu phải chịu sự chậm trễ hay chịu các chi phí do tuân thủ các hướng dẫn của Chủ đầu tư, hay do sự chậm trễ thuộc trách nhiệm của Chủ đầu tư, Nhà thầu phải thông báo cho Chủ đầu tư biết và được:
a) Gia hạn thời gian do sự chậm trễ;
b) Thanh toán mọi chi phí cộng thêm vào giá hợp đồng.
Nhà thầu phải trình cho Chủ đầu tư các báo cáo có xác nhận về các lần chạy thử và các bên ký biên bản chạy thử làm cơ sở thanh lý hợp đồng theo quy định.
7.5. Nghiệm thu, bàn giao công trình và các hạng mục công trình
Thực hiện theo quy định tại Nghị định số 06/2021/NĐ-CP ngày 26/01/2021 của Chính phủ về Quy định chi tiết một số nội dung về quản lý chất lượng, thi công xây dựng và bảo trì công trình xây dựng [quy định tại ĐKCT].
7.6. Trách nhiệm của Nhà thầu đối với các sai sót
a) Bằng kinh phí của mình Nhà thầu phải hoàn thành các công việc còn tồn đọng vào ngày đã nêu trong biên bản nghiệm thu, bàn giao trong khoảng thời gian hợp lý mà Chủ đầu tư yêu cầu nhưng đảm bảo không vượt quá khoảng thời gian thực hiện các công việc còn tồn đọng đó quy định trong hợp đồng.
b) Trường hợp không sửa chữa được sai sót
- Nếu Nhà thầu không sửa chữa được các sai sót hay hư hỏng trong khoảng thời gian hợp lý, Chủ đầu tư hoặc đại diện của Chủ đầu tư có thể ấn định ngày để sửa chữa các sai sót hay hư hỏng và thông báo cho Nhà thầu biết về ngày này.
- Nếu Nhà thầu không sửa chữa được các sai sót hay hư hỏng vào ngày đã được thông báo, Chủ đầu tư có thể tự tiến hành công việc hoặc thuê người khác sửa chữa và Nhà thầu phải chịu mọi chi phí (Nhà thầu không được kiến nghị về chi phí sửa chữa nếu không cung cấp được tài liệu chứng minh sự thiếu chính xác trong cách xác định chi phí sửa chữa của Chủ đầu tư), Nhà thầu sẽ không phải chịu trách nhiệm về công việc sửa chữa nhưng vẫn phải chịu trách nhiệm tiếp tục nghĩa vụ của mình đối với công trình theo hợp đồng.
c) Nếu sai sót hoặc hư hỏng dẫn đến việc Chủ đầu tư không sử dụng được công trình hay phần lớn công trình cho mục đích đã định thì Chủ đầu tư sẽ chấm dứt hợp đồng; khi đó, Nhà thầu sẽ phải bồi thường toàn bộ thiệt hại cho Chủ đầu tư theo hợp đồng và theo các quy định pháp luật.
d) Nếu sai sót hoặc hư hỏng không thể sửa chữa ngay trên công trường được và được Chủ đầu tư đồng ý, Nhà thầu có thể chuyển khỏi công trường thiết bị hoặc cấu kiện bị sai sót hay hư hỏng để sửa chữa.
7.7. Các kiểm định thêm
Nếu việc sửa chữa sai sót hoặc hư hỏng làm ảnh hưởng đến sự vận hành của công trình, Chủ đầu tư có thể yêu cầu tiến hành lại bất cứ cuộc kiểm định nào nêu trong hợp đồng, bao gồm cả các cuộc kiểm định khi hoàn thành và kiểm định sau khi hoàn thành. Yêu cầu này được thông báo trong khoảng thời gian 30 ngày sau khi đã sửa chữa sai sót hoặc hư hỏng.
Các kiểm định này phải được tiến hành theo các điều kiện được áp dụng cho các kiểm định trước, chỉ khác là được tiến hành bằng kinh phí của Nhà thầu.
7.8. Những nghĩa vụ chưa được hoàn thành
Sau khi đã cấp biên bản nghiệm thu, bàn giao, mỗi bên sẽ phải chịu trách nhiệm hoàn thành các nghĩa vụ vẫn chưa được thực hiện tại thời điểm đó. Hợp đồng vẫn được coi là có hiệu lực đối với nội dung và phạm vi của những nghĩa vụ chưa được hoàn thành.
Điều 8. Thời gian và tiến độ thực hiện hợp đồng
8.1. Thời gian và tiến độ thực hiện hợp đồng thi công xây dựng theo quy định tại Điều 14 Nghị định số 37/2015/NĐ-CP .
8.2. Ngày khởi công, thời gian thực hiện hợp đồng
Ngày khởi công công trình là ngày ... tháng ... năm ... [quy định tại ĐKCT].
Nhà thầu sẽ bắt đầu tiến hành thi công xây dựng công trình (ngay sau ngày khởi công) và sẽ thực hiện thi công xây dựng công trình đúng thời gian thực hiện hợp đồng mà không được chậm trễ.
Nhà thầu phải hoàn thành toàn bộ công việc theo nội dung của hợp đồng trong khoảng thời gian ... ngày kể từ ngày khởi công công trình [quy định tại ĐKCT].
8.3. Tiến độ thực hiện hợp đồng
Căn cứ vào thời gian thực hiện hợp đồng Nhà thầu phải lập tiến độ chi tiết để trình cho Chủ đầu tư trong vòng ... ngày [quy định tại ĐKCT] sau ngày khởi công Nhà thầu cũng phải trình tiến độ thi công đã được sửa đổi nếu tiến độ thi công trước đó không phù hợp với tiến độ thực tế hoặc không phù hợp với nghĩa vụ của Nhà thầu. Trừ khi được quy định khác trong hợp đồng, mỗi bản tiến độ thi công sẽ bao gồm:
a) Trình tự thực hiện công việc của Nhà thầu và thời gian thi công cho mỗi giai đoạn chính của công trình;
b) Quá trình và thời gian kiểm tra, kiểm định;
c) Báo cáo tiến độ Nhà thầu phải thể hiện:
- Biện pháp tổ chức thi công trên công trường và các giai đoạn chính trong việc thi công công trình;
- Nhà thầu được phép điều chỉnh tiến độ chi tiết theo tuần, tháng nhưng phải phù hợp với tiến độ tổng thể của hợp đồng.
Nhà thầu phải thực hiện theo tiến độ thi công và nghĩa vụ của mình theo hợp đồng. Nếu bản tiến độ thi công này không phù hợp với hợp đồng thì Chủ đầu tư sẽ thông báo cho Nhà thầu trong vòng ... ngày sau khi nhận được bản tiến độ thi công của Nhà thầu và các bên thống nhất về tiến độ thi công phù hợp với thực tế. Chủ đầu tư sẽ được phép dựa vào bản tiến độ thi công phù hợp với thực tế này để yêu cầu Nhà thầu thực hiện theo tiến độ của hợp đồng.
Trường hợp Nhà thầu thông báo cho Chủ đầu tư về các tình huống cụ thể có thể xảy ra trong tương lai có tác động xấu hoặc làm chậm việc thi công công trình hay làm tăng giá hợp đồng. Trong trường hợp đó, Chủ đầu tư hoặc nhà tư vấn có thể yêu cầu Nhà thầu báo cáo về những ảnh hưởng của các tình huống trong tương lai và đề xuất theo khoản 8.4 [Điều chỉnh tiến độ hợp đồng thi công xây dựng]. Nhà thầu phải nộp cho Chủ đầu tư một bản tiến độ thi công sửa đổi phù hợp với khoản này.
8.4. Điều chỉnh tiến độ hợp đồng thi công xây dựng
a) Điều chỉnh tiến độ hợp đồng thi công xây dựng theo quy định tại Điều 39 Nghị định số 37/2015/NĐ-CP [quy định tại ĐKCT] và Điều 5 Thông tư này.
b) Chủ đầu tư và Nhà thầu sẽ thương thảo về việc gia hạn thời gian thực hiện hợp đồng trong các trường hợp sau đây:
- Chủ đầu tư không trao cho Nhà thầu quyền tiếp cận, sử dụng các phần hoặc toàn bộ công trường theo thời gian quy định;
- Chủ đầu tư chậm trễ không có lý do trong việc cấp biên bản nghiệm thu công trình;
- Nhà thầu tuân thủ các hướng dẫn của Chủ đầu tư khi các hướng dẫn của Chủ đầu tư đúng quy định, mới phát sinh, không nằm trong thỏa thuận đã có trước đó.
c) Nhà thầu được phép theo Điều 24 [Khiếu nại và xử lý các tranh chấp] gia hạn thời gian hoàn thành nếu do một trong những lý do sau đây:
- Có sự thay đổi phạm vi công việc, thiết kế, biện pháp thi công theo yêu cầu của Chủ đầu tư làm ảnh hưởng đến tiến độ thực hiện hợp đồng;
- Do ảnh hưởng của các trường hợp bất khả kháng;
- Sự chậm trễ, trở ngại trên công trường do Chủ đầu tư, nhân lực của Chủ đầu tư hay các Nhà thầu khác của Chủ đầu tư gây ra như: việc bàn giao mặt bằng không đúng với các thỏa thuận trong hợp đồng, các thủ tục liên quan ảnh hưởng đến tiến độ thực hiện hợp đồng mà không do lỗi của Nhà thầu gây ra;
- Do Chủ đầu tư không hoặc chậm thanh toán vốn theo quy định của hợp đồng.
8.5. Đẩy nhanh tiến độ
Trường hợp Chủ đầu tư cần Nhà thầu hoàn thành trước ngày hoàn thành dự kiến, Chủ đầu tư phải yêu cầu Nhà thầu đề xuất các chi phí phát sinh nhằm đẩy nhanh tiến độ. Nếu Chủ đầu tư chấp nhận các chi phí mà Nhà thầu đề xuất thì ngày hoàn thành dự kiến sẽ được điều chỉnh cho phù hợp và được Chủ đầu tư, Nhà thầu xác nhận.
Nếu các chi phí phát sinh do Nhà thầu đề xuất để đẩy nhanh tiến độ được Chủ đầu tư chấp thuận thì giá hợp đồng sẽ được điều chỉnh và các chi phí phát sinh sẽ được xem là một thay đổi của hợp đồng.
8.6. Khắc phục tiến độ chậm trễ
Khi tiến độ đã bị chậm hơn so với tiến độ thi công như các bên đã thỏa thuận trong hợp đồng của công việc đó mà không phải do những nguyên nhân đã nêu trong khoản 8.4 Điều này, khi đó Chủ đầu tư yêu cầu Nhà thầu trình một bản tiến độ thi công được sửa đổi để thực hiện tiến độ hoàn thành, trong thời gian yêu cầu.
Điều 9. Giá hợp đồng, tạm ứng và thanh toán
9.1. Loại hợp đồng theo quy định tại Điều 3 Nghị định số 37/2015/NĐ-CP ngày 22 tháng 4 năm 2015 được sửa đổi, bổ sung tại điểm a khoản 2 Điều 1 Nghị định số 50/2021/NĐ-CP .
9.2. Giá hợp đồng theo quy định tại Điều 15 Nghị định số 37/2015/NĐ-CP ngày 22 tháng 4 năm 2015 được sửa đổi, bổ sung tại điểm a khoản 5 Điều 1 Nghị định số 50/2021/NĐ-CP. Đối với hợp đồng tổng thầu thi công giá hợp đồng đã bao gồm chi phí tổng thầu thi công xây dựng.
Tổng giá trị hợp đồng là ...đồng [quy định tại ĐKCT].
(Bằng chữ:...)
Chi tiết giá hợp đồng được nêu trong Phụ lục số ....[Giá hợp đồng, tạm ứng, thanh toán].
Giá hợp đồng trên đã bao gồm toàn bộ các chi phí để thực hiện công việc theo hợp đồng, bản quyền, lợi nhuận của Nhà thầu và tất cả các loại thuế, phí liên quan đến công việc theo quy định của pháp luật.
Giá hợp đồng chỉ được điều chỉnh theo quy định tại Điều 10 [Điều chỉnh giá hợp đồng].
9.3. Tạm ứng
a) Tiền tạm ứng [quy định tại ĐKCT] được thu hồi dần qua các lần thanh toán khối lượng hoàn thành của hợp đồng và đảm bảo thu hồi hết khi giá trị thanh toán đạt 80% giá hợp đồng đã ký (trừ trường hợp được người có thẩm quyền cho tạm ứng ở mức cao hơn).
b) Tiền tạm ứng phải được hoàn trả bằng cách khấu trừ một tỷ lệ nhất định trong các khoản thanh toán đến hạn cho Nhà thầu, theo bảng kê tỷ lệ phần trăm công việc đã hoàn thành làm cơ sở thanh toán. Khoản tiền tạm ứng hay hoàn trả tiền tạm ứng sẽ không được tính đến khi định giá các công việc đã thực hiện, các thay đổi hợp đồng, các sự kiện bồi thường, thưởng hợp đồng hoặc bồi thường thiệt hại.
Trường hợp tạm ứng vẫn chưa được hoàn trả trước khi ký biên bản nghiệm thu công trình và trước khi chấm dứt hợp đồng theo Điều 18 [Tạm ngừng và chấm dứt hợp đồng bởi Chủ đầu tư], Điều 19 [Tạm ngừng và chấm dứt hợp đồng bởi Nhà thầu] hoặc Điều 21 [Rủi ro và bất khả kháng] (tùy từng trường hợp), khi đó toàn bộ số tiền tạm ứng chưa thu hồi được này sẽ là nợ đến hạn và Nhà thầu phải chịu trách nhiệm thanh toán cho Chủ đầu tư trong thời gian .... ngày.
c) Nhà thầu phải sử dụng tiền tạm ứng theo đúng quy định tại khoản 6 Điều 18 Nghị định số 37/2015/NĐ-CP. Tiền tạm ứng chỉ được sử dụng cho việc trả lương cho người lao động, mua hoặc huy động thiết bị, nhà xưởng, vật tư và các chi phí huy động cần thiết cho việc thực hiện hợp đồng.
9.4. Thanh toán [quy định tại ĐKCT]
a) Giá hợp đồng trọn gói:
* Việc thanh toán được chia làm ... lần:
- Lần 1: Thanh toán ... % giá trị hợp đồng (hoặc giá trị hạng mục hoàn thành) sau khi Nhà thầu hoàn thành hạng mục công trình... (tên hạng mục công trình).
- Lần 2: Thanh toán ... % giá trị hợp đồng (hoặc giá trị hạng mục hoàn thành) sau khi Nhà thầu hoàn thành hạng mục công trình... (tên hạng mục công trình).
- Lần ...
- Lần cuối: Thanh toán ... % giá trị hợp đồng (hoặc toàn bộ giá trị còn lại) sau khi Nhà thầu hoàn thành các công việc và thỏa thuận theo hợp đồng và Chủ đầu tư nhận được bảo lãnh bảo hành.
b) Giá hợp đồng theo đơn giá cố định: Việc thanh toán được thực hiện trên cơ sở khối lượng công việc thực tế hoàn thành được nghiệm thu hàng tháng (hoặc theo thời điểm cụ thể do các bên thỏa thuận) nhân với đơn giá trong hợp đồng.
c) Giá hợp đồng theo đơn giá điều chỉnh: Việc thanh toán được thực hiện trên cơ sở khối lượng công việc thực tế hoàn thành được nghiệm thu hàng tháng (hoặc theo thời điểm cụ thể do các bên thỏa thuận) nhân với đơn giá đã điều chỉnh theo Điều 10 [Điều chỉnh đơn giá, khối lượng công việc, một số nội dung khác trong hợp đồng và giá hợp đồng xây dựng].
9.5. Thời hạn thanh toán
a) Chủ đầu tư sẽ thanh toán cho Nhà thầu trong vòng .... ngày làm việc, kể từ ngày Chủ đầu tư nhận được hồ sơ thanh toán hợp lệ của Nhà thầu [quy định tại ĐKCT].
b) Trường hợp Chủ đầu tư thanh toán không đúng thời hạn và không đầy đủ theo thỏa thuận trong hợp đồng thì phải bồi thường cho Nhà thầu theo quy định tại khoản 2 Điều 43 Nghị định số 37/2015/NĐ-CP .
9.6. Thanh toán tiền bị giữ lại
Chủ đầu tư sẽ thanh toán toàn bộ các khoản tiền bị giữ lại cho Nhà thầu [quy định tại ĐKCT] khi các bên đã đủ căn cứ để xác định giá trị của các lần thanh toán và khi Nhà thầu hoàn thành nghĩa vụ bảo hành công trình theo quy định tại Điều 19 [Bảo hiểm và bảo hành]
9.7. Đồng tiền và hình thức thanh toán
a) Đồng tiền thanh toán: giá hợp đồng sẽ được thanh toán bằng đồng tiền Việt Nam (VNĐ) và .... (Ngoại tệ nếu có và ghi rõ thời điểm và ngân hàng, loại ngoại tệ và tỷ giá thanh toán tương ứng).
b) Hình thức thanh toán: thanh toán bằng hình thức chuyển khoản (trường hợp khác do các bên thỏa thuận và phù hợp với quy định pháp luật).
9.8. Hồ sơ thanh toán [quy định tại ĐKCT]
a) Giá hợp đồng trọn gói:
- Biên bản nghiệm thu khối lượng hoàn thành trong giai đoạn thanh toán (theo mẫu biên bản nghiệm thu chất lượng có thể ghi khối lượng công việc việc chi tiết hoặc không ghi khối lượng công việc chi tiết mà ghi tỷ lệ phần trăm hoàn thành hoặc theo yêu cầu của hồ sơ mời thầu, hồ sơ yêu cầu) có xác nhận của đại diện Chủ đầu tư hoặc đại diện nhà tư vấn (nếu có) và đại diện Nhà thầu; biên bản nghiệm thu khối lượng này là bản xác nhận hoàn thành công trình, hạng mục công trình, khối lượng công việc phù hợp với phạm vi công việc phải thực hiện theo hợp đồng mà không cần xác nhận khối lượng hoàn thành chi tiết;
- Bảng xác định giá trị khối lượng phát sinh (nếu có) nằm ngoài phạm vi công việc phải thực hiện theo hợp đồng đã ký kết có xác nhận của đại diện Chủ đầu tư hoặc đại diện nhà tư vấn (nếu có) và đại diện Nhà thầu;
- Đề nghị thanh toán của Nhà thầu cần thể hiện các nội dung: giá trị khối lượng hoàn thành theo hợp đồng, giá trị khối lượng các công việc phát sinh (nếu có), giảm trừ tiền tạm ứng, giá trị đề nghị thanh toán trong giai đoạn sau khi đã bù trừ các khoản này có xác nhận của đại diện Chủ đầu tư và đại diện Nhà thầu.
b) Giá hợp đồng theo đơn giá cố định:
- Biên bản nghiệm thu khối lượng hoàn thành thực tế trong giai đoạn thanh toán có xác nhận của đại diện Chủ đầu tư hoặc đại diện nhà tư vấn (nếu có) và đại diện Nhà thầu (theo mẫu biên bản nghiệm thu chất lượng có ghi khối lượng);
- Bảng xác định giá trị cho những công việc chưa có đơn giá trong hợp đồng (nếu có), trong đó cần thể hiện cả khối lượng và đơn giá cho các công việc này có xác nhận của đại diện Chủ đầu tư hoặc đại diện nhà tư vấn giám sát thực hiện hợp đồng (nếu có) và đại diện Nhà thầu;
- Đề nghị thanh toán của Nhà thầu cần thể hiện các nội dung: Giá trị khối lượng hoàn thành theo hợp đồng, giá trị khối lượng các công việc phát sinh (nếu có), giảm trừ tiền tạm ứng, giá trị đề nghị thanh toán trong giai đoạn sau khi đã bù trừ các khoản này có xác nhận của đại diện Chủ đầu tư và đại diện Nhà thầu.
c) Giá hợp đồng theo đơn giá điều chỉnh:
- Biên bản nghiệm thu khối lượng hoàn thành thực tế trong giai đoạn thanh toán có xác nhận của đại diện Chủ đầu tư hoặc đại diện nhà tư vấn (nếu có) và đại diện Nhà thầu (theo mẫu biên bản nghiệm thu chất lượng có ghi khối lượng);
- Bảng xác định đơn giá đã điều chỉnh do trượt giá (còn gọi là đơn giá thanh toán) theo Điều 10 [Điều chỉnh đơn giá, khối lượng công việc, một số nội dung khác trong hợp đồng và giá hợp đồng xây dựng] có xác nhận của đại diện Chủ đầu tư, đại diện nhà tư vấn (nếu có) và đại diện Nhà thầu;
- Đề nghị thanh toán của Nhà thầu cần thể hiện các nội dung: Giá trị khối lượng hoàn thành theo hợp đồng, giá trị khối lượng các công việc phát sinh (nếu có), giảm trừ tiền tạm ứng, giá trị đề nghị thanh toán trong giai đoạn sau khi đã bù trừ các khoản này có xác nhận của đại diện Chủ đầu tư và đại diện Nhà thầu.
Điều 10. Điều chỉnh đơn giá, khối lượng công việc, một số nội dung khác trong hợp đồng và giá hợp đồng xây dựng
10.1. Khi điều chỉnh đơn giá hợp đồng xây dựng theo quy định tại Điều 6 Thông tư hướng dẫn một số nội dung về hợp đồng xây dựng.
10.2. Việc điều chỉnh khối lượng công việc và một số nội dung khác trong hợp đồng theo quy định tại Điều 4, Điều 5, Điều 6 Thông tư hướng dẫn một số nội dung về hợp đồng xây dựng [quy định tại ĐKCT].
10.3. Điều chỉnh giá hợp đồng xây dựng theo hướng dẫn tại Phụ lục I Thông tư hướng dẫn một số nội dung về hợp đồng xây dựng [quy định tại ĐKCT].
10.4. Giá hợp đồng được điều chỉnh trong một số trường hợp quy định tại Điều 22 [Sự kiện bồi thường].
Điều 11. Quyền và nghĩa vụ chung của Chủ đầu tư
11.1. Quyền của Chủ đầu tư
a) Chủ đầu tư có quyền kiểm tra, giám sát nhưng không được gây cản trở hoạt động thi công bình thường của Nhà thầu và bất kỳ chậm trễ, trì hoãn hay yêu cầu bổ sung kéo dài nào trong việc kiểm tra/kiểm định của Chủ đầu tư thì đều không được tính vào tiến độ thi công của Nhà thầu;
b) Nếu Chủ đầu tư xét thấy mình có quyền với bất kỳ khoản thanh toán nào theo bất cứ điều nào hoặc các quy định khác liên quan đến hợp đồng thì phải thông báo và cung cấp các chi tiết cụ thể cho Nhà thầu.
c) Trường hợp Chủ đầu tư nhận thấy vấn đề hoặc tình huống dẫn tới khiếu nại phải thông báo cho Nhà thầu càng sớm càng tốt. Các thông tin chi tiết phải xác định cụ thể điều khoản hoặc cơ sở khiếu nại khác và phải bao gồm chứng minh của số tiền và sự kéo dài mà Chủ đầu tư tự cho mình có quyền được hưởng liên quan đến hợp đồng. Chủ đầu tư sau đó phải quyết định:
- Số tiền (nếu có) mà Chủ đầu tư có quyền yêu cầu Nhà thầu thanh toán;
- Kéo dài (nếu có) thời hạn thông báo sai sót;
Chủ đầu tư có thể khấu trừ số tiền này từ bất kỳ khoản nợ hay sẽ nợ nào của Nhà thầu. Chủ đầu tư chỉ được quyền trừ hoặc giảm số tiền từ tổng số được xác nhận khoản nợ của Nhà thầu hoặc theo một khiếu nại nào khác đối với Nhà thầu theo khoản này;
- Các quyền khác theo quy định của pháp luật.
11.2. Nghĩa vụ của Chủ đầu tư
a) Phải xin giấy phép xây dựng theo quy định;
b) Bàn giao toàn bộ hoặc từng phần mặt bằng xây dựng cho Nhà thầu quản lý, sử dụng phù hợp với tiến độ và các thỏa thuận của hợp đồng;
c) Cử và thông báo bằng văn bản cho Nhà thầu về nhân lực chính tham gia quản lý và thực hiện hợp đồng;
d) Bố trí đủ nguồn vốn để thanh toán cho Nhà thầu theo tiến độ thanh toán trong hợp đồng;
đ) Thuê tư vấn giúp Chủ đầu tư giám sát theo quy định tại Điều 13 hoặc Điều 14 của hợp đồng này [Quyền và nghĩa vụ của nhà tư vấn];
e) Cung cấp kịp thời hồ sơ thiết kế và các tài liệu có liên quan, vật tư (nếu có) theo thỏa thuận trong hợp đồng và quy định của pháp luật có liên quan;
g) Xem xét và chấp thuận kịp thời trong thời gian ... ngày bằng văn bản các đề xuất liên quan đến thiết kế, thi công của Nhà thầu trong quá trình thi công xây dựng công trình. Nếu trong khoảng thời gian này mà Chủ đầu tư không trả lời thì coi như Chủ đầu tư đã chấp thuận đề nghị hay yêu cầu của Nhà thầu;
h) Chủ đầu tư phải có sẵn để cung cấp cho Nhà thầu toàn bộ các số liệu liên quan mà Chủ đầu tư có về điều kiện địa hình, địa chất, thủy văn và những nội dung của công tác khảo sát về công trường, bao gồm cả các yếu tố môi trường liên quan đến hợp đồng.
Điều 12. Quyền và nghĩa vụ chung của Nhà thầu
12.1. Quyền của Nhà thầu
a) Được quyền đề xuất với Chủ đầu tư về khối lượng phát sinh ngoài hợp đồng quy định tại Điều 4 Thông tư hướng dẫn một số nội dung về hợp đồng xây dựng; từ chối thực hiện công việc ngoài phạm vi hợp đồng khi chưa được hai bên thống nhất và những yêu cầu trái pháp luật của Chủ đầu tư.
b) Được thay đổi các biện pháp thi công sau khi được Chủ đầu tư chấp thuận nhằm đẩy nhanh tiến độ, bảo đảm chất lượng, an toàn, hiệu quả công trình trên cơ sở giá hợp đồng đã ký kết.
c) Tiếp cận công trường:
- Chủ đầu tư phải bàn giao cho Nhà thầu mặt bằng thi công công trình để Nhà thầu thực hiện hợp đồng trong thời gian ... ngày.
- Trường hợp Nhà thầu không nhận được mặt bằng thi công công trình do sự chậm trễ của Chủ đầu tư và phải gánh chịu chi phí phát sinh trong thời gian này thì Nhà thầu được thanh toán chi phí phát sinh và cộng thêm vào trong giá hợp đồng.
Nếu do sai sót hoặc sự chậm trễ của Nhà thầu thì Nhà thầu sẽ không được quyền hưởng việc gia hạn thời gian, chi phí này.
12.2. Nghĩa vụ của Nhà thầu
a) Nhà thầu phải huy động các nhân sự chủ chốt và sử dụng các thiết bị đã kê khai trong HSDT (HSĐX) hoặc đã bổ sung để thực hiện công trình. Chủ đầu tư chỉ chấp thuận đề xuất thay thế nhân sự chủ chốt và thiết bị trong trường hợp kinh nghiệm, năng lực của nhân sự thay thế và chất lượng, tính năng của thiết bị thay thế là tương đương hoặc cao hơn so với đề xuất trong HSDT, đảm bảo đúng quy định.
b) Trường hợp Chủ đầu tư yêu cầu Nhà thầu không sử dụng nhân sự của Nhà thầu cho việc thực hiện hợp đồng của Chủ đầu tư với lý do chính đáng, Nhà thầu phải bảo đảm rằng người đó sẽ rời khỏi công trường trong vòng 07 ngày làm việc, kể từ ngày nhận được yêu cầu của Chủ đầu tư và không còn được thực hiện bất kỳ công việc nào liên quan đến hợp đồng. Trong trường hợp cần thiết, Nhà thầu phải bổ sung ngay một nhân sự thay thế có năng lực, kinh nghiệm tương đương hoặc cao hơn.
c) Trường hợp Chủ đầu tư xác định một nhân sự của Nhà thầu tham gia các hành vi tham nhũng, gian lận, thông đồng, ép buộc hoặc gây trở ngại trong quá trình thực hiện công trình, các hành vi vi phạm pháp luật khác thì nhân sự đó sẽ bị buộc thôi việc.
d) Nhà thầu phải thi công xây dựng công trình đúng thiết kế, tiêu chuẩn dự án, quy chuẩn, tiêu chuẩn xây dựng, bảo đảm chất lượng, tiến độ, an toàn, bảo vệ môi trường và phòng chống cháy nổ.
đ) Nhà thầu phải lập biện pháp tổ chức thi công, ghi nhật ký thi công xây dựng công trình, lập hồ sơ thanh toán, lập hồ sơ hoàn công, lập quyết toán hợp đồng, thí nghiệm vật liệu, kiểm định, thiết bị, sản phẩm xây dựng theo đúng quy định của hợp đồng.
e) Nhà thầu phải giữ bí mật thông tin liên quan đến hợp đồng hoặc pháp luật có quy định liên quan đến bảo mật thông tin.
g) Nhà thầu phải trả lời bằng văn bản các đề nghị hay yêu cầu của Chủ đầu tư trong khoảng thời gian ... ngày, nếu trong khoảng thời gian này mà Nhà thầu không trả lời thì được coi như Nhà thầu đã chấp nhận đề nghị hay yêu cầu của Chủ đầu tư.
12.3. Quyền và nghĩa vụ của tổng thầu thi công xây dựng
a) Tổng thầu thi công xây dựng có các quyền quy định tại khoản 1 Điều 28 Nghị định số 37/2015/NĐ-CP và các quyền sau:
- Kiểm soát toàn bộ các phương tiện và biện pháp thi công trong phạm vi công trường của toàn bộ dự án.
- Lựa chọn Nhà thầu phụ thông qua đấu thầu hoặc chỉ định thầu phù hợp với hợp đồng tổng thầu thi công xây dựng đã ký, Điều 47 Nghị định số 37/2015/NĐ-CP và quy định pháp luật về đầu tư xây dựng công trình, hợp đồng xây dựng.
- Bổ sung hoặc thay thế các Nhà thầu phụ (nếu cần) để đảm bảo chất lượng, giá cả và tiến độ thực hiện các công việc của hợp đồng sau khi được Chủ đầu tư chấp thuận.
b) Tổng thầu thi công xây dựng có nghĩa vụ theo quy định tại khoản 2 Điều 28 Nghị định số 37/2015/NĐ-CP và các nghĩa vụ sau:
- Tổ chức điều hành công trường, điều phối các Nhà thầu phụ về việc sử dụng hợp lý các công trình phụ trợ, các công trình phục vụ thi công để tránh lãng phí; sử dụng, bảo vệ mặt bằng và giữ gìn an ninh trật tự công trường. Các Nhà thầu phụ phải tuân thủ sự chỉ đạo điều hành của tổng thầu thi công xây dựng về việc điều hành công trường.
- Lập và thỏa thuận với Chủ đầu tư về kế hoạch tiến độ thực hiện các giai đoạn thi công và hạng mục công trình chủ yếu, kế hoạch thanh toán của hợp đồng.
- Tổ chức việc mua sắm, chế tạo và cung ứng vật tư, thiết bị theo yêu cầu và tiến độ thực hiện hợp đồng tổng thầu; thỏa thuận và thống nhất với Chủ đầu tư về nội dung hồ sơ mời thầu mua sắm các thiết bị công nghệ chủ yếu và chi phí mua sắm thiết bị của hợp đồng trên cơ sở kết quả đấu thầu về thiết bị (nếu có thỏa thuận trong hợp đồng).
- Tổ chức hệ thống quản lý chất lượng, đảm bảo chất lượng các công việc thực hiện theo quy định về quản lý chất lượng công trình xây dựng và theo các thỏa thuận hợp đồng.
- Tổ chức, điều phối và quản lý các hoạt động trên công trường; thực hiện biện pháp đảm bảo vệ sinh môi trường, phòng chống cháy nổ, an toàn lao động và an ninh trên công trường.
- Chủ động phối hợp với Chủ đầu tư trong việc tổ chức đào tạo cán bộ quản lý và công nhân vận hành sử dụng công trình; thực hiện việc chuyển giao công nghệ, bàn giao các bản vẽ, tài liệu kỹ thuật có liên quan đến vận hành, sử dụng và bảo trì công trình cho Chủ đầu tư.
- Thực hiện các công việc thử nghiệm, hiệu chỉnh, vận hành chạy thử đồng bộ công trình và bàn giao công trình hoàn thành cho Chủ đầu tư theo thỏa thuận hợp đồng và theo quy định của nhà nước.
- Thực hiện bảo hành công trình theo quy định của nhà nước.
- Chịu trách nhiệm trước pháp luật và trước Chủ đầu tư về chất lượng, tiến độ thực hiện công việc theo hợp đồng đã ký kết, kể cả phần việc do Nhà thầu phụ thực hiện và phải bồi thường vật chất cho những thiệt hại do lỗi của mình gây ra.
12.4. Nhân lực của Nhà thầu
Nhân lực của Nhà thầu phải có trình độ chuyên môn, kỹ năng và kinh nghiệm phù hợp về nghề nghiệp, công việc của họ. Chủ đầu tư có thể yêu cầu Nhà thầu sa thải (hay tác động để sa thải) bất cứ nhân lực nào ở công trường hay công trình, kể cả đại diện của Nhà thầu nếu những người đó: có thái độ sai trái hoặc thiếu cẩn thận; thiếu năng lực hoặc bất cẩn; không tuân thủ bất kỳ điều khoản nào của hợp đồng; gây phương hại đến an toàn, sức khỏe hoặc bảo vệ môi trường.
Khi đó, Nhà thầu sẽ chỉ định (hoặc buộc phải chỉ định) một người khác thích hợp để thay thế. Nhà thầu phải luôn đảm bảo trật tự, an toàn cho người và tài sản trên công trường.
12.5. Báo cáo về nhân lực và thiết bị của Nhà thầu
Nhà thầu phải trình cho Chủ đầu tư những chi tiết về số lượng nhân lực tối thiểu, thiết bị chủ yếu của Nhà thầu trên công trường.
12.6. Hợp tác
Nhà thầu phải có trách nhiệm thực hiện việc hợp tác trong công việc đối với: nhân lực của Chủ đầu tư; các Nhà thầu khác do Chủ đầu tư thuê;
Các dịch vụ cho những người này và các Nhà thầu khác có thể bao gồm việc sử dụng thiết bị của Nhà thầu, các công trình tạm hoặc việc bố trí đường vào công trường là trách nhiệm của Nhà thầu. Trường hợp các dịch vụ này làm phát sinh chi phí ngoài giá hợp đồng thì các bên xem xét thỏa thuận bổ sung chi phí này.
Nhà thầu phải chịu trách nhiệm về các hoạt động thi công xây lắp của mình trên công trường, phải phối hợp các hoạt động của mình với hoạt động của các Nhà thầu khác ở phạm vi (nếu có) được nêu rõ trong hồ sơ mời thầu (hoặc hồ sơ yêu cầu) của Chủ đầu tư.
12.7. Định vị các mốc
Nhà thầu phải định vị công trình theo các mốc và cao trình tham chiếu được xác định trong hợp đồng. Nhà thầu sẽ chịu trách nhiệm về việc định vị đúng tất cả các hạng mục của công trình và phải điều chỉnh sai sót về vị trí, cao độ, kích thước hoặc căn tuyến của công trình.
Chủ đầu tư sẽ phải chịu trách nhiệm về bất kỳ sai sót nào về việc cung cấp thông tin trong các mục được chỉ ra trên đây hoặc các thông báo để tham chiếu đó (các điểm mốc, tuyến và cao trình chuẩn), nhưng Nhà thầu phải cố gắng để kiểm chứng độ chính xác của chúng trước khi sử dụng.
Trường hợp, Nhà thầu bị chậm trễ và phải chịu chi phí mà không phải do lỗi của mình gây ra, thì Nhà thầu sẽ thông báo cho Chủ đầu tư và có quyền thực hiện theo Điều 24 của hợp đồng [Khiếu nại và xử lý các tranh chấp].
12.8. Điều kiện về công trường
Nhà thầu được coi là đã thẩm tra và xem xét công trường, khu vực xung quanh công trường, các số liệu và thông tin có sẵn nêu trên và đã được thỏa mãn trước khi nộp thầu, bao gồm:
a) Địa hình của công trường, bao gồm cả các điều kiện địa chất công trình khi mà trong HSMT (HSYC) hoặc tài liệu làm rõ đã có báo cáo khảo sát địa chất công trình;
b) Điều kiện địa chất thủy văn và khí hậu;
c) Mức độ và tính chất của công việc và vật liệu cần thiết cho việc thi công, hoàn thành công trình và sửa chữa sai sót.
d) Các quy định của pháp luật về lao động;
đ) Các yêu cầu của Nhà thầu về đường vào, ăn, ở, phương tiện, nhân lực, điều kiện giao thông, nước và các dịch vụ khác.
Nhà thầu được coi là đã thỏa mãn về tính đúng, đủ của điều kiện công trường để xác định giá hợp đồng.
Nếu Nhà thầu gặp phải các điều kiện địa chất bất lợi mà Nhà thầu cho là không lường trước được, thì Nhà thầu phải thông báo cho Chủ đầu tư biết một cách sớm nhất có thể. Thông báo này sẽ mô tả các điều kiện địa chất sao cho Chủ đầu tư có thể kiểm tra được và phải nêu lý do tại sao Nhà thầu coi các điều kiện địa chất đó là không lường trước được. Nhà thầu phải tiếp tục thi công xây dựng công trình, sử dụng các biện pháp thỏa đáng và hợp lý và thích ứng với điều kiện địa chất đó và phải tuân theo bất kỳ chỉ dẫn nào mà Chủ đầu tư có thể đưa ra. Nếu một chỉ dẫn tạo ra sự thay đổi, thì các bên xem xét tiêu chí để thống nhất áp dụng theo Điều 21 của hợp đồng [Rủi ro và bất khả kháng].
12.9. Đường đi và phương tiện
Nhà thầu phải chịu toàn bộ chi phí và lệ phí cho các quyền về đường đi lại chuyên dùng hoặc tạm thời mà Nhà thầu cần có, bao gồm lối vào công trường. Nhà thầu cũng phải có thêm các phương tiện khác bên ngoài công trường cần cho công việc bằng kinh phí của mình.
Nhà thầu phải nỗ lực để tránh làm hư hỏng đường, cầu do việc sử dụng, đi lại của Nhà thầu hoặc người của Nhà thầu gây ra. Những nỗ lực này phải bao gồm việc sử dụng đúng các phương tiện và tuyến đường thích hợp.
Trừ khi được quy định khác trong các điều kiện và điều khoản này:
a) Nhà thầu không được sử dụng và chiếm lĩnh toàn bộ đường đi, vỉa hè bất kể nó là công cộng hay thuộc quyền kiểm soát của Chủ đầu tư hoặc những người khác;
b) Nhà thầu (trong quan hệ giữa các bên) sẽ phải chịu trách nhiệm sửa chữa nếu Nhà thầu làm hỏng khi sử dụng các tuyến đường đó;
c) Nhà thầu phải cung cấp các biển hiệu, biển chỉ dẫn cần thiết dọc tuyến đường và phải xin phép nếu các cơ quan liên quan yêu cầu cho việc sử dụng các tuyến đường, biển hiệu, biển chỉ dẫn;
d) Chủ đầu tư không chịu trách nhiệm về bất cứ khiếu nại nào có thể nảy sinh từ việc sử dụng hoặc các việc liên quan khác đối với các tuyến đường đi lại;
đ) Chủ đầu tư không bảo đảm sự thích hợp hoặc sẵn có các tuyến đường riêng biệt nào;
e) Chi phí do sự không thích hợp hoặc không có sẵn các tuyến đường cho yêu cầu sử dụng của Nhà thầu sẽ do Nhà thầu chịu.
12.10. Vận chuyển vật tư thiết bị (trừ khi có quy định khác)
a) Nhà thầu phải thông báo cho Chủ đầu tư không muộn hơn ... ngày, trước ngày mà mọi vật tư, thiết bị được vận chuyển tới công trường (bao gồm cả đóng gói, xếp hàng, vận chuyển, nhận, dỡ hàng, lưu kho và bảo vệ vật tư thiết bị);
b) Nhà thầu phải bồi thường và gánh chịu thiệt hại cho Chủ đầu tư đối với các hư hỏng, mất mát và chi phí (kể cả lệ phí và phí tư pháp) do việc vận chuyển vật tư thiết bị của Nhà thầu.
12.11. Thiết bị Nhà thầu
Nhà thầu phải chịu trách nhiệm đối với toàn bộ thiết bị của mình. Khi được đưa tới công trình, thiết bị của Nhà thầu phải dùng riêng cho việc thi công công trình. Nhà thầu không được di chuyển ra khỏi công trường bất kỳ một loại thiết bị chủ yếu nào nếu không được sự đồng ý của Chủ đầu tư. Tuy nhiên, không yêu cầu phải có sự đồng ý của Chủ đầu tư đối với các xe cộ vận chuyển vật tư, thiết bị hoặc nhân lực của Nhà thầu ra khỏi công trường.
12.12. Thiết bị và vật liệu do Chủ đầu tư cấp (nếu có)
a) Chủ đầu tư phải chịu trách nhiệm đối với thiết bị, vật liệu của mình cấp cho Nhà thầu.
b) Nhà thầu phải chịu trách nhiệm đối với từng thiết bị, vật liệu của Chủ đầu tư trong khi người của Nhà thầu vận hành, lái, điều khiển, sử dụng, quản lý hoặc kiểm soát nó.
Số lượng thích hợp và số tiền phải trả (với giá đã nêu) để sử dụng thiết bị của Chủ đầu tư đã được thỏa thuận trong hợp đồng. Nhà thầu phải thanh toán số tiền này cho Chủ đầu tư.
Chủ đầu tư phải cung cấp, miễn phí “các vật liệu do mình cung cấp” (nếu có) theo các chi tiết nêu trong các yêu cầu của Chủ đầu tư. Chủ đầu tư phải chịu rủi ro và dùng chi phí của mình, cung cấp những vật tư này tại thời điểm và địa điểm được quy định trong hợp đồng. Nhà thầu phải kiểm tra những vật liệu này và phải thông báo kịp thời cho Chủ đầu tư về sự thiếu hụt, sai sót hoặc không có của những vật liệu này. Trừ khi hai bên có thỏa thuận khác, Chủ đầu tư phải xác định ngay sự thiếu hụt, sai sót như đã được thông báo.
Sau khi được kiểm tra, vật liệu do Chủ đầu tư cấp sẽ phải được Nhà thầu bảo quản và giám sát cẩn thận. Trách nhiệm kiểm tra, bảo quản của Nhà thầu không làm giảm trách nhiệm của Chủ đầu tư đối với sự thiếu hụt, sai sót, lỗi không thấy rõ khi kiểm tra.
12.13. Hoạt động của Nhà thầu trên công trường
Nhà thầu phải giới hạn các hoạt động của mình trong phạm vi công trường và khu vực bổ sung mà Nhà thầu có và được Chủ đầu tư đồng ý là nơi làm việc. Nhà thầu phải có sự chú ý cần thiết để giữ cho thiết bị của Nhà thầu và nhân lực của Nhà thầu chỉ hoạt động trong phạm vi công trường và các khu vực bổ sung và giữ cho không lấn sang khu vực lân cận. Trong thời gian thi công công trình, Nhà thầu phải giữ cho công trường không có các cản trở không cần thiết, và phải cất giữ hoặc sắp xếp thiết bị hoặc vật liệu thừa của mình. Nhà thầu phải dọn sạch rác và dỡ bỏ công trình tạm ra khỏi công trường khi không cần nữa.
Sau khi biên bản nghiệm thu công trình đã được cấp, Nhà thầu phải dọn sạch và đưa đi tất cả thiết bị của Nhà thầu, nguyên vật liệu thừa, phế thải xây dựng, rác và công trình tạm. Nhà thầu phải để lại những khu vực đó của công trường và công trình trong trạng thái sạch sẽ và an toàn. Tuy nhiên, Nhà thầu có thể để lại công trường, trong giai đoạn thông báo sai sót, những vật tư thiết bị cần để Nhà thầu hoàn thành nghĩa vụ theo hợp đồng.
Nếu tất cả những vật tư, thiết bị này không được dọn khỏi công trường trong vòng ... ngày sau khi Chủ đầu tư cấp biên bản nghiệm thu, bàn giao; Chủ đầu tư có thể bán hoặc thải bỏ vật tư thiết bị, số tiền thu được từ việc bán vật tư, thiết bị sẽ trả cho Nhà thầu sau khi đã thanh toán các chi phí phát sinh cho Chủ đầu tư.
12.14. Các vấn đề khác có liên quan
Tất cả các cổ vật, đồng tiền, đồ cổ hoặc các di vật khác hoặc các hạng mục địa chất hoặc khảo cổ được tìm thấy trên công trường sẽ được đặt dưới sự bảo quản và thẩm quyền của Chủ đầu tư. Nhà thầu phải chú ý không cho người của mình hoặc người khác lấy đi hoặc làm hư hỏng các đồ vật tìm thấy này.
Khi phát hiện ra những đồ vật này, Nhà thầu phải thông báo ngay cho Chủ đầu tư để hướng dẫn giải quyết. Nếu Nhà thầu gặp phải sự chậm trễ và phải chịu chi phí để thực hiện hướng dẫn thi Nhà thầu phải thông báo cho Chủ đầu tư và có quyền theo Điều 24 của hợp đồng [Khiếu nại và xử lý các tranh chấp].
Điều 13. Quyền và nghĩa vụ của Nhà thầu tư vấn (áp dụng đối với trường hợp Chủ đầu tư ký hợp đồng thuê tư vấn quản lý dự án)
13.1. Quyền của Nhà thầu tư vấn
Nhà thầu tư vấn sẽ thực hiện các nhiệm vụ do Chủ đầu tư quy định trong hợp đồng. Nhà thầu tư vấn có thể bao gồm những cá nhân có trình độ chuyên môn phù hợp và có đủ năng lực để thực hiện những công việc này.
Nhà thầu tư vấn không có quyền sửa đổi hợp đồng. Nhà thầu tư vấn có thể thực hiện quyền hạn được gắn với chức danh nhà tư vấn như đã được xác định hoặc được bao hàm do thấy cần thiết trong hợp đồng. Nếu Nhà thầu tư vấn được yêu cầu phải có sự chấp thuận của Chủ đầu tư trước khi thực thi một quyền hạn được xác định cụ thể thì những yêu cầu này phải được nói rõ trong hợp đồng. Chủ đầu tư cam kết không áp đặt đối với quyền hạn của Nhà thầu tư vấn, trừ những gì đã thỏa thuận với Nhà thầu.
Tuy nhiên, mỗi khi Nhà thầu tư vấn thực thi một quyền hạn được xác định cụ thể mà cần có sự chấp thuận của Chủ đầu tư (vì mục đích của hợp đồng) thì được xem như Chủ đầu tư đã chấp thuận.
Trừ khi được nêu khác đi trong điều kiện này thì:
a) Mỗi khi thực thi nhiệm vụ hoặc thực hiện một quyền hạn đã được xác định cụ thể hoặc bao hàm trong hợp đồng, Nhà thầu tư vấn được xem là làm việc cho Chủ đầu tư;
b) Nhà thầu tư vấn không có quyền giảm bớt bất kỳ nhiệm vụ, nghĩa vụ hoặc trách nhiệm nào theo hợp đồng hay cho một bên nào;
c) Bất kỳ sự chấp thuận, kiểm tra, xác nhận, đồng ý, xem xét, giám sát, chỉ dẫn, thông báo, đề xuất, yêu cầu, kiểm định hoặc hành động tương tự nào của Nhà thầu tư vấn (bao gồm cả trường hợp không có sự phản đối) cũng không hề miễn cho Nhà thầu khỏi bất kỳ trách nhiệm nào theo hợp đồng, bao gồm cả trách nhiệm đối với các sai sót, bỏ sót, không nhất quán và không tuân thủ đúng.
13.2. Ủy quyền của Nhà thầu tư vấn
Nhà thầu tư vấn có thể phân công nhiệm vụ và ủy quyền cho một số cá nhân nhất định sau khi được sự chấp thuận của Chủ đầu tư. Những cá nhân này có thể là một Nhà thầu tư vấn thường trú hoặc giám sát viên độc lập được chỉ định để giám sát hoặc chạy thử các hạng mục thiết bị, vật liệu. Sự phân công, ủy quyền hoặc hủy bỏ sự phân công, ủy quyền của nhà tư vấn phải thể hiện bằng văn bản và chỉ có hiệu lực khi nào Chủ đầu tư nhận được văn bản đó. Tuy nhiên, trừ khi có thỏa thuận khác của hai bên trong hợp đồng hoặc của Chủ đầu tư, Nhà thầu tư vấn sẽ không ủy quyền để quyết định bất kỳ vấn đề gì.
Các cá nhân này phải là những người có đủ trình độ, năng lực để thực hiện các nhiệm vụ theo ủy quyền.
Mỗi cá nhân được phân công nhiệm vụ hoặc được ủy quyền, chỉ được quyền đưa ra chỉ dẫn cho Nhà thầu trong phạm vi được xác định trong sự ủy quyền. Bất kỳ sự chấp thuận, kiểm tra, xác nhận, đồng ý, xem xét, giám sát, chỉ dẫn, thông báo, đề xuất, yêu cầu, kiểm định hoặc hành động tương tự nào của một cá nhân phù hợp với sự ủy quyền sẽ có cùng hiệu lực như là việc thực hiện công việc của chính Nhà thầu tư vấn. Tuy nhiên:
a) Bất kỳ một sự không thành công trong công việc, không chấp thuận một công việc, thiết bị hoặc vật liệu nào đó, sẽ không có nghĩa là sự phê duyệt và do vậy, sẽ không phương hại đến quyền của Nhà thầu tư vấn trong việc bác bỏ công việc, thiết bị hoặc vật liệu đó;
b) Nếu Nhà thầu có điều gì hoài nghi đối với một quyết định hoặc chỉ dẫn nào đó của các cá nhân này thì Nhà thầu có thể nêu vấn đề đó với Nhà thầu tư vấn là người sẽ nhanh chóng khẳng định, đảo ngược hoặc thay đổi quyết định hoặc chỉ dẫn đó.
13.3. Chỉ dẫn của Nhà thầu tư vấn
Nhà thầu tư vấn có thể đưa ra cho Nhà thầu bất kỳ lúc nào các chỉ dẫn và bản vẽ bổ sung hoặc sửa đổi cần thiết cho việc thi công xây dựng công trình và sửa chữa mọi sai sót, tất cả phải phù hợp với hợp đồng. Nhà thầu sẽ chỉ nhận các chỉ dẫn của Nhà thầu tư vấn hoặc người được ủy quyền.
Chủ đầu tư phải tuân theo các chỉ dẫn do nhà tư vấn hoặc người được ủy quyền đưa ra, về bất kỳ vấn đề nào có liên quan đến hợp đồng. Khi có thể, các chỉ dẫn của Nhà thầu tư vấn và người được ủy quyền phải được đưa ra ở dạng văn bản. Trong trường hợp, Nhà thầu tư vấn hoặc một người được ủy quyền:
a) Đưa ra chỉ dẫn bằng lời nói;
b) Nhận được sự đề nghị hoặc yêu cầu bằng văn bản về chỉ dẫn nhưng không trả lời bằng cách đưa ra ý kiến bằng văn bản trong vòng.... ngày làm việc, sau khi nhận được đề nghị hoặc yêu cầu đó;
Thì sự đề nghị hoặc yêu cầu đó chính là chỉ dẫn bằng văn bản của Nhà thầu tư vấn hoặc người được ủy quyền (trường hợp cụ thể do các bên quy định trong hợp đồng).
13.4. Thay thế Nhà thầu tư vấn
Nếu Chủ đầu tư có ý định thay thế Nhà thầu tư vấn thì không ít hơn ...ngày trước khi dự định thay thế, Chủ đầu tư phải thông báo cho Nhà thầu thông tin chi tiết tương ứng của Nhà thầu tư vấn được dự kiến thay thế. Chủ đầu tư không được thay thế Nhà thầu tư vấn bằng một người mà Nhà thầu có ý kiến từ chối một cách có lý do bằng cách gửi thông báo cho Chủ đầu tư các chi tiết, lý lẽ để giải thích.
13.5. Quyết định của Nhà thầu tư vấn (trường hợp Chủ đầu tư không thuê Nhà thầu tư vấn thì khoản này áp dụng cho chính Chủ đầu tư)
Những điều kiện này quy định rằng, Nhà thầu tư vấn (thay mặt cho Chủ đầu tư) sẽ tiến hành công việc theo khoản này để đồng ý hay quyết định một vấn đề, nhà tư vấn phải trao đổi ý kiến với từng bên để cố gắng đạt được sự thống nhất chung. Trường hợp không đạt được sự thống nhất, nhà tư vấn sẽ đưa ra một quyết định khách quan phù hợp với hợp đồng, có xem xét thích đáng đến những sự việc có liên quan.
Nhà thầu tư vấn cần thông báo cho hai bên về từng thỏa thuận hay quyết định với lý lẽ bảo vệ của mình. Mỗi bên phải cố gắng tôn trọng hiệu lực của mỗi thỏa thuận hoặc quyết định, trừ khi và cho tới khi được xem xét theo Điều 24 của hợp đồng [Khiếu nại và xử lý các tranh chấp].
Điều 14. Quyền và nghĩa vụ của Nhà thầu tư vấn (áp dụng đối với trường hợp Chủ đầu tư ký hợp đồng thuê tư vấn giám sát thi công xây dựng)
14.1. Quyền của Nhà thầu tư vấn giám sát thi công xây dựng (NTVGSTCXD)
Nhà thầu tư vấn giám sát thi công xây dựng là người sẽ thực hiện các nhiệm vụ do Chủ đầu tư giao cho NTVGSTCXD trong hợp đồng và các quy định cụ thể theo quy định của pháp luật. NTVGSTCXD có thể bao gồm những cá nhân có trình độ chuyên môn phù hợp và có đủ năng lực để thực hiện những công việc này.
NTVGSTCXD không có quyền sửa đổi hợp đồng. NTVGSTCXD có thể thực hiện quyền hạn được gắn với chức danh NTVGSTCXD như đã được xác định hoặc được bao hàm do thấy cần thiết trong hợp đồng. Nếu NTVGSTCXD được yêu cầu phải có sự chấp thuận của Chủ đầu tư trước khi thực thi một quyền hạn được xác định cụ thể thì những yêu cầu này phải được nói rõ trong hợp đồng. Chủ đầu tư cam kết không áp đặt đối với quyền hạn của NTVGSTCXD, trừ những gì đã thỏa thuận với Nhà thầu.
Trừ khi được nêu khác đi trong điều kiện này thì:
a) NTVGSTCXD không có quyền giảm bớt bất kỳ nhiệm vụ, nghĩa vụ hoặc trách nhiệm nào theo hợp đồng hay cho một bên nào;
b) Bất kỳ sự chấp thuận, kiểm tra, xác nhận, đồng ý, xem xét, giám sát, thông báo, yêu cầu, kiểm định hoặc hành động tương tự nào của NTVGSTCXD (bao gồm cả trường hợp không có sự phản đối) cũng không hề miễn cho Chủ đầu tư khỏi bất kỳ trách nhiệm nào theo hợp đồng, bao gồm cả trách nhiệm đối với các sai sót, bỏ sót, không nhất quán và không tuân thủ đúng.
14.2. Trách nhiệm của NTVGSTCXD
Giám sát chất lượng thi công xây dựng công trình (nếu không thuê tư vấn giám sát thì công việc này thuộc trách nhiệm của Chủ đầu tư).
Nội dung giám sát chất lượng thi công xây dựng công trình thực hiện theo quy định của pháp luật về quản lý chất lượng công trình xây dựng.
14.3. Thay thế NTVGSTCXD
Nếu Chủ đầu tư có ý định thay thế NTVGSTCXD thì không ít hơn ... ngày trước khi dự định thay thế, Chủ đầu tư phải thông báo cho Nhà thầu thông tin chi tiết tương ứng của NTVGSTCXD được dự kiến thay thế. Chủ đầu tư không được thay thế NTVGSTCXD bằng một người mà Nhà thầu có ý kiến từ chối một cách có lý do bằng cách gửi thông báo cho Chủ đầu tư các chi tiết, lý lẽ để giải thích.
Điều 15. Nhà thầu phụ
15.1. Khi ký hợp đồng thầu phụ [quy định tại ĐKCT], Nhà thầu phải thực hiện theo các quy định sau:
a) Đối với các Nhà thầu phụ không có trong danh sách thầu phụ kèm theo hợp đồng thì phải được Chủ đầu tư chấp thuận [quy định tại ĐKCT];
b) Nhà thầu phải chịu trách nhiệm trước Chủ đầu tư về khối lượng, tiến độ, chất lượng, an toàn lao động, bảo vệ môi trường và sai sót của mình và các công việc/nghĩa vụ khác đối với phần việc do các Nhà thầu phụ thực hiện;
c) Nhà thầu không được giao cho Nhà thầu phụ thực hiện vượt quá....% giá trị hợp đồng.
15.2. Nhà thầu phụ do Chủ đầu tư chỉ định (nếu có)
a) Nhà thầu phụ do Chủ đầu tư chỉ định là một Nhà thầu được Chủ đầu tư chỉ định cho Nhà thầu thuê làm Nhà thầu phụ để thực hiện một số phần việc chuyên ngành có yêu cầu kỹ thuật cao hoặc khi Nhà thầu không đáp ứng được tiến độ thực hiện hợp đồng sau khi Chủ đầu tư đã yêu cầu.
b) Nhà thầu có quyền từ chối Nhà thầu phụ do Chủ đầu tư chỉ định nếu công việc Nhà thầu đang thực hiện vẫn tuân thủ đúng các thỏa thuận trong hợp đồng hoặc có đầy đủ cơ sở cho rằng Nhà thầu phụ do Chủ đầu tư chỉ định không đáp ứng được các yêu cầu theo hợp đồng.
15.3. Chủ đầu tư có thể thanh toán trực tiếp cho Nhà thầu phụ trên cơ sở đề xuất thanh toán của Nhà thầu (hoặc theo thỏa thuận khác của các bên).
15.4. Hợp tác với Nhà thầu khác.
Trong quá trình thực hiện hợp đồng, Nhà thầu phải hợp tác với các Nhà thầu khác và các đơn vị liên quan cùng làm việc trên công trường trong khoảng thời gian làm việc của các Nhà thầu, đơn vị liên quan đó theo kế hoạch. Trường hợp thay đổi kế hoạch làm việc của các Nhà thầu khác, Chủ đầu tư sẽ thông báo bằng văn bản cho Nhà thầu về những thay đổi đó.
Trường hợp có quy định trong thông số kỹ thuật hoặc theo yêu cầu của Chủ đầu tư, Nhà thầu phải hợp tác và tạo điều kiện phù hợp cho nhân sự của Chủ đầu tư và các nhân sự khác tiến hành đánh giá tác động môi trường và xã hội. Chủ đầu tư phải thông báo trước cho Nhà thầu về việc này.
15.5. Hợp đồng thầu phụ thực hiện theo quy định tại Điều 47 Nghị định số 37/2015/NĐ-CP và các quy định pháp luật khác có liên quan. Các nội dung trong hợp đồng thầu phụ có thể tham khảo các mẫu hợp đồng tại phụ lục kèm theo Thông tư hướng dẫn một số nội dung về hợp đồng xây dựng.
Điều 16. An toàn lao động, bảo vệ môi trường và phòng chống cháy nổ
16.1. An toàn lao động
a) Nhà thầu phải lập các biện pháp an toàn cho người và công trình trên công trường xây dựng, kể cả các công trình phụ cận.
b) Biện pháp an toàn, nội quy về an toàn lao động phải được thể hiện công khai trên công trường xây dựng để mọi người biết và chấp hành; những vị trí nguy hiểm trên công trường phải bố trí người hướng dẫn, cảnh báo đề phòng tai nạn.
c) Các bên có liên quan phải thường xuyên kiểm tra giám sát công tác an toàn lao động trên công trường. Khi phát hiện có vi phạm về an toàn lao động thì phải đình chỉ thi công xây dựng. Tổ chức, cá nhân để xảy ra vi phạm về an toàn lao động thuộc phạm vi quản lý của mình phải chịu trách nhiệm trước pháp luật.
d) Nhà thầu có trách nhiệm đào tạo, hướng dẫn, phổ biến các quy định về an toàn lao động cho người lao động của mình. Đối với một số công việc yêu cầu nghiêm ngặt về an toàn lao động thì người lao động phải có giấy chứng nhận đào tạo về an toàn lao động.
đ) Nhà thầu có trách nhiệm cấp đầy đủ các trang bị bảo hộ lao động, an toàn lao động cho người lao động.
Khi có sự cố về an toàn lao động, Nhà thầu thi công xây dựng và các bên có liên quan có trách nhiệm tổ chức xử lý và báo cáo cơ quan quản lý nhà nước về an toàn lao động theo quy định của pháp luật đồng thời chịu trách nhiệm khắc phục và bồi thường những thiệt hại do Nhà thầu không bảo đảm an toàn lao động gây ra.
16.2. Bảo vệ môi trường
a) Nhà thầu phải thực hiện các biện pháp bảo đảm về môi trường cho người lao động trên công trường và bảo vệ môi trường xung quanh, bao gồm có biện pháp chống bụi, chống ồn, xử lý phế thải và thu dọn hiện trường. Phải thực hiện các biện pháp bao che, thu dọn phế thải đưa đến đúng nơi quy định.
b) Trong quá trình vận chuyển vật liệu xây dựng, phế thải phải có biện pháp che chắn bảo đảm an toàn, vệ sinh môi trường.
c) Các bên phải có trách nhiệm kiểm tra, giám sát việc thực hiện bảo vệ môi trường xây dựng, đồng thời chịu sự kiểm tra, giám sát của cơ quan quản lý nhà nước về môi trường. Trường hợp Nhà thầu thi công xây dựng không tuân thủ các quy định về bảo vệ môi trường thì Chủ đầu tư, cơ quan quản lý nhà nước về môi trường có quyền tạm ngừng thi công xây dựng và yêu cầu Nhà thầu thực hiện đúng biện pháp bảo vệ môi trường.
d) Tổ chức, cá nhân để xảy ra các hành vi làm tổn hại đến môi trường trong quá trình thi công xây dựng công trình phải chịu trách nhiệm trước pháp luật và bồi thường thiệt hại do lỗi của mình gây ra.
16.3. Phòng chống cháy nổ
Các bên tham gia hợp đồng xây dựng phải tuân thủ các quy định của nhà nước về phòng chống cháy nổ.
Điều 17. Điện, nước và an ninh công trường
17.1. Điện, nước trên công trường
Trừ trường hợp quy định ở dưới đây, Nhà thầu phải chịu trách nhiệm cung cấp điện, nước và các dịch vụ khác mà Nhà thầu cần.
Nhà thầu có quyền sử dụng việc cung cấp điện, nước và dịch vụ khác có thể có trên công trường cho mục đích thi công công trình mà các chi tiết và giá đã được đưa ra trong các yêu cầu của Chủ đầu tư; Nhà thầu có trách nhiệm bảo vệ nguồn điện, nước để phục vụ thi công công trình. Nhà thầu phải tự mình chịu rủi ro và dùng chi phí của mình, cung cấp máy móc thiết bị cần thiết để sử dụng những dịch vụ này và để đo số lượng tiêu thụ. Số lượng tiêu thụ và số tiền phải trả cho các dịch vụ trên Nhà thầu phải thanh toán theo quy định của hợp đồng.
17.2. An ninh công trường
Trừ khi có quy định khác trong những điều kiện riêng:
a) Nhà thầu phải chịu trách nhiệm về việc cho phép những người không có nhiệm vụ vào công trường;
b) Những người có nhiệm vụ được vào công trường gồm nhân lực của Nhà thầu và của Chủ đầu tư và những người khác do Chủ đầu tư (hoặc người thay mặt) thông báo cho Nhà thầu biết.
Điều 18. Tạm dừng và chấm dứt hợp đồng bởi Chủ đầu tư
18.1. Tạm dừng thực hiện công việc của hợp đồng bởi Chủ đầu tư:
Nếu Nhà thầu không thực hiện nghĩa vụ theo hợp đồng, Chủ đầu tư có thể ra thông báo yêu cầu Nhà thầu phải thực hiện và sửa chữa các sai hỏng trong khoảng thời gian hợp lý, cụ thể.
Chủ đầu tư quyết định dừng thực hiện công việc trong hợp đồng và yêu cầu khắc phục hậu quả khi Nhà thầu không đáp ứng các yêu cầu về chất lượng công trình, an toàn lao động, bảo vệ môi trường, phòng chống cháy nổ và tiến độ theo hợp đồng đã ký kết.
Trước khi tạm dừng, Chủ đầu tư thông báo bằng văn bản cho Nhà thầu không ít hơn ... ngày và trong thông báo sẽ nêu rõ lý do tạm dừng.
18.2. Chấm dứt hợp đồng bởi Chủ đầu tư
Chủ đầu tư sẽ được quyền chấm dứt hợp đồng nếu Nhà thầu:
a) Không thực hiện theo bảo đảm thực hiện hợp đồng hoặc một thông báo theo khoản 18.1 của hợp đồng này [Tạm dừng thực hiện công việc của Hợp đồng bởi Chủ đầu tư];
b) Bỏ dở công trình hoặc thể hiện rõ ràng ý định không tiếp tục thực hiện nghĩa vụ theo Hợp đồng;
c) Không có lý do chính đáng mà .... ngày liên tục không thực hiện công việc theo Hợp đồng;
d) Giao thầu phụ lớn hơn ...% giá trị công trình hoặc chuyển nhượng hợp đồng mà không có sự thỏa thuận của Chủ đầu tư;
đ) Bị phá sản hoặc vỡ nợ, bị đóng cửa, bị quản lý tài sản, phải thương lượng với chủ nợ hoặc tiếp tục kinh doanh dưới sự giám sát của người quản lý tài sản, người được ủy quyền hoặc người quản lý vì lợi ích của chủ nợ hoặc đã có hành động hoặc sự kiện nào xảy ra (theo các luật được áp dụng) có ảnh hưởng tương tự tới các hoạt động hoặc sự kiện này;
Nếu có ở một trong những trường hợp này, Chủ đầu tư có thể bằng cách thông báo cho Nhà thầu trước ... ngày, chấm dứt hợp đồng và trục xuất Nhà thầu ra khỏi công trường. Tuy nhiên, trong trường hợp của điểm (đ) Chủ đầu tư có thể thông báo chấm dứt hợp đồng ngay lập tức.
Sự lựa chọn của Chủ đầu tư trong việc quyết định chấm dứt hợp đồng sẽ không được làm ảnh hưởng đến các quyền lợi khác của Chủ đầu tư theo hợp đồng.
Nhà thầu phải rời công trường và chuyển các vật tư, vật liệu cần thiết, các tài liệu của Nhà thầu và các hồ sơ thiết kế khác của Nhà thầu cho Chủ đầu tư. Tuy nhiên, Nhà thầu sẽ cố gắng hết mức để tuân thủ ngay lập tức các hướng dẫn hợp lý được nêu trong thông báo, bảo vệ tính mạng và tài sản hay cho sự an toàn của công trình.
Sau khi chấm dứt hợp đồng, Chủ đầu tư có thể hoàn thành công trình và sắp đặt cho các đơn vị khác thực hiện. Chủ đầu tư và các đơn vị này khi đó có thể sử dụng bất cứ vật tư, vật liệu, tài liệu nào của Nhà thầu và các tài liệu thiết kế khác do Nhà thầu thực hiện hoặc do đại diện Nhà thầu thực hiện.
Chủ đầu tư sẽ thông báo cho Nhà thầu giải phóng các thiết bị, công trình tạm của nhà thầu ở tại hoặc gần công trường. Ngay khi nhận được thông báo, trong thời gian .... ngày, Nhà thầu phải tiến hành tháo dỡ, di chuyển các thiết bị, công trình tạm này.
18.3. Xác định giá vào ngày chấm dứt hợp đồng
Ngay khi thông báo chấm dứt theo khoản 18.2 của hợp đồng [Chấm dứt hợp đồng bởi Chủ đầu tư] có hiệu lực, Chủ đầu tư sẽ xem xét đồng ý hoặc xác định giá trị của công trình, vật tư, vật liệu và tài liệu của Nhà thầu và các khoản tiền phải thanh toán cho Nhà thầu cho các công việc được thực hiện theo đúng hợp đồng.
18.4. Thanh toán sau khi chấm dứt hợp đồng
Sau khi thông báo chấm dứt hợp đồng theo khoản 18.2 của hợp đồng này [Chấm dứt Hợp đồng bởi Chủ đầu tư] có hiệu lực, Chủ đầu tư có thể:
a) Không thanh toán thêm cho Nhà thầu cho đến khi chi phí thi công, hoàn thành và sửa chữa các sai sót và hư hỏng do chậm trễ trong thời gian hoàn thành (nếu có) và các chi phí khác mà Chủ đầu tư chấp thuận đã được xác định;
b) Thu lại từ Nhà thầu các phí tổn do hư hỏng, mất mát mà Chủ đầu tư phải chịu và các chi phí thêm khác của việc hoàn thành công trình, sau khi tính đến bất kỳ một khoản nợ nào đối với Nhà thầu. Sau khi đã thu hồi lại từ các mất mát, hư hỏng và các chi phí thêm, Chủ đầu tư sẽ thanh toán phần tiền cân đối còn lại cho Nhà thầu.
Điều 19. Tạm dừng và chấm dứt hợp đồng bởi Nhà thầu
19.1. Quyền tạm dừng công việc của Nhà thầu
Nếu Chủ đầu tư không tuân thủ khoản 9.5 của hợp đồng [Thời hạn thanh toán] vượt quá .... ngày; Nhà thầu có thể, sau khi thông báo cho Chủ đầu tư không muộn hơn ... ngày, sẽ tạm dừng công việc (hoặc giảm tỷ lệ công việc) trừ khi và cho đến khi Nhà thầu được thanh toán theo các điều khoản của hợp đồng, tùy từng trường hợp và như đã mô tả trong thông báo.
Việc tạm dừng công việc của Nhà thầu theo khoản này không làm ảnh hưởng đến quyền lợi của Nhà thầu đối với các chi phí tài chính và để chấm dứt hợp đồng theo khoản 19.2 của Hợp đồng [Chấm dứt hợp đồng bởi Nhà thầu].
Nếu Nhà thầu tiếp đó nhận được thanh toán trước khi thông báo chấm dứt hợp đồng, Nhà thầu phải tiếp tục tiến hành công việc trở lại như bình thường ngay khi có thể được.
Nếu Nhà thầu phải chịu sự chậm trễ và các chi phí phát sinh là hậu quả của việc tạm dừng công việc (hoặc do giảm tỷ lệ công việc) theo khoản này, Nhà thầu phải thông báo cho Chủ đầu tư và theo Điều 24 của Hợp đồng [Khiếu nại và xử lý các tranh chấp].
19.2. Chấm dứt hợp đồng bởi Nhà thầu
Nhà thầu được quyền chấm dứt hợp đồng nếu:
a) Nhà thầu không nhận được số tiền được thanh toán trong vòng 45 ngày kể từ ngày Chủ đầu tư nhận đủ hồ sơ thanh toán hợp lệ;
b) Chủ đầu tư về cơ bản không thực hiện nghĩa vụ theo hợp đồng;
c) Việc tạm ngừng bị kéo dài quá 45 ngày;
d) Chủ đầu tư bị phá sản, vỡ nợ, đóng cửa, bị quản lý tài sản phải điều đình với chủ nợ hoặc tiếp tục kinh doanh dưới sự điều hành của người được ủy thác hoặc người đại diện cho quyền lợi của chủ nợ hoặc nếu đã có hành động hoặc sự kiện nào đó xảy ra (theo các Luật hiện hành) có tác dụng tương tự tới các hành động hoặc sự kiện đó.
Trong bất cứ sự kiện hoặc trường hợp nào được nêu trên, Nhà thầu có thể bằng thông báo trước ... ngày cho Chủ đầu tư để chấm dứt hợp đồng. Tuy nhiên trong trường hợp của điểm d Nhà thầu có thể thông báo chấm dứt hợp đồng ngay lập tức.
19.3. Dừng công việc và di dời thiết bị Nhà thầu
Sau khi nhận được thông báo chấm dứt hợp đồng, Nhà thầu sẽ ngay lập tức:
a) Dừng tất cả các công việc thêm, ngoại trừ các công việc đã được Chủ đầu tư hướng dẫn để bảo vệ con người và tài sản hoặc an toàn của công trình;
b) Chuyển giao cho Chủ đầu tư toàn bộ tài liệu của Nhà thầu, thiết bị, các vật liệu và các công việc khác mà Nhà thầu đã được thanh toán;
c) Di dời tất cả vật tư, vật liệu khỏi công trường, ngoại trừ các thứ cần thiết cho việc an toàn và rời khỏi công trường.
19.4. Thanh toán khi chấm dứt hợp đồng
Sau khi thông báo chấm dứt hợp đồng theo khoản 19.2 của Hợp đồng [Chấm dứt hợp đồng bởi Nhà thầu] đã có hiệu lực, Chủ đầu tư sẽ ngay lập tức:
a) Trả lại bảo lãnh thực hiện cho Nhà thầu;
b) Thanh toán cho Nhà thầu.
Điều 20. Bảo hiểm và bảo hành
20.1. Bảo hiểm và bảo hành theo hợp đồng xây dựng thực hiện theo quy định tại Điều 46 Nghị định số 37/2015/NĐ-CP và các quy định tại khoản 20.2, khoản 20.3 Điều này.
20.2. Bảo hiểm
- Chủ đầu tư phải mua bảo hiểm công trình xây dựng theo quy định. Chủ đầu tư đã mua bảo hiểm công trình, khi có tổn thất, thiệt hại xảy ra đối với công trình, mà tổn thất, thiệt hại đó thuộc phạm vi công việc của Nhà thầu, Nhà thầu phải thực hiện các thủ tục cần thiết theo quy định để được bồi thường. Chủ đầu tư sẽ không chịu trách nhiệm đối với những trường hợp Nhà thầu không thực hiện những thủ tục trên. Trường hợp Nhà thầu được bồi thường thì Nhà thầu phải chịu mức khấu trừ theo quy định của hợp đồng cung cấp dịch vụ bảo hiểm xây dựng công trình ký giữa Chủ đầu tư và đơn vị cung cấp dịch vụ bảo hiểm;
- Nhà thầu phải thực hiện mua bảo hiểm đối với các thiết bị, nhân lực của Nhà thầu, bảo hiểm đối với bên thứ 3.
20.3. Bảo hành
Sau khi nhận được biên bản nghiệm thu công trình, hạng mục công trình để đưa vào sử dụng, Nhà thầu phải:
- Thực hiện việc bảo hành công trình trong thời gian …….. tháng (tối thiểu là 24 tháng) đối với các công trình cấp đặc biệt, cấp 1, ....tháng (tối thiểu 12 tháng) đối với các công trình cấp 2, cấp 3 và cấp 4, cụ thể do các bên thỏa thuận.
- Trường hợp, Chủ đầu tư trả tiền giữ lại trong các giai đoạn thanh toán cho bảo hành thì Nhà thầu phải nộp cho Chủ đầu tư bảo lãnh để thực hiện nghĩa vụ bảo hành công trình trong vòng 21 ngày trước ngày nhận được biên bản nghiệm thu công trình, hạng mục công trình để đưa vào sử dụng. Bảo lãnh bảo hành phải có giá trị cho đến hết thời gian bảo hành và phải do một thể nhân hoặc pháp nhân cấp và phải theo mẫu quy định như trong Phụ lục số... [các biểu mẫu] hoặc mẫu khác thì phải được Chủ đầu tư chấp thuận.
- Trong thời gian bảo hành công trình Nhà thầu phải sửa chữa mọi sai sót, khiếm khuyết do lỗi của Nhà thầu gây ra trong quá trình thi công công trình bằng chi phí của Nhà thầu. Việc sửa chữa các lỗi này phải được bắt đầu trong vòng không quá 21 ngày sau khi nhận được thông báo của Chủ đầu tư về các lỗi này. Nếu quá thời hạn này mà Nhà thầu không bắt đầu thực hiện các công việc sửa chữa thì Chủ đầu tư có quyền thuê một Nhà thầu khác (bên thứ ba) thực hiện các công việc này và toàn bộ chi phí cho việc sửa chữa để chi trả cho bên thứ ba sẽ do Nhà thầu chịu và được khấu trừ vào tiền bảo hành của Nhà thầu và thông báo cho Nhà thầu giá trị trên, Nhà thầu buộc phải chấp thuận giá trị trên.
Điều 21. Rủi ro và bất khả kháng
21.1. Rủi ro và bất khả kháng
Rủi ro và bất khả kháng thực hiện theo quy định tại Điều 51 Nghị định số 37/2015/NĐ-CP .
21.2. Hậu quả của các rủi ro
Nếu và trong chừng mực nào đó mọi rủi ro được liệt kê trong khoản 21.1 của hợp đồng này dẫn đến mất mát hay hư hỏng cho công trình, bất động sản, vật tư thiết bị hay các tài liệu của Nhà thầu, thì Nhà thầu phải ngay lập tức gửi thông báo cho Chủ đầu tư và sửa chữa những mất mát, hư hỏng trong phạm vi Chủ đầu tư yêu cầu.
21.3. Trách nhiệm của Nhà thầu đối với rủi ro
Nhà thầu sẽ chịu hoàn toàn trách nhiệm đối với việc bảo đảm công trình và hàng hóa từ ngày khởi công cho đến ngày phát hành biên bản nghiệm thu hoặc coi như được phát hành theo khoản 7.5 của hợp đồng [Nghiệm thu, bàn giao công trình và các hạng mục công trình] cho công trình, khi trách nhiệm được chuyển qua Chủ đầu tư. Nếu biên bản nghiệm thu được phát hành (hoặc coi như đã phát hành) cho bất cứ hạng mục hay công trình nào, thì trách nhiệm bảo đảm bất kỳ hạng mục nào của công trình đó được chuyển cho Chủ đầu tư.
Sau khi trách nhiệm được chuyển một cách phù hợp cho Chủ đầu tư, Nhà thầu sẽ nhận trách nhiệm bảo đảm đến bất kỳ công việc nào còn tồn lại chưa giải quyết xong vào ngày được nêu trong biên bản nghiệm thu cho đến khi các công việc này được hoàn thành.
Nếu bất cứ việc mất mát hay hư hỏng nào xảy ra cho công trình, vật tư, thiết bị hoặc tài liệu của Nhà thầu nào trong khoảng thời gian Nhà thầu đang chịu trách nhiệm bảo đảm, được liệt kê trong khoản 21.3 của hợp đồng [Trách nhiệm của Nhà thầu đối với rủi ro], Nhà thầu sẽ phải sửa những mất mát hay hư hỏng bằng sự rủi ro và chi phí của Nhà thầu, để công trình, vật tư, thiết bị và tài liệu của Nhà thầu đúng với hợp đồng.
Nhà thầu phải chịu trách nhiệm đối với bất cứ một hỏng hóc hay mất mát xảy ra sau khi biên bản nghiệm thu đã được phát hành và cả những việc xảy ra trước đó thuộc trách nhiệm của Nhà thầu và quy định tại khoản 1 Điều 51 Nghị định số 37/2015/NĐ-CP .
21.4. Bồi thường rủi ro
Nhà thầu phải bồi thường và gánh chịu những tổn hại cho Chủ đầu tư, các nhân viên của Chủ đầu tư đối với các khiếu nại, hỏng hóc, mất mát và các chi phí (bao gồm phí và các chi phí pháp lý) có liên quan đến:
a) Tổn hại thân thể, bệnh tật, ốm đau hay chết của bất cứ người nào xảy ra do nguyên nhân thi công, hoàn thành công trình và sửa chữa các sai sót, trừ khi có thể quy cho việc cẩu thả, cố ý làm hoặc vi phạm hợp đồng bởi Chủ đầu tư, các nhân viên của Chủ đầu tư hoặc bất kỳ đại diện riêng nào của họ;
b) Hỏng hóc hay mất mát của bất cứ tài sản nào, là bất động sản hay của cá nhân (không phải là công trình), ở phạm vi mà những hỏng hóc hay mất mát này:
- Phát sinh từ hoặc trong quá trình tiến hành hoặc do nguyên nhân của thi công và hoàn thành công trình và sửa chữa các sai sót;
- Được quy cho sự bất cẩn, cố ý làm hoặc vi phạm hợp đồng bởi Nhà thầu, nhân lực của Nhà thầu hoặc bất cứ người nào trực tiếp hay gián tiếp được họ thuê.
Chủ đầu tư phải bồi thường và gánh chịu những tổn hại cho Nhà thầu, các nhân viên của Nhà thầu đối với các khiếu nại, thiệt hại, mất mát, chi phí, phí (gồm phí và các phí pháp lý) liên quan đến tổn hại thân thể, ốm đau, bệnh, tật hay chết được quy cho sự cẩu thả, cố ý làm hoặc vi phạm hợp đồng bởi Chủ đầu tư, các nhân viên của Chủ đầu tư.
21.5. Thông báo về bất khả kháng
Nếu một bên bị cản trở thực hiện bất cứ nghĩa vụ của mình theo hợp đồng do tình trạng bất khả kháng, bên đó phải gửi thông báo cho bên kia về sự việc hoặc trường hợp gây nên tình trạng bất khả kháng và phải nêu rõ các nghĩa vụ, công việc đã và sẽ bị cản trở. Thông báo phải được gửi sớm nhất sau khi bên đó nhận biết được tình trạng hoặc lẽ ra đã nhận biết được về sự việc hoặc trường hợp gây nên tình trạng bất khả kháng.
Bên đó, khi đã thông báo, phải được miễn cho việc thực hiện công việc thuộc nghĩa vụ trong thời gian mà tình trạng bất khả kháng cản trở việc thực hiện của họ.
Dẫu cho có các quy định nào khác của khoản này, thì bất khả kháng cũng không áp dụng đối với các nghĩa vụ thanh toán tiền của bất cứ bên nào cho bên kia theo hợp đồng.
21.6. Các hậu quả của bất khả kháng
Nếu Nhà thầu bị cản trở thực hiện bất kỳ nhiệm vụ nào của mình theo hợp đồng do bất khả kháng mà đã thông báo theo khoản 21.5 của hợp đồng [Thông báo về bất khả kháng] và chịu sự chậm trễ và chịu chi phí do bất khả kháng, Nhà thầu sẽ có quyền theo Điều 24 của hợp đồng [Khiếu nại và xử lý các tranh chấp]:
a) Kéo dài thời gian do sự chậm trễ này, nếu việc hoàn thành bị và sẽ bị chậm trễ theo khoản 8.3 của hợp đồng [Gia hạn thời gian hoàn thành];
b) Nếu sự việc hay trường hợp thuộc loại được mô tả trong khoản 21.1 của hợp đồng [Rủi ro và bất khả kháng] được thanh toán các chi phí này.
Sau khi nhận được thông báo này, Chủ đầu tư phải xem xét để nhất trí hay quyết định các vấn đề này.
21.7. Chấm dứt hợp đồng do bất khả kháng, thanh toán, hết trách nhiệm nếu việc thực hiện công trình cơ bản đang được tiến hành bị cản trở liên tục trong thời gian ... ngày do bất khả kháng đã được thông báo theo khoản 21.5 của hợp đồng [Thông báo về bất khả kháng] hoặc trong nhiều khoảng thời gian mà tổng số là trên ... ngày do bất khả kháng đã được thông báo, thì một trong hai bên có thể gửi thông báo chấm dứt hợp đồng cho bên kia. Trong trường hợp này, việc chấm dứt hợp đồng sẽ có hiệu lực ... ngày sau khi có thông báo.
Đối với trường hợp chấm dứt này, Chủ đầu tư sẽ phải thanh toán cho Nhà thầu:
a) Các khoản thanh toán cho bất kỳ công việc nào đã được thực hiện mà giá đã được nêu trong hợp đồng;
b) Chi phí cho thiết bị và vật tư được đặt hàng cho công trình đã được chuyển tới cho Nhà thầu, hoặc những thứ Nhà thầu có trách nhiệm chấp nhận giao hàng: thiết bị và vật tư này sẽ trở thành tài sản (và là rủi ro) của Chủ đầu tư khi đã được Chủ đầu tư thanh toán và Nhà thầu sẽ để cho Chủ đầu tư tùy ý sử dụng;
c) Mọi chi phí hoặc trách nhiệm khác mà trong trường hợp bất khả kháng Nhà thầu phải chịu để hoàn thành công trình;
d) Chi phí di chuyển các công trình tạm và thiết bị của Nhà thầu khỏi công trình;
d) Chi phí bồi thường cho đội ngũ nhân viên và người lao động được Nhà thầu thuê trong toàn bộ thời gian liên quan đến công trình vào thời điểm chấm dứt hợp đồng.
Điều 22. Sự kiện bồi thường
22.1. Các sự kiện sau đây sẽ được xem là sự kiện bồi thường
a) Chủ đầu tư không giao một phần mặt bằng công trường vào ngày tiếp nhận công trường theo quy định;
b) Chủ đầu tư sửa đổi lịch hoạt động của các Nhà thầu khác, làm ảnh hưởng đến công việc của Nhà thầu trong hợp đồng này;
c) Chủ đầu tư thông báo trì hoãn công việc hoặc không cấp bản vẽ, thông số kỹ thuật hay các chỉ thị cần thiết để thực hiện công trình đúng thời hạn;
d) Chủ đầu tư yêu cầu Nhà thầu tiến hành các thử nghiệm bổ sung nhưng kết quả không tìm thấy sai sót;
đ) Chủ đầu tư không phê chuẩn hợp đồng sử dụng Nhà thầu phụ mà không có lý do xác đáng, hợp lý;
e) Điều kiện nền đất công trường xấu hơn nhiều so với dự kiến tại thời điểm trước khi có thư chấp thuận mà dự kiến đó đã được đưa ra một cách hợp lý dựa trên các thông tin cung cấp cho các Nhà thầu (bao gồm các Báo cáo khảo sát công trường), các thông tin có sẵn khác và kết quả thị sát công trường.
g) Chủ đầu tư yêu cầu giải quyết tình huống đột xuất hoặc công việc phát sinh cần thiết để bảo đảm an toàn công trình hoặc các lý do khác;
h) Các Nhà thầu khác và cơ quan, đơn vị liên quan hoặc Chủ đầu tư không làm việc vào các ngày đã nêu trong hợp đồng và không làm việc trong các điều kiện đã nêu trong hợp đồng, gây ra chậm trễ hoặc làm phát sinh chi phí cho Nhà thầu.
i) Tạm ứng chậm;
k) Nhà thầu chịu ảnh hưởng từ rủi ro của Chủ đầu tư;
l) Chủ đầu tư chậm cấp giấy chứng nhận hoàn thành công trình mà không có lý do hợp lý.
22.2. Nếu sự kiện bồi thường [quy định tại ĐKCT] làm tăng chi phí hay cản trở việc hoàn thành công việc trước ngày hoàn thành dự kiến, thì giá hợp đồng sẽ được điều chỉnh tăng lên, thời gian thực hiện hợp đồng sẽ được gia hạn. Chủ đầu tư phải xem xét quyết định việc điều chỉnh giá hợp đồng và gia hạn thời gian thực hiện hợp đồng.
22.3. Sau khi Nhà thầu cung cấp thông tin chứng minh ảnh hưởng của từng sự kiện bồi thường đối với dự toán chi phí của Nhà thầu, Chủ đầu tư phải xem xét, đánh giá và điều chỉnh giá hợp đồng cho phù hợp. Nếu dự toán của Nhà thầu không hợp lý thì Chủ đầu tư sẽ điều chỉnh giá hợp đồng dựa trên dự toán phù hợp theo đúng quy định do Chủ đầu tư lập.
Nhà thầu có thể không được bồi thường khi các quyền lợi của Chủ đầu tư bị ảnh hưởng nặng nề do việc Nhà thầu không cảnh báo sớm hoặc không hợp tác với Chủ đầu tư.
Điều 23. Thưởng hợp đồng, phạt vi phạm hợp đồng
23.1. Thưởng hợp đồng
Trường hợp Nhà thầu hoàn thành các nghĩa vụ của hợp đồng sớm hơn so với thời hạn quy định trong hợp đồng này, mang lại hiệu quả cho Chủ đầu tư thì cứ mỗi ... tháng (khoảng thời gian) Chủ đầu tư sẽ thưởng cho Nhà thầu... % mỗi ... tháng (khoảng thời gian) và mức thưởng tối đa không quá ... % giá trị phần hợp đồng làm lợi.
- Mức thưởng: [ghi mức thưởng đối với việc hoàn thành sớm công trình, sáng kiến của Nhà thầu. Trường hợp không áp dụng thưởng hợp đồng thì nêu rõ].
- Tổng số tiền thưởng tối đa: [ghi tổng số tiền thưởng tối đa, (nếu có)].
23.2. Phạt vi phạm hợp đồng
Đối với Nhà thầu: nếu chậm tiến độ ... ngày thì phạt... % giá hợp đồng cho ... ngày chậm nhưng tổng số tiền phạt không quá ... % giá trị hợp đồng bị vi phạm theo quy định tại Điều 42 Nghị định số 37/2015/NĐ-CP được sửa đổi, bổ sung tại khoản 15 Điều 1 Nghị định số 50/2021/NĐ-CP .
[Ghi nội dung phạt, mức phạt và tổng giá trị phạt tối đa phù hợp với quy định của pháp luật về xây dựng].
Điều 24. Khiếu nại và xử lý các tranh chấp
24.1. Khiếu nại
Thực hiện theo quy định tại Điều 44 Nghị định số 37/2015/NĐ-CP .
24.2. Xử lý các tranh chấp
Thực hiện theo quy định tại Điều 45 Nghị định số 37/2015/NĐ-CP .
Khi có tranh chấp phát sinh trong quá trình thực hiện hợp đồng, các bên sẽ cố gắng thương lượng để giải quyết bằng biện pháp hòa giải [quy định tại ĐKCT].
Trường hợp thương lượng không có kết quả thì trong vòng... ngày kể từ ngày phát sinh tranh chấp hợp đồng không thể hòa giải, các bên sẽ gửi vấn đề lên trọng tài để xử lý tranh chấp theo các quy tắc của Việt Nam [quy định tại ĐKCT]. Quyết định của trọng tài (hoặc Tòa án Nhân dân) là quyết định cuối cùng và có tính chất bắt buộc với các bên.
24.3. Hợp đồng bị vô hiệu, chấm dứt không ảnh hưởng đến hiệu lực của các điều khoản về giải quyết tranh chấp.
Điều 25. Quyết toán và thanh lý hợp đồng
25.1. Quyết toán hợp đồng
Quyết toán hợp đồng xây dựng theo quy định tại Điều 22 Nghị định số 37/2015/NĐ-CP được sửa đổi, bổ sung theo quy định tại khoản 7 Điều 1 Nghị định số 50/2021/NĐ-CP , quy định pháp luật khác có liên quan và gồm các quy định sau:
Trong vòng ……. ngày [quy định tại ĐKCT] sau khi nhận được biên bản nghiệm thu đã hoàn thành toàn bộ nội dung công việc theo quy định của hợp đồng, Nhà thầu sẽ trình cho Chủ đầu tư ... (bộ) quyết toán hợp đồng với các tài liệu trình bày chi tiết theo mẫu mà Chủ đầu tư đã chấp thuận, bao gồm các tài liệu sau:
- Biên bản nghiệm thu hoàn thành toàn bộ công việc thuộc phạm vi hợp đồng;
- Bảng xác nhận giá trị khối lượng công việc phát sinh (nếu có) ngoài phạm vi hợp đồng;
- Bảng tính giá trị quyết toán hợp đồng, trong đó nêu rõ phần đã thanh toán và giá trị còn lại mà Chủ đầu tư có trách nhiệm thanh toán cho Nhà thầu;
- Hồ sơ hoàn công, nhật ký thi công xây dựng công trình;
- Các tài liệu khác theo thỏa thuận trong hợp đồng (nếu có).
Thời hạn Nhà thầu giao nộp hồ sơ quyết toán hợp đồng không được quá ... ngày kể từ ngày nghiệm thu hoàn thành toàn bộ nội dung công việc cần thực hiện theo hợp đồng, bao gồm cả công việc phát sinh (nếu có).
25.2. Thanh lý hợp đồng
Thanh lý hợp đồng xây dựng theo quy định tại Điều 23 Nghị định số 37/2015/NĐ-CP được sửa đổi, bổ sung theo quy định tại khoản 8 Điều 1 Nghị định số 50/2021/NĐ-CP và các quy định sau:
a) Hợp đồng được thanh lý trong trường hợp:
- Các bên hoàn thành các nghĩa vụ theo hợp đồng đã ký;
- Hợp đồng bị chấm dứt (hủy bỏ) theo quy định của Điều 18 của hợp đồng [Tạm dừng và chấm dứt Hợp đồng bởi Chủ đầu tư], Điều 19 của hợp đồng [Tạm dừng và chấm dứt hợp đồng bởi Nhà thầu].
b) Việc thanh lý hợp đồng phải được hoàn tất trong thời hạn ... ngày [quy định tại ĐKCT] kể từ ngày các bên tham gia hợp đồng hoàn thành các nghĩa vụ theo hợp đồng hoặc hợp đồng bị chấm dứt (hủy bỏ) theo điểm a khoản 2 Điều này.
25.3. Chấm dứt trách nhiệm của Chủ đầu tư
Chủ đầu tư sẽ không chịu trách nhiệm với Nhà thầu về bất cứ việc gì và vấn đề gì theo hợp đồng hoặc liên quan đến hợp đồng sau khi thanh lý hợp đồng.
Điều 26. Hiệu lực của hợp đồng
26.1. Hai bên cam kết thực hiện đúng những điều đã quy định trong hợp đồng này. Số bản, trang, Phụ lục và ngôn ngữ hợp đồng [quy định tại ĐKCT].
26.2. Hợp đồng này có hiệu lực kể từ thời điểm [quy định tại ĐKCT] và sau khi Chủ đầu tư đã nhận được bảo đảm thực hiện hợp đồng.
26.3. Tính pháp lý của hợp đồng xây dựng:
a) Hợp đồng có hiệu lực là cơ sở pháp lý mà Chủ đầu tư, Nhà thầu và các bên liên quan có nghĩa vụ thực hiện;
b) Hợp đồng có hiệu lực là cơ sở để giải quyết tranh chấp giữa các bên. Các tranh chấp phát sinh ngoài hợp đồng sẽ được giải quyết trên cơ sở các quy định, của pháp luật có liên quan.
Điều 27. Điều khoản chung
27.1. Hai bên cam kết thực hiện đúng những Điều đã quy định trong hợp đồng này. Khi một bên có kiến nghị, đề xuất, yêu cầu thì bên kia phải có trách nhiệm trả lời.
27.2. Hợp đồng này bao gồm ... trang và ...phụ lục được lập thành ... bản bằng tiếng Việt. Chủ đầu tư sẽ giữ ... bản tiếng Việt, Nhà thầu sẽ giữ ... bản tiếng Việt (Trường hợp có sử dụng từ hai thứ ngôn ngữ trở lên thì các bên quy định thêm về số bản hợp đồng bằng các ngôn ngữ khác).
PHẦN 4. ĐIỀU KIỆN CỤ THỂ CỦA HỢP ĐỒNG
Điều 1. Giải thích từ ngữ
Trong hợp đồng này, các từ ngữ dưới đây được hiểu như sau:
1.6. Chủ đầu tư là_____ [Tên giao dịch của Chủ đầu tư].
1.7. Công trình bao gồm [Ghi tóm tắt sơ lược về tên, địa điểm thi công gói thầu, bao gồm cả thông tin về quan hệ với các gói thầu khác trong dự án].
1.10. Công trường [Ghi địa chỉ của công trường ] và được xác định trong bản vẽ số [Ghi số].
Thông tin về công trường là: [Liệt kê các thông tin và dữ liệu về công trường].
1.21. Ngày khởi công là:_______ [Ghi ngày].
1.23. Nhà thầu là:_______ [Ghi tên hợp pháp đầy đủ của Nhà thầu].
Điều 2. Hồ sơ hợp đồng và thứ tự ưu tiên
2.1. Hồ sơ hợp đồng:_________ [Ghi đầy đủ các tài liệu của hồ sơ hợp đồng].
2.4. Thứ tự ưu tiên:________ [Ghi các tài liệu của hồ sơ hợp đồng theo thứ tự ưu tiên nếu có].
Điều 3. Luật và ngôn ngữ sử dụng
3.1. Hợp đồng này chịu sự điều chỉnh của hệ thống pháp luật của nước Cộng hòa xã hội chủ nghĩa Việt Nam; đối với dự án sử dụng nguồn vốn hỗ trợ chính thức, vốn vay ưu đãi phát sinh từ Điều ước quốc tế mà Việt Nam là thành viên [Ghi rõ nguồn vốn hỗ trợ chính thức, vốn vay ưu đãi].
Điều 4. Thông báo
4.2. Thông báo của một bên phải được người đại diện có thẩm quyền hoặc người được ủy quyền ký kết sẽ được coi là có hiệu lực tại thời điểm [Ghi rõ thời điểm].
Điều 5. Bảo đảm thực hiện và bảo lãnh tạm ứng hợp đồng
5.1. Bảo đảm thực hiện hợp đồng
- Giá trị bảo đảm thực hiện hợp đồng là________ [Ghi cụ thể là bao nhiêu % trên giá trị hợp đồng] tương đương ___ [Ghi cụ thể giá trị và loại tiền tệ].
- Thời gian gửi bảo đảm thực hiện hợp đồng cho Chủ đầu tư là ____ [Ghi cụ thể thời gian là bao nhiêu ngày sau khi cả hai bên đã ký hợp đồng].
- Thời gian Nhà thầu phải gia hạn bảo đảm thực hiện là_____ [Ghi cụ thể thời gian là bao nhiêu ngày trước ngày hết hạn bảo đảm thực hiện].
- Thời gian thanh toán nợ cho Chủ đầu tư là____ [Ghi cụ thể thời gian là bao nhiêu ngày sau khi thỏa thuận hoặc quyết định phải trả].
- Thời gian sửa chữa sai sót là_____ [Ghi cụ thể thời gian là bao nhiêu ngày kể từ ngày nhận được thông báo của Chủ đầu tư].
- Thời gian trả lại bảo đảm thực hiện hợp đồng cho Nhà thầu là____ [Ghi cụ thể thời gian là bao nhiêu ngày sau khi cấp biên bản nghiệm thu hoàn thành và đã nhận được bảo đảm bảo hành].
5.2. Bảo lãnh tiền tạm ứng (Trường hợp các bên thỏa thuận phải có bảo lãnh tiền tạm ứng)
Thời gian nộp bảo lãnh tiền tạm ứng là ____ [Ghi cụ thể thời gian là bao nhiêu ngày sau khi hợp đồng có hiệu lực].
Điều 6. Nội dung và khối lượng công việc
6.3. Trường hợp Chủ đầu tư cung cấp một số hay toàn bộ vật tư, máy thi công thì các bên cần thể hiện rõ trong hợp đồng; bao gồm cả về khối lượng, chất lượng, thời gian, địa điểm cung cấp.
Điều 7. Yêu cầu về chất lượng sản phẩm và nghiệm thu, bàn giao sản phẩm hợp đồng thi công xây dựng
7.4. Chạy thử của công trình (nếu có)
Thời gian chạy thử là_____ [Ghi cụ thể thời gian là bao nhiêu ngày sau ngày đã thông báo hoặc vào ngày yêu cầu].
7.5. Nghiệm thu, bàn giao công trình và các hạng mục công trình
Thời gian phản hồi Nhà thầu là_______ [Ghi cụ thể thời gian là bao nhiêu ngày sau ngày kể từ khi nhận được đề nghị nghiệm thu công trình của Nhà thầu].
Điều 8. Thời gian và tiến độ thực hiện hợp đồng
8.2. Ngày khởi công, thời gian thực hiện hợp đồng
- Ngày bắt đầu công việc là_____ [Ghi cụ thể thời gian bao gồm ngày, tháng, năm].
- Thời gian thông báo trước cho Nhà thầu về ngày bắt đầu công việc là____ [Ghi cụ thể thời gian là bao nhiêu ngày].
- Ngày hợp đồng bắt đầu có hiệu lực là_____ [Ghi cụ thể thời gian là bao nhiêu ngày].
- Thời gian hoàn thành toàn bộ công việc là_____ [Ghi cụ thể thời gian bao gồm ngày, tháng, năm].
8.3. Tiến độ thực hiện hợp đồng
- Thời gian trình tiến độ chi tiết thực hiện công việc là_____ [Ghi cụ thể thời gian là bao nhiêu ngày sau ngày bắt đầu công việc].
- Thời gian phản hồi cho Nhà thầu về tiến độ đề xuất là_____ [Ghi cụ thể thời gian là bao nhiêu ngày kể từ ngày Chủ đầu tư nhận được bảng tiến độ của Nhà thầu].
8.4 Điều chỉnh tiến độ thực hiện hợp đồng
Các trường hợp khác:______ [Ghi các trường hợp gia hạn thời gian thực hiện hợp đồng khác (nếu có)].
Điều 9. Giá Hợp đồng, tạm ứng và thanh toán
9.2. Giá hợp đồng
a) Hợp đồng này là hợp đồng______ [Ghi cụ thể loại giá hợp đồng]
b) Giá hợp đồng gồm:
(i) Bằng Việt Nam Đồng:_______ Đồng.
(ii) Bằng Ngoại tệ:______ [Ghi tên đồng ngoại tệ sử dụng].
iii) Khoản bổ sung hay giảm trừ:
9.3. Bảo lãnh tạm ứng, tạm ứng
- Thời gian nộp bảo lãnh tiền tạm ứng là_______ [Ghi cụ thể thời gian là bao nhiêu ngày sau khi hợp đồng có hiệu lực].
- Thời gian bảo lãnh tiền tạm ứng hợp đồng hết hiệu lực khi Chủ đầu tư chấp thuận bằng văn bản.
- Chủ đầu tư sẽ chuyển tiền tạm ứng vào ngân hàng ... (do Chủ đầu tư và Nhà thầu thống nhất trước khi ký hợp đồng) trong thời gian ... ngày sau khi Nhà thầu nộp Bảo lãnh tiền tạm ứng tương đương với khoản tiền tạm ứng.
- Tạm ứng:_____ [Ghi số tiền tạm ứng bao gồm thuế VAT (nếu có), các chứng từ để tạm ứng, phương thức tạm ứng... phù hợp quy định của pháp luật về xây dựng].
- Thời gian tạm ứng:___ ngày____ tháng____ năm_____ [Ghi cụ thể thời gian tạm ứng].
9.4. Thanh toán
Đồng tiền sử dụng để thanh toán hợp đồng xây dựng là đồng tiền Việt Nam và_____ [Ghi cụ thể loại ngoại tệ sử dụng trong thanh toán].
- Hình thức thanh toán_______ [Bằng chuyển khoản hoặc bằng hình thức khác do các bên tự thỏa thuận phù hợp với quy định của pháp luật có liên quan].
9.5. Thời hạn thanh toán
Tiến độ thanh toán được chia làm________ [Ghi cụ thể số lần thanh toán].
9.6. Thanh toán tiền bị giữ lại
Phần tiền giữ lại từ số tiền thanh toán là:________ [Ghi tỷ lệ phần trăm]
[Số tiền giữ lại thường xấp xỉ 5% và không vượt quá 10% trong mọi trường hợp].
9.8. Hồ sơ thanh toán
- Hồ sơ thanh toán_______ [Ghi cụ thể bao nhiêu bộ hồ sơ].
Hồ sơ thanh toán bao gồm các tài liệu chủ yếu sau_____ [Ghi cụ thể tên các tài liệu].
- Thời hạn thanh toán là______ [Ghi cụ thể thời gian là bao nhiêu ngày sau khi nhận đủ hồ sơ thanh toán hợp lệ theo quy định của hợp đồng].
Điều 10. Điều chỉnh đơn giá, khối lượng công việc, một số nội dung khác trong hợp đồng và giá hợp đồng xây dựng
10.2. Việc điều chỉnh khối lượng công việc và một số nội dung khác trong hợp đồng.
Khối lượng điều chỉnh [Ghi cụ thể các trường hợp điều chỉnh khối lượng công việc hoặc phân công việc thi công xây dựng thay đổi, điều chỉnh, bổ sung thiết kế và phạm vi công việc khác với quy định của hợp đồng].
Đối với điều chỉnh một số nội dung khác trong hợp đồng [Ghi cụ thể nguyên tắc điều chỉnh, phương pháp, công thức, nguồn dữ liệu và trách nhiệm của các bên theo quy định pháp luật].
10.3. Điều chỉnh giá hợp đồng xây dựng
Trường hợp điều chỉnh giá hợp đồng:_______ [Ghi cụ thể các trường hợp được điều chỉnh giá hợp đồng gắn với nội dung, phương pháp, thời gian, công thức, nguồn dữ liệu điều chỉnh và các nội dung có liên quan đảm bảo phù hợp với nguyên tắc điều chỉnh của từng loại giá hợp đồng theo quy định pháp luật].
Phương pháp điều chỉnh theo hướng dẫn tại Phụ lục I Thông tư hướng dẫn một số nội dung về hợp đồng xây dựng.
Điều 15. Nhà thầu phụ
15.1. Danh sách Nhà thầu phụ:_______ [Ghi danh sách Nhà thầu phụ phù hợp với danh sách Nhà thầu phụ nêu trong HSDT].
Giá trị công việc mà Nhà thầu phụ thực hiện không vượt quá:______ giá hợp đồng [Căn cứ quy mô, tính chất của gói thầu mà ghi tỷ lệ % theo tỷ lệ quy định pháp luật].
15.5. Nêu các yêu cầu cần thiết khác về Nhà thầu phụ [Ghi yêu cầu khác về Nhà thầu phụ (nếu có)].
Điều 22. Sự kiện bồi thường
22.2. Bồi thường thiệt hại: .... [Ghi “Áp dụng” hoặc “Không áp dụng”]. Trường hợp áp dụng bồi thường thiệt hại thì căn cứ vào quy mô, tính chất của gói thầu quy định bồi thường thiệt hại theo một trong hai cách sau:
- Bồi thường thiệt hại trên cơ sở toàn bộ thiệt hại thực tế;
- Bồi thường thiệt hại trên cơ sở một mức xác định. Trong trường hợp này nêu rõ mức bồi thường, phương thức bồi thường... phù hợp với pháp luật dân sự.
[Ghi nội dung bồi thường thiệt hại, mức bồi thường thiệt hại và tổng giá trị bồi thường thiệt hại tối đa phù hợp với quy định của pháp luật].
Điều 24. Khiếu nại và xử lý các tranh chấp
24.2. Xử lý các tranh chấp
- Thời gian tiến hành Trọng tài phân xử là______ [Ghi cụ thể thời gian là bao nhiêu ngày sau ngày kể từ khi thông báo không thỏa mãn được đưa ra bởi một bên].
- Hình thức giải quyết tranh chấp______ [Ghi cụ thể hình thức giải quyết tranh chấp tại Tòa án hoặc Trọng tài và thông tin cụ thể đối với hình thức xử lý tranh chấp lựa chọn bao gồm nhưng không giới hạn Trọng tài viên, Tòa án].
Điều 25. Quyết toán và thanh lý hợp đồng
25.1. Quyết toán hợp đồng
- Thời gian trình hồ sơ quyết toán hợp đồng là______ [Ghi cụ thể thời gian là bao nhiêu ngày kể từ ngày nhận được biên bản nghiệm thu và xác nhận của Chủ đầu tư].
- Số lượng hồ sơ quyết toán hợp đồng là_______ [Ghi cụ thể là bao nhiêu bộ].
25.2. Thanh lý hợp đồng
Thời gian tiến hành thanh lý hợp đồng là______ [Ghi cụ thể thời gian là bao nhiêu ngày nhưng không quá .... ngày]
Điều 26. Hiệu lực của hợp đồng
26.1. Hợp đồng này bao gồm________ [Ghi cụ thể là bao nhiêu trang], và ____ [Ghi cụ thể là bao nhiêu Phụ lục] được lập thành_______ [Ghi cụ thể là bao nhiêu bản] bằng tiếng Việt có hiệu lực pháp lý như nhau, và______ [Ghi cụ thể là bao nhiêu bản] bằng tiếng_____ [Ghi cụ thể ngôn ngữ hợp đồng khác ngoài tiếng Việt].
Chủ đầu tư sẽ giữ______ [Ghi cụ thể là bao nhiêu bản] bằng tiếng Việt và ______ [Ghi cụ thể là bao nhiêu bản] bằng tiếng______ [Ghi cụ thể ngôn ngữ hợp đồng khác ngoài tiếng Việt].
Nhà thầu sẽ giữ______ [Ghi cụ thể là bao nhiêu bản] bằng tiếng Việt và______ [Ghi cụ thể là bao nhiêu bản] bằng tiếng______ [Ghi cụ thể ngôn ngữ hợp đồng khác ngoài tiếng Việt].
26.2. Hợp đồng này có hiệu lực kể từ ______ [Ghi cụ thể thời gian ngày, tháng, năm] và sau khi Chủ đầu tư đã nhận được bảo đảm thực hiện hợp đồng theo Điều 5 Hợp đồng.
|
CHỦ ĐẦU TƯ |
NHÀ THẦU |
PHỤ LỤC IV
MẪU HỢP ĐỒNG EPC
(Công bố kèm theo Thông tư số 02/2023/TT-BXD ngày 03/3/2023 của Bộ trưởng Bộ Xây dựng hướng dẫn một số nội dung về hợp đồng xây dựng)
CỘNG HÒA XÃ HỘI CHỦ NGHĨA VIỆT NAM
Độc lập - Tự do - Hạnh phúc
__________________
(Địa danh), ngày ……..tháng……. năm …….
HỢP ĐỒNG THIẾT KẾ - MUA SẮM VẬT TƯ, THIẾT BỊ - THI CÔNG XÂY DỰNG CÔNG TRÌNH
Số: ……./.....(Năm) /...(ký hiệu hợp đồng)
DỰ ÁN (TÊN DỰ ÁN) HOẶC GÓI THẦU (TÊN GÓI THẦU) SỐ …………
THUỘC DỰ ÁN (TÊN DỰ ÁN) …………….
GIỮA
(TÊN GIAO DỊCH CỦA CHỦ ĐẦU TƯ)
VÀ
(TÊN GIAO DỊCH CỦA NHÀ THẦU)
MỤC LỤC
DANH MỤC CÁC CHỮ VIẾT TẮT
PHẦN 1. THÔNG TIN GIAO DỊCH CỦA CHỦ ĐẦU TƯ VÀ NHÀ THẦU
PHẦN 2. CÁC CĂN CỨ KÝ KẾT HỢP ĐỒNG
PHẦN 3 - ĐIỀU KIỆN CHUNG CỦA HỢP ĐỒNG
Điều 1. Giải thích từ ngữ
Điều 2. Hồ sơ hợp đồng và thứ tự ưu tiên
Điều 3. Các quy định chung
Điều 4. Phạm vi công việc
Điều 5. Các yêu cầu đối với công tác thiết kế xây dựng công trình
Điều 6. Các yêu cầu đối với công tác mua sắm và lắp đặt thiết bị
Điều 7. Các yêu cầu đối với công tác thi công xây dựng công trình
Điều 8. Thử nghiệm, hiệu chỉnh và vận hành thử khi hoàn thành
Điều 9. Nghiệm thu của Chủ đầu tư
Điều 10. Thời gian và tiến độ thực hiện hợp đồng
Điều 11. Bảo đảm thực hiện hợp đồng và bảo lãnh tiền tạm ứng
Điều 12. Giá hợp đồng, tạm ứng và thanh toán
Điều 13. Quyền và nghĩa vụ chung của Chủ đầu tư
Điều 14. Nhiệm vụ, quyền hạn của Nhà tư vấn
Điều 15. Quyền và nghĩa vụ chung của Nhà thầu
Điều 16. Điều chỉnh giá và điều chỉnh hợp đồng
Điều 17. Nhà thầu phụ
Điều 18. Tạm ngừng, chấm dứt hợp đồng bởi Chủ đầu tư
Điều 19. Tạm ngừng chấm dứt hợp đồng bởi Nhà thầu
Điều 20. Bảo hiểm và bảo hành công trình
Điều 21. Trách nhiệm đối với các sai sót
Điều 22. Thưởng, phạt do vi phạm hợp đồng và trách nhiệm bồi thường thiệt hại
Điều 23. Rủi ro và bất khả kháng
Điều 24. Khiếu nại và giải quyết tranh chấp
Điều 25. Quyết toán và thanh lý hợp đồng
Điều 26. Hiệu lực của hợp đồng
PHẦN 4 - ĐIỀU KIỆN CỤ THỂ CỦA HỢP ĐỒNG
Điều 1. Giải thích từ ngữ
Điều 2. Hồ sơ hợp đồng và thứ tự ưu tiên
Điều 3. Các quy định chung
Điều 5. Các yêu cầu đối với công tác thiết kế xây dựng công trình
Điều 6. Các yêu cầu đối với công tác mua sắm và lắp đặt thiết bị
Điều 7. Các yêu cầu đối với công tác thi công xây dựng công trình
Điều 8. Thử nghiệm, hiệu chỉnh và vận hành thử khi hoàn thành
Điều 9. Nghiệm thu của Chủ đầu tư
Điều 10. Thời gian và tiến độ thực hiện hợp đồng
Điều 11. Bảo đảm thực hiện hợp đồng và bảo lãnh tiền tạm ứng
Điều 12. Giá hợp đồng, tạm ứng và thanh toán
Điều 13. Quyền và nghĩa vụ chung của Chủ đầu tư
Điều 14. Nhiệm vụ, quyền hạn của Nhà tư vấn
Điều 15. Quyền và nghĩa vụ chung của Nhà thầu
Điều 16. Điều chỉnh giá và điều chỉnh hợp đồng
Điều 17. Nhà thầu phụ
Điều 18. Tạm ngừng, chấm dứt hợp đồng bởi Chủ đầu tư
Điều 19. Tạm ngừng, chấm dứt hợp đồng bởi Nhà thầu
Điều 20. Bảo hiểm và bảo hành công trình
Điều 21. Trách nhiệm đối với các sai sót
Điều 22. Thưởng, phạt do vi phạm hợp đồng và trách nhiệm bồi thường thiệt hại
Điều 23. Rủi ro và bất khả kháng
Điều 24. Khiếu nại và giải quyết tranh chấp
Điều 25. Quyết toán và thanh lý hợp đồng
Điều 26. Hiệu lực của hợp đồng
DANH MỤC CÁC CHỮ VIẾT TẮT
PHẦN 1. THÔNG TIN GIAO DỊCH CỦA CHỦ ĐẦU TƯ VÀ NHÀ THẦU
Hôm nay, ngày ... tháng ... năm ….. tại (Địa danh) ……………………………………….,
chúng tôi gồm các bên dưới đây:
1. Chủ đầu tư (Bên giao thầu):
Tên giao dịch: ……………………..
Đại diện (hoặc người được ủy quyền) là: Ông/Bà ………… Chức vụ: …………….
Địa chỉ: ……………………..
Tài khoản: …………………..
Mã số thuế: …………………
Đăng ký kinh doanh (nếu có) ……………………..
Điện thoại: …………………….. Fax: ……………………..
E-mail: ………………………….
Và bên kia là:
2. Nhà thầu (Bên nhận thầu):
Tên giao dịch:
Đại diện (hoặc người được ủy quyền) là: Ông/Bà……….. Chức vụ: ………….
Địa chỉ: …………………………………………..
Tài Khoản: ………………………………………
Mã số thuế: ………………………………………
Đăng ký kinh doanh (nếu có) …………………..
Điện thoại: …………………….. Fax: ……………………..
E-mail: ………………………….
Giấy ủy quyền ký hợp đồng số ………….. ngày....tháng....năm.... (Trường hợp được ủy quyền)
(Trường hợp là liên danh các nhà thầu thì phải ghi đầy đủ thông tin các thành viên trong liên danh và cử đại diện liên danh giao dịch)
Hai Bên cùng thống nhất ký hợp đồng thi công xây dựng của gói thầu.... thuộc dự án (tên dự án) như sau:
PHẦN 2. CÁC CĂN CỨ KÝ KẾT HỢP ĐỒNG
Căn cứ Bộ Luật Dân sự ngày 24 tháng 11 năm 2015;
Căn cứ Luật Xây dựng ngày 18 tháng 6 năm 2014; Luật sửa đổi, bổ sung một số điều của Luật Xây dựng ngày 17 tháng 6 năm 2020;
Căn cứ Luật Đấu thầu số 43/2013/QH13 ngày 26 tháng 11 năm 2013;
Căn cứ Nghị định số 37/2015/NĐ-CP ngày 22 tháng 4 năm 2015 của Chính phủ quy định chi tiết về hợp đồng xây dựng;
Căn cứ Nghị định số 50/2021/NĐ-CP ngày 01 tháng 4 năm 2021 sửa đổi, bổ sung một số điều của Nghị định số 37/2015/NĐ-CP ngày 22 tháng 4 năm 2015 của Chính phủ quy định chi tiết về hợp đồng xây dựng;
Căn cứ Nghị định số 06/2021/NĐ-CP ngày 26 tháng 01 tháng 2021 của Chính phủ quy định chi tiết một số nội dung về quản lý chất lượng, thi công xây dựng và bảo trì công trình xây dựng;
Căn cứ Nghị định số 15/2021/NĐ-CP ngày 03 tháng 3 tháng 2021 của Chính phủ quy định chi tiết một số nội dung về quản lý dự án đầu tư xây dựng;
Căn cứ Nghị định số 99/2021/NĐ-CP ngày 11/11/2021 quy định về quản lý, thanh toán, quyết toán dự án sử dụng vốn đầu tư công;
Căn cứ Thông tư số ……/……../TT-BXD ngày..... tháng..... năm ……..của Bộ trưởng Bộ Xây dựng hướng dẫn một số nội dung về hợp đồng xây dựng;
Căn cứ Báo cáo nghiên cứu khả thi (hoặc thiết kế FEED) được phê duyệt tại Quyết định số ...;
Căn cứ ………………………………………………………(các căn cứ khác nếu có);
Căn cứ kết quả lựa chọn nhà thầu tại văn bản số... và Biên bản hoàn thiện hợp đồng EPC ngày …………………........
PHẦN 3 - ĐIỀU KIỆN CHUNG CỦA HỢP ĐỒNG
Điều 1. Giải thích từ ngữ
Các từ và cụm từ sử dụng cho hợp đồng này sẽ có ý nghĩa như diễn giải sau đây (trừ khi ngữ cảnh diễn đạt rõ một ý nghĩa khác):
i. Chủ đầu tư là tổ chức [quy định tại ĐKCT].
ii. Nhà thầu là Nhà thầu trúng thầu (có thể là Nhà thầu độc lập hoặc liên danh) [quy định tại ĐKCT].
iii. Nhà thầu phụ là nhà thầu ký kết hợp đồng xây dựng với Nhà thầu trúng thầu.
iv. Đại diện Chủ đầu tư là người được Chủ đầu tư nêu ra trong hợp đồng hoặc được chỉ định theo từng thời gian và điều hành công việc thay mặt cho Chủ đầu tư.
v. Đại diện Nhà thầu là người được Nhà thầu nêu ra trong hợp đồng hoặc được Nhà thầu chỉ định bằng văn bản và điều hành công việc thay mặt Nhà thầu.
vi. Nhà tư vấn là tổ chức do Chủ đầu tư ký hợp đồng thuê để thực hiện một hoặc một số công việc chuyên môn liên quan đến việc quản lý thực hiện hợp đồng này.
vii. Đại diện Nhà tư vấn là người được Nhà tư vấn chỉ định làm đại diện để thực hiện các nhiệm vụ do tư vấn giao.
viii. Dự án là Dự án [quy định tại ĐKCT].
ix. Công việc được hiểu là các công việc thiết kế - cung cấp vật tư, thiết bị - thi công xây dựng công trình, sẽ được Nhà thầu thực hiện phù hợp với các yêu cầu của hợp đồng và đáp ứng được yêu cầu của Chủ đầu tư một cách hợp lý, với mục đích cuối cùng là cung cấp cho Chủ đầu tư một công trình hoàn chỉnh, an toàn và vận hành một cách hiệu quả.
x. Tài liệu hợp đồng là toàn bộ hồ sơ hợp đồng, theo quy định tại khoản 2 Điều 1.
xi. Hồ sơ mời thầu (hoặc Hồ sơ yêu cầu) của Chủ đầu tư là toàn bộ tài liệu theo quy định tại Phụ lục về [Hồ sơ mời thầu (hoặc Hồ sơ yêu cầu) của Chủ đầu tư].
xii. Hồ sơ dự thầu (hoặc Hồ sơ đề xuất) của Nhà thầu là đơn dự thầu được Nhà thầu ký và tất cả các văn bản khác mà Nhà thầu trình cho Chủ đầu tư được đưa vào trong hợp đồng theo quy định tại Phụ lục về [Hồ sơ dự thầu (hoặc hồ sơ đề xuất) của Nhà thầu].
xiii. Tiêu chuẩn dự án là các quy định về kỹ thuật, định mức kinh tế - kỹ thuật, trình tự thực hiện các công việc, các chỉ tiêu, các chỉ số kỹ thuật và các chỉ số về điều kiện tự nhiên áp dụng cho dự án/công trình như được mô tả tại Phụ lục về [Tiêu chuẩn dự án].
xiv. Chỉ dẫn kỹ thuật là tập hợp các yêu cầu kỹ thuật dựa trên các quy chuẩn kỹ thuật quốc gia, tiêu chuẩn dự án để hướng dẫn, quy định về vật liệu, sản phẩm, thiết bị sử dụng cho công trình và các công tác thi công, giám sát, nghiệm thu công trình xây dựng như được mô tả tại Phụ lục về [Chỉ dẫn kỹ thuật].
xv. Hồ sơ thiết kế là tất cả các bản vẽ, bảng tính toán, thuyết minh kỹ thuật và các tài liệu khác có liên quan đến Công trình do Nhà thầu thực hiện đã được Chủ đầu tư chấp thuận.
xvi. Thiết kế FEED là thiết kế được triển khai ở giai đoạn sau khi dự án đầu tư xây dựng công trình được phê duyệt để làm cơ sở triển khai thiết kế chi tiết đối với các công trình do tư vấn nước ngoài thực hiện theo thông lệ quốc tế.
xvii. Đơn dự thầu là đề xuất của Nhà thầu đã được Chủ đầu tư chấp thuận trong đó ghi giá dự thầu để thiết kế - cung cấp vật tư, thiết bị và thi công, hoàn thiện công trình, sửa chữa mọi sai sót của công trình theo đúng các thỏa thuận của hợp đồng.
xviii. Bên là Chủ đầu tư hoặc Nhà thầu tùy theo ngữ cảnh (yêu cầu) diễn đạt.
xix. Ngày bắt đầu công việc là ngày được thông báo theo khoản 1 Điều 10, trừ khi được nêu khác trong thỏa thuận hợp đồng.
xx. Thời hạn hoàn thành là thời gian để hoàn thành công trình hoặc hạng mục công trình (tùy từng trường hợp) theo khoản 2 Điều 10 bao gồm cả thời gian được gia hạn theo khoản 4 Điều 10, được tính từ ngày khởi công (hoặc một ngày cụ thể do các bên thỏa thuận).
xxi. Biên bản nghiệm thu là biên bản được phát hành theo Điều 9.
xxii. Ngày trừ khi được quy định khác, “ngày” được hiểu là ngày dương lịch và “tháng” được hiểu là tháng dương lịch.
xxiii. Ngày làm việc là ngày theo dương lịch trừ ngày chủ nhật, ngày nghỉ lễ, tết theo quy định của luật pháp Việt Nam.
xxiv. Thiết bị của Nhà thầu là toàn bộ thiết bị máy móc, phương tiện, xe cộ và các phương tiện, thiết bị khác yêu cầu phải có để Nhà thầu thực hiện, hoàn thành công việc theo hợp đồng và sửa chữa sai sót (nếu có).
xxv. Công trình chính là các công trình [quy định tại ĐKCT] mà Nhà thầu thực hiện theo hợp đồng.
xxvi. Hạng mục công trình là một công trình chính hoặc một phần công trình chính đơn lẻ được nêu trong hợp đồng (nếu có).
xxvii. Công trình tạm là tất cả các công trình phục vụ thi công công trình chính.
xxviii. Công trình là công trình chính và công trình tạm.
xxix. Thiết bị của Chủ đầu tư là máy móc, phương tiện do Chủ đầu tư cấp cho Nhà thầu sử dụng để thực hiện công việc, như đã nêu trong Phụ lục về [Hồ sơ mời thầu (hoặc hồ sơ yêu cầu) của Chủ đầu tư].
xxx. Bất khả kháng được định nghĩa tại Điều 23.
xxxi. Luật là toàn bộ hệ thống luật pháp của Nước Cộng hòa Xã hội Chủ nghĩa Việt Nam.
xxxii. Công trường là địa điểm Chủ đầu tư giao cho Nhà thầu để thi công công trình cũng như bất kỳ địa điểm nào khác được quy định trong hợp đồng.
xxxiii. Thay đổi, điều chỉnh là sự thay đổi, điều chỉnh phạm vi công việc, Chỉ dẫn kỹ thuật, Bản vẽ thiết kế, Giá hợp đồng hoặc Tiến độ thực hiện khi có sự chấp thuận bằng văn bản của Chủ đầu tư.
Điều 2. Hồ sơ hợp đồng và thứ tự ưu tiên
Hồ sơ hợp đồng [quy định tại ĐKCT] bao gồm các căn cứ ký kết hợp đồng; các điều khoản, điều kiện của hợp đồng này, các tài liệu với thứ tự ưu tiên như sau;
a) Thông báo trúng thầu (hoặc văn bản chỉ định thầu hoặc văn bản chấp thuận);
b) Điều kiện cụ thể của hợp đồng, Điều kiện chung, các điều khoản tham chiếu;
c) Dự án đầu tư (hoặc Báo cáo kinh tế kỹ thuật) được phê duyệt;
d) Hồ sơ mời thầu (hoặc hồ sơ yêu cầu) của Chủ đầu tư;
đ) Tiêu chuẩn dự án, chỉ dẫn kỹ thuật và hồ sơ thiết kế (thiết kế FEED hoặc thiết kế cơ sở);
e) Hồ sơ dự thầu (hoặc hồ sơ đề xuất) của Nhà thầu;
g) Biên bản đàm phán hợp đồng, các sửa đổi, bổ sung bằng văn bản;
h) Các phụ lục của hợp đồng;
i) Các tài liệu khác có liên quan.
Nguyên tắc những tài liệu cấu thành nên hợp đồng là bộ phận không tách rời của hợp đồng, quan hệ thống nhất giải thích tương hỗ cho nhau, nhưng nếu có điểm nào không rõ ràng hoặc không nhất quán thì các bên có trách nhiệm trao đổi và thống nhất. Trường hợp thay đổi thứ tự ưu tiên nêu trên, các bên thống nhất [quy định tại ĐKCT] trong hợp đồng.
Điều 3. Các quy định chung
3.1. Luật và ngôn ngữ áp dụng cho hợp đồng
a) Hợp đồng chịu sự điều chỉnh của hệ thống pháp luật của Nước Cộng hòa Xã hội Chủ nghĩa Việt Nam và các văn bản hướng dẫn có liên quan.
b) Ngôn ngữ áp dụng và giao dịch hợp đồng là tiếng Việt (đối với các hợp đồng có sự tham gia của phía nước ngoài thì ngôn ngữ giao dịch là tiếng Việt và tiếng nước ngoài do các bên thỏa thuận. Trường hợp xảy ra tranh chấp thì bản tiếng Việt được coi là bản gốc, việc xử lý tranh chấp phải căn cứ vào bản tiếng Việt).
3.2. Chuyển nhượng hợp đồng
Không bên nào được tự ý chuyển nhượng toàn bộ hoặc một phần hợp đồng hoặc bất cứ phần lợi ích hoặc quyền lợi theo hợp đồng. Tuy nhiên các bên có thể chuyển nhượng một phần hợp đồng nhưng phải phù hợp với các quy định của pháp luật và phải được bên kia chấp thuận trước khi chuyển nhượng. Các bên có thể sử dụng hợp đồng làm bảo đảm đối với một ngân hàng hoặc một tổ chức tài chính.
3.3. Việc bảo mật
Ngoại trừ trường hợp cần thiết để thực hiện theo nghĩa vụ hoặc tuân thủ các quy định của pháp luật, cả hai bên đều phải cân nhắc các nội dung hợp đồng liên quan đến bí mật và quyền sở hữu của mình. Nhà thầu không được tiết lộ bất kỳ chi tiết nào của công trình cho bên thứ 3 khi chưa có sự thỏa thuận trước với Chủ đầu tư.
3.4. Tuân thủ pháp luật
Khi thực hiện hợp đồng phải tuân thủ pháp luật hiện hành của nước Cộng hòa Xã hội Chủ nghĩa Việt Nam, và các nghĩa vụ sau:
a) Chủ đầu tư phải đảm bảo điều kiện khởi công công trình theo quy định của pháp luật;
b) Nhà thầu phải thông báo, nộp tất cả các loại thuế, lệ phí, phí và xin tất cả giấy tờ (giấy phép) theo quy định của pháp luật liên quan đến công việc; Nhà thầu phải bồi thường và gánh chịu thiệt hại phát sinh cho Chủ đầu tư do sai sót vì không tuân thủ pháp luật.
3.5. Trách nhiệm riêng rẽ và trách nhiệm liên đới
Trường hợp Nhà thầu là nhà thầu liên danh thì:
a) Hợp đồng này ràng buộc trách nhiệm riêng rẽ và liên đới của mỗi thành viên trong liên danh.
b) Nhà thầu phải thông báo cho Chủ đầu tư về nhà thầu đứng đầu liên danh, chịu trách nhiệm liên kết các thành viên trong liên danh;
c) Nhà thầu đứng đầu liên danh được chấp thuận có đầy đủ thẩm quyền để ràng buộc tất cả các thành viên tạo thành Nhà thầu trong tất cả các vấn đề liên quan đến hợp đồng.
d) Nhà thầu không được thay đổi cơ cấu hoặc tư cách pháp lý của mình nếu không được sự đồng ý của Chủ đầu tư.
Để tránh hiểu lầm, trách nhiệm riêng rẽ và liên đới của mỗi thành viên liên danh Nhà thầu sẽ không được cố ý để bị ảnh hưởng hoặc chịu ảnh hưởng bởi nội dung của Thỏa thuận liên danh tại Phụ lục.
3.6. Các cách trao đổi thông tin
Bất cứ nội dung nào tại các điều khoản và điều kiện của hợp đồng này quy định việc các bên đưa ra các yêu cầu, đề nghị hoặc ban hành, chấp thuận một vấn đề nào đó, thì các bên phải thông tin cho nhau bằng một trong các cách sau:
a) Bằng văn bản và chuyển trực tiếp (theo giấy biên nhận), được gửi bằng đường bưu điện, bằng fax, hoặc email.
b) Được gửi, chuyển đến địa chỉ để thông tin được với người nhận.
Trường hợp bên nhận thông báo một địa chỉ khác (địa chỉ mới) thì sau đó thông tin phải được chuyển theo địa chỉ mới này. Nếu không, thì bất kỳ thông báo hoặc yêu cầu nào của một bên cho bên kia sẽ được gửi tới các địa chỉ tương ứng của các bên [quy định tại ĐKCT].
Điều 4. Phạm vi công việc
Nhà thầu sẽ thực hiện việc thiết kế - mua sắm vật tư, thiết bị - thi công xây dựng công trình được mô tả trong Phụ lục về [Hồ sơ mời thầu (hoặc Hồ sơ yêu cầu) của Chủ đầu tư] trên cơ sở giá hợp đồng theo Điều 12, như được mô tả chung, nhưng không giới hạn bởi các nội dung dưới đây và sẽ sửa chữa mọi sai sót thuộc trách nhiệm của mình.
Các công việc thiết kế - mua sắm vật tư, thiết bị - thi công xây dựng công trình nói trên được gọi chung là Công việc sẽ được thực hiện phù hợp với các yêu cầu của hợp đồng và đáp ứng được yêu cầu của Chủ đầu tư một cách hợp lý, với mục đích cuối cùng là cung cấp cho Chủ đầu tư một công trình hoàn chỉnh, an toàn và vận hành một cách hiệu quả. Nhà thầu sẽ:
a) Cung cấp các dịch vụ thiết kế kỹ thuật, thiết kế bản vẽ thi công và các dịch vụ khác liên quan tới Công việc;
b) Cung cấp hoặc thu xếp để cung cấp tất cả các lao động, quản lý, thiết bị và vật tư cần thiết để thực hiện Công việc ngoại trừ trường hợp đặc biệt được quy định trong hợp đồng;
c) Mua sắm, xúc tiến, kiểm tra và thu xếp để giao đến công trường tất cả vật tư, thiết bị cho công trình và Công việc, tất cả các công trình tạm và các vật tư cần thiết cho việc thi công xây dựng công trình phù hợp với hồ sơ thiết kế và hợp đồng;
d) Lập biện pháp tổ chức thi công và thi công xây dựng công trình như được mô tả trong Phụ lục về [Hồ sơ mời thầu (hoặc Hồ sơ yêu cầu) của Chủ đầu tư];
đ) Thiết lập các qui trình, các hệ thống quản lý, báo cáo đầy đủ nhằm kiểm soát chất lượng và tiến độ của Công việc một cách chặt chẽ và cung cấp cho Chủ đầu tư đầy đủ các thông tin để có thể đánh giá về chất lượng và tiến độ thực tế của Công việc một cách độc lập;
e) Thi công xây dựng tất cả các công trình tạm và duy trì tất cả các hạng mục đó một cách an toàn và hiệu quả cho việc thực hiện Công việc cho đến khi chúng được đưa ra khỏi công trường hoặc hoàn trả theo yêu cầu của hợp đồng;
g) Tuyển dụng, đào tạo, tổ chức, quản lý và giám sát Nhà thầu phụ và lao động trên công trường phục vụ cho Công việc, đảm bảo rằng họ được chỉ dẫn về phương pháp làm việc thích hợp và an toàn lao động, vệ sinh môi trường;
h) Cung cấp, quản lý và quy định việc đi lại trong khu vực công trường; việc đến và đi từ công trường một cách an toàn và có trật tự đối với nhân lực của Nhà thầu bao gồm: lao động tại hiện trường, nhân viên quản lý và giám sát, nhân viên quản lý công trường, nhân sự của các nhà cung cấp, nhà thầu phụ;
i) Chuẩn bị chạy thử (vận hành) công trình như quy định tại Phụ lục về [Hồ sơ mời thầu (hoặc Hồ sơ yêu cầu) của Chủ đầu tư];
k) Thực hiện chạy thử công trình như quy định tại Phụ lục về [Hồ sơ mời thầu (hoặc Hồ sơ yêu cầu) của Chủ đầu tư];
l) Giám sát và chỉ đạo việc chạy thử công trình;
m) Thu xếp các thủ tục hải quan bao gồm cả việc thu xếp các loại bảo đảm, lưu kho, vận chuyển trong lãnh thổ Việt Nam đối với tất cả vật tư, thiết bị, hàng hóa nhập khẩu nào phục vụ cho thi công xây dựng công trình;
n) Phối hợp với các Nhà thầu phụ, nhà cung cấp, các Bên khác do Nhà thầu thuê có liên quan đến Công việc và với các Nhà cung cấp bản quyền công nghệ (nếu có) nhằm đảm bảo rằng tất cả các vật tư, thiết bị sử dụng vào công trình đúng theo quy định của hợp đồng;
o) Cung cấp tất cả các thiết bị và dịch vụ khác cần thiết để đạt được nghiệm thu bàn giao công trình theo hợp đồng;
p) Luôn luôn thực hiện Công việc một cách an toàn.
q) Đào tạo, hướng dẫn nhân lực của Chủ đầu tư để vận hành và bảo trì công trình trong phạm vi được quy định cụ thể trong các yêu cầu của Chủ đầu tư (nếu có).
r) Thực hiện việc hoàn công theo đúng quy định hiện hành.
s) Bất kỳ hoạt động nào không được nêu rõ tại Điều này nhưng có thể diễn giải từ hợp đồng là cần thiết để hoàn thành Công việc thì Nhà thầu sẽ thực hiện và chi phí cho công việc đó được coi như là đã tính trong giá hợp đồng, trừ khi có quy định khác trong hợp đồng.
Điều 5. Các yêu cầu đối với công tác thiết kế xây dựng công trình
5.1. Các yêu cầu chung
Nhà thầu phải chịu trách nhiệm về thiết kế kỹ thuật, thiết kế bản vẽ thi công của công trình (hoặc thiết kế chi tiết trên cơ sở thiết kế FEED) và về tính chính xác của các công việc này.
Trong quá trình thiết kế kỹ thuật, thiết kế bản vẽ thi công mà Nhà thầu phát hiện bất kỳ sai sót hay khác biệt nào giữa các yêu cầu của Chủ đầu tư thì Nhà thầu sẽ thông báo ngay cho Chủ đầu tư trước khi tiến hành thiết kế kỹ thuật, thiết kế bản vẽ thi công và đề nghị Chủ đầu tư làm rõ nếu cần.
Vào bất kỳ thời điểm nào mà Chủ đầu tư phát hiện sai sót trong hồ sơ thiết kế do Nhà thầu thực hiện, Chủ đầu tư sẽ yêu cầu Nhà thầu tiến hành chỉnh sửa các sai sót cho phù hợp với các yêu cầu của Chủ đầu tư.
Tuy nhiên, Chủ đầu tư sẽ phải chịu trách nhiệm về tính chính xác của các nội dung sau đây mà Chủ đầu tư hoặc đại diện của Chủ đầu tư cung cấp cho Nhà thầu:
a) Các tài liệu, số liệu và các thông tin được ghi trong hợp đồng được xem như là không được thay đổi hoặc do Chủ đầu tư chịu trách nhiệm;
b) Mục đích sử dụng của công trình hoặc phần công trình nào đó do Chủ đầu tư đưa ra;
c) Nhà thầu phải đảm bảo việc thiết kế chi tiết và các tài liệu của Nhà thầu phải theo đúng với:
i. Các quy định của pháp luật của Nước Cộng hòa Xã hội Chủ nghĩa Việt Nam.
ii. Hồ sơ hợp đồng, bao gồm cả những sửa đổi bổ sung cần thiết theo yêu cầu của Chủ đầu tư.
5.2. Quy chuẩn và tiêu chuẩn áp dụng trong thiết kế
Công tác thiết kế kỹ thuật, thiết kế bản vẽ thi công của Nhà thầu phải tuân thủ theo những tiêu chuẩn dự án, chỉ dẫn kỹ thuật (nếu có tiêu chuẩn dự án, chỉ dẫn kỹ thuật) và hệ thống pháp luật của Nước Cộng hòa Xã hội Chủ nghĩa Việt Nam.
5.3. Các yêu cầu đối với Hồ sơ thiết kế (hoặc bản vẽ thiết kế) của Nhà thầu
Hồ sơ thiết kế của Nhà thầu phải bao gồm các bản vẽ, các tài liệu kỹ thuật và các tài liệu cần thiết khác như được quy định trong hồ sơ mời thầu (hoặc hồ sơ yêu cầu) của Chủ đầu tư và phải đáp ứng được yêu cầu của Chủ đầu tư hoặc để Chủ đầu tư trình cấp có thẩm quyền phê duyệt theo quy định của pháp luật. Trừ khi có quy định khác, hồ sơ thiết kế của Nhà thầu phải được viết bằng ngôn ngữ theo quy định tại khoản 1 Điều 3.
Nếu các yêu cầu của Chủ đầu tư hoặc theo quy định của pháp luật đòi hỏi hồ sơ thiết kế của Nhà thầu cần được trình cho Chủ đầu tư để xem xét phê duyệt thì hồ sơ thiết kế này sẽ được trình cùng với thông báo được nêu dưới đây. Trừ khi được quy định khác tại các yêu cầu của Chủ đầu tư thì thời gian xem xét phê duyệt không được vượt quá số ngày [quy định tại ĐKCT] tính từ ngày Chủ đầu tư nhận được hồ sơ thiết kế hợp lệ của Nhà thầu. Trong khoảng thời gian xem xét phê duyệt, Chủ đầu tư có thể sẽ thông báo cho Nhà thầu biết hồ sơ thiết kế của Nhà thầu có những nội dung không phù hợp với hợp đồng. Nếu một tài liệu nào đó trong hồ sơ thiết kế của Nhà thầu không phù hợp với hợp đồng thì Nhà thầu phải sửa đổi, bổ sung và trình lại để Chủ đầu tư xem xét phê duyệt theo khoản này và Nhà thầu sẽ phải chịu mọi chi phí có liên quan.
Tất cả những công việc đòi hỏi thiết kế phải được Chủ đầu tư phê duyệt thì:
a) Việc thi công xây dựng công trình chỉ được bắt đầu sau khi hồ sơ thiết kế của Nhà thầu được Chủ đầu tư phê duyệt;
b) Việc thi công xây dựng công trình phải theo đúng hồ sơ thiết kế được Chủ đầu tư phê duyệt;
c) Trường hợp thay đổi thiết kế, việc thi công xây dựng công trình chỉ được tiến hành sau khi hồ sơ thiết kế thay đổi được Chủ đầu tư phê duyệt.
Bất cứ sự thỏa thuận nào như trên hoặc bất cứ sự xem xét phê duyệt nào khác (theo khoản này hoặc khoản khác) sẽ không miễn giảm trách nhiệm, nghĩa vụ của Nhà thầu đối với công việc.
5.4. Trách nhiệm của Nhà thầu đối với lỗi thiết kế
Nếu Chủ đầu tư phát hiện hồ sơ thiết kế của Nhà thầu có các lỗi, bỏ sót, không nhất quán hoặc không phù hợp với hợp đồng, Nhà thầu phải chịu mọi chi phí cho việc thiết kế bổ sung hoặc sửa đổi các lỗi này cũng như sửa chữa các sai sót đối với các công trình hoặc phần công trình mà Nhà thầu đã thực hiện, kể cả trong trường hợp Chủ đầu tư đã chấp thuận hoặc phê duyệt hồ sơ thiết kế.
Điều 6. Các yêu cầu đối với công tác mua sắm và lắp đặt thiết bị
a) Tất cả các loại vật tư, thiết bị công nghệ trước khi cung cấp tới công trình, phải được kiểm định (trường hợp cần thiết đơn vị kiểm định do Chủ đầu tư chỉ định, chi phí Nhà thầu chịu) đảm bảo đạt chất lượng, chủng loại, xuất xứ theo đúng hợp đồng này.
b) Nhà thầu phải chịu trách nhiệm về tính ổn định, an toàn của tất cả các thiết bị trong suốt thời gian thi công, hoàn thiện công trình trong giai đoạn bảo hành và thực hiện chế độ hậu mãi (Nhà thầu chịu trách nhiệm về kỹ thuật, nhân sự như chuyên gia, kỹ thuật viên sửa chữa để hỗ trợ Chủ đầu tư trong quá trình vận hành, khắc phục sự cố, bảo trì bảo dưỡng) với thời gian [quy định tại ĐKCT] kể từ ngày hết hạn bảo hành.
c) Các máy móc, thiết bị trong dây chuyền công nghệ được lắp đặt phải là thiết bị như đã mô tả trong hợp đồng và theo đúng các yêu cầu tiêu chuẩn kỹ thuật được Chủ đầu tư chấp nhận (theo tiêu chuẩn, đặc điểm kỹ thuật), hợp pháp và phải có giấy chứng nhận xuất xứ hàng hóa (CO) của nước sản xuất và chứng nhận chất lượng của nhà sản xuất (CQ). Nhà thầu phải cung cấp chứng nhận Hệ thống quản lý chất lượng theo tiêu chuẩn của nước sản xuất hoặc tương đương.
d) Các thiết bị chuyển đến công trình phải có chứng thư giám định đối với các thiết bị có thỏa thuận yêu cầu về giám định [quy định tại ĐKCT] của cơ quan giám định về xuất xứ, chủng loại, số lượng đạt yêu cầu theo hợp đồng và hồ sơ mời thầu (hoặc hồ sơ yêu cầu), hồ sơ dự thầu (hoặc hồ sơ đề xuất), các cam kết, văn bản làm rõ hồ sơ dự thầu.
đ) Các thiết bị lắp đặt vào công trình phải có công suất, thông số kỹ thuật đúng theo hồ sơ thiết kế được Chủ đầu tư phê duyệt.
e) Công việc lắp đặt các thiết bị, máy móc cần đảm bảo chính xác để việc vận hành bình thường, kéo dài tuổi thọ của máy móc. Việc lắp đặt thiết bị phải được thực hiện theo thiết kế và các bản vẽ chế tạo đồng thời phải tuân thủ các quy định đã ghi trong tài liệu hướng dẫn lắp đặt và vận hành, lý lịch thiết bị. Nếu yêu cầu kỹ thuật nào trong thiết kế và hướng dẫn lắp đặt vận hành không có thì theo Tiêu chuẩn Việt Nam hiện hành.
g) Các thiết bị lắp đặt không đạt yêu cầu kỹ thuật (không đúng thiết kế, không phù hợp với tài liệu hướng dẫn vận hành của nhà chế tạo, không đáp ứng quy định của tiêu chuẩn quy phạm kỹ thuật áp dụng ...) sẽ bị từ chối nghiệm thu và phải chuyển khỏi công trường trong khoảng thời gian [quy định tại ĐKCT].
h) Nhà thầu phải chuẩn bị hiện trường thuộc phần lắp đặt thiết bị, cán bộ kỹ thuật, công nhân vận hành, công nhân sửa chữa thiết bị, các nguồn năng lượng, vật liệu cần thiết để phục vụ việc nghiệm thu tĩnh, nghiệm thu không tải đơn động thiết bị.
i) Trong thời gian chạy thử không tải liên động và chạy thử có tải, Nhà thầu phải bố trí đủ cán bộ kỹ thuật và công nhân trực để kịp thời xử lý các sự cố và các khiếm khuyết phát sinh.
k) Nhà thầu có trách nhiệm theo dõi, hướng dẫn lắp đặt theo đúng yêu cầu kỹ thuật, đúng thiết kế, đúng thuyết minh kỹ thuật của nhà chế tạo, có trách nhiệm cùng các bên liên quan chạy thử thiết bị đúng công suất thiết kế, giúp Chủ đầu tư đánh giá đúng chất lượng lắp đặt thiết bị.
l) Nhà thầu có trách nhiệm tự kiểm tra hoàn chỉnh việc lắp đặt thiết bị, chuẩn bị đầy đủ hồ sơ nghiệm thu (biên bản, sơ đồ hoàn công, nhật ký công trình...); việc lắp đặt thiết bị thực hiện đúng kỹ thuật và chạy thử đạt yêu cầu thiết kế.
Điều 7. Các yêu cầu đối với công tác thi công xây dựng công trình
a) Nhà thầu phải đảm bảo thực hiện đúng theo các tiêu chuẩn kỹ thuật hiện hành hoặc tiêu chuẩn dự án như được mô tả tại Phụ lục về [Tiêu chuẩn dự án] và tuân thủ các quy định của pháp luật về quản lý chất lượng công trình xây dựng;
b) Đảm bảo công trình vận hành tốt theo yêu cầu của hồ sơ mời thầu (hoặc hồ sơ yêu cầu), hồ sơ dự thầu (hoặc hồ sơ đề xuất), các cam kết của Nhà thầu, văn bản làm rõ hồ sơ dự thầu.
c) Nhà thầu phải có biện pháp tổ chức thi công, tập kết thiết bị, vật tư; sắp xếp thiết bị, vật tư xây lắp tại công trường sao cho không làm ảnh hưởng đến hoạt động xung quanh; biện pháp tổ chức thi công phù hợp với yêu cầu công nghệ, phù hợp với tiến độ cung cấp thiết bị, phù hợp với tiến độ xây dựng và điều kiện thực tế tại công trường.
d) Lập tiến độ thực hiện hợp đồng tổng thể và chi tiết theo tháng trình cho Chủ đầu tư (hoặc Nhà tư vấn) chấp thuận làm căn cứ thực hiện hợp đồng. Có biện pháp đảm bảo an toàn lao động, vệ sinh môi trường, phòng chống cháy nổ, an ninh trật tự trong quá trình thi công xây dựng.
đ) Căn cứ vào tiêu chuẩn thi công và nghiệm thu, hồ sơ thiết kế được Chủ đầu tư phê duyệt, Nhà thầu phải có quy trình và phương án kiểm tra chất lượng công trình, đảm bảo thực hiện đúng theo quy định của pháp luật.
e) Nhà thầu phải thi công, hoàn thiện công trình và sửa chữa bất cứ sai sót nào trong công trình theo đúng hồ sơ thiết kế được Chủ đầu tư phê duyệt và tuân thủ các quy trình, quy phạm xây dựng hiện hành của Nhà nước cũng như phù hợp với điều kiện của công trình và theo sự chỉ dẫn Chủ đầu tư (hoặc Nhà tư vấn).
g) Quá trình thi công lắp đặt và vận hành các trang thiết bị phải tuân thủ nghiêm ngặt yêu cầu của hồ sơ thiết kế đã được Chủ đầu tư phê duyệt và chỉ dẫn của nhà sản xuất.
h) Nếu trong quá trình thực hiện hợp đồng có xảy ra bất kỳ tổn thất hay hư hỏng nào đối với công trình, người lao động, nguyên vật liệu, máy móc thiết bị thì nhà thầu phải tự sửa chữa, bồi thường bằng chính chi phí của mình.
i) Nhà thầu có trách nhiệm tổ chức thi công công trình đạt yêu cầu kỹ thuật và theo đúng thời hạn hoàn thành công trình đã nêu trong hợp đồng.
k) Sau khi thi công xây dựng công trình, Nhà thầu phải có kế hoạch đào tạo, hướng dẫn vận hành cho Chủ đầu tư. Cung cấp tài liệu hướng dẫn vận hành, quy trình vận hành, tài liệu hướng dẫn bảo trì công trình.
l) Sau khi vận hành thử trong thời gian [quy định tại ĐKCT], nếu công trình vận hành tốt đạt yêu cầu, thì Chủ đầu tư sẽ tiến hành nghiệm thu công trình đưa vào khai thác, sử dụng.
m) Sau khi nghiệm thu công trình, Nhà thầu phải tiếp tục giám sát sự vận hành của công trình liên tục trong khoảng thời gian [quy định tại ĐKCT] và có những báo cáo về hiệu quả vận hành của công trình cho Chủ đầu tư.
n) Bảo đảm sự vận hành hiệu quả của toàn bộ công trình, thỏa mãn được các yêu cầu của Chủ đầu tư theo hợp đồng.
Điều 8. Thử nghiệm, hiệu chỉnh và vận hành thử khi hoàn thành
8.1. Nghĩa vụ của Nhà thầu
Nhà thầu phải thông báo cho Chủ đầu tư (hoặc Nhà tư vấn) về ngày mà Nhà thầu đã sẵn sàng tiến hành các thử nghiệm khi hoàn thành. Trừ khi đã có thỏa thuận khác, các lần thử nghiệm khi hoàn thành sẽ được tiến hành trong khoảng thời gian [quy định tại ĐKCT] sau ngày đã thông báo hoặc vào ngày mà Chủ đầu tư (hoặc Nhà tư vấn) yêu cầu.
8.2. Việc thử nghiệm khi hoàn thành bị chậm trễ
Nếu các lần thử nghiệm khi hoàn thành bị chậm do Nhà thầu, Chủ đầu tư (hoặc Nhà tư vấn) có thể yêu cầu Nhà thầu phải tiến hành các cuộc thử nghiệm khi hoàn thành. Sau một khoảng thời gian kể từ khi nhận được thông báo [quy định tại ĐKCT], Nhà thầu phải tiến hành các cuộc thử nghiệm khi hoàn thành trong thời gian đó.
Nếu Nhà thầu không tiến hành các cuộc thử nghiệm khi hoàn thành sau khoảng thời gian [quy định tại ĐKCT] kể từ khi nhận được thông báo của Chủ đầu tư (hoặc Nhà tư vấn) về ngày thử nghiệm khi hoàn thành, thì Chủ đầu tư có thể tiến hành các cuộc thử nghiệm này và Nhà thầu phải chịu rủi ro, chi phí cho các cuộc thử nghiệm đó. Các cuộc thử nghiệm khi hoàn thành khi đó sẽ được coi là đã tiến hành và Nhà thầu phải đồng ý kết quả đó.
8.3. Thử nghiệm lại
Nếu công trình hoặc hạng mục công trình thử nghiệm khi hoàn thành không đạt yêu cầu, Chủ đầu tư (hoặc Nhà tư vấn) có thể yêu cầu Nhà thầu tiến hành lại các cuộc thử nghiệm không đạt và các công việc có liên quan theo những quy trình và điều kiện tương tự trước đó đã thực hiện.
8.4. Không đạt yêu cầu các lần thử nghiệm khi hoàn thành
Nếu công trình hay hạng mục không đạt yêu cầu các lần thử nghiệm khi hoàn thành đã được tiến hành lại theo khoản 3 Điều 8, khi đó Chủ đầu tư có quyền:
a) Yêu cầu Nhà thầu tiếp tục tiến hành thử nghiệm lại theo khoản 3 Điều 8;
b) Nếu công trình hay hạng mục không đạt yêu cầu các lần thử nghiệm khi hoàn thành và làm ảnh hưởng cơ bản đến lợi ích của Chủ đầu tư, khi đó Chủ đầu tư có quyền loại bỏ công trình hoặc hạng mục (tùy theo từng trường hợp), trong trường hợp đó Chủ đầu tư được quyền yêu cầu Nhà thầu bồi thường như điểm (c) khoản 4 Điều 21.
Điều 9. Nghiệm thu của Chủ đầu tư
9.1. Nghiệm thu công trình
Sau khoảng thời gian [quy định tại ĐKCT] kể từ khi nhận được đề nghị nghiệm thu công trình của Nhà thầu, Chủ đầu tư sẽ:
a) Cấp Biên bản nghiệm thu công trình cho Nhà thầu, nêu rõ ngày mà công trình hay hạng mục đã được hoàn thành theo hợp đồng, hoặc
b) Không đồng ý và đưa ra lý do nêu cụ thể những công việc mà Nhà thầu cần phải làm để được cấp Biên bản nghiệm thu công trình. Nhà thầu sẽ phải hoàn thành những công việc này trước khi đưa ra thông báo tiếp theo Khoản này.
Trong khoảng thời gian [quy định tại ĐKCT], Chủ đầu tư phải cấp hoặc đưa ra các lý do không đồng ý cấp Biên bản nghiệm thu công trình cho Nhà thầu. Ngoài khoảng thời gian này, nếu công trình hay hạng mục (tùy theo từng trường hợp) về cơ bản Nhà thầu đã thực hiện đúng với hợp đồng, mà Chủ đầu tư không có ý kiến thì Biên bản nghiệm thu công trình coi như đã được cấp.
9.2. Nghiệm thu bộ phận công trình
Chủ đầu tư sẽ cấp biên bản nghiệm thu cho từng phần của Công trình chính. Chủ đầu tư sẽ không sử dụng bất cứ phần nào của công trình (trừ trường hợp sử dụng tạm thời như đã được nêu cụ thể trong hợp đồng hoặc hai bên cùng đồng ý) trừ khi và cho đến khi được cấp Biên bản nghiệm thu phần công trình đó. Tuy nhiên, nếu Chủ đầu tư sử dụng bất cứ phần nào của công trình trước khi Biên bản nghiệm thu đã được cấp thì:
a) Phần công trình được sử dụng sẽ được coi là đã được tiếp nhận kể từ ngày phần công trình đó được đưa vào sử dụng;
b) Nhà thầu sẽ không chịu trách nhiệm về phần công trình đó kể từ ngày này, khi đó trách nhiệm thuộc về Chủ đầu tư, và
c) Nếu Nhà thầu yêu cầu Chủ đầu tư sẽ phải cấp Biên bản nghiệm thu cho phần công trình này.
Nếu Nhà thầu phải chịu các chi phí do việc tiếp nhận và / hoặc sử dụng của Chủ đầu tư mà không phải là việc sử dụng được nêu cụ thể trong hợp đồng và được hai bên đồng ý, khi đó Nhà thầu sẽ (i) thông báo cho Chủ đầu tư và (ii) theo khoản 4 Điều 24 được quyền thanh toán các chi phí đó cộng với lợi nhuận hợp lý và được tính vào giá hợp đồng. Sau khi nhận được thông báo này, Chủ đầu tư sẽ đồng ý hoặc xác định chi phí này và lợi nhuận theo khoản 4 Điều 13.
9.3. Can thiệp vào các lần chạy thử khi hoàn thành
Sau khoảng thời gian [quy định tại ĐKCT] mà Nhà thầu không tiến hành chạy thử khi hoàn thành được do lỗi của Chủ đầu tư, thì khi đó Chủ đầu tư sẽ coi như đã nghiệm thu công trình hay hạng mục công trình (tùy từng trường hợp) vào ngày mà lẽ ra các cuộc chạy thử khi hoàn thành đã được tiến hành xong.
Theo đó Chủ đầu tư (hoặc Nhà tư vấn) sẽ cấp Biên bản nghiệm thu công trình và Nhà thầu sẽ tiến hành ngay các cuộc chạy thử khi hoàn thành càng sớm càng tốt trước ngày hết hạn của thời hạn thông báo sai sót. Chủ đầu tư (hoặc Nhà tư vấn) sẽ thông báo trước khoảng thời gian [quy định tại ĐKCT] về yêu cầu tiến hành các cuộc chạy thử khi hoàn thành theo những điều khoản của hợp đồng.
Nếu Nhà thầu gặp phải sự chậm trễ hay phải chịu các chi phí do sự chậm trễ tiến hành các cuộc chạy thử khi hoàn thành gây ra, Nhà thầu sẽ thông báo cho Chủ đầu tư hoặc Nhà tư vấn biết và được quyền:
a) Gia hạn thời gian để bù lại cho sự chậm trễ đó, nếu như việc hoàn thành đang hoặc sẽ bị chậm trễ theo khoản 4 Điều 10 và
b) Thanh toán các chi phí cộng thêm lợi nhuận hợp lý, tính vào Giá hợp đồng.
Sau khi nhận được thông báo này, Chủ đầu tư sẽ đồng ý hoặc xác định những vấn đề này theo khoản 4 Điều 13.
9.4. Biên bản nghiệm thu đưa công trình vào khai thác sử dụng
Việc thực hiện các nghĩa vụ của Nhà thầu sẽ không được coi là đã hoàn thành nếu Nhà thầu chưa được Chủ đầu tư cấp Biên bản nghiệm thu đưa công trình vào khai thác sử dụng, nêu rõ ngày mà Nhà thầu đã hoàn thành nghĩa vụ của mình theo đúng hợp đồng.
Chủ đầu tư (hoặc Nhà tư vấn) sẽ cấp Biên bản nghiệm thu đưa công trình vào khai thác sử dụng trong khoảng thời gian [quy định tại ĐKCT] sau ngày hết hạn của Thời hạn thông báo sai sót hoặc ngay sau khi Nhà thầu đã cung cấp tất cả các tài liệu của Nhà thầu và đã hoàn thành và thử nghiệm khi hoàn thành tất cả công trình, hạng mục công trình bao gồm cả việc sửa chữa các sai sót.
9.5. Những nghĩa vụ chưa được hoàn thành
Sau khi đã cấp Biên bản nghiệm thu đưa công trình vào khai thác sử dụng, mỗi bên sẽ phải chịu trách nhiệm hoàn thành nghĩa vụ vẫn chưa được thực hiện (ghi trong biên bản nghiệm thu) tại thời điểm đó.
9.6. Hoàn trả mặt bằng
Khi nhận được Biên bản nghiệm thu đưa công trình vào khai thác sử dụng, Nhà thầu sẽ dọn khỏi công trường tất cả các thiết bị của Nhà thầu, vật liệu còn thừa, rác và các công trình tạm còn lại trên công trường.
Nếu Nhà thầu không dọn khỏi công trường tất cả các thiết bị của Nhà thầu, vật liệu còn thừa, rác và các công trình tạm còn lại trên công trường trong khoảng thời gian [quy định tại ĐKCT] sau khi Chủ đầu tư cấp Biên bản nghiệm thu đưa công trình vào khai thác sử dụng, Chủ đầu tư có thể bán hoặc thải bỏ các vật đó. Chủ đầu tư có quyền được thanh toán các chi phí phát sinh từ việc bán hoặc thải bỏ hay lưu các vật dụng đó trên công trường.
Việc cân đối các khoản tiền thu được từ việc bán các vật dụng trên sẽ được trả cho Nhà thầu. Nếu số tiền này ít hơn các chi phí mà Chủ đầu tư phải trả, Nhà thầu sẽ trả phần chi phí phát sinh dôi ra cho Chủ đầu tư.
9.7. Chạy thử từng phần của công trình
Khoản này sẽ được áp dụng cho tất cả các lần chạy thử được nêu trong hợp đồng, ngoài việc chạy thử sau khi hoàn thành (nếu có).
Nhà thầu phải hỗ trợ, cung cấp các máy móc, tài liệu và các thông tin khác, điện, thiết bị, nhiên liệu, vật dụng, dụng cụ, người lao động, vật liệu và nhân viên có trình độ và kinh nghiệm cần thiết để tiến hành chạy thử cụ thể một cách hiệu quả. Nhà thầu phải thống nhất với Chủ đầu tư (hoặc Nhà tư vấn) về thời gian, địa điểm tiến hành chạy thử cụ thể của thiết bị, vật liệu và các hạng mục công trình khác.
Chủ đầu tư (hoặc Nhà tư vấn) theo Điều 16 có thể thay đổi địa điểm hoặc chi tiết của các lần chạy thử hoặc hướng dẫn Nhà thầu để tiến hành các lần chạy thử bổ sung. Nếu các lần chạy thử bổ sung hoặc thay đổi này cho thấy thiết bị, vật liệu hoặc trình độ của Nhà thầu không phù hợp với hợp đồng thì các chi phí cho việc tiến hành những thay đổi này sẽ do Nhà thầu chịu, kể cả khi những điều khoản khác của hợp đồng có quy định khác.
Chủ đầu tư (hoặc Nhà tư vấn) phải thông báo cho Nhà thầu về ý định của mình là sẽ tham gia vào lần chạy thử trong khoảng thời gian [quy định tại ĐKCT]. Nếu như Chủ đầu tư (hoặc Nhà tư vấn) không tham gia vào lần chạy thử tại địa điểm và thời gian đã thỏa thuận, Nhà thầu có thể tiến hành chạy thử và việc chạy thử coi như đã được tiến hành với sự có mặt của Chủ đầu tư, trừ khi có sự chỉ dẫn khác từ phía Chủ đầu tư (hoặc Nhà tư vấn).
Nếu Nhà thầu phải chịu sự chậm trễ hay chịu các chi phí do tuân thủ các hướng dẫn của Chủ đầu tư hay do sự chậm trễ thuộc trách nhiệm của Chủ đầu tư, Nhà thầu phải thông báo cho Chủ đầu tư (hoặc Nhà tư vấn) biết và được hưởng quyền theo khoản 1 Điều 24 để:
a) Gia hạn thời gian do sự chậm trễ này, nếu như việc hoàn thành bị chậm hoặc sẽ bị chậm theo khoản 4 Điều 10, và
b) Thanh toán mọi chi phí cộng thêm vào Giá hợp đồng.
Sau khi nhận được thông báo, Chủ đầu tư (hoặc Nhà tư vấn) sẽ theo khoản 4 Điều 13 đồng ý hoặc quyết định các vấn đề này.
Nhà thầu phải trình ngay cho Chủ đầu tư các báo cáo có xác nhận về các lần chạy thử. Khi các lần chạy thử đã được tiến hành xong, Chủ đầu tư sẽ phê duyệt biên bản chạy thử của Nhà thầu. Nếu như Chủ đầu tư không tham gia vào các cuộc chạy thử, coi như đã chấp nhận các báo cáo.
9.8. Từ chối
Nếu như kết quả của cuộc kiểm tra, giám sát, đo đạc hay thử nghiệm cho thấy có những lỗi của thiết bị, vật liệu, thiết kế hay tay nghề không phù hợp với hợp đồng, Chủ đầu tư (hoặc Nhà tư vấn) có thể từ chối các thiết bị, vật liệu, thiết kế hoặc nhân lực tay nghề bằng cách thông báo lý do cho Nhà thầu. Nhà thầu phải sửa chữa sai sót ngay lập tức và đảm bảo các hạng mục bị bác bỏ được xử lý phù hợp với hợp đồng.
Nếu Chủ đầu tư (hoặc Nhà tư vấn) yêu cầu thiết bị, vật liệu, thiết kế hay tay nghề cần được thử nghiệm lại, các cuộc thử nghiệm sẽ được tiến hành lại theo đúng những trình tự và điều kiện đã làm trước đó. Nếu như việc từ chối và thử nghiệm lại dẫn đến những chi phí thêm cho Chủ đầu tư thì Nhà thầu sẽ phải chịu trách nhiệm thanh toán các chi phí này cho Chủ đầu tư theo khoản 2 Điều 13.
9.9. Công việc sửa chữa
Mặc dù đã có những cuộc thử nghiệm khi hoàn thành trước đó hay đã cấp chứng chỉ, Chủ đầu tư (hoặc Nhà tư vấn) có thể chỉ dẫn Nhà thầu tiến hành:
a) Đưa đi khỏi công trường hoặc thay thế các thiết bị, vật liệu không phù hợp với hợp đồng,
b) Dỡ bỏ và tiến hành lại công việc nếu không phù hợp với hợp đồng, và
c) Tiến hành công việc cần gấp để đảm bảo an toàn công trình.
Nhà thầu làm theo chỉ dẫn đó trong một thời gian hợp lý, đó là thời gian (nếu có) được xác định trong chỉ dẫn hoặc phải tiến hành ngay, nếu tính cấp bách được xác định theo điểm (c) trên đây.
Nếu Nhà thầu không tuân theo chỉ dẫn, Chủ đầu tư theo khoản 3 Điều 13 sẽ có quyền thuê và trả lương cho người khác tiến hành các công việc. Trừ khi Nhà thầu được hưởng quyền thanh toán cho công việc, Nhà thầu sẽ phải trả theo khoản 2 Điều 13 tiền thanh toán cho Chủ đầu tư cho toàn bộ chi phí do không tuân thủ chỉ dẫn gây ra.
9.10. Quyền sở hữu thiết bị và vật liệu
Mỗi danh mục thiết bị và vật liệu trong phạm vi phù hợp với hợp đồng, sẽ trở thành tài sản của Chủ đầu tư khi Nhà thầu đã được thanh toán cho giá trị của thiết bị và các vật liệu này.
Điều 10. Thời gian và tiến độ thực hiện hợp đồng
10.1. Ngày bắt đầu và hoàn thành toàn bộ công việc
Chủ đầu tư (hoặc Nhà tư vấn) phải thông báo trước cho Nhà thầu về ngày bắt đầu Công việc [quy định tại ĐKCT] trong khoảng thời gian không ít hơn số ngày [quy định tại ĐKCT] sau khi hợp đồng có hiệu lực.
Nhà thầu sẽ bắt đầu tiến hành thiết kế - mua sắm vật tư, thiết bị - thi công xây dựng công trình ngay sau ngày bắt đầu công việc và hoàn thành toàn bộ công việc thời gian [quy định tại ĐKCT] hoặc thời hạn hoàn thành được điều chỉnh theo đúng tiến độ thực hiện hợp đồng được Chủ đầu tư chấp thuận.
10.2. Thời hạn hoàn thành
Nhà thầu phải hoàn thành toàn bộ công việc và từng phần công việc (nếu có) trong khoảng thời hạn hoàn thành công việc bao gồm:
a) Đã qua các lần thử nghiệm khi hoàn thành công trình hoặc hạng mục công trình tùy từng trường hợp, và
b) Hoàn thành tất cả các công việc đã được nêu trong hợp đồng hoặc hạng mục công trình để được xem xét là đã hoàn thành và được nghiệm thu theo khoản 1 Điều 9.
10.3. Tiến độ thực hiện công việc
Nhà thầu sẽ trình cho Chủ đầu tư (hoặc Nhà tư vấn) tiến độ thực hiện công việc chi tiết, trong khoảng thời gian [quy định tại ĐKCT], sau ngày bắt đầu công việc. Nhà thầu cũng sẽ trình tiến độ thực hiện công việc đã được sửa đổi nếu tiến độ trước đó không phù hợp với tiến độ thực tế hoặc không phù hợp với nghĩa vụ của Nhà thầu. Trừ khi được nêu khác trong hợp đồng, mỗi bản tiến độ sẽ bao gồm:
a) Trình tự thực hiện công việc của Nhà thầu và thời gian dự tính cho mỗi giai đoạn chính;
b) Quá trình và thời gian thử nghiệm khi hoàn thành được nêu cụ thể trong hợp đồng, và
c) Báo cáo bổ trợ trong đó bao gồm:
- Mô tả chung về các phương pháp mà Nhà thầu định áp dụng và các giai đoạn chính trong việc thiết kế - mua sắm vật tư, thiết bị - thi công xây dựng công trình, và
- Các chi tiết cho thấy sự ước tính hợp lý của Nhà thầu về số lượng mỗi loại nhân lực và mỗi loại thiết bị của Nhà thầu cần thiết để thực hiện công việc cho mỗi giai đoạn chính.
Nhà thầu sẽ thực hiện theo tiến độ này và nghĩa vụ của mình theo hợp đồng đã quy định, trừ khi Chủ đầu tư (hoặc Nhà tư vấn), trong khoảng thời gian [quy định tại ĐKCT], sau khi nhận được bản tiến độ thông báo cho Nhà thầu biết phạm vi mà bản tiến độ này không phù hợp với hợp đồng. Người của Chủ đầu tư sẽ được phép dựa vào bản tiến độ này để vạch ra kế hoạch cho các hoạt động của họ.
Nhà thầu phải thông báo ngay lập tức cho Chủ đầu tư (hoặc Nhà tư vấn) về các sự kiện hoặc tình huống cụ thể có thể xảy ra trong tương lai có tác động xấu hoặc làm chậm việc thực hiện công việc hay làm tăng giá hợp đồng. Trong trường hợp đó, Chủ đầu tư (hoặc Nhà tư vấn) có thể yêu cầu Nhà thầu báo cáo về những ảnh hưởng của các sự kiện hoặc tình huống trong tương lai và/hoặc đề xuất theo khoản 3 Điều 16.
Bất cứ thời điểm nào Chủ đầu tư (hoặc Nhà tư vấn) thông báo cho Nhà thầu là tiến độ thực hiện đã không tuân thủ (trong phạm vi đã định) đúng hợp đồng hoặc phù hợp với tiến độ thực tế và với các kế hoạch mà Nhà thầu đệ trình, Nhà thầu phải nộp cho Chủ đầu tư một bản tiến độ sửa đổi phù hợp với khoản này.
10.4. Gia hạn Thời gian hoàn thành
Nhà thầu sẽ được phép theo khoản 1 Điều 24 gia hạn thời gian hoàn thành nếu và ở phạm vi mà việc hoàn thành cho mục đích của khoản 1 Điều 9 đang hoặc sẽ bị chậm trễ do một trong những lý do sau đây:
a) Có sự thay đổi (trừ khi việc điều chỉnh thời gian hoàn thành đã được thống nhất theo khoản 3 Điều 16 hoặc một sự thay đổi quan trọng của một phần công việc có trong hợp đồng;
b) Nguyên nhân của sự chậm trễ dẫn đến việc được kéo dài thêm về mặt thời gian theo một khoản của những điều kiện này;
c) Sự chậm trễ, trở ngại trên công trường do Chủ đầu tư, nhân lực của Chủ đầu tư hay các Nhà thầu khác của Chủ đầu tư gây ra.
d) Việc thiếu nhân lực hay hàng hóa không thể lường trước được do các hoạt động của Chính phủ;
đ) Trong trường hợp bất khả kháng theo quy định tại Điều 23.
Nếu Nhà thầu cho rằng mình được phép gia hạn thời gian hoàn thành, Nhà thầu phải thông báo cho Chủ đầu tư (hoặc Nhà tư vấn) theo khoản 1 Điều 24. Khi xác định việc kéo dài thời gian theo khoản này, Chủ đầu tư (hoặc nhà tư vấn) phải xem xét lại những quyết định trước đó và có thể tăng, chứ không được giảm tổng thời gian kéo dài.
10.5. Chậm trễ do Nhà chức trách
Nếu 02 điều kiện sau đây cùng được áp dụng, cụ thể như:
a) Nhà thầu đã thực hiện đúng các thủ tục do Nhà nước quy định, nhưng Nhà chức trách thực hiện không đúng với thời hạn quy định hoặc không thực hiện công việc do Nhà thầu đã đề nghị, và
b) Một Nhà thầu có kinh nghiệm không thể lường trước được việc thực hiện chậm hoặc không thực hiện công việc đó khi nộp Hồ sơ dự thầu.
Khi đó việc chậm trễ hoặc không thực hiện công việc này sẽ được coi là nguyên nhân gây chậm trễ theo khoản 4 Điều 10.
10.6. Tiến độ thực hiện thực tế
Bất cứ thời điểm nào:
a) Tiến độ thực hiện thực tế quá chậm để hoàn thành công việc trong khoảng thời gian hoàn thành, và / hoặc
b) Tiến độ thực tế đã bị hoặc sẽ bị chậm hơn so với tiến độ thực hiện theo kế hoạch (dự kiến) của công việc đó theo khoản 3 Điều 10 mà không phải do những nguyên nhân đã nêu trong khoản 4 Điều 10, khi đó Chủ đầu tư (hoặc Nhà tư vấn) có thể hướng dẫn cho Nhà thầu, theo khoản 3 Điều 10, trình một bản tiến độ được sửa đổi và báo cáo mô tả các biện pháp được sửa đổi mà Nhà thầu đề xuất áp dụng để thực hiện tiến độ và hoàn thành trong thời gian hoàn thành.
Trừ khi Chủ đầu tư (hoặc Nhà tư vấn) có thông báo khác, Nhà thầu sẽ áp dụng những phương pháp đã được sửa đổi này, kể cả khi tăng số giờ làm việc và số lượng nhân lực của Nhà thầu và/hoặc hàng hóa mà Nhà thầu phải chịu rủi ro và mọi chi phí. Nếu những phương pháp được sửa đổi này dẫn đến những chi phí tăng thêm cho Chủ đầu tư, theo khoản 2 Điều 13, Nhà thầu sẽ phải thanh toán những chi phí này cho Chủ đầu tư, ngoài những thiệt hại do việc chậm trễ gây ra (nếu có) theo khoản 7 Điều 10 dưới đây.
10.7. Những thiệt hại do chậm trễ
Nếu Nhà thầu không tuân thủ khoản 2 Điều 10, thì Nhà thầu theo khoản 2 Điều 13 sẽ phải chi trả cho Chủ đầu tư đối với những thiệt hại do lỗi này. Những thiệt hại này sẽ là số tiền được nêu trong Phụ lục về [Tiến độ thực hiện công việc] sẽ được trả trong khoảng thời gian giữa thời gian hoàn thành theo hợp đồng và ngày đã nêu trong Biên bản nghiệm thu công việc. Tuy nhiên, tổng số tiền theo khoản này sẽ không vượt quá tổng số tiền tối đa do thiệt hại vì chậm trễ gây ra (nêu có) được nêu tại Phụ lục.
Những thiệt hại này sẽ chỉ là những thiệt hại do Nhà thầu đền bù vì lỗi đã gây ra, chứ không phải là việc chấm dứt theo khoản 7 Điều 18 trước khi hoàn thành Công việc. Việc bồi thường thiệt hại này không làm giảm nhẹ đi cho Nhà thầu nghĩa vụ hoàn thành công việc hoặc bất cứ trách nhiệm, nhiệm vụ nào theo hợp đồng.
Điều 11. Bảo đảm thực hiện hợp đồng và bảo lãnh tiền tạm ứng
11.1. Bảo đảm thực hiện hợp đồng
Nhà thầu phải nộp cho Chủ đầu tư bảo đảm thực hiện hợp đồng tương ứng với giá trị và loại tiền tệ [quy định tại ĐKCT] của hợp đồng.
Nhà thầu phải gửi bảo đảm thực hiện hợp đồng cho Chủ đầu tư, trong khoảng thời gian [quy định tại ĐKCT] sau khi cả hai bên đã ký hợp đồng. Bảo đảm thực hiện hợp đồng phải do một ngân hàng hoặc một tổ chức tài chính đủ điều kiện theo quy định của pháp luật cấp theo mẫu tại Phụ lục hoặc theo mẫu khác được Chủ đầu tư chấp thuận.
Nhà thầu phải đảm bảo rằng bảo đảm thực hiện có hiệu lực cho tới khi Nhà thầu đã thi công và hoàn thành công trình và sửa chữa xong các sai sót. Nếu các điều khoản của Bảo đảm thực hiện nêu rõ ngày hết hạn và Nhà thầu chưa được nhận Chứng nhận thực hiện vào thời điểm [quy định tại ĐKCT] trước ngày hết hạn, Nhà thầu sẽ phải gia hạn hiệu lực của Bảo đảm thực hiện cho tới khi công việc đã được hoàn thành và mọi sai sót đã được sửa chữa xong.
Chủ đầu tư không được thu bảo đảm thực hiện hợp đồng, ngoại trừ số tiền mà Chủ đầu tư được quyền hưởng theo hợp đồng trong trường hợp:
a) Nhà thầu không gia hạn được hiệu lực của bảo đảm thực hiện hợp đồng, trong trường hợp đó Chủ đầu tư có thể thu toàn bộ số tiền của bảo đảm thực hiện hợp đồng.
b) Nhà thầu không thanh toán cho Chủ đầu tư khoản nợ như Nhà thầu thỏa thuận hoặc được xác định phải trả tại khoản 2 Điều 13 hoặc Điều 24, trong khoảng thời gian [quy định tại ĐKCT], sau khi thỏa thuận hoặc quyết định phải trả.
c) Nhà thầu không sửa chữa những sai sót, trong khoảng thời gian [quy định tại ĐKCT], sau khi nhận được thông báo của Chủ đầu tư yêu cầu sửa chữa sai sót, hoặc
d) Trường hợp cho phép Chủ đầu tư được chấm dứt hợp đồng theo khoản 7 Điều 18, bất kể có thông báo chấm dứt hay chưa.
Chủ đầu tư phải bồi thường và gánh chịu những thiệt hại cho Nhà thầu về những hư hỏng, tổn thất và chi phí (bao gồm chi phí và lệ phí tư pháp) do việc khiếu nại về bảo đảm thực hiện hợp đồng gây nên thuộc phạm vi mà Chủ đầu tư không được phép khiếu nại.
Chủ đầu tư phải trả lại bảo đảm thực hiện hợp đồng cho Nhà thầu, trong khoảng thời gian [quy định tại ĐKCT], sau khi cấp biên bản nghiệm thu hoàn thành đưa công trình vào khai thác sử dụng và sau khi Chủ đầu tư đã nhận được bảo đảm bảo hành công trình theo đúng quy định của hợp đồng.
11.2. Bảo lãnh tiền tạm ứng
Nhà thầu phải nộp cho Chủ đầu tư bảo lãnh tiền tạm ứng, trong khoảng thời gian [quy định tại ĐKCT], sau khi hợp đồng có hiệu lực với tương ứng với giá trị và loại tiền tạm ứng. Bảo lãnh tạm ứng phải có hiệu lực cho đến khi việc thu hồi tiền tạm ứng kết thúc và sẽ được giảm trừ tương ứng với giá trị tiền tạm ứng được thu hồi.
Điều 12. Giá hợp đồng, tạm ứng và thanh toán
12.1. Giá hợp đồng
a) Trừ khi các bên có quy định khác [quy định tại ĐKCT], hợp đồng này là hợp đồng trọn gói và chỉ được điều chỉnh theo các quy định trong hợp đồng.
b) Sau khi đánh giá toàn bộ công việc mà Nhà thầu đã thực hiện và đã hoàn thành tất cả các nghĩa vụ theo quy định của hợp đồng, Chủ đầu tư sẽ thanh toán cho Nhà thầu giá hợp đồng
c) Trừ khi có các quy định khác rõ ràng trong hợp đồng, giá hợp đồng bao gồm tất cả các chi phí để thực hiện công việc: toàn bộ chi phí, phí, lợi nhuận và tất cả các loại thuế liên quan đến công việc theo đúng quy định của pháp luật;
d) Giá hợp đồng bao gồm tất cả chi phí liên quan đến bản quyền,...
đ) Trừ khi có quy định khác rõ ràng trong hợp đồng, Nhà thầu phải tự chịu mọi rủi ro liên quan đến chi phí thực hiện công việc và Nhà thầu được xem như đã có được tất cả các thông tin cần thiết và đã tính đến tất cả các tình huống có thể ảnh hưởng tới chi phí khi xác định giá hợp đồng.
12.2. Tạm ứng hợp đồng
Tạm ứng hợp đồng [quy định tại ĐKCT], theo đó:
a) Sau khi nhận được bảo đảm thực hiện hợp đồng và bảo lãnh tiền tạm ứng, Chủ đầu tư sẽ ứng trước cho Nhà thầu (tổng giá trị tạm ứng hợp đồng không được vượt quá 30% giá trị hợp đồng).
b) Tiền tạm ứng sẽ được thu hồi bằng cách giảm trừ trong các lần thanh toán. Tỷ lệ giảm trừ sẽ dựa trên tỷ lệ thu hồi được quy định trong Phụ lục về [Giá hợp đồng, tạm ứng và thanh toán]. Tiền tạm ứng hợp đồng sẽ được thu hồi hết khi giá trị thanh toán/ giải ngân đạt 80% giá hợp đồng như được quy định chi tiết tại Phụ lục về [Giá hợp đồng, tạm ứng và thanh toán].
c) Trường hợp sản xuất các cấu kiện, bán thành phẩm có giá trị lớn, vật liệu xây dựng phải dự trữ theo mùa được tạm ứng để thực hiện theo quy định tại khoản 7 Điều 18 Nghị định số 37/2015/NĐ-CP , hồ sơ tạm ứng phải liệt kê danh mục, đơn giá và tổng giá trị từng loại vật liệu, cấu kiện, bán thành phẩm. Khi thanh toán phải giảm trừ giá trị khối lượng hoàn thành được nghiệm thu tương ứng với phần giá trị đã được tạm ứng theo nội dung hợp đồng.
12.3. Thanh toán
a) Đồng tiền và hình thức thanh toán
i. Đồng tiền sử dụng để thanh toán hợp đồng xây dựng là đồng tiền Việt Nam và đồng tiền [quy định tại ĐKCT].
ii. Hình thức thanh toán bằng chuyển khoản hoặc bằng hình thức [quy định tại ĐKCT], riêng đối với phần thiết bị thực hiện theo hình thức mở L/C không hủy ngang.
b) Tiến độ thanh toán
Việc thanh toán thực hiện giai đoạn và được chia làm các lần [quy định tại ĐKCT], chi tiết như quy định của tiến độ thanh toán được nêu cụ thể tại Phụ lục về [Giá hợp đồng, tạm ứng và thanh toán hợp đồng]
Chủ đầu tư sẽ thanh toán cho Nhà thầu toàn bộ giá hợp đồng đã ký sau khi Nhà thầu hoàn thành toàn bộ công việc của hợp đồng đã được nghiệm thu, các bên đã hoàn thành việc quyết toán hợp đồng theo Điều 25 và sau khi Chủ đầu tư nhận được bảo đảm bảo hành công trình của Nhà thầu.
Các đợt thanh toán thực hiện theo tiến độ thanh toán này. Trường hợp, tiến độ thực hiện công việc thực tế chậm hơn tiến độ thanh toán của hợp đồng, Chủ đầu tư có thể đồng ý xác định mức thanh toán theo tiến độ thanh toán của hợp đồng hoặc thanh toán theo tiến độ thực hiện thực tế khi Nhà thầu hoàn thành công việc.
c) Tạm thanh toán
Việc tạm thanh toán theo quy định tại khoản 4 Điều 19 Nghị định số 37/2015/NĐ-CP căn cứ vào điều kiện cụ thể của từng lần tạm thanh toán để quyết định giá trị tạm thanh toán và biện pháp bảo đảm đối với các khoản tạm thanh toán.
Đối với các sản phẩm, công việc, công tác đang trong quá trình thi công, chưa hoàn thành theo đúng yêu cầu của hợp đồng thì căn cứ mức độ hoàn thành đối với từng trường hợp cụ thể và chi tiết đơn giá sản phẩm, công việc, công tác đó trong hợp đồng để thực hiện tạm thanh toán.
c) Hồ sơ thanh toán
Nhà thầu sẽ nộp các bộ hồ sơ thanh toán [quy định tại ĐKCT] lên Chủ đầu tư sau khi đến thời hạn thanh toán nêu trong hợp đồng. Hồ sơ thanh toán bao gồm các tài liệu chủ yếu sau (và các tài liệu khác) [quy định tại ĐKCT]:
- Biên bản nghiệm thu khối lượng hoàn thành trong giai đoạn thanh toán có xác nhận của đại diện Chủ đầu tư hoặc đại diện Nhà tư vấn (nếu có) và đại diện Nhà thầu; Biên bản nghiệm thu khối lượng này là bản xác nhận hoàn thành công trình, hạng mục công trình, khối lượng công việc phù hợp với phạm vi công việc phải thực hiện theo hợp đồng (không cần xác nhận khối lượng hoàn thành chi tiết);
- Bảng xác định giá trị khối lượng phát sinh (nếu có) nằm ngoài phạm vi công việc phải thực hiện theo hợp đồng đã ký kết có xác nhận của đại diện Chủ đầu tư hoặc đại diện nhà tư vấn (nếu có) và đại diện Nhà thầu như Phụ lục số 3;
- Đề nghị thanh toán của Nhà thầu như Phụ lục số 1 gồm các nội dung: giá trị khối lượng hoàn thành theo hợp đồng như Phụ lục số 2, giá trị khối lượng các công việc phát sinh (nếu có), giảm trừ tiền tạm ứng, giá trị đề nghị thanh toán trong giai đoạn sau khi đã bù trừ các khoản này có xác nhận của đại diện Chủ đầu tư và đại diện Nhà thầu.
d) Thời hạn thanh toán
Trừ trường hợp có quy định khác với khoản 2 Điều 13, sau khi nhận đủ hồ sơ thanh toán hợp lệ theo quy định của hợp đồng Chủ đầu tư sẽ thanh toán cho Nhà thầu trong khoảng thời gian [quy định tại ĐKCT].
đ) Thanh toán bị chậm trễ
Nếu Nhà thầu không nhận được tiền thanh toán theo khoản 3 Điều 12, Chủ đầu tư sẽ phải bồi thường thiệt hại về tài chính cho Nhà thầu trên cơ sở số tiền đã không được thanh toán trong thời gian chậm trễ theo lãi suất quá hạn áp dụng cho ngày đầu tiên chậm thanh toán do ngân hàng thương mại nơi Nhà thầu mở tài khoản thanh toán công bố cho đến khi Chủ đầu tư đã thanh toán đầy đủ cho Nhà thầu.
e) Thanh toán tiền bị giữ lại
Chủ đầu tư sẽ thanh toán toàn bộ các khoản tiền bị giữ lại cho Nhà thầu khi các bên đã đủ căn cứ để xác định giá trị của các lần thanh toán và khi Nhà thầu hoàn thành nghĩa vụ bảo hành công trình theo quy định tại khoản 2 Điều 20.
Điều 13. Quyền và nghĩa vụ chung của Chủ đầu tư
13.1. Nhân lực của Chủ đầu tư
a) Chủ đầu tư phải chịu trách nhiệm đảm bảo người của Chủ đầu tư và các Nhà thầu khác của Chủ đầu tư trên công trường:
i. Hợp tác với Nhà thầu theo khoản 3 Điều 15.
ii. Hành động tương tự như những nội dung yêu cầu Nhà thầu thực hiện theo điểm a, b và c của khoản 5 Điều 15 và theo khoản 13 Điều 15.
b) Đại diện của Chủ đầu tư
Chủ đầu tư có thể chỉ định người đại diện để thực hiện hợp đồng. Trong trường hợp này, Chủ đầu tư phải cung cấp cho Nhà thầu thông báo về tên, địa chỉ, nhiệm vụ và quyền hạn của người đại diện.
Đại diện của Chủ đầu tư sẽ phải thực thi các nhiệm vụ đã được phân công cho mình và sẽ thực hiện các quyền lực được ủy quyền bởi Chủ đầu tư. Trừ khi và cho đến khi Chủ đầu tư thông báo khác cho Nhà thầu, Đại diện của Chủ đầu tư được coi là có toàn quyền của Chủ đầu tư theo hợp đồng, ngoại trừ chi tiết cụ thể trong khoản 7 Điều 18.
Nếu Chủ đầu tư muốn thay thế bất cứ người nào được chỉ định làm đại diện cho mình thì trong khoảng thời gian [quy định tại ĐKCT], Chủ đầu tư phải cung cấp cho Nhà thầu một thông báo về tên, địa chỉ, nhiệm vụ và quyền hạn cùng ngày chỉ định người thay thế.
c) Nhân viên khác của Chủ đầu tư
Chủ đầu tư có thể chỉ định nhân viên đại diện để thực hiện một số công việc cụ thể của hợp đồng. Trong trường hợp này, Chủ đầu tư phải cung cấp cho Nhà thầu thông báo bằng văn bản cho Nhà thầu về tên, các thông tin để liên lạc, nhiệm vụ và quyền hạn của nhân viên này.
Những nhân viên này phải là những người có trình độ thích hợp, có đủ trình độ thực hiện những nhiệm vụ và những quyền hạn được giao và thông thạo ngôn ngữ giao tiếp được quy định tại khoản 1 Điều 3.
d) Người được ủy quyền
Tất cả những người bao gồm đại diện Chủ đầu tư và những người được phân công nhiệm vụ hoặc ủy quyền của Chủ đầu tư, sẽ chỉ có quyền đưa ra các chỉ dẫn cho Nhà thầu trong trường hợp được nêu rõ trong việc ủy quyền. Bất kỳ sự chấp thuận, xem xét, xác nhận, đồng ý, kiểm tra, giám sát, chỉ dẫn, thông báo, đề xuất, yêu cầu, kiểm định hoặc các hành động tương tự của người được ủy quyền, để phù hợp với việc ủy quyền, sẽ có cùng hiệu lực như do chính Chủ đầu tư thực hiện. Tuy nhiên:
i. Nó sẽ không làm giảm bớt bất kỳ trách nhiệm nào theo hợp đồng của Nhà thầu, bao gồm trách nhiệm về lỗi, sự bỏ sót, sự không nhất quán và không đúng yêu cầu, trừ khi có quy định khác trong thông báo có liên quan đến người được ủy quyền về các hành động này,
ii. Bất kỳ một sự thất bại nào trong việc không chấp thuận một công việc, thiết bị hoặc vật liệu nào đó, sẽ không đồng nghĩa với việc phê duyệt và, do vậy, sẽ không phương hại đến quyền của Chủ đầu tư trong việc bác bỏ công việc, thiết bị, hoặc vật liệu đó;
iii. Nếu Nhà thầu có điều gì hoài nghi đối với một quyết định hoặc chỉ dẫn nào của người được ủy quyền thì Nhà thầu có thể nêu vấn đề đó với Chủ đầu tư, để nhanh chóng khẳng định, sửa đổi hoặc thay thế quyết định hoặc chỉ dẫn đó.
13.2. Khiếu nại của Chủ đầu tư
Nếu Chủ đầu tư nhận thấy mình có quyền với bất kỳ khoản thanh toán nào theo bất cứ điều nào của những Điều kiện này hoặc các quy định khác liên quan đến hợp đồng, và/ hoặc đối với việc kéo dài thời gian thông báo sai sót, Chủ đầu tư phải thông báo và cung cấp chi tiết cụ thể cho Nhà thầu.
Chủ đầu tư phải thông báo càng sớm càng tốt sau khi nhận thấy vấn đề hoặc tình huống dẫn tới khiếu nại. Thông báo về việc kéo dài Thời hạn thông báo sai sót phải được thực hiện trước khi hết hạn thời gian thông báo.
Các thông tin chi tiết phải xác định cụ thể về điều khoản hoặc cơ sở khiếu nại khác, và phải bao gồm chứng minh về số tiền và/hoặc sự kéo dài mà Chủ đầu tư nhận thấy mình có quyền được hưởng liên quan đến hợp đồng. Chủ đầu tư sau đó phải tiến hành theo khoản 4 Điều 13 để nhất trí hoặc quyết định (i) số tiền (nếu có) mà Chủ đầu tư có quyền yêu cầu Nhà thầu thanh toán và/hoặc (ii) kéo dài (nếu có) thời hạn thông báo sai sót theo khoản 2 Điều 21.
Chủ đầu tư có thể khấu trừ số tiền này từ bất kỳ khoản nợ hay sẽ nợ nào của Nhà thầu. Chủ đầu tư chỉ được quyền trừ hoặc giảm số tiền từ tổng số được xác nhận khoản nợ của Nhà thầu hoặc theo một khiếu nại nào khác đối với Nhà thầu theo khoản này.
13.3. Các chỉ dẫn của Chủ đầu tư
Chủ đầu tư có thể đưa ra cho Nhà thầu những chỉ dẫn cần thiết để Nhà thầu thực hiện nghĩa vụ của mình theo hợp đồng. Mỗi một chỉ dẫn phải được viết thành văn bản và phải nêu rõ nghĩa vụ liên quan và các khoản (hoặc điều khoản khác của hợp đồng) mà trong đó các nghĩa vụ được ghi rõ. Nếu việc chỉ dẫn dẫn đến một thay đổi thì áp dụng Điều 16.
Nhà thầu phải tiếp nhận các chỉ dẫn của Chủ đầu tư, đại diện Chủ đầu tư hoặc những người có quyền hạn phù hợp được ủy quyền theo Điều này.
13.4. Quyết định
Bất kể khi nào điều kiện này quy định rằng Chủ đầu tư phải đồng ý hoặc quyết định vấn đề, Chủ đầu tư phải trao đổi với Nhà thầu để cố gắng đi đến thỏa thuận. Nếu không đạt được thỏa thuận, Chủ đầu tư phải đưa ra một quyết định khách quan phù hợp hợp đồng trên cơ sở xem xét kỹ tất cả các bối cảnh liên quan.
Chủ đầu tư phải thông báo cho Nhà thầu về từng thỏa thuận hoặc quyết định cùng với các thông tin cụ thể để chứng minh. Mỗi bên phải cố gắng tôn trọng hiệu lực của mỗi thỏa thuận hoặc quyết định, trừ khi Nhà thầu đưa ra một thông báo cho Chủ đầu tư về sự không thỏa mãn của mình với quyết định trong khoảng thời gian [quy định tại ĐKCT] kể từ khi nhận được thông báo. Sau đó, bên kia có thể chuyển sự bất đồng cho Ban xử lý tranh chấp (nếu có) theo khoản 4 Điều 24.
13.5. Nghĩa vụ cho Nhà thầu quyền tiếp cận công trường
Chủ đầu tư phải cho Nhà thầu quyền tiếp cận và sử dụng toàn bộ các phần của công trường trong suốt thời gian thực hiện hợp đồng. Nếu không quy định thời gian trong Phụ lục về [Hồ sơ dự thầu (hoặc hồ sơ yêu cầu) của Chủ đầu tư], Chủ đầu tư phải cho phép Nhà thầu quyền tiếp cận và quyền sử dụng công trường để triển khai thi công xây dựng công trình đúng theo tiến độ thực hiện công việc đã trình cho Chủ đầu tư theo khoản 3 Điều 10.
Trường hợp Nhà thầu không nhận được quyền tiếp cận và sử dụng công trường do sự chậm trễ của Chủ đầu tư và phải gánh chịu chi phí phát sinh trong thời gian này, thì Nhà thầu phải thông báo cho Chủ đầu tư và được quyền theo khoản 1 Điều 24 yêu cầu:
a) Kéo dài thời gian thời gian thi công do sự chậm trễ này, nếu việc hoàn thành bị chậm hoặc sẽ bị chậm, theo khoản 4 Điều 10.
b) Được thanh toán chi phí phát sinh và cộng thêm vào trong Giá hợp đồng.
Sau khi nhận được thông báo này Chủ đầu tư (hoặc Nhà tư vấn) phải thực hiện theo khoản 4 Điều 13 để chấp thuận hoặc quyết định vấn đề này.
Tuy nhiên, nếu và trong phạm vi việc Chủ đầu tư không cho phép những quyền này cho Nhà thầu là do sai sót hoặc sự chậm trễ của Nhà thầu, bao gồm một sai sót, hoặc chậm trễ trong việc nộp bất cứ tài liệu nào của Nhà thầu, thì Nhà thầu sẽ không được quyền hưởng việc gia hạn thời gian, chi phí này.
13.6. Hỗ trợ Nhà thầu trong việc xin phép cơ quan có thẩm quyền
Chủ đầu tư phải (trong trường hợp có thể) hỗ trợ hợp lý cho Nhà thầu theo đề nghị của Nhà thầu trong việc xin giấy phép hoặc văn bản chấp thuận để thực hiện công việc theo quy định của pháp luật.
13.7. Các quyền và nghĩa vụ khác theo quy định của pháp luật
Điều 14. Nhiệm vụ, quyền hạn của Nhà tư vấn
14.1. Nhiệm vụ và quyền hạn của Nhà tư vấn
Nhà tư vấn là người sẽ thực hiện các nhiệm vụ do Chủ đầu tư giao theo hợp đồng tư vấn. Nhà tư vấn có thể bao gồm những cá nhân có trình độ chuyên môn phù hợp và có đủ năng lực để thực hiện những công việc này.
Nhà tư vấn không có quyền sửa đổi hợp đồng. Nhà tư vấn có thể thực hiện quyền hạn được gắn với chức danh Nhà tư vấn như đã được xác định hoặc do thấy cần thiết trong hợp đồng. Nếu Nhà tư vấn được yêu cầu phải có sự chấp thuận của Chủ đầu tư trước khi thực thi một quyền hạn được xác định cụ thể thì những yêu cầu này phải được quy định rõ trong hợp đồng. Chủ đầu tư cam kết không áp đặt thêm những hạn chế về quyền hạn của Nhà tư vấn, trừ những gì đã thỏa thuận với Nhà thầu.
Trừ khi được nêu khác đi trong điều kiện này, thì:
a) Mỗi khi thực thi nhiệm vụ hoặc thực hiện một quyền hạn đã được xác định cụ thể hoặc bao hàm trong hợp đồng, Nhà tư vấn được xem là làm việc cho Chủ đầu tư.
b) Nhà tư vấn không có quyền giảm bớt bất kỳ nhiệm vụ, nghĩa vụ hoặc trách nhiệm nào theo hợp đồng, cho một bên nào, và
c) Bất kỳ sự chấp thuận, kiểm tra, xác nhận, đồng ý, xem xét, thẩm tra, chỉ dẫn, thông báo, đề xuất, yêu cầu, thử nghiệm hoặc hành động tương tự nào của Nhà tư vấn (bao gồm cả trường hợp không có sự phản đối) cũng không hề miễn cho Nhà thầu khỏi bất kỳ trách nhiệm nào theo hợp đồng, bao gồm cả trách nhiệm đối với các sai sót, bỏ sót, không nhất quán và không tuân thủ đúng.
14.2. Ủy quyền của Nhà tư vấn
Nhà tư vấn có thể phân công nhiệm vụ và ủy quyền cho một số cá nhân nhất định sau khi được sự chấp thuận của Chủ đầu tư. Những cá nhân này có thể là một Nhà tư vấn thường trú và/hoặc giám sát viên độc lập được chỉ định để giám sát và/hoặc chạy thử các hạng mục thiết bị và/hoặc vật liệu. Sự phân công, ủy quyền hoặc hủy bỏ sự phân công, ủy quyền của Nhà tư vấn phải thể hiện bằng văn bản và chỉ có hiệu lực khi nào cả hai bên nhận được văn bản đó. Tuy nhiên, trừ khi có thỏa thuận khác của hai bên, Nhà tư vấn sẽ không ủy quyền để quyết định bất kỳ vấn đề gì theo khoản 4 Điều 13.
Các cá nhân này phải là những người có trình độ phù hợp, đủ năng lực để thực hiện các nhiệm vụ theo ủy quyền, đồng thời phải thông thạo ngôn ngữ giao tiếp như đã được xác định tại khoản 1 Điều 3.
Mỗi người được phân công nhiệm vụ hoặc được ủy quyền chỉ được quyền đưa ra chỉ dẫn cho Nhà thầu trong phạm vi được xác định trong giấy ủy quyền. Bất kỳ sự chấp thuận, kiểm tra, xác nhận, đồng ý, xem xét, giám sát, chỉ dẫn, thông báo, đề xuất, yêu cầu, thử nghiệm hoặc hành động tương tự nào của một cá nhân phù hợp với sự ủy quyền sẽ có cùng hiệu lực như là việc thực hiện công việc của chính Nhà tư vấn. Tuy nhiên:
a) Bất kỳ một sự không thành công trong công việc, không chấp thuận một công việc, thiết bị hoặc vật liệu nào đó, sẽ không đồng nghĩa là việc phê duyệt, và do vậy, sẽ không phương hại đến quyền của Nhà tư vấn trong việc bác bỏ công việc, thiết bị hoặc vật liệu đó.
b) Nếu Nhà thầu có điều gì hoài nghi đối với một quyết định hoặc chỉ dẫn nào đó của người được ủy quyền thì Nhà thầu có thể nêu vấn đề đó với Nhà tư vấn để nhanh chóng khẳng định, điều chỉnh hoặc thay thế quyết định hoặc chỉ dẫn đó.
14.3. Chỉ dẫn của Nhà tư vấn
Nhà tư vấn có thể đưa ra cho Nhà thầu (bất kỳ lúc nào) các chỉ dẫn và bản vẽ bổ sung hoặc sửa đổi cần thiết cho việc thi công xây dựng công trình và sửa chữa mọi sai sót, tất cả phải phù hợp với hợp đồng. Nhà thầu sẽ chỉ nhận các chỉ dẫn của Nhà tư vấn hoặc người được ủy quyền. Nếu có bất kỳ sự chỉ dẫn nào tạo nên sự thay đổi thì sẽ áp dụng theo Điều 16.
Nhà thầu phải tuân theo các chỉ dẫn do Nhà tư vấn hoặc người được ủy quyền đưa ra, về bất kỳ vấn đề nào có liên quan đến hợp đồng. Khi có thể, các chỉ dẫn của Nhà tư vấn và người được ủy quyền phải được đưa ra ở dạng văn bản. Nếu Nhà tư vấn hoặc một người được ủy quyền:
a) Đưa ra chỉ dẫn bằng miệng
b) Nhận được sự đề nghị hoặc yêu cầu bằng văn bản về chỉ dẫn nhưng không trả lời bằng cách đưa ra ý kiến bằng văn bản trong khoảng thời gian [quy định tại ĐKCT], sau khi nhận được đề nghị hoặc yêu cầu đó.
Thì sự đề nghị hoặc yêu cầu đó chính là chỉ dẫn bằng văn bản của Nhà tư vấn hoặc người được ủy quyền (tùy trường hợp).
14.4. Thay thế Nhà tư vấn
Nếu Chủ đầu tư có ý định thay thế Nhà tư vấn thì trong khoảng thời gian [quy định tại ĐKCT] trước khi dự định thay thế, Chủ đầu tư phải thông báo cho Nhà thầu biết chi tiết tương ứng của Nhà tư vấn được dự kiến thay thế. Chủ đầu tư không được thay thế Nhà tư vấn bằng một người mà Nhà thầu có ý kiến từ chối thông qua văn bản thông báo gửi cho Chủ đầu tư kèm theo các lý do phù hợp để làm rõ ý kiến của mình.
14.5. Quyết định của Nhà tư vấn
Những điều kiện này quy định rằng, Nhà tư vấn (thay mặt cho Chủ đầu tư) sẽ tiến hành công việc theo Khoản này để đồng ý hay quyết định một vấn đề, Nhà tư vấn phải trao đổi ý kiến với từng bên để cố gắng đạt được sự thống nhất chung.
Nhà tư vấn cần thông báo cho hai bên về từng thỏa thuận hay quyết định với lập luận của mình. Mỗi bên phải cố gắng tôn trọng hiệu lực của mỗi thỏa thuận hoặc quyết định, trừ khi và cho tới khi được xem xét theo Điều 24.
Điều 15. Quyền và nghĩa vụ chung của Nhà thầu
15.1. Trách nhiệm chung của Nhà thầu
Nhà thầu phải thiết kế, cung cấp thiết bị công nghệ và thi công công trình theo hợp đồng và phải sửa chữa bất kỳ sai sót nào trong công trình. Khi đã hoàn thành, công trình phải đúng theo mục đích sử dụng như xác định trong hợp đồng.
Nhà thầu phải cung cấp thiết bị và tài liệu của Nhà thầu được nêu trong hợp đồng và toàn bộ người của Nhà thầu, hàng hóa, vật liệu tiêu hao, những thứ khác và dịch vụ bất kể là tạm thời hay lâu dài được yêu cầu trong và cho thiết kế, thi công, hoàn thành và sửa chữa sai sót.
Công trình này phải bao gồm tất cả công việc cần thiết để đáp ứng các yêu cầu của Chủ đầu tư, hoặc được đề cập đến trong hợp đồng và tất cả các công việc (kể cả không được nêu trong hợp đồng) cần thiết cho sự ổn định hoặc việc hoàn thành hoặc sự an toàn và bản thân sự vận hành tốt công trình.
Nhà thầu phải chịu trách nhiệm về sự thỏa đáng, ổn định và an toàn cho việc hoạt động trên công trường, các phương pháp xây dựng và toàn bộ công trình.
Nhà thầu, bất cứ khi nào Chủ đầu tư yêu cầu, phải đệ trình các chi tiết của việc bố trí và các phương pháp mà Nhà thầu đề xuất áp dụng cho việc thi công công trình. Không được thay đổi đáng kể những sự bố trí và các phương pháp nếu không thông báo trước với Chủ đầu tư.
15.2. Đại diện Nhà thầu
Nhà thầu phải chỉ định đại diện Nhà thầu và ủy quyền cho người đại diện thay mặt Nhà thầu quản lý thực hiện hợp đồng.
Trừ khi đại diện Nhà thầu được nêu tên trong hợp đồng, trước ngày khởi công, Nhà thầu phải nộp cho Chủ đầu tư tên và các chi tiết của người mà Nhà thầu đề nghị làm Đại diện của Nhà thầu để xem xét và đồng ý. Nếu người này không được chấp nhận hoặc sau đó bị hủy bỏ hoặc nếu người được bổ nhiệm không đảm bảo hoạt động với tư cách là người đại diện Nhà thầu thì, tương tự như vậy, Nhà thầu phải trình tên và các thông tin chi tiết của người đại diện khác thích hợp cho vị trí này.
Nếu không được sự đồng ý trước của Chủ đầu tư, Nhà thầu không được bãi nhiệm đại diện Nhà thầu hoặc bổ nhiệm người khác thay thế.
Đại diện của Nhà thầu, thay mặt Nhà thầu, phải tiếp nhận các chỉ dẫn theo khoản 3 Điều 13 hoặc khoản 3 Điều 14.
Đại diện của Nhà thầu có thể ủy quyền chức năng và thẩm quyền cho những người có năng lực và có thể hủy bỏ việc ủy quyền này tại bất cứ thời điểm nào. Việc ủy quyền hoặc hủy bỏ sẽ chỉ có hiệu lực khi Chủ đầu tư nhận được thông báo trước do đại diện Nhà thầu ký, nêu tên người này và quy định quyền, chức năng và thẩm quyền được giao hoặc hủy bỏ.
Đại diện Nhà thầu và những người này phải thông thạo ngôn ngữ giao tiếp được xác định tại khoản 1 Điều 3.
15.3. Hợp tác
Như đã được quy định trong hợp đồng hoặc chỉ dẫn của Chủ đầu tư (hoặc Nhà tư vấn), Nhà thầu phải có trách nhiệm thực hiện việc hợp tác trong công việc đối với:
a) Nhân lực của Chủ đầu tư,
b) Các Nhà thầu khác do Chủ đầu tư thuê, và
c) Các nhân viên của các cơ quan có thẩm quyền của Nhà nước, là những người có thể được thuê hoặc cử đến để thực hiện công việc không có trong hợp đồng ở trên.
Các dịch vụ cho những người này và các Nhà thầu khác có thể bao gồm việc sử dụng thiết bị của Nhà thầu, các công trình tạm hoặc việc bố trí đường vào công trường là trách nhiệm của Nhà thầu. Trường hợp các dịch vụ này làm phát sinh chi phí ngoài giá hợp đồng thì các bên xem xét thỏa thuận bổ sung chi phí này.
Nhà thầu phải chịu trách nhiệm về các hoạt động thi công xây lắp của mình trên công trường, và phải phối hợp các hoạt động của mình với hoạt động của các Nhà thầu khác ở phạm vi (nếu có) được nêu rõ trong hồ sơ mời thầu (hoặc hồ sơ yêu cầu) của Chủ đầu tư.
Theo hợp đồng, nếu có yêu cầu Chủ đầu tư trao cho Nhà thầu quyền sử dụng bất cứ nền móng, kết cấu, nhà xưởng hoặc phương tiện tiếp cận nào theo đề nghị của Nhà thầu, Nhà thầu phải nộp những hồ sơ đề nghị này cho Chủ đầu tư (hoặc Nhà tư vấn) theo đúng thời gian và thể thức quy định trong Hồ sơ mời thầu.
15.4. Định vị các mốc
Nhà thầu phải định vị công trình theo các mốc và cao trình tham chiếu được xác định trong hợp đồng. Nhà thầu sẽ chịu trách nhiệm về việc định vị đúng tất cả các hạng mục của công trình và phải điều chỉnh sai sót về vị trí, cao độ, kích thước hoặc phóng tuyến của công trình.
Chủ đầu tư sẽ phải chịu trách nhiệm về bất kỳ sai sót nào về việc cung cấp thông tin trong các mục được chỉ ra trên đây hoặc các thông báo để tham chiếu đó (các điểm mốc, tuyến và cao trình chuẩn), nhưng Nhà thầu cũng phải cố gắng kiểm chứng độ chính xác của chúng trước khi sử dụng.
Trường hợp, Nhà thầu bị chậm trễ và / hoặc phải chịu chi phí mà không phải do lỗi của mình gây ra, thì Nhà thầu sẽ thông báo cho Chủ đầu tư (hoặc Nhà tư vấn) và có quyền thực hiện theo khoản 1 Điều 24 về:
a) Gia hạn thời gian cho sự chậm trễ đó, nếu việc hoàn thành bị hoặc sẽ bị chậm trễ theo khoản 4 Điều 10 và
b) Thanh toán mọi chi phí cộng thêm vào giá hợp đồng.
Sau khi nhận được thông báo, Chủ đầu tư (hoặc Nhà tư vấn) sẽ tiến hành theo khoản 4 Điều 13 để đồng ý hoặc quyết định (i) xem có phải và (nếu đúng như vậy) thì tới mức nào mà sai sót không thể phát hiện được một cách hợp lý, và (ii) những vấn đề được mô tả ở đoạn a và b trên đây liên quan đến mức độ sai sót này.
15.5. Các quy định về an toàn
Nhà thầu phải:
a) Tuân thủ tất cả quy định an toàn lao động hiện hành;
b) Chịu trách nhiệm về an toàn cho tất cả những người được phép có mặt trên công trường;
c) Có biện pháp nhằm đảm bảo an toàn cho công trình và cho những người được phép có mặt trên công trường.
15.6. Điều kiện về công trường
Chủ đầu tư phải cung cấp cho Nhà thầu toàn bộ các số liệu liên quan mà Chủ đầu tư có về điều kiện địa chất, địa chất thủy văn và những nội dung của công tác khảo sát về công trường, bao gồm cả các yếu tố môi trường liên quan đến hợp đồng.
Trong phạm vi có thể thực hiện được (có tính đến chi phí và thời gian), Nhà thầu được coi là đã có được tất cả những thông tin cần thiết về những rủi ro, bất trắc và những tình huống khác có thể ảnh hưởng hoặc tác động đến hồ sơ dự thầu hoặc công trình. Tương tự, Nhà thầu được coi là đã thẩm tra và xem xét công trường, khu vực xung quanh công trường, các số liệu và thông tin có sẵn nêu trên, và đã được thỏa mãn trước khi nộp thầu, về tất cả những khía cạnh có liên quan, bao gồm (không hạn chế) về:
a) Địa hình của công trường, bao gồm cả các điều kiện địa chất công trình;
b) Điều kiện địa chất thủy văn và khí hậu;
c) Mức độ và tính chất của công việc và vật liệu cần thiết cho việc thi công, hoàn thành công trình và sửa chữa sai sót;
d) Các quy định của pháp luật về lao động;
đ) Các yêu cầu của Nhà thầu về đường vào, ăn, ở, phương tiện, nhân lực, điều kiện giao thông, nước và các dịch vụ khác.
Nhà thầu được coi là đã đủ thông tin về tính đúng và đủ của điều kiện công trường để xác định Giá hợp đồng.
15.7. Điều kiện vật chất không lường trước được
Trong khoản này, “các điều kiện vật chất” là các điều kiện vật chất tự nhiên và nhân tạo, những trở ngại vật chất khác cũng như gây ô nhiễm mà Nhà thầu gặp phải tại công trường khi thi công công trình, bao gồm cả các điều kiện ngầm dưới đất, điều kiện thủy văn nhưng không bao gồm các điều kiện khí hậu.
Nếu Nhà thầu gặp phải các điều kiện vật chất bất lợi mà Nhà thầu cho là không lường trước được, thì Nhà thầu phải thông báo cho Chủ đầu tư (hoặc Nhà tư vấn) biết một cách sớm nhất có thể được. Thông báo này sẽ mô tả các điều kiện vật chất sao cho Chủ đầu tư (hoặc Nhà tư vấn) có thể kiểm tra được và phải nêu lý do tại sao Nhà thầu coi các điều kiện vật chất đó là không lường trước được. Nhà thầu phải tiếp tục thi công xây dựng công trình, sử dụng các biện pháp thỏa đáng và hợp lý và là thích ứng với điều kiện vật chất đó, và phải tuân theo bất kỳ chỉ dẫn nào mà Chủ đầu tư (hoặc Nhà tư vấn) có thể đưa ra. Nếu một chỉ dẫn tạo ra sự thay đổi, thì áp dụng theo Điều 16.
Nếu và tới mức độ khi mà Nhà thầu, gặp phải các điều kiện vật chất thuộc loại không lường trước được, gửi thông báo về việc đó, bị chậm trễ và / hoặc gánh chịu chi phí do các điều kiện này gây nên, thì Nhà thầu được hưởng quyền theo khoản 1 Điều 24 về:
a) Gia hạn thời gian để bù cho bất kỳ sự chậm trễ nào như vậy, nếu việc hoàn thành bị hoặc sẽ bị chậm trễ, theo khoản 4 Điều 10, và
b) Thanh toán bất kỳ chi phí có liên quan và được đưa vào giá hợp đồng
Tuy nhiên trước khi chi phí bổ sung được chấp thuận hoặc quyết định lần cuối cùng theo đoạn (b), Chủ đầu tư (hoặc Nhà tư vấn) cũng có thể xem xét lại về những điều kiện vật chất khác ở các phần tương tự của công trình (nếu có) là thuận lợi hơn và đã được Nhà thầu dự tính trước khi nộp hồ sơ dự thầu một cách hợp lý hay chưa. Nếu những điều kiện vật chất đó thuận lợi hơn, Chủ đầu tư (hoặc Nhà tư vấn) có thể thực hiện theo khoản 4 Điều 13 để đồng ý hoặc quyết định giảm bớt chi phí phát sinh cho những điều kiện này, có thể được thêm vào (trừ bớt) trong giá hợp đồng và chứng chỉ thanh toán. Tuy nhiên, kết quả của việc thực hiện toàn bộ các điều chỉnh theo đoạn (b) và toàn bộ khoản khấu trừ này, đối với các điều kiện tự nhiên gặp phải trong các phần tương tự của công trình, sẽ không dẫn đến việc giảm giá trong giá hợp đồng.
Chủ đầu tư (hoặc Nhà tư vấn) có thể tính đến bất kỳ bằng chứng nào về những điều kiện vật chất được Nhà thầu thấy trước khi nộp hồ sơ dự thầu và có thể có được nhưng không bị ràng buộc bởi những bằng chứng này.
15.8. Quyền về đường đi và phương tiện
Nhà thầu phải chịu toàn bộ chi phí và lệ phí cho các quyền về đường đi lại chuyên dùng và/hoặc tạm thời mà Nhà thầu cần có, bao gồm lối vào công trường. Nhà thầu, tự mình, cũng phải có thêm các phương tiện khác bên ngoài công trường cần cho công việc bằng rủi ro và kinh phí của mình.
15.9. Tránh ảnh hưởng đến các công trình và dân cư
Nhà thầu không được can thiệp một cách không cần thiết hoặc không thích hợp vào:
a) Sự thuận tiện của công chúng, hoặc
b) Việc tiếp cận, sử dụng và chiếm lĩnh toàn bộ đường đi, vỉa hè bất kể nó là công cộng hay thuộc quyền kiểm soát của Chủ đầu tư hoặc những người khác.
Nhà thầu phải bồi thường và đảm bảo cho Chủ đầu tư không bị mọi thiệt hại gây ra do tất cả các hư hỏng, tổn thất và chi phí (bao gồm các lệ phí và chi phí pháp lý) do bất kỳ sự can thiệp không cần thiết và không phù hợp nào gây ra.
15.10. Đường vào công trường
Nhà thầu về nguyên tắc đã chấp nhận sự có sẵn và phù hợp của các tuyến đường tới công trường. Nhà thầu phải nỗ lực để tránh làm hư hỏng đường hoặc cầu do việc sử dụng đi lại của Nhà thầu hoặc người của Nhà thầu gây ra. Những nỗ lực này phải bao gồm việc sử dụng đúng các phương tiện và tuyến đường thích hợp.
Trừ khi được quy định khác trong các Điều kiện này:
a) Nhà thầu (trong quan hệ giữa các bên) sẽ phải chịu trách nhiệm sửa chữa nếu Nhà thầu làm hỏng khi sử dụng các tuyến đường đó;
b) Nhà thầu phải cung cấp các biển hiệu, biển chỉ dẫn cần thiết dọc tuyến đường và phải xin phép nếu các cơ quan liên quan yêu cầu cho việc sử dụng các tuyến đường, biển hiệu, biển chỉ dẫn;
c) Chủ đầu tư không chịu trách nhiệm về bất cứ khiếu nại nào có thể nảy sinh từ việc sử dụng hoặc các việc liên quan khác đối với các tuyến đường đi lại;
d) Chủ đầu tư không bảo đảm sự thích hợp hoặc sẵn có các tuyến đường riêng biệt nào, và
đ) Chi phí do sự không thích hợp hoặc không có sẵn các tuyến đường vào cho yêu cầu sử dụng của Nhà thầu, sẽ do Nhà thầu chịu.
15.11. Vận chuyển Hàng hóa
Trừ khi có quy định khác:
a) Nhà thầu phải thông báo cho Chủ đầu tư trong khoảng thời gian [quy định tại ĐKCT] mà mọi thiết bị hoặc hạng mục hàng hóa chính khác được vận chuyển tới công trường;
b) Nhà thầu phải chịu trách nhiệm về việc đóng gói, xếp hàng, vận chuyển, nhận, dỡ hàng, lưu kho và bảo vệ toàn bộ hàng hóa và các vật dụng khác cần cho công trình; và
c) Nhà thầu phải bồi thường và gánh chịu thiệt hại cho Chủ đầu tư đối với các hư hỏng, mất mát và chi phí (kể cả lệ phí và phí tư pháp) do việc vận chuyển hàng hóa và phải thương lượng và thanh toán toàn bộ yêu cầu đòi đền bù phát sinh từ việc vận tải của họ.
15.12. Thiết bị của Nhà thầu
Nhà thầu phải chịu trách nhiệm đối với toàn bộ thiết bị của Nhà thầu. Khi được đưa tới công trình, thiết bị của Nhà thầu phải là để dùng riêng cho việc thi công công trình. Nhà thầu không được di chuyển ra khỏi công trường bất kỳ một hạng mục thiết bị chủ yếu nào nếu không được sự đồng ý của Chủ đầu tư (hoặc Nhà tư vấn). Tuy nhiên, không yêu cầu phải có sự đồng ý đối với các xe cộ vận chuyển hàng hóa hoặc Nhân lực Nhà thầu ra khỏi công trường.
15.13. Bảo vệ Môi trường
Nhà thầu phải thực hiện các giải pháp hợp lý để bảo vệ môi trường (cả trên và ngoài công trường) và hạn chế thiệt hại và ảnh hưởng tới con người và tài sản do ô nhiễm, tiếng ồn và các hậu quả khác từ hoạt động của Nhà thầu gây ra.
Nhà thầu phải đảm bảo rằng các khí thải, chất thải trên mặt đất và dòng thải do hoạt động của Nhà thầu không được vượt quá mức quy định trong các yêu cầu của Chủ đầu tư và không được vượt quá mức quy định của Luật hiện hành.
15.14. Điện, nước và dịch vụ khác
Trừ trường hợp quy định ở dưới đây, Nhà thầu phải chịu trách nhiệm cung cấp điện, nước và các dịch vụ khác mà Nhà thầu cần.
Nhà thầu có quyền sử dụng cho mục đích thi công Công trình việc cung cấp điện, nước và dịch vụ khác có thể có trên công trường mà các chi tiết và giá đã được đưa ra trong các yêu cầu của Chủ đầu tư. Nhà thầu, phải chịu rủi ro và dùng chi phí của mình, cung cấp máy móc thiết bị cần thiết để sử dụng những dịch vụ này và để đo số lượng tiêu thụ.
Số lượng tiêu thụ và số tiền phải trả (theo giá cả này) cho các dịch vụ phải được chấp thuận hoặc xác định theo khoản 2 Điều 13 và khoản 4 Điều 13. Nhà thầu phải thanh toán những khoản tiền này.
15.15. Thiết bị và vật liệu do Chủ đầu tư cấp (nếu có)
Chủ đầu tư phải có sẵn các thiết bị của mình (nếu có) để Nhà thầu dùng cho thi công công trình phù hợp với các chi tiết nội dung, bố trí sắp xếp và giá cả được nêu trong đặc tính kỹ thuật. Trừ khi có quy định khác trong các đặc tính kỹ thuật thì:
a) Chủ đầu tư phải chịu trách nhiệm đối với thiết bị của Chủ đầu tư, trừ trường hợp nêu tại tiết (b) dưới đây.
b) Nhà thầu phải chịu trách nhiệm đối với từng thiết bị của Chủ đầu tư trong khi người của Nhà thầu vận hành, lái, điều khiển quản lý hoặc kiểm soát nó.
Số lượng thích hợp và số tiền phải trả (với giá đã nêu) để sử dụng thiết bị của Chủ đầu tư phải được đồng ý hoặc quyết định theo khoản 2 Điều 13 và khoản 4 Điều 13. Nhà thầu phải thanh toán số tiền này cho Chủ đầu tư.
Chủ đầu tư phải cung cấp, miễn phí, “các vật liệu do mình cung cấp” (nếu có) theo các chi tiết nêu trong các yêu cầu của Chủ đầu tư. Chủ đầu tư phải chịu rủi ro và dùng chi phí của mình, cung cấp những vật tư này tại thời điểm và địa điểm được quy định trong hợp đồng. Nhà thầu phải kiểm tra những vật liệu này và phải thông báo kịp thời cho Chủ đầu tư về sự thiếu hụt, sai sót hoặc không có của những vật liệu này. Trừ khi hai bên có thỏa thuận khác, Chủ đầu tư phải xác định ngay sự thiếu hụt, sai sót như đã được thông báo.
Sau khi được kiểm tra, vật liệu cấp không sẽ phải được Nhà thầu bảo quản và giám sát cẩn thận. Trách nhiệm kiểm tra, bảo quản của Nhà thầu không tách Chủ đầu tư khỏi trách nhiệm đối với sự thiếu hụt, sai sót, lỗi không thấy rõ khi kiểm tra.
15.16. Báo cáo Tiến độ
Trừ khi có quy định khác [quy định tại ĐKCT], các báo cáo tiến độ thực hiện hàng tháng sẽ được Nhà thầu chuẩn bị và nộp cho Nhà tư vấn với số lượng bản [quy định tại ĐKCT]. Báo cáo đầu tiên phải tính từ ngày khởi công đến ngày cuối cùng của tháng đầu. Sau đó, các báo cáo phải được nộp hàng tháng, mỗi báo cáo phải nộp trong khoảng thời gian [quy định tại ĐKCT] sau ngày cuối cùng (của khoảng thời gian liên quan) của tháng.
Báo cáo phải liên tục cho tới khi Nhà thầu hoàn thành toàn bộ công việc còn tồn lại tại thời điểm hoàn thành được nêu trong Biên bản nghiệm thu công trình.
Trừ khi có quy định khác [quy định tại ĐKCT], mỗi báo cáo phải có:
a) Sơ đồ và mô tả chi tiết tiến độ, bao gồm từng giai đoạn thiết kế, mua sắm thiết bị, gia công, vận chuyển tới công trình, thi công, lắp dựng, kiểm tra và vận hành thử;
b) Ảnh mô tả tình trạng gia công chế tạo và tiến độ trên công trường;
c) Đối với việc gia công chế tạo thiết bị thì tiến độ còn phải mô tả chủng loại vật tư, xuất xứ, tỷ lệ (%) hoàn thành tiến độ và ngày đã bắt đầu hoặc dự kiến sẽ bắt đầu, gồm:
i. Bắt đầu gia công chế tạo,
ii. Thử nghiệm của Nhà thầu,
iii. Kiểm định của Chủ đầu tư và
iv. Vận chuyển và tới công trường;
d) Các chi tiết về nhân lực và thiết bị của Nhà thầu;
đ) Bản sao tài liệu đảm bảo chất lượng, kết quả thử và chứng chỉ của vật liệu;
e) Danh mục các thay đổi, thông báo được đưa ra theo khoản 2 Điều 13 và thông báo được đưa ra theo khoản 1 Điều 24;
g) Số liệu thống kê về an toàn, gồm chi tiết của các hoạt động và các trường hợp nguy hại liên quan đến yếu tố môi trường và quan hệ công cộng; và
h) So sánh tiến độ theo kế hoạch và tiến độ thực tế, với chi tiết của mọi sự việc hoặc tình huống có thể gây nguy hại đến việc hoàn thành theo hợp đồng, và các biện pháp đang (hoặc sẽ) được áp dụng để khắc phục sự chậm trễ.
15.17. An ninh công trường
Trừ khi có quy định khác [quy định tại ĐKCT]:
a) Nhà thầu phải chịu trách nhiệm về việc không cho phép những người không có nhiệm vụ vào công trường, và
b) Những người có nhiệm vụ được giới hạn trong phạm vi nhân lực của Nhà thầu và của Chủ đầu tư và những người khác do Chủ đầu tư (hoặc người đại diện) thông báo cho Nhà thầu biết, là những người có nhiệm vụ của các Nhà thầu khác do Chủ đầu tư thuê làm việc trên công trường.
15.18. Hoạt động của Nhà thầu trên công trường
Nhà thầu phải giới hạn các hoạt động của mình trong phạm vi công trường, và khu vực bổ sung mà Nhà thầu có và được Chủ đầu tư đồng ý là nơi làm việc. Nhà thầu phải chú ý giữ cho thiết bị và nhân lực của mình chỉ hoạt động trong phạm vi công trường và các khu vực bổ sung và giữ cho không lấn sang khu vực lân cận.
Trong thời gian thi công công trình, Nhà thầu phải giữ cho công trường không bị các cản trở không cần thiết, và phải cất giữ hoặc sắp xếp thiết bị hoặc vật liệu thừa của Nhà thầu. Nhà thầu phải dọn sạch rác và dỡ bỏ công trình tạm ra khỏi công trường khi không cần nữa.
Sau khi Biên bản nghiệm thu đã được cấp cho công trình, Nhà thầu phải dọn sạch và đưa đi tất cả thiết bị Nhà thầu, nguyên vật liệu thừa, phế thải xây dựng, rác rưởi và công trình tạm. Nhà thầu phải giữ công trường và công trình trong trạng thái sạch sẽ và an toàn. Tuy nhiên, Nhà thầu có thể để lại công trường, trong giai đoạn thông báo sai sót, những hàng hóa cần để Nhà thầu hoàn thành nghĩa vụ theo hợp đồng.
15.19. Đào tạo
Nhà thầu sẽ tiến hành đào tạo nhân lực của Chủ đầu tư để vận hành và bảo trì công trình trong phạm vi được quy định cụ thể trong các yêu cầu của Chủ đầu tư. Nếu hợp đồng nêu rõ việc đào tạo phải được tiến hành trước khi nghiệm thu công trình, công trình sẽ không được coi là hoàn thành để bàn giao theo khoản 1 Điều 9 cho đến khi đào tạo được hoàn thành.
15.20. Tài liệu hoàn công
Nhà thầu sẽ chuẩn bị và kịp thời cập nhật một bộ hồ sơ đầy đủ các tài liệu hoàn công về công tác thi công công trình, chỉ rõ chính xác các vị trí, kích cỡ và các chi tiết của công trình xây dựng như đã được thi công. Những tài liệu này sẽ được giữ ở công trường và được sử dụng riêng cho những mục đích của Khoản này. Chủ đầu tư sẽ được cung cấp số lượng bản hồ sơ [quy định tại ĐKCT] của những hồ sơ này trước khi tiến hành kiểm định khi hoàn thành.
Ngoài ra, Nhà thầu phải cung cấp cho Chủ đầu tư các bản vẽ hoàn công của các công trình, cho thấy tất cả những chi tiết công trình được thực hiện và trình những bản vẽ đó cho Chủ đầu tư để xem xét phê duyệt theo Điều 5. Nhà thầu sẽ nhận được sự chấp thuận của Chủ đầu tư về kích thước, hệ thống tham chiếu và các chi tiết liên quan khác.
Trước khi cấp biên bản nghiệm thu công trình, Nhà thầu sẽ cung cấp cho Chủ đầu tư những số liệu cụ thể và các bản vẽ hoàn công theo các yêu cầu của Chủ đầu tư. Công trình sẽ không được coi là hoàn thành để nghiệm thu theo khoản 1 Điều 9 khi Chủ đầu tư chưa nhận được những tài liệu này.
15.21. Hướng dẫn vận hành và bảo trì
Trước khi tiến hành vận hành thử khi hoàn thành, Nhà thầu phải cung cấp cho Chủ đầu tư những tài liệu hướng dẫn vận hành và bảo trì tạm thời đầy đủ các chi tiết để Chủ đầu tư có thể vận hành, bảo dưỡng, tháo đỡ, lắp đặt lại, điều chỉnh và sửa chữa các thiết bị.
Công trình sẽ không được coi là hoàn thành để nghiệm thu theo khoản 1 Điều 9 khi Chủ đầu tư chưa nhận được những tài liệu hướng dẫn chi tiết cuối cùng về vận hành và bảo trì và những tài liệu hướng dẫn khác được nêu cụ thể trong các yêu cầu của Chủ đầu tư cho những mục đích này.
15.22. Các vấn đề khác có liên quan
Tất cả các cổ vật, đồng tiền, đồ cổ hoặc các di vật khác hoặc các hạng mục địa chất hoặc khảo cổ được tìm thấy trên công trường sẽ được đặt dưới sự bảo quản và thẩm quyền của Chủ đầu tư. Nhà thầu phải chú ý không cho người của mình hoặc người khác lấy đi hoặc làm hư hỏng các đồ vật tìm thấy này.
Khi phát hiện ra những đồ vật này, Nhà thầu phải thông báo ngay cho Chủ đầu tư để hướng dẫn giải quyết. Nếu Nhà thầu gặp phải sự chậm trễ và/ hoặc phải chịu chi phí để thực hiện hướng dẫn thì Nhà thầu phải thông báo tiếp cho Chủ đầu tư và có quyền theo khoản 1 Điều 24 yêu cầu:
a) Kéo dài thời gian bù cho sự chậm trễ này, nếu việc hoàn thành bị hoặc sẽ bị chậm theo khoản 4 Điều 10.
b) Thanh toán các chi phí đó và sẽ được tính vào Giá hợp đồng.
Sau khi nhận được thông báo tiếp theo này, Chủ đầu tư (hoặc Nhà tư vấn) phải tiến hành theo khoản 4 Điều 13 để đồng ý hoặc quyết định về những vấn đề này.
15.23. Các quyền và nghĩa vụ khác theo quy định của pháp luật.
Điều 16. Điều chỉnh giá và điều chỉnh hợp đồng
16.1. Điều chỉnh giá hợp đồng
a) Giá hợp đồng được điều chỉnh khi bổ sung khối lượng công việc ngoài phạm vi hợp đồng đã ký hoặc trường hợp [quy định tại ĐKCT] (nếu có). Khi có khối lượng công việc bổ sung ngoài phạm vi hợp đồng đã ký (hoặc không phải thực hiện theo thiết kế) thì các bên phải lập Phụ lục hợp đồng bổ sung, trong đó cần xác định rõ về khối lượng công việc bổ sung (hoặc không phải thực hiện theo thiết kế) và đơn giá áp dụng.
b) Trường hợp bất khả kháng thực hiện theo Điều 23.
16.2. Điều chỉnh hợp đồng
Việc thay đổi có thể được Chủ đầu tư (hoặc Nhà tư vấn) triển khai vào bất cứ thời điểm nào trước khi cấp Biên bản nghiệm thu công trình theo khoản 1 Điều 9 bằng việc yêu cầu thay đổi hoặc do Nhà thầu đề xuất.
Nhà thầu chỉ được phép tiến hành thay đổi hoặc sửa chữa các công việc khi có sự chấp thuận của Chủ đầu tư (hoặc Nhà tư vấn). Mọi sửa đổi này không làm giảm hoặc vô hiệu hóa hiệu lực hợp đồng.
Trường hợp, Nhà thầu không thực hiện được bất kỳ thay đổi nào theo yêu cầu của Chủ đầu tư thì Nhà thầu phải thông báo ngay cho Chủ đầu tư (hoặc Nhà tư vấn) và nêu rõ lý do (i) Nhà thầu không thể có được nhưng phương tiện cần thiết theo yêu cầu cho việc thay đổi, (ii) Việc đó sẽ làm giảm sự an toàn hoặc ổn định của công trình hoặc (iii) Việc đó sẽ ảnh hưởng không tốt đến việc đạt được các bảo lãnh thực hiện. Khi nhận được thông báo này Chủ đầu tư (hoặc Nhà tư vấn) sẽ xem xét quyết định hoặc thay đổi hướng dẫn.
Trường hợp điều chỉnh hợp đồng khác [quy định tại ĐKCT].
16.3. Thủ tục điều chỉnh hợp đồng
Khi Chủ đầu tư (hoặc Nhà tư vấn) yêu cầu thay đổi hoặc Nhà thầu đề xuất thay đổi, Nhà thầu sẽ trả lời bằng văn bản lý do tại sao Nhà thầu không thể đáp ứng (nếu là trường hợp đó) hoặc trình:
a) Bản mô tả thiết kế được đề xuất và/hoặc công việc sẽ được tiến hành và kế hoạch thực hiện chúng,
b) Đề xuất của Nhà thầu về các thay đổi cần thiết cho Tiến độ thực hiện công việc và thời gian hoàn thành theo Điều 10, và
c) Đề xuất của Nhà thầu về việc điều chỉnh Giá hợp đồng.
Chủ đầu tư (hoặc Nhà tư vấn) ngay sau khi nhận được đề xuất đó sẽ trả lời nêu rõ đồng ý hay không đồng ý hoặc có ý kiến khác. Nhà thầu sẽ không được trì hoãn công việc nào trong khi đợi sự phản hồi từ phía Chủ đầu tư (hoặc Nhà tư vấn).
Điều 17. Nhà thầu phụ
17.1. Quy định chung về nhà thầu phụ
a) Nhà thầu không được giao lại toàn bộ công việc theo hợp đồng cho thầu phụ thực hiện và phải chịu trách nhiệm trước Chủ đầu tư về chất lượng, tiến độ, an toàn của tất cả công việc hoặc sai sót do thầu phụ của mình thực hiện.
b) Nhà thầu sẽ không cần có sự chấp thuận của Chủ đầu tư (hoặc Nhà tư vấn) về các nhà cung cấp vật liệu hoặc về một hợp đồng thầu phụ mà trong đó Nhà thầu phụ đã được ghi tên trong hợp đồng.
c) Cần phải được sự chấp thuận của Chủ đầu tư (hoặc Nhà tư vấn) đối với bất kỳ Nhà thầu phụ nào chưa được nêu trong hợp đồng.
d) Nhà thầu phải gửi thông báo cho Chủ đầu tư (hoặc Nhà tư vấn) trong khoảng thời gian [quy định tại ĐKCT] trước ngày dự định bắt đầu công việc của mỗi Nhà thầu phụ.
đ) Mỗi hợp đồng thầu phụ phải có quy định có thể cho phép Chủ đầu tư yêu cầu hợp đồng thầu phụ được nhượng lại cho Chủ đầu tư theo khoản 2 Điều 17 (nếu hoặc khi có thể áp dụng được), hoặc trong trường hợp chấm dứt hợp đồng theo khoản 7 Điều 18.
17.2. Nhượng lại lợi ích của hợp đồng thầu phụ
Nếu nghĩa vụ của Nhà thầu phụ kéo dài đến sau ngày hết hạn của thời hạn thông báo sai sót có liên quan, và trước ngày hết hạn, Chủ đầu tư (hoặc Nhà tư vấn) chỉ dẫn cho Nhà thầu nhượng lại lợi ích của các nghĩa vụ đó cho Chủ đầu tư thì Nhà thầu phải thực hiện. Trừ khi được quy định khác về việc nhượng lại, Nhà thầu sẽ không còn nghĩa vụ pháp lý với Chủ đầu tư về công việc do Nhà thầu phụ thực hiện, sau khi việc nhượng lại có hiệu lực.
17.3. Định nghĩa “Nhà thầu phụ được Chủ đầu tư chỉ định”
Trong hợp đồng, “Nhà thầu phụ được Chủ đầu tư chỉ định” là một nhà thầu:
a) Do Chủ đầu tư chỉ định làm nhà thầu phụ cho Nhà thầu để thực hiện một số phần việc chuyên ngành có yêu cầu kỹ thuật cao hoặc khi Nhà thầu không đáp ứng được tiến độ thực hiện hợp đồng sau khi Chủ đầu tư đã yêu cầu, hoặc
b) Được Chủ đầu tư (hoặc Nhà tư vấn) chỉ dẫn cho Nhà thầu thuê làm nhà thầu phụ.
17.4. Quyền phản đối việc chỉ định
Nhà thầu không có bất kỳ nghĩa vụ nào phải thuê một Nhà thầu phụ được Chủ đầu tư chỉ định khi Nhà thầu nêu ra ý kiến từ chối hợp lý bằng cách thông báo cho Chủ đầu tư (hoặc Nhà tư vấn) càng sớm càng tốt với những lý lẽ chi tiết để chứng minh. Việc phản đối được coi là hợp lý, nếu được đưa ra dựa trên những lý do phù hợp trong đó bao gồm những lý do được nêu ra tại đây, trừ khi Chủ đầu tư đồng ý bồi thường cho Nhà thầu về những vấn đề, hoặc hậu quả từ vấn đề nảy sinh:
a) Có lý do để tin rằng Nhà thầu phụ không đủ khả năng, nguồn lực hoặc sức mạnh tài chính;
b) Hợp đồng thầu phụ không nêu ra là Nhà thầu phụ được chỉ định sẽ bồi thường cho Nhà thầu về những hậu quả từ sự thiếu thận trọng hoặc sử dụng hàng hóa không đúng mục đích, do Nhà thầu phụ, các đại lý hoặc nhân viên của Nhà thầu phụ gây ra;
c) Hợp đồng thầu phụ không nêu ra rằng, đối với công việc của hợp đồng thầu phụ (gồm cả thiết kế nếu có) Nhà thầu phụ được chỉ định sẽ:
i. Cam kết với Nhà thầu những trách nhiệm và nghĩa vụ pháp lý sẽ giúp Nhà thầu miễn được nghĩa vụ và trách nhiệm theo hợp đồng, và
ii. Bồi thường cho Nhà thầu về tất cả trách nhiệm và nghĩa vụ pháp lý phát sinh từ hợp đồng hoặc có liên quan đến hợp đồng và từ những hậu quả hoặc bất kỳ sự không thành công nào của Nhà thầu phụ trong việc thực hiện các trách nhiệm hoặc hoàn thành nghĩa vụ pháp lý đó.
17.5. Thanh toán cho Nhà thầu phụ được Chủ đầu tư chỉ định
Nhà thầu sẽ thanh toán cho Nhà thầu phụ được Chủ đầu tư chỉ định các khoản tiền mà Nhà tư vấn xác định là phải trả theo hợp đồng thầu phụ. Các khoản tiền này cộng với các khoản thanh toán khác sẽ được đưa vào trong giá hợp đồng theo điểm b của khoản 2 Điều 12, trừ trường hợp được nêu trong khoản 6 Điều 17.
17.6. Bằng chứng đã thanh toán cho Nhà thầu phụ được chỉ định
Trước khi phát hành một giấy thanh toán bao gồm một khoản tiền có thể trả cho Nhà thầu phụ được Chủ đầu tư chỉ định, Chủ đầu tư (hoặc Nhà tư vấn) có thể yêu cầu Nhà thầu cung cấp bằng chứng hợp lý rằng Nhà thầu phụ được chỉ định đã nhận được tất cả các khoản phù hợp với những giấy thanh toán trước đây, trừ đi khoản bị giảm trừ được áp dụng để giữ lại hoặc các hình thức khác. Trừ khi Nhà thầu:
a) Nộp cho Nhà tư vấn bằng chứng hợp lý, hoặc
b) Giải thích rõ với Chủ đầu tư (hoặc Nhà tư vấn) bằng văn bản rằng Nhà thầu được hưởng một cách hợp lý quyền giữ lại hoặc từ chối thanh toán các khoản này và nộp cho Nhà tư vấn bằng chứng hợp lý rằng Nhà thầu phụ được chỉ định đã được thông báo về việc Nhà thầu được hưởng các quyền đó.
Sau đó Chủ đầu tư có thể tự thanh toán, trực tiếp cho Nhà thầu phụ được chỉ định, một phần hoặc toàn bộ các khoản tiền đã được xác nhận trước đây (trừ phần giữ lại vẫn thường áp dụng) là khoản được hưởng của Nhà thầu phụ được chỉ định mà Nhà thầu đã không đệ trình được các bằng chứng đã nêu ở điểm a hoặc b trên đây. Nhà thầu sau đó phải thanh toán lại cho Chủ đầu tư khoản tiền mà Chủ đầu tư đã thanh toán trực tiếp cho Nhà thầu phụ được chỉ định.
Điều 18. Tạm ngừng, chấm dứt hợp đồng bởi Chủ đầu tư
18.1. Thông báo sửa chữa
Nếu Nhà thầu không thực hiện nghĩa vụ theo hợp đồng, Chủ đầu tư có thể ra thông báo yêu cầu Nhà thầu phải thực hiện và sửa chữa các sai sót, hỏng hóc trong khoảng thời gian [quy định tại ĐKCT].
18.2. Tạm ngừng công việc
Chủ đầu tư (hoặc Nhà tư vấn) vào bất cứ thời điểm nào đều có thể hướng dẫn Nhà thầu tạm ngừng thực hiện công việc của một hạng mục hay toàn bộ công trình khi Nhà thầu không đáp ứng các yêu cầu về chất lượng, tiến độ và an toàn lao động theo hợp đồng đã ký kết. Trong thời gian tạm ngừng đó, Nhà thầu phải bảo vệ, đảm bảo hạng mục hoặc công trình không bị xuống cấp, mất mát hay bị hư hỏng.
Chủ đầu tư (hoặc Nhà tư vấn) sẽ thông báo nguyên nhân tạm ngừng. Nếu và ở phạm vi nguyên nhân được thông báo và là trách nhiệm của Nhà thầu, khi đó Nhà thầu phải chịu hậu quả của việc tạm ngừng.
18.3. Hậu quả của việc tạm ngừng
Nếu Nhà thầu gặp phải sự chậm trễ và/hoặc phải chịu các chi phí do tuân thủ các hướng dẫn của Chủ đầu tư (hoặc Nhà tư vấn) theo khoản 2 Điều 18 và/hoặc từ việc tiến hành lại công việc, Nhà thầu phải thông báo cho Chủ đầu tư (hoặc Nhà tư vấn) và theo quy định của khoản 1 Điều 24 được:
a) Gia hạn thời gian để bù cho chậm trễ này, nếu việc hoàn thành bị hoặc sẽ bị chậm theo khoản 4 Điều 10, và
b) Thanh toán các chi phí liên quan được cộng thêm vào Giá hợp đồng.
Sau khi nhận được thông báo này, Chủ đầu tư (hoặc Nhà tư vấn) phải tiến hành theo khoản 4 Điều 13 để thống nhất hoặc quyết định những vấn đề này.
Nhà thầu sẽ không được quyền kéo dài thời gian hay thanh toán các chi phí cho việc sửa các hậu quả do lỗi của Nhà thầu.
18.4. Thanh toán tiền thiết bị và các vật liệu trong trường hợp tạm ngừng công việc
Nhà thầu sẽ được Chủ đầu tư thanh toán giá trị của thiết bị và các vật liệu chưa được vận chuyển đến công trường (vào ngày tạm ngừng) nếu:
a) Công việc sử dụng thiết bị hoặc sự cung cấp thiết bị và / hoặc các vật liệu đã bị trì hoãn trong khoảng thời gian [quy định tại ĐKCT], và
b) Thiết bị và / hoặc các vật liệu này đã được Chủ đầu tư hoặc Nhà tư vấn và Nhà thầu chấp thuận và là tài sản của Chủ đầu tư.
18.5. Việc tạm ngừng kéo dài quá thời gian quy định
Nếu việc tạm ngừng theo khoản 2 Điều 18 đã tiếp tục diễn ra quá khoảng thời gian [quy định tại ĐKCT], Nhà thầu có thể yêu cầu Chủ đầu tư cho phép tiếp tục tiến hành công việc. Nếu Chủ đầu tư không chấp thuận trong khoảng thời gian [quy định tại ĐKCT] sau khi Nhà thầu đã yêu cầu, Nhà thầu có thể thông báo cho Chủ đầu tư và coi như việc tạm ngừng sẽ không còn hiệu lực. Nếu việc tạm ngừng ảnh hưởng đến toàn bộ công trình, Nhà thầu có thể thông báo chấm dứt hợp đồng theo khoản 2 Điều 19.
18.6. Tiếp tục tiến hành công việc
Sau khi được sự chấp thuận hay hướng dẫn tiếp tục tiến hành công việc của Chủ đầu tư, các bên sẽ cùng kiểm tra công trình, thiết bị và các vật liệu bị ảnh hưởng do việc tạm ngừng. Nhà thầu sẽ sửa chữa chỗ xuống cấp, hư hỏng hay mất mát của công trình, thiết bị hoặc các vật liệu đã xảy ra trong thời gian tạm ngừng.
18.7. Chấm dứt hợp đồng bởi Chủ đầu tư
Chủ đầu tư sẽ được quyền chấm dứt hợp đồng nếu Nhà thầu:
a) Không tuân thủ khoản 1 Điều 11 hoặc với một thông báo theo khoản 1 Điều 18,
b) Bỏ dở Công trình hoặc thể hiện rõ ràng ý định không tiếp tục thực hiện nghĩa vụ theo hợp đồng hoặc liên tục không thực hiện công việc theo hợp đồng trong khoảng thời gian [quy định tại ĐKCT],
c) Không có lý do chính đáng mà lại không tiếp tục công trình theo Điều 10,
d) Giao lại cho thầu phụ toàn bộ công việc hoặc chuyển nhượng hợp đồng mà không có sự thỏa thuận của Chủ đầu tư,
đ) Bị phá sản.
Nếu thuộc một trong những trường hợp này, Chủ đầu tư có thể, bằng cách thông báo cho Nhà thầu trước khoảng thời gian [quy định tại ĐKCT], về việc chấm dứt hợp đồng và trục xuất Nhà thầu ra khỏi công trường. Tuy nhiên, trong trường hợp tại phần (đ), Chủ đầu tư có thể thông báo chấm dứt hợp đồng ngay lập tức.
Sự lựa chọn của Chủ đầu tư trong việc quyết định chấm dứt hợp đồng sẽ không làm ảnh hưởng đến các quyền lợi khác của Chủ đầu tư, theo hợp đồng.
Nhà thầu phải rời Công trường và chuyển các hàng hóa cần thiết, các tài liệu của Nhà thầu và các hồ sơ thiết kế khác của Nhà thầu cho Chủ đầu tư. Tuy nhiên, Nhà thầu sẽ cố gắng hết mức để tuân thủ ngay lập tức các hướng dẫn hợp lý được nêu trong thông báo (i) chuyển nhượng hợp đồng thầu phụ, và (ii) bảo vệ tính mạng và tài sản hay cho sự an toàn của công trình.
Sau khi chấm dứt hợp đồng, Chủ đầu tư có thể hoàn thành Công trình và/hoặc sắp đặt cho các đơn vị khác thực hiện. Chủ đầu tư và các đơn vị này khi đó có thể sử dụng bất cứ hàng hóa, tài liệu nào của Nhà thầu nào và các tài liệu thiết kế khác do Nhà thầu thực hiện hoặc do đại diện Nhà thầu thực hiện.
Chủ đầu tư sẽ thông báo rằng thiết bị của Nhà thầu và các Công trình tạm sẽ được trả lại cho Nhà thầu ở tại hoặc gần Công trường. Nhà thầu sẽ ngay lập tức sắp xếp để chuyển đi, rủi ro và chi phí cho việc này sẽ do Nhà thầu chịu. Tuy nhiên, nếu tại thời điểm đó Nhà thầu vẫn còn nợ Chủ đầu tư một hoặc nhiều khoản thanh toán thì Chủ đầu tư được quyền bán chúng để lấy lại tiền, số tiền dư ra sẽ được trả cho Nhà thầu.
18.8. Xác định giá vào ngày chấm dứt hợp đồng
Ngay khi thông báo chấm dứt theo khoản 7 Điều 18 có hiệu lực, Chủ đầu tư theo khoản 4 Điều 13 sẽ đồng ý hoặc xác định giá trị của công trình, hàng hóa và tài liệu của Nhà thầu và các khoản tiền phải thanh toán cho Nhà thầu cho các công việc được thực hiện theo đúng hợp đồng.
18.9. Thanh toán sau khi chấm dứt hợp đồng
Sau khi thông báo chấm dứt hợp đồng theo khoản 7 Điều 18 có hiệu lực, Chủ đầu tư có thể:
a) Tiến hành theo khoản 2 Điều 13,
b) Không thanh toán thêm cho Nhà thầu cho đến khi chi phí thiết kế (nếu có), thi công, hoàn thành và sửa chữa các sai sót và hư hỏng do chậm trễ trong hoàn thành (nếu có) và các chi phí khác mà Chủ đầu tư chịu đã được thiết lập và/hoặc
c) Thu lại từ Nhà thầu các phí tổn do hư hỏng, mất mát mà Chủ đầu tư phải chịu và các chi phí thêm khác của việc hoàn thành Công trình, sau khi rà soát các khoản nợ của Nhà thầu theo khoản 8 Điều 18. Sau khi đã thu hồi lại từ các mất mát, hư hỏng và các chi phí thêm, Chủ đầu tư sẽ thanh toán phần tiền cân đối cho Nhà thầu.
18.10. Quyền chấm dứt hợp đồng của Chủ đầu tư
Chủ đầu tư có quyền chấm dứt Hợp đồng vào bất cứ lúc nào thuận tiện cho Chủ đầu tư, bằng cách thông báo cho Nhà thầu việc chấm dứt Hợp đồng đối với các trường hợp quy định tại khoản 7 Điều này. Việc chấm dứt này sẽ có hiệu lực trong khoảng thời gian [quy định tại ĐKCT] sau ngày đến sau của các thời điểm (i) Nhà thầu nhận được thông báo này của Chủ đầu tư hoặc (ii) Chủ đầu tư trả lại Bảo lãnh thực hiện. Chủ đầu tư sẽ không được chấm dứt hợp đồng theo Khoản này để tự thi công công trình hoặc sắp xếp cho để Nhà thầu khác thi công công trình.
Sau khi chấm dứt hợp đồng, Nhà thầu phải tiến hành theo khoản 3 Điều 19 và sẽ được thanh toán theo khoản 9 Điều 18.
Điều 19. Tạm ngừng chấm dứt hợp đồng bởi Nhà thầu
19.1. Quyền tạm ngừng công việc của Nhà thầu
Nếu Chủ đầu tư không tuân thủ khoản 3 Điều 12, Nhà thầu có thể, sau khi thông báo cho Chủ đầu tư không muộn hơn khoảng thời gian [quy định tại ĐKCT], sẽ tạm ngừng công việc (hoặc giảm tỷ lệ công việc) trừ khi và cho đến khi Nhà thầu được tạm ứng, thanh toán theo các điều khoản của hợp đồng, tùy từng trường hợp và như đã mô tả trong thông báo.
Việc tạm ngừng công việc của Nhà thầu theo khoản này không làm ảnh hưởng đến quyền lợi của Nhà thầu đối với các chi phí tài chính theo điểm đ khoản 3 Điều 12 và để chấm dứt hợp đồng theo khoản 2 Điều 19.
Nếu Nhà thầu tiếp đó nhận được tạm ứng hoặc thanh toán (như đã nêu trong Khoản tương ứng và trong thông báo trên) trước khi thông báo chấm dứt hợp đồng, Nhà thầu phải tiếp tục tiến hành công việc trở lại như bình thường ngay khi có thể được.
Nếu Nhà thầu phải chịu sự chậm trễ và/hoặc các chi phí phát sinh là hậu quả của việc tạm ngừng công việc (hoặc do giảm tỷ lệ công việc) theo Khoản này, Nhà thầu phải thông báo cho Chủ đầu tư và theo khoản 1 Điều 24 có quyền:
a) Gia hạn thời gian để bù cho sự chậm trễ như vậy, nếu việc hoàn thành đang hoặc sẽ bị chậm trễ theo khoản 4 Điều 10, và
b) Thanh toán cho chi phí đó cộng thêm lợi nhuận hợp lý, được tính vào giá hợp đồng.
Sau khi nhận được thông báo này, Chủ đầu tư sẽ đồng ý hoặc quyết định các vấn đề này theo khoản 4 Điều 13.
19.2. Chấm dứt hợp đồng bởi Nhà thầu
Nhà thầu được quyền chấm dứt hợp đồng nếu:
a) Nhà thầu không nhận được số tiền được thanh toán đúng theo khoảng thời gian [quy định tại ĐKCT] sau khi hết hạn thời gian thanh toán được nêu trong điểm b khoản 3 Điều 12 mà việc thanh toán phải được tiến hành trong thời gian đó (trừ việc giảm trừ theo khoản 2 Điều 13,
b) Chủ đầu tư về cơ bản không thực hiện nghĩa vụ theo hợp đồng,
c) Nhà thầu phải ngừng công việc liên tục trong khoảng thời gian [quy định tại ĐKCT] do lỗi của Chủ đầu tư,
d) Việc tạm ngừng bị kéo dài ảnh hưởng đến toàn bộ công trình như được mô tả trong khoản 5 Điều 18, hoặc
đ) Chủ đầu tư bị phá sản hoặc giải thể.
Trong bất cứ sự kiện hoặc trường hợp nào được nêu trên, Nhà thầu có thể thông báo trước khoảng thời gian [quy định tại ĐKCT] cho Chủ đầu tư để chấm dứt hợp đồng. Tuy nhiên trong trường hợp của điểm (đ) Nhà thầu có thể thông báo chấm dứt hợp đồng ngay lập tức.
19.3. Ngừng Công việc và di dời thiết bị của Nhà thầu
Sau khi nhận được thông báo chấm dứt hợp đồng theo khoản 10 Điều 18 hoặc khoản 2 Điều 19 đã có hiệu lực, Nhà thầu sẽ ngay lập tức:
a) Ngừng tất cả các công việc thêm, ngoại trừ các công việc đã được Chủ đầu tư hướng dẫn để bảo vệ con người và tài sản hoặc an toàn của công trình.
b) Chuyển giao toàn bộ tài liệu của Nhà thầu, thiết bị, các vật liệu và các công việc khác mà Nhà thầu đã được thanh toán, và
c) Di dời tất cả hàng hóa khỏi công trường, ngoại trừ các thứ cần thiết cho an toàn và rời khỏi công trường.
19.4. Thanh toán khi chấm dứt hợp đồng
Sau khi thông báo chấm dứt hợp đồng theo khoản 2 Điều 19 đã có hiệu lực, Chủ đầu tư sẽ ngay lập tức:
a) Trả lại bảo lãnh thực hiện hợp đồng, bảo lãnh tiền tạm ứng hợp đồng và các bảo đảm khác có liên quan cho Nhà thầu,
b) Thanh toán cho Nhà thầu theo khoản 9 Điều 18, và
c) Thanh toán cho Nhà thầu những thiệt hại hoặc mất mát hư hỏng khác mà Nhà thầu phải chịu do việc chấm dứt hợp đồng này.
Điều 20. Bảo hiểm và bảo hành công trình
20.1. Bảo hiểm
Các bên phải mua các loại bảo hiểm bắt buộc theo quy định của pháp Luật; các loại bảo hiểm tự nguyện khác do các bên tự thỏa thuận.
20.2. Bảo hành
Sau khi nhận được biên bản nghiệm thu công trình, hạng mục công trình để đưa vào sử dụng Nhà thầu phải:
- Thực hiện thời gian bảo hành công trình [quy định tại ĐKCT]; Bảo hành thiết bị theo quy định của nhà sản xuất;
- Nộp cho Chủ đầu tư Bảo đảm thực hiện bảo hành công trình trong khoảng thời gian [quy định tại ĐKCT] sau ngày nhận được Biên bản nghiệm thu công trình, hạng mục công trình để đưa vào sử dụng. Bảo đảm thực hiện bảo hành này phải có giá trị cho đến hết thời gian bảo hành và phải do một thể nhân hoặc pháp nhân cấp và phải theo mẫu quy định trong Phần 5 về [Các biểu mẫu] hoặc mẫu khác thì phải được Chủ đầu tư chấp thuận;
- Trong thời gian bảo hành công trình, bảo hành thiết bị Nhà thầu phải sửa chữa mọi sai sót, khiếm khuyết do lỗi của Nhà thầu gây ra trong quá trình thi công xây dựng công trình bằng chi phí của Nhà thầu. Việc sửa chữa các lỗi này phải được bắt đầu trong khoảng thời gian [quy định tại ĐKCT] sau khi nhận được thông báo của Chủ đầu tư về các lỗi này. Nếu quá thời hạn này mà Nhà thầu không bắt đầu thực hiện các công việc sửa chữa thì Chủ đầu tư có quyền thuê một Nhà thầu khác (bên thứ ba) thực hiện các công việc này và toàn bộ chi phí cho việc sửa chữa để chi trả cho bên thứ ba sẽ do Nhà thầu chịu. Nhà thầu phải thanh toán cho bên thứ ba trong khoảng thời gian [quy định tại ĐKCT] sau khi nhận được thông báo của Chủ đầu tư về các khoản thanh toán này. Trường hợp, hết hạn thanh toán mà Nhà thầu vẫn không thanh toán các khoản chi phí này thì Chủ đầu tư sẽ thực hiện theo Điều 24 để yêu cầu Nhà thầu phải thanh toán.
Điều 21. Trách nhiệm đối với các sai sót
21.1. Hoàn thành Công việc còn dở dang và sửa chữa sai sót
Để công trình và tài liệu của Nhà thầu và mỗi hạng mục luôn ở trong tình trạng theo hợp đồng quy định (trừ trường hợp bị hỏng) đến ngày hết hạn của thời hạn thông báo sai sót, Nhà thầu sẽ phải:
a) Hoàn thành các công việc còn tồn đọng vào ngày đã nêu trong Biên bản nghiệm thu trong khoảng thời gian hợp lý mà Chủ đầu tư yêu cầu, và
b) Thực hiện các công việc sửa chữa các sai sót hoặc hư hỏng do Chủ đầu tư thông báo vào ngày hoặc trước thời hạn thông báo sai sót của công trình hay hạng mục hết hạn.
Nếu sai sót xuất hiện hoặc hư hỏng xảy ra, Nhà thầu sẽ được Chủ đầu tư thông báo.
21.2. Chi phí sửa chữa sai sót
Tất cả công việc được nêu trong điểm b của khoản 1 Điều 21 sẽ được tiến hành và Nhà thầu phải chịu rủi ro và các chi phí, nếu và trong trường hợp:
a) Thiết bị, các vật liệu hoặc tay nghề không phù hợp với hợp đồng,
b) Nhà thầu không tuân thủ các nghĩa vụ khác.
Nếu và trong trường hợp sai sót là do nguyên nhân khác, Nhà thầu sẽ được Chủ đầu tư thông báo ngay lập tức và khi đó sẽ áp dụng khoản 3 Điều 16.
21.3. Kéo dài thêm thời hạn thông báo sai sót
Theo khoản 2 Điều 13 Chủ đầu tư sẽ được quyền kéo dài thêm thời hạn thông báo sai sót về công trình hoặc hạng mục nếu và trong trường hợp công trình, hạng mục công trình hay một bộ phận chính của Nhà máy (tùy tùng trường hợp và sau khi đã nghiệm thu) không thể sử dụng được theo đúng mục đích đã định do sai sót hoặc hư hỏng. Tuy nhiên, thời gian thông báo sai sót sẽ không được kéo dài quá khoảng thời gian [quy định tại ĐKCT].
Nếu việc cung cấp và/hoặc lắp đặt thiết bị và / hoặc các vật liệu bị tạm ngừng theo khoản 2 Điều 18 hay khoản 1 Điều 19, theo Điều này nghĩa vụ của Nhà thầu sẽ không áp dụng cho những sai sót hoặc hư hỏng xảy ra quá khoảng thời gian [quy định tại ĐKCT] sau khi Thời gian thông báo sai sót hết hiệu lực.
21.4. Không sửa chữa được sai sót
Nếu Nhà thầu không sửa chữa được các sai sót hay hư hỏng trong khoảng thời gian hợp lý, Chủ đầu tư hoặc đại diện của Chủ đầu tư có thể ấn định ngày để sửa chữa các sai sót hay hư hỏng. Nhà thầu sẽ được thông báo về ngày này.
Nếu Nhà thầu không sửa chữa được các sai sót hay hư hỏng vào ngày đã thông báo và việc sửa chữa sẽ được thực hiện mà Nhà thầu phải chịu chi phí theo khoản 2 Điều 21, Chủ đầu tư (tùy theo lựa chọn) có thể:
a) Tự tiến hành công việc hoặc thuê người khác theo cách thức hợp lý và Nhà thầu phải chịu mọi chi phí, nhưng Nhà thầu sẽ không chịu trách nhiệm về công việc này; và Nhà thầu theo khoản 2 Điều 13 phải trả cho Chủ đầu tư những chi phí hợp lý phát sinh từ việc Chủ đầu tư sửa chữa các sai sót hoặc hư hỏng;
b) Khấu trừ hợp lý trong Giá hợp đồng theo khoản 4 Điều 13; hoặc
c) Nếu sai sót hoặc hư hỏng dẫn đến việc Chủ đầu tư về cơ bản bị mất toàn bộ lợi ích từ công trình hay phần lớn công trình, sẽ chấm dứt toàn bộ hợp đồng hay phần lớn công trình không thể đưa vào sử dụng cho mục đích đã định. Khi đó, kể cả trường hợp không được quy định tại hợp đồng, Chủ đầu tư sẽ được quyền lấy lại toàn bộ số tiền đã trả cho Nhà thầu để xây dựng công trình hoặc một phần công trình đó (tùy từng trường hợp cụ thể) cộng thêm chi phí tài chính và chi phí tháo dỡ phần công trình đó, dọn dẹp công trường và trả thiết bị, các vật liệu lại cho Nhà thầu.
21.5. Di chuyển sản phẩm bị sai sót
Nếu sai sót hoặc hư hỏng không thể sửa chữa tốt ngay trên công trường được và được Chủ đầu tư chấp thuận, Nhà thầu có thể chuyển khỏi công trường thiết bị hoặc cấu kiện bị sai sót hay hư hỏng để sửa chữa. Việc chấp thuận của Chủ đầu tư, trong trường hợp cần thiết, sẽ cần bảo đảm thông qua việc tăng số tiền bảo lãnh hợp đồng của Nhà thầu tương đương với khoản chi phí thay thế toàn bộ các phần này, hay đưa ra các hình thức bảo đảm phù hợp khác.
21.6. Các kiểm định thêm
Nếu việc sửa chữa sai sót hoặc hư hỏng có thể ảnh hưởng đến sự vận hành của công trình, Chủ đầu tư có thể yêu cầu tiến hành lại bất cứ cuộc kiểm định nào nêu trong hợp đồng, bao gồm cả các cuộc kiểm định khi hoàn thành và/hoặc kiểm định sau khi hoàn thành. Yêu cầu này có thể được thông báo trong khoảng thời gian [quy định tại ĐKCT] sau khi đã sửa chữa sai sót hoặc hư hỏng.
Các kiểm định này phải được tiến hành theo các điều kiện được áp dụng cho các kiểm định trước, chỉ khác là được tiến hành bằng sự rủi ro và kinh phí của bên chịu trách nhiệm theo khoản 2 Điều 21.
21.7. Nhà thầu tìm nguyên nhân
Nhà thầu sẽ, nếu Chủ đầu tư (hoặc Nhà tư vấn) yêu cầu, tìm nguyên nhân dẫn đến sai sót theo chỉ dẫn của Nhà tư vấn. Trừ khi sai sót đã được sửa chữa bằng chi phí của Nhà thầu theo khoản 2 Điều 21, chi phí của việc tìm kiếm nguyên nhân cộng với lợi nhuận hợp lý sẽ được Chủ đầu tư đồng ý hoặc quyết định theo khoản 4 Điều 13 và sẽ được tính vào Giá hợp đồng.
Điều 22. Thưởng, phạt do vi phạm hợp đồng và trách nhiệm bồi thường thiệt hại
22.1. Thưởng hoàn thành tốt hợp đồng
Nhà thầu thực hiện hợp đồng đảm bảo chất lượng theo quy định với thời gian sớm hơn thời gian quy định tại hợp đồng này thì được Chủ đầu tư xem xét thưởng hợp đồng với mức thưởng [quy định tại ĐKCT] cho mỗi (ngày, tuần, tháng ...) thực hiện xong sớm hơn và tối đa [quy định tại ĐKCT].
22.2. Phạt vi phạm hợp đồng
Nếu Nhà thầu vi phạm về thời gian thực hiện hợp đồng mà không do sự kiện bất khả kháng hoặc không do lỗi của Chủ đầu tư gây ra, Nhà thầu sẽ chịu phạt [quy định tại ĐKCT]. Tổng giá trị phạt không quá 12% giá trị phần hợp đồng bị vi phạm.
Nếu Nhà thầu vi phạm chất lượng theo quy định tại hợp đồng này cũng như theo các quy định hiện hành thì Nhà thầu phải phá đi làm lại, chi phí cho việc phá đi làm lại và thiệt hại khác do Nhà thầu chịu. Ngoài ra, nếu chậm hoàn thành công trình, Nhà thầu còn chịu phạt vi phạm thời gian hợp đồng nêu trên.
22.3. Bồi thường thiệt hại
Ngoài mức phạt do vi phạm hợp đồng theo quy định tại khoản 2 Điều 22, các bên còn phải chịu trách nhiệm do vi phạm hợp đồng xây dựng được quy định cụ thể tại Điều 43 Nghị định số 37/2015/NĐ-CP ngày 22/4/2015 của Chính phủ quy định chi tiết về hợp đồng xây dựng.
22.4. Sự cẩn trọng của Nhà thầu đối với công trình
Nhà thầu sẽ chịu hoàn toàn trách nhiệm đối với việc bảo đảm công trình và hàng hóa từ ngày khởi công cho đến ngày phát hành Biên bản nghiệm thu hoặc coi như được phát hành theo khoản 1 Điều 9 cho công trình, khi trách nhiệm được chuyển qua Chủ đầu tư. Nếu Biên bản nghiệm thu được phát hành (hoặc coi như đã phát hành) cho bất cứ hạng mục hay công trình nào, thì trách nhiệm bảo đảm bất kỳ hạng mục nào của công trình đó được chuyển cho Chủ đầu tư.
Sau khi trách nhiệm được chuyển một cách phù hợp cho Chủ đầu tư, Nhà thầu sẽ nhận trách nhiệm bảo đảm cho toàn bộ công việc còn tồn lại chưa giải quyết xong vào ngày được nêu trong Biên bản nghiệm thu cho đến khi các công việc này được hoàn thành.
Nếu bất cứ việc mất mát hay hư hỏng nào xảy ra cho công trình, hàng hóa hoặc tài liệu của Nhà thầu nào trong khoảng thời gian Nhà thầu đang chịu trách nhiệm bảo đảm, do bất cứ lí do nào không được liệt kê trong khoản 1 Điều 23, Nhà thầu sẽ phải sửa chữa những mất mát hay hư hỏng bằng sự rủi ro và chi phí của Nhà thầu, để công trình, hàng hóa và tài liệu của Nhà thầu đúng với hợp đồng.
Nhà thầu sẽ phải chịu trách nhiệm đối với bất cứ hỏng hóc hay mất mát do các hoạt động mà Nhà thầu thực hiện sau khi Biên bản nghiệm thu đã được phát hành. Nhà thầu phải chịu trách nhiệm đối với bất cứ một hỏng hóc hay mất mát xảy ra sau khi Biên bản nghiệm thu đã được phát hành và cả những việc xảy ra trước đó mà trách nhiệm thuộc Nhà thầu.
22.5. Quyền sở hữu công nghiệp và trí tuệ
Trong khoản này, “sự xâm phạm” nghĩa là sự xâm phạm (hay bị cho là xâm phạm) bất cứ một bằng sáng chế, thiết kế đã đăng ký, quyền sao chụp, nhãn hiệu, mác thương mại, bí mật thương mại hay quyền sở hữu công nghiệp và trí tuệ khác liên quan đến công trình; và “khiếu nại” nghĩa là sự đòi hỏi quyền lợi (hay kiện tụng đòi hỏi quyền lợi) do thấy rằng bị xâm phạm.
Khi một Bên không gửi thông báo cho Bên kia về bất cứ khiếu nại nào trong khoảng thời gian [quy định tại ĐKCT] từ khi tiếp nhận khiếu nại, Bên thứ nhất sẽ bị coi là không phải bồi thường theo khoản này.
Chủ đầu tư phải bồi thường và gánh chịu tổn hại cho Nhà thầu đối với bất kỳ khiếu nại cho rằng bị xâm phạm trên cơ sở:
a) Một kết quả không tránh khỏi từ sự tuân thủ của Nhà thầu đối với các yêu cầu của Chủ đầu tư, hay
b) Kết quả của việc công trình đang được sử dụng bởi Chủ đầu tư:
i. Vì một mục đích khác so với mục đích được chỉ ra hoặc được diễn giải một cách hợp lý từ hợp đồng, hoặc
ii. Những thứ liên quan không được cung cấp bởi Nhà thầu, trừ khi việc sử dụng như vậy được thông báo cho Nhà thầu trước Ngày khởi công hay được nêu trong hợp đồng.
Nhà thầu sẽ bồi thường và gánh chịu mọi tổn hại cho Chủ đầu tư đối với bất cứ khiếu nại khác phát sinh hoặc liên quan đến (i) thiết kế, chế tạo, xây dựng hoặc thực hiện Công trình của Nhà thầu, (ii) sử dụng thiết bị của Nhà thầu hoặc (iii) sử dụng Công trình.
Nếu một bên có quyền được đền bù theo khoản này, Bên bồi thường có thể (bằng chi phí của mình) tiến hành các cuộc đàm phán để giải quyết các khiếu nại và kiện tụng hay phân xử phát sinh. Bên khác sẽ, theo yêu cầu và bằng chi phí của Bên đền bù, hỗ trợ trong tranh cãi về khiếu nại. Bên khác (cùng với nhân viên của mình) sẽ không được làm bất cứ điều gì có thể làm tổn hại đến Bên đền bù, trừ khi Bên đền bù không thực hiện bất kỳ cuộc đàm phán, kiện tụng hay giải quyết tranh chấp khi được Bên kia yêu cầu.
22.6. Giới hạn của trách nhiệm bồi thường
Toàn bộ trách nhiệm pháp lý của Nhà thầu đối với Chủ đầu tư theo hoặc liên quan đến hợp đồng ngoài khoản 14 và 15 Điều 15, khoản 3 Điều 22 và khoản 5 Điều 25 phải không được vượt quá mức [quy định tại ĐKCT].
Khoản này sẽ không giới hạn trách nhiệm pháp lý trong các trường hợp gian dối, bỏ cuộc cố ý hay cư xử sai trái bởi Bên phạm lỗi.
Điều 23. Rủi ro và bất khả kháng
23.1. Rủi ro và bất khả kháng
a) Rủi ro là nguy cơ ảnh hưởng tiêu cực đến việc thực hiện hợp đồng.
b) Bất khả kháng là một sự kiện rủi ro xảy ra một cách khách quan, không thể lường trước khi ký kết hợp đồng và không thể khắc phục được mặc dù đã áp mọi biện pháp cần thiết và khả năng cho phép, như: động đất, bão, lũ, lụt, sóng thần, hỏa hoạn, địch họa hoặc các sự kiện bất khả kháng khác.
c) Khi một Bên bị rơi vào tình trạng bất khả kháng, thì phải thông báo bằng văn bản cho bên kia trong thời gian sớm nhất có thể.
23.2. Hậu quả của các rủi ro
Nếu trong trường hợp mọi rủi ro được liệt kê trong khoản 1 Điều 23 trên đây dẫn đến mất mát hay hư hỏng cho công trình, bất động sản, vật tư thiết bị hay các tài liệu của Nhà thầu, thì Nhà thầu phải ngay lập tức gửi thông báo cho Chủ đầu tư và sửa chữa sự mất mát và hư hỏng trong phạm vi Chủ đầu tư yêu cầu.
Nếu Nhà thầu bị chậm trễ và phải chịu chi phí do sửa chữa những mất mát hay hư hỏng này, Nhà thầu phải gửi một thông báo cho Chủ đầu tư và sẽ có quyền theo khoản 1 Điều 24 để:
a) Kéo dài thời gian vì việc chậm trễ này, nếu việc hoàn thành bị hoặc sẽ bị chậm trễ, theo khoản 4 Điều 10;
b) Thanh toán mọi chi phí sẽ được cộng vào Giá hợp đồng.
Sau khi nhận thông báo tiếp theo này, Chủ đầu tư phải xem xét để nhất trí hay quyết định các vấn đề này.
23.3. Trách nhiệm của Nhà thầu đối với rủi ro
Nhà thầu sẽ chịu hoàn toàn trách nhiệm đối với việc bảo đảm công trình và hàng hóa từ ngày khởi công cho đến ngày phát hành Biên bản nghiệm thu hoặc coi như được phát hành theo Điều 9 cho công trình, khi trách nhiệm được chuyển qua Chủ đầu tư. Nếu Biên bản nghiệm thu được phát hành (hoặc coi như đã phát hành) cho bất cứ hạng mục hay công trình nào, thì trách nhiệm bảo đảm các hạng mục của công trình đó được chuyển cho Chủ đầu tư.
Sau khi trách nhiệm được chuyển giao một cách phù hợp cho Chủ đầu tư, Nhà thầu sẽ nhận trách nhiệm bảo đảm toàn bộ công việc còn tồn lại chưa giải quyết xong vào ngày được nêu trong Biên bản nghiệm thu cho đến khi các công việc này được hoàn thành.
Nếu bất cứ việc mất mát hay hư hỏng nào xảy ra cho công trình, vật tư thiết bị hoặc tài liệu của Nhà thầu nào trong khoảng thời gian Nhà thầu đang chịu trách nhiệm bảo đảm, Nhà thầu sẽ phải sửa những mất mát hay hư hỏng bằng chi phí của Nhà thầu, để công trình, vật tư thiết bị và tài liệu của Nhà thầu đúng với hợp đồng.
Nhà thầu phải chịu trách nhiệm đối với bất cứ một hỏng hóc hay mất mát xảy ra sau khi Biên bản nghiệm thu đã được phát hành và cả những việc xảy ra trước đó thuộc trách nhiệm của Nhà thầu.
23.4. Bồi thường rủi ro
Nhà thầu phải bồi thường và gánh chịu những tổn hại cho Chủ đầu tư đối với các khiếu nại, hỏng hóc, mất mát và các chi phí (bao gồm phí và các chi phí pháp lý) có liên quan đến:
a) Tổn hại thân thể, bệnh tật, ốm đau hay chết, của bất cứ người nào xảy ra do nguyên nhân thi công và hoàn thành công trình và sửa chữa các sai sót, trừ khi là kết quả của việc cẩu thả, cố ý làm hoặc vi phạm hợp đồng bởi Chủ đầu tư, các nhân viên của Chủ đầu tư, hoặc bất kỳ đại diện riêng nào của họ;
b) Hỏng hóc hay mất mát của bất cứ tài sản nào, là bất động sản hay của cá nhân (không phải là công trình), ở phạm vi mà những hỏng hóc hay mất mát này:
- Phát sinh từ hoặc trong quá trình tiến hành hoặc do nguyên nhân của thi công và hoàn thành công trình và sửa chữa các sai sót;
- Được quy cho sự bất cẩn, cố ý làm hoặc vi phạm hợp đồng bởi Nhà thầu, nhân lực của Nhà thầu, hoặc bất cứ người nào trực tiếp hay gián tiếp được họ thuê.
Chủ đầu tư phải bồi thường và gánh chịu những tổn hại cho Nhà thầu, các nhân viên của Nhà thầu đối với các khiếu nại, thiệt hại, mất mát và chi phí (bao gồm phí và các chi phí pháp lý) liên quan đến tổn hại thân thể, ốm đau, bệnh tật hay chết được quy cho sự cẩu thả, cố ý làm hoặc vi phạm hợp đồng bởi Chủ đầu tư, các nhân viên của Chủ đầu tư.
23.5. Thông báo về Bất khả kháng
Nếu một Bên bị cản trở thực hiện bất cứ nghĩa vụ của mình theo hợp đồng do tình trạng bất khả kháng, Bên đó phải gửi thông báo cho Bên kia về sự việc hoặc trường hợp gây nên tình trạng bất khả kháng và phải nêu rõ các nghĩa vụ, công việc đã và sẽ bị cản trở. Thông báo phải được gửi sớm nhất sau khi Bên đó nhận biết được tình trạng, hoặc lẽ ra đã nhận biết được về sự việc hoặc trường hợp gây nên tình trạng bất khả kháng.
Bên đó, khi đã thông báo, phải được miễn thực hiện công việc thuộc nghĩa vụ trong thời gian mà tình trạng bất khả kháng cản trở việc thực hiện của họ.
Kể cả trong trường hợp khoản này có quy định khác thì bất khả kháng cũng không áp dụng đối với các nghĩa vụ thanh toán tiền của bất cứ Bên nào cho Bên kia theo hợp đồng.
23.6. Các hậu quả của bất khả kháng
Nếu Nhà thầu bị cản trở thực hiện bất kỳ nhiệm vụ nào của mình theo hợp đồng do bất khả kháng mà đã thông báo theo khoản 5 Điều 23, và chịu sự chậm trễ và chịu chi phí do bất khả kháng, Nhà thầu sẽ có quyền theo khoản 1 Điều 24.
a) Kéo dài thời gian do sự chậm trễ này, nếu việc hoàn thành bị và sẽ bị chậm trễ, theo khoản 4 Điều 10;
b) Nếu sự việc hay trường hợp thuộc loại được mô tả trong các điểm b khoản 1 Điều 23 được thanh toán các chi phí này.
Sau khi nhận được thông báo này, Chủ đầu tư phải xem xét để nhất trí hay quyết định các vấn đề này.
23.7. Chấm dứt hợp đồng do bất khả kháng, thanh toán, hết trách nhiệm
Nếu việc thực hiện công trình cơ bản đang được tiến hành bị cản trở liên tục trong khoảng thời gian [quy định tại ĐKCT] do Bất khả kháng đã được thông báo theo khoản 5 Điều 23, hoặc trong nhiều khoảng thời gian mà tổng số thời gian [quy định tại ĐKCT] do cùng bất khả kháng đã được thông báo, thì một trong hai Bên có thể gửi thông báo chấm dứt hợp đồng cho Bên kia. Trong trường hợp này, việc chấm dứt hợp đồng sẽ có hiệu lực trong khoảng thời gian [quy định tại ĐKCT] sau khi bên kia nhận được thông báo.
Đối với trường hợp chấm dứt này, Chủ đầu tư sẽ phải thanh toán cho Nhà thầu:
a) Các khoản thanh toán cho bất kỳ công việc nào đã được thực hiện mà giá đã được nêu trong hợp đồng;
b) Chi phí cho thiết bị và vật tư được đặt hàng cho công trình đã được chuyển tới cho Nhà thầu, hoặc những thứ Nhà thầu có trách nhiệm chấp nhận giao hàng: thiết bị và vật tư này sẽ trở thành tài sản (và là rủi ro) của Chủ đầu tư khi đã được Chủ đầu tư thanh toán, và Nhà thầu sẽ để cho Chủ đầu tư tùy ý sử dụng;
c) Mọi chi phí hoặc trách nhiệm khác mà trong trường hợp bất khả kháng Nhà thầu phải chịu để hoàn thành công trình;
d) Chi phí di chuyển các công trình tạm và thiết bị của Nhà thầu khỏi công trình và trả lại các hạng mục thiết bị này cho công trình của Nhà thầu;
đ) Chi phí bồi thường cho đội ngũ nhân viên và các người lao động được Nhà thầu thuê cho toàn bộ thời gian liên quan đến công trình vào thời điểm chấm dứt hợp đồng.
Điều 24. Khiếu nại và giải quyết tranh chấp
24.1. Khiếu nại của Nhà thầu
Trong trường hợp Nhà thầu cho rằng mình có quyền đối với bất kỳ sự gia hạn thời gian hoàn thành và/hoặc bất cứ sự thanh toán thêm theo bất kỳ Điều khoản nào có liên quan tới hợp đồng, Nhà thầu phải thông báo cho Chủ đầu tư mô tả sự việc hay trường hợp dẫn tới việc phát sinh khiếu nại. Thông báo phải được đưa ra ngay và trong khoảng thời gian [quy định tại ĐKCT] sau khi Nhà thầu nhận thấy hoặc lẽ ra đã ý thức được sự việc hoặc trường hợp này.
Nếu Nhà thầu không thông báo về khiếu nại trong khoảng thời gian [quy định tại ĐKCT] thì thời gian hoàn thành sẽ không được kéo dài, Nhà thầu sẽ không được quyền thanh toán thêm và Chủ đầu tư không phải chịu mọi trách nhiệm về khiếu nại. Nếu không sẽ áp dụng những quy định sau đây của khoản này.
Nhà thầu cũng phải trình các thông báo khác theo hợp đồng yêu cầu và các chi tiết bổ sung cho việc khiếu nại, tất cả đều có liên quan tới sự việc hoặc trường hợp này.
Nhà thầu phải giữ các bản hồ sơ hiện có ở tại công trường hoặc là ở một nơi mà Chủ đầu tư có thể chấp nhận vì có thể sẽ cần thiết để minh chứng cho khiếu nại. Với việc không thừa nhận trách nhiệm của Chủ đầu tư, Chủ đầu tư có thể sau khi nhận được bất cứ một thông báo nào theo khoản này, phải giám sát việc lưu giữ các hồ sơ và/hoặc hướng dẫn Nhà thầu tiếp tục lưu giữ lâu hơn các hồ sơ hiện có. Nhà thầu phải cho phép Chủ đầu tư kiểm tra tất cả các hồ sơ, và phải nộp các bản sao (nếu được yêu cầu) cho Chủ đầu tư.
Trong khoảng thời gian [quy định tại ĐKCT] sau khi Nhà thầu ý thức được (hoặc lẽ ra đã phải ý thức được), về sự việc hoặc trường hợp đưa đến khiếu nại, hoặc là trong khoảng thời gian khác tương tự mà có thể được Nhà thầu đưa ra và được Chủ đầu tư phê duyệt, Nhà thầu phải gửi cho Chủ đầu tư đầy đủ chi tiết khiếu nại bao gồm cả các chi tiết hỗ trợ về cơ sở của việc khiếu nại và của yêu cầu kéo dài thời gian và/hoặc thanh toán thêm. Nếu sự việc hoặc trường hợp dẫn đến khiếu nại vẫn tiếp tục có hiệu lực thì:
a) Các chi tiết đầy đủ của khiếu nại sẽ được xem xét như là tạm thời;
b) Nhà thầu phải gửi trực tiếp các khiếu nại tạm thời hàng tháng cho thấy sự chậm trễ dồn lại và/hoặc khoản tiền khiếu nại và những chi tiết cụ thể mà Chủ đầu tư có thể yêu cầu; và
c) Nhà thầu phải gửi bản khiếu nại cuối cùng trong khoảng thời gian [quy định tại ĐKCT] sau khi hết ảnh hưởng do sự việc hoặc trường hợp gây ra, hoặc trong khoảng thời gian khác có thể được Nhà thầu đề xuất và được Chủ đầu tư đồng ý.
Trong khoảng thời gian [quy định tại ĐKCT] sau khi nhận được một khiếu nại hoặc các chi tiết hỗ trợ thêm cho khiếu nại trước đây, hoặc trong khoảng thời gian khác có thể được Chủ đầu tư đề xuất và Nhà thầu chấp nhận, Chủ đầu tư phải trả lời về việc tán thành hay không tán thành và đưa ra các nhận xét chi tiết. Họ cũng có thể yêu cầu cung cấp thêm chi tiết nhưng tuy nhiên phải được trả lời trên các nguyên tắc của vụ khiếu nại trong khoảng thời gian đó.
Mỗi Chứng chỉ thanh toán phải bao gồm các khoản tiền khiếu nại như đã được chứng minh hợp lý đúng với các điều khoản liên quan của hợp đồng. Ngoại trừ và cho đến khi các chi tiết được cung cấp đầy đủ để chứng minh toàn bộ khiếu nại, Nhà thầu sẽ chỉ được quyền thanh toán cho phần của khiếu nại mà đã có thể chứng minh được.
Chủ đầu tư sẽ phải tiến hành theo khoản 3 Điều 14 để thống nhất hoặc quyết định (i) gia hạn (nếu có) thời gian hoàn thành (trước hoặc sau hạn định) theo khoản 4 Điều 10 và /hoặc (ii) thanh toán thêm (nếu có) mà Nhà thầu được quyền theo hợp đồng.
Các yêu cầu của khoản này là phần bổ sung thêm cho mọi khoản khác có thể áp dụng cho một khiếu nại. Nếu Nhà thầu không tuân thủ các điều khoản có liên quan đến khiếu nại, thì bất cứ sự kéo dài thời gian hoàn thành và / hoặc khoản thanh toán thêm sẽ phải được xét đến mức độ (nếu có) mà sự vi phạm này đã cản trở hoặc làm ảnh hưởng đến việc điều tra khiếu nại, trừ khi khiếu nại không thông báo đúng như mô tả trong đoạn thứ hai của khoản này.
24.2. Việc cử Ban xử lý tranh chấp
Trường hợp các bên thỏa thuận giải quyết tranh chấp hợp đồng thông qua hòa giải bằng ban xử lý tranh chấp, thì các tranh chấp phải được phân xử bởi Ban xử lý tranh chấp theo khoản 4 Điều 24. Các bên sẽ cùng chỉ định ra Ban xử lý tranh chấp trong khoảng thời gian [quy định tại ĐKCT] sau khi một bên thông báo cho Bên kia về ý định của mình về việc đưa tranh chấp lên Ban xử lý tranh chấp.
Ban xử lý tranh chấp gồm, như [quy định tại ĐKCT], một hoặc ba người có trình độ phù hợp (“những thành viên”). Nếu số lượng thành viên không được quy định từ trước và các Bên không thống nhất, thì Ban xử lý tranh chấp sẽ gồm ba người.
Nếu Ban xử lý tranh chấp bao gồm ba người, thì mỗi Bên sẽ cử một thành viên để cho bên kia chấp thuận. Các bên sẽ lấy ý kiến của hai thành viên này và sẽ thỏa thuận về thành viên thứ ba, người sẽ được chỉ định làm Chủ tịch.
Tuy nhiên, nếu như có danh sách các thành viên hiện có trong hợp đồng, thì các thành viên sẽ được chọn từ danh sách này thay vì một người khác không thể hoặc không tự nguyện chấp nhận sự chỉ định vào Ban xử lý tranh chấp.
Sự thống nhất giữa các Bên và cả thành viên duy nhất (“người xử lý tranh chấp”) hoặc là từng người một trong ba thành viên được sẽ kết hợp chặt chẽ bằng việc tham khảo Điều kiện của thỏa thuận xử lý tranh chấp với các sửa đổi được thống nhất giữa các thành viên.
Các khoản thù lao cho thành viên duy nhất hoặc của từng thành viên sẽ được các bên thống nhất khi thỏa thuận các mục chỉ định. Mỗi bên sẽ chịu trách nhiệm trả một nửa khoản thù lao này.
Nếu ở thời điểm nào đó mà các bên thỏa thuận, họ có thể chỉ định một người thích hợp hoặc các người để thay thế một hoặc nhiều thành viên của Ban Xử lý. Trừ khi các Bên thỏa thuận khác, việc chỉ định sẽ có hiệu lực nếu một thành viên từ chối đảm nhận hoặc không thể đảm nhận bởi nguyên nhân tử vong, không có năng lực, từ chức hoặc kết thúc nhiệm kỳ. Việc thay thế phải được chỉ định theo cách tương tự như đối với việc chỉ định hoặc thỏa thuận người bị thay thế như mô tả trong khoản này.
Việc chỉ định bất cứ thành viên nào có thể bị kết thúc bằng sự nhất trí của cả hai Bên, nhưng Chủ đầu tư hoặc Nhà thầu không được tự ý hành động. Mặt khác trừ khi có sự đồng ý của cả hai Bên, việc chỉ định Ban xử lý tranh chấp (gồm mỗi thành viên) sẽ chấm dứt khi Ban xử lý tranh chấp đã đưa ra quyết định về việc phân xử tranh chấp.
24.3. Không thỏa thuận được về Ban xử lý tranh chấp
Nếu có bất cứ điều kiện nào dưới đây gồm:
a) Các Bên bất đồng trong việc chỉ định thành viên duy nhất của Ban xử lý tranh chấp vào thời hạn được nêu trong khoản 2 Điều 24;
b) Một trong hai Bên không đề cử được thành viên (để bên kia chấp thuận) cho Ban xử lý tranh chấp gồm ba người vào thời hạn đó;
c) Các Bên không thống nhất việc chỉ định thành viên thứ ba (để giữ vai trò Chủ tịch của Ban xử lý tranh chấp) vào thời hạn đó;
d) Các Bên không thống nhất việc chỉ định một người thay thế trong khoảng thời gian [quy định tại ĐKCT] ngay sau ngày mà thành viên duy nhất hoặc một trong ba thành viên từ chối hoặc không thể đảm nhận công việc do tử vong, không đủ khả năng, từ chức hoặc hết nhiệm kỳ, thì cơ quan chỉ định hoặc viên chức [quy định tại ĐKCT], dựa trên yêu cầu của một Bên nào hoặc cả hai Bên và sau khi trao đổi thỏa đáng với hai Bên, sẽ chỉ định thành viên vào Ban xử lý tranh chấp. Việc chỉ định này sẽ là kết luận cuối cùng. Mỗi Bên phải có trách nhiệm trả một nửa tiền thù lao cho cơ quan hoặc viên chức được quyền chỉ định này.
24.4. Có kết luận của Ban xử lý tranh chấp
Nếu một tranh chấp (bất cứ loại nào) xảy ra giữa các Bên liên quan đến, hoặc phát sinh từ hợp đồng, bao gồm bất cứ tranh chấp nào liên quan đến việc chứng nhận, xác định, hướng dẫn, ý kiến hoặc đánh giá của Chủ đầu tư, thì ngay sau khi Ban xử lý tranh chấp được chỉ định theo khoản 2 và 3 Điều 24 mỗi bên có thể đề đạt tranh chấp bằng văn bản cho Ban xử lý tranh chấp để xem xét và ra kết luận. Các ý kiến này phải được nêu rõ là được thực hiện theo khoản này.
Đối với Ban xử lý tranh chấp có ba người thì Ban xử lý tranh chấp sẽ được coi như đã nhận các ý kiến này vào ngày Chủ tịch Ban xử lý tranh chấp cũng nhận được.
Hai Bên phải ngay lập tức có đủ mọi thông tin cho Ban xử lý tranh chấp, tạo điều kiện tiếp cận công trường và các phương tiện phù hợp mà Ban xử lý tranh chấp có thể yêu cầu cho mục đích đưa ra quyết định cho việc tranh chấp, Ban xử lý tranh chấp phải được coi là không hành động như các trọng tài.
Trong khoảng thời gian [quy định tại ĐKCT] sau khi nhận được các ý kiến, hoặc nhận được khoản tạm ứng theo như Phụ lục về [Ban xử lý tranh chấp]. Những Điều kiện trong hợp đồng của thỏa thuận xử lý tranh chấp, bất cứ kỳ hạn nào muộn hơn, hoặc trong khoảng thời gian khác có thể được Ban xử lý tranh chấp đề xuất và được hai Bên chấp thuận Ban xử lý tranh chấp phải đưa ra quyết định của mình, những quyết định này phải hợp lý và phải được công bố phù hợp với khoản này. Tuy nhiên nếu như không Bên nào thanh toán đầy đủ các hóa đơn được nộp bởi mỗi thành viên đúng theo Phụ lục về [Ban xử lý tranh chấp], Ban xử lý tranh chấp sẽ không có nghĩa vụ phải đưa ra quyết định cho đến khi hóa đơn được thanh toán đầy đủ. Quyết định sẽ ràng buộc hai Bên phải thực hiện ngay lập tức trừ khi và cho đến khi được xem xét lại theo sự hòa giải hoặc một quyết định trọng tài như được mô tả dưới đây. Trừ khi hợp đồng đã chấm dứt, khước từ hoặc hủy bỏ, Nhà thầu phải tiếp tục thực hiện công trình theo hợp đồng.
Nếu một Bên không thỏa mãn với quyết định của Ban xử lý tranh chấp, thì Bên đó trong khoảng thời gian [quy định tại ĐKCT] sau khi nhận được quyết định, có thể thông báo cho Bên kia về việc chưa thỏa mãn của mình. Nếu Ban xử lý tranh chấp không đưa ra quyết định trong khoảng thời gian [quy định tại ĐKCT] sau khi nhận được hồ sơ hoặc khoản thanh toán như vậy thì Bên này, sau khoảng thời gian [quy định tại ĐKCT|, có thể thông báo cho Bên kia về việc chưa thỏa mãn.
Trong mỗi sự kiện, thông báo về việc chưa thỏa mãn phải công bố phù hợp với khoản này, và trình bày những vấn đề của Tranh chấp và những lý do chưa thỏa mãn. Ngoại trừ những quy định trong khoản 7 và 8 Điều 24, không bên nào được quyền khởi xướng phân xử tranh chấp trừ khi một thông báo về việc chưa thỏa mãn đã được đưa ra theo khoản này.
Nếu Ban xử lý tranh chấp đã đưa ra quyết định của mình về một vấn đề tranh chấp cho hai bên, và không có thông báo việc chưa thỏa mãn do các bên đưa ra trong khoảng thời gian [quy định tại ĐKCT] sau khi nhận được quyết định của Ban xử lý tranh chấp, thì quyết định sẽ là cuối cùng và ràng buộc cả hai bên.
24.5. Hòa giải
Nếu có bất kỳ nội dung được đưa ra trong kết luận của Ban xử lý tranh chấp mà một bên thông báo không thỏa mãn kết theo khoản 4 Điều 24 nêu trên, các Bên phải cố gắng để giải quyết tranh chấp bằng hòa giải trước khi khởi kiện. Tuy nhiên trừ khi các Bên thỏa thuận khác, việc Trọng tài phân xử có thể tiến hành vào hoặc, trong khoảng thời gian [quy định tại ĐKCT], thông báo không thỏa mãn được đưa ra bởi một bên, ngay cả khi không có hòa giải.
24.6. Giải quyết tranh chấp tại Tòa án hoặc Trọng tài
Hình thức giải quyết tranh chấp tại Tòa án hoặc Trọng tài [quy định tại ĐKCT]. Trừ khi tranh chấp được giải quyết thông qua kết luận của Ban xử lý tranh chấp hoặc hòa giải, còn bất kỳ tranh chấp nào liên quan đến kết luận của Ban xử lý tranh chấp (nếu có) chưa phải là cuối cùng và nếu còn tranh chấp thì phải được giải quyết thông qua Trọng tài hoặc Tòa án. Khi đó, trình tự, thủ tục giải quyết tranh chấp phải tuân thủ quy định của pháp luật hoặc quy tắc Trọng tài.
24.7. Không tuân thủ kết luận của Ban xử lý tranh chấp
Trong trường hợp mà:
a) Không Bên nào đưa ra thông báo không thỏa mãn trong thời gian được quy định tại khoản 4 Điều 24,
b) Kết luận có liên quan của Ban xử lý tranh chấp (nếu có) là cuối cùng và bắt buộc thực hiện.
c) Khi một Bên không tuân thủ kết luận của Ban xử lý tranh chấp thì Bên kia có thể đưa việc không tuân thủ này lên Trọng tài hoặc Tòa án phân xử theo khoản 4, 5 và 6 Điều 24 sẽ không được áp dụng cho việc này.
24.8. Hết hạn việc chỉ định của Ban xử lý tranh chấp
Nếu tranh chấp xảy ra giữa các bên liên quan đến hoặc phát sinh ngoài hợp đồng hoặc việc thực hiện công trình và không có Ban xử lý tranh chấp thường xuyên, do bởi hết hạn chỉ định hay lý do khác thì:
a) Khoản 4 và 5 Điều 24 sẽ không áp dụng, và
b) Tranh chấp có thể được đưa lên Trọng tài hoặc Tòa án phân xử theo khoản 6 Điều 24.
Điều 25. Quyết toán và thanh lý hợp đồng
25.1. Quyết toán hợp đồng
Trong khoảng thời gian [quy định tại ĐKCT] sau khi nhận được Biên bản nghiệm thu và xác nhận của Chủ đầu tư rằng Nhà thầu đã hoàn thành tất cả các công việc theo quy định của hợp đồng, Nhà thầu sẽ trình cho Chủ đầu tư, [quy định tại ĐKCT], các bộ hồ sơ quyết toán hợp đồng với các tài liệu trình bày chi tiết theo mẫu mà Chủ đầu tư đã chấp thuận về giá trị của tất cả các công việc được làm theo đúng hợp đồng, và số tiền khác mà Nhà thầu coi là đến hạn thanh toán theo hợp đồng hoặc các thỏa thuận khác, bao gồm các tài liệu sau:
a) Biên bản nghiệm thu hoàn thành toàn bộ công việc thuộc phạm vi hợp đồng;
b) Bản xác nhận giá trị khối lượng công việc phát sinh (nếu có) ngoài phạm vi hợp đồng;
c) Bảng tính giá trị quyết toán hợp đồng xây dựng (gọi là quyết toán A-B), trong đó nêu rõ phần đã thanh toán và giá trị còn lại mà bên Chủ đầu tư có trách nhiệm thanh toán cho Nhà thầu;
d) Hồ sơ hoàn công, nhật ký thi công xây dựng công trình;
đ) Các tài liệu khác (theo thỏa thuận trong hợp đồng nếu có).
Nếu Chủ đầu tư không đồng ý hoặc cho rằng Nhà thầu chưa cung cấp đủ cơ sở để xác nhận một phần nào đó của hồ sơ quyết toán hợp đồng, Nhà thầu sẽ cung cấp thêm thông tin khi Chủ đầu tư có yêu cầu hợp lý và sẽ chỉnh sửa hồ sơ quyết toán theo sự nhất trí của hai bên. Nhà thầu sẽ chuẩn bị và trình cho Chủ đầu tư quyết toán hợp đồng như hai bên đã nhất trí.
Tuy nhiên nếu sau khi có những cuộc thảo luận giữa các bên và bất kỳ thay đổi nào trong hồ sơ quyết toán hợp đồng mà hai bên đã nhất trí, Chủ đầu tư sẽ thanh toán các phần đã thống nhất này của hồ sơ quyết toán hợp đồng phù hợp với khoản 3 Điều 12.
Khi trình quyết toán hợp đồng, Nhà thầu sẽ trình Bản thanh toán trên giấy tờ khẳng định rằng toàn bộ Quyết toán hợp đồng thể hiện việc thanh toán đầy đủ và giải quyết xong tất cả số tiền phải trả cho Nhà thầu theo hoặc liên quan đến hợp đồng. Bản thanh toán này có thể nêu rằng nó sẽ có hiệu lực khi Nhà thầu đã nhận lại Bảo lãnh hợp đồng và việc cân bằng nợ nần của số tiền này mà Bản thanh toán sẽ có hiệu lực vào ngày đó.
Căn cứ vào khoản 3 Điều 12, Chủ đầu tư sẽ thanh toán cho Nhà thầu toàn bộ số tiền còn nợ sau khi trừ đi tất cả số tiền mà Chủ đầu tư được quyền theo khoản 3 Điều 12.
25.2. Chấm dứt trách nhiệm của Chủ đầu tư
Chủ đầu tư sẽ không chịu trách nhiệm với Nhà thầu về bất cứ việc gì và vấn đề gì theo hoặc liên quan đến hợp đồng, trừ khi Nhà thầu đã nêu cụ thể một số tiền dùng cho việc đó:
a) Trong Quyết toán hợp đồng, và
b) Trừ những vấn đề và việc nảy sinh sau khi ký Biên bản nghiệm thu công trình trong bản quyết toán hợp đồng được nêu trong khoản 1 Điều 25.
Tuy nhiên, khoản này không giới hạn trách nhiệm của Chủ đầu tư về các nghĩa vụ bồi thường hay trách nhiệm của Chủ đầu tư trong các trường hợp gian dối, cố ý vi phạm hay tiến hành sai công việc do lơ là của Chủ đầu tư.
25.3. Thanh lý hợp đồng
Các bên sẽ tiến hành thanh lý hợp đồng trong khoảng thời gian [quy định tại ĐKCT], kể từ ngày:
a) Các bên hoàn thành các nghĩa vụ theo hợp đồng đã ký;
b) Hợp đồng bị chấm dứt theo khoản 7 Điều 18 hoặc khoản 2 Điều 19 hoặc hợp đồng bị hủy bỏ theo quy định của pháp luật.
Điều 26. Hiệu lực của hợp đồng
26.1. Hai bên cam kết thực hiện đúng những điều đã quy định trong hợp đồng này. Ngôn ngữ sử dụng trong hợp đồng xây dựng là tiếng Việt, số bản, trang, Phụ lục và ngôn ngữ hợp đồng trường hợp hợp đồng xây dựng có sự tham gia của bên nước ngoài [quy định tại ĐKCT].
26.2. Hợp đồng này có hiệu lực kể từ thời điểm [quy định tại ĐKCT] và sau khi Chủ đầu tư đã nhận được bảo đảm thực hiện hợp đồng theo khoản 1 Điều 11.
PHẦN 4 - ĐIỀU KIỆN CỤ THỂ CỦA HỢP ĐỒNG
Điều 1. Giải thích từ ngữ
(i) Chủ đầu tư là: ____[ghi tên hợp pháp đầy đủ của Chủ đầu tư].
(ii) Nhà thầu là: ____ [ghi tên hợp pháp đầy đủ của Nhà thầu].
(viii) Dự án: ____ [ghi tên chính thức đầy đủ của Dự án].
(xxv) Công trình chính: ____ [ghi đầy đủ các công trình chính].
Điều 2. Hồ sơ hợp đồng và thứ tự ưu tiên
2.1. Hồ sơ hợp đồng: ____ [ghi đầy đủ các tài liệu của hồ sơ hợp đồng].
2.2. Thứ tự ưu tiên: ____ [ghi các tài liệu của hồ sơ hợp đồng theo thứ tự ưu tiên nếu có].
Điều 3. Các quy định chung
6. Các cách trao đổi thông tin:
- Chủ đầu tư:
+ Địa chỉ: ____ [ghi đầy đủ địa chỉ].
+ Điện thoại: ____ [ghi số điện thoại, bao gồm mã quốc gia và mã thành phố].
+ Email: ____ [ghi địa chỉ email (nếu có)]
+ Fax: ____ [ghi số fax, bao gồm mã quốc gia và mã thành phố].
+ Website: ____ [ghi địa chỉ email (nếu có)]
Nhà thầu (trường hợp là nhà thầu liên danh thì ghi đầy đủ thông tin của các thành viên trong liên danh)
- Tại nước ngoài (nếu là Nhà thầu nước ngoài):
+ Địa chỉ: ____ [ghi đầy đủ địa chỉ].
+ Điện thoại: ____ [ghi số điện thoại, bao gồm mã quốc gia và mã thành phố].
+ Email: ____ [ghi địa chỉ email (nếu có)]
+ Fax: ____ [ghi số fax, bao gồm mã quốc gia và mã thành phố]
+ Website: ____ [ghi địa chỉ email (nếu có)].
- Tại Việt Nam:
+ Địa chỉ: ____ [ghi đầy đủ địa chỉ].
+ Điện thoại: ____ [ghi số điện thoại, bao gồm mã quốc gia và mã thành phố].
+ Email: ____ [ghi địa chỉ email (nếu có)]
+ Fax: ____ [ghi số fax, bao gồm mã quốc gia và mã thành phố]
+ Website: ____ [ghi địa chỉ email (nếu có)]
Điều 5. Các yêu cầu đối với công tác thiết kế xây dựng công trình
5.3. Các yêu cầu đối với Hồ sơ thiết kế (hoặc bản vẽ thiết kế) của Nhà thầu
Thời gian xem xét phê duyệt là ____ [ghi cụ thể thời gian là bao nhiêu ngày].
Điều 6. Các yêu cầu đối với công tác cung cấp và lắp đặt thiết bị
b) Thời gian thực hiện chế độ hậu mãi là ____ [ghi cụ thể thời gian là bao nhiêu tháng].
d) Các thiết bị yêu cầu giám định là ____ [ghi cụ thể tên, xuất xứ, chủng loại, số lượng thiết bị].
h) Thời gian chuyển các thiết bị lắp đặt không đạt yêu cầu khỏi công trường là ____ [ghi cụ thể thời gian là bao nhiêu ngày].
Điều 7. Các yêu cầu đối với công tác thi công xây dựng công trình
l) Thời gian tiến hành nghiệm thu là ____ [ghi cụ thể thời gian là bao nhiêu ngày sau khi vận hành thử].
m) Thời gian tiếp tục giám sát sự vận hành của công trình là ____ [ghi cụ thể thời gian là bao nhiêu ngày sau khi nghiệm thu].
Điều 8. Thử nghiệm, hiệu chỉnh và vận hành thử khi hoàn thành
8.1. Nghĩa vụ của Nhà thầu
Thời gian tiến hành các lần thử nghiệm khi hoàn thành là ____ [ghi cụ thể thời gian là bao nhiêu ngày sau ngày đã thông báo hoặc vào ngày yêu cầu].
Điều 9. Nghiệm thu của Chủ đầu tư
9.1. Nghiệm thu công trình
Thời gian phản hồi Nhà thầu là ____ [ghi cụ thể thời gian là bao nhiêu ngày sau ngày kể từ khi nhận được đề nghị nghiệm thu công trình của Nhà thầu].
9.4. Biên bản nghiệm thu đưa công trình vào khai thác sử dụng
Thời gian cấp Biên bản nghiệm thu đưa công trình vào khai thác sử dụng là ____ [ghi cụ thể thời gian là bao nhiêu ngày sau ngày hết hạn của Thời hạn thông báo sai sót hoặc ngay sau khi Nhà thầu đã cung cấp tất cả các tài liệu của Nhà thầu].
9.6. Hoàn trả mặt bằng
Thời hạn dọn khỏi công trường của Nhà thầu là ____ [ghi cụ thể thời gian là bao nhiêu ngày sau khi Chủ đầu tư cấp Biên bản nghiệm thu đưa công trình vào khai thác sử dụng].
9.7. Chạy thử từng phần của công trình
Thời gian thông báo trước cho Nhà thầu về việc tham gia vào lần chạy thử là ____ [ghi cụ thể thời gian là bao nhiêu giờ trước lần chạy thử].
Điều 10. Thời gian và tiến độ thực hiện hợp đồng
10.1. Ngày bắt đầu và hoàn thành toàn bộ công việc
- Ngày bắt đầu Công việc là ____ [ghi cụ thể thời gian bao gồm ngày, tháng, năm].
- Thời gian thông báo trước cho Nhà thầu về ngày bắt đầu công việc là ____ [ghi cụ thể thời gian là bao nhiêu ngày].
- Ngày hợp đồng bắt đầu có hiệu lực là ____ [ghi cụ thể thời gian là bao nhiêu ngày].
- Thời gian hoàn thành toàn bộ công việc là ____ [ghi cụ thể thời gian bao gồm ngày, tháng, năm].
10.3. Tiến độ thực hiện công việc
- Thời gian trình tiến độ chi tiết thực hiện công việc là ____ [ghi cụ thể thời gian là bao nhiêu ngày sau ngày bắt đầu công việc].
- Thời gian phản hồi cho Nhà thầu về tiến độ đề xuất là ____ [ghi cụ thể thời gian là bao nhiêu ngày kể từ ngày Chủ đầu tư nhận được bản tiến độ của Nhà thầu].
Điều 11. Bảo đảm thực hiện hợp đồng và bảo lãnh tiền tạm ứng
11.1. Bảo đảm thực hiện hợp đồng
- Giá trị bảo đảm thực hiện hợp đồng là ____ [ghi cụ thể là bao nhiêu % trên giá trị hợp đồng] tương đương ____ [ghi cụ thể giá trị và loại tiền tệ].
- Thời gian gửi bảo đảm thực hiện hợp đồng cho Chủ đầu tư là ____ [ghi cụ thể thời gian là bao nhiêu ngày sau khi cả hai bên đã ký hợp đồng].
- Thời gian Nhà thầu phải gia hạn Bảo đảm thực hiện là ____ [ghi cụ thể thời gian là bao nhiêu ngày trước ngày hết hạn Bảo đảm thực hiện].
b) Thời gian thanh toán nợ cho Chủ đầu tư là ____ [ghi cụ thể thời gian là bao nhiêu ngày sau khi thỏa thuận hoặc quyết định phải trả].
c) Thời gian sửa chữa sai sót là ____ [ghi cụ thể thời gian là bao nhiêu ngày kể từ ngày nhận được thông báo của Chủ đầu tư].
- Thời gian trả lại bảo đảm thực hiện hợp đồng cho Nhà thầu là ____ [ghi cụ thể thời gian là bao nhiêu ngày sau khi cấp biên bản nghiệm thu hoàn thành và đã nhận được bảo đảm bảo hành].
11.2. Bảo lãnh tiền tạm ứng
Thời gian nộp bảo lãnh tiền tạm ứng là ____ [ghi cụ thể thời gian là bao nhiêu ngày sau khi hợp đồng có hiệu lực].
Điều 12. Giá hợp đồng, tạm ứng và thanh toán
12.1. Giá hợp đồng
a) Hợp đồng này là hợp đồng ____ [ghi cụ thể loại giá hợp đồng]
b) Giá hợp đồng gồm:
i. Bằng Việt Nam Đồng: ____ Đồng.
Trong đó (nếu các bên có thỏa thuận tách riêng từng phần công việc):
- Phần thiết kế: ____Đồng,
- Phần mua sắm vật tư, thiết bị: ____Đồng,
- Phần thi công xây dựng công trình: ____Đồng.
ii. Bằng Ngoại tệ: ____ [ghi tên đồng ngoại tệ sử dụng].
Trong đó (nếu các bên có thỏa thuận tách riêng từng phần công việc):
- Phần thiết kế: ____,
- Phần mua sắm vật tư, thiết bị: ____,
- Phần thi công xây dựng công trình: ____
iii. Khoản bổ sung hay giảm trừ: ____
12.2. Tạm ứng hợp đồng
i. Bằng Việt Nam: ____Đồng, tương ứng với ____% giá hợp đồng.
Trong đó (nếu các bên có thỏa thuận tách riêng từng phần công việc):
- Phần thiết kế: ____Đồng, tương ứng với ____% giá trị phần thiết kế;
- Phần mua sắm vật tư, thiết bị: ____Đồng, tương ứng với ____% giá trị phần thiết kế;
- Phần thi công xây dựng công trình: ____Đồng, tương ứng với ____% giá trị phần thiết kế;
ii. Bằng Ngoại tệ: ____ [Đơn vị tính của Ngoại tệ sử dụng thanh toán], tương ứng với ____% giá hợp đồng.
Trong đó (nếu các bên có thỏa thuận tách riêng từng phần công việc):
- Phần thiết kế: ____ [tên ngoại ngoại tệ], tương ứng với ____% giá trị phần thiết kế;
- Phần mua sắm vật tư, thiết bị: ____ [tên ngoại ngoại tệ], tương ứng với ____% giá trị phần thiết kế;
- Phần thi công xây dựng công trình: ____ [tên ngoại ngoại tệ], tương ứng với ____ % giá trị phần thiết kế;
iii. Chi tiết của các lần tạm ứng như Phụ lục số ____ [Giá hợp đồng, tạm ứng và thanh toán hợp đồng].
12.3. Thanh toán
a) Đồng tiền sử dụng để thanh toán hợp đồng xây dựng là đồng tiền Việt Nam và ____ [ghi cụ thể loại ngoại tệ sử dụng trong thanh toán].
- Hình thức thanh toán ____ [bằng chuyển khoản hoặc bằng hình thức khác do các bên tự thỏa thuận phù hợp với quy định của pháp luật có liên quan].
b) Tiến độ thanh toán được chia làm ____ [ghi cụ thể số lần thanh toán].
Trong đó:
i. Đối với phần thiết kế:
- Lần 1: Thanh toán ____% giá hợp đồng sau khi Nhà thầu hoàn thành thiết kế hạng mục công trình hoặc hoàn thành công việc ____ [ghi cụ thể nội dung do các bên thỏa thuận].
- Lần 2: Thanh toán % giá hợp đồng sau khi Nhà thầu hoàn thành thiết kế hạng mục công trình hoặc hoàn thành công việc ____ [ghi cụ thể nội dung do các bên thỏa thuận].
- Lần...
- Lần cuối: Thanh toán ____% giá hợp đồng sau khi Nhà thầu hoàn thành toàn bộ phần thiết kế công trình và được Chủ đầu tư phê duyệt.
ii. Đối với phần mua sắm vật tư, thiết bị:
- Lần 1: Thanh toán ____% giá trị hợp đồng sau khi Nhà thầu cung cấp đến công trình thiết bị của hạng mục công trình ____ [ghi cụ thể nội dung do các bên thỏa thuận];
- Lần 2: Thanh toán ____% giá trị hợp đồng sau khi Nhà thầu cung cấp đến công trình thiết bị của hạng mục công trình ____ [ghi cụ thể nội dung do các bên thỏa thuận];
- Lần...
- Lần cuối: Thanh toán ____% giá trị hợp đồng sau khi Nhà thầu cung cấp đến công trình toàn bộ thiết bị theo hợp đồng.
iii. Đối với phần thi công xây dựng công trình:
- Lần 1: Thanh toán ____ % giá hợp đồng (hoặc giá trị hạng mục hoàn thành) sau khi Nhà thầu hoàn thành hạng mục công trình ____ [ghi cụ thể tên hạng mục công trình].
- Lần 2: thanh toán ____ % giá hợp đồng (hoặc giá trị hạng mục hoàn thành) sau khi Nhà thầu hoàn thành hạng mục công trình ____ [ghi cụ thể tên hạng mục công trình].
- Lần...
- Lần cuối: thanh toán ____% giá hợp đồng (hoặc toàn bộ giá trị còn lại) sau khi Nhà thầu hoàn thành các công việc và thỏa thuận theo hợp đồng.
c) Hồ sơ thanh toán ____ [ghi cụ thể bao nhiêu bộ hồ sơ].
Hồ sơ thanh toán bao gồm các tài liệu chủ yếu sau ____ [ghi cụ thể tên các tài liệu].
d) Thời hạn thanh toán là ____ [ghi cụ thể thời gian là bao nhiêu ngày sau khi nhận đủ hồ sơ thanh toán hợp lệ theo quy định của hợp đồng].
Điều 13. Quyền và nghĩa vụ chung của Chủ đầu tư
13.1. Nhân lực của Chủ đầu tư
Thời gian thông báo về đại diện của Chủ đầu tư là ____ [ghi cụ thể thời gian là bao nhiêu ngày].
13.4. Quyết định
Thời gian thông báo về việc không thỏa mãn với quyết định của Chủ đầu tư là ____ [ghi cụ thể thời gian là bao nhiêu ngày sau khi Nhà thầu nhận được thông báo về quyết định của Chủ đầu tư].
Điều 14. Nhiệm vụ, quyền hạn của Nhà tư vấn
14.3. Chỉ dẫn của Nhà tư vấn
b) Thời gian đưa ra ý kiến bằng văn bản là ____ [ghi cụ thể thời gian là bao nhiêu ngày kể từ ngày nhận được đề nghị hoặc yêu cầu].
14.4. Thay thế Nhà tư vấn
Thời gian thông báo về việc thay thế Nhà tư vấn là ____ [ghi cụ thể thời gian là bao nhiêu ngày trước khi dự định thay thế].
Điều 15. Quyền và nghĩa vụ chung của Nhà thầu
15.11. Vận chuyển Hàng hóa
a) Thời gian thông báo về việc hàng hóa được vận chuyển tới công trường là ____ [ghi cụ thể thời gian là bao nhiêu ngày - thường không muộn hơn 21 ngày].
15.16. Báo cáo Tiến độ
- Tần suất lập báo cáo tiến độ là ____ [ghi cụ thể tần suất theo tháng, quý, năm].
- Số lượng báo cáo tiến độ nộp cho Nhà tư vấn là ____ [ghi cụ thể thời gian là bao nhiêu bản].
- Thời gian nộp báo cáo tiến độ thực hiện là ____ [ghi cụ thể thời gian là bao nhiêu ngày sau ngày cuối cùng của tháng, quý, năm].
- Nội dung báo cáo tiến độ bao gồm ____ [ghi cụ thể các nội dung yêu cầu trừ khi khác với các nội dung tại phần điều kiện chung].
15.17. An ninh công trường
- Quy định về an ninh công trường bao gồm ____ [ghi cụ thể nội dung, biện pháp, đơn vị thực hiện và các nội dung có liên quan].
15.20. Tài liệu hoàn công
- Số lượng hồ sơ tài liệu hoàn công là ____ [ghi cụ thể là bao nhiêu bản].
Điều 16. Điều chỉnh giá và điều chỉnh hợp đồng
16.1. Điều chỉnh giá hợp đồng
Trường hợp điều chỉnh giá hợp đồng: ____ [ghi cụ thể các trường hợp được điều chỉnh giá hợp đồng gắn với nội dung, phương pháp, thời gian, công thức, nguồn dữ liệu điều chỉnh và các nội dung có liên quan đảm bảo phù hợp với nguyên tắc điều chỉnh của từng loại giá hợp đồng theo quy định pháp luật].
16.2. Điều chỉnh hợp đồng
Trường hợp điều chỉnh hợp đồng: ____ [ghi cụ thể các trường hợp được điều chỉnh hợp đồng gắn với quyền và nghĩa vụ của các bên có liên quan đảm bảo phù hợp với nguyên tắc điều hợp đồng xây dựng theo quy định pháp luật].
Điều 17. Nhà thầu phụ
17.1. Quy định chung về nhà thầu phụ
d) Thời gian thông báo về Nhà thầu phụ là ____ [ghi cụ thể thời gian là bao nhiêu ngày trước ngày dự định bắt đầu công việc của mỗi Nhà thầu phụ].
Điều 18. Tạm ngừng, chấm dứt hợp đồng bởi Chủ đầu tư
18.1. Thông báo sửa chữa
- Thời gian yêu cầu Nhà thầu phải thực hiện và sửa chữa các sai sót, hỏng hóc là ____ [ghi cụ thể thời gian là bao nhiêu ngày].
18.4. Thanh toán tiền thiết bị và các vật liệu trong trường hợp tạm ngừng công việc
a) Thời gian tạm ngừng công việc là ____ [ghi cụ thể thời gian là bao nhiêu ngày kể từ khi công việc sử dụng thiết bị hoặc sự cung cấp thiết bị và/hoặc các vật liệu bị trì hoãn].
18.5. Việc tạm ngừng kéo dài quá thời gian quy định
- Thời gian thông báo chấp thuận cho Nhà thầu tiếp tục tiến hành công việc là ____ [ghi cụ thể thời gian là bao nhiêu ngày kể từ khi nhận được yêu cầu].
18.7. Chấm dứt hợp đồng bởi Chủ đầu tư
b) Thời gian liên tục không thực hiện công việc theo hợp đồng là ____ [ghi cụ thể thời gian là bao nhiêu ngày].
đ) Thời gian thông báo trước cho Nhà thầu là ____ [ghi cụ thể thời gian là bao nhiêu ngày trước khi chấm dứt hợp đồng và trục xuất ra khỏi công trường].
18.10. Quyền chấm dứt hợp đồng của Chủ đầu tư
Thời gian có hiệu lực của việc chấm dứt hợp đồng là ____ [ghi cụ thể thời gian là bao nhiêu ngày sau ngày đến sau của các thời điểm mà Nhà thầu nhận được thông báo của Chủ đầu tư hoặc Chủ đầu tư trả lại Bảo lãnh thực hiện].
Điều 19. Tạm ngừng chấm dứt hợp đồng bởi Nhà thầu
19.1. Quyền tạm ngừng công việc của Nhà thầu
Thời gian tạm ngừng công việc là ____ [ghi cụ thể thời gian là bao nhiêu ngày kể từ ngày thông báo cho Chủ đầu tư].
19.2. Chấm dứt hợp đồng bởi Nhà thầu
c) Thời gian ngừng công việc liên tục do lỗi của Chủ đầu tư là ____ [ghi cụ thể thời gian là bao nhiêu ngày].
đ) Thời gian thông báo trước cho Chủ đầu tư là ____ [ghi cụ thể thời gian là bao nhiêu ngày trước khi chấm dứt hợp đồng].
Điều 20. Bảo hiểm và bảo hành công trình
20.2. Bảo hành
- Thời gian bảo hành công trình là ____ [ghi cụ thể thời gian là bao nhiêu tháng - không ít hơn 24 tháng đối với các công trình cấp đặc biệt, cấp 1 với mức bảo hành là 3% giá trị hợp đồng; không ít hơn 12 tháng đối với các công trình cấp 2, cấp 3, cấp 4 và các công trình còn lại với mức bảo hành là 5% giá trị hợp đồng].
- Thời gian nộp Bảo đảm thực hiện bảo hành công trình là ____ [ghi cụ thể thời gian là bao nhiêu ngày kể từ ngày nhận được Biên bản nghiệm thu công trình, hạng mục công trình để đưa vào sử dụng].
- Thời gian sửa chữa lỗi là ____ [ghi cụ thể thời gian là bao nhiêu ngày sau khi nhận được thông báo].
- Thời gian thanh toán cho bên thứ ba là ____ [ghi cụ thể thời gian là bao nhiêu ngày sau khi nhận được thông báo của Chủ đầu tư].
Điều 21. Trách nhiệm đối với các sai sót
21.3. Kéo dài thêm thời hạn thông báo sai sót
- Thời gian gia hạn thông báo sai sót là ____ [ghi cụ thể thời gian là bao nhiêu ngày, tháng sau khi thời gian thông báo sai sót hết hiệu lực - tối đa 2 năm].
21.6. Các kiểm định thêm
Thời gian thông báo yêu cầu kiểm định thêm là ____ [ghi cụ thể thời gian là bao nhiêu ngày sau khi đã sửa chữa sai sót hoặc hư hỏng].
Điều 22. Thưởng, phạt do vi phạm hợp đồng và trách nhiệm bồi thường thiệt hại
22.1. Thưởng hoàn thành tốt hợp đồng
Mức thưởng hợp đồng là ____ [ghi cụ thể % giá hợp đồng cho mỗi khoảng thời gian (ngày, tuần, tháng...) thực hiện xong sớm hơn] và tối đa là ____ [ghi cụ thể % giá hợp đồng thưởng tối đa].
22.2. Phạt vi phạm hợp đồng
Mức phạt hợp đồng là ____ [ghi cụ thể % giá hợp đồng cho một tuần trễ hạn].
22.5. Quyền sở hữu công nghiệp và trí tuệ
Thời gian gửi thông báo về khiếu nại là ____ [ghi cụ thể thời gian là bao nhiêu ngày trước khi khiếu nại không còn hiệu lực].
Điều 23. Rủi ro và bất khả kháng
23.7. Chấm dứt hợp đồng do bất khả kháng, thanh toán, hết trách nhiệm
- Thời gian cản trở thực hiện công trình là ____ [ghi cụ thể thời gian là liên tục bao nhiêu ngày] hoặc tổng số thời gian là ____ [ghi cụ thể tổng thời gian của các lần bị cản trở là bao nhiêu ngày].
- Thời gian có hiệu lực của việc chấm dứt hợp đồng là ____ [ghi cụ thể thời gian là bao nhiêu ngày sau khi bên kia nhận được thông báo].
Điều 24. Khiếu nại và giải quyết tranh chấp
24. 1. Khiếu nại của Nhà thầu
- Thời gian thông báo về khiếu nại là ____ [ghi cụ thể thời gian là bao nhiêu ngày sau khi Nhà thầu nhận thấy hoặc ý thức được sự việc hoặc trường hợp khiếu nại].
c) Thời gian gửi bản khiếu nại cuối cùng là ____ [ghi cụ thể thời gian là bao nhiêu ngày sau khi hết ảnh hưởng do sự việc hoặc trường hợp gây ra].
- Thời gian trả lời khiếu nại của Chủ đầu tư là ____ [ghi cụ thể thời gian là bao nhiêu ngày sau khi nhận được một khiếu nại hoặc các chi tiết hỗ trợ thêm cho khiếu nại trước đây].
24.2. Việc cử Ban xử lý tranh chấp
- Thời gian các bên sẽ cùng chỉ định ra Ban xử lý tranh chấp là ____ [ghi cụ thể thời gian là bao nhiêu ngày sau ngày một bên thông báo về việc đưa tranh chấp lên Ban xử lý tranh chấp].
- Thành viên Ban xử lý tranh chấp bao gồm ____ [ghi cụ thể thông tin của các thành viên, bao gồm nhưng không giới hạn bởi tên, chức danh, nghề nghiệp, năng lực chuyên môn]
24.3. Không thỏa thuận được về Ban xử lý tranh chấp
d) Thời gian thông báo về việc chỉ định người thay thế là ____ [ghi cụ thể thời gian là bao nhiêu ngày sau ngày mà thành viên duy nhất hoặc một trong ba thành viên từ chối hoặc không thể đảm nhận công việc].
24.4. Có kết luận của Ban xử lý tranh chấp
- Thời gian ra kết luận của Ban xử lý tranh chấp là ____ [ghi cụ thể thời gian là bao nhiêu ngày kể từ ngày nhận được các ý kiến đề nghị xử lý tranh chấp, hoặc nhận được khoản tạm ứng].
- Thời gian thông báo việc chưa thỏa mãn kết luận của Ban xử lý tranh chấp là ____ [ghi cụ thể thời gian là bao nhiêu ngày sau khi nhận được kết luận, hoặc sau khi Ban xử lý tranh chấp nhận được hồ sơ nhưng chưa ra kết luận].
- Thời gian bắt đầu hiệu lực của quyết định của Ban xử lý tranh chấp là ____ [ghi cụ thể thời gian là bao nhiêu ngày sau khi Ban xử lý tranh chấp đưa ra quyết định và không có thông báo về việc chưa thỏa mãn].
24.5. Hòa giải
Thời gian tiến hành Trọng tài phân xử là ____ [ghi cụ thể thời gian là bao nhiêu ngày sau ngày kể từ khi thông báo không thỏa mãn được đưa ra bởi một bên].
24.6. Giải quyết tranh chấp tại Tòa án hoặc Trọng tài
Hình thức giải quyết tranh chấp ____ [ghi cụ thể hình thức giải quyết tranh chấp tại Tòa án hoặc Trọng tài và thông tin cụ thể đối với hình thức xử lý tranh chấp lựa chọn bao gồm nhưng không giới hạn Trọng tài viên, Tòa án].
Điều 25. Quyết toán và thanh lý hợp đồng
25.1. Quyết toán hợp đồng
- Thời gian trình hồ quyết toán hợp đồng là ____ [ghi cụ thể thời gian là bao nhiêu ngày kể từ ngày nhận được Biên bản nghiệm thu và xác nhận của Chủ đầu tư].
- Số lượng hồ sơ quyết toán hợp đồng là ____ [ghi cụ thể là bao nhiêu bộ].
25.3. Thanh lý hợp đồng
Thời gian tiến tiến hành thanh lý hợp đồng là ____ [ghi cụ thể thời gian là bao nhiêu ngày - nhưng không quá 90 ngày]
Điều 26. Hiệu lực của hợp đồng
26.1. Hợp đồng này bao gồm ____ [ghi cụ thể là bao nhiêu trang], và ____ [ghi cụ thể là bao nhiêu Phụ lục] được lập thành ____ [ghi cụ thể là bao nhiêu bản] bằng tiếng Việt có hiệu lực pháp lý như nhau, và ____ [ghi cụ thể là bao nhiêu bản] bằng tiếng ____ [ghi cụ thể ngôn ngữ hợp đồng khác ngoài tiếng Việt].
- Chủ đầu tư sẽ giữ ____ [ghi cụ thể thời gian là bao nhiêu bản] bằng tiếng Việt và ____ [ghi cụ thể là bao nhiêu bản] bằng tiếng ____ [ghi cụ thể ngôn ngữ hợp đồng khác ngoài tiếng Việt].
- Nhà thầu sẽ giữ ____ [ghi cụ thể thời gian là bao nhiêu bản] bằng tiếng Việt và ____ [ghi cụ thể là bao nhiêu bản] bằng tiếng ____ [ghi cụ thể ngôn ngữ hợp đồng khác ngoài tiếng Việt].
26.2. Hợp đồng này có hiệu lực kể từ ____ [ghi cụ thể thời gian ngày, tháng, năm] và sau khi Chủ đầu tư đã nhận được bảo đảm thực hiện hợp đồng theo khoản 1 Điều 11.
|
ĐẠI DIỆN NHÀ THẦU |
ĐẠI DIỆN CHỦ ĐẦU TƯ |
1 Cập nhật các văn bản hiện hành liên quan đến hợp đồng.
Bạn chưa Đăng nhập thành viên.
Đây là tiện ích dành cho tài khoản thành viên. Vui lòng Đăng nhập để xem chi tiết. Nếu chưa có tài khoản, vui lòng Đăng ký tại đây!
Bạn chưa Đăng nhập thành viên.
Đây là tiện ích dành cho tài khoản thành viên. Vui lòng Đăng nhập để xem chi tiết. Nếu chưa có tài khoản, vui lòng Đăng ký tại đây!